Базилер - Основы Экономической Теории
Представленный учебник создавался на основе многолетней преподавательской работы авторов в университетах и в учреждениях повышения квалификации. Он содержит материал вводного уровня по экономической теории и предназначен для обучения экономической теории учащихся средних и высших учебных заведений и слушателей курсов повышения квалификации в области экономики. Его можно также использовать для самообразования.
Учебник дает читателю обширный и основательный обзор как экономической теории, так и экономической практики. После введения в основные экономические термины и анализа различных экономических систем, исследуются основные микро- и макроэкономические взаимосвязи. Детально рассматриваются финансовые аспекты, денежная сфера и внешнеэкономическая проблематика.
Завершается изложение анализом проблем экономической политики.
Предисловие к русскому изданию
Учебник «Основы экономической теории: принципы, проблемы, политика. Германский опыт и российский путь» — это перевод популярного в Германии учебника «РгоЫете und Grundlagen der Volkswirtschaft», выдержавшего 14 изданий и являющегося незаменимым пособием при изучении вводного курса экономической теории.
Данный учебник был выбран нами не случайно: в отличие от многих американских учебников, активно издаваемых сейчас в России (П. Самуэльсона и У. Нордхауса, К. Макконнелла и С. Брю, Э. Долана и Д. Линдсея и др.), он отражает европейские, а не американские особенности рыночной экономики, построен на реалиях экономики Федеративной Республики Германии. По нашему мнению, именно это может быть важно для российского читателя, поскольку, как считают многие экономисты, из развитых стран мира именно Германия имеет много общего с Россией в экономической культуре. Близость проявляется, например, в значительной роли государства и социальной сферы. Правомерность вмешательства государства в социальную сферу экономики признается в общем и в Германии, и в России, в то время как в США его считают ненужным и даже вредным. Близок России и принцип «социально-рыночной экономики», зародившийся и получивший едва ли не наибольшее развитие в Германии. Российская экономика движется по пути к созданию именно этого типа экономической системы, а не к «манчестерскому капитализму» (аналоги которого в известной степени можно наблюдать в США и особенно — во многих развивающихся странах), который отличается сильной социальной незащищенностью населения и явной приоритетностью интересов отдельных групп (как правило, очень богатых) над интересами общества в целом. На наш взгляд, российский путь должен учитывать в большей мере германский, а не американский опыт. Эта идея отражена в настоящей книге, и, вполне вероятно, она будет воплощена в дальнейшем экономическом развитии России.
Данная книга — не просто перевод. Размышления о сходстве черт экономики двух стран и их анализ подтолкнули нас к мысли включить в учебник «российский материал», тем самым приблизив его к российскому читателю. Для удобства весь материал, имеющий отношение к России, размещен в виде врезок и носит сравнительный характер. Иными словами, читатель может сопоставить различные аспекты (например, роль сферы услуг, особенности денежной политики, развитость антимонопольного законодательства, характеристики системы социального обеспечения и т. д.) экономического развития двух стран — Германии (анализируя основной текст) и России (анализируя врезки).
Следует также отметить, что во врезках отражена ситуация в России на начало 1997 г. (большая часть статистических данных заканчивается 1996 г.), за исключением врезок, касающихся предварительных итогов трансформационного процесса в России (гл. 3), государственного долга (гл. 15), денежного обращения (гл. 17), денежной политики (гл. 19), а также валютной системы (гл. 21) и динамики валютных резервов (гл. 22), трансформационного спада (гл. 27).
По своему содержанию учебник соответствует вводному курсу и раскрывает основные проблемы микро- и макроэкономики, а также международной экономики. В этом смысле он аналогичен всем учебникам данного типа, в том числе американским. Однако у.него есть преимущество: все рассматриваемые теоретические выводы трактуются в нем как одно из возможных направлений анализа, а не как наиболее предпочтительное. В этом плане интересны главы 11 — 13, в которых дан обзорный анализ как «старых», так и «новых» направлений в современной макроэкономической теории. Эти главы превосходят по полноте затронутых проблем соответствующие разделы учебников промежуточного уровня. В частности, в главе 13 подробно анализируется такая малоизученная парадигма, как посткейнсианство, освещение которой вообще отсутствует в каких бы то ни было учебных изданиях по экономической теории на русском языке. Кдругим «нестандартным» по своей тематике главам относятся глава 3 (сравнительный анализ перехода к рынку в бывшей ГДР и в России),.22-24 (интеграция в Европе), 26 (распределение дохода и богатства).
Учебник предназначен для широкой аудитории студентов и преподавателей экономических и неэкономических вузов и факультетов, а также школ с углубленным изучением экономики. Он может быть полезен также экономистам-практикам, работникам органов государственного управления и всем интересующимся экономической теорией, политикой и практикой.
Основная цель книги — не только помочь читателям в овладении богатым арсеналом методов современной экономической теории, но и проиллюстрировать их применение на германском опыте и показать возможный путь российской экономики. Из дидактических соображений, а также для того, чтобы максимально приблизить изложение к русскому читателю, мы изменили последовательность разделов в главе 6 и добавили раздел о монополистической конкуренции; кроме того, мы дополнили книгу обсуждением теории игр и приложением к главе 9 «о системе национальных счетов в России». В ряде примеров немецкие марки были заменены на рубли.
Авторы очень надеются, что выход этой книги на русском языке станет знаменательным событием и поможет многим студентам получить адекватное представление о процессах, происходящих в сегодняшней России, а сама книга будет одним из популярных русскоязычных учебников по экономике.
В заключение хотелось бы выразить искреннюю признательность за ценные комментарии в процессе подготовки учебника к печати Н. С. Бабинцевой, П. И. Гребенникову, Я. В. Жаркову, А. П. Заостровцеву, И. П. Комиссаровой, М. А. Кривошапке, Н. Н. Молчанову, Н. В. Пахомовой, А. В. Поповой, Г. Л. Сафаровой, А. С. Скоробогатову, Т. В. Субботиной, Л. Д. Широкораду, А. Н. Шириной и всем, кто поддержал идею его издания.
3. А. Сабов, Санкт-Петербург, 31 мая 1999 г.
Предисловие к первому немецкому изданию
Данная книга создавалась на основе преподавательской работы ее авторов в качестве доцентов в учреждениях повышения квалификации, в университетах, высших педагогических учебных заведениях, профессионально-технических училищах и школах. Тесная связь с практикой позволила авторам интенсивно обсуждать со студентами самые разные экономические проблемы и учесть приобретенный опыт при написании данной книги, добившись в ней столь важного для учебника баланса между теорией и практикой. Этот учебник предназначен для учащихся средних специальных и высших учебных заведений, а также слушателей курсов повышения квалификации в области экономики на предприятиях. Кроме того, ее можно использовать для повышения квалификации преподавателей экономических дисциплин, а также при обучении учащихся экономических гимназий и общеобразовательных лицеев.
Цель книги — дать читателю обширный и основательный обзор основных принципов и проблем экономической теории. Рамками при этом служит социально-рыночная экономика Федеративной Республики Германии, которая является, так сказать, хозяйственной составляющей жизненного опыта немецкого читателя. Таким образом, читатель может познакомиться с важнейшими особенностями нашей экономики, со способом функционирования социально-рыночной экономики, в частности, с существующими в ней возможностями связи между принципами результативности и социальности.
Несмотря на все многообразие книг вводного уровня по экономической теории, авторы уверены, что данная книга «найдет свою нишу». Как показывает опыт, «Введения» такого рода нередко написаны на слишком высоком теоретико-абстрактном уровне или же упрощают экономический мир таким образом, что создается чувство несоответствия изложения экономической действительности подлинно научному анализу. Распространены также издания, содержащие лишь описания различных примеров, в которых отсутствует теоретико-концептуальное обоснование выдвинутых проблем. Авторы данной книги, напротив, предпринимают попытку представить читателю общий обзор.
Прежде чем перейти к анализу тех или иных проблем, необходимо выявить фундаментальные терминологические и причинно-следственные связи. Такие связи представлены в наиболее ясной форме; при этом мы не отказываемся от изложения современной экономической теории, которая не всегда легко усваивается. Поэтому учебник не может просто «потребляться», он должен быть самостоятельно проработан. Читатель должен понять, что, используя простые аналитические инструменты, он получит лишь иллюзорное представление о многослойных экономических процессах и не охватит их сути. В соответствии с современной экономической теорией отдельным темам придан особый вес. Так, например, рассматриваемая весьма скудно во «вводных курсах» денежная сфера экономики, которой в последние годы в экономической теории уделяется все больше внимания, детально анализируется в четырех главах.
Авторы стремились облегчить читателю усвоение материала. Раскрытие тем каждой из глав занимает не более 10-20 страниц. Книга включает в каждой главе ее обзор (в виде основных вопросов); обобщающие и акцентирующие замечания, вынесенные на поля страниц, выделенные жирным шрифтом в тексте и включенные в упражнения; а также перечень основных понятий. Для того чтобы можно было выборочно проработать отдельные темы, некоторые положения были сознательно повторены и вставлены многочисленные ссылки на другие разделы. К введению, в котором описывается методика экономического анализа и мышления, можно возвращаться неоднократно при изучении тех или иных конкретных аспектов.
Число тех, кому авторы должны выразить благодарность, весьма велико. Особенно они благодарят Попечительский Совет «Государство, экономика, общество» (Rendsburg), который инициировал создание этой книги, стимулировал ее издание щедрым финансированием и сделал возможным ее «тестирование» в рамках профессионального образования по экономике в федеральной земле Шлезвиг-Гольштейн. Они выражают благодарность также Ассоциации дидактики и методики социальноэкономической педагогики, которая поощряла работу над книгой и включила ее издание в план «Дидактической серии — Экономика».
Они также благодарны тем, кто многочисленными замечаниями и указаниями внесли существенный вклад в улучшение качества книги, особенно участникам курсов экономики в Шлезвиг-Гольштейне и ведущим там преподавательскую работу коллегам, а также профессиональным экспертам и специалистам по обучению на курсах повышения квалификации на предприятиях и, не в последнюю очередь, многим студентам и школьникам. За критические замечания авторы будут благодарны и в будущем.
Берлин, Киль, август 1978 г.
Предисловие к 14-му изданию
14-е издание при переработке было существенно дополнено и расширено. Был обновлен статистический материал, который теперь включает — в объеме доступной статистики — данные по новым федеральным землям. Что касается содержания, то оно было обновлено прежде всего за счет анализа трансформационного процесса в новых федеральных землях (глава 3). Помимо этого, в главе 6 подробнее рассматривается монополия, в главе 10 — новая система платежного баланса Бундесбанка, а в главе 11 —рынок труда. В главе 13 дана более точная трактовка кривой Филлипса и включен раздел «Новое кейнсианство». Наконец, глава 22, посвященная Европейскому валютному союзу, и глава 24, содержащая материал по Европейскому экономическому союзу, были приближены к сегодняшнему состоянию дел.
Берлин—Дортмунд—Фленсбург, июль 1995 г.
тмяшшшшшшшшш
S Ч ' Ч -•«•л >*" Л*ч« V
ЗАДАЧИ
ЭКОНОМИЧЕСКОЙ НАУКИ
Каждый из нас изо дня в день сталкивается с множеством экономических событий и условий:
¦ повышается квартплата;
¦ возникает угроза потери рабочего места;
¦ профсоюзы расторгают коллективные договоры;
¦ реальный рост валового национального продукта составляет 2 %;
¦ Центральный банк решает увеличить денежную массу на 6 %;
¦ повышается обменный курс рубля;
¦ опубликована новая экономическая программа Правительства;
¦ в силу противоречий в национальных интересах не удается выполнить решения Межпарламентской Ассамблеи стран-участниц СНГ;
¦ Международный валютный фонд предоставляет Российской федерации новый кредит;
¦ уровень безработицы составляет 8 % и т. д.
Некоторые из этих явлений понятны без каких-либо разъяснений и неэкономис-там (но только на первый взгляд). Осознание сущности других предполагает владение такими профессиональными терминами, как «обменный курс», «реальный рост», «Международный валютный фонд», «кредит», «денежная масса». Экономическая теория, как и любая другая наука, имеет свой профессиональный язык, который, среди прочего, позволяет кратко и точно описать развитие экономических событий. К примеру: «Баланс текущих операций США дефицитен» или «В России улучшились условия торговли (terms of trade)». Описание развивающихся в экономике процессов — первоочередная задача экономической науки. Конечно, профессиональный язык экономической теории мог бы быть проще. Так, например, вместо «условия торговли» можно говорить о «реальных обменных отношениях» или вместо «инфляции» — о «повышении общего уровня цен». Но даже если бы в чисто языковом отношении все удалось сделать понятным, такое «понимание» оставалось бы поверхностным. У неэкономиста отсутствуют знания об экономических связях и процессах, он вряд ли даст обоснованный ответ на вопрос «почему?»: почему реальный рост равен 2 % ? Почему изменяется обменный курс рубля? Почему существует безработица?
Рассмотрим возникающие при объяснении экономических связей проблемы на примере. Так, во многих странах Запада сегодня наблюдается высокий уровень безработицы.
Сразу возникает вопрос: «почему?». Каковы причины безработицы? Если при ответе на этот вопрос мы не хотим уже с самого начала довольствоваться общими мало обоснованными и часто связанными с материальными интересами высказываниями, мы должны задуматься о том, действие каких факторов могло бы привести к возникновению безработицы. В частности, речь может идти о:
¦ слишком низком спросе на потребительские товары;
¦ снижении инвестиционной активности;
¦ слишком высоком уровне заработной платы;
¦ техническом прогрессе, результатом которого становится высвобождение рабочей силы;
¦ повышении ценности рубля по отношению к валютам других стран;
¦ увеличении предложения труда.
Подобный перечень предполагаемых взаимосвязей (так называемых гипотез) должен составляться весьма тщательно. Один из знаменитых немецких экономистов нашего времени Герберт Гирш очень образно подмечает, что экономисту, «как детективу, который должен раскрыть преступление, с самого начала должно казаться подозрительным все, что может иметь хоть какое-то значение для дела».
Но для четкого объяснения экономических связей недостаточно составления перечня возможных причин. Необходимо выразить предполагаемые причинно-следственные связи примерно в такой форме: если спрос на потребительские товары повышается на столько-то процентов, тогда безработица снижается на столько-то процентов. При менее точных исследованиях необходимость в такой количественной оценке (квантификации) гипотез, как правило, отсутствует.
Если вы задумаетесь над выделенными нами факторами безработицы, выяснится, что, в свою очередь, в объяснении нуждается каждый из них. Спрос на потребительские товары, например, сократился в связи с тем, что снизились семейные доходы, или большинство семей желают сэкономить больше денег. Но возможно и другое объяснение — высокая склонность к сбережению основывается на пессимистической оценке будущего, на ожидании снижения цен, на общем насыщении потребностей и т. п. Наконец, пессимистические оценки будущего могут быть обусловлены кризисной общеполитической ситуацией. Подобным образом следовало бы объяснить и другие факторы: например, повышение предложения труда является следствием периода высокой рождаемости, обусловившей переполнение рынка рабочей силы, или увеличением занятости женщин, или ростом числа иностранных рабочих в стране.
Очевидно, что причина и следствие могут находиться в нераздельной взаимосвязи друг с другом: слишком низкий потребительский спрос как причина безработицы и безработица как фактор слишком низкого потребительского спроса.
И наконец, наряду с различными факторами безработицы существует и причинная их взаимосвязь: снижающийся спрос на потребительские товары отрицательно влияет на инвестиционную активность; высокая зарплата способствует техническому прогрессу (рационализации) или снижению ценности рубля за границей и т. д.
Приходится констатировать, что мы имеем дело не с однопричинными связями, а со сложной системой отношений.
Таким образом, становится ясно, что нам необходимо принимать во внимание всю полноту возможных причин и взаимных зависимостей. Часто встречаются связи, которые не могут быть объяснены с помощью экономической теории, но требуют обращения к другим наукам, таким как психология, политология, социология или медицина.
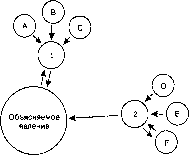
В обобщенном виде экономические взаимосвязи представлены на рис. 1 Категория, которую мы с вами исследуем (безработица), зависит здесь от факторов прямого действия (с 1 по 6), прйчем направление влияния обозначается направлением стрелки. В целях упрощения мы абстрагируемся от квантификации причинно-следственных связей. Предполагается, что на прямой фактор 1 одновременно влияет объясняемая величина (в предыдущем примере индивидуальное потребление было бы фактором 1). Кроме того, из рис.1 следует, что прямой фактор 1 оказывает воздействие и на прямой фактор 2 (при объяснении безработицы: потребление влияет на частные инвестиции). Прямые факторы, в свою очередь, определяются через другие факторы, которые на рисунке обозначаются большими буквами (от А до S). Предпо-
 |
|
Рис. 1. Обьяснение экономических процессов |
лагается, что на каждый прямой фактор влияют три косвенных. Само собой разумеется, что могут существовать взаимные отношения и между прямыми и косвенными факторами (как, например, между фактором F и фактором 2 на рис. 1), а также между косвенными факторами (так, например, между факторами К и L на рис. 1). Чтобы проиллюстрировать тот факт, что косвенные факторы А, В,...., S тоже нуждаются в объяснении, в рисунок внесены дополнительные стрелки.
Экономическая действительность чрезвычайно сложна и в своих многообразных взаимозависимостях едва ли обозрима, поэтому в рамках объяснения экономических явлений невозможно охватить и принять во внимание все детали. Следовательно, нам приходится конструировать (обязательно) упрощенное отражение действительности (иногда сильно упрощенное), чтобы, опираясь на определенную точку зрения, хотя бы поверхностно объяснить реальность бытия. Такое упрощение экономической действительности посредством обозримого числа основных связей называется моделью.
Упрощение заключается в следующем:
1. Принимаются во внимание только такие предполагаемые причинные отношения, которые существенно влияют на объясняемое событие (в данном случае — на безработицу).
2. Цепочка объяснений в определенных местах прерывается, так как иначе пришлось бы затронуть другие области знания или просто потому, что нельзя объяснить «все сразу».
3. Причинные отношения между принятыми во внимание экономическими величинами оцениваются в возможно более простой форме.
Вновь обратимся к рис. 1 и наглядно объясним построение экономической модели. На первом этапе отбираются факторы, влияние которых определяется как существенное. Допустим, что влияние факторов 3, 4, 5, 6 на безработицу несущественно (что в действительности, конечно, не так!), и связанные с ними в модели причинные отношения могут быть оставлены без внимания.
Остаются два непосредственно воздействующих на уровень безработицы фактора — потребительский спрос (фактор 1) и спрос на капитальные блага (фактор 2). На втором этапе цепь объяснений прерывается, например, на косвенных факторах А, В, С, D, Е и F. Однако затем принимается во внимание, что потребительский спрос зависит от доходов домохозяйств (А), их склонности к сбережению (В) и их имущества (С), а инвестиционная активность определяется величиной ожидаемых прибылей (D), ожидаемым объемом продаж (Е) и процентной ставкой (F). В то же время, сами по себе доходы, склонность к сбережениям, имущество, прибыль, объем продаж и процентная ставка уже не объясняются. Они рассматриваются как данные (экзогенные переменные) модели. Наконец, на третьем этапе выделенные причинные отношения оцениваются численно в как можно более простой форме. Таким образом, предполагается наличие пропорциональной связи между объемом потребления домохозяйств и их доходами.
На рис. 2 представлена структура конструируемой модели, причем (как на рис. 1) с целью упрощения модели мы избегаем численных оценок гипотез.
На какой уровень объяснения может претендовать такая модель в принципе? Очевидно, она адекватно объясняет действительность только тогда, когда мы правильно выделили факторы (рассматриваемые в качестве существенных) и установили их точное влияние на объясняемую величину. На практике достижение и того и другого результата сопряжено с определенной погрешностью. Однозначно правильный выбор важнейших факторов невозможен потому, что точное различие между существенным и несущественным в строгом смысле уже предполагает знание действительного объяснения. На практике все обстоит с точностью до наоборот — иначе не существовало бы-многого того, что еще необходимо объяснить исследователям. Вот почему в экономической науке нередко существует несколько конкурирующих подходов к объяснению, иначе говоря — разные модели.
Кроме того, невозможность точных оценок обусловлена тем, что причинные отношения между экономическими величинами зачастую определяются человеческим поведением. А человеческий стиль поведения подвергается изменениям, и поэтому его никогда нельзя рассчитать так же точно, как, например, орбиту спутника Земли.
Действие обоих факторов приводит к тому, что экономические модели не позволяют исчерпывающе объяснить конкретные экономические события.
Что же делать, какую модель следует использовать, если имеются различные объяснения одного и того же экономического события? В общем случае, следует отдать предпочтение той модели, которая отражает фактическую динамику соответствующих экономических величин в прошлом и оставляет не объясненной лишь самую малую часть изменений объясняемой переменной. До тех пор пока имеющийся статистический материал не позволяет посредством проверки моделей сделать однозначный вывод, конкурирующие подходы к объяснению рассматриваются как равноправные.
Читателю вряд ли понравится, что экономическая наука не дает точных ответов на многие вопросы, и более того, может предлагать различные решения одной и той же задачи. Отсутствию точности нельзя придавать слишком большого значения, но не

стоит и упускать из виду границы определения величин одних экономических явлений, влияющих на другие экономические феномены. Особенно важно учитывать, что очень часто простор односторонним оценкам, за которыми стоит соответствующий подбор «важных» факторов, открывает сознательная или несознательная заинтересованность человека, объясняющего экономические события. Вернемся к нашему примеру с безработицей. Работодатели могут объяснять ее слишком высоким уровнем зарплаты, а профсоюзы — слишком низким ее уровнем.
В качестве основных задач экономической науки мы определили:
¦ описание экономических событий с помощью подходящих терминов и методов;
¦ объяснение экономических событий.
Кроме того, экономическая теория призвана:
¦ прогнозировать будущий ход экономических событий;
¦ показывать возможности воздействия на ход экономического развития.
Основная предпосылка научного прогноза происходящих в экономике процессов (например, для ответа на вопрос об изменении уровня безработицы в следующем году) — знание причинных взаимосвязей. Какдополнительный элемент прогноз содержит оценку ожидаемых изменений, влияющих на некий показатель факторов. Причинные отношения и ожидаемые изменения факторов совместно определяют ожидаемую динамику прогнозируемой величины (или величин). И вновь обратимся к нашей модели объяснения безработицы (см. рис. 2). Если исследователи допускают определенные изменения косвенных факторов А, В, С, D, Е и F (а именно: доходов домохозяйств, склонности к сбережениям, имущества, прибыли, объема продаж и процентной ставки), то из предполагаемых на основе модели причинных взаимосвязей определяется ожидаемая динамика непосредственных факторов 1 и 2 (а именно потребления и инвестиций). Таким образом, исходя из предполагаемых в модели причинных отношений, определяется и изменение прогнозируемой величины (или величин: например, безработицы). Иначе говоря, принимая во внимание ожидаемые изменения объясняемых величин, мы превращаем объясняющую модель в модель прогнозирования. Кроме описанных нами неизбежных при объяснении экономических процессов трудностей, прогнозу присущи ошибки, связанные с расхождениями между фактической и ожидаемой динамикой факторов.
Знание причинных взаимосвязей образует основу решения четвертой задачи экономической науки, которая состоит в том, чтобы выяснить, как мы, преследуя определенные цели, например, в отношении уровня занятости, можем влиять на экономическое развитие. На основе анализа причинных взаимосвязей модели мы имеем возможность выяснить, как повлияют сознательно измененные факторы на конечную величину. Покажем это на нашем примере: из модели, объясняющей безработицу, становится ясно, какая часть безработицы связана с определенным изменением доходов домохозяйств (например, за счет корректив в налогообложении). Таким образом, мы определяем, какие изменения одного или нескольких факторов влияния (детерминант) необходимы для достижения определенного значения целевой величины. Иными словами, какое снижение, например, подоходного налога было бы необходимо для уменьшения безработицы на один процент. Вопросы такого рода являются центральными для экономической политики. Следовательно, без обоснованных (объясняющих) моделей экономическая политика «работать» не может.
Наконец, возникает старый спорный вопрос — является ли определение целей экономической политики задачей экономической науки? Проблема состоит в том, что определение целей уже предполагает оценку экономических условий и выражает, нечто желаемое, а значит, содержит решение того, что «должно быть», т. е. так называемую «моральную оценку». Если, например, целью экономической политики является более равномерное распределение доходов и имущества, сама ее постановка является ценностным суждением, согласно которому такое перераспределение целесообразно.
Присутствуют ли в науке ценностные суждения, и если присутствуют, то в какой степени? Мнения об этом и сегодня весьма сильно расходятся (так называемая «проблема ценностных суждений»). Данный вопрос выходит далеко за рамки экономической науки и причисляется к основным проблемам науки вообще. Многие полагают, что ценностные суждения (а вместе с тем и цели), с научной точки зрения, невозможны и недоказуемы, а потому в строгом смысле не имеют ничего общего с наукой. Там, где они все-таки применяются — в описании, объяснении или прогнозировании экономических процессов — их необходимо обозначить в явном виде как оценку, чтобы избавить аргументацию от всякой кажущейся объективности. Чтобы избежать недоразумений, уточним: «нейтральная позиция», естественно, предполагает ценностные суждения, например, в форме постановки целей для предприятий, домохозяйств и лиц, принимающих политические решения. Но оценки воспринимаются ею как данные, «введенные извне». В соответствии с такой позицией, установление целей государственной политики никогда не может быть задачей науки, а должно носить чисто политический характер. Мы вернемся к данному положению в ходе обсуждения государственной политики в сфере распределения доходов и имущества, участия рабочих в управлении предприятием, регулирования инвестиций.
Согласно другим воззрениям, «должное» может быть определено научно, или, иными словами, ценностные суждения и констатация фактов неотделимы друг от друга (так как, с философской точки зрения, бытие определяет сознание, а значит, оценки и факты находятся во взаимной зависимости).
Между этими крайностями существует множество компромиссных позиций. Но, независимо от взглядов исследователя, задача экономической науки, бесспорно, состоит в обсуждении взаимосвязей, значения и результатов экономической политики (к примеру, в определении положительных сторон стабильности уровня цен или значения экономического роста).
В Федеративной Республике Германии общеэкономические цели государства определяются «Законом об обеспечении стабильности и роста экономики» от 8 июня 1969 г. (в так называемом «Законе о стабильности»; см. гл. 16, раздел 5).
В законе предусматривается необходимость достижения четырех целей, а именно: полной занятости, стабильности цен, внешне экономического равновесия и постоянного и пропорционального экономического роста в рамках рыночной экономики. Другой часто упоминающейся целью является равномерное распределение доходов и
богатства. В некоторых главах данной книги мы рассмотрим эти цели (в гл. 8,12,13 и 25-30), а здесь ограничимся лишь некоторыми общими замечаниями.
В зависимости от того, сколько целей включено в список общеэкономических целей, говорят о «магическом» треугольнике, четырехугольнике или о «магическом» многоугольнике.
Выражение «магический» означает положение о том, что взаимосвязи между целями весьма сложны, одновременное достижение всех целей маловероятно.
Поскольку одновременное «попадание» во все цели, либо их достижение за счет какой-либо одной невозможно, имеет место конкуренция целей (к примеру, конкуренция целей полной занятости и стабильности цен или экономического роста и стабильности цен). Такое «соперничество» означает, что «увеличение» занятости или «ускорение» экономического роста исключают стабильность цен. Но ведь соотношения между целями не заданы раз и навсегда. Конкуренция целей в значительной степени зависит от экономической ситуации и от избранных инструментов экономической политики.
Так, при наличии массовой безработицы и стабильности цен рост спроса государственного сектора на товары может, в общем, привести к повышению занятости при стабильных в краткосрочном периоде ценах.
Но в инфляционных условиях повышение спроса со стороны государственного сектора приведет к улучшению ситуации с занятостью, и в то же время усилится тенденция к повышению цен. Если в борьбе против безработицы предлагается снижение заработной платы (т. е. «пауза заработной платы», рекомендуемая в Германии




Рис. 3. «Магический» четырехугольник в ФРГ
Экспертным советом по общеэкономическому развитию ‘), считается, что это позволит одновременно достичь полной занятости и стабильности цен.
Таким образом, следует учитывать, что предполагаемое соотношение целей зависит также от подхода к объяснению (от выбранной модели). В силу того, что очень часто существует несколько конкурирующих друг с другом подходов к объяснению одной и той же ситуации, изначально имеется множество возможных соотношений между целями. Так, например, профсоюзы подвергают сомнению утверждение, что снижение зарплаты приводит к повышению занятости, указывая, что оно приводит скорее к стабильности цен.
Конечно, содержательное обсуждение данного вопроса во введении невозможно, что еще раз указывает нам на то, какие сложные задачи стоят перед экономической политикой. Она должна решать: какими средствами (при учете самых разных интересов), каких целей, в каком объеме, на каком отрезке времени можно и следует достичь.
Список основных понятий
¦ Профессиональный язык
¦ Гипотезы
¦ Модель
¦ Данные
¦ Конкурирующие подходы к объяснению
¦ Заинтересованность(человека)
¦ Модель прогнозирования
¦ Экономическая политика
¦ Оценка (экономических условий)
¦ Ііенностное суждение
¦ Уровень цен
¦ Магический многоугольник
¦ Конкуренция целей
 |
¦ Классической статьей о предмете экономической науки (1934 г.) является:
Роббинс Л. Предмет экономической науки / / THESIS. 1993. Т. 1. Вып. 2. С. 10-40. |
¦ Задачи и методы экономической науки описываются в изданиях:
Хайлбронер Р. Экономическая теория как универсальная наука // THESIS. 1993.
Т. 1. Вып. 1. С. 41-55.
1 Экспертный совет по общеэкономическому развитию был создан по решению Бундестага в 1963 г. Его задачей является экспертиза общеэкономического развития в ФРГ с целью облегчения формирования мнения во всех экономических инстанциях, а также общественного мнения. Экспертный совет является независимым органом, состоящим из пяти членов, которые должны (так требует закон) обладать особыми знаниями в области экономической науки и хозяйственным опытом. Члены Экспертного совета назначаются по предложению Федерального правительства Федеральным Президентом на пятилетний срок. Каждый год один член Экспертного совета выбывает, и вместо него назначается другой. Ежегодная экспертиза общеэкономической ситуации, проводимая Экспертным советом, и его прогнозы обсуждаются в ежегодном экономическом отчете Федерального правительства. В случае, если в отдельных областях экономики создается ситуация, угрожающая экономическим целям, то Экспертный совет проводит особую экспертизу.
Фридмен М. Методология позитивной экономической на?ки / / THESIS. 1994. Т. 2. Вып. 4. С. 20-52. "
Хейне П. Экономический образ мышления. М., 1993. Гл. 1.
Весьма полезны также:
Блау г М. Несложный урок позитивной экономической науки // THESIS. 1994. Т. 2. Вып. 4. С. 53-68.
Гальперин В. М., Игнатьев С. М.,Моргунов В. И. Микроэкономика. Т. 1. СПб., 1994.
С. 13-38.
Самуэльсон П. А., Нордхаус В. Д. Экономика. М., 1997. Гл. 1.
Глава 1
ОСНОВНЫЕ ПОНЯТИЯ ЭКОНОМИЧЕСКОЙ НАУКИ
^мш^жгрт^з^жгітіж^іштш^^ш^ ртя?г? *і ч гл *• ;*¦ - ъя ? nwr АА^шт^ъ^^тАи*п^%-*шммтшш&і4иШні{5і*иітЩЫ'? аспекты маВ№
Какие основные элементы хозяйствования являются независимыми от экономической системы?
¦ Человеческие потребности: заданы ли они природой или ими можно управлять?
¦ Как производятся блага?
¦ Как описываются производственные возможности .экономики?
¦ Что такое редкость и возможно ли воздействие на ее степень?
¦ В чем состоят преимущества и недостатки разделения труда?
¦ Как взаимосвязаны проблемы взаимозависимости и согласования и разделение труда?
Какие основные элементы хозяйствования являются зависимыми от экономической системы?
¦ Что понимается под терминами «экономический порядок», «экономическая конституция» и «экономическая система»?
¦ В чем состоит основное различие между механизмами координации в рыночной экономике и в плановом хозяйстве?
¦ Какой тип собственности характеризует капиталистическую экономическую систему, а какой — социалистическую?
¦ Что такое «чистые» формы экономических систем?
ящшшшшш
ЗШНЯВЕ

1. Основные элементы
хозяйствования, независимые от экономической системы
Человек испытывает множество желаний и потребностей. Средства их удовлетворения называются благами. В большинстве случаев блага необходимо произвести, что предполагает наличие средств для их производства (производственные средства). Производственные средства (капитальные блага), которыми обладает экономика, ограничены, следовательно, ограничено и максимальное количество тех благ, которые могут быть произведены в данный момент времени. В противоположность безграничным потребностям людей количество благ в каждом обществе ограничено и потому существует редкость.
Редкость может быть уменьшена либо при ограничении потребностей, либо при повышении производственных возможностей. Важнейшими способами увеличения производственных возможностей являются разделение труда и технический прогресс. Итак, мы выделяем следующие независимые от экономической системы основные элементы хозяйствования.
¦ Потребности.
¦ Производство. '
¦ Редкость.
¦ Разделение труда и технический прогресс.
1.1. Потребности
Потребность определяется как ощущение недостатка в чем-либо, сопровождающееся желанием устранить нехватку. Наряду с часто встречающимся разделением потребностей на «первичные» (врожденные, инстинктивные) и «вторичные» (приобретенные из социальных контактов), согласно теории А. Маслоу, принято выделять следующие виды потребностей.
1. Физиологические потребности (голод, жажда, необходимость во сне, потребность в жилье и половое влечение).
2. Потребность в безопасности, направленная на то, чтобы обеспечить физиологические потребности и в будущем.
3. Социальные потребности, проистекающие из общественных контактов индивидуума и выраженные в желании жить в обществе, общаться с другими
¦ людьми и т. д.
4. Потребности в признании, направленные на уважение со стороны других людей и самоутверждение.
5. Потребности в развитии, направленные, в частности, на самореализацию, отличные от желания самоутвердиться в обществе.
Различные виды потребностей взаимодействуют друг с другом и до тех пор, пока основные потребности в достаточной мере не удовлетворены, они определяют то, чего желает человек, и «перекрывают» потребности более высоких уровней. Только после насыщения основных потребностей у человека возникает желание добиться чего-то большего, удовлетворить качественно иные нужды. Вначале ему требуется безопасность. Если она обеспечена, индивид стремится к социальным контактам, в рамках которых человек ищет признания и пытается самоутвердиться. И после удовлетворения стремления к признанию, наконец, возникает потребность в самореализации.
Иерархия удовлетворенности существует и в рамках одной потребности — от ее насыщения в достаточной мере до полного и избыточного удовлетворения. При острой потребности в пище человеку почти безразлично, какими продуктами («хлебом или икрой») он утоляет голод. Но во времена избытка возникает стремление к более качественным формам удовлетворения основных потребностей. На рис. 1.1 представлены основные человеческие потребности, представленные А. Маслоу в виде пирамиды.
Важно осознать, что между возникающими потребностями и степенью их удовлетворения существует взаимосвязь. Удовлетворение потребностей ведет к их возрастанию: во-первых, раскрываются «более высокие» уровни потребностей, а во-вторых, появляется стремление к большему удовлетворению (качественному и количественному) уже существующих нужд.
Взаимосвязь между потребностями и благами, их удовлетворяющими, важна еще и с другой точки зрения. В связи с конкретизацией потребностей немалое значение имеют знакомые блага. Потребность в цветном телевизоре, как конкретизация общей потребности в коммуникациях, могла возникнуть только после того, как некто сделал соответствующее открытие, товар был произведен и внедрен в созна-
 |
|
Рис. 1.1. Иерархия человеческих потребностей по А. Маслоу |
ние многих людей с помощью рекламы. Никакое производство, если нет потребностей в его результатах (существующих в скрытой форме или хотя бы внушаемых рекламой), невозможно.
Из этого следует, что подход к «объективному» определению оправданности конкретной потребности, согласно которому оправданны исключительно «неотложные» потребности, является дискуссионным (его автор — американский экономист Дж. К. Гэлбрейт, получил известность благодаря своей книге «Общество изобилия» и деятельности в качестве советника правительства США). Как показывает приведенный выше пример с цветным телевизором, в областях, в которых определяющую роль играет технический прогресс, потребность в специфическом проявлении редко исходит «от самого человека», а обнаруживается лишь после того, как будут проведены определенные исследования, организовано производство, осуществлены рекламные воздействия. Соответственно такие потребности можно было бы определить как «ненастоятельные». В таком случае, потребность в цветном телевизоре была бы «оправданной» только тогда, когда индивид имеет общую потребность в информации, которая может быть, помимо других средств, удовлетворена с помощью цветного телевизора. Но при использовании данного подхода как настоятельную можно определить практически любую потребность.
Итак, возникает вопрос о том, насколько целесообразно определять настоятельность потребностей в соответствии с предложенным Дж. К. Гэлбрейтом подходом? По нашему мнению, оправданность конкретной потребности может быть определена только в соответствии с господствующей в обществе системой ценностей. (К примеру, подход к потреблению в России в средние века отличался от доминирующих в современном обществе взглядов.) Кроме того, общественная система в своей определенности влияет на потребности своих членов. В этом смысле потребности зависимы от экономической системы; независим от нее лишь сам факт существования потребностей.
Рассмотрим, исходя из данной точки зрения, некоторые существующие в современной социальной системе потребности. С позиции общественных ценностей некоторые человеческие потребности не могут быть отнесены к оправданным. Ответственна за их возникновение и развитие не столько информативная, сколько убеждающая реклама. Эти проблемы должны рассматриваться с позиций экономического и общественного порядка, когда каждый индивид имеет право принятия наилучшего для самого себя решения (методологический индивидуализм), а социум делает ставку на инициативного и динамичного предпринимателя (см. гл. 2, 7 и
8). Исходя из этого, вопрос о том, в какой степени следует отвергать как расточительство быстрые изменения моды и соответствующую рекламу, не имеет однозначного ответа. Наконец, следует принять во внимание, что многие люди по каким-либо причинам имеют склонность к недооценке определенных потребностей, удовлетворение которых обеспечит их будущее (к примеру, образование и здоровье). Для их развития необходимы и оправданы и государственная «реклама» и даже принудительное вмешательство общества.
Принято проводить различие между индивидуальными и общественными потребностями. С нашей точки зрения, оно неправомерно, поскольку, в конечном итоге, ощущение потребностей исключительная привилегия индивидуумов. Разделение может относиться лишь к способам удовлетворения потребностей:
¦ с помощью государства (общественные потребности), как, например, образование, внутренняя и внешняя безопасность;
¦ с помощью частного сектора (индивидуальные потребности), как, например, пища или одежда.
1.2. Производство и производственные возможности
Блага являются средством удовлетворения человеческих потребностей. Часть их предоставляется природой в достаточном количестве (свободные блага), тогда как другие должны быть произведены человеком (экономические блага). В дальнейшем мы будет рассматривать только экономические блага.
Производство благ — это использование в рамках производственной единицы рабочей силы, машин, зданий и земельных участков с целью изготовления новых благ. Данное определение производства непосредственно применимо к созданию товаров (вещественных благ), например, к изготовлению из стального листа кузова автомобиля. Оно также справедливо для производства услуг, например, для деятельности зубного врача (он использует рабочую силу, оборудование, помещение, земельный участок). Другие примеры услуг — транспортные услуги, деятельность учителя или адвоката. Очевидно, что разные производства различаются пропорциями применения рабочей силы, оборудования, машин, зданий, земельных участков, полуфабрикатов. Представьте себе, к примеру, производство, для осуществления которого необходимость в машинах и полуфабрикатах вообще отсутствует (услуга певца). Таким образом, приведенное выше определение описывает наиболее общий случай производства благ.
Совокупность используемых в производственном процессе благ называется средствами производства. Рассмотрим средства производства, т. е. рабочую силу, машины, здания и земельные участки, более подробно. Эти средства производства сами по себе (вещественно) не входят в ценность произведенных благ, в нее включается лишь ценность услуг по применению средств производства (если речь идет о земле и зданиях, то говорят о «пользовании»).
Элементы производственного процесса — рабочая сила, машины, здания и земельные участки — сохраняются в течение длительного времени. Такие средства производства называют факторами производства. Обычно выделяют такие факторы производства, как земля, рабочая сила и капитал (иногда земля отождествляется с капиталом). В производственный фактор «земля» входит совокупность земель, используемых в сельском хозяйстве, в промышленности, на транспорте, а также полезные ископаемые. Фактор производства «рабочая сила» (труд) включает в себя всю совокупность потенциальной рабочей силы страны. С точки зрения отдельного хозяйствующего субъекта, часто различают исполнительскую работу и управленческую работу («диспозитивный* фактор). К производственному фактору «капитал» (часто называемому «капитальным запасомъ или «реальным капы-талом*) относятся машины и оборудование, здания и дороги (эти четыре элемента называют «основным капиталом*), а также технические и прочие знания. Нередко как самостоятельный фактор производства рассматривают технический прогресс (в силу его значимости). Изменение запасов капитальных благ называют чистыми инвестициями, которые повышают будущие производственные возможности и доходы субъектов экономики. Поскольку исторически все капитальные блага возникли как результат взаимодействия двух факторов: рабочей силы и земли, труди землю называют также «первичными производственными факторами», а капитал — «производным фактором*, т. е. «произведенным средством производства».
Производственный потенциал экономики в виде земли, рабочей силы и капитала в краткосрочном периоде является практически заданной величиной. Но в долгосрочном периоде запасы производственных факторов могут быть увеличены (строительство, мелиорация земель, демографическая политика, привлечение иностранных рабочих, политика сбережений и инвестиций). Для данного периода (например, в течение одного года) можно пользоваться только существующими запасами факторов производства.
Наряду с наличными производственными средствами длительного пользования, для выпуска благ используются так называемые «исходные продукты»(Vorprodukt), которые отличаются тем, что они применяются только в одном производственном цикле (производственные средства кратковременного пользования).
Произведенные блага можно подразделить на:
¦ производственные или потребительские блага;
¦ производимые блага длительного или краткосрочного пользования.
К рассмотрению производственных благ мы не будем больше возвращаться. Вторую большую группу благ образуют потребительские блага. Если в начале этого раздела мы определили блага как «средства для удовлетворения потребностей», то в отношении потребительских благ данное положение представляется очевидным: потребительские блага «ценятся сами по себе» (как хлеб, одежда, телевизор), а не как капитальные блага, служащие для повышения и поддержания в нормальном состоянии будущих производственных возможностей экономики (оборудование, школы, дороги). Потребительские блага, следовательно, служат непосредственно удовлетворению потребностей и напрямую повышают благосостояние людей, в то время как капитальные блага вносят в это свой вклад косвенным образом. С точки зрения времени использования различают потребительские блага длительного пользования (холодильник, телевизор) и разового пользования (сигареты, пиво).
К сожалению, в профессиональном экономическом языке в настоящее время не проводят четкого (функционального) разделения между производственными и потребительскими благами. Чаще различие делается институционально: по тому, покупаются ли блага предприятием или домашним хозяйством. Так как преобладающая часть производства имеет место на предприятиях, а потребление осуществляется почти исключительно в домашних хозяйствах, данное разделение по группам покупателей и по экономическим функциям приводит в большинстве случаев к тому же результату, но не всегда. По критерию «группы покупателей» швейная машинка, которая покупается текстильной фабрикой, является производственным благом, в то время как та же самая, но приобретаемая домохозяйкой машинка считается потребительским благом. По своей же функции швейная машинка в обоих случаях является производственным благом.
Существует классификация благ по степени их готовности. Таким образом мы получаем возможность выделить в производственном процессе (характеризующемся разделением труда) ресурсы, исходные и конечные продукты. При этом то, что является с точки зрения одного предприятия конечным продуктом, с общеэкономической точки зрения представляет собой исходный продукт, так как он подвергается дальнейшей обработке либо в производстве, либо в торговле. Все, что входит в какой-либо производственный процесс как исходный продукт, с общеэкономической точки зрения будет промежуточным продуктом.
И, наконец, следует различать частные и общественные блага: в то время как частные блага создаются домашними хозяйствами и предприятиями, общественные блага создаются государством (т. е. федерацией, субъектами федерации и местными органами власти). В принципе, государство производит эти блага точно так же, как предприятие: оно использует рабочую силу (рабочих и служащих), капитальные блага (здания, дороги, мосты, водные пути) и землю для производства, например, таких благ, как внутренняя и внешняя безопасность, правосудие, администрация и образование. Почему государство берет на себя оказание этих услуг, мы выясним позже.
Поскольку запасы производственных факторов ограничены, возможно произвести только ограниченное количество благ.
Для того чтобы убедиться в справедливости данного положения, рассмотрим простую модель — кривую производственных возможностей. Предположим, что в экономике производятся только два вида благ: один вид — потребительское благо (продовольствие) и другой вид — инвестиционное благо (автомобили). Если использовать все существующие производственные факторы исключительно для выпуска продовольствия, можно произвести определенное ограниченное количество продуктов (например, 1000 т). Наоборот, используя все существующие производственные факторы для производства автомобилей, можно выпустить только определенное, ограниченное их количество (например, 500 автомобилей) (см. рис. 1.2).
Основной тезис состоит в том, что если при максимально возможном выпуске продовольствия потребуется произвести и некоторое количество автомобилей (например, 100), то это станет возможным только тогда, когда часть производственных средств, использовавшихся до сих пор для производства продовольствия, будет использоваться для выпуска автомобилей. Следовательно, возможности производства продовольствия упадут ниже 1000 т (например, 860). Экономика, таким образом, оказывается в точке А на рис. 1.2. Исходя из этих пропорций производства (100 автомобилей, 860 т продовольствия), можно повторить вышеприведенные рассуждения: если захочется выпустить еще больше автомобилей, то из производства продовольствия придется изъять еще больше производственных факторов, необходимых для изготовления средств передвижения. Увеличение выпуска одного блага означает сокращение выпуска другого. Этот отказ от производства «другого» блага называется альтернативными издержками (или издержками упущенных возможностей). Совокупный выпуск обоих благ, которые можно произвести в данной экономике, находятся, следовательно, на убывающей кривой (см. рис. 1.2).
Данная кривая называется кривой производственных возможностей экономики, или кривой трансформации для всей экономики. Рассмотренная нами модель наглядно показывает ограниченные возможности любой экономики в плане производства благ (независимо от экономического строя).
Кривая трансформации отражает все комбинации максимальных объемов выпуска благ, которые могут быть произведены в экономике при данных запасах производственных факторов.
Читатель, возможно, спросит, почему кривая трансформации выпукла? С экономической точки зрения это означает, что производство последующих единиц одного блага достижимо только за счет все большего сокращения выпуска другого блага. Самое простое объяснение этого явления состоит в том, что чем дальше, тем сложнее применить для выпуска автомобилей производственные факторы, использовавшиеся прежде для производства продовольствия, так как отдача определенного производственного фактора в большинстве случаев выше при каком-то конкретном направлении использования («Токарь, как правило, не бывает хорошей дояркой»).
Если запасы производственных факторов увеличиваются, очевидно, что появляется возможность произвести большее количество каждого блага: кривая трансформации сдвигается вправо. Такое смещение может иметь место, например, потому, что со временем в экономике расширяется запас капитальных благ. Другая возможность смещения кривой трансформации вправо связана с техническим прогрессом, который, проще говоря, повышает качество производственных факторов.
Тот факт, что в экономике производство соответствует точке на кривой трансформации, отнюдь не очевиден. Если используются не все производственные факторы (например, имеет место безработица), экономика упускает часть потенци-
 |
500 1000
Продовольствие (в тоннах)
Рис. 1.2. Кривая трансформации |
Машины (в штуках)
500 400 300 200 100
ального выпуска. Возникает недоиспользование одного или нескольких производственных факторов (см. рис. 1.3, точку В, которая обозначает сочетание количества благ, соответствующее выпуску 330 автомобилей и 135 т продовольствия, в то время как, например, при 330 автомобилях могло бы быть произведено 580 т продовольствия или при 135 т продовольствия — 480 автомобилей).
 |
500 1000
Продовольствие (в тоннах)
Рис. 1.3. Недоиспользование одного или нескольких производственных факторов |
Машины ,
(в штуках)
500 400 300 200 100
1.3. Редкость
Мы пришли к выводу, что производственные возможности в каждый данный момент времени являются ограниченными. Но как это соотносится с желанием людей приобрести блага, удовлетворяющие их потребности? Дать количественную оценку существующих в экономике потребностей весьма проблематично. Но, по нашему мнению, отвечая на этот вопрос мы можем руководствоваться положением о том, что при полном удовлетворении всех потребностей комбинации выпуска благ лежат за пределами кривой трансформации экономики (см. точку А на рис. 1.4).
I Это означает, что в сравнении с потребностями блага являются редкими.
Иногда утверждают, что редкость есть нечто искусственное, так как многие потребности создаются под воздействием рекламы, а производственные мощности из-за недостатков экономической системы используются не полностью. В соответствии с этим подходом такое напряженное соотношение между потребностями и средствами их удовлетворения преодолевается путем сокращения потребностей до их «естественного уровня» и полного использования производственных мощностей экономики.
Как оценить такой подход? Мы уже отмечали, что существуют потребности (роскошь), оправданность которых отдельные люди могут подвергать сомнению. Кроме того, в случае текущего недоиспользования производственных факторов имеются возможности расширения выпуска. Тем не менее устранение редкости
Глава 1
44
 |
|
Рис. 1.4. Потребности и производственные возможности |
Продовольствие (в тоннах)
путем ограничения потребностей (которое еще соответствует нашему представлению о свободе) и/или через лучшее использование производственных возможностей в обозримом будущем представляется нам невозможным. (Применительно к рис. 1.4 эта аргументация означает: потребности могут быть ограничены так, что окажется возможным движение, например, из точки А в точку В, но не до соответствующей кривой производственных возможностей; что же касается самой этой кривой, то по ней можно попасть, например, из точки С в точку D, но не в точку А или в точку В.)
Приведенное выше положение о естественной редкости подтверждается наличием множества неразрешимых проблем, существующих как в промышленно развитых, так и (прежде всего) в развивающихся странах. Наряду с выявлением и последующим устранением или ограничением неоправданных с точки зрения общества потребностей остается одна возможность — удерживать редкость на максимально низком уровне путем расширения производственных возможностей. Следует учитывать, что с ростом производственных возможностей (а значит увеличением объема информации о потенциальных видах благ) потребности, как правило, также увеличиваются.
1.4. Разделение труда
Несколько столетий тому назад в экономической жизни доминировали значительно более простые, в сравнении с современными, формы. Домашние хозяйства носили натуральный характер, позволяли добиться самообеспечения (прежде всего продуктами сельского хозяйства). Меновая экономика, в которой производство было ориентировано уже не на собственные потребности производителя, а на нужды других экономических субъектов и выполнялось или на заказ, или для «анонимного рынка», развивалась медленно.
Развитие меновой экономики и распространение рынков было связано с усилением разделения труда между людьми, предприятиями и странами. Преимущество разделения труда наглядно демонстрирует знаменитый пример великого ученого, основоположника экономической науки Адама Смита (1723-1790), в котором описывается производство булавок: .
«Один тянет проволоку, другой выпрямляет ее, третий обрезает, четвертый заостряет конец, пятый обтачивает один конец для насаживания головки; изготовление самой головки требует двух или трех самостоятельных операций; насадка ее составляет особую операцию, полировка булавки — другую; самостоятельной операцией является даже завертывание готовых булавок в пакетики. Таким образом, сложная работа по изготовлению булавки разделена приблизительно на восемнадцать отдельных операций, которые в некоторых мастерских все выполняются различными рабочими, тогда как в других один и тот же рабочий нередко выполняет две или три операции. Мне довелось видеть одну небольшую мастерскую такого рода, где было занято только десять рабочих и где, следовательно, некоторые из них выполняли по две и по три различные операции. Хотя они были очень бедны и потому недостаточно снабжены необходимыми приспособлениями, они могли, работая с напряжением, выработать все вместе двенадцать с лишним фунтов булавок в день. А так как в фунте считается несколько больше 4 тыс. булавок средних размеров, то эти десять человек вырабатывали свыше 48 тыс. булавок в день. Следовательно, если на человека приходится одна десятая часть от 48 тыс. булавок, можно считать, что один рабочий делает 4 тыс. 800 булавок в день. Но если бы все они работали в одиночку и независимо друг от друга и не были приучены к этой специальной работе, то, несомненно, ни один из них не смог бы сделать двадцати, а, может быть, даже и одной булавки в день. Одним словом, они, несомненно, не выработали бы 1 /240, а может быть, и 1 /4800 доли того, что в состоянии выработать теперь в результате надлежащего разделения и сочетания их различных операций».
(А. Смит. Исследование о природе и причинах богатства народов. Т. 1. М., 1993. С. 119— 120. Эта впервые увидевшая свет в 1776 г. классическая работа — одно из важнейших произведений мировой экономической литературы).
Изданного примера мы выводим понятие разделения труда, под которым понимается разделение производства на частичные действия, которые осуществляются рабочими или предприятиями, специализирующиеся на определенных операциях и производстве. Если специализация имеет место в рамках одного предприятия, речь идет о разделении труда внутри предприятия; если она происходит между предприятиями, то речь идет о разделении труда между предприятиями. Если предприятия при этом находятся в разных странах, мы говорим о международном разделении труда.
Преимущества разделения труда очевидны (лежат на поверхности):
¦ Специализация на отдельных операциях повышает скорость, с которой осуществляется эта деятельность. •
¦ Разделение труда делает возможным применение специализированных машин, что позволяет осуществлять массовое производство товаров по низким ценам.
¦ Людей с различными мнениями и навыками можно расставлять в производственном процессе так, чтобы их умения и навыки были использованы наилучшим образом.
Но нельзя не отметить, что разделение труда характеризуется и отрицательными моментами:
¦ Производится уже не то, что потребляется, а потребляется не то, что производится, что определяет необходимость создания иерархии и мотивации к труду.
¦ Разделение труда требует строгой дисциплины труда.
¦ Разделение труда создает зависимость людей, предприятий и т. д. друг от друга, что усугубляет течение кризиса.
¦ В случаях, когда предприятия неправильно оценивают спрос на конкретные товары, может возникнуть недопроизводство или перепроизводство.
¦ Поскольку работник производит только часть выпускаемого блага, он плохо представляет себе продукт труда в целом.
¦ При работе на конвейере могут возникать негативные психологические эффекты. Однообразная нагрузка рабочего и заданный темп работы негативно влияют на мотивацию к труду.
Чем шире развито разделение труда, тем настоятельней необходимость согласования различных производственных процессов друг с другом и с потребностями потребителей. Согласование процессов друг с другом означает, например, что сталелитейная промышленность поставляет стальной лист в объеме, необходимом для производства определенного числа автомобилей. Согласование с желаниями потребителей означает осуществление производства благ, в которых нуждаются покупатели, и отсутствие производства благ, которые не пользуются спросом. Так как все развитые страны осуществляют производство при весьма высокой степени разделения труда, это означает, что согласование планов производителей между собой, а также с желаниями потребителей, является проблемой каждого экономического порядка. Имеются разные соображения о том, как наилучшим образом решить проблему координации. Это существенный аспект экономической системы, к исследованию которого мы и хотели бы обратиться.
2. Основные, зависимые от экономической системы, элементы хозяйствования
Как было показано, наличие высокоразвитого разделения труда диктует необходимость создания экономического порядка, позволяющего разумное согласовать хозяйственные планы предприятий (проблемы координации). Для того чтобы избежать неупорядоченного дублирования частных форм экономической деятельности, необходимы правила, нормы и специальные институты. Перед тем как мы обратимся к сущности проблемы, мы дадим определение некоторых терминов.
2.1. Экономический порядок, экономическая конституция, экономическая система
Термины экономический порядок, экономическая конституция, экономическая система в соответствии с определениями разных ученых имеют различное содержание. Мы предлагаем следующие определения данных понятий:
Экономическим порядком мы называем совокупность организационного строя и протекающих в экономике процессов. Так как речь идет об организационной структуре экономики с высоким уровнем разделения труда, весьма сложной и включающей в себя множество элементов, точное содержательное определение термина «экономический порядок» весьма сложно. Конкретизировать такое понятие позволяет определение экономического порядка как совокупности:
¦ законодательных актов,
¦ механизмов координации,
¦ целей и способов ведения хозяйства,
¦ институтов (организаций),
определяющих строй и способ функционирования экономики.
К институтам причисляются как учреждения, отвечающие за экономическую политику государства, — парламенты (федераций, республик, местных органов), министерства и ведомства, например, Центральный банк, антимонопольный комитет, так и профсоюзы и союзы работодателей. К целям относятся частные экономические цели предприятий (например, максимизация прибыли) и потребителей (например, максимально возможное удовлетворение потребностей), а также общеэкономические цели (например, полная занятость и стабильные цены). Так, поведение экономических субъектов в процессе работы, на переговорах о заключении коллективного договора, при принятии решений о занятии вакантных рабочих мест определяется в первую очередь их интересами и силой влияния. К этому (с различным весом) добавляются факторы, связанные с религиозными убеждениями и особенностями мировоззрения населения.
Координационный механизм (который будет подробно описан ниже) — это способ согласования множества экономических планов друг с другом. Централизованное и децентрализованное планирование являются полюсами, на которые ориентируются конкретные координационные механизмы.
Экономические законодательные акты затрагивают и определяют упоминавшиеся выше элементы экономического порядка. Совокупность важнейших экономических законодательных актов называется экономической конституцией. Обратите внимание на то, что экономической конституцией являются не только содержащиеся в Конституции федерации и федеральных земель положения, но и значимые для экономики федеративные и земельные законы (например, в ФРГ —
Закон об акционерных обществах, Закон о противодействии ограничению конкуренции, Закон о налогообложении, а также Закон о коллективных договорах).
Область экономической политики, формирующая экономический порядок, называется политикой экономического порядка.
В противоположность экономическому порядку, относящемуся к конкретному экономическому строю, экономическая система — это абстрактный порядок экономики (модель порядка). Экономическая теория занимается, в частности, разработкой и анализом важнейших элементов (например, координационный механизм и права собственности) экономического порядка.
2.2. Составные части экономических систем
Исчерпывающее описание экономической системы предполагает анализ всех ее составных частей. Но особую роль имеют две ее основные составные части, это:
¦ координационный механизм и
¦ тип собственности на средства производства.
2.2.1. Координационный механизм
Анализируя любую экономическую систему, мы должны ответить на три основных вопроса:
¦ Что нужно производить?
(Какие виды благ и в каких количествах; и кто принимает решение об этом — потребители, производители или государство?)
¦ Как нужно производить?
(Какие производственные факторы и в каких объемах используются в производстве; где оно должно быть размещено; и кто принимает решение об этом — производители или государство?)
¦ Для кого нужно производить?
(Кто и сколько получает по результатам производства; каков должен быть объем потребления и инвестиций; и кто принимает решение об этом — потребители, производители или государство?)
Ответ на эти вопросы зависит от координационного механизма экономики. Различаются:
¦ форма координации рыночной экономики (децентрализованное планирование),
¦ форма координации плановой экономики (централизованное планирование).
При децентрализованном планировании решения о том, что, как и для кого производить, принимают миллионы предприятий и домашних хозяйств, деятельность которых регулируется механизмом цен и прибылей (рыночный механизм). Поэтому говорят о рыночной экономике. При централизованном планировании эти решения принимает центральный государственный орган. Здесь речь идет о плановом хозяйстве.
2.2.2. Тип собственности на средства производства
Другой важной составной частью экономической системы является тип собственности на средства производства («капитал»). Собственность на средства производства подразделяется на две основные формы:
¦ частную собственность;
¦ общественную собственность (народную или государственную).
Общественная система, в которой средства производства принадлежат частным лицам, называется капиталистической экономической системой. Общественная система, в которой средства производства находятся в государственной собственности, называется социалистической экономической системой. Укажем на то, что термины «капиталистический» и «социалистический» здесь употребляются лишь как профессиональные термины, характеризующие существующий порядок собственности без какой-либо идеологической оценки.
2.3. Экономические системы
Комбинации типов собственности и форм координации определяют следующее структурирование экономических систем:
Тип собствен-
і „ ности
1 Принцип _>
т координации |
Частная собственность на средства производства |
Общественная собственность на средства производства |
|
Децентрализованное планирование |
Капиталистическая рыночная экономика |
Социалистическая рыночная экономика |
Централизованное
планирование |
Капиталистическая, централизованно управляемая экономика |
Социалистическая, централизованно управляемая экономика |
Подчеркнем, что приведенная схема имеет идеальный (модельный) характер. Существующие в реальной действительности экономические порядки представляют собой смешанные формы, когда проблема координации решается преимущественно через рынок или через государственное вмешательство, а собственность является в основном капиталистической или социалистической. Модель «социалистической рыночной экономики» была, например, реализована в Венгрии и Югославии. Кроме того, тип собственности и координационный механизм являются только двумя (пусть даже важнейшими) системными элементами экономики. Наряду с ними, как уже упоминалось, для описания конкретной экономической системы важны и другие ее элементы, например, организация рынков, цели и средства экономической политики (и органы власти, которые ее осуществляют), степень участия рабочих в принятии решений, роль кооперативной собственности и т. д. Поэтому определение экономических систем, ограниченное лишь рассмотрением таких системных элементов, как тип собственности и координационный механизм, является дискуссионным.
В гл. 2 мы рассмотрим способ функционирования капиталистической рыночной экономики, а в гл. 3 — способ функционирования социалистического централизованно управляемого хозяйства. В целях терминологического упрощения в дальнейшем мы будем говорить о рыночной экономике и о плановом хозяйстве.
Список основных понятий
Кривая трансформации
для всей экономики
Технический прогресс
Недоиспользование (ресурсов)
Редкость
Разделение труда
Меновая экономика
Экономический порядок
Экономическая конституция
Политика экономического порядка
Координационный механизм
Децентрализованное
планирование
Рыночная экономика
Плановое хозяйство
Капиталистическая
экономическая система
Социалистическая
экономическая система
¦ Оправданность(потребностей)
¦ Чистые инвестиции
¦ Промежуточный продукт
¦ Альтернативные издержки

Вопросы и задания для повторений
1) Определите следующие термины:
¦ производство,
¦ блага,
¦ редкость
¦ разделение труда,
¦ капитал,
¦ инвестиции (капиталовложения).
2) Объясните на примерах взаимосвязь между потребностями и производством. Какую роль играет здесь реклама?
3) Почему невозможна централизованная оценка потребностей?
4) Почему разделение труда обусловливает необходимость мотивации к труду и управленческой иерархии?
5) Объясните преимущества и недостатки разделения труда.
6) Объясните разницу между терминами «экономический порядок», «экономическая конституция» и «экономическая система».
7) В экономике, использующей все производственные факторы, можно произвести 5 тыс. единиц инвестиционных благ и 20 тыс. единиц потребительских благ. С помощью кривой трансформации раскройте суть проблемы выбора, существующей именно в этой экономике.
8) Проиллюстрируйте проблему редкости с помощью кривой трансформации.
9) «Мнимая редкость, существующая в капиталистических странах, исчезает с устранением манипуляций потребностями и искусственных ограничений производства». Выскажите свое мнение по этому поводу.
10) Назовите главные проблемы, которые должен решать координационный механизм экономики. Объясните их.
ШШШЯШШВШИШШВЖ
шшшипшншншпші |  |
¦ Обратите внимание на книгу по экономической теории вводного уровня, основанную на опыте британской экономической системы:
Харвей Дж. Постигаем экономику. М., 1997.
¦ Как учебное пособие по экономической теории вводного уровня, которое содержит (в качестве приложения) краткий словарь экономических терминов и хорошее введение в историю экономической мысли, мы могли бы порекомендовать:
Современная экономика / Научн. ред. О. Ю. Мамедов. Ростов-на-Дону, 1995.
¦ Хорошее описание различных типов экономических систем содержится в учебнике:
Экономика: Учебник для экономических академий, вузов и факультетов / Под ред.
А. С. Булатова. М., 1994.
¦ О развитии предмета экономической теории в доступной форме написано в книге:
Нуреев Р. М. Основы экономической теории. Микроэкономика: теория, задачи, вопросы, тесты. М., 1996.
¦ Одной из первых книг, в которой были сформированы основы современной экономической теории (1890), является книга:
Маршалл А. Принципы экономической науки. М., 1993. Т. 1-3.
¦ Классические работы представителей австрийской школы в экономической теории можно найти в:
Австрийская школа в политической экономии: К. Менгер, Е. Бем Баверк, Ф. Визер.
М„ 1992.
¦ Для более глубокого уяснения становления экономического порядка в Германии рекомендуем изучить две методологического характера работы немецкого экономиста В. Ойкена:
Ойкен В. Основы национальной экономии. М., 1996.
Ойкен В. Основные принципы экономической политики. М., 1995.
¦ Основные термины первой главы объясняются во множестве вводных учебников по экономике. Мы рекомендуем, в частности, книги американских авторов:
Самуэльсон П. А., Нордхаус В. Д. Экономика. М., 1997.
Макконнелл К., Брю С. Экономикс. Принципы, проблемы и политика. М„ 1992. Т. 1. Мэнкъю Н. Г. Принципы экономике. СПб., 1999.
¦ Специально по теме «Экономический порядок, экономическая конституция и экономическая система» хотелось бы упомянуть работу X. Ламперта:
Ламперт X. Социальная рыночная экономика. Германский путь. М., 1994.
СПОСОБ
ФУНКЦИОНИРОВАНИЯ
РЫНОЧНОЙ экономики
(обзор)

Как работает модель рыночной экономики и в чем заключаются принципиальные преимущества рыночной координации и частной собственности на средства
производства?
¦ Как соотносятся классический либерализм и рыночная экономика?
¦ В чем состоят основные принципы рыночной экономики?
¦ Как выглядит простой экономический кругооборот в рыночной экономике?
¦ Как решаются в модели рыночной экономики вопросы производства: «что», «как» и «для кого»?
¦ В чем состоят экономические функции частной собственности на средства производства?
В чем заключаются основные недостатки рыночного механизма и как соотносятся рыночная модель и реальная действительность?
¦ Каким образом ценовый механизм выполняет несоциальную функцию распределения?
¦ Почему существует тенденция к неравному распределению доходов и имущества?
¦ Почему государство должно брать на себя производство определенных благ?
¦ Какие причины и последствия имеет несовпадение частных и общественных издержек и выгод?
¦ Существует ли автоматическая тенденция к полному и эффективному использованию производственных факторов?
В чем состоят отличия социально-рыночной экономики от классической рыночной системы?
¦ На какие два полярных фактора опирается социально-рыночная экономика?
4 Какие характерные черты имеет конкуренция в социально-рыночной экономике?
4 Почему и в какой форме происходит корректировка рыночного механизма?
4 Предписывают ли Конституция Германии и Конституция России определенную экономическую систему?

Анализ
1. Идея классического либерализма
Преобладающей идеей классического либерализма являлось требование индивидуальной самостоятельности и свободы человека.
Исходя из предпосылки об индивидуальности нужд и потребностей людей представители классического либерализма выступали за суверенитет потребителей и за свободное принятие решений об использовании производственных факторов.
Классики либерализма придерживались мнения, что только механизм конкуренции рыночной экономики (рыночный механизм) позволяет согласовать интересы производителей и интересы потребителей. Упор на индивидуализм можно объяснить популярностью в пору зарождения либерализма теории естественного права, согласно которой индивидуум — разумное рационально действующее существо, имеющее естественное право на свободу, которая находит свое экономическое выражение в рыночной экономике.
¦Чистая рыночная экономика построена на принципе полной самостоятельной ответственности и экономической свободы действий индивидуума. В ней существует множество самостоятельно хозяйствующих людей, которые стремятся к возможно большему удовлетворению своих потребностей и свободно распоряжающихся хотя бы своей рабочей силой. Но отчасти они владеют и распоряжаются средствами производства, такими как капитал или земля. Государство ни в коем случае не вмешивается в свободную игру сил, личность в экономической сфере может делать или не делать то, что она желает, кроме случаев, когда она вступает в конфликт с законами. Каждый может использовать свои способности как ему удобно, но в то же время должен найти соответствующую возможность для труда. Если индивид владеет капиталом, он может вложить его по своему' усмотрению: построить фабрику, открыть торговое предприятие, заниматься земледелием и животноводством и т. д. Он может запрашивать за предлагаемые со своей стороны товары и услуги любые цены при условии, что найдет покупателей. Господствует полная свобода потребления, каждый может использовать блага в количествах, каких только желает, но, естественно, лишь в том объеме, на который хватает его доходов.
На первый взгляд кажется, что речь идет о хаотической форме экономической системы. Но в действительности существует один регулятор: им является рынок и «ценообразование» на нем» (А. Mahr. Der bewaltigte Wohlstand, Probleme der modernen Industriegesellschaft. Berlin, 1964. S.13).
Государству же представители классического либерализма отводят такие функции, как обеспечение государственного управления, законности, внутренней и внешней безопасности, организацию транспорта и предоставление услуг в области образования и здравоохранения. Существует мнение, что классики (и прежде всего Адам Смит [ 1723-1790], Давид Рикардо [ 1772-1823], Джон Стюарт Милль [ 1806-1873] и Жан Батист Сэй [1767-1832]) в отличие от сегодняшних представлений, отводили государству лишь подчиненную роль (государство как ночной сторож). Но приведенный выше весьма обширный список функций государства показывает, что такие представления не совсем верны.
2. Координационный механизм — рынок
Перед рассмотрением координационнотмеханизма, который именуется «рынок», рассмотрим модель экономического оборота. Мы объединяем все домохозяйства в одну группу (или сектор домохозяйств). То же самое проделаем в отношении предприятий, которые в совокупности образуют сектор предприятий. В нашей простой модели мы исключаем экономическую деятельность государства и внешнеэкономические отношения. Два сектора — домохозяйства и предприятия — экономически взаимодействуют между собой двумя способами. Если домохозяйства приобретают потребительские блага, они выступают на рынке потребительских благ, предъявляя спрос, а предприятия со своей стороны предлагают эти блага. Так как за покупки платятся деньги, возникает поток потребительских расходов (денежный поток), движущийся навстречу потребительским благам, поступающим от предприятий к домохозяйствам и имеющий такую же ценность. С другой стороны, домохозяйства и предприятия встречаются на рынках производственных услуг. Осуществление производства предполагает использование предприятиями производственных факторов, за которые они выплачивают домохозяйствам денежное вознаграждение. Навстречу потоку производственных услуг (например, рабочей силы) также течет денежный поток.
Итак из сектора предприятий движется поток товаров, а навстречу ему — от сектора домохозяйств — поток денег (см. рис. 2.1). Поэтому, по аналогии с кровообращением, говорят об экономическом кругообороте.
Рассмотрим на модели экономического кругооборота и входящих в него рынков рыночное решение проблемы координации. При этом необходимы некоторые предварительные замечания относительно ценообразования (более подробно они будут даны в гл. 6). Кроме того, следует подчеркнуть, что далее речь пойдет о теоретической модели, об идеальном функционировании рыночного механизма. Недостатки рыночных систем и вытекающие из этого ограничения, знание которых необходимо для понимания последующего материала, исследуются в разделе 4 данной главы.
Как в рыночной экономике решается вопрос о струкутре и объемах производимых благ? (Вопрос производства — «что» производить?)
На рынке потребительских товаров взаимодействуют друг с другом предложение и спрос на товар, а также определяется его цена. При таких «равновесных» ценах предложение и спрос равны друг другу и предприятия получают определенную прибыль.
Предположим, что спрос на товар (например, одноквартирный дом) повышается без существенного изменения производственных издержек. Вследствие этого цена на данный товар возрастет, а прибыль в соответствующей производственной отрасли повысится. Дополнительные доходы позволят предприятию расширить производство данного блага и привлекут на прибыльный рынок новые предприятия. Одновременно возрастают потребности в рабочих, машинах, земле и ресурсах для производства одноквартирных домов.
Что означают эти явления с точки зрения вопроса «что» производить? Повышенный спрос, отражающий в конечном счете желание покупателей, вносит оживление — через повышение цены и прибыли — в производство блага.
Предъявляющие спрос субъекты через свои покупки («избирательный бюллетень») определяют в конечном счете, что и в каких объемах будет производиться в экономике.
 |
|
Рис. 2.1. Простой экономический кругооборот |
Поэтому говорят также о суверенитете потребителей. Вместе с решением о количестве производимых благ, одновременно решается вопрос о том, как будут использованы редкие производственные факторы. Цены и прибыль в этом процессе выполняют важнейшую роль — сигнализируют предпринимателям о том, какие товары необходимы потребителям. Таким образом, успешная деятельность предпринимателя во многом определяется его вниманием к ценовым сигналам.
Обратимся к вопросу, «для кого» осуществляется производство в рыночной экономике?
Возможность приобретать товары имеют те, кто располагает доходами (для упрощения мы исключаем случай покупки с оплатой имуществом). Доходы получает только тот, кто успешно продает свою рабочую силу или другие производственные услуги. Величина дохода при этом есть — не учитывая прибыль, которая является остаточной величиной (выручка минус издержки) — произведение количества проданных услуг на цены этих услуг. Цены приобретенных/проданных объемов производственных услуг устанавливаются на так называемых «рынках факторов производства» (в дальнейшем мы будем называть их факторными рынками), цены, — например, на рабочую силу, на рынке труда.
Соотношение спроса и предложения на факторных рынках задает размеры доходов и тем самым предопределяет ответ на вопрос, «для кого» производить.
Но тогда «как», т. е. с применением каких производственных факторов, создаются производимые блага?
Предположим, что труд из-за высокого спроса на рабочую силу относительно (т. е. в отношении к другим производственным факторам) дорог. Понятно, что предприниматели, стремящиеся для повышения прибыли обеспечить как можно более низкие издержки, стараются применять как можно меньше рабочей силы, а значит, заменять труд на капитал.
Цены труда (заработная плата) и капитала (процентная ставка) устанавливаются на факторных рынках. При данном состоянии технических знаний ценообразование на этих рынках определяет соотношение применения производственных факторов и таким образом дает ответ на вопрос, «как» производить.
Отметим два важных момента. (1) Вопросы «что?», «как?» и «для кого?», как уже отчасти говорилось, решаются на товарных рынках и на факторных рынках не изолированно.
Процессы на товарных рынках (рынках благ) оказывают обратное воздействие на факторные рынки, как и процессы на факторных рынках — на рынки товаров.
Если в вышеуказанном примере цена потребительского блага повышается, вследствие чего расширяется производство, то в данной отрасли экономики повышается спрос на рабочую силу. Спрос на труд, как и спрос на производственные услуги, является производным спросом. Заработная плата повышается, и, следовательно, изменяется ситуация с издержками на товарном рынке, что не может не сопровождаться обратным воздействием на производственные решения: с одной стороны,
в этой отрасли становится выгодной замена труда на капитал; с другой — в рыночной модели повышение издержек приводит к сокращению производства. Мы помним, что возросшая заработная плата является доходом и таким образом влияет на спрос. Здесь обнаруживается взаимосвязь между рынками в экономике, т. е. общее экономическое взаимодействие. (2) Необходимо подчокнуть, что в классической модели рыночный механизм выполняет не только функцию согласования частных и общественных интересов. Мы можем исходить и из того, что рыночному механизму присуща автоматическая тенденция к полной занятости и наилучшему использованию производственных факторов.
3. Функция частной собственности на средства производства
I Основным аргументом в пользу частной собственности на средства производства является использование личных интересов на благо всей экономики (мотивация).
Права собственности (property rights) — это права в форме прав пользования (право на доходы) и прав распоряжения (право на приобретение, использование и передачу). Права собственности определяют размер «вменения» результатов действий и являются, таким образом, оптимальным средством для мотивации и контроля за результативностью. Если результаты действий субъектов экономики четко «вменяемы», правомерно ожидать от них инициативности, готовности к инновациям и положительных эффектов в национальном хозяйстве в целом. В то же время всегда, когда права собственности невозможно адекватно определить и реализовать, оппортунистическое поведение хозяйствующих субъектов приведет к ошибочному размещению ресурсов.
Согласно этому мнению, если предприниматель обладает частной собственностью на средства производства, он свободно принимает решения о применении средств производства и свободно распоряжается полученной прибылью. Следовательно, руководствующийся исключительно собственный интересами предприниматель обязан принимать во внимание сигналы рынка (передающие желания покупателей). Если он учитывает потребности потребителей, прибыль предпринимателя и, соответственно, размеры его собственности возрастают. Если же он не принимает во внимание эти желания, он терпит убытки, а размеры собственности уменьшаются (частная собственность с полной индивидуальной ответственностью).
Основная идея сторонников частной собственности на средства производства — создание наибольшего свободного пространства для инициативы производителей —
находит свое отражение и в других либеральных правовых нормах. Таким образом, общая свобода заключения договоров, свобода создания предприятий и другие правовые нормы свободы определяют основной принцип, состоящий в том, чтобы не создавать лишних ограничений для развертывания частной инициативы.
Обобщим основные идеи капиталистической рыночной экономики:
В условиях конкурентной экономики предприятия конкурируют друг с другом за «избирательный бюллетень» потребителей и стараются оставаться конкурентоспособными минимизируя издержки производства. Существует мнение, что повседневно повторяющиеся решения потребителей в области выбора благ — в отличие от политической системы, с ее выборами, проходящими раз в несколько лет, — предоставляют предпринимателям каждый раз только ограниченный по времени «мандат» на распоряжение редкими производственными факторами экономики. Если они используют этот «мандат» не в интересах потребителей, рынок отбирает у них данное право распоряжения. Аналогичным способом преследование личного интереса (движущая сила рыночной экономики), приводит к тому, что личные интересы совпадают с общественными. Основными признаками рыночной экономики являются эффективность (с минимально возможными издержками производится то, что необходимо потребителям) и свобода в форме суверенитета потребителей и производителей, а также наемных работников.
4. Критика рынка
Максимизация благосостояния экономических субъектов предполагает такое использование производственных факторов, которое позволяет производить максимальное количество товаров и услуг в соответствии с предпочтениями потребителей (оптимальное размещение ресурсов). Это оптимальное размещение осуществляется при определенных условиях — прежде всего в модели совершенной конкуренции (в системе с частной собственностью и конкуренцией). Но существует ряд исключений, когда в функционировании рынка происходят сбои. К числу таких исключений относятся общественные блага, внешние эффекты и асимметрия информации. В этих случаях часто говорят о фиаско (несостоятельности) рынка в узком смысле (раздел 4.1). Отрицательное воздействие на эффективность функционирования рынка оказвают ограничение конкуренции (раздел 4.2) и конъюнктурные колебания, которые могут привести к росту безработицы и инфляции (раздел 4.3). Одной из сложных проблем является неравномерное распределение доходов и имущества (как функциональная необходимость и как результат рыночных порядков (раздел 4.4).
4.1. Фиаско (несостоятельность) рынка в узком смысле
ОБЩЕСТВЕННЫЕ БЛАГА
Благо является чисто общественным, если оно свободно потребляется всеми предъявившими на него спрос субъектами (отсутствие соперничества) и если его «вывод» из сферы потребления невозможен (невозможность исключения). Напротив, в случае частного блага (такого как, например, шампанское) субъект, не имеющий возможности заплатить за его приобретение, исключается из сферы потребления, а если благо потреблено одним лицом, то другое лицо использовать его не имеет возможности.
Отсутствие соперничества существует, если (в один и тот же момент) благо может потребляться одним лицом (или многими лицами) без ограничения потребления для другого субъекта (потребление таких благ, как безопасность, чистая окружающая среда, освещение улицы, трансляция телевизионных передач и т. д.).
Невозможность исключения (невозможность запретить участие в рынке) имеет место тогда, когда потенциальные потребители не могут быть «выведены» из сферы использования блага, когда они не вносят (соответствующего) вклада в финансирование производства (позиция «зайца»-безбилетника). Возможность или невозможность исключения — вопрос относительный, речь не идет о существовании возможности вообще. Причина кроется в том, что возможность применения принципа исключения, как правило, является вопросом техники и издержек. Так, например, в принципе допускается исключение неплательщиков из сферы пользования улицей, маяком или радиопрограммой, но это, как правило, связано с высокими затратами.
Данные свойства общественного блага определяют два следствия. В отсутствие соперничества при потреблении запрашивать плату за получаемые блага (исключая каких-либо потребителей из сферы потребления) неразумно, поскольку удовлетворение дополнительного потребителя не требует добавочных затрат общественных ресурсов. Выражаясь языком теории прав собственности, определение и реализация признания прав собственности в этом случае было бы неэффективно (вызвало бы дополнительные издержки). С другой стороны, признается, что производство такого блага также влечет за собой издержки, и эти издержки необходимо покрывать.
Данное обстоятельство приводит нас к дилемме: или частные потребители (если это возможно) финансируют свое потребление через уплату цен, которые исключают использование данного блага другими потребителями (например, платные телевизионные программы), или финансирование производства осуществляется на некой коллективной основе. Это приводит к тому, что индивидуальный вклад в финансирование оказывается, как правило, не соответствующим индивидуальному потреблению (например, финансирование общественного телевидения через государственные сборы). Из этой дилеммы вытекают экономически неоптимальные объем производства, производственная структура и распределение данного блага. Когда в экономике производится слишком много, слишком мало благ или они имеют неадекватную структуру мы говорим о субоптимальности.
Отсутствие возможности исключения означает, что никого из потребителей невозможно убедить заплатить за такое благо. На языке теории прав собственности это означает невозможность определения прав собственности и их признания. Ни один потребитель с экономически рациональным поведением не будет платить за благо, которое нельзя исключить из сферы потребления. В связи с этим ни один частный предприниматель не возьмется за производство такого общественного блага. В сравнении с общими потребностями потребителей в этом благе его производство будет недостаточным или благо не будет производиться вообще. В таком случае принято говорить о недопроизводстве; классическим примером данного феномена является охрана окружающей среды.
ВНЕШНИЕ ЭФФЕКТЫ
Внешние эффекты — это прямые последствия экономической деятельности некоего хозяйствующего субъекта, которые не учитываются их виновником и (в противоположность другим экономическим операциям) не означают каких-либо прав третьих лиц на компенсацию. Действие внешних эффектов означает, что рынок утрачивает возможность оптимального размещения ресурсов, так как воздействие, оказываемое на третьих лиц, по определению не входит в частные расчеты издержек и выгод производителя.
Частные издержки и выгоды не соответствуют социальным (общественным) издержкам и выгодам.
Пример — предприятие, которое сбрасывает отходы в окружающую среду (загрязняет воду и воздух), никак не возмещая причиненный ущерб. Поскольку никто не имеет прав частной собственности на воздух и воду, виновный в загрязнении не должен платить за нанесенный вред (равно как и частные потребители, например, автовладельцы, загрязняющие воздух выхлопными газами автомобилей).
АСИММЕТРИЯ ИНФОРМАЦИИ
Приносит ли конкуренция желаемое потребителем качество продуктов или это зависит от того, имеют ли потребители возможность осознать и оценить его? Имеет место асимметрия информации между производителем и потребителем. Производитель, как правило, имеет исчерпывающую информацию о качестве своих продуктов (в отличие от потребителей), и, кроме того, влияет на восприятие покупателей посредством рекламы. Кроме того, существуют блага, определение качества которых особенно затруднено (лекарства, продовольственные товары в целом или такие «сложные» продукты, как банковские кредиты и страхование).
4.2. Концентрация и ограничение конкуренции
Концентрация доходов и имущества оказывает обратное влияние на рынки и на рыночный механизм: владельцы богатства могут вложить свое имущество в производство. На рынке начинают доминировать крупные производители, что ставит под угрозу предусматриваемое теоретической моделью равновесие спроса и предложения. Концентрация власти в руках крупных предприятий позволяет им как подавлять конкурентов, таки устанавливать завышенные цены на продукцию. Когда цены на товары (а соответственно, и прибыли), превышают конкурентные, они перестают выполнять свою функцию «зеркала» степени редкости. Прибыль прекращает выполнять функцию «пряника и кнута», т. е. вознаграждения предприимчивости и наказания лености. Неравномерное распределение рыночной власти, оказывающее искажающее воздействие на экономику, нарушает гармонию общих интересов. Тенденция к ограничению конкуренции усиливается, если производители злоупотребляют закрепленной в системе рыночной экономики свободой заключения договоров для устранения конкурентов посредством сговора (например, картелей, см. гл. 8).
Но тенденции к концентрации производства определяются и экономическими причинами. Технический прогресс и выгоды массового производства зачастую обусловливают необходимость создания крупных предприятий, так что в некоторых отраслях при определенных условиях соблюдение требований рыночной модели о множестве мелких производителей представляется нецелесообразным (см. гл. 8).
4.3. Колебания экономической активности
Периодически рыночное хозяйство переживает экономические кризисы, сопровождающиеся такими явлениями, как крахи предприятий (банкротство), безработица, общий экономический застой или даже спад производства (см. гл. 27).
Правомерно оценить экономические кризисы как указание на то, что предполагаемая в модели рынка автоматическая тенденция к полной занятости, в действительности не существует. В этом случае экономическая политика государства должна быть направлена на максимально возможное сдерживание колебаний экономической активности (особенно занятости и цен). Но данная точка зрения не является бесспорной. Некоторые экономисты считают, что именно влияние государства на экономические процессы является основной причиной таких флуктуаций (см. гл. 27).
Часто наблюдаемое в рыночных экономиках постоянное повышение цен (инфляция, см. гл. 25) нередко рассматривается как признак того, что система рыночной экономики не обладает свойством автоматического поддержания стабильности цен. Но и здесь вопрос о причинах данного явления (и прежде всего, ответственности государства, контролирующего денежную эмиссию) является дискуссионным.
4.4. Неравномерное распределение доходов и имущества
Один из основных недостатков системы рыночной экономики — неравномерное распределение доходов и имущества (см. гл. 26). Данная тенденция — родовое свойство системы рыночной экономики, в силу неравномерности распределения в обществе факторов (возможностей), получения доходов и приобретения имущества. Речь здесь идет о ловкости, интеллекте, имуществе, выдержке и способности индивидов пробиться наверх. Со временем (в отсутствие корректирующих воздействий) данная тенденция усиливается, так как первоначально имевшиеся различия усиливаются: тот, кто получает низкие доходы, не имеет возможности финансировать свое образование, накапливать имущество. Кроме того, в рыночной экономике существует функциональная необходимость в неравномерности доходов как средстве мотивации и регулирования. .
Наконец, при неравномерном распределении доходов и имущества становится ясно, что основной инструмент регулирования в рыночной экономике — цена — не является социальным принципом распределения: возможно, поскольку молоко редко и дорого, его могут купить лишь богатые для своих кошек, но не бедные для своих детей. Невозможно отделить воздействие цен на размещение ресурсов от их воздействия на распределение доходов и богатства.
5. Социально-рыночная экономика
Исходя из признанных отклонений экономической действительности от классической модели либеральной рыночной экономики и из недостатков системы «чистой» рыночной экономики, был реализован ряд предложений по улучшению экономического порядка. Во всех рыночных экономиках основными видами деятельности государства являются обеспечение производства общественных благ (например, безопасности, правовой системы, образования и т. д.), корректировка внешних эффектов (например, экологическая политика) и асимметрии информации (например, федеральный надзор за здравоохранением, контроль за продовольствием). Наряду с этим осуществляются различные мероприятия в области политики конкуренции, распределения и экономической стабилизации. Поскольку социально-рыночная экономика имеет для экономического порядка в ФРГ концептуальное значение, мы ограничимся изложением самой концепции.
5.1. Основная идея
«Социально-рыночная экономика ее инициаторами определяется как “третий путь", ведущий между Сциллой анархичного, неупорядоченного рыночного капитализма, каким он был в XIX и в начале XX в. в большинстве западных стран, и Харибдой тоталитарного планового хозяйства (какой был построен Гитлером и Сталиным) к свободному, экономически сильному, устойчивому и справедливому порядку в обществе и экономике. Социально-рыночная экономика как концепция призвана обеспечить синтез гарантируемой в правовом государстве свободы (экономической свободы — которая из-за неделимости свободы считается необходимой составной частью свободы вообще) и идеалов социальной защиты и социальной справедливости, социального государства. Эту комбинацию целей свободы и справедливости отражает термин “социально-рыночная экономика”: рыночная экономика здесь обозначает экономическую свободу. Она состоит в свободе потребителей по своему усмотрению покупать блага, составляющие общественный продукт (свобода потребления), в свободе собственников средств производства по своему усмотрению применять свой труд, свои деньги, свои материальные блага и предпринимательские способности (свобода бизнеса, свобода выбора профессии и места работы, свобода использования собственности), в свободе предпринимателей по своему усмотрению производить и продавать блага (свобода производства и торговли) и в свободе каждого покупателя и продавца товаров или услуг стремиться достичь этих и других целей (свобода конкуренции). Своей границы эти свободы достигают там, где нарушены права третьей стороны, конституционный порядок или нормы морали (ст. 2 Конституции ФРГ). “Социальный" признак должен отразить:
1. То, что только рыночная экономика благодаря наличию в ней экономических предпосылок для обеспечения “благосостояния всех” и предоставления прав экономической свободы, ограниченной правами третьей стороны, носит социальный характер.
2. То, что свобода рынка в силу социальных причин должна быть ограничена там, где она приводит к нежелательным социальным результатам, т. е. результаты свободного экономического процесса должны быть скорректированы, если с точки зрения господствующих в данном обществе ценностей они представляются недостаточно социальными».
Н. Lampert. Die Wirtschafts- und Sozialordnung der Bundesrepublik Deutschland. 8. Auflage. Miinchen; Wien, 1985. S.86.
По мнению А. Мюллер-Армака, термин «социально-рыночная экономика»
«можно определить как идею политики экономического порядка, целью которой является соединение на основе конкурентной экономики свободной инициативы с обеспеченным всей мощью рыночной экономики социальным прогрессом. На основе порядка рыночной экономики возможно создание многообразной и целостной системы социальной защиты».
A. MiUler-Armack- SozialeMarktwirtschaft / / V. Beckerath, E. u.a. (Hrsg.). Handworterbuch der Sozialwissenschaften (HdSW). Bd. 9. Stuttgart; Tubingen; Gottingen, 1956. S. 390.
В общественной полемике соответствие сегодняшней формы социально-рыночной экономики в ФРГ намерениям «отцов» социально-рыночной экономики (особенно Людвига Эрхарда и Альфреда Мюллер-Армака) оценивается неоднозначно. Союзы работодателей и профсоюзы, правящие и оппозиционные партии далеко не всегда достигают согласия в желаемом образе экономического порядка. Поэтому в дальнейшем мы опишем некоторые основные черты экономического порядка ФРГ, рассматривая его как прототип социально-рыночной экономики.
5.2. Конкуренция как залача
В рыночной модели решающее значение имеет принцип конкуренции: только посредством конкуренции через цены и прибыли экономические планы могут быть согласованы таким образом, что экономика автоматически движется к своему наилучшему состоянию. Существует общее убеждение, что конкуренция не может зародиться самостоятельно, а должна быть защищена от ограничений (конкуренция как государственная задача). Последовательными сторонниками данной идеи являются ордоли-бералы (Вальтер Ойкен и Франц Бем). Их позиция заключается в том, что на каждом рынке должна существовать конкуренция между очень большим числом производителей и очень большим числом потребителей, в результате чего на долю каждого из них приходится очень малая часть совокупного предложения или совокупного спроса. Такая конкуренция называется атомистической, или совершенной (см. гл. 6). Некоторое время она рассматривалась как прообраз экономического порядка и политики в области конкуренции в ФРГ, закрепленный в принятом в 1957 г. «Законе против ограничений конкуренции» (ЗОК). Постепенно, в представлениях о конкуренции произошли значительные изменения. Если ордолибералы по-прежнему стремились к «атомистической конкуренции», многие экономисты и политики осознали необходимость (вследствие технического прогресса, а также в интересах потребителей продукции отдельных отраслей экономики) в существовании крупных и мощных предприятий массового производства. Такая форма конкуренции получила название «действенной конкуренции». Если ордолибералы придерживались принципа «15 производителей лучше, чем 14; 16 лучше, чем 15 и т. д.», то для сторонников дей-
ственной конкуренции важнейшим является только рыночный результат, т. е. возрастание объема производства и повышение качества продукции, происходящие при растущей производительности, падающих издержках и ценах.
5.3. Перераспределение доходов и имущества
Учитывая, что для модели «чистой» рыночной экономики изначально свойственно неравенство в распределении доходов и имущества, основоположники концепции социально-рыночной экономики, как и современные представители партий и партнеры по коллективным договорам, признают, в принципе, необходимость их перераспределения. Например, в программе действий немецкого Союза профсоюзов (1971 г.) записано:
«Доля наемных работников в национальном доходе должна быть увеличена, жизненный уровень их семей должен повыситься... Дискриминация наемных работников при создании богатства должна быть устранена. Экономическая, финансовая, налоговая и социальная политика должны соответствовать этой цели. Профсоюзы будут использовать свои возможности в рамках коллективных договоров для увеличения богатства».
В резолюции об основных общественно-политических вопросах «Прогресс как результат идей и действий» Федерального объединения Союза немецких работодателей (1975 г.) записано:
¦ «Работодатели утверждают необходимость повышения доходов рабочих в рамках экономических возможностей, в частности путем более широкого распределения богатства, ведущего к более справедливому распределению личного имущества и доходов».
На такое распределение направлены сегодня, в сущности, как определенные мероприятия фискальной политики, так и политика профсоюзов в области зарплаты. Практические инструменты распределения, такие как прогрессивная шкала налогообложения (см. гл. 14) или премии за сбережения, активная политика профсоюзов в области зарплаты и долевых фондов (см. гл. 26), будут подробно рассмотрены позже.
Именно в связи с неравномерным распределением доходов и имущества выявляется несправедливое распределение благ посредством ценового механизма, дискриминирующим покупателей, обладающих низкой покупательной способностью. Поэтому безвозмездное предоставление государством определенных благ (таких как образование, медицинские услуги и безопасность), в принципе, относится к мерам перераспределения.
Неравномерно и распределение доходов по регионам и секторам экономики, что предопределяет необходимость поддержки определенных регионов Российской Федерации (например, Крайнего Севера и некоторых сибирских регионов) или отдельных секторов экономики (например, сельского хозяйства и угольной промышленности) посредством специальных государственных мер. Подобная поддержка является элементом так называемой «региональной и отраслевой структурной политики».
Социальный аспект социально-рыночной экономики затрагивает прежде всего тех членов общества, которые не имеют собственных доходов и поддерживаются государственной системой социального обеспечения (престарелые, больные, инвалиды, безработные). Политика перераспределения осуществляется в ФРГ в больших масштабах посредством платежей и услуг системы социального обеспечения. Основы этой системы были заложены в 1SS3 г. Отто фон Бисмарком путем введения страхования на случай болезни для промышленных рабочих (1884 г. — страхование от несчастных случаев, 1889 г. — пенсионное страхование), и с тех пор постоянно расширялась (1927 г. — страхование на случай безработицы, 1938 г. — страхование по старости для ремесленников, 1957 г. — пенсии по старости для крестьян, I960 г. — финансирование жилья и т. д.). При этом действует принцип обеспечения не только прожиточного минимума для тех, кто не может (еще не может или уже не может) участвовать в конкурентной борьбе, но и принцип предоставления им доли в экономическом прогрессе экономики. По этой причине величина пенсионных платежей связана с ростом зарплаты в экономике (принцип «динамичной» пенсии).
5.4. Стабилизация экономической конъюнктуры
Исторический опыт показывает, что экономическая активность (экономическая конъюнктура) в странах с рыночной экономикой подвержена колебаниям. Существуют относительно четко выраженные деловые (экономические) циклы (см. гл. 27). Следует отметить, что в первой фазе развития социально-рыночной экономики в ФРГ колебания конъюнктуры не были столь значительными, так как компенсировались стремительным экономическим ростом в фазе послевоенного восстановления. Государственная экономическая политика была ограничена (в соответствии с преобладавшими тогда классическими либеральными идеями) в большей степени определением общих условий. На первом плане стояли задачи установления экономического порядка («организации» конкуренции). Политика регулирования экономических процессов (т. е. государственное воздействие на экономическую активность) осуществлялась лишь в рамках кредитно-денежной политики (изменение денежной массы и процентных ставок, см. гл. 17-19).
Только когда в середине 1960-х гг. стало очевидно, что с помощью подобной политики невозможно эффективно бороться с падением производства и занятости, возникла концепция глобального регулирования, включающего в себя и фискальную политику (изменение государственных доходов и расходов) и был принят «Закон об обеспечении стабильности и роста экономики» (1967 г.). Основная идея глобального регулирования заключется в том, что государство хотя и проводит активную стабилизационную политику с помощью инструментов кредитно-денежной и фискальной политики, но ограничивается мероприятиями, соответствующими рыночной системе (см. гл. 16). Это означает, что предпринимаемые меры должны соответствовать рыночному механизму (прямое вмешательство, такое как замораживание цен и зарплаты, исключается).
Теория, в соответствии с которой государство имеет возможность, пользуясь инструментами глобальной политики (получившей, по имени ее основоположника — англичанина Джона Мейнарда Кейнса (1883-1946) название кейнсианской экономической политики), регулировать экономический процесс, блестяще оправдалась входе преодоления незначительного экономического кризиса в ФРГ в 1967 г. Начавшийся в 1974-1975 гг. первый «нефтяной кризис» и последующий кризис 19811982 гг. значительно поубавили эйфорию практиков, а в экономической науке кейнсианство постепенно вытесняется ориентированным на идеи классической школы монетаризмом (см. гл. 12 и 13).
В дальнейшем политика глобального регулирования в ФРГ была дополнена инструментами структурной политики и политики роста. Структурная политика, как следует и из ее названия, предполагает регулирование структуры экономики, т. е. изменение относительной роли отдельных отраслей и регионов. Некоторые считают, что структурная политика «подсыпает песок» в рыночные механизмы и поэтому использовать ее следует весьма осторожно.
5.5. Экономическая конституция
и социально-рыночная экономика
Пока мы не затрагивали вопрос о том, предписывают ли Конституция ФРГ или иные правовые акты создание определенной экономической системы и соответствуют ли вышеперечисленные признаки социально-рыночной экономики такой «экономической конституции». Наш анализ будет осуществляться применительно к важнейшим составным элементам экономической системы, т. е. применительно к координационному механизму и типу собственности.
5.5.1. Экономическая конституция и координационный механизм
Конституция ФРГ гарантирует отдельным гражданам множество правовых свобод: свободное развитие личности, включающее свободу потребления, предпринимательскую свободу и свободу конкуренции. К этому добавляется свобода личного передвижения, свобода выбора профессии и рабочего места, а также свобода объединений, позволяющая, например, создавать профсоюзы и союзы работодателей. Поэтому, по преобладающему мнению, исключается централизованное управление экономическим процессом. С другой стороны, ч. 1, ст. 20 Конституции определяет:
I «Федеративная Республика Германии является демократическим и социальным феде-I ративным государством».
Таким образом, исключается и крайне либеральная экономическая система, не позволяющая корректировать рыночные результаты. Каковы пределы прямого вмешательства государства в экономический процесс и каковы возможные ограничения (прежде всего предпринимательской свободы)? Однозначного ответа на эти вопросы в Конституции нет.
5.5.2. Экономическая конституция и тип собственности
Принципиальные решения о собственности содержатся в ст. 14,15 Конституции ФРГ:
Статья 14. Собственность, право наследования, национализация
(1) Собственность и право наследования гарантируются. Содержание и ограничения определяются законом.
Является ли современная российская экономика социально-рыночной? Точный, однозначный ответ на этот вопрос пока невозможен, поскольку после распада СССР с момента образования России как суверенного демократического государства прошло менее десяти лет. Делать окончательные выводы относительно «социальности* или «рыночности» преждевременно, но можно обозначить общие тенденции развития российской экономики по направлению к тому или иному типу. Такую возможность дает анализ Конституции Российской Федерации,
Врезка 2.1 Россия
и соииально-рыночная экономика
С одной стороны, в Конституции РФ содержатся положения, согласно которым Россия является страной со свободной рыночной экономикой. Конституция гарантирует гражданам РФ основные права и свободы, закрепленные в нормах международного права. В частности, россияне наделены различными экономическими свободами. Им «гарантируются свободное перемещение товаров, услуг и финансовых средств, поддержка конкуренции, свобода экономической деятельности» (ч. 1, ст. 8). При этом «признаются и защищаются равным образом частная, государственная, муниципальная и иные формы собственности* (ч, 2, ст. 8). Крайне важной для формирования рыночной экономики является ч. 1., ст. 34: «Каждый имеет право на свободное использование своих способностей и имущества для предпринимательской и иной не запрещенной законом экономической деятельности».
С другой стороны, в соответствии с Конституцией РФ, Россия — «социальное государство» (ч. 1, ст. 7), в котором обеспечиваются основные социальные гарантии — ¦охраняются труд и здоровье людей, устанавливается гарантированный минимальный размер оплаты труда...» (ч. 2, ст. 7). В этом же пункте содержатся положения о наличии государственной поддержки семьи, инвалидов и пожилых граждан, а также перечислены иные гарантии социальной защиты. В частности, каждый гражданин Российской Федерации «имеет право ... на защиту от безработицы» (ч. 3, ст. 37). ¦Каждому гарантируется социальное обеспечение по возрасту, в случае болезни, инвалидности, потери кормильца, для воспитания детей и в иных случаях, установленных законом» (ч. 1, ст. 39). «Каждый имеет право на жилище» {ч. 1, ст. 40).
А как положения Конституции выполняются на практике? Можно отметить, что начиная с 1992 г. Россия уверенно движется по пути к рыночной экономике: были осуществлены либерализация цен и внешней торговли, приватизация бывших государственных предприятий и т. д. К концу 1990-х гг. все основные институциональные элементы рыночной экономики уже созданы. При этом в ходе реформирования экономики было обращено внимание на социальную ее составляющую: осуществлено законодательное обеспечение социального страхования, пенсионного обеспечения, социальной защиты безработных и т. д. (см. врезки 15.3-15.7).
Однако лишь будущее покажет, насколько россияне преуспеют в создании экономической системы социально-рыночной экономики.
(2) Собственность означает определенные обязательства. Ее использование должно одновременно служить на благо общества.
(3) Национализация допускается только на благо общества. Она может осуществляться только по закону, вид и объем компенсации регулируются...
І Статья 15. Социализация
Земля, природные богатства и производственные средства могут быть — путем национализации по закону, который регулирует вид и объем компенсации, — превращены в общественную собственность или в другие формы общественного хозяйства... (Gemeinwirtschaft).
Таким образом Конституция ФРГ закрепляет принцип частной собственности и даже, несмотря на содержание ст. 15, по преобладающему мнению, — на средства производства. В противоположность отношению к собственности радикального либерализма XIX в. (провозгласившего неограниченность частной собственности) современные исследователи исходят из «социальной увязки собственности». Это следует прежде всего из оговорки об обязательствах к ч. 2, ст. 14 Конституции, а также из возможности экспроприации на благо общества (ст. 14.3,15). Кроме того, законодательные акты ФРГ предусматривают возможности ограничения права собственности без компенсации (законы о жилищном хозяйстве, о порядке городского строительства и о земельных участках в городах, об участии наемных работников в экономических решениях).
Итак, не подлежит сомнению, что реализуемая в ФРГ форма социально-рыночной экономики прочно базируется на фундаменте Конституции и позитивно претворяет в жизнь общие условия экономической конституции. Однако это не означает, что социально-рыночная экономика предписана только в этом своем проявлении. Наоборот, Конституция оставляет место для совершенствования хозяйственных форм, например, для дальнейшего улучшения системы социального обеспечения.
Список основных понятий
¦ Экономические кризисы
¦ Полная занятость
¦ Социально-рыночная экономика
¦ Атомистическая конкуренция
¦ Действенная конкуренция
¦ Социальное обеспечение
¦ Деловые циклы
¦ Политика регулирования экономических процессов
¦ Глобальное регулирование
¦ фискальная политика
¦ Структурная политика
¦ Политика роста
¦ Индивидуализм
¦ Экономический кругооборот
¦ Суверенитет потребителей
¦ Права собственности
¦ Права пользования
¦ Права распоряжения
¦ Фиаско рынка
¦ Общественные блага ¦
¦ Отсутствие соперничества
¦ Невозможность исключения
¦ Субоптимальность
¦ Внешние эффекты
¦ Асимметрия информации
В. Вопросы и задачи для повторения
1) Назовите основные идеи классического либерализма.
2) В экономике существуют только предприятия и домашние хозяйства. Предприятия производят потребительские и инвестиционные блага, домохозяйства предоставляют им рабочую силу и иные производственные услуги. Опишите соответствующий экономический кругооборот.
3) Объясните процессы, начинающиеся в рыночной экономике, когда повышается спрос на автомобили. Покажите на примере, как в рыночной экономике решаются вопросы производства: «Что?», «Как?» и «Для кого?».
4) Выскажите свое мнение о следующем тезисе: «Координационный механизм рыночной экономики обеспечивает то, что производятся блага, соответствующие потребностям населения. Следовательно, властвует суверенитет потребителей».
5) Назовите примеры несовпадения частных и общественных издержек и выгод. Какие проблемы создаются из-за этих несовпадений?
6) Приведите примеры общественных благ, которые Вы потребляете. Назовите возможные причины, побуждающие государство к их производству.
7) В экономической действительности обычно наблюдается значительное неравенство в распределении доходов и имущества. Объясните, как образуется такое неравенство в условиях рыночной координации, даже в случае, если исходно доходы и имущество распределены совершенно одинаково.
8) Приведите примеры из своего жизненного опыта, когда Вы сталкивались с «социальными» и когда с «рыночными» компонентами экономики.
9) Объясните термин «соответствие рыночным принципам» на некоторых примерах экономической политики (регулирование экономической конъюнктуры, изменение налогов и т. д.).
10) Какие положения касаются «экономической конституции» в Основном Законе Федеративной Республики Германии и Российской Федерации?
ттшт
ШНИВИНПВ^ВШР
¦¦ I* ;тттттштшшттшшшшттятвт
¦ Одним из первых учебников промежуточного уровня по микроэкономике, написанным российскими авторами, является учебник:
Гальперин В. М., Игнатьев С. М., Моргунов В. И. Микроэкономика. СПб., 1994 Т. 1,1997. Т. 2.
¦ Можно также порекомендовать работы автора концепции «социально-рыночной экономики»:
Эрхард Л. Полвека размышлений: Речи и статьи. М., 1993.
Эрхард Л. Благосостояние для всех. М., 1991.
¦ Еще один учебник промежуточного уровня по микроэкономике, написанный российскими авторами:
Гребенников П. И., Леусский А. И., Тарасевич Л. С. Микроэкономика. 2-е изд.
СПб., 1998.
¦ Подробное изложение основ анализа спроса и предложения можно найти в следующем издании:
Экономическая школа. СПб., 1991. Том І.Вып. 1.
¦ Рекомендуем также один из последних учебников вводного уровня по экономической теории, изданных в России:
Экономическая теория: Учебник / Под ред. В. Д. Камаева. М., 1998.
¦ Систематическое изложение основных понятий современной экономической теории с учетом разнообразных социальных аспектов, а также текущих проблем экономики России, содержится в книге:
Курс экономической теории. Общие основы. Микроэкономика. Макроэкономика.
Переходная экономика: Учебное пособие. М., 1997.
¦ Можно также порекомендовать следующий учебник вводного уровня известных американских авторов:
Фишер С., Дорнбуш Р., Шмалензи Р. Экономика. М., 1993.
¦ Самым популярным в США учебником по экономической теории вводного уровня является:
Макконнелл К. Р., Брю С. Л. Экономикс. Принципы, проблемы и политика. М., 1992.
Т. 1,2.
¦ Самым известным учебником по экономической теории является следующая книга американских авторов (ее 15-е издание):
Самуэльсон Л. А., Нордхаус В. Д. Экономика. М., 1997.
¦ Книга по экономической теории, написанная известным французским автором и отражающая особенности преподавания экономики во Франции:
Барр Р. Политическая экономия. М., 1994. Т. 1,2.
¦ Философскую трактовку проблемы рыночной экономики и свободы содержат следующие публикации, которые, с одной стороны, «выросли на либерализме», а с другой — сами породили современный либерализм:
Мизес Л. Социализм. Экономический и социологический анализ. М., 1994.
Мизес Л. Бюрократия. Запланированный хаос. Антикапиталистическая ментальность. М., 1993.
Хайек Ф. А. Дорога к рабству. М., 1992.
¦ Весьма полезной для читателей будет классическая нестандартная работа Й. Шумпетера (1942):
Шумпетер Й. Капитализм, социализм и демократия. М., 1995.
* ¦> * *і „ ,t ¦% <w*-»A *
ФУНКЦИОНИРОВАНИЕ СОЦИАЛИСТИЧЕСКОГО ПЛАНОВОГО ХОЗЯЙСТВА И ПРОБЛЕМЫ ПЕРЕХОДА К РЫНОЧНОЙ ЭКОНОМИКЕ

Принципы функционирования планового хозяйства
¦ В чем состоит основная концепция централизованного планирования?
¦ Что такое количественное планирование и как используются материальные балансы?
¦ В чем заключаются основные информационные проблемы централизованного планирования?
¦ Каковы основные проблемы санкционирования централизованного планирования?
¦ В чем причина проблем, с которыми сопряжено техническое развитие в условиях планового хозяйства?
Основные принципы трансформационных процессов в экономиках бывшей
ГДР и России
¦ Виды трансформационных стратегий.
¦ В чем заключаются институциональные условия переходного периода в бывшей ГДР и в России?
¦ Чем отличалась исходная ситуация в бывшей ГДР от экономического положения России?
¦ В какой фазе переходного периода находятся новые федеральные земли ФРГ и характеристика российского пути.
|
шншмшаш |  |

Б.
Анализ
В наши дни мы наблюдаем социалистическое плановое хозяйство, пожалуй, только в переходном его состоянии и лишь в небольшом числе стран мира. Данная экономическая система в основном упразднена. Несмотря на это, мы опишем ее основные черты. Дело в том, что все вновь обсуждаемые предложения по формированию экономического строя, сочетающего черты капитализма и социализма, почти всегда базируются на определенных элементах централизованного планирования и/или социализма. Поэтому мы рассматриваем основные особенности функционирования таких элементов.
1. Плановое хозяйство
1.1. Основная концепция централизованного планирования
В плановом хозяйстве делается попытка согласовывать и заранее определить в центральном плане экономическую деятельность миллионов производственных и потребительских единиц (предприятий и домохозяйств).
Исходная точка и основа такого плана — цели и возможности производства, когда фиксированные (в основном) общеэкономические цели (например, максимально возможный экономический рост, форсированное развитие тяжелой промышленности) в принудительном порядке, через соответствующие плановые указания, определяют экономическую деятельность обязанных выполнять их предприятий и домохозяйств.
В этом и состоит основное отличие централизованного планирования от модели рыночной экономики, в соответствии с которой индивидуальные цели миллионов домохозяйств и предприятий непосредственно определяют их экономические действия и, таким образом, косвенно воздействуют на общеэкономические процессы. Данное положение сохраняет силу, даже с учетом того, что в практике рыночной экономики предпринимаются попытки достижения определенных общеэкономических целей (например, полной занятости и стабильности цен) и воздействий на макроэкономическое развитие. И тем не менее о прямом вмешательстве государства в частнохозяйственную деятельность (через так называемое частичное, или микрорегулирование) не может быть и речи, на частнохозяйственные планы оказывается лишь косвенное (в рамках так называемого общего макрорегулирования) влияние.
Как можно представить способ функционирования планового хозяйства?
Состоящая из экспертов плановая комиссия докладывает органам, принимающим политические решения (на основе опыта сотрудничества с подчиненными им плановыми органами и предприятиями), оценку возможностей общеэкономического производства (как бы расставляет точки на общеэкономической кривой трансформации). Государственные деятели на основе своего понимания общественных целей выбирают такую комбинацию благ, которая становится обязательным центральным планом для экономики. Центральная плановая комиссия, основываясь на принятых решениях, определяет (снова в сотрудничестве с нижестоящими плановыми органами) объемы производства соответствующих благ для отдельных предприятий и назначает план их распределения (опять же в соответствии с общим планом). Предприятия действуют на основе полученных плановых заданий, регулярно докладывая о текущих результатах контролирующим выполнение плана центральным плановым органам.
1.2. Основные принципы количественного планирования
Процесс централизованного планирования отличается высокой сложностью. Плановый орган должен иметь точную информацию об условиях производства на отдельных предприятиях. К примеру, ему необходимы точные данные о наличии оборудования, численности работников и запасах полуфабрикатов на складах конкретного предприятия X в начале планового периода (допустим, года), о капитальных благах, которые могут быть предоставлены ему другими внутренними производителями страны или импортированы из-за рубежа и в какие сроки, о номенклатуре и техническом уровне товаров, сроках их поставок и т. д. Анализируя информацию относительно экономики страны в целом, плановый орган в конечном счете определяет совокупность производственных возможностей. В случае формирования окончательного народнохозяйственного плана, плановой комиссии, используя имеющиеся у него данные, дает отдельным предприятиям указания относительно структуры и объемов производства.
Главным инструментом централизованного планирования является система так называемых плановых балансов, посредством которых планируется объем производства. Их принцип можно проиллюстрировать на примере.
Предположим, что Министерство промышленности сообщает о потребности в ПОО автомобилях. Плановая комиссия «противопоставляет» этой потребности предполагаемый запас автомобилей на складах в объеме 50 шт., планируемый импорт в объеме 50 шт. и определяет, что необходимо произвести 1 тыс. автомобилей:
|
Баланс потребности в автомобилях |
|
Планируемые источники удовлетворения потребности |
Потребность |
Запасы на складах 50
Импорт 50
Производство 1000 |
Внутреннее потребление 1100 |
|
1100 |
1100 |
|
На следующем этапе определяется необходимый для производства 1 тыс. автомобилей объем ресурсов. Исходя из практического опыта использования факторов (так называемых «норм») делается следующий расчет (мы ограничимся для упрощения тремя производственными благами): |
|
Баланс производства автомобилей |
|
Необходимые затраты факторов |
Производство |
Труд 5000 ч
Машины и оборудование 500 ч
Листовая сталь 10000 м-’ |
Выпуск 1000 шт. |
|
Насколько реалистичен баланс? Плановая комиссия должна определить наличие в необходимом объеме каждого фактора (т. е. составить материальные балансы). Для этого ей необходимо проанализировать доступность всех задействованных в производстве автомобилей благ (конкретные виды труда, производственные мощности, сырье и материалы).
В нашем примере мы исследуем возможности распоряжения лишь одним производственным ресурсом — стальным листом.
Ответственный за производство листовой стали отдел плановой комиссии получает заявку на удовлетворение потребности от металлообрабатывающих отраслей (например, 50 тыс. м-для танков и 20 тыс. м-для судов). Его сотрудники сопоставляют совокупную потребность (включая спрос автомобильной промышленности) в размере 80 тыс. м- с запасами в объеме 5 тыс. м2 и импортом в объеме 5 тыс. м2. Таким образом, необходимый объем внутреннего производства составляет 70 тыс. м2. Для упрощения мы предполагаем, что речь идет только об одном виде листовой стали.
|
Баланс потребности в стальном листе |
|
Планируемые источники удовлетворения потребности |
Производственные потребности |
Запасы на складах 5000 м-’
Импорт 5000 м2
Производство 70 000 м2 |
Автомобили 10000 м2
Танки и суда 70 000 м2 |
|
80000 м2 |
80 000 м2 |
После этого определяются ресурсы необходимые для производства 70 тыс. м2 стального листа.
|
Баланс производства стального листа |
|
Необходимые затраты факторов |
Производство |
Труд 1500 ч.
Машины и оборудование 1000 ч.
Сталь, 7000 т
В том числе для производства:
машин 1000т
танков 4000 т
судов 2000 т |
Листовая сталь 70 000м2 |
Анализируя возможности производства листовой стали, плановая комиссия прослеживает перспективные направления использования всех производственных ресурсов. Мы ограничимся одним фактором — сталью, объем использования которой уже показан в приведенном выше балансе.
Ответственный за производство стали отдел плановой комиссии получает заявки от отдела, контролирующего выпуск листовой стали (7 тыс. т), и остальных нуждающихся в ней отраслей (например, от машиностроения — 8 тыс. т). Исходя из имею-
|
щихся запасов (1 тыс. т) и импорта (1 тыс. т) отдел, ответственный за производство листовой стали, определяет потребность в производстве стали в количестве 13 тыс. т. |
|
Баланс потребности в стали |
|
Планируемые источники удовлетворения потребности |
Потребность для производства |
Запасы на складах 1000 т
Импорт 1000 т
Производство 13 000 т |
Листовая сталь 7 000 т
Прочие отрасли,
перерабатывающие сталь 8 000 т |
|
15 000 т |
15 000 т |
|
|
Вновь необходимо определить затраты производственных ресурсов. |
|
Баланс производства стали |
|
Необходимые затраты факторов |
Производство |
|
Труд |
200 ч. |
Сталь 13 000 т |
|
Машины |
100 ч, |
|
|
Железная руда |
33 000 т |
|
|
В том числе для: |
|
|
|
Отрасли промышленности, |
|
|
|
использующие листовую сталь: 14 000 т |
|
|
1000 автомобилей: |
2000 т |
|
|
100 танков |
8000 т |
|
|
10 судов |
4000 т |
|
|
Машиностроительной |
|
|
|
промышленности: |
19 000 т |
|
|
200 кранов |
10 000 т |
|
|
3000 станков |
9000 т |
|
|
После этого необходимо проверить наличие ресурсов (рабочее время, машино-часы и железная руда). Мы ограничимся рассмотрением одного из них — железной руды.
Отдел, ответственный за производство железной руды, получает заявку от отдела, отвечающего за выпуск стали (на 33 тыс. т), и определяет исходя из имеющихся запасов (0 т) и импорта (15 тыс. т) потребность в производстве железной руды (18 тыс. т). Таким образом, мы дошли до сырьевой промышленности, производственные мощности которой в плановом периоде ограничены возможностями добычи.
Предположим, что возможна добыча 15 тыс. т железной руды, а значит, ее дефицит составляет 3 тыс. т. .
|
Баланс потребности в железной руде |
|
Планируемые источники удовлетворения потребности |
Производственные потребности |
Запасы на складах 0 т
Импорт 15 000 т
Производство 15 000 т
Дефицит 3 000 т |
Листовой стали 14 000 т
В том числе для:
1000 автомобилей 2 000 т
100 танков 8 000 т |
|
Баланс потребности в железной руде (продолжение) |
|
Планируемые источники удовлетворения потребности |
Производственные потребности |
|
|
10 с?дов 4000 т
Машиностроения, 19 000 т
в том числе для:
200 кранов 10 000 т
ЗОООстанков 9000 т |
|
33 000 т |
33 000 т |
Наш пример иллюстрирует сущность количественного планирования в плановом хозяйстве — систему взаимосвязанных материальных балансов.
В нашем примере система материальных балансов не уравновешена, так как экономика испытывает недостаток железной руды в объеме 3 тыс. т (руда, очевидно, является дефицитным производственным ресурсом). Перед плановой комиссией встает задача его устранения. Она обладает несколькими «рычагами», которые могут быть использованы по отдельности или в совокупности.
(1) Имеется возможность импорта дополнительного объема железной руды.
(2) Может быть изменена норма потребления металла, например на один автомобиль должно расходоваться не более 8 м2 стального листа («давление в сторону уменьшения нормы расхода»).
(3) Комиссия проверяет возможность производства некоторых благ с использованием других ресурсов (например, применение пластмассовых деталей).
(4) Принимается решение о сокращении производства изделий из металла (выпуск автомобилей и иных машин).
В практике плановых хозяйств использовались все эти возможности. Предположим, что варианты 1-3 исключены, а значит, необходимо принять решение относительно того, что производить. В данном случае речь может идти о сокращении объемов производства автомобилей, танков, судов, кранов или станков. Принимая решение, центр, возможно, будет ориентироваться на измеренные в железной руде альтернативные издержки производства отдельных благ.
В примере, приведенном выше, альтернативные издержки выражаются следующим образом:
|
1 автомобиль стоит |
2 т железной руды |
|
1 танк стоит |
80 т железной руды |
|
1 судно стоит |
400 т железной руды |
|
1 кран стоит |
50 т железной руды |
|
1 станок стоит |
3 т железной руды |
|
|
Отсюда мы получаем следующие коэффициенты трансформации: |
значение полезности известно, появляется возможность прямого определения полезности каждой тонны железной руды, используемой для изготовления автомобилей, кранов и т. д. Ограничение производства приводит к тому, что:
(1) дефицит исчезает и
(2) полезности каждой тонны железной руды, вкладываемой в машины, танки, суда, краны и в станки, с точки зрения общества выравниваются.
Подробное рассмотрение примера позволяет нам получить хотя бы приблизительное представление о проблемах планового хозяйства. И вы еще раз представили себе, сколь сложные координационные задачи рынок решает как бы автоматически. Централизованное планирование в силу высокой сложности может реально осуществляться только для ограниченного числа приоритетных благ. В бывшем СССР количественное планирование реализовывалось в виде примерно 2 тыс. материальных балансов. Количественное планирование дополнялось стоимостным планированием, т. е. планированием, осуществляемым с помощью цен.
1.3. Проблемы централизованного планирования
Основные трудности централизованного планирования состоят в невозможности решения информационной проблемы и проблемы «санкционирования».
1.3.1. Информационная проблема
Для составления центрального плана необходима информация о:
¦ наличных ресурсах;
¦ (оптимальных) производственных процессах;
¦ в идеальном случае — о предпочтениях потребителей.
Так как необходимая центру информация исходит от предприятий, которые не заинтересованы в «напряженных», трудновыполнимых планах, в плановом хозяйстве имеет место тенденция искажения информации в сторону занижения полученных результатов. Социалистические предприятия стремятся к так называемым «ненапряженным» планам, выполнение которых не предполагает использования всего производственного потенциала. Но даже при предоставлении в центр «истинной» информации весьма сомнительно, что плановая комиссия обработает данные удовлетворительным образом.
Основной проблемой является принципиальная неспособность планового органа оптимально координировать производство. В капиталистической рыночной экономике цены на товары достаточно точно отражают:
¦ редкость наличных ресурсов;
¦ уровень современных технологий;
¦ предпочтения потребителей.
Поскольку в плановом хозяйстве цены не соответствуют редкости товаров, центр в принципе не способен разработать оптимальный план. Плановый орган, например, не имеет возможности точно оценить величину наименьших реальных издержек производства электроэнергии на ТЭЦ, АЭС или ГЭС. Быть может, с точки зрения экономики следовало бы приобретать электроэнергию у зарубежных поставщиков. Государство не может знать, насколько целесообразно производить автомобили на вертикально интегрированных крупных заводах. Быть может, следовало бы сделать ставку на небольшие предприятия. Таким образом, даже если плановый орган составит более или менее сбалансированный план, ему никогда не удастся добиться оптимальной координации. Централизованное планирование ведет к растрате ресурсов экономики.
1.3.2. Проблема санкционирования
Надежды на достижение при социализме соответствия между мотивами поступков индивидов и надлежащим выполнением ими общественных функций потерпели неудачу. Положение о том, что каждый гражданин осознает интересы общества, отождествляет их со своими частными интересами и действует в соответствии с ними, не оправдалось, И при социализме люди стараются соблюсти прежде всего личные интересы, поэтому необходимы мотивация к труду и контроль над результатами деятельности.
В то время как в капиталистической рыночной экономике ценовой механизм и механизм прибылей автоматически обеспечивают мотивацию и контроль, в социалистическом хозяйстве данный процесс должен быть организован искусственным образом, Мерилом результата здесь выступает выполнение плана:
Результат = фактический выпуск - запланированный выпуск,
По вполне понятным причинам интерес участвующих в производстве лиц при этом всегда направлен не на максимизацию фактического выпуска, а на минимизацию планов производства, тем более что исполнение текущего плана рассматривается центром как основа для определения заданий следующего года. Все практические попытки изменить это положение потерпели неудачу.
1.3.3. Низкая инновационная активность
Еще один порок социалистического планового хозяйства — неустранимые проблемы в инновационной деятельности в разработке новых продуктов (продуктовые инновации) и новых процессов (технологические инновации). Инновационная активность социалистической экономики находится на существенно более низком уровне, чем в капиталистическом хозяйстве. Это и понятно, ведь в плановой экономике постоянно накапливаются информационные проблемы и проблемы санкционирования.
¦ Планирование технологических инноваций практические невозможно (откуда плановый орган может получить информацию о сравнительной выгодности различных технологий?).
¦ Планирование продуктовых инноваций сопряжено со значительными проблемами, так как количественное планирование имеет дело с количественно оцениваемыми плановыми заданиями, а улучшение качества или инновации не поддаются подобным оценкам (попробуйте количественно оценить красоту летней одежды или вкус колбасы).
¦ Производители (предприятия и работники) не заинтересованы в инновациях. Внедрение новшеств нарушает обычный производственный процесс, а значит, негативно отражается на показателях выполнения планов. Потери руководства предприятия, как правило, намного превосходили потенциальные выгоды.
1.3.4. Вывод: недостаток эффективности
Недостатки централизованного планирования можно перечислять и дальше. Упомянем следующие из них:
¦ накопление ошибок в планах и срывы плановых заданий;
¦ вытекающая из предыдущего склонность к созданию «стратегических резервов», позволяющих предприятию продолжать производство при сбоях в поставках;
¦ постепенный переход к двусторонним сделкам;
¦ «психология вала», т. е. склонность производителей выполнять плановые задания (определяемые в количественных показателях — тонны, километры, штуки) путем выпуска особо тяжелых и крупных или массовых изделий; поэтому, например, транспортная фирма, выпуск которой измеряется в тонно-километрах, стремится осуществлять перевозки на маршрутах с возможно большей протяженностью;
¦ выраженные инерционные тенденции; ошибки выявляются и устраняются с большим опозданием, если вообще до них «доходят руки» (например, кукурузная эпопея «хрущевской эпохи» в бывшем СССР).
Социалистическое плановое хозяйство в сравнении с капиталистическим рыночным существенно менее эффективно. Следующий грубый расчет достаточно точно отражает величину этой неэффективности: «в конечном счете уровень жизни в ГДР сегодня (1989) составляет примерно одну треть нашего уровня (ФРГ)» (Wirtschaft-swoche. 1989. №48. 24.11. S.174)
Мы не хотели бы сравнивать политические системы капитализма и социализма, но заметим, что опыт каждой страны «победившего пролетариата» — наглядное подтверждение справедливости принципа «неделимости свободы» (без экономических свобод политические свободы недостижимы).
2. Процесс трансформации в бывшей ГЛР
2.1. Понятие трансформации
В первой главе мы пришли к заключению, что основными независимыми элементами экономической системы являются тип собственности на средства производства и механизм координации, предельными формами проявления которых выступают частная собственность и государственная собственность, с одной стороны, и рыночная координация и координация посредством принимаемого центром плана — с другой.
Таким образом, изменение форм проявления одного из системных элементов означает трансформацию экономической системы. В этом широком смысле под трансформацией экономики понимается как преобразование социалистической рыночной экономики в капиталистическую (или наоборот), таки переход от планового хозяйства к социалистической рыночной экономике. Если учитывать не только крайние формы проявления системных элементов, но и смешанные формы (промежуточные ступени, например «преимущественно частную собственность, смешанную с государственной собственностью'», и т. п.), уместен вопрос: «В каком объеме должен измениться элемент системы, чтобы имела место трансформация, а не системная реформа?».
В ходе начавшихся в Восточной Европе в 1989 г. политических и экономических преобразований в теории сложилось более узкое понимание трансформации, под которой подразумевается переход социалистического планового хозяйства, или социалистической рыночной экономики, к капиталистической рыночной экономике. Мы также ограничиваемся рассмотрением преобразования социалистического планового хозяйства в капиталистическую рыночную экономику на примере процессов трансформации в бывшей ГДР (а значит, новых федеральных землях ФРГ) и в России.
Каковы основные задачи трансформации и возможно ли найти их оптимальное решение? На эти вопросы пытается найти ответы разрабатываемая в последние годы «теория трансформации». Но, по нашему мнению, они носят скорее мировоззренческий характер и не являются результатом экономического расчета выгод и издержек трансформации, определяемых, в частности, темпами продвижения реформ.
2.2. Стратегии трансформации
По скорости осуществления трансформации часто выделяют два подхода: «шоковую терапию» и «градуализм», т. е. относительно быстрый и более длительный, осторожный пути преобразования экономической системы.
В отношении координационного механизма сторонники «шоковой терапии» выступают за как можно более раннее всеохватывающее дерегулирование всех рынков, т. е. выступают за скорейшее введение рыночного механизма. Они ратуют за быструю приватизацию предприятий, причем предполагается, что в условиях рыночной экономики нежизнеспособные в среднесрочной перспективе предприятия должны быть ликвидированы. Градуалисты предлагают первоначальное и только частичное дерегулирование отдельных рынков. Предприятия (при разделении некоторых из них) должны быть переведены на самоокупаемость. Но градуалисты положительно относятся к временным дотациям. Что касается типа собственности, то большинство предприятий должны первое время оставаться в государственной собственности, приватизация растягивается во времени.
Обе трансформационные стратегии подкрепляются политической аргументацией. По мнению сторонников «быстрой трансформации», длительный процесс реформирования снижает, затрудняет проведение фундаментальных преобразований (например, из-за противодействия бывшей номенклатуры), в то время как для градуалистов политически более приемлемым представляется «обрубание хвоста» частями. Кроме того, сторонники «шоковой терапии» приводят тот аргумент, что цены должны как можно быстрее «приступить» к выполнению в полном объеме функции регулирования (размещения ресурсов), что позволит в кратчайшие сроки устранить аллокационную неэффективность старой системы. Они отвергают дотирование в среднесрочной перспективе неконкурентоспособных предприятий, предлагая направить средства на поддержку новых отраслей, например, общественной инфраструктуры. Возражение градуалистов состоит в том, что радикальные изменения цен сопровождаются обширными структурными преобразованиями, чреватыми банкротством большого числа предприятий и массовой безработицей. Они придерживаются мнения, что издержки форсированного структурного кризиса в форме высокой безработицы и проблем адаптации в конечном счете превышают возможный выигрыш в эффективности.
С прагматической точки зрения, в экономике должна быть реализована трехступенчатая схема трансформации, в которую могут входить как элементы «шоковой терапии», так и элементы градуализма. Необходимы:
¦ фаза подготовки;
¦ стартовая точка (или стартовая фаза);
¦ фаза приспособления.
В фазе подготовки необходимо создать рамочные законодательные условия и институциональные основы новой экономической системы. К началу реформирования должны быть заложены предпосылки функционирования рынка, а органы экономического регулирования призваны овладеть необходимыми для решения своих задач инструментами. К основным предпосылкам процесса реформ относятся:
¦ разработка и введение в действие новой демократической конституции, определяющей принципы разделения властей, гарантирующей и обеспечивающей их посредством действенной системы правовых отношений гражданские права (в том числе свободу заключения договоров, предпринимательства, свободу выбора профессий, создания ассоциаций, свободу передвижения (частных лиц) и открытия филиалов предприятий);
¦ создание двухуровневой банковской системы, включающей в себя Центральный банк и систему частных коммерческих банков; организация денежного обращения означает также создание механизмов сдерживания роста цен, чтобы при их освобождении в момент старта избежать трудноуправляемых инфляционных тенденций (нередко неизбежным условием реформ становится проведение денежной реформы);
¦ формирование рынков капитала;
¦ создание системы налогообложения, позволяющей обеспечить необходимыми средствами государственные органы финансового управления, что позволяет отказаться от излишне частого обращения к печатному станку;
¦ построение эффективной системы государственного управления (правоохранительные органы, органы местного самоуправления и т. д.);
¦ создание мощной социальной системы (страхование от безработицы, пенсионное страхование, страхование на случай болезни), позволяющей смягчить возникающие в ходе трансформационного процесса проблемы;
¦ выбор режима обменных к?рсов. т. е. установление жесткого или плавающего курса национальной денежной единицы по отношению к валютам других стран;
¦ институционализация партнеров по коллективным договорам;
¦ создание учреждений по надзору за конкуренцией;
¦ разукрупнение крупных государственных предприятий с целью формирования конкурентной среды; кроме того, необходима институциональная подготовка этих предприятий к приватизации.
Отправным пунктом является день освобождения цен1, когда в действие вступает механизм регулирования экономики посредством цен и прибылей (через «рыночное размещение ресурсов»).
Но полное и одновременное освобождение цен на всех рынках представляется нам нецелесообразным. Например, может быть сохранено регулирование внешнеэкономической деятельности с помощью таких инструментов, как ограничения импорта и экспорта, валютный контроль. Возможно «замораживание» обменного курса с целью предотвращения ожидаемого (при приспособлении к рыночному курсу) резкого обесценения национальной валюты, лишающего экономику возможностей импорта (цена на импортные товары резко возрастает, а конкурентоспособность отечественных товаров на внешних рынках не изменяется) . В большинстве случаев перспективы резкого увеличения экспорта отсутствуют (в силу утраты внешних рынков и/или отсутствия конкурентоспособных товаров), что обусловливает недостаток валютных поступлений, необходимых для осуществления импорта. Против внешнеэкономического обособления может быть выдвинут следующий аргумент: эффективное регулирование рынка требует жесткого контроля (например, из-за появления» черных рынков» и т. д.). Кроме того, уменьшаются возможности приспособления отечественных рынков к международным конкурентным условиям. что приводит к неэффективному размещению ресурсов. Другими потенциальными сферами, где могли бы быть введены временные ограничения ценовой конкуренции, являются рынок труда и рынок жилья. На рынке труда целесообразна поддержка предприятий, которые в среднесрочном плане могли бы собственными силами обрести конкурентоспособность через дотирование зарплаты и инвестиции. Возможно даже — ввиду общественных издержек безработицы — субсидирование в течение ограниченного промежутка времени расходов на заработную плату на предприятиях «без долгосрочных перспектив», пока экономика не располагает ресурсами, необходимыми для осуществления перехода на рыночные «рельсы».
В конечном счете подготовка стартовой фазы (градуализм против «шоковой терапии») зависит от оценки общественных выгод и издержек каждого из альтернативных путей. Впрочем, оценка зависит от отбора и «веса» учитываемых при расчете компонентов выгод и издержек и, таким образом, ее объективность вызывает обоснованные сомнения.
В фазе приспособления, условием которой является частичное или полное вступление в действие механизмов рыночной экономики, надлежащая экономическая политика должна смягчать и поддерживать процесс трансформации. Такая поддержка должна оказываться различным сферам и поэтому может быть прокомментирована здесь только на некоторых примерах.
По завершении денежной реформы и освобождения цен на товары и услуги цели денежной политики государства, как правило, заключаются в повышении международной конкурентоспособности страны и ограничении возможностей повышения заработной платы. При повышении цен на дотированные до сих пор блага возникает дефицит спроса. Во избежание рецессивной спирали необходимо финансирование за счет дефицита госбюджета инфраструктурных секторов экономики (транспорт, образование, инфраструктура управления и т. д.) и стабилизация потребительского спроса. Кроме того, встает задача уровня конкуренции в экономике путем содействия государства в создании новых фирм, облегчении доступа на рынки. Необходимо стимулировать инвестиции, придающие новые импульсы сфере предложения, что способствует повышению конкурентоспособности предприятий и увеличению занятости. Ввиду начинающихся резких структурных сдвигов необходимо уделить особое внимание экономической политике на рынке труда, предпринимая меры по переквалификации и созданию новых рабочих мест. Огромные обязательства возникают также в сфере социальной политики, так как неизбежно растущая безработица может стать политической «бомбой», взрыв которой поставит под угрозу трансформационный процесс в целом.
В фазе приспособления начинается приватизация крупных государственных предприятий. С одной стороны, темп ее осуществления зависит от позиции ответственных за экономическую политику институтов по отношению к «шоковой терапии» и градуализму, С другой стороны, огромное значение имеет способность общества выдержать процесс «созидательного разрушения» (прежде всего в тех случаях, когда отсутствует внешняя помощь),
Значение внешней поддержки определяется тем, что освобождение цен, обычно вследствие полного обновления структуры спроса, приводит по крайней мере к частичному обесценению существующих запасов капитала, так как произведенные с их помощью блага находят ограниченный спрос. Преобразование и воссоздание запасов капитала занимает относительно длительный период времени.
2.3. Институциональные условия трансформационного процесса в бывшей ГАР
Начавшиеся с открытием «внутригерманской» границы между ФРГ и ГДР осенью 1989 г. экономические процессы не имеют аналогов в новейшей истории, Если поначалу казалось, что бывшая ГДР стремится к самостоятельному государственному и экономическому развитию, то успех на выборах Л. де Мезьера (de Maiziere) и формирование нового правительства поставили в повестку дня вопрос объединения двух немецких государств.
Сформированное после первых свободных выборов в ГДР 18 марта 1990 г. правительство Л. де Мезьера заключило в мае того же года Первый государственный договор с Федеративной Республикой Германии об образовании к 1 июля 1990 г. валютного, экономического и социального союза.
В соответствии с Первым государственным догозором 1 июля на территорию ГДР была распространена сфера действия немецкой марки, а Бундесбанку вменялось в обязанность создание на ней денежной системы по образцу ФРГ и проведение монетарной политики. «Обмен» валюты в ГДР для зарплаты, квартплаты, пенсии и прочих трансфертов (включая налоги и сборы) осуществлялся по курсу 1:1.
Врезка 3.1.
Институциональные условия переходного периода в России
На протяжении длительного периода, в 1970—начале 1980-х гг., в экономике СССР нарастали неблагоприятные тенденции, темпы экономического роста замедлились, в ряде отраслей наблюдалась стагнация. В апреле 1985 г. после прихода к власти М. С. Горбачева ЦК КПСС принял решения об ускорении интенсификации производства. В феврале 1986 г. состоялся XXVII съезд КПСС, на котором были утверждены «Основные направления экономического и социального развития СССР на период 1986-1990 гг. и на период до 2000 г.». В соответствии с ними предусматривалось увеличение производственных капитальных вложений до 25% по сравнению с 16% в предыдущей пятилетке (1981-1985 гг.). Производительность труда планировалось увеличить на 22-23% (в предыдущей пятилетке — на 16,5%). В качестве одной из задач выдвигалось увеличение производства предметов потребления — на 22-25%. Заработная плата должна была вырасти на 23%, производство средств производства — на 22-23%. Однако неблагоприятные тенденции в экономике сохранялись: в сравнении с 1985 г. показатель ВНП уменьшился в 1990 г. на 3%, а в 1991 г. — на 17%.
Отказ от централизованного планирования потребовал изменений в системе цен, которые, как предполагалось, будут осуществляться под жестким контролем государства. Одновременно в целях сокращения бюджетных расходов предусматривалось ограничение субсидий. В январе 1991 г. правительство СССР внесло коррективы в цены производителей, но розничные цены изменились только в апреле, и в среднем цены увеличились на 60%. Прибыли предприятий возрастали, но их прирост был выведен из-под налогообложения. Таким образом, на бюджет легла огромная нагрузка по предоставлению субсидий и компенсаций. После апрельского повышения розничных цен был снижен налог на прибыль предприятий, что позволило увеличить зарплату сотрудников. К середине 1991 г. розничные цены выросли на 142%, а оптовые цены в промышленности — на 236%. В то же время объем производства промышленной продукции снизился на 11%. Товарный рынок был разбалансирован, тотальный дефицит был усугублен инфляционными ожиданиями. Одновременно нарастал бюджетный дефицит (31% ВВП), покрывавшийся за счет эмиссии. Политический кризис 1991 г. еще более осложнил ситуацию и привел к отказу от концепции постепенной реформы. В 1991 г. был принят «Закон о приватизации», в соответствии с которым предусматривалось образование на базе государственных предприятий только акционерных обществ открытого типа. Данное мероприятие практически никак не повлияло на повышение эффективности деятельности предприятий и трудовую активность сотрудников.
Бессрочные и сберегательные вклады граждан ГДР «обменивались» до верхнего предела, устанавливаемого в зависимости от возраста граждан и составлявшего от 2000 до 6000 тыс. марок в соотношении 1:1; суммы сверх данного лимита обменивалась в соотношении 2:1. Таким образом, примерно 2/3 сбережений граждан ГДР практически не «пострадали».
ГДР, в соответствии сост. 1 Первого государственного договора, приняла от ФРГ также экономическую конституцию, т. е. «социально-рыночную экономику» с частной собственностью, конкуренцией рыночных сил, свободным ценообразованием и в принципе полной свободой перемещения рабочей силы, капитала, товаров и услуг.
В декабре 1991 г. был ликвидирован СССР. Россия превратилась в самостоятельное государство. Центральным элементом экономической реформы в РФ стала полная либерализация цен. 2 января 1992 г. были «отпущены на свободу» 80% оптовых и 90% потребительских цен. Исключение составляли товары первой необходимости, а также материальные ресурсы (энергоносители и транспорт), освобождение цен на которые могло существенно осложнить работу промышленности. Но и оставшиеся под контролем цены выросли в 3-5 раз. В марте 1992 г. были отпущены цены практически на все остальные потребительские товары, а в мае в 6 раз были подняты цены на нефть. Отмена контроля за ценами сопровождалась либерализацией внешнеторговых операций и обменного курса. Во многих случаях основной объем необходимой для импортных закупок валюты мог приобретаться за рубли по рыночному (межбанковскому) курсу, хотя валютный контроль сохранялся. В значительной степени сохранялись и централизованные закупки ресурсов, и их продажа по специальным (субсидированным) обменным курсам. Экспорт сырья и военной продукции (70% общего объема экспорта) по-прежнему регулировался квотами и лицензионными требованиями. В итоге либерализация цен вызвала почти пятикратное увеличение розничных цен за первые три месяца 1992 г. (в сравнении с декабрем 1991 г.), а оптовые цены за первые два месяца возросли в три раза. Первоначальный рост цен после их либерализации в России оказался выше, чем в других проводивших аналогичные реформы восточноевропейских странах.
В других республиках СССР события тем временем разворачивались следующим образом. С началом демократизации после 1986 г. в национальных республиках усиливались центробежные настроения, связанные с ростом национального самосознания. К «центру» все чаще предъявлялись требования о предоставлении максимальной самостоятельности в принятии хозяйственных решений, одновременно обострялись межнациональные конфликты (Карабах, Алма-Ата, Тбилиси). Наиболее активными были республики Прибалтики (Литва, Латвия, Эстония). В 1991 г. политическое руководство СССР приступило к подготовке нового союзного договора, который планировалось подписать в августе 1991 г.
Тем временем во многих республиках для защиты национальных рынков и как атрибут политической независимости вводились денежные суррогаты (талоны, купоны).
В августе 1991 г. в Москве была предпринята попытка переворота (ГКЧП), окончательно похоронившая идею подписания нового договора. После подавления путча почти все республики СССР провозгласили независимость и государственный суверенитет. В декабре 1991 г. главы трех республик (Белоруссии, России и Украины) приняли решение о создании Содружества Независимых Государств (СНГ) и денонсировании Союзного договора 1922 г. СССР в юридическом смысле прекратил свое существование.
Поэтому, за исключением квартплаты и сборов за ¦общественные услуги» (транспорт, энерго- и водоснабжение и т. д.), цены к 1 июля 1990 г. были освобождены, остатки государственного планирования ликвидированы, а полномочия в определении ставок заработной платы переданы «тарифным партнерам» (т. е. профсоюзам и работодателям).
В соответствии с договоренностями о создании социального союза на ГДР было распространено законодательство ФРГ о труде и системе социального обеспечения.
Во Втором государственном договоре (договоре о присоединении) от 31 августа 1990 г. было установлено, что 3 октября 1990 г. ГДР в соответствии сост. 23 Конституции присоединяется к Федеративной Республике Германии, что означало распространение всей совокупности правовой системы ФРГ на пять новых федеральных земель.
С заключением Первого и Второго государственных договоров для бывшей ГДР (т. е. новых федеральных земель) были установлены новые нормы правового регулирования собственности. Параллельно с этим проходила подготовка к передаче государственной собственности в частные руки. Предполагалось, что данный процесс будет означать формирование центрального функционального элемента капиталистической рыночной экономики, а именно инициацию мотивационных воздействий частных прав распоряжения и пользования, способствующихсущественному повышению эффективности использования экономических ресурсов.
Центральную роль в приватизационном процессе в новых землях ФРГ играет созданное прежним руководством ГДР в марте 1990 г. Ведомство по распоряжению имуществом (Treuhandanstalt). В принятом народным собранием ГДР законе от 17 июня 1990 г. в связи с Первым государственным договором задачи Ведомства по распоряжению имуществом были переформулированы и включены в договор о присоединении. Формально Ведомство было самостоятельным, но в принципе, как федеральное ведомство публичного права, подлежало надзору со стороны Министерства финансов ФРГ. Центральная задача Ведомства состояла в реструктуризации на принципах конкуренции предпринимательского сектора бывшей ГДР и приватизации предприятий. Предполагалось, что приватизация будет проводиться в сжатые сроки и ограничится потенциально конкурентоспособными в среднесрочном периоде предприятиями, что позволило бы создать эффективную экономическую структуру. Предприятия, не имевшие шансов на выживание в рыночной среде, подлежали ликвидации,
Таким образом, перед Ведомством по распоряжению имуществом стояли огромные, представлявшиеся почти неразрешимыми задачами. Первоначально в сферу его деятельности вошли более 9 тыс. предприятий (более 45 тыс. производственных единиц), Кроме того, необходимо было приватизировать 20 тыс. торговых заведений, 7500 гостиниц и ресторанов, а также тысячи аптек, книжных магазинов и кинотеатров. Ведомство получило в свое распоряжение 2,3 млн га сельскохозяйственных площадей и 1,9 млн га лесных угодий.
После первого «раздробления» комбинатов (трестов) и предприятий государственной (народной) собственности число объектов приватизации возросло еще больше. Приводимые данные весьма приблизительны, так как по ходу приватизационного процесса осуществлялись все новые и новые разделения существующих предприятий. По нашим оценкам, в приватизации участвовало 12-14 тыс. предприятий.
В начале работы Ведомства существенным препятствием оказался принцип «приоритетности возврата имущества перед финансовой компенсацией» (передача национализированного имущества бывшим собственникам), зафиксированный в Законе о разрешении открытых имущественных вопросов и вошедший в Договор о присоединении. Впоследствии этот принцип был частично отменен применительно к случаям осуществления крупных инвестиций в предприятия или для обеспечения их бесперебойного функционирования.
2.4. Экономическая ситуация, ее развитие и ход. процесса приватизации
Введение рыночных механизмов ввергло экономику бывшей ГДР в небывалый в новейшей экономической истории шок. С одной стороны, экономический, валютный и социальный союз принес гражданам бывшей ГДР одну из самых твердых валют мира, с другой — он привел к столкновению ее предприятий со значительно более сильными конкурентами (экономика страны находилась в безнадежном положении).
Производственное оборудование предприятий было в значительной степени изношено — в течение нескольких лет государство уделяло основное внимание увеличению потребления населения (неявно реализовывался принцип «потребление вместо инвестиций»). Ценой сравнительно высокого уровня жизни граждан бывшей ГДР стало «проедание» производственного оборудования.
Промышленное оборудование соответствовало уровню лучших мировых образцов, скорее, как исключение. Даже в ключевых отраслях, таких, например, как микроэлектроника, стандарты ГДР существенно уступали принятым в промышленно развитых странах требованиям. Производственные методы могли быть оптимальными по издержкам только случайно, так как в плановом хозяйстве цены производственных средств не отражают их редкость. Для многих производственных процессов было характерно высокое потребление энергии и материалов, сопровождавшееся значительным загрязнением окружающей среды. Мотивация к продуктовым и технологическим инновациям практически отсутствовала.
Наконец, продуктовый ассортимент был ориентирован преимущественно на восточноевропейские страны-партнеры и определялся сравнительными преимуществами в лучшем случае лишь в отношении к государствам-членам СЭВ. Структура производственного оборудования не соответствовала потребностям мирового рынка. Возможности сбыта производственных благ на мировом рынке были весьма ограничены, и в частности в связи с их низким качеством.
В связи с повышенной численностью рабочих на предприятиях эти факторы привели к тому, что производительность труда в ГДР составляла лишь 20-30% западногерманского уровня. Эта производительность к тому же еще резко снизилась после введения элементов рыночной экономики и отпадения восточных рынков: товары нельзя было продать.
Характерный для ГДР низкий уровень заработной платы (в 1989 г. — примерно '/
3 западногерманского уровня) первоначально оказывал положительное влияние на конкурентоспособность предприятий новых земель. Но вскоре было осуществлено значительное повышение зарплаты. Планировалось выравнивание жизненных условий в Восточной и Западной Германии, но одновременно исчезли и сравнительные преимущества в издержках на зарплату.
Одна из причин недостаточной конкурентоспособности — катастрофическое состояние общественной инфраструктуры. Говоря о материальной инфраструктуре, необходимо отметить плохое состояние и недостаточную плотность автомобильных дорог, сети железных дорог, неудовлетворительную организацию пригородного общественного транспорта, а также почти полное отсутствие инфраструктуры телекоммуникаций. В сфере институциональной инфраструктуры «узкими местами» являлись прежде всего сфера эффективного управления на уровне федеральных земель и местных органов, а также недостатки правовой системы.
На рис. 3.3 представлены результаты «структурного шока» в период с 1990 по 1994 г. В целом в промышленности восточных земель (электроэнергетика и газоснабжение, горнодобывающая промышленность, производство основных материалов и товаров производственного назначения, производство инвестиционных благ, строительство, производство продовольствия) валовая добавленная стоимость (ценность продукции, уменьшенная на сумму потребленных в производстве производственных средств кратковременного пользования) уменьшилась уже в период с I до IV квартала 1990 г. примерно на 43 %, т. е. с DM 22,3 млрд до DM8,3 млрд. Затем в I квартале 1991 г. выпуск снизился до DM 7 млрд, после чего начался медленный рост (до DM 10,4 млрд в I квартале 1992 г.). Окончательно производство стабилизировалось лишь в начале 1993 г.
 |
.............. Горнодобывающая промышленность и энергоносители
——— Обрабатывающая промышленность
--------- Строительство
————- Услуги |
Рис. 3.3. Валовая добавленная стоимость в отдельных отраслях в новых федеральных
землях Германии (1991 = 100)
Источник: Statistisches Bundesamt; DIW Wochenberichte 52/1992, 31/1994.
. В других сферах, к примеру в строительстве, спад оказался минимальным. С начала 1992 г. сфера строительной промышленности расширяется и является сегодня наиболее устойчиво развивающимся сектором. Достаточно стабильной во время всего процесса реструктуризации оставалась сфера услуг.
В настоящее время в сфере обрабатывающей промышленности наблюдается положительная динамика, все больше предприятий (после обновления номенклатуры продукции и модернизации производственного аппарата) производят конкурентоспособные товары, занимают устойчивые позиции на межрегиональных рынках. Но в настоящее время самоподдерживающийся форсированный рост данной сферы еще невозможен. Следует отметить, что на развитие предприятий новых земель все более благоприятное влияние оказывает конъюнктурный подъем в старых федеральных землях и Западной Европе. И в пока стагнирующих отраслях Восточной Германии (химическая и электротехническая промышленность, машиностроение) начинается «выздоровление».
Экономический анализ свидетельствует, что наиболее успешными являются те предприятия, которые были приватизированы раньше других, что позволило им наиболее быстро модернизировать оборудование. Только инвестиции в реальный и человеческий капитал позволяют создать или сохранить рабочие места. Рассмотрим проблему инвестиций и динамику капитального запаса в новых федеральных землях.
В ретроспективе (начало 1995 г.) производственное имущество в ГДР в 1991 г. (без квартир) оценивалось примерно в DM 500 млрд. В ходе трансформационного процесса большая часть старых запасов имущества обесценилась, сначала — в основном из-за изменений в структуре спроса, в дальнейшем — в ходе «очистительного кризиса», а также по техническим, экологическим и связанным с безопасностью труда причинам.
В 1994 г. используемое в новых землях старое оборудование оценивалось примерно в DM 200 млрд. В сравнении с обесценением капитала процесс его обновления протекает весьма медленно. Некоторые факторы замедленной динамики представлены на рис. 3.4.
Согласно данным проводимых в новых землях в 1992-1993 гг. опросов (см. рис. 3.4), важнейшими причинами медленного обновления восточногерманской промышленности являлись высокая заработная плата, устаревшие производственное оборудование и здания, проблемы финансирования инвестиций, плохое состояние инфраструктуры, неудовлетворительное функционирование местных коммунальных органов, потеря рынков в Восточной Европе и рецессия на Западе. Эта оценка не изменилась и в 1993-1994 гг.
Как же осуществлялась инвестиционная деятельность в новых федеральных землях ФРГ?
В табл. 3.1 представлены абсолютные значения и отраслевая структура совокупных инвестиций (без строительства жилья) предприятий новых земель. С 1991 до 1993 г. объем инвестиций возрос примерно на 50%, а в 1994 г. он превышал показатели 1993 г. на 10 %. Таким образом, инвестиции предприятий на душу населения в новых федеральных землях в некоторых отраслях (например, в перерабатыва-
Рис. За отражает динамику физического объема отдельных секторов экономики России в 1990-1995 гг. Правомерно сделать два существенно важных вывода. Во-первых, произошло абсолютное сокращение производства во всех секторах российской экономики. Во-вторых, наиболее резким оказалось падение выпуска в обрабатывающей промышленности, тогда как наименьшее снижение уровня производства наблюдалось в добывающей промышленности и сельском хозяйстве. Таким образом, если абстрагироваться от изменений доли продукции сферы услуг в ВВП (см. врезку 28.1), мы можем утверждать, что динамика производства в отдельных секторах российской экономики пока противоположна направлениям развития промышленно развитых стран (в которых в течение нескольких десятков лет значение обрабатывающей промышленности постоянно возрастает).
Врезка 3.2.
Динамика отдельных секторов экономики России
Повышение относительного значения добывающей промышленности объясняется отчасти тем, что сырьевая продукция является основой российского экспорта. Кроме того, снижение роли некоторых отраслей обрабатывающей промышленности связано в определенной степени с тем, что при плановой системе они выпускали не востре-буемые в современных условиях блага.
|
Проценты |
 |
Рис. За. Динамика физического объема отдельных секторов экономики России (1990 = 100)
Источник: Россия в цифрах: Краткий стат. сборник. М., 1996. С. 113, 281 — 282,317.
ющей промышленности) уже достигли или даже значительно превысили западногерманский уровень (см. рис. 3.8).
Важную роль в инвестиционном процессе в новых федеральных землях играло упомянутое выше Ведомство по распоряжению имуществом. Предприятия, находившиеся под его юрисдикцией, инвестировали в 1991, 1992, 1993 и 1994 гг. соответственно DM 11 млрд, DM 7 млрд, DM 2 млрд и DM 1,4 млрд. Несмотря на то что
Заработная плата повышается слишком быстро

Производственное оборудование и здания устарели
Производственное оборудование и здания являются слишком крупными
Сбыт неудовлетворителен
Качество продукции неудовлетворительно Конкуренты-продавцы однотипных продуктов продают их дешевле Качество обслуживания клиентов неудовлетворительно
Источники финансирования инвестиций отсутствуют
Квалификация многих работников неудовлетворительна
Поиск квалифицированных работников затруднен
Ключевые для деятельности предприятия работники уволились
Инфраструктура недостаточно развита Количество земельных участков для промышленных сооружений ограниченно
Органы местных коммунальных управлений не гибки
Сбыт в СНГ и Восточной Европе затруднен
Рецессия на Западе затрудняет сбыт
Тяжело наладить связи с компаниями, занимающимися оптовой торговлей
Бремя старых долгов велико
Для х процентов предприятий отдельные причины являются:
Очень большой проблемой ¦¦¦¦ В 1993/94 г. ЙЙВЙ8ЙИ Важной проблемой Очень большой проблемой I ' I В 1992 г. I .....I Важной проблемой
Рис. 3.4. Проблемы промышленных предприятий в новых федеральных землях
Германии
Источник: Wochenberichte des DIW, 15/94. S. 211.
с середины 1992 г. абсолютные показатели инвестиций начали уменьшаться в силу того, что число остававшихся во владении Ведомства предприятий значительно сократилось, в 1993 и в 1994 гг. оно воздействовало на их модернизацию посредством предоставления ссуд. Гораздо более значительным для инвестиций в предприятия новых федеральных земель было, однако, косвенное стимулирование инвестиций через Ведомство: покупателям предприятий, твердо обещавшим определенный
Обследования, посвященные оценке проблем промышленных предприятий, основанные на выборочных опросах и обобщении мнений их руководителей, начали практиковаться Государственным комитетом по статистике РФ сравнительно недавно — с июля 1997 г. В печати были представлены данные о резуль-периоде июля 1997 по август 1998 г.
Врезка 3.3.
Проблемы промышленных прелприятий России
тэтах такого обследования за
Один из блоков вопросов, предложенных руководителям предприятий, затрагивал проблему ограничивающих рост производства факторов. Мнения российских менеджеров в обобщенном виде представлены на рис. 36.
Правомерно сделать вывод, что главные проблемы предприятий связаны с денежными и инвестиционными факторами. Одна из трудностей — недостаток денежных средств как следствие ограничительной денежной политики (см. врезку 19.5). Недостаточный спрос на продукцию внутри страны — следствие сокращения совокупного спроса. Но основная проблема — инвестиционный коллапс (см. врезку 3.4), ведь именно этот элемент совокупного спроса уменьшился в наибольшей степени. Следует также учитывать, что «неопределенность экономической обстановки» — едва ли не важнейшая причина резкого сокращения инвестиций. Дело в том, что неопределенность не позволяет достоверно прогнозировать будущее, без чего любые инвестиции в основной капитал лишаются какого-либо разумного обоснования (см. врезку 3.4).
Таблица 3.1
Инвестиции предприятий в новых федеральных землях по отдельным отраслям в 1991-1996 гг. в DM млрд (данные для старых федеральных земель приведены по
состоянию на 1 993 г.) |
|
|
1991 г. |
1992 г. |
1993 г. |
Старые
федеральные
земли |
|
Сельское и лесное хозяйство |
1,5 |
1,4 |
1,5 |
11,1 |
|
Промышленность |
33,7 |
41,8 |
47,1 |
127,1 |
|
Энерго- и водоснабжение |
7,4 |
9,3 |
10,9 |
26,3 |
|
Горнодобывающая промышленность |
1,7 |
1,4 |
1,5 |
2,2 |
|
Обрабатывающая промышленность |
20,2 |
25,2 |
27,3 |
89,4 |
|
Строительство |
4,3 |
5,9 |
7,5 |
9,1 |
|
Торговля и транспорт |
24,2 |
33,0 |
35,3 |
80,5 |
|
Торговля |
7,7 |
9,5 |
9,5 |
36,9 |
|
Транспорт и связь |
16,5 |
23,6 |
25,8 ¦ |
43,6 |
|
Предприятия сферы услуг (без аренды квартир) |
5,1 |
6,5 |
10,6 |
129,1 |
|
Кредитные институты,страхование |
1,7 |
2,1 |
2,3 |
15,8 |
|
Прочие |
3,4 |
4,4 |
8,3 |
113,3 |
|
Все предприятия |
64,4 |
82,7 |
94,5 |
325,8 |
|
|
Источник: DIW Wochenbericht 3/95 (12. Bericht). S. 77. |
Неопределенность экономической обстановки
|
Недостаток денежных средств |  |
О 10 20 30 40 50 60 70 80 90
Рис. 36. Факторы, ограничивающие рост производства на российских предприятиях |
Отсутствие надлежащего оборудования
Высокая конкуренция
Недостаточный спрос на продукцию за рубежом
Недостаточный спрос на продукцию внутри страны
I—I июль 1997 г. ИЯ август 1998 г.
Источник: Поповская Е., Цепина Л. Обследование деловой активности в промышленности //Вопросы статистики. 1998. № 11. С. 37-46.
объем инвестиций, предоставлялись ценовые скидки. Таким образом ведомству удалось привлечь в 1995 г. еще DM 94,4 млрд (в 1991-1994 гг. — DM33 млрд).
Несмотря на положительную динамику инвестиций предприятий в целом, запасы оборудования и сооружений восточногерманских предприятий по сравнению с аналогичными показателями старых земель все еще слишком малы. Основное условие роста совокупного продукта на душу населения в новых федеральных землях — дальнейшее форсирование инвестиционной активности в долгосрочном периоде. (Предприятиям новых земель принадлежит лишь 10 % совокупного производственного оборудования ФРГ, в то время как по отношению к численности населения данный показатель должен составлять 20 %),
При оценке динамики инвестиций предприятий в новых федеральных землях нельзя не напомнить, что эти инвестиции массированно стимулируются почти необозримым набором мероприятий (инвестиционные субвенции, ускоренная амортизация и т. д.). Поэтому вывод о том, что инвестиционный процесс в Восточной Германии стал самоподдерживающимся процессом, представляется нам преждевременным.
Наряду с инвестициями в отрасли обрабатывающей промышленности конкурентоспособность предприятий во многом определяется инвестициями в инфраструктуру. Расходы на инфраструктуру в новых землях в 1991-1994 гг. составили примерно DM 180 млрд, из них, например, в 1990-1993 гг., DM38 млрд марок было направлено в транспортную сферу, a DM 29,1 млрд — на связь.
В отличие от бывшей ГДР в России в течение переходного периода происходило и происходит абсолютное сокращение реальных инвестиций в основной капитал (здания и сооружения, машины и оборудование и т, д.), что является едва ли не самой серьезной проблемой экономики РФ 1990-х гг. Как показывают данные табл. За, суммарный объем таких инвестиций в 19911996 гг. сократился в 2,55 раза. В Российском статистическом ежегоднике за 1997 г. — в таблице, иллюстрирующей межстрановые сравнения по динамике индексов объема валового накопления основного капитала (с. 695), — содержатся данные, согласно которым за период с 1991 по 1995 г. инвестиции в основной капитал сократились больше — почти в 4 раза. К основным причинам инвестиционного коллапса относятся уход государства из экономики (как следствие — масштабное сокращение государственных капиталовложений), чрезвычайно краткосрочный временной горизонт частных инвесторов (их ориентация на сиюминутный выигрыш, а не на долгосрочные доходы) и недостаток финансовых ресурсов у таких инвесторов (предприятий). При этом в наибольшей степени уменьшились реальные капиталовложения в сельское и лесное хозяйство (в 15,71 раза), в легкую промышленность (в 12,5 раза) в машиностроение и металлообработку (в 5,21 раза), в меньшей степени снизились инвести-
Врезка 3.4.
Динамика и структура инвестиций в основной капитал в России

Рис. Зв. Индексы инвестиций в основной капитал (1990 = 100) Источник: Российский статистический ежегодник. М., 1997. С. 409.
Самый драматичный момент трансформационного процесса в бывшей ГДР и новых федеральных землях — фатальные изменения на рынке труда. Обратившись к рис. 3.5а и 3.56, вы получите представление о динамике восточногерманского рынка труда.
Из рис. 3.5а следует, что число лиц трудоспособного возраста (наемные работники, самозанятые и зарегистрированные безработные) с 1990 г. по 1994 г. умень-
Таблица За
Отраслевое распределение реальных инвестиций в основной капитал в России в 1991-1996 гг. (млрд руб. в ценах 1991 г.), данные скорректированы с помошью индекса цен на капитальное строительство (в скобках даны значения, скорректированные с учетом дефлятора ВВП) |
|
|
1991 г. |
1992 г. |
1993 г. |
1994 г. |
1995 г. |
1996 г. |
|
Промышленность, |
73,0 |
68,5 |
53,7 |
35,5 |
34,1 |
28,8 |
|
|
|
(69,3) |
(63,7) |
(54,5) |
(50,9) |
(48,2) |
|
в том числе: |
|
|
|
|
|
|
|
электроэнергетика |
5,7 |
8,2 |
7,2 |
5,1 |
5,2 |
5,0 |
|
|
|
(8,3) |
(8,6) |
(7,9) |
(7,7) |
(8,4) |
|
топливная промышленность |
23,4 |
27,9 |
22,7 |
14,3 |
14,4 |
12,3 |
|
|
|
(28,3) |
(26,9) |
(21,9) |
(21,3) |
(20,6) |
|
машиностроение |
14,6 |
8,1 |
6,6 |
4,0 |
3,1 |
2,8 |
|
и металлообработка |
|
(8,2) |
(7,8) |
(6,1) |
(4,5) |
(4,7) |
|
легкая промышленность |
2,5 |
1,7 |
0,9 |
0,5 |
0,3 |
0,2 |
|
|
|
(1,7) |
(М) |
(0,8) |
(0,4) |
(0,4) |
|
пищевая промышленность |
6,6 |
4,4 |
4,4 |
2,9 |
2,7 |
2,2 |
|
|
|
(4,5) |
(5,2) |
(4,4) |
(4,0) |
(3,7) |
|
Сельское и лесное хозяйство |
37,7 |
18,2 |
11,6 |
5,6 |
3,5 |
2,4 |
|
|
|
(18,4) |
(13,8) |
(8,5) |
(5,2) |
(4,1) |
|
Строительство |
47,6 |
40,5 |
37,0 |
29,7 |
25,3 |
20,2 |
|
(промышленное и жилищное) |
|
(41,0) |
(44,0) |
(45,5) |
(37,4) |
(33,8) |
|
Транспорт и связь |
19,9 |
14,6 |
16,1 |
14,1 |
14,6 |
12,6 |
|
|
|
(14,8) |
(19,1) |
(21,6) |
(21,6) |
(21,2) |
|
Торговля, общественное |
4,2 |
2,0 |
1,5 |
1,8 |
2,1 |
1,8 |
|
питание, материально-техни- |
|
(2,0) |
(1,8) |
(2,8) |
(3,1) |
(3,0) |
|
ческое снабжение, сбыт |
|
|
|
|
|
|
|
и заготовки |
|
|
|
|
|
|
|
Всего |
210,5 |
165,8 |
145,2 |
109,9 |
99,9 |
82,7 |
|
|
|
(167,9) |
(172,3) |
(168,6) |
(147,7) |
(138,7) |
|
Рассчитано по: Российский статистический ежегодник. М., 1997. С. 410-411, 675.
ции в электроэнергетику (в 1,14 раза), транспорт и связь (в 1,58 раза), в топливную промышленность (в 1,9 раза). По мнению многих экономистов, отраслевые различия являются следствием изменений относительных цен, что в свою очередь обусловлено «подтягиванием» российской ценовой системы к мировой.
шилось в среднем с 9 до 7,8 млн. Число зарегистрированных безработных в тот же период возросло с 0,642 до 1,1 5 млн1. Если прибавить к этим показателям скрытых безработных, т. е. работающих неполный день, вышедших на пенсию раньше пенсионного возраста и занятых, работа которых (на частных предприятиях) финансируется Федеральным ведомством по труду, а также лиц, которые уже не регистриру-
 |
Рис. 3.5а. Лииа трудоспособного возраста, занятые и безработные в новых федеральных землях Германии
Лииа трудоспособного возраста = занятые + безработные |
Источник: Jahresgutachten des Sachverstandigenrates 1994/95. S. 339; DlW-Wochen-ЬегісМЗІ/1994 (11. Bericht). S. 539.
 |
Рис. 3.56. Занятые по отраслям в новых федеральных землях Германии в 1990-1994 гг. (тыс. человек). Государство, домохозяйства и частные некоммерческие организации без дотированных Федеральным ведомством
по труду рабочих мест
Источник: DIW-Wochenberichte 52/1992 (7. Bericht). S. 711,31 /1994 (11. Bericht). S. 539. |
ются как безработные, создается мрачная картина. Более того, о каких либо существенных изменениях динамики не может быть и речи, однако отрицательный тренд численности зарегистрированных безработных, кажется, приостановлен, число занятых медленно увеличивается. Рис. 3.56 показывает дифференцированную динамику числа занятых по отраслям. Наиболее сильно кризис затронул обрабатывающую промышленность, в которой количество занятых сократилось наполовину. Отрицательные тенденции имеют место в сельском и лесном хозяйстве, в то время как в сфере услуг (включая сферу деятельности государственных служащих) численность занятых сокращалась лишь до первой половины 1992 г., а затем начала увеличиваться.
В чем состоят причины огромной безработицы? К наиболее важным факторам относятся:
¦ сокращение чрезмерно раздутых со времен существования бывшей ГДР штатов предприятий;
¦ несоответствие номенклатуры выпускаемой продукции спросу (особенно после ориентации жителей новых федеральных земель на западные продукты).
¦ потеря восточноевропейских рынков;
¦ высокий уровень удельных расходов на зарплату (даже с учетом значительного повышения средней производительности). Не получающие государственных дотаций предприятия со «старой» низкой производительностью оказались нежизнеспособными;
¦ отмена дотаций конкурентоспособным в среднесрочной перспективе предприятиям;
¦ создание новых продуктов требует времени, значит, результаты инвестиций проявятся на рынке рабочей силы со значительным временным отставанием.
Но без государственной поддержки промышленности спад мог быть гораздо более драматичным. Только в 1990 г. Ведомство по распоряжению имуществом гарантировало направленные на поддержание ликвидности предприятий кредиты в объеме более чем DM 10 млрд (практически полностью использовались на покрытие текущих расходов, т. е. в первую очередь на финансирование расходов на зарплату). Удалось добиться стабилизации объемов реализации продукции прежде всего посредством поддержки экспорта в Восточную Европу, особенно в Советский Союз, через продвижение восточногерманских поставок за счет выгодных для стран-получателей методов оплаты и через поручительства в случае недостач (с начала 1991 г.). Стабилизирующее влияние имело также то обстоятельство, что с середины 1991 г. предъявляемый жителями новых земель спрос переориентировался на производимые в Восточной Германии товары (если они были сопоставимы по качеству с продукцией из других земель ФРГ).
Но не следует преувеличивать роль этих факторов для предотвращения тотального экономического и, по всей вероятности, политического краха. Решающими для дальнейшего хода процесса трансформации были разнообразные трансферты из старых федеральных земель, от федерации в целом и Европейского Союза. При этом финансовые трансферты предоставлялись для дотирования доходов, для финансирования частных и общественных инвестиций, а также для обеспечения общих финансовых взносов в восточногерманские земельные и местные бюджеты.
Врезка 3.5.
Безработица и изменение отраслевой структуры занятости в России
Тью. человек

Рис. Зг. Численность занятых и безработных в России (тыс. чел.) Источник: Российский статистический ежегодник. М., 1997. С. 107, 117.
Рис. Зг показывает, что в ходе рыночных реформ численность безработных в России постоянно возрастает. Но их доля в численности экономически активного населения (т.е. в общей численности занятых и безработных) все же существенно ниже аналогичного показателя в ГДР (и других странах Восточной Европы), несмотря на почти двукратное реального ВВП.
Здесь следует учитывать, что в России отсутствовала подобная существующей в ФРГ система трансфертов (включающая обеспечение социальной защиты). Поэтому соответствующее уменьшению реального ВВП РФ возрастание безработицы привело бы к социальной катастрофе.
Следует также отметить, что сочетание низкого уровня безработицы и резкого падения ВВП возможно лишь при значительном уменьшении (реальной) ставки заработной платы, что и имело место в РФ в 1990-е гг. Здесь же нужно упомянуть такой типично российский феномен, как задержки и невыплаты (уже начисленной) зарплаты. Данный феномен принял в РФ массовый характер.
Рис. Зг показывает, что в России в 1990-е гг. рост количества безработных сочетается с уменьшением численности экономически активного населения. Это означает, что многие люди не только теряют рабочие места, но и оставляют всякие попытки вновь устроиться на работу. Таким образом, сокращаются не только спрос на труд, но и его предложение. В общем уменьшение численности экономически активного населения (предложения труда) является серьезным долгосрочным фактором, ограничивающим возможности развития экономики России (см. также врезку 11.2).
Млг человек

— Всего
.....— Промышленность
......... Сельское и лесное хозяйство
---Сфера услуг и госсектор
...... Торговля, транспорт и связь
Рис. Зд. Отраслевая структура занятости в России в 1990-1995 гг.
(млн чел.)
Рассчитано по: Российский статистический ежегодник. М., 1996. С. 84.
При этом, согласно рис. Зд, небольшое уменьшение занятости, имевшее место в России в 1990-е гг., практически полностью было «обеспечено» сокращением количества используемого в промышленности труда, тогда как число занятых в других отраслях народного хозяйства осталось почти неизменным.
Если учесть, что наибольшее падение выпуска наблюдалось в обрабатывающей промышленности (см. врезку 3.2), и допустить, что рассматриваемое уменьшение занятости в промышленности охватывает именно ее «обрабатывающую» часть, можно констатировать наличие некоего соответствия между изменениями в структуре выпуска и структуре занятости. Однако если это соответствие и существует, то является чрезвычайно незначительным, поскольку глубокий спад производства наблюдался во всех отраслях экономики России. Постоянное количество занятых в большинстве отраслей и лишь небольшое их уменьшение в промышленности в этой ситуации означают не что иное, как очень серьезное падение производительности труда в народном хозяйстве в целом и в отдельных его отраслях в частности (см. также врезку 11.1).
К дотированию доходов относились и относятся прежде всего выплаты Федерального ведомства по труду в рамках страхования на случай безработицы, направленные на создание рабочих мест, профессиональное образование и переквалификацию, а также пособия на детей, на воспитание, на жилье, стипендии для учебы и выплаты пенсионного страхования. Многие из этих выплат были ориентированы на потребление. Таким образом, в течение всего трансформационного процесса (и до сегодняшнего дня) частное потребление в новых федеральных землях могло быть выше, чем национальный доход, уменьшенный на сумму подоходного налога.
Из приведенных на рис. 3.6 данных следует, что в Восточной Германии на протяжении всего рассматриваемого периода совокупный спрос почти в два раза превышал валовой внутренний продукт.
Столь существенное превышение обусловливается тем, что региональным органам управления новых федеральных земель наряду с трансфертом доходов были предоставлены трансферты для финансирования частных и общественных инвестиций и общие финансовые трансферты. Рис. 3.7 иллюстрирует динамику совокупных трансфертов (без переводов Ведомства по распоряжению имуществом) в 1992-1995 гг.
|
В млрд немецких марок |
 |
Рис. 3.6. Валовой внутренний продукт и внутренний спрос в новых федеральных
землях Германии |
200-
150-
Щ пенсионное страхование Щ страхование на случай безработицы
|
100- |  |
компенсация НДС земель
Фонд немецкого единства
чистые трансферты федерации |
1992 1993 1994 1995
Рис. 3.7. Государственные финансовые трансферты для новых федеральных земель Германии в DM млрд, прогнозы на 1995 г.
Источник: DIW-Wochenbericht 15-16/1995 (Gemeinschaftsgutachten). S. 316. |
урегулирование финансовой компенсации
50
Без переводов Ведомства распоряжения имуществом общий объем трансфертов из западной части Германии в 1994 г. составлял примерно DM 170 млрд, а в 1995 г. они возросли почти до DM 200 млрд. Многие исследователи исходят из того, что объем трансфертов в предстоящие годы может существенно снизиться, данные оценки представляются нам мало реалистичными: .
¦ без государственной поддержки инвестиции предприятий не позволяют достичь желаемых показателей рентабельности;
¦ реальный капитал новых земель (соответствующий численности населения) по своему качеству все еще несопоставим с капиталом в западной части Германии:
¦ наблюдается дефицит инвестиций в инфраструктуру (в оптимизацию производственных процессов, в перемещение их в филиалы или дочерние компании, в научные исследования, в повышение эффективности управления, в развитие служб снабжения и сбыта и т. д.). Недостаток капиталовложений детерминирует существенное отставание производительности труда на предприятиях новых земель (в сравнении с Западной Европой), что негативно отражается на их конкурентоспособности на межрегиональных рынках;
¦ недостаточная развитость инфраструктуры (местные органы власти восточной части Германии не имеют достаточных инвестиционных возможностей).
Не вызывает сомнений, что процессы роста в строительстве и обрабатывающей промышленности набирают обороты. Валовой внутренний продукт в восточной части Германии, по новейшим прогнозам, будет ежегодно прирастать на 8,5%, а в западной части — лишь на 3%.
Но из теории роста известно, как много времени занимает процесс «погони» (даже при значительных долгосрочных различиях в темпах роста), если исходный уровень стран отличается так, как в восточной и западной частях Германии, — он займет минимум 20 лет!
Очевидно одно: «лечение шоковой терапией» могут позволить себе страны, имеющие «старшего брата» (так называемый «большой толчок {big bang) со старшим братом»). Для нуждающихся в коренных реформах социалистических хозяйств данная, реализуемая без широкой поддержки извне стратегия является самоубийством!
На рис. 3.8 сравнивается текущая ситуация в восточных и западных землях Германии (обратите внимании на то, что речь идет о показателях в расчете на душу населения).
В заключение главы обратимся к краткому изложению процесса приватизации, осуществляемого Ведомством по распоряжению имуществом. Как уже упоминалось, задача, которую оно было призвано решить, была уникальной: необходимо было перевести основную часть экономики из государственной собственности в частную. После решения изначально очевидных информационных и организационных проблем, а также после устранения трудностей, возникающих в процессе реализации принципа приоритетности возврата перед компенсацией, и, кроме того, при нехватке чиновников в учреждениях, ведущих земельный кадастр,
 |
П частное потребление ¦ валовой внутренний продукт
О удельные издержки на зарплату ¦ валовые инвестиции в сооружения
и оборудование |
Рис. 3.8. Сравнительные показатели новых (восточных) и старых (западных) (федеральных земель Германии’
Источник: DIW-Wochenbericht 15—16/1995 (Gemeinschaftsgutachten). S. 312.
первые успехи пришли в начале 1991 г. В своей деятельности Ведомство ориентировалось на следующие принципы: • .
¦ Приватизация является лучшим способом санации, так как частные инвесторы наиболее объективно оценивают предоставляемые рынком возможности.
¦ Неприватизированные относительно (полностью или частично) жизнеспособные предприятия должны получать помощь от Ведомства. Кроме того, оно обязано принимать активное участие в реструктуризации таких предприятий.
¦ Предприятия и их подразделения, которые в долгосрочном плане оцениваются как неконкурентоспособные, должны прекратить производство. Данный процесс должен быть растянут во времени, необходимо смягчение социальных последствий.
Первоначально приватизация проходила очень медленно (прежде всего в промышленности). В конце апреля 1991 г. удалось передать в частную собственность всего лишь 14% промышленных предприятий. Особенно плохо обстояли дела в химической промышленности, судостроении, металлургии, текстильном производстве. Оказалось, что приватизация сконцентрированных в особенно важных для рынка труда регионах едва ли осуществима. С другой стороны, некоторые успехи были достигнуты в промышленности строительных материалов, а затем в пищевой промышленности. Постепенно расширились возможности Ведомства по распоряжению имуществом в сфере продаж собственности: оно предлагало потенциальным покупателям снижение цен в форме принятия на себя старых долгов, издержек экологической санации, а также убытков. И все-таки процесс приватизации в обрабатывающей промышленности проходил очень медленно (прежде всего крупных предприятий). Хотя летом 1992 г. Ведомство контролировало лишь 19 % предприятий обрабатывающей промышленности, на них приходилось 55% всех занятых в данном секторе экономики.
Осенью 1992 г. темпы приватизации заметно ускорились. Из общего числа предприятий всех отраслей, переданных Ведомству, в конце января 1993 г. было приватизировано примерно 7100 (значительно больше половины). Из них 5500 было передано новым инвесторам, 1200 предприятий были возвращены бывшим собственникам, более 300 были преданы региональным органом власти. В начале 1993 г. был начат процесс ликвидации почти половины находящихся в руках Ведомства предприятий.
По сходному сценарию развивались события и в обрабатывающей промышленности. В начале 1993 г. на предприятиях Ведомства трудились около 1 /3 занятых (220 тыс. рабочих) в данном секторе экономики. Следует учесть, что к тому времени в связи с увольнениями численность рабочих значительно снизилась. В феврале 1993 г. в распоряжении ведомства имелось (если не учитывать предприятия, находившиеся в процессе ликвидации) еще около 1200 предприятий (примерно 20 % от исходного числа). В конце 1994 г. при ликвидации Ведомства по распоряжению имуществом почти все предприятия были либо приватизированы, либо ликвидированы. Однако некоторые предприятия, перешедшие к «организации-наследнице» (Федеральное ведомство по связанным с присоединением особым задачам), имели большое значение как работодатели. Новое Федеральное ведомство подхватило «эстафету» по контролю над примерно 50 тыс. договорами по приватизации (гарантии занятости и инвестиций), продажам сельскохозяйственных земель и других земельных участков.
Накопившийся дефицит финансовых ресурсов Ведомства по распоряжению имуществом составил около DM 230 млрд; его бремя было передано федерации. Эту сумму, как и ожидаемые дефициты организации-наследницы Ведомства в объеме DM 45 млрд, следует рассматривать как косвенные дотации федерации. В то же время существенная часть расходов Ведомства покрывала временные убытки и использовалась на экологические мероприятия и осуществления инвестиций в основной капитал принадлежавших ему предприятий. Его значительный вклад в сохранение и создание новых рабочих мест бесспорен. Кроме того, через механизм скидок при продаже предприятий Ведомство добилось твердых гарантий занятости и инвестиций для новых собственников. Вместе с тем остается дискуссионным вопрос о том, покрывают ли устанавливавшиеся Ведомством цены доходность приобретенных объектов. В научной литературе широко обсуждаются альтернативные стратегии приватизации. Мы надеемся, что опасения Г.Зинна и Х.-В.Зинна (G.Sinn und H.-W. Sinn) относительно того, что практиковавшийся Ведомством метод приватизации чреват опасностью разделения немецкого общества на западногерманских (и западноевропейских) владельцев капитала и восточногерманских наемных работников, не оправдаются.
Врезка 3.6.
Приватизация в России
Таблица 36
Динамика структуры основных фондов предприятий по формам собственности (на конец года, по балансовой стоимости в %) |
|
|
1990 г. |
1991 г. |
1992 г. |
1993 г. |
1994 г. |
1995 г. |
1996 г. |
|
Государственная собственность |
91 |
91 |
69 |
53 |
42 |
44 |
45 |
|
Негосударственная собственность |
9 |
9 |
31 |
47 |
58 |
56 |
55 |
|
Источник: Российский статистический ежегодник. М., 1997. С. 293.
Мероприятия по осуществлению приватизации были одним из ключевых элементов рыночных реформ в России. Они начались еще в конце 1987 г., когда государством были разрешены индивидуальная трудовая деятельность, открытие частных кооперативов и аренда государственной собственности. Однако кардинальный сдвиг в процессе приватизации произошел в 1992 г„ когда смена собственников приняла массовый характер и все граждане России получили по одному приватизационному чеку (ваучеру), дававшему право приобрести часть приватизируемой государственной собственности.
Как показывают данные табл. 36, доля основных фондов (т. е. основного капитала — зданий и сооружений, машин и оборудования и т. д.), не принадлежащая государству, возросла с 9% в 1990 г. до 58% в 1994 г. (но в 1996 г. снизилась до 55%). |
2.5. Оценка
Трансформационный процесс сопровождался бурными дискуссиями относительно возможных альтернатив действий. Объективная оценка предлагавшихся вариантов уже невозможна, но исходя из современного положения дел следует отметить, что многие из них мы рассматриваем как нереалистичные. Так, например, перед заключением Экономического, валютного и социального союза многие эксперты, в том числе немецкий Бундесбанк и Экспертный совет, высказывали сомнения относительно избранного направления общеэкономического развития. Высказывались мнения, что Валютный союз, и прежде всего «перевод» зарплаты в соотношении 1:1, неправильным и даже роковым. Но учитывались ли в такого рода оценках политические аспекты, в конечном счете неразрывно связанные с экономическими вопросами? Кто отважился бы в 1990 г. запретить гражданам ГДР переход к немецкой марке? «Или немецкая марка приходит к нам, или мы приходим к немецкой марке» — таким девизом руководствовалось большинство населения. Кто решился бы, ввиду возможного огромного притока переселенцев в ФРГ, осуществить «перевод» зарплаты по какому-то другому соотношению, чем 1:1, что неизбежно ограничило бы потребление гражданами ГДР (из текущих доходов) страстно желанных западных благ? В таком случае для противодействия перемещению сотен тысяч граждан с востока на запад Германии пришлось бы возводить новые «стены». Или,
Можно также отметить, что, по данным Госкомимущества РФ (организации, являющейся российским аналогом немецкого Ведомства распоряжения имуществом), в 1995 г. в негосударственном секторе было произведено 70% ВВП. А удельный вес негосударственных (неказенных) промышленных предприятий в ВВП уже в 1994 г. составил 85%, а в 1996 г. — 95,6%.
Следует иметь в виду, что утрата предприятиями статуса государственных не идентична их переходу в частную собственность. Значительная доля бывших государственных предприятий была акционирована, а акционерные компании не всегда являются действительно частными, если часть их акций принадлежит государству (как это практикуется в РФ, где ответственность за управление государственными пакетами акций возложена на Госкомимущество).
По мнению многих российских и зарубежных экономистов, процессы приватизации в России пока еще не завершены и связаны с определенными проблемами. Главная из них — то, что нет эффективных частных собственников бывших государственных предприятий, и поэтому отсутствуют стимулы к инвестициям в основной капитал этих предприятий. Дело в том, что большинство предприятий было акционировано по схеме, по которой 51% акций попадал в руки трудовых коллективов. Последние же не могут эффективно управлять инвестиционными процессами, поскольку финансовые средства направляются ими в основном на текущие доходы, а не вкладываются в производство. В настоящее время в России постепенно происходит процесс «перекупки» пакетов акций у трудовых коллективов крупными инвесторами. Однако как долго будет продолжаться этот процесс — неизвестно, но пока он не закончится, не будут созданы реальные предпосылки для эффективного управления российскими предприятиями и, следовательно, не появятся настоящие результаты приватизации.
Какие-либо окончательные выводы относительно результатов перехода в России к рыночным отношениям преждевременны. В то же время целесообразно выделить два аспекта. С одной стороны, всего за несколько лет реформирования российской экономики был достигнут прогресс в сфере формирования институциональных основ рыночного хозяйства. Произошла либерализация цен и внешней торговли, была проведена приватизация предприятий. Были сняты многие административные ограничения (со стороны государства) хозяйственной жизни, достигнута конвертируемость национальной валюты (рубля). Ресурсы размещаются преимущественно посредством рыночных механизмов. Была принята новая Конституция, в которой закреплены соответствующие рыночной экономике основные экономические свободы (см. врезку 2.1).
Врезка 3.7.
Переходный период в России в 1991-1998 гг.: предварительная оценка
С другой стороны, трансформационные преобразования привели к резкому ухудшению макроэкономической ситуации. Производство сократилось примерно в 2 раза, инвестиции в основной капитал — более чем в 2,5 раза, что создает предпосылки для значительного технологического отставания России и препятствует выходу экономики на траекторию устойчивого экономического роста. Такое падение производства и инвестиций происходит на фоне инфляции, нехватки ликвидных средств и распространения денежных суррогатов, проблем со сбором налогов и с бюджетным дефицитом, а также продолжавшегося до середины августа 1998 г. вытеснения частных реальных капиталовложений государственными краткосрочными облигациями (ГКО) и облигациями федерального займа (ОФЗ). Чрезмерно высокая доходность этих ценных бумаг и финансирование выплат по ним за счет их новой эмиссии стали непосредственной причиной финансового краха 17 августа 1998 года (см. врезку 17.4).
может быть, кто-то хотел всерьез быть готов к созданию особого валютного пространства на территории бывшей ГДР с обменным курсом восточная марка : немецкая марка = 4:1, как того требовали многие эксперты? Несомненно, в результате осуществления подобного плана конкурентоспособность предприятий ГДР существенно повысилась бы, но тогда какой работоспособный молодой гражданин ГДР добровольно остался бы у себя на родине? В то же время сохранялось бы перманентное давление на восточную марку «в сторону» ее обесценения... Итак, как нам представляется, какие-либо разумные альтернативы принятым политическим руководством ФРГ решениям отсутствовали.
Еще одна дискуссионная проблема — вопрос о целесообразности осуществления присоединения новых земель на основе ст. 23 Конституции ФРГ. В качестве альтернативы предлагалась совместная разработка новой Конституции, что якобы позволило бы достичь большего единства между западными и восточными немцами. Кроме того, широко обсуждался вопрос о необходимости защиты предприятий бывшей ГДР, оказавшихся перед лицом жесткой западной конкуренции.
Многие англо-американские ученые рекомендовали дотировать получаемую восточногерманскими работниками зарплату (в долгосрочном периоде). Сколько времени понадобилось когда-то ФРГ, чтобы справиться со своими структурными кризисами на Рейне и в Руре? Уже сегодня 100 %-ная дотация зарплаты всех занятых в угледобывающей промышленности в Западной Германии была бы дешевле, чем дотации угля! Чего здесь опасаются политики? Высокой безработицы на Западе, результатов выборов? И далее, должна ли тотальная приватизация осуществляться столь высокими темпами? Мы знаем, что избыточное предложение «давит» на цены. И в договоре о присоединении предусматривалось, что доходы от приватизации будут направлены на компенсацию потерь населения ГДР при обмене восточной марки на немецкую в пропорции 2:1. Но реальные доходы оказались слишком низкими и дефицит составил DM230 млрд. Был ли принцип «возврат перед компенсацией» в контексте присоединения экономически разумным и морально обязательным? Не потеряли ли многие немцы в силу прямых и косвенных последствий войны свою собственность, которую никогда уже не смогут вернуть? Возмещен ли ущерб тем гражданам ГДР, которые десятилетиями подвергались физическому и психологическому давлению? Мы не собираемся отвечать на все эти вопросы, но одно кажется бесспорным: реализация стратегии «большого толчка» {*big bang») привела, несмотря на наличие «старшего брата», к недовольству населения и его поляризации.
Список основных понятий
¦ Плановые балансы
¦ Материальные балансы
¦ Стоимостное планирование
¦ Информационная проблема
¦ Проблема санкционирования
¦ Недостаточность инновационной активности
¦ Трансформация
¦ Шоковая терапия
¦ Градуализм
¦ Созидательное разрушение
¦ Ведомство распоряжения имуществом (в ФРГ)
¦ Государственный комитет по управлению имуществом РФ (Госкомимущество)
¦ Производительность труда
¦ «Большой толчок (big bang) со старшим братом»

2) Почему плановый орган не в состоянии разработать оптимальный план использования экономических ресурсов?
3) В чем состоит проблема санкционирования в рамках централизованного планирования?
4) Почему технический прогресс в системе социалистического планового хозяйства является по большей части чужеродным элементом?
5) В чем состоит концепция «неделимости свободы»?
6) Обсудите концепцию предприятия, управляемого трудовым коллективом, с точки зрения эффективности.
7) В чем заключаются особенности шоковой терапии и градуализма?
8) Как бы вы охарактеризовали проблемы обеспечения единого валютного пространства на территории Германии?
9) В чем состоят проблемы стимулирования инвестиционной активности в экономике в период трансформации?
10) Почему в период трансформации изменения на рынке труда могут принять фатальный характер?
 |
|
¦ Новаторский анализ фундаментальных проблем планового хозяйства содержится в известной книге: |
Корнай Я. Дефицит. М., 1990.
¦ Для углубленного изучения материала данной главы можно порекомендовать сборник статей известных западных и российских ученых:
От плана к рынку. Будущее посткоммунистических республик / Под ред. Л. И. Пия-шевой и Дж. А. Лорна. М., 1993.
¦ Различные концепции перехода к рыночной экономике доступно изложены в учебнике:
Экономика: Учебник для экономических академий, вузов и факультетов / Под ред. А. С. Булатова. М., 1994.
¦ Проблематика международного разделения труда хорошо освещена в главе 1 учебного пособия:
Спиридонов И. А. Мировая экономика: Учебное пособие. М., 1997.
¦ Углубленное развитие теоретических аспектов использования системы материальных балансов вы найдете работах Нобелевского лауреата, американского экономиста русского происхождения В. Леонтьева:
Леонтьев В. Избранные статьи. СПб., 1994.
Леонтьев В. Экономические эссе: теории, исследования, факты и политика. М.,
1990.
¦ Для интересующихся серьезными теоретическими разработками мы рекомендуем сборник статей по проблемам управления акционерными компаниями в ходе трансформационного процесса в России и других странах:
Корпоративное управление в переходных экономиках. Инсайдерский контроль и роль
банков / Под ред. М. Аоки и X. Ки Кима. СПб., 1997.
¦ Тем, кто серьезно интересуется проблемами собственности и ее управления, следует познакомиться с учебником:
Управление государственной собственностью: Учебник / Под ред. В. И. Кошкина и
В. М. Шупыро. М„ 1997.
¦ Можно также порекомендовать фундаментальную монографию по экономическому развитию России:
Рязанов В. Т. Экономическое развитие России. Реформы и российское хозяйство в
ХІХ-ХХ вв. СПб., 1998.
¦ Книгой, учитывающей новейшее состояние экономической теории и включающей анализ актуальных экономических проблем в России, является учебник:
Экономика: Учебник / Под ред. А. И. Архипова, А. Н. Нестеренко, А. К. Большакова.
М„ 1998.
¦ Несколько лет назад в России была издана книга экономического советника Президента России, касающаяся проблем трансформационного процесса в российской экономике:
Сакс Дж. Рыночная экономика и Россия. М., 1994.
¦ Мы рекомендуем оригинальный учебник, материал которого охватывает стандартный курс макроэкономики вводного уровня и макроаспекты трансформационного процесса в странах Восточной Европы:
Гайгер Л. Т. Макроэкономическая теория и переходная экономика. М., 1996.
¦ Учебник по переходной экономике России с акцентом на анализе институциональных и
макроэкономических проблем, а также на аспектах, связанных с государственным регулированием хозяйства: .
Курс переходной экономики / Под ред. Л. И. Абалкина. М., 1997.
¦ Интересной является книга, содержащая анализ различных сторон кризисных тенденций в экономике России:
Соколин Б. Кризисная экономика России: рубеж тысячелетий. СПб., 1997.
¦ Обобщение теоретических основ анализа трансформационного процесса содержится в книге:
Основы теории переходной экономики: вводный курс / Под ред. Е. А. Киселевой и
М. Н. Чепурина. Киров,1996.
¦ Рекомендуем также книги известного специалиста в области переходной экономики, содержащие подробное описание и оценку реформ по созданию рыночной экономики в России:
Ослунд А. Шоковая терапия в Восточной Европе и России. М., 1994.
Ослунд А. Россия: рождение рыночной экономики. М., 1996.
¦ Различные аспекты трансформационного процесса в бывшей ГДР удачно анализируются в книге:
Зинн Г., Зинн Х.-В. Холодный запуск: Экономические проблемы объединенной Германии. М., 1994.
Глава 4
СПРОС домохозяйств

Что определяет величину и структуру спроса домохозяйств на потребительские блага?
¦ Что такое рынок и какие функции он выполняет?
¦ Какие факторы определяют спрос домохозяйств на потребительские блага?
¦ Что такое функция спроса?
Как измеряется чувствительность спроса к ценам и доходу?
¦ Что показывает эластичность по иене?
¦ Что показывает эластичность по доходу?
¦ Какое значение имеет эластичность спроса по цене для расходов домохозяйств и для ценообразования фирм?
¦ Какое значение имеет эластичность спроса по доходу для развития отдельных отраслей экономики?
Как домохозяйства принимают решения о спросе? .
¦ Какой набор потребительских благ может приобрести домохозяйство на свои доходы?
¦ Как описывается порядок отбора домохозяйством разных наборов потребительских благ?
¦ Чем характеризуется наилучший набор потребительских благ?
¦ Как изменяется наилучший набор потребительских благ с изменением цен благ и доходов домохозяйств?

1. Вводные замечания
Каждая развитая экономика, в которой блага производятся с использованием разделения труда, является меновой экономикой в форме денежной экономики, так как множество необходимых актов обмена было бы невозможно осуществить . без применения средства обмена, т. е. денег. Происходивший в первобытные времена обмен блага на благо давно уже уступил место продаже блага за деньги (посредством которой продавец обретает всеобщую покупательную силу) и покупке денег за благо. В настоящее время обмен происходит уже не между производителями и потребителями. Исполняющая посреднические функции торговля концентрирует спрос и приближает предложение к покупателям, выполняя таким образом важную экономическую функцию. При любом обмене должно существовать меновое соотношение, и при обмене блага на деньги или денег на благо должны существовать выраженные в деньгах цены благ. Если сопоставить две цены, мы получим реальное меновое соотношение между двумя благами:
. —ед.кол.блага2
р
( _ X марок/ ед. кол., _ у_
р
2 хмарок/ед.кол.
2 1ед.кол.блага1
Если цена одной книги составляет р, = 10 марок, а цена портфеля — р
2 = 30 марок, тогда один портфель обменивается на три книги. Цены благ «образуются на рынке», они зависят от спроса и предложения, от издержек производства, от стремления участников рынка к прибыли и от возможности ее получения вопреки конкуренции и интересам покупателей.
Определяющие процесс ценообразования факторы представлены на рис. 4.1.
Напомним (см. гл. 2, раздел 2), что цены являются тем фактором, который в рыночной экономике координирует хозяйственные планы действующих независимо друг от друга продавцов (как правило, производителей) и покупателей (обычно являющихся потребителями). Следовательно, цены способствуют согласованию интересов производителей и потребителей.
Интенсивность
потребности
Цены |
|
|
|
Издержки производства |
|
- Спрос-*- |
Равновесная
цена |
<— Предложение - |
Стремление к прибыли (цели поставщика) |
|
Доходы |
|
|
|
Конкуренция (власть) |
Ценовой механизм рыночной экономики регулирует экономические процессы.
После объяснения термина «рынок» опишем перечисленные выше детерминанты процесса ценообразования.
2. Рынок
Когда мы слышим слово «рынок», первая возникающая в нашем сознании ассоциация — место встречи поставщиков товаров (продавцы) и лиц, предъявляющих на них спрос (покупатели). Подобные организованные встречи, на которых взаимодействуют спрос и предложение, можно наблюдать на товарных и фондовых биржах и аукционах (например, на Московской фондовой бирже или на аукционах антиквариата). Но такие сконцентрированные в одном месте рынки сравнительно редки. Городской рынок квартир в определенный момент времени — это и газетные объявления, и картотеки маклеров, в которых хранятся сведения о квартирах определенной площади, их местоположении и качестве. Аналогичным образом рынок рабочей силы складывается из предложений и запросов на рабочие места, публикующихся в специализированных изданиях и вносящихся в картотеки Федерального ведомства по труду. При тщательном рассмотрении оказывается, что рынок состоит из множества сегментов, отличающихся друг от друга по качественным, пространственным и временным характеристикам объектов торга. Точнее говоря, весьма непросто очертить и обозначить рынок, который в общем можно определить как совокупность отношений предложения и спроса на благо или группы благ. На практике весьма часто используется такой его признак, как степень взаимозаменяемости благ (см. гл. 8 раздел 4).
В конечном счете, рынок предоставляет необходимую для запланированного обмена информацию (о цене, желаниях других людей покупать и продавать), определяет саму его возможность (контакты между участниками обмена) и, в сравнении с индивидуальным прямым и косвенным обменом, существенно облегчает процесс обмена.
3. Спрос домохозяйств
3.1. Детерминанты спроса домохозяйств
Типичным предъявляющим спрос субъектом, как правило, выступает частный потребитель, но мы помним, что спрос на товары и услуги предъявляет и предприниматель, планирующий использовать их в производственном процессе, и государство, приобретающее блага для удовлетворения общественных потребностей. Поскольку все мы являемся потребителями, мы легко определяем детерминанты нашего спроса на потребительские блага длительного и кратковременного пользования. Спрос домохозяйства, например, на автомобиль зависит:
(1) от цены автомобиля;
(2) от цен похожих автомобилей и от цены благ, необходимых в связи с использованием автомашины (бензин, масло, страхование, ремонт, налоги, плата за гараж и т. д.);
(3)от цены прочих благ, на которые предъявляют спрос домохозяйства;
(4} от доходов, находящихся в распоряжении домохозяйств, т. е. доходов после уплаты налогов и отчислений на социальное страхование, точнее — от той части доходов, которую планируется направить на приобретение потребительских благ (на потребление). Для простоты здесь и далее мы будем говорить о доходе как таковом;
(5) от субъективного представления потенциального потребителя об автомобиле в сравнении с другими благами (например, комфорт, скорость, независимость и т. д.). Данное субъективное представление полезности называется структурой потребностей, или порядком предпочтения.
Структура потребностей домохозяйства, естественно, подвержена изменениям и во многом зависит от появления на рынке новых товаров (продуктовых инноваций), от рекламы и возрастной структуры домохозяйства. Понятно, что потребность в телевизоре или в магнитофоне могла появиться только после их изобретения и начала производства и что решение о покупке или о выборе между разными предметами бытовой техники принимается также в зависимости от их объема, качества и от рекламы. Степень влияния на потребителей рекламы и продуктовых инноваций в общем неизвестна. Конечно, нельзя сказать, что все потребности человека являются врожденными, как и то, что все они определяются рекламой. Основные нужды и желания свойственны человеку с рождения, как, например, потребность в еде, питье, квартире, одежде или желание свободы, приключений, уюта и т. д. Но то, что потребность в питье удовлетворяется лимонадом X, а желание свободы — с помощью лосьона Y, или стремление к приключениям — путем предпочтения сигарет марки Z, должно быть признано результатом рекламы (см. также гл. 1 раздел 1.1).
Спрос, который предъявляется домохозяйством на потребительские блага, зависит от цены потребительских благ, от дохода, которым располагает домохозяйство, и от структуры его потребностей.
Спрос одного домохозяйства можно определить, используя термин, часто употребляемый в экономической теории, как функцию (т. е. зависимость от) множества факторов. Наша задача объяснения экономической действительности чрезвычайно сложна. Действительность столь разнообразна, что описать или объяснить ее во всех ее проявлениях невозможно. Но даже если бы мы имели такую возможность, ее использование — вряд ли целесообразно. Таким образом, мы, с одной стороны, вынуждены пренебрегать деталями и абстрагироваться от явлений, которые представляются нам несущественными. С другой стороны, объяснить одновременное воздействие перечисленных факторов, таких как доходы, цены и структура потребностей весьма непросто. Например, практически невозможно или чрезвычайно сложно предсказать изменение спроса на сливочное масло в случае снижения, его цены, уменьшения доходов домохозяйств и разнонаправленной динамики цен на другие товары при одновременном сдвиге в структуре потребностей.
Для установления закономерностей нам необходимо сделать две вещи:
(1) Мы не должны принимать во внимание детали, которые, с точки зрения исследуемой проблемы, являются незначительными. Мы упростим разнообразные формы проявления действительности, сведя их к простой системе, которую мы называем моделью. С ее помощью мы попытаемся вывести существенные закономерности. Метод модельного мышления для экономической науки необходим, но он имеет определенные ограничения. С одной стороны, невозможно заранее знать, какими деталями можно пренебречь как несущественными. С другой — при применении модели к конкретной проблеме необходимо проверить, являются ли произведенные упрощения корректными.
(2) Мы четко определяем влияние выделенных существенных факторов только тогда, когда рассматриваем их во всех деталях. Поэтому мы часто предполагаем, что за исключением одного фактора модели все остальные факторы неизменны, т. е. для нашего исследования они являются заданными. Мы работаем с допущением, «что все остальное остается неизменным» (оговорка ceteris-paribus или «при прочих равных условиях»).
3.2. Зависимость спроса на благо от его иены
В соответствии с модельным мышлением и методом ceteris-paribus мы предполагаем, что доходы, структура потребностей и цена других благ, за исключением цены блага, которую мы рассматриваем, заданы как постоянные.
Мы хотим знать, каким образом спрос, например, на сливочное масло, зависит именно от его цены. Для этой цели опросим домохозяйства о планируемом ими спросе на масло при различных его ценах и постоянных ценах остальных благ, а также при постоянных доходах. Результат показан в табл. 4.1:
Перед тем как перейти к объяснению закономерностей спроса, мы представим результат опроса в другой форме — на графике.
На вертикальной оси (оси ординат) обозначим цену масла, на горизонтальной оси (оси абсцисс) соответствующую этой цене величину спроса на масло.
Таблица 4.1
Планируемый спрос домохозяйства X на сливочное масло (в течение месяца) |
|
Цена масла, DM/кг |
Величина спроса, кг/мес |
|
10 |
0 |
|
9 |
2 |
|
8 |
4 |
|
7 |
6 |
|
6 |
8 |
|
5 |
10 |
|
4 |
12 |
|
3 |
14 |
|
2 |
16 |
|
1 |
18 |
|
0 |
20 |
|
Отметим на графике цены и объемы из верхней части табл.4.1 и соединим точки. Мы получим линию (в данном случае прямую), которая показывает нам спрос на масло при различных ценах, например 12 кг масла при цене 4 марки за 1 кг (см. рис. 4.1, причем ден.ед. означает количество денег, например немецких марок (DM), ед.кол. означает единицу количества товара и ден. ед./ед. кол. означает количество денег за 1 единицу товара). Поскольку объем спроса зависит от цены, можно сказать, что цена является причиной (независимая переменная), а объем спроса — следствием (зависимая переменная).
Наконец, мы выразим спрос домохозяйств на масло алгебраически:
x = f(p).
Это означает: х [объем спроса] является f [функцией] р [цены]. В нашем примере функция принимает форму:
х = 20 - 2 р.
Если подставить определенное значение для цены р, например р = 2,50 марок, получаем объем спроса на масло:
х = 20 - 2 х 2,50 = 15 кг масла.
Такую функцию мы называем функцией спроса. Она указывает на то, какой объем спроса предъявляло бы домохозяйство, если бы цена блага изменялась при постоянном доходе, постоянстве остальных цен и структуры потребностей.
Графическое изображение функции спроса называется кривой спроса.
Опыт показывает, что при снижении цены блага объем спроса на это благо, как правило, при прочих равных условиях повышается и, наоборот, при повышении цены — снижается. Наклон кривой спроса, как правило, отрицателен. Почему? Существуют два обоснования.
|
Цена масла (ден.ед./ ед. кол.) |
 |
Величина спроса на масло (ед. кол.) |
(1) Эффект замещения
Допустим, что цена сливочного масла повышается, а остальные цены остаются неизменными. Масло становится относительно дороже, а другие блага, такие как маргарин и подсолнечное масло, — относительно дешевле. Тогда для каждого потребителя выгодно заменить относительно дорогое благо на относительно дешевое.
(2) Эффект (реального) дохода
Если мы располагаем определенным денежным доходом, который планируем использовать для покупки потребительских благ, мы заметим, что при данной номинальной величине дохода повышение цены какого-то блага приводит к сокращению того количества данного блага, которое можно приобрести на этот доход.
Каждое повышение цены приводит, таким образом (если на подорожавшее благо еще имеется спрос), к снижению реального дохода, которое будет особенно чувствительным, если речь идет о ценах благ, занимающих большую долю в структуре расходов домохозяйств (величина квартплаты или общее возрастание цен в период инфляции без соответствующего повышения доходов). За исключением немногих особых случаев эффект реального дохода действует в том же направлении, что и эффект замещения: с ростом цены блага снижается объем спроса.
Важно, чтобы читатель имел полную ясность относительно определения функции спроса и особенно — чтобы он всегда понимал ограниченность этого определения из-за оговорки ceteris paribus. Функция спроса:
х = 20 - 2 р
действительна лишь при данном доходе, заданной структуре потребностей и постоянных ценах остальных благ. Только при этих условиях объем спроса отреагирует на изменение цен так, как было определено в опросе. В этом случае мы говорим о движении вдоль кривой спроса (изменении объема спроса из-за изменения цены при неизменной функции спроса, см. рис. 4.3).
Следует четко отличать движение вдоль кривой спроса от сдвигов этой кривой. Всегда, если цены остальных товаров или доходы принимают другие значения или изменяется структура потребностей, происходит сдвиг графика установленной при условии ceteris paribus функции спроса. Так, изображенный на рис. 4.4 сдвиг кривой спроса вправо «в сторону» блага X связан с повышением цены блага Y.
Наблюдения показывают, что нередко, в противоположность изображенной на рис. 4.3 зависимости, объем спроса на разные блага повышается, даже в том случае, когда их цена возрастает. Данный факт, однако, не противоречит обычной практике, когда домохозяйства при повышении цены одного блага при прочих равных условиях планируют уменьшить спрос на него в силу того, что:
(1) повысились доходы домохозяйств;
(2) изменилась структура их потребностей;
(3) цены других благ выросли еще больше;
(4) в будущем ожидается дальнейшее повышение цен, и поэтому покупатель предпочитает покупать сегодня, а не завтра, когда это благо станет еще дороже (инфляционный менталитет).
Наряду с этим могут существовать блага, на которые домохозяйства предъявляют больший спрос именно потому, что их цены ceteris paribus повысились. В научной литературе подобное явление называют эффектом Веблена (эффектом престижа).
Кроме того, возможно, имеет место так называемый эффект «стадности» или эффект «сноба».
Цена р
(ден.ед./ед.кол.)
 |
|
Рис. 4.3. Движение вдоль кривой спроса |
|
Цена р |
 |
Эффект «стадности» (или эффект присоединения к большинству) состоит в том, что спрос домохозяйства на благо ceteris paribus повышается, если объем суммарного сбыта блага на рынке увеличивается.
Эффект «сноба» противоположен эффекту присоединения к большинству: спрос сноба снижается, если повышается суммарный спрос на данное благо. Его поведение является следствием стремления к исключительности, желания быть непохожим на других, не иметь ничего общего с основной массой людей.
4. Чувствительность спроса к иенам и доходу
4.1. Ценовая эластичность
Экономист не может удовлетвориться простой констатацией того факта, что спрос на благо при прочих равных условиях зависит от его цены и, как правило, при росте цены снижается.
На примере различных благ можно наблюдать, что спрос реагирует на изменения цен с разной силой. Нам необходимо определить и измерить степень этой реакции; выяснить, насколько «сильно»» или «слабо» объем спроса реагирует на изменение цены.
Покажем на примере, сколь важно знать связь между изменением цены и обусловленным им изменением объема спроса.
Футбольный клуб, участвующий в розыгрыше одного из европейских кубков, хотел бы при проведении важного матча получить максимум дохода. Его руководству необходима информация о том, насколько снизится спрос на билеты при повышении цены на них. Даже не имея точных данных о рассматриваемой зависимости, мы можем предполагать, что повышение цены будет выгодным только в том случае, если результирующее изменение спроса будет незначительным. С другой стороны, снижение цены на билеты на непопулярные матчи может привлечь так много дополнительных болельщиков, что совокупные доходы повысятся.
Для определения того, насколько большим будет вызванное изменением цены блага изменение объема спроса на благо, в экономической теории используется понятие прямой ценовой эластичности. Для того чтобы эта величина была сопоставима и могла использоваться для характеристики спроса, недостаточно сравнения абсолютных ценовых и количественных соотношений. Рассмотрим следующий пример: .
При цене пива 0,50 марки за бутылку домохозяйства приобретают 100 бутылок в месяц, при цене шоколада 1 марка за плитку — 10 плиток в месяц. Предположим, что цены этих товаров повышаются. Новая цена пива составляет 0,75 марки, а спрос снижается до 80 бутылок. Цена шоколада повышается до 1,25 марки, тогда как спрос сокращается на 5 плиток.
Поскольку речь идет о разных благах и разных единицах измерения (плитки шоколада и бутылки пива) — из-за одного этого сопоставление чрезвычайно затруднено и сравнение абсолютных изменений ни о чем не говорит. Чтобы оценить их значения, необходимо соотнести их с исходными величинами, а значит, рассмотреть относительные изменения, т. е. соотношение изменения с исходной величиной. Так, утверждение, что при повышении цены пива на 0,25 марки, спрос снижается на 20 бутылок, менее информативно, чем следующее высказывание: при увеличении цены пива на 50% ежемесячный объем спроса снижается на 20%.
Прямая ценовая эластичность спроса измеряет интенсивность реакции спроса.
Поэтому (и это очень важно осознавать) при использовании термина эластичность, речь всегда идет о двух относительных изменениях, в свою очередь, соотносимых друг с другом. В общем, эластичность измеряет силу влияния причины на результат. Формально эластичность выражается следующим образом:
^ относительное изменение результата (например в %)
Эластичность =--—--;----гг-
относительное изменение причины (например в %) '
Тогда под прямой ценовой эластичностью спроса понимается соотношение относительного (процентного) изменения объема спроса на благо и относительного (процентного) изменения цены этого блага.
Немного проще, хотя и не совсем точно, можно сказать: прямая ценовая эластичность спроса указывает, на сколько процентов изменяется объем спроса, если цена изменяется на 1 %.
Когда мы говорим, например, что спрос на сигареты марки X имеет прямую ценовую эластичность 5, это означает, что при повышении цены на 1%, объем спроса снижается на 5%.
В обратном случае ценовую эластичность можно было бы рассчитать по наблюдаемым изменениям спроса. Используем наш пример с вычислением эластичности спроса на пиво и шоколад и запишем определение эластичности в виде формулы. Прямая ценовая эластичность равна:
_ относительное изменение количества
t =- .
относительное изменение цены '
Обозначив исходное количество через х, его изменение через д х, исходную цену — р и ее изменение как д р, мы можем записать:
Ах

Р
Тогда относительное изменение спроса на пиво составит:
Ах _ -20 бутылок 1 х 100 бутылок 5’
относительное изменение цены:
Ар _ 0,25 марок _ 1 р 0,50 марок 2
Значит, ценовая эластичность спроса на пиво составит:
д
х -20 бутылок \
х _ 100бутылок _ 5 _ оі
Ар 0,25 марок 1
р 0,50 марок 2
Аналогичным образом высчитывается прямая ценовая эластичность спроса на шоколад:
дх -5 плиток 1
10 плиток _ 2 _ 2
Ар 0,25 марок 1 р 1,00 марок 4
Данная численная величина эластичности может послужить характеристикой поведения спроса.
Однако необходимо указать, что речь всегда идет лишь об эластичности при определенной цене, и при другой исходной цене она, как правило, имеет иное значение.
Обратимся еще раз к функции спроса х = 20 - 2 р. Каждому увеличению цены на 1 марку соответствует одинаковое абсолютное снижение величины спроса на 2 единицы. Однако относительные изменения сильно различаются.
Если цена повышается с 1 марки до 2 марок, то объем спроса на масло снижается с 18 до 16. Эластичность тогда составляет:
Ах Ар _ 2 1 _ 1 х р 18 1 9
Но если цена повышается с 8 марок до 9 марок, то объем спроса снижается с 4 до 2 кг масла, а эластичность составляет:
Дх Ар _ 2
х р 4 |  |
Возможно общее определение эластичности для случая, когда кривая спроса представлена в виде прямой линии, как показано на рис. 4.5 (здесь и далее мы опускаем знак минуса). Точка X является точкой на кривой спроса X. Прямая эластичность в этой точке определяется соотношением отрезков ХВ и ХА. Это соотношение дает величины коэффициентов эластичности.
При максимальной цене 5 (в точке А) эластичность является бесконечно большой, при средней (половинной) цене Е = 1, а при цене 0 (в точке В) значение эластичности является нулевым.
‘Прямая ценовая эластичность обычно отрицательна, так как повышение цены (+) влечет за собой снижение спроса (-). Часто знак минуса опускают.
Ценар
(ден.ед./
ед.кол.) |
 |
Количество х (ед. кол.) |
Рис. 4.5. Изменение прямой ценовой эластичности для случая линейной кривой
спроса |
Весьма важно, оказывается ли эластичность больше или меньше 1. Если коэффициент эластичности находится в интервале между бесконечностью и 1, речь идет об эластичном спросе. Если цена повысится на 1 %, спрос сократится больше чем на 1%. При коэффициенте эластичности, варьирующем между 1 и 0, речь идет о неэластичном спросе. В этом случае повышение цены на 1 % приводит к снижению спроса меньше чем на 1 %.
Далее указываются ценовые эластичности спроса некоторых благ1:
использование автомобиля -0,36, ремонт автомобиля -0,29, хлебобулочные изделия -1,8, образование и досуг -2,9, личная гигиена +0,3.
Обратите внимание на то, что данные коэффициенты были измерены в определенное время и при определенных ценовых соотношениях. С тех пор эластичность вполне могла (или может в будущем) измениться.
Чтобы объяснить разницу между эластичным и неэластичным спросом, возвратимся к нашему примеру с пивом и шоколадом. Как с увеличением или уменьшением цен будет изменяться денежная сумма, затрачиваемая на потребление пива или шоколада, т. е. расходы домохозяйства и, следовательно, доходы и оборот торгового предприятия? Расходы на приобретение одно блага исчисляются как произведение цены на величину спроса на это благо. Соответствующие показатели представлены в табл. 4.2.
В обоих случаях при повышении цены объем спроса снижается. Но расходы на пиво повышаются с 50 до 60 марок, тогда как в случае с шоколадом расходы снижаются с 10 марок до 6,25 марок. Причина состоит в том, что спрос на пиво неэласти-
Таблица 4.2
Расходы при разных ценах |
|
Благо |
Пиво |
Шоколад |
|
Ситуация |
Цена (DM) |
Кол-во
(бутылок) |
Расходы
(DM) |
|
Цена
(DM) |
Кол-во
(плиток) |
Расходы
(DM) |
|
1 |
0,50 |
100 |
50 |
1. |
1 |
10 |
10 |
|
2 |
0,75 |
80 |
60 |
2. |
1.25 |
5 |
6,25 |
|
чен (Е = 2/5). Относительное повышение цены превышает относительное сокращение спроса; таким образом, произведение обеих величин должно возрасти. С другой стороны, спрос на шоколад эластичен, т. е. объем спроса уменьшается относительно сильнее, чем повышается цена блага, и произведение этих величин снижается. Теперь мы можем сформулировать следующий тезис:
Если спрос при определенной цене эластичен (неэластичен), то при небольшом повышении цены на это благо расходы уменьшаются (увеличиваются).
Так, например, спрос на жилье относительно неэластичен по цене; значит, при повышении квартплаты расходы на жилье повышаются, а при понижении квартплаты уменьшаются. С другой стороны, если спрос на лимонад марки X эластичен по цене, то при повышении (снижении) цены расходы на него сокращаются (увеличиваются).
Высокая ценовая эластичность спроса, таким образом, устанавливает весьма эффективный предел повышению цен производителями.
4.2. Перекрестная эластичность
Важное значение имеет также связь между объемом спроса х, на благо 1 (например, автомобиль «Жигули») и ценой р
2 на благо 2 (например, на «Москвич»), ценой на бензин или ценой на грампластинки (ceteris paribus). Из приведенных нами примеров следует, что данная зависимость может принимать три основные формы:
(І)Рассмотрим рис. 4.6. С повышением цены блага 2 («Москвич») при прочих равных условиях повышается спрос на благо 1 («Жигули»), В этом случае речь идет о взаимозаменяемых благах, или о заменителях. Степень заменяемости и, таким образом, степень возможной конкуренции между продавцами обоих благ измеряется посредством перекрестной эластичности. Перекрестная эластичность показывает, нд сколько процентов изменяется объем спроса на благо 1, если цена блага 2 изменяется на 1%.
Или еще точнее: перекрестная эластичность — это отношение относительного изменения спроса на благо 1 к относительному изменению цены на благо 2. Коэффициент эластичности для взаимозаменяемых благ всегда положителен. Чем больше перекрестная эластичность, тем в большем количестве при повышении цены одного блага потребители будут покупать конкурирующее благо. Таким образом.
|
Цена блага 2 (ден.ед./ед.кол.) |
 |
|
Рис. 4.6. Взаимозаменяемые блага |
перекрестная эластичность по благам, одинаково оцениваемым покупателями (по однородным благам), например, по таким, как разные марки бензина, виды сигарет и марки автопокрышек, будет очень высокой.
Возможность одностороннего повышения цены производителями при высокой перекрестной эластичности невелика.
(2) Рассмотрим рис. 4.7. При возрастании цены блага 3 ceteris paribus спрос на благо 1 падает. Данная ситуация имеет место в случае взаимодополняемых благ (например, автомобиль и автопокрышки, трубка и табак). Перекрестная эластичность взаимодополняемых благ отрицательна. Повышение производителем блага 1 цены на него оказывает отрицательное влияние и на спрос на взаимодополняемые блага других производителей.
В случае взаимодополняемых благ спрос на одно благо повышается, если снижается цена другого блага.
Наконец, объем спроса на благо 1 может быть совершенно независимым от цены на благо 4 (например, рояль и трость, мебель и соль). В этом случае перекрестная эластичность равна нулю. Повышение цены одного блага никак не меняет спрос на другое благо.
4.3. Эластичность спроса по доходу
Из практики мы знаем, что сумма, которая в совокупности расходуется на потребительские блага — «сумма потребления», — с ростом доходов возрастает. Воз-
|
Цена блага 3 (ден.ед./ед.кол.) |
 |
|
Рис. 4.7. Взаимодополняемые блага |
никает вопрос:как эта сумма распределяется на отдельные блага? Как правило, с ростом дохода спрос на одно благо увеличивается. Данное утверждение относится прежде всего к предметам «не первой необходимости», таких как мебель, путешествия, автомобиль или украшения. Но встречаются и некоторые исключения: спрос на блага среднего или низкого качества (например, на маргарин, искусственный мед, дешевый алкоголь, текстиль из лоскутной шерсти и т. д.) при возрастании дохода уменьшается. Потребитель может позволить себе купить вместо
|
Цена блага 4 (ден.ед./ед.кол.) |
 |
Количество блага 1 (ед-кол.) |
маргарина или картофеля побольше сливочного масла, м яса и фруктов. Блага, спрос на которые с ростом доходов снижается, называются благами низшей категории, или низшими благами.
Более точно позволяет описать связь между доходами и спросом понятие эластичность по доходу, или отношение относительного изменения спроса к относительному изменению дохода. Этот коэффициент эластичности показывает, на сколько процентов ceteris paribus повышается спрос на благо, если доход увеличивается на 1%.
Коэффициент эластичности спроса по доходу для разных благ или их групп определяет развитие спроса на эти блага и тем самым будущее соответствующих групп производителей.
Так, спрос на сельскохозяйственные продукты имеет коэффициент эластичности спроса по доходу менее 1, а иногда даже отрицательное значение.
Из этого следует, что доля спроса на сельскохозяйственные продукты в общем спросе и, таким образом, значение этого сектора в долгосрочном плане будут снижаться. Наоборот, значение промышленных отраслей, производящих блага с эластичностью по доходу больше 1 (например, химической промышленности), будет возрастать. Подобные блага, на которые увеличение (уменьшение) спроса превышает увеличение (уменьшение) дохода, называются «предметами роскоши*.
5. Экскурс: более внимательный взгляд на кривую спроса
В нашем экскурсе мы более подробно проанализируем предъявляемый домохозяйствами спрос на блага. Читатель, которому данная проблема не очень интересна, может пропустить данное отступление.
Отправным пунктом анализа является допущение, что домохозяйство в своих решениях при покупке потребительских благ стремится приобрести «наилучший» набор благ, который оно может себе позволить. Предполагается, что домохозяйство выбирает набор потребительских благ, предпочитаемый всем другим наборам, которые оно могло бы приобрести на располагаемые доходы.
Проблему принятия решения домохозяйством можно разделить на три вопроса:
5.1. Возможные наборы потребительских благ
Какой набор потребительских благ может приобрести домохозяйство на располагаемые доходы («бюджет»), если цены благ являются заданными и отдельные домохозяйства не могут повлиять на них?
На рис. 4.9 изображена так называемая бюджетная линия, которая показывает, какой набор благ (т. е. комбинацию благ 1 и 2) приобретет домохозяйство на весь свой доход. Мы получаем эту линию путем простых рассуждений.
Если домохозяйство направляет все свои доходы на покупку блага 1, оно приобретет е/р, его единиц (см. рис. 4.9 точка Л); если же домохозяйство расходует весь свой бюджет на приобретение блага 2, оно закупит его в количестве е/р, — см. рис. 4.9, точка G (е здесь означает доходы).
Соотношение цен показывает, в каком объеме домохозяйство может заменить на рынках одно благо другим.
Мы предположили, что соотношение цен на блага является заданным. Таким образом, независимо от спроса отдельного домохозяйства, при наличии только двух благ, перераспределяя свои расходы, домохозяйство может обменять определенное ценовым соотношением количество блага 1 на одну единицу блага 2 (и наоборот). Если ценовое соотношение равно:
PlJO „
р
2 10 ’
то домохозяйство вместо одной единицы блага 1 сможет купить две единицы блага 2 (рыночная норма замены). При сумме потребления, равной 120 (см. рис. 4.9), двигаясь из точки А и проходя через точки В, C,...,G, мы оказываемся на бюджетной линии.
Предположим, что блага можно «разложить» на сколь угодно малые частицы (как, например, 1 кг муки может быть представлен в граммах и в миллиграммах) и точки на линии, соединяющей точки А, В, C,...,G, являются наборами благ, покупаемых домохозяйством.
Прямая AG является бюджетной линией домохозяйства. На ней находятся все наборы потребительских благ, которые может приобрести домохозяйство, полностью расходуя свой доход при данных ценах.
К «области возможностей* домохозяйства относятся, естественно, и все находящиеся ниже бюджетной линии (включая оси) наборы благ. Но обычно, как мы это еще увидим, при принятии решений они не учитываются.
Но какие количества благ 1 и 2 выбирает домохозяйство и что является его наилучшим выбором? Для ответа на этот вопрос нам необходимо знать, как домохозяйство оценивает разные наборы потребительских благ с точки зрения своего благополучия (благосостояния) и как это ранжирование описывается в экономической науке.
|
Xi |
 |
|
Рис. 4.9. Бюджетная линия |
5.2. Структура потребностей (порядок предпочтений) домохозяйства
Экономисты называют оценку различных наборов потребительских благ домохозяйствами и проведенное тем самым упорядочение различных потребительских благ «ранжированием предпочтений»1.
Возможно, это звучит немного искусственно, но суть данного явления, в принципе, весьма проста. Речь идет о том, что в отношении двух наборов благ (независимо от того, сколь дорого они стоят, и может ли оно их себе позволить) домохозяйство имеет возможность определить, какое из них оно оценивает выше («предпочитает») или оба набора благ для него равноценны. Читателю необходимо обратить внимание, что такая оценка производится домохозяйством независимо от его дохода и при данных ценах. Игнорирование этого допущения часто ведет к недоразумениям.
Выдвигая некоторые весьма общие требования к ранжированию предпочтений домохозяйств , их порядок можно изобразить при помощи системы не пересекающих друг друга кривых безразличия. Каждая из этих кривых безразличия проходит через наборы благ, оцениваемые домохозяйством как равноценные в соответствии с предпосылкой о ненасыщенности, имеет обязательно отрицательный наклон и выпукла относительно начала координат (см. рис. 4.10). Как мы скоро убедимся, допущение «строгой выпуклости» не так уж произвольно, как может показаться на первый взгляд. Однако оно не является чем-то само собой разумеющимся.
Наклон (крутизна) кривой безразличия в каждой точке показывает, какое бесконечно малое количество блага 2 домохозяйство считает компенсацией за потерю бесконечно малого количества блага 1. На рис. 4.10, например, домохозяйство рассматривает наборы благ В (х°,х°) и С (х° +Дх°,х° - Дх° ) как равноценные. Соотношение Ах,/Дх, называется «предельнойнормой замещения». Рис.4.10показывает, что при движении вдоль любой кривой безразличия, т. е. при увеличении х,, предельная норма замещения снижается (см. Дх,/Дх
2 при движении из точки В и точки D).
Это звучит правдоподобно, поскольку для домохозяйства благо 2 становится все более обильным, а благо 1 все более скудным. Поэтому правдоподобна и выпуклая форма кривой безразличия.
х,
 |
|
Рис. 4.10. Кривая безразличия |
Дадим определение.
Предельная норма замещения — это пропорция обмена между благами, при которой полезность набора благ с точки зрения домохозяйства (а значит, субъективно) не изменяется.
Любая из кривых безразличия, находящихся выше кривой безразличия І
0, содержит наборы благ, которые домохозяйство предпочитает тем наборам, которые лежат на этой кривой І
0 (расположенной ближе к началу координат). Данное утверждение вытекает (см.рис. 4.10 для точки А) непосредственно из допущения о ненасыщенности. Если при постоянном количестве блага х
( (х,) увеличивается количество блага х„ (х,) на любую, сколь угодно малую, величину Дх,(Дх
2) или количество обоих благ возрастает, то в этом случае, в соответствии с предпосылкой о ненасыщенности, общая полезность для домохозяйства увеличивается. Соответствующее заключение можно сделать относительно каждой точки кривой безразличия І
0, так что выше кривой безразличия І
0 всегда должна находиться кривая безразличия с наборами товаров, которые домохозяйство оценивает выше тех, которые расположены на кривой безразличия І
0. Наши выводы указывают и на то, что кривые безразличия — как уже упоминалось выше — не могут пересекаться. Кроме того, кривые безразличия, пересекающие друг друга, нарушили бы допущение об отсутствии противоречий в системе предпочтений. Значит, ранжирование предпочтений домохозяйства можно описать через систему не пересекающих друг друга
|
*1 |
 |
кривых безразличия, прилегающих, строго говоря, бесконечно «плотно» друг к другу. Чем выше находится кривая безразличия, тем выше полезность (благосостояние), которую домохозяйство приписывает данному набору благ (см. рис. 4.11).
5.3. Выбор наилучшего набора потребительских благ
Сочетание бюджетных линий и ранжирования предпочтений в форме системы кривых безразличия позволяет нам описать выбор домохозяйством наилучшего для него набора благ.
Начнем движение (на рис. 4.12) из точки А вниз по бюджетной линии, такой же, как на рис. 4.9, причем соотношение цен предполагается равным р,/р, = 20/10 = 2, а доходы — 120. Домохозяйство шаг за шагом приближается к тому набору благ, который оно, как показывают кривые безразличия, предпочитает другим находящимся на бюджетной линии наборам. Это связано с тем, что домохозяйство, если оно перемещается вниз по бюджетной линии, при ценовом соотношении р, / р,, = 2, приобретает на рынке две единицы блага 2 взамен одной единицы блага 1. Однако, чтобы возместить домохозяйству потерю единицы блага 1, достаточно, чтобы предельная норма замещения (при пересечении бюджетной линии с кривыми безразличия) была менее двух единиц блага 2. Описанное движение вдоль бюджетной линии выгодно для домохозяйства, пока оно не достигнет точки Т. Здесь устанавливается такое соотношение, при котором субъективная оценка домохозяйством соотношения полезности двух благ (предельная норма замещения) совпадает с объективной рыночной оценкой этого соотношения (т. е. с относительной ценой). Следовательно, домохозяйство получает на рынке те же самые две единицы блага 2 взамен одной единицы блага 1, которые, по его субъективной оценке, полностью компенсируют потерю одной единицы блага 1, и, таким образом, дальнейшее замещение оказывается невыгодным. Данный вывод подтвердится, и если домохозяйство будет двигаться из точки G влево вверх по бюджетной линии. Перераспределяя свои расходы с блага 2 на благо 1, домохозяйство получает на рынке половину единицы блага 1 за одну единицу блага 2.
Но оно субъективно ощущает (на что указывает предельная норма замещения в этой точке), что потерю единицы блага 2 можно компенсировать количеством блага 1, меньшим, чем половина его единицы. Следовательно, если домохозяйство производит перераспределение своих расходов, оно оказывается субъективно в лучшем положении, чем раньше, т. е. более высоко оценивает новый набор благ. Так происходит до тех пор, пока не будет достигнута точка Т.
В равновесном состоянии домохозяйства соотношение цен равно (по абсолютному значению) предельной норме замещения. При данном ранжировании благ, описываемом посредством системы кривых безразличия, домохозяйство при доходах е, если оно стремится достичь наилучшего положения, выбирает набор благ ( хі,х
2 ). Наборы благ на более высоких кривых безразличия при данных ценах и при данном доходе оно приобрести не может. Если домохозяйство желает оптимизировать свое положение, оно откажется от наборов благ ниже бюджетной линии.
|
*1 |
 |
|
Рис. 4.12. Равновесие домохозяйства |
Как изменится объем спроса домохозяйства на блага с изменением цены этого блага и дохода? Чтобы ответить на поставленный вопрос, рассмотрим последствия снижения цены на благо 1 при постоянных доходе и цене р,, а также эффект повышения дохода при постоянстве цен обоих благ.
X,

5.4. Эффект снижения иены блага
Если цена блага 1 снизится, например, с 20 марок/ед.кол. до 10 марок/ед.кол. (при постоянстве цены блага 2 и дохода е), отрезок оси е/р
г как показывает рис. 4.13, удлинится. Так какр
2 не изменяется, отрезок оси абсцисс е/р
2 остается прежним. В целом бюджетная линия станет круче (абсолютный наклон повысится). Меновая пропорция между благами на рынке составит одну единицу блага 1 за единицу блага 2.
Следовательно, бюджетная линия повернулась в точке G наверх. Наилучшая достижимая для домохозяйства позиция сейчас представлена точкой Т\ На рис. 4.13 соответствующий точке Т’ набор благ содержит больше блага 1, поэтому результат соответствует ожидаемому эффекту от снижения цены этого блага. Необходимо отметить, что такой результат вовсе не обязателен.
5.5. Эффекты дохода и замещения
Каким образом в количественном изменении спроса на благо 1, произошедшем в результате снижения ceteris paribus цены блага 1, проявляются упомянутые в разделе 3.2 этой главы эффект замещения и эффект дохода? Предположим, что из-за падения цены блага 1, домохозяйство (за исключением точки G) может приобрести большее количество обоих благ, а значит, измеряемая реальным доходом его покупательная способность возросла. Разумеется, такое повышение реального дохода, как правило, влечет за собой рост потребления блага 1. «Разложение» изменения х, (являющегося следствием изменения цены) на эффект дохода и эффект замещения осуществляется исходя из предположения, что повышения реального
X,

дохода домохозяйства не было, но установилось новое соотношение цен. Происходящее в этом случае изменение х, является следствием только изменения менового соотношения между благом 1 и благом 2, т. е. результатом изменения ценового соотношения р, / р,. Мысленная отмена повышения реального дохода, вызванная снижением цены блага 1, возможна при допущении, что домохозяйству доступна только кривая безразличия І
0, и, таким образом, оно может приобрести лишь набор благ, соответствующий точке Т. Если домохозяйство хочет добиться для себя наилучшего положения, оно должно учитывать новое соотношение цен, которое на рис. 4.14 обозначено через фиктивную (пунктирную) бюджетную линию с наклоном 1/1.
Там, где эта бюджетная линия коснется кривой безразличия І
0 (точка Т), достигается наилучшее состояние (оптимум) домохозяйства с учетом изменения соотношения цен и при мысленном исключении сопровождающего его изменения реального дохода. Тогда Дх[ будет описывать ту часть изменения спроса на благо 1, которая обусловлена исключительно изменением ценового соотношения (эффектом замещения), а Дх| — обозначать часть изменения спроса на благо 1, причиной которой является вызванное падением цены повышение реального дохода (эффект дохода).
5.6. Повышение номинального лохола
После приведенных выше рассуждений ответ на вопрос о воздействии роста дохода на спрос на благо при постоянстве обеих цен сравнительно прост. При повышении располагаемого дохода домохозяйства (например, потому, что вырос его совокупный доход или снизились налоги) увеличивается и максимальное количество благ 1 и 2, которое оно может купить. Так как соотношение цен, согласно нашему пред-
|
*1 |
 |
положению, остается неизменным, то наклон бюджетной линии не изменяется, а она сама смещается параллельно вправо вверх.
Рис. 4.15 показывает случай так называемого «нормального блага». При возрастании денежного дохода домохозяйства спрос на это благо повышается.
Возможно, однако, что при соответствующей форме кривых безразличий (здесь данный случай не представлен графически) спрос на благо \ ceteris paribus при повышении дохода снизится. Такое благо, как уже отмечалось, называется «низшим благом» (благом низшей категории), поскольку подобный эффект распространяется на блага более низкого качества. Примером может служить спрос на картофель, когда при повышении дохода домохозяйство отказывается от него в пользу овощей, мяса и риса (блага более высокого качества). Возможная отрицательная реакция спроса на повышение денежного дохода при постоянной цене объясняет также, почему падение цены не обязательно приводит к повышению спроса на низшее благо: хотя снижение цены на картофель повышает склонность домохозяйства к увеличению его закупок за счет других благ, но уменьшающий спрос эффект дохода, в случае низшего блага, может перекрыть увеличивающий его эффект замещения. В этом случае мы говорим о благе Гиффена.
5.7. Функция полезности
Описанный выше выбор домохозяйством оптимального набора потребления, а также изменение оптимального спроса на благо при изменении цены и/или дохода часто представляют как функцию полезности домохозяйства, приписывающую альтернативным наборам благ определенную полезность. В заключение излагаемой здесь теории поведения потребителей нам необходимо объяснить взаимосвязь между функцией полезности и ранжированием предпочтений домохозяйства.
Если домохозяйство рассматривает определенные наборы благ как равноценные, то данное обстоятельство означает, что они предоставляют потребителям одинаковую «полезность». Функцию полезности домохозяйства мы получим, если всем наборам благ, между которыми домохозяйство не делает различий, придадим определенную полезность. Набор благ, находящийся на более «высокой» кривой безразличия I получит более высокую полезность, чем набор благ на кривой безразличия І
0, которому домохозяйство приписывает меньшую полезность. Поскольку принадлежность набора благ к более высокой кривой безразличия I, означает лишь то, что домохозяйство оценивает этот набор благ выше (но неизвестно — насколько выше), чем набор, лежащий на более низкой кривой безразличия І
0, следовательно, положение кривой безразличия указывает лишь на ранговый порядок набора благ. Здесь речь идет об ординалистской функции полезности, отражающей ранжирование предпочтений домохозяйства. Раньше экономисты исходили из возможности измерения величины полезности (кардиналистская полезность): набор благ с полезностью в 30 единиц в этом случае был бы ровно в три раза лучше, чем набор благ с полезностью 10. Только тогда, когда предполагается кардиналистская измеримость полезности (положение, которое сегодня опровергается подавляющим большинством экономистов), предельная полезность является осмысленной величиной. В этом случае она отражает то, на сколько единиц повышается полезность домохозяйства, если оно ceteris paribus (т. е. при неизменной обеспеченности другими благами) получает на одну единицу некоего блага больше.
В связи с проблемой предельной полезности кратко упомянем закономерность, описанную в начале XIX в немецким экономистом Германом Госсеном (Herrmann Gossen, 1810-1858). По Г. Госсену, приращение полезности, являющееся результатом потребления добавочного количества одного блага при постоянстве потребления остальных благ, т. е. предельная полезность, снижается при увеличении количества этого блага (закон убывающей предельной полезности блага, 1-й закон Госсена).
Список основных понятий
¦ Эластичный спрос
¦ Неэластичный спрос
¦ Перекрестная эластичность
¦ Взаимозаменяемые блага
¦ Взаимодополняемые блага
¦ Эластичность спроса по доходу
¦ Предмет роскоши
¦ Низшее благо
¦ Бюджетная линия
¦ Расходы
¦ Ранжирование предпочтений
¦ Кривые безразличия
¦ Предельная норма замещения
¦ Благо Гиффена
¦ Ординалистская функция полезности
¦ Кардиналистская полезность
¦ Предельная полезность
¦ Денежная экономика
¦ Меновое соотношение
¦ Ііены благ
¦ Рынок
¦ Спрос домохозяйств
¦ Структура потребностей
¦ Функция спроса
¦ Оговорка «при прочих равных условиях»
¦ Эффект замешен ия
¦ Эффект (реального) дохода
¦ Движение вдоль кривой спроса
¦ Сдвиги кривой спроса
¦ Эффект Веблена
¦ Эффект «стадности»
¦ Эффект «сноба»
¦ Ііеновая эластичность
¦ Прямая ценовая эластичность
¦ Эластичность при определенной цене

Бюджетная линия Ранжирование предпочтений Кривая безразличия Низшее благо Благо Гиффена
2) Опишите общие причины изменения спроса домохозяйства на определенное потребительское благо.
3) а) В чем точно измеряется цена блага?
б) Что означает ценовое отношение между двумя благами А и В?
4) В каком направлении и на сколько процентов изменяются расходы домохо
зяйства на говядину, если соответствующая эластичность спроса по цене составляет -0,5, а цена говядины повышается на 10%? - '
5) Как изменяется прямая эластичность спроса по цене при движении вдоль графика линейной функции спроса и как можно определить эластичность графически?
6) В чем вы видите смысл измерения эластичности?
7) Что означает для страны-экспортера бананов тезис о том, что эластичность
спроса на бананы по доходу: а) положительна, но меньше 1? б) отрицательна? ' .
8) Говорят, что при росте цены блага спрос на него снижается. Это высказывание, очевидно, не совсем правильно, так как все знают, что цены обычно повышаются, а спрос все-таки не снижается. Попробуйте разрешить это противоречие.
9) Что произойдет с бюджетной линией домохозяйства, если: .
а) цены обоих благ и доход («сумма потребления») повысятся на 10%?
б) объем потребления ceteris paribus снизится?
в) цена блага 1 ceteris paribus повысится, а цена блага 2 упадет? ¦¦
10) Разделите (графически) на эффекты замещения и дохода последствия повышения цены блага 2 при постоянстве объема потребления и цены блага 1. -
иаи?т».-- *-...../. - 1 1 - "<*<. ** -¦» ьгав
¦ Одним из лучших в.дидактическом плане американских учебников по микроэкономике вводного уровня является:
Пиндайк Р., Рубинфельд Д. Микроэкономика. М., 1992.
¦ Полезной статьей о рациональности потребителя является следующая статья Нобелевского лауреата по экономике:
Саймон Г. А. Рациональность как процесс и продукт мышления / / THESIS. 1993 Т. І.Вып.З.С.16-38. '

ПРОИЗВОДСТВО, ИЗДЕРЖКИ И ПРЕДЛОЖЕНИЕ БЛАГ ПРЕДПРИЯТИЙ

В чем состоит связь, существующая между производством, применением факторов производства и издержками?
¦ Что такое производственная функция?
¦ Чем характеризуется жесткая производственная функция?
¦ Как определяются минимальные издержки при использовании жесткой (линейной) технологии производства?
¦ Что такое гибкая производственная функция?
¦ Какими свойствами обладает гибкая производственная функция при частичной замене факторов и изменении масштаба производства?
¦ Как определяется при гибкой производственной функции комбинация минимальных издержек и функция издержек?
¦ Как влияет «экономия от масштаба» на форму кривой издержек?
Какие виды издержек принято выделять?
¦ Что такое переменные издержки?
¦ Что такое постоянные издержки?
¦ Что такое предельные издержки?
¦ Что такое средние издержки и как они связаны с предельными издержками?
Что такое средняя производительность фактора и какое влияние она оказывает на издержки?
¦ Что такое средняя производительность фактора?
¦ Какие виды производительности существуют?
¦ Как через иены и среднюю производительность факторов производства определяются их средние издержки?
Как определяется кривая предложения предприятия при полной конкуренции?
¦ Какие цели преследует предприятие?
¦ Чем характеризуется полная конкуренция на рынке?
¦ Что такое прибыль предприятия?
¦ При каком объеме выпуска прибыль будет наибольшей?
¦ Какой обьем предложения продукта при различных иенах приносит предприятию наибольшую прибыль? -
¦ Каким образом от кривой предложения отдельного предприятия можно перейти к обшей кривой предложения на рынке?

1. Производственная функция
Перед тем как блага поступят на рынок для купли-продажи, их, как правило, необходимо произвести с помощью таких средств производства, как труд, земля, капитал, материалы, энергия и технические знания. Поскольку использование производственных факторов (в дальнейшем именуемых для краткости «факторами») сопряжено с издержками, их следует применять экономно. Производитель должен выяснить техническое соотношение между затратами факторов и объемом выпуска, т. е. так называемую «производственную функцию».
Производственная функция показывает, какое максимальное количество продукта (выпуск) может быть произведено при данном объеме использования факторов (затраты).
В противоположность полезности, которая, по преобладающему мнению, измеряется лишь порядковыми величинами (см. гл. 4), объем выпуска может быть подсчитан в абсолютных величинах (его можно взвесить, измерить, в то время как при оценке полезности подобное просто исключено).
Представим себе производственную функцию как технологическую карту, знакомство с которой позволяет нам, к примеру, познакомиться с возможностями производства зерна, стали или автомобилей. С развитием технического прогресса изменяются методы производства, а значит, и производственные функции. Важно, чтобы читатель понимал характер производственной функции как удобной и простой модели исследования.
Так, при постановке некоторых экономических проблем производство в России можно было бы представить в виде производственной функции:
Y = f (А, В, K,TW),
т. е. максимально возможный (технически эффективный) годовой объем выпуска российской экономики Y является функцией f от имеющихся в наличии производственных факторов, как-то: труд (А), земля (В), капитал (т. е. здания, машины и оборудование, запасы полуфабрикатов) (К) и технические знания (TW). Исследователи выделяют различные виды производственных функций, которые мы рассмотрим ниже.
2. Типы производственных функций
Двумя наиболее важными видами производственных функций (технологий) являются:
(1) жесткая производственная функция;
(2) гибкая производственная функция.
При использовании первого вида технологий средства производства должны (если не принимать во внимание расточительство факторов) применяться в фиксированном соотношении; при употреблении второго вида возможно варьирование соотношения между факторами (в известных пределах).
2.1. Жесткая производственная функция
Рассмотрим случай с рытьем котлована с помощью одного экскаватора и одного машиниста при односменной работе. Появление второго экскаватора без найма дополнительного машиниста, так же как и увеличение только числа машинистов, никак не влияет на результаты производства. Факторы производства дополняют друг друга. Если планируется увеличить производственный результат в 2 раза, необходимо удвоение количества применяемых экскаваторов и численности машинистов. Аналогично при типичном конвейерном производстве число рабочих и количество используемых машин находятся (практически) в фиксированном отношении друг к другу. Если поставить к конвейеру только одного дополнительного работника, это. вряд ли отразится на результатах производства. .
2.2. Гибкая производственная функция
Совсем другой тип технологии отражает гибкая производственная функция.
Гибкая производственная функция характеризуется (по крайней мере в установленных пределах) тем, что сокращение затрат одного фактора можно компенсировать увеличением применения другого фактора.
Следовательно, имеется возможность, используя множество различных комбинаций производственных факторов, технически эффективно произвести определенное количество продуктов.
Практическим примером гибкой производственной функции может служить сельскохозяйственное производство: производство определенного количества пшеницы при самых разных комбинациях труда, земли, семян и удобрений. При интенсивной обработке возрастает применение труда и удобрений в расчете на единицу земельной площади, при экстенсивной — расширяются посевные площади.
2.2.1. Закон убывающей отдачи
В случае гибкой производственной функции при неизменном выпуске возможна компенсация уменьшенного применения фактора 1 (2) за счет увеличения затрат фактора 2(1). Это означает, что возможно повышение выпуска и при одностороннем увеличении затрат. Следовательно, если возрастают затраты фактора 1 (2) при постоянных затратах фактора 2(1), происходит частичная замена факторов и обеспечивается прирост выпуска (положительный предельный продукт). Данные взаимосвязи описываются законом убывающей отдачи. Рассмотрим следующий пример:
Таблица 5.1
Зависимость объема урожая ячменя от использования удобрений |
|
Удобрения на |
Сбор ячменя на |
Среднее произвол- |
Добавочное производство ячменя |
|
единицу земель- |
единицу земель- |
ство ячменя на 1 г |
(предельный продукт) в граммах |
|
ной площади |
ной площади |
удобрений |
на 1 г дополнительно |
|
(в га) |
(в га) |
|
примененного удобрения |
|
(1) |
(2) |
(3) = (2)/(1) |
(4>.А<2)
АО) |
|
0 |
5,8 |
— |
|
|
2,5 |
10,4 |
4,16 |
1,84 |
|
5,0 |
15,5 |
3,1 |
2,04 |
|
7,5 |
19,3 |
2,57 |
1 52 |
|
10,0 |
21,7 |
2,17 |
о!эб |
|
15,0 |
17,8 |
1,19 |
-0,78 |
|
20,0 |
16,2 |
0,81 |
-0,32 |
|
|
Источник: Laur. Wirtschaftslehre des Landbaus. Berlin, 1930. S.143. |
В данном случае объем применения таких факторов, как земля, семена и труд, остается неизменным, возрастает лишь количество использованных удобрений. Результат этого эксперимента представлен в табл. 5.1.
Табл. 5.1 показывает, что при растущем применении удобрений и при постоянном объеме использования остальных факторов объем производства сначала значительно повышается, потом возрастает все медленнее и наконец начинает снижаться. Иначе говоря, если увеличиваются затраты лишь одного производственного фактора, прирост выпуска — предельный продукт (4-й столбец в табл.), начиная с определенной точки, начинает сокращаться и в конце концов становится даже отрицательным.
|
X |
 |
 |
|
Рис. 5.1. Закон убывающей отдачи |
Данное положение в обобщенной форме отражает суть знаменитого «закона убывающего плодородия почвы», который был сформулирован еще в середине XVIII в.
Если непрерывно увеличивать объем применения одного производственного фактора при неизменных затратах остальных факторов, то, начиная с определенной точки, прирост производства будет снижаться и в конце концов может стать даже отрицательным.
Закон убывающей отдачи правдоподобен, так как переменный фактор при увеличении его затрат приходит во все большее несоответствие с оставшимися неизменными факторами.
Графически мы можем изобразить закон убывающей отдачи следующим образом. Обозначим общий объем выпуска как х, а прирост выпуска, возникающий в результате применения единственного фактора производства, например — труда, как Д х (см. рис. 5.1).
Анализ динамики производства в XVIII и с начала XIX в. в Европе подтверждает выводы, следующие из рассмотренного нами выше примера. В те времена решающее значение в экономике имели такие производственные факторы, как труд и земля. При начавшемся в Европе росте населения и невозможности расширения земельной площади сложилась ситуация, когда производственный фактор «труд» постоянно увеличивался при неизменности производственного фактора «земля» и таким образом прирост выпуска на единицу примененного труда становился все меньше. Человечеству грозили нищета и голод, так как каждый вновь рожденный человек мог обеспечить все меньший прирост производства продовольствия. Значимость тенденции убывающего прироста выпуска при увеличении затрат труда со всей ясностью осознал и показал знаменитый классик экономической науки Томас Роберт Мальтус (Thomas Robert Malthus, 1766-1834). Исследователь предполагал, что население Европы будет расти в геометрической прогрессии (1, 2, 4, 8, 16,...), а производство продовольствия, вследствие убывающей отдачи труда, будет увеличиваться лишь в арифметической (1,2, 3, 4, 5...). Причиной того, что предсказания Т. Мальтуса не сбылись, явилось прежде всего расширенное применение капитала и сопровождающий его технический прогресс.
Технический прогресс был недооценен и теми многочисленными экономистами, кто, основываясь на данных о значительном увеличении объема применения капитала относительно затрат труда в ходе промышленной революции, прогнозировал падение предельной отдачи капитала. Но вплоть до настоящего времени кривая общего выпуска как функция затрат капитала благодаря техническому прогрессу по-
Общий объем выпуска в ед.ксш.
 |
Рис. 5.2. Сопровождающее прирост технических знаний смешение «специальной
производственной функции |
Объем применения капитала в ед.кол.
степенно смещалась вверх (см. рис. 5.2), т. е. капитал становился все более производительным.
2.2.2. Изокванты
При взаимозаменяемости производственных факторов возможна, как уже отмечалось, компенсация уменьшенного применения одного фактора за счет повышения затрат другого, так что объем производства остается постоянным. Как выглядит в этих условиях изокванта, показывающая различные комбинации затрат производственных факторов, при которых производится определенный (неизменный) объем продукта х ?
Если предположить, что у двух переменных производственных факторов положительная, но убывающая предельная отдача, и что предельная отдача фактора 1(2) при растущем применении фактора 2(1) повышается1, тогда изокванты — подобно той, что изображена на рис. 5.3 — будут выпуклыми к началу координат .
Практически выпуклая форма означает, что при каждом перемещении на изокванте соотношение взаимозаменяемости между факторами изменяется. Рассмотрим эту взаимосвязь поближе.
V,
 |
|
Рис. 5.3. Изокванта |
Точка А на рис. 5.4 показывает комбинацию затрат обоих переменных факторов (?“,?°). Если увеличить только ?„ на бесконечно малую величину Д?
2, при неизменном объеме выпуска х = хзатраты ?, сократятся наД?,. Частное от деления Д?, / Д?., называется «предельной нормой технического замещения» фактора 1 на фактор 2.
Если рассматривать только абсолютное значение предельной нормы технического замещения, то, как показывает рис. 5.4, при постепенном замещении фактора
V,
 |
|
Рис. 5.4. Убывающая предельная норма технического замещения |
 |
Рис. 5.5. Частичная замена факторов и одновременне увеличение затрат обоих
факторов |
 |
|
Рис. 5.6. Семейство изоквант |
1 фактором 2 происходит непрерывное уменьшение такой нормы. В этом можно убедиться, если на рис. 5.4 сравнить Д?, /Д?
2 в точке Айв точке В.
Если в ситуации, изображенной на рис. 5.5 (точка А на изокванте I
s), применение фактора 2(1) при неизменных затратах фактора 1 (2) немного возрастает (незначительно увеличивается использование обоих факторов), то благодаря положительной предельной отдаче объем выпуска должен возрасти. Таким образом, данная комбинация факторов должна будет соответствовать более высокой изокванте, отражающей возросший объем выпуска. Поскольку подобные рассуждения можно повторить для каждой точки изокванты I,, а также для любой другой изокванты, то справа от Ij можно начертить множество монотонно убывающих и не пересекающихся между собой изоквант, соответствующих более высокому выпуску (см. рис. 5.6).
3. Отдача от масштаба
Для рассматриваемых нами взаимосвязей между производственной функцией и издержками важное значение имеет такая характеристика производственной функции, как отдача от масштаба. Она показывает, как изменяется объем выпуска, если при неизменном соотношении между факторами увеличиваются затраты всех факторов, т. е. происходит изменение масштаба (общее изменение затрат факторов).
Возможны случаи, когда увеличение затрат всех факторов приводит к пропорциональному, непропорционально низкому или же непропорционально высокому росту выпуска. Иначе говоря, когда имеет место постоянная, убывающая или возрастающая отдача от масштаба (производства).
При увеличении затрат всех факторов ожидается постоянная отдача от масштаба (пример — строительство в дополнение к существующей новой фабрики).
На практике, однако, при повышении объемов производства некоторые факторы зачастую остаются неизменными или увеличиваются непропорционально по отношению к другим факторам. Существование подобных фиксированных факторов не допускает совершенной вариации масштабов и может породить убывающую отдачу от масштаба. В качестве примера можно привести предприятие, увеличение масштаба производства на котором никак не влияет на принятые на нем методы управления.
Большое практическое значение имеет возрастающая отдача от масштаба, когда увеличение затрат факторов в к раз (к > 1) ведет к возрастанию объема выпуска более чем в к раз. Или наоборот: определенное увеличение выпуска не предполагает пропорционального увеличения затрат факторов. Примером служит самолетостроение: удвоение или увеличение выпуска в 3 или 10 раз здесь нередко происходит без соответствующего повышения затрат используемых факторов (отсутствие издержек обучения, неизбежных при производстве первого образца). Подобную «экономию от масштаба» часто связывают с расходами на исследования, а также на организацию и рекламу.
4. Производственная функция и издержки
При жесткой производственной функции технология однозначно определяет объем применения необходимых для достижения определенного выпуска факторов. При данных ценах на средства производства q тем самым определяются и издержки.
При гибкой производственной функции существует множество комбинаций затрат переменных факторов, которые позволяют произвести одно и то же количество продукта х. В этом случае возникает проблема поиска предприятием наиболее дешевой комбинации факторов («комбинации минимальных издержекъ).
4.1. Комбинация минимальных издержек при гибкой производственной функции
Мы вновь вводим предпосылку, что предприятия не имеют возможности повлиять на независимые от объема закупок цены средств производства. В графическом изображении мы исходим из того, что имеются два переменных фактора. Переменные издержки К? в этом случае равны:
К? =v,q, + v,q,.
Проблема состоит в том, чтобы найти такую комбинацию затрат факторов V,* и V.,*, при которой переменные (и, таким образом, совокупные) издержки были бы наименьшими. _
При заданной сумме переменных издержек К? = К? указанное выше уравнение издержек может быть представлено следующим образом. Если, например, q, = 4, q, = 2 и К? = 20, то:
20 = 4 ?, + 2 ?.,.
Если бы предприятие использовало всю сумму издержек для покупки фактора 1, оно приобрело бы 5 его единиц. Соответственно, на вертикальной оси получаем отрезок 0А (рис. 5.7). Если бы предприятие использовало всю сумму издержек для покупки фактора 2, оно получило бы 10 единиц. Соответственно, получаем отрезок 0В на горизонтальной оси рис. 5.7.
А если находящееся в точке А. предприятие вместо того, чтобы тратить все деньги на фактор 1, приобретает дополнительную единицу фактора 2, то при данном ценовом соотношении закупки фактора 1 сокращаются на 1 /2 единицы. То же самое происходит всякий раз, когда мы приобретаем дополнительную единицу фактора 2.
Изокоста — это линия, описывающая все комбинации факторов, которые соответствуют одинаковой сумме переменных издержек, таким образом, она имеет постоянный наклон, заданный соотношением цен q.,/q,, и проходит через точки А и В.
(При этом предполагается, что предприятие может приобрести сколь угодно малые количества факторов производства.) ¦
Если сумма издержек вырастет на 40 единиц, то отрезки на оси абсцисс и ординат удвоятся (?, = 10, ?„ = 20), причем наклон кривой не изменится (крупная пунк-
|
V, |
 |
|
Рис. 5.7. Изокосты для разных сумм издержек |
тирная линия на рис. 5.7). Соответственно, изокоста, показывающая сумму издержек К?= 10, ближе к началу координат (мелкая пунктирная линия на рис. 5.7).
В общем можно представить плоскость ?,,?
2, покрытую множеством изокост, соответствующих различным суммам издержек и имеющих одинаковый наклон (см. рис. 5.8).
I Чем правее находится изокоста, тем больше соответствующая ей сумма издержек. |
При какой комбинации затрат факторов определенное количество продукта будет произведено с наименьшими переменными издержками? Для того чтобы ответить на этот вопрос, обратимся к рис. 5.9, на котором представлены семейство изокост и изокванта, описывающая объем выпуска х = х.
Может ли точка С на рис. 5.9 обозначать наименьшую по издержкам комбинацию факторов? Очевидно, что нет, поскольку если бы предприятие, например, пришло в точку D, где затраты ?
] меньше, а ?
0 — больше, оно оказалось бы на изокосте, соответствующей меньшей сумме переменных издержек. И это не удивительно: технология, которая изображена изоквантой х, позволяет в окрестностях точки С при неизменном объеме выпуска сократить затраты фактора 1 больше чем на 1 /2 единицы при увеличении затрат фактора 2 на 1 единицу. Но если предприятие сократит затраты фактора 1 более чем на 1 /2 единицы, оно при цене фактора р, = 4 сэкономит более 2 руб., в то время как оно должно платить только 2 руб. за дополнительную единицу фактора 2. Следовательно, благодаря замещению факторов его издержки должны снизиться.
Используя термин «предельная норма технического замещения», вышеописанное обстоятельство можно выразить следующим образом: в точке С предельная норма технического замещения фактора 1 на фактор 2 Д?, / Д?, по своему абсолют-
V,

ному значению (т. е. если опустить знак минуса, обусловленный тем, что Д?<0 ) превышает выражаемую через соотношение цен факторов норму рыночного замещения. Очевидно, замещение фактора 1 фактором 2 будет выгодно до тех пор, пока не достигнута точка Р, где предельная норма технического замещения равна норме рыночного замещения, определенной через цены факторов.
Точно так же, если предприятие изначально находилось на изокванте вправо от точки Р, например в точке Е, ему выгодна частичная замена фактора 2 фактором 1,
Можно доказать следующее: утверждение о том, что минимизирующая издержки комбинация факторов характеризуется равенством предельной нормы технического замещения и обратного соотношения цен факторов, идентично утверждению, согласно которому в ситуации минимальных издержек предельные продукты факторов (GP) соотносятся друг с другом, как цены факторов:
Gpi _ Чі GP
2 q.
Это условие станет еще более понятным, если представить его в следующем виде:
GP, _ GR Чі Q?
Данное уравнение означает, что в точке, соответствующей комбинации минимальных издержек, последний потраченный на каждый фактор рубль приносит одинаковый предельный продукт. Если бы это было не так, для предпринимателя, очевидно, было бы выгодно изменить структуру издержек. Он улучшил бы свое положение, если бы приобрел и применил в производстве больший объем (меньше) фактора с большим (меньшим) предельным продуктом на последний потраченный рубль.
|
?і |
 |
Рассмотрим, какое влияние имело бы повышение цены одного фактора при по- -стоянстве цены другого фактора.
Рост q., означает (см. рис. 5.10), что отрезок на оси ?„ станет короче: при данной сумме издержек и при полном расходовании суммы издержек только на этот фактор, его можно будет приобрести в меньшем количестве, чем раньше. Так как q, останется неизменным, максимально приобретаемый объем фактора 1 не меняется. Поэтому изокоста изменит свой наклон, что выражает изменение соотношения р.,/р, и .изменение фактического рыночного обменного соотношения между факторами. Взамен одной единицы фактора 1 предприятие сможет приобрести мень-’ шее число единиц фактора 2, чем раньше. Это имеет три следствия.
(1) Для производства х прежней суммы издержек уже недостаточно (см. рис. 5.10): издержки, необходимые для х, повышаются.
(2) Для производства х предприятие будет распределять более высокую сумму издержек следующим образом: оно увеличит потребление фактора 1 и уменьшит использование более дорогого фактора 2. Этот эффект замещения показан на рис. 5.10, на котором Р' отражает комбинацию минимальных издержек для объема выпуска х при повышенной цене q
2.
(3) В связи с повышением издержек предпринимателю, вероятно, будет выгоднее уменьшить выпуск продукта х < х, поэтому произойдет дальнейшее, усиливающее описанный в пункте (2) эффект замещения, падение спроса на фактор 2.
Если предположить, что возросшим в цене фактором 2 выступает труд, то мы получим аргументы, выдвигаемые в экономической теории и политике против повышения зарплаты (или «слишком большого» ее повышения).
При оценке этих аргументов необходимо учитывать, что:
¦ эффект замещения имеет место только тогда, когда цена второго фактора остается неизменной и изменяется лишь соотношение цен факторов;
|
?і |
 |
¦ отсутствуют какие-либо технологические изменения;
¦ аргументация «ориентирована на предложение» или «ориентирована на издержки». Возможна также ситуация, когда эффект дохода от повышения зарплаты, с точки зрения всей экономики, более значителен, чем эффект издержек.
4.2. Функция издержек
Рассматривая комбинации минимальных издержек мы исходили из определенного количества продукта х. Возможно ли в общем случае зафиксировать связь между любым количеством х и необходимыми (минимальными) для его производства издержками, т. е. функцию издержек К = К (х)?
Проблема возникает в случае гибкой производственной функции, так как оптимальное соотношение факторов при х = X не обязательно должно быть таким же, как при х = 2 х и т. д.
Функцию издержек можно построить лишь тогда, когда нам известно, какой отдачей от масштаба характеризуется данная производственная функция.
При постоянной отдаче от масштаба удвоение затрат всех факторов приводит к удвоению выпуска. Следовательно, предприниматель сможет произвести двойное количество продукта удвоив переменные издержки. Постоянная отдача от масштаба означает, что переменные издержки растут пропорционально объему выпуска1.
При возрастающей отдаче от масштаба возможно производство двойного количества продукта при менее чем двойных затратах факторов. Соответственно, убывающая отдача от масштабов приводит к опережающему увеличение объема продукции росту переменных издержек.
В следующем разделе мы рассмотрим различные виды издержек и некоторые другие связанные с ними понятия.
5. Виды издержек
Вид издержек на предприятии зависит от свойств производственной функции.
В соответствии с изложенным выше, при постоянной (а), возрастающей (б) и убывающей (в) отдаче от масштаба можно выделить следующие виды издержек:
 |
|
Рис. 5.11. Отдача от масштаба и виды издержек |
¦Строго говоря, этот аргумент связан с общими издержками, так как при изменении масштаба все издержки являются переменными.
Предполагается, что сначала имеет место возрастающая отдача от масштаба, которая затем сменяется убывающей отдачей, что дает в итоге знаменитую S-образную кривую издержек (см. рис. 5.12).
Для иллюстрации некоторых других видов издержек обратимся к изображенной на рис. 5.1 Іа кривой издержек, предполагая при этом наличие постоянных издержек.
Постоянные издержки в сумме с переменными издержками дают общие (совокупные) издержки.
Постоянные издержки — это издержки, возникающие в результате применения постоянных производственных факторов. Они имеют место и в том случае, если в течение определенного периода времени предприятие простаивало, т. е. являются независимыми от величины производства.
Переменные издержки возникают в процессе использования переменных факторов и их величина зависит от количества произведенного продукта х.
Еще одно важнейшее понятие — предельные издержки (добавочные издержки), или прирост издержек, возникающий при производстве одной дополнительной единицы продукта.
Наконец, общие постоянные издержки, общие переменные издержки и просто общие издержки часто сопоставляются с произведенным количеством благ. Таким образом, определяются средние постоянные издержки, средние переменные издержки и средние удельные издержки.
Проиллюстрируем понятия издержек различных видов на примере оплаты домашнего телефона.
Месячная оплата телефона в размере 24 руб. является постоянным элементом издержек. За телефон необходимо платить, даже если мы им не пользуемся, и эта плата остается неизменной вне зависимости от длительности местных телефонных переговоров. Переменные издержки вычисляются как произведение продолжительности междугородных телефонных переговоров на цену за единицу времени (переменные издержки на единицу). Так, при продолжительности переговоров в 100 единиц (минут) и цене одной минуты — 0,5 руб. мы имеем: 100 х 0,5 руб.= 50 руб.
Общие издержки для 100 единиц времени переговоров вычисляются суммированием постоянных издержек и переменных издержек: 24 руб. + 50 руб. = 74 руб. Средние издержки (издержки за единицу времени) можно высчитать разделив об-

щие издержки в объеме 74 руб. на продолжительность переговоров, т. е. удельные издержки равны 0,74 руб.
Предельными издержками международных телефонных переговоров являются только связанные с ними добавочные издержки, т. е. 0,5 руб.
Связь между различными видами издержек проиллюстрируем еще раз — в общем виде — на примере линейной, монотонно возрастающей функции общих издержек (см. рис. 5.13).
Кривую предельных издержек можно получить на основе кривой общих издержек, исходя из предположения, что наклон кривой общих издержек можно интерпретировать как величину предельных издержек. Так, из рис. 5.13 видно, что добавочное производство одной единицы стоит 0,50 руб., следовательно, наклон функции издержек составляет 1/2. Кривую средних издержек можно найти, если
|
Общие издержки К (ден.ед.) |
 |
Предельные издержки ЛК и средние издержки —
, (ден.ед.) |
 |
|
Рис. 5.13. Общие издержки, предельные издержки и средние издержки при линейной функции общих издержек |
разделить общие издержки по каждому объему выпуска на количество произведенного продукта.
Гипотетическая кривая издержек показывает непрерывное снижение средних издержек при росте производства товара, обусловленное тем, что при увеличении выпуска величина постоянных издержек на одну единицу продукции становится все меньше. Речь здесь идет об убывании постоянных издержек.
6. Средняя производительность и издержки
6.1. Средняя производительность
Средняя производительность (часто называемая просто производительностью) — это отношение общего объема выпуска к затратам одного из факторов производства. Если, например, рабочий с помощью одного трактора на двух гектарах пашни производит за 1 час 10 центнеров пшеницы, можно вычислить производительность труда, производительность капитала и производительность земли.
1 час затрат труда
_ 10 ц зерна
1 час работы трактора
„ 10 ц зерна 5 ц зерна
г 2 га земли 1 га земли
Средняя производительность (в дальнейшем мы будем называть ее просто производительностью) является чисто количественной величиной и не измеряет эффективность или вклад отдельного фактора в производство, так как она вычисляется как отношение произведенного всеми производственными факторами выпуска к затратам отдельного производственного фактора. Все попытки раздельного определения продуктивного вклада каждого производственного фактора потерпели неудачу.
Если затраты фактора в производственном процессе увеличиваются, то выпуск возрастает. Это влечет за собой повышение производительности остальных факторов. Если в нашем примере повышаются затраты капитала, например, рабочий получает в свое распоряжение усовершенствованный трактор, выпуск увеличивается, например, до 15 ц пшеницы в час. Возрастает и производительность труда, хотя продолжительность рабочего дня тракториста не изменилась.
Общеэкономическая производительность труда, определяемая как совокупный выпуск продукции народного хозяйства, произведенный за 1 час и поделенный на общую численность работников, чрезвычайно важна для повышения материального благосостояния населения. Чем больше рабочий произведет за час, тем больше благ население сможет (при постоянных затратах рабочего времени) потреблять. Иначе говоря, выпуск на душу населения, за вычетом той его части, которая необходима для содержания машин и оборудования, идет на потребление населения и пополнение парка машин и оборудования (чистые инвестиции).
6.2. Связь между производительностью и издержками
Издержки производства блага состоят из множества разных издержек: затрат на материалы и энергию, амортизации, налогов, процентов, зарплаты, отчислений на страхование и т. д. Если попытаться классифицировать перечисленные издержки, то можно выделить следующие их виды:
¦ зарплата (труд);
¦ проценты и амортизация (капитал);
¦ арендная плата за землю (земля);
¦ налоги (государство);
¦ расходы на импорт производственных факторов («остальной мир»).
Если для упрощения не принимать во внимание государство и отношения с зарубежными странами, останутся лишь издержки производственных факторов: труда, капитала,земли.
Что касается издержек производства одной единицы блага — удельных издержек, то они включают в себя следующие элементы:
¦ удельные издержки на зарплату;
¦ удельные издержки на капитал;
¦ удельные издержки на землю.
Указанные удельные издержки зависят от цены и производительности факторов. Обоснуем данное утверждение с помощью простого примера, в котором не учитывается (вследствие ее незначительности) арендная плата за землю.
Один рабочий производит с помощью простого трактора 10 ц пшеницы за 1 час. Пусть ставка зарплаты составляет 10 руб. за 1 час. Процентные платежи за трактор составляют 100 руб. в час. Прочие издержки, которые всегда можно отнести за счет зарплаты, процентов или арендной платы, не принимаются во внимание.
„
т Ставка заработной платы
Удельные издержки на зарплату = ¦=---
r г j Производительность труда
_ 10 руб. издержек на зарплату за час
10 ц пшеницы за час
1 руб, издержек на капитал в час ' ” 1ц пшеницы ‘
Удельные издержки на капитал
Издержки на капитал в час Производительность капитала
10 руб, издержек на капитал в час 10 ц пшеницы за час
1руб. издержек на капитал 1 ц пшеницы ’
Если мы пренебрегаем издержками на землю, удобрения и семена, производственные издержки на единицу продукции представляют собой сумму издержек на зарплату и капитал в расчете на единицу продукции, т. е. 11 руб. на ц пшеницы.
Эти удельные издержки изменяются при изменении производительности или цены факторов. Если в нашем примере будет применяться более совершенный трактор, который обойдется в 200 руб. в час и удвоит объем производства, то показатели изменятся следующим образом.
10 руб. за час ¦
Удельные издержки на зарплату =
20 ц пшеницы за час
0,5 руб.
- 1 ц пшеницы •
200 руб. за час
Удельные издержки на капитал =
20 ц пшеницы за час
_ 10 руб,
~ 1 ц пшеницы •
Удельные издержки на зарплату снизились наполовину, удельные издержки на капитал остались неизменными, а производственные издержки на единицу выпуска составили 10,5 руб. за центнер пшеницы. Значит, производителю выгодно увеличение затрат капитала в форме более совершенного и дорогого трактора.
Если удвоить ставку зарплаты до 20 руб. за час, удельные издержки на зарплату повысятся до исходной величины — 1 руб. за 1 ц. При удвоении ставки зарплаты и производительности труда удельные издержки на зарплату остаются постоянными. Если и удельные издержки на капитал останутся прежними, не изменятся и производственные издержки на единицу выпуска.
Рассмотрим на этом же примере основы ориентированной на производительность политики заработной платы (см. гл. 26), предусматривающей повышение зарплаты пропорционально росту производительности труда.
Если зарплата повышается в той же пропорции, что и производительность труда, удельные издержки на труд остаются неизменными. Если цены образуются таким образом, что на удельные издержки на зарплату'начисляется постоянная надбавка (накидка), то при политике зарплаты, ориентированной на производительность, цены на продукцию остаются неизменными. Однако если цены образуются путем начисления постоянной надбавки на общие издержки производства за единицу продукции, то на их величину повлияет изменение удельных издержек на капитал (и не учитываемые здесь удельные издержки на землю).
В нашем примере удельные издержки на капитал при применении более совершенного трактора остаются неизменными, и, таким образом, цена пшеницы могла бы остаться прежней, несмотря на удвоение ставки заработной платы при неизменной ценовой накидке. Однако необходимым условием этого является постоянство удельных издержек на капитал, которое сохраняется в том случае, если при удвоении изл'ржек на капитал удвоится также выпуск (т. е. в два раза более дорогой трактор должен обладать вдвое более высокой производительностью),
7. Предложение благ предприятием
Какое количество благ может предложить предприниматель на рынке? Для ответа на этот вопрос необходимо знать цели предприятия, технические условия производства, которые отражаются в конечном счете в функции издержек, а также структуру рынка, на котором предприниматель продает свой продукт, и рынка, на котором приобретаются средства производства.
Обычно предполагается, что предприниматель стремится к максимизации прибыли. На практике это не всегда справедливо. В каждом конкретном случае предприниматель может преследовать какие-то иные цели. Для упрощения мы пренебрегаем такими дополнительными целями и рассматриваем в качестве основной цели предпринимателя максимизацию прибыли.
Предположим, что рынок сбыта и рынок производственных ресурсов предприятия являются рынками с «полной конкуренцией», на которых предприниматель, выступая в качестве продавца и покупателя, является «одним* из «очень многих». Соответственно цена продукта и цены средств производства выступают для предпринимателя заданными величинами. Технология, применяемая на рассматриваемом предприятии, такова, что с ростом выпуска предельные издержки увеличиваются. Как было разъяснено выше, с изменением выпуска общие переменные издержки изменяются в непропорционально большей степени, и поэтому возрастание предельных издержек обусловлено главным образом наличием фиксированных факторов. Случай неизменных предельных издержек мы кратко рассмотрим в конце главы.
Если доля предпринимателя на рынке сбыта его продукта настолько мала, что он никак не может повлиять на цену продукта, и при данной цене имеется возможность продать любое количество продукта, промышленник будет пытаться произвести максимизирующий прибыль объем продукции. Речь идет о количественном приспособлении предпринимателя на рынке сбыта.
Прибыль предпринимателя определяется как разность между его выручкой (проданным количеством блага, умноженным на его цену) и издержками производства продукции:
G = хх р - К(х).
Чтобы выяснить, при каком количестве продукта предпринимательская прибыль достигает максимального значения, поразмышляем над следующим. Допустим, предприниматель до сих пор предлагал на рынке определенное количество продукта Хд, его выручка составляла U
0 = Хд х р, а издержки — Кд=К(Хд). Как может предприниматель определить, является ли Хд тем количеством продукта, которое приносит ему максимальную прибыль? Простейший способ состоит в наблюдении за изменением прибыли при увеличении или уменьшении объема продаж продукции на одну единицу. Что произойдет, если предприниматель увеличит количество продукции на одну единицу? Поскольку выручка оп-
ределяется как произведение проданного количества на неизменную данную цену, увеличение сбыта х на единицу продукта приводит к росту выручки ровно на величину цены продукта. Это увеличение объема продаж и выручки связано (для предпринимателя) также с ростом издержек, а именно, с увеличением предельных издержек.
Очевидно, что в результате увеличения объема сбыта на одну единицу прибыль повышается в том случае, когда прирост выручки, который получит предприниматель (т. е. цена), выше, чем связанные с этим приростом продаж дополнительные издержки (предельные издержки).
Следовательно, предприниматель будет расширять свое производство до тех пор, пока предельные издержки производства последней единицы продукта не достигнут значения величины прироста выручки, обеспеченного продажей последней единицы продукта (который благодаря предпосылке о конкурентности рынка считается равным цене).
Проиллюстрируем эти выводы графически, нанеся цену продукта и предельные издержки на ось ординат, а объем выпуска и продаж — на ось абсцисс.
Если изобразить в выбранной нами системе координат кривую предельных издержек предпринимателя, то объем выпуска, максимизирующий прибыль при данной цене продукта р
0, будет находиться в точке, в которой предельные издержки равны цене (точка Т, в которой объем выпуска составляет х* ).
При объеме выпуска, меньшем х* (например, х'), предприниматель смог бы повысить прибыль, увеличив выпуск, так как прирост выручки р
0 на этом интервале всегда превышает предельные издержки; справа от х* (например, при х") или сокра-
Цена,
предельные |
 |
тив объем производства, так как ограничение производства привело бы к снижению издержек на величину, большую, чем падение выручки.
Если рыночная цена продукта изменяется, меняется также (при данной форме кривой предельных издержек) и предлагаемое количество продукта: повышение цены продукта влечет за собой рост объема выпуска и сбыта, максимизирующего прибыль предпринимателя.
Следовательно, мы можем констатировать: возрастающая кривая предельных издержек является кривой предложения предпринимателя при различных рыночных ценах.
Необходимо лишь добавить, что цена должна быть настолько высокой, чтобы в длительном периоде она покрывала средние издержки производства. Кроме того, до сих пор мы предполагали, что предельные издержки монотонно возрастают. Посмотрим, как изменится аргументация, если предположить, что предельные издержки являются неизменными и меньшими, чем цена. Поскольку при любом объеме выпуска цена выше, чем (неизменные) предельные издержки, для предпринимателя всегда будет выгодно расширение производства. Следовательно, в краткосрочном периоде он всегда будет предлагать максимальный объем продукции производить на пределе производственных мощностей.
Мы можем проиллюстрировать вывод о максимизирующей прибыль величине предложения блага в несколько иной форме. Отложим на рис. 5.15 по оси ординат выручку и общие издержки предприятия, а по оси абсцисс — количество продукта х. Так как

выручка является произведением данной рыночной цены и количества продукта, кривая выручки для данной цены представляет собой линию, выходящую из начала координат, наклон которой определяется ценой продукта. Если цена продукта, например, составляет 10 руб, при объеме сбыта 10 шт„ то выручка составит 100 руб.; если сбыт равен 20 шт., выручка составит 200 руб. Если мы нанесем на ту же диаграмму общие издержки предприятия, то разница между линией выручки и линией издержек составит общую прибыль предпринимателя. Можно доказать, что количество продукта, при котором расстояние по вертикали между линией выручки и линией издержек оказывается наибольшим, есть такое количество, при котором наклон обеих кривых одинаков. Поскольку наклон кривой выручки определяется ценой, а наклон кривой издержек отражает предельные издержки, максимизирующий прибыль объем выпуска х* будет характеризоваться равенством предельных издержек и цены.
8. Рыночное предложение
В разделе 7 данной главы мы показали, что при растущих предельных издержках, возможных при наличии на предприятии одного или нескольких факторов, фиксированных в коротком периоде (здание, земля, запас машин), краткосрочная кривая предложения предприятия является возрастающим участком его кривой предельных издержек:
Р |
 |
|
Рис. 5.16. Индивидуальная кривая предложения |
Предлагаемое количество X
Если на рынке существует много продавцов этого продукта, их общее предложение выводится через суммирование индивидуальных объемов предложения при каждой цене. Рис. 5.17 показывает индивидуальные кривые предложения и кривую предложения рынка двух продавцов U, и U
2.
|
Р |
 |
Предлагаемое количество X |
|
Рис. 5.17. Построение кривой рыночного предложения |
Список основных понятий
¦ Производственная функция
¦ Техническое соотношение
¦ Жесткая производственная функция
¦ Гибкая производственная функция
¦ Закон убывающей отдачи
¦ Частичная замена факторов
¦ Предельный продукт
¦ Закон убывающего плодородия почвы
¦ Изокванты
¦ Предельная норма технического замещения
¦ Отдача от масштаба
¦ Постоянная отдача от масштаба
¦ Убывающая отдача от масштаба
¦ Возрастающая отдача от масштаба
¦ Комбинация факторов
¦ Функция издержек
¦ Общие издержки
¦ Постоянные издержки
¦ Переменные издержки
¦ Предельные издержки
¦ Средние издержки
¦ Производительность труда
¦ Производительность капитала
¦ Производительность земли
¦ Удельные издержки на зарплату
¦ Удельные издержки на капитал
¦ Удельные издержки на землю
¦ Политика заработной платы, ориентированная на производительность
¦ Совершенная конкуренция
¦ Количественное приспособление
¦ Прибыль
¦ Рыночное предложение


1) Что такое производственная функция?
2) Каковы признаки жесткой и гибкой производственной функции?
3) Что такое изокванта и какую форму она имеет при гибкой производственной функции?
4) В чем состоит смысл «закона убывающей отдачи»?
5) Чем характеризуется комбинация факторов, минимизирующая издержки? Проинтерпретируйте условия, при которых возможно возникновение этой комбинации.
6) Объясните, почему вид кривой издержек зависит от того, какой отдачей от масштаба характеризуется производственная функция?
7) Начертите, исходя из наличия S-образной кривой общих издержек:
¦ кривую предельных издержек;
¦ кривую средних переменных издержек;
¦ кривую общих средних издержек.
8) Изложите аргументы в пользу ориентированной на производительность политики заработной платы.
9) Объясните правило «цена = предельные издержки» для предпринимателя в условиях совершенной конкуренции.
10) Как выглядит кривая предложения предпринимателя, действующего в условиях совершенной конкуренции, если на его предприятии общие издержки являются неизменными?
ШШШЩ , is; ^<л*.
¦ Детальное изложение теории производства и издержек можно найти в: Экономическая школа. Вып. 3. СПб., 1993.
¦ Для тех, кто хотел бы более подробно изучить материал данной главы, можно порекомендовать следующий сборник переводных, новаторских с точки зрения экономической науки статей:
Теория Фирмы. СПб., 1995.
¦ Можно порекомендовать также американский учебник по микроэкономике, в котором ощутимый акцент сделан на анализе поведения фирмы в условиях различных рыночных структур:
Томпсон А., Формби Д. Экономика фирмы. М„ 1998.
¦ Теория производства подробно изложена в отечественном учебнике:
Гальперин В. М., Игнатьев С. М., Моргунов В. И. Микроэкономика. СПб., 1994.
Глава 6
ЦЕНООБРАЗОВАНИЕ НА РАЗЛИЧНЫХ РЫНКАХ
да;.?:й?::кй?;*^^
Как устанавливаются иены на бирже?
¦ Как предложение и спрос влияют на цену?
¦ Как цена влияет на предложение и спрос?
¦ Как связаны цены на продукцию и доходы продавцов?
В чем состоит значение такой рыночной структуры, как совершенная конкуренция?
¦ Как устанавливаются цены при совершенной конкуренции?
¦ Какие преимущества имеет совершенная конкуренция?
¦ Почему совершенная конкуренция не реализуется на практике?
Какие факторы определяют пределы иены для самостоятельно ее устанавливающего продавца?
¦ Как исчисляется цена?
¦ Какие контрольные механизмы ограничивают свободу ценообразования монополистом?
¦ Как определяется максимизирующая прибыль монополистическая цена?
¦ Что такое естественная монополия?
¦ Какие контрольные механизмы ограничивают свободу ценообразования олигополиста?
¦ Какие механизмы ограничивают свободу ценообразования у производителей, действующих в условиях монополистической конкуренции?
\ к*.' ійКІІІ
Аналяае
шшяяшяшшияш
ІЙННННШШШМі
^ ^ а а і. >*. '&'•**** -As, ,
'гя».*? шяг*#.***14 А. г,** ><г", -лі
1. Классификация рынков
Мы уже упоминали о существовании различных форм рынка (см. гл. 4). Особенности этих рыночных форм влияют на ценообразование. Мы ограничимся анализом двух факторов, а именно; формой организации рынка и числом продавцов и покупателей.
В зависимости от формы организации можно выделить:
(а) Рынки, на которых цены спроса и предложения устанавливаются аукционистом. На таких рынках продается, например, сырье. Существуют международные биржи сырья и оптовые рынки овощей, мяса и рыбы. На таких рынках численность продавцов и покупателей обычно не играет сколько-нибудь существенной роли; как правило, участников рынка много.
(б) Рынки, на которых продавцы устанавливают цену продукта (являются «цено-фиксаторами»), а покупатели решают, какой объем товаров по этой цене они могут приобрести. Такая форма ценообразования типична для промышленности, ремесла и торговли. На этих рынках (наряду с величиной спроса) значительное влияние на пределы установления цен оказывает количество конкурентов. Поэтому мы исследуем ценообразование в зависимости от числа производителей — в случаях монополии (продавец не имеет конкурентов) и олигополии (продавец имеет небольшое число конкурентов).
Мы не рассматриваем специальные способы ценообразования, кроме некоторых частных случаев, например ценообразования на рынке труда. На этом рынке действуют один продавец (профсоюз как представитель наемных работников) и один покупатель (союз работодателей, предъявляющий спрос на труд), т. е. имеет место двусторонняя монополия. Здесь ценообразование (установление ставки зарплаты) зависит от рыночной силы контрагентов (которую определяет, помимо других факторов, общеэкономическая ситуация), от стратегии и тактики партнеров по коллективным договорам, а также от целей и средств экономической политики, поскольку зарплата как один из главных элементов издержек и доходов имеет большое общеэкономическое значение.
Важную роль играют государственные цены (например, тарифы на почтовые и транспортные услуги и услуги жилищно-эксплуатационных служб в России и на Западе) и контролируемые государством цены (например, цены на сельскохозяйственную продукцию в Европейском Союзе). Мы ограничимся описанием ценообразования в частном секторе экономики и при государственной монополии.
2. Установление иены аукционистом (на бирже)
2.1. Поиск равновесной иены при данном соотношении предложения и спроса
В качестве примера рассмотрим установление цены на такой продукт, как кофе. Ряд производителей выращивают и выставляют на продажу (независимо от цены) на кофейной бирже определенное количество кофе (например, 10 т). С другой стороны, покупатели (чьи интересы на бирже представляют торговцы) предъявляют спрос на кофе. Предполагается, что мы имеем дело с нормальным благом, а значит объем спроса на кофе при снижении цены повышается (см. гл. 4). Мы можем представить данную ситуацию на диаграмме спроса и предложения (рис. 6.1).
Аукционист выясняет (так как он знает заявки на покупку, выставляемые торговцами) цену, при которой предложенное количество кофе в объеме 10 т в точности равно спросу (см. рис. 6.1): цена устанавливается на уровне 5 тыс. руб. за 1 т. Если бы аукционист «для пробы» установил цену на уровне 8 тыс. руб. за 1 т, то выяснилось бы, что при этой цене спрос составляет только 6 т, т. е. меньше предложенного количества (избыток предложения). Это служит для аукциониста сигналом о необходимости снижения цены. Если бы аукционист установил цену, например, в объеме 3 тыс. руб. за 1 т, то он столкнулся бы с избытком спроса, а значит, получил бы сигнал повысить цену.
Существует только одна цена, при которой силы, воздействующие на цены, находятся в равновесии. Это цена, находящаяся в точке пересечения кривой предложения
Цена (р)
[д?н. ед/ед. кол.] |
 |
и спроса. В нашем примере при цене 5 тыс. руб. покупатели хотят покупать ровно столько кофе, сколько готовы продать продавцы. Это говорит о том, что при данной цене устанавливается равновесие между запланированным предложением и спросом. Равновесная цена — это цена, при которой запланированное предложение и запланированный спрос равны друг другу.
Ценовой механизм действует следующим образом: если запланированное предложение больше запланированного спроса, то аукционист снижает цену, а если запланированный спрос больше запланированного предложения, аукционист повышает цену.
2.2. Реакция предложения и спроса на изменение иены
Как продавцы и покупатели реагируют на изменение цены?
В обычной ситуации имеет место следующая реакция покупателей: с повышением (понижением) цены спрос уменьшается (увеличивается). Реакция продавца не так однозначна, поскольку на нее влияют естественные условия производства, а также потому, что выручка от продажи является доходом продавцов.
Если цена поставляемой на рынок рыбы не высока, ловля рыбы, возможно, станет невыгодной. Некоторые продавцы покинут рынок, и, таким образом, предложение уменьшится. Возможно также, что потерю своих доходов из-за снижения цен рыбаки попытаются компенсировать увеличением предлагаемого количества рыбы. Главное то, что реакция предложения на изменение цен, которая зависит от производственного процесса, требующего больших затрат времени, затягивается. Правда, возможно и очень быстрое искусственное сокращение предложения, когда, например, высыпая кофе в море или выбрасывая рыбу на свалку, можно добиться роста выручки.
Цена (р)
[ден.ед/ед.кол.] |
 |
2.3. Влияние сдвига предложения и спроса на равновесную пену
Как сдвиги предложения и/или спроса влияют на уровень равновесной цены? Рассмотрим перемещения кривых на диаграмме спроса и предложения (рис. 6.2, 6.3).
При неизменной кривой спроса увеличение предложения (сдвиг кривой предложения вправо из положения А, в положение А
2) приводит к понижению цены (с ?! до Р,), и, наоборот, уменьшение предложения (из А, в А,) ведет к повышению цены (с Р
:до Р,).
|
Цена(р) [ден.ед/ед.кол.] |
 |
|
Рис. 6.3. Сдвиг кривой спроса |
Кол.(х) [ед.кол.]
При неизменном предложении увеличение спроса (сдвиг кривой спроса вправо из положения N, в положение N.,) приводит к повышению цен (с Р, до Р
2). В обратном случае уменьшение спроса (из N, в N,) вызвало бы снижение цены (с Р, до Р,).
2.4. Влияние изменения объема предложения на доходы продавцов
Поскольку доходы продавцов равны произведению предлагаемого ими количества продукта на его цену, важнейшее значение для них имеет то, как при изменении предлагаемого количества меняется цена товара, т. е. какова эластичность спроса по цене.
Допуская, что кривая спроса остается неизменной, исследуем влияние сдвигов предложения на доходы продавцов (см. рис. 6.4).
Предложение увеличивается: если раньше А, = 3ед. кол., то теперь А
2 = 5 ед. кол., тогда цена падает с 7 до 5 ден. ед. Спрос является эластичным (Е = -7 /3, если приросты цены и количества отнести к их исходным значениям), т. е. относительное изменение количества больше, чем относительное изменение цены. В этом случае выручка продавцов возрастает: при увеличении предложения с 3 до 5 ед. кол. она изменится с7 - 3 = 21 ден. ед. до 5- 5 = 25 ден. ед. Наоборот, при уменьшении предложения с 5 до 3 доходы снизились бы (см. рис. 6.4).
На рис. 6.5 предложение увеличивается с А, = 3 до А., = 4 ед. кол.; цена вследствие этого снижается с 8 до 4 ден. ед. Спрос неэластичен (Е = -2/3), т. е. относительное изменение количества меньше относительного изменения цены. В этом случае доходы продавцов снижаются с D
( = 3 • 8 = 24 ден. ед. до D., = 4 • 4 = 16 ден. ед. В обратном случае выручка продавцов при неэластичном спросе повысилась бы, если бы предложение уменьшилось. По этой причине «кофе высыпается в море».
Обобщим предыдущие рассуждения: на рынке, где цена устанавливается аукционистом, она определяется соотношением спроса и предложения. Здесь (и в полной мере только здесь) действителен много раз упоминавшийся «закон спроса и предложения»: если, при прочих равных условиях повышается спрос или снижается предложение, цена товара возрастает; если при прочих равных условиях спрос сокращается или увеличивается предложение, цена снижается. И аукционист всегда устанавливает такую цену, которая выравнивает предложение и спрос.
Для таких рынков характерны частые, иногда значительные изменения цен (читатель может сравнить частоту изменений цен на автомобили или холодильники
Цена (р)
[ден.ед/ед.кол.] |
 |
. кол. (х) [ед. кол.] |
|
Рис. 6.4. Увеличение предложения при эластичном спросе |
сдвижением цен на пшеницу или какао-бобы), следовательно, колебания выручки продавцов подобных (основных биржевых) товаров весьма существенны.
При неэластичном спросе рост предложения приводит, как правило, к сокращению доходов продавцов, и, наоборот, уменьшение предложения обуслщвливает снижение доходов. Поэтому для крестьян «хороший урожай» часто был худшим злом, чем «неурожай». Сегодня цены сельскохозяйственных продуктов в Европейском союзе регулируются государством отчасти и потому, что сильные колебания доходов крестьян рассматриваются как нежелательные (см. гл. 23, раздел 5).
Описанные организационные формы рынка оказывают многостороннее воздействие на колебания потока доходов целых профессиональных групп и стран. Доходы развивающихся стран, экспортирующих в основном сельскохозяйственные продукты и сырье, в огромной степени зависят от рыночной конъюнктуры. Попытки ограничения предложения в большинстве случаев терпят неудачу, так как каждая страна требует от других производителей сокращения поставок, но сама стремится к извлечению максимальной прибыли из роста цен, увеличивая предложение. Именно на этой основе необходимо оценивать требования развивающихся стран о стабильности цен на ресурсы (см. гл. 30).
Цена (р)
[ден.ед/ед.кол.] |
 |
|
Рис. 6.5. Увеличение предложения при неэластичном спросе |
3. Ценообразование на товарных рынках
3.1. Основной принцип
Промышленные предприятия не прибегают к услугам аукциониста, а самостоятельно устанавливают цены, по которым они готовы продавать свои продукты. Эта цена должна покрывать издержки производства и приносить производителям прибыль.
В учебниках по экономике исходят из предпосылки, что продавец стремится к максимальной прибыли (гипотеза максимизации прибыли, см. гл. 5). Не будем спорить о том, так ли это на самом деле, или чаще всего продавцы стремятся к «нормальной» прибыли. Во всяком случае стремление к прибыли в рыночной экономике — необходимая и законная цель, так как прибыль в условиях конкуренции предпринимателей показывает, соответствуют ли их производственные решения общеэкономическим интересам.
Каждое решение предпринимателя должно базироваться на сравнении добавочных издержек (предельных издержек) того или иного мероприятия и добавочной выручки, которую оно обещает (предельный оборот равен предельной выручке). До тех пор пока предельные издержки производства и сбыта меньше предельной выручки, данное мероприятие увеличивает прибыль продавца (или уменьшает.его убытки). Соответственно, справедливо и обратное. Следовательно, если продавцы стремятся к максимальной прибыли, они должны установить цену и сбытовые расходы для своего продукта таким образом, чтобы предельная выручка была равна предельным издержкам.
На практике «предельная» калькуляция часто кажется слишком сложной особенно потому, что предельная выручка и предельные издержки зачастую неизвестны. Поэтому продавцы устанавливают свои цены путем начисления надбавки — «накидки» (mark-up) на средние издержки, возникающие при нормальном использовании производственных мощностей (нормальные издержки). Процесс ценообразования в случае убывающей кривой средних издержек представлен на рис. 6.6.
Если фирма исходит из обычного уровня использования мощностей, например х,, и устанавливает цену р,, ее надбавка на прибыль — «прибылеобразующую накидку» — составляет g. Если фирма использует свои мощности больше, чем на х , данная средняя величина прибыли при неизменной цене повысится, если меньше, чем на х,, — снизится. Тот факт, что по мере снижения степени использования производственных мощностей прибыли производителя сокращаются, является аргументом, при помощи которого продавцы обосновывают повышение цен при сокращении спроса. Но тогда в случае повышения спроса, ведущего при неизменной цене к росту средней прибыли на единицу продукции и общей величины прибыли, следовало бы ожидать снижения цен. Однако при растущем спросе единственный стимул к понижению цены — конкуренция продавцов, анализом которой мы и займемся в дальнейшем.
Средние издержки (ден.ед./ед. коя.)
Цена (р) |
 |
3.2. Ценообразование при совершенной конкуренции
Ценообразование в условиях совершенной конкуренции долгое время считалось и отчасти и ныне рассматривается как идеал координационного механизма рыночной экономики.
Мы говорим о полной конкуренции, или о совершенной полиполии, если рынок обладает следующими свойствами:
(1) На рынке действует очень большое число продавцов и покупателей. Доля каждого из них в общем объеме предложения и спроса чрезвычайно мала (по-липолия).
(2) Рынок является совершенным в том смысле, что все продавцы торгуют практически одинаковым благом (условие однородности благ). Продавцы и покупатели хорошо информированы о ценах покупки и продажи (условие полной или совершенной информации), и у них нет причин предпочитать одного участника рынка другому (нет личных или пространственных предпочтений)1.
Поставим себя в ситуацию продавца, который стремится к максимально возможной прибыли (цель — максимизация прибыли), а значит должен продумать, какую цену на товар он установит.
'Названные в п. 2 признаки совершенного рынка часто обобщаются в виде следующего высказывания: продавцы и покупатели не имеют вещественных, пространственных и личных предпочтений и полностью информированы о ситуации на рынке.
Если этот продавец устанавливает цену выше рыночной, покупатели будут приобретать это однородное благо только у других поставщиков, ведь они обладают полной информацией о товарах и цене. Если продавец устанавливает цену ниже рыночной, к нему «выстроится очередь» покупателей. Но производственные мощности этого поставщика не позволяют удовлетворить значительно возросший спрос. Следовательно, для него снижение цены бессмысленно, ибо производитель может продавать продукцию по более высокой рыночной цене.
Отдельный продавец рассматривает рыночную цену как данную величину, на которую он не может повлиять. Ему необходимо просто приспособить свой объем производства к сложившейся цене. Поэтому на данном рынке речь идет о количественном приспособлении продавца (и покупателя). Каждый из продавцов имеет возможность увеличивать свою прибыль до тех пор, пока издержки дополнительного производства и сбыта (т. е. предельные издержки) ниже связанной с раширением выпуска дополнительной выручки (предельной выручки). Следовательно, для совершенного конкурента предельная выручка равна рыночной цене, так как в условиях совершенной конкуренции поставщик может продавать каждую добавочную единицу продукции по рыночным ценам. Таким образом, при совершенной конкуренции производитель картофеля будет изменять его предложение до тех пор, пока предельные издержки производства последнего центнера картофеля не сравняются с рыночной ценой.
Зададим вопрос: какой будет рыночная цена картофеля? Если цена картофеля высока, например, 50 немецких марок за 1 ц, продавцы будут производить и предлагать значительный его объем, но покупатели предъявляют спрос лишь на небольшое его количество (см. рис. 6.7).
Мы наблюдаем избыток предложения. У продавцов накапливаются запасы картофеля. Для того чтобы избавиться от них, приходится понижать цену. Следовательно, в случае избыточного предложения возникает тенденция к снижению цены. Одновременно с понижением цены происходит сокращение запланированного предложения: кому-то из продавцов выгодно сократить производство, другим (имеющим высокие издержки) придется совсем отказаться от производства картофеля. Значит, при снижении цены на товары их предложение уменьшается.
Если бы цена составляла только DM 10, производство картофеля было бы выгодно лишь для небольшого числа крестьян (они, возможно, предпочли бы выращивание свиней или производство молока). Покупательский спрос при цене 10 марок, напротив, существенно возрос бы. В этой ситуации мы имеем избыток спроса, и теперь покупатели «толкают» цену наверх. Значит, при повышеннии цены величина предложения вновь возрастет.
Итак, мы имеем дело с аналогичным биржевому механизмом ценообразования. Как там, так и здесь существует единственная цена, при которой запланированное предложение и запланированный спрос равны, — это равновесная цена. Разница состоит в том, что здесь цена устанавливается участниками рынка, а не аукционистом.
Цена
[ден.ед./ед.кол.] |
 |
|
Рис. 6.7. Соотношение спроса и предложения при совершенной конкуренции |
3.3. Установление иены в условиях монополии
Мы говорим о монополии, если на одном рынке существует только один продавец, сбыт продукции которого зависит от его собственной цены на нее и не зависит от цен других поставщиков. Можно сказать, что монополист не имеет конкурентов. Во избежание возможных ошибок необходимо указать на три обстоятельства:
(а) Монополист не может одновременно и установить высокую цену, и обеспечить необходимый объем продаж своего продукта по этой цене. Он должен учитывать поведение покупателей и принимать во внимание то, что чем выше цена, тем меньше объем продаж. Следовательно, он имеет дело с убывающей кривой спроса на свой продукт.
(б) Монополист обычно вынужден считаться с так называемыми «потенциальными конкурентами». Вполне возможно, что при очень больших прибылях на этом рынке появятся и другие продавцы, даже если факт существования монополии указывает, как правило, на то, что доступ к рынку затруднен или емкость рынка при данной технологии позволяет получать прибыль единственному поставщику.
(в) Производитель автомобилей «Жигули», например, не является монополистом. Да, ВАЗ является единственным продавцом семейства автомобилей «Жигули», но он конкурирует, например, с «Волгой», «Москвичом», «Фольксвагеном» и т. д. Не является монополистом также Северо-Западная железная дорога, так как ее сбыт зависит от цен других перевозчиков (воздушного, автомобильного транспорта и водного транспорта).
Каким образом монополист устанавливает свою цену, если он стремится к максимально возможной прибыли?
На рис. 6.8 показана нормальная кривая спроса на продукцию монополиста и которая, как мы полагаем, ему известна. Если он стремится к предполагаемой нами цели, какую точку на кривой спроса он предпочтет? Как уже говорилось, основным приемом является сравнение предельной выручки с предельными издержками. Максимум прибыли достигается в случае равенства предельной выручки и предельных издержек. Поскольку при любой комбинации «цена—количество» на кривой спроса монополист может повысить выручку только тогда, когда снизит цену, предельная выручка оказывается меньше цены. За каждую дополнительно проданную единицу блага он получает пониженную цену. Все предыдущие единицы продукта должны продаваться по снизившейся цене. Поэтому кривая предельной выручки на всем своем протяжении проходит ниже кривой спроса (при линейной функции выручки — так, как это изображено на рис. 6.8). Необходимо учесть, что в зависимости от эластичности спроса предельная выручка может принимать и отрицательные значения; а именно тогда, когда совокупные потери от сокращения цены при прежнем объеме сбыта превышают цену последней проданной единицы. Максимизирующее прибыль х
м количество продукта определяется точкой, в которой кривая предельной выручки пересекает кривую предельных издержек, т. е. предельные издержки равны предельной выручке. Соответствующая этому количеству монопольная цена обозначена на данном графике через р
м. Если бы монополист поступал как продавец в условиях полной конкуренции, он придерживался бы правила «цена = предельные издержки» и предложил бы количество х
к по цене р
к'. Поэтому экономическая теория критичес-
|
Р |
 |
Рис. 6.8. Установление цены монополистом, максимизирующей прибыль
'Для продавца при совершенной конкуренции предельная выручка равна цене, так как он, согласно исходной предпосылке, может сбыть любое количество продукта по существующим рыночным ценам (см. главу 5). |
ки оценивает монополиста: он производит меньший объем продукции и запрашивает более высокую цену, чем совершенные конкуренты. Однако подобная аргументация обладает существенным недостатком, ибо она предполагает идентичность агрегированной кривой предельных издержек продавцов, действующих в условиях конкуренции и монополиста. С изменением приходящейся на отдельного производителя емкости рынка изменяется, однако, и наиболее экономичная технология.
Каковы причины возникновения монополии? Выделим две главные:
1. Доступ к рынку, емкость которого позволяет предприятиям продавать свою продукцию с прибылью или хотя бы покрывая издержки, искусственно или из-за природных условий ограничен одним продавцом. Такое преимущество может быть обусловлено либо патентной монополией, либо волевым решением государства, либо вытеснением конкурентов единственным производителем.
2. Из-за данных технических условий минимум средних издержек предприятия достигается при таком количестве продукта, которое полностью насыщает рынок или даже превышает его емкость, т. е. имеет место естественная монополией. Такие технические условия часто встречаются у предприятий, создание которых требует крупных инвестиций и которые в дальнейшем несут высокие постоянные издержки, тогда как их предельные издержки очень малы. Типичный пример — поставщик природного газа, который должен затратить большие средства на создание обширной сети трубопроводов, в то время как добавочные издержки на увеличение потока газа весьма незначительны. Другие примеры — телефонные компании и почтовые службы.
Примеров рыночной формы монополии сравнительно мало. Примером монополии, описанной в пункте 1, может служить монополия государства на алкогольные напитки, которая представляется оправданной с точки зрения политики здравоохранения и служит, в частности, источником дохода для государства. К числу созданных путем искусственного ограничения рынка монополий относится и монополия государственного казначейства, хотя ее необходимость для функционирования денежной системы, наряду с существованием частных коммерческих банков, бесспорна (см. гл. 17-19). Частные монополии, имеющие большое экономическое влияние, встречаются редко. Как правило, мы имеем дело с малыми, в большинстве случаев регионально ограниченными монополиями (лыжные школы в районах зимних курортов).
К упомянутым в пункте 2 особым техническим условиям, как правило, апеллируют при обосновании целесообразности монополистических предприятий в сфере коммунальных услуг, таких как электростанции, газовые или телефонные компании. Такие предприятия часто приводят в качестве примеров естественной монополии, поскольку высокие технологии требуют столь огромных инвестиций, что минимум средних издержек достигается лишь при превышающем предъявляемый спрос объеме выпуска (лежит справа от кривой спроса). Приданной емкости рынка нормальное поведение максимизирующего прибыль монополиста невозможно из-за возникающих убытков (см. рис. 6.9).
В таких ситуациях целесообразной может быть передача соответствующего производства государству и принуждение его продавать продукцию по цене, только покрыва-
|
Р |
 |
|
Рис. 6.9. Естественная монополия |
ющей издержки, т. е. по цене p
DK, при которой кривая средних издержек пересекает кривую спроса. Проблема, однако, в том, что такие государственные предприятия часто не уделяют должного внимания снижению издержек и / или завышают их.
Монополисты (за исключением случая естественной монополии) сравнительно свободны в выборе цен (единственный ограничитель — спрос). Таким образом, монополисты, как было показано на рис. 6.8, могут устанавливать цену, максимизирующую прибыль.
Монополии нежелательны потому, что контролировать экономическую власть, позволяющую им самостоятельно устанавливать цену, может только спрос. Отсутствие контрольного механизма конкуренции приводит к тому, что монополисты могут извлекать прибыль не за счет своей деловой активности или рациональных методов производства, а за счет (неэластичного) слабо реагирующего на изменение цен спроса. Отсутствует постоянное стремление к повышению производительности, снижению производственных издержек и внедрению новых в большей мере отвечающих потребностям покупателей, чем продукты конкурентов, товаров.
К счастью, экономически значимые монополии встречаются относительно редко, но сказанное нами действительно для довольно широко распространенных картелей (см. гл. 8).
3.4. Ценообразование в условиях олигополии
Если на рынке существуют небольшое количество относительно крупных продавцов, мы говорим об олигополии. Если, с точки зрения покупателей, предложенные продукты практически идентичны, речь идет об однородной олигополии, в противном случае — о неоднородной олигополии. В условиях олигополии сбыт продавца зависит не только от установленной им самим цены (как при монополии), но и от цен остальных продавцов. Взаимозависимость тем больше, чем более однородными, по мнению покупателей, являются продукты. Примерам рыночных форм олигополии несть числа: рынки автомобилей определенного класса, автопокрышек, нефти, сигарет, стали и пластмасс.
Мы имеем все основания утверждать, что олигополия — преобладающая в современной экономике форма рынка.
В то время как при установлении цены монополист должен принимать во внимание лишь реакцию покупателей и возможное наличие скрытых конкурентов, олигополисту приходится «бороться на двух фронтах*: поскольку сбыт продукции его конкурентов существенно зависит от установленной им цены, на ее изменения будут реагировать все его соперники. Следовательно, олигополисту необходимо вести наблюдение за покупателями, а также учитывать в своих планах поведение конкурентов.
В целом верно, что цены, которые может затребовать олигополист, в основном определяются ценами его конкурентов. Так, цены на автомобили разных фирм не могут существенно отличаться друг от друга: «Жигули-2107» не могут быть значительно дороже, чем «Москвич-2141», «Таврия» должен быть дешевле, чем «Жигули», а «Жигули» дешевле, чем «Волга» высшего класса. Средняя величина прибыли производителей также существенно зависит и от их кривой издержек. Чем более рациональны методы производства, тем выше норма прибыли.
Особенно тесной взаимозависимость олигополистов становится при сознательном изменении цены, которое продавец должен очень тщательно планировать.
Если олигополист снизит свою цену, его конкуренты потеряют большую часть выручки в том случае, когда покупатели оценивают различия между их продуктами как несущественные. Чтобы не потерять выручку, конкурентам придется тоже снизить цены, возможно, в том же объеме или еще больше. Поэтому каждому продавцу необходимо оценить свою долю спроса, учитывая, что при снижении им цены конкуренты сделают то же самое. По этой причине каждый продавец должен тщательно продумать целесообразность снижения цен, чтобы быть уверенным, во что оно выльется и не приведет ли к разрушительной «ценовой войне».
Если же олигополист повысит цену, сбыт его продукции существенно сократится, а продажи продукции конкурентов, если они оставят свои цены неизменными, напротив, возрастут. В то время как при снижении цены он должен «опасаться», что за ним последуют другие, в случае повышения цен олигополисту необходимо рассмотреть возможность того, что он останется в одиночестве.
Неопределенность относительно реакции конкурентов таит в себе несомненную опасность для планирующих повышение цены продавцов. Именно поэтому на олигополистических рынках часто наблюдаются долгие периоды фиксированных цен, даже в случаях изменения издержек и спроса. Подобная жесткость цен часто определяется термином «администрируемые цены »1.
'Администрируемые цены нельзя путать с административными ценами, т. е. с ценами, установленными государством.
Таким образом, средняя прибыль (на единицу продукции) и общая сумма прибыли олигополиста зависят (при сравнительно большой жесткости цен и при данной кривой средних издержек) от величины спроса (см. рис. 6.10).
Вследствие сильной взаимной зависимости продавцов в процессе совместной деятельности могут установиться определенные правила поведения, которые призваны уменьшить опасность «одиночных» действий. Возможно, например, признание ценового лидерства, когда повышение цены одним производителем дает сигнал к аналогичным действиям «коллег»-конкурентов. Если все они повысят цены, выгода будет извлечена только в случае вялой реакции спроса; но если конкуренты не желают повышать цены, лидер будет вынужден вновь снизить цену и ни один из продавцов не получит выгоды. Широкие возможности ослабления соперничества между продавцами открывают прямые договоры о совместном изменении цен или о создании других форм картелей.
Мы не имеем возможности точно оценить роль конкуренции в ситуации олигополии. Конкуренция между продавцами, среди прочего (подробное описание задач конкуренции содержится в гл. 8), должна гарантировать следующее:
(1) норма прибыли производителей не будет оставаться неоправданно высокой;
(2) будут постоянно внедряться новые продукты, в большей степени отвечающие нуждам потребителей;
(3) будут постоянно разрабатываться новые методы производства, направленные на снижение издержек производства и цен продуктов.
|
Средние издержки, |
 |
Объем выпуска х [ед. кол.] |
|
Рис. 6.10. Изменение средней прибыли g |
В принципе эти функции могла бы выполнить и конкуренция среди ограниченного числа продавцов. Во всяком случае в условиях олигополии существует мотивация к повышению прибыли путем осуществления продуктовых инноваций или улучшения методов производства. С другой стороны, поскольку олигополисты должны всегда учитывать реакцию конкурентов на снижение цен, они весьма осторожно используют данную тактику.
Нередко олигополия несет последствия, негативные для потребителей, к примеру, когда вместо разработки новых продуктов потребителям посредством рекламы внушают, что изменение упаковки или рекламного слогана равнозначны появлению нового товара. Кроме того, сговор олигополистов позволяет им избежать нежелательной конкуренции. Но сам по себе сговор не является необходимым следствием олигополистического рынка.
Важным обстоятельством является то, что рыночной экономике присущи механизмы контроля, ограничивающие экономическую власть участников рынка. Отрицательный пример для рынков в ФРГ, на которых контрольные механизмы являются большой редкостью, — обширная сфера медицинских услуг. Среди продавцов не существует конкуренции цен, так как цены фиксированы в соответствии с официально утвержденными прейскурантами. Конкуренция возможна только в неполном объеме, так как доступ к рынку ограничивается, с одной стороны, для тех, кто желал бы получить медицинскую профессию, и, с другой стороны, для тех, кто хотел бы сочетать свободную врачебную практику с лечением пациентов, застрахованных больничными кассами (эти кассы охватывают подавляющее большинство населения страны). Почему же здесь не допускается действие свободного рынка? По-видимому, центральную роль играет лобби уже практикующих врачей.
Экскурс:
Теория игр
В настоящее время все большее распространение получает такой инструмент анализа олигополистического рынка, как теория игр. Эта теория представляет собой метод исследования взаимодействий небольшого числа субъектов (которых называют игроками). Наличие подобных взаимодействий как раз и отличает олигополию от остальных типов рыночных структур. Основанные на применении теории игр модели олигополии обычно описываются как «игры стратегий» (установление цен, объемов выпуска, определение расходов на заработную плату или рекламу и т. д.). Такие олигополистические игры характеризуются наличием небольшого количества фирм (игроков), которые стремятся максимизировать прибыль (на языке теории игр — «выигрыш»), осознавая свою зависимость друг от друга. Для представления олигополистической игры в общем виде («стратегической форме») достаточно привести перечень (множество) игроков, список стратегий (планов действий каждого игрока, в которых предусмотрен определенный его ответ на любое возможное действие остальных участников) и матрицу выигрышей (описывающую возможности выигрышей для каждого из игроков при реализации тех или иных планов действий). Если при наличии только двух игроков выигрышу одного из них в ходе реализации какого-либо плана действий соответствует равный по модулю проигрыш другого, то такая олигополистическая игра является антагонистической. Равновесие в игре с двумя участниками достигается при выборе такой комбинации их стратегий, при которой стратегия первого игрока является наилучшим ответом на стратегию второго, и наоборот. В такой ситуации имеют место оптимальность и совместимость стратегий обоих игроков. На основе тех же принципов определяется равновесие и при большем числе участников игры. Возможен также случай, когда у каждого из игроков имеется стратегия, являющаяся лучшим ответом на любую потенциальную комбинацию стратегий всех остальных участников. Комбинация подобных стратегий называется равновесием доминирующих стратегий. Следует учитывать, что такое равновесие может оказаться оптимальным для игроков (продавцов на олигополистическом рынке) лишь при их отказе от сотрудничества друг с другом. Такое сотрудничество (в олигополистической игре принимающее форму сговора) может улучшить их положение.
Отрицательным фактором является отсутствие у некоторых участников рынка мотивации к экономии: пациент, который, как правило, застрахован, заинтересован в наиболее дорогих методах лечения («чем дороже, тем лучше»), поскольку за него платит все общество застрахованных, а он может даже и не знать цены услуг. В свою очередь, врач-фармацевт никак не заинтересован (не имеет стимулов) в экономном расходовании лекарств и низких ценах на них. Кроме того, ценовая конкуренция между фармацевтами ограничена.
Возможно, на этих примерах читатель осознает, насколько необходим контроль за экономической властью. С одной стороны, важную роль играет контроль за экономической властью, реализуемый через конкуренцию продавцов между собой. С другой стороны, оказывая давление на рынок, потребитель получает возможность покупать блага по наиболее низким ценам.
Таким образом, монополистическая конкуренция чем-то похожа на полную конкуренцию, так как каждый товар продается многими фирмами, вход и выход на рынок свободны, и чем-то на монополию — отдельные фирмы имеют возможность контролировать цену на свою марку продукции.
3.5. Монополистическая конкуренция
Совершенная конкуренция и чистая монополия — противоположные, крайние модели рыночных структур. Однако могут существовать и промежуточные структуры рынков, которые не являются полностью конкурентными и, с другой стороны, не контролируются единственным продавцом. В этой ситуации фирмы обладают лишь некоторым контролем над ценой.
Такая ситуация возможна в том случае, если конкурирующие фирмы продают на рынке нестандартизированное благо. Возможности дифференциации блага по качеству, внешнему виду, репутации (например, при наличии или отсутствии товарного знака) и другим характеристикам позволяют каждому продавцу получить в свои руки определенную долю монопольной власти.
Например, на рынке предлагается множество разновидностей зубной пасты. Примеры монополистической конкуренции — рынки сигарет, пива, бытовой техники, кондитерских изделий и т. п. При этом каждая фирма имеет дело с конкуренцией со стороны либо существующих фирм, либо новых, входящих в отрасль, производите-лей; рынок открыт для входа и выхода. Таким образом, монополистическую конкуренцию можно определить как рыночную структуру, когда большое число продавцов предлагают дифференцированное благо и при этом возможно появление новых поставщиков.
Основные черты монополистической конкуренции:
¦ дифференцированное благо — товар каждой фирмы — не является совершенным заменителем благ, которые реализуются другими поставщиками; в то же время он все же выступает как заменитель, и его перекрестная эластичность положительна и относительно велика;
¦ на рынке функционирует относительно большое число продавцов, каждый из которых удовлетворяет небольшую долю всего рыночного спроса на общий тип блага, реализуемого фирмами-конкурентами;
¦ вход и выход на рынок свободны, хотя новички будут испытывать трудности, поскольку новой торговой марке непросто «завоевать» себе репутацию. По сравнению с новичками «ветераны рынка» имеют определенное преимущество.
3.6. Обобшение основных функций ценового механизма
В условиях господства совершенной конкуренции продавцы и покупатели благ взаимно контролируют друг друга. Ни один из участников рынка не имеет сколько-нибудь весомой экономической власти. Каждый должен адаптироваться к рыночной цене, которую можно рассматривать как компромисс между желаниями продавцов установить ее максимально возможную величину и стремлением потребителей к минимальному ее уровню.
Основная функция цены состоит в выравнивании планов продавцов и покупателей без каких-либо «дирижерских» мероприятий посредством ценового механизма, действие которого объясняется ниже:
Если планируемое предложение выше запланированного спроса, происходит снижение цены. Вследствие этого спрос возрастает, а запланированное предложение сокращается до тех пор, пока не установится равновесие. Если же запланированный спрос превышает планируемое предложение, цена повышается. С ростом цен спрос сокращается, а запланированное предложение увеличивается до тех пор, пока (опять-таки) не установится равновесие (функция равновесия цены). Равновесная цена означает отсутствие как нераспроданного запаса товаров у производителей (избыток предложения), так и неудовлетворенного спроса у потребителей (избыток спроса) в долгосрочном периоде.
Но при этом необходимо понимать, что в определенном смысле ценовая координация является антисоциальной: повышение цены «рационирует» спрос и в тенденции ограничивает спрос покупателей с низкой покупательной способностью. Следовательно, вследствие этой несоциальной функции распределения ценового механизма (см. гл. 2) при координации экономических планов производителей и потребителей учитываются скорее потребности покупателей с высокой покупательной способностью, нежели интересы всех потребителей. Поэтому мы имеем на полках магазинов дорогие корма для собак, в то время как некоторые люди не могут позволить себе купить мясо.
Цена является идеальным инструментом передачи необходимой для принятия решений производителями и потребителями информации. Если, например, кривая спроса сдвинется вправо (повышение спроса), при неизменности цены возникает избыток спроса и конкуренция между покупателями приведет к ее повышению. Рост цены явится сигналом для действующих на рынке продавцов о необходимости увеличения выпуска, а также для поставщиков на других рынках о целесообразности обращения к более перспективному виду деятельности (информационная функция цены). Следовательно, возрастет спрос на необходимые на этом рынке факторы производства (рабочая сила, капитал и т. д.). А значит, цена управляет также и распределением производительных сил (размещением или аллокацией ресурсов) «в сторону» производства благ, на которые существует платежеспособный спрос. С другой стороны, цены «управляют» спросом: если резко возрастает потребность в каком-то ресурсе (скажем, цинке), повышение цены на цинковые изделия будет побуждать потребителей к сокращению их закупок. Необходимо учитывать, что цена несет в себе информацию прежде всего для заинтересованных лиц (например, только для вероятных покупателей цинковых изделий) и только в необходимом объеме (нет необходимости знать, почему цинк является редким и дорогим).
Информации о цене, однако, недостаточно; необходимо, чтобы поставщики произвели желаемый товар. Для этого необходима система санкционирования, которая в рыночной экономике осуществляется через свободное распоряжение полученной прибылью. Производители, которые сумеют быстрее приспособиться к изменившейся рыночной ситуации, вознаграждаются более высокими прибылями или несут более низкие убытки. Опоздавшие наказываются низкими прибылями и более высокими потерями. Вывод о том, что таким образом эгоизм отдельного производителя отвечает интересам общества в целом, был сформулирован более 200 лет назад основателем экономической науки Адамом Смитом:
«Не от благожелательности мясника, пивовара или булочника ожидаем мы получить свой обед, а от соблюдения ими своих собственных интересов. Мы обращаемся не к гуманности их, а к эгоизму и всегда говорим им не о наших нуждах, но лишь об их выгодах» (СмитА. Исследование о природе и причинах богатства народов. М., 1993. Т. 1.С. 129).
Прибыль на рынке с совершенной конкуренцией является наградой за производство с низкими издержками, за быстрое исполнение желаний покупателей, а значит, мотивирует поставщиков к повышению производительности и выступает средством контроля за результатами.
Совершенная конкуренция представляется нам наиболее эффективной благодаря, прежде всего, оптимальному размещению ресурсов (наилучшему возможному распределению производительных сил), оптимальной координации экономических планов производителей и потребителей и оптимальному взаимному контролю за экономической властью. Она является идеалом функционирования свободной рыночной экономики. К сожалению, в нашем мире нет ничего совершенного. Так, если бы мы хотели ввести совершенную конкуренцию на всех рынках, нам
пришлось бы поручить, например, производство автомобилей 500 или более фирмам. Но тогда нам пришлось бы отказаться от преимуществ массового производства и технического прогресса. И в то же время приближение к оптимальным свойствам совершенной конкуренции в ситуации соперничества небольшого числа крупных производителей остается важной задачей.
Список основных понятий
¦ Аукционист
¦ Монополия
¦ Олигополия
¦ Избыток предложения
¦ Избыток спроса
¦ Равновесная иена
¦ Закон спроса и предложения
¦ Гипотеза максимизации прибыли
¦ Предельная выручка
¦ Совершенная полиполия > Естественная монополия
¦ Неоднородная олигополия
¦ Однородная олигополия
Администрируемые цены Административные цены Неновой механизм Функция равновесной цены Информационная функция цены Размещение (аллокация) ресурсов Оптимальное размещение ресурсов
Оптимальная координация экономических планов Оптимальный взаимный контроль за экономической властью
............................... .........
шшшдл яп о вто р ени я».
6) Как повлияет повышение цены продавца-монополиста на его прибыль, если спрос не эластичен (эластичен)?
7) Объясните следующее утверждение: «Пределы установления цены монополиста тем шире, чем более не эластичен спрос».
8) Изложите рассуждения олигополиста, планирующего изменить цену в том или
ином направлении. '
9) Перечислите контрольные механизмы, ограничивающие повышение цен продавцами.
10) Почему ценообразование при совершенной конкуренции оптимально и почему на практике совершенная конкуренция встречается крайне редко?
 |
¦ Подробный анализ проблем ценообразования на различных рынках содержится в упомянутом в гл. 5 издании:
Экономическая школа. СПб., 1993. Вып. 3. |
¦ Первое теоретическое осмысление феномена монополистической конкуренции было сделано американцем Э. Чемберлином в 1933 г.; рекомендуем ознакомиться с русским переводом этой новаторской книги:
Чемберлин Э. Теория монополистической конкуренции. Реориентация теории стоимости. М„ 1996.
¦ Труд Э. Чемберлина в значительной мере дополняется книгой Дж. Робинсона (впервые изданной в 1936 г. в Великобритании):
Робинсон Дж. Экономическая теория несовершенной конкуренции. М., 1986.
¦ Стандартным учебником по микроэкономике промежуточного уровня, в котором обсуждаются, в частности, типы рынков, является следующий:
Хайман Д. И. Современная микроэкономика : анализ и применение. В 2-х т. М.,
1992. '
¦ Отдельные аспекты ценообразования рассматриваются в книгах:
ПиндайкР., Рубинфельд Д. Микроэкономика. М., 1992.
Гальперин В. М., Игнатьев С. М., Моргунов В. И. Микроэкономика. СПб., 1994. т. 1,
1997. т. 2. •
Райхлин Э. Основы экономической теории. Микроэкономическая теория рынков
продукции. М., 1995.
Глава 7

КОНЦЕНТРАЦИЯ ПРЕДПРИЯТИЙ В ЭКОНОМИКЕ

Что такое концентрация предприятий и какие формы она принимает?
¦ Что означает концентрация в экономике?
¦ По каким критериям определяется концентрация предприятий?
¦ Каковы важнейшие формы концентрации предприятий?
Какова степень концентрации в германской и российской экономике?
¦ Как измерить концентрацию с помошью статистических методов?
¦ Какие возражения можно выдвинуть против часто употребляемых показателей концентрации, таких как коэффициент Джини и кривая Лоренца?
¦ Как можно оценить с помошью международных и временных сравнений степень концентрации в немецкой и российской промышленности?
¦ В каких отраслях экономики концентрация наиболее .высока?
Как следует оценивать концентрацию с общеэкономической точки зрения?
¦ В чем состоят экономические причины концентрации?
¦ Каковы политические причины концентрации?
¦ Каким образом может возникнуть конфликт между конкуренцией и производственной эффективностью?
|
ІрІІііірріИНІІІЯІ |
 |
 |
ш |
штт
1. Определение и формы экономической концентрации
Под экономической концентрацией понимают «сосредоточение экономических величин». Это несколько расплывчатое определение можно проиллюстрировать следующим образом. Концентрация имеет место, если несколько членов группы «отрезают» себе такой «кусок» общего «пирога», размеры которого превышают то, что им положено в соответствии с их долей в группе. В зависимости от того, о какой группе (например, предприятия, домохозяйства или их части) и о каком «пироге» (общая выручка, общий капитал, рабочая сила, общее имущество, общие доходы) идет речь, различаются области концентрации. Здесь мы ограничимся обсуждением только концентрации предприятий, причем будем иметь в виду два случая: либо когда предприятия одной группы сосредоточивают в своих руках относительно большую долю общего оборота группы (иногда признаком концентрации служат также размеры капитала или численность рабочих), либо когда группа включает в себя небольшое число предприятий.
Необходимо различать абсолютную и относительную концентрацию. Абсолютная концентрация связана лишь с количеством предприятий на рынке независимо от их относительной величины. Обычно она измеряется посредством такого показа- ; теля, как коэффициент концентрации (concentration ratio — CR). Данный коэффициент измеряет по определенному признаку (обычно по доле в обороте) долю соответственно трех, шести или десяти крупнейших предприятий отрасли. Для краткости эти коэффициенты обозначаются как CR-3, CR-6, CR-10 и т. д. Коэффициент CR-10 = 80 означает, что 10 самым крупным участникам рынка принадлежит 80% оборота.
Относительная концентрация, напротив, отражает различия в величине фирм. Так, например, наличие трех и только трех рдинаково крупных фирм на рынке означало бы большую абсолютную, но низкую относительную концентрацию. Относительная концентрация часто измеряется коэффициентом Джини, а для ее графического изображения используется кривая Лоренца (см. раздел 2).
Концентрация предприятий, как правило, осуществляется (если не учитывать уход с рынка старых или создание новых предприятий) в двух формах:
(1) внутреннего роста предприятия, т. е. через расширение его оборота, происходящего темпами более высокими, чем средние темпы роста оборота остальных членов группы,или
(2) через внешний рост, т. е. через объединение уже существующих предприятий.
В центре анализа и воздействия конкурентной политики находится внешний рост, т. е. объединение предприятий, так как данная форма получила весьма широкое распространение и оказывает существенное влияние на отраслевую конкуренцию.
Предприятия могут быть связаны друг с другом различными способами. Все возможные формы связей варьируют между двумя полюсами: рынок и интеграция внутри одного «главного» предприятия. При этом дихотомия рынок—предприятие (иерархия) описывает лишь полюсы возможных структур переплетения предприятий. Между ними расположено множество более или менее тесных отношений. Центральное значение для политики конкуренции имеет то, что «переплетение» предприятий обусловливает предварительную (ex ante) координацию рыночного поведения. В принципе такая координация сужает рамки решений и действий всех участников и таким образом ограничивает свободу конкуренции. По степени обязательности ex ante координации различают: слияние, концерн, совместное предприятие (Joint Venture), картель и кооперацию самостоятельных предприятий. Границы этих определений достаточно гибкие.
При слиянии предприятия соединяются в новый юридический (и экономический) субъект. Данная форма концентрации не получила значительного распространения.
В том случае, когда несколько юридически самостоятельных (и остающихся такими и в дальнейшем) предприятий объединяются в экономический субъект с совместным управлением, происходит образование концерна. При этом решающим признаком является единство управления. На практике единство управления, как правило, основывается на:
¦ договоре об управлении;
¦ договоре о распределении прибыли;
¦ владении превышающим 50% пакетом акций.
Наряду с объединением предприятий в форме концерна существует необозримое число форм с долевым участием, когда доля каждого предприятия меньше 50%. Они, как правило, обусловливают зависимость, но не ведут к образованию концернов.
Совместное предприятие (СП) создается в том случае, если несколько предприятий одновременно или последовательно принимают участие в другом предприятии или создают новое предприятие. Значение данного вида кооперации возрастает. Очевидно, что предприятия-члены такого СП, планируя свои действия, учитывают интересы своих партнеров, что может негативно повлиять на уровень конкуренции.
Очень важной формой концентрации является картель, или объединение остающихся юридически и частично экономически самостоятельными предприятий одной отрасли (например, нефтяной промышленности) с целью ограничения конкуренции между его членами.
Кооперация самостоятельных предприятий принимает самые разные формы (сговор, различные формы договоров о сотрудничестве, джентльменские соглашения) и затрагивает различные параметры конкуренции (снабжение, сбыт или исследования и разработки).
Сегодня многие связи предприятий называют «стратегическими». Стратегическими альянсами называют формальные долгосрочные связи между юридически и экономически самостоятельными предприятиями, увязывающими друг с другом определенные аспекты деятельности, например, договоры о поставке, лицензионные контракты или соглашения о совместной деятельности в области исследований и разработок, Стратегическая группа — это группа предприятий одной отрасли, реализующих схожие стратегии в том или ином стратегическом направлении (поставщики, покупатели, конкуренция), Стратегической семьей называют несколько предприятий, успех каждого из которых на рынке в значительной степени зависит от деятельности остальных и придерживающихся взаимодополняющей стратегии (покупатель и поставщик или предприятие и обслуживающий его банк),
Концентрация различается также по тем ступеням производственного процесса (рынкам), которые она охватывает. При горизонтальной концентрации объединяющиеся предприятия действуют на одном и том же рынке, Примером может служить Кгирр и Hoesch. При вертикальной концентрации речь идет о предприятиях, действующих на последовательных ступенях производства и находящихся между собой в отношениях «покупатель—поставщик*. Примером такой концентрации является долевое участие немецкого торговца кинофильмами «Лео Кирх* в телевизионной компании SAT 1, а также в киностудиях и кинотеатрах. При диагональной (конгломератной) концентрации в объединении участвуют предприятия, действующие на различных рынках и не состоящие в отношениях типа «покупатель—поставщик».
Среди заявленных объединений Германии с 1973 по 1992 г. доминировали горизонтальные объединения (72% или 16 146 случаев); конгломератные (16%) и вертикальные (11%) слияния встречались гораздо реже.
Помимо описанных форм концентрации на практике часто встречаются случаи кредитных переплетений между предприятиями (особенно между банками и производственными предприятиями), а также способствующие концентрации личные унии (участие директоров банков в правлении промышленных корпораций).
2. Концентрация немецкой промышленности
Концентрация предприятий в ФРГ анализируется и контролируется прежде всего Федеративным статистическим ведомством и Монопольной комиссией. Мы приводим здесь общие результаты их исследований.
В табл. 7.1 приводятся данные о количестве и объеме выпуска промышленных предприятий ФРГ, расположенных в порядке увеличения оборота. При этом необходимо отметить, что указанные цифры относятся к юридически самостоятельным предприятиям, т. е. принимаются во внимание лишь те формы концентрации,
Таблииа 7.1
Число и оборот предприятий горнодобывающей и перерабатывающей промышленности ФРГ с числом занятых 20 и более (1992 г.) |
|
Объем оборота (в DM) |
Число
предприятий |
Объем оборота |
|
в абсолютном выражении |
% |
в абсолютном выражении (DM млрд) |
% |
|
до 5 млн |
9924 |
27,0 |
31,3 |
1,6 |
|
от 5 млн до 10 млн |
8636 |
23,5 |
62,1 |
3,1 |
|
от 10 млн до 25 млн |
8785 |
23,9 |
138,8 |
7,0 |
|
от 25 млн до 50 млн |
4244 |
11,5 |
148,7 |
7,5 |
|
от 50 млн до 100 млн |
2582 |
7,0 |
179,3 |
9,1 |
|
100 млн и более |
2629 |
7,1 |
1 415,5 |
71,7 |
|
Совокупно |
36 800 |
100,0 |
1 975,7 |
100,0 |
|
|
Источник: Statistisches Bundesamt. Fachserie 4. Reihe 4.2.1. Beschaftigte Umsatz und Investitionen der Unternehmen im Bergbau und im Verarbeitenden Gewerbe 1992. |
Таблица 7.2
Количество предприятий и объем оборота нарастающим итогом (кумулятивно)
по данным табл. 7.1 |
|
Объем оборота (в DM) |
Кумулятивная доля предприятий в общей численности предприятий (в %) |
Кумулятивная доля объема оборота (в %) |
|
от 0 до 5 млн |
27,0 |
1,6 |
|
от 0 до 10 млн |
50,5 |
4,7 |
|
отОдо 25 млн |
74,4 |
11,7 |
|
от 0 до 50 млн |
85,9 |
19,2 |
|
отОдо 100 млн |
92,9 |
28,3 |
|
от 0 до всего объема оборота |
100,0 |
100,0 |
|
которые связаны с внутренним ростом предприятий и слияниями (в узком смысле). Не учитываются формирование концернов, долевое участие, картели и прочие формы концентрации. Но и без этого из табл. 7.1с первого взгляда становится очевидной сильная концентрация: так, на долю 2629 самых крупных предприятий (7,1 % от общего числа компаний) приходится 71,7% общего объема оборота промышленности. ¦
Данные табл. 7.1 можно представить в другой форме и изобразить их графически. Мы каждый раз суммируем доли предприятий (выпуск которых не превышает известной величины) по определенному показателю, т. е. получаем накопленные доли и вносим их в табл. 7.2.
Например, накопленные доли предприятий с объемом оборота от DM0 до DM25 млн в общем числе предприятий в табл. 7.2 рассчитываются путем суммирования долей, равных 27,0; 23,5 и 23,9 (итоговая сумма составляет 74,4%), а для вычисле-
ния доли в общем объеме выпуска суммируются доли, равные 1,6; 3,1 и 7,0% (получается сумма 11,7%).
На рис. 7.1 представлено графическое отображение данных табл. 7.2. Построенную таким образом кривую называют кривой Лоренца (по имени американского статистика М. 0. Лоренца (М. 0. Lorenz, 1876-1959). Поскольку она иллюстрирует концентрацию, иногда говорят о кривой концентрации.
Кривая Лоренца показывает, какая часть общего объема выпуска приходится на долю определенной части предприятий, которые в зависимости от своих размеров распределяются по разным группам.
На горизонтальной оси откладывают накопленные доли предприятий в их общей численности, на вертикальной — накопленные доли предприятий в общем объеме выпуска. Соединение нанесенных таким образом точек дает кривую Лоренца. Кривая выходит из начала координат, где доли равны нулю, и заканчивается в точке, где доли достигают 100%. При абсолютно равномерном распределении выпуска (10% предприятий концентрируют 10% выпуска, 20% предприятий — 20% вы- |
|
|
Врезка 7.1. |
|
|
-1 |
|
|
Концентрация |
Таблица 7а |
|
|
|
российской |
Группировка предприятий по общему объему |
|
|
|
промышленности |
продукции в Российской Федерации в 1995 г. |
|
|
|
Объем продукции |
Доля предприятий в общей |
Доля объема продукции |
|
|
|
(млрд руб.) |
численности предприятий |
(%) |
|
|
|
|
(%) |
|
|
|
|
до 1,0 |
84,9 |
3,0 |
|
|
|
от 1,1 до 50,0 |
13,1 |
27,0 |
|
|
|
от 50,1 до 100,0 |
1,0 |
11,3 |
|
|
|
100,1 и более |
1.0 |
58,7 |
|
|
|
Итого |
100,0 |
100,0 |
|
|
|
Источник: Промышленность России: Статистический сборник. М., 1996. С. 18. |
|
|
|
|
Таблица 76 |
|
|
|
|
Количество предприятий и объем продукции с нарастающим итогом |
|
|
|
|
(кумулятивно) |
|
|
|
|
Объем производства |
Накопленная (кумулятив- |
Накопленная (кумуля- |
|
|
|
(млрд руб.) |
ная) доля предприятий в |
тивная) доля объема |
|
|
|
|
общей численности пред- |
продукции (%) |
|
|
|
|
приятий (%) |
|
|
|
|
до 1,0 |
84,9 |
3,0 |
|
|
|
от 1,1 до 50,0 |
98,0 |
30,0 |
|
|
|
от 50,1 до 100,0 |
99,0 |
41,3 |
|
|
|
100,1 и более |
100,0 |
100,0 |
|
|
|
Источник: Данные таблицы исчислены на основе данных табл. 7а. |
|
Накопленная доляобщей выручки предприятий
 |
|
Рис. 7.1. Кривая Лоренца для концентрации производства Источник: Рисунок «построен» на основе данных табл. 7.2. |
|
Накопленная доляобщей выручки предприятий |
 |
Накопленная доля общей численности предприятий |
|
Рис. 7а. Кривая Лоренца для концентрации производства Источник: Рисунок «построен» на основе данных табл. 76. |
Приведенные в данной врезке табл. 7а и 76 и рис.7а показывают, что для российской промышленности характерна чрезвычайно высокая степень концентрации предприятий, превышающая аналогичные в промышленно развитых странах, включая ФРГ. Так, согласно данным табл. 7а, 1 % всех российских промышленных предприятий выпускает 58,7% всей промышленной продукции. Графически высокая концентрация предприятий в российской промышленности выражается очень большой удаленностью кривой Лоренца от диагонали равномерного распределения продукции предприятий. Причины такой высокой концентрации рассматриваются во врезке 7.3.
пуска и т. д.) получаем диагональ, соответствующую линии равномерного распределения. Чем дальше от диагонали лежит кривая Лоренца, тем более неравномерным является распределение выручки, тем больше концентрация. Чем ближе кривая Лоренца к кривой равного распределения, тем равномернее распределение выручки, тем меньше концентрация. Исходя из данной интерпретации кривой Лоренца, нетрудно объяснить часто используемый показатель концентрации, построенный на основе кривой Лоренца — коэффициент Джини (назван по имени автора, итальянского статистика К. Джини — С. Gini, 1884-1965).
Показателем концентрации можно считать площадь между кривой Лоренца и кривой равномерного распределения (затушеванный участок). Чтобы сделать этот показатель независимым (и таким образом сравнимым) от случайно выбранного масштаба, мы должны брать не абсолютное значение площади, а, как предложил К. Джини, соотношение затушеванной площади и площади между диагональю и осями системы координат (затушеванная + незатушеванная площадь). Так как этот треугольник (затушеванная + незатушеванная площадь) всегда больше, чем площадь, лежащая между кривой Лоренца и диагональю (затушеванная площадь), коэффициент Джини всегда меньше единицы. Чем ближе он к единице, тем сильнее концентрация (так как тем больше площадь между диагональю и кривой Лоренца). Чем ближе он к нулю, тем слабее концентрация.
3. Концентрация в отдельных отраслях промышленности
Какими бы четкими не были вышеуказанные положения, они дают лишь очень грубую картину концентрации, так как относятся ко всей промышленности ФРГ. Следовательно, нам необходима дальнейшая детализация. Обратимся к табл. 7.3 (коэффициенты Джини для выручки отдельных отраслей промышленности).
В соответствии с данными табл. 7.3, измеренная при помощи коэффициента Джини концентрация в отраслях промышленности ФРГ превышает 0,5 и остается на высоком уровне. Но информативность табл. 7.3 двояким образом ограничена. С одной стороны, отрасли определяются в соответствии с классификацией отраслей промышленности, т. е. скорее по техническим признакам производимых продуктов, что позволяет лишь очень осторожно судить о рыночной структуре. С другой стороны, коэффициент Джини охватывает только неравенство, различие в величине фирм (см. раздел 1), т. е. относительную концентрацию, а не собственно вес фирм.
Поэтому мы должны всегда с помощью коэффициента концентрации определять и абсолютную концентрацию. Полученные данные приводятся в табл. 7.4, в которой выделена доля трех, шести и восьми предприятий с самым большим оборотом в общем обороте отрасли.
Из сравнения табл.7.3 и 7.4 видно, что отрасли горнодобывающей промышленности и производства табачных изделий по обоим показателям можно считать высококонцентрированными, в то время как, например, текстильная промышленность менее концентрированна.
Таблица 7.3
Концентрация предприятий в горнодобывающей и перерабатывающей промышленности ФРГ в 1980-1990 гг. — коэффициент Джини для оборота предприятий |
|
Отрасль |
|
|
Концентрация оборота |
|
|
|
1980 г. |
1984 г. |
1987 г. |
1988 г. |
1989 г. |
1990 г. |
|
Горнодобывающая промышленность |
0,92 |
0,91 |
0,90 |
0,90 |
0,88 |
0,88 |
Нефтеперерабатывающая
промышленность |
0,84 |
0,83 |
0,83 |
0,83 |
0,85 |
0,85 |
|
Добыча и переработка камней и грунта |
0,63 |
0,64 |
0,63 |
0,63 |
0,62 |
0,61 |
|
Черная металлургия |
0,84 |
0,82 |
0,82 |
0,82 |
0,82 |
0,81 |
|
Цветная металлургия |
0,73 |
0,74 |
0,72 |
0,74 |
0,74 |
0,75 |
|
Литейное производство |
0,74 |
0,72 |
0,72 |
0,71 |
0,69 |
0,68 |
|
Сталепрокатное производство, формовка стали |
0,65 |
0,63 |
0,63 |
* |
* |
* |
|
Производство стальных и легкометаллических конструкций, производство средств железнодорожного транспорта |
0,71 |
0,70 |
0,69 |
0,70 |
0,69 |
0,68 |
|
Машиностроение |
0,75 |
0,75 |
0,73 |
0,73 |
0,74 |
0,73 |
|
Производство средств автодорожного транспорта |
0,92 |
0,93 |
0,93 |
0,93 |
0,93 |
0,93 |
|
Судостроение • |
0,80 |
0,83 |
0,83 |
. 0,82 |
0,79 |
0,80 |
|
Самолето-и ракетостроение |
0,88 |
0,89 |
0,88 |
0,89 |
0,90 |
0,87 |
|
Электротехника, ремонт бытовой техники |
0,86 |
0,85 |
0,86 |
0,86 |
0,86 |
0,85 |
|
Точная механика и оптика |
0,73 |
0,71 |
0,74 |
0,73 |
0,75 |
0,75 |
|
Музыкальные инструменты, игрушки |
0,61 |
0,60 |
0,61 |
0,62 |
0,62 |
0,63 |
|
Химическая промышленность |
0,86 |
0,85 |
0,84 |
0,84 |
0,84 |
0,84 |
|
Тонкая керамика |
0,75 |
0,76 |
0,75 |
0,75 |
0,76 |
0,76 |
|
Отделка древесины |
0,65 |
0,64 |
0,64 |
0,64 |
0,62 |
0,63 |
|
Переработка древесины |
0,63 |
0,62 |
0,62 |
0,62 |
0,63 |
0,63 |
|
Переработка бумаги и картона |
0,70 |
0,70 |
0,68 |
0,68 |
0,69 |
0,73 |
|
Производство печатной продукции и ксерокопий |
0,63 |
0,61 |
0,60 |
0,60 |
0,60 |
0,60 |
|
Производство кожи |
0,54 |
0,57 |
0,58 |
0,55 |
0,54 |
0,55 |
|
Переработка кожи |
0,66 |
0,66 |
0,68 |
0,68 |
0,68 |
0,67 |
|
Текстильная промышленность |
0,65 |
0,66 |
0,65 |
0,65 |
0,66 |
0,66 |
|
Швейная промышленность |
0,69 |
0,70 |
0,71 |
0,72 |
0,73 |
0,73 |
|
Пищевая промышленность |
0,75 |
0,76 |
0,75 |
0,75 |
0,77 |
0,77 |
|
Производство табачных изделий |
0,87 |
0,84 |
0,82 |
0,83 |
0,82 |
0,83 |
|
* Нет данных.
Источник: Statistisches Bundesamt. Fachserie 4. Reihe 4.2.3: Konzentrationsstatistische Daten fur den Bergbau und das verarbeitende Gewerbe. За соответствующие годы.
Табл. 7.3 и 7.4 должны дать представление о концентрации «отрасли» (горнодобывающей, перерабатывающей, строительной) и познакомить нас с двумя часто употребляемыми показателями концентрации. Помимо этого существует множе-
Врезка 7.2.
Концентрация предприятий в различных отраслях промышленности России
Таблица 7в
Концентрация предприятий по отраслям промышленности в Российской Федерации в 1996 г. (коэффициенты концентрации для обьема продукции)
|
Отрасль |
Объем
продук-'
ции
(млрд
руб.) |
Удельный вес (трех,
шести, восьми) крупных предприятий в общем объеме продукции отраслей |
Число предприятий в отрасли |
|
трех |
шести |
ВОСЬМИ |
|
Электроэнергетика |
191 221 |
15,4 |
24,1 |
29,0 |
изо |
|
Топливная промышленность |
220 747 |
14,2 |
24,2 |
30,5 |
1117 |
|
Нефтедобывающая промышленность |
103214 |
30,4 |
52,1 |
62,6 |
273 |
|
Нефтеперерабатывающая промышленность |
58 969 |
31,6 |
49,9 |
61,0 |
272 |
|
Черная металлургия |
104 835 |
31,0 |
48,9 |
56,6 |
1194 |
|
Цветная металлургия |
67714 |
35,4 |
45,8 |
51,2 |
1806 |
|
Химическая и нефтехимическая промышленность |
90 142 |
12,9 |
19,0 |
22,7 |
5803 |
|
Машиностроение и металлообработка |
240 880 |
16,6 |
20,0 |
21,7 |
57160 |
|
Лесная, деревообрабатывающая и целлюлоз- |
50 790 |
9,3 |
16,6 |
19,5 |
19735 |
|
но-бумажная промышленность |
|
|
|
|
|
|
Промышленность строительных материалов |
59 430 |
3,3 |
5,7 |
7,1 |
9216 |
|
Легкая промышленность |
25 954 |
5,9 |
8,4 |
9,9 |
22835 |
|
Пищевая промышленность |
157 779 |
5,4 |
7,7 |
9,0 |
18409 |
Источник: Российский статистический ежегодник. М., 1997. С. 333, 343, 345-347, 351,355, 357,361,363, 365,368.
Согласно имеющимся данным (которые в значительной мере скудны, так как в них не учитываются отрасли, по всей видимости, являющиеся высококонцентрированными — самолето- и ракетостроение и т. д. — см. соответствующие показатели по Германии в табл. 7в), в российской промышленности к сферам с наибольшей концентрацией предприятий относятся металлургические отрасли, а также отрасли по добыче и переработке нефти. Наименьший же уровень концентрации отмечается в промышленности строительных материалов, а также отраслях, выпускающих продукцию массового потребления, — легкой и пищевой промышленностях. В целом аналогичная картина наблюдается и в промышленности Германии. Однако при внешнем сходстве основополагающие причины концентрации промышленного производства в обеих странах различны, что следует из сравнительного анализа раздела 4.1 и врезки 7.3.
Концентрация предприятий в отраслях промышленности ФРГ в 1991 г. — коэффициенты концентрации для объема оборота
|
Таблица 7.4 |
|
Отрасль |
Общий оборот отрасли (DM млн ) |
Доля трех (шести, десяти)предприятий с самым большим оборотом в общем обороте своей отрасли |
Число предприятий в отрасли |
|
|
|
трех |
шести |
десяти |
|
Горнодобывающая промышленность |
29 128 |
* |
ф |
88 |
79 |
|
Нефтеперерабатывающая промышленность Производство и переработка радиоактивных |
107411 |
54 |
83 |
94 |
79 |
|
веществ |
* |
* |
Ф |
Ф |
2 |
|
Добыча и переработка камней и грунта |
39262 |
7 |
12 |
16 |
1584 |
|
Черная металлургия |
49 081 |
34 |
53 |
70 |
102 |
|
Цветная металлургия |
27 064 |
30 |
45 |
56 |
162 |
Литейное производство
Сталепрокатное производство, формовка стали, |
16 286 |
Ф |
27 |
35 |
442 |
механика
Производство стальных и легкометаллических |
* |
Ф |
Ф |
Ф |
1964 |
|
конструкций, производство средств железнодо- |
35 884 |
12 |
18 |
24 |
1522 |
рожного транспорта
Машиностроение
Производство средств автодорожного транспорта, |
216 994 |
5 |
8 |
11 |
5486 |
|
ремонт автомобилей и т. д. |
288 910 |
50 |
69 |
74 |
1849 |
|
Судостроение |
7 822 |
42 |
60 |
74 |
90 |
|
Самолето-и ракетостроение |
17 077 |
70 |
86 |
Ф |
53 |
|
Электротехника, ремонт бытовой техники |
225457 |
* |
35 |
40 |
3065 |
|
Точная механика и оптика, производство часов Производство товаров из железа, стального листа |
23 285 |
16 |
23 |
28 |
1147 |
|
и металла |
67 898 |
7 |
12 |
15 |
2229 |
Химическая промышленность
Производство ЭВМ и прочих видов оборудования |
198 619 |
29 |
38 |
44 |
1216 |
|
для офисов |
38 298 |
77 |
84 |
89 |
143 |
|
Тонкая керамика |
5 308 |
47 |
57 |
76 |
145 |
|
Производство и переработка стекла |
14 284 |
23 |
37 |
47 |
297 |
|
Отделка древесины |
9 585 |
Ф |
22 |
29 |
390 |
|
Переработка древесины |
42 664 |
Ф |
7 |
10 |
2152 |
|
Целлюлозно-бумажная промышленность |
20 224 |
Ф |
43 |
54 |
124 |
|
Производство печатной продукции и ксерокопий |
31 505 |
7 |
12 |
15 |
2067 |
|
Производство товаров из пластмассы |
60 585 |
6 |
9 |
13 |
2206 |
|
Переработка резины |
20623 |
36 |
49 |
61 |
222 |
|
Производство кожи |
1 247 |
30 |
46 |
62 |
42 |
|
Переработка кожи |
6 979 |
* |
27 |
34 |
374 |
|
Текстильная промышленность |
40 652 |
6 |
10 |
14 |
1153 |
|
Швейная промышленность |
27 874 |
8 |
12 |
15 |
1621 |
|
Пищевая промышленность |
194 941 |
Ф |
8 |
12 |
3759 |
|
Производство табачных изделий |
27 742 |
71 |
84 |
98 |
30 |
|
Наземное и подземное строительство |
110 672 |
7 |
11 |
14 |
8336 |
|
Специальное строительство |
6 134 |
* |
35 |
41 |
428 |
|
Строительно-монтажные работы |
24 852 |
Ф |
8 |
10 |
3878 |
|
* Из-за действующего в официальной статистике правила конфиденциальности сведения не опубликованы, т. е. данных нет. Приведенные данные округлены и касаются только старых федеральных земель, так как учет быстрой структурной перестройки в Восточной Германии привел бы к искажению картины.
Источник: Monopolkommission, 10. Hauptgutachten 1992/93. Baden-Baden, 1994. Anla-geband S. 3 ff. |
ство других методов анализа. Монопольная комиссия Германии исследует концентрацию по следующим критериям:
¦ концентрация в отдельных отраслях (горнодобывающая.....пищевая,...);
¦ концентрация по видам благ (бурый уголь.....сахар,...);
¦ концентрация среди 100 самых крупных предприятий в разных секторах (промышленность, торговля, банковский сектор,...);
¦ концентрация в области средств массовой информации (пресса, радио, новые средства массовой информации), а также
¦ концентрация выборочных отраслей (например, в 1992-1993 гг. в энергетике и на рынке труда).
При этом используются и другие показатели концентрации, которые, однако, базируются на используемом здесь коэффициенте Джини и коэффициенте концентрации.
В целом мы еще раз должны указать на то, что предложенные методы анализа не позволяют сделать конкретных выводов о ситуации с конкуренцией: с одной стороны, потому что юридические единицы не всегда совпадают с экономическими единицами и, с другой — потому что отрасли и группы благ не обязательно определяют надлежащий рынок (который можно рассматривать как сферу эффективно действующей конкуренции) (см. гл. 8, раздел 4).
4. Причины и следствия концентрации
Причины и следствия концентрации едва ли можно отделить друг от друга, так как ожидаемые следствия часто являются причинами концентрации. Попытаемся, однако, разделить их хотя бы теоретически.
4.1. Причины концентрации
|
Причины концентрации предприятий |
|
Преимущества финансирования крупных фирм |
Преимущества больших размеров (экономия от масштаба; эффект обучения) |
Преимущества диверсификации (экономия от разнообразия) |
Государственные рамочные условия (система налогообложения; патентное право;
политика окружающей среды; политика исследований и разработок и т. д.) |
|
|
Источник: Berg Н. Wettbewerbspolitik //Vahlens {Compendium der Wirtschaftstheorie und Wirtschaftspolitik. Miinchen, 1992. S. 271. |
Ниже рассматриваются основные причины концентрации. Как правило, рост размеров предприятий, как элемент концентрации, во многом связан с ее экономическими преимуществами.
Преимущества больших размеров (экономия от масштаба)
Экономия от масштаба (economies of scale) возникает в случаях, когда при увеличении размеров предприятия производственные издержки растут медленнее, чем объем выпуска. Следовательно, с ростом величины предприятия издержки на единицу продукции снижаются. Причины данного явления разнообразны. При лучшем использовании неделимых производственных мощностей снижается потребность в запчастях. Так называемое «правило 2/3» гласит, что расходы на материалы для цилиндрических производственных объектов (например, доменной печи, трубопроводов, а также судов и т. д.) растут во второй, а объем выпуска — в третьей степени. Важную роль играет и эффект обучения. Если предприятие длительное время производит некую продукцию, повышается мастерство рабочих, повышается уровень организации труда, происходит оптимальная «подгонка» инструментов. Так, для предприятий самолетостроения характерна 80% кривая обучения, т. е. при каждом удвоении выпуска затраты снижаются на 20%. Таким образом, относительно мелкое предприятие, которое производит лишь несколько воздушных судов в год, пользуется выгодами эффекта обучения в значительно меньшем объеме, чем крупная компания.
Преимущества диверсификации (экономия от разнообразия)
(economies of scope)
Преимущества диверсификации, называемые также преимуществами сопряжения, экономией от разнообразия (economies of scope) имеют место, если производство одним предприятием нескольких продуктов приводит к более низким общим издержкам по сравнению с производством отдельных продуктов разными предприятиями. Так, издательский дом (например, немецкий «Bertelsmann»), который выпускает как книги, журналы и газеты, так и фильмы и программы для телевидения, имеет некоторые преимущества по сравнению с фирмами, специализирующимися, к примеру, исключительно в книгопечатании. Преимущества возникают, в частности, потому, что определенные производственные факторы неделимы, и при производстве продуктов по отдельности они задействованы не полностью (например, управленческий фактор). При диверсификации отдельные производственные факторы вообще используются в производстве нескольких видов продукции — например, авторские права на книги и фильмы. Кроме того, существуют блага, спрос на которые предъявляет один и тот же покупатель: например, книжные магазины продают книги и газеты, что позволяет использовать производственные мощности лучше, чем если бы они продавали только книги или только газеты.
Рассмотренные нами и сходные эффекты обусловливают преимущество увеличения масштабов предприятий. Как правило, для каждой отрасли существует минимально оптимальный размер предприятий (МОРП), т. е. производственные мощности, при которых достигается минимум издержек на единицу продукции. С другой стороны, некоторые эффекты сводят на нет преимущества от масштаба, в частности, транспортные издержки и потери эффективности в связи с ростом бюрократизации. Схематично эти взаимосвязи изображены на рис. 7.2: сначала с ростом производственных мощностей издержки на единицу продукции снижаются, потом на некоторое время стабилизируются, чтобы впоследствии вновь возрасти.
Крупные фирмы обладают преимуществами в финансировании, поскольку, как правило, им гораздо проще получить кредиты на более выгодных условиях, чем мелким компаниям. Причина этого кроется в том, что, с точки зрения банков, риск невозврата кредита крупным предприятием меньше.
Мероприятия государственного регулирования нередко также дают преимущества более крупным фирмам.
Издержки на единицу продукции
 |
|
Рис. 7.2. Минимально оптимальный размер предприятий (МОРП) |
Врезка'7.3.
Причины ‘ концентрации производства в Росами ,
Причины концентрации производства в России коренным образом отличаются от движущих сил аналогичных процессов в промышленно развитых странах, в частности в ФРГ. В западных странах концентрацию, как правило, обусловливают рассмотренные нами выше различные конкурентные преимущества (экономия от масштаба, от разнообразия, преимущества в финансировании и т. д.). В России концентрация представляет собой продукт длительного функционирования планового хозяйства. В плановой экономике монополии создаются административным путем, что сопровождается громадной концентрацией экономической власти на всех уровня* управления. Последнее осуществляется на основе не экономических, а технологических и организационных принципов. Основным принципом управления является положение: «народное хозяйство — единая фабрика». В соответствии с ним и была организована экономика СССР, когда большинство видов продукции выпускалось на одном или нескольких крупных предприятиях. Иными словами, экономику СССР (а вслед за ней и российскую экономику как ее «наследницу» и «правопреемницу») отличает узкая товарная специализация предприятий. Проведенные в 1989 г. ЦЭМИ АН СССР исследования показали, что 87% из 5885 наименований продукции отечественного машиностроения и 288 из 375 ассортиментных позиций в сфере производства химических волокон и нитей выпускались на одном предприятии.
Таким образом, можно говорить о том, что концентрация производства в России связана не с экономическими, а с организационными причинами, т. е. обусловлена спецификой ведения хозяйства в условиях централизованно управляемого планового хозяйства бывшего СССР.
В процессе рыночных реформ эта ситуация во многом изменилась, но почти исключительно за счет либерализации внешней торговли, т. е. конкуренции со стороны импорта. «Внутри» российской экономики кардинальных перемен в данной сфере пока не произошло.
«Испытывающие трудности крупные предприятия поддерживаются дотациями, что ухудшает конкурентные позиции их более мелких конкурентов; политика в области исследований и разработок часто является протекционистской по отношению к крупным предприятиям отрасли. Предоставление средств иногда обусловливается созданием более крупной фирмы через объединение уже существующих предприятий. Обязательства в области охраны окружающей среды могут вызвать расходы, посильные только крупным предприятиям. Система налогообложения и патентное право отнюдь не всегда нейтральны по отношению к концентрации. Наконец, предполагается, что протекционизм ведет к более высокой, чем при свободной торговле, степени концентрации, так как ограничения импорта закрывают доступ на рынок эффективным иностранным поставщикам, оставляя его на длительное время во власти неэффективных отечественных производителей» (Berg Н. Wettbewerbspolitik / / Vahlens {Compendium der Wirtschaftstheorie und Wirtschaftspolitik. Miinchen, 1992. S. 272).
4.2. Последствия концентрации
Центральное место в рассматриваемой нами проблеме принадлежит воздействию концентрации на конкуренцию. К сожалению, однозначного ответа на этот вопрос не существует.
¦ Условия конкуренции могут улучшиться, если, например, на рынке действуют один крупный и 17 мелких продавцов, а затем эти 17 поставщиков объединяются в три крупные фирмы, которые выступают как конкуренты, равные первому («догоняющее слияние»),
¦ Условия конкуренции могут в целом оставаться неизменными.
¦ Условия конкуренции могут ухудшиться, если предприятия, объединившись, присвоят себе дополнительную власть, обеспечивающую им постоянное преимущество в конкуренции, и, таким образом, затруднят доступ на рынок новым продавцам (слияние «Daimler-MBB»).
Только тогда, когда условия конкуренции ухудшаются, концентрация оказывает часто приписываемое ей отрицательное влияние: возрастают цены, инновационная активность понижается, гибкость приспособления к изменениям рыночных условий уменьшается, и увеличиваются возможности использовать доминирующее положение на рынке для ограничения деятельности других конкурентов (см. гл. 8).
Конфликт между конкуренцией и производственной эффективностью сам по себе возникает всегда, когда емкость рынка делает число предприятий с минимально оптимальными издержками меньшим, чем это необходимо для «хорошей» конкуренции. Если в этих случаях расширение рынка невозможно — допустим, через создание таможенного союза или единого рынка (см., например, гл. 23 и 24 об интеграции ЕС) — остается лишь делать выбор между экономической эффективностью и ограничивающей рыночную власть конкуренцией. В этом случае в области политики конкуренции могут приниматься самые разные решения.
Для принятия решения в столь конфликтной ситуации непременно необходимо учитывать, что связанная с концентрацией экономическая власть может быть трансформи-
|
рована крупными компаниями в своих частных интересах в политическое влияние с целью воздействия на принятие решений, например, в сфере налогообложения или транспортной политики (при строительстве, допустим, автомагистралей или аэропортов...), или при «выбивании» дотаций в свою пользу. Следовательно, на часто задаваемый вопрос: «Имеет ли значение концентрация?» — нельзя ответить просто и однозначно. Все зависит от конкретных обстоятельств, как, впрочем, всегда, когда речь |
|
идет о политике конкуренции. |
|
|
|
Список основных терминов |
|
¦ Абсолютная концентрация |
¦ |
Диагональная концентрация |
|
¦ Коэффициент концентрации |
¦ |
Кредитное переплетение |
|
¦ Слияние |
¦ |
Личная уния |
|
¦ Концерн |
¦ |
Коэффициент Джини |
|
¦ Совместное предприятие |
¦ |
Относительная концентрация |
|
¦ Картель |
¦ |
Экономия от масштаба |
|
¦ Кооперация |
¦ |
Экономия от разнообразия |
|
¦ Стратегические альянсы |
¦ |
Минимально оптимальный размер |
|
¦ Стратегическая группа |
|
предприятия |
|
¦ Стратегическая семья |
¦ |
Преимущества в финансировании |
|
¦ Горизонтальная концентрация |
¦ |
Догоняющее слияние |
|
|
гппРі |
|
4) Предположим, что некая экономика характеризуется следующим распределением выручки среди отдельных, упорядоченных по объему, продаж предприятий:
10% (самых мелких предприятий) сосредоточивают у себя 1% выручки;
30% (самых мелких предприятий) сосредоточивают у себя 5% выручки;
50% (самых мелких предприятий) сосредоточивают у себя 10% выручки; 70% (самых мелких предприятий) сосредоточивают у себя 20% выручки; 90% (самых мелких предприятий) сосредоточивают у себя 35% выручки; 95% (самых мелких предприятий) сосредоточивают у себя 40% выручки. Начертите кривую Лоренца, характеризующую концентрацию предприятий в этой области.
Покажите на чертеже, как определяется коэффициент Джини.
5) а) Какую форму имеет кривая Лоренца, если на 5 предприятий приходится по 20% общей выручки отрасли?
б) Как изменится кривая Лоренца, если на рынке появится новое мелкое предприятие с долей в общем обороте, равной 5% (исходите из того, что доля каждой группы старых предприятий в выручке снизится на один процентный пункт)?
в) Обсудите, базируясь на пунктах а) и б) этого упражнения, проблемы, связанные с употреблением коэффициента Джини как показателя концентрации.
6) Объясните понятие экономии от масштаба. Какие формы концентрации (горизонтальные, вертикальные, диагональные) связаны с ней?
7) Объясните понятие экономии от разнообразия. Можно ли использовать его для объяснения слияний?
8) От чего зависит количество продавцов на рынке (предполагается, что кривая спроса рынка задана)?
9) Опишите возникающий при концентрации конфликт между.конкуренцией и производственной эффективностью.
10) Назовите основные сферы, в которых государственная экономическая политика может способствовать концентрации.
 |
¦ Переводным учебником высокого уровня по теории рынков является:
Тироль Ж. Рынки и рыночная власть: Теория организации промышленности. СПб., 1996.
¦ Назовем один из первых отечественных учебников по теории рынков:
Авдашева С.Б., Розанова Н. М. Теория организации отраслевых рынков. М., 1998. |
¦ Методы оценки концентрации рынка, а также анализ концентрации предприятий в некоторых отраслях экономики России содержится в публикации:
Теория организации промышленности //Экономическая школа. СПб., 1998. Вып. 4.
¦ Полезным для ознакомления с историей проблемы монополии является исторический очерк «Монопольная власть в ретроспективе», представленный в учебнике:
Гальперин В. М., Игнатьев С. М., Моргунов В. И. Микроэкономика. СПб., 1997. Т.2.
шшш

В чем состоит значение конкуренции для функционирования рыночной экономики?
¦ Что такое конкуренция?
¦ Каким образом конкуренция управляет производственными факторами экономики и обеспечивает их экономное использование?
¦ Как формируется инновационная функция конкуренции?
¦ Как конкуренция предотвращает возникновение стойкой экономической власти?
Какими характеристиками должны обладать современные рынки для того,
чтобы конкуренция выполняла свои функции?
¦ Является ли полная конкуренция разумным образцом для политики в области конкуренции?
¦ Что понимается под функционирующей конкуренцией?
¦ Обеспечена ли функционирующая конкуренция в олигополии? Какую роль играет свободный доступ к рынку?
Как законодательная власть защищает экономику от ограничений конкуренции?
¦ Что такое картели и как они оцениваются в антимонопольном законодательстве?
¦ Какие меры зашиты конкуренции предусмотрены при объединениях предприятий?
¦ Когда предприятия имеют доминирующее положение на рынке и когда они злоупотребляют своей властью?
¦ Что понимается под «согласованными действиями» или «поведением», ограничивающим конкуренцию, и как они оцениваются в связи с политикой в области конкуренции?
¦ Какие области экономики не защищены антимонопольным законодательством и как следует оценивать такую незащищенность?
¦ Какие «штрафы» за ограничение конкуренции предусматривает законодательство?
В предыдущих главах несколько раз указывалось на значение конкуренции для рыночной экономики. В данной главе мы более конкретно исследуем сущность и задачи конкуренции и покажем, в какой форме организована ее защита в Германии и России. Таким образом, мы переходим в область экономической политики.
1. Понятие конкуренции
Конкуренция является динамичным процессом выбора, при котором конкуренты (например, предприятия) преследуют одинаковые цели, а представители «второй стороны» (например, покупатели) принимают решения о том, кто из «первых» и в каком объеме достигнет их. Таким образом, между конкурентами возникают соперничество и отношения взаимозависимости (так называемая параметрическая взаимозависимость).
I Следовательно, под конкуренцией (с экономической точки зрения) понимается соотношение взаимозависимости и соперничества между субъектами рынка.
2. Задачи конкуренции
Свобода конкуренции как индивидуальное право свободы полезна ее субъектам, но прежде всего конкуренция должна порождать выгодные для народного хозяйства результаты.
Конкуренция призвана предоставлять участникам рынка фундаментальные экономические права и свободы:
¦ свободу предпринимательской деятельности;
¦ свободу выбора потребления;
¦ свободу выбора рабочего места.
Помимо этого, конкуренция должна обеспечивать оптимальную аллокацию (размещение) ресурсов:
¦ в соответствии с взаимодействием спроса и издержек определять размещение производственных факторов (аллокационная функция);
¦ мотивировать предприятия к обновлению продуктов и производственных методов (инновационная функция);
¦ обеспечивать распределение доходов в соответствии с результативностью (распределительная функция),
¦ и наконец, предотвращать возникновение стойкой экономической (рыночной) власти (контрольная функция).
Эти функции можно объяснить следующим образом.
(1) Конкуренция должна направлять редкие факторы производства в те области использования, которые необходимы потребителям, и обеспечивать их наиболее экономное использование на отдельных предприятиях («аллокационная функция» конкуренции).
(2) Конкуренция должна приводить к внедрению новых производственных методов, позволяющих добиться снижения издержек, к разработке и внедрению новых, более качественных продуктов (технологические и продуктовые инновации). Мотивация к технологическим инновациям поддерживается тем, что преимущества в издержках позволяют предприятиям получать большую в сравнении с менее прогрессивными конкурентами прибыль, мотивацию же к продуктовым инновациям — более высокие цены на новые товары и хорошие перспективы сбыта на новых рынках. Однако в условиях конкуренции инновационные прибыли «предпринимателей-пионеров* (Й. Шумпетер) носят краткосрочный характер. В среднесрочном плане появление заимствующих перспективные идеи или осуществляющих собственные разработки конкурентов сводит на нет «прибыли пионеров». Давление конкурентов и растущее предложение приводят к тому, что временное преимущество низких издержек передается в форме снижающихся цен потребителям. Последовательность инноваций и имитаций предопределяет развитие «процесса созидательного разрушения» (Й. Шумпетер).
(3) Поскольку в условиях рыночной конкуренции прибыль получают только учитывающие потребительский спрос и стремящиеся к минимизации издержек предприятия, распределение доходов осуществляется в соответствии с достигнутой ими результативностью. Другой вопрос — насколько справедливым является такое распределение (см. гл. 26).
(4) Предприятия обладают экономической властью в тех случаях, когда они имеют возможность установить существенно превышающую издержки (включая расходы на исследования и разработки и нормальный процент на капитал) цену на свои товары, т. е. получать прибыль, превышающую среднеотраслевые показатели. С одной стороны, конкуренция обеспечивает данную возможность в форме упомянутых нами «пионерных прибылей», с другой — она же способствует неустойчивости экономической власти.
Противодействие долгосрочной экономической власти имеет большое значение в общественном аспекте, ибо конкуренция затрудняет ее преобразование в политическую власть. .
3. Условия функционирования конкуренции
Анализ сущности и задач конкуренции подводит нас к вопросу: какими свойствами должны обладать рынки, чтобы реальная конкуренция оказывала описанные выше позитивные воздействия? Долгое время (и для сторонников социально-рыночной экономики) идеалом конкурентной политики была полная конкуренция: ситуация, когда очень многого продавцов предлагают большому числу покупателей однородное благо при (максимально возможной) полной информированности участников этого рынка. Следовательно, 800 продавцов однородного блага лучше для конкуренции, чем 100; 100 лучше, чем 70, и т. д.; полнота информации лучше, чем ее неполнота.
Однако со временем подобные воззрения все более отдалялись (ввиду развития рынков с олигополистическими структурами) от действительности; особенно существенно изменились представления о предпосылках эффективности конкуренции. Поясним данный тезис на примере инновационной функции конкуренции.
¦ Экономика, характеризующаяся динамичными инновационными процессами (инновации — условие роста, и то и другое обусловливает изменения структуры экономики), не может быть представлена через атомистические рынки, так как создание новых продуктов требует создания новых рынков, на которых хотя бы временно действуют один или несколько продавцов.
¦ Даже в том случае, когда крупные предприятия не имеют каких-либо значимых преимуществ в эффективности производства перед небольшими фирмами, очевидно, что они имеют возможность использовать результаты экономии от масштаба и разнообразия.
Учитывая инновационную функцию конкуренции и производственную эффективность, модель полной конкуренции не может рассматриваться как идеал конкурентной политики. Соответственно во многих странах Западной Европы, в том числе в ФРГ, с середины 1960-х гг. все большее признание получает идея так называемой действенной (функционирующей) конкуренции, в рамках которой акцент делается не столько на форму рынка, сколько на его эффективность.
«Существенным для этой концепции является представление о конкуренции как о динамичном процессе, в котором инициативные предприятия реализуют нововведения (снижают цены, улучшают качество продуктов, создают новые товары или внедряют новые производственные методы), которые достаточно быстро подхватываются имитаторами. Последние успевают воспользоваться инновационны-
Іми преимуществами, а все потребители получают выгоды от владения более дешевыми и лучшими продуктами» (Kommission fur wirtschaftlichen und sozialen Wandel, Wirtschaftlicher und sozialer Wandel in der Bundesrepublik Deutschland, 1976, S. 722). Очевидно, что увеличение или уменьшение числа конкурентов нельзя интерпретировать как повышение или снижение степени конкуренции. Допустим, на рынке объединяются два предприятия. Получаемое ими преимущество позволяет им более успешно соперничать с остальными поставщиками; следовательно, степень конкуренции на рынке возрастает. С другой стороны, повышение степени информированности далеко не всегда оказывает положительное воздействие на конкуренцию. Нередко условием снижения цен одним из поставщиков является неполная информированность его конкурентов (обладание данными о готовящемся решении позволило бы конкурентам своевременно предпринять ответные шаги) (см. гл. 6, раздел 3.3).
С концепцией действенной конкуренции в принципе совместимы и олигополистические рынки. Во многих западноевропейских странах они характеризуются высокой степенью конкуренции. Однако такая совместимость возможна лишь до тех пор, пока между участниками рынка сохраняются отношения соперничества. Соответствует ли данное утверждение реальному положению дел? Данный вопрос остается спорным. Но обычно считают, что рынки с высокой степенью концентрации, находящиеся в фазе насыщенности («узкие» и «зрелые» олигополии), доступ на которые в значительной мере затруднен, ограничивают конкуренцию. Как правило, на таких рынках вследствие взаимозависимости объемов продаж их участников, формируется групповая солидарность компаний, что приводит к снижению остроты конкуренции.
Многие экономисты считают, что благоприятные условия развития экономического соперничества возникают на рынках с так называемой оптимальной интенсивностью конкуренции. Оптимальная интенсивность конкуренции, по Кантцен-баху (Kantzenbach), достигается при:
¦ большом количестве предприятий-олигополистов, т. е. когда на рынках не возникает ограничивающей соперничество сильной взаимной зависимости продавцов; в то же время формирующиеся между ними отношения предполагают, что субъекты рынка так или иначе обязательно реагируют на предпринимаемые конкурентами действия;
¦ умеренной степени дифференциации продуктов.
Многие исследователи оценивают концепцию оптимальной интенсивности как, по всей видимости, слишком строгую (функционирующая конкуренция в конце концов не связана с существованием определенных структурных признаков), она может служить основой для приблизительной ориентации.
В последнее время на первый план снова (как у классиков) выходит проблема свободного доступа к рынку, соответственно больше учитываются и возможности потенциальной (латентной) конкуренции. Имеется в виду убеждение, что действенная конкуренция может существовать в течение длительного времени только при условии сохранения доступа к рынку для других продавцов (или условием функционирования конкуренции является возможность доступа к рынку). Внимание к проблеме доступа к рынку представляется нам обоснованным, но связанная с ним исключительность иногда чрезмерно строга.
Конкуренция (в каких бы то ни было проявлениях) остается центральным звеном системы рыночной экономики и нуждается в особой защите государства. Вместе с тем задача поддержания экономического соперничества представляется весьма сложной, так как участники рынков имеют множество побудительных причин к ограничению конкуренции.
Поскольку полем действия конкуренции является рынок, прежде чем мы перейдем к описанию системы защиты экономического соперничества и взаимозависимости, необходимо рассмотреть концепцию так называемого «релевантного рынка».
4. Выявление границ рынка («релевантный рынок»)
Конкуренция и политика конкуренции относятся к рынкам. Количество продавцов на рынке, уровень концентрации, проявления экономической власти — все эти аспекты конкуренции можно исследовать только применительно к конкретному рынку. Выявление границ так называемого «релевантного рынка» теоретически и практически весьма затруднено.
В общем «релевантный рынок» — это сфера действенной конкуренции, определяемая всеми взаимозаменяемыми, с точки зрения покупателя, в краткосрочном периоде продуктами.
Такие возможности взаимозамещения измеряются эластичностью замещения, и прежде всего — перекрестной ценовой эластичностью (см. гл. 4). Ведь высокое положительное значение перекрестной ценовой эластичности означает, что изменение цены блага 1, например на 10%, приводит к значительному изменению спроса на благо 2. Высокая перекрестная ценовая эластичность в данном случае воспринимается как обоснование того, что блага взаимозаменяемы, что между ними существует конкуренция, что таким образом они образуют «релевантный рынок*. В этом смысле произведенные на российских заводах автомобили действительно принадлежат одному и тому же «релевантному рынку», но вряд ли к нему же относятся иномарки «новых русских».
Так как точные расчеты подобной перекрестной ценовой эластичности на реальных рынках вряд ли возможны, здесь часто опираются на опросы и «здравый смысл». Так, Федеральное картельное учреждение — призванный осуществлять надзор над конкуренцией государственный орган ФРГ — использует концепцию «функциональной заменяемости с точки зрения разумного потребителя (покупателя)». При этом в первую очередь имеется в виду функциональная заменяемость на основе сравнительного анализа свойств и цели использования продукта. Таким образом, можно с уверенностью предположить, что нефть и природный газ на рынках горючих материалов функционально заменяют друг друга.
5. Антимонопольное законодательство Федеративной Республики Германии
Закон против ограничения конкуренции (ЗОК) вступил в силу 1 января 1958 г., его краткое название — «Картельный закон». В его основе, с одной стороны — неолиберализм как идеология политики экономического порядка, с другой — антитрестовское законодательство США. В своей первоначальной форме ЗОК, называемый также «Конституцией экономического порядка», выполнял свои функции лишь частично. Вносимые в него поправки (1965, 1973, 1976, 1980 и 1989 гг.) были направлены на ужесточение правил регулирования отношений конкуренции. Центральными областями ЗОКа являются:
¦ запрет картелей (§ 1, § 25,1);
¦ надзор за злоупотреблениями (прежде всего § 22);
¦ контроль над слияниями (§ 23,24).
Наряду с этим существуют менее важные правила, касающиеся вертикального ограничения конкуренции (§ 15, 16, 18, 20 и 21), многочисленных исключений (§ 99-103 ЗОК) и процессуальных вопросов.
5.1. Основной принцип запрета картелей
Картели как форма ограничения конкуренции были известны уже в Древнем Риме («картель», слово, имеющее латинское происхождение, означает «союз защиты»). По действующим законам в ФРГ под картелем понимается:
договор между юридически, а часто и экономически независимыми предприятиями одной и той же отрасли (т. е. одного и того же рынка), заключенный с целью ограничения конкуренции между сторонами этого договора.
Так как партнеры по договору являются субъектами (поставщиками) одного и того же рынка, картель представляет собой горизонтальное ограничение конкуренции. По признаку ограничения конкуренции выделяют различные виды картелей:
¦ ценовой картель (договоренность о продаже товаров не ниже определенной цены);
¦ картель региональной защиты (региональный раздел рынков между участниками картеля);
¦ картель квотирования (участники вводят ограничения на объемы продаж).
Картельные договоры часто включают предписания по обеспечению целей участников и вводят конвенциональные штрафы (т. е. договорные неустойки). Такие конвенциональные штрафы необходимы особенно тогда, когда число участников картеля относительно велико, а значит, распознать нарушения соглашения весьма непросто. При нескольких же участниках в таких штрафах нет необходимости, так как выполнение картельного договора в силу параллельного поведения конкурентов (см. ниже определение этого термина) в большинстве случаев служит, прежде всего интересам заключивших данный договор субъектов.
В соответствии с ЗОКом картели запрещены в принципе. § 1 ЗОКа сформулирован следующим образом:
(«Договоры, которые заключаются предприятиями... для достижения совместных целей..., являются недействительными, если они позволяют влиять на ...условия рынка... через ограничение конкуренции».
Впрочем, § 1 определяет лишь недействительность договора о картелях; но так как в дальнейшем закон устанавливает денежные штрафы за заключение подобных договоров (и другие ограничения конкуренции), мы имеем все основания говорить о прямом запрете.
В начале XX в. Германия являлась классической страной картелей с известными синдикатами угля, калия и стали. Первым серьезным антимонопольным мероприятием стали законы о декартелизации, введенные после Второй мировой войны, хотя их успех оказался весьма ограниченным.
Долгое время было неясно, распространяется ли запрет на образование картелей (§ 1 ЗОКа) также на согласованное поведение (действия). Согласованное поведение имеет место в тех случаях, когда предприятия отрасли намеренно ставят свое поведение в зависимость от действий других производителей, устраняя таким образом неопределенность и риски конкуренции.
В противоположность обосновывающему договорную и юридическую «привязку» предприятий картелю в случае согласованного поведения мы имеем дело с экономической привязкой, которую весьма трудно описать и еще сложнее идентифицировать. Для устранения этого пробела в 1973 г. в ч. 1 § 25 ЗОКа был установлен запрет на согласованное друг с другом поведение предприятий или союзов предприятий (в соответствии с законом его определение как договорного обязательства неправомерно). Данное положение относится также к запрету вертикальных ограничений конкуренции (§ 15, 20 и 21), но его главная область применения однозначно находится в сфере запрета картелей.
Доказать неформальное согласование поведения чрезвычайно трудно; простого «параллельного поведения» — как индикатора согласованного друг с другом поведения — недостаточно. О параллельном поведении говорят тогда, когда конкуренты варьируют некоторые параметры выпуска, и прежде всего цены, в одном и том же направлении. Такое параллельное поведение может быть как результатом неформального соглашения, так и следствием сильной взаимозависимости участников рынка (см. гл. 6). Поэтому извне определить, являются ли, например, частые и происходящие в Германии, как правило, в одном и том же направлении изменения цены на бензин просто параллельным поведением (что не запрещено) или же они представляют собой результат поведения, согласованного друг с другом, просто невозможно.
Классическим примером согласованного друг с другом поведения европейских предприятий является прецедент изменения цен на смоляную краску. В свое время он вызвал бурные дискуссии и послужил поводом для внесения в ЗОК соответствующих дополнений. В 1964, 1965 и 1967 гг. европейские производители красок осуществили повышения цен, затронувшие весьма обширный ассортимент выпускаемой ими продукции. Первое повышение цен в 1964 г. на обособленных до сегодняшнего дня национальных рынках было провозглашено их ценовыми лидерами (Preisfiihrer), за которыми мгновенно последовали остальные предприятия отраслей. Напротив, при повышении цен в 1965 и 1967 гг. ценовые лидеры заблаговременно объявили о намерениях повысить цены, оставив другим предприятиям время для отслеживания реакции конкурентов и приспособления к происходящему.
Так, на встрече в Базеле 18 августа 1967 г. представители швейцарской компании «Гейги» объявили, что с 16 октября 1967 г. цены на продукцию будут повышены на 8%. Вслед за этим представители большинства компаний отрасли подтвердили необходимость повышения цен. И действительно, после этого все компании отрасли осуществили в отношении весьма широкого ассортимента выпускаемой ими продукции именно 16 октября 1967 г. повышение цен на 8% (Emmerich V. Falle zum Wahlfach Wettbewerbsrecht. 2. Aufl. Munchen. 1981. S. 61).
В данном случае мы имеем дело не с картелем, но (что представляет собой редкое исключение) вполне ясным и легко доказуемым согласованным поведением производителей.
Врезка В Л.
Антимонопольное законодательство в России
Российское антимонопольное законодательство довольно молодо. Закон «О конкуренции и ограничении монополистической деятельности на товарных рынках* (далее мы будем называть его для краткости АМЗ — антимонопольный закон) вступил в действие 22 марта 1991 г.(в 1995 г. вАМЗбыл внесен ряд поправок). К центральным положениям закона относятся:
¦ запрет на монополистическую деятельность (раздел И),
¦ недопущение недобросовестной конкуренции (раздел III),
¦ предупреждение и устранение доминирующего положения (раздел V).
В российском антимонопольном праве монополистическая деятельность определяется следующим образом: «Монополистическая деятельность — это ...действия (бездействие) хозяйствующего субъекта или органов власти и управления, направленные на недопущение, ограничение или устранение конкуренции и/или причиняющие ущерб потребителям» (ст.4).
В соответствии с АМЗ монополистическая деятельность запрещена. 4.1 ст.6 АМЗ гласит: «Запрещаются и... признаются недействительными полностью или частично... соглашения (согласованные действия) конкурирующих хозяйствующих субъектов (потенциальных конкурентов), занимающих в совокупности доминирующее положение, если такие соглашения... имеют либо могут иметь своим результатом существенное ограничение конкуренции...».
Следует также отметить, что негосударственные монополии в России начали появляться еще в конце XIX в., прежде всего в тяжелой промышленности (в сталелитейной, нефтяной и угольной). В советское время тенденция к монополизации экономики поощрялась и насаждалась государством. Лишь со сменой политикоэкономического строя в начале 1990-х гг. был поставлен вопрос о демонополизации экономики.
5.2. Исключения из запрета картелей
Запрет картелей в ЗОКе смягчен множеством перечисленных в нем исключений, применяемых:
¦ к определенным видам картелей (картели стандартизации, условий заключения сделок, ценовых скидок, рационализации, экспорта, импорта, структурных кризисов), которые (по их значению для конкуренции) разрешены непосредственно или с ведома Федерального картельного ведомства;
¦ к картелям, существование которых в исключительном порядке может допустить федеральный министр экономики (если ограничения конкуренции необходимы в интересах национальной экономики и благосостояния общества);
¦ к определенным отраслям, которые исключены из сферы действия запрета картелей (см. раздел 5.6 данной главы).
Многочисленные исключения из запрета картелей послужили поводом к упрекам в недостаточной последовательности законодателей в защите конкуренции. Например, в одном из учебников по законодательству о конкуренции написано:
«Все запреты картелей сопровождаются множеством исключений. И в немецком законе существует (частично даже вне ЗОКа) так много отступлений от сформулированного в § 1 запрета, что сегодня исключением является, скорее, запрет картелей, а их допустимость, напротив, — почти правило. Запрещенными в основном являются лишь ценовые картели и лишь при участии крупных предприятий. Но и в этих случаях преследуемая ими цель может быть достигнута (почти) на полностью легальной основе, например через комбинации картелей ценовых скидок и условий заключения сделок по § 2 и 3» (.Emmerich V). Kartellrecht, 6. Aufl. 1991. S. 73f.).
Врезка 8.2.
Российское антимонопольное . законодательство:
'допустимость ’ ограничения ’;
-
s конкуренции ,
И в российском антимонопольном праве существуют исключения из общего запрета на ограничения конкуренции. Ст.2 АМЗ устанавливает: «Закон не распространяется на отношения, регулируемые нормами правовой охраны изобретений, промышленных образцов, товарных знаков и авторских прав, за исключением тех случаев, когда соответствующие права умышленно используются их обладателями в целях ограничения конкуренции». А ч. 3 ст. 6 АМЗ гласит: «В исключительных случаях соглашения (согласованные действия) хозяйствующих субъектов... могут быть признаны правомерными, если хозяйствующие субъекты докажут, что их соглашения (согласованные действия) способствовали или будут способствовать насыщению товарных рынков, улучшению потребительских свойств товаров и повышению их конкурентоспособности, в частности на внешнем рынке».
5.3. Надзор за злоупотреблениями предприятий с доминирующим положением на рынке
Ограничения конкуренции могут быть вызваны и тем, что предприятие или группа компаний занимают доминирующее положение на рынке. Очевидно, что причины такого положения (объединение, внутренний рост, уход конкурентов с рынка) не имеют значения. ЗОК допускает существование таких предприятий, но запрещает злоупотребление использованием их рыночной силы (рыночной власти). Необходимыми и достаточными условиями для вмешательства Федерального картельного ведомства являются следующие фактические признаки:
¦ доминирующее положение и
¦ злоупотребление рыночной силой!
Доминирующее положение определяется в § 22 ЗОКа:
(1) «Предприятие занимает доминирующее положение на рынке, если оно, как продавец или покупатель определенного вида товаров или услуг:
1. не имеет конкурентов или не сталкивается с существенной конкуренцией (случай монополии)или
2. занимает в сравнении со своими конкурентами преобладающее положение на рынке; при этом прежде всего учитываются: его доля на рынке, финансовая мощь, доступ к источникам снабжения или рынкам сбыта, степень его переплетения (взаимозависимости) с другими предприятиями, юридические или фактические ограничения доступа к рынку для других компаний, его способность переориентировать предложение или спрос на другие товары или услуги, а также возможности противоположной стороны рынка воспользоваться товарами и услугами других производителей.
(2) Предприятиями, занимающими доминирующее положение на рынке, считаются и два производителя, если между ними — применительно к определенным видам товаров или услуг в целом или на определенных рынках — отсутствует существенная конкуренция и если они в своей совокупности выполняют условия ч. 1 § 22 ЗОКа (олигополия с доминирующим положением на рынке)».
ЗОК предусматривает, что для решения о рыночных позициях производителей картельное ведомство и суд используют определенные показатели доли рынка и годового оборота.
К таковым относятся:
1 предприятие > 33% рынка,
3 предприятия > 50% рынка,
5 предприятий > 66% рынка.
При этом годовой оборот должен превышать DM 100 и/ или DM 250. Здесь большое значение имеет выявление границ релевантного рынка (см. раздел 4 данной главы).
Но основанием для вмешательства картельного ведомства является не только доминирующая позиция предприятия, но и злоупотребление рыночной силой, а именно злоупотребление посредством ограничения и злоупотребление посредством эксплуатации.
Злоупотребление посредством ограничения имеет место тогда, когда занимающее доминирующее положение на рынке как продавец или покупатель блага предприятие без надлежащего оправдания существенным образом ограничивает конкурентные возможности других предприятий.
Такое злоупотребление посредством ограничения было установлено, например, Федеральным картельным ведомством в случае с фирмой «Мето» (производство портативной аппаратуры для наклейки ценников), которая обязывала своих покупателей на протяжении пяти лет приобретать только производимые ею же ценники и применяла к «проштрафившимся» клиентам такие санкции, как прекращение поставок и отказ в ремонте оборудования.
Согласно федеральному закону злоупотребление посредством эксплуатации имеет место в случаях, когда занимающее на рынке доминирующее положение предприятие:
¦ выставляет в качестве условий сделок требования (прежде всего к цене поставок), отличающиеся от тех, которые с высокой вероятностью применялись бы при действенной конкуренции (концепция «как будто»); в качестве критерия здесь рассматривается поведение предприятий на сопоставимых рынках с действенной конкуренцией (так называемая концепция объективного сравнения);
¦ выставляет некоторым клиентам такие ценовые и другие условия заключения сделок, которые значительно отличаются от условий заключения контрактов с другими сравнительно похожими покупателями на сравнительно похожих рынках, за исключениями, при которых различия надлежащим образом оправданы (так называемая концепция пространственного сравнения).
Следовательно, индикатором наличия злоупотребления предприятием своим доминирующим положением на рынке (через повышение цены) выступает цена, которая установилась бы в условиях подлинной конкуренции (представление о «как будто конкуренции»). Но как должна определяться конкурентная цена? И, собственно говоря, даже при условии, что мы определим такую цену и выясним, что
Врезка 8.3.
Антимонопольное ; законодательство в Россиигтрактовка доминирующего .. положения и ¦ злоупотреблений им
Согласно российскому антимонопольному законодательству, доминирующее положение предприятия на рынке само по себе не является чем-то предосудительным; запрещены лишь злоупотребления рыночной властью (как и в немецком ЗОКе).
В ст. 4 АМЗ доминирующее положение предприятия определяется следующим образом: «Доминирующее положение — исключительное положение хозяйствующего субъекта на рынке определенного товара, дающее ему возможность оказывать решающее воздействие на конкуренцию, затруднять доступ на рынок другим хозяйствующим субъектам или иным образом ограничивать свободу их деятельности». Критерием доминирующего положения по закону является определенная доля на рынке отдельного товара. Эту предельную долю ежегодно устанавливает Антимонопольный комитет РФ. В то же время, если эта доля не превышает 35%, положение хозяйствующего субъекта не считается доминирующим.
Под злоупотреблением доминирующим положением понимаются, согласно ст. 5 АМЗ, следующие действия хозяйствующего субъекта:
¦ изъятие товаров из обращения с целью создания или поддержания дефицита на рынке либо повышения цен;
фактическая цена превышает гипотетическую конкурентную цену, действительно ли имеет место злоупотребление? Не оправдывают ли более высокую цену расходы компании на интенсивные исследования? Или не является ли более высокая цена «премией» за внедрения нового продукта (инновационной прибылью), являющейся существенным элементом динамичной рыночной экономики?
С решением на основе использования концепции сравнения рынков сложнейшей проблемы злоупотреблений повышением цен пришлось столкнуться судам ФРГ. Как правило, в ходе судебных процессов сопоставляются, например, цены определенного блага на немецком рынке с ценами, устанавливаемыми производителями на рынках с более интенсивной конкуренцией для того же или похожего блага. Данный прием был использован Федеральным картельным ведомством в процессе против швейцарского фармацевтического предприятия Hoffmann LaRoche, возбужденном из-за злоупотреблений при установлении завышенной цены на лекарственные препараты «Валиум» и «Либриум». Однако Федеральная судебная палата отменила решение ведомства, приняв сторону компании LaRoche. Закончилась провалом и другая попытка Федерального картельного ведомства оценить действия компании поставщика, сравнивая издержки до и после повышения цен (на основе так называемой «цокольной теории»). Мы имеем в виду судебные процессы относительно повышения цен на бензин и автомобили против нефтяной промышленности и против компании Volkswagen. В связи с этими фиаско (из-за кажущихся неразрешимыми проблем при установлении гипотетической конкурентной цены) Монопольная комиссия советует ослабить контроль за подобными злоупотреблениями и усилить контроль за слияниями. И действительно, Федеральное картельное ведомство практически прекратило подобного рода процессы и сконцентрировалось на контроле над злоупотреблениями посредством ограничений.
¦ навязывание контрагенту условий договора, невыгодных для него или не относящихся к предмету договора (необоснованные требования передачи финансовых средств, в том числе в иностранной валюте, сырья, материалов, изделий, жилых домов, квартир, рабочей силы контрагента и др.);
¦ включение в договор дискриминирующих условий, которые ставят контрагента в неравное положение по сравнению с другими хозяйствующими субъектами;
¦ согласие заключить договор лишь при условии внесения в него положений, касающихся товаров, в которых контрагент (потребитель) не заинтересован;
¦ создание ограничений доступу на рынок (выходу с рынка) другим хозяйствующим субъектам;
¦ нарушение установленного нормативными актами порядка ценообразования. Однако в исключительных случаях подобные действия хозяйствующего субъекта могут быть признаны правомерными, если хозяйствующий субъект докажет, что его действия способствовали или будут способствовать насыщению товарных рынков, улучшению потребительских свойств товаров и повышению их конкурентоспособности, в частности на внешнем рынке. В АМЗ (в отличие от ЗОКа) отсутствуют как классификация видов злоупотреблений рыночным положением, так и попытки решения проблемы определения конкурентных цен.
Если картельное ведомство устанавливает факт злоупотребления рыночной властью, оно имеет право запретить соответствующие ограничения или повышение цены. Но картельное ведомство не наделено полномочиями на установление определенных цен на товары и услуги, в крайнем случае оно назначает верхний предел цены, создавая критерий для выявления фактов злоупотреблений.
5.4. Объединение предприятий
Особенно значительными в последние 20 лет в ФРГ стали ограничения конкуренции, связанные с переплетением финансовой деятельности предприятий и взаимодействием отдельных лиц. В предыдущей главе мы ознакомились с формами внешнего роста предприятий: образованием концернов, слиянием фирм (в узком смысле слова), приобретением паев, «персональным переплетением» (т. е. личной «унией»). Если подобные объединения ограничивают конкуренцию (что отнюдь не обязательно), они в сравнении с картелями, представляют для нее большую опасность. В целом объединения предприятий являются весьма устойчивыми образованиями, ведь картельное соглашение оказывается под угрозой всякий раз, когда один из его участников сочтет целесообразным «одиночное плавание».
Для объединений предприятий верно следующее.
Федеральное картельное ведомство запрещает объединение, если вследствие его существования:
¦ создается или усиливается доминирующая позиция на рынке и
¦ не происходит улучшения конкурентной ситуации, которое бы более чем компенсировало недостатки, связанные с доминирующим положением на рынке (ч. 1 § 24 и 2 ЗОК).
Запрет на объединение утрачивает силу, если:
¦ годовой оборот участвующих в нем предприятий не превышает DM 500 млн или в тех случаях, когда
¦ в объединении участвует предприятие с годовым оборотом не более DM 50 млн (исключение: действие запрета на объединение предприятия с оборотом не менее DM 4 млн и предприятия, имеющего оборот не менее DM 1 млрд).
Заметим, что ЗОК определяет термин «объединение» очень широко. Собственно объединением следует считать:
¦ слияние предприятий (слияние в узком смысле слова);
¦ приобретение паев другого предприятия (25, 50% и более капитала с правом голосования);
¦ образование и расширение концерна;
¦ образование личной унии, т. е. создание ситуации, при которой как минимум половина членов наблюдательного совета или совета директоров одного предприятия являются участниками руководящих структур другой компании;
¦ каждое отношение, если через него прямо или косвенно создается возможность существенного (в сфере конкурентной борьбы) или доминирующего влияния на другое предприятие (ч. 2 § 23 ЗОКа).
Широкое определение термина «объединение» утрачивает силу в случаях, когда:
(1 Участвующие в объединении предприятия могут доказать, что новое образование оказывает благоприятное воздействие на конкурентные условия, более чем компенсирующее недостатки, связанные с доминирующим положением на рынке;
(2) федеральный министр экономики (даже если Федеральное картельное ведомство или суды запретили объединение) в соответствии с заявлением участ-
Врезка 8.4.
Объединения предприятий а России: краткая история и правовые ограничения
В российской экономике, характеризующейся высокой степенью концентрации, одним из важнейших источников монополизма изначально являлись не монопольные соглашения самостоятельных хозяйствующих субъектов, а их объединения, при которых отдельные хозяйствующие субъекты теряли свою самостоятельность. В условиях планового хозяйства потребностям директивного управления наиболее полно отвечали крупные предприятия, предлагавшие большую часть того или иного товара. Поэтому закономерной была тенденция к укрупнению предприятий путем слияний. Так, в течение 1960-1970-х гг. численность предприятий' в СССР сократилась с 200 до 40 тыс. Иными словами, размеры отдельного предприятия (в том числе его доля на рынке) выросли в среднем примерно в три раза.
Согласно ст. 17 АМЗ? Антимонопольный комитет РФ (по аналогии с Федеральным картельным ведомством в Германии) вправе отказать в разрешении на создание объединений хозяйствующих субъектов, если это может привести:
¦ к доминирующему положению и/или
¦ существенному ограничению конкуренции.
Однако в том случае, если образование подобного объединения будет существенно способствовать насыщению товарных рынков, улучшению потребительских свойств товаров и повышению их конкурентоспособности, в частности на внешнем рынке, Антимонопольный комитет имеет право дать согласие на создание такого объединения даже при возможности возникновения указанных неблагоприятных последствий. Настоящая статья не применяется к предприятиям, уставный капитал которых не превышает 50 млн руб. (по состоянию на 1991 г.) или иную предельную величину, устанавливаемую Антимонопольным комитетом РФ. При этом термин «объединение» трактуется очень узко — как создание, слияние и присоединение союзов, ассоциаций, концернов, акционерных обществ, товариществ с ограниченной ответственностью и предприятий прочих организационных форм. Таким образом, например, приобретение контрольных пакетов акций одних компаний другими или случаи «личной унии» выпадают из сферы» действия закона. В российском антимонопольном праве отсутствует также положение об обязательном уведомлении Антимонопольного комитета об образовании крупных объединений («слоновьих браков») и их регистрации.
 |
|
Рис. 8.1. Процесс контроля над объединениями по ЗОКу |
Источник: Berg Н. Wettbewerbspolitik / / Vahlens Kompendium der Wirtschaftstheo-rie und Wirtschaftspolitik. 5. Auf. Munchen, 1992. S. 286. Bd.2.
ников разрешает объединение, руководствуясь тем соображением, что ограничение конкуренции более чем компенсируется получением выгод общеэкономического масштаба или тем, что объединение соответствует интересам большей части общества. Примеры подобных объединений — слияния «?ЕВА» и «Gelsenberg», «Daimler-Benz» и «МВВ» (последнее было разрешено после выполнения его участниками предварительных условий).
Предпосылкой запрета на объединение является, как уже было сказано, возникновение или усиление доминирующего положения на рынке. Критерии в данном случае, с одной стороны, соответствуют критериям надзора за предприятиями, занимающими доминирующее положение на рынке. С другой стороны, учитываются факты, свидетельствующие о возможности возникновения монопольной власти, например присоединение небольшого предприятия к крупному поставщику на рынке, структуру которого формируют средние предприятия (§ 23а ЗОКа).
Наряду с возможностью запрета ЗОК имеет два дополнительных инструмента контроля над объединениями:
¦ при достижении участниками объединения определенного размера (общий оборот DM 50 млн или при численности сотрудников свыше 10 тыс. работников), вследствие которого достигается определенная доля рынка (20% на релевантном рынке или 20% на любом другом рынке одного из предприятий-участников), участвующие в нем стороны обязаны уведомить Федеральное картельное ведомство;
¦ обязательной регистрации подлежат — и считаются недействительными без предварительной регистрации — «слоновьи браки», когда одно из участвующих в нем предприятий имеет годовой оборот не менее DM 2 млрд или два участвующих предприятия имеют годовой оборот не менее, чем по DM 1 млрд.
Необходимо упомянуть, в соответствии с ЗОКом не подлежат «раздроблению» созданные до 1973 г. и существующие сегодня «сосредоточения власти», даже в тех случаях, когда речь идет о крупных, развивающихся на основе внутреннего роста, предприятиях. Здесь остается лишь возможность надзора за злоупотреблением властью.
В целом процесс контроля над объединением схематически представлен на рис. 8.1.
5.5. Вертикальные связи сбыта
5.5.1. Привязка цены и рекомендация цены
«Привязка цены» (привязка «второй руки») имеет место тогда, когда производитель обязывает в договоре о поставке покупателя блага перепродавать его по одной определенной цене.
Ограничение конкуренции при привязке цены очевидно: устраняется ценовая конкуренция на уровне торговли. Однако данная практика зачастую приводит и к ограничению конкуренции на уровне производства, а именно тогда, когда покупатели (т. е. оптовые и/или розничные предприятия) заинтересованы не столько в низких ценах, сколько в фиксированных торговых накидках.
В принципе ЗОК ставит «вне закона» вертикальную привязку цены (§ 15 ЗОКа). С 1973 г. данное положение распространяется и на так называемые фирменные продукты, т. е. характеризующиеся устойчиво высоким качеством, что удостоверяется торговым знаком производителя. До 1973 г. в отношении таких товаров закон позволял осуществлять привязку «второй руки». Сегодня под исключение из запрета подпадает только печатная продукция (например, книги и газеты). Но эта привязка цены подлежит надзору со стороны картельного ведомства.
Для конкурирующих с однородными товарами фирменных продуктов закон допускает применение поставщиками ценовых рекомендаций торговле. Но производители обязаны особо оговорить добровольность применения такого рода рекомендаций, какое-либо давление на покупателей недопустимо. Предполагается также, что рекомендуемая цена соответствует той цене, которая с большой вероятностью будет затребована большинством получателей рекомендаций (т. е. такие цены не должны представлять собой «цены с Луны»), Ценовые рекомендации подлежат (хотя обязательная регистрация не предусмотрена) надзору картельного ведомства. В случае обнаружения злоупотребления ведомство может объявить рекомендацию недействительной и запретить ее применение в дальнейшем.
5.5.2. Привязка эксклюзивности
Как и в случае привязки цены, привязка эксклюзивности предполагает установленное в договоре вертикальное ограничение конкуренции: одна из его сторон берет на себя обязанность эксклюзивной покупки (поставки) товара лишь от (для) другого партнера по договору. Большое практическое значение имеет привязка эксклюзивности продавца (закупки пива, бензина или автомобилей соответственно ресторанами, бензоколонками и торговцами автомашинами). Ограничения конкуренции очевидны: «привязанная» сторона договора лишается права выбора своего продавца (своего покупателя) всегда, когда ей захочется, вследствие чего снижается степень конкуренции между продавцами (покупателями).
Так, например, легко представить, что в отсутствие договоров привязки эксклюзивности пивовары во время сезонного спада производства для расширения сбыта могли бы предлагать покупателям (ресторанам) более низкие цены. С привязкой эксклюзивности конкуренция ограничивается борьбой за постоянных покупателей, причем пространственные разграничения зачастую приводят к дополнительным ограничениям конкуренции. С другой стороны, многие доказывают, что привязка эксклюзивности для нового, пробивающегося на рынок продавца (производителя) может служить ему ценной «помощью при входе» на сложившийся «затвердевший» олигополистический рынок.
Согласно ЗОКу? привязки эксклюзивности разрешаются, но подлежат надзору во избежание злоупотреблений.
Врезка 8.5.
Антимонопольное : законодательство в России: отсутствие регулирования ¦ вертикальных связей : сбыта ¦
В российском антимонопольном законодательстве, к сожалению, отсутствуют какие-либо положения, касающиеся регулирования вертикальных сбытовых связей. В законе отсутствуют указания как относительно запрета привязок цен, ценовых рекомендаций и привязок эксклюзивности, так и относительно контроля над ними.
5.6. Сферы исключения в ЗОКе
ЗОК не распространяется на некоторые важные сферы экономики или же применяется по отношению к ним только частично.
Учреждениями, исключенными из ЗОКа (сферы тотального исключения), являются:
¦ Бундесбанк;
¦ Банк реконструкции;
¦ финансовые монополии федерации;
¦ предприятия угольной и сталелитейной промышленности. '
Последние подлежат лишь контролю за конкуренцией, осуществляемому органами ЕС.
Сферами частичного исключения (касающимися сговоров и некоторых привязок по § 1 и 15-18 ЗОКа) являются:
¦ широкие области в сфере транспорта (морское и речное пароходство, предприятия авиалиний);
¦ сельское и лесное хозяйство;
¦ кредитные учреждения и страховые компании;
¦ предприятия жилищно-коммунального обслуживания (электричество, газ, вода).
В сферах исключения действуют особые юридические принципы (сформулированные, например, в Законе о кредитном деле, Законе о Бундесбанке, Законе о сельском хозяйстве и т. д.). Кроме того, сферы частичного исключения подлежат надзору со стороны картельного ведомства.
Бесспорной сферой исключения являются лишь угольная и сталелитейная промышленность, для которых действительны предписания, содержащиеся в «Мон-танном договоре». В отношении остальных сфер говорят об «особенностях», которые якобы не позволяют конкуренции выполнять в них свои функции. Данные положения подвергаются острой общественной и научной критике:
«Если мы обратимся к истории регулирования исключений, становится очевидным, что указанные в § 99-103 ЗОКа исключения в большинстве случаев основываются не столько на особенностях, сколько на общественно-политическом влиянии соответствующих отраслей. Но эти сферы исключений частично являются рынками, на которых в роли основного поставщика выступает само государство. При принятии закона обе эти причины сыграли весьма значительную роль, особенно при исключении сферы транспорта» (Kommission fur wirtschaftlichen und sozialen Wandel). Wirtschaftlicher und sozialer Wandel in der Bundesrepublik Deutschland. 1976, S. 761.
5.7. Предусматриваемые ЗОКом возможности санкций
В ФРГ нарушения положений ЗОКа в общем не являются уголовным преступлением, а рассматриваются лишь как административные нарушения (§ 38, 39 ЗОКа), караемые денежными штрафами. Величина штрафов ограничена суммой DM1 млн и размером полученной в результате нарушения трехкратной дополнительной выручки.
' Так, например, в связи с договоренностями, касавшимися ценовых скидок, Федеральное картельное ведомство провело процесс против 13 предприятий оптовой торговли фармацевтической продукцией и их управляющих. Общая сумма денежных штрафов составила DM 37,785 млн (Bericht des Bundeskartellamtes iiber seine Tatigkeit in den Jahren 1991 /92. S. 37).
Наряду с этим закон предусматривает возмещение ущерба в случае виновности предприятий в нарушении законов и указов, относительно обеспечения техники безопасности. И, наконец, предприятие-участник картеля, получающее государственный заказ, например на строительство, в определенных условиях может быть оштрафовано за мошенничество при подаче заявки (когда цены и/или условия сделки оказываются для государства менее благоприятными, чем в отсутствие картеля). В качестве примера можно привести раскрытый журналом «Штерн» картель' четырех согласовывавших цены и квоты строительных фирм в районе Штуттгарта.
5.8. Оиенка и перспективы
Задача ЗОКа в сфере политики экономического порядка — обеспечение конкуренции в экономике ФРГ. Но и в своем сегодняшнем виде закон о конкуренции характеризуется высокой степенью компромиссности. Так, хотя он исходит из принципа запрета картеля, в нем содержится ряд важных функциональных отступлений, не говоря уже о многочисленных сферах исключения. Несмотря на отмену привязки «второй руки» для фирменных продуктов (1973 г.), к недостаткам ЗОКа относится отсутствие запрета на вертикальные ограничения конкуренции. В частности, по-прежнему возможны ценовые рекомендации (практически вытеснившие ценовые привязки). Существенным прогрессом является более строгая регламентация контроля за слияниями. Но невозможно принудительное дробление объединений, создавшихся до 1973 г. В перечень не допускающихся законодателями ограничений конкуренции было включено согласованное друг с другом поведение.
В 1990 г. в ЗОК были внесены важные поправки.
Более точно было определено понятие рыночной власти; была предпринята попытка более дифференцированной трактовки концентрации власти покупателя в торговле; было достигнуто некоторое улучшение конкурентной ситуации в сферах исключений. В настоящее время скрыть факты слияний достаточно сложно.
Но, по мнению монопольной комиссии, даже в последней версии закона отсутствует его «встроенность» в общую концепцию экономического развития (Hauptgutachten der Monopolkommission 1988/1989. S. 17).
Изменение текста закона не может устранить принципиальные трудности, с которыми сталкивается картельное ведомство, обязанное доказать нарушения ЗОКа. Трудности, связанные с доказательством наличия картеля, очевидны, но, Как правило, не менее тяжело доказать злоупотребления посредством эксплуатации и ограничений. Кроме того, немецкое картельное ведомство, штат которого состоит из 300 сотрудников, не пользуется должным влиянием, испытывает проблемы с техническим оснащением.
Список основных понятий
¦ Соперничество
¦ Отношения взаимозависимости
¦ Аллокаиионная функция
¦ Технологические и продуктовые инновации
¦ Экономическая власть
¦ Полная конкуренция
¦ Узкие и зрелые олигополии
¦ Оптимальная интенсивность конкуренции
¦ Доступ к рынку
¦ Релевантный рынок
¦ Функциональная заменяемость с точки зрения разумного потребителя
¦ Неновой картель
¦ Картель квотирования
¦ Согласованное поведение
¦ Параллельное поведение
¦ Злоупотребление использованием рыночной силы
¦ Злоупотребление посредством ограничения
¦ Злоупотребление посредством эксплуатации
¦ Концепция «как будто»
¦ Концепция объективного сравнения
¦ Концепция пространственного сравнения
¦ Объединение предприятий
¦ Привязка цены
¦ Фирменные продукты
¦ Ценовые рекомендации
¦ Привязка эксклюзивности
¦ Сферы тотального исключения
¦ Сферы частичного исключения
В.
........... зъащі*#для повторенной
7) Что вы понимаете под злоупотреблением посредством ограничения? Используя отчеты Антимонопольного комитета РФ, приведите примеры его практической деятельности.
8) Какие правила предусмотрены в российском антимонопольном законодательстве относительно объединений предприятий?
9) Объясните, какие критерии использует Антимонопольный комитет РФ при оценке степени ограничения конкуренции и какими критериями он пользуется, разрешая или запрещая объединения предприятий?
10) Как (в теории и на практике) определяется релевантный рынок?
ітура
¦ Интерес представляет один из первых сборников статей по проблемам антимонопольного регулирования:
Антимонопольное регулирование: федеральный и региональный аспекты / Под ред. Ф. Ф. Рыбакова, В. Н. Ворожейкина, СПб., 1996.
¦ Антимонопольное законодательство США рассматривается в главе 16 переводного учебника:
Долан Э. Дж., Линдсей. Д. Е. Микроэкономика. СПб., 1994.
¦ По данной тематике можно также порекомендовать следующие работы:
Луцкая Е. Е. Монополизм и антимонопольная политика в России / / Актуальные проблемы Европы: экономика, политика, идеология. М., 1996. № 2.
Галкин В. В. Методы недобросовестной конкуренции: экономическое содержание и правовое регулирование. Воронеж, 1996.
¦ О некоторых проблемах антимонопольного законодательства в России см. статью:
Железнов И. А., Буданова И. Б. Антимонополистистическое законодательство России / / Общество и экономика. 1996. № 5-6.
ПОСТРОЕНИЕ И ЗНАЧЕНИЕ СИСТЕМЫ НАЦИОНАЛЬНЫХ СЧЕТОВ (СНС)1

В чем состоят залами и методология построения системы национальных счетов?
¦ Каковы задачи системы национальных счетов?
¦ Как можно получить обшую картину состояния экономики?
Как производство и образование доходов в экономике отражаются в рамках
системы национальных счетов?
¦ Как построена агрегированная система учета производства, доходов, изменения богатства и внешнеэкономических связей?
¦ Какой экономический смысл имеют понятия: выпуск продукции, промежуточное потребление продуктов и услуг, валовая добавленная стоимость, амортизация, чистая добавленная стоимость?
¦ Какие особенности необходимо учитывать при анализе производства в государственном секторе и домохозяйствах?
¦ Каковы масштабы и структура выпуска и дохода в ФРГ и Российской Федерации?
Как в СНС учитывается процесс распределения, перераспределения и использования доходов?
¦ Как отражается в СНС процесс создания богатства?
! В данной и следующей главах анализируется СНС ФРГ, несколько отличающаяся от системы ООН. СНС России рассматривается в приложении к данной главе.
ІШКМННШН^^НЩНЩ ттшт,<іп.ш<?<?-г*~г^0в '^-, л?ач»«" ^^>:>\••^м,c,'•вд^ *w e<f
1. Для чего необходима система национальных счетов?
В главе о функционировании экономической системы мы говорили о том, что миллионы частных экономических субъектов, ориентируясь в рамках определенных возможностей и ограничений (таких, как технические условия, ставки налогообложения и т. д.) на свои цели, самостоятельно формируют планы производства, потребления, инвестирования, финансирования и т. д.
В современной рыночной экономике круг действующих лиц не исчерпывается домохозяйствами и предприятиями. Как известно, в «свободную игру экономических сил», прежде всего с целью реализации общеэкономических ценностей, все чаще вмешивается государство. К целям отдельных экономических агентов добавляются, таким образом, общеэкономические цели, такие как полная занятость, стабильность цен и справедливое распределение доходов.
Для достижения общеэкономических целей государству необходима разнообразная информация об исходной ситуации в экономике: о текущих объемах производства и распределении доходов и богатства, о значимости отдельных отраслей экономики и т. д.
Предоставление этой информации является одной из важнейших задач национального счетоводства, которое можно воспринимать как бухгалтерский учет в экономике в целом, имеющий много схожих черт с бухгалтерским учетом на отдельном предприятии. Естественно, бухгалтерский учет экономики в целом не может учитывать необозримое множество индивидуальных экономических планов и действий. Первый этап предполагает объединение всех однородных экономических единиц в одну группу (сектор), так что экономика в целом оказывается представленной в виде совокупности из нескольких таких секторов. На втором этапе все однородные операции, которые выполняют экономические субъекты того или иного сектора, объединяются в одну категорию (статью). Например, все домохозяйства агрегируются в сектор «домашние хозяйства», а затем все покупки потребительских благ отражаются в статье «потребление», а все налоговые платежи домохозяйств — в статье «налоги» и т. д.
Несмотря на то что в процессе агрегирования экономических субъектов и экономических операций теряется определенная информация (так, мы не имеем возможности выделить объем приобретенных домохозяйствами Петрова или Иванова потребительских благ), большое преимущество этого подхода состоит в том, что мы получаем наглядную картину экономических процессов (потоков) и запасов в народном хозяйстве. Экономические действия и структура экономики предстают перед нами «в общих чертах».
Система национальных счетов (СНС) в упорядоченном виде отражает экономическую деятельность, связанную с имевшими место в прошлом (ex post) созданием, распределением, перераспределением и использованием национального продукта и национального дохода в экономике.
Следовательно, СНС ограничивается представлением потоков. Поскольку национальный продукт и национальный доход в разных странах определяются сходным образом, эти понятия определяют учитываемые в них экономические действия и их классификацию.
Целью настоящей и следующей глав является рассмотрение СНС, при более подробном разборе» играющих важную роль в дискуссиях по экономической политике понятий «национальный продукт» и «сальдо платежного баланса». Одновременно мы, используя фактические статистические данные, попытаемся ознакомить читателя с общим состоянием экономик ФРГ и России.
Важнейшим критерием классификации экономической Деятельности в рамках того или иного сектора являются экономические функции. Хотя подразделение функциональных сфер в СНС может осуществляться различным образом, логично было бы выделить такие функциональные сферы, как (1) производство и образование доходов, (2) распределение первичных и вторичных (перераспределение) доходов, их использование и (3) образование имущества.
Ниже мы обратимся к построению функциональных счетов, т. е. счетов производства, образования доходов и изменения имущества. При этом счет производства будет исследован более подробно, так как на его основе определяются важнейшие экономические показатели. Остальные счета будут охарактеризованы лишь в общих чертах.
2. Производство и образование доходов
2.1. Счет производства
Счет производства охватывает, как указывает само его название, общее производство благ и связанные с ним в отчетном периоде расходы. Соответственно в кредите счета производства записывается стоимость совокупного выпуска благ (включая услуги) каждого сектора в течение года. При внесении данных на счет производства не учитывается, продаются ли эти блага конечным потребителям или складируются.
Продажа благ или их хранение на складах имеет значение только для их оценки: проданные блага оцениваются по рыночным ценам, тогда как блага, оставшиеся у предприятия, оцениваются по издержкам их производства.
Сумма выпуска, оцененная по рыночным ценам или по издержкам производства, называется стоимостью продукции1. Поскольку в рыночной экономике объем реализуемых благ превышает объем запасов, в дальнейшем мы будем говорить лишь о «стоимости продукции по рыночным ценам». В кредите счета производства учитываются полученные предприятиями государственные дотации, так как они интерпретируются как компенсация не возмещенной рынком (т. е. не отраженной в рыночных ценах), но произведенной предприятиями работы (что не бесспорно). Нередко дотации заносятся с отрицательным знаком в дебет счета производства, и делается это следующим образом.
Поскольку в СНС речь идет и о чистом объеме продукции экономики, чтобы найти его, необходимо сначала исчислить промежуточное потребление, т. е. ту сумму товаров и услуг, которую отечественные предприятия получили от внутренних и иностранных производственных единиц и которую они полностью использовали в ходе производства в отчетном периоде. Таким образом, мы получаем валовую добавленную стоимость или вклад отрасли в первый показатель чистого объема выпуска экономики, т. е. в валовой внутренний продукт по рыночным ценам. Наряду с промежуточным потреблением материальных ресурсов для производства благ необходимо использовать основной капитал (например, здания и машины). Происходящее в процессе производства потребление основного капитала называется амортизацией. Ее тоже необходимо занести в дебет счета производства. Если из вклада сектора в валовой внутренний продукт по рыночным ценам (т. е. из его валовой добавленной стоимости) вычесть амортизацию, то мы получим вклад сектора в чистый внутренний продукт по рыночным ценам. В дебете счета производства учитываются также косвенные налоги (НДС, акцизы или налоги на потребление и таможенные пошлины, которые можно вычитать из налогооблагаемой базы перед определением размера прибыли). Если из вклада отрасли в чистый внутренний продукт (по рыночным ценам) вычесть разницу между косвенными налогами и дотациями, мы вновь получим вклад отрасли в чистый внутренний продукт, но на этот раз оцененный по факторным издержкам (по факторным ценам). Его называют чистой добавленной стоимостью отрасли.
Оценка по факторным издержкам наряду с оценкой по рыночным ценам — основные методы оценки национального продукта в СНС. Оценка по факторным издержкам (по факторным ценам) равна оценке по рыночным ценам минус разница между косвенными налогами и дотациями. Оценка по факторным ценам используется для определения эффективности потребления таких экономических факторов, как земля, труд и капитал. В этом случае она выступает в качестве свободного от «искажений», обусловленных косвенными налогами и дотациями, показателя объема выпуска.
Чистую добавленную стоимость можно воспринимать как сальдо счета производства. Созданной в производственном секторе чистой добавленной стоимости соответствует образование доходов. Эти факторные доходы, выражаются в форме зарплаты, процентов, выплаченной и невыплаченной прибыли и т. д. В дальнейшем мы будем различать только два вида доходов: доходы от продажи рабочей силы (зарплата) и доходы от предпринимательской деятельности и богатства (прибыль — распределенная и нераспределенная — и проценты). Для краткости мы будем просто говорить о зарплате и прибыли.
Чистая добавленная стоимость сектора, т. е. создаваемые в процессе производства зарплата и прибыль, представляет собой вклад сектора во внутренний доход.
|
Дебет |
Счет производства |
Кредит |
Промежуточное потребление
Амортизация
Косвенные налоги
Дотации
Чистая добавленная стоимость |
Стоимость продукции |
|
Стоимость продукции |
|
|
Стоимость продукции |
|
Важно понять, что всякое производство имеет «две стороны»: вновь созданные блага, т. е. блага, произведенные впервые, и создаваемые одновременно с ними в про- |
цессе производства доходы. Если не учитывать косвенные налоги и дотации, стоимость вновь созданных благ (т. е. часть выпуска сверх промежуточного потребления и амортизации) точно соответствует созданному в ходе производства доходу. В этом заключается фундаментальная симметрия между величиной доходов и чистой продукцией в СНС. Косвенные налоги и дотации усложняют восприятие этой симметрии лишь потому, что в СНС они воспринимаются не как факторные доходы государства, а как чистые трансферты государству. Это приводит к тому, что рыночная стоимость вновь созданных благ отличается от суммы вновь образовавшихся доходов на величину косвенных налогов, уменьшенных на сумму дотаций.
2.2. Особенности счета производства секторов «государство» и «домохозяйства»
Счет производства ориентирован на экономическую деятельность предприятий. Но наряду с предприятиями производством занимаются и «государство», и «домохозяйства». Особую роль при этом играет государственное производство. Поскольку государственные предприятия в большинстве случаев причисляются к сектору предприятий, можно было бы решить, что государство не производит блага. В первой главе этой книги мы уже познакомились с такими общественными, или коллективными, благами, как внутренняя и внешняя безопасность, использование дорог, образование и т. п. Эти блага производятся государством с помощью рабочей силы (чиновники, рабочие и служащие), зданий и других сооружений (дороги, водные магистрали, школы, здания университетов) и с помощью предметов промежуточного потребления (карандаши чиновников); они предоставляются обществу, как правило, без прямых платежей. Правда, гражданин платит налоги за государственные услуги, однако установить непосредственную связь между уплатой налогов и ис-
пользованием общественных благ невозможно. Так, например, для определения налога, бремя которого несет каждый отдельный гражданин, не имеет значения, посещают ли его дети высшую школу или то, как часто они гуляют в городском парке. Произведенные государством блага необходимо (если мы хотим полностью охватить производство) занести в кредит счета производства государства. Так как эти блага не продаются, они не имеют рыночной стоимости, и, значит, возникает вопрос об ее оценке. Здесь проблема разрешается путем суммирования издержек, возникающих при их производстве: зарплаты рабочих и жалованья государственных служащих, амортизации общественных зданий и сооружений, закупки государством предметов промежуточного потребления. К промежуточному потреблению государства причисляются также закупки военной техники (самолеты, танки, артиллерийские орудия и т. д.), с помощью которых государство производит благо «внешняя безопасность». Исключением являются лишь расходы на военные аэродромы и казармы, относимые в Германии к государственным инвестициям.
Теперь необходимо задать вопрос: кто пользуется производимой государством продукцией, т. е. кто ее потребляет? В принципе ее следовало бы рассматривать как конечное потребление домохозяйств и как промежуточное потребление предприятий. Однако, так как подходящий метод распределения здесь отсутствует, делается вид, как будто государство само потребляет блага, а потому соответствующее производство называется государственным потреблением («собственным потреблением»).
Наряду с предоставленными экономике бесплатными благами государство также производит в небольшом объеме «поступающие в продажу» блага. При этом государство не становится предпринимателем. Речь здесь идет прежде всего о государственных услугах, которые «продаются» за пошлины (пошлина при получении паспорта или свидетельства о браке и т. д.).
Определенные трудности возникают и при учете производства домохозяйств. В той степени, в какой домохозяйства предоставляют свои услуги предприятиям или государственным учреждениям, они воздействуют на производство этих отраслей. Однако та производственная деятельность, которую человек осуществляет в рамках своего домашнего хозяйства без денежной оплаты (готовит обед, убирает квартиру, самостоятельно что-либо красит и т. п.), не принимается во внимание, хотя, поскольку такое домашнее производство ничем не отличается от труда в других сферах, его следовало бы учитывать на счете производства домохозяйств. Но поскольку не ясно, по какой стоимости должна учитываться эта продукция и где проходит граница между досугом и производством, в соответствии с международными общепринятыми нормами домашний труд нигде не регистрируется1. Учитываются лишь блага, произведенные домработницами и прочими домашними служащими, так как в этом случае в качестве показателя выступает
'Чтобы исправить эту неудовлетворительную ситуацию, Федеральная служба статистики Германии включила в СНС вспомогательную систему «производство домохозяйств». За 1992 г., по ее расчетам, добавленная стоимость неоплаченной домашней работы составила DM 1 051 млрд, т. е. более 1/3 официального валового национального продукта. Домашняя работа оценивалась по ставке зарплаты домработницы, равной DM 25 за 1 час.
получаемая ими зарплата. Еще одна проблема связана с учетом ориентированной на рынок экономической деятельности, которая в отличие от труда в домашнем хозяйстве не является официальной и легальной.
В той же плоскости, что и деятельность домохозяек, лежит:
¦ производство сельскохозяйственной продукции, которая потребляется непосредственно в домохозяйствах крестьян и не поступает на рынок;
¦ благо «пользование квартирой», которое производится в частных домах или квартирах и потребляется их собственниками.
Поскольку в обоих случаях имеются соответствующие статистические материалы, это производство (в противоположность домашней работе) по международным соглашениям учитывается в СНС, что обеспечивает межстрановую сопоставимость расчетов (внутреннее потребление в сельском хозяйстве и стоимость аренды квартиры и домов, используемых их собственниками).
Для иллюстрации наших рассуждений и для предоставления исходной информации о масштабах, учитываемых в сфере производства стоимостных потоков, рассмотрим (несколько измененные) счета производства предприятий, домохозяйств и государства в ФРГ в 1993 г.
|
Счет производства предприятий (DM млрд) |
Промежуточное потребление 3 654
Амортизация 355
Косвенные налоги2 256
Чистая добавленная стоимость 1 770 |
Стоимость продукции 6 035 |
6 035
Счет производства государства (DM млрд) |
6 035 |
Промежуточное потребление 311
Амортизация 20
Чистая добавленная стоимость 280 |
Стоимость продукции 611 |
611
Счет производства домохозяйств3 (DM млрд) |
611 |
Промежуточное потребление 31
Амортизация 5
Чистая добавленная стоимость 70 |
Стоимость продукции 106 |
106
1 В старых федеральных землях.
2 За вычетом дотаций.
3 Включая частные некоммерческие организации ческие партии. Небольшие отклонения от официа гократных округлений. |
106
, такие как церкви, профсоюзы и полита-льных данных являются результатом мно- |
|
|
Источник: Statistisches Jahrbuch der Bundesrepublik Deutschland 1994. S. 680 ff; справка Федерального статистического ведомства. |
Из приведенных данных видно, что стоимость продукции экономики, т. е. той массы товаров и услуг, которая была произведена в Федеративной Республике Германии в 1993 г., составляет DM 6752 млрд. Промежуточное потребление дает более 60 % стоимости производства, что подчеркивает важность расчета промежуточного потребления при определении чистого объема продукции. Большая часть продукции (90 %) производится предприятиями. Заслуживает внимания и доля государства в общем выпуске — 9 %, тогда как доля домохозяйств составляет лишь 1,6 %. Данное соотношение определяется двумя причинами:
1. Большая часть продукции домохозяйств не попадает на рынок и поэтому не учитывается в СНС.
2. Стоимость труда, который затрачивают работники, не учитывается как произ
водство домохозяйств и как промежуточное потребление предприятий, поскольку все блага, произведенные с помощью рабочей силы на предприятии, учитываются полностью как стоимость продукции предприятий.
2.3. Национальный счет производства
Теперь перейдем от анализа отдельных секторов экономики к анализу экономики в целом, для чего мы, объединяя все сектора, получаем национальный счет производства. При объединении всех счетов производства отечественных экономических субъектов возможен взаимный зачет (консолидация) дебета и кредита поставок предметов промежуточного потребления между отечественными производителями («внутринациональные» поставки продуктов промежуточного потребления). Обычно импортированные предметы промежуточного потребления заносятся не в дебет, а в кредит со знаком минус (что в принципе является тем же самым). Таким образом, мы получаем следующий национальный счет производства на внутренней базе (на внутренней — потому что при этом охватывается производственная деятельность только внутри границ страны).
Национальный счет производства (внутренняя база)
Амортизация
Косвенные налоги минус дотации
продажи государству Потребление государства
Внутренний доход
(равен сумме отечественной
чистой добавленной стоимости)
Экспорт (экспорт товаров и услуг без экспорта факторных услуг)
минус импорт (покупки предметов промежуточ-
ного потребления за границей)
Валовой внутренний продукт по рыночным ценам
Валовой внутренний продукт по рыночным ценам
Счет показывает, что валовой внутренний продукт по рыночным ценам в сфере его использования определяется как стоимость конечных продуктов внутреннего производства (потребление, валовые инвестиции, экспорт), уменьшенная на стоимость импортированных предметов промежуточного потребления. Валовой внутренний продукт является важным показателем чистой продукции экономики.
Если делать ударение на доходном аспекте производства, т. е. на стороне образования доходов, валовой внутренний продукт по рыночным ценам определяется как сумма внутренних доходов, косвенных налогов (за вычетом дотаций) и амортизационных отчислений. Вычитая амортизацию, мы получаем чистый внутренний продукт по рыночным ценам. Еще раз вычитая косвенные налоги, уменьшенные на сумму дотаций, мы получаем чистый внутренний продукт по факторным издержкам, соответствующий внутреннему доходу. Внутренний доход подразделяется на созданные внутри страны доход от наемного труда, доход от предпринимательской деятельности и доход от имущества.
В условиях международной интеграции, как правило, часть созданных внутри страны доходов «достается» иностранцам (например, зарплата иностранцам, работающим в приграничной зоне, и тем лицам, которые живут за границей, но работают внутри страны, а также доходы иностранных предприятий, имеющих долевое участие в отечественных предприятиях). С другой стороны, граждане любого государства участвуют в создании чистой добавленной стоимости за границей. Этим факторным доходам иностранцев в нашей стране и, наоборот, доходам наших соотечественников за границей соответствуют импорт и экспорт факторных услуг такой же стоимости. Если суммировать на обеих сторонах национального счета производства выплаченные нашим соотечественникам за границей факторные доходы и факторные доходы, выплаченные иностранцам в нашей стране, мы получим показатель производства и доходов на национальной базе.
|
Национальный счет производства (национальная база) |
|
Амортизация |
Частное потребление |
|
Косвенные налоги |
Валовые инвестиции |
минус дотации
Национальный доход |
Потребление государства
Экспорт (экспорт благ и услуг, включая факторные доходы, полученные от «остального мира») минус импорт (покупки предметов промежуточ- |
|
|
ного потребления, потребительских и инвестиционных благ, включая факторные доходы, переданные «остальному миру») |
|
Валовой национальный продукт по |
Валовой национальный продукт по рыночным |
|
рыночным ценам |
ценам |
|
Этот показатель отражает национальный продукт и национальный доход.
Необходимо обратить внимание на то, что на данном счете отражается общий объем национального потребления и национальных валовых инвестиций, а не только созданные в ходе внутреннего производства блага. Для того чтобы избежать искажений величины национального продукта, в качестве компенсации из него вычитают стоимость импортированных потребительских и инвестиционных благ.
Кажущиеся немного запутанными вычисления различных показателей «чистой» продукции экономики — внутреннего продукта и национального продукта — в дальнейшем еще раз систематизируются. Показатели внутреннего продукта и национального продукта (и вследствие описанной выше симметрии — показатели внутреннего дохода и национального дохода) отличаются друг от друга по трем параметрам (которые иногда комбинируют):
1. По применению внутренней, или национальной, базы. При расчете показателей первого рода факторные доходы, поступающие из других стран (в другие страны), вычитаются (прибавляются). В зависимости от применяемой базы мы имеем дело, с одной стороны, с внутренним продуктом, или внутренним доходом, и, с другой стороны, с национальным продуктом, или национальным доходом.
2. По степени «чистоты» продукции. Вычитаются ли из стоимости продукции (или из стоимости продукции плюс чистые факторные доходы, полученные из «остального мира») только промежуточное потребление или предметы промежуточного потребления плюс амортизационные отчисления? Соответственно этому различают валовой и чистый внутренний продукт, или валовой и чистый национальный продукт.
3. По оценке продукции с помощью рыночных цен или факторных издержек. При этом оценка по факторным издержкам равна оценке по рыночным ценам за вычетом косвенных налогов, уменьшенных на сумму дотаций. Получаем показатели внутреннего продукта, или национального продукта по рыночным ценам или по факторным издержкам.
Эта взаимосвязь иллюстрируется на рис. 9.1.
3. Распределение, перераспределение и использование доходов
3.1. Структура счета доходов
Помимо производства на отдельном счете (так называемом счете доходов) учитываются доходы и их использование. На кредит заносится сальдо счета производства (чистая добавленная стоимость). Кроме того, кредит отражает получаемые данным сектором от других секторов (включая «остальной мир») факторные доходы. Наконец, сектор может получить трансферты от других секторов (пенсии, страховые выплаты для безработных и социальные выплаты для домохозяйств или налоги, оплаченные государством).
|
Стоимость продукции по рыночным ценам |
|
Промежуточное
потребление |
Валовой внутренний продукт по рыночным ценам (= валовой добавленной стоимости) |
" |
|
|
Амортизация |
Чистый внутренний продукт по рыночным ценам |
|
|
- |
|
Косвенные налоги минус
дотации |
Чистый внутренний продукт по факторным издержкам^
= внутреннему доходу |
|
|
|
|
- |
Чистый внутренний продукт по факторным издержкам |
Факторные доходы» полученные от «остального мира», минус факторные доходы, переданные «остальному миру* |
|
|
|
|
Чистый национальный продукт по факторным издержкам=
= национальному доходу |
|
|
|
Чистый национальный продукт по рыночным ценам |
|
|
Валовой национальный продукт по рыночным ценам |
|
|
Рис. 9.1. Показатели чистой продукции экономики |
Дебет счета:
¦ факторные доходы,
¦ трансферты—потребление,
¦ сбережения.
В дебете счета показано разделение доходов: домохозяйства и государство потребляют и от секторов идут выплаты факторных доходов и трансфертов1. Возникающее положительное или отрицательное сальдо — это сбережения всех секторов.
¦+
Счет доходов одного сектора |
|
|
Чистая добавленная стоимость |
|
Оплаченные факторные доходы |
Полученные факторные доходы |
|
Оплаченные трансферты |
Полученные трансферты |
|
(без косвенных налогов) |
(без дотаций) |
|
Потребление . |
|
|
Сбережения |
|
|
Сумма |
= Сумма |
|
Следует иметь в виду, что в этом счете, как и в большинстве остальных счетов, некоторые статьи для отдельных секторов могут иметь нулевое значение. Так, например, для сектора домохозяйств чистая добавленная стоимость и оплаченные факторные доходы являются пренебрежимо малыми величинами. Только в государственном секторе дотации и косвенные налоги достигают значительного размера, тогда как для сектора домохозяйств они близки к нулю.
3.2. Национальный счет доходов
На национальном уровне при агрегировании счетов доходов секторов происходит взаимопогашение экономических потоков доходов и трансфертов. (Это, однако, не касается собранных косвенных налогов и выплаченных дотаций, так как встречные потоки были учтены на счете производства). Получаем национальный счет доходов.
В дебете счета отражается разделение чистого национального продукта: экономика в целом может расширить объем созданного внутри страны факторного дохода за счет чистых факторных доходов из-за границы и увеличить разность между косвенными налогами и дотациями, чтобы потребить, сберечь этот доход или превратить его в трансферты.
В кредите отражаются уже рассмотренные нами связи между внутренней и национальной базами, а также между оценкой по факторным издержкам и по рыночным ценам.
Национальный счет доходов
Потребление
домохозяйств
государства
Трансфертные платежи, переданные
«остальному миру»,
минус трансфертные платежи,
полученные от «остального мира»
Сбережения
Сумма добавленной стоимости (внутренние доходы)
+ Факторные доходы, полученные от
«остального мира»,
минус факторные доходы, переданные «остальному миру»=
= национальный доход
Косвенные налоги минус дотации
Чистый национальный продукт по рыноч- Чистый национальный продукт по рыночным ным ценам ценам
4. Изменение богатства (имущества)
Чистое имущество экономики (сбережения) определяется как сумма вещественного имущества и денежного имущества. Денежное имущество возникает, когда требования к должникам превышают задолженность. Каждое изменение чистого имущества должно соответствовать сумме изменений вещественного и денежного имуществ. Эти изменения запасов учитываются на счете изменений имущества экономического субъекта и описывают процесс образования богатства. Однако необходимо учесть некоторые особенности терминологии: на языке СНС изменение вещественного имущества называется «чистыми инвестициями», а изменение денежного имущества — «сальдо финансирования». Вследствие функционального структурирования СНС вещественное имущество домохозяйств не выделяется, так как собственность на квартиру должна была бы отражаться не в счете сектора домохозяйств, а в счете сектора предприятий. Поэтому для домохозяйств сбережения идентичны изменению денежного имущества.
|
Счет изменения имущества одного сектора |
|
Валовые инвестиции |
Сбережения |
|
Сальдо финансирования |
Амортизация |
|
|
Сумма = Сумма |
Агрегирование изменений богатства по всем отечественным экономическим субъектам дает национальный счет изменения имущества, структура которого аналогична структуре указанного выше счета, поэтому здесь мы его не приводим.
Очевидно, что при нулевом сальдо финансирования (которое всегда имеет место в замкнутой экономике, поскольку требования и задолженность и, таким образом, их изменения внутри страны всегда соответствуют друг другу) справедливо следующее:
Валовые инвестиции - амортизация = сбережения,
Чистые инвестиции = сбережения.
Данное ex-post-тождество не нуждается в обосновании: изменение чистого имущества в замкнутой экономике может происходить только при изменении ее вещественного богатства.
5. Учет «остального мира»
До сих пор мы анализировали отношения между отечественными экономическими субъектами. Для полноты системы национального счетоводства необходим другой полюс, который позволяет охватить «вторую сторону» возникающих в ходе экономической деятельности потоков — между жителями страны и иностранцами. Этим полюсом, или сектором, является «остальной мир», экономическое взаимодействие которого с резидентами в сжатой форме учитывается на счете «остальной мир». В дебет счета зачисляются статьи, вызывающие приток денег в нашу страну, т. е. экспорт товаров и услуг, включая факторные доходы, полученные жителями страны от «остального мира», и трансфертные платежи от «остального мира». Кредит отражает отток денег, связанный с импортом товаров и услуг, а также с выплатой факторных доходов и трансфертных платежей «остальному миру». В качестве сальдо счета выступает дефицит финансирования «остального мира» (нашей страны) с положительным (отрицательным) знаком, помещаемый в кредит этого счета.
Счет «остального мира*
Импорт (включая факторные доходы, переданные «остальному миру») Трансферты «остальному миру*
Экспорт (включая факторные доходы, полученные от «остального мира»)
Трансферты от «остального мира»
Сумма
=Сумма
6. Схема кругооборота экономической деятельности
Представленную выше экономическую активность, зафиксированную на счетах, можно весьма наглядно изобразить в виде схемы кругооборота. Если исходить из упомянутой выше высокой степени агрегирования, в простейшем случае в качестве «полюсов» кругооборота следует принять функциональные сферы экономики, такие как производство, образование доходов и богатства, «остальной мир» (см. рис. 9.2).
Схема стала бы еще более информативной при дезагрегировании, т. е. при более подробном рассмотрении секторов. Правда, тогда она очень быстро превратилась бы в необозримую.
|
Отечественное промежуточное потребление |
 |
|
Рис. 9.2. Кругооборот экономической деятельности в народном хозяйстве (структурирован чисто функционально) |
7. Дополнения и проблемы
В системе счетов Федерального статистического ведомства ФРГ производится более детальное функциональное дезагрегирование. Так, счет производства разделяется на счет производства и счет образования доходов, а счет доходов разделяется на счет распределения доходов, перераспределения доходов и использования доходов. Система счетов немецкого Федерального статистического ведомства изображена на рис. 9.3.
В заключение необходимо отметить, что центральной проблемой СНС является разграничение. Так, учитывается только продукция, ориентированная на рынок. Это означает, например, что домашний труд (как уже упоминалось), если он выполняется не прислугой, в СНС не учитывается. Важное значение имеет разграничение промежуточного потребления. Эта проблема отчасти связана с определением продукции. Если бы в стоимость производства домохозяйств включалась продукция, не ориентированная на рынок, некоторые закупки благ, классифицируемые сейчас как потребление, учитывались бы как промежуточное потребление. Воздействие было бы еще большим, если бы услуги «труд за плату» рассматривались как продукция домохозяйства. Трактовка государственного потребления в СНС также проблематична.
|
|
Секторы |
|
|
1. Предприятия 2. Государство 3. Домохозяйства |
|
|
0. Сводный счет благ
1
1. Счета производства
1-1-1- 2-1 -1- 3-1 -j-
2. Счета образования доходов
1-2-(- 2-2 -!- 3-2 -j-
3. Счета распределения доходов
1-3-- 2-3 -j- 3-3 -j-
4. Счета перераспределения доходов
1-4-j- 2-4 -j- 3-4 -1-
5. Счета использования доходов
1-5-!- 2-5 -!- 3-5 -!-
6. Счета изменения имущества
1-6-- 2-6 -(- 3-6 -j-
7. Счета финансирования
1-7 2-7 _j_ 3-7 -j-
8. Сводный счет «остального мира» |
|
|
|
|
Рис. 9.3. Система счетов немецкого Федерального статистического ведомства |
Если мы будем рассматривать производство и потребление предприятий и домохозяйств с точки зрения происходящих в обществе процессов, то окажется, что многие государственные услуги носят характер промежуточного потребления и не являются (как предполагается в СНС) конечным продуктом. Дискуссионной является и трактовка в СНС косвенных налогов и дотаций, например трансфертов, так как их можно воспринимать и как оплату за поставку определенных государственных продуктов промежуточного потребления или за услуги специфического государственного производственного фактора (и поэтому как факторный доход).
Но в конечном счете представленная здесь концепция является результатом многолетних дискуссий и международных норм и, несмотря на упомянутые выше свои слабости, нашла широкое применение.
Список основных понятий
¦ Валовой внутренний продукт по рыночным иенам
¦ Конечные продукты внутреннего производства
¦ Чистый внутренний продукт по рыночным ценам
¦ Чистый внутренний продукт по факторным издержкам
¦ Национальная база
¦ Факторные доходы
¦ Сбережения
¦ Национальный счет доходов
¦ Изменение богатства (имущества)
¦ Схема кругооборота экономической деятельности
¦ Продукция, ориентированная на рынок
¦ Система национальных счетов
¦ Представление потоков
¦ Функциональные сферы
¦ Счет производства
¦ Стоимость совокупного выпуска благ
¦ Стоимость продукции
¦ Чистый объем продукции
¦ Валовая добавленная стоимость
¦ Амортизация
¦ Чистый внутренний продукт по рыночным ценам
¦ Вклад сектора во внутренний доход
¦ Государственное потребление
¦ Национальный счет производства
¦ Внутренняя база
 |
І1І1ЯШІІІІШ11 |
? **4.*$?-Л,?вч
1) Объясните следующие термины:
¦ стоимость продукции,
¦ промежуточное потребление,
¦ валовая добавленная стоимость,
¦ амортизация,
¦ косвенные налоги,
¦ дотации,
¦ чистая добавленная стоимость.
2) Какая задача стоит перед системой национальных счетов?
3) Какое значение для системы национальных счетов имеет агрегирование?
4) Опишите общую структуру:
¦ счетов производства,
¦ счетов доходов,
¦ счетов изменения богатства.
5) Почему терминологически некорректно называть потребление предоставленных государством бесплатных услуг «государственным потреблением»?
6) Приведите примеры не поступающих на рынок товаров и услуг домохозяйств.
7) Покажите, что в замкнутой экономике чистые инвестиции ex post равны сбережениям.
8) Как в СНС создается фундаментальная симметрия национального дохода и чистого национального продукта (по факторным издержкам)?
9) Национальный продукт должен быть равен чистой продукции всей экономики. Как это достигается?
10) Прокомментируйте высказывание: «Повышение жалованья чиновникам увеличивает при прочих равных условиях чистый национальный продукт».
 |
¦ Студентам вузов следует обратить внимание прежде всего на следующее учебное пособие: ' .. '
Система национальных счетов. Инструмент макроэкономического анализа / Под . ред. Ю. Н. Иванова: Учебное пособие. М., 1996. |
¦ Мы рекомендуем предназначенное для специалистов в области учета статистики и финансов краткое пособие по системе национальных счетов:
Рябушкин Б. Т., Хоменко Т. А. Система национальных счетов. М., 1993.
¦ Тем, кто углубленно интересуется темой «Национальное счетоводство», желательно познакомиться с основательным учебником:
Национальное счетоводство / Под ред. Г. Д. Кулагиной. М„ 1997.
¦ Классической работой по национальному счетоводству является книга британского экономиста, Нобелевского лауреата по экономике Р. Стоуна:
Стоун Р. Метод затраты — выпуск и национальные счета. М., 1966.
Приложение: Система национальных счетов Российской Федерации1
В настоящем, предназначенном для углубленного изучения материала этой главы приложении содержится описание российской СНС на примере фактических данных за 1989-1996 гг. Российская СНС содержит шесть основных счетов для внутренней экономики, позволяющих отразить различные аспекты результатов функционирования экономики РФ за год.
1. Счет производства
Назначение счета производства состоит в том, чтобы всесторонне охарактеризовать процесс производства и отразить механизм образования валового внутреннего продукта по рыночным ценам. В соответствии с этим счет производства имеет следующую схему и характеризуется следующими фактическими данными (табл. 9п.1):
|
Таблица 9п.1 |
|
№ статьи |
Использование |
№ статьи |
Ресурсы |
|
4 |
Промежуточное потребление |
1 |
Валовой выпуск товаров и услуг |
|
5 |
Валовой внутренний продукт |
2 |
Налоги на продукты |
|
|
в рыночных ценах |
3 |
Субсидии на продукты (—) |
|
Счет производства (в текущих ценах; млрд руб.)
|
|
1989 |
1990 |
1991 |
1992 |
1993 |
1994 |
1995 |
1996 |
|
|
Ресурсы |
|
Выпуск в |
1107,3 |
1204,4 |
2612,1 |
39083,7 |
305481,0 |
1044341,5 |
2738014,4 |
3835531,0 |
|
ОСНОВНЫХ |
|
|
|
|
|
|
|
|
ценах
Налоги на |
106,1 |
115,5 |
141,1 |
3592,0 |
26028,6 |
71923,4 |
184071,2 |
265135,6 |
|
продукты Субсидии на |
64,8 |
70,9 |
90,0 |
3257,3 |
10471,2 |
24025,1 |
63640,2 |
95896,1 |
|
продукты (-) Всего |
1148,6 |
1249,0 |
2663,2 |
39418,4 |
321038,4 |
1092239,8 |
2858445,4 |
4004770,5 |
|
|
Использование |
|
Промежу- |
575,6 |
604,8 |
1264,7 |
20412,9 |
149528,9 |
481494,6 |
1273419,6 |
1804545,2 |
|
точное |
|
|
|
|
|
|
|
|
|
потребление Валовой . |
573,0 |
644,2 |
1398,5 |
19005,5 |
171509,5 |
610745,2 |
1585025,8 |
2200225,3 |
|
внутренний продукт в рыночных ценах |
|
|
|
|
|
|
|
|
|
Всего |
1148,6 |
1249,0 |
2663,2 |
39418,4 |
321038,4 |
1092239,8 |
2858445,4 |
4004770,5 |
|
|
Источник: Национальные счета России в 1989-1996 гг. М., 1998. С. 25. |
В правой (ресурсной) части отражается результат производственной деятельности каждого сектора или всей экономической деятельности в целом (валовой выпуск товаров и услуг). К нему добавляются налоги на продукты и вычитаются субсидии на продукты, представляющие собой разность между налогами на импорт и субсидиями (этим словом называют текущие безвозмездные платежи государства резидентам страны, являющимся товаропроизводителями или импортерами) на импорт. В левой части счета отражается объем промежуточного потребления, т. е. та стоимость товаров и услуг, которая вошла в натуральном и стоимостном выражении во вновь создаваемые продукты. Разность между итогом ресурсной части и промежуточным потреблением образует один из важнейших показателей процесса производства: валовой внутренний продукт по рыночным ценам.
2. Счет образования доходов
Назначение этого счета заключается в том, чтобы показать распределительные операции, непосредственно связанные с процессами производства, отразить механизм образования валовой и чистой прибыли всех участников производственной деятельности. В соответствии с этим счет образования доходов имеет следующую схему и характеризуется следующими фактическими данными (табл. 9п.2):
|
Таблица 9п.2 |
|
№ статьи |
Использование |
№ статьи |
Ресурсы |
|
3 |
Оплата труда |
1 |
Валовой внутренний продукт |
|
4 |
Налоги на производство и |
2 |
Субсидии на производство и |
|
5 |
импорт |
|
импорт |
|
6 |
Валовая прибыль |
|
|
|
7 |
Потребление основного |
|
|
|
|
капитала* |
|
|
|
|
Чистая прибыль* |
|
|
|
|
* В настоящее время в счете пока не находит отражения. |
|
Счет образования доходов (в текущих ценах; млрд, руб.) |
|
|
1989 |
1990 |
1991 |
1992 |
1993 |
1994 |
1995 |
1996 |
|
|
|
|
|
|
Ресурсы |
|
|
Валовой внутренний продукт в рыночных
ценах |
573,0 |
644,2 |
1398,5 |
19005,5 |
171509,5 |
610745,2 |
1585025,8 |
2200225,3 |
|
Всего |
573,0 |
644,2 |
1398,5 |
19005,5 |
171509,5 |
610745,2 |
1585025,8 |
2200225,3 |
|
|
Окончание табл. 9п.2 |
|
|
1989 |
1990 |
1991 |
1992 |
1993 |
1994 |
1995 |
1996 |
|
|
|
|
|
Использование |
|
|
Оплата
труда
наемных
работников
В том числе: |
267,0 |
314,4 |
610,9 |
6979,4 |
76346,2 |
300997,6 |
695804,4 |
1032508,9 |
|
скрытая оплата труда |
— |
— |
— |
— |
9100,0 |
52000,0 |
160000,0 |
250000,0 |
налоги на
производство и
импорт
В том числе: |
139,0 |
147,1 |
152,0 |
3892,9 |
28672,8 |
85044,1 |
253326,9 |
376726,0 |
налоги на
продукты |
106,1 |
115,5 |
141,1 |
3592,0 |
26028,6 |
71923,4 |
184071,2 |
265135,6 |
другие
налоги на
производ
ство |
32,9 |
31,6 |
10,9 |
300,9 |
2644,2 |
13120,7 |
69255,7 |
111590,4 |
Субсидии на производство и импорт(-)
В том числе: |
64,8 |
70,9 |
90,0 |
3257,3 |
10471,2 |
26640,9 |
66012,8 |
99314,2 |
|
субсидии на продукты, |
64,8 |
70,9 |
90,0 |
3257,3 |
10471,2 |
24025,1 |
63640,2 |
95896,1 |
|
другие субсидии на производство |
|
|
|
|
|
2615,8 |
2372,6 |
3418,1 |
Валовая прибыль экономики и
валовые
смешанные
доходы |
231,8 |
253,6 |
725,6 |
11390,5 |
76961,7 |
251344,4 |
701907,3 |
890304,6 |
|
Всего |
573,0 |
644,2 |
1398,5 |
19005,5 |
171509,5 |
610745,2 |
1585025,8 |
2200225,3 |
|
|
Источник: Национальные счета России за 1989-1996 гг. М., 1998. С. 26. |
Главная в данном счете — левая часть. Она характеризует элементы первичного распределения ВВП на оплату труда работников (т. е. заработную плату с учетом отчислений предприятий на социальное страхование), налоги на производство и импорт и прибыль.
Обратите внимание на то, что показатель валовой прибыли объединен с показателем валовых смешанных доходов. К смешанным доходам относят доходы от индивидуальной предпринимательской деятельности. Следует также отметить, что скрытой оплатой труда называют определяемую балансовым путем разность между суммарными расходами (всех видов, в том числе на финансовые активы) и формально зарегистрированными доходами.
3. Счета распределения доходов
Задача, стоящая перед счетами распределения доходов, заключается в том, чтобы синтезировать распределительные и перераспределительные операции доходов страны с учетом отношений с другими странами (при построении счета на уровне экономики в целом), или в том, чтобы дать характеристику распределительных и перераспределительных процессов между секторами (при построении счетов на уровне секторов). В соответствии с задачами схема обобщенного счета распределения доходов выглядит следующим образом и характеризуется следующими фактическими данными (табл. 9п.З):
|
Обобщенный счет1 распределения доходов (в текущих ценах; млрд рублей) |
|
|
1989 |
1990 |
1991 |
1992 |
1993 1994 |
1995 1996 |
|
|
Ресурсы |
Валовая прибыль экономики и
валовые
смешанные
доходы |
231,8 |
253,6 |
725,6 |
11390,5 |
76961,7 |
251344,4 |
701907,3 |
890304,6 |
|
|
Окончание табл. 9п.З |
|
|
1989 |
1990 |
1991 |
1992 |
1993 |
1994 |
1995 |
1996 |
|
|
Ресурсы |
Оплата
труда
наемных |
267,0 |
314,4 |
610,9 |
6979,4 |
76346,2 |
300749,1 |
694418,3 |
1030450,8 |
|
работников Налоги на |
139,0 |
147,1 |
152,0 |
3892,9 |
28672,8 |
85044,1 |
253326,9 |
376726,0 |
|
производ- |
|
|
|
|
|
|
|
|
|
ство и |
|
|
|
|
|
|
|
|
|
импорт Субсидии на |
64,8 |
70,9 |
90,0 |
3257,3 |
10471,2 |
26640,9 |
66012,8 |
99314,2 |
|
производ- |
|
|
|
|
|
|
|
|
|
ство и на |
|
|
|
|
|
|
|
|
|
импорт(-) Доходы от |
|
|
|
673,6 |
2262,5 |
6211,7 |
18165,1 |
20869,5 |
собственности, полученные от
¦остального |
|
|
|
|
|
|
|
|
мира*
Текущие
трансферты,
полученные |
|
|
|
581,5 |
1721.9 |
953,2 |
3469,8 |
3657,0 |
|
от «осталь- |
|
|
|
|
|
|
|
|
|
ного мира» |
|
|
|
|
|
|
|
|
|
Всего |
573,0 |
644,2 |
1398,5 |
19209,0 |
170588,9 |
606339,1 |
1572744,2 |
2175739,8 |
|
|
Использование |
|
Доходы от собственности, переданные «осталь- |
|
|
|
1057,6 |
4905,0 |
11322,5 |
32530,4 |
46953,9 |
|
ному миру» Валовой (национальный) |
573,0 |
644,2 |
1398,5 |
19207,6 |
170152,2 |
605195,2 |
1569737,1 |
2172997,0 |
|
располагаемый доход |
|
|
|
|
|
|
|
|
|
Всего |
573,0 |
644,2 |
1398,5 |
19209,0 |
170588,9 |
606339,1 |
1572744,2 |
2175739,8 |
|
|
Источник: Национальные счета России за 1989-1996 гг. М., 1998. С. 27. |
Отличие этого счета от всех предшествующих в том, что здесь впервые отразились перераспределительные операции с «остальным миром» (или секторами экономики). Подключение статей 4,5,7,8 к показателям счета образования доходов позволяет определить новую категорию — валовой (национальный) располагаемый доход. Здесь следует учесть, что в статьи 6 и 8, отражающие получение и передачу текущих трансфертов, включаются выплаты, связанные с социальным обеспечением и страхованием, налоги на доходы и имущество, штрафы и пени и т. д., и не включаются приведенные выше (косвенные) налоги и субсидии на производство и импорт.
4. Счет использования доходов
Назначение счета использования доходов состоит в том, чтобы показать, как валовой национальный располагаемый доход используется на конечное потребление и валовые сбережения. В соответствии с этим складывается схема данного счета, и он характеризуется следующими фактическими данными (табл. 9п.4).
|
Таблица 9п.4 |
|
№ статьи |
Использование |
№ статьи |
Ресурсы |
2
3 |
Конечное потребление
¦ домашних хозяйств,
¦ государственных учреждений и некоммерческих организаций, обслуживающих домашние хозяйства
Валовые сбережения |
1 |
Валовой национальный располагаемый доход |
|
|
Счет использования располагаемого дохода (в текущих ценах; млрд руб.) |
|
|
1989 |
1990 |
1991 |
1992 |
1993 |
1994 |
1995 |
1996 |
|
|
Ресурсы |
|
Валовой |
573,0 |
644,2 |
1398,5 |
19207,6 |
170152,2 |
605195,2 |
1569737,1 |
2172997,0 |
|
располагаемый доход |
|
|
|
|
|
|
|
|
|
Всего |
573,0 |
644,2 |
1398,5 |
19207,6 |
170152,2 |
605195,2 |
1569737,1 |
2172997,0 |
|
|
Использование |
|
Расходы на |
384,1 |
444,4 |
855,4 |
9183,6 |
106755,4 |
422052,7 |
1094931,4 |
1574550,2 |
|
конечное |
|
|
|
|
|
|
|
|
|
потребление, |
|
|
|
|
|
|
|
|
|
в том числе: |
|
|
|
|
|
|
|
|
домашних
хозяйств, |
266,0 |
305,0 |
565,6 |
6208,2 |
68019,6 |
267112,6 |
759065,4 |
1081499,2 |
государ
ственных |
115,3 |
133,9 |
230,9 |
2633,7 |
29758,2 |
136682,2 |
299391,0 |
445699,8 |
учреждений,
некоммер- |
2,8 |
5,5 |
58,9 |
341,7 |
8977,6 |
18257,9 |
36475,0 |
47351,2 |
|
ческих |
|
|
|
|
|
|
|
|
|
организаций, обслу- ' |
|
|
|
|
|
|
|
|
живающих
домашние
хозяйства
Валовые
сбережения |
188,9 |
199,8 |
543,1 |
10024,0 |
63396,8 |
183142,5 |
474805,7 |
598446,8 |
|
Всего |
573,0 |
644,2 |
1398,5 |
19207,6 |
170152,2 |
605195,2 |
1569737,1 |
2172997,0 |
|
|
Источник: Национальные счета России за 1989-1996 гг. М., 1998. С. 28. |
В правой части счета отражается валовой национальный располагаемый доход, а в его левой части — конечное потребление домашних хозяйств, государственных учреждений и некоммерческих организаций, обслуживающих домашние хозяйства, а также сальдовая статья — валовые сбережения. Они определяются путем расчета разности между валовым национальным располагаемым доходом и конечным потреблением. Это — балансирующая статья счета использования доходов. Если из валовых сбережений вычесть потребление основного капитала, получатся чистые сбережения.
5. Счет операций с капиталом
Назначение счета операций с капиталом заключается в том, чтобы дать всестороннюю оценку процесса реального накопления, его состава в виде основного и оборотного капитала, нематериальных и финансовых активов, а также источников финансирования этого накопления. В соответствии с назначением счета имеет место следующая его структура (табл. 9 п.5):
Таблица 9п.5
|
№ статьи |
Использование |
№ статьи |
Ресурсы |
|
3 |
Валовое накопление основного |
1 |
Валовые сбережения |
|
|
капитала |
2 |
Капитальные трансферты, полу- |
|
4 |
Изменение запасов материаль- |
|
ченные от «остального мира* (или |
|
|
ных оборотных средств |
|
от других секторов) |
|
5 |
Чистые покупки земли и нематериальных активов |
|
|
|
6 |
Капитальные трансферты в ¦остальной мир» (или другим секторам) |
|
|
|
7 |
Чистое кредитование (+) или чистое заимствование(-) |
|
|
|
|
нации |
|
Счет операций с капиталом (в текущих ценах; млрд руб.) |
|
|
1989 |
1990 |
1991 |
1992 |
1993 |
1994 |
1995 |
1996 |
|
|
|
|
|
|
Ресурсы |
|
|
Валовые
сбережения |
188,9 |
199,8 |
543,1 |
10024,0 |
63396,8 |
183142,5 |
474805,7 |
598446,8 |
Капитальны!
трансферты,
полученные
от «остально
го мира» |
|
|
|
|
816,1 |
9717,9 |
14197,2 |
15785,7 |
|
Капитальные трансферты, переданные «остальному миру»(-) |
|
|
|
|
|
7627,3 |
15788,6 |
18116,3 |
|
Всего |
188.9 |
199,8 |
543.1 |
10024.0 |
64212.9 |
185233.1 |
473214.3 |
596116.2 |
|
|
Окончание табл. 9п.5 |
|
|
1989 |
1990 |
1991 |
1992 |
1993 |
1994 |
1995 |
1996 |
|
|
|
|
|
Использование |
|
|
Валовое
накопление
основного
капитала |
182,0 |
184,9 |
325,4 |
4550,7 |
34964,9 |
133208,7 |
322075,2 |
449567І8 |
Изменение
запасов
материальных оборотных средств |
11,9 |
9,2 |
181,8 |
2031,4 |
11352,0 |
22762,7 |
35253,2 |
46504,8 |
Чистое кредитование (+), чистое
заимствование (-) и статистическое расхождение |
-5,0 |
5,7 |
35,9 |
3441,9 |
17896,0 |
29261,7 |
115885,9 |
100043,6 |
|
Всего |
188,9 |
199,8 |
543,1 |
10024,0 |
642і2,9 |
185233,1 |
473214,3 |
596116,2 |
|
|
Источник: Национальные счета России за 1989-1996 гг. М., 1998. С. 28. |
Здесь следует учесть, что понятие «капитальные трансферты» обозначает безвозмездные платежи, сделанные из капитала или сбережений тех, кто их предоставляет для финансирования каких-либо расходов длительного характера (типа накопления основного капитала или же приобретения нематериальных активов). А чистые покупки земли и нематериальных активов определяются как разность между покупками и продажами земли, патентов, авторских прав, торговых знаков и т. д. При этом, поскольку условно допускается, что такие сделки могут осуществляться только между резидентами, в целом по экономике данный показатель равен нулю.
6. Счет товаров и услуг
Счет товаров и услуг «закрывает» систему национальных счетов и строится на завершающем этапе их составления. Он включает основные статьи всех рассмотренных выше счетов, из которых в него переносится соответствующая информация. Рассматриваемый счет характеризует общие ресурсы товаров и услуг в целом и направления их использования. В соответствии с этим схема и фактические данные счета имеют следующий вид (табл. 9 п. 6):
|
Таблица 9п.6 |
|
№ статьи |
Использование |
№ статьи |
Ресурсы |
|
5 |
Промежуточное потребление |
1 |
Валовой выпуск товаров и услуг |
|
6 |
Конечное потребление |
2 |
Налоги на продукты |
|
7 |
Валовое накопление основного |
3 |
Импорт товаров и услуг |
|
|
капитала |
4 |
Чистые налоги на импорт |
|
8 |
Изменение запасов материаль- |
|
|
|
|
ных оборотных средств |
|
|
|
9 |
Экспорт товаров и услуг |
|
|
|
Счет товаров и услуг (в текущих ценах; млрд руб.)
|
|
1989 |
1990 |
1991 |
1992 |
1993 |
1994 |
1995 |
1996 |
|
|
Ресурсы |
|
Выпуск в |
1107,3 |
1204,4 |
2612,1 |
39083,7 |
305481,0 |
1044341,5 |
2738014,4 |
3835531,0 |
|
ОСНОВНЫХ |
|
|
|
|
|
|
|
|
|
ценах |
|
|
|
|
|
|
|
|
|
Импорт товаров и |
120,4 |
115,6 |
181,6 |
9173,2 |
52300,0 |
141665,5 |
373592,7 |
444651,3 |
услуг
Налоги на |
106,1 |
115,5 |
141,1 |
3592,0 |
26028,6 |
71923,4 |
184071,2 |
265135,6 |
|
продукты Субсидии на продукты (-) |
64,8 |
70,9 |
90,0 |
3257,3 |
10471,2 |
24025,1 |
63640,2 |
95896,1 |
|
Всего |
1269,0 |
1364,6 |
2844,8 |
48591,6 |
373338,4 |
1233905,3 |
3232038,1 |
4449421,8 |
|
|
Использование |
|
Промежу- |
575,6 |
604,8 |
1264,7 |
20412,9 |
149528,9 |
481494,6 |
1273419,6 |
1804545,2 |
|
точное |
|
|
|
|
|
|
|
|
|
потребление Расходы на |
384,1 |
444,4 |
855,4 |
9183,6 |
106755,4 |
422052,7 |
1094931,4 |
1574550,2 |
|
конечное |
|
|
|
|
|
|
|
|
потребление
Валовое |
193,9 |
194,1 |
507,2 |
6582,1 |
46316,9 |
155971,4 |
357328,4 |
496072,6 |
|
накопление |
|
|
|
|
|
|
|
|
|
Экспорт товаров и |
125,5 |
117,0 |
185,6 |
11847,5 |
65524,7 |
169534,3 |
424889,0 |
531503,3 |
услуг
Статисти- |
-10,1 |
4,3 |
31,9 |
565,5 |
5212,5 |
4852,3 |
81469,7 |
42750,5 |
|
ческое |
|
|
|
|
|
|
|
|
|
расхожде- |
|
|
|
|
|
|
|
|
|
ние |
|
|
|
|
|
|
|
|
|
Всего |
1269,0 |
1364,6 |
2844,8 |
48591,6 |
373338,4 |
1233905,3 |
3232038,1 |
4449421,8 |
|
|
Источник: Национальные счета России за 1989-1996 гг. М., 1998. С. 25. |
Здесь следует учесть, что показатель валового накопления включает изменение запасов как основного капитала, так и материальных оборотных средств.
Глава 1 О
НАЦИОНАЛЬНЫЙ продукт И ПЛАТЕЖНЫЙ БАЛАНС
ШШШ»;
Каковы основные компоненты национального продукта и национального дохода, в чем состоит их содержание?
¦ Как перейти от стоимости продукции в экономике к национальному продукту? Что такое национальный продукт?
¦ Что такое национальный доход и из каких видов доходов он складывается?
¦ Как используется национальный продукт?
¦ В чем состоит различие между номинальным и реальным национальным продуктом и почему это различие имеет важное значение?
¦ С помошью каких элементов национального продукта описывается структура немецкой и российской экономик?
Является ли национальный продукт приемлемым показателем оценки благосостояния общества? Возможна ли его замена социальными показателями?
¦ Почему национальный продукт не в полной мере отражает совокупный выпуск экономики?
¦ Как влияет отсутствие учета важных капитальных благ на расчет национального продукта?
¦ Почему при более тщательном рассмотрении государственное потребление (по крайней мере частично) учитывается как промежуточное потребление?
¦ Какие значимые для благосостояния общества факторы не могут быть выражены в денежном измерении?
¦ Что такое социальные показатели и какие основные проблемы возникают при их использовании?
Что такое платежный баланс и какова его структура в ФРГ и в Российской Федерации?
¦ Какие процессы отражает платежный баланс?
¦ Какова структура платежного баланса?
¦ Какие выводы о структуре немецкой и российской экономики позволяет сделать анализ отражаемых в платежном балансе потоков?

1. Понятие и расчет национального продукта
1.1. Сущность понятия «национальный продукт»
Изучив счета производства отдельных секторов экономики, мы вновь обращаемся к одному из центральных понятий экономической теории — национальному продукту.
Вспомним счет производства отдельного сектора. По его кредиту как важнейшая величина указывается стоимость выпуска продукции сектора. Суммируя стоимость продукции всех секторов: предприятий, домохозяйств и государства, мы получаем стоимость продукции экономики. Было бы неправильно рассматривать эту сумму как показатель выпуска «впервые произведенных благ» в течение одного года. В каждом секторе производства должны использоваться промежуточные продукты, т. е. произведенная в тот же период продукция других секторов. Если же мы просто суммируем стоимость всех благ, включая блага, идущие на промежуточное потребление, возникнет так называемый двойной счет: один раз мы учитываем эту стоимость при вычислении стоимости выпуска сектора, производящего продукцию промежуточного потребления, второй раз — при расчете стоимости выпуска сектора, использующего те же продукты, поскольку они также входят в стоимость его товаров.
Особенно отчетливо эта взаимосвязь прослеживается на простом примере. Рассмотрим процесс производства хлеба, исходя из допущения, что мука является единственным ресурсом, а амортизация отсутствует. За определенный период времени фермер производит некий объем пшеницы, не используя никаких промежуточных продуктов. Он продает пшеницу за DM 100 мельнику, который в тот же период производит муку и продает пекарю за 200 марок. Наконец? пекарь изготовляет из муки хлеб, который в тот же период продает за DM 400 домохозяйствам. Стоимость выпуска всех предприятий в этом примере составляет:
DM 100 + DM 200 + DM 400 = DM 700.
Но можно ли считать это стоимостью благ, произведенных в экономике за рас* сматриваемый период? Конечно, нет, так как мельник должен был потребить пшеницу стоимостью DM 100, чтобы произвести из нее муку стоимостью DM 200, а пекарю была необходима мука стоимостью DM 200, чтобы произвести из нее хлеба на DM 400. Следовательно, мельнику и пекарю для производства необходимо затратить в общей сложности DM 300. Поэтому совокупная стоимость вновь произведенных конечных благ всех предприятий составляет лишь:
Стоимость выпуска - промежуточное потребление
= валовой внутренний продукт
и налоги на импорт
DM 700 DM 300 DM 400
Следовательно, валовой внутренний продукт равен общей стоимости выпуска за вычетом промежуточного потребления.
В 1993 г. в ФРГ1 (см. гл. 9) стоимость выпуска и промежуточное потребление отдельных секторов (в млрд DM) составили: |
Стоимость продукции предпринимательского сектора 611
Стоимость продукции государственного сектора 106
Стоимость продукции домохозяйств2 . 6035 |
|
Стоимость продукции, произведенной внутри страны 6752
Промежуточное потребление предпринимательского сектора 3654 Промежуточное потребление государства и домохозяйств 342 |
Промежуточное потребление внутри страны 3996
Таким образом, валовой внутренний продукт составил:
Общая стоимость выпуска- 6752
- промежуточное потребление - 3996
+ не вычитаемый налог на добавленную стоимость (+импортные пошлины) 76 |
|
Валовой внутренний продукт по рыночным ценам =2832 |
|
Если вычесть из валового внутреннего продукта, оцененного по рыночным ценам (поскольку именно по этим ценам мы оценили производство), еще и амортизацию, то мы получим чистый внутренний продукт (по рыночным ценам).
Валовой внутренний продукт по рыночным ценам - 2832
-амортизация_~ 380
Чистый внутренний продукт по рыночным ценам = 2452
До определения чистого национального продукта остается лишь один шаг. Чистый внутренний продукт представляет собой стоимость вновь произведенных за определенный период благ внутри страны. В процессе производства этой продукции участвуют используемые внутри страны как отечественные, так и зарубежные производ-
ственные факторы. Возьмем в качестве примера жителей приграничных зон, скажем, датчан, которые живут в одной, а работают в другой стране, например в ФРГ (следовательно, они имеют там статус иностранцев), или случай, когда патент на изобретение, сделанный за рубежом и принадлежащий иностранцу, используется в производственном процессе в нашей стране. (Приглашенные иностранные работники, имеющее постоянное место жительства в данной стране, считаются резидентами). Эти иностранные производственные факторы принимали участие в производстве части внутреннего продукта и получили за это соответствующий факторный доход.
Наоборот, отечественные производственные факторы участвовали в производстве за рубежом и получили за это факторный доход из-за границы.
Национальный продукт — это стоимость благ, которые в течение определенного периода были произведены резидентами страны (внутри страны или за границей). Таким образом, из внутреннего продукта мы вычитаем выплаченные «остальному миру» факторные доходы (как вознаграждение за поставку соответствующих благ) и прибавляем к нему полученные от «остального мира» факторные доходы (носящие тот же характер). Отечественный продукт называется национальным продуктом.
Следовательно, мы можем дать определение:
Национальный продукт — это общая стоимость благ, произведенных в течение года резидентами страны, за вычетом промежуточного потребления.
Чистый национальный продукт ФРГ в 1993 г. (исходя из вычисленного выше чистого внутреннего продукта) равнялся (в DM млрд):
= чистый национальный продукт =2 440
Если при расчете национального продукта не вычитать амортизацию (D), мы получаем не чистый национальный продукт (Y), а валовой национальный продукт (Yb). В 1993 г. валовой национальный продукт ФРГ оценивается в размере DM 2820 млрд. Валовой национальный продукт может быть исчислен также, если к чистому национальному продукту вновь добавить амортизацию. Таким образом, верно следующее:
Валовой национальный продукт Yb
(В ФРГ в 1993 г.:
DM 2820 млрд
Т. е. Чистый национальный
продукт
Y
Чистый национальный продукт + Амортизация Y + D
DM 380 млрд)
- DM 2440 млрд
= Валовой национальный продукт - Амортизация = Yb - D
1.2. Национальный доход
Зададимся вопросом: каковы были доходы, образовавшиеся при производстве национального продукта? Как мы видели, в каждом секторе создается (произведенный) доход, равный чистой добавленной стоимости (см. гл. 9), складывающийся из доходов наемных работников, доходов от предпринимательской деятельности и доходов от имущества. Сумма чистой добавленной стоимости секторов образует подавляющую часть всех полученных при создании национального продукта доходов. Помимо нее сюда включаются факторные доходы, полученные от «остального мира», и вычитаются факторные доходы, переданные «остальному миру». Получаем национальный доход — (произведенный) доход всех резидентов. Национальный доход состоит из доходов наемных работников (L), а также из доходов от предпринимательской деятельности и от имущества (G).
Национальный доход = L + G.
Национальным доходом называют также национальный продукт по факторным издержкам. В 1993 г. национальный доход ФРГ составил DM 2108 млрд. Данный показатель легко проверить, суммировав чистую добавленную стоимость секторов (см. гл. 9, раздел 2.2) и сложив или отняв доходы, полученные от «остального мира» или переданные «остальному миру» (все данные в DM млрд):
1170 + 280 + 70+ 142-154 = 2108.
Доходы от предпринимательской деятельности и имущества при этом составили DM 580 млрд, а доходы наемных работников — DM 1528 млрд.
1.3. Располагаемый доход домашних хозяйств
Часть национального дохода домохозяйства не получают; следовательно, они не могут ее ни потребить, ни сберечь. Речь идет о нераспределенной прибыли предприятий, факторных доходах государства от предпринимательской деятельности и имущества, прямых налогах, которые домохозяйства и предприятия должны заплатить государству (включая взносы на социальное страхование). С другой стороны, домохозяйства получают от государства так называемые односторонние платежи (трансферты), достигающие значительного размера (пенсии, пособия по безработице и т. п.). Если при оценке национального дохода ФРГ учесть все эти потоки, то окажется, что в 1993 г. располагаемый доходдомохозяйств составил DM 1833 млрд.
Мы еще будем рассматривать располагаемый доход домохозяйств как важнейшую детерминанту потребления домохозяйств. Домохозяйства могут распоряжаться располагаемым доходом двояко (мы не учитываем трансферты домохозяйств, которые при вычислении располагаемых доходов не принимаются во внимание, например, пожертвования домохозяйств другим секторам): они могут потребить его (С
н) или направить в сбережения (S
H). Независимо от формы сбережений («в чулке», в сберкассе, в ценных бумагах) справедливо следующее соотношение:
Располагаемый доход = С
н + S
H.
1.4. Использование национального продукта
Экономика располагает как произведенными внутри страны (валовой национальный продукт Yb), так и импортированными (Іт) благами, которые могут использоваться тремя способами.
¦ Потребление домохозяйств (С
н) и государства1 (С
5). К частному потреблению относятся все покупки благ домохозяйствами (за исключением домов и земельных участков), включая также предметы длительного пользования, такие как автомашины и холодильники.
¦ Вывоз = Экспорт (Ех).
¦ Содержание и расширение капитального запаса предприятий и государства, т. е. валовые инвестиции предприятий (If.) и государства (If). Когда говорят о «валовых» инвестициях, это означает, что данные вложения увеличивают капитальный запас не на всю их сумму — поскольку необходимо возмещение износа капитальных благ, измеряемого суммой амортизации за рассматриваемый период.
К капитальным благам, или инвестиционным благам, предприятий относятся здания, земельные участки, машины и оборудование, склады; к капитальным благам государства — здания,дороги, аэропорты,каналы и т.п.
Таким образом, поскольку в распоряжении страны имеются блага в объеме Yb + Im, используемые для частного потребления (С
н), для государственного потребления (C
s), для валовых инвестиций предприятий (If,) и государства (If), а также для экспорта, справедливо следующее соотношение:
Yb + Im = С„ + Cs + + If + Ex;
C„ + Cs.C + Iii+lS-I*!
Y" = C + lb + Ex - Im,
Это уравнение представляет собой второе, часто используемое определение национального продукта:
(Валовой) национальный продукт — это общая стоимость благ, потребляемых, инвестируемых или экспортируемых (за вычетом импорта) в экономике в течение года.
Если подставить в приведенное определение соответствующие реальные показатели ФРГ в 1993 г., то мы получим (в DM млрд):
2820= 1560 + 506 + 540 + 214.
Следовательно, 55,3% валового национального продукта ФРГ в 1993 г, было использовано для частного потребления, 17,9% — для потребления государством, 19,2% было направлено в валовые инвестиции, т. е. использовано для обеспечения роста экономики в будущем, 7,6% в чистом виде (за вычетом импорта) предоставлено ¦остальному миру». Ex - Im называется также чистым экспортом, или внешним вкладом.
' В англоязычных учебниках по макроэкономике формы использования благ обычно подразделяют на частное потребление, частные инвестиции, государственные закупки (всех) товаров и услуг, а также экспорта, Иными словами, в этих учебниках дается более агрегированное представление государственных расходов на блага.
1.5. Номинальный и реальный национальный продукт
Чтобы отслеживать изменение национального продукта, недостаточно оценивать объем благ по текущим ценам и затем рассматривать в данных ценах изменение национального продукта (номинальный национальный продукт). Ведь стоимость продукта может увеличиться как за счет увеличения количества благ, так и за счет повышения цен. Следовательно, если мы хотим оценить физическое изменение национального продукта (например, для оценки экономического роста), следует элиминировать ту часть прироста национального продукта, которая обусловлена повышением цен. Этого можно достичь, измеряя национальный продукт в ценах некоторого базисного года (в постоянных ценах), например 1995 г. Физический объем благ 1996,1997 гг. ит. д. взвешивается по ценам 1995 г. Получается «реальный» национальный продукт года, изменения которого показывают развитие физического объема производства.
Эти рассуждения можно проиллюстрировать на следующем примере. Допустим, что национальный продукт состоит только из потребительских и инвестиционных благ. В течение четырех лет имели место следующие количества благ, цены на них и объемы национального продукта.
Годы
Показатели |
1-й 1 |
2-й |
3-й |
4-й |
|
Потребительские блага (в натуральных единицах) |
100 |
ПО |
105 |
100 |
|
Инвестиционные блага (в натуральных единицах) |
50 |
60 |
55 |
50 |
|
Цена за единицу потребительского блага |
10 |
11 |
10 |
12 |
|
Цена за единицу инвестиционного блага Национальный продукт в текущих ценах (соответ- |
20 |
30 |
20 |
35 |
|
ствует номинальному национальному продукту) Национальный продукт в ценах первого года (соот- |
2000 |
ЗОЮ |
2150 |
2950 |
|
ветствует реальному национальному продукту) |
2000 |
2300 |
2150 |
2000 |
Если сравнить производство номинального национального продукта по годам с показателем первого года, то окажется, что рост по сравнению с первым годом может иметь несколько причин:
¦ рост физического объема и цены благ (2-й год);
¦ рост физического объема благ при неизменных ценах благ (3-й год);
¦ неизменное количество благ при растущих ценах (4-й год).
Обеспеченность экономики благами увеличилась только на второй и третий годы,
что выразилось в росте реального национального продукта (национальный продукт в ценах первого года) (год второй: 2300 по сравнению с 2000; год третий: 2150 по сравнению с 2000). В течение четвертого года обеспеченность благами по сравнению с первым осталась неизменной, что отражается в не изменившихся показателях реального национального продукта.
Различие между номинальными и реальными величинами имеет значение не только при анализе национального продукта. Данное различие важно прежде всего при рассмотрении составных частей национального продукта (потребления, частных инвестиций, экспорта и импорта), а также национального дохода и его компонентов (суммы зарплаты, суммы прибыли, а также располагаемого дохода домохозяйств).
Врезка 10.1.
Система национальных счетов России: данные за 1996 г.
Система
национальных счетов России
|
Таблица 10а |
|
|
|
Абсолютные |
Доля расходов |
|
|
|
значения |
(в % от ВВП) |
|
|
|
(в трлн руб.) |
|
|
1. |
Валовая стоимость продукции, произведенной внутри страны |
3836 |
|
|
2. |
Промежуточное потребление, использован- |
1805 |
|
|
3. |
ное внутри страны
Косвенные налоги за вычетом субсидий и |
169 |
|
|
|
импортных пошлин |
|
|
|
4. |
Валовой внутренний продукт по рыночным ценам (1 - 2 + 3 = 8 + 9+10+11 + 12+13) |
2200 |
|
|
5. |
Факторные доходы, полученные от «осталь- |
59 |
|
|
6. |
ного мира»
Факторные доходы, переданные «остальному миру» |
87 |
|
|
7. |
|
Валовой национальный доход по рыночным ценам (4 + 5-6) |
2172 |
|
|
|
|
8. |
Частное потребление |
1366 |
62,1 |
|
9. |
Государственное потребление |
208 |
9,5 |
|
10. |
Валовые инвестиции в основной капитал |
453 |
20,6 |
|
11. |
Прочие инвестиции |
43 |
1,9 |
|
12. |
Чистый экспорт |
87 |
4 |
|
13. |
Статистическое расхождение |
43 |
1,9 |
|
14. |
Валовое сбережение |
598 |
|
|
15. |
Валовой располагаемый доход (8 + 9 + 14) |
2172 |
|
|
Рассчитано по: Национальные счета России в 1989-1996 гг. М., 1998 |
. С.50, 72-75. |
|
Система национальных счетов РФ (подробно представленная в Приложении и в гл. 9) в некоторых аспектах существенно отличается от принятой в ФРГ. Во-первых, в российской системе основной акцент делается не на национальный, а на внутренний продукт (тем самым она в большей степени отвечает новым, введенным в 1993 г.пра-вилам ООН). Во-вторых, валовой национальный продукт в российской системе называется «валовым национальным доходом», а собственно национальный доход (как сумма доходов наемных работников от предпринимательской деятельности и от имущества) не рассчитывается. В-третьих, в систему национальных счетов не включаются амортизация основного капитала и, следовательно, чистый внутренний продукт. В-четвертых, в показателе «валовой располагаемый доход» учитываются потребление и сбережения всех секторов экономики (а не только домохозяйств, как в системе национальных счетов Германии).
На рис. 10.1 показана эволюция реального (в ценах 1991 г.) и номинального (в текущих ценах) валового внутреннего продукта ФРГ.
Изменение по сравнению с предыдущим годом в процентах В текущих ценах В ценах 1991 года
|
+10 |
 |
|
Рис.10.1. Номинальный и реальный валовой внутренний продукт ФРГ. Источник: Statistisches Jahrbuch. 1994. S. 691. |
+ 10
+8
+6
+4
+2
0
-2
ІІ
..II
міпиіга
1981 82 8384858687888990919293 1981 828384858687888990919293
Врезка 10.2
Номинальный и реальный внутренний продукт в России
Таблица 106
Динамика номинального и реального ВВП России (по данным за 1990-е г.) |
|
Годы |
ВВП в текущих ценах |
ВВП в сопоставимых ценах |
Абсолютные
значения (млрд, руб.)* |
Изменение
относительно
предыдущего года (в %) |
В %
к предыдущему . году |
Изменение (в %) относительно
предыдущего года |
|
1990 |
0,6 |
|
97,0 |
-3,0 |
|
1991 |
1,4' |
117 |
95 |
-5,0 |
|
1992 |
19,0 |
1259 |
85,5 |
-14,5 |
|
1993 |
171,5 |
802 |
91,3 |
-8,7 |
|
1994 |
610,6 |
256 |
87,3 |
-12,7 |
|
1995 |
1631,0 |
167 |
95,9 |
-4,1 |
|
1996 |
2256,1 |
38 |
95,1 |
-4,9 |
|
|
* Начиная с 1994 г. — трлн руб. |
Рассчитано по: Российский статистический ежегодник. М., 1997. С. 304.
Данные динамики номинального и реального ВВП в России иллюстрируют необходимость второго из этих показателей. Колоссальный рост показателей номинального ВВП может вполне сочетаться со значительным уменьшением показателей реального продукта, как это и имело место в России в 1990-х гг. Такая ситуация была обусловлена глубоким спадом производства, сопровождавшимся
2. Структура экономики
Соотношение частей экономики между собой или по отношению ко всей экономике характеризует структуру конкретной экономики. С некоторыми из этих структурных показателей мы уже познакомились в разделе 1 настоящей главы (использование национального продукта, разделение национального дохода на зарплату и прибыль). В дальнейшем мы обратимся к другим важным (представляемым через показатели национального продукта) структурным элементам экономики ФРГ.
2.1. Вклад различных секторов экономики в валовой внутренний продукт
Всю совокупность представленных в табл.ЮЛ предприятий можно разделить на три группы: первичный сектор (сельское и лесное хозяйства и рыболовство), вторичный сектор (производство материальных благ) и третичный сектор (торговля, транспорт и предприятия сферы услуг). Вторичный сектор состоит из предприятий энерго- и водоснабжения, горнодобывающей, обрабатывающей и строительной промышленности. Обрабатывающая промышленность включает в себя такие отрасли, как сталелитейная промышленность, машиностроение, электротехника, пищевая промышленность, деревообрабатывающая, целлюлозно-бумажная и полиграфическая промышленность. В рамках сферы услуг в Германии преобладают предприятия, арендующие квартиры, кредитные учреждения и страховые компании. В статье «Государство» помимо органов трех уровней государственного управления учитывается сфера социального страхования. Кдомашним хозяйствам относят также организации некоммерческого характера (профсоюзы, партии, ассоциации, церкви).
Данные этой таблицы из-за округлений и погрешностей статистического измерения могут незначительно отличаться отданных других таблиц этой же главы.
Большая часть производственной деятельности осуществляется еще в сфере производства товаров (особенно в обрабатывающей промышленности), затем по степени значимости следуют предприятия, предоставляющие услуги, торговля и транспорт, государство. Очевидно, что относительное значение первичного сектора (измеренное по его вкладу в валовой внутренний продукт) с 1970 по 1994 г. существенно уменьшилось. Относительная роль производства товаров значительно снизилась при одновременном возрастании роли предоставляющих услуги предприятий. Правомерно сделать вывод о том (учитывая и роль государства), что находит полное подтверждение тезис о том, что с достижением высоких стадий экономического развития относительная значимость сферы услуг в экономике увеличивается — факт, который важен, помимо прочего, для определения предполагаемых пределов ее роста, ведь сфера услуг нуждается в относительно малом количестве сырья.
Врезка 10.3.
Отраслевая структура экономики России
Таблица 10в.
Участие отдельных отраслей российской экономики в производстве валовой добавленной стоимости в 1996 г. (в текущих иенах) |
|
Отрасль экономики |
Валовая добавленная стоимость |
|
трлн. руб. |
В % от ВВП |
|
Производство товаров, |
974 |
43,2 |
|
в том числе: |
|
|
|
Промышленность |
621 |
27,5 |
|
Сельское и лесное хозяйство |
152 |
6,7 |
|
Строительство |
187 |
8,3 |
|
Производство услуг, |
1093 |
48,4 |
|
в том числе: |
|
|
|
Транспорт и связь |
293 |
13,0 |
|
Торговля, общепит и заготовки |
331 |
14,7 |
|
Финансы, кредит, страхование |
18 |
0,8 |
|
Наука, научное обслуживание, образование, |
|
|
|
культура и искусство |
16 |
0,7 |
|
Управление |
13 |
0,6 |
|
Косвенно измеряемые услуги финансового |
-12 |
-0,5 |
|
посредничества |
|
|
|
Чистые налоги на продукты и на импорт (налоги |
201 |
8,9 |
|
за вычетом субсидий) |
|
|
|
Валовой внутренний продукт |
2256 |
100,0 |
|
Рассчитано по: Российский статистический ежегодник. М., 1997. С. 314. |
|
|
Отраслевая структура валового внутреннего продукта России несколько отличается от структуры ВВП ФРГ, |
В российской экономике по сравнению с экономикой Германии гораздо большую роль играет сельское хозяйство. В то же время меньшее значение имеет сфера услуг, в частности финансовый сектор, доля которого в ВВП (несмотря на бурное развитие финансовых рынков и институтов) остается незначительной. Такая отраслевая структура российской экономики определяется двумя основными причинами. Первая причина — «родимые пятна» плановой системы, при которой акцент делался на производстве материальных благ (особенно средств производства), а не услуг. Вторая причина заключается в том, что, как правило, низкая доля сферы услуг в экономике коррелирует с низким уровнем ВВП. Завершение перехода российской экономики к рыночным отношениям и экономический рост будут способствовать повышению доли продукции сферы услуг в ВВП России (см. врезку 28.1). Динамику отдельных секторов экономики России за первую половину 1990-х гг. см. во врезке 3.2.
Таблица 10.1
Участие отдельных секторов германской экономики в производстве валового внутреннего продукта в текущих иенах |
|
Отрасли |
1970 г. |
1980 г. |
1980 г. |
|
DM млрд |
в % |
DM млрд |
в % |
DM млрд |
в % |
|
Сельское и лесное хозяйства, |
|
|
|
|
|
|
|
рыболовство |
21,8 |
3,3 |
30,4 |
2,1 |
35,6 |
1,1 |
|
Производство товаров, |
333,7 |
49,4 |
632,2 |
42,7 |
1135,4 |
34,2 |
|
в том числе: |
|
|
|
|
|
|
|
энерго- и водоснабжение, горно- |
(22,7) |
(3,4) |
(50,2) |
(3,4) |
(*) |
(*) |
|
добывающая промышленность; |
|
|
|
|
|
|
|
обрабатывающая промышлен- |
(259,5) |
(38,4) |
(482,8) |
(32,6) |
(*) |
(*) |
|
ность |
|
|
|
|
|
|
|
строительная промышленность; |
(51,5) |
(7,6) |
(99,2) |
(6,7) |
(*) |
(*) |
|
Торговля и транспорт |
103,5 |
15,8 |
225,6 |
15,3 |
455,4 |
13,7 |
|
Предприятия сферы услуг |
114,4 |
16,9 |
335,1 |
22,7 |
1 132,3 |
34,1 |
|
Государство |
62,9 |
9,3 |
172,4 |
11,6 |
|
|
|
Домашние хозяйства (включая |
10,0 |
1,5 |
27,2 |
1,8 |
|
|
|
частные организации некоммер- |
|
|
|
|
450,2 |
16,3 |
|
ческого характера) |
|
|
|
|
|
|
|
Минус: предполагаемые платежи |
17,9 |
2,7 |
53,9 |
3,6 |
(*) |
(*) |
|
за банковские услуги |
|
|
|
|
|
|
|
Плюс; невычитаемые сборы за |
+47,2 |
+7,0 |
+ 110,0 |
+7,4 |
(*) |
(*) |
|
ВВОЗ |
|
|
|
|
|
|
|
Всего ВВП |
675,3 |
100 |
1 479,0 |
100,0 |
3 320,0 |
100,0 |
|
* Данные недоступны.
Источник: Statistisches Jahrbuch за разные годы. Wirtschaft und Statistik. 1995. Jan. S. 13 (данные за 1994 г. включают новые федеральные земли).
2.2. Распределение валового внутреннего продукта в ФРГ по федеральным землям
От анализа относительного значения отдельных экономических сфер в ФРГ мы переходим к анализу относительных ролей отдельных федеральных земель. Критерием их значимости является валовой внутренний продукт.
Таблица 10.2
Распределение валового внутреннего продукта в ФРГ по федеральным землям |
|
|
1970 г. |
1980 г. |
1993 г. |
|
Федеральные земли |
DM |
в % к |
DM |
в % к |
DM |
в % к |
|
|
млрд |
итогу |
млрд |
итогу |
млрд |
итогу |
|
Шлезвиг—Гольштейн |
23,0 |
3,4 |
53,3 |
3,6 |
98,7 |
3,2 |
|
Гамбург |
33,6 |
4,9 |
68,2 |
4,6 |
123,9 |
4,0 |
|
|
Продолжение табл. 10.2 |
|
|
1970 г. |
1980 г. |
1993 г. |
|
Федеральные земли |
DM |
в % к |
DM |
в % к |
DM |
в % к |
|
|
млрд |
итогу |
млрд |
итогу |
млрд |
итогу |
|
Нижняя Саксония |
66,4 |
9,8 |
148,8 |
10,1 |
277,6 |
8,9 |
|
Бремен |
11,0 |
1,6 |
22,3 |
1,5 |
36,8 |
1,2 |
|
Северный Рейн-Вестфалия |
193,5 |
28,7 |
406,4 |
27,5 |
709,2 |
22.8 |
|
Гессен ' |
62,5 |
9,3 |
144,4 |
9,8 |
307,0 |
9,9 |
|
Рейнланд-Пфальц |
35,9 |
5,3 |
79,0 |
5,3 |
140,5 |
4,5 |
|
Баден-Вюртемберг |
105,3 |
15,6 |
231,2 |
15,6 |
466,1 |
15,0 |
|
Бавария |
107,4 |
15,9 |
249,7 |
16.9 |
526.6 |
16.9 |
|
Саарская земля |
9,9 |
1,5 |
22,3 |
1,5 |
40,1 |
1,3 |
|
Берлин (Западный) |
26,8 |
4,0 |
53,4 |
3,6 |
105,6 |
3,4 |
|
Берлин (Восточный) |
|
|
|
|
25,8 |
0,8 |
|
Бранденбург |
|
|
|
|
45,1 |
1,5 |
|
Мекленбург-Форпоммерн |
|
|
|
|
31,5 |
1,0 |
|
Саксония |
|
|
|
|
81.5 |
2,6 |
|
Саксония-Анхальт |
|
|
|
|
49,9 |
1,6 |
|
Тюрингия |
|
|
|
|
41,7 |
1,3 |
|
Всего (ВВП) |
3107,5 |
675,3 |
100.0 |
1479,0 |
100,0 |
100,0 |
|
Источник'. Statistisches Jahrbuch. 1994. S. 707.
Доминирующая позиция в экономике ФРГ принадлежит федеральной земле Северный Рейн-Вестфалия. Ее вклад в валовой внутренний продукт в 1993 г. почти так же велик, как вклады Баден-Вюртемберга, Гамбурга и Шлезвиг-Гольштейна вместе взятых. Но в течение 1970-1993 гг. относительное значение земли Северный Рейн-Вестфалия снижалось. Кроме того, в связи с присоединением новых федеральных земель в небольшой степени уменьшились процентные доли старых земель.
Врезка 10.4.
Вклад субъектов
Российской .....
Федерации в валовой внутренний продукт
Данные табл. Юг показывают региональное распределение внутреннего продукта в России. Около 1 /
5 ВВП производится в Центральном районе; при этом почти ?
3 совокупной добавленной стоимости этого региона создается в Москве и Московской области. Данное обстоятельство объясняется следующим. В Москве — как столице Российской Федерации — сосредоточен (разросшийся за годы реформ) правительственный бюрократический аппарат. Его деятельность оплачивается чрезвычайно высоко (если сравнивать со средним уровнем заработной платы в России). Именно поэтому Москва вносит столь большой вклад в валовой внутренний продукт РФ. Другими важнейшими в экономическом смысле регионами являются Сибирь, Урал и Поволжье. Среди отдельных областей наибольшую роль в хозяйственном развитии страны (помимо Москвы и Московской области) играют Тюменская, Свердловская и Самарская области, Красноярский край, а также Санкт-Петербург и Ленинградская область.
Продолжение врезки 10.4
Таблица Юг
Структура валового регионального продукта в 1995 г.* |
|
Регион |
Доля в валовом региональном продукте (в %) |
|
Центральный район, |
20,9 |
|
в том числе: |
|
|
Москва |
10,2 |
|
Московская область |
3,4 |
|
Западно-Сибирский район |
15,5 |
|
Тюменская область |
7,7 |
|
Кемеровская область |
2,6 |
|
Уральский район |
14,5 |
|
Свердловская область |
4,1 |
|
Республика Башкортостан |
2,8 |
|
Пермская область |
2,6 |
|
Челябинская область |
2,4 |
|
Поволжский район |
10,5 |
|
Самарская область |
3,2 |
|
Республика Татарстан |
2,7 |
|
Восточно-Сибирский район |
7,2 |
|
Красноярский край |
3,1 |
|
Иркутская область |
2,4 |
|
Северо-Кавказский район |
6,3 |
|
Краснодарский край |
2,2 |
|
Дальневосточный район |
5,8 |
|
Северный район |
5,4 |
|
Северо-Западный район |
4,8 |
|
Санкт-Петербург |
3,3 |
|
Ленинградская область |
0,9 |
|
Волго-Вятский район |
4,5 |
|
Нижегородская область |
2,5 |
|
Центрально-Черноземный район |
4,2 |
|
Калининградская область |
0,4 |
|
Всего |
100,0 |
|
¦Валовой региональный продукт равен ВВП России за вычетом добавленной стоимости, относящейся к стране в целом и не распределяемой по отдельным регионам.
Источник: Регионы России. Информационно-статистический сборник. М,, 1997. Т. 1.С. 364,366,368.
3. Национальный продукт
как показатель благосостояния
Нередко рост реального национального продукта (или рост реального национального продукта на душу населения) интерпретировался как рост благосостояния населения.
Отождествление изменений благосостояния и национального продукта недопустимо по нескольким причинам.
(1) Показатель национального продукта учитывает только производство, продукты которого поступают на рынок (производство, ориентированное на рынок). Вся сфера нерыночного производства, за малым исключением (см, гл, 9), в расчет не принимается. К ней относится прежде всего часть производства домохозяйств: домашний труд членов семьи, ремонтные работы, осуществляемые членами семьи, труд родителей по воспитанию детей. Это производство имеет непосредственное отношение к благосостоянию, но не учитывается в национальном продукте, Еще один недостаток национального продукта как измерителя благосостояния отражает следующий пример. Если холостой мужчина женится на своей домохозяйке (ее услуги по ведению хозяйства оплачивались до момента регистрации брака), национальный продукт сокращается, несмотря на то что при прочих равных условиях уровень благосостояния остался неизменным.
(2) Если игнорирование не ориентированного на рынок производства приводит к систематической недооценке национального продукта, то другой недостаток расчета национального продукта имеет своим следствием завышенную оценку продукта. В производстве благ (а также и в потреблении) участвует больше капитальных благ, чем учитывается при исчислении национального продукта. Вспомним хотя бы о прйродной среде, с одной стороны, предоставляющей ресурсы (уголь, нефть, железную руду и т. д.) а, с другой — свое «качество», снижающееся вследствие загрязнения воздуха и воды, хищнической вырубки лесов и т. п. Данный вид «износа» природной среды никак не учитывается (хотя бы в форме амортизации) при расчете национального продукта. Иначе говоря, общественные издержки производства и потребления выше, чем частные издержки, учитываемые в форме промежуточного потребления и амортизации при расчете национального продукта. Аналогичные выводы справедливы и для потребительских благ длительного пользования, которые учитываются не как капитальные, а как потребительские блага, что приводит к весьма неудовлетворительным результатам. К примеру, если ремонт побывавшего в дорожнотранспортном происшествии автомобиля производится в мастерской, показатель национального продукта возрастает, несмотря на то что в лучшем случае происходит лишь восстановление прежнего положения. Если бы легковые автомашины в расчетах национального продукта фигурировали как капитальные блага, то ущерб от дорожно-транспортного происшествия учитывался бы как амортизация и таким образом отражалось бы действительное влияние этого события на благосостояние людей (снижение национального, продукта).
(3) Многие виды промежуточного потребления не учитываются как таковые и поэтому не вычитаются из стоимости продукции, что означает завышение показателя национального продукта. Самый красноречивый пример — услуги, оказываемые государством, которые предоставляются населению «бесплатно». Как уже было упомянуто, данные услуги трактуются как государственное потребление. В действительности они (внутренняя и внешняя безопасность, управление) создают общие (рамочные) условия для функционирования предприятий. Поэтому, строго говоря, такие услуги являются промежуточным потреблением.
(4) Приведенные выше аргументы показывают, что при использовании национального продукта как измерителя благосостояния необходимо проявлять осторожность, учитывая, что в нем не принимаются в расчет некоторые значимые сферы производства, износ капитальных благ (вспомним о загрязненной воде, загрязненном воздухе и уничтоженном лесе) и т. д. С другой стороны, имеется возможность их отражения в расчетах национального продукта: соответствующие величины могут быть приведены к «единому денежному эквиваленту», даже если это сопряжено со значительными трудностями в статистических расчетах. Но благосостояние населения зависит от множества факторов, которые вообще не учитываются в национальном продукте, учитываются с весьма произвольными допущениями, не могут быть выражены в денежном эквиваленте. Примерами таких факторов являются:
¦ распределение благ по группам населения или по регионам экономики;
¦ общественные условия производства;
¦ условия труда;
¦ досуг.
Приведенные доводы показывают, что национальный продукт не является адекватным показателем благосостояния. Следовательно, недопустимо измерять экономический рост (если рост должен отражать увеличение благосостояния) только на основе показателя «национальный продукт».
Для измерения благосостояния (помимо национального продукта) необходимо учитывать дополнительные индикаторы— так называемые «социальные показатели».
4. Социальные показатели
Под социальными показателями понимают статистические показатели, позволяющие оценить состояние и изменения важных социальных сфер экономики (например, число учителей, врачей, профессоров на 1 тыс. человек, смертность новорожденных на 1 тыс. рождений, смертность от несчастных случаев, число психически больных и т. д.).
При разработке социальных показателей встают две основные проблемы:
а) выбор индикаторов, которые должны оценивать результаты (конечное благосостояние, а не затраты);
б) взвешивание отдельных индикаторов и расчет интегрального показателя.
При выборе показателей необходимо иметь в виду, что они должны быть адекватны
измеряемому параметру, например благосостоянию. Между тем вопрос о том, что считать благосостоянием, т. е. какие его аспекты следует учитывать, является дискуссионным. Соответственно расходятся мнения и в отборе показателей. С другой стороны, большинство используемых ныне индикаторов являются «затратными величинами» (например, не состояние здоровья населения, а число врачей на 1 тыс. жителей).
Взвешивание индивидуальных индексов предполагает общественное согласие относительно значимости отдельных индикаторов для общего благосостояния, что вряд ли достижимо. Как, например, сравнить воздействие на показатель благосостояния индикаторов роста преступности и улучшения обеспеченности населения благами?
Примером системы социальных показателей могут служить рекомендации Организации по экономическому сотрудничеству и развитию. В них предлагаются восемь имеющих важное значение для индивидуального благосостояния аспектов, которые должны характеризоваться соответствующими показателями:
¦ образование;
¦ здоровье;
¦ работа и качество условий труда;
¦ досуг;
¦ покупательная способность;
¦ физическая окружающая среда;
¦ безопасность;
¦ возможность участия в жизни общества.
Эти основные аспекты подразделяются на более частные, а те, в свою очередь, на еще более частные и т. д., до тех пор пока мы не выходим на измеряемые величины.
5. Платежный баланс
Наряду с системой национальных счетов важной системой общеэкономических расчетов является платежный баланс.
Платежный баланс страны — это структурированная в соответствии с определенными принципами схема экономических отношений, имеющих место в определенный период времени (обычно один год) между гражданами данной страны (резидентами) и иностранцами.
Уже само определение показывает, что название «платежный баланс» выбрано неудачно: во-первых, речь идет не о балансе, т. е. не о счете, описывающем состояние объекта на какой-то момент времени, а о счете, характеризующем временной отрезок; а во-вторых, платежный баланс охватывает отнюдь не только «платежи». Представим структуру платежного баланса в виде счета. Таким образом мы получаем возможность интерпретировать как систему двойной записи, в которой каждая операция фиксируется дважды: один раз по дебету и один раз по кредиту. Структурирование вычислений производится по разным видам экономических операций между гражданами страны и иностранцами:
а) экспорт и импорт товаров,
б) экспорт и импорт услуг,
в) односторонние переводы (дарения) благ и требований,
г) финансовые операции,
Таким образом, возникает следующая общая схема платежного баланса:
|
Дебет |
Кредит |
|
а) Экспорт товаров |
Импорт товаров |
Торговый баланс |
Баланс |
|
б) Экспорт услуг |
Импорт услуг |
Баланс услуг |
текущих |
|
в) Переводы из-за |
Переводы за границу |
Баланс трансфер- |
операций |
|
границы |
|
тов |
|
|
г) Увеличение |
Уменьшение кредитор- |
Баланс движения |
|
|
кредиторской |
ской задолженности и |
капитала |
|
|
задолженности и |
увеличение дебиторской |
|
|
|
уменьшение |
задолженности |
|
|
|
дебиторской |
|
|
|
|
задолженности |
|
|
|
|
|
Сумма = сумма |
Структура платежного баланса станет более понятной, если мы рассмотрим некоторые экономические процессы, регистрируемые в платежном балансе.
а) Продажа товара за границу за наличные на сумму ЮОден. ед.
Запись: Экспорт товаров— ЮОден. ед.
Рост требований — 100 ден. ед. (приобретение иностранной валюты означает рост требований к «остальному миру»),
б) Покупка товаров из-за границы в кредит на сумму 50 ден. ед.
Запись: Импорт товаров — 50 ден. ед.
Рост задолженности — 50 ден. ед.
в) Путешествия за границу, обошедшиеся в 20 ден. ед.
Запись: Импорт услуг — 20 ден. ед.
Уменьшение требований — 20 ден. ед. (потеря иностранной валюты).
г) Государство предоставляет промышленные товары в дар развивающимся странам
на сумму 30 ден. ед. '
Запись: Экспорт товаров — 30 ден. ед.
Односторонние переводы за границу — 30 ден. ед.
д) Государство предоставляет развивающимся странам в качестве субсидий наличные на сумму 10 ден. ед.
Запись: Сокращение требований — Юден. ед.
Односторонний перевод за границу — 10 ден. ед.
е) Гражданин страны покупает иностранные государственные долгосрочные облигации на сумму 80 ден. ед.
Запись: Увеличение (долгосрочных) требований — 80 ден. ед.
Уменьшение (краткосрочных) требований — 80 ден. ед.
Следует отметить, что платежный баланс по определению в целом всегда уравновешен, так как каждая операция проводится как по его дебету, так и по кредиту. Ненулевое сальдо могут иметь только отдельные, частные балансы. Авторы газетных статей нередко пишут о сальдо платежного баланса, допуская тем самым неточность в выражении. Как правило, в таких случаях подразумевается сальдо частного баланса, чаще всего баланса текущих операций (иногда — торгового баланса или какого-либо другого частного баланса).
К частным балансам относятся: .
¦ торговый баланс;
¦ баланс услуг;
¦ баланс односторонних переводов;
¦ баланс движения капитала,
Мы упоминали, что при отображении основной схемы частные балансы сводятся в определенные группы. Важнейшей группой — обобщением торгового баланса, баланса услуг и баланса односторонних переводов — является баланс текущих операций. Сальдо баланса текущих операций идентично сальдо баланса движения капитала и отражает изменение позиции экономики как чистого кредитора или чистого должника в отношениях с «остальным миром».
Приведенный здесь платежный баланс отличается от общей схемы по пяти основным признакам.
1. Процессы, отражаемые в различных статьях баланса, имеют более подробное деление; так, экспорт и импорт товаров часто подразделяются на разные виды товаров (пшеница, алкогольные напитки и т. д.), а изменения требований и задолженностей различаются по их срочности.
2. Отдельные статьи нередко структурируются по тому, какие секторы отечественной экономики или какие отечественные институты участвуют в процессе. Так, в балансе движения капиталов принято отдельно записывать изменения требований и задолженности Центрального банка («изменение чистых иностранных активов Центрального банка»).
3. Платежный баланс часто публикуется не в виде счета, а в виде таблицы.
4. Добавляется статья остатков — статья «ошибки и пропуски». Статьи остатков можно объяснить следующим образом: в действительности не существует «общеэкономического бухгалтера», который каждый экономический процесс между страной и «остальным миром» четко и одновременно заносит в дебет и кредит платежного баланса. На деле показатели платежного баланса складываются из множества статистических записей, так что возможно несовпадение между суммой по дебету и суммой по кредиту. Статья остатков состоит из этой разницы и таким образом «искусственно» уравновешивает платежный баланс.
• 5. Дополнительная балансирующая статья резервных активов Бундесбанка ха
рактеризует изменения ценности активов, выраженной в немецких марках, происходящие из-за переоценки имущества, выраженного в иностранной валюте к концу года.
В 1994 г. Бундесбанк провел ревизию системы платежного баланса, которая основывалась на рекомендациях Международного валютного фонда (МВФ), опубликованных в 1993 г. (см. Balance of Payments Manual. Washington D.C., 1993) и была направлена на приведение ее в соответствие с СНС и учет важных аспектов внешнеэкономического развития. Основные изменения включали в себя:
¦ В настоящее время баланс текущих операций содержит только текущие трансферты. Трансферты имущества (списание долгов, наследование, дарение) переносятся в другие статьи.
¦ «Текущие трансферты» включают в себя часть трансакций, ранее относимых в статью «страховые услуги» в балансе услуг.
¦ Транзитная торговля учитывается в торговле не товарами, а услугами.
¦ Из баланса услуг вычитаются капитальные доходы и доходы от наемного труда; в настоящее время они включаются самостоятельной статьей («Доходы от труда и имущества») в баланс текущих операций.
¦ При оценке оборота капитала не учитывается различие между долгосрочными и краткосрочными трансакциями (так как оно становится все более сомнительным).
¦ По-новому определяются прямые инвестиции. Наряду с долевым участием и долгосрочными ссудами к прямым инвестициям относятся и краткосрочные финансовые сделки между юридически связанными предприятиями. Кроме того, учитываются имеющие международный характер покупки и продажи недвижимости. Таким образом, делается попытка охватить все экономические связи, которые, по своей сути, являются отношениями между предприятиями.
Из табл. 10.3 следует, что в ФРГ в течение многих лет имеет место значительный дефицит баланса текущих операций, которые уже не компенсируются избытком внешней торговли. Баланс текущих операций отрицателен прежде всего из-за большого объема поездок (путешествий) немцев за границу; а дефицитность баланса переводов вызвана главным образом выплатами зарплаты иностранным работникам (которые по статистике являются резидентами) и взносами в бюджет ЕС. Согласно концепции платежного баланса, дефициту баланса текущих операций в 1994 г. в объеме DM 38,6 млрд соответствует уменьшение суммы требований отечественных экономических субъектов (за исключением Бундесбанка) от «остального мира» (чистый импорт капитала) в объеме DM 51,7 млрд, скорректированное за счет изменений чистых внешних активов Бундесбанка в объеме DM 12,2 млрд. Возникшая разница обоснована упомянутыми «неучтенными трансакциями» (ошибками и пропусками) в объеме DM 2 млрд.
Таблица 10.3
Платежный баланс ФРГ в 1992-1994 гг. |
|
Основные статьи платежного баланса (DM млрд.) |
|
Статья |
1992 г. |
1993 г. |
1994 г. |
|
I. Баланс текущих операций: |
|
|
|
|
Внешняя торговля |
|
|
|
|
экспорт (ФОБ) |
671,2 |
628,4 |
685,1 |
|
импорт (СИФ) |
637,5 |
566,5 |
611,2 |
|
сальдо |
+33,7 |
+61,9 |
+73,9 |
|
дополнения к товарному обороту |
-3,6 |
-7,1 |
-3,6 |
|
услуги (сальдо) |
31,3 |
-41,3 |
-50,8 |
|
доходы от труда и имущества (сальдо) |
+22.5 |
+19,7 |
+3,0 |
|
текущие трансферты (сальдо) |
-55,1 |
-57,7 |
-61,2 |
|
Сальдо баланса текущих операций |
-33,7 |
-24,3 |
-38,6 |
|
II. Трансферты активов (сальдо) |
+ 1,1 |
+ 1,2 |
+0,9 |
|
III. Баланс движения капитала (минус |
|
|
|
|
означает чистый экспорт капитала) |
|
|
|
|
прямые инвестиции |
-26,8 |
-25,2 |
-23,7 |
|
ценные бумаги |
+43,3 |
-177,3 |
-55,0 |
|
оборот кредита |
+74,6 |
-144,8 |
+ 133,2 |
|
прочие капитальные вложения |
+2,3 |
-2,6 |
-2,8 |
|
Сальдо баланса движения капитала |
+90,3 |
+4,7 |
+51,7 |
|
IV. Сальдо статистически неучтенных |
+ 11,1 |
-17,0 |
-2,0 |
|
трансакций (остаток статей) |
|
|
|
|
V. Изменение чистых внешних акти- |
+68,7 |
-35,8 |
+ 12,2 |
|
вов Бундесбанка (плюс означает рост) |
|
|
|
|
|
Источник: Monatsberichte der Deutschen Bundesbank. 1995. Marz. S. 52. |
Список основных понятий
¦ Потребление
¦ Экспорт
¦ Валовые инвестиции
¦ Чистый экспорт
¦ Номинальный национальный продукт
¦ Реальный национальный продукт
¦ Первичный сектор
Врезка 10.5.
Платежный баланс Российской Федерации
Таблица 10д.
Платежный баланс Российской Федерации в 1995-1996 гг. |
|
Важнейшие статьи платежного баланса (в $ млн) |
|
Статья |
1995 г. |
1996 г. |
|
I. Счет текущих операций: |
|
|
|
внешняя торговля |
|
|
|
экспорт товаров (ФОБ) |
+81454 |
+90232 |
|
импорт товаров (ФОБ) |
-58968 |
-67407 |
|
сальдо |
+22486 |
+22825 |
|
нефакторные услуги (сальдо) |
-8091 |
-6375 |
|
доходы от инвестиций и оплата труда |
-3273 |
-5204 |
|
текущие трансферты |
+168 |
+165 |
|
сальдо счета текущих операций |
+11290 |
+11411 |
|
11. Капитальные трансферты (сальдо) |
-347 |
-463 |
|
III, Счет движения капитала; |
|
|
|
прямые инвестиции |
+ 1956 |
+2142 |
|
портфельные инвестиции |
-1436 |
+2480 |
|
прочие инвестиции |
+7311 |
+7327 |
|
сальдо счета движения капитала |
+7831 |
+5546 |
|
IV. Чистые ошибки и пропуски |
-9464 |
+1357 |
|
V. Изменение чистых резервных активов |
-9310 |
-6758 |
|
Источник: Российский статистический ежегодник. М., 1996. С. 366-367; Российский статистический ежегодник. М., 1997. С. 575-576.
На основе данных табл. 1 Од можно сделать определенные выводы относительно внешнеэкономических связей России. Баланс текущих операций является положительным за счет большого превышения экспорта товаров над их импортом. При этом объемы внешней торговли товарами возрастают. Величина положительного сальдо по счету текущих операций является, однако, не столь большой ввиду хронической дефицитности баланса торговли услугами. Помимо избытка по счету текущих операций наблюдается также избыток баланса движения капитала (но при этом роль прямых и портфельных инвестиций в обеспечении данного избытка незначительна). Все эти избытки компенсируются отрицательными значениями в статье, отражающей изменения чистых резервных активов.
¦ Производство, ориентированное на рынок ¦ Платежный баланс
¦ Вторичный сектор
¦ Третичный сектор
¦ Структура экономики
¦ Единый денежный эквива
лент
¦ Социальные показатели
¦ Окружающая среда
¦ Баланс текущих операций

1) В экономике в течение одного года производятся блага на сумму 2 тыс. денежных единиц. В производстве использованы продукты на сумму 700; износ капитальных благ составляет 100. Предприятия должны платить косвенные налоги размером в 150.
а) Чему равен валовой (чистый) национальный продукт?
б) Чему равен национальный доход?
2) Что такое валовой национальный продукт? Чему равнялся ВНП в ФРГ в 1994 г. и в РФ в 1996 г. по рыночным ценам?
3) Что такое национальный доход и как он рассчитывается? Какова была в 1996 г. доля наемного труда в национальном доходе?
4) Что вы понимаете под потреблением домохозяйств и что — под потреблением государства? Приведите примеры государственных и частных инвестиций.
5) Как используется валовой национальный продукт? Чему равнялись отдельные компоненты использованного ВНП в ФРГ в 1994 г. и в РФ в 1996 г.?
6) Оцените пригодность национального продукта как измерителя благосостояния и экономического роста,
7) Что такое платежный баланс страны?
8) Опишите общую схему платежного баланса, Каковы его важнейшие статьи?
9) Что такое баланс текущих операций?
10) Приведите примеры экономических процессов, которые отражаются
¦ в торговом балансе;
¦ балансе услуг;
¦ балансе трансфертов;
¦ балансе движения капитала.
Литература
¦ Прежде всего можно порекомендовать единственный пока переводной учебник по макроэкономике, сделанный на основе западноевропейского (а не американского) опыта:
Бурда М., Виплош Ч. Макроэкономика. Европейский текст. СПб., 1998.
¦ Учебником по макроэкономике вводного уровня, написанным частично на основе украинского опыта экономических реформ, является:
Соболев В. М. Макроэкономика. Харьков, 1997.
¦ Доступное описание различных аспектов, связанных с платежным балансом, содержится в следующем учебном пособии:
Буглай В. Б., Ливенцев Н. Н. Международные экономические отношения. М., 1996.
¦ Подробный анализ национального счетоводства дан в книге:
Рябушкин Б. Т., Хоменко Т. А. Система национальных счетов. М., 1993.
¦ Эмпирический материал по СНС содержится в сборнике:
Национальные счета России в 1989-1996 гг.: Статистический сборник. М., 1998.
|
Таблица 9п.З |
|
№ статьи |
Использование |
№ статьи |
Ресурсы |
|
7 |
Доходы от собственности и |
1 |
Валовая прибыль |
|
|
предпринимательский доход, |
2 |
Оплата труда наемных работников |
|
|
переданные «остальному ' |
3 |
Налоги на производство и импорт |
|
|
миру» (или другим секторам) |
4 |
Субсидии на производство и |
|
8 |
Текущие трансферты, |
|
импорт(-) |
|
|
переданные «остальному миру» (или другим секторам) |
5 |
Доходы от собственности и предпринимательский доход, |
|
9 |
Валовой (национальный) располагаемый доход |
6 |
полученные от «остального мира» (или от других секторов)
Текущие трансферты, полученные от «остального мира» (или от других секторов) |
|
ш*»*я
ШІШІЙІЁІиІІ
ншмншшшпі
НАРОДНОХОЗЯЙСТВЕННЫЕ РЫНКИ И СИСТЕМА КЛАССИЧЕСКОЙ ЭКОНОМИЧЕСКОЙ ТЕОРИИ
(детерминанты занятости, часть 1)

ШШЯШЯШаИШНШШШ
Что относится к основным элементам главных народнохозяйственных рынков? Каким образом взаимосвязаны процессы на народнохозяйственных рынках?
¦ Что является основным содержанием концепции экономического кругооборота?
¦ Что определяет предложение и спрос на рабочую силу?
¦ Что понимается под равновесием на рынке труда?
¦ Какие виды безработицы принято выделять?
¦ Какие факторы определяют спрос на блага?
¦ Какое значение для детерминант предложения благ имеют ситуации равновесия и неравновесия?
¦ Почему возникает спрос на деньги?
Что определяет величины национального продукта и занятости в классической системе?
¦ Что является центральным допущением анализа способа функционирования рынков?
¦ В чем состоит значение теоремы Ж. Б. Сэя?
¦ Какую роль играют деньги в классической системе?

1. Предварительные замечания
В последующих трех главах мы будем анализировать факторы, определяющие величины национального продукта и занятости. Такой анализ является задачей макроэкономики, т. е. общеэкономического анализа, предметом которого являются агрегированные (обобщенные) величины, например, национальный доход и уровень цен, а не доходы отдельных индивидуумов или цены отдельных благ.
Это «сведение» конкретных факторов к общеэкономическим величинам — агрегирование — необходимо (как отмечалось во введении) для упрощения почти необозримой экономической действительности.
Дальнейшие упрощения состоят в том, что мы почти не учитываем экономическую активность государства и «остального мира» и проводим краткосрочный анализ (анализ в рамках короткого периода). Такого рода анализ возможен при допущении, что происходящие в течение анализируемого периода изменения запасов производственных факторов (труда, капитала, земли и технических знаний) настолько малы, что их можно не учитывать.
Идея экономического кругооборота
Центральное значение для макроэкономики имеет идея кругооборота, введенная в экономическую теорию французским ученым, врачом по образованию Франсуа Кенэ (Francois Quesnay, 1694-1774). Его теорию (построенную на аналогии с кругооборотом крови) можно проиллюстрировать следующим образом. Общеэкономическому производству, которое за вычетом промежуточного потребления, представляет собой валовой внутренний продукт (см. гл. 10), соответствует (для упрощения мы не учитываем косвенные налоги и дотации) созданный в тех же размерах валовой внутренний доход. А когда мы добавляем к внутреннему продукту и внутренним доходам чистые факторные доходы, приходящие из-за границы, то получаем валовой национальный продукт и национальный доход, Национальный доход является центральной детерминантой спроса домохозяйств и государства на потребительские и инвестиционные блага. Если спрос точно соответствует произведенному национальному продукту и созданному при этом национальному доходу, имеет место равновесие кругооборота:

Такое равновесие кругооборота, как правило, изменяется через притоки и оттоки: если часть доходов не расходуется, спрос оказывается меньше выпуска, т. е. дохода; если существующее имущество расходуется для создания спроса на новые произведенные блага или если такой спрос финансируется через кредит, то спрос превышает производство и доходы. Через подобные дефициты и избытки спроса активизируются силы, воздействующие на изменение величины национального продукта и, таким образом, занятости. На данной стадии анализа, однако, мы не имеем возможности ответить на вопрос, определяется ли производство спросом? или наоборот.
Концепция кругооборота позволяет лишь сделать вывод о том, что производство и спрос зависят друг от друга.
Взаимосвязь рынков
Экономические события на внутренних рынках взаимосвязаны друг с другом. В конечном счете можно сказать, что спрос на отдельные товары и их предложение всегда зависЬт от цен всех благ, даже если такая связь неочевидна (см. гл. 4). Так как в рамках экономического анализа нельзя исследовать миллионы рынков одновременно, необходимо сведение экономической действительности к обозримому числу существенных взаимосвязей. В соответствии с общепринятым макроэкономическим изложением мы уменьшаем число рассматриваемых рынков до четырех: до рынка труда, рынка благ, денежного рынка и рынка ценных бумаг (который представляет собой совокупность приносящих проценты рынков однородных активов). Таким образом, экстремально высокой степенью агрегирования позволяет абстрагироваться от различий между разными видами труда, благ и ценных бумаг.
Огромный вклад в теоретические исследования взаимозависимости рынков внес французский политэконом Леон Вальрас (Leon Walras, 1834-1910). В соответствии с законом Вальраса для каждого рационально действующего экономического субъекта верен тезис о том, что он будет планировать расходы (покупки) на различные цели (включая также приобретение ценных бумаг или помещение денег на банковские счета) только в размере запланированных им доходов (продаж) из различных источников (включая также банковские вклады или запасы наличности)1. Что действительно для отдельной экономической единицы, имеет силу и для экономики в целом, поэтому сумма запланированных всеми экономическими единицами на всех рынках расходов (покупок) соответствует сумме запланированных на всех рынках доходов (продаж).
Докажем это для четырех макроэкономических рынков. Если, например, на рынке труда проданы услуги рабочей силы в объеме 1000 руб., эти 1000 руб. необходимо как-то использовать. Если в тот же период времени на рынке благ были приобретены товары и услуги в объеме 800 руб., а на рынке ценных бумаг — ценные бумаги в объеме 100 руб., запас денег должен быть увеличен на 100 руб. Таким образом,
'Читателю должно быть ясно, что термины «доходы» (продажи) и «расходы» (покупки) здесь употребляются в очень широком смысле. Иногда говорится также об «источниках» и «использовании» финансовых средств.
ценность продаж (1000 руб.) равна ценности покупок (800 руб. + 100 руб. + 100 руб.). Из этих рассуждений следует, что все процессы, происходящие на каждом «последнем» рынке, могут быть «выведены» из сделок, осуществленных на остальных рынках.
Применительно к системе, охватывающей четыре рынка, справедливо следующее утверждение: если ценность покупок и ценное 'ь продаж на трех рынках экономики равны друг другу, также должно быть и на четвертом рынке. Это утверждение представляет собой одну из формулировок закона Вальраса.
Рассмотренный нами закон оправдывает обычный метод исследования, ограниченный только тремя рынками (предполагается абстрагирование от рынка ценных бумаг). Данный метод будет использован и нами.
Конкурирующие макроэкономические теории
Как ни в какой другой области экономической теории, в макроэкономическом анализе занятости конкурируют два подхода, каждый из которых в свою очередь имеет несколько типов. Но в конечном счете правомерно говорить только о двух макроэкономических теориях(парадигмах).
Одной из них является классическая макроэкономическая теория, переформулированная представителями монетаризма и новой классической макроэкономической теории. Здесь мы ограничимся лишь описанием классической макроэкономической теории (см. раздел 5 данной главы), а в гл. 13 рассмотрим новую классическую макроэкономическую теорию (объединяющую положения монетаризма и новой классической макроэкономической теории).
В качестве еще одной парадигмы выступает кейнсианская макроэкономическая теория, основополагающие принципы которой разработаны Джоном Мейнардом Кейнсом (Keynes, John Maynard, 1883-1946). Одна из ее интерпретаций, обогащенная впоследствии некоторыми элементами классической школы, легла в основу относительно жесткой (на протяжении многих лет использующейся в экономических учебниках) структуры преподавания макроэкономики. Имеется в виду так называемое традиционное кейнсианство (см. гл. 12). В ответ на вызов новой классической макроэкономики кейнсианство также сделало попытку нового обоснования и уточнения базисной парадигмы, что привело к появлению теории рационирования, посткейнсианства и «нового кейнсианства» (см. раздел 1 гл. 13).
Преследуя цель облегчить классификацию различных макроэкономических теорий в последующем изложении мы дадим обзор системы рынков, для чего нам необходимо обратиться к некоторым предварительным объяснениям и повторениям.
2. Рынок труда
На рынке труда труд обменивается на зарплату. Поставщиками труда являются те, кто продает свою рабочую силу (работники), а спрос на труд предъявляют те, кто хочет применить труд в производственном процессе, т. е. предприниматели.
2.1. Спрос на труд
В тех случаях, когда им это выгодно, предприниматели предъявляют спрос на труд, т. е. нанимают работников. Здесь следует иметь в виду, что в рамках производственного планирования имеется возможность сравнить дополнительные издержки (предельные издержки) использования одного нового работника с дополнительной выручкой (предельной выручкой) как результатом его найма (см. гл. 5). Если в целях упрощения не принимать во внимание материальные издержки и издержки (стоимость) капитала, предприниматель будет увеличивать объем применения труда до тех пор, пока предельный продукт работника (предельная выручка одной дополнительной единицы труда) будет превышать номинальную зарплату (предельные издержки использования дополнительной единицы труда). Максимум прибыли достигается в случае, когда ценность предельного продукта труда равна номинальной зарплате. При этом ценность предельного продукта труда равна добавочно произведенному объему благ, умноженному на цену продажи. Поэтому спрос на труд зависит от следующих величин:
¦ от предельного продукта,
¦ от цены продукта Р,
¦ от номинальной зарплаты (называемой также денежной зарплатой) W.
Отношение номинальной зарплаты к цене благ называется реальной зарплатой.
Она показывает так называемую «относительную цену», меновое соотношение между трудом и произведенными новыми благами. В конечном счете реальная зарплата отражает, сколько времени должен трудиться работник для того, чтобы приобрести одну единицу блага X, и, наоборот, какую часть продукции предприниматель должен отдать рабочим, чтобы они были готовы продать свою рабочую силу. Значит, сопоставление реальной зарплаты и предельного продукта определяет выгодность найма работников при допущении возможности сбыта произведенных продуктов.
Поэтому считается, что спрос на труд, как правило, зависит от реальной зарплаты. Так как согласно закону убывающей отдачи (см. гл. 5, раздел 2) предельный продукт труда с ростом его затрат при прочих равных условиях снижается, выгодным найм дополнительных рабочих возможен только при сокращении реальной зарплаты. В противном случае, когда реальная зарплата возрастает, спрос на труд сокращается: в этом случае все меньше работников будут выпускать соответствующий реальной зарплате предельный продукт. Данная закономерность отражена на рис. 11.1.
Здесь необходимо четко представить условия возникновения кривой спроса на труд с отрицательным наклоном:
¦ убывающий предельный продукт,
¦ постоянство объема использования остальных производственных факторов,
¦ равновесное состояние цены продукта, в результате чего объем сбыта благ соответствует запланированному количеству его производства.
Постоянство затрат остальных факторов означает прежде всего постоянство технологии и объема использования капитала. Однако в современных промышленно развитых странах является типичной ситуацией, характеризующейся растущим применением капитала и техническим прогрессом, что обусловливает смещение
Реальная зарплата
 |
|
Рис. 11.1. Кривая спроса на труд |
кривой спроса на труд вправо. Данный сдвиг можно интерпретировать таким образом, что с ростом объема применения капитала и технических знаний средняя производительность труда (а следовательно, количество продукции на одного работника) повышается и, таким образом, возникает возможность назначения более высокой реальной зарплаты, Рис. 11.2 показывает динамику производительности труда, реальной зарплаты и занятости в старых федеральных землях Германии. За исключением 1981, 1982 и 1983 гг., при росте реальной зарплаты число занятых работников повышалось.
В целом, правомерно сделать вывод о том, что увеличение реальной зарплаты осуществлялось циклически, достигая пиков в 1964, 1970, 1977, 1986 и 1991 гг., причем с 1970 г. темпы ее роста значительно снизились. Более того, в 1981-1983 гг., а также в 1993 г. они имели отрицательные значения. Изменение производительности труда следовало за изменением реальной зарплаты, и эпизодически «следование» происходило с временным лагом. До середины 1970 г. темп роста производительности труда был значительно ниже темпов роста реальной зарплаты. Необходимо отметить однонаправленное (проциклическое) изменение реальной зарплаты и занятости: особен-
|
Таблица 11а. Динамика производительности труда, реальной заработной платы и занятости в России (в % |
Врезка 11.1.
Динамика производительности труда, занятости и реальной заработной платы
в Российской Федерации |
|
к п |
эедыдушему периоду) |
|
Год |
Реальная |
Численность |
Производительность труда |
|
|
(начисленная) |
занятого |
в экономике (отношение |
|
|
заработная |
населения в |
ВВП к занятому в экономи- |
|
|
плата |
экономике |
ке населению) |
|
1991 |
97,0 |
98,0 |
96,9 |
|
1992 |
67,0 |
97,7 |
87,5 |
|
1993 |
100,4 |
98,3 |
92,9 |
|
1994 |
92,0 |
96,6 |
90,4 |
|
1995 |
72,0 |
96,9 |
98,9 |
|
1996 |
106,0 |
99,4 |
95,7 |
|
|
Рассчитано по: Российский статистический ежегодник. М., 1997. С.111, 139, 304. |
 |
Рис. 11.2. Динамика производительности труда, реальной зарплаты и занятости
в Западной Германии
Источник'. Jahresgutachten des Sachverstflndigenrates. 1994/95; а также собственные расчеты. |
но значительное повышение реальной зарплаты сопровождается увеличением занятости и наоборот — эмпирический диагноз, который, кажется, противоречит часто выдвигаемой теории о том, что рост реальной зарплаты является причиной возрастания уровня безработицы. Однако следует заметить, что на основе статистических корреляций нельзя делать выводы о причинно-следственной зависимости.
Данные табл. 11.1 показывают, что в России в течение 1990-х гг. имело место значительное уменьшение как реальной заработной платы, так и производительности труда. При этом динамика первого из рассматриваемых нами показателей была крайне нестабильной в отличие от динамики второго, так что, по-видимому, их изменения не были тесно взаимосвязанными. Уменьшение значений обоих показателей можно объяснить сочетанием глубокого спада производства (примерно на 50% в 1991-1996 гг.) и крайне незначительного роста уровня безработицы (см. врезку 3.5). Подобное уменьшение означает действенность рыночных механизмов, которые не нарушаются какими-либо государственными субсидиями типа дотаций на зарплату. Однако подобная динамика показателей влечет за собой очень тяжелые социальные последствия, которые, судя по табл. 11.1, были наиболее серьезными в 1992 г.
Следует также учитывать, что рост реальной заработной платы в 1996 г. отнюдь не означает увеличения благосостояния работников, так как в России 1990-х гг. имели место значительные различия между объемами начисленной и выплаченной заработной палты. Иными словами, имели место принявшие огромные масштабы (см. также врезку 3.5) задержки по выплатам (неплатежи) зарплаты.
2.2. Предложение труда
Теоретически предложение труда домохозяйства на микроуровне зависит прежде всего от относительной выгодности обмена труда на произведенные новые блага (т. е. от реальной зарплаты), а также от полезности свободного времени для домохозяйства. В этом случае вид кривой предложения труда не так однозначен, так как воздействие повышения реальной заработной платы зависит от соотношения между эффектом замещения и эффектом дохода (ср. с анализом покупок благ в гл. 4, который может использоваться и для изучения предложения труда). Именно при высокой реальной зарплате становится возможным, что при дальнейшем ее повышении из-за растущей полезности свободного времени произойдет снижение предложения труда (см. вариант b на рис. 11.3).
С представлениями о зависимости предложения труда от реальной зарплаты связаны небольшие различия в объяснении этой переменной в разных макроэкономических теориях.
В классической системе рассматривается зависимость предложения труда исключительно от реальной зарплаты, в то время как Дж. Кейнс обсуждал и другие детерминанты. Он предполагал, что в условиях безработицы работники успешно сопротивляются снижению денежной зарплаты, так как по различным причинам безработные не имеют возможности повлиять на выторгованную в ходе заключения коллективных договоров ставку зарплаты (понижательная жесткость денежной зарплаты). Кроме того, Дж. Кейнс исходил из того, что в случае обусловленного повышением цен уменьшения реальной зарплаты домохозяйства не уменьшают предложение своего труда. В основе данного допущения — предполагаемая денежная иллюзия поставщиков труда, которые ошибочно исходят из постоянной реальной зарплаты, так как не замечают (быстрого) повышения цен. Дж. Кейнс предполагал также возможность полностью эластичного предложения труда — в том смысле, что при данной ставке денежной зарплаты работники готовы предоставлять любое количество труда, вплоть до уровня полной занятости. Обычно такое поведение объясняется ссылками на то, что обычный работник при обычной продолжительности рабочего дня и при установленной коллективным догово-
|
Реальная зарплата |
 |
|
Рис.11.3. Функция предложения труда |
ром продолжительности рабочей недели не имеет возможности свободно определять свои рабочие часы (как это предполагается при микроэкономическом классическом определении предложения труда). Но так как вследствие отсутствия собственности на средства производства работник обязан обеспечить себя средствами существования, при действующей ставке денежной зарплаты он предлагает весь свой труд.
В следующей главе мы учитываем только случай невозможности снижения номинальной зарплаты в сочетании с денежной иллюзией.
В новой классической макроэкономической теории также допускается возможность денежной иллюзии вследствие ложных ожиданий работников, а также предпринимателей, но новые классики в общем исходят из соответствия ожиданий реальности (концепция рациональных ожиданий, см. детальное изложение в гл. 13, раздел 2.1).
2.3. Равновесие на рынке труда
При определенных условиях на рынке труда возникает равновесное состояние; предполагается, что наиболее быстро оно достигается при полностью гибких ценах
W
и зарплате. При реальной ставке зарплаты ( —)' запланированный спрос на труд
равен запланированному предложению труда в отсутствие вынужденной безработицы (рис. 11.4а).
При полной занятости каждый желающий работать при равновесной реальной зарплате индивид найдет рабочее место и каждый планирующий нанять получающих равновесную заработную плату людей предприниматель найдет необходимых ему работников.
С полной занятостью совместимы два являющихся следствием несовершенной информации и недостаточной мобильности вида безработицы, которые в конечном счете могут считаться добровольными: фрикционная и структурная виды безработицы.
Фрикционная безработица возникает вследствие несовершенства информации («несовершенной прозрачности рынка»),которой обладают работники и предприниматели. Обе «стороны» рынка не знают оптимального значения занятости: некоторые рабочие увольняются, чтобы найти лучшее рабочее место (безработица, обусловленная поиском); некоторые предприниматели затягивают время принятия на работу претендентов, потому что ищут более подходящие кандидатуры.
Структурная безработица возникает вследствие неудовлетворительной мобильности и гибкости работников и предпринимателей, которые при изменении производственной структуры не готовы и / или не в состоянии быстро изменять дис-
Локацию предприятий, профессию или отрасль. В новой литературе в связи с этой проблемой рассматривают также «квалификационную или региональную безработицу несоответствия* {Mismatch).
Фрикционная и структурная безработица обобщаются также в предложенном основателем монетаризма Милотоном Фридманом термине «естественная безработица», играющем центральную роль в концепции новых классиков (см. также гл. 13, раздел 2.3). Термин «естественный» выбран немного неудачно, так как ассоциируется с тем, что безработица будто бы дана природой и неизменяема (данный тезис, как будет показано далее, неверен).
В случае естественной безработицы (равной фрикционной + структурной) общего недостатка спроса на труд и рабочих мест не существует. Необходимо лишь некоторое время, чтобы работники и рабочие места «нашли друг друга».
Выбор терминов «добровольная» или «естественная» безработица не должен приводить к ошибочным интерпретациям. Так, например, бухгалтер ликвидированной Гамбургской судостроительной компании, который не хочет и/или не в состоянии устроиться на работу металлургом в Мюнхене, является добровольно безработным. Данная концепция выходит далеко за рамки действующей в ФРГ системы регулирования приемлемости изменения профессии и/или местности работы лицами, ставшими безработными. Кроме того, возможно снижение уровня естественной безработицы посредством повышения эффективности работы ведомства по трудоустройству и форсирования переквалификации.
Вместо понятия естественной безработицы (т. е. естественного уровня безработицы) все чаще используется термин «не ускоряющий инфляцию уровень безработицы» (Non-Accelerating Inflation Rate of Unemployment, кратко — NAIRU), учитывающий наряду с определяющими естественный уровень безработицы аспектами информации, гибкости и мобильности также инфляционные аспекты установления зарплаты и цен при неполной конкуренции. В экономике, в которой ставку денежной зарплаты устанавливают профсоюзы, а предприниматели — цены, обе группы стремятся в к увеличению в процессе распределения своих долей в национальном доходе. Безработица оказывает в этом случае дисциплинирующее влияние на обе группы, так как в случае ее возрастания готовность к компромиссам со стороны профсоюзов повышается, а возможные рамки повышения цен предпринимателями (в связи с ухудшающейся ситуации со сбытом) ограничиваются,
В этом случае можно представить себе такой уровень безработицы, при котором предъявленные различными общественными группами (например, работниками и предпринимателями) требования на долю национального продукта скоординированы таким образом, что они оказывают влияния на уровень инфляции. Данный уровень наилучшим образом выражается термином «неинфляционный уровень безработицы» (NAIRU). Для разных стран и временных периодов имели место различные показатели такого уровня: для ФРГ, например, от уровня безработицы в 1% в 1960-х гг., 2,5% в 1973-1975,6,1% в 1976-1980,7,6% в 19811985 до 9% в 1986-1988 гг. Для России таких оценок пока не существует.
2.4. Неравновесие на рынке труда
Недобровольная безработица означает, что предложение труда превышает спрос на труд. В господствующей неоклассической экономической теории данное положение нельзя интерпретировать иначе, чем превышение существующей реальной зарплаты над равновесной реальной зарплатой (см. рис. 11.46 (при реальной
)в).
заработной плате (
В экономике необходимо строго различать две вещи: вопрос существования равновесия и вопрос стабильности, т. е. вопрос о том, возвращается ли ситуация к положению равновесия в случае возникновения отклонений.
Если мы соглашаемся с существованием равновесной реальной зарплаты (описанные здесь подходы исходят именно из этого положения), отпадает причина большинства обычных объяснений недобровольной безработицы. Тогда равновесная реальная зарплата в области политики на рынке труда оправдывает любой темп роста, любой технический прогресс, любую динамику численности населения и любую желаемую продолжительность рабочего дня. Величина равновесной реальной зарплаты должна только соответственно изменяться: на рис. 11.5 для достижения полной занятости реальная зарплата должна была бы снизиться «толь-W
ко» до (-)*.
р
Однако возникает вопрос: достигается ли существующее на рынке труда равновесие автоматически и при этом достаточно быстро, т. е. является ли равновесие на рынке труда стабильным? Немного опережая приводимые ниже рассуждения, мы хотим указать на три выделенные Дж. Кейнсом возможности:
¦ Конкурентная ситуация на рынке труда определяет лишь номинальную зарплату. Динамика уровня цен зависит от соотношения предложения и спроса на рынке благ. Поэтому возможно, что механизм установления зарплаты не приведет к равновесию, и не из-за того, что рабочие сопротивляются сниже-
|
Реапьная зарплата |
 |
|
Рис. 11.46. Неравновесие на рынке труда |
нию реальной зарплаты, а из-за того, что они не могут ее снизить (для увеличения занятости).
¦ Возможно возникновение ошибок регулирования в том смысле, что существующая система цен и зарплаты не предоставляет полной информации о возможностях покупки и продажи индивидами. Если, например, предприниматель не может реализовать продукцию в запланированном объеме, он корректирует в сторону уменьшения и планы найма работников. А так как объемы производства и занятости снижаются, уменьшается в сравнении с его запланированной величиной и спрос на блага. В этом случае есть работники, которые готовы больше работать и больше покупать (благ), и предприниматели, которые произвели бы больше и нанимали бы больше работников, но одна «сторона» не может предпринять корректирующие воздействия без одновременных действий другой «стороны».
¦ Наконец, хотя равновесие на рынке труда, возможно, достигается автоматически, процесс его достижения занимает слишком много времени («В длительном периоде мы все мертвы», — говорил Дж. Кейнс).
В таких случаях имеет место безработица, которая не совсем точно называется «конъюнктурной безработицей». Такая, в принципе одинаково затрагивающая все отрасли и регионы экономики безработица возникает прежде всего из-за всеобщего снижения спроса. Настоящей же причиной является координационное фиаско механизма цен.
В научной литературе принято классифицировать конъюнктурную безработицу в зависимости от различных способов ее объяснения.
Классическая безработица: реальная зарплата выше равновесной реальной зарплаты, в результате чего предложение труда превышает спрос на труд. Одновременно спрос на блага больше предложения благ. Проще говоря, для предпринимателей невыгоден выпуск благ в соответствующем полной занятости объеме производства, несмотря на то что при существующих ценах они могут быть реализованы.
Кейнсианская безработица: спрос на труд меньше предложения труда и одновременно предложение благ превышает спрос на блага или равно ему. В последнем случае говорят о «равновесии при неполной занятости».
Несколько упрощенно можно сказать: при классической безработице ограничением производства и занятости является максимизирующий прибыль выпуск, при кейнсианской безработице — эффективный спрос.
Отсюда определение вида безработицы становится проблемой диагноза. Ха-ральдГерфин (Harald Gerfin, знаменитый немецкий экономист) поставил, например, такой диагноз: в ФРГ в период 1973-1977 гг. имели место существенные признаки классической безработицы, а также некоторые черты кейнсианской, причем с начала 1979/80 г. все более четко выделялась кейнсианская безработица.
Наряду с описанными формами безработицы иногда выделяют безработицу, вызванную недостатком капитала. О безработице, вызванной недостатком капитала, говорят в тех случаях, когда спрос на рабочие места превышает их предложение, в силу того, что для создания новых рабочих мест, соответствующих росту потенциала занятости и /или высвобождению работников в связи с техническим прогрессом, недостаточно формирования капитала через сбережения и инвестиции. Однако при использовании данного термина следует помнить о том, что недостаток капитала сам по себе может быть сведен к определенным причинам, например слишком низкому спросу на блага или слишком высокой цене на капитальные блага, т. е. к другим элементам экономической конъюнктуры.
2.5. Уровень безработицы
Официальная статистика оценивает состояние безработицы посредством измерений ее уровня. В ФРГ уровень безработицы определяется как удельный вес количества безработных в численности экономически активного населения:
„ зарегестрированные безработные
Уровень оезраоотицы = —151---.
экономически активное население
Следовательно, учитываются лишь безработные, обратившиеся в органы государственной службы занятости по вопросам трудоустройства, но не те, кто хотел бы работать, но не регистрируется. Последние являются незарегистрированными безработными и создают так называемую скрытую безработицу. Руководители Федерального ведомства по труду ФРГ предполагают, что к официальной цифре безработицы необходимо причислить еще примерно 1 /3 скрытых безработных.
Отметим, что при вычислении уровня безработицы в знаменателе учитывается только количество наемных работников (рабочих, служащих), а не все лица, не занятые трудовой деятельностью. В других странах используются несколько отличные методы расчета данного показателя. Рис. 11.5 показывает безработицу в «старой» ФРГ.
Рисунок имеет две ординаты (справа и слева) с различными шкалами измерения. Измерение кривых численности занятого населения и численности экономически активного населения отображается по правой шкале (начинающейся с 15 млн человек), в то время как измерение кривых безработных и заявленной предприятиями потребности в работниках отображается по левой шкале (начинающейся с нуля). Рисунок показывает, что «лезвия ножниц» численности экономически активного населения (занятые по найму, самозанятые и безработные) и занятых лиц (занятые по найму + самозанятые) постоянно «раздвигаются». Соответственно число безработных возросло с менее чем 300 тыс. человек в 1973 г. до более чем 1 млн в 1975-1977 гг. и явно превышало 2 млн человек в 1983-1989 гг. С 1990 до 1992 г. на рынке рабочей силы наблюдалось некоторое оживление.
Затем количество официальных безработных постоянно увеличивалось и в 19941995 гг. составляло около 2,5 млн. Фактическое число безработных намного превысит указанную цифру если учесть: работающих неполный рабочий день, работающих за счет финансирования Федеральным ведомством труда рабочих мест на частных фирмах, а также численность пенсионеров, вышедших на пенсию до достижения пенсионного возраста.
Рис. 11.5. Динамика рынка труда в Западной Германии (в тыс. человек) Источник'. Jahresgutachten des Sachverstandigenrates 1994/95, Monatsberichte der Deutschen Bundesbank.
Врезка П.2.
 |
¦ Безработные (лица, не занятые трудовой деятельностью)
......... Занятые не полный рабочий день -
—— Заявленная предприятиями потребность в работниках - Численность занятого населения - - - - Численность экономически активного населения |
Динамика рынка труда в Российской Федерации в 1992-1996 гг.
Динамика рынка труда и безработица в России
|
Таблица 116 |
|
Год |
Численность безработных по методике МОТ (тыс. человек) |
Зарегистрировано в органах государственной службы занятости (тыс. человек) |
Заявленная предприятиями потребность в работниках на начало года (тыс. человек) |
Численность
занятого населения (млн человек) |
Численность
экономически
активного
населения
(млн человек) |
|
1992 |
3594 |
442,4 |
314,5 |
72,071 |
75,665 |
|
1993 |
4160 |
728,4 |
341,6 |
70,852 |
75,012 |
|
1994 |
5478 |
1475,2 |
325,7 |
68,484 |
73,962 |
|
1995 |
6431 |
2142,1 |
309,4 |
66,441 |
72,872 |
|
1996 |
6788 |
2675,6 |
254,6 |
66,000 |
72,788 |
|
|
Источник: Российский статистический ежегодник. М., 1997. С.107, 117,123,126. |
3. Рынок благ
На рынке благ взаимодействуют друг с другом предложение всей направленной на рынок продукции экономики и спрос на нее; следовательно, этот рынок является рынком валового национального продукта и необходимого промежуточного потребления. Далее в целях упрощения мы предположим, что выпущенная продукция равна национальному продукту, а значит, в дальнейших рассуждениях будем пренебрегать промежуточным потреблением и разницей между валовым и чистым национальным продуктом.
Производителями новых выпущенных благ являются предприятия. Спрос предъявляется домохозяйствами, которые покупают потребительские блага, и предпринимателями, приобретающими инвестиционные блага.
3.1. Спрос на блага
Как показано в гл. 4, спрос домохозяйства на одно благо при данной структуре потребностей (т. е. при данных предпочтениях) в сущности зависит от его цены, а также от цен других благ и от доходов.
Однако если исследовать агрегированный рынок благ, необходимо другое определение ценовой зависимости спроса, поскольку речь идет теперь о зависимости совокупного спроса на блага от уровня цен на национальный продукт. Изменение этого уровня цен отнюдь не предполагает обязательных перемен в относительных ценах отдельных благ, и даже если такие изменения имеют место, невозможно определить их влияние спрос в целом. Кроме того, изменения уровня цен не означают
Данные табл. 116 показывают, что в России в отличие от Германии «ножницы» численности экономически активного населения и занятых лиц почти не «раздвигаются». В реальности происходит уменьшение обоих показателей, хотя количество занятых сокращается более быстрыми темпами, чем численность экономически активного населения. Главное последствие подобной динамики заключается в том, что в России уменьшается абсолютное количество такого фактора производства, как труд.
Показанная выше динамика означает также повышение уровня безработицы в РФ. Правда, это повышение является небольшим (см. также врезку 3.5). Основные причины, ведущие к росту безработицы, — спад производства и структурные сдвиги в российской экономике. В ходе трансформационных процессов в российской экономике данные факторы являются определяющими как в динамике самой безработицы, так и на рынке труда в целом.
Следует учитывать и то, что особой формой безработицы в переходной экономике России является так называемая «скрытая безработица», возникающая в том случае, когда люди недобровольно заняты только неполный рабочий день (неделю) или находятся в полностью (частично) неоплачиваемом отпуске. Скрытая безработица есть не что иное, как отражение несоответствия величин спада производства и роста безработицы (см. врезку 3.5).
При анализе табл. 116 обратите внимание на то, что ежегодно происходит стабильное уменьшение спроса предприятий на работников. Это означает по меньшей мере отсутствие признаков экономического подъема.
автоматической трансформации реальных доходов домохозяйств. Возможно, например, что при снижении уровня цен реальный национальный продукт (а значит, и реальный национальный доход) не изменяется или даже сокращается. Почему же тогда должен повыситься совокупный спрос на произведенные новые блага? Правдоподобными причинами являются следующие.
¦ Эффект замещения: при снижающемся уровне цен новые произведенные блага в сравнении с другими активами становятся относительно более дешевыми и (при прочих равных условиях) происходит замещение спроса на существующие активы спросом на новые блага, а значит, на национальный продукт. Иными словами, происходит «сдвиг» от спроса на существующие здания, земельные участки, машины или активы типа государственных облигаций и акций к спросу на выпущенные новые блага.
¦ Эффект имущества: имущество наряду с доходами также имеет влияние на спрос: с его увеличением возрастает и спрос. Если уровень цен на новые произведенные блага снижается, повышается реальная ценность существующего финансового имущества в форме либо денег, либо не обеспеченных реальными активами ценных бумаг.
Таким образом, благодаря эффекту замещения (вышеописанного вида) и эффекту имущества возникает обратная связь между уровнем цен и совокупным спросом и, следовательно, формируется отрицательный наклон кривой совокупного спроса.
Кроме того, спрос на блага зависит не только от уровня цен, но и (главным образом) от величин, определяющихся другими рынками (среди них в качестве детерминанта спроса особо выделяется ставка процента). В оценке этих зависимостей между классиками и кейнсианцами, идеи которых далее будут рассмотрены в общих чертах (более подробный анализ см. в гл. 12 и 13), имеются существенные расхождения.
Дж. Кейнс разграничивал совокупный спрос на следующие компоненты: спрос на потребительские блага и спрос на инвестиционные блага. При этом, по мнению ученого, потребление в сущности зависит от текущих доходов, а также (незначительно) от имущества. Спрос же на инвестиционные блага, в соответствии с концепцией Дж. Кейнса, формируется при сравнении доходности финансовых активов (например, государственных облигаций) и ожидаемой доходности от инвестиции в реальный капитал (например, фабрики, машины, оборудование). При этом доходность финансовых активов представляет собой рыночную процентную ставку и можно сказать, что при данной ожидаемой доходности инвестиций в реальный капитал инвестиционная активность определяется рыночной ставкой процента.
Так как рыночная процентная ставка зависит также от существующей реальной денежной массы, а последняя в свою очередь при данной номинальной денежной массе — от уровня цен, рост этого уровня приводит к повышению процентной ставки и уменьшению инвестиций (если не учитывать особые случаи). Таким образом, создается еще один вид косвенной — ценовой зависимости совокупного спроса. Этот так называемый эффект Кейнса иллюстрирует следующая «цепь воздействия»:
Уровень цен Т -» Реальная денежная масса і —» Процентная ставка Т -» Инвестиции і -» Совокупный спрос на национальный продукт 1
В классической, особенно в новой классической, макроэкономике утверждается, что потребление зависит в основном от долгосрочного ожидаемого среднего дохода, в то время как процентная ставка оказывает существенное влияние на межвременную структуру потребления, т. е. на распределение между текущим и будущим потреблением. Таким образом, снижение процентной ставки при прочих равных условиях приводит к увеличению текущего потребления за счет будущего, и наоборот. Инвестиционная же активность зависит (как и по Дж. Кейнсу) от сравнения норм доходности по различным формам вложений (но при этом спектр возможностей таких вложений в сравнении с предусмотренными кейнсианской теорией существенно шире).
Если (при прочих равных условиях) перспективы доходности вновь произведенного реального капитала улучшаются, возрастают и инвестиции.
В обеих теоретических системах важную роль играет процентная ставка, хотя ее значимость и различна. С некоторой оговоркой правомерно утверждать, что в системе Дж. Кейнса процентная ставка определяет инвестиции, в то время как в классической/новой классической системе она определяет только пропорции распределения производства текущих потребительских благ и выпуска будущих потребительских товаров и услуг.
3.2. Предложение благ
Решающее расхождение между классикой/новой классикой и кейнсианством лежит в области воззрений на детерминанты предложения благ, а следовательно, производства и соответственно занятости.
В рыночной экономике количество вновь произведенных благ непосредственно определяют производственные решения предприятий (и государства). Поэтому нам необходимо проанализировать процесс принятия предприятиями производственных решений. Между производством и продажей благ обычно проходит определенное время. Поэтому каждый предприниматель должен иметь представление (ожидание) о количестве единиц «своего» продукта, которое он сможет реализовать, и о цене, которую будут готовы заплатить покупатели. Только тогда цена определяет выгодность производства при текущих производственных издержках и его объемы.
Система классики/новой классики исходит из того, что цены на блага формируются в процессе взаимодействий предложения и спроса. Одновременно делается допущение, что цена, которую по предположениям предпринимателя покупатели будут готовы заплатить, является равновесной ценой; следовательно, по такой цене можно будет реализовать именно то количество благ, которое предприниматель намерен продать, поскольку как раз данное количество максимизирует его прибыль. Поэтому для предпринимателя отсутствует необходимость формирования специальных ожиданий относительно спроса: он должен только попытаться правильно спрогнозировать цену и потом сравнить ее с издержками производства альтернативных количеств благ. Так как с целью упрощения делается допущение, что единственным элементом издержек производства является зарплата, в системе классики/новой классики лишь реальная зарплата — соотношение между зарплатой и ценами — определяет (при данных запасах капитала и данном техническом знании) решение относительно величин производства благ и занятости.
В традиционном кейнсианстве (в отличие от системы классики/новой классики), с одной стороны, учитывается возможность того, что номинальная зарплата не снижается и вместе с (определяемым посредством взаимодействия предложения и спроса) равновесным уровнем цен определяется реальная зарплата, при которой запланированное предложение благ меньше производства при полной занятости. Причиной безработицы здесь является постоянство величины номинальной зарплаты.
С другой стороны (и это рассматривается как более важный случай), подвергается сомнению тезис о том, что в случае безработицы снижающиеся зарплата, цены и процентные ставки приведут к полной занятости. Скорее, традиционные кейнсианцы допускают возможность того, что и при снижающихся зарплате, ценах и процентных ставках совокупный спрос не повышается, а сохраняется на прежнем уровне, соответствующем неполной занятости, или даже сокращается. В этом случае спрос определяет величины производства, предложения благ и занятости.
В одной из новых разновидностей кейнсианства предполагается возможность ситуаций обширных неравновесий, когда цена благ в принципе может быть неравновесной ценой, но не в том смысле, что запланированную продукцию нельзя реализовать полностью, а в том смысле, что спрос ограничивает (рационирует) продажи. Таким образом, делается вывод о существенной более важной роли спроса в определении объема производства.
3.3. Равновесие на рынке благ
При определенных (в большинстве случаев выполнимых) условиях на рынке благ существует такое равновесие, при котором запланированное их предложение равно запланированному спросу на блага. Тогда разные детерминанты спроса на блага (доходы, ставка процента и уровень цен) должны так влиять на него, чтобы он соответствовал зависящему от других факторов (уровень реальной зарплаты, эффективный спрос) предложению благ. Учитывая разнообразие детерминант, можно предположить, что достижение равновесия весьма проблематично.
4. Рынок денег
Рынок денег, на первый взгляд, не совпадает с обычным представлением о рынке. Но в экономической теории создалось единое мнение, что деньги должны интерпретироваться как рыночный объект, для которого, как и для других благ, существуют предложение и спрос. Деньгами при этом называются платежные средства, которые в процессе обмена используются для выполнения обязательств. В современной экономике деньгами признаются следующие средства: банкноты, монеты и вклады до востребования на текущих счетах (жиросчетах) в банках (более точное описание см. в гл. 17).
В каждый момент времени в экономике существует определенное количество денег — запас денег. За его предоставление несет ответственность так называемый Центральный банк (в Германии — Немецкий Бундесбанк, в России — Центральный банк Российской Федерации) совместно с системой коммерческих банков. О том, как это происходит, см. в гл. 17 и 18; предполагается, что номинальный запас денег задан экзогенно.
Существующий запас денег является для экономического субъекта своего рода кассой, поэтому говорится о спросе на запас. Спрос на деньги является чсамоспро-сом» (Eigennachfrage), если деньги, на которые он предъявляется, находятся уже во владении экономического субъекта; в противном случае данный спрос представляет собой новый спрос. Соответственно мы говорим, например, о самоспросе на дом, если мы его уже имеем и желали бы сохранить. В то же время приобретение дома называется новым спросом. В этом смысле термин «спрос на деньги» имеет несколько иное значение, чем спрос на блага или труд; оба воспринимаются без уточнения — только как новый спрос. Тогда возникает вопрос, почему индивиды держат деньги (т. е. банкноты, монеты и бессрочные вклады), не приносящие проценты, вместо того, чтобы приобрести за них потребительские блага, производственные средства или ценные бумаги, приносящие непосредственно полезность или доход?
4.1. Спрос на деньги
Тот факт, что субъекты экономики держат деньги, объясняется только тем, что накопление денег в данном объеме, в сравнении с прочими возможными формами использования доходов и имущества, приносит выгоду. При этом классики считали, что деньги используются исключительно как средство обмена для финансирования повседневных выплат, т. е. их необходимость определяется исключительно трансакционным мотивом.
Вызванный трансакционным мотивом спрос на деньги
Так как для каждой небольшой выплаты превращение в деньги вкладов или подобных приносящих проценты активов вряд ли удобно (экономически выражено потерей времени и самих денег), для таких трансакционных потребностей необходим определенный запас денег. Этот определяемый трансакционными целями спрос на деньги зависит от номинального национального продукта rY ¦ Р (который определяет величину платежей для покупок конечных продуктов) и от обычаев платежа, например от регулярности выплаты зарплаты, распространенности кредитных карточек и т. д. Поэтому уравнение спроса на деньги по трансакционному мотиву выражается следующим образом;
L
T=--P-rY.
1 ?
При этом: Ц. — спрос на деньги для трансакционных целей, Р — уровень цен, rY — реальный национальный доход.
v — скорость обращения денег в кругообороте доходов, определяемая как:
P-Y
r
? =--
М ‘
(М = номинальная денежная масса).
Таким образом, величина ? является в конечном счете отражением платежных обычаев. Обратная ей переменная к = 1 / ? = М/P-rY, представляет собой так называемый коэффициент денежных остатков, который отражает сохранение денежных единиц в среднем на единицу номинального национального продукта. Если ? определяется платежными обычаями, то вышеприведенный тезис верен и для к. Если же исходить из того, что на к влияет существующая рыночная ставка процента (чем выше процентная ставка, тем выше альтернативные издержки хранения денег), то тогда от процентной ставки зависит и ?.
Спекулятивный спрос на деньги
Для того чтобы деньги принимались как платежное средство, они должны обладать функцией сохранения ценности. Было бы бессмысленно использовать при финансировании сделок деньги, если бы они очень быстро, с каждым часом, теряли свою ценность, как, например, при высокой инфляции в Германии в 1920-1921 гг. или в России в период Гражданской войны. Поэтому необходимым условием того, чтобы деньги принимались в качестве средства платежа выступает некоторая устойчивость их ценности. Первым мысль о том, что функцию денег как средство сохранения ценности можно рассматривать как самостоятельную мотивацию для спроса на деньги, высказал Дж. Кейнс. Ученый рассматривал поведение людей, которые намерены вложить свои деньги в ценные бумаги и в то же время ожидают падения цены (курса) этих бумаг. В таком случае, очевидно, было бы разумно подождать с вложением денег до тех пор, пока не будет ожидаться повышения цен ценных бумаг. В промежуточный период, прежде всего во времена неустойчивости и ожидаемых снижений курса ценных бумаг, деньги сохраняются как «спекулятивная касса». Данную идею легко перенести на случай (сегодня, правда, маловероятный) общего снижения цен (дефляции): когда ожидается всеобщее снижение цен, деньги превращаются в наилучшее средство сохранения ценности, ибо в будущем они позволят приобрести большие количества любых благ.
М. Фридман широко формулирует мотивы спроса на деньги: деньги держатся до тех пор, пока их полезность в форме безопасности, удобства и социального престижа плюс потенциальные выигрыши за счет возможных снижений цен превышают полезность и выигрыши от различных возможных способов вложения денег.
4.2. Равновесие на рынке денег
При определенных (в большинстве случаев выполнимых) условиях равновесие на рынке денег существует в том смысле, что имеющийся запас денег в точности равен предъявляемому (желаемому) спросу на деньги. •
При этом необходимо, чтобы детерминанты спроса на деньги, например реальный национальный доход, уровень цен, ставка процента или ожидаемая дефляция, формировались таким образом, чтобы спрос соответствовал денежному запасу.
5. Система классики
В качестве первой макроэкономической теории мы опишем систему классики. В большинстве случаев под термином «классика» понимается парадигма Адама Смита, Давида Рикардо и других экономистов XVIII—начала XIX вв. Но применительно к проблемам макроэкономических отношений между рынками благ, денег и труда этот термин принято использовать для описания парадигмы экономистов более позднего периода: примерно с конца XIX в. до появления «Общей теории» (1936) Дж. Кейнса, например Л. Вальраса, И. Фишера и А. Пигу. Данный термин используется в контексте их теорий, несмотря даже на то, что сторонников подобных воззрений относят к неоклассикам.
Характерным для классической системы является представление о высокой гибкости процентной ставки, цен, зарплаты и очень быстрого приспособления экономических субъектов к изменившимся условиям. В случае неравновесия цены реагируют всегда быстрее, чем объемы предложения и спроса, и экономика почти мгновенно возвращается в состояние равновесия (тем самым обеспечивая стабильность равновесия).
5.1. Рынок труда в классической системе
В соответствии с представлениями классиков, благодаря гибкости ставок зарплаты на рынке труда всегда устанавливается реальная заработная плата, соответствующая ситуации полной занятости. В случае возникновения безработицы, конкуренция между безработными приводит к понижению ставки зарплаты до тех пор, пока не достигается полная занятость. Если же спрос на труд превышает его предложение, равновесие обеспечивается через рост ставки зарплаты. При данном запасе капитала и данных производственных технологиях реальное производство (равное реальному национальному доходу) определяется совместимыми с полной занятостью затратами труда. Данные взаимосвязи представлены на рис. 11.6.
W
При равновесной реальной зарплате
)* предложение труда соответствует
спросу на труд; при затратах труда N* (в соответствии с производственной функцией) создается реальный доход полной занятости rY*.
5.2. Рынок благ в классической системе (теорема Сэя)
Уровень производства, соответствующий полной занятости, обеспечивается предпринимателями только тогда, когда порождаемое производством предложение благ в точности совпадает со спросом на блага.
В системе классики на макроуровне данное условие рассматривается как всегда выполняющееся. Представители классической школы исходили из теоремы Сэя, согласно которой в общеэкономическом смысле каждое предложение создает свой собственный спрос (Жан Батист Сэй — J. Baptiste Say, французский экономист, 1767-1832).
Теорема Сэя опирается, в сущности, на две идеи:
(1) Каждому производству соответствует созданный в том же объеме доход, что вытекает из идеи экономического кругооборота и всегда имеет место. Но для покупки благ весь доход используется далеко не всегда, таким образом, объем спроса не обязательно равен объему предложения. Однако здесь «вступает в игру» вторая идея.
(2) Гибкость процентной ставки приводит к тому, что в конце концов расходуется весь доход, а значит спрос возрастает до уровня, соответствующего полной занятости. Ведь если часть дохода полной занятости не расходовалась бы, она направлялась бы в сбережения. Так как в соответствии с классическими воззрениями деньги используются исключительно для трансакционных целей (экономисты-классики считали, что субъекты экономики не используют деньги в качестве средства сохранения богатства), а значит, сбережения могли бы предлагаться как добавочные кредиты и (поскольку это порождает соответствующее снижение процентной ставки) на эти кредиты предъявляется спрос, они способствуют финансированию соответствующего добавочного спроса на блага (в большинстве случаев — для обеспечения инвестиций). Уменьшение спроса в одной сфере, с точки зрения классиков,
|
Реальная зарплата |
 |
|
Рис. 11.6. Простая версия системы классики |
компенсируется возрастанием спроса в другой. В конечном счете подобную «компенсацию» обеспечивает процентная ставка, которая достигает такой величины, которая и порождает спрос на производство, совместимое с полной занятостью.
5.3. Рынок денег в классической системе (количественная теория денег)
В соответствии с классическими воззрениями деньги используются как трансакционная касса для осуществления сделок (обмена). Скорость обращения денег в кругообороте доходов
p.rY
?--
М
определяется обычаями платежа, степенью концентрации экономики и прочими институциональными факторами. В качестве отражения этих детерминант платежного оборота классики выделяли так называемое количественное уравнение, которое выводится через простое преобразование формулы скорости обращения денег:
М • ? = Р • rY.
Данное количественное уравнение всегда верно как определение, оно представляет собой тождество. Количественное уравнение становится классической количественной теорией денег лишь тогда, когда мы, как и классики, предполагаем, что изменения денежной массы не влияют на ? и реальный национальный продукт ГУ зависит только от реальной зарплаты. Именно тогда из только что приведенного уравнения следует (фальсифицируемый) тезис классической количественной теории денег: изменение денежной массы М приводит к прямо пропорциональному изменению уровня цен Р.
Деньги в этой системе играют весьма незначительную роль: они определяют лишь величину абсолютных цен (уровень цен), но не оказывают никакого влияния на относительные цены и реальный сектор экономики. В этом смысле говорят о классической дихотомии — разделении между реальным и монетарным (денежным) секторами экономики, и о нейтральности денег (тезис, отстаиваемый в классической теории). Последний термин означает ситуацию, когда деньги являются как бы «вуалью», окутывающей реальные процессы, но никак на них не влияющей.
5.4. Оценка
Система классики как изображение одной замкнутой взаимосвязанной рыночной системы имела большое значение. Но она не является, как и каждая модель, «фотографией» экономики. В сравнении с реальной действительностью ни одна модель не может быть полной. Центральный тезис классической модели, согласно которому экономика всегда находится в состоянии общего равновесия, не позволяет дать непротиворечивые объяснения конъюнктурных кризисов и массовой безработицы. Очевидное для каждого наблюдателя противоречие между массовой безработицей в период мирового экономического кризиса и утверждением о способности рыночной экономики к самокорректировке на длительное время ограничило популярность классической модели среди экономистов. Но для того, чтобы пересмотреть основы классической теории, необходимо было подвести новый теоретический фундамент. И большинство камней в новое основание были заложены Дж. Кейнсом.
Список основных понятий
¦ Макроэкономика
¦ Неинфляционный уровень безработицы (NAIRU)
¦ Конъюнктурная безработица
¦ Классическая безработица
¦ Кейнсианская безработица
¦ Равновесие при неполной занятости
¦ Безработица, вызванная недостатком капитала
¦ Скрытая безработица
¦ Эффект замещения
¦ Эффект имущества
¦ Эффект Кейнса
¦ Деньги
¦ Функция сохранения ценности
¦ Спекулятивная касса
¦ Теорема Сэя
¦ Количественное уравнение
¦ Классическая количественная теория денег
¦ Классическая дихотомия
¦ Нейтральность денег
¦ Краткосрочный анализ
¦ Идея кругооборота
¦ Закон Вальраса
¦ Классическая макроэкономическая теория
¦ Новая классическая макроэкономическая теория
¦ Кейнсианская макроэкономическая теория
¦ Традиционное кейнсианство
¦ Теория рационирования
¦ Посткейнсианство
¦ Новое кейнсианство
¦ Реальная зарплата
¦ Рынок труда
¦ Предложение труда
¦ Понижательная жесткость денежной зарплаты
¦ Концепция рациональных ожиданий
¦ Фрикционная безработица
¦ Структурная безработица
¦ Естественная безработица
Вопросы и задания для повторения

1) Объясните следующие термины:
фрикционная, структурная и естественная безработица, уровень безработицы,
трансакционный и спекулятивный мотивы держания денег.
2) Что понимается под «равновесием экономического кругооборота»?
3) Что понимается под законом Вальраса? Объясните на примере действующее для отдельных экономических субъектов бюджетное ограничение.
4) Как вы объясните отрицательный наклон кривой спроса на труд и имеющий вопреки росту реальной зарплаты место факт увеличения занятости в долгосрочном периоде?
5) Обсудите зависимость совокупного спроса на блага от уровня цен. Почему, опираясь на известные из теории поведения домохозяйств (см. гл. 4) эффекты замещения и дохода, нельзя объяснить реакцию совокупного спроса на изменения уровня цен (или можно, но в ограниченных пределах и в модифицированном виде).
6) Опишите рынок труда и рынок благ в классической системе и обсудите в связи с этим теорему Сэя.
7) Что показывает количественное уравнение и какую роль оно играет в классической количественной теорией денег?
8) Что понимается под существованием равновесия и под его стабильностью? Почему важно различать эти две концепции?
9) Допустим, что вследствие технического прогресса повышается предельная производительность труда. Каковы последствия этого изменения в классической модели?
10) Объясните ваше понимание терминов «нейтральность денег» и «классическая дихотомия».
|
.-'¦'иЖІІіШШЯ |
 |
 |
¦ Ясное описание (на основе графиков) модели, построенной на понятиях совокупного спроса и совокупного предложения, содержится в гл. 11 одного из самых популярных в США учебников:
Макконнел К. Р., Брю С. Л. Экономикс. Принципы, проблемы и политика. В 2 т. М., |
1992.
¦ Четкое изложение основ теории доходов и занятости, системы макроэкономических рынков и их взаимосвязей представлено в учебниках вводного уровня:
Джон Э. Дж..Линдсей Д. Макроэкономика. СПб., 1994.
Фишер С., Дорнбуш Р.. Шмалензи Р. Экономика. М., 1993.
¦ Весьма полезной, посвященной проблемам взаимосвязей рынка труда и социальной политики в Европе работой является:
Рынок труда и социальная политика в Центральной и Восточной Европе. Переходный период и дальнейшее развитие / Под ред. Н. Барр. М., 1997.
¦ Проблемы рынка труда и политика занятости в странах с развитой рыночной экономикой рассматриваются в книге:
Никифорова А. А. Рынок труда: Занятость и безработица. М., 1991.

ТРАДИЦИОННОЕ КЕЙНСИАНСТВО (детерминанты занятости, часть 2)

В чем заключаются особые допущения и результаты традиционной кейнсианской теории? j
¦ Что представляют собой компоненты совокупного спроса на блага и каковы их детерминанты?
¦ На каком допущении относительно предложения благ основываются упрощенные модели?
¦ Что означает равновесие на рынке благ?
¦ Какие факторы определяют равновесие на рынке благ?
¦ В чем состоят особенности кейнсианского рынка денег?
¦ Как определяется одновременное равновесие на рынках благ и денег (равновесие в модели IS-LM)?
¦ Что понимается под кейнсианским равновесием при неполной занятости?
¦ Какие особенности имеет кейнсианский рынок труда?
¦ Какую роль в достижении общеэкономического равновесия играют спрос на труд и предложение благ?
¦ Какие направленные на преодоление равновесия при неполной занятости меры являются наиболее эффективными?
^нэдіц
УАбмвм»»:-:»'. >миекк»к*»чс
 |
> , -*¦ -Чр?? ?$& «.
*к*< Л if г ? * К ¦Х?&ЖЪ?' * *тмцу.«»яіы*і!>г*!!*л>,*«awwiiH»«-a:»w |
Как уже отмечалось в 11-й главе, единого мнения среди экономистов по поводу интерпретации работ Джона Мейнарда Кейнса, и прежде всего «Общей теории занятости, процента и денег» (1936), не существует. В течение двух десятилетий в экономическом анализе доминировала версия Дж. Хикса и Б. Хансена, попытавшихся описать основы кейнсианской теории в виде двух простых уравнений: для рынка благ и рынка денег. Впоследствии, была предпринята попытка модификации двух допущений (воспринявшихся как неадекватные) модели IS-LM — предположения о постоянстве уровня цен и выведения функции предложения благ без учета максимизации прибыли. Результатом явился «кейнсианско-неоклассический синтез», или «неоклассический синтез». Мы относим эти интерпретации кейнсианской теории (обогащенные различными смещениями, они широко распространены и сегодня) традиционным кейнсианством. В дальнейшем мы опишем основные характеристики этой макроэкономической теории в такой последовательности: сначала проанализируем только равновесие на рынке благ, что позволит нам выявить существенные аспекты кейнсианского подхода, а затем — рынок денег и одновременное равновесие на рынках благ и денег. В связи с этим мы рассмотрим кейнсианское равновесие при неполной занятости (сначала в весьма упрощенной форме). Наконец, после включения рынка труда макроэкономическая система будет проанализирована полностью. Читатель, который не очень интересуется тонкостями традиционного кейнсианства, может пропустить этот материал.
1. Рынок благ
1.1. Предварительные замечания
На рынке благ предлагается национальный продукт и предъявляется спрос на него. В макроэкономической теории доходов и занятости приняты следующие существенные упрощения: при данном запасе капитала экономика, используя один вид труда, производит единственное благо, которое может быть потреблено или инвестировано. Исходя из постоянной структуры народнохозяйственного производства, т. е. из неизменной структуры набора благ, представление «случая одного блага» является разумным в случае, когда наша цель состоит в анализе объема производства в совокупности (пренебрегая его структурой). Дальнейшее упрощение (см. разделы 1—3 данной главы) состоит в том, что мы рассматриваем ценовый уровень постоянным и равным 1, так что выраженные в деньгах величины одновременно являются реальными величинами, и наоборот. Поэтому необходимость проведения различий между номинальным и реальным национальным продуктом (национальным доходом) отсутствует (до 4-го раздела гл. 12).
1.2. Компоненты совокупного спроса на блага и их детерминанты
Нам известно, что совокупный спрос может быть структурирован по различным компонентам конечного спроса (см. гл. 9 и гл. ІО). В системе национальных счетов, которая развивалась в тесной связи с кейнсианством, в рамках попытки получения частичных агрегатов, при использовании которых можно предполагать относительно однородные детерминанты, различаются частное потребление, частные инвестиции, государственные расходы на товары и услуги, экспорт и импорт. Так как величина государственных расходов на товары и услуги (коротко «государственные расходы») A
st практически детерминирована, в дальнейшем мы предполагаем, что она задана. Для упрощения мы пренебрегаем (за исключением раздела 1.4.2) внешнеэкономическими связями, т. е. рассматриваем «замкнутую (закрытую) экономику». Частично мы также не учитываем государственную экономическую деятельность.
Спрос на блага, таким образом, состоит из частного спроса на потребление С, частного спроса на инвестиции I и (в том случае, если наш анализ это учитывает) предполагаемых в качестве заданных государственных расходов А .
1.2.1. Частное потребление
В кейнсианстве предполагается, что частное потребление зависит от величины текущего национального дохода (национального продукта): С = C(Y). Далее предполагается, что при растущих доходах потребление увеличивается, причем рост потребления меньше роста национального дохода («психологический закон» Кейнса). Гипотетическая связь между национальным продуктом и потреблением называется также гипотезой абсолютного дохода. Это название отделяет ее от других гипотез, основывающихся на доходах как решающих детерминантах потребления. Среди них можно, например, упомянуть гипотезу относительного дохода. Если в рамках гипотезы абсолютного дохода допустить, что независимо от величины национального дохода (а значит, и при национальном доходе в объеме 0) всегда осуществляется определенное «автономное» потребление1 С
а, получим обычно используемую кейнсианцами гипотезу потребления:
С = С +C(Y).
При пропорциональном соотношении между изменениями потребления и национального дохода (причем данное соотношение меньше 1) получим кейнсианскую функцию потребления следующего вида:
С = С
а + bY,
при которой С и Y можно интерпретировать как выраженные в денежных единицах и в единицах благ величины, поскольку уровень цен Р первоначально предполагается постоянным. Для того чтобы реальные и номинальные величины точно соответствовали друг другу, мы допускаем, что Р = 1.
‘Это можно представить и в экономике в целом, если возможны уменьшения запасов на складах или импорт благ.
|
Потребление (млрд руб.) |
 |
Национальный доход (млрд руб.) |
|
Рис. 12.1. Функция потребления |
Пример:
С = 100 + 0,75 Y.
Данная функция потребления изображена на рис. 12.1.
Доходы отражены на горизонтальной оси, потребление — на вертикальной. Изображенная также под углом в 45° линия является вспомогательной; она показывает, что каждая точка на ней имеет одно и то же расстояние до обеих осей — и горизонтальной, и вертикальной. С помощью этой линии можно показать национальный доход на вертикальной оси и, таким образом, сопоставить его непосредственно с потреблением при данном доходе. Так, например, от точки В расстояние как до оси доходов, так и до оси потребления составляет 400, и это означает, что при доходе в объеме 400 потребление тоже составляет 400. Иными словами, сбережения при этом доходе равны нулю («порог сбережений*). С помощью данной линии можно непосредственно вычислить сбережения и в других точках на графике. Читатель должен помнить, что доходы или потребляются, или сберегаются:
' Y = С + S.
Как следует из рис.12.1, возможен вычет запланированных при каждой величине доходов объемов потребления и сбережений домохозяйств (вертикальная разница между 45°-ной линией и линией потребления). Запланированные сбережения слева от пункта В характеризуются отрицательной величиной.
Очень важным является представление (знание) о том, как рост национального дохода влияет на увеличение планируемого потребления. Соотношение этих величин показывает так называемую предельную склонность к потреблению (увеличение потребления в случае возрастания дохода на 1 единицу).
В нашем примере предельная склонность к потреблению составляет 0,75. что на рис. 12.1 выражено наклоном графика функции потребления. Это означает, что при предполагаемой функции потребления
С= 100+ 0,75 Y
75 % добавочных доходов потребляется, 25 % сберегается. Аналогично тому как определяется предельная склонность к потреблению, возможно определение предельной склонности к сбережению. Предельная склонность к потреблению (выражаемая в процентах) показывает направляемую в сбережения долю добавочного дохода. Предельная склонность к потреблению и предельная склонность к сбережению «дополняют» друг друга до 1 (0,75 + 0,25 = 1), т. е. до 100 %. Использование доходов (не учитывая налоги и дарения) возможно только в виде потребления или сбережений. Если, например, национальный доход увеличивается на 100 млрдруб., то потребление повышается на 75 млрдруб., а сбережения — на 25 млрдруб.
Допущение, что макроэкономическое потребление в описанной форме определяется только национальным доходом, является грубым упрощением; существуют и другие детерминанты потребления.
Для целей потребления и сбережения домохозяйство распоряжается не всеми заработанными в процессе производства доходами, а только доходами после уплаты прямых налогов (в основном налога на зарплату и подоходного налога) и получения возможных трансфертных платежей, таких как пенсии и премии. Поэтому более правильным является утверждение о том, что потребление зависит от располагаемого дохода домохозяйства (несколько неточно говорят также о чистом доходе) и соответственно что совокупное потребление экономики определяется располагаемым доходом всех домохозяйств.
Домохозяйства, которым удалось заработать за год, к примеру, не 25 тыс. руб., а 100 тыс. руб., далеко не сразу изменяют свои потребительские привычки (стандарт потребления). Точно так же при снижении дохода стандарт потребления демонстрирует определенную устойчивость. Случайные колебания доходов влияют на стандарты потребления далеко не так сильно, как длительные изменения, поскольку прежде всего домохозяйство делает попытку сохранить достигнутый уровень жизни.
Если домохозяйства ожидают роста цен, у них возникает мотивация к покупкам потребительских благ, возможно, с помощью кредита. Здесь преследуется цель приобретения относительно дешевых благ (инфляционный менталитет). С другой стороны, ожидаемое уменьшение доходов (например, в связи с возможным кризисом или безработицей) ведет к снижению склонности к потреблению и повышению «сберегательной активности» (кризисный менталитет).
И наконец, совокупное потребление зависит не только от величины национального дохода, но и от его распределения. Нормальное распределение национального дохода предполагает, что относительно малое число людей имеют высокий доход, некоторые — средний доход и очень многие — небольшой доход (см. гл. 26). Как правило, домохозяйства с небольшим доходом в сравнении с домохозяйствами с высокими доходами в среднем имеют более высокую предельную склонность к потреблению. Следовательно, при данной величине совокупного дохода перераспределение национального дохода от «богатых» к «бедным» ведет к увеличению совокупного потребления. Так как пропорции распределения доходов изменяются очень медленно и незначительно, в краткосрочном периоде мы исходим из данного распределения доходов.
К детерминантам потребления относятся также:
¦ размеры имущества:
¦ возможности получения кредита и его издержки;
¦ проценты по инвестированным сбережениям.
Все вышеперечисленные факторы воздействуют на поведение отдельных домохозяйств в сфере потребления и соответственно на зависимость совокупного потребления от национального дохода. В дальнейшем для упрощения мы будем рассматривать функцию потребления, в которой потребление считается зависимым только от доходов, т. е. располагаемого дохода. Таким образом, изменение других детерминант потребления будет приводить к смещению (сдвигу) графика функции потребления. Следовательно, необходимо различать движение вдоль кривой потребления (при изменении доходов, но постоянстве остальных детерминант) от смещения этой кривой (например, от С, до С, при изменении не располагаемого дохода, а любых других факторов потребления) (см. рис.12.2).
Потребление (млрд руб.)
 |
|
Рис. 12.2. Смещение функции потребления |
Национальный доход
* (мпгш nv/S >
(млрд руб.)
1.2.2. Частные инвестиции
Под инвестиционными расходами в широком смысле понимаются все расходы, обеспечивающие существующие доходы и/или повышающие возможные будущие доходы.
В этом широком смысле термин «инвестиции» используется в экономической теории достаточно редко. В национальном счетоводстве он означает, как правило, расходы предпринимателей на сохранение, расширение или улучшение вещественного производственного аппарата. Иногда говорят не об инвестициях, а о накоплении капитала или об образовании реального капитала.
Так как в ходе использования вещественного капитала имеет место его износ (амортизация капитала), в точности компенсирующие износ инвестиции являются лишь капиталовложениями в замену мощностей (восстановительными инвестициями, или реинвестициями).
Инвестиции, «выходящие за эти рамки», представляют собой чистые инвестиции. Восстановительные инвестиции и чистые инвестиции совместно образуют
валовые инвестиции.
Чистые инвестиции могут служить как увеличению качественно неизменного вещественного капитала (расширяющие инвестиции), так и повышению его эффективности (рационализирующие инвестиции). Правда, восстановительные инвестиции могут предназначаться также для целей рационализации, так что данный критерий классификации представляется нам недостаточно четким.
Кроме того, различают инвестиции в основной капитал и инвестиции в товарно-материальные запасы. Инвестиции в основной капитал определяют производственный потенциал экономики; к ним относятся инвестиции в оборудование (машины, оборудование, автомобили, интерьеры офисов) или инвестиции в строительство (жилые дома, производственные здания и сооружения, дороги, мосты). Инвестиции в запасы определяют изменения запасов производственных средств кратковременного пользования, полуфабрикатов и готовой продукции предприятий.
Динамика частных инвестиций в ФРГ характеризуется достаточно сильными колебаниями, или инвестиционными волнами (см. рис. 12.3).
Определение воздействующих на инвестиционную деятельность предпринимателя факторов предполагает идентификацию условий выгодности капиталовложений инвесторов. Одним из важнейших факторов выгодности является рыночная процентная ставка.
 |
|
Рис. 12.3. Чистые инвестиции предприятий и государства в DM млрд Источник: Jahresgutachten des Sachverstdndigenrates. 1994/95, S. 354. |
Осуществление инвестиций сопряжено с издержками приобретения и изготовления (А), затем, как правило, в течение своего жизненного цикла инвестиции создают поток годовых чистых поступлений (Е). [Доходы минус эксплуатационные расходы (без амортизации)].
В качестве примера рассмотрим приобретение копировальной машины, с помощью которой инвестор как самостоятельный предприниматель планирует предоставлять за определенную плату услуги по копированию документов. Осуществление инвестиций предполагает совершение покупки копира стоимостью DM'5 тыс. («расходы на приобретение»). Инвестор предполагает, что экономический и технический срок службы1 копировального аппарата будет составлять четыре года, по истечении которых копир без остаточной стоимости (но и без издержек) будет сдан в металлолом.На протяжении жизненного цикла (в течение четырех лет) инвестиции в копировальный аппарат позволяют предпринимателю получать чистый доход, который ежегодно рассчитывается следующим образом: из выручки (произведения количества фотокопий и цены за 1 штуку) вычитаются эксплуатационные расходы (бумага, оплата электричества, плата за помещение, за ремонт, зарплата и т. п.).
Если обозначить ожидаемые чистые ежегодные доходы от эксплуатации копировального аппарата как Е
г Е,, Е
3 и Е
4, рассматриваемую нами инвестицию можно представить следующим образом:
|
-А |
+ Е> |
. +Е3 |
+ Е3 |
+ Е4 |
|
(-5000) |
(+ 1700) |
(+ 1700) |
(+ 1700) |
(+ 1700) |
|
0 |
1-й год |
2-й год |
3-й год |
4-й год |
Естественно, что для отдельного предприятия исчисление величин годовых чистых доходов и продолжительности экономической жизни инвестиции будет трудной задачей. Так как речь идет о будущих величинах, по разным видам инвестиций возможны только прогнозы чистых доходов, характеризующиеся большей или меньшей неопределенностью. На первом этапе с целью упрощения мы пренебрегаем неопределенностью и задаем вопрос: что определяет выгодность инвестиций?
Для того чтобы не делать различий между кредитным финансированием и самофинансированием, предполагаем, что процентная ставка по ссудам соответствует ставке, которую мы получим в результате денежного вложения на финансовых рынках (т. е. доходности ценных бумаг). Иными словами, в экономике существует единая рыночная ставка процента для финансовых активов. Далее предположим, что предприниматель может в любое время получить кредит в желаемом объеме по рыночным процентным ставкам или вложить ликвидные средства.
В нашем примере инвестор направляет DM 5 тыс. (в период времени 0) на покупку копировального аппарата. Он получает (как мы предполагаем) в конце каж-
Фазличается технический срок службы машины, который показывает, на протяжении какого времени она будет функционировать, и экономический срок службы, который показывает, до какого времени машина будет работать рентабельно. Так, например, паровые локомотивы являются экономически устаревшими, но технически часто еще функционирующими.
дого из четырех лет эксплуатации копира чистый доход в объеме DM 1,7 тыс., в сумме за четыре года — DM 6,8 тыс. Таким образом, сумма будущего чистого дохода выше расходов на приобретение. Такое превышение является необходимым, но недостаточным условием прибыльности инвестиции. Необходимо учитывать, что, например, DM1,7 тыс., которые поступят инвестору после четвертого года эксплуатации аппарата, будут иметь лишь настоящую ценность (сегодняшнюю ценность). Эта ценность равна сумме, которая, если была бы вложена сегодня, выросла бы на протяжении четырех лет с учетом сложных процентов до DM1,7 тыс. Следовательно, из DM1,7 тыс. необходимо вычесть рыночные проценты за четыре
1700
года и сегодняшняя ценность этой суммы составит
(Ui)4
где і обозначает рыноч
ную процентную ставку.
Соответствующие рассуждения верны для получаемых и после одного года, двух и трех лет чистых доходов. Сегодняшняя ценность всех чистых доходов определяется так:
1700 1700 1700 1700
(1 + і),+(1 + і)2 + (1+і)3 + (1+і)4 •
Например, при рыночной годовой процентной ставке і, равной 0,1 (10 %), сегодняшняя ценность составит:
1545 + 1405 + 1277 + 1161 = 5388.
Значит, сумма дисконтированных чистых доходов в объеме DM 5388 больше расходов на приобретение в объеме DM 5 тыс. А это означает не что иное как то, что инвестор был бы в худшей ситуации, если бы вместо покупки машины вложил средства в ценные бумаги со сложным процентом. Так происходит потому, что сегодняшняя ценность чистых доходов (на примере DM 5388, вложенных на рынке ценных бумаг и дающих проценты) принесла бы больший заработок, чем вложение имевшегося до инвестиций капитала в объеме DM 5 тыс. в ценные бумаги. Следовательно, осуществление данной реальной инвестиции приносит большие проценты, чем вложение на рынке ценных бумаг (т. е. осуществление финансовой инвестиции).
Можно сделать следующий вывод:
(Реальные) инвестиции выгодны, если дисконтированная сумма чистых доходов инвестиционного объекта (их «сегодняшняя ценность») больше расходов на его приобретение.
Если обозначить разницу между суммой дисконтированных чистых доходов и расходами на приобретение как чистую сегодняшнюю ценность инвестиций, то сформулированное условие выгодности инвестиции можно выразить следующим образом:
(Реальные) инвестиции выгодны, если их чистая сегодняшняя ценность положительна (больше 0).
Приведенные выше рассуждения показывают, что чистая сегодняшняя ценность инвестиций при данной величине и временном распределении чистых доходов и при данных расходах на приобретение зависит от процентной ставки, по которой необходимо дисконтировать будущие чистые доходы. Чем выше эта процентная ставка, тем ниже при прочих равных условиях сегодняшняя чистая ценность. В приведенном примере сегодняшняя чистая ценность будет отрицательной, если исходить из процентной ставки, равной 14 %. Реальные инвестиции в этом случае невыгодны. так как инвестор был бы в лучшем положении, если бы вложил свой капитал под 14 % на рынке ценных бумаг.
Значит, инвестиции при прочих равных условиях тем выгоднее, чем ниже рыночная процентная ставка.
Мы имеем возможность выразить наши выводы о прибыльности инвестиции и другим способом, идея которого имеет важное значение для дальнейшего анализа. Она возникла уже при изложении метода чистой сегодняшней ценности. Из положительной сегодняшней ценности следует, что процент, полученный за счет осуществления реальных инвестиций, выше процентной ставки, употребляемой для дисконтирования чистых доходов. Отрицательная чистая сегодняшняя ценность означает, что проценты. начисленные по реальным инвестициям, меньше процентной ставки, применяемой при дисконтировании чистых доходов. Соответственно равная нулю чистая сегодняшняя ценность означает, что доходность (рентабельность) реальных инвестиций равна процентной ставке, примененной при дисконтировании чистых доходов. Следовательно, возможно такое определение доходности (рентабельности) реальных инвестиций, при котором мы ищем процентную ставку, приводящую к нулевой чистой сегодняшней ценности инвестиции. Эту процентную ставку называют также внутренней нормой дохода или, опираясь на Дж. Кейнса, предельной эффективностью капитала. В нашем примере внутренняя норма дохода г является процентной ставкой, которая позволяет соблюсти равенство:
+ -112° =5000. (і + г)4
1700 1700 1700
(1 +
Г)1+(1+г)2 + <1 + г)3
Мы не описываем здесь расчет внутренней нормы дохода (такой расчет может быть очень сложным). Используя данный пример, посредством подстановок можно выяснить, что внутренняя норма дохода составляет примерно 13,5 %. Значит, при рыночной норме дохода, равной 10 %, покупка копировального аппарата была бы выгодна, так как начисленные проценты, которые связаны с таким капиталовложением (13,5 %), выше, чем процентные начисления, которые можно получить на рынке ценных бумаг (10%). Соответственно вместо утверждений о том, что инвестиции выгодны, если их чистая сегодняшняя ценность больше нуля, можно также (логически эквивалентно) сформулировать следующее:
Реальные инвестиции рентабельны, если предельная эффективность капитала выше рыночной нормы дохода (процентной ставки).
Даже при этой формулировке ясно, что определенный инвестиционный проект тем выгоднее, чем ниже рыночная процентная ставка в экономике. Если рыночная ставка процента в примере составляла бы 14 %, инвестиции были бы нерентабельными.
Таким образом, можно легко представить, что в экономике имеют место реальные инвестиции, характеризующиеся высокой предельной эффективностью капитала (например, в определенных растущих отраслях), и реальные инвестиции с более низкой внутренней доходностью (например, в кризисных отраслях, таких как угольная промышленность России). Если вообразить, что возможные инвестиции в экономике упорядочены по величине предельной эффективности капитала, то получится (после сглаживания кривой) изображенная на рис.12.4 картина.
Если рыночная процентная ставка составляет, например, і
0, инвестиции в сумме I являются рентабельными; если эта ставка составляет і,, рентабельны инвестиции величиной 1
г Кривая на рис. 12.4 отображает функцию инвестиций при данных будущих чистых доходах:
I = ко.
Обычно эта функция снижает инвестиции с растущей нормой процента.
Необходимо также дополнить и уточнить вышеприведенные размышления о прибыльности инвестиции и об общеэкономической функции инвестиций.
1. До сих пор мы предполагали, что реальные инвестиции не подвергаются риску в связи с будущими доходами и расходами. В действительности это происходит только в редких случаях.
Но инвестор, собирающийся осуществить связанные с риском инвестиции, вряд ли будет удовлетворен тем, что его вложения приносят процентные доходы, равные (или лишь немного превышающие) процентным ставкам по надежным ценным бумагам. Он только тогда будет считать инвестиции выгодными, когда они дополнительно к рыночному проценту принесут ему в будущем определенную рисковую премию (премию за риск).
|
г, і |
 |
Процентная ставка, которую хотел бы получить идущий на связанные с неопределенностью капиталовложения инвестор, называется расчетной ставкой процента. Она состоит из рыночной ставки процента и надбавки за риск. Для вычисления ценности будущих ожидаемых чистых доходов рискованных инвестиций необходимо дисконтировать их на основе расчетной ставки процента и сравнить их с расходами на приобретение. Иными словами, необходимо сопоставить внутреннюю норму дохода с расчетной ставкой процента. Так как рыночная ставка процента является составной частью расчетной ставки, инвестиции остаются, как и прежде, зависимыми от рыночного процента. Правда, при существовании неопределенности объем выгодных инвестиций по каждой рыночной ставке процента уменьшается (имеет место смещение кривой инвестиций влево): чтобы быть выгодными, текущие инвестиции должны приносить более высокую прибыль, чем в условиях полной определенности. Так что при данной рыночной ставке процента рентабелен меньший объем инвестиций. Кроме того, данные изменения рыночной ставки процента при существовании надбавки за риск приведут в сравнении со случаем отсутствия неопределенности к более слабой реакции инвестиций (значит, кривая на рис. 12.4 будет более крутой), поскольку рыночная ставка процента теперь составляет лишь часть расчетной ставки процента (часть, снижающуюся с увеличением риска и надбавки за него).
Следовательно, правомерно предположить, прежде всего для случаев относительно краткосрочных и весьма рискованных капиталовложений, что инвестиции среагируют лишь незначительно или вообще не среагируют на изменения рыночной ставки процента (значит, они неэластичны по проценту).
Случай неэластичных по процентной ставке инвестиций играет важную роль в кейнсианской теории.
Неэластичность инвестиций по процентной ставке также возможна в том случае, если в фазе экономической рецессии машины и оборудование используются не на полную мощность. Как правило, в данном случае при снижении процентной ставки инвестиции не осуществляются до тех пор, пока не будет достигнута более высокая степень загрузки существующих мощностей.
2. Мы определили предельную эффективность инвестиций, для случая, когда мы ожидаем некоторые будущие чистые доходы, но такого рода ожидания могут быть ненадежными. Поэтому выведенная функция инвестиций действительна лишь для данных ожидаемых будущих чистых доходов, если, например, предприниматели в ожидании конъюнктурного подъема или снижения издержек проявляют оптимизм, т. е. ожидаемая ими прибыль увеличивается и кривая предельной эффективности капитала смещается вверх (вправо).
Основанная на оптимизме и пессимизме предпринимателей нестабильность функции инвестиций является другим важным элементом кейнсианской теории.
3. Изображенная на рис. 12.4 функция инвестиций верна лишь при очень специфических межвременных (т. е. соблюдающихся от периода к периоду) условиях. Если, например, в период0 при процентной ставке ^предпринимаются
инвестиции в объеме І
0, то в экономике используются инвестиционные возможности, которые рентабельны при этой ставке процента и при преобладающих ожиданиях доходности (и запас капитала соответственно увеличивается до оптимального объема). В последующих периодах 1, 2 и т. д. чистые инвестиции при процентной ставке і
0 и при прочих равных условиях составили бы 0. Новые инвестиции в объеме I
t — І
0 были бы рентабельны лишь при снижении процентной ставки, например на ij,. Если, несмотря на это, во многих макроэкономических моделях исходят из неизменной во времени инвестиционной функции, тем самым предполагается, что через технический прогресс и/или через межвременное изменение ожиданий в экономике можно реализовать новые рентабельные инвестиционные проекты в предназначенном объеме.
Наряду с описанной гипотезой о том, что величина инвестиций зависит от процентной ставки
І = І(І),
в кейнсианской теории рассматривается и другая гипотеза — так называемая гипотеза акселератора [или принцип акселератора (см. гл. 27)]. В своей простейшей форме эта гипотеза означает, что инвестиции зависят от изменения совокупного спроса N:
I = f(AN).
Тогда линейный вид этого равенства таков:
I = ? • AN,
где ? означает так называемый жесткий акселератор. Эта функция инвестиций основана на предпосылке о фиксированном соотношении между необходимым капитальным запасом и спросом (т .е. выпущенным национальным продуктом):
К = ? • N,
ДК = ? • AN,
I = ? ¦ AN.
Центральным моментом в этой гипотезе является то, что она исходит из зависимости изменений инвестиций от роста или снижения темпов изменения спроса. Предположим, что в прошлом спрос повысился на 100. При акселераторе, равном 3, это означает, что чистые инвестиции постоянно составляют 300. Если в некоем периоде спрос повысится только на 80, чистые инвестиции составят 240, а значит, при повышении спроса имеет место снижение капиталовложений.
Поскольку инвестиции являются важным компонентом спроса, реализация принципа акселератора на практике может привести к относительно сильным колебаниям спроса. И поскольку (как еще будет показано) в кейнсианской теории при определении уровня экономической активности спрос играет центральную роль, объяснить его колебания позволяет гипотеза акселератора. Таким образом, данная гипотеза часто является важным элементом кейнсианских конъюнктурных моделей (моделей циклов) (см. гл. 27). В последующих рассуждениях о теории дохода и занятости в целях упрощения гипотеза акселератора не используется.
1.3. Предложение благ
В сфере предложения благ мы пока предполагаем, что оно всегда приспосабливается к спросу на блага. Данное допущение достоверно для экономики, в которой для предпринимателей возможности сбыта ограничиваются только существующим спросом. Напротив, можно также предположить, что предприниматели, преследуя цели максимизации прибыли (см. гл. 5). производят блага в количестве меньшем, чем объем спроса, потому что производственные издержки слишком высоки. Этот случай мы будем рассматривать в 4-м разделе настоящей главы.
1.4. Равновесие на рынке благ
1.4.1. Основной принцип
Аналогично равновесию на определенном рынке (например, на рынке велосипедов) в некоем абстрактном смысле можно говорить и о равновесии на общеэкономическом рынке благ.
Равновесие на рынке благ существует тогда, когда запланированное совокупное предложение благ равно запланированному совокупному спросу на них.
Добавление «запланированное» важно, так как из совпадения действительного предложения и действительного спроса не обязательно вытекает равновесие в том смысле, что участвующие экономические субъекты смогли реализовать свои планы и, таким образом, при прочих равных условиях не имеют повода изменять их в будущем периоде. Если, например, запланированный спрос выше запланированного предложения, продавцы, возможно, предложат недостаточное количество товаров из складских запасов. При прочих равных условиях они, несмотря на равенство действительного предложения благ и действительного спроса на них, в будущем периоде поставщики, ориентируясь только на спрос, повысят запланированное предложение благ.
В дальнейшем, в отсутствие специальных оговорок, необходимо всегда понимать величины потребления, инвестиций, предложения труда и т. д. как запланированные (ex ante).
Мы уже указывали, что равновесие на рынке благ означает, что спрос на блага равен предложению благ. Учитывая компоненты спроса, равновесие на рынке благ существует при следующих условиях:
Спрос на потребительские блага + спрос на инвестиционные блага = предложение благ С + I = Y.
Принимая во внимание детерминанты С и I:
С{ Y) + І(і) = Y.
Это уравнение показывает следующее:
¦ С зависит от Y, но одновременно С определяет Y. Значит, зависимость между С и Y является взаимной.
¦ Доход, при котором существует равновесие на рынке благ, определяется лишь тогда, когда известны процентная ставка і и, таким образом, инвестиции I, так как чем меньше і, тем больше I и (при прочих равных условиях) спрос, а также Y, при котором существует равновесие на рынке благ.
¦ Ставка процента в кейнсианской теории определяется главным образом на рынке денег. Поскольку мы не учитываем рынок денег (пока), в нашем дальнейшем анализе равновесия на рынке благ мы первоначально предполагаем, что процентная ставка і и, таким образом (при прочих равных условиях), инвестиции I заданы. Обозначим данный уровень инвестиций как I .
¦ Если даны функция потребления и определена величина инвестиций, совокупный спрос в экономике определяет производство Y, т. е. предполагается, что предложение благ (при допущении постоянства уровня цен) всегда приспосабливается к спросу. Впоследствии мы модифицируем данное предположение, так как предприниматели будут предлагать требуемое количество продукции только в том случае, если для них выгодно соответствующее производство (см. раздел 12.4.2).
При I = I на рынке благ имеет место равновесие, если:
С (Y) + I = Y,
т. е. если сумма спроса на потребление (при определенном объеме национального продукта) и частного спроса на инвестиции равна произведенному и предложенному национальному продукту.
Мы можем графически изобразить равновесие на рынке благ. Для этого используем уже известную функцию потребления С = 100 + 0,75 Y, предполагая, что I = 100.
Функция потребления указывает нам тот объем спроса на потребление, который «привязан» к альтернативным величинам национального продукта. Если вертикально суммировать этот спрос с принятым постоянным инвестиционным спросом, мы получим совокупный спрос в экономике при альтернативных величинах национального продукта.
Равновесие существует при том национальном доходе, при котором производится в точности то количество благ, на которое предъявлен спрос.
Для изображения национального продукта (который на рис. 12.5 показан на горизонтальной оси) на вертикальной оси графика мы используем нашу 45° вспомогательную линию: каждое значение Y
0Ha оси абсцисс посредством этой линии «зеркально отражается» на оси ординат. Так как равновесие на рынке благ существует тогда, когда предложение благ соответствует спросу на них, оно (равновесие) имеет место в точке пересечения линии - С + 1 и этой вспомогательной линии (кривой предложения благ). При существующей функции потребления и инвестициях в объеме 100 соответствующий равновесный национальный продукт составляет 800.
При любых других значениях национального продукта спрос был бы больше или меньше, чем национальный доход. Так, например, при национальном доходе в объеме 400 млрд. руб. совокупный спрос составляет 500 млрд. руб.
Кроме того, мы имеем возможность (см. экскурс) определить равновесный национальный доход путем вычислений. Читатель, не интересующийся математическими расчетами, может пропустить этот раздел.
Экскурс: Вычисление равновесного национального дохода
Равновесие существует, если:
У = С + І.
При этом мы предполагали, что С = 100 + 0,75 Y и 1=100.
Таким образом, равновесный доход рассчитывается следующим образом:
|
Потребление, инвестиции (млрд руб.) |
 |
С + І С
Национальный доход (млрд руб.) |
|
Рис. 12.5. Определение равновесного дохода |
100 + 0.75Y + 100
200 200 200 800
Y
Y - 0,75 Y
Y (1 - 0,75)
Y (0,25)
Y
Для дальнейших исследований целесообразно также вывести равновесный доход в общем виде.
Пусть имеется функция потребления
С = С, + bY.
При этом С
а является автономной, независимой от доходов, частью потребления, а b — предельной склонностью к потреблению. Чистые инвестиции пусть равняются I.
Тогда:
Y = Ca + bY + I Y-bY = Ca+ I
Y (1 - Ь) = Са + І
Y= ГьСа + іІ1 -т-е-
Y = ~ (Са + I ).
Читатель видит, что равновесный национальный доход Y, с одной стороны, зависит от величины инвестиций и автономного потребления, а с другой — от величины I — Ь, т. е. от единицы за вычетом предельной склонности к потреблению. Полученная разность является предельной склонностью сбережений. Знание этих величин позволяет легко определить равновесный национальный доход. Поскольку Ь. так же как С и I, отражает поведение спроса, становится ясно, что спрос определяет величину равновесного национального продукта.
Равновесный национальный доход нельзя путать с фактически произведенным национальным доходом. Было бы случайностью, если бы предприниматели правильно предвидели запланированный спрос и, таким образом, производили в точности равновесный национальный доход. Обычно в силу отсутствия информации предприниматели, производят национальный доход не соответствующий (в большую или меньшую сторону) запланированному приданном национальном доходе спросу.
Предположим, предприниматели ожидают спрос, который оказывается меньше фактического. Для них такое расхождение будет неожиданным; уменьшаются складские запасы, поставщики не имеют возможности удовлетворить желания покупателей. Таким образом, в будущем периоде предприятия должны изменить свои производственные решения: они увеличат объемы производства и, между прочим, повысят цены. Если и после этого запланированный спрос превышает национальный доход, предприятия вынуждены вновь корректировать производственные планы — до тех пор, пока не будет достигнут равновесный национальный доход. При этом в нормальном случае уровень занятости будет повышаться. Предприятия работают сверхурочно или нанимают новых работников. Если, наоборот, объем выпуска предприятий превышает имеющийся спрос, они будут сокращать производство, возможно, увольняя рабочих. И в этом случае производственные планы изменяются до тех пор, пока на уменьшенный объем продукции действительно есть спрос, т. е. пока не будет достигнуто равновесие.
Рыночная система характеризуется тенденцией движения к равновесному национальному доходу; в этом случае говорят также, что равновесие является стабильным.
Равновесие определяет (при стабильности) направление и цель изменения фактического национального дохода.
1.4.2. Учет влияния государственной экономической деятельности, а также экспорта и импорта
В рассмотренную модель можно легко включить государственную экономическую деятельность и поставки благ из-за границы и за границу.
Если государство осуществляет расходы для покупки товаров и услуг в определенном объеме As: . то к частному потреблению и частным инвестициям добавляется еще один компонент спроса. На рис. 12.5 совокупный спрос сформировался бы посредством вертикального суммирования с учетом Ast, т. е. кривая совокупного
спроса смещается на величину As- вверх. Здесь необходимо учесть, что государство
не только осуществляет расходы на закупку товаров и услуг, но также взимает налоги и перечисляет трансфертные платежи, такие как пенсии и пособия по безработице. Для упрощения из всех налогов мы учитываем только подоходный налог, а при включении трансфертов абстрагируемся от дотаций. Налоги и трансферты оказывают влияние на величину частных расходов.
В нашей простой модели мы предполагаем, что от прямых налогов и трансфертных платежей зависит лишь потребление, поскольку, согласно допущению, только в функции потребления содержится такой аргумент, как доход. В действительности возможно воздействие налогов и трансфертных платежей и на частный инвестиционный спрос.
Можно предположить, что совокупная сумма поступлений подоходного налога увеличивается вместе с растущим национальным продуктом Y, в то время как сумма необходимых трансфертных платежей при той же тенденции национального продукта (например, из-за уменьшения объема пособий для безработных) сокращается. Для упрощения представим себе далее, что взимаемые при определенном национальном продукте налоги уже сокращены посредством вычитания из них необходимых при этом доходе трансфертных платежей государства. Кроме того, предположим наличие пропорциональной связи между (чистыми) налоговыми поступлениями и национальным доходом:
Т = t - Y,
причем Т означает чистые налоги, a t — чистую налоговую ставку (о подоходном налоге см. в гл. 14). Если мы уменьшим национальный доход на величину (чистых) налогов, то получим располагаемый национальный доход Yv. Так как частное потребление зависит от располагаемого дохода домохозяйств (который сопоставим с чистым доходом домохозяйства), то при наличии налогов каждому национальному продукту соответствует более низкое частное потребление, чем в их отсутствие. Если потребление воспринимается и далее как функция от национального продукта, кривая потребления располагается ниже той кривой, которая была бы построена без учета налогов: каждому национальному продукту соответствует более низкий располагаемый доходи, таким образом, более низкое потребление.
Если верно, что С = а + b Yv и Yv определено как
Yv = Y- t Y, т. е.
Yv= (1 - t) Y,
верно также равенство:
С = а + b (1 - t) Y.
Графически кривая потребления поворачивается в точке А вниз, если потребление (несмотря на существование налогов и трансфертов) изображается не в зависимости от располагаемого дохода Yv, а в зависимости от национального дохода Y (см. рис. 12.6).
Как изменяется наша модель, если мы учитываем экспорт и импорт товаров и услуг?
Импорт увеличивает совокупное предложение благ в стране:
Предложение благ = Y + Іш.
Если для упрощения мы предполагаем заданность обменных курсов, а также внутренних и внешних цен, то разумно допустить, что импорт зависит только от объема производства благ внутри страны, а значит, от Y. Часто это допущение делается в виде формулы простой линейной функции:
Іт = ш х Y.
По аналогии с функцией потребления ш является так называемой предельной нормой импорта (предельной склонностью к импорту), которая показывает, насколько повысится импорт,' при возрастании доходов на одну единицу. Данную связь можно представить следующим образом. При производстве большего количества национального продукта необходимо импортировать больше промежуточного потребления и имеет место увеличение прямого импорта потребительских благ (например, путешествий за границу).
Если наряду с импортом, зависимым от доходов, учитывать также независимый от доходов импорт или так называемый автономный импорт, то функция совокупного импорта примет следующий вид:
Іш = Im
a + m • Y.
При анализе экспорта необходимо определить, от каких детерминант он зависит. Необходимо рассмотреть как внутренний и внешний уровни цен и обменный курс, так и величину дохода за границей. Для упрощения мы предполагаем, что все эти величины и, следовательно, экспорт заданы (постоянны): Ех = Ех, так что функция совокупного спроса выглядит следующим образом:
|
Yn=C+I+SSi + Ex. |
 |
Рис. 12.6. Зависимость потребления от национального и от располагаемого
доходов |
Равновесие на рынке благ (при одновременном учете экономической деятельности государства и «остального мира») характеризуется следующими равенствами:
Предложение благ = Спрос на блага
Y + Іш = C+I+A
s. + Ex
Y + Im = C(Y)+I-r A'j. + Ёх
Из этого условия равновесия можно вывести определение равновесного национального продукта Y*. Графически это определение изображено на рис.12.7.
Экскурс: Аналитическое (алгебраическое) определение равновесного дохода
Y + Ігп = C(Y)+I+A
Sl+Ex
Подставляя в формулу функции импорта, налогов и потребления, получаем: Y + Іш, + ш х Y = Са + b(Y-tY) + 1+ A
St + Ex
Отсюда определяем Y:
Y-C
a + I+A
s,-f Ex-Im l+rn-b(l-t)
|
Спрос на блага |
 |
|
Рис. 12.7. Графическое определение равновесного дохода (в открытой экономике с учетом деятельности государства) |
1.5. Анализ мультипликатора
Мы описали, как определяется равновесный доход (с учетом лишь рынка благ) при данной величине инвестиций, данных расходах государства на товары и услуги и данном значении экспорта. Ответ на вопрос об изменении равновесного дохода, в случае, когда принятые как данные чистые инвестиции (или A
Sl или Ех) надолго изменяются на определенную величину позволит нам более четко осознать одну из важнейших характерных черт кейнсианской теории. Мы исследуем этот вопрос для случая устойчивого повышения спроса на инвестиционные блага; рассуждения будут действительны и для случая роста остальных компонентов автономного спроса, равно как и для снижения любого из этих компонентов (включая инвестиции).
Для упрощения мы в дальнейшем пренебрегаем влиянием государства и остального мира, что не оказывает сколько нибудь существенного влияние на результаты. Пусть «точкой отсчета» являются заданные чистые инвестиции в объеме 100 и уже знакомая нам функция потребления:
С = 100 + 0,75 Y.
Равновесный национальный доход составляет 800. Изменится ли он (и насколько), если запланированные чистые инвестиции повысятся с 100 до 200 в долгосрочном периоде (т. е. после этого изменения их величина будет оставаться равной 200)?
Чтобы отобразить во времени процесс экспансии деловой активности, мы предполагаем, что предприниматели приспосабливают свою продукцию к запланированному спросу всегда в следующем периоде, следовательно, их реакция задерживается на «длину» одного периода (т. е. имеет место так называемый лаг Лундберга). Отклонение ожидаемого спроса от фактического выравнивается в текущем периоде через изменение складских запасов. Потребители ориентируют свое потребление на доходы текущего периода.
Временной ход процесса, «запущенного» через изменение запланированных инвестиций, изображен в табл. 12.1. В исходном периоде 0 существует равновесие. Запланированный совокупный спрос в точности удовлетворен запланированным и произведенным национальным продуктом. Отсутствуют незапланированные величины (т. е. незапланированные инвестиции в товарно-материальные запасы). В период 1, в сравнении с исходным периодом 0, происходит повышение запланированных инвестиций. Одновременно увеличивается запланированный совокупный спрос. Поскольку предприниматели не ожидали роста совокупного спроса и не учитывали его в этом периоде в производстве, они будут удовлетворять его из складских запасов (альтернативой являлось бы повышение цен и/или увеличение срока поставок). Далее, во втором периоде, предприниматели приспособят свое производство к запланированному спросу предыдущего периода и произведут национальный продукт в сумме 900; но при этом, возросшем, национальном продукте домохозяйства планируют (в соответствии с предельной склонностью к потреблению, равной 0,75) добавочное потребление в объеме 75, ввиду чего запланированный спрос опять увеличивается.
Производство вновь не реагирует на это расширение спроса во втором периоде, незапланированное превышение спроса в объеме 75 покрывается, по определению, опять-таки из складских запасов. В третьем периоде предприниматели производят национальный продукт в объеме 975, значит, по сравнению с предыдущим периодом, предложение благ увеличивается на 75. Вследствие повышения национального продукта опять происходит расширение объема потребления, которое потом, в следующем периоде, приведет к увеличению производства и повторному росту потребления и т. д.
Таблица 12.1
Мультипликационный процесс экспансии |
|
Период |
Запланированное потребление (С = 100 +0,75 Y) |
Запланиро
ванные
инвести
ции |
Запланиро
ванный
совокупный
спрос |
Произведенный национальный продукт |
Незапланированные инвестиции в товарно-материальные запасы |
|
0 |
700 |
100 |
800 |
800 |
0 |
|
1 |
700 |
200 |
900 |
800 |
-100 |
|
2 |
775 |
200 |
975 |
900 |
-75 |
|
3 |
831,25 |
200 |
1 031,25 |
975 |
-56,25 |
|
4 |
873,25 |
200 |
1 073,25 |
1 031,25 |
-42,0 |
|
5 |
904,94 |
200 |
1 104,94 |
1 073,25 |
-31,69 |
|
6 |
928,71 |
200 |
1 128,71 |
1 104,94 |
-23,77 |
|
оо |
1 000 |
200 |
1 200 |
1 200 |
0 |
|
После теоретически бесконечно многих периодов (а практически — после нескольких) предприниматели правильно оценивают запланированный спрос и производят равновесный национальный доход.
Необычность мультипликационного процесса состоит в том, что повышение спроса на инвестиционные блага в объеме 100 приводит к увеличению равновесного национального дохода в объеме 400, т. е. многократно превышает исходное изменение спроса. Причина этого лежит в зависимости потребления от доходов: если автономный спрос увеличивается, национальный доход повышается сразу или с небольшой задержкой (лагом). А это влечет за собой увеличение потребления и, таким образом, дальнейшее повышение спроса.
Конечный результат мультипликационного процесса — новый равновесный национальный доход — можно графически изобразить, а также вычислить.
Мы добавляем к уже сложившемуся совокупному спросу увеличение спроса на инвестиционные блага АІ и получаем в точке пересечения с 45° линией новый равновесный доход.
Потребление, инвестиции (трлн руб.)
 |
|
Рис. 12.8. Определение нового равновесного национального дохода |
(а) Графическое определение
(б) Определение посредством вычисления
Y С I
Y
Y( 1-0,75)
Y
С + I
100 + 0,75 Y
200 (вместо прежних 100)
100 + 0,75 Y + 200
300 1 200
Равновесный национальный доход увеличивается по сравнению с ранее определенным объемом на 400.
Мы можем определить изменение равновесного дохода AY при устойчивом изменении запланированных чистых инвестиций ДІ также в обобщенной (алгебраической) форме:
AY=—ЛІ.
1-b
Следовательно, при изменении запланированных чистых инвестиций равновесный доход превышает 1/(1 -Ь)-кратно исходное повышение спроса.
Аналогично тому, как при увеличении запланированных чистых инвестиций равновесный национальный доход повышается многократно, при их уменьшении происходит многократное снижение национального дохода. В таком случае мультипликационный процесс воздействует на экономику «охлаждающе» (точно так же, как в предыдущем случае он оказывал стимулирующее влияние). При вычислении нужно лишь поставить знак «минус» перед ДІ.
В заключение объясним еще раз, почему описанное мультипликационное изменение равновесного дохода в кейнсианской теории имеет место в том случае, если один компонент автономного спроса меняется на определенную сумму. Причина
таких многократных изменений заключается в зависимости важных компонентов спроса (в нашем примере —потребления) от дохода.
Если бы экономические субъекты ориентировались на долговременно (устойчиво) ожидаемые доходы, колебания экономической активности, исходящие из нарушений равновесия, были бы значительно меньшими. И если бы в нашем примере потребление вследствие повышения национального дохода не увеличивалось, изменение равновесного дохода составило бы не 400, а лишь 100, и, таким образом, не произошло бы мультипликационного воздействия на экономику.
2. Рынок денег
В кейнсианской теории рынок денег, в отличие от классической теории, в которой деньги рассматривались как малозначимый фактор (см. гл. 11), играет важную роль. Различие основано на том, что кейнсианцы подходят к деньгам как к активу, который может служить сохранению имущества. Но, в таком случае, уже не выполняются допущения теоремы Сэя о том, что каждое производство благ (каждый доход) в конце концов прямо или косвенно (через процентную ставку) создает себе спрос в том же объеме.
На рынке денег взаимодействуют спрос на деньги и предложение денег, причем обе эти переменные зависят от процентной ставки.
2.1. Спрос на леньги
Почему экономические субъекты держат деньги, которые не приносят (или приносят только малый) процентный доход, и какие факторы определяют желаемый запас денег?
При ответе на этот вопрос классики выделяли только функцию денег —деньги как средство обмена: деньги держатся потому, что с их помощью хотят осуществить покупки благ, связанных с принятием обязательств платежа, которые, как правило, нельзя выполнить за счет использования одновременных поступлений от продаж благ. Для того, чтобы избежать неплатежеспособности, экономическому субъекту необходимо держать так называемую трансакционную кассу (спрос на трансакционную кассу). Объем этой трансакционной кассы находится в более или менее жестком соотношении к общему объему расходов и, следовательно, к доходам экономического субъекта. Дж. Кейнс и кейнсианцы согласны с тем, что доход — детерминанта спроса на деньги. Следовательно:
Ц. = L
T(Y), т. е. L
T = k Y,
где Ц. обозначает желаемую трансакционную кассу, а к — некий коэффициент пропорциональности (к=—, см. гл. 11).
?
ІДля кейнсианцев (как и для классических экономистов) совокупный спрос на трансакционную кассу является пропорциональным национальному продукту.
Поскольку при держании кассы экономические субъекты отказываются от процентных доходов, правомерно предположить, что в отношении к держанию кассы для трансакционных целей они ведут себя тем «экономичнее», чем выше ставка процента и, соответственно, альтернативные издержки держания кассы. Далее мы пренебрегаем этой зависимостью трансакционной кассы от процентных ставок.
Одна из важнейших, в сравнении с классическими воззрениями, особенностей теории Дж. Кейнса состоит в том, что он рассматривал не только функцию денег как средства обмена, но и их функцию как средства сохранения ценности, т. е. рационально обоснованную форму держания имущества. Таким образом, держание денег уже не может считаться независимым от других возможных форм держания имущества и связанных с этим доходов. Наряду с деньгами в кейнсианской теории как возможные формы хранения богатства учитываются только (однородные) ценные бумаги и акции. Оба эти актива в конечном счете представляют собой требования на реальное имущество экономики и рассматриваются в качестве полных заменителей в том смысле, что их нормы доходности равны или расходятся друг с другом только в краткосрочном периоде. Поэтому в последующем анализе мы ограничимся такими видами имущества, как ценные бумаги и касса. В качестве первой из этих разновидностей имущества мы будем рассматривать долгосрочные бумаги, по выплачивается твердая процентная сумма, определяемая их номинальной стоимостью (выплата купонных процентов), но курс которых подвержен колебаниям. При таких условиях изменяется эффективная ставка процента, т. е. рыночная ставка процента, причем взаимосвязь между курсом и процентной ставкой является обратной: чем выше (при данной купонной ставке процента) курс, тем ниже эффективная ставка процента по ценной бумаге, и наоборот.
Если, например, твердый процент по номинальной сумме ценных бумаг в объеме 100 руб. равен 6 руб., при их курсе в 90 руб. он соответствует рыночному проценту, равному 6 2/3%; если курс, напротив, составляет 120, эффективная ставка процента, при прочих равных условиях, равна 5%. Данную закономерность выражает следующая формула:
Купонный процентх!(Ю Курс(цена)
Рыночный процент (эффективная процентная ставка)=
В кейнсианской теории ожидаемые колебания курса ценных бумаг рассматриваются как причина возможной рациональности держания кассы (не приносящей проценты) в сравнении с держанием ценных бумаг, приносящих проценты, поскольку такие колебания влияют на фактический доход по ценным бумагам. Посмотрите на следующую формулу:
гож„л
=І + АКУРС_^
х m курс
Если экономический субъект ожидает снижения курса, который более чем компенсирует процентный доход, для избежания потерь капитала ему выгодно держать свое имущество не в форме ценных бумаг, а в форме кассы («спекулятивной кассы»), Так как экономические субъекты, как правило, различным образом и оцени-' вают динамику цен в будущем, часть из них держит имущество как кассу, часть —
в форме ценных б?маг. Но чем выше курс ценных бумаг, тем больше экономических субъектов занимаются, при прочих равных, спекуляциями на понижение курса (т. е. станут «медведями») и будут держать свое имущество в форме спекулятивной кассы. Поскольку курс и рыночная ставка процента изменяются в противоположном направлении, спрос на спекулятивную кассу при снижении процентной ставки (повышении курса ценных бумаг) будет расти.
Кривая спроса на спекулятивную кассу действительно существует (другое название — функция предпочтения ликвидности):
L
s = L
s(i),
она имеет свойство увеличивать желаемую спекулятивную кассу при снижающейся процентной ставке (рис.12.9).
Особое значение в кейнсианской теории придается возможному виду функции предпочтения ликвидности при очень низкой процентной ставке: при данных и принятых неизменными курсовых ожиданиях экономических субъектов возможен уровень курса (уровень процентной ставки), при котором практически все экономические субъекты ожидают снижения курса и поэтому предпочитают держать свое имущество в форме спекулятивной кассы. Эта игра на понижение делает дальнейшее повышение курса ценных бумаг (и, таким образом, дальнейшее снижение процентной ставки в экономике) невозможным (ловушка ликвидности).
Для функции предпочтения ликвидности это означает, что спрос на деньги при соответствующей процентной ставке становится совершенно эластичным; кривая спроса на спекулятивную кассу в этой области преобразуется в горизонтальную линию.
Как уже упоминалось во введении к данному разделу кейнсианская спекулятивная касса играет значительную роль, поскольку разрушает описанный классиками механизм достижения полной занятости. Если имущество держится в форме денег (Центрального банка), какие либо гарантии того, что сбережения в полном объеме

появятся на рынке ценных бумаг (обобщенно — на кредитном рынке) и снизят там процентную ставку настолько, что инвестиционный спрос восполнит созданный сбережениями недостаток спроса, отсутствуют. А существование ловушки ликвидности полностью блокирует данный механизм.
Правда, при оценке обоснованности данной аргументации необходимо учитывать спорность доказательства наличия кейнсианской спекулятивной кассы. К примеру, в экономике могут существовать стабильные по курсу приносящие проценты активы. Так срочные вклады являются настолько надежными приносящими доходы активами, что их существование делает невозможным обоснование спекулятивной кассы на основе моделей оптимизации (в частности, в рамках современного портфельного подхода). Для того, чтобы объяснить спекулятивное держание кассы, необходимо учитывать аспект неопределенности в посткейнсианской трактовке данного понятия.
Обобщим вышесказанное.
В кейнсианской теории спрос на деньги зависит от национального дохода и от процентной ставки:
L^I^ + Lj, т. е.
L = kY + L
s(i) = L(Y,i).
При данном национальном доходе Y спрос на деньги является функцией только процентной ставки.
2.2. Предложение денег и равновесие на рынке денег
Желание экономических субъектов держать деньги (спрос на деньги) взаимодействует с предложением денег в экономике. Предложение денег зависит и от процентной ставки (см. гл. 18). Для наших рассуждений, однако, мы упрощенно предположим, что номинальное предложение денег М в экономике определяется
центральным банком и равно М=М .
Равновесие на денежном рынке означает, что спрос на деньги равен предложению денег. Так как уровень цен мы считаем постоянным и равным 1, величины предложения и спроса являются одновременно реальными и номинальными величинами. Но поскольку в дальнейшем нашем анализе мы будем рассматривать уровень цен как переменную, мы делаем различие между реальным и номинальным спросом на деньги, а также номинальным и реальным предложением денег (но не между номинальным и реальным национальным продуктом). Символом Р обозначается предполагаемый постоянным уровень цен. Мы исходим из того, что L(Y,i) определяет реальный спрос на деньги. Равновесие на рынке денег имеет место тогда, когда номинальный спрос на деньги соответствует фиксированному номинальному предложению денег:
P-L(Y,i) = М
L(Y,i) = —
Реальный спрос на деньги, Реальное предложение денег
 |
|
Рис. 12.10. Равновесие на рынке денег |
При заданном уровне цен Р, фиксированной денежной массе и определенном уровне национального продукта Y исходя из условий равновесия на денежном рынке мы определяем равновесную процентную ставку і*. Рис. 12.10 иллюстрирует это графически.
3. Равновесие на рынках благ и денег (модель IS-LM)
Наш анализ рынков благ и денег показывает, что определение равновесного национального продукта Y* на рынке благ не является независимым от процентной ставки (и, соответственно, от запланированных инвестиций). И наоборот, определение процентной ставки на денежном рынке не является независимым от Y. Следовательно в кейнсианской системе возможно только одновременное определение равновесных значений национального продукта и процентной ставки. Это означает, что в кейнсианской теории, в противоположность классической, денежный рынок оказывает воздействие на реальные экономические процессы (на Y). Таким образом, процентная ставка является смешанным «денежно-реальным» феноменом и не может быть выведена только из реальной или только из денежной сферы.
Изложенные связи в кейнсианской теории обычно представляются в форме модели IS-LM Дж. Хикса, которая стала почти что ее синонимом. Далее мы бегло рассмотрим эту модель.
3.1. Кривая равновесия на рынке благ (кривая IS)
л
Еще раз вернемся к рынку благ. Равновесие имеет место в том случае, если:
C(Y) + І(і) = Y.
Равновесный национальный продукт можно определить лишь тогда, когда известна і. В таком случае правомерен вопрос: какие равновесные значения Y возникают при разных процентных ставках или, иными словами, какая связь существует между национальным продуктом и процентной ставкой при равновесии на рынке благ?
В разделе 1.2 мы выдвинули гипотезу о том, что I = І(і). Тогда в обычном случае снижению процентной ставки соответствует увеличение инвестиций. Следовательно (поскольку инвестиции относятся к спросу на блага), уменьшающаяся процентная ставка сочетается на рынке благ с растущим спросом на блага и таким образом (уровень Y* определен спросом) с увеличением равновесного национального продукта Y*. Данная взаимосвязь отображена на рис. 12.11. Кривая равновесия на рынке благ называется кривой IS. Ее наклон при прочих равных условиях (здесь — при данной предельной склонности к потреблению) тем более пологий, чем более чувствительны инвестиции к процентной ставке.
Если при снижении процентной ставки инвестиции остаются неизменными, рынок денег (через процентную ставку) никак не влияет на равновесие на рынке благ, так как в этом случае снижение процентной ставки не отражается на спросе на блага. Кривая IS тогда является параллельной к оси і (рис.12.12).
Кривая IS является геометрическим пересечением точек всех комбинаций процентной ставки и национального продукта, при которых существует равновесие на рынке благ. Ее наклон, при прочих равных условиях, тем более пологий, чем более эластичны по процентной ставке инвестиции. При совершенно неэластичных (т. е. при очень неэластичных) по процентной ставке инвестициях кривая IS представляет собой вертикальную прямую. С точки зрения кейнсианцев случай вертикальной линии IS рассматривается как значимый. * '
|
і |
 |
Кривая IS
-—> Y
Рис. 12.12. Кривая IS при совершенно неэластичных по процентной ставке
инвестициях
Название «кривая IS* можно объяснить следующим образом. Уравнение
С(У) + І(і) = Y
является условием равновесия на рынке благ. Если вычесть из обеих частей уравнения C(Y), получаем на левой стороне І(і), а на правой стороне Y - C(Y). Очевидно, что Y - C(Y) является не предназначенной для потребления запланированной частью дохода, а значит, запланированным сбережением S(Y). Следовательно, определение равновесия на рынке благ можно выразить также в форме
І(і) = S(Y),
или кратко: I = S. Условие равновесия на рынке благ можно охарактеризовать через равенство I = S, отсюда и название — кривая IS.
3.2. Кривая равновесия на рынке денег (кривая LM)
Равновесие на рынке денег имеет место тогда, когда реальный спрос на деньги L
М
соответствует реальному предложению денег _ :
Р
L(Y,i) = —.
Р
Следовательно, необходимо ответить на вопрос, при каких комбинациях национального продукта и процентной ставки имеет место равновесие на рынке денег. Так как при очень высокой процентной ставке спрос на деньги в виде спекулятивной кассы является очень низким, в условиях равновесия трансакционный спрос предъявляется на относительно большую часть реальной денежной массы, что бывает только при большом национальном продукте. Наоборот, при низком национальном продукте спрос на трансакционную кассу незначителен. Остающаяся для спекулятивных целей часть реальной денежной массы в этом случае относительно высока, и экономические субъекты хотят иметь ее (предъявляют спрос на нее) лишь
при низкой процентной ставке. Таким образом, при равновесии на рынке денег высокая (низкая) процентная ставка сопровождается высоким (низким) уровнем национального продукта. Рис.12.13 показывает кривую равновесия на рынке денег (эта кривая, естественно, не должна быть прямой линией), которая, из-за лежащего в
М
основе ее построения равенства L и _ , называется кривой L.M.
Р
Более наглядно описанную связь можно представить следующим образом: национальный продукт увеличивается и экономические субъекты для осуществления своих покупок нуждаются в большей кассе. Так как совокупная денежная масса остается неизменной, экономические субъекты пытаются обеспечить себя дополнительным запасом денег посредством продажи других активов (например, ценных бумаг). Поэтому увеличивается предложение ценных бумаг, спрос на которые будет предъявлен лишь при более низких курсах этих бумаг и, соответственно, при более высоких процентных ставках.
Особенности наклона кривой LM, которые могут возникнуть при ловушке ликвидности, мы анализировать здесь не будем (см. раздел 4).
Кривая LM является геометрическим местом точек всех комбинаций процентной ставки и национального продукта, при которых при данной денежной массе и данном уровне цен существует равновесие на рынке денег.
3.3. Одновременное равновесие на рынке благ и рынке денег
Существует очень много (строго говоря — бесконечно много) комбинаций і и Y, которые приводят к равновесию на рынке благ, а значит, находятся на кривой IS. Также существует очень много (строго говоря — бесконечно много) комбинаций і и Y , которые приводят к равновесию на рынке денег, а значит, находятся на кривой LM. Но к одновременному равновесию на рынке благ и на рынке денег приводит

только одна комбинация i. Y. которая графически изображается точкой пересечения кривых IS и LM.
Одновременное равновесие на рынках денег и благ имеет место в точке пересечения кривых IS и LM при процентной ставке і* и национальном продукте Y*. Так как предполагается, что предложение благ ориентируется только на спрос и пассивно приспособляется к нему, можно рассматривать равновесие в модели IS-LM как равновесие в сфере спроса, а равновесный национальный продукт — как равновесный доход в сфере спроса1.
Определение равновесного национального продукта и равновесной процентной ставки позволяет вывести равновесные значения потребления и инвестиций. Необходимо лишь подставить Y* в виде функции потребления, а і* — в виде функции инвестиций.
3.4. Мультипликационный анализ с учетом рынков благ и денег
Каким образом необходимо модифицировать мультипликационный анализ, чтобы наряду с рынком благ учесть также и рынок денег? Если один компонент автономного спроса (например, государственные расходы на товары и услуги) возрастает, это инициирует процесс экспансии деловой активности.
Увеличивается национальный продукт. Его возрастание влияет на денежный рынок, так как для осуществления необходимых платежей при большем объеме на-
 |
|
1 Под «сферой спроса» подразумевается взаимодействие между рынками благ и денег, тогда как «сфера предложения» — это взаимодействие между рынками благ и труда. Таким образом, например, «равновесие в сфере спроса» — не что иное, как (одновременное) равновесие на рынках благ и денег. |
ционального продукта необходимо иметь большую трансакционную кассу в отсутствие увеличения денежной массы. Экономические субъекты пытаются обеспечить себя дополнительными деньгами через увеличение продаж ценных бумаг. Увеличившееся предложение ценных бумаг может быть размещено только тогда, когда предлагается более высокая процентная ставка. Уровень процентной ставки в экономике повышается, что оказывает обратное (feed-back) воздействие на рынок благ, так как более высокие процентные ставки приводят, как правило, к сокращению частных инвестиций: процесс экспансии ослабляется, но увеличение равновесного национального продукта все же достигается (не учитывается экстремальный случай вертикальной кривой LM).
При наличии денежного рынка мультипликационные эффекты изменения автономного спроса являются более слабыми, чем при наличии только рынка благ. Это обосновывает предположение, что экономические субъекты в совокупности реагируют в меньшей степени на экзогенные происшествия, — такие как изменения государственных расходов, экспорта или ожидаемой доходности (и таким образом, на смещения графика функции инвестиций).
|
Рис.12.15 показывает мультипликационные последствия увеличения государственных расходов при наличии денежного рынка. Увеличение ASr приводит к смещению кривой IS вправо, так как каждой процентной ставке теперь соответствует более высокий равновесный доход. При этом данное смещение отражает мультипликационный эффект государственных расходов при постоянной процентной ставке: именно так мы трактовали эффект мультипликатора в разделе 1.4 (движение из точки А в точку А’). |
 |
Экспансионистский эффект повышения спроса ограничивается за счет повышения процентной ставки и возникшего из-за этого уменьшения частных инвестиций (движение от А' к В). В точке В экономика достигает нового равновесного состояния при более высоком уровне национального продукта и более высокой процентной ставке.
Необходимо обратить внимание на то. что в ходе описанного процесса происходит изменение значений компонентов национального продукта. Так как государственные расходы на товары и услуги возрастают, а частные инвестиции снижаются. происходит изменение в структуре национального продукта. Частные инвестиции вытесняются государственными; имеет место эффект вытеснения {crowding-out) частных благ государственными благами через механизм изменения процентной ставки. Другие возможные формы вытеснения, которые могут иметь место при финансировании государственных расходов, мы рассмотрим в разделе 4.4.
3.5. Равновесие в модели IS-LM при неполной занятости
Мы попытаемся определить центральный аспект традиционного кейнсианства, который неявно уже содержался в вышеприведенных суждениях. Как было указано, в зависимости от спроса на рынке благ и конъюнктуры на рынке денег, создается определенный равновесный национальный продукт Y*. Для его формирования при данном производственном аппарате (капитальном запасе) и данной технологии необходимо определенное количество труда. Совпадение необходимого и предложенного количества труда может быть только случайным. Таким образом, правомерно допущение о том, что необходимое для производства Y* количество труда меньше, чем предложение труда. Эта предпосылка — свойство кейнсианского равновесия при неполной занятости: на рынке благ и рынке денег господствует равновесие, в то время как на рынке труда имеет место избыток предложения.
Против использования этого термина можно возразить следующее: формулировка «равновесие при неполной занятости» неудачна, так как экономика, очевидно, не может находиться в равновесии, если рынок труда разбалансирован. Действительно, рассматриваемый нами термин привел к ненужным дискуссиям. Кейнсианцы выбрали его по двум соображениям: прежде всего потому, что в ранних интерпретациях кейнсианства описание рынка труда в явном виде отсутствовало, затем (что является более значимым аспектом) — потому что ситуация равновесия при неполной занятости, по кейнсианским канонам, может длиться довольно долго, так как рынок благ и рынок денег находятся в «состоянии покоя», равно как и рынок труда в силу предполагаемой понижательной жесткости номинальной ставки зарплаты (см. раздел 4.2).
Вышеприведенное описание кейнсианского равновесия при неполной занятости является неточным, так как ситуация на рынке труда приобретает весьма неопределенный характер. Прежде всего отсутствует информация о существующей реальной заработной плате, которая определяет ситуацию на рынке труда в традиционной кейнсианской модели.
Реальная зарплата определяется отношением номинальной зарплаты к уровню цен. Уровень цен до сих пор предполагался нами как данный; таким образом (явно или неявно) мы использовали допущение ранних кейнсианских моделей. Мы отказываемся от этого допущения и предполагаем, что уровень цен сам является результатом экономических взаимосвязей и зависит от издержек и спроса в экономике. Поэтому нам необходимо вывести его из рассматриваемой модели (эндогенно).
Величину совокупного спроса (в связи с определением процентной ставки на рынке денег) можно найти через функцию потребления, инвестиционную функцию и уровень автономного спроса (A
St, Ex). Уровню спроса соответствует определенный равновесный национальный продукт (в сфере спроса), который определяется в модели IS-LM. Правда, в этой модели не учитывалось, что на спрос могут влиять изменения уровня цен (см. раздел 4.1).
Величина издержек в экономике определяется при данных технических условиях производства через номинальную зарплату. Денежная заработная плата и цена детерминируют (при неограниченных возможностях сбыта) максимизирующий прибыль спрос на труд для предпринимателей, которому соответствует определенное, максимизирующее прибыль предложение благ (см. гл. 5). Поэтому мы получаем возможность «через» рынок труда учесть в нашей модели закономерности формирования совокупного предложения, т. е. поведение производителей благ (см. раздел 4.2).
Таким образом, состояние равновесия в экономике определяется и предложением, и спросом, как это имеет место в кейнсианско - неоклассической модели. Данный аспект анализируется в разделе 4.3.
4. Кейнсианско-неоклассический синтез («неоклассический синтез»)
4.1. Равновесие в модели IS-LM при изменяющемся уровне цен
До сих пор при описании равновесия в модели IS-LM мы исходили из постоянного уровня цен. Если мы откажемся от данной предпосылки, тогда, очевидно, вместе с изменением уровня цен изменятся величины Т*и і*. Рассмотрение условий равновесия на рынке благ и рынке денег.
C(rY) + І(і) = rY М
L(rY,i) = -р
показывает, что уровень цен изменяет эти условия лишь на рынке денег, так как только здесь он является переменным показателем. Последствия просты: при изменении уровня цен, при прочих равных условиях изменяется и реальная денежная
М
масса —. Это правило влияет на процентные ставки, а их изменение, в свою очередь, воздействует на инвестиции и таким образом на величину спроса в экономике. Необходимо учитывать, что Y=r Y-P означает номинальный национальный продукт,
a L, С и I являются реальными, т. е. выраженными в единицах «физического» национального продукта, величинами.
«Цепь воздействия» ценовых изменений на реальную денежную массу, на процентную ставку и наконец на равновесный национальный продукт в сфере спроса называется эффектом Кейнса (см. гл. 11). Рис. 12.16 показывает влияние изменения уровня цен на рынок денег.
і
0, ij, і
2 обозначают равновесные процентные ставки, соответствующие каждому значению реального национального продукта (rY
0<rX<T,)nPH усло
вии, что реальная денежная масса равна М/Р
0. При более низкой Р, реальная денежная масса повышается и снижаются соответствующие rY
0,rY
prY
2 процентные
ставки ‘і
0, ‘і,, ‘і,. Иными словами, снижение ценового уровня смещает кривую LM вниз (вправо).
Рис. 12.17 поясняет эффект Кейнса на диаграмме модели IS-LM. Кривую LM (а, следовательно, и соотношение между процентной ставкой и равновесным национальным продуктом) можно начертить (как на рис.12.16) лишь при заданной номинальной денежной массе и при определенном уровне цен. Пусть кривая LM
0 на рис. 12.17 соответствует уровню Р
0. Если уровень цен снижается до Р,, тогда уве-
 |
|
Рис. 12.16. Равновесие на рынке денег при различных величинах национального продукта и реальной денежной массы |
личивается реальная денежная масса. Иными словами, равновесие на рынке денег при данной процентной ставке возможно лишь при более высоком уровне национального продукта, т. е. данный национальный продукт совместим с более низкой процентной ставкой. Значит, кривая LM смещается вправо (вниз), rY* повышается, а і* снижается. Соответствующие рассуждения верны в отношении уровней цен Р„ (Р
2 <Р,), Р
3 (Р
3<Р,) и Т. д.
Следовательно, при постоянстве кривой IS, которая, как мы знаем, не зависит от изменений уровня цен, снижение этого уровня приводит к увеличению равновесного национального продукта в сфере спроса. При этом появляется такая причинноследственная связь:
РІ-> —Т-иі-НТ-эУТ.
Р
Если абстрагироваться от внутренних звеньев данной «цепочки* (реальной денежной массы, процентной ставки и инвестиций), то возникнет прямая связь между Р и Y, которую описывает эффект Кейнса и отражающаяся кривой совокупного спроса на блага rYn = rY"(P) (рис.12.18). •
Обусловленное ценами изменение реальной денежной массы не будет влиять на спрос, поскольку:
¦ повышение реальной денежной массы не воздействует на процентную ставку (имеет место ловушка ликвидности) и/или
|
і |
 |
¦ снижение процентной ставки не повышает инвестиции (имеет место совершенная неэластичность инвестиций по процентной ставке).
Иными словами, вышеприведенная причинно-следственная связь «прерывается» только тогда, когда не происходит изменений равновесного национального продукта.
Кривая Р- rY на рис.12.18, называемая кривой совокупного спроса, в рассматриваемом нами случае она проходит параллельно оси цен (см. пунктирную линию на рис.12.18). Постулирование неэластичного по ценам совокупного спроса на блага является типичным элементом (а иногда даже решающим признаком) кейнсианской теории.
При гибком уровне цен его изменения, при прочих равных условиях, соответствуют изменениям реальной денежной массы. Изменения реальной денежной массы воздействуют на процентные ставки, которые влияют на уровень спроса и таким образом на равновесный национальный продукт в сфере спроса. Эффект Кейнса (влияние изменения цен на равновесный национальный продукт) отсутствует лишь тогда, когда имеет место ловушка ликвидности и/или совокупный спрос является совершенно неэластичным по процентной ставке.
4.2. Рынок труда и предложение благ
До сих пор в нашей кейнсианской модели аспект предложения благ не играл никакой роли. Исследуя простые кейнсианские модели, мы предполагали, что предложение благ (при их фиксированной цене) совершенно приспосабливается к спросу на блага, что позволяло нам говорить о равновесии в сфере спроса.
Но в действительности в рыночной экономике предлагаемое предпринимателями количество благ (на которые предъявлен спрос) зависит от соотношения издержек и выручки. Если предположить, что имеется «полностью конкурентный» рынок, на нем предлагается только то количество благ, при котором предельные
|
Р |
 |
издержки производства равны цене этих благ (см. гл. 5). Максимизирующему прибыль количеству производства соответствует, согласно производственной функции, тот спрос на труд, при котором предельный продукт труда равен реальной зарплате. Значит, максимизирующее прибыль предложение благ и максимизирующий прибыль спрос на труд являются «двумя сторонами одной медали». Следовательно, из ситуации на рынке труда мы можем вывести поведение предпринимателей в области предложения на рынке благ.
Кейнсианский рынок труда (на котором основаны приводимые ниже рассуждения), отличается от классического рынка труда лишь одним существенным свойством:
Предполагается, что номинальная зарплата при неполной занятости фиксированна, так как работники активно сопротивляются снижению реальной зарплаты, осуществляемому посредством уменьшения номинальной зарплаты. Если в условиях неполной занятости уровень цен повышается, номинальная ставка зарплаты остается неизменной или возрастает в меньшей степени, чем этот уровень. В результате реальная зарплата снижается. Такое снижение «принимается» работниками'.
Для упрощения анализа исходят из того, что предложение на рынке труда соответствует запасу труда №.
Рис. 12.19 показывает, что при данной номинальной зарплате W
0 уровень цен определяет спрос на труд. Чем выше при данной номинальной зарплате W
Q уровень цен, тем ниже реальная зарплата и тем выше, таким образом, спрос на труд.
р*
когда рынок тру
т. е.
Когда реальная зарплата выше равновесного значения
да находится в области вынужденной безработицы (например, при реальной зар-
|
Реальная зарплата |
 |
|
Рис. 12.19. Рынок труда при фиксированной номинальной зарплате |
Предложение труда, спрос на труд
 |
|
Рис. 12.20. Функция совокупного предложения благ |
W
r
плате "5”), повышение цен повлечет за собой увеличение занятости. Если реальная
° w
0/
зарплата вследствие роста цен выше Р* опустится ниже — (значит, до р ), то в таком случае, несмотря на дальнейшее возрастание спроса на труд, предложение труда ограничивает занятость уровнем №.
Отсюда следует, что запланированное предложение благ с ростом уровня цен (при постоянной W
Q) увеличивается, так как больший объем производства вследствие сокращающейся реальной зарплаты позволяет максимизировать прибыль. Предложение благ будет возрастать до тех пор, пока уровень цен не достигнет значения Р*. При дальнейшем повышении цен предложение благ останется на уровне полной занятости гУ
пмн неизменным, так как при данном предложении труда производство ограничено располагаемым количеством труда. Эти закономерности описывает отраженная на рис. 12.20 кривая совокупного предложения благ:
Анализируя традиционную кейнсианскую модель, важно учитывать, что возрастающему участку кривой предложения благ на рынке труда соответствует область неполной занятости и что в этой модели занятость приближается к полной, и предложение благ, таким образом, увеличивается только в том случае, если при неизменной номинальной зарплате повышается уровень цен и, следовательно, снижается реальная заработная плата.
4.3. Кейнсианско-неоклассическая макромодель, включающая рынки благ, денег и труда
В функции совокупного спроса на блага, выведенной в разделе 4.1, обобщены детерминанты спроса в экономике. Функция указывает на то, какой равновесный национальный продукт в сфере спроса соответствует различным ценовым уровням.
Функция совокупного предложения благгУа отражает соотношение издержек и выручки в экономике. Она указывает на то, какой объем предложения является для производителей максимизирующим прибыль при различных уровнях цен, т. е. означает равновесие в сфере предложения.
Общеэкономическое равновесие имеет место при том уровне цен, при котором объем предложения национального продукта равен объему спроса на него.
Рис. 12.21 показывает определение равновесного национального продукта rY** и равновесного уровня цен Р**.
Вместе с rY** и Р** определены также равновесные значения остальных переменных модели.
|
Р |
 |
Рис. 12.21. Определение равновесного национального продукта и равновесного
уровня иен |
На рис. 12.21 'Y** не является национальным продуктом при полной занятости 'Y
noiH. Это значение отражает кейнсианское равновесие при неполной занятости: на рынке благ и рынке денег имеет место равновесие, так как точка А находится на кривой совокупного спроса на блага; на рынке труда наблюдается избыток предложения, так как точка А находится на участке кривой предложения благ с положительным наклоном (см. раздел 4.2). Положение является стабильным, так как имеет место жесткая ставка номинальной зарплаты (ставка не может быть понижена).
В противоположность модели IS-LM, в которой величина национального продукта определяется только величиной спроса (включая воздействие состояния рынка денег на спрос), равновесие при неполной занятости в полной кейнсианской модели является результатом взаимодействия спроса и предложения в экономике.
Отсюда следует:
(1) Если совокупный спрос повышается, например, вследствие роста государственных расходов, кривая совокупного спроса на блага сместится вправо (см. ‘Yn рис.12.21). В новом общеэкономическом равновесии национальный продукт и уровень цен по сравнению с исходной ситуацией возрастут.
При этом исходной причиной смещения кривой совокупного спроса на блага вправо является прирост государственных расходов, который совместно с мультипликационным эффектом приводит к смещению кривой IS вправо. Таким образом, повысится соответствующий каждому уровню цен равновесный национальный продукт в сфере спроса. Несмотря на неизменность кривой совокупного предложения благ, происходит расширение производства через рост цен, вызванный ростом спроса, так как при постоянстве номинальной зарплаты реальная зарплата снижается и таким образом становится выгодным расширение объема выпуска.
 |
_______ Предложение благ,
’ ^ спрос на блага |
Р А
(2) Если номинальная ставка зарплаты фиксируется на более низком уровне, участок кривой предложения благе положительным наклоном сместится вниз. При новом общеэкономическом равновесии национальный продукт больше, но уровень цен ниже, чем при исходном равновесии (см. рис. 12.22).
Непосредственной причиной смещения вниз эластичного участка кривой предложения благ после снижения номинальной зарплаты является, при прочих равных условиях, вызванное этим снижением падение предельных издержек. Правда, из-за этого при достижении нового равновесия происходит также снижение уровня цен. но это снижение меньше, чем сокращение номинальной зарплаты. Следовательно, в конечном итоге реальная зарплата уменьшается, в силу чего производителям будет выгодно «смещение» предложения благ на новый, более высокий равновесный уровень. Несмотря на неизменную кривую спроса на блага, поставщики получают возможность реализовать возросший объем продукции, так как снижающийся уровень цен приводит к повышению реальной денежной массы, из-за чего процентная ставка сокращается и объем спроса увеличивается (эффект Кейнса).
Итак, кейнсианско-неоклассическая модель в принципе оправдывает как регулирование спроса (изменение A
Si), рекомендуемое кейнсианской теорией, так и соответствующую классическому и неоклассическому подходам политику, ориентированную на предложение (снижение издержек через сдерживание зарплаты). Наши выводы можно считать также доводом в пользу названия такой модели «кейнсианско-неоклассической».
4.4. Полная занятость: ее достижение через регулирование спроса или снижение зарплаты?
Как было показано, в кейнсианско - неоклассической модели увеличение выпуска достигается как через повышение спроса, так и через снижение ставки номинальной зарплаты, т. е. экспансионистское воздействие на экономику. В последние 15 лет усиленно предъявлялись аргументы, указывающие на относительность результатов модели. При этом сторонники новой классической макроэкономической теории сомневаются в эффективности регулирования спроса и подчеркивают действенность механизма изменения заработной платы, в то время как кейнсианские экономисты занимают противоположную позицию.
В качестве основного аргумента против эффективности повышения государственных расходов для поддержания занятости рассматриваются различные варианты аргумента вытеснения.
Прежде всего различают прямые и косвенные эффекты вытеснения. При первых из них государство вытесняет частные инвестиции прямым образом. Например, если городские власти строят автостоянки для парковки машин вблизи предприятий, отпадает необходимость в запланированных (почти идентичных) инвестициях частных компаний. При косвенном же вытеснении к нему приводят разные «цепочки вытеснения», причем конкурирующие инвестиционные объекты, как правило, весьма сильно различаются между собой.
В рамках модели IS-LM мы уже познакомились с одной из форм косвенного вытеснения — с так называемым вытеснением трансакционной кассы. Оно имеет место тогда, когда в ходе «исходящего» от фискальной политики процесса экспансии рост спроса на деньги для трансакционных целей (при постоянной денежной массе) ведет к повышению процентной ставки, что приводит к снижению чувствительных к последней частных инвестиций. Так как в данном случае экспансия экономической активности является предпосылкой повышения процентной ставки, новый равновесный национальный продукт не может быть меньше уровня, имевшего место перед увеличением государственных расходов.
Другой формой косвенного вытеснения является так называемое имущественное вытеснение', которое может возникать при повышении государственных расходов на кредитное финансирование. Относительно сложные версии экономических моделей могут быть обобщены здесь следующим образом. В современной экономической теории имущество как величина, определяющая поведение экономических субъектов, играет важную роль. Так, например, часто предполагается, что потребление и спрос частного сектора на деньги определяются не только текущим доходом и процентной ставкой, но и имуществом данного сектора. При этом допущении изменения частного имущества приводят к изменениям потребления и спроса на деньги. А как происходит изменение имущества частного сектора в ходе повышения государственных расходов при кредитном финансировании? Частные лица предоставляют государству кредит для финансирования его повышенных расходов, так что деньги «перетекают» из частного сектора к государству, а кредитные требования к государству (обычно в форме государственных ценных бумаг) попадают к представителям этого (частного) сектора.
В процессе осуществления дополнительных расходов денежные средства опять попадают в частный сектор (например, к предприятиям, выполняющим государственные заказы), так что этот сектор приобретает дополнительные государственные ценные бумаги. Поскольку такой дополнительный запас ценных бумаг есть не что иное, как добавочное имущество частного сектора, происходит уже упоминавшееся повышение и потребления и спроса на деньги. Теперь пусть стимулирующее влияние на потребительский спрос меньше «охлаждающего* воздействия, оказываемого повышением спроса на деньги (при неизменной денежной массе) и сопровождающего рост процентной ставки и порождаемого им сокращения частных инвестиций. Тогда будет иметь место имущественное вытеснение. Однако вопреки ему последствия такой государственной политики носят экспансионистский характер, так как повышение спроса через рост государственных расходов, как правило, будет выше эффекта имущественного его вытеснения. Возникающее ввиду данных обстоятельств увеличение национального продукта и связанный с этим — при фиксированных налоговых ставках — рост налоговых поступлений скорее всего не сможет сразу покрыть «брешь* в государственных финансах, так как в последующих периодах, при неизменном (пусть даже и повышенном) уровне государственных расходов, происходит дальнейшее возрастание государственного долга и, таким образом, дальнейшее расширение объема имущества частного сектора с (предполагаемым) имущественным вытеснением. Национальный продукт, при прочих равных условиях, сокращается от периода к периоду, в конечном счете может произойти его сокращение ниже того уровня, который был перед повышением государственных расходов.
Читателю необходимо обратить внимание на основные предпосылки, с которыми связаны такие результаты.
(1) Профинансированные государственными долговыми обязательствами расходы увеличивают объем имущества частного сектора.
(2) Имущество положительно воздействует на частное потребление и частный спрос на деньги.
(3) Экспансионистские последствия увеличения имущества (возникающие благодаря повышению уровня частного потребления) компенсируются его «охлаждающими» последствиями через следующую «цепочку воздействия»: повышение спроса на деньги — рост процентной ставки — снижение частных инвестиций.
Из этих предпосылок относительно реалистичной оказывается только вторая. Соответственно тезис о практическом наличии имущественного вытеснения является сомнительным.
Наоборот, более убедительной кажется третья форма косвенного вытеснения, которую мы здесь хотим упомянуть и которую можно было бы назвать вытеснением через кредитный рынок. Если частный сектор увеличивает объем кредитов государству, это, при неизменном их предложении, приводит к повышению процентных ставок по кредитам и, при прочих равных условиях, к снижению частных инвестиций. Неизвестно, однако, приведет ли этот эффект к нейтрализации экспансионистского мультипликационного эффекта государственных расходов или даже превысит его. Данный аргумент рассматривается нами как достаточно весомый потому, что увеличение количества производственных заказов в экономике — как одно из следствий государственных расходов — вероятно, приводит к повышению ожидаемой инвесторами доходности и таким образом приводит к смещению графика инвестиционной функции вправо.
Подобная изменчивость функции инвестиций указывает на форму вытеснения, занимающую промежуточное положение между прямым и косвенным вытеснением. Здесь имеется в виду так называемое вытеснение ожиданий, когда дополнительная государственная задолженность негативно влияет на ожидания экономических субъектов в связи с возможным в будущем дополнительным налогообложением зарплаты и прибыли, и, следовательно, «охлаждает» текущий потребительский и инвестиционный спрос или уменьшает предложение благ.
Практическая оценка обсуждаемых форм вытеснения возможна в конце концов только эмпирически. Результаты соответствующих исследований являются спорными (а разве могло быть иначе?), причем преобладают мнения исследователей, сомневающихся в значительности эффектов вытеснения в ФРГ. Авторы согласны с точкой зрения Кромпхардта, по словам которого, «для Федеративной Республики
Германии можно сделать следующий вывод: пока что в периоды проведения экспансионистской фискальной политики вытеснение частного спроса не возникало — или возникало только в очень малом объеме — причем объем этого вытеснения можно было бы даже уменьшить при лучшем структурировании фискальной политики и лучшем ее согласовании с денежной политикой» (Kromphardt J. Arbeitslosigkeit und Inflation. Guttingen, 1987. S.169).
Экономисты, придерживающиеся более классического мышления, настаивают на замене регулирования спроса «реактивизацией* механизма (изменения) зарплаты: если бы номинальная зарплата отличалась понижательной гибкостью, в условиях неполной занятости она уменьшалась бы, что порождало бы смещение эластичного участка кривой предложения благ до достижения точки пересечения между кривой спроса на блага и вертикальным участком кривой предложения благ, т. е.до достижения полной занятости (см. рис.12.23).
Кейнсианцы (и прежде всего сам Дж. Кейнс) весьма скептически относятся к утверждениям об эффективности механизма зарплаты. Самым распространенным является аргумент, основывающийся на фиаско ценового механизма вследствие слишком слабого или полностью отсутствующего эффекта Кейнса. Как было отмечено в разделе 4.1, возникающее как следствие уменьшения номинальной зарплаты, снижение цены не увеличивает равновесный национальный продукт в сфере спроса, в тех случаях когда имеет место ловушка ликвидности и/или инвестиции являются совершенно неэластичными по процентной ставке. Тогда снижение номинальной зарплаты не приводит (как это видно на рис. 12.24) к повышению уровней национального продукта и занятости. Похожая ситуация возникает, когда эффект Кейнса существует, но очень мал.

Предложение благ, спрос на блага
В ответ на приведенные нами аргументы эконоыисты-неоклассики выдвигают так называемый эффект Лигу (А. С. Лигу— А. С. Pigou, 1877-1959; британский экономист, антагонист Кейнса в Кембриджском университете). Согласно этой гипотезе (известной также под названием эффект реальных кассовых остатков), снижение цены, через сопровождающее его повышение реальной ценности кассы, не только влияет на процентную ставку, но также благодаря увеличению объема имущества владельцев денег расширяет потребительский спрос. В случае если данная гипотеза точна, кривая совокупного спроса на блага должна быть более пологой. Таким образом, имеет место компенсация незначительности или отсутствия эффекта Кейнса.
Как альтернатива аргументу о неэластичной по ценам кривой совокупного спроса на блага и дополнительно к нему кейнсианцами выдвигается аргумент распределения. В представленной нами традиционной кейнсианской модели отсутствуют различия между потребительской функцией для получающих доходы в виде зарплаты (с относительно высокой предельной склонностью к потреблению) и потребительской функцией для получающих доходы в виде прибыли (с относительно низкой предельной склонностью к потреблению). Поэтому в рассматриваемой нами модели перераспределение доходов, которое может возникать вследствие снижения номинальной зарплаты («аргумент покупательной силы»), не влияет на уровень спроса.
Этот аргумент распределения, вероятно, верен. Но если исследователь ставит целью анализ воздействия распределения доходов на совокупный спрос, необходимо учитывать влияние распределения не только на потребление, но и на инвестиции.
Наконец, против описанного возможного воздействия снижения зарплаты на национальный продукт и занятость выдвигается еще одно возражение. Оно состоит в том, что в модели сравниваются друг с другом лишь два состояния равновесия. Даже
|
Р |
 |
Предложение благ, спрос на блага |
|
Рис. 12.24. Полная неэффективность снижения номинальной зарплаты в отсутствие эффекта Кейнса |
если предположить стабильность нового равновесия, остается открытым вопрос, насколько длинен путь к нему и какие жертвы при этом необходимы.
Прежде всего указывают на возможность возникновения ожиданий снижения цен. Если по ходу снижения заработной платы и цен у экономических субъектов возникают ожидания их дальнейшего сокращения, не исключено, что запланированный спрос будет отложен и возникнет дефляционная спираль.
Для кейнсианцев (и это точка зрения, поддерживаемая всеми сторонниками данного теоретического направления при самых больших их расхождениях) заработная плата не должна рассматриваться как переменная в области политики занятости.
В данной главе мы познакомились с традиционной кейнсианской моделью и некоторыми (модифицирующими основную модель) формами ее обоснования. Существуют и другие, похожие на нее, модели, исходящие из несколько других допущений относительно предложения труда (например, из предпосылки так называемой денежной иллюзии). Но за последние 15 лет в кейнсианстве появились направления, сторонники которых придерживаются мнения, что традиционная кейнсианская модель не отражает самой сути идей Дж. Кейнса, либо представляет ее лишь частично. К этим направлениям относятся: теория рационирования, посткейнсианство и новое кейнсианство. Как правило их объединяют под названием «новая кейнсианская макроэкономическая теория*, с которой вы познакомитесь в следующей главе.
Список основных понятий
¦ Однородные детерминанты
¦ Гипотеза абсолютного дохода
¦ Предельная склонность
¦ Неопределенность
¦ Настоящая ценность
¦ Реальные инвестиции
¦ Финансовые инвестиции
¦ Чистая сегодняшняя ценность
¦ Процентная ставка
¦ Рентабельность
¦ Предельная эффективность капитала
¦ Риск
¦ Расчетная ставка процента
¦ Ожидания
¦ Гипотеза акселератора
¦ Жесткий акселератор
¦ Предельная норма импорта
к потреблению ¦ Предельная склонность
к сбережению
¦ Восстановительные инвестиции
¦ Чистые инвестиции
¦ Валовые инвестиции
¦ Расширяющие инвестиции
¦ Рационализирующие инвестиции
¦ Инвестиции в основной капитал
¦ Инвестиции в товарно
материальные запасы
¦ Инвестиции в оборудование
¦ Инвестиции в строительство

¦ Подробное изложение традиционного кейнсианства с некоторой его критикой можно найти в гл. 16 следующего издания:
Блауг М. Экономическая мысль в ретроспективе. М., 1994.
¦ Идеи Дж. М. Кейнса были впервые изложены в 1936 г. — в книге, второе издание которой на русском языке мы и рекомендуем:
Кейнс Дж. М. Общая теория занятости, процента и денег. М., 1993.
¦ Элементарное введение в модель IS-LM содержат американские учебники:
Дорнбуш Р., Фишер С. Макроэкономика. М., 1997.
Мэнкью Н. Г. Макроэкономика. М.. 1994
¦ Более детальный анализ модели IS-LM, а также сущности кейнсианско-неоклассического синтеза, содержится в первом учебнике промежуточного уровня по макроэкономике, написанном российскими экономистами:
Гальперин В. М., Гребенников П. И., Леусский А. И., Тарасевич Л. С. Макроэкономика : Учебник. 2-е изд. СПб., 1997.
¦ Вообще, описание модели IS-LM и кейнсианско-неоклассического синтеза можно найти во множестве учебников по экономике. Однако в большинстве описание модели и синтеза разбросано по всему тексту, что затрудняет их восприятие.

4 Анализ мультипликатора 4 Мультипликационный процесс 4 Средство обмена 4 Форма держания имущества 4 Эффективная ставка процента 4 Ожидаемые колебания курса 4 Функция предпочтения ликвидности 4 Ловушка ликвидности 4 Номинальное предложение денег 4 Сфера спроса 4 Эффект вытеснения 4 Кривая совокупного спроса 4 Кривая совокупного предложения 4 Равновесие в сфере предложения
4 Политика, ориентированная на предложение 4 Аргумент вытеснения 4 Вытеснение трансакционной кассы 4 Вытеснение через кредитный рынок 4 Вытеснение ожиданий 4 Реактивизация механизма (изменений)зарплаты 4 Эффект Пиг? 4 Эффект реальных кассовых остатков
4 Аргумент распределения 4 Ожидания снижения иен
Г лава I3
НОВЫЕ МАКРОЭКОНОМИЧЕСКИЕ ТЕОРИИ ДОХОДА И ЗАНЯТОСТИ (детерминанты занятости, часть 3)

Как изменяются макроэкономические модели равновесия вследствие негибкости иен и неравновесий рынка?
¦ В чем состоят основные допущения теории рационирования?
¦ Почему и как изменяется основа решений экономических субъектов в условиях неравновесия рынка и жесткости цен?
¦ Какие эффекты прямой и обратной связи создаются во взаимозависимой системе рынка, если на каком-нибудь ее участке возникают количественные ограничения?
¦ Как теория рационирования объясняет кейнсианскую безработицу?
Как изменяется теория занятости вследствие учета неопределенности и олигополистического фиксирования цен?
¦ В какой мере неопределенность мотивирует отказ от неоклассических представлений о равновесии?
¦ В какой степени детерминанты производства изменяют поведение лиц, фиксирующих цены?
¦ Чем объясняется нестабильность рыночной экономики?
Что является основным допущением и результатом новой классической макроэкономической теории?
¦ Как можно объяснить стабильность частного сектора рыночной экономики?
¦ Что определяет объем производства и уровень занятости?
¦ Какую роль играет денежная масса?
¦ Какие выводы относительно экономической политики следуют из этой макроэкономической теории?

1. Развитие кейнсианской теории занятости
В принципе представленные в предыдущей главе общеэкономические модели являются равновесными. Иными словами, они описывают такое макроэкономическое состояние, которое возникает лишь тогда, когда эндогенные переменные достигают расчищающих рынки значений. При этом модель кейнсианско-неоклассического синтеза отличается той особенностью, что хотя в анализ включены все макроэкономические рынки, в ситуации неполной занятости номинальная ставка зарплаты (как главная ценовая переменная) предполагается не полностью гибкой (в экстремальном случае является константой). В силу этого достижение равновесной реальной зарплаты оказывается невозможным, и мы моделируем «равновесие при неполной занятости», воздействие на которое осуществляется через кейнсианское регулирование спроса. Представители хиксианско-хансеновского кейнсианства (основанного на модели IS-LM) видят в Дж. Кейнсе по существу теоретика равновесия: все рынки, кроме (явно не включаемого в модель) рынка труда находятся в равновесии. При полностью гибких ценах (включая номинальную зарплату и процентную ставку) полная занятость не может быть достигнута в силу ловушки инвестиций (т. е. их неэластичности по процентной ставке) и/или ликвидности.
Для кейнсианства, особенно с конца 1950-х гг., были характерны различные направления развития, причем названия возникающих школ частично «пересекаются». В этой книге вы познакомитесь с кратким обзором некоторых важнейших направлений кейнсианства. Ниже будут представлены «теория рационирования», посткейнсианство и «новое кейнсианство».
1.1. Теория рационирования
В 1960-х гг. Патинкин, Клауэр и Лейонхувуд предложили новую интерпретацию теории Дж. Кейнса, которая впоследствии в 1970-е гг. легла в основу теории рационирования, известной также под названиями «теория неравновесия», «макроэкономика неравновесных рынков», «новая макроэкономика».
К характерным чертам теории рационирования относятся:
(1) положение (применительно к анализируемому промежутку времени) об относительной негибкости цен и гибкости количеств (т. е. их быстрой адаптации к изменениям рыночной ситуации);
(2) принятие во внимание того, что продажи и покупки на рынке осуществляются и при неравновесных ценах, причем объем трансакций определяется «более короткой» стороной рынка, а значит? его «более длинная» сторона рационируется;
(3) учет того, что вынужденные заниматься рационированием экономические субъекты изменяют свои планы на рационированном и других рынках, из-за чего во взаимозависимой рыночной системе возникают эффекты прямых и обратных связей.
1.1.1 Основная идея
В рыночной системе с совершенно гибкими ценами (ценами благ, ставками зарплаты и процента) при определенных условиях существует система цен, обеспечивающая равновесие на всех рынках экономики. Если предположить, что цены очень быстро реагируют на возникающее неравновесие, то в этом случае (в стабильной системе) справедливо допущение о быстром установлении равновесных цен и совпадении (экономических) планов покупок и продаж всех экономических субъектов. Такая экономика называется миром вальрасианского равновесия, в котором цены являются бесперебойной сигнальной системой.
Реально в современных промышленно развитых странах цены благ, факторов и активов (не учитывая исключений, особенно — на финансовых рынках) являются относительно жесткими и не способны к достижению своих равновесных значений в относительно короткое время. И все-таки, экономический процесс продолжается, т. е. покупки и продажи осуществляются и на неравновесных рынках. Рис. 13.1 иллюстрирует создающуюся в этом случае на отдельном рынке ситуацию:
Р
 |
|
Рис. 13.1. Неравновесие на отдельном рынке |
Если на рынке доминирует цена р на ее основе и на базе цен остальных благ и факторов планируется объем (количество) предложения х
2 и объем спроса х,. Такие, определенные только на основе существующих цен, объемы предложения и спроса в теории рационирования называются умозрительными, гипотетическими, или вальрасианскими (notional). Но при действующих ценах на рынке обменивается лишь блага в количестве х,: запланированные (умозрительные) продажи в объеме х, - х, не могут быть осуществлены, так как спрос ограничивает предложение. Говорят, что спрос рационирует предложение. Если в такой ситуации цены сохраняют устойчивость, производители обязаны отреагировать на рационирование. Несмотря на то что цена р, (и остальные цены в экономике) сигнализирует о гипотетическом количестве предложения х.„ в качестве фактического объема предложения поставщики будут ориентироваться тот объем продукции, который они могут реализовать, т.е на количество х
р причем в долгосрочном периоде (следовательно, приспособление к рынку происходит через изменение количества). Такое изменение поведения производителей благ оказывает воздействие и на другие рынки. При действующих ценах производители вышеописанного рынка запланировали в соответствии с умозрительным количеством предложения благ х, определенный гипотетический объем спроса на производственные факторы. Если они сокращают фактическое предложение благ до количества х,, им придется уменьшить и фактический объем спроса на рынке факторов. Вследствие этого поставщики производственных факторов утрачивают возможность полностью реализовать гипотетический объем предложения, что опять-таки оказывает воздействие на фактический спрос на других рынках, и «бумерангом» возвращается на исходный. В экономике в целом развертывается мультипликационный процесс «охлаждения».
Таким образом, становится очевидным следующее: если отдельные рынки экономики находятся в неравновесии, а цены не являются настолько гибкими, чтобы быстро устранить дисбаланс, экономические субъекты ощущают на рынках ограничения количества, которые они учитывают в фактических планах предложения и спроса. Основа решений рационированных экономических единиц изменяется в зависимости от ситуации общего равновесия: если в условиях равновесии они основывают планы и действия лишь на системе цен, то при дисбалансе необходимо учитывать и ожидаемые ограничения количества (в этом и заключается гипотеза двойного решения).
1.1.2. Теория дохода и занятости с количественным ограничением (с рационированием)
Для упрощения в дальнейшем мы учитываем только народнохозяйственные рынки благ и труда. Кроме того, мы предполагаем, что уровень цен и номинальная ставка зарплаты «заморожены», т. е. за время всего периода анализа не изменяются.
В исходной ситуации в экономике имеет место полная занятость. При существующем уровне цен Р* и номинальной зарплате W* рынок труда «расчищается»: при равновесной реальной зарплате W*/P* и уровне занятости N* производится национальный продукт полной занятости ГУ* и предъявляется спрос, равный этой же величине (рис. 13.2).
Предположим, что в связи с сокращением экспорта, на рынке благ возникает избыток предложения. Так как этот избыток, согласно нашему допущению никак не влияет на уровень цен, производители национального продукта сократят его до нового уровня спроса и будут предлагать уже лишь национальный продукт rY*
0. Более низкий объем выпуска национального продукта, предполагает занятость меньшую, чем N* (на рис. 13.2 — занятость в объеме N
0). Несмотря на то что реальная зарплата остается на равновесном уровне W*/Р*, на рынке труда возникает избыточное предложение, что ведет к вынужденной безработице, которая имеет место и тогда, когда вследствие сокращения спроса на труд при постоянном уровне цен номинальная зарплата снижается. При уменьшении реальной зарплаты — хотя умозрительный спрос (определенный через рационированное предложение благ) на труд и повышается — фактический (или, что то же самое? эффективный) спрос на труд остается по-прежнему равен N
0. В изображенной на рис. 13.2 области спрос на труд становится совершенно неэластичным.
Следовательно, при действующих ценах поставщики труда не могут реализовать весь объем предложения, т. е. их фактические доходы оказываются ниже умозрительных. Вследствие этого происходит сокращение их спроса на блага, в результа-
 |
|
Рис. 13.2. Рынок труда при равновесном и неравновесном рынках благ |
те чего уменьшаются совокупный спрос на производство благ (на rY,) и спрос на труд (на N,). Мультипликационный процесс «охлаждения» экономической активности завершается лишь тогда, когда на рынке труда предъявляется спрос на труд, производящий такой фактический доход, при котором предложенный на рынке благ национальный продукт в точности соответствует спросу на него. Таким образом, «равновесие рационирования» на рынках достигается (при фиксированных ценах) через количественное приспособление.
Иными словами, как в моделях традиционного кейнсианства, так и в теории рационирования безработица может быть объяснена и без отклонения существующей реальной зарплаты от равновесной ставки. При определенном состоянии рынка снижение реальной зарплаты не приводит к повышению уровня занятости. В этом случае занятость может увеличиться лишь за счет повышения совокупного уровня спроса.
Здесь необходимо упомянуть, что теория рационирования не ограничивается анализом описанного случая кейнсианской безработицы. Наряду с этим видом безработицы (характеризующейся таким рационированием, при котором предприниматели не могут продать гипотетический объем благ, а поставщики труда — гипотетическое предложение этого фактора) учитываются и другие виды рационирования. В частности, анализируется также «классическая безработица», при которой вследствие слишком высокой реальной зарплаты производство количества благ, равного спросу, нерентабельно (значит, на рынке благ существует избыточный спрос), в то время как превышающая равновесный уровень реальная зарплата рационирует на рынке труда предложение рабочей силы и, следовательно, порождает вынужденную безработицу.
В крайнем случае отсутствия рационирования на всех рынках экономики теория рационирования переходит в общую теорию равновесия. Таким образом, теория рационирования не ограничивается традиционным вальрасианским анализом равновесия, а исследует возникающие на рынках экономики различные ситуации {«режимы*) неравновесия.
Несмотря на то что теория рационирования учитывает подчеркнутое Дж. Кейнсом значение эффективного спроса для уровня занятости, она не избежала «критических стрел» со стороны некоторых кейнсианцев. По мнению критиков, теория рационирования в принципе «принимает» аналитические рамки вальрасианской теории равновесия. С другой стороны, хотя она учитывает возможность неравновесных рыночных ситуаций, в сущности, теория рационирования основывается на концепции равновесия: на макроуровне это проявляется в построении равновесия рационирования. Что же касается микроуровня, то здесь концепция равновесия «проглядывает» в использовании неоклассического инструментария, расширенного лишь за счет учета количественных ограничений. С точки зрения этих кейнсианцев, теории равновесия не способны адекватно интерпретировать центральный феномен рыночной экономики, т. е. неопределенность.
В сравнении с критикой из лагеря кейнсианцев, возражения неоклассиков против теории рационирования почти незначительны. Последние считают, что теория рационирования не содержит теоретического обоснования предполагаемой негибкости цен, а базируется на ней просто как на «эмпирической закономерности». Впрочем, результаты теории рационирования воспринимаются со ссылкой на то, что рыночная экономика с негибкими ценами, естественно, не может функционировать бесперебойно, и поэтому возникает неполная занятость. Скептическое отношение неоклассиков к концепции рационированного равновесия связано с тем, что положение, в котором экономические субъекты не могут осуществлять свои гипотетические планы предложения и спроса, не может рассматриваться как равновесное и должно характеризоваться тенденцией к изменению.
1.2. Посткейнсианство
Посткейнсианство уходит от формальной замкнутости классической, кейнсианской и новой классической макроэкономики. Его также нельзя обозначить как макроэкономическую теорию в узком смысле, так как сторонники этого направления делают попытку приблизить экономическую теорию к реальности, включая в нее исторические, институциональные и конкретно-экономические факторы. Центральным аспектом посткейнсианства является отказ от неоклассических представлений о равновесии; следовательно, мы имеем дело с теорией перманентного неравновесия.
Правомерно ли относиться к посткейнсианцам как к полноправными последователями Дж. Кейнса? Вопрос остается открытым. Представители данного направления, многие из которых живут и работают в Кембридже (Англия), разумеется, заявляют о себе как об истинных его последователях.
Центральным элементом посткейнсианства, связанного прежде всего с именами П. Дэвидсона, Н. Кальдора, М. Калецкого, Я. Кригеля, X. Ф. Мински, Дж. Робинсон и Дж. Шэкла, являются следующие положения:
¦ Неопределенность экономических решений, особенно предпринимательских инвестиционных решений, которым уделял внимание еще Дж. Кейнс, но которые в традиционном кейнсианстве полностью утеряны. Сюда относится также роль времени.
¦ Ценообразование через олигополистическое фиксирование цены по принципу нормальных издержек.
1.2.1. Неопределенность и роль времени
Производство и инвестирование направлены в будущее. В основе каждого предпринимательского решения должны лежать будущие цены и будущие условия покупки и продажи. «У предпринимателя нет другого выбора, кроме как руководствоваться такими предположениями, если он вообще хочет заниматься производством, требующим времени» (Кейнс Дж. М. Общая теория занятости, процента и денег / / Кейнс Дж. М. Избранные произведения. М., 1993. С. 255). Это пребывание в историческом времени имеет два тривиальных (хотя и приносимых в жертву математизации в экономических моделях) последствия: прошлое дано необратимым, а будущее является неопределенным. .
Так как обратные движения во времени невозможны, то общее равновесие, т. е. состояние, в котором все величины одновременно в виде общей взаимосвязи зависят друг от друга, не является осмысленным отображением действительности. Экономические планы продавцов и покупателей, как правило, не могут быть сформированы одновременно, так как если предпосылкой предложения благ является их предварительный выпуск, перед тем как покупатели смогут выбирать между разными предложениями, всегда необходимы решения об инвестициях и производстве. Для рыночной системы необратимость времени обусловливает «взаимостороннюю» зависимость в форме «временной очередности». Так, например, процентная ставка влияет на инвестиции, инвестиции — на производство, производство — на спрос на деньги, и после этого осуществляется обратная связь (feed-back) примерно в такой форме, что спрос на деньги влияет на процентную ставку, а последняя — опять на инвестиции. Таким образом, например с точки зрения Дж. Кейнса, процесс приспособления является итерационным процессом.
Для посткейнсианцев факт неопределенности имеет большее значение, чем необратимость времени. При этом необходимо отличать неопределенность от риска. При риске события подлежат формулируемому математически распределению вероятностей и спектр будущих событий известен. Например, при бросании кубика известно, что могут выпасть только цифры от 1 до б и что вероятность выпадения одной цифры всегда равна ' /
6. При неопределенности, напротив, спектр будущих событий точно не известен, значит определение вероятности события невозможно. Мы не знаем, что будет с мировой экономикой через четыре года, каковыми будут курс доллара, цена меди или рентабельность атомных электростанций, вспыхнет война или наступит мир.
Неопределенность является основой отказа от неоклассических представлений о равновесии, так как идея последнего базируется на предпосылке о том, что участники рынка при данных обстоятельствах принимают оптимальные для себя решения. Но если в момент принятия решения они не уверены в последующих результатах, необходимо исходить из постоянного пересмотра экономических планов. Следовательно, имеют место перманентные неравновесия в смысле ошибок в ожиданиях и пересмотров планов.
Наконец, неопределенность обусловливает возможность того, что ожидания и оценки будущей динамики будут быстро изменяться. Данный тезис затрагивает те решения, которые «простираются» в далекое будущее, которые нельзя легко отменить и которые не могут опираться на рутинный опыт. К ним относятся, например, те, что связаны с инвестициями в новые продукты или в новые технологии. Таким образом, для посткейнсианцев функция инвестиций I = І(і), а также функция спроса на деньги L = Ці) нестабильны; связь между процентной ставкой, с одной стороны, и спросом на инвестиционные блага и на деньги — с другой, может характеризоваться относительно быстрыми «смещениями».
В сторону снижения неопределенности действуют контракты о закупочных ценах, ценах продажи, зарплате и т. д. Таким образом, с этой точки зрения, жесткость цен и зарплаты отражает интересы продавцов и покупателей, работников и предпринимателей, значит, она основана на теории полезности. Поэтому состояние неравновесия и являющиеся его следствием количественные приспособления являются правилом.
Одновременно неопределенность обосновывает особую роль денег для обеспечения ликвидности как раз в такие периоды, в которые возникают проблемы со сбытом благ. Для покрытия всех возникающих, но в большинстве случаев неточно известных обязательств необходимо постоянно располагать деньгами. Обоснованное таким образом предпочтение ликвидности особо велико в кризисные времена общей недостаточности спроса и явно менее выражено, если (как, например, в фазе бума) приобрести ликвидность через продажу благ или труда оказывается гораздо легче.
Таким образом, финансовые рынки опять-таки играют важную роль при объяснении безработицы и кризисов (см. также гл. 27). Во время подъема предприниматели имеют склонность в большей степени инвестировать и финансировать инвестиции через кредиты, поскольку первоначально представляется, что с их возвратом не будет никаких проблем. С ростом финансирования посредством привлеченных средств и с замедлением экономического подъема начинается снижение доверия к своевременному возврату кредитов и повышается предпочтение ликвидности. Возрастающее предпочтение денег обуславливает тенденции воздержания от покупок и, наоборот, к «давлению» продаж; предпринимаются попытки сокращения запасов. Такая динамика снижает ожидаемую рентабельность новых инвестиций и приводит к повышению процентной ставки. Ослабляется инвестиционная активность. Тогда при относительно жестких зарплате и ценах ценовой механизм заменяется механизмом доходов в форме мультипликационного процесса.
1.2.2. Принцип нормальных издержек
Посткейнсианцы (сам Дж. Кейнс мало интересовался принципами ценообразования) заменили классическое ценообразование (посредством взаимодействия предложения и спроса) на «ценофиксирующее» поведение олигополистов (см. гл. 6, раздел 3). Согласно их мнению, олигополистический сектор, занимающий значительную часть экономики, устанавливает цены таким образом, что на средние издержки производства, которые возникают при нормальной загрузке мощностей, начисляется прибылеобразующая «накидка» (mark-up) (принцип нормальных издержек). Эта накидка рассчитывается таким образом, чтобы она, с одной стороны, была достаточно низкой — в целях обеспечения гарантии удовлетворительной загрузки мощностей, а с другой — достаточно высокой — для получения нормальной прибыли.
Таким образом, принцип нормальных издержек является наряду с неопределенностью дополнительным фактором жесткости цен: цены зависят в основном от нормальных производственных издержек. Спрос и его колебания — как детерминанты цен — играют лишь незначительную роль.
Описанный принцип ценообразования позволяет объяснить утверждение посткейнсианцев, согласно которому уровень цен в современных промышленно развитых странах в основном зависит от общей величины издержек, а самым важным их детерминантом является соотношение между номинальной зарплатой и производительностью труда. Если предположить, что единственным фактором издержек является зарплата (в действительности она «всего лишь» важнейший детерминант;
определенную роль при формировании издержек играют также проценты, косвенные налоги и цены импортируемых благ), то средние издержки производства в упрощенном виде удельных издержек на зарплату мы можем «получить» из следующего уравнения (подробнее см. гл. 5):
,, Ставка зарплаты
Удельные издержки зарплаты =-
Производительность труда'
Итак, цена блага зависит от ставки зарплаты, производительности труда и прибылеобразующей накидки на цену. Таким образом, становится ясным, что при определении уровня цен основное значение имеют технические условия производства и структура распределения доходов на зарплату и прибыль, а не такой анонимный механизм, как изменение денежной массы (являющийся детерминантом уровня цен в теоретической системе классиков и в новой классической макроэкономической теории).
Наконец, цена, установленная фиксирующим ее предпринимателем, как правило, является неравновесной ценой, поскольку она не позволяет сбыть любой желаемый этим поставщиком объем произведенного продукта. Скорее всего, спрос является «недостаточным», он ограничивает продажи. Тогда предпринимателю необходимо формировать свои ожидания (предположения) о спросе и ориентировать на них производство. Таким образом, в теоретической системе посткейнсианства снова явно подчеркивается, что (ожидаемый) спрос определяет уровни производства и занятости.
Поскольку посткейнсианство не является целостной (замкнутой) теоретической системой и как раз в области макроэкономики вносит больше критических, чем конструктивных аспектов, рекомендации его представителей для политики занятости неоднозначны. Из-за утверждений о неопределенности и нестабильности рыночной системы естественно отпадает классическая максима «laissez-faire» — убежденность в способности оптимального саморегулирования рыночной экономики. Но в посткейнсианстве не существует единого мнения по поводу осуществления эффективной политики занятости. Отчасти посткейнсианцы выступают за больший контроль в сферах частных инвестиций, их финансирования и международных потоков капитала (для ограничения важнейших источников нестабильности). Отчасти они придерживаются традиционной кейнсианской глобальной политики (использующей инструменты денежной, фискальной политики и политики доходов (см. гл. 16)).
1.3. Новое кейнсианство
Сторонники этого теоретического подхода, например О. Бланшар, С. Фишер, Н. Г. Мэнкью, Д. Ромер, делают попытку вывести (оставшиеся в других вариантах кейнсианской теории микроэкономически необоснованными) жесткие цены и/или зарплату из оптимизирующего поведения экономических субъектов и «поставить» эту связь в общий экономический контекст. Характерной чертой построений новых кейнсианцев является отказ от предпосылки полной конкуренции и, соответственно, учет в анализе элементов неполной конкуренции, например принятие допущений монополий (или монополистической конкуренции) и/или несовершенной информации.
На принципах нового кейнсианства основываются такие концепции как теория эффективной зарплаты, теория инсайдера-аутсайдера и модели издержек меню, каждая из которых стремится дать непротиворечивые объяснения неполной занятости и ее устойчивости.
2. Новая классическая макроэкономика (Монетаризм)
После относительно краткой эпохи доминирования кейнсианского мышления в начале 1970-х гг. началась новая «экспансия» классических идей, как в экономической теории, так и в экономической политике (в первую очередь). Их возрождение было тесно связано с возникновением монетаризма. Вместе с тем монетаризм отнюдь не формирует полностью замкнутый строй мышления, а допускает разнообразные формулировки некоторых гипотез. Часто прибегают к разделению на монетаризм типа I и монетаризм типа II, предложенному американским ученым Нобелевским лауреатом Джеймсом Тобином. Монетаризм-І — это ранний монетаризм 1960-х и 1970-х гг., в разработку основных положений которого внес большой вклад другой лауреат Нобелевской премии по экономике — Милтон Фридман (Чикагский университет). Монетаризм-Н является более резким, более последовательным, формирующим консервативную идеологию монетаристской теории направлением; его часто называют новой классической макроэкономикой (НКМ). По нашему мнению данный термин правомерно распространить на всю теоретическую систему монетаризма, так как он переносит акцент на классические основы этой теории.
Под НКМ мы понимаем теоретическую систему, основывающуюся на следующих основных положениях:
¦ стабильность частного сектора экономики;
¦ новая количественная теория денег: изменение денежной массы является доминирующей причиной изменения номинальных доходов;
¦ кривая Филлипса, связанная с определенными гипотезами ожиданий (особенно с гипотезой рациональных ожиданий) и порождающая неэластичную по цене функцию совокупного предложения;
¦ отказ от дискретной («от случая к случаю») политики стабилизации
Мы здесь не анализируем значение НКМ для других областей экономической теории, например, для теории платежного баланса и обменного курса, а описываем связанную с экономическим порядком общую ее суть: наиболее эффективно функционирует капиталистическая рыночная экономика (как можно более свободная от государственного влияния). Данный тезис в основном совпадает с убеждением в стабильности частного сектора.
2.1. Стабильность частного сектора
Гипотеза о стабильности частного сектора экономики состоит из двух утверждений: •
¦ частная сфера экономики не порождает самоусиливающихся колебаний;
¦ действия частных экономических субъектов по приспособлению к внешним шокам и состояниям неравновесия влияют на экономику стабилизирующим образом, т. е. они сокращают разницу между запланированными и фактическими величинами.
Эта гипотеза дополняется убеждением, согласно которому порождаемые государственным сектором импульсы, особенно денежные, являются главными причинами циклических колебаний производства. Данная точка зрения предельно ясно сформулирована одним из ранних монетаристов Карлом Бруннером:
«Динамика частного сектора в принципе является очень стабильной... Частный сектор абсорбирует нарушения и превращает их в стабилизирующее движение. ...Далее, согласно монетаристской теории, главные источники нестабильности и неопределенности экономических процессов находятся в поведении государственного сектора. Неопределенность вызывается в особенности программами налогов и расходов, а также административным вмешательством государства. Нестабильность необходимо отнести на счет прежде всего денежной и фискальной политики».
(Brunner Karl, «Die monetaristische Revolution» in der Geldtheorie, in: Peter Kalmbach [Hrsg.], Der neue Monetarismus. Miinchen, 1973.).
При этом необходимо отметить, что «гипотеза о стабильности» вводится как недоказанное утверждение, но ее можно подтвердить некоторыми дополнительными рассуждениями.
(I)Долгосрочная максимизация полезности с учетом имущественного ограничения.
Экономические субъекты пытаются извлечь из своих экономических действий максимальную полезность в долгосрочном периоде (в принципе на протяжении всей своей жизни) при учете их ограничения, осуществляемого в конечном счете через имущество (имущественное ограничение).
Согласно данному предложенному М. Фридманом подходу, имущество интерпретируется, весьма широко — как сегодняшняя ценность всей будущей, приносимой располагаемыми источниками дохода, выручки. К источникам дохода могут относиться:
¦ реальный капитал (машины, оборудование, земельные участки),
¦ финансовый капитал (ценные бумаги и деньги),
¦ «человеческий капитал» (сегодняшняя ценность человеческого труда).
Под сегодняшней ценностью понимают дисконтированную на сегодня ценность выручки за все будущие периоды.
Предположим, что после окончания профессионального образования некий индивид будет на протяжении 40 лет получать годовой доход в объеме 50 тыс. руб. Простое суммирование этих доходов дает нам величину в 2 млн руб.
Поскольку большая часть этих доходов будет получена в далеком будущем, нам необходимо дисконтировать их. Например, если начислить на 50 тыс. руб. 10%, то исходная сумма за Шлет вырастет до 129 687 руб., и наоборот, 129 687 руб., подлежащие уплате через Шлет, сегодня имеют ценность равную 50 тыс. руб. Если соответственно дисконтировать будущие доходы и суммировать их, мы получим сегодняшнюю ценность «человеческого капитала», равную:
50000 50000 50 000 ,
опЛГГ
' ¦ + ¦: .;.. =488955.
Е° "(1+0,1)’
(1+0,1)2
40
(1+0,1)'
Точно так же вычисляется сегодняшняя ценность реального и финансового капитала, а значит и общая оценка имущества.
Экономической проблемой человека является проблема структурирования и распределения во времени своего имущества таким образом, чтобы достичь максимума его совокупной полезности. Из этой основной идеи можно вывести предложение труда и спрос на потребительские блага, ценные бумаги, деньги и свободное время.
Вместо того чтобы всегда «оперировать» совокупным имуществом, экономический субъект может планировать так называемый перманентный доход. При этом перманентный доход Yp соответствует имуществу V, увеличенному на проценты, начисленные по средней долгосрочной процентной ставке:
‘ Yp = і • V.
Применительно к практическому анализу М. Фридман исходит из того, что перманентный доход интерпретируется как долгосрочный ожидаемый средний доход и что он в основном прогнозируется на основе доходов, полученных в прошлом.
Такой сугубо экономический взгляд на человеческое планирование имеет решающее значение при выработке точки зрения по основному в макроэкономике вопросу о стабильности или неустойчивости капиталистической рыночной экономики. Так как предполагается, что спрос зависит от Имущества, т. е. от перманентного дохода, разумно считать, что изменение текущих доходов оказывает незначительное воздействие на поведение спроса. Поэтому предельная склонность к потреблению, относящаяся к доходам определенного.периода, в монетаристской теории существенно меньше, чем в кейнсианстве. Таким образом, экзогенные (например, вызванные государством или остальным миром) колебания спроса приостанавливаются, уменьшаются, стабилизируются; кейнсианский мультипликационный процесс почти полностью нейтрализуется.
(2)Большая степень гибкости цен и быстрое приспособление
Сторонники НКМ придерживаются того мнения, что поведение максимизирующих полезность продавцов и покупателей (т. е. поведение, соответствующее их интересам), приводит к относительно быстрому изменению цен в случае неравновесия.
Так, например, в случае возникновения безработицы поставщики труда заинтересованы в снижении требований по зарплате, что оказывается на руку и предъявляющим спрос на труд предпринимателям.
Предполагается, что цены приспосабливаются более быстро, чем количества. Одновременно новая классическая макроэкономика основана на идее, согласно которой изменение относительных цен очень быстро возвращает экономику к равновесию. Ценовой механизм успешно несет бремя приспособления (концепция расчи-щения рынков через цены).
Для изменения ценовых соотношений часто оказывается достаточным равномерного изменения темпов роста учитываемых цен. К примеру, более медленный, по сравнению с ценами, рост номинальной зарплаты позволяет добиться удешевления труда относительно новых произведенных благ. Таким образом, именно это соотношение цен оказывается более гибким, чем его, как правило, оценивают.
(3) Рациональные ожидания
Основную роль в НКМ играет гипотеза о рациональных ожиданиях, даже если ее практическое значение само по себе оказывается незначительным (см. также раздел 2.3).
Рациональные ожидания означают, что индивиды правильно оценивают экономические взаимосвязи, а значит имеют возможность могут предвидеть результаты известных им мероприятий экономической политики. По крайней мере предполагается, что люди знают правильное распределение вероятности будущих событий и поэтому их ошибки носят случайный, а не систематический характер.
' В связи с концепцией естественной безработицы (и только в связи с ней) из гипотезы рациональных ожиданий следует весьма важный политэкономический вывод: государственная экономическая политика неэффективна (тезис неэффективности политики) и не оказывает влияния на реальный выпуск и занятость. Причина состоит в том, что в данной теории производство и занятость зависят от предложения и спроса на рынке труда, на который, со своей стороны, государственная экономическая политика не может повлиять и в действительности (поскольку об этом известно экономическим субъектам) не влияет. Таким образом, при принятии гипотезы рациональных ожиданий возникает «суперстабильность»: внешние шоки вообще не выводят экономику из состояния долгосрочного равновесия (равновесия в длительном периоде), т. е. происходит как бы «исчезновение» (стабилизирующего) процесса приспособления.
В НКМ, таким образом, рынки труда, благ и денег сами достигают (если этому не мешает вмешательство государственных органов) равновесных состояний.
Еще раз проиллюстрируем центральное значение этого допущения применительно к рынку труда (см. также гл. 11, раздел 2.3).
На рынке труда устанавливается та реальная зарплата, при которой предложение труда соответствует запланированному спросу на труд. Значит, при данной реальной заработной плате все желающие работать находят рабочие места, определенный уровень фрикционной и структурной безработицы порождается исключительно недостатком информации и отсутствием гибкости. Данный уровень, поскольку он отражает структурные характеристики рынка труда, называется естественным уровнем безработицы (см. гл. 11). Итак, естественная безработица «дана не естественно», она может быть сокращена за счет снижения степени несовершенства информации и повышения степени мобильности.
2.2. Доминирование денежных импульсов — новая количественная теория денег
Центральный тезис новой количественной теории денег формулируется следующим образом: изменения денежной массы являются самым важным детерминантом изменения экономической активности, под которой понимается номинальный национальный доход (национальный продукт).
Данное высказывание подтверждается эмпирическими исследованиями, которые показывают тесную связь («параллельную динамику») между денежной массой и номинальным национальным доходом. Правда, корреляция не означает причинно-следственную связь. Так, изменения номинального национального дохода сами могут быть причиной изменения денежной массы или их связь может быть следствием третьей, еще неизвестной величины. Тезис «post hoc ergo propter hoc» («после этого — значит по причине этого») в любом случае не является значимым аргументом.
Чтобы сделать выводы о направлении причинно-следственной связи, мы нуждаемся в конкретной теории. Такой теорией является, в частности, так называемая новая количественная теория денег — модификация классической количественной теории денег. В новой количественной теории дается дополнительное обоснование зависимости спроса на деньги от доходов. Таким образом показывается, что изменение денежной массы в ходе действия передаточного механизма, в конце концов должно изменить номинальный национальный доход.
(1) Монетаристская теория спроса на деньги
Согласно развитой М. Фридманом, теории спрос на деньги выводится как спрос на любое другое благо (на основе долгосрочного межвременного расчета оптимизации при учете имущественного ограничения). М. Фридман рассматривает следующие виды имущества:
¦ деньги;
¦ государственные облигации с фиксированным купоном;
¦ акции (требования на существующее производительно функционирующее реальное имущество);
¦ потребительские блага длительного пользования (например, автомашины, телевизоры);
¦ «человеческий капитал» (например, образование, здоровье).
Структурированное определенным способом (общее) имущество называется
портфелем. Экономические субъекты пытаются оптимально сформировать свой портфель, т. е. они разделяют свое совокупное имущество на отдельные виды таким образом, что изменение его структуры уже не может увеличить совокупную полезность. При этом необходимо учитывать, что каждая форма вложения приносит специфические доходы, включает специфические риски и одновременно всегда означает также отказ от доходов, получаемых из других форм вложений (альтернативные издержки).
Деньги приносят неденежные доходы в виде полезности, связанной с безопасностью, удобством и престижем. Возможны также денежные доходы при общем снижении цен. Но если деньги удерживаются субъектами экономики, то таким образом происходит отказ от доходов, приносимых другими активами, например, от процентов по ценным бумагам. Доход от ценных бумаг с фиксированным процентом состоит в основном из купонного процента и возможного повышения их курсов; доход от акций — из их дивидендов и возможного повышения их курсовой стоимости. Потребительские блага длительного пользования порождают потоки полезности. Инвестиции в «человеческий капитал» дают шанс получения более высокого дохода от труда в будущем.
В теории спроса на деньги М. Фридмана учитываются зависимости доходов, рисков и предпочтений от разных возможностей обладания имуществом, что одновременно делает ее трудноприменимой. В соответствии с эмпирическими исследованиями М. Фридман позже упростил свой подход и абстрагировался от малозначимы (количественно) факторов. В результате получилась теория спроса на деньги, которая очень похожа на классическую: процентные ставки как аргумент в функции спроса на деньги играют очень небольшую роль; и реальный спрос на деньги L/P зависит от перманентного реального дохода rYp:
—=kxrYp
р
г т. е.
L=kxPxrYp
При этом к является «коэффициентом держания кассы». Спрос на деньги рассматривается в качестве стабильной функции (от небольшого количества аргументов), т. е. экономические субъекты независимо от времени при малом количестве влияющих на их решения переменных хотят держать однозначно определенное количество денег. Таким образом, при осуществлении экономической политики спрос на деньги рассматривается как удовлетворительно прогнозируемый.
(2) Передаточный механизм
Отправным пунктом передаточного механизма, показывающего, каким образом изменение денежной массы влияет на номинальный национальный доход, является вышеописанное стремление всех экономических субъектов к оптимальному распределению своего имущества.'Если в настоящее время денежная масса увеличивается, это равновесие нарушается. В распоряжении людей находится больше денег, чем должно было быть на основе полученных доходов. При избытке кассы предъявляется спрос на другие виды имущества. Последние, в связи с возрастанием спроса, дорожают и их нормы дохода при прочих равных условиях снижаются. Постепенно волна добавочного спроса распространяется на весь спектр имущественных вложений до тех пор, пока не будет достигнуто новое равновесие. В идеальном виде можно представить себе примерно следующую временную последовательность замещений, вызванных изменениями относительных цен и норм доходности:
Деньги -»Ценные бумаги .
Ценные бумаги -» Акции, потребительские блага длительного пользования
Акции, потребительские блага длительного пользования —>• Новые произведенные блага
Таким образом, эти процессы приспособления в конечном счете означают увеличение спроса на новые произведенные блага и предоставленные услуги. Но расширение производства происходит только тогда, когда существуют свободные производственные мощности, иначе повышаются лишь цены.
Процесс приспособления заканчивается тогда, когда дополнительная денежная масса является полностью желаемой, следовательно, реальный национальный доход, умноженный на уровень цен, повысится на столько процентов, на сколько процентов увеличилась денежная масса:
ДМ = ДЬ = k х Р х ГУР.
Повышается ли при этом только уровень цен Р или только реальный доходУ, или и то и другое вместе? В рамках теории спроса на деньги ответ на этот вопрос невозможен; для этого необходим дополнительный анализ, который можно осуществить, используя, например, инструментарий кривой Филлипса.
2.3. Кривая Филлипса
Кривой Филлипса является эмпирически определенная связь между выраженным
Л
в процентах темпом повышения цен р (первоначально темпом повышения ставки зарплаты) и уровнем безработицы (впервые была предложена англичанином Э. В. Филлипсом в 1958 г.). Э. Филлипс открыл, что растущий темп повышения цен сопровождается снижающимся уровнем безработицы (см. рис. 13.3).
Первоначально большинство экономистов тогда (например, будущие Нобелевские лауреаты П. Самуэльсон и Р. Солоу) восприняли кривую Филлипса как временно инва-
Темп повышения цен
 |
|
Рис. 13.3. Исходная кривая Филлипса |
риантную, стабильную связь, которая давала возможность компромиссного выбора (trade-off) между безработицей и темпом инфляции, или в соответствии с известным высказыванием бывшего федерального канцлера ФРГ Гельмута Шмидта: «Лучше 5% инфляции, чем 5% безработицы». В связи со своим значением для экономической теории и экономической политики кривая Филлипса довольно часто подвергалась эмпирическим проверкам, правда, с переменным и все меньшим успехом.
В конце 1960-х—начале 1970-х гг. «атаку» на кейнсианские воззрения относительно кривой Филлипса предприняли М.Фридман и Е.С. Фелпс. По их мнению, национальный рынок труда (см. гл. 11) характеризуется зависимостью от реальной зарплаты предложения труда и спроса на труд. Предложение труда и спрос на труд при равновесной реальной зарплате (W/P)* совпадают друг с другом. Этой ситуации соответствует равновесная занятость N* и вытекающая из несовершенства рынка естественная безработица u
n. Если допустить, что при данном уровне естественной безработицы имеют место нулевые темпы инфляции, то этим задается первая точка кривой Филлипса. Предположим теперь, что правительство делает попытку привести экономику — через экспансионистскую политику управления спросом, сопровождаемую повышением темпов роста денежной массы, — к уровню безработицы ниже естественной. Результатом будет (сначала при неизменном предложении благ) возникновение положительного темпа инфляции. Основной предпосылкой в системе рассуждений Фридмена-Фелпса является тезис о том, что предприниматели делают правильные выводы из повышения темпа роста цен, в то время как работники (т. е. поставщики труда) не ожидают его (или по меньшей мере недооценивают темп инфляции) и корректируют свои ожидания только через некоторое время (так называемые адаптивные ожидания).

При этих допущениях и при соблюдении условий конкуренции происходит рост ставки (меньший, чем рост цен) номинальной зарплаты. Поэтому имеет место снижение фактической реальной зарплаты, правильно оцениваемое предпринимателями, и повышение ожидаемой рабочими реальной зарплаты (они недооценивают рост цен). Вследствие этого происходит расширение спроса на труд и предложения труда. Фактические значения занятости и производства возрастают.
Таким образом, экономика продвинулась бы от и
пк точке А, которая характеризуется положительным темпом повышения цен и неравенством и с и
п (см. рис. 13.4). Однако рабочие со временем осознают ошибки в оценках темпа инфляции и реальной зарплаты, и корректируют свои инфляционные ожидания в соответствии с фактическим темпом роста цен на блага. Они будут требовать восстановления реальной зарплаты до прежних значений через соответствующее повышение номинальной ставки зарплаты, и в условиях конкуренции на рынке труда могут этого добиться. Тогда занятость вновь уменьшится до прежнего уровня. В конечном счете, повысятся лишь фактические и теперь правильно воспринятые и ожидаемые всеми экономическими субъектами темпы инфляции.
Таким образом, экономика оказывается в точке В (рис. 13.4). Если правительство намерено снизить безработицу до ее естественного уровня, оно должно через соответствующую политику управления спросом и повышение темпа роста денежной массы вновь инициировать рост цен. Если работники опять неправильно оценят фактические темпы инфляции и таким образом переоценят реальную зарплату, произойдет новое расширение производства и снижение безработицы до ее естественного уровня (точка С на рис. 13.4). Если, наконец, предложение труда вновь будет адаптировано к реальности, система продвинется к точке D.
Очевидно, что однократное повышение темпа инфляции приведет к расширению занятости лишь в краткосрочном периоде, не оказывая воздействия на реальные переменные занятости и производства в среднесрочном и долгосрочном периодах. Иными словами, если краткосрочная кривая Филлипса характеризуется отрицательным наклоном (и таким образом возможностью компромиссного выбора между темпом инфляции и уровнем безработицы), то долгосрочная кривая Филлипса является вертикальной линией.
Таким образом, сторонники новой количественной теории денег рассматривают следующие последствия экспансии денежной массы: номинальный доход возрастает пропорционально росту денежной массы и в краткосрочном периоде ведет к повышению как реального национального продукта, так и уровня цен. Но в среднесрочном и долгосрочном периодах, повышение номинального дохода выражает собой лишь рост цен.
К тем же выводам мы приходим и при рассмотрении так называемой «параболы островов». Ошибка предпринимателей и работников состоит в том, что они путают общие изменения цен с относительными. Почему? Экономические субъекты замечают сначала изменение цен на рынках, на которых они выступают как поставщики (на своих «островах»). Получение информации о других ценах представляется им слишком дорогостоящим процессом. Следовательно, работники осознают лишь повышение номинальной зарплаты, предприниматели видят лишь повышение каждой из «своих» цен на блага. Соответственно, в силу отсутствия объективной информации работники исходят из повышения реальной зарплаты, а предприниматели — из ее снижения. Тогда увеличиваются как предложение труда, так и спрос на труд. Тем самым экспансионистская денежная политика, которая приводит к росту цен и зарплаты, позволяет временно снизить естественный уровень безработицы, но только до тех пор, пока участники рынка позволяют обманывать себя.
Давайте оценим аргументацию Фридмана—Фелпса. Действительно ли ответ на вопрос о возможности снижения безработицы до ее естественного уровня через политику управления спросом, является решающим? Мы даем отрицательный ответ, но только в том случае, если не определять фактически существующую безработицу как естественную безработицу.
Следовательно, доводы Фридмана—Фелпса не позволяет решить связанные с безработицей реальные проблемы. Кроме того, вся описанная аргументация кажется искусственной, поскольку информацию о фактическом темпе инфляции в наше время можно получить без проблем и издержек.
Но вернемся к кривой Филлипса. Согласно концепции Фридмана—Фелпса, возможность компромиссного выбора между инфляцией и безработицей (на кривой Филлипса) существует лишь при возникновении ошибок в ожиданиях, т. е. при несовершенной информации и только в краткосрочном периоде.
В случае рациональных ожиданий экономические субъекты уже с самого начала не позволяют обмануть себя; тогда кривая Филлипса остается вертикальной, а государственная экономическая политика неэффективной. Но необходимо подчеркнуть, что теоретическая система НКМ и не предполагает государственную экономическую политику, в ней нет необходимости, так как рынок труда и без нее пребывает в равновесии. Кейнсианской проблемы неполной занятости не существует.
Если кривая Филлипса является вертикальной линией (нормальная, с точки зрения приверженцев НКМ, ситуация), то изменения денежной массы влияют лишь на уровень цен, а не на занятость.
На рис. 13.5 представлены фактически имевшие место в 1951-1994 гг. в Германии сочетания уровней безработицы (ось абсцисс) и темпов инфляции (ось ординат). Однозначно интерпретировать показанную на рисунке с помощью кривой Филлипса связь между уровнями безработицы и темпами инфляции без применения техники эконометрического анализа невозможно. Наиболее очевидна эта связь для 1960-х гг. Значения 1959-1970 гг. можно интерпретировать стабильной кривой Филлипса (в соответствии с формулировкой П. Самуэльсона и Р. Солоу). Но с начала 1970-х гг. представленные значения отражают иные связи. В 1970-х гг. темпы инфляции и уровень безработицы возрастали (стагфляция) — феномен, который несовместим со стабильной и имеющей отрицательный наклон кривой Филлипса. Последующие фазы со снижавшимися темпами инфляции характеризовались стабильными показателями безработицы, в то время как в фазах растущей инфляции ситуация с занятостью улучшалась, по крайней мере незначительно. Тренд показывает, что одинаковые темпы инфляции могли сочетаться с растущим уровнем безработицы. Этот феномен несовместим не только со стабильной кривой Филлипса по Р. Самуэльсону и Р. Солоу, но и с постоянным естественным уровнем безработицы по теории М. Фридмана и Е. Фел-
 |
Рис. 13.5. Уровни безработицы и темпы инфляции в Германии, 1951-1994 гг. Источник: Jahresgutachten des Sachverstflndigenrates. 1994/95, а также собственные расчеты.
пса. Динамику значений можно было бы интерпретировать как движение по разным кривым Филлипса. Но смещения кривой Филлипса происходят асимметрично, так что в рамках кривой Филлипса развитие событий в 1980-е и 1990-е гг. можно объяснить только ростом нейтрального по отношению к инфляции уровня безработицы (NAIRU, см. гл. 11). |
2.4. Отказ от активной политики стабилизации
Следующие из теоретической системы НКМ выводы для государственной экономической политики просты и однозначны.
Направленная на стабилизацию конъюнктуры и занятости государственная экономическая политика является не только ненужной, но скорее всего вредной и при рациональных ожиданиях неэффективной.
Таким образом, денежная политика (см. материал об ее инструментах в гл. 19) должна обеспечивать лишь долгосрочную стабильность уровня цен. Для этого следует проводить ориентированную на потенциал политику регулирования денежной массы. Денежная масса должна ежегодно увеличиваться темпами, которые соответствуют сумме темпов роста производственного потенциала и признанного допустимым темпа роста цен. Фискальная политика призвана служить лишь перераспределению доходов и финансированию решения государственных задач.
В ходе развития НКМ все более популярной становилась концепция так называемой политики предложения. Она не вытекает прямо из теоретической системы новой классической макроэкономики, но имеет некоторые общие с ней черты. Как и «новая классика», концепция политики предложения исходит из стабильности частного сектора и из убеждения, что вмешательство государства воздействует на экономику дестабилизирующим образом. Отсюда следует первый центральный компонент политики предложения: больше рынка! — означающий сокращение государственного вмешательства в процесс производства (дерегулирование). Второй центральный компонент политики предложения сформулирован так: больше прибыли! В нем звучит убеждение, что решающей движущей силой капиталистических рыночных экономик является шанс получить (через производственные усилия) хорошую прибыль.
. . Врезка 13.1,
Уровень безработицы и темп инфляции в Российской Федерации в 1991-1996 гг.
Инфляция и безработица в России
|
Таблица 13а |
|
|
1991 г. |
1992 г. |
1993 г. |
1994 г. |
1995 г. |
1996 г. |
|
Индекс потребительских цен в количестве раз к предыдущему году |
2,6 |
26,1 |
9,4 |
3,2 |
2,3 |
1,2 |
|
Уровень безработицы (в %) |
- |
0,6 |
1,0 |
2.2 |
3,2 |
4,1 |
|
Изменение реального ВВП (в %) |
-5,0 |
-14,5 |
-8,7 |
-12,7 |
-4,1 |
-4,9 |
|
|
Источник: Российский статистический ежегодник. 1997. М., 1997. С.117, 145, 304, а также собственные расчеты. |
Инфляция

Первые две строчки табл. За как будто подтверждают, что макроэкономическая динамика в России 1990-х гг. соответствует концепции, согласно которой кривая Филлипса является убывающей и (в общем и целом) стабильной. Снижение темпов инфляции сочетается с ростом уровня безработицы.
Однако первый из приведенных тезисов, как показывает нижняя строка табл. 13а, является не вполне верным. Дело в том, что динамика уровня безработицы не соответствует изменению реального ВВП. Во-первых, она отстает от спада производства. Во-вторых, безработица в каждом из рассматриваемых периодов, увеличивается примерно одинаково независимо от глубины падения реального ВВП. Основная причина указанного несоответствия кратко рассмотрена во врезке 3.5.
Безработица
2.5. Оценка
Новая классическая макроэкономическая теория (в некоторых своих аспектах) обогащает, уточняет и улучшает традиционное кейнсианство, призывавшее к прямолинейному механическому манипулированию экономическим процессом капиталистической рыночной экономике. Однако основная гипотеза теоретической системы НКМ (тезис о стабильности частного сектора) не имеет соответствующего экономического обоснования. Согласно проведенным эмпирическим исследованиям, в период ослабления государственного вмешательства колебания частного сектора были значительно более сильными, чем в современных условиях. Прежде всего, не существует модели, которая обосновывала бы утверждение, что максимизирующие полезность частных экономических субъектов приспособления (к внешним нарушениям), гарантируют стабильность частного сектора. Центральная составная часть НКМ имеет характер допущения, неприемлемого в модели, целью которой является исследование проблем кризисов и безработицы.
Возможно, частный сектор в длительном периоде стабилен, но ведь именно в этом периоде «мы все мертвы» (Дж. Кейнс).
Список основных понятий
¦ Принцип нормальных издержек
¦ Кейнсианская глобальная политика
¦ Рациональные ожидания
Тезис неэффективности политики Естественный уровень безработицы Портфель Кривая Филлипса Возможность компромиссного выбора
Ориентированная на потенциал политика регулирования денежной массы Политика предложения
4) Что такое «равновесие рационирования» и как оно достигается?
5) Объясните, какую экономическую политику следует проводить государству в ситуации кейнсианской безработицы?
6) В чем состоят различия между риском и неопределенностью.
7) Как бы вы сформулировали принцип нормальных издержек?
8) Почему кривая Филлипса в теоретической системе новой классической макроэкономики обычно представляет собой вертикальную линию? При каких условиях она имела бы отрицательный наклон?
9) Почему государственная экономическая политика в теоретической системе НКМ, как правило, неэффективна?
10) К каким последствиям приводят изменения денежной массы в теоретической системе НКМ?
 |
¦ В известном американском учебнике вводного уровня «новой макроэкономике» посвящена гл. 18:
Дорнбуш Р., Фишер С. Макроэкономика. М., 1997. |
¦ Материалы по новому кейнсианству и новой классической экономической теории вы можете найти в учебнике по макроэкономике вводного уровня:
МэнкьюН. Г. Макроэкономика. М., 1994.
¦ Описание наиболее известных новых направлений в макроэкономической теории содержится в последних трех главах следующего учебника:
Овчинников Г. 77., Макроэкономика. СПб., 1993.
¦ Более продвинутое изложение современных версий классической и кейнсианской теории содержится в книге (гл. 13):
Гальперин В. М., Гребенников П. И., Леусский А. И., Тарасевич Л. С. Макроэкономика: Учебник. 2-е изд. СПб., 1997.
¦ Много ценного материала по проблематике данной главы можно найти в книге:
Современная экономическая мысль / Подред. С. Вайнтрауба. М., 1981.
Глава 1 4

¦...........—..........І
ДОХОДЫ И РАСХОДЫ ГОСУДАРСТВА

В чем состоят основные приниипы получения и распределения государственных
доходов в Федеративной Республике Германии (и в Российской Федерации)?
¦ Какие виды государственных доходов относятся к основным?
¦ Что такое налоги и чему они служат?
¦ Как распределяются налоговые поступления между федеральным, земельными (республиканскими) и местными бюджетами?
¦ Какую относительную значимость имеют отдельные виды налогов?
¦ Что такое ставка налога и что означают пропорциональный, прогрессивный и регрессивный виды налогообложения?
¦ Как можно обосновать использование прогрессивной ставки подоходного налога?
Как распределены государственные задачи и государственные расходы в ФРГ
(и в РФ) и какими качественной и количественной динамиками они характеризуются?
¦ Как регулируется распределение государственных задач и государственных расходов между государственными органами разных уровней?
¦ Какова динамика совокупных государственных расходов и как ее можно объяснить?
¦ Какова структура государственных расходов по отдельным видам расходов и по государственным органам разных уровней?

1. Введение
В нашем исследовании мы не один раз упоминали государство. Более того, в гл. 2 был сделан вывод о том, что многие задачи по регулированию экономики в рыночных экономиках «отдаются на откуп» государству. Согласно системе национальных счетов, к сектору «государство» относятся:
¦ государственные органы разных уровней (федерация, федеральные земли, муниципалитеты, союзы муниципалитетов, а также некоторые особые государственные фонды);
¦ фонды социального страхования (прежде всего пенсионного страхования, страхования на случай болезни, от несчастных случаев, ухода за престарелыми и от безработицы).
Но государственные предприятия не включаются в сектор «государство». Необходимо напомнить, что немецкое государство (в связи с экономической политикой в области экономического порядка) в последние годы форсировало приватизацию государственных предприятий. В конце 1992 г. федерация имела долевое участие в 215 предприятиях (стоимость основных фондов — DM 11,6 млрд), но в ходе объединения Германии в 1990 г. процесс приватизации приобрел новый размах. Созданное еще правительством бывшей ГДР Ведомство по распоряжению имуществом (Treuhandanstalt — учреждение публичного права под надзором федерального министра финансов) имело своей задачей (уникальной в мире) продажи, санирование или (если была установлена невозможность оздоровления) закрытие 8 тыс. находившихся в народной собственности предприятий и комбинатов. Эта задача была выполнена в 1994 г.
2. Государственные доходы
Начнем с анализа доходов, которыми имеют право распоряжаться преследующие цель выполнения поставленных перед ними задач государственные органы всех уровней. К государственным доходам относятся: налоги, кредиты, сборы, пошлины, тарифы, доходы от хозяйственной деятельности и прочие поступления (например, доходы от чеканки монет, от штрафов).
2.1. Налоги
Под налогами понимаются получаемые на принудительной и безвозмездной основе доходы государства. «Ответные» выплаты государства гражданам осуществляются «в общей форме» без учета вклада отдельных налогоплательщиков. В
основном по налоговым доходам (поступлениям) применяется принцип нецелевых отчислений, т. е. налоговые доходы служат для финансирования всех расходов (в Германии имеется исключение: часть налоговых поступлений от налога на нефть и нефтепродукты целенаправленно расходуется на строительство дорог). Главной целью государственного сбора налогов, как правило, является получение доходов.
Но периодически на передний план могут выходить и другие цели. Например, налоговая политика может быть поставлена на службу политике стабилизации рыночной конъюнктуры (см. гл. 12 и 16) или направлена на перераспределение доходов и имущества (см. гл. 26). Цель получения доходов отходит на второй план и в тех случаях, когда государство пытается повлиять на состояние здоровья населения через очень высокие налоговые ставки — как, например, при налогообложении алкоголя. В этом случае чем меньше расходы населения на облагаемые высокими налоговыми ставками блага, тем ближе государство к поставленной цели (случай запретительного налога).
2.1.1. Важнейшие вилы налогов
в Федеративной Республике Германии
В Германии существует множество налогов, поскольку очень часто они весьма сложно оформлены, нередко говорят о «налоговых джунглях». Для удобства рассмотрения всего их разнообразия в экономической теории принята определенная классификация налогов, которая описывает общие признаки и различия между отдельными налогами.
Очень старая, но все еще часто применяемая классификация налогов — деление на прямые и косвенные. При этом в большинстве случаев определяется, возможно ли переложение налога: является ли лицо, которое перечисляет налог налоговым органам, лицом, несущим экономическое бремя налога. Налоги, которые можно переложить, называются косвенными налогами', налоги, которые, по-видимому, нельзя переложить — прямыми налогами. Типичным примером прямых налогов является подоходный налог, в то время как налог на добавленную стоимость может служить прототипом косвенных налогов.
Деление налогов на прямые и косвенные слишком грубо и не позволяет представить обзор налоговой системы (совокупности налогов) ФРГ. Поэтому мы предлагаем более детальную классификацию налогов по объекту налогообложения (см. схему 14.1).
Объектом налогообложения при подоходном налоге являются, как следует из самого названия, доходы. Важно, что при налогообложении дохода учитываются личные возможности налогоплательщика — например, семейное положение и величина дохода (прогрессивность ставки налога). Это отличает подоходные налоги от налогов с выручки, взимаемых вне зависимости от индивидуальных характеристик налогоплательщика. Иногда в связи с подоходным налогом говорят также о личных, или персональных, налогах (субъективных налогах), а при налогах от выручки — о реальных, или вещественных, налогах (объективных налогах). В этом смысле налог на имущество (при котором объектом обложения является совокупная ценность имущества) является персональным налогом.
Налоги на имущество следует отличать от налога на наследство, которым облагают переход имущества по завещанию или согласно праву на наследство.
Налоги с оборота связаны с покупкой или продажей товаров и услуг. К важнейшим из них относятся налог на добавленную стоимость и налог на приобретение земельного участка. Объектом налогообложения потребительских налогов (акцизов) выступает производство благ. Одно и то же благо часто облагается потребительским налогом и налогом с оборота, например пиво облагается акцизом на пиво и налогом на добавленную стоимость (НДС).
Налоги на потребление и налог с оборота имеют то сходство, что при их начислении не учитываются экономические возможности налогоплательщика, т. е. они являются реальными налогами.
Таможенные пошлины взимаются на границе страны в виде сборов на ввоз, перевоз и вывоз товаров. Сегодня практическое значение в ФРГ имеют прежде всего
|
Схема 14.1. Налоговая система Федеративной Республики Германии |
|
Виды налогов1 |
Примеры |
|
'Подоходные налоги |
Подоходный налог с физических лиц (налог на зарплату и прочие доходы, декларированные в конце года) Корпорационный налог (налог на прибыль юридических лиц) |
|
Налог на имущество |
Годичный налог на имущество |
|
Налог с оборота |
Налог на добавленную стоимость
Налог на приобретение земельных участков
Налог на страхование |
|
Потребительские налоги |
Акциз на пиво
Акциз на коньяк
Налог на дорожные средства
Акциз на табак
Акциз на кофе
Акциз на нефть и нефтепродукты |
|
Налог на прибыль |
Промысловый налог
Налог на земельный участок |
|
Налог на наследство |
Налог на наследство |
|
Таможенные пошлины |
Пошлина на табак
Пошлина на ковры
Пошлина на железо и сталь |
|
1 Законом о стимулировании финансовых рынков от 22 февраля 1990 г. с 1 января 1991 г. |
|
отменены налоги с оборота фондовой биржи, а также с 1 января 1992 г. — корпорацион- |
|
ный налог. В ходе налоговой гармонизации в ЕС отменены в 1993 г. потребительские (ак- |
|
цизные) налоги на такие продукты питания, как чай, соль и сахар. |
|
Современная налоговая система России существует с 1992 г. Она включает около 44 видов налогов, сборов и других платежей, в том числе 16 федеральных, 5 региональных и 23 местных. Налоговая система РФ носит противоречивый характер, поскольку, с одной стороны, в ней учитываются аспекты налоговых систем промышленно развитых стран, а с другой — она создавалась на базе характерной для плановой экономики структуры доходов экономических субъектов. Последнее проявляется, в частности, в том, что акцент в ней был сделан на налогообложении юридических (а не физических) лиц и на косвенные (а не прямые) налоги. Данная особенность налоговой системы привела к тому, что действующие в России налоги практически «искореняют» стимулы к предпринимательству и инвестициям, а также через незаконное уклонение от уплаты налогов способствуют развитию теневой экономики. Дело в том, что, хотя формально ставки налогообложения прибыли (35 %) в России сопоставимы со стандартами промышленно развитых стран, в реальности уровень изъятия фактической прибыли предприятий оказывается гораздо более высоким. Во-первых, в налогооблагаемой базе налога на прибыль учитываются некоторые виды затрат, которые в развитых государствах включают в производственные издержки (в первую очередь к ним относится так называемый сверхнормативный фонд оплаты труда). Во-вторых, в России при определении налогооблагаемой базы не учитываются или недооцениваются темпы инфляции, вследствие чего занижаются издержки производства и соответственно завышается налогооблагаемая прибыль.
Врезка 14.1.
Налоговая
система
России
На фоне большого количества налогов, фискальной направленности налоговой системы (т. е. ее ориентации прежде всего на увеличение доходов государства, а не на регулирование экономики) и ее изменчивости (частое изменение величин ставок и порядка их уплаты, а также видов налогов) эти особенности делают налоговую систему весьма несовершенной, она оказывает негативное влияние на развитие экономики. Следовательно, необходимы серьезные реформы налоговой системы РФ. Важнейшим их этапом должно стать принятие Налогового кодекса Российской Федерации. В соответствии с его проектом (см. табл. 14а) предусматриваются, в частности, следующие изменения в налоговой системе России:
а) общее сокращение (с 44 до 31) видов налогов, сборов и других платежей; их унификация;
б) отмена налогов и других платежей, нарушающих единство экономического пространства РФ;
в) минимизация имеющих целевую направленность налогов.
импортные пошлины. Таможенные пошлины часто причисляются к потребительским налогам1.
В табл. 14.1 представлены величины поступлений самых важных налогов в ФРГ в 1960, 1970, 1980 и 1994 гг. в абсолютном выражении и в процентах от общего поступления налогов.
Анализ свидетельствует, что самая большая доля в общем поступлении налогов к федерации, землям и'муниципалитетам принадлежит подоходному налогу с физических лиц, за которым следует налог на добавленную стоимость. Динамика поступлений налогов была такова, что роль подоходного налога постоянно возрастала, а значение налога с добавленной стоимости и других важных налогов с оборота или потребительских налогов, напротив, снижалось. Среди подоходных налогов с физических лиц важнейшим выступает налог на зарплату, обременяющий доходы наемных работников. Доля других видов подоходного налога с физических лиц, взимаемых в соответствии с декларациями о доходах в конце года, значительно сократилась (1960 г. — 13,1 %; 1994 г. — 3,5 %), в то время как доля налога на зарплату возросла с 11,8 % (1960 г.) до 36,3 % (1994 г.).
2.1.2. Распределение налоговых поступлений
Так как возможность выполнения задач государственных органов разных уровней зависит от находящихся в их распоряжении средств, распределение отдельных налогов между федеральными землями и муниципалитетами имеет особое значение. Его пропорции регулируются ст. 106 Конституции ФРГ. Распределение налоговых поступлений в ФРГ представлено в табл.14.1. Прежде чем анализировать данные таблицы, обратим внимание на то, что таможенные пошлины как национальный источник доходов практически уже не имеют значения, так как они на 100 % принадлежат Европейскому Союзу.
Как уже было отмечено, самую большую долю в поступлении налогов в ФРГ имеют подоходный налог с физических лиц, налог на прибыль (с юридических лиц) и налог на добавленную стоимость (включая налог на ввоз товаров). Эти налоги являются «общими налогами» ипринадлежат — за исключением 15 %-ной(12 %-ной)доли муниципалитетов в поступлениях подоходного налога с физических лиц (налога на проценты) — частично федерации и частично федеральным землям. Поступления подоходного налога с физических лиц (после вычитания доли муниципалитетов) и налога на прибыль делят пополам федерация и федеральные земли. Доли федерации и федеральных земель в налоге с оборота устанавливаются в федеральном законе с одобрения Совета Федерации. С 1995 г. доля федерации составляет 56 %, доля федеральных земель — 44 %. Доля федеральных земель была повышена на 7 пунктов в соответствии с высокой потребностью новых федеральных земель в финансовых средствах. «Общим налогом» (т.е. достающимся государственным органам разных уровней) является также промысловый налог, 15 % которого примерно поровну делят федерация и федеральные земли, в то время как 85% получают муниципалитеты. Доля федерации во всех налоговых поступлениях в 1994 г. составляла 49,2 %, доля федеральных земель — 33,4 %, а доля муниципалитетов — 12,2 %.
'В Германии сегодня все таможенные пошлины являются доходами бюджета Европейского Союза (ЕС).
Таблица 14.1
Поступления важнейших налогов в ФРГ в 1960-1994 гг. |
|
|
1960 г. 1970 г. |
1980 г. |
1990 г. |
1994 г. |
1960 г. |
1970 г. |
1980 г. |
1990 г. |
1994г.3 |
|
|
|
В DM млрд |
|
|
% от общих налоговых |
|
|
|
|
|
|
|
|
поступлении |
|
|
Подоходный |
|
|
|
|
|
|
|
|
|
|
|
налог, |
24,4 |
61,8 |
173,8 |
255,0 |
343,1 |
35,6 |
40,1 |
47,6 |
46,4 |
46,7 |
в том числе;
налог на
зарплату налог на прочие доходы физичес- |
8,1 |
35,0 |
111,5 |
177,5 |
266,5 |
11.8 |
22,8 |
30,6 |
32,3 |
36,3 |
|
ких лиц |
8,9 |
16,0 |
36,7 |
36,5 |
25,5 |
13,1 |
10,4 |
10,1 |
6,6 |
3,5 |
|
налог на |
|
|
|
|
|
|
|
|
|
|
|
прибыль |
6,5 |
8,7 |
21,3 |
30,0 |
19,6 |
9,5 |
5,7 |
5,8 |
5,5 |
2,7 |
|
налог на доходы |
|
|
|
|
|
|
|
|
|
|
|
с капитала |
0,8 |
2,0 |
4,1 |
10,8 |
31,5 |
1,2 |
1,3 |
1,1 |
2,0 |
4,3 |
|
Налог с оборота |
14,8 |
26,7 |
52,8 |
78,0 |
195,3 |
21,6 |
17,4 |
14,5 |
14,2 |
26,6 |
|
Налог на ввоз Промысловый |
1,3 |
11,3 |
40,5 |
69,5 |
40,4 |
1,9 |
7,4 |
11,1 |
12,6 |
5,5 |
|
налог |
6,7 |
10,7 |
27,0 |
38,7 |
42,3 |
9.9 |
7,0 |
7,4 |
7,0 |
5,8 |
|
Налог на нефть и нефтепродукты |
2,6 |
11,5 |
- 21,3 |
34,6 |
63,8 |
3,9 |
7,5 |
5,8 |
6,3 |
8,7 |
|
Налог на табак Налог на транс- |
3,5 |
6,5 |
11,2 |
17,4 |
20,3 |
5,2 |
4,2 |
3,1 |
3,2 |
2,8 |
|
портные средства Налог на земель- |
1,4 |
3,8 |
6,5 |
8,3 |
14,2 |
2,1 |
2,5 |
1,8 |
1,5 |
1,9 |
ный участок
Налог на имуще- |
1,6 |
2,6 |
5,8 |
8,7 |
11,6 |
2,4 |
1,8 |
1,6 |
1,6 |
1,6 |
|
CTSO |
1,1 |
2,8 |
4,6 |
6,3 |
6,6 |
1,6 |
1,9 |
1,3 |
1,2 |
0,9 |
|
Пошлины Монополия на |
2,7 |
2,8 |
4,6 |
7,1 |
7,1 |
4,1 |
1,9 |
1,3 |
1,3 |
0,9 |
|
коньяк |
1,0 |
2,2 |
3,8 |
4,2 |
4,9 |
1,5 |
1,4 |
1,1 |
0,8 |
0,6 |
|
Налог с фонда оплаты труда1 |
0,6 |
1,3 |
0,8 |
|
|
1,0 |
0,9 |
0,2 |
|
_ |
|
Налог на пиво |
0,7 |
1,1 |
1,2 |
1,3 |
1,8 |
1,0 |
0,8 |
0,3 |
0,2 |
0,2 |
|
Всего |
68,6 |
154,1 |
364,9 |
549,6 |
734,2 |
100,0 |
100,0 |
100,0 |
100,0 |
100,0 |
|
Схема 14.2. Распределение налогов в ФРГ
Согласно ст. 106 Конституции ФРГ налоговые поступления принадлежат: |
|
Федерации |
Федерации и федеральным землям
совместно |
Федеральным
землям |
Местным органам власти (муниципалитетам) |
|
а,) Федеральные |
а) Общие налоги |
а)Налоги феде- |
а) Налоги мест- |
|
налоги |
Налог на зарплату |
ральных земель |
ных органов |
|
Пошлины |
Прочие подоходные |
Налог на имущество |
(муниципалите- |
|
Налог с оборота |
налоги |
Налог на наследство |
тов) |
|
капитала |
Налог с прибыли |
Налог на приобрете- |
Промысловый |
|
Налог на страхова- |
Налог с оборота |
ние земельных |
налог2 |
|
ние |
(включая налог на |
участков |
Налог на земельный |
Вексельный налог «Надбавка солидарности»3
Сборы в рамках ЕС Потребительские налоги, за исключением налога на пиво (налог на коньяк, шипучее вино, промежуточные продукты, кофе, табак, нефть и нефтепродукты) |
ввоз)1 |
Налог на дорожные средства
Налог на пиво
Налог на лошадиные скачки и лотерею Налог на пожарную охрану
Сбор с казино |
участок
Местные потребительские налоги и
налоги на расходы (налог на содержание собак, налог на увеселительные мероприятия) |
|
б) Доля в общих |
б) Распределение |
б) Доля в общих |
б) Доля в распре- |
|
налогах |
доли промыслового |
налогах |
делении налога |
Налог на зарплату и прочие подоходные налоги (в настоящее время 42,5 %)
Налог на доходы с капитала и на прибыль (50 %) Налог с оборота (включая налог на ввоз1)
в) Доля в распределении промыслового налога(50 %)2 |
налога2 |
Налог на зарплату и прочие подоходные налоги (в настоящее время 42,5 %)
Налог на доходы
капитала и на прибыль (50%)
Налог с оборота (включая налог на ввоз1)
в) Доля в распределении промыслового налога(50
%у- |
на зарплату и прочих подоходных налогов (15%)
в) Распределение налогов на основе законов федеральных земель |
|
Примечания:
1 Доли федерации и федеральных земель устанавливаются в федеральных законах (с одобрения Совета Федерации). Они составляли в 1993 и 1994 гг. 63 % (федерация) и 37 % (федеральные земли). Кроме этого, федерация снабжает федеральные земли с недостаточными запасами финансовых средств дополнительными поступлениями, величина которых до 1994 г. включительно определялась объемом сбора налога с оборота. С 1995 г. доли определены в объеме 56 % (федерация) и 44 % (федеральные земли). Распределение
средств между федеральными землями, предпринятое по закону означает, что за счет повы шения доли федеральных земель в большей мере выигрывают новые федеральные земли.
2 Федерация и федеральные земли участвуют в сборе промыслового налога в виде распределения доли (предложения 4 и 5 ч. 6 ст. 106 Конституции ФРГ). При введении этого налога в 1970 г. их доля составляла примерно 40 % общего сбора промыслового налога. Вследствие многократного снижения этой доли, осуществлявшегося для компенсации «недопоступлений» коммунальных налогов, а также падения ставки промыслового налога с 1984 г. данный показатель составляет менее 15 %.
3 «Надбавка солидарности» составляет 7,5 % от суммы всех налоговых платежей,
которые выплачиваются западными немцами в знак «солидарности» с восточными._
Врезка 14.2.
Поступления важнейших налогов в РФ
Таблица 14а
Поступления важнейших налогов в РФ в 1995-1996 гг. (консолидированный бюджет) |
|
|
1995 г. |
1996 г. |
|
|
в трлн. руб. |
в % к сумме налоговых
доходов |
в трлн. руб. |
в % к сумме налоговых
доходов |
Налоговые доходы,
в том числе: |
437,0 |
100,0 |
558,5 |
100,0 |
|
налог на прибыль |
117,6 |
26,9 |
96,7 |
17,3 |
|
подоходный налог с |
36,6 |
8,4 |
56,6 |
10,1 |
|
физических лиц |
|
|
|
|
|
налог на добавлен- |
95,7 |
21,9 |
143,9 |
25,8 |
|
ную стоимость |
|
|
|
|
|
акцизы |
24,0 |
5,5 |
53.4 |
9,6 |
|
платежи за использо- |
12,3 |
2,8 |
21,2 |
3,8 |
|
вание природных ресурсов |
|
|
|
|
|
прочие |
150,8 |
34,5 |
186,7 |
33,4 |
|
|
Рассчитано по: Российский статистический ежегодник. М., 1997. С. 520. |
Анализ показывает, что налогу на добавленную стоимость (НДС) принадлежит самая большая доля в общем поступлении налогов в консолидированный бюджет. Причем эта доля ежегодно возрастает, в 1996 г. она составила более 25 % общей суммы налоговых доходов государственного бюджета. Одна из причин повышения роли денежных поступлений от этого налога состоит в том, что именно НДС наиболее «чутко» реагирует на инфляцию.
Следующим по значимости является налог на прибыль. Однако его значение ввиду уменьшения самой налогооблагаемой базы — прибыли российских предприятий, постепенно уменьшается. Сокращение прибылей представляет собой естественное следствие экономического спада. Как и налог на прибыль, НДС выплачивается предприятиями (однако фактически его бремя несут потребители). Акцент на изъятие доходов у предприятий коренным образом отличает налоговую систему России от налоговой системы ФРГ (и других западноевропейских стран).
И лишь третье место занимают поступления от подоходного налога с физических лиц. Низкая доля его поступлений в РФ обусловлена не только небольшой величиной его ставки (см. врезку 14.3), но и сокращением доли доходов наемных работников (см. врезку 26.1).
Таблица 146
Проект налоговой системы Российской Федерации |
|
В соответствии со ст.ст. 8, 12, 13 проекта Налогового кодекса РФ предусматривается следующая система налогов: |
|
Федеральные налоги и |
Региональные налоги |
Местные налоги и |
|
сборы |
и сборы |
сборы |
|
(1) Федеральные налоги и сборы |
К региональным налогам |
К местным налогам и |
|
устанавливаются в соответствии с |
и сборам относятся: |
сборам относятся; |
|
настоящим Кодексом и уплачиваются, |
1) региональный налог |
1) налог на землю; |
|
если иное не установлено настоящим |
на прибыль предприя- |
2) налог на имуще- |
|
Кодексом, предприятиями, организаци- |
тий; |
ство физических лиц; |
|
ями и физическими лицами, являющи- |
2) региональный подо- |
3) налог, связанный с |
|
мися налогоплательщиками по этим |
ходный налог с физиче- |
использованием |
|
налогам (сборам). |
ских лиц; |
муниципального |
|
' (2) Федеральные налоги и сборы зачисля- |
3) налог на имущество |
жилищного фонда и |
|
ются в федеральный бюджет или феде- |
предприятий (организа- |
других объектов |
|
ральные внебюджетные фонды и являют- |
ций); |
инфраструктуры |
|
ся источниками федерального бюджета |
4) региональный налог с |
города (района); |
|
(внебюджетного фонда), если иное не |
владельцев транспорт- |
4) налог на рекламу; |
|
установлено настоящим Кодексом или |
ных средств; |
5) местные лицензи- |
|
Законом о федеральном бюджете. |
5) лесной налог; |
онные сборы; |
|
(3) К федеральным налогам и сборам |
6) налог, связанный с |
6)сбор за получение |
|
относятся; |
использованием инфра- |
имущества в соб- |
|
1) налог на добавленную стоимость; |
структуры региона; |
ственностьв порядке |
|
2) акцизы на отдельные виды товаров |
7) региональные лицеи- |
наследования или |
|
и отдельные виды минерального сырья; |
зионные сборы; |
дарения; |
|
3) федеральный налог на прибыль |
8)сбор за использование |
7) курортный сбор; |
|
предприятий; |
региональной символи- |
8) налог на воду, |
|
4) налог на доходы от капитала; |
ки. |
забираемую из |
|
5) федеральный подоходный налог с |
|
водохозяйственных |
|
физических лиц; |
|
систем; |
|
6) социальный налог; |
|
9) гостиничный сбор; |
|
7) государственная пошлина; |
|
10) сбор за использо- |
|
8) таможенные пошлины и таможен- |
|
вание местной |
ные сборы;
9) платежи за право пользования |
|
символики. |
недрами,акваторией и участками морскогодна;
10) платежи на воспроизводство минерально-сырьевой базы;
11) платежи за загрязнение окружающей природной среды, размещение отходов и другие виды вредного воздействия;
12) сбор за использование государственной символики Российской Федерации;
13) федеральные лицензионные сборы. |
|
|
|
Источник: Налоговый кодекс РФ. Проект. М., 1996. С. 28-29, 32, |
|
2.1.3. Объем налогового бремени: налоговые ставки
При расчете налогового бремени для каждого экономического субъекта решающую роль играют налоговая ставка и размер (величина) объекта, подлежащего налогообложению. Выделяют налоговые ставки трех видов — прогрессивные, пропорциональные и регрессивные.
При использовании прогрессивной ставки с растущим размером объекта, подлежащего налогообложению (например, с увеличением налогооблагаемого дохода), налоговое бремя повышается сильнее, чем размер объекта налогообложения. Можно также сказать, что с ростом размера объекта налогообложения увеличивается средняя ставка налога. Иллюстрацией служит рис. 14.1: на его вертикальную ось занесена сумма налогов Т, а на горизонтальную ось — размер объекта налогообложения Y (например, доход).
Ставка налога начинается в точке 0 и затем прогрессивно возрастает. Среднее бремя находится в точке Р
2, которая определяется через Т,: Y,; здесь это соотношение выше, чем соотношение в точке Р, (с более низким доходом Y,).
Пример:
Доход Сумма налога Средняя ставка налога
Т
Yj = DM 1 тыс., Т, = DM 100, ^ = ti=10%, .
|
Т |
 |
T, = DM 250,
Y
a = DM 2 тыс.
¦b- = t
2 =12,5%
j
*2
Если в линейную налоговую ставку включить не облагаемую налогом начальную сумму, становится технически возможным достижение так называемой косвенной прогрессии. Как видно на рис. 14.2, среднее бремя при доходе Y, выше, чем при Y,.
Пример:
Доход
Сумма налога Средняя ставка налога

Y, = DM 1 тыс., Т, = DM 50, Y,

Y
a = DM 2 тыс., Т, = DM 150, Y
2
Свободная (необлагаемая) сумма — DM 500.
Как показывает рис. 14.2, превышающий свободную сумму доход облагается неизменной налоговой ставкой (например, в 10 %). Таким образом, по отношению к совокупному доходу формируется прогрессия.
О пропорциональной ставке налога говорят в тех случаях, когда среднее налоговое бремя всегда одинаково. Пример: бремя по НДС в Германии составляет в настоящее время 17 %.
Очень редко встречаются так называемые регрессивные ставки, предполагающие, что при растущем размере объекта налогообложения объем налогового бремени снижается. Экстремальным случаем является подушная подать, при которой
т
Сумма налога к
 |
Доход |
|
Рис. 14.2. Налоговая ставка, характеризующаяся косвенной прогрессией |
Свободная сумма
каждый гражданин независимо от величины его доходов должен платить определенную равную для всех налоговую сумму.
Помимо средней ставки налога, по изменению которой можно узнать вид ставки, особое значение в анализе налоговой политики имеет предельная ставка налога. Она определяет, сколько добавочного налога необходимо заплатить, если размер объекта налогообложения (например, доход) увеличивается на 1 единицу. Для самых высоких доходов предельная ставка налога часто называется верхней налоговой ставкой.
Рассмотрим использовавшиеся выше термины на примере действующей в ФРГ с 1990 г. ставки подоходного налога для физических лиц (приводимая ниже таблица составлена для холостых и незамужних) (см. также рис. 14.3).
В соответствии с этой ставкой:
¦ доход от 0 до DM 5616 марок полностью свободен от налогов (DM 5616 являются так называемой начальной необлагаемой суммой дохода),
¦ к налогооблагаемому доходу от DM 5617 до DM8153 применяется предельная ставка налога, равная 19%, т. е. с 1 % добавочного дохода необходимо заплатить налоговым органам 19 пфеннигов.
Ввиду наличия свободной суммы (облагается налогом только превышающий ее доход) создается косвенная прогрессия: при налогооблагаемом доходе в объеме DM 5,8 тыс. налог составляет DM 30, средняя ставка налога равна 30: 5800, или 0,52%; при налогооблагаемом доходе в объеме DM 8 тыс. налог составляет DM 451, средняя ставка налога равна 451 : 8000, или 5,6 %. Из-за постоянства предельной ставки налога говорят также о линейной зоне ставки подоходного налога, или (ввиду существования косвенной прогрессии, которой мы при использовании таким образом данного термина пренебрегаем, что, разумеется, некорректно) о начальной пропорциональной зоне.
¦ Налогооблагаемая сумма от DM 8154 до DM 120041 подлежит обложению в соответствии с предельной ставкой налога от 19% (при DM 8154) до 53% (при DM 120041). Вследствие линейно растущей предельной ставки налога наряду с косвенной прогрессией, обусловленной наличием свободной суммы, здесь существует прямая прогрессия: средняя ставка налога повышается от 5,9% (при DM 8154) на 33,9% (при DM 120041).
¦ Налогооблагаемый доход в DM 120042 и более подлежит обложению в соответствии с постоянной предельной ставкой налога, равной 53 %. Средняя ставка налога, начиная с 33,9 % (при DM 120042), с растущим налогооблагаемым доходом все больше сближается с предельной ставкой налога (53 %). Например, при налогооблагаемом доходе в DM 450000, средняя ставка налога составляет 47,9 %. Здесь говорят также о конечной пропорциональной области (более корректно: о второй линейной зоне налоговой ставки).
Вокруг определения высшей предельной ставки налога — так называемого верхнего налогового бремени — постоянно разворачиваются бурные политические дискуссии. До конца 1974 г. предельная ставка при подоходном налоге с физических лиц составляла 53 % (без «налога на церковь» и дополнительного сбора к подоходному налогу). В 1997 г. верхнее бремя было увеличено до 56 %. После реформы ставки налогообложения с 1990 г. верхняя предельная ставка налога снизилась до 53 %.
Определение, верхнего бремени является весьма спорным моментом, прежде всего потому, что существует граница возможного налогового обременения. Если
Ставка подоходного налога с физических лиц с 1990 г.
Налогооблагаемые доходы в год (в 1000 немецких марок) Холостые и незамужние^- 0 10 20 30 40 50 60 70 80 90 100 110 120 130
Женатые и замужние > 0 20 40 60 80 100 120 140 160 180 200 220 240 260
 |
|
Рис. 14.3. Ставка подоходного налога с физических лиц в ФРГ в 1990 г. |
Ставка подоходного налога с физических лиц с 1997 г.

0 -:-1-1-1-1-1-1-1-Ь>
0 12000 24000 36000 48000 60000 72000 84000 96000
Доход в год (в руб.)
Рис. 14а. Ставка подоходного налога с физических лиц в РФ в 1997 г.
его (верхнее бремя) увеличить, то необходимо считаться с ограничением готовности к осуществлению хозяйственной деятельности экономических субъектов. Если, например, предельная ставка налога составит 100 %, экономическому субъекту будет невыгодно — хотя бы только из-за финансовых причин — добиваться определенного уровня доходов, так как при верхней ставке налога каждый добавочно заработанный рубль должен быть отдан государству. При этом необходимо учитывать, что при высоких доходах на первый план могут выйти неденежные мотивы осуществления хозяйственной деятельности (власть, престиж), которые смягчают порождаемую высокими предельными налоговыми ставками отрицательную мотивацию.
В связи с этим необходимо указать на два обоснования введения прогрессивных ставок подоходного налога с физических лиц.
(1)Так как из-за меньшего (в сравнении с их доходом) потребления «богатые» платят относительно меньшую долю косвенных налогов (регрессивное воздействие косвенных налогов), для компенсации при платеже прямых налогов необходимо более чем пропорционально обременять их доходы.
Врезка 14.3.
Ставка подоходного налогах физических лии в РФ
Шкала налогообложения физических лиц в России по состоянию на 1997 г. (до деноминации) характеризовалась следующими особенностями(рис 14а):
а) совокупный доход (налогооблагаемая база) до 12 млн руб. облагался по ставке подоходного налога, равной 12 %;
б) при доходах от 12 млн руб. до 24 млн руб., сумма превышения облагалась ставкой, равной 20 % — при этом предыдущее условие сохраняло свою силу;
в) в тех случаях когда налогооблагаемая сумма попадала в диапазон 24 млн руб. — 36 млн руб., сумма превышения облагалась по ставке 25 % (при соблюдении двух предыдущих условий). Таким образом, здесь начинал действовать следующий принцип: после того как налогооблагаемая база достигала 24 млн руб., при каждом приросте дохода на 12 млн руб., предельная ставка налога возрастала на 5 процентных пунктов. Так, с 1 рубля добавочного дохода, превышающего 36 млн руб., необходимо было заплатить 30 коп., а когда дополнительный доход превышал 48 млн руб,, предельная налоговая ставка достигала 35 %. На этом указанный принцип переставал действовать; 35 % были максимальным значением предельной налоговой ставки, т. е. верхним налоговым бременем.
Отметим, что система подоходного налога с физических лиц в целом являлась прогрессивной: большие доходы облагались более высокими налоговыми ставками. Однако следует принять во внимание характерные для России 1990-х гг, резкое повышение степени неравенства в распределении доходов и социальное расслоение (см. врезку 26.2), Если сопоставить принятый в РФ вариант налогообложения физических лиц с германским, мы увидим, что последний характеризуется гораздо большей степенью прогрессивности: предельная ставка налога колеблется от 0 до 53%, тогда как в России этот же диапазон колебаний составляет 12-35%. Кроме того, невысокая степень прогрессивности налогообложения дохода физических лиц коррелирует с низкой степенью государственного перераспределения доходов — см. врезку 26.4.
(2) Исходя из предположения об убывающей предельной полезности денег (т. е. той полезности, которую приносит один добавочный рубль), налогообложение добавочной части дохода богатых будет менее «существенно», чем для имеющих низкие доходы лиц. Поэтому в отношении первых может быть применено прогрессивное обременение налогами в соответствии с их способностью приносить жертвы.
Необходимо отметить, что второе обоснование прогрессивной ставки подоходного налога с физических лиц, несмотря на его правдоподобность, является дискуссионным (из-за базисной предпосылки о динамике предельной полезности денег). Никому не удалось ни доказать убывающий характер предельной полезности денег, ни решить проблему ее измерения. Поскольку без привлечения нравственных оценок экономически обосновать различное налоговое бремя для отдельных групп населения невозможно, очевидно, что размер прогрессии (являющийся одним из решающих факторов воздействия налога) определяется политическими решениями.
Если речь идет о намерении применения налога как средства достижения целей экономической и финансовой политики, то важно иметь представление о его воздействии. При этом необходимо исследовать, имеет ли (и если да, то каким образом) налогооблагаемый субъект возможность избежать несения налогового бремени (т. е. имеется ли у него защита от налога).
Общеизвестно, что уклонение от уплаты налогов (Steuerhinterziehung) является незаконной, преследуемой в ФРГ Налоговым уголовным кодексом формой уменьшения суммы налога (например, с указанием неверных данных в налоговой декларации). Но уход от налога (Steuervermeidung) может быть и легитимной, а при некоторых условиях даже желательной формой сокращения суммы налога. Уход от налога определяется как ограничение размера налогооблагаемого объекта, принадлежащего налогоплательщику (осуществляемое, например, через ограничение потребления налогооблагаемых благ, через перемещение производства в «налоговые оазисы», через изменение юридической формы предприятий). При «наверстывании дохода» плательщик налога делает попытку компенсировать растущее налоговое бремя, увеличивая объем хозяйственной деятельности. «Принуждение»
Врезка 14.4.
Доля отчислений в ' государственный бюджет РФ
В России данный показатель (20 %) еще ниже, чем в США; это связано с тем, что большинство социальных выплат в России финансируется не за счет «налоговых изъятий» (собственно налогов и различных платежей в рамках системы социального страхования), а непосредственно из государственного бюджета. Иными словами, в плановом хозяйстве СССР государство непосредственно владело подавляющей частью национального дохода посредством прямого изъятия прибыли предприятий в госбюджет. Малая величина доли отчислений в современной России свидетельствует о незначительных объемах деятельности российского государства в рамках перераспределения ВВП. В будущем доля отчислений в государственный бюджет России должна возрастать. Такой рост отвечает потребностям социально-рыночной экономики.
|
Табл. 14.2. Международное сравнение доли отчислений в госбюджет (налоги и социальные отчисления в процентах от ВВП) |
|
|
1970 г. |
1980 г. |
1992 г.* |
|
Германия |
32,9 |
38,2 |
40,0 |
|
Дания |
40,4 |
45,5 |
48,9 |
|
Франция |
35,1 |
41,7 |
43,7 |
|
Япония |
19,7 |
25,4 |
30,2 |
|
Голландия |
36,7 |
44,7 |
46,7 |
|
Норвегия |
39,3 |
47,1 |
46,7 |
|
Швеция |
40,4 |
49,1 |
50,4 |
|
Швейцария |
23,8 |
30,8 |
32,4 |
|
США |
29,2 |
29,3 |
29,8 |
|
Россия |
|
|
20** |
|
|
* Данные за 1992 г. включают информацию по новым федеральным землям. **Оценка авторов на 1998 г. |
Источник: Finanzbericht. 1995. S. 343.
к такому поведению может иметь место в тех случаях, когда налогоплательщик стремится сохранить достигнутый уровень жизни или он стоит перед необходимостью выполнения относительно высоких текущих финансовых обязательств. Самым важным видом ухода от налога-является перемещение налога, означающее успешную попытку плательщика налога переложить в ходе процесса ценообразования наложенные на него налоги на других участников рынка (на своих покупателей — через более высокие цены; на своих поставщиков — через более низкие цены). При так называемых косвенных налогах (налогах, включенных в издержки, т. е. потребительских налогах, НДС и т. д.) возможность перемещения не вызывает сомнений (в отличие от случая с прямыми налогами, особенно при взимании подоходного налога с физических лиц, когда перемещение возможно только в длительном периоде).
При обсуждении вопроса о размере налогового бремени часто указывается на общеэкономическую долю налогов и общеэкономическую долю отчислений (бремя налогов и социальных отчислений). По-видимому (табл. 14.2), бремя государственных отчислений в процентах от валового внутреннего продукта является самым высоким (среди промышленно развитых стран) в скандинавских странах, в Голландии и Франции, а в Японии, Швейцарии и США — самым низким, в то время как в Германии оно находится на среднем уровне. Но достоверность подобных сравнений, из-за различий в методах расчета и особенностей разных налоговых систем и систем социального страхования представляется нам весьма проблематичной.
2.2. Другие государственные доходы
В сравнении с налогами другие доходы государства имеют лишь подчиненное значение. Под доходами от хозяйственной деятельности понимаются доходы государства, полученные за счет экономической активности государственного сектора (см, раздел 1 настоящей главы). Функция государства как носителя верховной власти при этом не имеет значения, Государственные предприятия часто не ориентированы на максимизацию прибыли, а учитывают социальные интересы по принципу покрытия издержек, что и обусловливает относительно низкие доходы от экономической деятельности государства, несмотря на значительный объем государственной собственности в промышленно развитых странах.
В то время как доходы от хозяйственной деятельности являются доходами, получаемыми в результате участия в рыночной экономике, пошлины и сборы имеют принудительный характер. Их отличие от налогов состоит в том, что государство в рассматриваемом случае предоставляет специальную «ответную» услугу (пошлины за получение паспорта или при бракосочетании; примером сборов является сбор за проведение канализации для жителей частных домов). Если пошлина уплачивается только нуждающимися в соответствующих услугах государства экономическими субъектами, то уклониться от сборов невозможно. Кроме того, большое значение имеют кредиты, которыми пользуются для покрытия дефицитов государственных бюджетов разных уровней (см. гл. 15, раздел 2). Эти кредиты также относятся к государственным доходам.
3. Государственные расходы
3.1. Распределение государственных задач
Расходы государства финансируются из доходов, которые получают разные государственные органы. Величина государственных расходов в основном определяется задачами, выполняемыми на том или ином уровне государственного управления. Распределение задач регулируется Конституцией.
Ст, 30 (функции федеральных земель) Конституции ФРГ гласит:
Исполнение государственных полномочий и выполнение государственных задач является делом федеральных земель, если в Конституции нет других распоряжений или разрешений.
В статьях Конституции ФРГ о законодательстве (ст. 70 и следующие) распределение задач установлено более точно. Согласно ст. 73, федерация имеет исключительное право на деятельность в таких, например, сферах, как отношения с иностранными государствами, военная и гражданская оборона, денежная и валютная системы, железная дорога и почта. Федерация даже имеет полномочия действовать в соответствии с конкурирующим законодательством', например в области гражданского права, Уголовного кодекса, социального обеспечения, обеспечения пострадавших в войне и их потомков, трудового права, регулирования стипендий и поддержки научных исследований.
' Конкурирующее законодательство — принцип, согласно которому то, что не делает федерация, могут делать федеральные земли. .
В том случае, если федерация не обладает исключительным правом законотворчества и если она не принимает действий при наличии конкурирующего законодательства, все государственные задачи выполняют федеральные земли. Муниципалитетам при этом необходимо предоставить право регулирования местных проблем в рамках законов и под собственную ответственность.
Несмотря на то что федеральные земли в принципе должны выполнять все государственные задачи, в ФРГ наблюдается растущая концентрация власти на уровне федерации. При решении определенных задач федерация содействует федеральным землям. Подобное содействие имеет место, если речь идет о значимых для общества задачах. Такие проекты называются общественными задачами. К ним относятся строительство учебных заведений, улучшение региональной экономической (в том числе аграрной) ситуации и финансирование береговой охраны (ст. 91а Конституции ФРГ). Необходимо обратить внимание на то, что, участвуя в решении этих общественных задач и благодаря прочим финансовым отчислениям, федерация в значительной степени влияет на величину и структуру расходов более низких уровней государственной власти. Этот аспект имеет важное значение в дискуссии о возможных издержках проведения государственных мероприятий.
Распределение задач определяет зафиксированное в ст. 104а Конституции ФРГ разделение расходов между федерацией и федеральными землями.
Ст. 104а (распределение бремени расходов) указывает:
(1) Федерация несет расходы, связанные с осуществлением ее задач, а федеральные земли — те расходы, которые обусловлены реализацией их задач.
(2) Если федеральные земли осуществляют действия по поручению федерации, последняя несет расходы, связанные с этими действиями.
3.2. Динамика государственных расходов
Динамика государственных расходов различных видов (т. е. направленных на решение разных задач) представлена в табл. 14.3. Для наглядности все цифры переведены в процентные доли. Для сравнения даны государственные расходы на душу населения, а также доля государства, т. е. доля государственных расходов в валовом национальном продукте. Однако необходимо учитывать, что расходы рассчитаны в текущих ценах. Следовательно, в приведенных нами данных содержатся некоторые, связанные с повышением цен искажения.
Кроме того, возможные изменения в методике статистических расчетов (в государственные расходы, например, включаются платежи по социальному страхованию) приводят к ограничению возможности сравнения данных во времени (например, в табл. 14.2 из-за учета расходов по социальному обеспечению с 1980 г. долевые значения изменяются). '
Обратите особое внимание на постоянный рост всех государственных расходов — как в абсолютном выражении, так и относительно национального продукта.
С началом объединения Германии расходы всех общественных бюджетов еще больше возросли и в 1993 г. они составили DM 1688 млрд немецких марок. Из этой суммы расходы на зарплату работников государственных органов составляли DM 336 млрд, на закупку материальных благ — DM 157,5 млрд, на текущие дотации — DM 338 млрд, на процентные платежи — DM 102,5 млрд, на реальные инвестиции — DM 101 млрд, на финансовую помощь — DM 83 млрд. Дополнительные расходы ведомства социального страхования составили DM 668,5 млрд. Расходы в объеме DM 130 млрд финансировались через кредиты (см. Monatsberichte derDeutschen Bundesbank. 1995. Nr. 3. S. 53).
Еще в XIX в. А. Вагнер сформулировал «закон растущего расширения государственной деятельности». Тенденция возрастания государственных расходов имеет место и в настоящее время, так как государство начинает заниматься все новыми и новыми видами деятельности (защита окружающей среды, реформа и поддержка образования, улучшение инфраструктуры, финансирование интеграции в ЕС). Даже если бы задачи оставались неизменными, в долгосрочном периоде государственные расходы все равно возрастали бы, поскольку государство как предоставляющий услуги предприниматель имеет меньше возможностей для рационализации и предъявляемый им спрос (например, на строительные услуги) «сталкивается» с сильным повышением цен.
Представленный обзор динамики государственных расходов классифицирован по сферам задач. Возможны другие классификации — по целям или по политикопрагматическим соображениям. При этом особое значение имеет систематизация
по признаку экономического воздействия и по признаку изменения производительности.
При упорядочении расходов по признаку воздействия на экономический процесс производства и распределения различаются административные услуги (плата за услуги, покупки товаров) и денежные услуги (трансфертные платежи в широком смысле). В первом случае речь идет о плате за использование услуг факторных рынков и рынков благ: расходы на зарплату рабочих и служащих государственных органов, а также расходы на текущие нужды (канцелярские расходы, издержки коммунальных служб, затраты на ремонт и на инвестиционные цели). В отличие от рассмотренных расходов при трансфертных платежах четко выделить ту или иную «ответную услугу» не представляется возможным. Здесь происходит изменение структуры платежеспособности без формирования добавочных доходов. К данной категории государственных расходов относятся как трансферты (в узком смысле) для домохозяйств (например, социальные услуги), так и пенсии и процентные отчисления. Сюда также включают дотации предприятиям (например, субсидии на мероприятия по охране окружающей среды, по сохранению конкурентоспособности, например в угольной промышленности и т. д.).
Правда, использование этой классификации не всегда однозначно: если государство приобретает земельный участок, то национальный доход не увеличивается. При предоставлении стипендии в форме ссуды трансферт происходит лишь тогда, когда государство отказывается от получения рыночных процентов.
В целом данная классификация содержит отправной пункт для оценки воздействия государственных расходов на степень достижения общеэкономических це-
Таблица 14.3
Динамика государственных расходов в ФРГ по сферам задач в DM млрд (в скобках — процентная доля в обших расходах) |
|
|
Финансовый год |
|
|
1961 |
1970 |
1980* |
1991 |
|
Национальная оборона |
13,2 |
19,8 |
40,9 |
55,5 |
|
|
(13,9) |
(10,1) |
(5,5) |
(3,8) |
|
Государственная безопасность и правоохранительная |
3,7 |
7,9 |
22,2 |
35,0 |
|
деятельность |
(3.9) |
(4,0) |
(3,0) |
(2,4) |
|
Школы, вузы и остальное образование |
8,2 |
24,8 |
73,0 |
107.8 |
|
|
(8,6) |
(12,6) |
(9,9) |
(7,5) |
|
Наука, исследования, разработки вне университетов |
1,4 |
2,8 |
9,7 |
15,0 |
|
|
(1,5) |
(1.4) |
(1,3) |
(1.0) |
|
Культурные мероприятия |
1,1 |
2,1 |
5,1 |
11,1 |
|
|
(U) |
(1,1) |
(0,7) |
(0,8) |
|
Социальное обеспечение |
22,2 |
40,3 |
339,1 |
893,5 |
|
|
(23,3) |
(20,5) |
(45,7) |
(61,9) |
|
Здравоохранение, спорт, отдых |
3,8 |
10,1 |
32,3 |
52,7 |
|
|
(4,0) |
(5,2) |
(4,4) |
(3,7) |
|
Жилищное хозяйство, регионально-пространственное |
7,6 |
10,7 |
31,2 |
20,7 |
|
планирование |
(8,0) |
(5,5) |
(4,2) |
(1.4) |
|
Поддержка экономики |
6,3 |
14,4 |
29,2 |
41,4 |
|
|
(6,6) |
(7,3) |
(3,9) |
(2,9) |
|
Транспорт и связь |
6,9 |
17,6 |
31,3 |
37,0 |
|
|
(7,2) |
(9,0) |
(4,2) |
(2,6) |
|
Прочие |
20,9 |
45,7 |
126,6 |
173,2 |
|
|
(21,9) |
(23,3) |
(17,1) |
(12,0) |
|
Итого |
95,3 |
196,3 |
741,3 |
1442,9 |
|
|
(100,0) |
(100,0) |
(100,0) |
(100,0) |
|
Для справки: |
|
|
|
|
|
Государственные расходы на душу населения (в |
1696 |
3194 |
12042 |
17830 |
немецких марках)
Валовой национальный продукт (в немецких марках) |
332,6 |
675,7 |
1485,2 |
2882,0 |
|
Доля государства = доля государственных расходов в валовом национальном продукте |
28,6% |
29,1% |
49,9% |
50,1% |
|
*В 1974 г. — включая социальное страхование, коммунальные целевые союзы, а также расходы, связанные с деятельностью Европейского Сообщества.
С 1979 г. — включая коммунальные и государственные больницы.
Источник: Statistisches Jahrbuch der Bundesrepublik Deutschland (разные годы).
лей, причем особое значение имеет влияние на совокупный спрос различных видов государственных расходов (мультипликационный эффект).
При классификации государственных расходов по признаку изменения производительности, как и в предыдущем случае, проводится различие между расходами на товары и услуги, с одной стороны, и трансфертными платежами — с другой. Расходы на товары и услуги представляют собой инвестиции в об-
разование реального капитала (материальная инфраструктура), расходы на создание и сохранение нематериального капитала (личная инфраструктура, сфера образования) и на формирование институциональной инфраструктуры (например, расходы на правовую систему). Все эти расходы имеют особое значение в контексте общеэкономического повышения производительности. Кроме того, к этой первой категории принадлежит государственное потребление, т. е. текущие материальные и нематериальные расходы, а также расходы на военные цели. Государственные «потребительские» расходы не вносят особого вклада в повышение производительности.
К трансфертным платежам относятся социальные трансферты, процентные отчисления по государственному долгу, дотации и, наконец, финансовые инвестиции (долевое участие в акционерных компаниях). Эти расходы также прямо не влияют на повышение производительности.
Врезка 14.5.
Государственные расходы в России
Динамика государственных расходов в РФ по сферам задач в млрд. руб. (в скобках — процентная доля от обших расходов)
|
Таблица 14в |
|
|
|
Финансовый год |
|
|
|
1992 |
1993 |
1994 |
1995* |
1996* |
|
Народное хозяйство |
2058,7 |
16186,2 |
64036,0 |
57,6 |
64,1 |
|
(34,5) |
(28,1) |
(27,8) |
(11,8) |
(9,8) |
|
Социально-культурные мероприятия |
1383,1 |
14336,6 |
55684,9 |
129,1 |
188,4 |
|
|
(23,2) |
(24,9) |
(24,2) |
(26,6) |
(28,9) |
|
Содержание органов государственной |
351,1 |
4200,2 |
18082,2 |
39,1 |
56,4 |
|
власти(управления и правопорядка) |
(5,9) |
(7,3) |
(7,8) |
(8,1) |
(8,6) |
|
Национальная оборона |
855,3 |
7212,5 |
28499,6 |
49,6 |
63,9 |
|
|
(14,3) |
(12,5) |
(12,4) |
(10,2) |
(9,8) |
|
Внешнеэкономическая деятельность |
416,7 |
2773,0 |
4949,4 |
27,3 |
26,7 |
|
|
(7,0) |
(4,8) |
(2,1) |
(5,6) |
(4,1) |
|
Прочие расходы |
904,6 |
12965,5 |
59132,9 |
183,4 |
253,2 |
|
|
(15,1) |
(23,4) |
(25,7) |
(37,7) |
(38,8) |
|
Итого: |
5969,5 |
57674,0 |
230385,С |
486,1 |
652,7 |
|
|
(100,0) |
(100,0) |
(100,0) |
(100,1) |
(100,0) |
Для справки:
¦ Государственные расходы на душу |
40,1 |
387,8 |
1552,4 |
3277,8 |
4227,7 |
населения (в тыс. руб.)
¦ Валовой внутренний продукт (в млрд |
19005,5 |
171509,5 |
610,7* |
1630,1* |
2256,1* |
руб.)
¦Доля государства (равна доле государ- |
31,4 |
33,6 |
37,7 |
29,8 |
28,9 |
|
ственных расходов в валовом внутреннем продукте) |
|
|
|
|
|
|
* В трлн руб.
Источник: Российский статистический ежегодник. М., 1997. С. 304, 519, 520. |
Описанный способ классификации является спорным по следующим причинам.
(1) Нелегко определить величину «производительности» государственных расходов. Для этого необходимо провести неосуществимое на практике сравнение с общественной ценностью альтернативного (частного) использования благ.
(2) Согласно господствующему мнению, в сравнении с инвестиционными расходами государства потребительские расходы имеют меньшую ценность. Даже если исходить из того, что государственные расходы потребительского характера в народнохозяйственном смысле не всегда разумны, очевидно, что инвестиции при их «полном» осуществлении повлекут за собой потребительские расходы (последующие издержки): Чем выше государственный запас капитала, тем большую смету необходимо составлять для текущих (потребительских) расходов.
На основе данных табл. 14в можно вывести ряд важных заключений относительно структуры государственных расходов в России и их доли в ВВП, а также изменения этих показателей. Прежде всего следует отметить уменьшение доли расходов на народное хозяйство (примерно в 3,5 раза). Большая доля таких расходов была наследством социалистической системы, когда главной функцией государства, выступавшего непосредственным собственником средств производства, являлось обеспечение и поддержание народнохозяйственного развития в целом. Быстрое (абсолютное и относительное) сокращение этого вида расходов отражает процессы изменений, происходящие в российском народном хозяйстве. Индикатором данных процессов является также уменьшение расходов на национальную оборону и внешнеэкономическую деятельность. Сокращение военных расходов означает структурную перестройку экономики, а точнее, один из ее элементов — конверсию, т. е. переориентацию бывших военных предприятий на производство продукции «гражданских» отраслей.
Необходимо учитывать, что при социализме доля «военного сектора» в национальном производстве была чрезвычайно высокой (по сравнению с промышленно развитыми странами). Падение же государственных расходов на внешнеэкономическую деятельность свидетельствует об уходе государства из этой сферы и предоставлении возможностей частному сектору. Рост расходов на социально-культурные мероприятия показывает, что государственный бюджет постепенно становится все более социально ориентированным, хотя доля расходов на «социальные статьи» в промышленно развитых странах, как правило, на 15-20 процентных пунктов выше. Что касается увеличения расходов на содержание органов государственной власти (управления и правопорядка), то это связано с переходом к рыночной экономике и демократическому устройству общества. Наконец, отметим это особо, за 1990-е гг. в целом произошло небольшое сокращение доли государственных расходов в ВВП, в результате чего данный показатель в 1996 г. составил менее 30 %. Практически в любой западноевропейской стране (включая Германию) доля расходов государства в ВВП примерно на 20 процентных пунктов выше. Это означает, что российское государство выполняет меньше экономических функций (связанных с социальной защитой населения, производством общественных благ и т. д.), чем власти в любой европейской промышленно развитой стране.
(3) Неизвестно, какие из расходов государства имеют инвестиционный характер. Политические соображения диктуют стремление определить термин инвестиции как «можно уже». Таким образом, делается попытка ограничения получения кредита государством, объем которого в соответствии с Конституцией ФРГ не может превышать совокупные инвестиционные расходы госбюджета за один год. Данное ограничение приводит к неудовлетворительным результатам, и прежде всего в области образования, так как строительство школ и университетов является видом инвестиций, а зарплата профессорско-преподавательского состава классифицируется как государственное потребление. Но ведь деятельность профессорско-преподавательского состава в целом оказывает инвестиционное воздействие на «человеческий капитал».
Список основных понятий
¦ Государственные органы
¦ Фонды социального страхования
¦ Налоги
¦ Общие налоги
¦ Прогрессивная ставка налога
¦ Косвенная прогрессия
¦ Пропорциональная ставка налога
¦ Регрессивная ставка налога
¦ Предельная ставка налога
¦ Верхняя налоговая ставка
¦ Налог на добавленную стоимость
¦ Налог на прибыль
¦ Подоходный налог
¦ Линейная зона ставки подоходного налога
¦ Вторая линейная зона налоговой ставки в Германии
¦ Верхнее бремя налога
¦ Неденежные мотивы осуществления хозяйственной деятельности
¦ Регрессивное воздействие косвенных налогов
¦ Уклонение от уплаты налогов
¦ Уход от налога
¦ Наверстывание дохода
¦ Перемещение налога
¦ Доля налогов
¦ Доля отчислений в госбюджет
¦ Пошлины
¦ Сборы
¦ Исключительное право
¦ Конкурирующее законодательство
¦ Общественные задачи
¦ Доля государства
¦ Административные услуги
¦ Денежные услуги
¦ Трансфертные платежи
¦ Государственные расходы на товары и услуги
¦ Государственное потребление
 |
|
шт^^шжтштттшітшштшттттішмшгш». |
ШШ1ШВШ1ВНШ1ШНВИВ
опросы*и задания*лля* повторения»
¦ доходы государства от хозяйственной деятельности;
¦ общественные задачи.
2) Назовите самые важные для Российской Федерации виды налогов (поступающие федерации, республикам и областям и местным органам власти). Разумно ли, по вашему мнению, такое разграничение?
3) Опишите, при каких условиях ставка налога является:
¦ пропорциональной;
¦ прогрессивной;
¦ регрессивной. .
¦ Как технически можно преобразовать пропорциональную налоговую ставку в прогрессивную ставку?
4) Объясните знакомые вам виды защиты от налогов.
5) Какие проблемы возникают при высокой предельной налоговой ставке?
6) Как бы вы обосновали необходимость прогрессивного подоходного налога с
физических лиц? '
7) Современное распределение задач между федерацией и федеральными землями (в России — между федерацией и областями и республиками) основывается на принципе федерализма. Какие задачи вы перераспределили бы на основе другого принципа?
8) Растущая доля государственных расходов в национальном продукте влияет на соотношение между частным и общественным потреблением. Каково ваше видение и оценка этой связи?
9) Как можно объяснить долгосрочный относительный рост государственных расходов (измеренных как процентная доля в валовом национальном продукте)?
10) Обсудите разные способы классификации общественных расходов.

шшттттшш№тшштттшштш№шшж$шшшшятшт:
¦ Одна из первых работ по теории и практике налогообложения — «Трактат о налогах и сборах» была написана экономистом XVII в. В. Петти; ее можно найти в книге: Антология экономической классики. В. Петти, А. Смит, Д. Рикардо. М., 1993.
¦ Рекомендуем учебное пособие, посвященное проблематике государственного бюджета в Российской Федерации:
Баранова Л. Г., Врублевская О. В., Косарева Т. Е., Юринова Л. А. Бюджетный процесс в Российской Федерации: Учебное пособие. М., 1998.
¦ Подробный анализ различных аспектов, связанных с образованием государственных доходов через налоговую систему, можно найти в монографии:
Стиглиц Дж. Ю. Экономика государственного сектора. М., 1997.
¦ В качестве продвинутого учебника по экономической теории государственного сектора можно порекомендовать следующую книгу:
Аткинсон Э. Б., Стиглиц Дж. 3. Лекции по экономической теории государственного сектора. М., 1995.
¦ Хорошим учебником по налогообложению, содержащим глубокий теоретический анализ данной проблематики, является следующая книга:
Юткина Т. Ф. Налоги и налогообложение: Учебник. М., 1998.
¦ Широкий анализ специфики налоговых систем различных стран мира и аспектов, связанных со становлением налоговой системы России, содержится в следующей книге:
Черник Д. Г., Починок А. П., Морозов В. П. Основы налоговой системы. М., 1998.
¦ Подробное рассмотрение формирования и функционирования бюджетной системы России содержится в учебнике:
Бюджетная система Российской Федерации: Учебник / Под ред. М. В. Романовского
и О. В. Врублевской. М., 1999.
Глава 15
ГОСУДАРСТВЕННЫЙ БЮДЖЕТ И ГОСУДАРСТВЕННЫЙ ДОЛГ — ОСНОВЫ СОЦИАЛЬНОГО ОБЕСПЕЧЕНИЯ

Что такое государственный бюджет и какие принципы необходимо соблюдать при его формировании?
¦ Что понимается под бюджетным планом?
¦ Какой кругооборот совершается бюджетом?
¦ Какие принципы действуют при составлении бюджетного плана?
¦ Какую структуру имеет бюджетный план ФРГ?
Какие проблемы возникают в связи с кредитным финансированием бюджета?
¦ Какова динамика государственного долга в ФРГ (и в Российской Федерации)?
¦ Существуют ли юридические и экономические ограничения объема государственного долга?
На каких основных принципах базируется система социального обеспечения в ФРГ (и в РФ)?
¦ Почему необходимо социальное обеспечение?
¦ Должно ли социальное обеспечение осуществляться за счет личных средств граждан или же оно должно финансироваться из общественных фондов?
¦ В чем состоит принцип социальности?
В чем состоят характеристики системы социальной зашиты в ФРГ (и в РФ)?
¦ Кто принадлежит к кругу застрахованных?
¦ Как организовано финансирование?
¦ Какие виды услуг предусмотрены?

Анализу

1. Государственный бюджет
Государственный бюджет (бюджетный план) содержит перечень запланированных (ожидаемых) доходов и запланированных (ожидаемых) расходов. Перечень запланированных доходов и расходов местных органов власти в Германии принято называть бюджетным уставом. В отчете каждой федеральной земли в конце финансового (бюджетного) периода (как правило, он длится год, иногда — два года) сводятся фактические результаты исполнения бюджета. Построение бюджета в соответствии с демократическими нормами предполагает соблюдение некоторых требований. Принцип публичности означает, что все фазы кругооборота были «открытыми» и каждый заинтересованный гражданин мог с ними ознакомиться. Кругооборотом бюджета называется законодательно утвержденный «путь бюджета». В нем можно выделить три фазы:
(1) составление бюджетного плана,
(2) исполнение,
(3) контроль и одобрение бюджетных действий.
В первой фазе движение бюджетного плана начинается с того, что отдельные министерства подают свои заявки Министерству финансов (в виде смет). Министр финансов проверяет представленные сметы и составляет (учитывая финансовые возможности государства, которые в большинстве случаев определяются на основе прогнозирования будущих налоговых поступлений) план бюджета, который поступает в Кабинет министров. Здесь план проверяется, при необходимости в него вносятся корректировки (причем министр финансов подчиняется только Федеральному канцлеру) и затем представляется как проект закона о бюджете законодательным органам: Бундестагу (т. е. парламенту) и Совету Федерации (причем одобрения Бундесрата, как правило, не требуется). После принятия плана бюджета Бундестагом (которое завершает предварительные «чтения») проект приобретает силу закона. При исполнении бюджетного плана Федеральное правительство обязано выполнять решения законодателей («привязка» исполнительной власти к законодательной). Но Федеральное правительство осуществляет соответствующие расходы только в том случае, когда они легитимизированы другими специальными законами (например, Законом о заработной плате государственных служащих). Если необходимо превышение запланированных расходов, оно осуществляется на особой законной основе. Контроль за исполнением (плана) государственного бюджета осуществляется в двух видах — «сопровождающего» (begleitende) и «последующего» (nachfolgende) контроля. Особое значение имеет «последующий» контроль, который проводится Федеральной счетной палатой — независимым, постоянно действующим органом государственного финансового контроля. При «последующем» контроле этот орган составляет отчет о результатах ревизии, который становится основой проведения парламентского контроля.
Кругооборот бюджета заканчивается одобрением Бундестагом и Советом Федерации бюджетных действий правительства.
Аналогичным целям служат также бюджетные принципы ясности и точности. Особую роль приобрел принцип специальности, согласно которому одобренные расходы могут быть осуществлены только в заранее обусловленных размерах только на определенные цели и только в предназначенный период. Чтобы ускорить исполнение бюджета (также и по причине конъюнктурной политики), из «принципа специальности» сделано много исключений.
На рис. 15.1 в обобщенном виде представлена структура федерального бюджета ФРГ 1994 г. Рисунок показывает, что в 1994 г. 78,3 % общих расходов в объеме DM 480 млрд были профинансированы налогами; лишь 7,3 % доходов получено от хозяйственной деятельности государства (например, прибыль федеральной по-
Расходы
(сумму расходов необходимо уменьшить на 5 млрд немецких марок, поскольку имело место секвестирование бюджета)
Дотации и субвенции
Доходы |
 |
Федеральный
долг
Транспорт
Общая
финансовая
администрация |
Инвестиции Расходы на оборону' Расходы на оплату ’ труда занятых в государственном секторе ¦
Расходы на управление' Обслуживание долга"
Труди социальные проблемы
Налоги и сборы Доходы администрации и прочие доходы Чистая новая задолженность
Отдельные виды расходов млрд DM с сокращением в январе 1994 г.
30,3 Прочие - 8,3 Финансирование деятельности МВД 10,5 Строительство 13,1 Сельское хозяйство '13,8 Экономика 14,0 Снабжение
15,4 Образование и исследования Семья и престарелые
Рис. 15.1. Федеральный бюджет ФРГ в 1994 г. в DM млрд
Врезка 15.1.
Федеральный бюджет Российской
Таблица 15а
Федеральный бюджет РФ в 1996 г. |
|
Статьи бюджета |
В трлн руб |
В процентах от ВВП |
|
Доходы |
281,9 |
12,5 |
|
В том числе: |
|
|
|
Налоговые доходы |
218,7 |
9,7 |
|
в том числе: |
|
|
|
налог на прибыль |
32,5 |
1,4 |
|
подоходный налог с физических лиц |
5,1 |
0,2 |
|
налог на добавленную стоимость |
101,8 |
4,5 |
|
акцизы |
45,3 |
2,0 |
|
Неналоговые доходы |
42,2 |
1,9 |
|
в том числе: |
|
|
|
от внешнеэкономической деятельности |
16,9 |
0,7 |
|
от продажи государственного имущества |
0,8 |
0,0 |
|
от реализации государственных запасов |
17,7 |
0,8 |
|
от целевых бюджетных фондов |
22,9 |
1,0 |
|
Расходы |
356,2 |
15,8 |
|
В том числе: |
|
|
|
государственное управление |
5,4 |
0,2 |
|
международная деятельность |
26,7 |
1,2 |
|
национальная оборона |
63,9 |
2,8 |
|
правоохранительная деятельность и безопасность |
28,5 |
1,3 |
|
хозяйственная деятельность* |
34,7 |
1,6 |
|
социально-культурные мероприятия |
27,5 |
1,2 |
|
Дефицит |
74,3 |
3,3 |
|
* Расходы на промышленность, энергетику, строительство, сельское хозяйство и рыболовство.
Источник: Российский статистический ежегодник. М., 1997. С. 520. |
Табл, 15а иллюстрирует объем и структуру федерального бюджета РФ (по состоянию на 1996 г.). Прежде всего необходимо обратить внимание на то, что, как и федеральный бюджет ФРГ, бюджет РФ дефицитен: расходы федеральных властей превышают их доходы. Кроме того (опять-таки, как и в ФРГ), доходы федерального правительства формируются главным образом за счет налогов. Однако если в промышленно развитых странах (включая ФРГ) большая часть налоговых поступлений обеспечивается за счет средств от подоходного налога, т. е. за счет налоговой нагрузки на физические (частные) лица, то в РФ доминируют налоги на добавленную стоимость и на прибыль. Иными словами, в России налоговая нагрузка падает в основном на предприятия, что снижает стимулы к предпринимательской активности, инвестициям и инновациям. Поэтому многие экономисты говорят о необходимости налоговой реформы, которая позволила бы приблизить российскую налоговую систему к стандартам развитых государств. Следует также отметить, что в РФ большая часть расходов приходится на национальную оборону. Это отчасти свидетельствует о большой роли военного производства в российской экономике, что является наследством плановой экономической системы.
чты, дивиденды от паевых участий государства в предприятиях), и 14,4 % общих доходов финансировались «чистым» кредитом (новые кредиты минус возвращенные кредиты). В расходах доминируют расходы на труд и социальные мероприятия в размере 27,1 %, за ними идут расходы на федеральный долг (14 %). Расходы на национальную оборону составляют 10,2 % общих расходов. Доля выделяемых расходов на образование, науку (фундаментальную и прикладную) й исследования считается слишком малой (поскольку Германия в большом объеме экспортирует новые технологии).
2. Государственный долг
2.1. Динамика государственного долга
При планировании государственных расходов и доходов получить сбалансированный по доходам и расходам бюджет удается достаточно редко. В конце 1950-х гг. федеральный бюджет Германии сводился с избытками, которые хранились на счетах Центрального банка. Сегодня, наоборот, как правило, государству приходится получать кредиты для выравнивания бюджета. Табл. 15.1 показывает динамику долгов государственных органов различных уровней в ФРГ.
Динамика государственного долга в ФРГ отражает некоторые особые тенденции.
¦ Он увеличивался в течение всего периода с 1950 по 1994 г.; особенно сильным был прирост в последние десятилетия: с 1980 по 1994 г. общий долг вырос более чем в 3 раза.
¦ Доля федерации в общем долге выросла более чем на 50 % (включая фонды «Немецкое единство» и «Возврат кредитов»).
¦ Распределение и изменение задач отражаются и в данных, относящихся к федеральным землям. В середине 1960-х гг. их доля довольно сильно снизилась, а затем немного возросла.
¦ Задолженность муниципалитетов достигла относительного пика в начале 1970-х гг. С этого времени их доля уменьшилась — прежде всего за счет улучшений в области финансового обеспечения муниципалитетов в ходе финансовой реформы, и составляет примерно 12 % от общей задолженности. Однако «финансовые потребности» муниципалитетов, которые не имеют права «перешагнуть» верхнюю границу задолженности, устанавливаемую правительствами федеральных земель, отражаются в приводимых нами данных только относительно.
¦ Появились две новые категории: фонды «Немецкое единство» и «Возврат кре-1 дитов» (их деятельность связана с принятием на себя долгов государственного бюджета бывшей ГДР и с обязательствами по отношению к фонду компенсации «обмена валюты»). Впоследствии необходимо считаться с дальнейшим ростом долга этих двух фондов. Задолженность Ведомства по управлению имуществом {Treuhand) (на конец 1994 г. — DM205 млрд) здесь не учитыва-
ется, хотя ее необходимо «отнести на счет» федерации. Между прочим, из-за этого снижается и процентная доля федеральных земель и муниципалитетов.
¦ Хотя в последние годы удалось уменьшить объем получаемых федерацией годовых чистых кредитов, это стало возможным лишь благодаря направляемой федеральному правительству прибыли Бундесбанка (с 1981 г.), федерации были переданы следующие объемы прибыли (в DM млрд): с 1981 по 1990 г.— в совокупности 83,3; в 1991 г. — 8,3; в 1992 г. — 14,5; в 1993 г. — 13,1; в 1994 г. — 18,3; в 1995 г. — 10,2. Возможно, что поступление прибыли Бундесбанка оказало негативное воздействие на предпринимаемые правительством ФРГ усилия по консолидации бюджета.
2.2. Ограничения суммы государственного долга
Рассмотрим вопрос об ограничениях суммы государственного долга. Прежде всего необходимо отметить, что государству для получения каждого кредита необходимы законные полномочия, которые, как правило, являются составной частью плана государственного бюджета и основываются на ст. 115 Конституции ФРГ.
Согласно ч. 1 ст. 115 Конституции ФРГ, получение кредитов и принятие на себя поручительств, которые могут привести к расходам в будущие бюджетные годы, невозможно осуществить без предусмотренных федеральным законом полномочий. Доходы в форме кредитов не должны превышать сумму установленных в плане бюджета расходов на инвестиции; исключения возможны лишь относительно тех расходов, которые направлены на устранение нарушений макроэкономического неравновесия.
Действующая с 1969 г. поправка к ст. 115 Конституции ФРГ свидетельствует об определенном прогрессе — в том смысле, что она отвечала необходимости регулирования конъюнктуры в рамках политики государственного долга (задолженность, соответствующая ситуации). Но институционально правовые границы могут быть изменены в любое время, так что не следует ожидать ограничения государственного долга «с этой стороны».
Вопрос об ограничениях суммы государственного долга имеет смысл только тогда, когда рассматривается экономически. Прежде всего величину государствен-, ной задолженности можно соотнести с величиной валового национального продукта. Если задолженность увеличивается пропорционально росту национального продукта, то нагрузка экономики в совокупности остается прежней. При растущем национальном продукте, а также (отчасти даже более чем пропорционально) увеличивающихся налоговых поступлениях государство имеет возможность оплатить проценты и часть основного долга (т. е. осуществить амортизацию долга) в счет погашения растущей государственной задолженности (обслуживание долга). Государственный долг оказывает неблагоприятное воздействие только тогда, когда он увеличивается значительно быстрее, чем возрастают национальный продукт и налоговые поступления. Однако необходимо учитывать конкретную экономическую ситуацию. Если дополнительная государственная задолженность направлена на борьбу с рецессией, получение государственного кредита является даже необходимым, так как он позволяет финансировать дополнительные государственные расхо-
|
Таблица 15.1. Структура государственного долга Федеративной Республики Германии (на коней года, в DM млрд и в % от обшей задолженности) |
|
Год |
Всего |
Федера
ция |
Феде
ральные
земли |
Муни
ципали
теты |
Федеральная железная дорога. Фонд Программы восстановления Европы* |
Фонд
Немец
кого
Единства |
Фонд
кредитова
ния |
|
1950 |
20,6 |
7,3 |
12,8 |
0,5 |
_ |
_ |
_ |
|
1955 |
40,9 |
17,9 |
15,5 |
4,7 |
2,8 |
— |
_ |
|
1960 |
51,2 |
22,6 |
14,7 |
11,2 |
3,7 |
_ |
_ |
|
1965 |
82,5 |
33,0 |
17,0 |
25,8 |
6,7 |
— |
_ |
|
1970 |
125,9 |
47,3 |
27,9 |
40,3 |
10,4 |
— |
_ |
|
1975 |
250,8 |
108,5 |
67,0 |
68,8 |
6,5 |
_ |
_ |
|
1980 |
469,1 |
232,3 |
137,3 |
96,2 |
3,3 |
_ |
_ |
|
1985 |
760,2 |
390,8 |
247,4 |
113,7 |
8,3 |
— |
— |
|
1990 |
1 052,5 |
542,2 |
328,5 |
124,9 |
9,5 |
19,8 |
27,6 |
|
1994 |
1 653,7 |
712,5 |
469,6 |
181,0 |
99,3 |
89,2 |
102,4 |
|
1950 |
100 |
35,3 |
62,3 |
2,4 |
_ |
_ |
_ |
|
1955 |
100 |
43,6 |
37,9 |
11,4 |
7,1 |
— |
— |
|
1960 |
100 |
43,3 |
28,2 |
21,4 |
7,1 |
— |
— |
|
1965 |
100 |
39,8 |
21,0 |
31,1 |
8,1 |
— |
— |
|
1970 |
100 |
37,6 |
22,1 |
32,0 |
8,3 |
— |
— |
|
1975 |
100 |
43,3 |
26,7 |
27,4 |
2,6 |
— |
— |
|
1980 |
100 |
49,5 |
29,3 |
20,5 |
0,7 |
— |
— |
|
1985 |
100 |
51,4 |
32,5 |
15,0 |
1,1 |
— |
' - |
|
1990 |
100 |
51,5 |
31,2 |
11,9 |
0,9 |
1,9 |
2,6 |
|
1994 |
100 |
43,1 |
28,4 |
10,9 |
6,9- |
5,4 |
6,2 |
|
Данные по муниципалитетам за 1994 г. являются предварительными.
*Фонд Программы восстановления Европы — European Recovery Program (ERP) — создан в 1953 г. как особое имущество федерации за счет средств, предоставленных США, в том числе за счет фонда Маршалла для восстановления немецкой экономики после Второй мировой войны. Из этого имущества предоставляются долгосрочные льготные инвестиционные кредиты для различных целей, связанных с экономическим развитием.
С 1990 г. — включая восточно-германские федеральные земли и муниципалитеты. Источник-. Monatsberichte der Deutschen Bundesbank. 1995. April. S. 56 ff.
ды (воздействие на занятость). Средства для погашения задолженности могут быть получены из увеличившихся налоговых поступлений после преодоления экономического спада. Получаемые государством кредиты могут быть ограничены только высокими процентами и значительными величинами амортизации долга. Мы имеем в виду федеральные земли, так как сама федерация сравнительно легко может получить собственные доходы (налоги). В федеральном бюджете 1994 г. процентные отчисления в счет погашения федерального долга составили DM 67,1 млрд (14,4 % всех расходов). В последующие годы доля процентных отчислений, вероятно, будет возрастать и достигнет 20 %, что является «критической отметкой» так как каждая марка, которая должна быть израсходована на процентные отчисления, не может быть направлена на другие цели (строительство школ, охрану окружающей среды,
административные услуги и т. д.). В этом случае дееспособность федеральных органов будет очень сильно ограничена. '
Предел может быть достигнут и тогда, когда за счет получения государством кредита постепенно вытесняется частный спрос на инвестиционные блага (см. гл. 12).
Увеличение спроса государства на кредит приводит при прочих равных условиях к росту процентных ставок на рынке капитала. Если частные инвестиции являются эластичными по процентной ставке, ее повышение сокращение частных инвестиций в будущем. Согласно этой вновь описанной гипотезе вытеснения, государственные расходы, финансируемые кредитом, имеют более низкую общеэкономическую производительность, чем частные инвестиции. Таким образом, ответ на вопрос о пределах получения кредита государством во многом определяется конкретными направлениями использования кредитных средств.
Часто выдвигается следующий аргумент: для государства не существует ограничения суммы государственного долга, оно фактически (в большинстве стран и по закону) может в неограниченном количестве само печатать деньги. Это юридически правильно и возможно (хотя в ФРГ после негативного опыта финансирования обеих мировых войн «доступ» правительства к Центральному банку существенно затруднен и в принципе до 1994 г. было возможно получение лишь кассовых кредитов)2. С другой стороны, экономическим ограничением данной практики выступает вызванное увеличением денежной массы ускорение инфляционного процесса (см. гл. 25).
Далее, при получении кредита государством имеет значение различие между внутренним долгом (отечественным кредиторам) и внешним долгом (иностранным кредиторам). Если же обслуживание внутреннего долга должно происходить в национальной валюте, то внешний долг предоставляется обычно в иностранной валюте, так что его обслуживание осуществляется в деньгах (в девизах), которые не может создать Центральный банк страны. Они должны быть «заработаны» через экспорт товаров и услуг и/или импорт капитала (см. гл. 21). Перед данной проблемной ситуацией стоит множество развивающихся и новых индустриальных стран (НИС) (проблема международного долгового кризиса), в то время как для Германии долю внешнего долга в объеме экспорта, равную 33 % (часть этого долга была предоставлена в немецких марках), можно считать «не опасной». Государственный долг ФРГ в 1994 г. в объеме DM 20520 на душу населения (а с учетом долга Ведомства по управлению имуществом — DM 23 тыс.) является по международным меркам вполне допустимым. При этом необходимо учитывать, что в ходе валютной реформы 1948 г. немецкое государство избавилось от большинства внутренних долгов. Поскольку государственный долг имеет номинальное (а не реальное) выражение, в процессе обесценения денег (при падении их реальной ценности) государство — в некотором смысле само по себе — избавляется от части задолженности.
Врезка 15.2.
Государственный долг Таблица 156
Российской Федерации ¦ Динамика государственного долга РФ
в 1991-1997 гг.
|
Государственный долг |
1991г. |
1992 г. |
1993 г. |
1994 г. |
1995 г. |
1996 г. |
1997 г. |
Весь
в трлн руб. |
15,3 |
47,7 |
140,1 |
490,6 |
749,9- |
1059,9 |
1232,8 |
|
в процентах к ВВП |
98,0 |
60,8 |
28,4 |
38,4 |
38,2 |
44,6 |
45,1 |
|
Внутренний в трлн руб. |
1,2 |
8,3 |
15,5 |
88,4 |
191,2 |
365,6 |
501,0 |
|
в процентах к ВВП, |
84,5 |
43,5 |
9,0 |
14,5 |
11,7 |
16,2 |
18,7 |
|
в том числе деноминированный в ГКО и ОФЗ в трлн руб. в процентах к ВВП Внешний в $ млрд |
83,6 |
95,0 |
0,2
0,1
99,9 |
10,6
1,7
110,2 |
73,7
3,3
120,4 |
240,9
10,7
125,0 |
384,9
14,4
122,5 |
|
в процентах к ВВП, |
13,5 |
17,3 |
19,4 |
23,9 |
26,5 |
28,4 |
26,4 |
|
в том числе задолженность России МВФ в Змлрд |
|
1,0 |
2,5 |
4,2 |
9,6 |
12,5 |
13,2 |
|
в процентах к ВВП |
|
0,2 |
0,5 |
0,9 |
2,1 |
2,8 |
2,8 |
|
|
Источник: Экономическое развитие России в 1997 г, // Вопросы экономики. |
1998, № 3, С.142.
Динамика и структура государственного долга РФ характеризуется рядом существенных особенностей. Прежде всего необходимо указать на стремительный рост (абсолютной и относительной величин) внутреннего государственного долга РФ вследствие бурного развития рынка ГКО-ОФЗ (о том, что представляют собой эти ценные бумаги, см. врезку 17.4). ГКО сочетали в себе сверхвысокую доходность (достигавшую периодически 100 % годовых и более) и максимальную надежность, что сформировало из них едва ли не самый привлекательный экономический актив. В результате доля обслуживания государственного долга в расходах федерального бюджета возросла с 12 % в 1996 г. до 37 % за семь месяцев 1998 г. Крушение «пирамиды* ГКО стало главной причиной финансово-экономического краха в августе 1998 г.
Среди других особенностей государственного долга РФ можно отметить разнородность его внутренней части. ГКО и ОФЗ — не единственные формы государственного долга. Ими являются также «государственные гарантии* (типа кредитов коммерческих банков местным администрациям, которые гарантированы государством), задолженность по товарным чекам и товарно-целевым вкладам, обязательства Госстраха по накопительным страховым вкладам, а также задолженность, являющаяся следствием неисполнения госбюджета (долги по зарплате, социальным трансфертам и т. д.).
Динамика внешнего государственного долга РФ определялась принятием на себя Россией обязательств бывшего СССР, а также (что отражено в таблице) участием МВФ в финансировании экономических реформ в России.
Наконец, следует учитывать, что продолжающийся спад производства усугубляет
3. Основы социального обеспечения
Составным элементом социально-рыночной экономики является система социального обеспечения. Материальной основе достойной человека жизни постоянно угрожает «изменчивость всего живого» — болезни, несчастные случаи, инвалидность, материнство, многодетность, безработица, старость или потеря имущества. Возможно, у него иссякнут источники дохода (старость, безработица, потеря имущества) или возникнет ситуация, когда расходы превышают возможности их финансирования (многодетность). В других случаях (болезнь, несчастный случай, инвалидность, материнство) неблагоприятно изменяются обе стороны бюджета домашнего хозяйства: происходит уменьшение доходов и осуществляются дополнительные расходы. В описанных ситуациях необходимо оказание социальных услуг. Их задачей является обеспечение существования всех членов общества в условиях возникновения рисков для жизни. Так как в Германии 40 % социальных услуг финансируется местными органами власти, представляется целесообразным описать эту задачу во взаимосвязи с государственными доходами и расходами. Кроме того, значительная доля социальных услуг предоставляется государственными органами.
Этот раздел построен по следующему принципу: сначала мы обсудим некоторые основные принципы социального обеспечения (раздел 3.1), потом дадим краткую характеристику существующим институтам (раздел 3.2). Завершит раздел рассмотрение некоторых актуальных проблем (раздел 3.3).
3.1. Основные принципы социального обеспечения
Для обеспечения потребностей домохозяйств и в критических ситуациях жизни необходима забота о будущем. В обществе это обеспечение может быть в принципе организовано или через самозаботу по принципу индивидуализма или через коллективную заботу по принципу социальности. Основными элементами последней являются принципы страхования обеспечения и попечения (см. раздел 15.2).
Принцип индивидуализма соответствует современному обществу, в котором каждый индивид должен самостоятельно организовывать условия жизни. Такая «организация» включает заботу о «крайних случаях» (например, болезнь, безработица, инвалидность) и о событиях нормального жизненного цикла (семья, дети, старость), причем она может осуществляться через создание вкладов или заключение страховых договоров. Так как у получателей низких доходов, вероятно, недостает сбережений для самообеспечения, при неопределенности возникновения крайних случаев и их финансовых последствий полную защиту от риска предоставляет только страхование. Взнос каждого застрахованного устанавливается по индивидуальной вероятности наступления страхового случая (в этом состоит принцип эквивалентности).
Если большинство названных рисков возможно нейтрализовать страхованием, то в случаях конъюнктурной массовой безработицы и при защите от последствий войны необходимо коллективное обеспечение.
Однако принцип социальности как признак государственного обязательного страхования мотивирован не только наличием нестрахуемых рисков, но и недостаточной готовностью и неудовлетворительной способностью индивидов заботиться о будущем (в соответствии с принципом индивидуализма). Возникающую для государства распределительную задачу (она имеет отчасти также аллокативный характер) можно подтвердить следующими наблюдениями:
¦ Человек имеет склонность к недооценке будущих потребностей и ожидаемых доходов. Таким образом, недостаточную «самозаботу» о будущем необходимо восполнять обязательной заботой в соотвествии с законом.
¦ Общество заинтересовано в развитии навыков к труду отдельных людей, так как существующий человеческий капитал порождает положительные внешние эффекты. В качестве примеров поддержки трудоспособности можно привести участие государства в финансировании больниц, проведение реабилитационных мероприятий.
¦ В современных условиях трудовая деятельность сопряжена с определенными рисками (профессиональные заболевания, несчастные случаи, болезни, порождаемые нынешним уровнем развития цивилизации, технологическая безработица и т. д.), которые несут не только те, кто имеет выгоды от связанного с этой деятельностью роста благосостояния. Поэтому государству необходимо осуществлять социальную компенсацию.
¦ Получатели низких доходов часто не в состоянии проявлять необходимую заботу о будущем. Следовательно, государство должно обеспечивать минимум, необходимый для существования.
|
Забота о существовании |
 |
|
|
Законодательно обязательная государственная забота (принцип социальности) |
|
Добровольная и индивидуальная забота (принцип индивидуализма) |
 |
|
Сбережения Страхование |
 |
|
обеспечения попечения |
|
страхования |
 |
Принцип
солидарности
Рис. 15.2. Основные принципы заботы о существовании Источник: Kath, Dietmar, Art. Sozialpolitik / / in Vahlens Kompendium der Wirt-schaftstheorie und Wirtschaftspolitik. Bd 2, 5. Aufl., Miinchen, 1992. S. 431. |
Принцип
эквивалентности
Из этих наблюдений следует, что государственная политика социального обеспечения может осуществляться на основе различных принципов, и в частности принципа страхования, принципа заботы о будущем и принципа попечения. На практике социальная политика основывается на комбинации всех этих принципов.
Если принцип эквивалентности модифицируется в том смысле, что в соответствии с принципом солидарности услуги предоставляются независимо от взносов (пример: застрахованные члены семьи) и при учете социального положения застрахованного не происходит исключения рисков и услуг, применяется принцип социального страхования. Такое страхование финансируется частично за счет налогов.
Принцип обеспечения предполагает покрытие рисков не только теми, кто непосредственно с ними связан. Финансирование осуществляется из налогов и сборов. Примером могут служить обеспечение жертв войны и компенсации беженцам. В других странах (например, в Швеции и в бывшем СССР) принцип обеспечения является общей основой системы социального обеспечения, когда всем гражданам независимо от их социального положения в случае возникновения потребности (болезнь, инвалидность, старость) гарантирована единая норма обеспечения из налоговых средств.
Принцип попечения можно описать следующим образом: поводом для услуг (социальная помощь) являются «специальные нужды», т. е. существование человека должно быть достойным и тогда, когда он (даже по своей вине) попал в бедственное положение. В случае когда нетрудоспособность индивида подтверждена, а возможность привлечения обязанных обеспечить поддержку близких родственников отсутствует, каждый член общества имеет право на трансфертный (т. е, безвозмездный) платеж. Социальная помощь финансируется местными бюджетами за счет налогов.
Наряду с этими, основополагающими для ФРГ принципами важное место принадлежит принципу самоуправления, когда государство ограничивается только надзором за соблюдением правовых норм и «уступает» выполнение законных задач самоуправлению, что является также выражением косвенной парламентской демократии и соучастия граждан в управлении, 3.2. Звенья социального обеспечения1
Поскольку подробно описать систему социального обеспечения в рамках введения невозможно, мы ограничимся изложением классических ее элементов и их важнейших признаков.
Весьма полный обзор такого рода услуг содержится в Социальном отчете2 правительства ФРГ. Размеры и структура социальных услуг представлены в табл. 15,2, в которую включены институты, специализирующиеся на обеспечении социального страхования,
1 Положение на май 1995 г.
3 Такой образцовый и детальный отчет составляется Министерством труда и социального порядка. Социальный отчет 1993 г. содержит также данные по новым федеральным землям.
Таблица 15.2. Предоставленные различными финансовыми учреждениями ФРГ социальные услуги (в DM млрд и в %
валового национального продукта) |
|
|
I960 г. |
1970 г. |
1980 г. |
1985 г. |
1987 г. |
1990 г. (р) |
1991 г. (р> |
1992 г. (Р) |
1993 г. (s) |
1997 г.
Ы |
|
Социальный бюджет, всего |
69,16 |
179,19 |
479,85 |
578,77 |
638,73 |
742,90 |
893,53 |
1005,32 |
1062,6 |
1205,9 |
|
Общая система |
33,08 |
88,50 |
281,95 |
353,79 |
384,84 |
464,73 |
574,52 |
658,06 |
705,4 |
787,1 |
|
Пенсионное страхование: |
19,59 |
52,22 |
142,57 |
175,22 |
185,84 |
229,22 |
262,63 |
290,08 |
317,7 |
383,7 |
|
рабочих |
12,16 |
31,90 |
80,22 |
96,00 |
100,17 |
122,23 |
138,95 |
153,45 |
167,9 |
199,6 |
|
служащих |
5,73 |
16,43 |
57,12 |
77,43 |
80,96 |
98,84 |
114,26 |
127,93 |
156,2 |
183,4 |
|
членов союза горняков |
2,63 |
6,13 |
13,32 |
14,72 |
15,34 |
18,21 |
20,41 |
22,11 |
24,0 |
26,6 |
|
Страхование на случай болезни |
9,66 |
25,46 |
90,07 |
114,40 |
125,37 |
152,27 |
183,46 |
210,86 |
209,7 |
242,5 |
|
Страхование от несчастных случаев |
1,75 |
4,24 |
10,02 |
11,65 |
12,23 |
13,63 |
15,72 |
17,82 |
18,9 |
21,7 |
|
Поддержка труда |
1,21 |
3,88 |
23,10 |
39,38 |
45,51 |
51,82 |
87,81 |
111,76 |
131,9 |
112,1 |
|
Пособие на детей |
0,92 |
2,89 |
17,61 |
14,47 |
14,05 |
14,62 |
20,48 |
21,99 |
21,9 |
20,4 |
|
Пособие на воспитание |
— |
— |
— |
— |
3,13 |
4,60 |
5,92 |
7,23 |
7,0 |
8,6 |
|
Особые системы |
0,22 |
1,10 |
3,68 |
4,74 |
5,43 |
6,47 |
7,00 |
7,70 |
8,3 |
9,9 |
|
Помощь фермерам преклонного возраста |
0,18 |
0,89 |
2,76 |
3,33 |
3,78 |
4,44 |
4,83 |
5,34 |
5,7 |
6,5 |
|
Надбавки к пенсиям |
0,05 |
0,20 |
0,92 |
1,41 |
1,65 |
2,03 |
2,18 |
2,37 |
2,6 |
3,4 |
|
Система обеспечения государственных должност- |
|
|
|
|
|
|
|
|
|
|
|
ных лиц |
9,61 |
24,03 |
46,33 |
52,43 |
57,22 |
63,78 |
68,78 |
71,80 |
73,7 |
82,4 |
|
Пенсии |
6,78 |
15,83 |
32,95 |
36,96 |
39,56 |
43,79 |
46,27 |
48,23 |
49,2 |
54,2 |
|
Надбавки за семью |
2,17 |
6,22 |
7,62 |
8,20 |
9,22 |
9,77 |
11,67 |
12,14 |
12,5 |
13,9 |
|
Дополнительные дотации |
0,65 |
1,98 |
5,77 |
7,27 |
8,44 |
10,23 |
10,85 |
11,44 |
11,9 |
14,3 |
|
Доля работодателей |
4,96 |
18,80 |
45,29 |
53,79 |
61,62 |
73,39 |
83,12 |
88,70 |
90,3 |
100,6 |
|
Оплата по больничным листам |
3,00 |
12,50 |
28,22 |
27,76 |
31,73 |
37,52 |
45,05 |
48,43 |
48,6 |
54,0 |
|
Пенсионные фонды предприятий |
1,19 |
3,05 |
8,10 |
13,13 |
15,51 |
19,55 |
21,24 |
22,33 |
23,1 |
26,1 |
|
Дополнительные выплаты |
0,34 |
1,73 |
5,88 |
8,73 |
9,63 |
11,05 |
11,61 |
12,47 |
13,1 |
14,7 |
|
Прочие выплаты работодателей |
0,43 |
1,52 |
3,09 |
4,17 |
4,75 |
5,27 |
5,22 |
5,47 |
5,4 |
5,8 |
|
Государственный бюджет и государственный долг — основы социального обеспечения 417 |
Окончание табл. 15.2
|
|
1960 г. |
1970 г. |
1980 г. |
1985 г. |
1987 г. |
1990 г. (р) |
1991 г. (р) |
1992 г. (Р) |
1993 г. (s) |
1997 г. (s) |
|
Возмещение ущерба |
8,24 |
11,55 |
17,76 |
17,15 |
16,81 |
16,80 |
17,61 |
18,33 |
18,8 |
17,6 |
|
Социальные возмещения (Ассоциация ветеранов войны) |
3,95 |
7,49 |
13,48 |
13,47 |
13,33 |
13,00 |
13,73 |
14,50 |
15,3 |
14,7 |
|
Выравнивание бремени |
2,03 |
1,78 |
1,71 |
1,39 |
1,22 |
1,10 |
1,02 |
0,91 |
0,8 |
0,6 |
|
Репарация |
2,12 |
1,97 |
2,16 |
1,97 |
1,88 |
1,76 |
1,92 |
1,93 |
2,0 |
1,9 |
|
Прочие возмещения ущерба |
0,15 |
0,31 |
0,41 |
0,32 |
0,38 |
0,94 |
0,94 |
0,99 |
0,7 |
0,5 |
|
Социальные помощь и услуги |
2,76 |
12,15 |
43,89 |
49,84 |
56,45 |
65,68 |
83,64 |
93,10 |
97,5 |
129,7 |
|
Социальная помощь |
1,32 |
3,55 |
14,98 |
23,01 |
27,33 |
33,77 |
40,64 |
44,99 |
48,0 |
62,9 |
|
Помощь молодежи |
0,60 |
2,10 |
8,92 |
10,27 |
11,34 |
14,21 |
21,15 |
23,27 |
24,5 |
42,9 |
|
Помощь учащимся |
0,09 |
0,63 |
3,15 |
0,47 |
0,48 |
0,81 |
2,59 |
2,49 |
2,5 |
2.2 |
|
Финансирование квартплаты |
0,00 |
0,66 |
2,01 |
2,71 |
4,03 |
3,90 |
4,92 |
7,42 |
7,3 |
5,3 |
|
Услуги в рамках общественной системы здравоохранения |
0,31 |
0,76 |
1,67 |
1,91 |
2,06 |
2,40 |
3,13 |
3,29 |
3,5 |
4.0 |
|
Выплаты для образования имущества наемных работников |
0,45 |
4,46 |
13,17 |
11,47 |
11,21 |
10,59 |
11,21 |
11,65 |
11.7 |
12,4 |
|
Прямые услуги, всего |
58,60 |
155,42 |
437,52 |
530,17 |
580,57 |
688,83 |
832,47 |
935,34 |
991,6 |
1124,6 |
|
Косвенные услуги |
10,55 |
23,77 |
42,33 |
48,60 |
58,16 |
54,08 |
61,06 |
69,98 |
71,0 |
81,3 |
|
Налоговые льготы |
10,46 |
19,72 |
36,367 |
43,04 |
52,05 |
48,02 |
54,86 |
63,67 |
65,6 |
75,5 |
|
Льготы в жилищной сфере |
0,09 |
4,05 |
5,96 |
5,56 |
6,11 |
6,06 |
6,20 |
6,31 |
5,6 |
5,8 |
Разница в суммах является следствием округления. При образовании сумм платежи институтов друг другу (взаимозачеты) не учитываются. С 1990 г. (со второго полугодия) — включая новые федеральные земли. Данные с 1990 г. только в ограниченной степени сравнимы с предыдущими годами, р — предварительно, s — оценка.
Источник'. Sozialbericht. 1993. S. 253.
Глава 15
Врезка 15.3.
Социальные услуги в Российской Федерации
|
Табл. 15в. Социальные услуги, предоставляемые различными государственными внебюджетными социальными фондами РФ (в трлн руб. и в % от ВВП) |
|
Внебюджетные социальные фонды учреждения |
1993 г. |
1994 г. |
1995 г. |
1996 г. |
трлн.
руб. |
% от ВВП |
трлн
РУ6- |
% от ВВП |
трлн.
руб. |
% от ВВП |
трлн.
руб. |
% от ВВП |
|
Пенсионный фонд РФ* |
10,3 |
6,0 |
36,8 |
6,0 |
85,1 |
5,2 |
125,3 |
5,6 |
|
Фонд социального страхования |
і,б |
0,9 |
6,6 |
1,1 |
17,5 |
1,1 |
26,8 |
1,2 |
|
Фонд занятости |
0,4 |
0,2 |
2,4 |
0,4 |
6,4 |
0,4 |
7,3 |
0,3 |
|
Федеральный фонд обязательного медицинского страхования |
0,03 |
0,0 |
0,3 |
0,0 |
0,5 |
0,0 |
0,8 |
0,0 |
|
Территориальные фонды обязательного медицинского страхования |
0,7 |
0,4 |
5,7 |
0,9 |
14,2 |
0,9 |
21,3 |
0,9 |
|
* Указана сумма расходов только на государственные пенсии и пособия.
Источник.-. Социальное положение и уровень жизни населения России. М., 1997. С. 187-190.
В России подавляющая часть государственных социальных услуг, оказываемых внебюджетными фондами, предоставляется Пенсионным фондом РФ (ПФР). Основная задача ПФР — финансовое управление государственной системой пенсионного обеспечения в России. ПФР — самостоятельное финансово-кредитное учреждение, финансовые источники которого формируются за счет взносов наемных работников, работодателей и расходов федерального бюджета на выплату государственных пенсий и пособий, осуществляемую через Пенсионный фонд. Сфера расходов средств ПФР определяется законами Российской Федерации, основная из них — выплата пенсий за выслугу лет.
За год рыночных реформ роль ПФР, как показывает табл. 15в, несколько снизилась, и в то же время имело место увеличение объема деятельности других учреждений, прежде всего фонда социального страхования. За счет средств фонда социального страхования финансируются, в частности, такие социальные услуги, как пособие на рождение ребенка (равное 5-кратному минимальному окладу), пособие по уходу за ребенком до достижения им 15 месяцев (для работающих) и оплата временной нетрудоспособности по болезни. Но в целом и Фонд социального страхования, и прочие фонды (Фонд занятости, финансирующий пособие по безработице, и т. д.) не играют существенной роли в системе социального обеспечения РФ. За счет местных бюджетов финансируются такие важные социальные услуги, как пособие на жилье и единое ежемесячное семейное пособие. Финансовые источники всех этих фондов формируются в основном за счет обязательных страховых взносов работодателей (устанавливаемых в процентах от фонда оплаты труда) и бюджетных ассигнований.
Следует отметить, что в целом система социальных услуг России по сравнению с аналогичной системой ФРГ и других промышленно развитых стран является весьма слабой.
3.2.1. Обязательное пенсионное страхование (ОПС)
Пенсионное страхование охватывает пенсии работников, пенсии служащих и пенсии горняков. Организации ОПС являются корпорациями публичного права. Посредством системы ОПС осуществляется страхование экономически несамостоятельных (т. е. наемных) работников (а также учащихся) по старости и на случаи инвалидности. Страхование самостоятельных предпринимателей осуществляется в течение двух лет с начала их деятельности по специальным заявлениям. Не подлежат страхованию определенные индивиды, занятые некоторыми «побочными» видами деятельности, а также лица преклонного возраста, которые застрахованы другими способами (например, государственные должностные лица). Большое число застрахованных (примерно 27 млн человек) показывает, что ОПС имеет характер народного страхования.
Финансирование ОПС осуществляется посредством взносов работников и работодателей (поровну от каждой стороны) и через федеральные платежи, которые составляют менее 20 % общих расходов на ОПС. С 1 января 1991 г. ставка взноса составляет 18,6 % фонда оплаты труда, причем взносы начисляются лишь до определенного верхнего лимита (устанавливаемого ежегодно; в 1995 г. он составлял DM 7,8 тыс. в месяц в старых и DM 6,4 тыс. в новых федеральных землях). Практикуемый при ОПС метод покрытия (до 1957 г. применялся метод покрытия доходами от капитала) означает, что расходы покрываются ежегодно через соответствующие доходы. Организации ОПС обязаны иметь изменяющийся по величине резерв в объеме (как минимум) месячных расходов.
Следовательно, сегодняшний пенсионер получает свой доход по старости в сущности из взносов наемных работников. Последние приобретают право на получение будущих пенсий (право, которое финансово обеспечивается страховыми взносами наемных работников в будущем — контракт поколений).
Услуги ОПС включают в себя:
¦ предоставление пенсий застрахованным и их родственникам в случае инвалидности, старости или смерти;
¦ поддержание, улучшение и восстановление трудоспособности застрахованных (реабилитация);
¦ содействие мероприятиям по улучшению состояния здоровья застрахованных.
Объем услуг системы обеспечения лиц преклонного возраста в основном определяется количеством получателей услуг и возрастной границей. Со времен пенсионной реформы 1972 г. в ФРГ установлена гибкая возрастная граница, по наступлении которой застрахованные могут выйти на пенсию в возрасте 63 лет (причем инвалиды, нетрудоспособные и не способные работать по профессии имеют право на пенсию начиная с 60 лет). В то время как «нормальная» возрастная граница составляет 65 лет, при выполнении определенных условий для женщин и безработных существует также возможность более раннего (т. е. в возрасте 60 лет) выхода на пенсию.
Размер пенсии, как правило, определяется суммой зарплаты и продолжительностью страхования. Начиная с 1992 г. здесь учитываются следующие факторы.
(1) «Баллы оплаты» (БО) обеспечивают учет длительности индивидуальной трудовой жизни и, таким образом, взносы застрахованных. Один год страхования со средней зарплатой дает один полный балл оплаты. Чем длительнее трудовая жизнь и чем выше доходы, из которых вычитаются страховые взносы, тем выше число приобретенных баллов. Следует также отметить, что для определенных периодов баллы учитываются без оплаты взносов (например, учеба в вузе, служба в армии).
(2) Фактор получения (ФП) определяет уменьшение или увеличение БО в зависимости от более раннего или более позднего выхода на пенсию.
Врезка 15.4.
Пенсионное обеспечение в Российской Федерации
Государственное пенсионное обеспечение в России осуществляется Пенсионным фондом РФ. Средства ПФР направляются на:
¦ выплату государственных пенсий, в том числе
(3) Пенсионный фактор (ПФ) призван учитывать вид получаемой пенсии. Наряду с полноценной пенсией по возрасту и нетрудоспособности (фактор 1,0) установлены пенсия для лиц, не способных работать по профессии (фактор 0,6667), и пенсия для вдов и вдовцов (фактор 0,6).
(4) Ежегодно устанавливается актуальная ценность пенсии (АЦП), которая связывает личные факторы с динамикой общих доходов и определяет, какая месячная сумма пенсии составляет один балл оплаты.
Размер месячной пенсии рассчитывается по специальной формуле пенсии:
БО • ФП • ПФ - АЦП = месячная пенсия.
Так как данный показатель связан с динамикой общих доходов, говорят о динамичной пенсии.
3.2.2. Обязательное страхование на случай болезни (ОСБ)
Система страхования на случай болезни в ФРГ подразделяется на обязательное страхование и частное страхование. Примерно 90% граждан ФРГ в соотвествии с законом застрахованы как члены системы ОСБ (рабочие, служащие, пенсионеры, безработные, фермеры, горняки и определенные категории самозанятых). Для застрахованных индивидов, получающих доходы, превышающие предел обязательного страхования (эта сумма одновременно является верхним лимитом при процентном вычете взносов; в 1995 г. она составляла в старых федеральных землях DM 5850, а в новых федеральных землях — DM 4800), существует возможность выбора. Либо они становятся добровольными членами системы ОСБ, либо прибегают к услугам других страховых фондов. К категории лиц, защищенных системой ОСБ, наряду с застрахованным индивидом (без дополнительного взноса) относятся члены его семьи (супруга, дети).
Финансирование системы ОСБ обеспечивается посредством различных видов больничных касс, к которым прежде всего относятся:
¦ общие местные больничные кассы (их деятельность распространяется, как правило, на, район федеральной земли или крупный город);
¦ больничные кассы предприятий (предприятия с численностью 450 и более подлежащих обязательному страхованию работников имеют право создавать собственные больничные кассы);
¦ больничные кассы гильдий (для предприятий, принадлежащих гильдии ремесленников);
¦ «рамещающие» больничные кассы (имеют определенный законом круг членов, к примеру жители определенного района). Членство в них является добровольным, члены «рамещающих» больничных касс с обязательным страхованием освобождаются по закону от членства в других больничных кассах.
Общее число застрахованных на случай болезни составляет в ФРГ более 70 млн человек (с учетом застрахованных членов семьи — примерно 90 % общей численности населения).
ОСБ в преобладающей его части финансируется взносами, оплачиваемыми работниками и работодателями (по 50 %). Ставки взносов устанавливаются отдель-
Все граждане РФ имеют право на медицинскую помощь в государственной и муниципальной системах здравоохранения, которая гарантирована им ст. 41 Конституции РФ. Объем медицинской помощи зависит от размеров обязательного медицинского страхования, осуществляемого федеральным и территориальными фондами обязательного медицинского страхования (в том числе от отчислений от заработной платы). Дополнительные (платные) лечебные услуги могут быть предоставлены в рамках добровольного медицинского страхования, обеспечиваемого негосударственными фондами медицинского страхования.
Врезка 15.5.
Страхование на случай болезни в Российской Федерации
Средства фондов медицинского страхования идут на оказание первичной медицинской помощи (лечение наиболее распространенных заболеваний, травм, отравлений и т. д.), скорой медицинской помощи при состояниях, требующих неотложного медицинского вмешательства, медико-социальной помощи (профилактическая, реабилитационная, протезно-ортопедическая и зубопротезная помощь и уход за больными и нетрудоспособными), предоставление лекарств.
ными кассами, поэтому возможна значительная разница во взносах, что обосновано прежде всего различной структурой застрахованных в кассе лиц. Ставки взносов составляют в среднем в ФРГ немногим более 13 % от валовой зарплаты. Кроме того, пенсионеры платят взносы в больничную кассу пенсионеров, а Федеральное ведомство по труду оплачивает взносы для безработных. Наконец, федеральный бюджет предоставляет некоторые дотации (например, на оплату отпуска по уходу за ребенком).
Услуги системы ОСБ подразделяются на «натуральные услуги» (лечение терапевтом и стоматологом, лекарства и вспомогательные средства, зубные протезы и т. д. — как формы выражения ухода за больным; к данному виду услуг относится также уход за больным в больнице, причем большое значение имеет предупреждение/избежание болезней) и денежные пособия (больничное пособие, пособие для матерей и пособие в случае смерти). Большинство услуг являются регулярными услугами. Множество больничных касс, помимо этого, предоставляют добровольные дополнительные услуги.
3.2.3. Обязательное страхование от несчастных случаев (ОСНС)
Каждый предприниматель является членом профессионального объединения. При этом под профессией нужно понимать ту экономическую сферу, к которой принадлежат руководители одного и того же или сходных предприятий. Все работники застрахованы от несчастных случаев на работе, по пути к ней и от нее, а также от профессиональных заболеваний. Кроме того, данный вид страхования распространяется на всех лиц, оказывающих помощь во время стихийных и техногенных бедствиях, добровольцев, бесплатно работающих в общественных организациях, а также на детей в детских садах, школьников и студентов.
Организациями страхования от несчастных случаев, действующими в промышленности, являются профессиональные объединения на основе самоуправления. Их важнейшей задачей является забота о предотвращении несчастных случаев на предприятиях. Соблюдение предписаний по технике безопасности контролируется «техническими служащими надзора» организаций страхования от несчастных случаев.
Финансирование ОСНС осуществляется только за счет взносов предпринимателей. Величина этих взносов зависит от степени опасности/вероятности несчастного случая в соответствующей отрасли и от фонда оплаты труда на отдельном предприятии.
К основным услугам ОСНС относятся:
¦ лечение для устранения или смягчения последствий несчастного случая или профессионального заболевания;
¦ пособия для пострадавших (соответствуют пособию по болезни);
¦ помощь пострадавшим от несчастных случаев, направленная на их возвращение к профессиональной деятельности;
¦ выплата пенсий застрахованным лицам (в случае их смерти — родственникам).
3.2.4. Обязательное страхование на случай безработицы (ОССБ)
Первоначально ОССБ было направлено на покрытие риска безработицы — потери рабочего места. Сегодня организации труда принадлежит вся сфера содействия труду, составной частью которого является ОССБ, относившееся ранее к системе социального обеспечения. Организацией страхования на случай безработицы является Федеральное ведомство по труду; управляющие им органы образованы из представителей наемных работников, работодателей и публичных корпораций (по одной трети представителей каждого типа). Страхование на случай безработицы является обязательным для всех рабочих и служащих, за исключением самозанятых государственных должностных лиц и наемных работников старше 65 лет. Кроме того, от взносов освобождаются наемные работники, которые трудятся за очень небольшое ежемесячное вознаграждение (эта сумма устанавливается законом и изменяется при существенном увеличении ставок зарплаты в экономике; в 1994 г. она была равна DM 480); а также лица, получающие пенсию по нетрудоспособности или работающие в период получения образования в школе или вузе.
Средства для финансирования услуг ОССБ предоставляются через взносы работников и работодателей — ставка взноса, составляющая 6,5 % фонда оплаты труда (с 1995 г. верхняя граница вычета равна DM 7800), делится пополам между ними. Для специальных выплат предусматривается финансирование за счет дополнительных платежей (например, для финансирования строительных работ в зимний период за счет денег работодателей строительной отрасли; пособия в случае банкротства предприятия оплачиваются профессиональными гильдиями). При недостатке финансовых средств кредиты или дотации предоставляет федерация. Материальная помощь для безработных финансируется исключительно федерацией.
В июне 1998 г. в РФ был принят «Закон об обязательном социальном страховании от несчастных случаев на производстве и профессиональных заболеваний». Целью этого Закона было изменение ранее существовавшей системы регулирования правоотношений по возмещению вреда, причиненного здоровью работников, и обеспечение реальной защиты лицам, пострадавшим от несчаст
К сфере задач Федерального ведомства по труду относятся: .
¦ обеспечение жизнедеятельности через выплату «заменителей зарплаты» при безработице (страховые выплаты для безработных, материальная помощь для безработных, пособие при неблагоприятной погоде для строителей), при неплатежеспособности работодателя (пособие в случае банкротства) и работе неполный день (деньги за работу неполный день):
¦ оказание помощи в поступлении на работу через дотирование расходов на зарплату работодателей и повышение степени мобильности работников (например, финансирование издержек подачи заявки, издержек поездок, издержек переезда, рабочего снаряжения), а также поощрения мероприятий по созданию рабочих мест (дотирование расходов на зарплату в целях создания условий для дополнительной работы в общественных интересах) и обеспечение занятости в течение всего года в строительной промышленности;
¦ поощрение профессионального образования, а также создание условий для получения работы и профессии инвалидами (профессиональная реабилитация);
¦ консультации в области получения работы и профессии, а также посредническая помощь в нахождении рабочих и ученических мест.
На «страховые выплаты для безработных» (Arbeitslosengeid) имеет право каждый застрахованный, зарегистрировавшийся в Федеральном ведомстве по труду как безработный, подавший соответствующую заявку и выполняющий условия на право получения денег (необходимо быть работником с обязательством уплаты взносов в течение 12 месяцев за последние три года; длительность права на получение страховых выплат для безработных зависит от продолжительности занятости и лимитирована одним годом) и находящийся в распоряжении ведомства. При этом важно, что безработный готов заняться работой, к которой он считается способным; к такой работе относится также деятельность, требующая меньшей квалификации и приносящая меньший доход.
Величина «страховых выплат для безработных» составляет 67 % (для безработных с детьми) и 60 % (для безработных без детей) от последней средней чистой зарплаты. Эти деньги, как и «материальная помощь для безработных», освобождены от подоходного налога с физических лиц.
В том случае, если безработный лишился права на «страховые выплаты для безработных» или перед потерей работы был занят только в течение короткого промежутка времени (150 дней), он имеет право на получение «материальной помощи для безработных» (Arbeitslosenhilfe). Основанием для оказания подобной помощи является потребность (как и при социальной помощи), которая имеет место, если доход и имущество безработного или членов его семьи недостаточны для жизнедеятельности.
Распределение данного вида помощи таково: для безработных с детьми она составляет 57 %, а для безработных без детей — 53 % от суммы общей чистой зарплаты. Какие либо временные ограничения предоставления помощи отсутствуют, т. е. любой безработный в принципе может получать данный вид помощи в течение безграничного промежутка времени; однако право на нее каждого безработного ежегодно проверяется Федеральным ведомством по труду.
В соответствии с «Законом о занятости населения в Российской Федерации» безработными считаются трудоспособные граждане, не имеющие работы и заработка, проживающие на территории РФ и зарегистрированные в органах службы занятости, которые ищут работу и готовы приступить к ней.
Врезка 15.7.
Страхование по безработице в Российской Федерации
Функцию страхования на случай безработицы выполняет Фонд занятости РФ — государственный внебюджетный фонд. Его средства складываются из обязательных страховых взносов работодателей и работников, ассигнований из федерального бюджета РФ и местных бюджетов.
Полученные финансовые ресурсы используются затем в следующих целях:
¦ проведения мероприятий по профессиональной ориентации, подготовке и переподготовке безработных;
¦ организации общественных работ;
¦ выплаты пособий по безработице, возмещения денежных затрат безработных на переезд в другую местность по предложению службы занятости; оказания помощи иждивенцам безработного и лицам, потерявшим право на пособие по безработице в связи с истечением установленного законом периода его выплаты;
¦ осуществления мероприятий по сохранению и созданию дополнительных рабочих мест, по развитию предпринимательской деятельности безработных;
¦ анализа рынка труда в целях составления баланса трудовых ресурсов и разработки программ занятости;
¦ создания и содержания информационных систем рынка рабочей силы.
Размеры пособия по безработице варьируют от минимального размера оплаты труда (МРОТ) до 75 % последнего среднего ежемесячного заработка в зависимости от времени, отработанного в году, предшествовавшем началу безработицы. Продолжительность выплаты пособия по безработице не может в общей сложности превышать 12 календарных месяцев в течение 18-месячного периода.
В 1996 г. структуру расходования средств государственного фонда занятости населения составили: ¦
¦ реализация программ материальной поддержки безработных — 47,0 %;
¦ создание рабочих мест и организация общественных работ — 21,1 %;
¦ профессиональное обучение и специальная адаптация безработных — 17,4 %;
¦ содержание службы занятости — 9,0 %;
¦ прочие расходы — 5,5%.
Иначе говоря, около половины средств государственного фонда занятости расходуется на выплату пособий по безработице.
Источник: Пикулькин А. В. Система государственного управления. Учебник. М., 1997. С. 288.
3.2.5. Обязательное страхование по уходу за престарелыми лицами (ОСУПЛ)
В 1994 г. после десятилетней дискуссии в ФРГ было введено обязательное страхование по уходу за престарелыми, или «пятый столп» системы социального обеспечения. Вступление в силу данного вида страхования осуществлялось постепенно:
¦ обязательные выплаты (взносы) стали осуществляться с 1 января 1995 г.;
¦ услуги домашнего ухода за престарелыми начали оказываться с 1 апреля
1995 г. (первая ступень):
¦ услуги стационарного ухода за престарелыми начали оказываться 1 июня
1996 г. (вторая ступень).
ОСУПЛ охватывает все население по принципу: «Страхование престарелых следует за страхованием на случай болезни». Тот, кто является членом системы ОСБ, обязательно уплачивает взносы и в систему ОСУПЛ, и именно в той кассе для выплат по уходу за престарелыми, которая создана при его больничной кассе. Аналогичный принцип распространяется и на частное страхование по болезни. Тот факт, что одна и та же организация является ответственной как за страхование престарелых, так и за страхование на случай болезни, является преимуществом: ведь таким образом минимизируются расходы на охват и регистрацию обязанных застраховаться лиц.
Расходы на страхование престарелых покрываются взносами и прочими доходами. Ставка взноса с 1 января 1995 г. составляет 1 %, а с 1 июля 1996 г. — 1,7 % месячного верхнего лимита взноса в системе ОСБ в сумме DM 5850 (в 1995 г. для новых федеральных земель эта сумма равнялась DM 4800). Взносы в общем делятся между застрахованными и работодателями поровну. За пенсионеров половину взносов платит орган пенсионного страхования, взносы безработных оплачиваются Федеральным ведомством по труду. Особые случаи оплаты взносов наемными работниками возникают тогда, когда в какой-либо федеральной земле не осуществляется компенсация в пользу работодателей в виде уменьшения количества праздничных дней в году (на один день), как, например, в Саксонии. В этой ситуации работники оплачивают весь взнос. Ожидается, что начиная с 1997 г. в системе ОСБ окажется возможным экономия DM 3,5 млрд в год, а в системе оказания социальной помощи — более DM 10 млрд в год.
Оказание услуг основано на принципе: «Лучше предупреждение и реабилитация, чем уход за престарелыми». Помощь при домашнем уходе может иметь форму непосредственного ухода (форму «деловых услуг» — Pflegesachleistungen), а также форму выплаты денег, которые расходуются домохозяйством на самостоятельное привлечение тех, кто будет оказывать помощь по уходу. Нуждающиеся в уходе, которым он необходим в домашних условиях, получают его в виде «деловых услуг» соответствующих специалистов.
Следует также отметить, что сумма издержек, которую возмещает система ОСУПЛ, структурирована по степени потребности в уходе: степень I — существенная потребность в уходе (до DM 750 в месяц), степень II — сильная потребность в уходе (до DM 1800 в месяц), степень III — самая большая потребность в уходе (DM 2800 в месяц). Люди, самостоятельно привлекающие помощь по уходу, имеют право на «деньги по уходу» (степень I — DM 400, степень II — DM 800, степень III — DM 1300). Альтернативно финансируются также другие виды помощи (дневной и ночной уход, кратковременный уход и т. д.). И при полном стационарном уходе кассы для выплат по уходу за престарелыми (с 1 июля 1996 г.) принимают на себя издержки, связанные с уходом (до DM 2800 в месяц).
Действенность ОСУПЛ еще должна себя проявить. Уже сегодня видно, что существующая концепция финансирования недостаточна.
3.3. Проблемы социального обеспечения
В заключение рассмотрим некоторые проблемы социального обеспечения. В ФРГ наблюдается рост социальных услуг как в абсолютном (социальный бюджет 1980 г. исчислялся в DM 478 млрд, 1993 г. — в DM 1063 млрд), так и в относительном выражении (процентное отношение социального бюджета к валовому национальному продукту достигло 30%). В 1993 г. расходы на социальные услуги составляли DM 13083 марок на душу населения.
Таким образом, в центре дискуссии находятся высокие издержки системы социального обеспечения. В связи с обеспечением престарелых главными факторами являются: *
¦ возрастная структура населения,
¦ ситуация с занятостью.
|
Нагрузка лиц среднего возраста |
 |
Рис. 15.3. Динамика коэффициента нагрузки молодых и коэффициента нагрузки
пожилых (1990-2030 гг.) |
Характеризуя возрастную структуру населения ФРГ, можно констатировать, что с начала XX столетия продолжительность жизни почти постоянно росла, и эта тенденция сохраняет свою силу. Рождаемость начиная с начала 1970-х гг. резко сократилась; женщины (одного и того же года рождения) фертильного возраста рожают меньше девочек, что было бы необходимо для сохранения численности населения. Образно измерить эту динамику можно через так называемые «коэффициент нагрузки пожилых» и «коэффициент нагрузки молодых» (см. рис. 15.3). Коэффи-
Врезка 15.8.
Динамика демографической нагрузки в Российской Федерации
Таблица 15г
Динамика коэффициентов нагрузки молодых и пожилых людей в РФ в 1989-2024 гг. |
|
Год |
Коэффициент нагрузки молодых* |
Коэффициент нагрузки пожилых** |
|
1989 |
38 |
25 |
|
1995 |
35 |
27 |
|
1999 |
31 |
29 |
|
2004 |
25 |
27 |
|
2009 |
24 |
25 |
|
2014 |
25 |
28 |
|
2019 |
25 ’ |
32 |
|
2024 |
24 |
35 |
|
* Число молодых (до 15 лет) людей, приходящееся на 100 человек среднего (15-59 лет) возраста.
** Число пожилых (старше 60 лет) людей, приходящееся на 100 человек среднего (15-59 лет) возраста.
Рассчитано по: Пирожков С. И., Сафарова Г. Л. Старение населения: демографические аспекты//Успехи геронтологии. М., 1998. Т. 2. С. 24-32.
Данные табл. 15г показывают, что по прогнозам ученых в России к 2024 г. должны произойти сокращение коэффициента нагрузки молодых на 14 процентных пунктов и рост коэффициента пожилых на 10 процентных пунктов. При этом устойчивое увеличение второго из этих коэффициентов начнется лишь после 2009 г. Такую динамику, вероятно, можно объяснить низкой продолжительностью жизни россиян и высокой детской смертностью, а также наблюдавшимся в 1990-е гг. превышением смертности над рождаемостью.
Указанные три аспекта значительно отличают динамику демографической нагрузки в РФ и в ФРГ и в свою очередь представляют собой следствие глубокого экономического кризиса в России (см. врезку 27.1). В то же время необходимо иметь в виду, что важным следствием рассмотренных неблагоприятных демографических тенденций может явиться уменьшение спроса на услуги системы социального обеспечения и, таким образом, возможность будущего снижения соответствующих социальных расходов государства. Хотя одновременно уменьшение численности населения России будет означать при прочих равных условиях увеличение налоговой нагрузки на душу населения.
циент нагрузки пожилых (соотношение лиц в возрасте 60 лет и старше к населению в возрасте 20-59 лет) вырастет к 2030 г. с современных 36,1 % до 74,2 %. В то же время количество молодых людей (19 лет и моложе) в расчете на 100 человек в возрасте 20-59 лет снизится за тот же период до 35% (коэффициент нагрузки молодых).. В среднем более молодое население в новых федеральных землях никак не влияет на ситуацию в целом.
Вторым важным фактором динамики финансовых средств, выделяемых на пенсионное обеспечение, является ситуация с занятостью. Можно отметить, что увеличивается число людей, которые со времени введения гибкой границы выхода на пенсию в 1972 г. становятся пенсионерами раньше «положенного срока» (т. е. до наступления пенсионного возраста). В то же время из-за увеличения длительности периода получения образования трудовая жизнь начинается позднее. Некоторое смягчение остроты ситуации произошло из-за быстрого роста числа притока этнических немцев из других стран, что отражается в численности занятого населения (1985 г. — 28,9 млн человек; 1993 г. — 35,1 млн человек). Остающееся высоким количество безработных, составляющее примерно 3,5 млн человек, усиливает пенсионную проблему (отсутствие соответствующих выплат взносов). Тот факт, что система страхования по безработице принимает на себя обеспечение части взносов, не меняет ситуации.
Весьма серьезную проблему представляет быстрый рост объемов социальной помощи. Если в 1980 г. на эти цели было израсходовано DM 15 млрд, то в 1993 г. — примерно DM 48,9 млрддля 3,9 млн лиц. Наряду с повышенными государственными затратами на строительство и содержание общежитий для беженцев и немцев-пере-селенцев повысились расходы на выплату пособий безработным (проблема продолжительной безработицы). Проблема усугубляется и бедностью престарелых людей.
Ввиду высоких издержек социального обеспечения в обществе и научных кругах обсуждаются возможности его дерегулирования. Например, различные политические группы предлагали введение «базисной пенсии», которая должна была бы быть дополнена государственной добавочной страховкой или частными моделями страхования, что позволило бы предоставить соответствующее финансовое обеспечение всем лицам пожилого возраста. Реализация подобных предложений означала бы повышение роли принципа страхования. Менее радикальные планы исходят лишь из базисного обеспечения (минимального обеспечения), которое должно предоставляться государством.
В рамках пенсионной реформы 1992 г. предпринималась попытка консолидации финансов пенсионного страхования до 2000 г. и далее. Особое значение в данном контексте имеют:
¦ введение принципа автоматизма, когда дотации федерации «привязываются» , к росту валовых доходов и ставке взноса на ОПС;
¦ привязка пенсии к средней чистой зарплате; таким образом, принцип солидарности между поколениями учитывается больше, чем при прежней привязке к валовой зарплате;
¦ увеличение пенсионного возраста с 2001 г. до «нормального» преклонного возраста — 65 лет;
¦ реструктурирование, т. е. учет периодов времени, освобожденных от взноса, включая расширение учитываемого периода воспитания детей.
В сфере страхования на случай болезни долгие годы наблюдался опережающий рост расходов (расходы на услуги системы ОСБ составили в 1960 г. DM 9 млрд, а в 1988 г. — DM 128 млрд). Реформа Закона о здравоохранении в 1989 г. (РЗЗ), а также Закон о реструктуризации здравоохранения (1993 г.) привели к фундаментальным изменениям в законодательстве об ОСБ. Были переопределены категории застрахованных лиц [был введен верхний предел страхования для студентов (7 лет), ограничены возможности добровольного страхования и т. д.], и, главное, было изменено регулирование оказания услуг. Конкретно это вырази лось в том, что был уменьшен общий объем услуг и введена плата, например в стоматологии, за лекарства, осуществление стационарных предупредительных мер и мер по реабилитации, а также за пребывание в больнице. Эти очень спорные меры привели к следующим финансовым результатам: в сравнении с предыдущим годом в 1989 г. расходы впервые снизились на DM 4,7 млрд, что позволило снизить некоторые ставки страховых взносов.
Но в 1991-1992 гг. расходы вноь значительно превысили доходы. Введение в действие Закона о реструктуризации здравоохранения в 1993 г. позволило стабилизировать среднюю ставку страховых взносов.
В целом проведенные реформы показывают политическую волю к консолидации системы социального обеспечения. Снижение степени всеохватности политики государственного обеспечения привело к повышению роли принципа обеспечения будущего. Но удалось ли переломить присущую системе динамику, учесть рамочные условия и таким образом обеспечить финансируемую консолидацию? Ответ мы получим в недалеком будущем.
Список основных терминов
¦ Государственный бюджет
¦ Государствен н ы й долг
¦ Обслуживание долга '
¦ Гипотеза вытеснения
¦ Кассовые кредиты
¦ Внутренний долг
¦ Внешний долг
¦ Принцип индивидуализма
¦ Принцип социальности
¦ Принцип эквивалентности
¦ Принцип социального страхования
¦ Принцип обеспечения
¦ Принцип попечения
¦ Самоуправление
¦ Метод покрытия (расходов
на пенсии)
¦ Контракт поколений
¦ Очки оплаты (принцип вычисления
пенсий в Германии)
¦ Фактор получения
¦ Пенсионный фактор
¦ Актуальная ценность пенсии
¦ Формула пенсии
¦ Динамичная пенсия
¦ Обязательное страхование на
случай болезни
+ Натуральные услуги
¦ Денежные пособия
¦ Регулярные услуги
¦ Добровольные дополнительные услуги
¦ Обязательное страхование от несчастных случаев
¦ Обязательное страхование на случай безработицы
¦ Страховые выплаты для безработных
¦ Материальная помошь для безработных
¦ Обязательное страхование по уходу за престарелыми лицами (в Германии)
¦ Коэффициент нагрузки пожилых
¦ Коэффициент нагрузки молодых
¦ Социальная помошь
¦ Дерегулирование
¦ Пенсионная реформа
янтяшшиштвжттж* sip# * ~ ,
Шшя№«дм(#мм жВопросы и задания для .повторения /
1) Что понимается под планом бюджета федерации?
2) Назовите отдельные фазы кругооборота государственного бюджета.
3) Какие принципы бюджета вам известны? Для каких целей они были разработаны?
4) Является ли, по вашему мнению, величина государственной задолженности в ФРГ (и в РФ) «опасной»? Оцените исходя из ответа на этот вопрос выдвигаемое иногда утверждение о «банкротстве государства».
5) По каким причинам необходимо дополнение принципа индивидуализма принципом социальности?
6) В какой м$ре немецкая (и российская) формы пенсионного обеспечения отражают «контракт между поколениями»?
7) Опишите факторы, учитываемые при начислении пенсии в ФРГ (и в России). Почему в ФРГ идет речь о динамичной пенсии?
8) Что понимается в ФРГ под пределом (верхним лимитом) обязательного страхования и под верхним лимитом взносов?
9) Как бы вы охарактеризовали проблемы пенсионного страхования в долгосрочном плане?
10) Каким образом определяется сумма финансирования разных сфер социального обеспечения?

¦ Обширный материал по государственным внебюджетным социальным фондам можно найти в гл. 6 учебного пособия:
ДадашевА. 3., ЧерникД. Г. Финансовая система России: Учебное пособие. М., 1997.
¦ Широкий спектр проблем, связанных с социальным обеспечением и страхованием в России, содержит следующая книга:
Сулейманова Г. В. Социальное обеспечение и социальное страхование. М., 1997.
¦ Вопросы социального страхования в рыночной и переходной экономике, эволюция социального и обязательного страхования, а также зарубежный опыт его организации в развитых странах рассматриваются в работе:
Бабич А. М., Егоров Е. Н., Жильцов Е. Н. Экономика социального страхования. М.
1998. ”
¦ Необходимо также указать на следующий учебник вводного уровня:
Якобсон Л. И. Экономика общественного сектора. Основы теории государственных
финансов. М., 1995.
¦ С законодательным регулированием социального обеспечения в РФ вы можете познакомиться в книге:
Право социального обеспечения. Практикум, нормативные акты, образцы документов / Подред. Э. Г. Тучковой. М., 1997.
Врезка 15.6.
Обязательное социальное страхование от. несчастных случаев в Российской Федерации
Глава 16

ИСПОЛЬЗОВАНИЕ ГОСУДАРСТВЕННЫХ ДОХОДОВ И РАСХОДОВ В НЕЛЯХ ЭКОНОМИЧЕСКОЙ СТАБИЛИЗАЦИИ (фискальная политика)

Как и в каких условиях применяются инструменты фискальной политики?
¦ Что понимается под фискальной политикой?
¦ В чем состоит антициклическая фискальная политика и чем она отличается от «параллельной» экономической политики государства?
¦ Какие основные группы инструментов фискальной политики можно выделить?
¦ Что такое автоматические стабилизаторы и как они влияют на государственные доходы и расходы?
¦ В чем заключаются особые проблемы, связанные с осуществлением фискальной политики?
В чем состоят основные цели экономической политики ФРГ и РФ?
¦ Какие инструменты воздействия на экономический процесс позволяют ускорить достижение народнохозяйственных целей?
¦ Позволяют ли институциональные правила дополнить инструментарий текущей политики?

1. Определение фискальной политики
Под фискальной политикой мы понимаем стремление государства стабилизировать (и прежде всего уровни занятости и цен) экономический процесс посредством изменения государственных доходов и государственных расходов.
Если по ходу изменения экономической конъюнктуры во время спада проводятся стимулирующие (экспансионистские) мероприятия (увеличение государственных расходов, снижение налогов), а во время бума — ограничительные (рестриктивные) мероприятия (снижение государственных расходов, повышение налогов), принято говорить об антициклической фискальной политике. Если в такие стимулирующие или ограничительные мероприятия включены элементы денежной политики (см. гл. 12 и 19), то в этом случае говорят об антициклической экономической политике1.
Условием проведения фискальной политики является отказ от принципа ежегодной сбалансированности государственного бюджета, согласно которому расходы должны быть примерно такими же, как доходы (без кредитов). Строгое следование данному бюджетному принципу приводит к так называемой «параллельной» политике, т. е. к такому поведению государства, когда конъюнктурные колебания не только не сглаживаются, а наоборот, усиливаются (проциклическая фискальная политика). Например, в ходе мирового экономического кризиса германский государственный бюджет недополучил налоги. Было принято решение с целью сбалансирования бюджета повысить налоги и сократить государственные расходы. Предпринятые меры содействуют дальнейшему снижению совокупного спроса и приводят к еще большему ухудшению ситуации. Существенное улучшение может быть достигнуто только через противоположную политику в области бюджета, т. е. через образование государственной задолженности (через бюджетный дефицит, т. е. дефицитное финансирование (deficit spending) и соответственно через увеличение расходов.
2. Инструменты политики изменения государственных доходов
С теоретической основой политики государства в области доходов (а значит, в основном с антициклической налоговой политикой) мы познакомились в гл. 12: посредством манипулирования величиной налогов правительство изменяет располагаемый доход домохозяйств, что воздействует на частное потребление и на частные инвестиции.
Предпосылкой для значительного конъюнктурного импульса подобных воздействий является условие, заключающееся в том, дополнительные или изъятые из экономического оборота посредством изменения налогов средства будут «оставлены в покое» (государство не должно как-либо варьировать расходы бюджета). Так,
¦ дополнительные доходы могут быть направлены, например, на особый счет в Центральном банке в качестве резерва, предназначенного для сглаживания конъюнктуры в будущем.
Решающее значение для конечного воздействия изменений налогов имеет реакция частного сектора, т. е. домохозяйств и предприятий, так как налоговые изменения воздействуют на решения относительно частных расходов косвенным образом. Так, например, при снижении налога возможно, что предприятия и домохозяйства используют дополнительные доходы не для увеличения инвестиций и потребления, а для возврата кредитов или для создания финансовых резервов. Снижая налоги, государство лишь мотивирует экономических субъектов к определенному поведению, но никак не принуждает к нему. Но и повышение налогов далеко не всегда приводит к чувствительному конъюнктурному эффекту. К примеру, домохозяйства имеют возможность сохранить уровень потребления посредством использования сбережений или получения кредитов, а предприятия, высоко оценивающие перспективы инвестиций, несмотря на повышение налогов (возможно, ввиду хороших возможностей перемещения налогов), оставляют неизменными объемы капиталовложений.
Инструменты налоговой политики различаются по скорости начала их воздействия. Если речь идет о подоходном налоге с наемных работников, взимаемом ме-
Врезка 16.1.
Фискальная политика в Российской Федерации
Исходя из изложенного выше определения фискальной политики и условий ее проведения мы можем констатировать отсутствие у правительства РФ какой-либо антициклической политику. Дело в том, что
тодом «у источника дохода», субъект налогообложения мгновенно замечает его изменение. Если же мы рассматриваем налог на прибыль, то его изменение становится ощутимым по прошествии, возможно, нескольких лет, в силу длительности процесса от сдачи налоговой декларации до окончательного извещения о налогооблагаемой сумме.
Несмотря на бесспорное экономическое воздействие стабилизирующих инструментов налоговой политики, нет ничего удивительного в том, что лица, ответственные за проведение фискальной политики, весьма неохотно используют имеющиеся в их распоряжении средства. Повышение налогов вряд ли возможно отнести к популярным мерам, обращение к ним обходится в сотни тысяч голосов электората на выборах. Но и снижение налогов в целях влияния на конъюнктуру встречается редко. Возможно, в силу стремления избежать необходимости (обычно приводящей к политическому противостоянию) повышения налогов во время экономического бума. По тем же причинам (помимо причин в области политики изменения государственных доходов, когда доходы нужны для выполнения государственных задач) правительство ФРГ прибегало к ограниченным по времени повышениям налогов, которые носили «возвратный» характер2 (например, конъюнктурная надбавка на подоходный налог с физических лиц и на налог на прибыль в 1970-1971 гг.). Но подобные меры достигают своей цели только тогда, когда не могут быть нейтрализованы противоположной реакцией со стороны субъектов налогообложения. Например, «возвратная» конъюнктурная надбавка может быть воспринята как временный кредит государству, а значит, имеет место ограниченное уменьшение частного спроса. Кроме того, проблематичным является выбор времени возврата; выбор должен быть таким, чтобы не воздействовать на конъюнктуру проциклическим образом.
В «арсенале» антициклической налоговой политики хранится и такое «оружие», как амортизационная политика, также влияющая на инвестиционный климат. Если речь идет об оживляющих конъюнктуру мероприятиях, правительство имеет возможность разрешить особые (т. е. льготные) амортизационные отчисления или же запрещенные ранее «дегрессивные» амортизационные отчисления (т. е. со снижающейся годовой нормой). Так как амортизация входит в издержки, предприятия получают возможность уменьшить начисляемую прибыль, что способствует снижению в соотвествующем периоде налогового бремени3.
Основная проблема воздействия политики амортизации состоит в том, что в период рецессии при низкой ожидаемой прибыли увеличение амортизационных отчислений вряд ли подтолкнет предприятия к осуществлению инвестиции. Кроме того, во время экономического спада многие предприятия вообще не получают прибыль, а значит, могут просто «не заметить» изменение амортизационных отчислений. Во многих случаях более предпочтительными являются инвестиционные премии. Но и здесь возникают проблемы: нередко предприятия получают такие премии за осуществление давно запланированных инвестиций, избегая каких-либо дополнительных капиталовложений («эффект захвата»).
3. Инструменты политики изменения государственных расходов
В то время как эффективность инструментов политики изменения государственных доходов во многом определяется реакцией тех, кого они затрагивают, по своему воздействию средства политики расходов являются (если не учитывать государственных трансфертных платежей) более прямыми. Через ограничение или расширение расходов государство инициирует движение экономических субъектов к самым разным целям. Расходы государства на товары и услуги влияют на уровень занятости и таким образом на национальный продукт. Значит, через дополнительные государственные заказы государство имеет возможность [если мы не разделяем тезис о полном вытеснении (см. гл. 12.4.4)] внести существенный вклад в устранение безработицы. При этом необходимо учитывать описанные в гл. 12 и 27 мультипликационные и акселерационные эффекты. Положительное воздействие на уровень спроса оказывают также трансфертные платежи (домохозяйствам) или субсидии (частным предприятиям). Но отказ от подобных мероприятий чреват, как правило, политическими трудностями.
Во всяком случае необходимо предостеречь от переоценки возможностей влияния на конъюнктуру посредством варьирования государственных расходов.
Большая часть государственных расходов определена через обязательства на законодательной основе (например, через обязательства по выплате зарплаты чиновникам). В общем «диапазон варьирования» государственных расходов оценивается в 10-20% их совокупной величины. В него входят прежде всего инвестиционные расходы государства, являющиеся наиболее- приемлемым инструментом конъюнктурной политики, так как могут варьироваться посредством выбора подходящего времени (timing), определяемого динамикой экономического цикла. При этом необходимо учитывать следующие аспекты.
(1) Большая часть значимых для конъюнктурной политики инвестиций осуществляется местными органами власти, на которые федерация и федеральные земли ФРГ оказывают лишь косвенное (через финансовую помощь) влияние. При этом потребность в удовлетворении коммунальных нужд, например в строительстве здания местного совета или ремонте дороги, может оцениваться местными властями как неотложная потребность, в силу чего могут возникать конфликты между необходимостью конъюнктурной политики и местными нуждами.
(2) От инвестиций общественных органов, которые часто являются капиталовложениями в инфраструктуру, в немалой степени зависит будущий рост экономики в целом или данного региона. Из-за отсрочки или даже отсутствия инвестиций в длительном периоде могут возникать нежелательные ограничения возможностей роста (см. гл. 28, раздел 3).
(3) В политическом плане возможно (и осуществимо) повышение государственных расходов и снижение налогов в ситуации депрессии, но невозможно снижение государственных расходов и повышение налогов в условиях бума (асимметрия «антициклической» фискальной политики).
4. Автоматические стабилизаторы
Если государство с опасением относится к повторяющимся вмешательствам в экономический процесс, имеется возможность встраивания в целях антициклического воздействия в систему налогов и расходов так называемых «автоматических стабилизаторов» (могут использоваться и для осуществления антициклических мероприятий).
В случае с налогами такое стабилизирующее воздействие имеет место в тех случаях, когда налоговые поступления (благодаря определенной системе налоговых ставок) реагируют на колебания национального продукта без изменения налогового законодательства. Данный тезис представлется очевидным, если представить, что при прогрессивной ставке налога налоговые поступления (в связи с ростом объекта налогообложения) постоянно возрастают.
При использовании важнейшего вида налогов — подоходного налога — это означает, что чистый рост доходов всегда меньше их валового роста. В контексте конъюнктурной политики подобное воздействие оценивается позитивно, в долгосрочном плане (в «длительном периоде») необходимо учитывать его возможное негативное влияние на экономический рост.
Автоматические стабилизирующие воздействия возможны и в случае с государственными расходами (их уменьшение в период бума и увеличение во время рецессии, что не предполагает принятия особых законодательных мер). Так, всегда оказывают антициклическое воздействие некоторые элементы системы социального обеспечения ФРГ (трансфертные платежи). Например, в период рецессии или даже в ситуации депрессии платежи из фонда страхования безработицы противодействуют углублению экономического спада, так как платежеспособный спрос их получателей если и изменяется, то незначительно. Во времена высокой занятости страховые платежи практически не осуществляются; напротив, рабочие и служащие регулярно платят страховые взносы.
Но не следует переоценивать рассмотренные нами «автоматические стабилизаторы». По мнению кейнсианцев, сами по себе они недостаточны для преодоления неблагоприятной динамики конъюнктуры в рыночной экономике.
Поэтому необходимо применение других средств, в том числе инструментов денежной политики.
5. Закон о стабильности
5.1. Основные принципы
Осознание возможности влияния государства для достижения целей экономической политики (на основе кейнсианской теории) на экономический процесс через изменение доходов и расходов обусловило принятие в 1967 г. в ФРГ Закона о стабильности (Закона об обеспечении стабильности и роста экономики — ЗОСРЭ), определившего политические нормы действий в данной сфере. Закон был принят после длительных нелегких дискуссий с экономистами и политиками, приверженными тезису об опоре на саморегулирование экономики. С распространением монетаристских практическое значение Закона о стабильности уменьшилось. В современных условиях в ФРГ применяются некоторые элементы среднесрочного финансового планирования и действуют такие институты, как Совет по финансовому планированию и Совет по конъюнктуре (см. разделы 5.3 и 5.4.1).
В соответствии с § 1 ЗОСРЭ,
«Осуществляя экономическую политику, федерация и федеральные земли должны учитывать необходимость достижения народнохозяйственного равновесия. Политика должна проводиться таким образом, чтобы в рамках рыночной экономики она одновременно способствовала стабильности уровня цен, высокому уровню занятости и внешнеэкономическому равновесию при устойчивом и адекватном (экономической ситуации) экономическом росте».
При этом федерация и федеральные земли обязаны прямо стремиться к достижению вышеназванных целей, что является весьма важным фактором экономической политики, поскольку раньше в соответствии с § 1 федеральные земли проводили обычно скорее параллельную, чем антициклическую фискальную политику. И муниципалитеты, и союзы муниципалитетов обязаны, согласно ЗОСРЭ (§ 16), преследовать цели стабильности цен, полной занятости, экономического роста и внешнеэкономического равновесия.
Выполняя эти постановления, а также инструкции, которые будут перечислены ниже, об использовании соответствующих средств, о среднесрочном финансовом планировании и о создании Совета по конъюнктуре, фискальная политика должна соответствовать принципам кооперативного федерализма.
5.2. Инструменты Закона о стабильности
Для достижения названных в § 1 целей в ЗОСРЭ предусмотрен обширный перечень средств экономической политики. Мы начнем с «охлаждающих», т. е. ограничительных (рестриктивных), мероприятий.
(І)Согласно § 26, № 3, наиболее радикальной мерой является повышение поступлений подоходного налога с физических лиц и налога на прибыль максимум на 10 % (именно поступлений, а не ставок этих налогов!), что оказывает косвенное воздействие в сторону снижения (частного) эффективного спроса.
(2) Для ограничения спроса на инвестиционные блага предусмотрена временная отмена дегрессивной амортизации, а также частичная или полная отмена особой амортизации (§ 26, № 3). При осуществлении данных мероприятий при прочих равных условиях, в первые годы увеличивается налогооблагаемая прибыль, а значит, и объем налоговых платежей налогов.
(3) Кроме того, возможно увеличение предоплаты налогов — и подоходного налога, и налога на прибыль (§26, № 1,2; §27; § 28, № 1). Таким образом уменьшаются выгоды налогоплательщиков, обязанных платить подоходный налог и налог на прибыль (своевременное налогообложение).
(4) Применительно к государственным расходам ч. 1 § 6 уполномочивает Федеральное правительство замедлять осуществление общественных мероприятий или откладывать их начало. Высвобождающиеся средства используются для возврата долгов или депонируются на счетах Центрального банка. Таким образом государство имеет возможность непосредственно уменьшать эффективный совокупный спрос.
(5) Для того чтобы избежать расширения спроса, превышающего производственные мощности экономики, согласно ч. 2 § 5, необходимо использовать средства для уплаты долга Центральному банку или внести их в Фонд резервов для сглаживания конъюнктуры (ФРСК) (данное мероприятие является добровольным). Наряду с этим Федеральное правительство по § 15 может обязать федеральные органы власти и федеральные земли к пополнению ФРСК. Если происходит упомянутое в пункте 1 повышение подоходного налога с физических лиц и налога на прибыль, дополнительные доходы направляются в ФРСК (обязательный платеж в ФРСК). Ожидается, что предпринятые меры будут иметь следующие последствия:
¦ «замороженные» или использованные для уплаты долга денежные средства не могут использоваться государством для воздействия на спрос (влияние на спрос). Это имеет особое значение в случаях, когда налоговые доходы государства в фазе бума (не в последнюю очередь из-за описанных выше автоматических стабилизирующих воздействий) значительно повышаются;
¦ кроме того, «замораживание» денежных сумм оказывает косвенное воздействие на сдерживание спроса (влияние на денежную массу; см. гл. 17 и 18). Так как уплата долга производится Центральному банку, а также ФРСК, а денежные средства находятся на счетах ЦБ без начисления процентов, сокращаются возможности коммерческих банков для будущих выдач кредитов (имеет место блокирование средств).
(6) Относительно эффективным средством является ограничение (в соотвествии с § 19-25 ЗОСРЭ) возможностей получения кредита органами власти разных уровней. Федеральное правительство имеет право установить порядок (максимальный срок — один год), согласно которому государственные органы имеют право на кредиты в объеме не более 80 % от полученных ими в течение последних пяти лет среднегодовых ссуд («долговой потолок»). Интересно, что в перечень этих органов включены также муниципалитеты, причем 10 % максимальной суммы, которые они могут взять в кредит, обязательно резервируются для удовлетворения их особых финансовых потребностей.
Большинство экспансионистски воздействующих инструментов соответствуют ограничительно воздействующим средствам с обратным знаком.
(1) Снижение подоходного налога с физических лиц и налог на прибыль в объеме 10 % (не более чем на один год).
(2) Воздействие на спрос на инвестиционные блага осуществляется несимметрично. Здесь возможно предоставление инвестиционных бонусов (инвестиционных премий) всем предприятиям в объеме до 7,5% издержек приобретения или производственных издержек (§ 26, № 3). На практике имеет место вычет из налоговых отчислений по налогу на прибыль, так что инвестиционные издержки существенно снижаются. Данное предписание, впрочем, благоприятствует только предпринимателям, которые действительно платят налоги, т. е. зарабатывают прибыль. Возможно, что инвестиционные бонусы способствуют развитию предприятий, и без того занимающих на рынке доминирующие позиции.
(3) Возможно снижение задним числом авансовых налоговых отчислений (авансов подоходного налога, налога на прибыль, ч.І, 2, § 26; § 27; ч. 1, § 28).
(4) В случае ухудшения общеэкономической ситуации, угрожающего сформулированным в § 1 целям, Федеральное правительство имеет право на осуществление дополнительных расходов (ч.2, § 6). Такие расходы могут финансиро-
' ваться из ФРСК (§ 5; ч. 2, § 6, если имеются соответствующие средства) или через дополнительные кредиты до DM 5 млрд, использование которых регламентируется министром финансов. Но эти дополнительные расходы могут использоваться только для достижения целей, уже предусмотренных в рамках среднесрочного финансового планирования (программа «в ящике стола»).
5.3. Среднесрочное финансовое планирование (СФП)
Для того чтобы бюджеты федерации, федеральных земель и муниципалитетов не были излишне ориентированы на повседневные потребности, они основываются на многолетнем (пятилетием) финансовом планировании. В отражающих их содержание документах описываются (для пятилетнего периода) объем и структура запланированных расходов (структурирование осуществляется по областям задач, т. е. ориентировано на функции) и их финансирование с учетом народнохозяйственных возможностей. Основой СФП служат разработанные министерствами инвестиционные программы, которые классифицируются по степени неотложности и по годам.
Финансовый план федерации составляется и обосновывается министром финансов и одобряется Федеральным правительством. План является программой действий правительства, которая не носит обязательного характера. Между прочим, правительство обязано адаптировать финансовый план к текущей экономической динамике {данные истекшего бюджетного года не учитываются и для дополнительного года определяются новые показатели). То же самое имеет силу для земель и муниципалитетов. Благодаря СФП облегчается своевременное применение государственных расходов как средства антициклической политики, поскольку экономические субъекты получают представление о перспективах политики в области доходов и расходов, что облегчает «приспособление» средств конъюнктурной политики к нуждам текущей ситуации, предприятия ориентируются на долгосрочные потребности. Таким образом, СФП может служить ориентиром для парламента и для частного сектора экономики.
5.4. Органы координации
5.4.1. Совет по конъюнктуре (§ 18, 22 ЗОСЭР)
Создание Совета по конъюнктуре предусмотрено § 18 Закона о стабильности. В его состав входят федеральный министр экономики и финансов (председатель), по одному представителю каждой федеральной земли и четыре представителя муниципалитетов и союзов муниципалитетов. Право участия в заседаниях имеет также Бундесбанк. Задачи Совета состоят в обсуждении:
а) всех мероприятий конъюнктурной политики, необходимых для достижения целей § 1 Закона о стабильности, и
б) возможных кредитных потребностей общественных бюджетов.
Вскоре после своего возникновения Совет по конъюнктуре разделился на собственно Совет по конъюнктуре [область задачи а)] и Совет по кредиту [область задачи б)], причем перед последним была поставлена цель определения временной структуры получения кредитов общественными органами. Вскоре из Совета по кредиту выделилось самостоятельное ведомство Комиссия по кредитным проблемам общественных органов.
Так как заключения Совета по конъюнктуре носят исключительно рекомендательный характер, его политический вес относительно невелик. Рекомендации Совета способствуют осознанию экономическими субъектами учитывающей конъюнктуру экономической политики, из чего вытекает некая необходимость действий. Но в конечном счете местные и региональные органы власти руководствуются собственными интересами, а также (нередко) соображениями, продиктованными их партийной принадлежностью.
5.4.2. «Концертированная кампания»
«Концертированной кампанией» называются одновременные, согласованные друг с другом действия региональных и местных органов, профсоюзов и союзов работодателей по § 3 ЗОСЭР. В целях создания почвы для таких действий Федеральное правительство предоставляет ориентировочные данные, призванные отражать текущую общеэкономическую ситуацию. К основным задачам концер-тированной кампании относятся достижение «участвующими группами» осознания своей взаимозависимости, объяснение ими своих целей и, что особенно важно, согласование поведения в области ценовой политики и политики зарплаты. «Концертированная кампания» оценивается как шаг вперед по сравнению с ситуацией, имевшей место перед принятием Закона о стабильности, тем более что в ФРГ работодателям и профсоюзам гарантирована автономия в области установления ставок заработной платы. Федеральное правительство не имеет других возможностей для прямого влияния на образование доходов во внебюджетной сфере и, таким образом, на распределение национального продукта. Например, вопрос стабилизации в области зарплаты остается открытым. Но институционализированные переговоры все же лучше, чем их отсутствие. Однако исходные ожидания относительно концертированной кампании не оправдались. С осени 1977 г. она бойкотируется профсоюзами из-за конституционного иска работодателей, направленного против участия наемных работников в стратегических решениях предприятий (Miibestimmung).
6. Проблемы фискальной политики
Фискальная политика постоянно подвергается критике, и в частности, по следующим аспектам:
(1) Принципиальный отказ от фискальной политики порождается уверенностью в стабильности частного сектора (см. гл. 11 и 13) и наличием исключительно дестабилизирующих последствий государственного вмешательства.
(2) Исходя из гипотезы вытеснения фискальная политика рассматривается как нецелесообразная. Напомним, что в соответствии с ней финансирование повышения государственных расходов за счет дополнительной эмиссии государственных долговых обязательств в конечном счете приводит не столько к увеличению, сколько к уменьшению национального продукта (см. гл. 12.4.4).
(3) Целесообразность антициклической фискальной политики весьма сомнительна в тех случаях, когда по политическим причинам ее симметричное проведение неосуществимо, т. е. в период депрессии невозможно кредитное финансирование повышения государственных расходов (или снижение налоговых ставок), а в фазе подъема — погашение государственных долгов при снижении государственных расходов (или повышение налоговых ставок). Именно об этом свидетельствует опыт проведения антициклической фискальной политики в ФРГ в конце 1960 — начале 1970-х гг., когда предпринимаемые меры имели,скорее, проциклические последствия.
(4) Опасность проциклического воздействия регулируемой антициклической фискальной политики возникает и тогда, когда при ее осуществлении возникают продолжительные и неконтролируемые временные лаги (см. табл.16.1).
|
Таблица 16.1. Лаги экономической политики |
|
Лаги экономической политики (total policy lag) |
|
Внутренний лаг (inside lag) |
Внешний лаг (outside lag) |
|
Лаг действий (policy preparation lag) |
Лаг внедрения
(administrative, instrumental, intermediate lag) |
Лаг воздействия (policy effect lag) |
|
Лаг опознания (recognition lag) |
Лаг акции (action lag) |
Лаг реакции
со стороны адресатов (reaction lag) |
Лаг продвижения со
стороны адресатов (operational tag) |
|
Лаг диагностики (diagnostic lag) |
Лаг прогноза (prognostic lag) |
Лаг мероприятий
(plan-ning lag) |
Лаг решения (decision lag) |
Законодательное оформление и практическое проведение мероприятий. Соучастие подчиненных региональных органов, ведомств и т.д а
также автономных социальных групп (объединений работодателей, профессиональных союзов), национальных компетентных органов (Центрального банка) и международных организаций (МВФ, ВТО). Преодоление юридического (указы, контроль за соблюдением законности)и практического сопротивления (бойкотирование, протесты) |
Идентификация запланированных и осуществляемых мероприятий и сбор информации. Определение степени влияния мероприятий.
Прогноз возможных выгод и потерь. Определение степени необходимости действий и принятие решений о проведении конкретных мероприятий. Подготовка к осуществлению мероприятий (внесение предложений, заключение или расторжение контрактов, выдача заказа) |
Указания руководящих органов предприятий функционирующим подразделениям, отделам и т.д. Подготовка к работе в изменившихся условиях, планирование, координация, достижение целевых значений дохода, имущества и потребления. Преодоление сопротивления внутри предприятий, например, при запланированных увольнениях, приеме на работу, сверхурочной работе, планов рационализации. Преодоление сопротивления вне предприятий, например закрытие или расширение существующих компаний, создание новых компаний, экологические проблемы |
Идентификация нежелательных ситуаций и изменений. Сбор информации о различных аспектах проблемы, а также анализ
объясняющих ее теорий и условий применения практических рекомендаций. Объясне--ние сложившегося
положения
(анализ
причин) |
Прогноз развития событий в будущем при отказе от мероприятий экономической
политики (прогноз status quo). Выбор определенного результата прогноза и его
сравнение с
политиче
скими
целями. Определение степени |
Нахождение альтернативных комбинаций «цели-средства» (анализ воздействий). Выявление мероприятий, направленных на
достижение
поставленных целей (программирование). Прогноз процесса воздействия намеченных мероприятий (прогноз воздействия) |
Основанный на результатах анализа воздействий выбор альтернативных мероприятий.
Окончательный отбор конкретных целевых переменных.
«Проталки
вание»
программы в партии,в парламенте и т. д. |
|
Время->
Источник: Berg Н., Cassel D. Theorie der Wirlschaftspolitik/ /Vahlens Kompendium der Wirtschaftsthorie und Wirlschaftspolitik. Bd. 2. 5. Aufl. Miinchen, 1992. S. 225. |
Глава 16
4 необходимо время для осознания несоответствия между экономической ситуацией и целями экономической политики (лаг опознания);
¦ после принятия решения о необходимых действиях и проведением соответствующих мероприятий проходит некоторое время (лаги акции и внедрения);
¦ воздействие предпринятых мер на уровень безработицы или темпы инфляции занимает определенный период времени (лаг воздействия);
(5)Отказ от антициклической фискальной политики позволяет осуществлять средне- и долгосрочную фискальную политику (например, устойчивое повышение государственных расходов при высоком уровне безработицы). Очевидно, что проведение такой политики сопряжено с определенными трудностями, например растущее процентное бремя ограничивает набор доступных государству мер. Но в сравнении с возможными положительными последствиями (прежде всего достижение народнохозяйственной цели полной занятости, способствующей экономическому росту и увеличению собираемости налогов) они представляются незначительными.
Список основных понятий
¦ Антициклическая фискальная политика
¦ Проциклическая фискальная политика
¦ Бюджетный дефицит
¦ Метод «у источника дохода»
¦ Конъюнктурная надбавка
¦ Эффект захвата
¦ Фонд страхования безработицы
¦ Закон о стабильности
¦ Кооперативный федерализм
¦ Долговой потолок
¦ Инвестиционные бонусы
¦ Программа «в я шике стола»
¦ Гипотеза вытеснения
¦ Временные лаги
¦ Средне- и долгосрочная фискальная политика

3) Объясните, как повышение налогов может повлиять на спрос домохозяйств? В чем заключается неопределенность, касающаяся эффективности подобного мероприятия?
4) Насколько точным является утверждение о том, что изменение государственных расходов оказывает более непосредственное влияние на конъюнктуру, чем варьирование налогов?
5) В чем состоят перспективы оживления конъюнктуры при помощи изменений политики амортизационных отчислений?
6) Опишите роль подоходного налога как автоматического стабилизатора.
7) Опишите на примерах проблемы, которые могут возникнуть из-за связанных с фискальной политикой временных лагов.
8) В чем вы видите преимущества и недостатки предусмотренного Законом о стабильности ограничения возможностей получения кредита общественными органами?
9) Обсудите предусмотренные Законом о стабильности возможности ограничительной конъюнктурной политики.
10) В чем состоят принципиальные проблемы кейнсианской фискальной политики?
I. - . . ....... • 4
¦ Общий обзор мероприятий фискальной политики содержится в учебниках вводного уровня:
Дорнбуш Р., Фишер С. Макроэкономика. М., 1997.
Самуэльсон П. А., Нордхаус В. Д. Экономика. М., 1997.
¦ Анализ фискальной политики в условиях переходной экономики представлен в работе:
Анбегова И. М., Емцов Р. Г., Холопов А. В. Государственная экономическая политика. М„ 1998.
¦ Роль фискальной политики в борьбе с инфляцией раскрыта во второй части книги:
Малкина М. Ю. Инфляция: теория и практика, история и современность. Нижний Новгород, 1998.

ПОНЯТИЯ, ИНСТИТУТЫ И РЫНКИ ДЕНЕЖНОГО СЕКТОРА


Какие функции выполняют деньги и какие терминологические разграничения
следуют из этого?
¦ В чем состоит значение денег как единицы счета, средства обмена и средства сохранения ценности?
¦ В чем состоит разница между товарными и кредитными деньгами?
¦ Какие виды денег существуют сегодня?
¦ Что понимается под денежной массой в ФРГ (в РФ) и каковы тенденции ее изменения?
Какие важнейшие институты сферы денежного обращения принято выделять?
¦ Кто является важнейшим экономическим субъектом денежной сферы?
¦ В чем состоит основная функция коммерческого банка?
¦ Что является главной задачей Немецкого Бундесбанка (ІЛентрального банка России)?
¦ В чем состоят преимущества и недостатки независимого Нейтрального банка?
¦ Какие основные виды рынков кредита существуют в ФРГ (РФ)?

1. Функции денег
1.1 Единица счета
Хотя в предыдущих главах мы исследовали экономический кругооборот преимущественно «со стороны благ», мы все время использовали одну из функций денег — функцию единицы счета: с ее помощью мы приводили к «единому знаменателю» выращенные яблоки, произведенное оборудование и автомобили, т. е. делали их сравнимыми, что требуется, к примеру, для их суммирования в показателе национального продукта.
Следовательно, функция денег как общей единицы счета состоит в том, что все экономические ценности могут быть выражены в денежных единицах (например, в рублях), что позволяет непосредственно сравнивать их или суммировать.
Использование денег как общей единицы счета дает нам огромное преимущество. Задумайтесь, сколько меновых пропорций нам пришлось бы «держать в голове» в отсутствие общей единицы счета? Для того чтобы получить полное представление о возможностях обмена только 20 благ, необходимо установить 190 меновых отношений. Нам пришлось бы определить:
¦ сколько единиц блага 1 меняется за одну единицу блага 2, 3 ... 20,
¦ сколько единиц блага 2 меняется за одну единицу блага 3,4 ... 20,
¦ сколько единиц блага 3 меняется за одну единицу блага 4, 5 ... 20,
¦ сколько единиц блага 19 меняется за одну единицу блага 20.
Напротив, при использовании денег как общей единицы счета необходимо только 20 денежных цен, которые дают ту же информацию, что и 190 меновых отношений. Если известно, что благо 1 стоит 5 немецких марок за единицу, а благо 10 — 20 марок за единицу, очевидно, что 1 единицу блага 10 можно обменять на 4 единицы блага 1.
1.2. Обшее средство обмена
Другая важнейшая функция денег вытекает из того, что наша экономика является высокоспециализированной меновой экономикой. Если каждый экономический субъект самостоятельно производил бы все необходимые ему блага, отсутствовала бы и объективная потребность в деньгах: в экономике, состоящей только из обеспечивающих все свои нужды субъектов (т. е. из «замкнутых домашних хозяйств»), обмена благ не происходит. Но когда отдельные экономические субъекты специализируются на производстве определенных благ (при предположении, что они в обмен на них получат от других производителей необходимые им товары и услуги), замкнутое домашнее хозяйство преобразуется в меновую экономику.
Если такая, основанная на разделении труда, экономика состояла бы из двух экономических субъектов, она могла бы обходиться без денег. Но уже при трех участниках в экономике, основанной на разделении труда, натуральный обмен становится слишком сложным. Рассмотрим следующий пример. Предположим, что экономика состоит из трех экономических субъектов — крестьянина, мельника и портного. Предположим, что крестьянин производит молоко, мельник — хлеб, и портной — одежду. Крестьянин желает обменять часть произведенного молока на хлеб, мельник — приобрести за часть своего хлеба одежду, а рассчитывает получить за некоторые предметы одежды молоко.
|
|
Планирует получить |
Предлагает |
|
Крестьянин |
Хлеб |
Молоко |
|
Мельник |
Одежду |
Хлеб |
|
Портной |
Молоко |
Одежду |
Видно, что крестьянин не может удовлетворить все свои потребности через прямой обмен с мельником. То же самое происходит с мельником и портным. Большинство сделок в форме натурального обмена носят косвенный характер. Крестьянин, который в принципе желал бы приобрести хлеб, должен сначала получить одежду от портного, и лишь после этого он получает возможность приобрести хлеб у мельника. Пример наглядно показывает, что натуральный обмен уже между тремя экономическими субъектами порождает немалые трудности. При большем числе экономических субъектов (не говоря уж о миллионах в современной экономике) такой натуральный обмен был бы практически неосуществим.
Но все проблемы исчезают в том случае, когда стороны используют общепризнанное платежное средство. В вышеприведенном примере крестьянин продал бы излишки молока за деньги портному и купил бы на них у мельника желаемый хлеб. Увеличение числа экономических субъектов никак не отражается на обменах между ними. Очевидно, что современная экономика может быть представлена только как денежное хозяйство.
1.3. Средство сохранения ценности
Мы констатировали, что в денежной экономике натуральный обмен товаров замещается отношением товар—деньги—товар.
При этом между продажей и покупкой товаров теоретически может проходить любой промежуток времени. Деньги, полученные экономическим субъектом за проданный им товар, практически сохраняют его ценность до желаемого момента времени: следовательно, деньги являются также средством сохранения ценности при условии, что они не теряют постоянно свою покупательную силу из-за повышения уровня цен. В случае отсутствия стабильности цен (их роста) ко времени последующей покупки мы в итоге получаем меньше благ, чем отдали, что ставит под угрозу выполнение деньгами функции средства платежа. Отсюда видно, как опасна постоянная инфляция в высокоспециализированной экономике (см. гл. 25).
В отсутствие инфляции деньги выполняют одновременно следующие функции: средства (единицы) счета, средства обмена и средства сохранения ценности.
В экономической истории, однако, существует достаточно примеров того, что деньги не выполняли своих функций. Так, например, в Германии во время последовавшей после Первой мировой войны высочайшей инфляции марка выполняла только функцию средства платежа, тогда как единицей счета стал американский доллар, а средством сохранения ценности — реальное имущество, тот же доллар и другие иностранные валюты. После Второй мировой войны в период инфляции немецкая марка утратила и функцию средства обмена и в частном секторе частично была вытеснена «сигаретами как деньгами». Аналогично в России после освобождения в 1992 г. цен на товары и услуги выполнение всех денежных функций в некоторых секторах экономики перешло к американскому доллару.
2. Формы проявления денег '
В принципе функции денег могут выполняться разными объектами. Известно, что в разных странах в различные периоды их исторического развития в качестве денег выступали определенные виды раковин, шкуры зверей, соль, скот, кожа, металл, банкноты, разменная монета и безналичные деньги (мы перечислили важнейшие формы проявления денег). Но сами по себе функции денег позволяют нам вывести определенные технические требования, которые должен выполнять соответствующий им инструмент: делимость, годность, заменимость, редкость, трудность подделки и т. п. Ясно, что исторически наблюдавшиеся формы денег отвечали этим требованиям (к которым добавляется такое существенное экономическое требование, как устойчивость ценности) в различной степени.
Если классифицировать исторические разновидности денег по их материальной ценности, то образуются две группы:
¦ деньги, обладающие материальной ценностью;
¦ деньги, не имеющие материальной ценности, или неполноценные деньги.
Деньги, обладающие материальной ценностью, отличаются тем, что они являются вещественными (материальными) благами, и их ценность определяется вещественной ценностью денег как блага. Поэтому говорят также о товарных деньгах. В историческом развитии товарных денег можно наблюдать тенденцию к преобладанию металлических денег (особенно золотых и серебряных монет), которые в целом прекрасно удовлетворяют описанным техническим свойствам денежных инструментов. В деньгах же без вещественной ценности или в неполноценных деньгах происходит отделение ценности денег от их вещественной ценности. Так как деньги без вещественной ценности (их анализом нам еще предстоитза-няться) представляют собой всегда требования (в большинстве случаев — к банку), их называют также кредитными деньгами. Типичные формы проявления кредитных денег — банкноты и разменные монеты (неполноценные монеты), а также безналичные деньги (вклады на жиросчетах).
Первоначально по банкнотам существовало обязательство обмена на деньги с материальной ценностью: первые банкноты возникли за счет депонирования чеканного или нечеканного благородного металла у золотых дел мастеров, которые в обмен выдавали расписки — банкноты на ту же сумму. Далее появились частично покрытые банкноты, а затем совсем непокрытые. Сегодня одной из важнейших форм кредитных денег являются безналичные деньги, т. е. деньги жирооборота, которые представляют собой вклады до востребования в банках (обмениваемые по требованию владельца в банкноты). Так как эти требования к банку (задолженность банка) не заверяются подтверждающими документами, а «проявляются» лишь на счетах банков, они называются безналичными.
3. Определение денег
Необходимым критерием определения денег является выполнение ими функции средства обмена:
деньгами называются те виды активов, которые обычно принимаются для выполнения обязательств в рамках национального платежного оборота.
В соответствии с определением деньгами в настоящее время являются (см. схему 17.1):
¦ банкноты '
¦ монеты
¦ вклады до востребования (безналичные деньги или деньги жирооборота).
|
Деньги |
|
Банкноты |
Монеты |
Вклады до востребования в банках (безналичные деньги или деньги жирооборота) |
|
|
Схема 17.1. Виды денег в сегодняшней экономике |
В связи с деньгами жирооборота могут возникнуть сомнения по поводу их функции как платежного средства. Посредством денег жирооборота, как на это указывает и название («жиро-» — «giro» — означает круг), осуществляются платежи лишь в кругу определенных экономических субъектов. Следовательно, их нельзя использовать «всюду и всегда». Но исключать деньги жирооборота из определения денег означало бы признание в качестве средств обмена только так называемых законных платежных средств — банкнот (без ограничения) и монет (до определенного лимита: например, в России существуют копеечные монеты с номиналом до 50 коп., рублевые монеты с номиналом до 5 руб.). Такое ограничение термина «деньги» не рекомендуется: деньги жирооборота весьма распространены; посредством использования безналичных денег предъявляется большая часть общеэкономического спроса.
Когда акцент переносится на функции денег как средства сохранения ценности, часто подразумевается более широкое их определение. Первый шаг расширения
этого понятия (для ФРГ) предполагает включение в него срочных (краткосрочных) банковских вкладов (вкладов, предоставленных до истечения определенного срока). В пользу такого расширения термина «деньги» говорит прежде всего тот факт, что срочные вклады обычно приобретают функцию временного сохранения покупательной силы, следовательно, они практически полностью взаимозаменяемы по отношению к остальным формам денег. Правомерно предположить, что такие квазиденьги воздействуют на экономику практически так же, как банкноты, монеты и срочные вклады. Данное положение объясняет повышенное внимание к квазиденьгам как одному из объектов экономической политики.
Второй шаг расширения термина «деньги» предполагает включение в их определение, дополнительно к срочным вкладам, сберегательных вкладов с трехмесячным предварительным уведомлением об изъятии.
Но научная дискуссия на этом не заканчивается. Для наших целей достаточно знать, что существуют проблемы разграничения различных видов денег. Далее под деньгами мы понимаем только банкноты, монеты и вклады до востребования (т. е. исключаем срочные вклады и сберегательные вклады с предварительным уведомлением об изъятии).
4. Денежная масса (количество денег в обращении)
Анализ функции денег позволил заложить основу для описания видов или, что то же самое, агрегатов денег (денежных агрегатов). Центральный банк Германии — Бундесбанк — выделяет три денежных агрегата:
¦ денежный агрегат Ml,
¦ денежный агрегат М2,
¦ денежный агрегат М3.
Определение денежного агрегата Ml («количество денег в обращении», или же «денежная масса» в узком смысле) основывается на рассмотренном нами выше относительно узком определении денег, по которому деньгами считаются только банкноты, монеты и вклады до востребования в банках. Однако денежный агрегат Ml определяется не просто как совокупный запас этих видов денег у всех экономических субъектов. Круг учитываемых экономических субъектов уже, он включает в себя только денежные запасы не банков (производственных предприятий, страховых компаний, домохозяйств, государства). Из денежного агрегата Ml исключаются денежные запасы коммерческих банков, равно как и банкноты, хранящиеся в сейфах Бундесбанка. Данный подход объясняется целями теории денег, в соответствии с которой:
I необходимо определить воздействие денег на важнейшие общеэкономические величины.
Дело в том, что денежные запасы банковской системы не оказывают (по крайней мере, непосредственно) значительного влияния на динамику уровня цен, реальных
доходов и занятости, поскольку банки почти не предъявляют спрос на блага. На аналогичном основании не причисляют к денежной массе такие дополнительные запасы денег у не банков, как вклады до востребования государственных учреждений в Центральном банке (которые они обязаны были держать в ЦБ согласно закону). Данный подход определяется тем, что решения государства по поводу спроса на товары зависят не от денежных запасов, а от проводимой им экономической политики. Обобщая, можно констатировать, что денежный агрегат Ml определяется следующим образом:
Денежный агрегат Ml — это сумма запасов банкнот, монет и вкладов до востребования государства, домохозяйств и производственных предприятий за исключением вкладов до востребования государства в Центральном банке.
Наряду с денежным агрегатом Ml Бундесбанк ФРГ выделяет в своей статистике денежные агрегаты М2 и М3. М2 включает Ml и срочные вклады (до четырех лет); в М3 дополнительно к М2 входят сберегательные вклады с трехмесячным предварительным уведомлением об изъятии. Отсюда следует, что:
МО = банкноты и монеты
Ml = банкноты и монеты + вклады до востребования М2 = М1 + срочные вклады
М3 = М2 - + сберегательные вклады
Обзор денежных агрегатов ФРГ представлен в табл. 17.1.
Таблица 17.1
Динамика денежных агрегатов в ФРГ в 1985-1994 гг. (по состоянию на конец года, в DM млрд) |
|
Ход - |
1985 |
1989 |
1994 |
|
Объем в DM млрд |
|
|
|
|
МО (деньги Центрального банка) |
203,7 |
271,0 |
280,9 |
|
Ml |
314,7 |
450,7 |
764,1 |
|
М2 |
552,5 |
776,6 |
1282,7 |
|
М3 |
954,7 |
1225,6 |
1937,0 |
|
|
Источник: Monatsberichte der Deutschen Bundesbank. |
С переориентацией денежной политики (1974 г.) в качестве целевого ориентира денежной политики Бундесбанк использовал агрегат «деньги, выпущенные Бундесбанком»1. С 1988 г. Бундесбанк перешел к новой целевой переменной — к агрегату М3 (его динамику в последние годы см. на рис. 19.2 в гл. 19).
С недавнего времени Бундесбанк в своей текущей работе учитывает новое определение денежной массы — расширенный М3. Наряду с М3 агрегат содержит краткосрочные выраженные в немецких марках евровклады отечественных резидентов («населения»), находящиеся в иностранных филиалах и иностранных дочерних компаниях немецких банков. Кроме того, в него включают также.запасы краткосрочных банковских облигаций со сроком действия до одного года, находящихся на руках опять же отечественных резидентов.
По сравнению со странами с развитой рыночной экономикой в современной России структура денежной массы является более «отсталой» за счет большой доли наличности в общей денежной массе, причем в течение переходного периода этот показатель вырос примерно в 2 раза. В отличие от банковских вкладов наличные деньги характеризуются анонимностью их владельцев. Это их свойство весьма ценно для деятелей теневой экономики; таким образом, большая доля наличности в М2 и ее увеличение в значительной мере отражают криминализацию хозяйственной жизни страны, а также неразвитость и деградацию финансовой системы, проявляющуюся в неспособности банков предложить широкий спектр денежных активов. Такая неспособность является следствием инфляции (обесценивающей финансовые активы и снижающей стимулы к увеличению их количества и степень их разнообразия), а также рудиментом планового хозяйства, в котором банки выполняли лишь контролирующие и учетные функции. При этом реальная денежная масса (в отличие от номинальной) обесценилась в несколько раз, что создало ситуацию «денежного голода» для многих российских предприятий.
|
Таблица 17а. Структура и динамика денежной массы в РФ (в млрд руб.) |
---Год
Объем в млрд руб. |
1992 г.
(31 января) |
1995 г.
(1 января) |
1998 г.
(1 января) |
|
Денежная масса (М2), в том числе: |
1,08 |
97,8 |
¦ 388,2 |
|
наличные деньги в обращении (МО) |
0,19 |
36,5 |
130,4 |
|
безналичные средства |
0,89 |
61,3 |
257,8 |
|
Доля МО в М2 |
0,18 |
0,37 |
0,34 |
|
тЦрщка .17,1^
€Г*рукт)іэа~ и динамика МЖ-енежнбй .массив
Источник-. Обзор экономики России. Основные тенденции развития. 1993. IV. М„ 1994. С.ЗЗ. Российский статистический ежегодник. М., 1997. С. 541; Отчет Центрального банка Российской Федерации за 1997 г. М„ 1998. С. 198.
5. Институты и рынки денежного сектора в Федеративной Республике Германии
5.1. Институты денежного сектора
К институтам денежного сектора экономики наряду с Центральным банком (в ФРГ — Бундесбанк, в России — Центральный банк РФ) относятся все те институты (экономические субъекты), главная задача которых состоит в получении и предоставлении кредита. К ним относятся прежде всего коммерческие банки, анализ деятельности которых нам еще предстоит провести (в силу их огромного значения для денежной сферы). Кроме того, звеньями национальной финансовой системы выступают организации социального страхования, частные страховые компании и прочие финансовые посредники, которые также предоставляют и получают кредиты.
5.1.1. Немецкий Бундесбанк
Немецкий Бундесбанк (место нахождения — Франкфурт-на-Майне) был образован в соответствии с Законом о Бундесбанке (ЗББ) в 1957 г. из Банка немецких земель (правопреемника немецкого Рейхсбанка).
I Бундесбанк является Центральным банком ФРГ, органом, ответственным за денежную политику государства.
Главная задача Бундесбанка определена § 3 ЗББ:
(«Немецкий Бундесбанк, опираясь на полномочия в области денежной политики, которыми он обладает в соответствии с этим законом, регулирует денежное обращение и снабжение экономики кредитами с целью обеспечения валюты, а также денежный оборот с зарубежными странами».
Под «обеспечением валюты» в данном контексте понимается:
¦ обеспечение стабильной ценности денег внутри страны;
¦ обеспечение стабильной внешней ценности валюты (обменного курса). Приоритетной целью Бундесбанка является обеспечение стабильной ценности денег внутри страны, а следовательно, устойчивого уровня цен. Стабильность внешней ценности марки — следующая по значимости цель, которая совместима, например, с удорожанием марки в том случае, если в других странах наблюдается более высокая инфляция.
Наряду с обеспечением стабильности ценности денег Бундесбанк в соответствии с § 12 ЗББ обязан:
11 «При сохранении своих задач поддерживать федеральное правительство в макроэконо-11 мической политике. Но Бундесбанк не зависит от указаний федерального правитель-11 ства».
Следовательно, Бундесбанк должен поддерживать федеральное правительство в достижении целей экономической политики (см. гл. 16), если только он тем самым не ставит под угрозу свою главную цель — стабильность цен. Но федеральное правительство не имеет права распоряжаться Бундесбанком. Высшим органом Бундесбанка является Совет Центрального банка, определяющий его валютную и кредитную политику. Совет Центрального банка состоит из президента Бундесбанка, заместителя президента банка, прочих членов правления и президентов (федеральных) земельных центральных банков (филиалов Бундесбанка на территориях федеральных земель). Совет Центрального банка заседает еженедельно.
Исполнительным органом Бундесбанка является Правление, которое несет ответственность за выполнение заключений Совета Центрального банка, управляет и руководит Банком. Правление состоит из президента и вице-президента Бундесбанка, а также из восьми членов, которые должны иметь особую профессиональную подготовку. Президент и вице-президент, а также другие члены Правления Бундесбанка назначаются Президентом ФРГ по предложению федерального правительства. Президенты земельных центральных банков также назначаются Президентом ФРГ, но право выдвижения кандидатов имеет Совет Федерации. Члены Совета Центрального банка и Правления назначаются, как правило, на восемь лет.
Специалисты неоднозначно оценивают значительную степень независимости Центрального банка ФРГ. Центральный банк оказывает, как мы увидим, огромное влияние на экономические процессы. Некоторые ученые придерживаются, например, мнения о том, что именно Бундесбанк несет основную ответственность за кризисы 1967, 1975 и 1981 гг. В целях достижения стабильности цен ЦБ, например, против воли федерального правительства «переохладил» конъюнктуру. Поэтому критики автономии Центрального банка поднимают отнюдь не праздный вопрос: правильно ли, что такой орган, как ЦБ, который в принципе не контролируется ни федеральным правительством, ни парламентом, может принимать решения, противоречащие принятой органами государственной власти экономической политике?
Другие исследователи считают, что быстрые действия Центрального банка в области экономической политики возможны лишь при наличии автономии, его независимости от неповоротливых парламентских и бюрократических процессов. Кроме того, многие специалисты указывают на то, что современные воззрения руководства Бундесбанка сформировались под влиянием негативного инфляционного опыта Германии в 1918-1923 гг. и 1945-1948 гг. В прошлом государство в случае необходимости беспрепятственно привлекало Рейхсбанк к финансированию своих расходов (ЦБ предоставлял государству за титулы долговых обязательств рейхсмарки). Для того чтобы такие операции были невозможны или хотя бы затруднены, необходим автономный Бундесбанк. Наконец, некоторые эксперты полагают, что самостоятельность Бундесбанка носит весьма условный характер. Вряд ли ЦБ способен на протяжении длительного промежутка времени противодействовать экономической политике правительства без того, чтобы не поставить под угрозу свою независимость (через изменение Закона о Центральном банке).
В анализе взаимосвязей Центрального банка с внешней экономической средой и важнейших аспектов его деятельности мы будем опираться на упрощенный баланс этого института.
|
Упрощенный баланс Бундесбанка |
|
(1) Золото и чистые требования к ино- |
(5) Банкноты в обращении |
|
странным дебиторам |
|
|
(2) Требования (кредиты) к коммерчес- |
(6) Вклады (задолженность) коммерчес- |
|
ким банкам |
ких(м)банков |
|
(3) Требования (кредиты) к государ- |
(7) Вклады (задолженность) государ- |
|
ству |
ства(у) |
|
(4) Прочие части имущества (включая |
(8) Прочая задолженность (включая чис- |
|
реальное имущество) |
тое имущество) |
|
Итого = |
Итого |
Позиция (1) содержит валютные резервы Бундесбанка, которые используются для поддержки обменного курса немецкой марки (см. в связи с этим гл. 21 и 22). Чистые требования к иностранным дебиторам создаются посредством вычета из требований к иностранным дебиторам задолженности иностранным кредиторам. В дальнейшем в целях упрощения мы абстрагируемся от внешнеэкономических взаимосвязей.
Требования к коммерческим банкам (2) и вклады коммерческих банков (6) отражают особые отношения между коммерческими банками и Бундесбанком: коммерческие банки могут получать от Бундесбанка кредиты, чтобы распоряжаться выпущенными им деньгами (2). Кроме того, банки по закону обязаны держать так называемые «минимальные резервы» в форме беспроцентных вкладов до востребования в Бундесбанке в объеме определенной доли своих вкладов (деньги жирооборота коммерческих банков у ЦБ) (6). Таким образом, Бундесбанк является как бы «банком банков». Вклады государства (7) указывают на то, что Бундесбанк является также держателем государственной кассы. Позиции «Банкноты в обращении»
(5) и «Вклады коммерческих банков» (6) представляют собой выпущенные ЦБ деньги. Эти запасы денег, выпущенных ЦБ, у коммерческих банков и у не банков (включая монеты, но без денег государства, выпущенных ЦБ) часто называются денежной базой. Так как банкноты представляют собой документально подтвержденную задолженность ЦБ (даже в отсутствие права обмена банкнот, например, на золото), они находятся на правой стороне баланса Бундесбанка. Кроме как у ЦБ, банкноты в качестве задолженности не появляются ни у одного отечественного экономического субъекта. Данное обстоятельство отражает эмиссионную монополию Бундесбанка. § 14 закона о Бундесбанке гласит, что
I «Немецкий Бундесбанк имеет исключительное право эмиссии банкнот в сфере действия этого закона».
5.1.2. Коммерческие банки
Под коммерческими банками мы будем рассматривать те учреждения, краткосрочные задолженности которых используются в экономике как деньги. Банки получают и предоставляют кредиты, значит, они прежде всего торговцы требованиями и задолженностями. Наряду с предоставлением кредита банк продает определенные услуги за плату (например, услугу ведения счетов). Как и для других частных предприятий, цель экономической деятельности коммерческого банка состоит в максимизации прибыли. Важнейшим побочным условием при этом выступает сохранение платежеспособности (ликвидности). Основной источник прибыли банка — разница между процентами, которые он получает за предоставление ссуд (проценты по кредитам), и процентами, которые он платит за полученные деньги, особенно за вклады до востребования, срочные и сберегательные вклады (проценты по вкладам). Предоставленные коммерческими банками кредиты частично подтверждаются документами (т. е. существуют документы о долговом обязательстве), частично
Правовой статус ЦБ Российской Федерации определен в Конституции РФ, Федеральном законе «О Центральном банке Российской Федерации (Банке России)» и других федеральных законах. К основным элементам его правового статуса относятся следующие.
Врезка 17.2. ,
Правовой статус. Центрального банка Российской Федерации
¦ ЦБ РФ является публично-правовой организацией: он представляет собой юридическое лицо и выступает как субъект публичного права.
¦ Имущество ЦБ РФ, включая уставный капитал, является федеральной собственностью, однако полномочия по распоряжению этим имуществом принадлежат самому ЦБ РФ, а не федеральному правительству.
¦ ЦБ РФ — независимая организация, это — ключевой элемент его правового статуса, [что установлено, в частности, ст.1,2 и 5 упомянутого Закона «О Центральном банке Российской Федерации (Банке России)»]. Независимость ЦБ РФ проявляется в том, что:
а) ЦБ РФ не входит в структуру федеральных органов государственной власти;
б) ЦБ РФ обладает исключительным правом на осуществление эмиссии наличных денег и организацию денежного обращения;
в) ЦБ РФ осуществляет свои расходы за счет собственных доходов и не подлежит регистрации в налоговых органах;
г) государство не отвечает по обязательствам ЦБ РФ, а последний — по обязательствам государства (если они не приняли на себя такие обязательства);
д) федеральные и местные власти не имеют права вмешиваться в деятельность ЦБ РФ;
ж) ЦБ РФ имеет право защищать свой статус и свои полномочия в судебном порядке.
¦ ЦБ РФ подотчетен Государственной Думе РФ, которая назначает на должность (и освобождает от нее) его Председателя и членов Совета директоров. Прй этом соответствующие кандидатуры выдвигаются Президентом России.
В заключение можно отметить, что правовой статус ЦБ РФ, в том числе степень его независимости, в целом соответствуют стандартам развитых стран Западной Европы. Источник',
^.Врезка 17*3, :
Функции Центрального банка Российской .. Федерации' ^; ~
Основные функции ЦБ РФ определены в ст.4 Федерального закона *0 Центральном банке Российской Федерации (Банке России)». К важнейшим из них относятся:
¦ разработка и осуществление денежной политики, направленной преимущественно на обеспечение
нет. Типичным примером кредита, не подтвержденного документом, является так называемый контокоррентный кредит (кредит в форме отрицательного сальдо счета); типичным примером кредита, подтвержденного документом, являются облигации.
Упрощенный баланс коммерческого банка отражает его описанную выше экономическую деятельность;
|
|
Упрощенный баланс коммерческого банка |
|
(1) |
Банкноты и монеты |
(8) |
Вклады не банков ¦ вклады до востребования |
(2)
(3) |
Вклады в Бундесбанке
Вклады в других коммерческих банках |
(9) |
¦ срочные вклады
¦ сберегательные вклады
Задолженность другим коммер- |
|
(4) |
Чистые требования к иностранным дебиторам |
|
ческим банкам |
(5)
(6) |
Ценные бумаги
Кредиты клиентам |
(10) |
Задолженность Центральному банку |
|
(7) |
Прочее имущество (включая реальное имущество) |
(11) |
Прочая задолженность (включая чистое имущество) |
|
|
Сумма |
|
Сумма |
Поддержание платежеспособности предполагает, что коммерческий банк должен всегда иметь определенный запас банкнот на тот случай, если в определенный день выплаты клиентам превышают их вклады. Вклады в Бундесбанке (2) состоят в основном (т. е. примерно на 99%) из предусмотренных законом минимальных резервов, но коммерческие банки держат в нем в определенном объеме и так называемые «избыточные резервы», которые также учтены в (2). Эти избыточные вклады, с одной стороны, служат обороту переводов между разными коммерческими банками, с другой — представляют собой резервы для внезапно возникающих потребностей в купюрах (вклады до востребования в Бундесбанке можно всегда обменять на банкноты). Вклады в других банках (3), наряду с функцией расчета, выступают средством обеспечения платежеспособности (ликвидности) коммерческих банков. Так как нас будут интересовать только коммерческие банки в совокупности (система коммерческих банков), а в пределах одной экономики все вклады коммерческих банков взаимозачитываются, т. е. компенсируются, мы не учитываем вклады одних коммерческих банков в других коммерческих банках (долги банков друг другу).
Ценные бумаги (5) служат обеспечению ликвидности и получению процентных доходов. Какая из этих функций имеет большее значение, зависит от вида ценной бумаги. Основной доход коммерческим банкам приносят кредиты клиентам, но они являются практически полностью «неликвидными* во время всего
срока действия, так как их нельзя ни потребовать назад (ранее оговоренного срока), ни продать. Вклады не банков в коммерческих банках (8) являются обязательствами последних. Они подразделяются, как уже указывалось, на вклады до востребования, срочные и сберегательные вклады, причем признаком различий между ними служит установленный «срок неизъятия». Вкладами до востребования можно распоряжаться сразу, срочными и сберегательными вкладами — только после истечения установленного срока. Вклады являются для коммерческих банков особенно важными, так как они снабжают их наличностью, на основе которой они могут выдавать кредиты (см. гл. 18). -
5.2. Рынки денежного сектора
Рынки, на которых предлагаются кредиты всех видов и предъявляется спрос на них, называются кредитными рынками. Различаются рынки краткосрочных и долгосрочных кредитов. Граница между ними является плавающей.
В нашем контексте важнейшим кредитным рынком является так называемый «денежный рынок», который мы рассмотрим в деталях. Сначала необходимо отметить, что термин «денежный рынок» вводит в заблуждение, так как данный рынок отличается отнюдь не тем, что здесь посредством кредита деньги меняют своих обладателей (это характеризует все кредитные рынки). Особенность денежного рынка, наоборот, состоит в том, что на нем кредитные сделки осуществляются либо между коммерческими банками, либо между ЦБ и коммерческими банками (с не-
< ) -S*»?,***«1 < г: ¦ •
, ,Врёзка 17.4. ,
Кредитные рынки
По сравнению с кредитными рынками ФРГ кредитные рынки в РФ являются относительно неразвитыми. На них — ввиду общей социально-политической нестабильности, а также из-за инфляции — торговля долгосрочными кредитами играет очень незначительную роль. В частности, почти отсутствует ипотечное кредитование, которое распространено во всех промышленно развитых странах, включая ФРГ. Преобладающую роль на российских кредитных рынках играют государственные долговые обязательства. Среди них следует выделить следующие:
а) Государственные краткосрочные облигации (ГКО) — ценные бумаги, продаваемые с дисконтом (т.е. доход их покупателя формируется за счет разницы между ценой покупки и ценой погашения), срок обращения которых составляет преимущественно 3 мес. Эмитентом ГКО является Министерство финансов РФ, а их размещением занимается ЦБ РФ. В августе 1998 г. ГКО были реструктурированы.
б) Облигации федерального займа (ОФЗ) — купонные долговые обязательства. Существуют ОФЗ с постоянной и переменной купонной доходностью.
До 17 августа 1998 г. рынок ГКО-ОФЗ играл важнейшую роль в сфере торговли государственными долговыми обязательствами. Преобладание ГКО и ОФЗ на российс-
давнего времени организации социального страхования также являются рыночными партнерами Бундесбанка).
Денежный рынок состоит из двух тесно связанных между собой сегментов.
Первым сегментом является рынок, на котором коммерческие банки с избытком и недостатком ликвидности продают и покупают эмитированные ЦБ деньги. Рынок предлагает коммерческим банкам, у которых возникают краткосрочные проблемы неплатежеспособности (нехватка наличных денег, например, вследствие неожиданных требований денежных средств вкладчиками), возможность рефинансирования, а таким коммерческим банкам, которые владеют избытком наличности, — дополнительные возможности капиталовложений. По срочности предоставленных кредитов различаются рынки однодневных ссуд, рынки ссуд с возможностью повседневного востребования, рынки месячных ссуд, рынки трехмесячных ссуд и т. д. Бундесбанк не принимает участия в деятельности этих рынков.
Но Бундесбанк играет важную роль на втором сегменте денежного рынка, на котором продаются и покупаются определенные требования, закрепленные документами, — так называемые «бумаги денежного рынка» (операции Бундесбанка на открытом рынке, см. гл. 19). Бумаги денежного рынка — это краткосрочные ценные бумаги, по которым проценты выплачивает Бундесбанк. Важнейшими бумагами денежного рынка являются казначейские векселя (Schatzwechsel) и бескупонные казначейские облигации (Schatzanweisungen). Казначейские векселя являются документом краткосрочного государственного долга (срок действия от 3 до 6 мес.). Вместо прямого начисления процентов, как это имеет место по другим
ких кредитных рынках оказывало негативное влияние на экономику, поскольку они вытесняли (см. гл. 12, раздел 4.4) инвестиции в основной капитал, а также ценные бумаги частного сектора.
Кроме того, экстремально быстрое развитие рынка ГКО-ОФЗ резко увеличило бремя государственного долга и оказалось непосредственной причиной финансового краха 17 августа 1998 г. (см. также врезку 15.2).
Среди других подобных обязательств можно отметить:
в) государственные долгосрочные обязательства (ГДО) со сроком 30 лет, курс которых еженедельно корректируется в зависимости от рыночной конъюнктуры и которые не имеют хождения на вторичном рынке (бирже);
г) облигации государственного внутреннего валютного займа (ОГВВЗ), представляющие собой купонную ценную бумагу с фиксированной процентной ставкой и номиналом в валюте (долларах США);
д) облигации государственного сберегательного займа (ОГСЗ) со сроком обращения 2 года, направленные на привлечение средств частных лиц;
е) облигационные займы субъектов РФ; в настоящее время крупнейшими эмитентами являются С.-Петербург, Москва, Оренбургская область.
Другими объектами торговли на указанных рынках в РФ являются межбанковские кредиты, банковские депозиты, а также кратко- и среднесрочные банковские ссуды. Пока что мало продаются такие долговые обязательства, как чеки, депозитные сертификаты, облигации частных корпораций (компаний).
ценным бумагам, здесь происходит дисконтирование, т. е. вычет процентных начислений из цены, которую платит покупатель векселя. Казначейская облигация является кратко- или среднесрочным долговым обязательством регионального органа государственной власти. Краткосрочные казначейские облигации, как правило, являются бескупонными облигациями, т. е. проценты начисляются как по казначейским векселям — косвенно, и таким образом, что сумма возврата (номинальная стоимость) превышает покупную цену. К денежному рынку Бундесбанком также относятся выданные предприятиями краткосрочные векселя, выраженные в немецких марках (коммерческие бумаги, commercial paper).
На рынке бумаг денежного рынка ФРГ участвуют, с одной стороны, Бундесбанк, а с другой — коммерческие банки и (с некоторого времени) не банковские финансовые институты (прежде всего организации социального страхования). На этом втором сегменте рынка продаются и покупаются две категории бумаг денежного рынка: бумаги денежного рынка с обязательством выкупа со стороны Бундесбанка (таковыми являются все казначейские векселя и часть бескупонных казначейских облигаций) и бумаги денежного рынка без обязательства выкупа со стороны Бундесбанка (таковыми являются особые бескупонные казначейские облигации). Владельцы бумаг денежного рынка первой категории могут перед истечением срока действия продать их обратно Бундесбанку, а именно по цене, приносящей им незначительные потери (самая большая величина таких потерь — 1/ 4% в год). Бумаги данного вида являются наиболее ликвидными; меньшей ликвидностью обладают бумаги денежного рынка, на которые не распространяется обязательство выкупа со стороны ЦБ. Но так как по этим (менее ликвидным) бумагам Бундесбанк выплачивает более высокие проценты, они покупаются коммерческими банками. В последние годы, преследуя цель прекращения квазиавтома-тического поступления наличности, ЦБ ФРГ продавал банкам только титулы без обязательства выкупа.
Понятно, что между двумя сегментами денежного рынка существует тесная связь: никакой коммерческий банк не будет «залезать в долги» на одном рынке, если он имеет доступ к более «дешевым» деньгам на другом рынке. Иными словами, процентные платежи на обоих сегментах рынка взаимосвязаны.
Бегло рассмотрим прочие кредитные рынки.
На рынке кратко- и среднесрочных банковских кредитов коммерческие банки выступают как продавцы денег, а не банки как покупатели денег. Важнейшими сегментами рынка являются рынки контокоррентных кредитов, вексельных кредитов и ссуд.
На рынке банковских вкладов коммерческие банки выступают как покупатели наличности, которая необходима им для предоставления своих кредитов. Продавцами наличности являются не банки, которые хотят приобрести вклады до востребования, срочные и сберегательные вклады (требования).
Рынок долгосрочных кредитов состоит из рынка капитала и рынка прочих долгосрочных кредитов.
На рынке капитала (фондовой бирже) продаются и покупаются биржевые ценные бумаги: акции, а также промышленные и государственные облигации. Правом продавать (эмитировать на этом рынке) акции и промышленные долговые обязательства наделены только частные предприятия, экономические показатели которых соответствуют установленным (весьма жестким) правилам.
На рынке прочих долгосрочных кредитов продаются и покупаются главным образом ипотечные кредиты и другие виды ссуд.
Рис. 17.2 дает представление о важнейших национальных денежных рынках Германии.
|
Кредитные рынки |
|
Рынки кратко- и среднесрочных кредитов |
Рынки долгосрочных кредитов |
|
Денежные рынки |
Рынки банковских кредитов и банковских
вкладов |
Рынки
капитала |
Рынки
ипотечных
кредитов |
Рынки денег ЦБ,
продаваемых и
покупаемых
коммерческими
банками (т.е. рынки
межбанковских
кредитов) |
Рынки бумаг денежных рынков |
|
по которым по которым существует отсутствует |
|
обязательство выкупа со стороны Бундесбанка |
|
|
Рис. 17.2. Важнейшие виды кредитных рынков в ФРГ |
Список основных понятий
¦ Денежный агрегат
¦ Банк банков
¦ Денежная база
¦ Кредитный рынок
¦ Денежный рынок
¦ Бумаги денежного рынка
¦ Рынок капитала
¦ Банковские кредиты
¦ Банковские вклады

¦ Единица счета
¦ Обшее средство обмена
¦ Замкнутое домашнее хозяйство
¦ Общепризнанное платежное средство
¦ Средство сохранения ценности
¦ Кредитные деньги
¦ Временное сохранение покупательной силы
¦ Денежная масса
2) В чем вы видите преимущества денежной экономики по сравнению с меновой экономикой?
3) Каким образом можно классифицировать исторические разновидности денег?
4) Что такое законные платежные средства и почему нецелесообразно только их считать деньгами?
5) Что является задачей денежной теории?
6) Вкратце опишите и обсудите разные виды денежной массы (т. е. разные денежные агрегаты).
7) Каковы задачи Центрального банка?
8) Как вы оцениваете определенные в Законах о Центральных банках ФРГ и РФ ' отношения между Центральным банком и федеральным правительством?
9) Начертите схематично баланс Центрального банка.
10) Начертите схематично баланс коммерческого банка.

* ,1 ? '41 4х' , ЛМ»*>ч2а і.ліг^і'* Ъ'*,* ‘**1 >'3(? л, іг'? і$~+
ШШІіі
ОБЕСПЕЧЕНИЕ ЭКОНОМИКИ ДЕНЬГАМИ

Каковы источники денег в обращении?
¦ Как создаваемые Центральным банком деньги оказываются у других экономических субъектов?
¦ Как можно приобрести безналичные деньги коммерческого банка?
¦ Какие виды создания безналичных платежных средств необходимо различать?
Что относится к основным элементам денежного обращения?
¦ Существуют ли ограничения на создание денег Центральным банком?
¦ «Обеспечены» ли банкноты в ФРГ и в РФ?
¦ В каком объеме может предоставлять кредиты коммерческий банк?
¦ «Обеспечены» ли вклады до востребования, срочные и сберегательные вклады в коммерческом банке?
¦ Выполняют ли коммерческие банки в совокупности (система коммерческих банков) исключительно посреднические функции?
¦ Почему совокупный объем предоставляемых системой коммерческих банков кредитов превышает ее запасы наличных денег?
Какой объем ленежных средств предлагают коммерческие банки и на какое количество денег предъявляют спрос домохозяйства и производственные предприятия?
¦ От чего зависят возможности предложения кредитов коммерческим банком?
¦ Почему домохозяйства и предприятия держат свое имущество в форме беспроцентных денег?
¦ От чего зависит спрос домохозяйств и предприятий на деньги?
Какое влияние оказывают деньги на реальный сектор экономики?

1. Создание денег и их изъятие из обращения
В предыдущей главе мы, в частности, выяснили, что мы понимаем под деньгами, какие функции они выполняют, какие виды денежных агрегатов принято выделять и из каких рынков и институтов состоит денежный сектор в ФРГ. Читатель, возможно, уже задал себе вопрос: как, собственно, деньги попадают в обращение и уходят из него, т. е. как создаются деньги и как они изымаются из обращения?
В рамках денежного агрегата Ml мы различали банкноты, монеты и вклады до востребования (в коммерческих банках и в ЦБ). Право чеканки монет — монетную регалию — в ФРГ имеет федерация. Так как номинальная стоимость монет в общем существенно выше издержек их производства, федерация, как правило, получает доход от чеканки монет (сеньораж). Но федерация не имеет права чеканить монеты в любом объеме. В ФРГ монеты вводятся в обращение Бундесбанком: в объеме величины номинальной стоимости монет федерация получает от Бундесбанка наличные деньги, а Бундесбанк предоставляет монеты коммерческим банкам за наличные деньги. Так как введенные в обращение монеты по объему играют второстепенную роль (в 1994 г. — DM 14,7 млрд), в последующем анализе мы не будем их учитывать.
Прежде всего рассмотрим осуществляемые ЦБ процессы создания и изъятия денег.
1.1. Деньги Центрального банка ,
Деньги Центрального банка состоят из банкнот и денег жирооборота в ЦБ (вкладов до востребования в ЦБ). Как деньги ЦБ попадают к предприятиям, домохозяйствам и коммерческим банкам?
Четкое понимание механизма создания денег ЦБ и изъятия их из обращения предполагает анализ некоторых процессов возникновения денег Центрального банка и их влияния на балансы участвующих в нем экономических субъектов:
(1) Центральный банк покупает у производственного предприятия государственные долговые обязательства (ценные бумаги) равные по ценности 50 денежным единицам. Эта операция отражается в балансах участвующих в этом процессе экономических субъектов следующим образом:
|
Изменения в балансе Центрального банка |
|
Актив |
Пассив |
|
Увеличение |
Увеличение |
|
количества ценных |
количества |
|
бумаг |
банкнот в обраще- |
|
|
НИИ |
|
50 |
50 |
|
Изменения в балансе производственного предприятия
Актив Пассив |
|
Увеличе- |
Умень- |
|
|
ние коли- |
шение |
|
|
чества |
количе- |
|
|
банкнот |
ства |
|
|
|
ценных |
|
|
|
бумаг |
|
|
50 |
50 |
|
|
Через покупку ценных бумаг банкноты, т. е. деньги Центрального банка в объеме 50 единиц, попадают в не банковский сектор. Денежная масса увеличивается на 50. Создание денег ЦБ в том же объеме произошло бы и в том случае, если Центральный банк платил бы не банкнотами, а открытием вклада до востребования.
(2) ЦБ покупает у коммерческого банка девизы (срочный вклад в иностранном банке) в объеме 30 денежных единиц, расплачиваясь банкнотами.
В балансе коммерческого банка и ЦБ происходят следующие изменения:
|
Изменения в балансе Центрального банка |
|
Актив |
Пассив |
|
Увеличение объема |
Увеличение |
|
девизов |
количества |
|
|
банкнот в обраще- |
|
|
НИИ |
|
30 |
30 |
|
Изменения в балансе коммерческого банка
Актив Пассив
Через покупку девизов деньги ЦБ в объеме 30 единиц попали в коммерческий банк. Такое создание денег ЦБ произошло бы и в том случае, если бы Центральный банк заплатил ту же сумму, открывая вклад до востребования. Продажа девизов коммерческим банкам не изменяет объем денежной массы, так как запасы денег ЦБ в кассах или на счетах коммерческих банков не входят в ее состав (см. гл. 17). (Увеличение денежной массы может произойти впоследствии косвенным образом, если коммерческий банк, например, предоставит кредит предприятию). Данные рассуждения означают, что процессы создания денег и увеличения денежной массы совпадают далеко не всегда.
(3) ЦБ предоставляет коммерческому банку кредит в объеме 70 денежных единиц. Вследствие этой операции в балансах экономических субъектов происходят следующие изменения:
Изменения в балансе Центрального Изменения в балансе коммерческого
банка банка
цр
Шж
1996.
|
Увеличе- |
Умень- |
|
ние |
шение |
|
количе- |
объема |
|
ства |
девизов |
|
банкнот |
|
|
30 |
30 |
|
|
J |
|
Актив |
Пассив |
|
Увеличение объема |
Увеличение объ- |
|
кредитных требова- |
ема обязательств |
|
ний коммерческих |
перед коммерче- |
|
банков |
скими банками |
|
|
по вкладам до |
|
|
востребования |
|
70 |
70 |
|
|
Актив |
Пассив |
|
Увеличение объема |
Увеличение |
|
вкладов до востре- |
задолженности по |
|
бования в Цент- |
кредитам Цент- |
|
ральном банке |
рального банка |
|
70 |
70 |
|
Таким образом, изъятие Центральным банком денег из обращения происходит тогда, когда он продает имущество другим экономическим единицам или ему возвращают кредит, при этом происходит уменьшение его задолженности (денег в обращении или вкладов до востребования).
Следовательно, деньги ЦБ создаются и уничтожаются в ходе операций, в которых участвует сам Центральный банк, т. е. посредством взаимодействий ЦБ и других секторов экономики. Поскольку ЦБ не обязан производить соответствующие покупки или продажи и предоставлять кредиты, очевидно, что он имеет абсолютный контроль над количеством своих денег.
Если деньги ЦБ создаются за счет предоставления им кредита, при возврате кредита автоматически происходит их уничтожение. Тай как существенная часть денег ЦБ вводится в обращение посредством предоставления кредитов, одно только поддержание этого вида денежной массы на постоянном уровне означает, что Центральный банк постоянно осуществляет кредитование.
1.2. Деньги жирооборота (безналичные деньги) коммерческих банков
Безналичные деньги коммерческих банков являются вкладами до востребования в этих банках, т. е. речь идет о требованиях к кредитным учреждениям. Как создается такое требование, т. е. как создаются безналичные деньги коммерческих банков? Ответ на этот вопрос предполагает рассмотрение операций отдельного коммерческого банка.
Первая форма создания или уничтожения безналичных денег сопряжена с относительно пассивной его ролью: домохозяйство или предприятие приносит банкноты в банк (снимает банкноты со счета), т. е. происходит увеличение (уменьшение) суммы вклада до востребования клиента (пассивное создание или уничтожение безналичных денег). В балансах участвующих в этом процессе экономических единиц (уплата денег клиента X своему банку Y) происходят следующие изменения:
Изменения в балансе коммерческого Изменения в балансе домохозяйства Y
банка X
|
Актив Пассив |
|
У величе- |
Умень- |
|
|
ние |
шение |
|
|
суммы |
количе- |
|
|
вкладов |
ства |
|
|
до востребования |
банкнот |
|
|
в коммерческом банке X |
|
|
|
30 |
100 |
|
|
|
Т |
|
Актив |
Пассив |
|
Увеличение |
Увеличение |
|
количества |
объема обяза- |
|
банкнот |
тельств перед домохозяйством Y |
|
|
по вкладам до востребования |
|
100 |
100 |
Кроме того, процесс пассивного создания коммерческим банком безналичных денег включает в себя поступления и изъятия вкладов до востребования в ходе оборота переводов или перенесения бухгалтерских записей со счетов срочных и сберегательных вкладов на счета вкладов до востребования и наоборот. Для банковской системы в целом создание безналичных денег в рамках национального оборота переводов невозможно, так как здесь увеличение вкладов до востребования в одном банке в точности компенсируется уменьшением вкладов до востребования в другом банке.
Аналогичный вывод распространяется и на пассивное уничтожение безналичных денег. В конечном счете здесь тоже изменяется лишь структура денежной массы.
Для целей нашего исследования более важной является вторая форма создания денег коммерческим банком. Мы имеем в виду активное создание безналичных денег.
Активное создание безналичных денег коммерческим банком («активное» — поскольку коммерческий банк принимает самостоятельное решение: будет ли расширяться объем безналичных денег или нет) происходит тогда, когда он покупает активы у населения или предоставляет кредит и платит предоставлением вклада до востребования (который, как известно, является видом денег). Важнейший случай активного создания безналичных денег — предоставление банком кредита клиентам (в том числе потребительских кредитов). Как эта операция отражается в балансе, показано на следующей схеме (для упрощения предполагается, что коммерческие банки уже ко времени выдачи кредита, а не только при его использовании, предоставляют соответствующий вклад до востребования).
Другой пример активного создания безналичных денег коммерческим банком — покупка ценных бумаг (включая коммерческие векселя).
В общем, активное создание безналичных денег коммерческим банком происходит тогда, когда он покупает части имущества (активы) у других экономических субъектов или предоставляет кредиты и платит (бессрочными) обязательствами, которые являются деньгами. .
|
Изменения в балансе коммерческого банка X |
|
Актив |
Пассив |
|
Увеличение объема |
Увеличение |
|
кредитных требова- |
объема обяза- |
|
ний от домохозяй- |
тельств перед |
|
ства Y |
домохозяйством Y |
|
|
по вкладам до |
|
|
востребования |
|
100 |
100 |
|
|
Изменения в балансе домохозяйства Y |
|
Актив |
Пассив |
|
Увеличение суммы |
Увеличение |
|
вкладов до востре- |
задолженности по |
|
бования в коммер- |
кредитам коммер- |
|
песком банке X |
ческому банку X |
|
100 |
100 |
|
2. Ограничения на создание денег
Рассмотрение вопроса о создании и уничтожении денег предполагает анализ условий протекания этих процессов.
2.1. Потенциальные возможности Центрального банка в создании денег
За счет чего ЦБ «финансирует» создание своих денег, и существуют ли какие-либо ограничения для такого рода деятельности? Никаких прямых законодательных ог-
Врезка 18.1.
Платежная система Российской - Федерации ,'
Процессы введения в оборот денег Центрального банка и пассивное создание жироденег коммерческими банками РФ в принципе не отличаются от вышеописанных процессов в ФРГ. Платежи между предприятиями осуществляются главным образом в виде безналичных расчетов.
Основными формами таких расчетов являются расчеты платежными поручениями, в меньшей степени — платежными требованиями (по инкассо). Расчеты аккредитивами и чеками применяются в ограниченных масштабах. Большая часть платежей осуществляется через расчетную сеть ЦБ РФ.
Часть расчетов юридических и физических лиц осуществляется при помощи платежных карт, их применение получает все большее развитие (хотя оно и несопоставимо с оборотом таких карт в ФРГ и других промышленно развитых странах). Коммерческие банки эмитируют собственные платежные карты, карты российских систем (STB Card, Union Card, «Золотая Корона»), а также международные платежные карты, в частности VISA, Eurocard/MasterCard, Diners Club, JCB и American Express.
Расположенные на территории РФ кредитные организации (резиденты), имеющие лицензию ЦБ на совершение банковских операций, открывают только один корреспондентский счет в одном из его учреждений (в осуществляющих обслуживание расчетно-кассовом центре или операционном управлении). Филиалы кредитных организаций имеют корреспондентские субсчета, но некоторые филиалы осуществляют расчеты только через корреспондентский счет головного банка.
Для осуществления безналичных расчетов юридическим и физическим лицам открывают счета в коммерческих банках, в особых случаях юридические лица могут открыть счета и в учреждениях ЦБ РФ. Расчеты клиентов учреждений банков с клиентами других учреждений банков, их расчеты с бюджетом и внебюджетными фондами производятся через корреспондентские счета. Что касается расчетов между клиентами одного банка, то они осуществляются посредством списания или зачисления средств на соответствующие счета клиентов, минуя корреспондентский счет банка.
Расчеты между банками, расположенными в одном городе, или банками, обслужи- . ваемыми одним вычислительным центром, часто организуются через счет взаимных расчетов. Вся обработанная в установленном порядке в коммерческом банке информация по расчетно-денежным документам вводится в ЭВМ. На корреспондентском счете банка в расчетно-кассовом центре отражается только сальдо проведенных операций. Такие расчеты представляют собой вид локального клиринга.
Расчеты между расчетно-кассовыми центрами по операциям кредитных организаций, а также по их собственным операциям осуществляются через счета межфилиальных оборотов (МФО). Средством межфилиальных расчетов являются авизо по МФО. Источник:
раничений на рост количества денег Центрального банка в Германии не существует. Однако могут иметь место экономическіе ограничения. А каким образом ЦБ создает деньги (к примеру, при предоставлении кредита коммерческим банкам)? Если коммерческие банки стремятся к получению кредитов, предлагая ЦБ приобрести какие-либо части имущества, очевидно, что прямые экономические ограничения на создание денег Центрального банка отсутствуют. Ведь ЦБ платит деньгами, которые он сам создает, т. е. своей задолженностью, а именно задолженностью, которую никто не может от него потребовать и которая не подлежит никакому обязательному обмену (например, на золото). И все же существует одно косвенное ограничение на создание денег ЦБ. Как отмечалось выше, основная задача ЦБ (в соответствии с законом) — сохранение стабильности цен в экономике и (если это не противоречит главной задаче) поддержание федерального правительства в достижении его общеэкономических целей. Таким образом, создание денег ЦБ косвенно ограничивается возможностью того, что расширение денежной массы (денег Центрального банка) приводит к повышению цен.
В тесной связи с ограничениями на создание денег находится рассмотренная выше проблема «обеспечения» банкнот. В прошлом ЦБ был обязан по требованию экономических субъектов обменивать банкноты на драгоценный металл. Выполнение данного условия предполагало, что находившиеся во внутреннем обращении банкноты должны были в определенном процентном соотношении обеспечиваться некими ценностями (как правило, золотом)1. В настоящее время деньги являются бумажными деньгами (кредитными деньгами).
Следовательно, долговое требование владельца банкнот имеет лишь фиктивный характер. Отсутствие «металлического» покрытия немецких марок (или российских рублей) не означает, однако, что ценность наших денег является менее устойчивой. Наоборот, можно констатировать, что отсутствие связи денег с драгоценным металлом является существенной победой экономической теории. Ученые пришли к убеждению, что нелогично связывать обеспечение экономики деньгами со случайностями владения каким-то металлом. То, к чему мы стремимся, — это не обеспеченные металлом деньги, а деньги, которые помогают достичь общеэкономических целей: стабильности цен, полной занятости, экономического роста и т. д. Поэтому денежное снабжение должно служить всем указанным целям, ориентироваться на них. При благоразумной экономической политике автоматизм в «покрытии» денег металлами может только мешать ее осуществлению.
С другой стороны, необходимо согласиться с тем, что полный отказ от предписаний «покрытия» денег содержит и опасность, а именно отсутствие экономического благоразумия. Например, в том случае, когда безответственный ЦБ, не принимая во внимание роста цен, финансирует увеличение государственных расходов (повышающее инфляцию) покупкой государственных ценных бумаг. В таких случаях чисто бумажные деньги не обеспечивают никаких автоматических
' В Законе о банках от 14 марта 1875 г. это сформулировано следующим образом: «Рейхсбанк обязан всегда держать в своих кассах для покрытия своих находящихся в обороте банкнот как минимум 1 /3 в конвертируемых немецких деньгах (немецких золотых монетах, рейхсмонетах в серебре, рейхсмонетах в меди и никеле, талерах)... или в золотых слитках, или в иностранных монетах, рассчитанных в чистых фунтах по 1492 марки».
ограничителей беспредельной инфляционной политики, и официальное регулирование нормы «покрытия», на первый взгляд, может показаться разумным. Но ошибка здесь кроется не в бумажных деньгах без «покрытия», а в близорукости субъектов экономической политики. Кроме того, надежда на то, что предписание покрытия может решительным образом сдерживать недальновидную экономическую политику, представляется иллюзорной. Исторический опыт показывает, что в случае необходимости официальное регулирование «неудобных» норм «покрытия» отменялось или изменялось таким образом, что они никак не влияли на инфляционные процессы.
2.2. Потенциал коммерческих банков в создании денег
2.2.1. Ограничение на создание денег отдельными банками
Каковы возможности в создании денег отдельного коммерческого банка?
Каких либо законодательных ограничений создания денег коммерческими банками (если не учитывать некоторые предписания, касающиеся обеспечения вкладов клиентов, надзор за которым ведется Федеральным ведомством надзора за кредитным делом) не существует. Однако, быть может, имеют место экономические ограничения способности коммерческих банков создавать безналичные деньги?
Для того чтобы ответить на вопрос, попытаемся представить себе, что происходит, если отдельный коммерческий банк повышает свою задолженность по вкладам до востребования. Если речь идет о пассивном создании денег, проблем не возникает: банк может повышать свою задолженность по вкладам до востребования до любой величины, не опасаясь, что попадет в затруднительное положение (общеэкономически это не опасно, так как денежная масса и в конечном счете покупательная сила от этой операции не изменяются). Иначе обстоит дело при активном создании жироденег. Рассмотрим самую важную банковскую операцию — предоставление кредита. В процессе его выдачи в одинаковом объеме увеличиваются и кредиты населению, и задолженность по вкладам до востребования (которые представляют собой деньги). Может ли банк продолжать предоставление кредита в течение какого угодно промежутка времени? Нет! В процессе выдачи кредита, как правило, банк теряет определенный объем денег ЦБ, т. е. денег, которые коммерческий банк не может создать самостоятельно: кредит используется клиентами, или снимается со счета в виде наличных денег, или употребляется для переводов. Если получатель платежа не является клиентом того же банка (как мы здесь для упрощения и предполагаем), предоставляющий кредит банк потеряет деньги ЦБ на сумму, равную объему кредита. Все это означает, что коммерческий банк, намеревающийся предоставить кредит, для реализации этого намерения должен «свободно» владеть соответствующим запасом денег ЦБ или же суметь приобрести соответствующее количество денег Центрального банка в любое время.
Таким образом, запас «свободных» денег Центрального банка и возможности краткосрочного приобретения денег ЦБ («потенциальных» денег ЦБ) могут ограничить потенциал активного создания денег отдельным банком.
Возможно, читатель задаст себе вопрос: каким образом коммерческие банки получают доступ к деньгам ЦБ, на основе которых они предоставляют кредиты, а значит активно создают деньги? В принципе мы неоднократно отвечали на него: коммерческие банки получают деньги Центрального банка через ЦБ (прежде всего за счет его кредитов) и через вклады клиентов. Тот факт, что коммерческие банки могут получать деньги Центрального банка и от самого ЦБ, раскрывает ошибочность широко распространенного мнения, согласно которому коммерческие банки предоставляют кредиты только тогда, когда они накапливают соответствующий объем средств вкладчиков. В принципе ЦБ может предоставлять коммерческим банкам деньги Центрального банка в любом объеме, но на практике он выдает кредит только тогда, когда это не оказывает негативного воздействия на экономику.
Рассмотрим поближе второй важный источник денег Центрального банка, который могут использовать коммерческие банки, — вклады клиентов. По этим вкладам коммерческие банки обязаны держать минимальные резервы, составляющие определенную долю объема поступающих им (вклады) денег Центрального банка, остающиеся «свободные» деньги ЦБ банки не держат в кассах, а направляют на выдачу кредитов или на другие приносящие проценты капиталовложения. Таким образом, банки получают возможность, в свою очередь платить проценты владельцам вкладов (особенно сберегательных и срочных). На обеспечение ликвидности (удовлетворение внезапных требований вкладчиков по конвертации вкладов в наличность) коммерческие банки направляют незначительную долю денег ЦБ. Следовательно, вклады клиентов являются существенным, но не единственным, источником предоставления кредита коммерческими банками.
Не оказывают ли все рассмотренные нами факторы негативное воздействие на надежность вкладов клиентов в коммерческих банках? Нет. Но не потому, что коммерческие банки без всяких затруднений всегда могли бы удовлетворить все возможные требования выплат (со стороны клиентов), даже при том, что они использовали как кредитные ресурсы. Да, ЦБ поддержал бы «коллег» и в случае так называемых «набегов на банки» (т. е. в случае возникшего в кризисной ситуации внезапного и широкого массового изъятия вкладов из банка) и немедленно предоставил бы коммерческим банкам (посредством кредита) банкноты в необходимом объеме. И экономически это было бы единственным разумным выходом, так как денежная масса, а следовательно потенциал покупательной силы в экономике, благодаря преобразованию жироденег коммерческих банков в банкноты, вообще не изменились бы, а конвертация сберегательных и срочных вкладов в те же банкноты привела бы лишь к негативным последствиям только тогда, когда появились бы условия для превышения расходов над производственными возможностями экономики.
Необходимость в том, чтобы коммерческие банки в полном объеме своих вкладов держали банкноты в своих кассах или как вклады до востребования в Центральном банке, отсутствует. Важно только, чтобы денежная масса (банкноты, монеты и жироденьги) соответствовала общеэкономическим требованиям. Для обеспечения этого соответствия в распоряжении Центрального банка имеется ряд инструментов, с которыми мы познакомимся в гл. 19.
2.2.2. Ограничения на создание денег системой коммерческих банков
Тот факт, что отдельный банк может предоставлять кредиты и создавать жироденьги только в том объеме, в котором он владеет «свободными» (и потенциальными) деньгами ЦБ, часто интерпретируется неправильно — в том с.\..,ісле, что система коммерческих банков не может предоставлять кредиты в объемах, превышающих эти самые «свободные» запасы денег Центрального банка. В таком случае выдача кредитов банковской системой в целом воспринимается в конечном счете лишь как денежное «посредничество» (вклады банков «передаются дальше»). Ошибочность данной точки зрения мы покажем на простом примере.
Предположим, что вклады коммерческих банков состоят лишь из вкладов до востребования (срочные и сберегательные вклады не учитываются). Кроме того, делается допущение, что кредиты предлагаются только на основе свободных денег Центрального банка, следовательно, мы абстрагируемся от потенциальных денег ЦБ.
Допустим, что коммерческий банк 1 владеет свободными деньгами Центрального банка в форме избыточных вкладов в ЦБ в объеме 1000.
Банк 1
_Актив_Пассив
Исходная ситуация
Избыточные вклады в Центральном банке
100
Избыточные деньги Центрального банка
Коммерческий банк 1 в этом случае может предоставлять кредиты также в сумме, равной 1000, открыв заемщику вклад до востребования на эту величину. Предположим, что коммерческий банк 1 (и другие учитываемые банки 2,3,4,...) намерен полностью использовать свои возможности кредитования и, следовательно, предоставляет клиенту А кредит в объеме 1000.
Банк 1
Актив Пассив |
|
Предоставление кредита |
Кредит заемщику А |
Обязательства по |
|
клиенту А |
|
вкладам до |
|
|
востребования А (жироденьги) |
|
|
|
|
1000 |
1000 |
|
(Здесь мы еще не учитываем |
Резервы денег Центрального |
|
|
обязательные минимальные |
банка для кредита |
|
|
резервы) |
заемщику А |
|
|
|
1000 |
|
|
Используя полученные средства, заемщик А осуществляет перевод своему поставщику В на его счет в коммерческий банк 2. С одной стороны, этот перевод приводит к тому, что вклад до востребования А в банке 1 как бы «трансформируется» во вклад до востребования В в банке 2 в том же объеме. С другой — уменьшается запас денег ЦБ в коммерческом банке 1 на 1000, в то время как запас денег Центрального банка в коммерческом банке 2 увеличивается на ту же величину (переводы между разными коммерческими банками можно представить, пренебрегая техническими деталями, в конечном счете как процесс, осуществленный ЦБ). В ходе этого процесса ЦБ заносит 1000 в дебет коммерческого банка 1 и в кредит коммерческого банка 2.
Банк 1
_Актив Пассив_
т Кредит заемщику А
Использование кредита
заемщиком А (перевод В)
1000
|
Банк 2 |
|
Актив |
Пассив |
|
Дополнительный |
Обязательство |
|
вклад в Централь- |
перед вкладчиком |
|
ном банке |
В по вкладам до |
|
|
востребования |
|
1000 |
1000 |
|
Увеличение суммы вклада в Центральном банке (жироденег Центрального банка)через перевод
Получатель платежа В снимает со счета в своем банке одну часть своего вклада — скажем 1 / 3 наличными (коммерческий банк 2 превратит для этой цели 333,3 своего вновь приобретенного вклада в ЦБ в банкноты), а другую часть оставляет как вклад до востребования на своем счете. Коммерческий банк 2 через эту операцию в конце концов получил дополнительные деньги ЦБ в объеме 666,7. Но эту сумму он не может полностью выдать в виде кредита. Как мы уже знаем (из гл. 17), каждый банк должен держать определенный процент своих вкладов в форме «минимальных резервов», т. е. в объеме этой суммы деньги ЦБ «связаны». Так как коммерческий банк 2 владеет дополнительными вкладами в сумме 666,7, он обязан — при предполагаемой норме обязательных минимальных резервов, равной 25%, — держать минимальные резервы в объеме 166,67. Это означает, что для предоставления кредита клиенту С имеется 666,67 - 166,67 = 500. Банк 2 предоставляет кредит на эту сумму:
Снятие наличных денег со счета в банке индивидуумом В и образование дополнительных минимальных резервов
|
Банк 2 |
|
Актив |
Пассив |
|
Избыточные вклады (свободные центробанк-деньги) |
Обязательства перед вкладчиком
В по вкладам до востребования |
|
500 |
|
Минимальные
резервы |
|
|
166 2/3 |
666 2/3 |
|
|
Банк 2 |
|
Актив |
Пассив |
|
Кредит заемщику С |
Обязательства по |
|
|
вкладам до востребования С |
|
500 |
500 |
|
Резервы денег Центрального банка для предоставления кредита заемщику С |
Обязательства перед вкладчиком
В по вкладам до востребования |
|
500 |
|
|
Минимальные |
|
|
резервы для обязательств по |
|
|
вкладам до востребования В |
666 2/3 |
|
166 2/3 |
|
|
Предоставление кредита заемщику С
В общем на основе избыточных вкладов всей банковской системы в объеме 1000 (первоначально сконцентрированные в банке 1) предоставлены дополнительные кредиты в объеме 1000 + 500 = 1500. Денежная масса увеличилась в том же объеме: вкладчик В имеет дополнительные банкноты в объеме 333,3 и дополнительные жироденьги в объеме 666,7. Заемщик С имеет дополнительные жироденьги в объеме 500.
Но на этом процесс не заканчивается. Поскольку заемщик С в свою очередь распоряжается кредитом, в коммерческий банк 3 поступают дополнительные деньги ЦБ.
Использование кредита заемщиком С (перевод D)
|
Банк 2 |
|
Актив |
Пассив |
|
Кредит заемщику С |
Обязательства перед вкладчиком
В по вкладам до |
|
500 |
востребования |
|
Минимальные резервы (вклады до востребования) |
* |
|
166 2/3 |
666 2/3 |
|
Банк 3 |
|
Актив |
Пассив |
|
Дополнительный |
Обязательства |
|
вклад в Централь- |
перед вкладчиком |
|
ном банке |
D по вкладам до востребования |
|
500 |
500 |
|
Увеличение вклада банка 3 в Центральном банке (через перевод)
Часть этой суммы снимается в форме наличных денег, часть держится в качестве минимальных резервов.
|
Банк 3 |
|
Актив |
Пассив |
|
Избыточные |
Обязательства |
|
вклады |
перед вкладчиком |
|
250 |
D по вкладам до |
|
Минимальные |
востребования |
|
резервы |
|
|
83 1/3 |
333 1/3 |
|
Изъятие наличных денег вкладчиком D и образование минимальных резервов
Коммерческий банк 3 может предоставлять дополнительные кредиты в размере остаточной суммы в объеме 250 и т.д.
Итак, банковская система в целом может многократно увеличивать объем находящихся в ее распоряжении запасов свободных денег ЦБ, предоставляя их в виде кредитов и таким образом расширяя денежную массу. Выдавая кредиты, система коммерческих банков является не только «денежным посредником». Ее возможности при создании денег и кредитов зависят, как показывает пример, от нормы обязательных минимальных резервов, от оттока (порождаемого изъятиями) фондов в наличный оборот и от свободной массы денег ЦБ. Потенциал создания денег и кредита тем больше, чем ниже норма минимальных резервов и норма оттока наличных средств и чем больше свободная масса денег ЦБ.
Финансируемый через такое многократное создание денег банковской системой спрос на товары может иметь нежелательное общеэкономическое воздействие.
Поэтому операции коммерческих банков контролируются ЦБ, располагающим инструментами регулирования возможностей создания кредита и денег коммерческими банками. Более подробно мы рассмотрим эти инструменты в гл. 19.
В вышеприведенном анализе мы исходили из того, что процесс многократного создания денег базируется на запасах денег ЦБ (точнее — свободных денег Центрального банка) в коммерческих банках. Такой подход реалистичен. Здесь рамки возможностей предоставления кредита коммерческими банками (при данной степени распространения безналичного платежного оборота, данных платежных традициях и при данных правилах относительно минимальных резервов) в конце концов определяются массой денег Центрального банка в экономике. При существующих платежных традициях массой денег ЦБ определена также их часть, которой распоряжаются коммерческие банки (как минимальными резервами или как избыточными вкладами) и на основе которой они в конечном счете предоставляют кредиты (а значит создают жироденьги). В этом смысле монетаристы говорят о массе денег ЦБ в экономике как о денежной базе — величине, которой они приписывают ведущую роль в регулировании совокупной денежной массы в экономике.
Однако необходимо упомянуть, что коммерческие банки могут получать дополнительные деньги Центрального банка и, следовательно, в состоянии увеличивать денежную базу посредством продажи ЦБ бумаг денежного рынка или получения от него добавочных кредитов. Это означает, что в строгом смысле потенциал коммерческих банков в создании кредита и денег незначительно превышает определенную нами величину. Необходимо учесть и «потенциальные» деньги Центрального банка в коммерческих банках, которые составляют запасы коммерческих векселей (до определенного предела в виде неиспользованного «объема редисконтирования», см. гл. 19) и бумаги денежного рынка с обязательством их выкупа ЦБ. Следовательно потенциал создания денег и кредита определяется на базе так называемых свободных ликвидных резервов (свободные деньги ЦБ плюс приобретаемые в любой момент времени деньги Центрального банка). Но необходимо учесть, что в ФРГ бумаги денежного рынка (с обязательством выкупа) и в любое время реализуемая возможность коммерческих банков брать в долг денежные средства в сравнении с запасами денег ЦБ весьма незначительны по своему объему. Поэтому их влияние на возможности создания денег и кредитов весьма незначительно. Ввиду данного обстоятельства мы не будем детально рассматривать только что описанную концепцию свободных ликвидных резервов (и создающийся на их основе потенциал создания денег и кредита через коммерческие банки).
3. Предложение денег, спрос на деньги и денежная масса
В предыдущем разделе мы исследовали потенциал создания денег коммерческими банками. Но, зная лишь ограничения возможностей коммерческих банков в создании денег, нельзя понять следующее.
¦ какой объем денег будет в действительности предложен банками через кредиты не банкам, т. е. сколько денег будет размещено в не банковском секторе
(предложение денег);
¦ сколько денег желали бы держать не банки, т. е. как велика потребность в деньгах (спрос на деньги);
¦ сколько денег в действительности будет размещено в не банковском секторе, т. е. как взаимодействия предложения денег и спроса на деньги определяют
запас денег.
Потенциал создания денег образует лишь верхнюю границу в предложении денег, денежной массе и объеме удовлетворенного спроса на деньги.
3.1. Предложение денег
Каким образом формируется предложение денег? Мы видели, что коммерческие банки предъявляют спрос на определенные формы долговых обязательств не-банков (задолженность на контокоррентном счете, обязательство по ссудам, обязательство по векселям, обязательство по ценным бумагам) и предлагают за них деньги. Следовательно, предложение денег тесно связано с предложением кредита. Если коммерческий банк покупает долговые обязательства, это отражается на его балансе: показатели в строке «объем предоставленных кредитов» увеличиваются. Потенциал коммерческого банка в создании денег используется полностью только тогда, когда все его свободные резервы употребляются (в любой форме) на кредитование. Чем больше на балансе коммерческих банков видов имущества, приобретение которых не приводит к увеличению суммы кредитов не-банкам (мы имеем в виду, например, вклады до востребования в ЦБ, приобретенные у ЦБ бумаги денежного рынка), тем в меньшей степени используется существующий потенциал создания денег. Значит, объем предложения денег в экономике (при данных массе денег ЦБ, платежных обычаях и норме обязательных резервов) зависит от того, как коммерческие банки «оформляют левую сторону своего баланса». В исследовании факторов детерминирующих это «оформление» и заключается суть теории предложения денег.
Запасы банкнот коммерческих банков и их вклады до востребования в ЦБ — при данном объеме вкладов и платежных обычаях — практически полностью определяются требованиями, диктующимися соблюдением нормы обязательных резервов, и необходимостью, вытекающей из проведения платежей в экономике (платежный оборот). Следовательно, решения коммерческих банков по формированию предложения денег напрямую связаны с распределением ими своих средств между приобретенными у ЦБ бумагами денежного рынка и предоставлением кредита. Избыточные вклады или покупка бумаг денежного рынка у ЦБ ограничивает их возможности в выдаче кредитов.
А отчего зависит (при данном объеме поступивших вкладов) доля предоставленных кредитов в общей ценности банковских активов? Важнейшими детерминантами являются доходность, ликвидность и риск.
Так как предоставление кредита — самая доходная форма капиталовложений коммерческих банков, они стараются расширять их объем (если это позволяет желание не банков получать ссуды). Но, с другой стороны, банкам необходимо поддерживать собственную ликвидность. При внезапном оттоке денег ЦБ (например, вследствие ощутимого увеличения спроса не банков на наличность) коммерческим банкам необходимо быстро пополнить их запасы. Когда вкладчик желает получить свои деньги, никакой банк не может себе позволить дать ни малейшего повода к созданию впечатления о том, что он не способен удовлетворить потребность клиента. Следовательно, банкам необходим определенный объем ликвидных резервов. Доля видов имущества с нулевой и низкой доходностью в общей ценности банковских активов зависит:
¦ от величины разницы между доходностью кредитов и прочих капиталовложений;
¦ от необходимых при определенных обстоятельствах возможностей и процентных издержек приобретения денег ЦБ.
И наконец, банкам необходимо рассчитывать риски невозврата кредитов.
Формируемое коммерческими банками предложение кредита и, таким образом, денег при прочих равных условиях будет увеличиваться, если:
¦ повышается процентная ставка по кредитам;
¦ снижается процентная ставка по ликвидным активам;
¦ уменьшаются издержки рефинансирования со стороны ЦБ, а возможности наращивания задолженности Центральному банку расширяются.
Уменьшение предложения денег стимулируется противоположными изменениями этих переменных.
Предположим, что потенциал создания денег, доходности бумаг денежного рынка, издержек рефинансирования банков и средств, имеющихся в распоряжении коммерческих банков (вкладов клиентов и кредитов ЦБ), неизменен. Тогда предложение денег банками зависит от процентных ставок по банковским кредитам. Значит, мы можем — по аналогии с кривой предложения для отдельного блага — начертить кривую предложения денег (см. рис. 18.1).
В области ниже процентной ставки і
0 (величина которой здесь не должна играть роль) коммерческие банки не используют все рамки возможностей предоставления кредита, так как при такой низкой ставке процента по кредитам наиболее выгодно вложить часть находящихся в их распоряжении средств в ликвидные резервы.
|
Процентная ставка по кредитам |
 |
|
Рис. 18.1. Предложение денег |
>• Предложение денег
3.2. Спрос на деньги
Под «спросом» на деньги понимается желаемый запас денег у не-банков. Имеются в виду денежные запасы, которыми они уже распоряжаются, и деньги, на которые предъявляется спрос посредством получения кредита. Здесь мы вкратце рассмотрим факторы, определяющие эту переменную. Необходимо ответить на вопрос о том, почему и в каком объеме не-банки держат деньги (виды имущества, не приносящие проценты), а значит, почему, например, домохозяйства хранят банкноты или держат вклад до востребования вместо того, чтобы поместить соответствующую сумму на сберегательный счет и получить доходы в виде процента. Материал по теории спроса на деньги изложен в гл. 11 и 12. В данном случае мы будем придерживаться кейнсианской теории.
Наиболее важными являются два «мотива» держания денег. Деньги держатся (и таким образом, на них предъявляется спрос):
¦ для выполнения платежных обязательств (функция обмена);
¦ как форма имущественных вложений (функция сохранения ценности).
А спрос на деньги как средство обмена будет тем выше, чем больше запланировано покупок благ. Таким образом, спрос на деньги зависит от доходов и богатства отдельных лиц, т. е. от развитости экономики. Но если доходы и богатство неизменны, предназначенный для трансакционных целей запас кассовых остатков будет зависеть и от того, как высоки достижимые процентные доходы по другим формам вложений. Если, например, проценты по сберегательным вкладам или ценным бумагам повышаются, не-банки в общем будут «экономить» на держании кассы, т. е. держать свое имущество как можно дольше и больше в приносящих проценты активах. Уже из этих соображений можно вывести зависимость спроса на деньги от процентной ставки.
Зависимость спроса на деньги от ставки процента усиливается, если учесть хранение денег для целей сохранения имущества: при неопределенности доходности и ценности других форм вложений (например, акций) не-банки желают — из соображений «безопасности» — держать часть своего имущества в форме денег. При этом доля денег в общем имуществе отдельного экономического субъекта при прочих равных условиях с ростом процентных ставок по другим активам снижается, так как домохозяйство будет терять все больше процентных доходов (так называемые альтернативные издержки держания кассы).
Итак, спрос на деньги не банков является зависимым от процентной ставки. При данных расходах и имуществе с ростом ставки процента эта переменная снижается. Графически данная закономерность представлена на рис. 18.2.
 |
|
Рис. 18.2. Спрос на деньги |
Если доходы или имущество увеличиваются, кривая смещается вправо, а если они уменьшаются — влево.
3.3. Денежная масса
Рис. 18.3 иллюстрирует взаимодействие предложения денег и спроса на деньги.
М является денежной массой, которая образуется в рассматриваемой экономике при данных активах коммерческих банков (особенно при данном запасе денег ЦБ в экономике) и при данных доходах и имуществе не банков. Этот же запас денег хранится экономическими агентами при процентной ставке і, при которой предложение денег и спрос на деньги соответствуют друг другу (т. е. имеет место равновесие).
|
і |
 |
|
Рис. 18.3. Предложение денег и спрос на деньги |
4. Воздействие денег
В гл. 17 и 18 в основном обсуждалась техническая сторона денег, поэтому мы лишь косвенно упоминали об их «воздействии» на экономику. Первый аспект этой проблемы касается «производительности» денег. Речь идет о том, чтобы вывести из принципа экономической рациональности преимущества использования денег для отдельного экономического субъекта и для всей экономики в целом. Но приверженцы данных воззрений до сегодняшнего дня не получили каких-либо убедительных результатов, к тому же, рассматривая их, мы вышли бы за рамки данной книги.
Второй аспект воздействия денег касается значения величины денежной массы (при любом ее определении) для экономических событий. Данную проблему рассматривают создатели соответствующих макроэкономических моделей (анализируемых в гл. 11, 12, 13 и 26).
Список основных понятий
¦ Косвенное ограничение на создание денег Центральным банком
¦ «Набеги» на банки
¦ Многократное создание денег
¦ Свободное создание денег Центрального банка
¦ Масса денег Центрального банка
¦ Монетная регалия
¦ Доход от чеканки монет
¦ Деньги Центрального банка
¦ Пассивное создание (уничтожение) безналичных денег
¦ Активное создание безналичных денег
\°?: лг __________
вв
ишншвн
осыиваданияшляповторейШі
¦ Спрос на деньги
¦ Теория предложения денег
¦ Трансакционные цели
¦ Цели сохранения имущества
¦ Потенциальные деньги Центрального банка
¦ Свободные ликвидные резервы
¦ Предложение денег
здкчмсдо»*деымммммш
1) Опишите имеющиеся у ЦБ возможности «запуска» банкнот в оборот.
2) Почему для сохранения определенной величины денежной базы необходима постоянная активность ЦБ?
3) Почему отдельный банк в общем не может предоставлять кредиты на сумму большую, чем запасы свободных денег ЦБ, которыми он владеет (или большую, чем запас свободных ликвидных резервов)?
4) Существуют ли в ФРГ и в РФ обязательства по покрытию банкнот? Как вы оцениваете этот инструмент регулирования?
5) В чем заключается косвенное ограничение на создание денег ЦБ?
6) Можно ли считать банковскую систему — в связи с предоставлением ею кредитов — лишь «денежным посредником»? Обоснуйте свой ответ.
7) Опишите процесс многократного создания денег на примере. Исходите при этом из наличия в системе коммерческих банков избыточных вкладов (сконцентрированных у банка 1) в объеме 1000, нормы обязательных резервов, равной 25%, и нормы изъятия наличности, равной 10%.
8) От чего зависит соответствие предложения денег коммерческими банками их потенциалу в создании денег?
9) Что понимается под спросом на деньги и как он детализирован в кейнсианской теории?
10) Объясните график функции предложения денег.
 |
¦ Доступное описание процессов обеспечения экономики деньгами содержится в гл. 8 сле
дующей книги:
Львов Ю. А. Основы экономики и организации бизнеса. СПб., 1992.
¦ Широкое представление о проблемах денежного сектора экономики дает американский учебник:
Джон Э. Дж., Кэмпбелл К. Д., Кэмпбелл Р. Дж. Деньги, банковское дело и денежнокредитная политика. М.; СПб., 1993. |
¦ Анализ процессов создания денег на несколько более продвинутом уровне содержится в гл.4 следующего учебника:
Гальперин В. М., Гребенников П. И., Леусский А. И., Тарасевич Л. С. Макроэкономика: Учебник. 2-е изд. СПб., 1997.
¦ Новая точка зрения на современные проблемы формирования денежной массы в промышленно развитых странах изложена в статье:
Розмаинский И. В. Эволюция финансовой системы и макроэкономика: необходимость интеграции //Вестник СПбГУ. Сер.5. 1994. Вып.4. №26. С.45-50.
 |
& ? #**&«?« $Ш$Ь ^ ® |
ИНСТРУМЕНТЫ ДЕНЕЖНОЙ ПОЛИТИКИ ЦЕНТРАЛЬНОГО БАНКА
шш
Каковы важнейшие инструменты денежной политики в ФРГ (и в РФ) и в чем
выражается их воздействие на экономику?
¦ Какие меры воздействия предполагает дисконтная и ломбардная политика?
¦ Как воздействует повышение дисконтной ставки на другие процентные ставки в экономике?
¦ В чем состоит воздействие изменения объема редисконтирования?
¦ Что такое «политика открытого рынка» и какова специфика ее осуществления в ФРГ (и в РФ)?
¦ Как политика открытого рынка влияет на остальные переменные денежного сектора?
¦ Что такое обязательные (минимальные) резервы и какова их функция?
¦ Как воздействует изменение нормы обязательных резервов на другие переменные денежного сектора?
¦ Как оценивается воздействие денежной политики на реальный сектор экономики?

1. Предварительные замечания
Как мы видели, монетаристы и кейнсианцы в принципе признают, что деньги оказывают серьезное влияние на реальный сектор экономики. Поскольку возможность создавать деньги имеют коммерческие банки (т. е. максимизирующие прибыль частные предприятия), представители обеих научных школ выступают за необходимость контроля Центрального банка над денежной массой. Но каждая из школ по-разному оценивает роль ЦБ в экономике, а значит и используемый им инструментарий. Монетаристы настаивают на необходимости регулирования ЦБ денежной массы в форме квазиавтоматического и относительно постоянного увеличения денежной базы с темпом, соответствующим сумме ожидаемого реального роста экономики, или роста производственного потенциала (так называемая ориентированная на потенциал политика денежной массы), плюс принятого в качестве неизбежного темпа инфляции. Они принципиально отвергают ориентированный на экономическую конъюнктуру инструментарий ЦБ; иными словами, монетаристы отвергают «дискреционную» денежную политику. Кейнсианцы, напротив, отстаивают денежную политику, направленную прежде всего на регулирование процентной ставки. Рассматриваемый далее инструментарий денежной политики Немецкого Бундесбанка соответствует кейнсианским соображениям. Но в 1974 г., когда Бундесбанк ввел практику предварительного объявления целевого объема денежной массы на год вперед, произошел его резкий поворот к монетаризму, что привело к изменению и инструментов денежной политики.
Как было показано выше (см. гл. 17, раздел 6.1.1), основная задача Бундесбанка состоит в обеспечении устойчивой ценности валюты. Кроме того, он должен поддерживать Федеральное правительство в его направленной на достижение полной занятости, внешнеэкономического равновесия и соответствующего роста экономики деятельности. Для выполнения этой задачи Бундесбанк, в соответствии с Законом, использует ряд инструментов, из которых здесь исследуются;
¦ дисконтная и ломбардная политика;
¦ политика открытого рынка;
¦ политика минимальных резервов.
2. Дисконтная и ломбарлная политика (политика рефинансирования)
Как уже неоднократно упоминалось, Бундесбанк как «банк банков» предоставляет коммерческим банкам кредиты, в том числе дисконтные и ломбардные. Определение издержек и условий предоставления этих кредитов является частью политики рефинансирования Бундесбанка.
2.1. Понятие и осуществление дисконтной политики
Чтобы лучше объяснить понятие *дисконтный кредит*, необходимо сначала коротко сказать о том, в чем состоит дисконтирование (учет) векселя. Под векселем нам достаточно понимать особое документально подтвержденное требование. Если предприниматель в оплату за свои товары получил вексель, он в общем имеет возможность продать его банку и таким образом получить деньги до срока его погашения. Но приобретая вексель, коммерческий банк выплачивает предпринимателю не всю указанную в долговом обязательстве сумму, удерживая в свою пользу определенный процент, так как сам банк получит денежные средства позже (после истечения срока действия векселя). Описанный процесс называется «дисконтированием (или учетом) векселя». Так как клиент несет перед коммерческим банком ответственность за учитываемый вексель, дисконтирование векселя является особой формой кредита. В экономическом смысле благодаря дисконтированию векселя обычно финансируется и, следовательно, осуществляется торговая сделка.
По аналогии с вышеупомянутым продавцом товара коммерческий банк также может иметь желание или оказаться перед необходимостью в определенное время рефинансировать свою деятельность в ЦБ и, соответственно, приобрести деньги Центрального банка. Один из способов такого рефинансирования состоит в предъявлении приобретенных им у клиентов векселей ЦБ к дисконтированию (собственно говоря, к редисконтированию) при условии их соответствия требованиям Бундесбанка.
Разработанная Центральным банком совокупность условий дисконтирования векселей формирует его дисконтную (учетную) политику.
В ФРГ дисконтная политика состоит в определении:
¦ дисконтной ставки, т. е. процентной ставки, по которой Бундесбанк осуществляет дисконтирование векселей коммерческих банков;
¦ качественных требований, предъявляемых Бундесбанком к переучитываемым векселям;
¦ объема редисконтирования, т. е. предельных денежных сумм, до которых Бундесбанк редисконтирует векселя отдельных банков.
2.1.1. Дисконтная ставка
Дисконтная ставка (называемая также «учетной ставкой») как первая базисная ставка ссудного процента является годовой процентной ставкой, которую Бундесбанк учитывает в ходе расчета суммы вычета при дисконтировании векселя. Если, например, дисконтная ставка составляет 6%, речь идет о векселе со сроком истечения два месяца и он выставлен на долговую сумму в объеме DM 1000, Бундесбанк платит за вексель DM990. Дисконтная ставка относительно часто изменяется: со времени образования ФРГ — в среднем два раза в год. Самая низкая дисконтная ставка в ФРГ была установлена в январе 1959 г. — 2,75%, самая высокая в июле 1992 г. — 8,75%. В табл. 19.1 представлен обзор величин дисконтной и ломбардной ставок в ФРГ с 1969 по 1995 г.
2.1.2. Требования к качеству редисконтируемых векселей
Бундесбанк приобретает далеко не все предлагаемые ему векселя. В Законе о Бундесбанке установлено правило приема векселей: это должен быть торговый вексель с тремя поручителями, платежеспособность которых не вызывает сомнений, и со сроком погашения не более трех месяцев (со дня покупки). Бундесбанк приобретает только те торговые векселя, которые выданы на основе поставки товаров или предоставления услуг предприятиями друг другу.
2.1.3. Объем редисконтирования
Немецкому Бундесбанку установлены определенные верхние лимиты приобретения векселей — так называемый объем редисконтирования. В ФРГ общая величина объема редисконтирования в конце 1994 г. составила DM65,5 млрд. В соответствии с установленными критериями («уставный капитал») общая сумма распределяется по отдельным коммерческим банкам, о чем они специально уведомляются.
2.2. Понятие и осуществление политики ломбардного кредита
Наряду с дисконтным кредитом Бундесбанк может предоставлять коммерческим банкам процентные кредиты под залог определенных ценных бумаг — так называемые ломбардные кредиты.
Ломбардная политика состоит в установлении или изменении объема и условий предоставления кредитов под залог ценных бумаг.
Как в дисконтной, так и в ломбардной политике различают три ее аспекта:
¦ определение ломбардной ставки, т. е. процентной ставки, по которой предоставляются эти кредиты;
¦ установление качества принимаемых в обеспечение ссуды ценных бумаг;
¦ - определение верхних границ предоставления ломбардных кредитов.
Важное различие между дисконтным и ломбардным кредитами заключается в их
функциях. Дисконтный кредит предназначен для расширения возможностей банков в получении кредита и в рамках вышеуказанных границ предоставляется квазиавтоматически. А ломбардные кредиты призваны устранить краткосрочные потребности обеспечения ликвидности коммерческих банков. Из этих специфических функций вытекают особые условия предоставления ломбардного кредита.
2.2.1. Ломбардная ставка
Ломбардная ставка («вторая базисная ставка») всегда превышает дисконтную, что подчеркивает исключительный характер данного кредита. Долгое время разница между дисконтной и ломбардной ставкой составляла один процентный пункт, но в последние годы она доходила до двух, а с декабря 1969 г. по март 1970 г. —до трех процентных пунктов.
|
Таблица 19.1. Дисконтная и ломбардная ставки Бундесбанка с 1969 по 1995 гг. и особая ставка, действующая при недостижении обязательной величины минимальных резервов* (% в год) |
|
Действует c |
Дисконт
ная
ставка1* |
Ломбардная ставка |
Действует с |
Дисконт
ная
ставка1* |
Ломбард
ная
ставка21 |
|
1969 21. марта |
3 |
4 |
1977 15 июля |
з?2 |
4 |
|
18 апреля |
4 |
5 |
16 декабря |
3 |
3 ?2 |
|
20 июня |
5 |
6 |
|
|
|
|
11 сентября |
6 |
7 ?о |
1979 19 января |
3 |
4 |
|
5 декабря |
6 |
9 |
30 марта |
4 |
5 |
|
|
|
|
1 июня |
4 |
5 ?2 |
|
1970 9 марта |
7% |
9?2 |
13 июля |
5 |
6 |
|
16 июля |
7 |
9 |
1 ноября |
6 |
7 |
|
18 ноября |
6 у2 |
8 |
|
|
|
|
3 декабря |
6 |
7 ?2 |
1980 29 февраля |
7 |
8 У9 |
|
|
|
|
2 мая |
7‘/2 |
э?2 |
|
1971 1 апреля |
5 |
б?2 |
19 сентября |
7 /2 |
3) 9 |
|
14 октября |
4 У2 |
5 ?2 |
|
|
|
|
23 декабря |
4 |
5 |
1982 27 августа |
7 |
8 |
|
|
|
|
22 октября |
6 |
7 |
|
1972 25 февраля |
3 |
4 |
3 декабря |
5 |
6 |
|
9 октября |
3 ?2 |
5 |
|
|
|
|
3 ноября |
4 |
6 |
1983 18 марта |
4 |
5 |
|
1 декабря |
4 У2 |
6 ?2 |
9 сентября |
4 |
5 ?2 |
|
1973 12 января |
5 |
7 |
1984 29 июня |
4>/2 |
5% . |
|
4 мая |
6 |
8 |
|
|
|
|
1 июня |
7 |
з) 9 |
1985 1 февраля |
4 У9 |
6 |
|
|
|
|
16 августа |
4 |
5 ?2 |
|
1974 25 октября |
бУ2 |
8 ‘/2 |
|
|
|
|
20 декабря |
6 |
8 |
1986 7 марта |
3 ?2 |
5?2 |
|
1975 7 февраля |
5 1/о |
7 ?2 |
1987 23 января |
3 |
5 |
|
7 марта |
5 |
6 >/2 |
6 ноября |
3 |
4% |
|
25 апреля |
5 |
6 |
4 декабря |
2 ?2 |
4 /2 |
|
23 мая |
4 ?2 |
5!/9 |
|
|
|
|
15 августа |
4 |
5 |
1988 1 июля |
3 |
4 ?2 |
|
12 сентября |
з?2 |
4 ?2 |
29 июля |
3 |
5 |
|
‘Значение этой ставки ежегодно вычисляется как сумма ломбардной ставки и трех процентов; с 1 января 1951 г. данный принцип расчета не изменялся.
11 До 31 июля 1990 г. — одновременно процентная ставка для кассовых кредитов.
2>С1 августа 1990 г. до 31 декабря 1993 г. — одновременно процентная ставка для кассовых кредитов; с 1 января 1994 г. кассовые кредиты уже не предоставляются.
3) Ломбардные кредиты по ломбардной ставке не предоставлялись: с 1 июня 1973 г. по 3 июля 1974 г. включительно; с 20 февраля 1981 г. по 6 мая 1982 г. включительно. Источник: Monatsbericht der Deutschen Bundesbank. 1995. April. S. 43*.
|
Окончание табл. 19.1. |
|
Действует с |
Дисконт
ная
ставка |
Ломбардная ставка |
Действует с |
Дисконт
ная
ставка |
Ломбардная ставка |
|
1988 26 августа |
з V, |
5 |
15 сентября |
8% |
9 ?2 |
|
16 декабря |
з?2 |
5 ?2 |
1993 |
|
|
|
|
|
|
5 февраля |
8 |
9 |
|
1989 20 января |
4 |
6 |
19 марта |
7 /2 |
9 |
|
21 апреля |
4‘/2 |
6 % |
23 апреля |
7 4 |
8 |
|
30 июня |
5 |
7 |
2 июля |
6*4 |
8І4 |
|
6 октября |
6 |
8 |
30 июля |
6/4 |
7 ъл |
|
|
|
|
10 сентября |
6 % |
?у4 |
|
1990 2 ноября |
6 |
8 ?2 |
22 октября |
534 |
634 |
|
|
|
|
1994 |
|
|
|
1991 1 февраля |
б?2 |
9 |
18 февраля |
5*4 |
б34 |
|
16 августа |
??2 |
э?4 |
15 апреля |
5 |
6 % |
|
20 декабря |
8 |
934 |
13 мая |
4 ?2 |
6 |
|
|
|
|
1995 |
|
|
|
1992 17 июля |
834 |
934 |
31 марта |
4 |
6 |
|
В абсолютном выражении ломбардная ставка колебалась между 3,25% (январь 1969 г.) и 9,75 % (декабрь 1991—сентябрь 1992 г.). Как правило, она изменяется вместе с дисконтной ставкой (см. табл. 19.1).
2.2.2. Требования к качеству предоставляемых под обеспечение кредита ценных бумаг
Закон о Бундесбанке содержит перечень ценных бумаг, под залог которых Бундесбанк может предоставить ссуду, а также выраженные в процентных долях верхние границы предоставления ссуд при закладывании отдельных видов ценных бумаг. Но Бундесбанк может как сузить круг принимаемых в залог ценных бумаг, так и зафиксировать верхние границы предоставления ссуд ниже предписанных законом о Бундесбанке. •
2.2.3. Объем ломбардных кредитов
В противоположность вексельному кредиту, четко фиксированных верхних границ, которых могут достигать получаемые отдельными банками ломбардные кредиты, не существует. Однако в нормальные времена имеется одна «предупредительная граница» — около 20% величины объема редисконтирования. Кредитные заявки, превышающие эту границу, подлежат особо строгому контролю со стороны Бундесбанка. В соответствии с функцией ломбардного кредита, Бундесбанк придерживается данных правил в зависимости от конкретной ситуации: во времена особых затруднений с ликвидностью он предоставляет кредиты сверх предупредительной границы; в противоположных случаях, наоборот, кредит не предоставляется. Этой политикой «закрытия
Врезка 19.1.
Ставка
рефинансирования в России
Таблица 19а
Ставка рефинансирования Центрального банка Российской Федерации |
|
Период действия |
% |
Период действия |
% |
|
1 января 1991 г. — 09 апреля 1992 г. |
20 |
17 ноября 1994 г. — 5 января 1995 г. |
180 |
|
10 апреля 1992 г. — 22 мая 1992 г. |
50 |
6 января 1995 г. — 15 мая 1995 г. |
200 |
|
23 мая 1992 г. — 29 марта 1993 г. |
80 |
16 мая 1995 г. — 18 июня 1995 г. |
195 |
|
30 апреля 1993 г. — 1 июня 1993 г. |
100 |
19 июня 1995 г. — 23 октября 1995 г. |
180 |
|
2 июня 1993 г. — 21 июня 1993 г. |
ПО |
24 октября 1995 г. — 30 ноября 1995 г. |
170 |
|
22 июня 1993 г. — 28 июня 1993 г. |
120 |
1 декабря 1995 г. — 9 февраля 1996 г. |
160 |
|
29 июня 1993 г. — 14 июля 1993 г. |
140 |
10 февраля 1996 г. — 23июля 1996 г. |
120 |
|
15 июля 1993 г. — 22 сентября 1993 г. |
170 |
24 июля 1996 г. — 18 августа 1996 г. |
ПО |
|
23 сентября 1993 г. —14 октября 1993 г. |
180 |
19 августа 19% г. — 20 октября 1996 г. |
80 |
|
15 октября 1993 г. — 28 апреля 1994 г. |
210 |
21 октября 1996 г. — 1 декабря 1996 г. |
60 |
|
29 апреля 1994 г. — 16 мая 1994 г. |
205 |
2 декабря 1996 г. — 9 февраля 1997 г. |
48 |
|
17 мая 1994 г. — 1 июня 1994 г. |
200 |
10 февраля 1997 г. — 27 апреля 1997 г. |
42 |
|
02 июня 1994 г. — 21 июня 1994 г. |
185 |
28 апреля 1997 г. — 15 июня 1997 г. |
36 |
|
22 июня 1994 г. — 29 июня 1994 г. |
170 |
16 июня 1997 г. — 5 октября 1997 г. |
24 |
|
30 июня 1994 г. — 31 июля 1994 г. |
155 |
6 октября 1997 г. — 10 ноября 1997 г. |
21 |
|
01 августа 1994 г. — 22 августа 1994 г. |
150 |
11 ноября 1997 г. — 1 февраля 1998 г. |
28 |
|
23 августа 1994 г. — 11 октября 1994 г. |
130 |
2 февраля 1998 г. — 16 февраля 1998 г. |
42 |
|
12 октября 1994 г. —16 ноября 1994 г. |
170 |
17 февраля 1998 г. — 1 марта 1998 г. |
39 |
|
|
|
2 марта 1998 г. — 15 марта 1998 г. |
36 |
|
Источник:
В РФ дисконтная ставка называется ставкой рефинансирования. Ее динамика с учетом инфляции (которой, однако, по сути не было — см. ниже) отражает тенденции в характере денежной политики ЦБ РФ. Так, рост ставки в 1992-1993 гг. отражает рестриктив-ность денежной политики. Из табл. Наследует, что в 1992 г. к ужесточениям в денежной политике прибегали гораздо реже, чем в следующем году. Аналогичным образом снижение данной ставки в 1996-1997 гг. является индикатором некоторого смягчения политики ЦБ (хотя в реальности оно было вызвано несамостоятельностью денежной политики — см. врезку 19.5). Что же касается 1994, 1995 г. и II квартала 1998 г., то, на основании материала табл. 19а, можно говорить об отсутствии каких-либо устойчивых тенденций в сторону как ужесточения, так и смягчения денежной политики. Необходимо также отметить, что величина ставки рефинансирования плохо согласовывалась с динамикой инфляции и рентабельностью промышленного производства. В 1992 г.—1994 гг. ставка рефинансирования в реальном выражении (т.е. за вычетом темпов инфляции) была отрицательной величиной (напомним, что в 1992 г. темп инфляции составлял 2510%, в 1993 г. — 840%, в 1994 г. —220%). Таким образом, заимствования у ЦБ были одним из основных источников чрезмерного обогащения российских коммерческих банков. Именно данное обстоятельство является, по-видимому, основной причиной экстенсивного роста банковской системы России в 1990-е годы. В 1995-1998 гг. реальная ставка рефинансирования оказалась значительно выше, чем уровень рентабельности продукции в промышленности (по данным Российского статистического ежегодника она составила 9,2% в 1996 г. и 9% в 1997 г. при темпе инфляции в эти годы, равном соответственно 22% и 11 %). Завышенное значение реальной ставки рефинансирования оказало чрезвычайно рестриктивное влияние на российскую экономику.
ломбардного окна» немецкий Бундесбанк, преследуя определенные цели в области платежного баланса, многократно пользовался весной 1981г. При очень высоком уровне процентной ставки в США для немецких коммерческих банков было выгодно относительно «дешевое» рефинансирование Бундесбанка и последующее вложение денег за океаном. С другой стороны, чтобы избежать угрозы неплатежеспособности коммерческих банков, Бундесбанк не раз предоставлял особые ломбардные кредиты, правда, за более высокие процентные ставки (между 10 и 13%).
2.3. Воздействие дисконтной и ломбардной политики
Вследствие того, что как дисконтный, так и ломбардный кредит являются средствами рефинансирования коммерческих банков ЦБ, изменение их издержек (издержки получения кредита) и условий предоставления оказывает одинаковое влияние на поведение получателей. Поэтому последствия и той, и другой политики разъясняются нами на примере дисконтной политики.
Классическим (и в течение многих лет единственным) инструментом политики ЦБ является изменение дисконтной ставки. Каково же воздействие ее изменения, например, повышения (см. схему 19.1)? '
Врезка 19.2.
Ставки ломбардного кредитования Центрального банка РФ (в %)
Ломбардная ставка в России
|
Таблица 196 |
|
Период действия |
На срок |
|
7 дней |
14 дней |
29 дней |
|
9 сентября 1996 г.—20 октября 1996 г. |
30 |
50 |
60 |
|
21 октября 1996 г.—1 декабря 1996 г. |
20 |
40 |
50 |
|
2 декабря 1996 г.—9 февраля 1997 г. |
24 |
36 |
48 |
|
Период действия |
На срок |
|
|
3-7 дней |
8-14 дней |
15-30 дней |
|
10 февраля 1997 г.—27 апреля 1997 г. |
24 |
33 |
42 |
|
28 апреля 1997 г.—15 июня 1997 г. |
24 |
30 |
36 |
|
16 июня 1997 г.—05 октября 1997 г. |
18 |
21 |
24 |
|
6 октября 1997 г.—10 ноября 1997 г. |
15 |
18 |
21 |
|
11 ноября 1997 г.—30 ноября 1997 г. |
22 |
25 |
28 |
|
1 декабря 1997 г.— 1 февраля 1998 г. |
36 |
36 |
36 |
|
2 февраля 1998 г.—16 февраля 1998 г. |
42 |
42 |
42 |
|
17 февраля 1998 г.—1 марта 1998 г. |
39 |
39 |
39 |
|
2 марта 1998 г.—15 марта 1998 г. |
36 |
36 |
36 |
|
16 марта 1998 г.—17 мая 1998 г. |
30 |
30 |
30 |
|
18 мая 1998 г. г.—18 мая 1998 г. |
36 |
36 |
40 |
|
19 мая 1998 г.—26 мая 1998 г. |
50 |
50 |
50 |
|
27 мая 1998 г. - 4 июня 1998 г. |
150 |
150 |
150 |
|
|
|
С повышением дисконтной ставки задолженность коммерческих банков Бундесбанку возрастает. Но удорожание кредита ЦБ имеет существенное значение только тогда, когда коммерческие банки не могут обратиться к другим, более дешевым, источникам денег Центрального банка.
В этом случае воздействие повышения дисконтной ставки происходит через влияние на остальные процентные ставки экономики (значит, политика дисконтной ставки — это политика регулирования процентной ставки).
Несмотря на то, что в соответствии с законом в ФРГ с 1967 г. процентные ставки по предоставленным банковским кредитам и вкладам банков никак не зависят друг от друга, и таким образом не существует их автоматической привязки к дисконтной ставке, между ними наблюдается тесная взаимосвязь. Многие кредитные договоры содержат оговорку о скользящей процентной ставке, согласно которой ставка по уже предоставленным кредитам определяется как сумма дисконтной ставки и определенной надбавки. Это означает, что при повышении дисконтной ставки происходит и удорожание банковских кредитов. Но повышение процентных ставокне ограничивается получаемыми кредитором банковскими процентами. Так как финансирование существующего общего объема кредитов через дисконтные кредиты удорожается, банки стремятся расши-
|
Дата аукциона |
Средневзвешенная ставка по кредитным аукционам на cdok до 7 дней |
Объем удовлетворенного спроса (тыс. dv6.) |
|
13 июля 1998 г. |
146,5 |
430 000,0 |
|
20 июля 1998 г. |
93,25 |
518 900,0 |
|
28 июля 1998 г. |
66,81 |
228 810,0 |
|
30 июля 1998 г. |
58,76 |
58 670,0 |
|
Источник:
Регулирование ломбардной ставки (ставки ломбардного кредитования) — относительно новый инструмент денежной политики ЦБ РФ. В отличие от Германии в РФ ломбардная ставка зачастую оказывалась не выше, а ниже дисконтной (ставки рефинансирования). Возможно это объясняется тем, что ломбардное кредитование в России не носит такого исключительного характера, как в ФРГ. Следует также учитывать, что величина ломбардной ставки отражает не только характер политики ЦБ РФ (ее понижательная динамика в 1996-1997 гг. указывает на небольшое смягчение денежной политики), но и объем спроса банков на ломбардные кредиты, что хорошо видно по данным нижних граф табл. 196. Рост спроса банков на ломбардные кредиты влечет за собой повышение ломбардной ставки процента. |
|
Окончание табл. 196. |
|
Период действия |
Фиксированная процентная ставка на срок 3-20 дней |
Дата аукциона |
Средневзвешенная ставка по кредитным аукционам на срок
21-30 дней |
|
5 июня 1998 г.—28 июня 1998 г |
60 |
1 июня 1998 г. |
78,8 |
|
29 июня 1998 г.—7 июля 1998 г. |
80 |
8 июня 1998 г. |
45,7 |
|
|
|
15 июня 1998 г. |
59,24 |
|
|
|
22 июня 1998 г. |
55,03 |
|
рить использование средств из вкладов клиентов. Но растущий спрос на банковские вклады будет удовлетворен только тогда, когда повысится процент по клиентским вкладам. Поэтому проценты по вкладам (например, проценты по сбережениям) вырастут, но не так сильно, как проценты, получаемые коммерческими банками (кредитные проценты). Но зато при снижении процентов, получаемых кредитором, они не уменьшатся на ту же величину. Если доходы по сберегательным или срочным вкладам повышаются, их доходность по отношению к вложениям на рынке капитала увеличивается. Перемещение же средств на рынок банковских вкладов ведет к росту процентной ставки и на рынке капитала. Очевидно, что повышение дисконтной ставки в конце концов «переносится» на остальные кредитные рынки и обуславливает рост процентных ставок (см. схему 19.1). При этом, как показывает опыт, в тенденции проценты по краткосрочным кредитам повышаются сильнее, чем по долгосрочным, а процентные ставки по предоставленным кредитам банков возрастают в большей степени, чем процентные ставки по банковским вкладам.
На схеме 19.1 представлена динамика важнейших процентных ставок в ФРГ.
Но «параллельность» в изменениях процентных ставок (см. схему 19.1), является следствием не только описанных выше взаимосвязанных воздействий. Так как ограничительная политика ЦБ нацелена (наряду с уже упомянутыми мероприятиями на денежном рынке) на удорожание и рационирование кредитов, существуют и другие причины описанного сходства.
|
Повышение дисконтной ставки (удорожание кредита Центрального банка) |
 |
к росту процен____________
за дисконтирование векселей коммерческих банков и за предоставленные кредиты клиентам
к стремлению коммерческих банков финансировать бульшую часть кредитов через срочные и сберегательные вклады
Ведет к росту процентных ставок по срочным и сберегательным вкладам (это означает, что вложения на рынке капитала становятся относительно нерентабельными)
Ведет к повышению процентных ставок на рынке капитала
Ведет к (ожидаемому) сокращению спроса на блага
Схема 19.1. Последствия повышения дисконтной ставки
|
Динамика некоторых банковских процентных ставок* |
 |
|
1987 1988 1989 1990 1991 1992 1993 1994 1995 |
*С января 1991 г. включая ставки процента в новых федеральных землях.
1 меньше 1 млн немецких марок.
2 фактическое (т. е. включающее все издержки, которые должен нести заемщик) среднее значение ставки процента по 10-летним ипотечным кредитам с фиксированной процентной ставкой, предназначенным для покупки земельных участков под строительство жилых зданий.
3 доходность.
4 с оговоренным периодом действия от 1 до 3 месяцев включительно при стоимости срочного сертификата от 100 000 до 1 млн немецких марок.
5 данная кривая до конца июня 1993 г. не отражает ставки процента по льготным и «особым» сберегательным вкладам, после июня 1993 г. ставки процента по этим вкладам учитываются при построении кривой.
Рис. 19.1. Динамика некоторых банковских процентных ставок в ФРГ в 1987-1995 гг. Источник: Geschaftsbericht der Deutschen Bundesbank fur das Jahr 1994. S. 96.
Пока мы рассматривали только последствия повышения дисконтной ставки. Так как в общем снижение дисконтной ставки просто приводит к противоположным последствиям, мы не будем здесь рассматривать механизм его воздействия.
Изменение объема редисконтирования также может оказывать влияние на денежный сектор экономики и отсюда — на реальные экономические процессы.
Неиспользованный объем редисконтирования считается свободными ликвидными резервами коммерческих банков. Если из-за снижения объема редисконтирования
|
|
Врезка 19.3*
Процентные ставки в Российской Федерации |
Таблица 19в.
Динамика отдельных (годовых) процентных ставок в Российской Федерации в 1995-1998 гг. |
|
|
Межбанковская ставка |
Доходность ГКО |
Депозитная ставка |
Ставка по кредитам |
|
08.95 |
182,5 |
162,8 |
69,6 |
253,4 |
|
09.95 |
91,4 |
162,3 |
69,6 |
216,7 |
|
10.95 |
39,6 |
132,9 |
69,6 |
233,3 |
|
11.95 |
38,7 |
129,1 |
69,6 |
237,5 |
|
12.95 |
68,6 |
161,8 |
69,6 |
224,9 |
|
01.96 |
36,5 |
112,9 |
69,6 |
203,6 |
|
02.96 |
34,0 |
65,4 |
69,6 |
183,8 |
|
03.96 |
97,0 |
90,8 |
45,9 |
176,1 |
|
04.96 |
44,0 |
92,4 |
45,9 |
177,3 |
|
05.96 |
35,6 |
166,0 |
60,1 |
174,2 |
|
06.96 |
89,3 |
176,2 |
60,1 |
177,6 |
|
07.96 |
56,3 |
85,0 |
60,1 |
151,0 |
|
08.96 |
37,0 |
61,7 |
60,1 |
125,2 |
|
09.96 |
47,1 • |
56,1 |
60,1 |
152,3 |
|
10.96 |
34,2 |
46,7 |
60,1 |
90,6 |
|
11.96 |
30,6 |
41,2 |
34,5 |
83,1 |
|
12.96 |
30,2 |
38,7 |
34,5 |
66,9 |
|
01.97 |
23,5 |
32,8 |
34,5 |
71,6 |
|
02.97 |
29,4 |
28,3 |
34,5 |
60,8 |
|
03.97 |
38,2 |
33,2 |
18,2 |
59,3 |
|
04.97 |
32,6 |
35,7 |
18,2 |
47,8 |
|
05.97 |
15,9 |
25,5 |
18,2 |
50,4 |
|
06.97 |
17,5 |
20,2 |
18,2 |
47,5 |
|
07.97 |
15,4 |
18,4 |
18,2 |
39,4 |
|
08.97 |
17,6 |
18,9 |
7,4 |
39,1 |
|
09.97 |
16,9 |
19,7 |
7,4 |
36,6 |
|
10.97 |
20,0 |
19,8 |
7,4 |
32,3 |
|
11.97 |
22,8 |
22,6 |
7,4 |
33,7 |
|
12.97 |
32,8 |
36,6 |
7,4 |
35,3 |
|
01.98 |
27,3 |
33,4 |
7,4 |
38,9 |
|
02.98 |
35,4 |
29,6 |
7,4 |
44,4 |
|
03.98 |
29,6 |
24,4 |
7,4 |
- |
свободные ликвидные резервы уменьшатся, нарушается правильное, с точки зрения банков, соотношение между различными видами их имущества и долгами. Так как возможности получения ими кредита в ЦБ ограничиваются, коммерческие банки в общем становятся более осторожными в выборе кредитов и таким образом в тенденции уменьшают темпы роста предложения денег. Этот, возникший через ограничение банковской ликвидности, эффект (эффект ликвидности) в дальнейшем оказывает также влияние на процентную ставку. Уменьшение предложения кредита приводит к
Примечание к табл. 19в
Система показателей по процентным ставкам включает основные виды ставок, представленные в экономике России.
В качестве межбанковской ставки, характеризующей стоимость краткосрочных заимствований между банковскими институтами, взят показатель ставки по кредиту «овернайт» на московском межбанковском рынке. Эта ставка рассчитывается Информационным Консорциумом — ЦБ РФ по выборке коммерческих банков, являющихся наиболее активными участниками межбанковского рынка. Она представляет собой средневзвешенную по объемам фактических сделок ставку и является представительной в силу высокой доли московского регионального рынка.
Депозитная ставка представлена ставкой по срочному вкладу в национальной валюте с ежемесячной выплатой процентов (минимальная сумма вклада — 300 деноминированных руб.). Показатель рассчитан с учетом капитализации процента. Эта ставка является преобладающей по депозитам частных лиц благодаря популярности данного вида срочного вклада и ориентации на нее значительного числа коммерческих банков.
Ставка по кредитам — показатель стоимости банковских кредитов в национальной валюте юридическим лицам (предприятиям и организациям) сроком до одного года. Средневзвешенная по объемам предоставленных кредитов ставка рассчитывается на основе данных главных территориальных управлений Центрального банка РФ по выборке коммерческих банков в крупнейших экономических регионах России. Доходность рыночных операций с краткосрочными государственными ценными бумагами характеризуется показателем доходности ГКО. Этот показатель рассчитывается как средневзвешенная по срокам и объемам находящихся в обращении выпусков ГКО со сроком погашения до 90 дней. С апреля 1997 г. показатель рассчитывается по налогооблагаемым выпускам ГКО.
Источник:
Как и в ФРГ, в России различные процентные ставки изменяются более или менее параллельно. Изменения в значительной мере отражают тенденции денежной политики ЦБ РФ, а также спроса на деньги со стороны не банков и темпа инфляции. За рассматриваемый период (1995-1998 г.) происходило снижение всех указанных процентных ставок, что отражает некоторое смягчение денежной политики ЦБ РФ (несмотря на то что в целом она оставалась жесткой, тем самым негативно влияя на экономику — см. врезки 19.1 и 19.5), а также снижение как темпов инфляции, так и спроса на деньги.
|
Центральный банк |
|
Актив |
Пассив |
|
Уменьшение |
Уменьшение |
|
запасов ценных |
суммы вкладов |
|
бумаг |
коммерческих банков (денег |
|
|
Центрального
банка) |
|
100 |
100 |
|
росту процентных ставок за предоставленные банковские ссуды. Вследствие ограничения возможностей получения кредита в ЦБ коммерческие банки будут пытаться добиться увеличения вкладов, что возможно только тогда, когда они предложат более высокие процентные ставки по вкладам. Это означает, что вышеописанные последствия изменений процентных ставок усиливают возникающий вследствие снижения объема редисконтирования эффект ликвидности.
В заключение необходимо обратить внимание на еще один эффект дисконтной политики, который иногда считается самым действенным — сигнальный эффект. Если ЦБ сигнализирует через повышение дисконтной ставки о введении ограничительной политике, коммерческие банки знают, что для ее осуществления могут быть применены и более сильные средства. Таким образом, многие коммерческие банки самостоятельно сокращают предложение кредитов или ограничивают его.
3. Политика открытого рынка
3.1. Понятие и осуществление политики открытого рынка
Под политикой открытого рынка ЦБ понимаются осуществляемые им покупки и продажи ценных бумаг за деньги Центрального банка. Следовательно, покупка и продажа ценных бумаг ЦБ на открытом рынке приводит к созданию или уничтожению денег Центрального банка.
Приводимые ниже балансы показывают основной принцип политики открытого рынка на примере ограничительной денежной политики (состоящей в продаже ценных бумаг ЦБ):
He-банк или коммерческий банк
Актив
Пассив |
|
Увеличе- |
Умень- |
|
|
ние |
шение |
|
|
запаса |
количе- |
|
|
ценных |
ства |
|
|
бумаг |
денег
Цент- |
|
|
|
ральногс
банка |
|
|
100 |
100 |
|
|
Понятие политики «открытого рынка» можно объяснить исторически, так как рынок, на котором в Великобритании первоначально осуществлялись сделки покупки и продажи долгосрочных государственных бумаг, был «открытым» для всех заинтересованных лиц — в противоположность денежному рынку, к которому имели доступ лишь определенные группы лиц.
Политика открытого рынка проводится в разных странах в различных формах. Здесь мы определяем политику открытого рынка, исходя из того, как она осуществляется Бундесбанком в ходе регулирования денежного рынка.
К денежному рынку, наряду со сделками между коммерческими банками по вкладам в ЦБ, относится также торговля бумагами денежного рынка (в основном казначейскими векселями и бескупонными казначейскими облигациями) и краткосрочные сделки открытого рынка с обязательством выкупа (рентные сделки с ценными бумагами).
Бумаги денежного рынка выпускаются общественными бюджетами (например федерацией, федеральными землями, железной дорогой, почтой) в целях получения кредита для удовлетворения краткосрочных общественных финансовых потребностей. Они называются бумагами финансирования. Среди бескупонных казначейских облигаций (как, например, дисконтные бумаги — казначейские векселя) выделяются используемые в ходе регулирования денежного рынка (т. е. их можно в любое время возвратить Бундесбанку за деньги ЦБ), и так называемые Н-титулы (отличаются отсутствием выкупа перед сроком уплаты и поэтому более высоким процентом из-за более низкой ликвидности). Следовательно, увеличение банковской ликвидности в смысле облегченного доступа банков к дополнительным вкладам в ЦБ происходит при эмиссии бумаг финансирования лишь тогда, когда они «включены в регулирование» денежного рынка и покупаются банками. При ограничении оборота таких бумаг банковская ликвидность сокращается. В последние годы Бундесбанк продавал банкам только титулы без обязательства выкупа, преследуя тем самым цель предотвращения «квазиавтоматического» доступа банков к вкладам денег ЦБ. Для казначейских векселей и бескупонных казначейских облигаций Бундесбанк определяет объем продаж (раньше — и объем выкупа), который он варьирует в зависимости от конъюнктуры на денежном рынке и от проводимой денежной политики.
Для того чтобы Бундесбанк имел возможность торговать казначейскими векселями и бескупонными казначейскими облигациями независимо от финансовых нужд государства и, следовательно, мог проводить политику открытого рынка, Закон о Бундесбанке устанавливает обязанность федерации превращать требования Бундесбанка времен денежной реформы 1948 г. в казначейские векселя и бескупонные казначейские облигации. Созданные таким образом бумаги называются бумагами мобилизации. Если для успешного проведения ограничительной политики их объем недостаточен, Бундесбанк по Закону о стабильности 1967 г. имеет возможность требовать от федерации так называемые бумаги ликвидности, которые практически означают удвоение первоначального «запаса активов открытого рынка». В реальности при торговле бумагами мобилизации и бумагами ликвидности речь идет об эмиссии Бундесбанка, а значит, федерация не получает дополнительных денег ЦБ. Оба вида бумаг продаются (в ходе регулирования денежного рынка) уже в течение нескольких лет только иностранным учреждениям и федеральной почте. Банки также практически не распоряжаются бумагами без обязательства выкупа.
В последние годы все большее значение приобретают сделки на открытом рынке с обязательством выкупа. С 1979 г. Бундесбанк покупает у кредитных институтов, обязанных держать минимальные резервы, за деньги ЦБ ценные бумаги (которые принимаются в залог при получении ломбардных кредитов), приносящие твердые проценты (кассовая сделка) при условии, что они должны быть выкуплены через определенный промежуток времени (срочные сделки, «рентные сделки» с ценными бумагами). Срокоплаты варьируется между 13 и 63 днями (наиболеечасто встречаются сроки в 28 и 35 дней). Ранее для регулирования денежного рынка по похожей схеме осуществлялись рентные сделки с векселями (сроком Юдней), но с 1982 г. Бундесбанк отказался от подобной практики, так как коммерческие банки не держат существенных запасов векселей, признанных ЦБ (сверх объема их редисконтирования). В рентных сделках используются как ценные бумагами (которые могут быть приняты в залог при ломбардном кредите) с твердыми процентами и казначейские векселя, так и бескупонные казначейские облигации федерации, федеральных земель, Федеральной железной дороги, Федеральной почты с остаточным сроком действия до одного года. В конце 1988 г. Бундесбанк расширил рентные сделки за счет торговли краткосрочными ценными бумагами, к которым привлекаются только активно работающие на денежном рынке банки. Сделки выполняются в течение одного дня (быстрые тендеры от 2-х до 10-ти дней), в то время как обычные рентные сделки осуществляются через день после объявления о них. Когда осенью 1992 г. из-за больших объемов закупок иностранной валюты в рамках ЕВС краткосрочная ликвидность банков сильно сократилась, Бундесбанк уменьшил срок и для своих регулярных рентных сделок с ценными бумагами на 14 дней. Предполагалось, что данная мера позволит ему гибко реагировать на краткосрочные изменения банковской ликвидности.
В общем при осуществлении рентных сделок с ценными бумагами Бундесбанк применяет методику тендера (методику объявлений и аукционов). При количественном тендере Бундесбанком устанавливаются жесткие условия (жесткая «рентная ставка» как третья базисная ставка), а банки определяют свою потребность в деньгах ЦБ. Если банки стремятся получить слишком много денег ЦБ, то в соответствии с политикой ликвидности («объемом принятия») норма выдачи (распределения) денег каждому банку (единообразно) уменьшается. При процентном тендере банки должны назвать также процентную ставку, по которой они готовы совершать «рентные» сделки. Сделки осуществляются либо по единой ставке (по принципу «голландского аукциона» —до осени 1988 г.), либо по индивидуальным ставкам предложения банков (американский метод: дифференциация цен, применяемая преимущественно с осени 1988 г.). Здесь в первую очередь обслуживается покупатель с самыми высокими процентными ставками.
Наряду с дисконтированием векселей, важным инструментом постоянного предоставления денег ЦБ (рефинансирования коммерческих банков), большое значение приобрели автоматически возобновляющиеся рентные сделки с ценными бумагами. С другой стороны, выполнявшее ранее «функцию смягчения» при удовлетворении краткосрочных потребностей в деньгах ЦБ рефинансирование через ломбардный кредит практически утратило свое значение.
Бундесбанк лишь изредка осуществляет сделки открытого рынка с долгосрочными государственными бумагами, в силу чего их значение не сравнимо с ролью торговли бумагами денежного рынка. Но осуществление таких сделок допускается только для регулирования денежного рынка.
3.2. Воздействие политики открытого рынка
Для объяснения последствий осуществления «классической» политики открытого рынка (мы ограничимся здесь рассмотрением ограничительной денежной политики) целесообразно различать сделки между Бундесбанком и коммерческими банками и между Бундесбанком и не банками.
Начнем с продажи бумаг денежного рынка системе коммерческих банков (ограничительная политика открытого рынка с участием коммерческих банков).
Мы исходим из того, что в начальной ситуации распределение средств среди различных видов имущества соответствует желаниям коммерческих банков (ориентирующихся на уровень процентных ставок по различным формам вложения). Бундесбанк сможет продать ценные бумаги коммерческим банкам только тогда, когда он в достаточной степени снизит их курс и таким образом увеличит фактические процентные ставки по ним. Поэтому ЦБ начнет свою ограничительную политику с соответствующего увеличения объемов продаж бумаг денежного рынка. Он просто уменьшит их курсы, ибо его деятельность не связана с получением прибыли, что стимулирует коммерческие банки к покупкам дополнительного объема бумаг денежного рынка, для чего им придется уменьшить на соответствующие величины свои вклады в ЦБ.
Таким образом, в балансах происходят следующие изменения:
Центральный банк
He-банк или коммерческий банк
Актив Пассив
Актив Пассив |
 |
Данный процесс сопровождается сокращением массы денег ЦБ (денежной базы). Но изменения в структуре банковского баланса и в структуре ликвидных резервов не заканчиваются. Так как по отношению к процентным доходам по бумагам денежного рынка доходность всех остальных активов уменьшилась, банки очень быстро попытаются уменьшить также запасы других видов имущества в соответствии с новыми соотношениями доходности и снова увеличить вклады в ЦБ.
В конечном счете, создается (соответствующая желаниям коммерческих банков при новых процентных соотношениях) структура видов имущества, при которой — за исключением бумаг денежного рынка — уменьшены запасы всех видов имущества, в том числе и предоставленные кредиты.
Технически сокращение объемов кредитов происходит таким образом, что кредиты с истекающим сроком погашения возобновляются в меньшем объеме. Следовательно, результат описанной политики состоит в уменьшении предложения кредитов и соответственно предложения денег коммерческими банками, что в тенденции сопровождается повышением процентных доходов.
Отсюда следует вывод о том, что (как и при повышении дисконтной ставки) в экономике должен происходить дальнейший рост процентной ставки. Он верен прежде всего для межбанковского рынка избыточных денег ЦБ. Вследствие расширения объема продаж бумаг денежного рынка Центральным банком ни один коммерческий банк не будет готов предлагать, например, трехмесячные ссуды за процентные ставки ниже (установленной ЦБ) процентной ставки по этим бумагам. Соответственно предложение на рынке денег ЦБ сократится, а процентная ставка повысится. Следовательно, ЦБ имеет хорошие возможности регулирования процентной ставки на совокупном (агрегированном) денежном рынке.
Повышение процентных ставок на межбанковском рынке избыточных денег Центрального банка в связи с расширением объемов продаж и покупок ЦБ удорожит рефинансирование, осуществляемое в нем через (обратную) продажу бумаг денежного рынка. Банки становятся более осторожными в предоставлении кредитов и пытаются добиться увеличения клиентских вкладов, издержки привлечения которых пока остаются неизменными. Но это приводит к повышению процентов по вкладам и в конце концов (см. анализ повышения дисконтной ставки в разделе 2.3 настоящей главы) также к росту процентной ставки на рынке капитала. Значит, и в (описанном) случае ограничительной политики открытого рынка наблюдается общее повышение процентных ставок в экономике. Так как дисконтная ставка и объем продаж бумаг денежного рынка ЦБ, как правило, изменяются в одинаковом направлении, связь между процентными ставками усиливается.
Вышеописанный процесс сокращения предложения кредитов и денег банками происходит при политике открытого рынка, основанной на сделках с бумагами денежного рынка без обязательства выкупа с более принудительной зависимостью. Поэтому происходит большее итоговое уменьшение предложения денег. Коммерческим банкам нелегко «парировать» ограничительную политику Бундесбанка через обратную продажу бумаг (что было намерением Бундесбанка, когда он несколько лет тому назад предлагал большие объемы бумаг денежного рынка без оговорки о выкупе). Последствия продажи менее ликвидных бумаг денежного рынка коммерческим банкам в принципе аналогичны описанным выше последствиям торговли бумагами денежного рынка с обязательством выкупа, и поэтому в их рассмотрении нет необходимости.
Какие изменения происходят в том случае, когда Бундесбанк продает краткосрочные бумаги не коммерческим банкам, а не банкам? Каки прежде, уменьшается денежная база. На первый взгляд, кажется, что данная операция никак не отражается на положении коммерческих банков. Но при более внимательном рассмотрении выясняется, что и в этом случае объем денег ЦБ у коммерческих банков уменьшается: не банки только частично заплатят за покупку ценных бумаг изъятыми из собственных запасов наличными деньгами; большую часть они (при платежных обычаях не банков в ФРГ) или снимают со счетов в коммерческих банках, или платят Бундесбанку переводом со своих счетов в коммерческих банках. В каждом случае коммерческие банки теряют деньги ЦБ, но не в таком объеме, как если бы они сами приобретали эти бумаги [ведь часть покупок не банки оплатят, как только что было отмечено, своими собственными запасами наличных денег; кроме того, уменьшаются вклады и, таким образом, обязательные (минимальные) резервы]. Однако, несмотря на то что коммерческие банки не становятся собственниками бумаг денежного рынка (хотя они депонируют их для своих клиентов), ликвидные резервы коммерческих банков сокращаются.
4. Политика минимальных резервов
4.1. Понятие и осуществление политики обязательных (минимальных) резервов
В соответствии с § 16 Закона о Бундесбанке ЦБ ФРГ может требовать от коммерческих банков хранения у него беспроцентных вкладов до востребования в объеме определенной доли (нормы обязательных или минимальных резервов) своих вкладов, полученных от отечественных не банков и иностранцев. Использование этого права Бундесбанком и означает осуществление политики минимальных резервов. Основной регулируемой переменной в ходе проведения данной политики является норма минимальных резервов.
Если, например, банк имеет вклады в объеме 500, а норма минимальных резервов (выраженная в форме десятичной дроби) составляет 0,2, обязательные резервы (ОР) должны быть равны:
ОР = 0,2 x 500 = 100.
Изменение в балансе коммерческого банка
Вклады 500
Минимальные резервы 100
Если, например, норма минимальных резервов повысится с 20 до 30%, сумма обязательных резервов при неизменном объеме вкладов увеличивается:
ОР = 0,3x500 = 150.
Если же норма минимальных резервов снизится, например, с 20 до 10%, обязательные резервы при неизменном объеме вкладов также снизятся:
ОР = 0,1x500 = 50.
Следовательно, потребность коммерческих банков в деньгах ЦБ находится в прямой зависимости от нормы минимальных резервов. Если ЦБ не предоставляет необходимые деньги, коммерческому банку приходится (через снижение объемов кредитования) ограничивать объем вкладов: при несоблюдении требований хранения обязательных резервов Бундесбанк может наложить на отсутствующую сумму особый процент, превышающий на 3% действующую ломбардную ставку. Кроме того, существенное и повторное несоблюдение обязательства об объеме минимальных резервов коммерческим банком повлечет за собой информирование (Бундесбанком) органов банковского надзора.
На практике в ФРГ существует не одна, а множество ставок минимальных резервов. Различия касаются:
¦ норм минимальных резервов по вкладам до востребования, срочным и сберегательным вкладам;
¦ норм минимальных резервов по вкладам резидентов и иностранцев.
В табл. 19.2 представлен обзор норм минимальных резервов в ФРГ за период 1986-1995 гг. Для этих нормативов законодательно установлены верхние лимиты, составляющие для вкладов нерезидентов 100%, для других вкладов до востребования — 30%, для срочных вкладов — 20% и для сберегательных вкладов — 10%.
В дальнейшем мы будем «работать» со средней нормой минимальных резервов.
Важно, что политика минимальных резервов не преследует цели обеспечения платежеспособности коммерческих банков, даже если она фактически (в определенных границах) делает это. Целью данной политики является предоставление Бундесбанку в соответствии с его задачами возможности воздействовать на денежный сектор экономики.
4.2. Воздействие политики минимальных резервов
Рассмотрим, как изменения ставки минимальных резервов воздействуют на возможности создания денег коммерческими банками.
При повышении нормы минимальных резервов возможности создания денег сужаются, при снижении нормы — расширяются.
Наряду с этими возможностями при изменении нормы минимальных резервов меняется также объем свободных ликвидных резервов коммерческих банков, в то время как денежная база остается неизменной.
Таблица 19.2
Нормы минимальных резервов Бундесбанка с 1986 по 1995 г. % обязательств, относимых к норме резерва |
|
|
Обязательства перед резидентами |
Обязательства перед нерезидентами, относимые к норме резерва |
|
Обязательства по счетам до востребования |
Срочные
обязательства |
Сберегательные вклады |
Обязательства
на счетах до востребования |
Срочные
обязательства |
Сберегательные вклады |
|
Уровень прогрессии 11 |
|
1 |
2 |
3 |
|
Действи- |
до 10 млн |
свыше 10 |
свыше 100 |
|
|
|
|
|
|
тельно с |
марок |
до 100 |
млн марок |
|
|
|
|
|
|
|
|
МЛН |
|
|
|
|
|
|
|
|
|
марок |
|
|
|
|
|
|
|
1 мая 1986 г. |
6 |
9 |
п |
4,5 |
3,75 |
11 |
4,5 |
3,75 |
|
1 февраля 1987 г. |
6,6 |
9,9 |
12,1 |
4,95 |
4,15 |
12,1 |
4,95 |
4,15 |
|
1 марта 1993 г. |
6,6 |
9,9 |
12,1 |
2 |
2 |
12,1 |
2 |
2 |
|
1 марта 1994 г.21 |
|
5 |
|
2 |
2 |
5 |
2 |
2 |
|
1 августа 1995 г. |
|
2 |
|
2 |
1.5 |
2 |
2 |
1,5 |
|
’Для первых DM10 млн по обязательствам, относимым к норме резерва, действует ставка первого уровня прогрессии, для следующих DM90 млн — ставка второго уровня прогрессии, а для суммы свыше DM 100 млн — третий уровень прогрессии.
2С 1 марта 1994 г. уровни прогрессии при обязательствах на счетах до востребования нерезидентов, а также еще существующая дифференциация нормативов обязательных резервов для резидентов и нерезидентов отменены.
Источник: Monatsberichte der Deutschen Bundesbank. 1995. Januar. S. 41*
Инструменты денежной политики Центрального банка 507
Таблица 19г
Врезка 19.4.
Нормативы
обязательных резервов кредитных организаций России в 1991-1998 гг.
Период
Нормативы обязательных резервов кредитных организаций с 1991 г. в Российской Федерации (в %)
Норматив перечисления от объема привлеченных средств
|
1 июня 1991 г.-31 января 1992 гг. |
|
Период |
Счета до востребования и счета со сроком погашения до 1 года |
Обязательства свыше 1 года |
|
1 февраля 1992 г.-29 февраля 1992 |
10 |
5 |
|
1 марта 1992 г.-31 марта 1992 |
15 |
10 |
|
1 апреля 1992 г.-31 января 1995 |
20 |
15 |
|
|
Период |
Счета до востребования и срочные обязательства до 30 дней включительно |
Срочные обязательства от 31 дня до 90 дней включительно |
Срочные обязательства от 91 дня и более |
Счета в иностранной валюте |
Вклады и депозиты физических лиц в рублях независимо от сроков (Сбеобанк) |
|
1 февраля 1995 г.-30 апреля 1995 г. |
22 |
15 |
10 |
2 |
|
|
1 мая 1995 г.-30 апреля 1996 г. |
20 |
14 |
10 |
1,5 |
|
|
1 мая 1996 г,-10 июня 1996 г. |
18 |
14 |
10 |
1,25 |
|
|
11 июня 1996 г.-31 июля 1996 г. |
20 |
16 |
12 |
2,5 |
|
|
1 августа 1996 г,-30 октября 1996 г. |
18 |
14 |
10 |
5 |
|
|
1 ноября 1996 г.-30 апреля 1997 г. |
16 |
13 |
10 |
5 |
|
I мая 1997 г,-
II ноября 1997 г. |
14 |
11 |
8 |
6 |
9,5 |
|
12 ноября 1997 г.-31 января 1998 г. |
14 |
И |
8 |
9 |
9,5 |
|
1 февраля 1998 г. |
11 |
11 |
И |
11 |
11 |
|
|
Источник: |
Данные табл. 19г позволяют сделать три основных вывода относительно регулирования обязательных резервов кредитных организаций как инструмента денежной политики ЦБ РФ. Во-первых, с 1991 по 1995 гг. ЦБ РФ осуществлял ужесточение денежной политики, а затем началось постепенное ее смягчение. Во-вторых, система обязательных резервов в ходе рыночных реформ скачкообразно усложнялась: увеличивалось количество (видов) вкладов, подлежавших «обложению» резервными требованиями. В-третьих, ЦБ РФ стремился к выравниванию нормативов обязательных резервов по всем видам вкладов (поставленная цель была достигнута 1 февраля 1998 г.).
Мы знаем, что сужение возможностей создания денег далеко не всегда приводит к уменьшению предложения денег и денежной массы (см. гл. 17, 18). Коммерческие банки, как правило, используют свои возможности создания денег не полностью; иначе они должны были бы употреблять все свои резервы для предоставления кредита. Но если коммерческие банки имеют свободные ликвидные резервы, теоретически они могут «парировать» повышение минимальных резервов посредством уменьшения (если они существуют в соответствующем объеме) своих ликвидных резервов. Но будет ли такое поведение типичным и продолжительным? Для ответа на этот вопрос мы вернемся к нашим рассуждениям об оптимальной структуре (размещении) активов банков.
Если в исходной ситуации (т. е. перед повышением нормы минимальных резервов) структура активов соответствует желаниям банков, после повышения нормы минимальных резервов «равновесие» будет существенно нарушено. Для обеспечения обязательных резервов банкам потребуются дополнительные деньги ЦБ. Часть дополнительных потребностей в деньгах ЦБ будет удовлетворена за счет своих избыточных вкладов; однако она не будет существенной, поскольку запас избыточных вкладов, как показывает опыт коммерческих банков в ФРГ, составляет в среднем менее одного процента их минимальных резервов. Поэтому в краткосрочном плане банки должны рефинансироваться посредством дисконтного и ломбардного кредитов. Вынужденное таким образом изменение структуры имущества не соответствует желаниям коммерческих банков: так как проценты по отдельным видам активов не изменяются, коммерческие банки (вследствие уменьшения совокупных средств, предназначенных для вложения в активы, приносящие процентный доход) в перспективе сокращают запасы всех активов на один и тот же процент. Следовательно, они снижают и свое предложение кредитов; кредиты с истекающим сроком погашения ими не возобновляются. Предложение денег и денежная масса уменьшаются при одновременном росте процентных доходов.
Повышение ставки процента «переносится» на всю структуру процентных ставок в экономике.
¦ Поскольку возникает дополнительный спрос (за счет увеличения минимальных резервов), повышаются процентные ставки на межбанковском рынке избыточных денег ЦБ.
¦ Из-за недостатка денег ЦБ банки пытаются получить дополнительные денежные вклады и поэтому предлагают по ним более высокие проценты.
¦ Банки ограничивают свою деятельность на рынке капитала, т. е. предъявляют меньший спрос на бумаги рынка капитала. Кроме того, более высокая привлекательность банковских вкладов способствует оттоку с рынка капитала вложенных там денег домашних хозяйств и предприятий. Курсы ценных бумаг снижаются, и поэтому фактические процентные доходы по ним (процентная ставка рынка капитала) повышаются.
¦ Если Бундесбанк продолжает ограничительную политику в сфере процентных ставок, он повышает рентную и дисконтную ставки.
Даже если процесс приспособления коммерческих банков к изменениям в чем-то напоминает их действия в случае повышения дисконтной ставки, эффект изменения резервной нормы несоизмеримо сильнее. Изменение нормы минимальных резервов является «грубым» инструментом ЦБ, который оказывает значительное воздействие на финансовые результаты коммерческих банков и «затрагивает» все банки независимо от их текущей ликвидности.
Итак, минимальные резервы являются центральным рычагом, при помощи которого Бундесбанк контролирует создание денег и объем кредитования со стороны коммерческих банков.
5. Денежная политика с точки зрения монетаризма
Как было упомянуто в начале главы, инструментарий Бундесбанка в области денежной политики (а до середины 1970-х гг. и его использование) был ориентирован на кейнсианскую денежную политику. Монетаристы подвергают такую политику жесткой критике. Несмотря на временные эффекты увеличения объемов использования производственных факторов — труда и капитала (эффекты, которые, между прочим, из-за лага воздействия трудно определить) — создание денег имеет, помимо роста производства благ, лишь инфляционные последствия. Поэтому монетаристы выступают за отказ от дискреционной денежной политики. Критике подвергается прежде всего политика минимальных резервов с ее резким воздействием на коммерческие банки и нуждающуюся в кредитах экономику. Монетаристы выступают за предсказуемую денежную политику, которая не влияет на бескризисный (по их мнению) частный сектор экономики, делая ставку на контроль за денежной массой на основе регулирования Бундесбанком количества денег ЦБ. Такая политика основана на жестком контроле со стороны Бундесбанка над запасом денег ЦБ в экономике, посредством регулирования количества «потенциальных» денег Центрального банка у коммерческих банков, которые в любое время — даже против воли Бундесбанка — они могут превратить в деньги ЦБ. Монетаристы требуют минимизации такой ничем не ограниченной (автоматической) возможности (коммерческих банков) заимствований у ЦБ (объем редисконтирования) и приобретения коммерческими банками бумаг денежного рынка с обязательством выкупа.
И Бундесбанк удовлетворяет некоторые из этих требований. Начиная с 1974 г. в конце каждого года он объявляет целевую денежную массу. Целевой величиной до 1987 г. был рост количества денег ЦБ; с 1988 г. целевой величиной является рост М3, причем в рамках определенного диапазона. На рис. 19.2 представлен этот «целевой коридор» в 1992-1995 гг. В среднем примерно каждый второй год данная цель достигалась, в другие же годы рост денежной массы был выше запланированного. Это свидетельствует о том, что Бундесбанк не в состоянии полностью контролировать сложный процесс создания денег. Необходимо также отметить, что нормы минимальных резервов варьировались лишь в феврале 1987 г., в марте 1993 г., в марте 1994 г. и в августе 1995 г. (причем последнее снижение нормы обязательных резервов отражало подготовку Бундесбанка к Европейскому валютному союзу и созданию Европейского Центрального банка). Бундесбанк по-прежнему рассматривает минимальные резервы в качестве неотъемлемого инструмента денежной политики; при этом он стремится «внедрить» его и в европейскую денежную политику. Но при регулировании денежной массы Бундесбанк во все большей мере использует гибкие инструменты («точную настройку»), которые позволяют ему влиять на динамику денежного рынка и, таким образом, на денежную массу. В качестве примера подобных инструментов еще раз упомянем политику открытого рынка, и прежде всего рентные сделки с ценными бумагами.
: Врезка 19.5.
Денежная политика ' в Российской федерации
Начиная с 1992 г. и до настоящего времени ЦБ РФ осуществляет денежную политику. Ее главными целями являются достижение финансовой стабилизации и снижение темпов инфляции. В основу денежной политики был положен принцип количественных ограничений на прирост денежной массы. Регулирование денежной массы осуществляется через контроль над приростом активов ЦБ РФ. В рамках принимаемых ограничений главными каналами создания и уничтожения денег постоянно выступают кредит Правительству РФ (первоначально в виде прямого предоставления финансовых ресурсов, затем, начиная с 1995 г., через покупку ценных бумаг — прежде всего через ГКО и ОФЗ, — выпускаемых Правительством РФ) и операции с иностранной валютой. Кроме того, ЦБ РФ использует и такие инструменты денежной политики, как регулирование дисконтной и ломбардной ставок (см. врезки 19.1 и 19.2), а также нормативов обязательных резервов (см. врезку 19.4).
В течение указанного времени ЦБ РФ в целях снижения темпов инфляции проводил ограничительную денежную политику (особенно в периоде 1992 по 1995 г., что видно из данных, приведенных во врезках 19.1 и 19.4). В результате с 1992 по 1996 г. запас денежного агрегата М2 в реальном выражении уменьшился в 4 раза, а отношение М2 к ВВП (так называемый коэффициент монетизации) снизился с 49,4% в 1991 г. до 9,6% в 1995 г.
ЦБ РФ удалось добиться существенного снижения темпов роста цен: с 250% в 1992 г. до 22% в 1996 г. (и 11 % в 1997 г.). Однако цена такого снижения оказалась очень высокой: реальный ВВП сократился примерно наполовину, в производственном секторе наступил «финансовый голод» в форме нехватки оборотных средств. Предприятия пытаются компенсировать этот дефицит, увеличивая объемы использования бартера и неплатежей. За годы рыночных реформ их количество скачкообразно возросло в десятки раз. Поскольку в отличие от денег, создаваемых Центральным банком, бартер и неплатежи малоликвидны, их распространение порождает демонетизацию и дезинтеграцию национального хозяйства России. И некоторое смягчение денежной политики ЦБ РФ в 1996-1997 гг. (которая, однако, в целом оставалась жесткой) не смогло приостановить эту тенденцию. Впрочем, следует учитывать, что такое смягчение было вызвано потерей автономности денежной политики после введения в июле 1995 г. валютного коридора (см. врезку 21.1). Иными словами, регулирование денежной массы ЦБ РФ оказалось подчиненным целям ограничения колебаний обменного курса рубля рамками валютного коридора.
6. Зависимость спроса на блага от инструментов денежной политики
До сих пор мы рассматривали влияние денежной политики лишь на денежный сектор. Мы пытались выяснить, как те или иные мероприятия Бундесбанка воздействуют на предложение денег (предложение кредита) и процентные ставки в экономике. При описании механизма влияния денежных импульсов на процессы в реальном секторе (см. гл. 18) мы уже исследовали (в общем виде), как такие импульсы, в конечном итоге, воздействуют на спрос на товары и услуги. При этом мы указывали, что передаточный механизм (хотя бы по мнению кейнсианцев) может быть блокирован. Таким образом, в конечном счете денежная политика как средство достижения общеэкономических целей может быть и неэффективной. Так, если спрос на блага в период бума незначительно реагирует на повышение процентных ставок, их изменение в рамках ограничительной дисконтной политики и политики открытого рынка не оказывает желаемого воздействия на производство и занятость. Более эффективным инструментом регулирования в данном случае является ограничение предложения кредитов коммерческими банками, к чему их в конечном счете может побудить достаточно сильно «охлаждающая» конъюнктуру политика Бундесбанка. Не имеющие доступа к кредитам экономические субъекты утрачивают возможности инвестирования, их спрос на потребительские блага также ограничивается.
Более проблематичным является эффект стимулирующей политики Бундесбанка. Сопровождающие такую политику снижение процентных ставок и увеличение предложения кредитов вряд ли способны «превратить» нерентабельные инвестиционные проекты предприятий в прибыльные. Увеличение предложения кредитов и снижение процентов по ним в фазе пессимистических ожиданий породит лишь слабый рост спроса на блага (а то и вообще на него не повлияет). В таком случае воздействие денежной политики на производство и занятость будет незначительным.
Список основных понятий
¦ Эффект ликвидности
¦ Сигнальный эффект
¦ Бумаги финансирования
¦ Бумаги мобилизации
¦ Бумаги ликвидности
¦ Сделки на открытом рынке с
¦ Ориентированная на потенциал
политика денежной массы ¦ Дисконтная политика
¦ Ломбардная политика
¦ Дисконтирование векселя
¦ Дисконтная ставка (первая
базисная ставка)
обязательством выкупа
¦ Кассовая сделка
¦ Срочные сделки
¦ Рентные сделки с ценными
¦ Ставка рефинансирования
¦ Объем редисконтирования
¦ Ломбардная ставка (вторая
базисная ставка)
бумагами

*Среднее значение из пяти банковских дней недели; при этом учитывается лишь 50-% значение запасов на конец месяца, квартала, года.
1 — целевой коридор в период от января до марта не закрашен на рисунке, поскольку М3 в конце года как правило характеризуется более сильными случайными колебаниями.
2 — всегда от четвертого квартала предыдущего года до четвертого квартала текущего года.
Рис. 19.2. Целевые значения и динамика денежной массы М3.
Источник: Geschaftsbericht derDeutsehen Bundesbank. 1994. S.79.
Объем принятия
Процентный тендер
Средняя норма обязательных резервов
Точная настройка

1) Какую денежную политику рекомендуют кейнсианцы, а какую — монетаристы?
2) Предположим, вам сегодня заплатили векселем достоинством 1 тыс. руб. со сроком платежа по истечении 3 месяцев. Какую сумму запишет вам на счет банк для вексельного кредита, если вексель дисконтируется по ставке 10 % годовых?
3) Какие составные части имеет дисконтная политика? Объясните их вкратце.
4) Объясните, как «передается» повышение дисконтной ставки на другие процентные ставки экономики.
5) Что в целом понимается под политикой открытого рынка?
6) Какое значение имеют рентные сделки с ценными бумагами?
7) Каковы последствия сделок открытого рынка с участием коммерческих банков?
8) Выскажите свое мнение относительно следующего тезиса: «Минимальные резервы прежде всего должны обеспечить платежеспособность коммерческих банков».
9) Опишите процесс приспособления коммерческих банков к повышению нормы минимальных резервов.
10) Какой концепции денежной политики придерживается Немецкий Бундесбанк (и ЦБ РФ) и как он пытается воплотить ее в жизнь?
Литература
¦ Основные аспекты денежной политики изложены в учебнике:
Ходов Л. Г. Основы государственной экономической политики : Учебник. М., 1997.
¦ Подробное и легко читающееся описание всех инструментов денежной политики Центрального банка РФ можно найти в книге:
Албегова И. М.,Емцов Р. Г..Холопов А. В. Государственная экономическая политика. М„ 1998.
¦ Фундаментальный анализ теоретических подходов к денежной политике содержится в
книге: •
Харрис Л. Денежная теория. М., 1990.
¦ С новейшим фактологическим материалом по денежной политике ЦБ РФ вы можете познакомиться на его сервере в Интернете:
http//:www. cbr.ru
ЗНАЧЕНИЕ МЕЖДУНАРОДНОЙ ТОРГОВАИ И ЕЕ ДЕТЕРМИНАНТЫ

жжмш&&яшюшт<*ш>шжжшж«штшшш&тжя(шт
•іиЯ-v-'fА'КШГША?*и*ІЛІгТг>»-«УРкГ*''5'*- *Г - * * •* * *'«.<«« v*. iQmmmmi ктшъытшк
Какие выгоды приносит международная торговля участвующим в ней странам?
¦ Какое значение имеет международная торговля для ФРГ (и России)?
¦ Чем обусловлены выгоды от внешней торговли?
¦ В чем состоят аргументы в пользу свободной торговли, и в чем — в пользу протекционизма?
От чего зависит международная торговля страны?
¦ Какую функцию выполняет валютный курс?
¦ Какое воздействие на внешнюю торговлю оказывает изменение валютного курса?
¦ Какую роль играют расхождения в изменении цен отдельных стран в их внешней торговле?
¦ Как изменение национального дохода влияет на внешнюю торговлю?

1. Значение международной торговли для Федеративной Республики Германии
Международная торговля, называемая также внешней торговлей, имеет важное значение для ФРГ. Как показывает табл.20.1, немецкий экспорт в настоящее время составляет 30% валового национального продукта, а значит, зависимость экономики Германии от вывоза товаров и услуг достаточно сильна. С другой стороны, в народном хозяйстве ФРГ значительную роль играет и ввоз товаров: доля импорта в ВНП составляет тоже 30 %. Кроме того, необходимо упомянуть, что Германия в мировой торговле «стоит» впереди США, т. е. на первом месте; никакая другая страна, как правило, не экспортирует так много, как ФРГ.
Традиционно в Германии наблюдаются большие избытки торгового баланса и баланса текущих операций.
В то время как избыток торгового баланса (хотя и сокращенный) сохранялся, баланс текущих операций с 1991 г. стал дефицитным. «Превращение» положительного сальдо баланса текущих операций (в 1989 г. — DM 107 млрд) в отрицательное (в 1991 г. — DM 32 млрд) и относительная его продолжительность (до 1994 г.), скорее всего, связаны с воссоединением Германии. Так, при относительном постоянстве экспорта товаров импорт увеличился с DM 440 млрд в 1988 г. до DM 506 млрд уже в 1989 г., а затем, в 1991 г., и до рекордной суммы — почти DM 644 млрд. Но и баланс услуг (без факторных доходов, полученных от и переданных «остальному миру») со временем становился все более дефицитным. Если превышение расходов над доходами в 1980 г. составляло DM 10 млрд, то в 1994 г. — DM 50,8 млрд — динамика, в которой существенную роль сыграли поездки немецких граждан за границу, которые привели к дефициту этой статьи в объеме DM 22 млрд. Существенный «вклад» в отрицательное сальдо баланса текущих операций внесло также развитие чистых факторных доходов от «остального мира». В то время как сальдо заработков и доходов от имущества от «остального мира» в 1989 г. еще составляло DM 21 млрд, в 1994 г. оно снизилось на DM 3 млрд, что было во многом связано с возросшими процентными платежами федерации иностранцам по государственным облигациям (1989 г. — DM 8,7 млрд, 1990 г. — DM 36 млрд). Следовательно, процесс финансирования государственного бюджета в значительной мере осуществлялся посредством зарубежных кредитов (приобретение облигаций иностранцами). Если сумма новой задолженности общественных ведомств по ценным бумагам в 1985 г. в размере DM 16,6 млрд еще находилась в пределах нормы, то в 1991 г. она возросла на DM 45,9 млрд, в 1992 г. — на DM 72,1 млрд и в 1993 г. достигла рекордного уровня — DM 159 млрд марок.
Наконец, к развитию сальдо баланса текущих операций привели и текущие трансферты «остальному миру», которые увеличились с DM 59 млрд в 1988 г. до DM92 млрд в 1994 г., причем текущие трансферты государства Европейскому Союзу — с DM 26 млрд до DM 43 млрд.
Основным фактором этой динамики является процесс трансформации экономики новых федеральных земель Германии в рыночную экономику, однако с течением времени данный фактор должен утратить свое значение. Правда, и ФРГ должна будет смириться с тем, что время огромных избытков баланса текущих операций истекло.
Таблица 20.1
Динамика внешней торговли1 Федеративной Республики Германии (в абсолютном выражении — в DM млрд, в процентном выражении — доля ВВП, в текущих иенах) |
|
|
1985 г. |
1988 г. |
1989 г. |
1990 г. |
1991 г. |
1992 г. |
1993 г. |
1994 г. |
Внешняя торговля
1 Экспорт (ФОБ) |
537 |
568 |
641 |
662 |
666 |
671 |
628 |
685 |
|
2 Импорт (СИФ) |
464 |
440 |
506 |
557 |
644 |
638 |
566 |
611 |
|
3 Сальдо |
73 |
128 |
135 |
105 |
22 |
33 |
62 |
74 |
Дополнение к товарному обороту
4 |
-2 |
-3 |
-4 |
-4 |
-4 |
-4 |
-7 |
-4 |
Услуги
5 Доходы |
91 |
85 |
96 |
104 |
109 |
107 |
105 |
102 |
|
6 Расходы |
89 |
95 |
103 |
115 |
126 |
138 |
146 |
152 |
|
7 Сальдо |
9 |
-10 |
-7 |
-11 |
-17 |
-31 |
-41 |
-50 |
Заработки и доходы от имущества
8 Доходы |
45 |
59 |
81 |
101 |
119 |
122 |
127 |
125 |
|
9 Расходы |
37 |
53 |
60 |
74 |
89 |
99 |
108 |
122 |
|
10 Сальдо |
8 |
6 |
21 |
27 |
30 |
23 |
19 |
3 |
Текущие трансферты
11 Сальдо |
-31 |
-34 |
-37 |
-39 |
-63 |
-55 |
-57 |
-61 |
Баланс по текущим операциям
12 Сальдо |
SO |
R7 |
107 |
78 |
-32 |
-34 |
-24 |
—38 |
Компоненты чистого экспорта2
13 Экспорт (1+5+8) |
673 |
712 |
818 |
867 |
894 |
900 |
860 |
912 |
|
14 в % ВНП |
36,7 |
33,8 |
36,4 |
35,4 |
33,5 |
31,9 |
30,3 |
30,9 |
|
15 Импорт (2+6+9) |
590 |
588 |
669 |
7,46 |
859 |
875 |
820 |
885 |
|
16 в % ВНП |
32,2 |
27,9 |
29,8 ¦ |
30,5 |
32,2 |
31,0 |
28,9 |
30,1 |
|
Таблица 20.2
Торговые партнеры Федеративной Республики Германии |
|
|
Стары |
е федеральные земли |
Объединенная Германия |
|
|
1950 г. |
1960 г. |
1970 г. |
1980 г. |
1990 г. |
1991 г. |
1992 г. |
1993 г. |
1994 г. |
|
Ввоз |
|
Всего (DM млрд) |
11,4 |
42,7 |
109,6 |
341,4 |
550,6 |
643,9 |
637,6 |
566,5 |
611,1 |
|
В % |
|
Страны ЕС, среди них: |
39,6 |
39,5 |
51,5 |
48,6 |
52,1 |
52,0 |
52,0 |
46,3 |
55,4 |
|
Бельгия/Люксембург |
3,6 |
5,7 |
9,5 |
7,2 |
7,2 |
7,1 |
7,0 |
5,9 |
6,1 |
|
Франция |
6,1 |
9,4 |
12,7 |
10,7 |
11,8 |
12,0 |
12,0 |
11,3 |
11,1 |
|
Великобритания |
4,3 |
4,6 |
3,9 |
6,7 |
6,7 |
6,6 |
6,8 |
6,0 |
6,2 |
|
Италия |
4,5 |
6,1 |
9,9 |
7,9 |
9,4 |
9,3 |
9,2 |
8,1 |
8,4 |
|
Нидерланды |
11,0 |
8,5 |
12,1 |
11,5 |
10,2 |
9,7 |
9,6 |
8,2 |
8,2 |
|
Австрия |
1,6 |
2,7 |
2,1 |
2,9 |
4,3 |
4,2 |
4,4 |
4,8 |
4,8 |
|
Швейцария |
3,1 |
3,8 |
3,0 |
3,6 |
4,2 |
3,9 |
4,0 |
4,4 |
4,4 |
|
США |
15,2 |
14,0 |
11,0 |
7,5 |
6,7 |
6,6 |
6,6 |
7,3 |
7,3 |
|
Япония |
0,3 |
0,7 |
1,9 |
3,1 |
6,0 |
6,2 |
6,0 |
6,3 |
5,6 |
|
Западные индустриальные страны |
73,3 |
72,8 |
79,8 |
74,4 |
82,5 |
81,4 |
81,4 |
78,0 |
— |
|
Средняя и Восточная Европа |
3,0 |
4,8 |
4,0 |
5,1 |
5,4 |
5,1 |
5,5 |
6,5 |
_ |
|
ОПЕК2 |
4.9 |
6,8 |
6,3 |
11,0 |
2,6 |
2.3 |
2,4 |
2,6 |
2,1 |
|
Остальные развивающиеся страны |
18,6 |
15,3 |
9,8 |
9,4 |
9,5 |
9,3 |
8,7 |
10,2 |
— |
|
Новые индустриальные страны Юго-Восточной Азии3 |
—¦ |
— |
0,8 |
1,2 |
— |
— |
3,3 |
3,8 |
3,7 |
|
|
Окончание табл.20.2 |
|
|
Старые федеральные земли |
Объединенная Германия |
|
|
1950 г. |
1960 г. |
1970 г. |
1980 г. |
1990 г. |
1991 г. |
1992 г. |
1993 г. |
1994 г. |
|
Вывоз |
|
Всего (DM млрд) |
8,4 |
47,9 |
125,3 |
350,3 |
642,8 |
665,8 |
671,2 |
628,4 |
685,3 |
|
В% |
|
Страны ЕС, среди них: |
48,9 |
40,3 |
49,8 |
51,1 |
54,5 |
54,1 |
54,4 |
48,3 |
57,7 |
|
Бельгия/Люксембург |
8,1 |
6,0 |
8,2 |
7,8 |
7,4 |
7,3 |
7,4 |
6,7 |
6,7 |
|
Франция |
7,3 |
8,8 |
12,4 |
13,3 |
13,0 |
13,1 |
13,0 |
11,8 |
12,0 |
|
Великобритания |
6,4 |
4,5 |
3,6 |
6,5 |
8,5 |
7,6 |
7,7 |
7,8 |
8,0 |
|
Италия |
5,9 |
5,9 |
8,9 |
8,5 |
9,3 |
9,2 |
9,3 |
7,3 |
7,6 |
|
Нидерланды |
13,9 |
8,8 |
10,6 |
9,5 |
8,4 |
8,4 |
8,3 |
7,4 |
7,5 |
|
Австрия |
3,7 |
5,1 |
4,5 |
5,5 |
5,7 |
5,9 |
6,0 |
6,3 |
5,8 |
|
Швейцария |
5,9 |
6,2 |
6,1 |
5,7 |
6,0 |
5,7 |
5,3 |
5,7 |
5,4 |
|
США |
5,7 |
7,9 |
9,1 |
6,1 |
7,3 |
6,3 |
6,4 |
7,6 |
7,9 |
|
Япония |
0,4 |
1,0 |
1,6 |
1,1 |
2,7 |
2,5 |
2,2 |
2,5 |
2,6 |
|
Западные индустриальные страны |
80,5 |
76,3 |
83,6 |
79,3 |
85,4 |
82,7 |
81,9 |
78,5 |
|
|
Средняя и Восточная Европа1 |
4,3 |
4,8 |
4,3 |
5,5 |
4,3 |
5,6 |
5,6 |
6,9 |
|
|
ОПЕК |
2,5 |
3,8 |
2,9 |
6,5 |
2,8 |
3,2 |
3,4 |
3,0 |
2,6 |
|
Остальные развивающиеся страны |
12,4 |
14,8 |
9,0 |
8,3 |
7,3 |
7,7 |
8,1 |
9,8 |
|
|
Новые индустриальные страны Юго-Восточной Азии |
|
|
1,0 |
2,4 |
|
|
2,6 |
3,2 |
3,5 |
|
Значение международной торговли и ее детерминанты 519
Данные табл. 20.2 показывают, что важнейшими внешнеторговыми партнерами ФРГ являются промышленно развитые страны, прежде всего США и государства-члены ЕС. Объем торговли с развивающимися странами относительно невелик.
Наконец, табл. 20.3 дает представление о товарной структуре немецкой внешней торговли. Она показывает существенное различие ассортимента импорта и экспорта. ФРГ достигает положительного сальдо главным образом за счет экспорта инвестиционных благ, в то время как по ресурсам ее импорт намного превышает экспорт (строки 1-3). Обобщая, можно сказать, что Германия во внешней торговле поставляет на мировой рынок инвестиционные и потребительские блага высокой технологии и сильно зависит от импорта ресурсов.
2. Содержание и роль международной торговли
2.1. Обшие выгоды от всемирного разделения труда
Международная торговля позволяет извлекать выгоду из всемирного разделения труда, как это доказал еще 200 лет назад Адам Смит:
«Основное правило каждого благоразумного главы семьи состоит в том, чтобы не пытаться изготовлять дома такие предметы, изготовление которых обойдется дороже, чем при покупке их на стороне. Портной не пробует сам шить себе сапоги, а покупает их у сапожника. Сапожник не пробует сам шить себе одежду, а прибегает к услугам портного. Фермер не пробует ни того, ни другого, а пользуется услугами обоих этих ремесленников. Все они находят более выгодным для себя затрачивать весь свой труд в той области, в которой они обладают некоторым преимуществом перед своими соседями, и все необходимое им покупать в обмен на часть продукта или, что то же самое, на цену части продукта своего труда.
То, что представляется разумным в образе действий любой частной семьи, вряд ли может оказаться неразумным для всего королевства. Если какая-либо чужая страна может снабжать нас каким-нибудь товаром по более дешевой цене, чем мы сами в состоянии изготовлять его, гораздо лучше покупать его у нее на некоторую часть продукта нашего собственного промышленного труда, прилагаемого в той области, в которой мы обладаем некоторым преимуществом».
Смит А. Исследование о природе и причинах богатства народов. М., 1962. С. 333. Следовательно, основной источник выгод от международной торговли — разница в производственных издержках и в конечном счете разница в ценах на блага в отдельных странах. Более тщательный анализ показывает, что внешняя торговля становится выгодной не только при абсолютной разнице в ценах (страна 1 производит благо А дешевле, чем страна 2), но и при относительной (сравнительной) разнице в ценах (страна 1 в отличие от страны 2, производит благо А дешевле, чем благо Б — теорема Давида Рикардо о сравнительных преимуществах). Причина этого заключается в том, что валютный курс превращает относительное преимущество в ценах в абсолютное ценовое преимущество (см. раздел 2.4). Поэтому возникает вопрос о причинах (относительной) ценовой разницы.
|
Таблица 20.3. Импорт и экспорт в Федеративной Республике Германии по товарным группам (в % от обшего импорта и общего экспорта) |
|
|
Старый |
федеральные земли 1 ОГгьр чиненная Гепмяния |
|
1960 г. |
1970 г. |
1980 г. |
1990 г. |
1991 г. |
1992 г. |
1993 г. |
|
Ввоз |
|
Всего (DM млрд) |
42,7 |
109,6 |
341,4 |
550,6 |
643,9 |
637,5 |
544,1 |
|
B% ~ |
|
Продукция сельского, лесного и |
|
тз^ |
8,0 |
5,6 |
5,3 |
5,2 |
—ТБ- |
|
охотничьего хозяйств |
|
|
|
|
|
|
|
|
Продукты питания |
8,5 |
8,2 |
6,1 |
5,9 |
5,8 |
6,4 |
6,1 |
|
Продукция горнодобывающей |
11,3 |
9,3 |
17,8 |
5,6 |
5,8 |
5,6 |
6,3 |
|
промышленности, |
|
|
|
|
|
|
|
|
в том числе: |
|
|
|
|
|
|
|
|
природный газ, нефть и т. д. |
4,5 |
5,7 |
15,8 |
4,8 |
5,0 |
4,8 |
5,5 |
|
Ресурсы и товары производствен- |
29,0 |
29,9 |
27,4 |
25,6 |
22,9 |
22,4 |
21,3 |
|
ного назначения, |
|
|
|
|
|
|
|
|
в том числе: |
|
|
|
|
|
|
|
|
продукция химической промыш- |
5,6 |
7,4 |
7,8 |
9,8 |
9,0 |
9,0 |
8,8 |
|
ленности |
|
|
|
|
|
|
|
|
продукция нефтяной промыш- |
2,0 |
2,4 |
5,5 |
2,6 |
2,6 |
2,1 |
2,1 |
|
ленности |
|
|
|
|
|
|
|
|
Инвестиционные блага, |
11,1 |
22,4 |
22,9 |
37,8 |
40,9 |
41,0 |
40,7 |
|
в том числе: |
|
|
|
|
|
|
|
|
электротехническая продукция |
2,1 |
5,3 |
6,1 |
10,0 |
10,1 |
10,2 |
10,8 |
|
продукция машиностроения |
4,9 |
6,0 |
4,8 |
6,7 |
6,7 |
6,8 |
6,0 |
|
автотранспортные средства |
1,4 |
4,4 |
4,7 |
9,2 |
11,2 |
11,0 |
10,3 |
|
Потребительские блага. |
10,2 |
13,5 |
15,4 |
17,2 |
17,5 |
17,5 |
18,6 |
|
в том числе: |
|
|
|
|
|
|
|
|
продукция текстильной и |
7,5 |
8,3 |
8,2 |
9,2 |
8,7 |
9,0 |
9,7 |
|
швейной промышленности |
|
|
|
|
|
|
|
|
Вывоз |
|
Всего (DM млрд) |
47,9 |
125,3 |
350,3 |
642,8 |
665,8 |
671,2 |
603,5 |
|
В % |
|
Продукция сельского, лесного и |
0,9 |
т,з |
1,1 |
по |
1,2 |
Т7Г |
1,0 |
|
охотничьего хозяйств |
|
|
|
|
|
|
|
|
Продукты питания |
1,8 |
2,4 |
4,5 |
4,1 |
4,5 |
4,6 |
4,8 |
|
Продукция горнодобывающей |
5,4 |
2,3 |
2,3 |
0,5 |
0,6 |
0,5 |
0,4 |
|
промышленности |
|
|
|
|
|
|
|
|
Ресурсы и товары производствен- |
29,3 |
27,0 |
27,2 |
23,5 |
23,1 |
22,3 |
23,0 |
|
ного назначения, |
|
|
|
|
|
|
|
|
в том числе: |
|
|
|
|
|
|
|
|
продукция химической промыш- |
12,4 |
13,4 |
13,2 |
13,0 |
13,0 |
12,7 |
13,4 |
|
ленности |
|
|
|
|
|
|
|
|
производство железа и стали |
9,2 |
6,4 |
5,3 |
3,5 |
3,3 |
3,0 |
2,9 |
|
Инвестиционные блага, |
52,1 |
54,2 |
51,4 |
56,5 |
56,1 |
57,1 |
56,7 |
|
в том числе: |
|
|
|
|
|
|
|
|
продукция машиностроения |
18,9 |
19,3 |
16,4 |
15,8 |
15,3 |
15,0 |
15,5 |
|
автотранспортные средства |
12,5 |
14,5 |
15,1 |
18,0 |
16,6 |
18,0 |
16,8 |
|
электротехническая продукция |
8,5 |
9,7 |
9,8 |
11,4 |
11,9 |
11,9 |
12,5 |
|
Потребительские блага, |
9,3 |
11,2 |
11,5 |
12,7 |
12,8 |
12,7 |
12,6 |
|
в том числе: |
|
|
|
|
|
|
|
|
продукция текстильной и |
4,0 |
5,0 |
4,8 |
5,1 |
5.1 |
5,1 |
5,0 |
|
швейной промышленности |
|
|
|
|
|
|
|
|
|
Источник-. Institut der deutschen Wirtschaft. Zahlen zur wirtschaftlichen Entwicklung der Bundesrepublik Deutschland. Berlin, 1994. |
Как видно из табл. 20а, российский экспорт составлял в 1996 г. около 24 % от ВВП. Доля импорта в российском ВВП в последние годы стабильно остается более низкой, чем доля экспорта, в том же 1996 г. она равнялась примерно 22 %. Следовательно, зависимость российской экономики от внешней торговли не велика. Такое положение характерно для крупных стран с относительно автономной экономикой.
Врезка 20.1.
Внешняя торговля Российской Федерации
Как и вся российская экономика, внешняя торговля находится в процессе изменений, происходит переориентация торговых потоков от старых партнеров СССР по социалистическому блоку на новых — промышленно развитые страны, восстанавливается дореволюционная ориентация российской внешней торговли, когда главными контрагентами России были Великобритания, Германия, США, Франция и Нидерланды.
Таблица 20а
|
Динамика внешней торговли России в абсолютном выражении (в $ млн) и в процентном отношении к ВВП в текущих ценах |
|
|
1992 г. |
1993 г. |
1994 г. |
1995 г. |
1996 г. |
Внешняя торговля
1. Экспорт (в ценах ФОБ) |
42374 |
43711 |
67717 |
81454 |
90232 |
|
2. Импорт (в ценах ФОБ) |
-36865 |
-32959 |
-48005 |
-58968 |
-67407 |
|
3. Сальдо |
5509 |
10752 |
19711 |
22486 |
22825 |
|
4. Поправка на неэквивалентный бартер |
— |
-1204 |
— |
— |
— |
Услуги (не факторные)
5. Доходы |
|
|
8949 |
12445 |
12217 |
|
6. Расходы |
|
|
-15444 |
-20536 |
-18592 |
|
7. Сальдо |
-2377 |
-2533 |
-6495 |
-8091 |
-6376 |
Доходы от инвестиций и оплата труда (факторные услуги)
8. Доходы полученные |
|
|
3502 |
4292 |
4231 |
|
9. Доходы выплаченные |
|
|
-5282 |
-7565 |
-9435 |
|
10. Сальдо |
-1990 |
-2923 |
-1780 |
-3273 |
-5204 |
Текущие трансферты
11. Полученные |
|
|
449 |
764 |
699 |
|
12. Выплаченные |
|
|
-508 |
-596 |
-535 |
|
13. Сальдо |
3037 |
2324 |
-58 |
168 |
165 |
Счет текущих операций
14. Сальдо |
4179 |
6416 |
11378 |
11290 |
11410 |
Компоненты чистого экспорта
15. Экспорт (1+5+8) |
|
|
80168 |
98191 |
106680 |
|
16. Экспорт в % от ВВП (по паритету |
|
|
12,1 |
15,1 |
17,1 |
покупательной способности)
17. Экспорт в % от ВВП (по рыночному |
54,1 |
32,2 |
28,9 |
27,4 |
24,2 |
обменному курсу рубля относительно доллара)
18. Импорт (2+6+9) |
|
|
68731 |
87069 |
95434 |
|
|
Источники: Национальные счета России в 1989—1995 гг. Статистический сборник. М., 1997; Российский статистический ежегодник. М., 1997. С.575-576, 695. |
Табл. 206 показывает, что в настоящее время важнейшими внешнеторговыми партнерами России являются именно промышленно развитые страны — США, страны-члены ЕС и Япония. Масштабы торговли с развивающимися странами относительно невелики. Немалую роль во внешней торговле России по-прежнему играют бывшие республики СССР — Украина, Казахстан и Белоруссия (см. также врезку 22.2).
О товарной структуре российской внешней торговли позволяет судить табл. 20в. Она показывает существенное различие в ассортименте экспорта и импорта. В российском вывозе преобладают минеральные продукты, иначе говоря, энергоносители (нефть, газ), а также металлы и драгоценные камни, тогда как в импорте доминируют машины, оборудование и транспортные средства, продовольствие и сельскохозяйственное сырье. Обобщая, можно сказать, что во внешней торговле Россия сильно зависит от экспорта ресурсов минимальной степени обработки и закупает на мировом рынке главным образом потребительские блага длительного пользования и продукты питания.
Таблица 206
Основные торговые партнеры Российской Федерации |
|
|
1992 г. |
1993 г. |
1994 г. |
1995 г. |
1996 г. |
|
Экспорт |
|
Всего ( $ млрд) |
53,6 |
59,6 |
67,5 |
81,1 |
89,1 |
|
В% |
|
Страны СНГ, |
20,9 |
25,7 |
21,5 |
19,1 |
19,3 |
|
в том числе: |
|
|
|
|
|
|
Украина |
|
|
10,2 |
8,6 |
8,5 |
|
Белоруссия |
|
|
4,4 |
3,6 |
3,8 |
|
Казахстан |
|
|
2,8 |
3,1 |
2,9 |
|
Страны ЕС, |
38,8 |
32,9 |
35,6 |
32,3 |
31,3 |
|
в том числе: |
|
|
|
|
|
|
Великобритания |
4,3 |
5,7 |
6,4 |
3,8 |
3,6 |
|
Германия |
11,2 |
8,6 |
9,5 |
7,4 |
8,0 |
|
Италия |
5,6 |
4,4 |
4,4 |
4,2 |
3,1 |
|
Нидерланды |
4,3 |
0,2 |
3,7 |
3,9 |
3,7 |
|
Венгрия |
3,0 |
3,5 |
2,1 |
2,2 |
2,2 |
|
Китай |
5,4 |
5,2 |
4,3 |
4,2 |
5,4 |
|
Польша |
3,2 |
2,2 |
2,1 |
2,5 |
2,8 |
|
США |
1,5 |
3,4 |
5,3 |
5,5 |
5,7 |
|
Чехия |
|
2,3 |
1,9 |
2,3 |
2,1 |
|
Япония |
3,2 |
3,4 |
4,1 |
4,4 |
3,8 |
|
Импорт |
|
Всего ($ млрд) |
43,0 |
44,3 |
50.5 |
60,9 |
62,3 |
|
в % |
|
Страны СНГ, |
14,0 |
26,0 |
26,9 |
27,6 |
29,4 |
|
в том числе: |
|
|
|
|
|
|
Украина |
|
|
8,7 |
10,8 |
10,1 |
|
Белоруссия |
|
|
4,2 |
3,4 |
4,7 |
|
Казахстан |
|
|
4,0 |
4,4 |
4,8 |
|
Наряду с ценовыми преимуществами в новой теории внешней торговли в качестве обоснования внутриотраслевых внешнеторговых потоков все в большей степени рассматривается продуктовая дифференциация (см. раздел 2.3).
2.2. Разница цен как причина международных торговых потоков
В конечном итоге причину относительной разницы цен можно свести к трем определяющим факторам:
¦ разница в методах производства,
¦ разница в обеспеченности производственными факторами,
¦ разница в поведении спроса.
|
|
Врезка 20.1.
(Окончание) |
Окончание табл. 206 |
|
|
1992 г. |
1993 г. |
1994 г. |
1995 г. |
1996 г. |
|
Страны ЕС, в том числе:
Великобритания
Германия
Италия
Нидерланды
Венгрия
Китай
Польша
США
Чехия
Япония |
38.4
1.4 16,3
7.2
0,9
2,6
4.2
3.3
6,7
4,0 |
25.3
1,6
8,6
2.3 0,9
1.4 5,2
1,1
5.2
U
3.2 |
30,5
1,8
8,4
3,2
3.2
1,6
1,8
1,8
4.2
0,8
2.2 |
29.6
1,8
8,0
3.1
2.6
1.3
1,5
2.1
4.3
0,7
1.3 |
25.7
1,8
5,8
3.7 1,6
1,1
1,6
1,4
4.7
1.8
1,6 |
|
|
Рассчитано по: Российский статистический ежегодник. М., 1997. С. 577-579; проценты округлены.
Таблица 20в
Товарная структура внешней торговли России |
|
|
|
|
1992 г.* |
1993 г.* |
1994 г. |
1995 г. |
1996 г. |
|
|
Экспорт |
|
Всего ( $ млрд) |
42,4 |
44,3 |
53,0 |
65,6 |
71,9 |
|
• В% |
|
Машины, оборудование и транспортные средства |
8,9 |
6,5 |
6,0 |
8,1 |
7,8 |
2.2.1. Разница в методах производства
Возникновение внешней торговли обусловлено следующими различиями в методах производства.
Различие во владении
Различия стран в обеспеченности природными ресурсами, такими как земля, климат, полезные ископаемые, приводят к тому, что отдельные страны не могут сами произвести некоторые блага, а зависят от импорта. Типичные примеры — нефть и минеральные ресурсы, такие как хром, никель, цинк и т. д., а также тропические сельскохозяйственные продукты, например кофе и бананы.
Различие в природных производственных условиях
Если даже некоторые страны могут произвести те же самые блага, разница в обеспеченности ресурсами обусловливает разницу в издержках производства. Так, на-
|
Окончание табл. 20в |
|
|
1992 г. |
1993 г. |
1994 г. |
1995 г. |
1996 г. |
|
Минеральные продукты |
52,1 |
46,7 |
43,1 |
40,2 |
46,9 |
|
Металлы, драгоценные камни и изделия |
16,4 |
23,2 |
31,1 |
29,8 |
26,4 |
|
ИЗ них |
|
|
|
|
|
|
Продукция химической промышленности |
6,1 |
6,0 |
7,8 |
9,6 |
8,1 |
|
Древесина и целлюлозно-бумажные изделия |
3,7 |
4,2 |
4,1 |
5,9 |
4,3 |
|
Текстиль |
0,6 |
0,4 |
1,7 |
1,3 |
0,9 |
|
Кожевенное сырье, пушнина |
0,2 |
0,2 |
0,7 |
0,4 |
0,5 |
|
Продовольственные товары и сельскохозяйственное сырье |
3,9 |
3,8 |
4,3 |
3,5 |
3,7 |
|
Прочие |
8,1 |
9,0 |
1,2 |
1,2 |
1,4 |
|
Импорт |
|
Всего ($ млрд) |
37,0 |
26,8 |
28,3 |
33,1 |
31,8 |
|
В % |
|
Машины, оборудование и транспортные |
37,7 |
33,8 |
37,6 |
38,7 |
37,0 |
средства
Минеральные продукты |
2,7 |
4,0 |
2,9 |
2,9 |
3,8 |
|
Металлы, драгоценные камни и изделия |
3,3 |
3,5 |
4,0 |
5,0 |
6,1 |
|
ИЗ них |
|
|
|
|
|
|
Продукция химической промышленности |
9,3 |
6,2 |
11,0 |
11,4 |
15,6 |
|
Древесина и целлюлозно-бумажные изделия |
1,2 |
0,5 |
1,7 |
3,0 |
4,3 |
|
Текстиль |
12,2 |
13,9 |
7,6 |
4,7 |
4,3 |
|
Кожевенное сырье, пушнина |
1,9 |
2,6 |
0,6 |
0,4 |
0,4 |
|
Продовольственные товары и |
26,0 |
22,2 |
30,4 |
29,4 |
24,5 |
сельскохозяйственное сырье
Прочие |
5,7 |
13,3 |
4,2 |
4,5 |
4,0 |
|
пример, добыча каменного угля в Германии дороже, чем в США, из-за различий в глубине месторождений, или производство зерна в Норвегии, в силу климатических условий, дороже, чем во Франции.
Технологический разрыв
Аналогично различиям в природных условиях существуют различия в технологическом владении или даже монополия на технологию. Не все страны имеют такой уровень технологического развития, который позволяет им производить высокотехнологичные блага типа компьютеров или самолетов. Поэтому потребность в них приходится удовлетворять за счет импорта.
Экономия от масштаба
Внешняя торговля расширяет рынки, что дает возможность более полно использовать преимущества массового производства (см. гл. 7). С ростом объема производства происходит приближение к минимальному оптимальному размеру предприятия (МОРП). Этим обосновывается выгодность специализации: даже если в исходной ситуации обе страны могли бы производить оба продукта с одинаковыми абсолютными и относительными ценами, специализация стран на производстве одного из этих благ была бы выгодной, так появлялась бы возможность использовать преимущества массового производства (низкие издержки). Но в таком случае трудно определить, какой стране следует специализироваться на производстве какого продукта. Очевидно, об этом им придется договориться между собой.
2.2.2. Разница в обеспеченности факторами
Даже если страны производят какое-то благо в одинаковых технических условиях, т. е. имеют одинаковую производственную функцию, международный обмен все-таки может быть выгодным. Это справедливо тогда, когда страны по-разному наделены производственными факторами и когда производственная функция различается если не между странами, то хотя бы между благами. Проиллюстрируем данный тезис на примере. Страна 1 хорошо обеспечена капиталом и плохо рабочей силой, в то время как страна 2, наоборот, хорошо обеспечена трудом и плохо капиталом. Разные соотношения данных факторов приводят к разным пропорциям цен факторов: в богатой капиталом стране 1 капитал относительно дешевле труда, тогда как в стране, богатой трудом, труд дешевле капитала. Таким образом, в них имеют место различия в соотношении цен факторов, зарплаты и процентов. В этом случае, например, в стране 1 ставка зарплаты составляет DM 30 в час, а реальный процент равен DM 10 за единицу капитала; тогда как в стране 2 ставка зарплаты достигает 1000 драхм, а реальный процент — 500 драхм. Поэтому
30 немецких марок > 1000 драхм ^ ^
10 немецких марок 500 драхм '
Предположим, что существуют также два блага, одно из которых производится с высокими затратами капитала (например, машины), а другое — с высокими затратами труда (например, мебель). Из-за разницы в соотношении цен факторов производства богатая капиталом страна производит машины по сравнению с мебелью дешевле, чем страна, богатая трудом. Отсюда:
Страна 1 Страна 2
Цена машины Цена машины .
Цена мебели Цена мебели
Следовательно, соотношение цен на блага различно, и эта разница обусловливает выгоду от внешней торговли:
относительно богатые капиталом страны будут экспортировать капиталоемкие блага и импортировать трудоемкие блага, в то время как страны, относительно богатые трудом, экспортируют трудоемкие блага и импортируют капиталоемкие блага.
Данное положение составляет суть теоремы факторных пропорций Хекше-ра и Олина, которая позволяет объяснить, почему Германия экспортирует машины для производства инструментов и импортирует испанское шампанское.
Наконец, возможно расширение и дифференцирование рассмотренных производственных факторов:
«Богатая землей страна экспортирует блага, для производства которых интенсивно используются земельные ресурсы (сельскохозяйственные продукты). Или: богатая ресурсами страна экспортирует ресурсоемкие товары. Или: страна с хорошей окружающей средой экспортирует блага, произведенные с ее интенсивным использованием. И наделенная природными красотами страна экспортирует природоемкое благо (туризм). Страна, богатая человеческим капиталом, экспортирует товары, при производстве которых он интенсивно используется. И, наконец: страна с инновационным капиталом экспортирует наукоемкие товары (новые товары). Следовательно, главный вывод теоремы Хек-шера—Олина состоит в том, что обеспеченность страны факторами производства необходимо рассматривать вместе с интенсивностью применения» (Siebert Н. Auflenwirtschaft. 1989. S.51).
С этим связано объяснение внешней торговли с помощью жизненного цикла благ. Появляясь на рынке, каждый новый продукт проходит цикл, состоящий из трех фаз: инновационной фазы, фазы созревания и фазы стандартизации. Нововведение связано с высокой технической квалификации производителя (оно «интеллектоемко»), что характерно для высокоразвитых индустриальных стран. Фаза созревания требует прежде всего капиталоемкого производства на среднем технологическом уровне, поэтому на данной стадии производство блага «перехватывают» среднеразвитые индустриальные страны. А в фазе стандартизации «на сцену выходят» развивающиеся страны, находящиеся в стадии индустриализации («новые индустриальные страны»). Наши рассуждения справедливы и для отдельных продуктов, а не только для отдельных групп стран. Так, высокоразвитое государство не будет создавать все инновации (т. е. имеет место и страновая специализация в нововведениях).
2.2.3. Разница в поведении спроса
Наконец, разница в цене может быть вызвана (даже при одинаковых производственных методах и одинаковой обеспеченности факторами) различиями в поведении спроса в отдельных странах, которые делают выгодной внешнюю торговлю.
Важно понять, что все эти различные факторы, как правило, оказывают комплексное воздействие. Их совместный анализ позволяет сделать вывод, что внешняя торговля выгодна для всех стран (возможно, вопреки первому впечатлению). И даже, как показывает теорема сравнительных преимуществ, для стран, которые производят все блага с наименьшими или наибольшими издержками.
2.3. Продуктовая дифференциация как причина международного обмена
Если обратиться к анализу торговли между «похожими» странами (с родственной культурой, одинаковыми доходами на душу населения, географически близкими друг кдругу), мы столкнемся с тем, что большая часть торговых потоков между двумя странами охватывает блага одних и тех же товарных групп, например, автомобили или часы, причем по каждой товарной группе международные потоки благ движутся в обоих направлениях. Такое явление обозначают термином «внутриотраслевая торговля». Подобную торговлю, очевидно, нельзя объяснить более низкими ценами в какой-то одной из участвующих в ней стран, поскольку в таком случае торговый поток проходил бы только в одном направлении. Очевидно, что ее причина кроется в продуктовой дифференциации. В таком случае продавцы имеют некоторую свободу в установлении цен, так как покупатели воспринимают продукты одной товарной группы (например, автомобили определенного класса) как разные блага. Причиной может быть и ощущаемое покупателями фактическое или кажущееся различие в качестве, например, они имеют особую расположенность к какой-то марке («Вольво» — это нечто совсем иное, чем «БМВ»). Таким образом, блага могут покупаться за границей даже тогда, когда цены на них не ниже, а такие же или даже выше. Если исходить из того, что в действительности предпочтения благ разных лиц не одинаковы, можно себе представить, что, например, в ФРГ домашнее хозяйство А выбирает «Вольво», в то время как домашнее хозяйство Б из Швеции отдает предпочтение «БМВ».
Чтобы ответ на этот вопрос был более полным, необходимо добавить, что внутриотраслевую торговлю можно объяснить также транспортными издержками при конкретном размещении продавцов в обеих странах.
2.4. Теорема сравнительных преимуществ (теорема Рикарло)
Одна из самых знаменитых классических экономических теорем — теорема сравнительных преимуществ, предложенная в 1817 г. англичанином Давидом Рикардо (David Ricardo, 1772-1823), объясняет, что международный обмен благами между двумя странами выгоден даже и тогда, когда одна из них все блага производит дешевле, чем другая. Важно лишь различие в соотношении производственных издержек в этих странах.
Данный вывод можно проиллюстрировать на простом примере. Две страны — Германия и Италия — производят только сталь и говядину. Для упрощения предполагается, что производственные издержки определяются только затратами рабочего времени, необходимыми для производства товаров. Исходя из 12-часового рабочего дня производственные возможности обеих стран можно изобразить, как показано на рис. 20.1, в виде кривой трансформации (см. гл. 1). В целях упрощения они без ущерба для анализа изображены здесь в виде прямых линий.
Линии трансформации в данном примере (рис. 20.1) отражают следующие производственные возможности.
В Германии для производства 1 кг стали необходим 1 рабочий час, а для производства одного кг говядины — 2 рабочих часа. Следовательно, в Германии за рабочий день производится 12 кг стали или 6 кг говядины, или, например, 6 кг стали и 3 кг говядины. Важно, что для увеличения производства говядины на 1 кг необходимо отказаться от 2 кг стали; значит, 1 кг говядины стоит 2 кг стали, и наоборот, 1 кг стали стоит 1 /2 кг говядины. Данная пропорция — внутреннее немецкое соотношение обмена.
В Италии для производства 1 кг стали необходимо 2 рабочих часа, а для производства 1 кг говядины — 3 рабочих часа. Следовательно, Италия за рабочий день
|
Г ермания Италия |
 |
|
Рис. 20.1. Производственные возможности (кривые трансформации) Германии и Италии при 12-часовом рабочем дне |
может произвести 6 кг стали, или 4 кг говядины, или некую комбинацию этих благ. Увеличение производства говядины на 1 кг стоит в Италии отказа от производства 1,5 кг стали. Значит, 1 кг говядины стоит 1,5 кг стали; или, что то же самое, 1 кг стали стоит 0,67 кг говядины. Данная пропорция — внутреннее итальянское соотношение обмена. Следовательно, в то время как в Германии можно производить как сталь, так и говядину с меньшими абсолютными затратами труда, в Италии говядина производится относительно дешевле стали, чем в Германии.
|
Иными словами, сталь относительно говядины в Германии дешевле, чем в Италии. |
|
Германия |
Италия |
1 кг говядины = 2 кг стали ,
1 кг стали = 0,5 кг говядины |
1 кг говядины = 1,5 кг стали
1 кг стали = 0,67 кг говядины |
|
Находчивый торговец мог бы использовать эту сравнительную разницу издержек для извлечения прибыли. Он приобрел бы 1 кг говядины в Италии, затем перевез бы ее в Германию, получил бы здесь 2 кг стали, из которой 1,5 кг использовал для оплаты говядины в Италии, а 0,5 кг стали, за вычетом транспортных издержек, были бы его прибылью.
В международной торговле устанавливаются цены и валютные курсы (см. раздел 5.1) и таким образом меновые отношения между говядиной и сталью. Значения меновых соотношений зависят от спроса и предложения, от конъюнктуры и рыночной власти: но можно не сомневаться, что при свободной торговле действующие между странами (внешние) меновые соотношения должны находиться в интервале, границы которого образуют отечественные (внутренние) меновые соотношения. В нашем примере внешнее меновое соотношение между говядиной и сталью должно находиться между германским и итальянским внутренними меновыми отношениями. Следовательно, между:
1 кг говядины = 1,5 кг стали и 1 кг говядины = 2 кг стали,
так как иначе обмен для одной из этих стран будет невыгоден. Предположим, что меновое соотношение находится посередине:
1 кг говядины = 1,75 кг стали.
В таком случае специализация производства каждой страны на относительно более дешевом для нее продукте принесла бы выгоду обеим странам.
¦ Германия производит 12 кг стали и обменивает, например, 3,5 кг из них на 2 кг говядины;
¦ Италия производит 4 кг говядины и обменивает, например, 2 кг на 3,5 кг стали.
Таким образом, через специализацию и обмен обе страны достигают точки, лежащей вне их кривой трансформации (точки Р на рис. 20.1), т. е. такой точки, которой они при самостоятельном производстве никогда не достигли бы.
Выразим это, используя денежные цены и обменные курсы. Предположим, например, что 1 рабочий час равен DM 1 и 1000 лирам.
Тогда действуют следующие цены:
|
Германия |
Италия |
1 кг говядины = DM 2
1 кг стали = DM 1 |
1 кг говядины = 3000 лир
1 кг стали = 2000 лир |
Если был бы установлен обменный курс 1 марка = 1000 лир, в Германии все было бы дешевле, чем в Италии, причем как в марках, так и в лирах. Таким образом, в Италии возник бы спрос на марки, а с ростом спроса на марки их ценность повысилась бы, например, до соотношения: 1 марка = 1750 лир.
|
В этом случае были бы действительны следующие цены в лирах: |
|
Германия |
Италия |
1 кг говядины = DM 2 = 3500 лир
1кг стали = DM 1= 1750 лир |
1 кг говядины = 3000 лир
1 кг стали = 2000 лир |
|
|
и внешняя торговля была бы выгодна для обеих стран: Италия экспортирует говядину, а Германия экспортирует сталь. Таким образом, обменный курс превращает сравнительные ценовые преимущества в абсолютные ценовые преимущества. |
2.5. Выгодность международной торговли
Обобщим еще раз сказанное. Международная торговля позволяет всем странам расширять возможности производства и потребления, что обусловлено существованием абсолютных и относительных преимуществ в отношении производственных издержек, а также использованием выгод от массового производства (экономией от масштаба).
Крое того, возникает еще один фактор, который, возможно, имеет наибольшее значение: свободная международная торговля усиливает конкуренцию между продавцами и таким образом делает экономический рост еще более динамичным.
Монопольная рента ликвидируется, и повышается склонность к продуктовым технологическим нововведениям. И наконец, с расширением ассортимента продукции увеличивается диапазон потребительского выбора. Все это служит аргументом в пользу свободной внешней торговли. Но международная торговля оказывает и негативные воздействия на состояние экономики.
3. Свободная торговля или протекционизм?
Под свободной торговлей мы понимаем неограниченный международный обмен благ, а под протекционизмом — политику ограничения импорта и продвижения экспорта в целях защиты и поддержки внутреннего производства. Его инструментами являются прежде всего таможенные пошлины, количественные ограничения (квоты) и нетарифные торговые барьеры (см. раздел 4 данной главы).
Идея свободной торговли является основной идеей классического экономического либерализма: выгоды от разделения труда лучше всего реализуются в условиях свободной конкуренции независимых производителей и потребителей, а вмешательство государства приносит только ущерб.
Действительно, почти нет сомнения в том, что при данном обеспечении производственными факторами свободная торговля максимизирует совокупное производство мира. Вопрос состоит лишь в том,
¦ способствует ли свободная торговля оптимальному развитию производительных сил отдельных стран, и
¦ происходит ли распределение полученного в итоге излишка по правилам свободной конкуренции в соответствии с нашими нравственными представлениями.
В приведенном примере Италия, придерживаясь идеи свободной торговли, специализировалась бы на производстве говядины, а Германия — на производстве стали.
Потребность в стали в ходе индустриализации постоянно возрастает, а спрос на говядину достигает естественных границ. Поэтому для Италии в долгосрочном плане такое разделение труда имело бы то невыгодное последствие, что спрос на экспортируемое ею благо стабилизировался бы на каком-то уровне, а ее склонность к импорту постоянно увеличивалась бы.
Данный пример верен и в общем случае: в долгосрочном плане производители сельскохозяйственных продуктов (бананов, кофе, какао и т. д.) проигрывают в мировой торговле производителям промышленных продуктов (пример — вся история развития мировой торговли до настоящего дня). Спрос на промышленные продукты и их цена растут гораздо быстрее, чем спрос и цена на сельскохозяйственные продукты и ресурсы. Поскольку в длительном периоде рост материального благосостояния граждан государства возможен лишь на основе повышения производительности труда через механизацию и индустриализацию, все страны должны быть ориентированы на развитие отечественной промышленности. Мы приводим здесь аргументацию о защитной и «воспитательной» таможенной пошлине немецкого экономиста Фридриха Листа (Friedrich List, 1789-1846). Введенные на определенное время защитные пошлины и импортные квоты предоставляют национальной промышленности защиту от конкуренции со стороны экономически более развитых стран. Так, процесс индустриализации в Германии в XIX в. был облегчен защитными пошлинами, которые помогли немецкой индустрии выстоять в борьбе с более развитой английской промышленностью.
Следовательно, даже если согласиться с тем, что свободная торговля сама по себе не способствует развитию производительных сил развивающихся стран, необходимо задать вопрос, не лучше ли поддерживать отечественную промышленность, например, помощью в рамках планирования и субсидиями, а не защитной пошлиной?
Существуют и некоторые другие причины, которые можно противопоставить принципу свободной торговли. Здесь мы лишь перечислим их:
¦ необходима защита жизненно важных отраслей экономики (сельское хозяйство, нефтедобыча и нефтепереработка, металлургия и т. д.);
¦ в интересах долгосрочной стабильности необходимо избегать «экстремальной» специализации экономической структуры страны (положение страны-экспортера кофе во многом определяется динамикой цен на него на мировом рынке);
¦ импортные пошлины на предметы роскоши для развивающихся стран являются средством, с одной стороны, повышения государственных доходов, с другой —ограничения утечки иностранной валюты.
Для недостаточно развитых стран оправданно отступление от применения чистого принципа свободной торговли; но это ни в коем случае не служит оправданием защитных пошлин и/или импортных квот в некоторых областях экономики высокоразвитых стран.
Но меры по защите отдельных отраслей экономики от конкуренции со стороны иностранных продуктов нередко принимают и развитые страны. Мы оцениваем данную политику как близорукую, так как ее сторонники не учитывают, что:
¦ «пострадавшие» могут предпринять ответные меры, что в конечном итоге приведет к ликвидации свободной мировой торговли;
¦ доходы, которые другие страны получают от экспорта своих продуктов, могут использоваться на импорт товаров;
¦ защита отраслей промышленности от внешней конкуренции в конечном счете ложится на плечи потребителей, ибо возрастают цены на продукцию защищаемых отраслей.
Читатель должен осознать, что, в сущности говоря, речь идет о выборе между эффективностью и социальной справедливостью: свободная конкуренция и мировая торговля эффективны, но они не предоставляют странам с неразвитой промышленностью защиту от эксплуатации и не обеспечивают долгосрочное оптимальное развитие их экономической структуры.
4. Инструменты внешнеторговой политики
Исходя из этих соображений многие страны пытаются контролировать свою внешнюю торговлю. В рыночной экономике указанной цели контроля служат в основном пошлины, квоты или нетарифные торговые барьеры.
Пошлины — это сборы, взимаемые государством с пересекающих границу товаров. В настоящее время в ФРГ существуют лишь пошлины на ввоз (импортные пошлины), преследующие двоякую цель: либо получение государством доходов (фискальная пошлина), либо защита отдельных отраслей экономики от иностранной конкуренции (защитная пошлина). Обычно данные мотивы неотделимы друг от друга.
Для защиты отечественной экономики от иностранной конкуренции иногда устанавливаются квоты. Квоты — это количественные ограничения на товары, пересекающие границу. В большинстве случаев они накладываются на импорт. Квоты относятся к нерыночным средствам, ибо они отключают ценовой механизм.
К инструментам влияния на внешнюю торговлю относятся и торговые договоры между странами. Такие договоры заключены, например, между ЕС и ассоциированными с ЕС странами АКТ (развивающиеся страны Африки, Карибского бассейна и Тихоокеанского региона)(см.гл. 30).
Наконец, необходимо указать на так называемый «демпинг», имеющий место в том случае, когда товар продается экспортером за границей по ценам, которые не покрывают его производственные издержки.
Существенное и все возрастающее значение имеют также возникающие вследствие административных препон торговые барьеры. Имеются в виду нетарифные торговые барьеры (затруднения в процессе приема грузов, введение разрешительной процедур, установлении технических стандартов, требования о представлении сертификатов происхождения и санитарных свидетельств, договоры о добровольных ограничениях).
5. Механизмы формирования баланса текущих операций
Мы объясняли возникновение международной торговли различиями в ценовых соотношениях. Они, в свою очередь, определяются общим состоянием экономики, при котором центральное значение имеют внутренний уровень цен и валютный курс. Важную роль играет и национальный доход страны. Данные взаимосвязи, применительно к экспорту и импорту определенной страны (имеется в виду Германия) схематично изображены на рис. 20.2.
5.1. Валютный курс и внешняя торговля (механизм валютного курса)
Как блага обычно имеют выраженную в деньгах цену, так и валюты разных стран имеют свою цену, выраженную в денежных единицах других стран. Цена, по которой обмениваются две валюты, называется номинальным обменным курсом.
Цену (обменный курс) доллара можно представить, например, как: $ 1 = DM 2. Тогда цена (обменный курс) марки составит: DM 1 = $ 0,5.
Номинальный обменный курс связывает выраженные в отечественной валюте цены благ, произведенных в разных странах, делая цены международно сопоставимыми.
Пусть автомобиль в Германии стоит DM 10 тыс., а в США — $ 4 тыс. Сравнить эти цены можно лишь в том случае, если нам известен валютный курс: если $ 1 =
|
Экспорт |
М-цена в марках
<-валютный курс |
Импорт |
|
|
М-доходы за границей |
|
цена в долларах валютный курс внутренние доходы
Рис. 20.2. Схема факторов внешней торговли
DM 2, тогда выраженная в марках, цена американского автомобиля составляет DM 8 тыс., т. е. ниже цены немецкого автомобиля.
При изменении валютного курса происходит также «смещение» соотношений между ценами внутри страны и за границей. При этом различаются удорожание и обесценение валюты. Если, например, обменный курс изменится с 1 долл = 2 маркам на $1 = DM 1,80 — значит произошло удорожание марки и обесценение доллара. Марка станет дороже, в чем можно убедиться при обратной котировке: курс марки, выраженный в долларах, повышается с DM 1 = $ 0,50 до DM 1 = = $ 0,5556. Наоборот, если цена доллара, выраженная в марках, повышается, например, с $ 1 = DM 2 до $ 1 = DM 2,20, происходит удорожание доллара и обесценение марки.
Последствия удорожания марки
Как повышение ценности марки (например с $ 1 = DM 2 до $ 1 = DM 1,80) повлияет на экспорт и импорт компаний ФРГ?
При условии, что соответствующие внутренние цены, выраженные во внутренней валюте, остаются постоянными, а значит, цены американских благ в долларах и цены немецких благ в марках не изменяются, удорожание марки приводит к:
¦ снижению выраженной в марках цены американских благ;
¦ повышению выраженной в долларах цены произведенных в ФРГ благ.
Перед удорожанием марки американский автомобиль, который в США стоит $ 5 тыс., имел (выраженную в марках) цену DM 10 тыс. После удорожания марки его цена составляет уже DM 9 тыс. Напротив, цена в долларах немецкого автомобиля, который стоит в Германии DM 10 тыс., составляла перед удорожанием марки $ 5 тыс., а после удорожания возросла до $ 5556. Поскольку — если не учитывать некоторых особых случаев — спрос на благо, цена которого снижается, возрастает, спрос немцев на американские блага увеличивается в физическом выражении. Следовательно, объем импорта в Германию возрастает. Наоборот, спрос в США на немецкие товары в физическом выражении снижается, так как их цена в долларах повышается. Очевидно, что при удорожании немецких марок объем экспорта Германии снизится.
Итак, главным результатом изменения валютного курса становятся перемены ценовых соотношений в рассматриваемых странах и вызванные ими изменения международных потоков благ.
Для денежной экономики изменение ценности экспорта и импорта вследствие перемен в валютном курсе столь же важно, как и изменение физических объемов. Ценность потоков благ рассчитывается как произведение их физического объема и цены, причем при определенных обстоятельствах обе величины могут изменяться в противоположном направлении. При этом цену можно брать как в марках, так и в долларах, определяя таким образом ценность потоков благ в долларах, или же их ценность, выраженную в марках. Мы ограничимся исследованием изменений ценности в долларах экспорта и импорта при удорожании и обесценении марки.
При удорожании марки объем импорта ФРГ повышается, в то время как цена товаров в долларах остается неизменной; следовательно, при удорожании повышается ценность немецкого импорта в долларах.
Иначе изменяется ценность в долларах немецкого экспорта. Объем экспорта снижается, в то время как цена экспортируемых из ФРГ благ, выраженная в долларах, повышается. Направление изменения ценности немецкого экспорта в долларах в этом случае зависит от прямой ценовой эластичности американского спроса на немецкие блага. Если эластичность спроса в США в абсолютном выражении больше 1 (т. е. при увеличении цен на 1 % объем спроса уменьшается больше чем на 1%), физический объем экспорта из ФРГ, умноженный на цену товаров, сокращается, а значит, его ценность в долларах уменьшается.
Последствия обесценения марки
Обесценение марки оказывает следующее влияние на ценность в долларах экспорта и импорта ФРГ (при условии постоянства соответствующих внутренних цен во внутренней валюте):
¦ цены американских благ, выраженные в марках, повышаются;
¦ цены немецких благ, выраженные в долларах, снижаются.
Следовательно, объем импорта Германии сокращается, в то время как цена импорта в долларах остается постоянной, вследствие чего снижается ценность немецкого импорта в долларах.
Объем экспорта ФРГ возрастет, так как немецкие блага в США станут дешевле, т. е. выраженная в долларах цена экспорта снизится. Здесь решающим фактором является ценовая эластичность американского спроса на немецкие блага: если она больше 1, то при обесценении марки ценность в долларах немецкого экспорта повышается; если эластичность меньше 1, то ценность в долларах экспорта снижается.
Следовательно, не учитывая некоторые особые случаи, можно исходить из того, что при удорожании (обесценении) марки долларовая ценность немецкого импорта повысится (понизится). Реакция долларовой ценности экспорта неоднозначна. Но в общем можно исходить из того, что спрос на блага других стран имеет ценовую эластичность, которая (в абсолютном выражении) больше 1 (в силу сильной конкуренции на мировом рынке). В таком случае при удорожании (обесценении) марки ценность в долларах немецкого экспорта понизится (увеличится), что и является «нормальной реакцией» баланса товаров и услуг на изменения валютного курса.
Итак, рассмотренный нами пример (США олицетворяет в нем остальной мир) показывает, что изменение ценовых соотношений существенно влияет на международный обмен благами. Как правило, удорожание (обесценение) валюты некоей
страны приводит к снижению (повышению) ценности ее экспорта и к повышению (снижению) ценности ее импорта.
Без дополнительных доказательств отметим, что это верно как для долларовой ценности, так и для выраженной в марках ценности потоков благ и услуг.
Эффекты изменения валютного курса еще раз схематично обобщены на рис.
20.3. При этом «Фольксваген» обозначает немецкий экспорт и американский импорт, а «Боинг» — американский экспорт и немецкий импорт; стрелки указывают на направление изменения, а жирная точка означает постоянство.
Таким образом, становится очевидным, что при анализе влияния валютного курса на баланс текущих операций основное внимание следует обратить на эластичность спроса.
Некоторые дополнения
Основные выводы нашего анализа нуждаются в дополнении.
(1) При сравнении соотношений между внутренними ценами и ценами за границей необходимо учитывать транспортные издержки и пошлины.
(2) Отнюдь не обязательно, что вызванные переменами в валютном курсе изменения цен полностью отразятся на цене предложения. Если, например, ценность марки повышается от $ 1 = DM 2 до $ 1 = DM 1,80 , немецкий экспортер должен бы повысить цену в долларах немецкого автомобиля, который стоит DM 10 тыс., с $ 5 тыс. до $ 5556, что позволит ему и в дальнейшем получать ту же самую цену в марках. Но если экспортеры стремятся к сохранению конкурентоспособности, при удорожании валюты они отказываются от пропорционального изменения цен на товары. В международной торговле, в наиболее часто встречающейся в современных условиях ситуации олигопо-
|
Повышение ценности |
|
|
|
|
|
|
|
(удорожание) марки |
|
|
|
|
|
|
|
Цена «Фольксвагена» в марках |
• |
Спрос |
И |
Ценность в |
марках |
и |
|
Цена «Фольксвагена» в долларах |
К |
США |
|
Ценность в |
долларах |
it.il |
|
Ценность «Боинга» в марках |
11 |
Спрос |
1? |
|
|
|
|
Ценность «Боинга» в долларах |
• |
Германии |
|
Ценность в |
марках |
if.ii |
|
|
|
|
|
Ценность в |
долларах |
и |
|
Снижение ценности |
|
|
|
|
|
|
|
(обесценение) марки |
|
|
|
|
|
|
|
Цена «Фольксвагена» в марках |
• |
Спрос США |
1Г |
Ценность в |
марках |
іг |
|
Цена «Фольксвагена» в долларах |
1) |
|
|
Ценность в |
долларах |
ir.il |
|
Ценность «Боинга» в марках |
11 |
Спрос Германии 11 |
Ценность в |
марках |
11.11 |
|
Ценность «Боинга» в долларах |
• |
|
|
Ценность в |
долларах |
11 |
|
|
Рис. 20.3. Схема эффекта изменения валютного курса’ |
лии, производители, как правило, преследуют цели, исключающие пропорциональные изменениям валютного курса ценовый изменения:
¦ сохранение определенной доли рынка;
¦ достижение разумного соотношения между продажами и созданной организацией сбыта и послепродажного обслуживания;
¦ избежание ценовых войн;
¦ достижение определенной общей прибыли независимо от ее распределения по внешним или внутренним источникам. Напротив, импортеры нередко не переносят изменение цен импортированных благ на потребителя, а прибыль от удорожания валюты оставляют у себя;
¦ наконец, необходимо обратить внимание на то, что на международную торговлю влияет не только разница в ценах. Существенное влияние имеет также качество обслуживания, сроки поставки, условия платежа и т. д.; счета-фактуры часто выставляются в широко применяемой валюте, например в долларах. В этом случае изменение обменного курса повлияет не на спрос (предложение) США, а на прибыль немецкого экспортера (импортера). Примером могут служить расчеты, осуществляемые при производстве аэробуса. Однако впоследствии и здесь можно ожидать количественной реакции.
(2) Выводы пункта указывают на то, что для конкурентоспособности отечественных предприятий по сравнению с остальным миром имеет значение не столько номинальный обменный курс w, сколько соотношение между зарубежной и отечественной ценами блага. Обозначив уровень цен за границей в иностранной валюте как Ра, а уровень цен внутри страны в отечественной валюте Р, мы получаем возможность сравнить оба уровня цен с помощью номинального обменного курса. Перемножив Ра на номинальный обменный курс w мы получаем выраженный в отечественной валюте зарубежный уровень цен учить. Тогда соотношение между ценами внутри страны и за границей будет выглядеть так:
Р
Выраженное в единой валюте соотношение между внутренним и зарубежным уровнями цен на товары и услуги называется «реальным обменным курсом». Его повышение означает удорожание иностранных благ в сравнении с внутренними, т. е. при прочих равных условиях средняя конкурентоспособность отечественных предприятий возрастает. Применительно к немецкой марке это означает, что марка реально обесценивается.
5.2. Изменение цен и внешняя торговля (ценовой механизм)
Если изменение ценовых соотношений через изменение номинального обменного курса влияет на международную торговлю, то на нее должны оказывать воздей-
ствие (как следует из рассуждений о реальном обменном курсе) и перемены внутренних цен. Предположим, что в США имеет место повышение цен, а в Германии они остаются на неизменном уровне. Таким образом происходит повышение долларовой ценности американских благ при постоянстве цен, выраженных в марках немецких благ. Поэтому при неизменном обменном курсе американские блага, оцененные в марках, подорожают, соответственно уменьшится и спрос на них. Если мы предположим, что эластичность спроса в Германии на американские блага больше 1, то ценность немецкого импорта упадет. Причем не имеет значения, рассчитываем ли мы ее в долларах или в марках. Для США, наоборот, это означает снижение ценности их экспорта.
Немецкие блага (благодаря стабильности цен), оцененные в долларах, станут относительно дешевле американских благ. Физическая величина спроса на немецкие блага в США повысится, и если цена останется постоянной (как в долларах, так и в марках), то немецкий экспорт (или, что то же самое, американский импорт) возрастет.
При том, что все прочие условия (особенно обменный курс и национальный доход) остаются прежними, можно сформулировать следующий вывод1: если уровень цен в одной стране повышается быстрее, чем в другой, то экспорт страны с более стабильными ценами возрастает, а ее импорт сокращается, тогда как экспорт страны с высокой инфляцией уменьшается, а импорт увеличивается.
5.3. Изменение национального дохода и внешняя торговля (механизм доходов)
Исходя из предположения о постоянстве цен и номинальных обменных курсов, мы ответим на вопрос о том, как изменения в экспорте влияют на национальный доход, а изменения национального дохода воздействует на чистый экспорт и, таким образом (при прочих равных условиях), на баланс текущих операций.
Экспорт является одним из компонентов совокупного спроса, и он так же, как остальные его составляющие, влияет на величину национального дохода (см. гл. 13, раздел 1.3.2).
Если увеличивается экспорт (спрос на отечественные блага за границей), повышается и национальный доход. Если экспорт повышается на D Ех, равновесный доход повышается на
AY = —-АЕх,
1-Ь
причем b (см. гл. 12) обозначает предельную склонность к потреблению.
Рост спроса «остального мира» повлияет прежде всего на экспортные отрасли, где он повлечет за собой увеличение доходов, и через мультипликационный процесс распространится на все области экономики.
Точно так же, как частное потребление, импорт страны зависит от национального дохода. Следовательно, с увеличением национального дохода повышается также спрос на импортные блага, что модифицирует результаты мультипликационного процесса. Часть дополнительно созданного спроса уходит за границу, а значит, он не может привести к расширению производства внутри страны. Таким образом, мультипликационный эффект повышения спроса в открытой экономике меньше, чем в замкнутой экономике.
Остается констатировать, что повышение экспорта (по каким бы причинам оно ни произошло) приводит к повышению национального дохода страны. С другой стороны, рост (падение) национального дохода повлечет за собой увеличение (сокращение) импорта. Напротив, экспортная деятельность страны не будет непосредственно затронута изменением национального дохода.
Итак, мы познакомились с основными механизмами, действующими в международной торговле:
¦ механизмом обменных курсов,
¦ ценовым механизмом,
¦ механизмом доходов.
6. Условия торговли
(реальные меновые соотношения)
Термин «условия торговли» определяет, какой объем импортных товаров можно приобрести за 1 единицу экспортного блага. В нашем простом примере — говядина/ сталь — при внешних обменных отношениях .
1 кг говядины = 1,75 кг стали имеют место следующие условия торговли:
Италия получает за 1 кг экспортированной говядины 4/7 кг стали, Германия должна для получения 7/4 кг импортированной говядины экспортировать 1 кг стали. ¦
Другой пример должен объяснить термин «условия торговли» при учете цен и обменных курсов.
Предположим, что немецкий экспорт ограничивается автомобилями ценностью DM10 тыс., а импорт — апельсинами из Испании по цене 100 кг апельсинов за 2 тыс. песет. Следовательно, при обменном курсе 100 песет = 5 марок 100 кг апельсинов стоят DM100. Можно подсчитать, сколько килограммов апельсинов получает Германия за 1 экспортируемый автомобиль:
10 000 марок/автомобиль _ 100x100 кг апельсин 100 марок/100 кг апельсин 1 автомобиль
Следовательно, ФРГ получила бы 10 тыс. кг апельсинов за 1 автомобиль. Таким образом, реальное обменное соотношение зависит от цен соответствующих благ.
Но на практике большинство стран обмениваются не 2, а гораздо большим числом благ. Поэтому при подсчете реального обменного соотношения работают с индексами. Условия торговли, точнее — условия торговли товарами (commodity terms of trade), исчисляются как частное от индекса экспортных цен и индекса импортных цен в отечественной валюте:
, , Индекс экспортных цен
Условия торговли =---.
Индекс импортных цен
Поэтому абсолютная величина условий торговли сама по себе дает меньше достоверной информации, чем ее изменение. Если, например, цены экспортных благ повышаются больше, чем цены импортных благ, принято говорить об улучшении условий торговли. Развивающиеся страны часто страдают от ухудшения своих условий торговли по сравнению с условиями торговли развитых стран, получая за свои продукты все меньше промышленных товаров (см. табл. 33 в гл. 30, разд.10.2).
Список основных понятий
¦ Теорема факторных пропорций
¦ Жизненный цикл благ
¦ Продуктовая дифференциация
¦ Теорема сравнительных преимуществ
¦ Свободная торговля
¦ Протекционизм
¦ Защитная и «воспитательная» таможенная пошлина
¦ Пошлины
¦ Квоты (на импорт)
¦ Лемпинг
¦ Нетарифные торговые барьеры
¦ Валютный курс
¦ Номинальный обменный курс
¦ Реальный обменный курс
¦ Условия торговли
¦ Удорожание и обесценение валюты
¦ Ревальвация и девальвация

у., у.».' пс. ю?д
^рросм и задания Аля повтррения
6) Выясните, как повлияет повышение (понижение) ценности марки на долларовую ценность экспорта и импорта ФРГ.
7) Как будет развиваться в долгосрочном плане внешняя торговля страны, в которой при фиксированных валютных курсах достигается большая стабильность экономики, чем в других странах?
8) Как повышение национального дохода (например, вследствие роста внутренней инвестиционной активности) повлияет на внешнюю торговлю страны?
9) Почему воздействие повышения государственных расходов на занятость в открытой экономике (измеряемое величиной мультипликатора) ниже, чем в замкнутой экономике?
10) Почему при повышении ценности марки может возникнуть «давление» на прибыль немецких предприятий-экспортеров?

¦ Прикладные аспекты внешнеэкономических связей рассматриваются в учебном пособии:
Международная торговля: финансовые операции, страхование и другие услуги. М.,
1994.
¦ Обобщение опыта реформ внешнеторговой политики во многих развивающихся странах содержится в книге сотрудников Института экономического развития Всемирного банка:
Томас В., Нэш Дж. и др. Внешнеторговая политика: опыт реформ. М., 1996.
¦ Основополагающие вопросы теории и практики международной торговли хорошо раскрыты в следующем учебном пособии:
Международные экономические отношения / Подред. С. Ф. Сутырина. СПб., 1996.
¦ Проблематика международного разделения труда четко описана в гл. 1 следующего учебного пособия:
Спиридонов И. А. Мировая экономика: Учебное пособие. М., 1997.
¦ Обстоятельный американский учебник по теории внешнеэкономических связей:
Линдерт П. X. Экономика мирохозяйственных связей. М., 1992.
¦ Первым непереводным учебным пособием на русском языке по международной экономике является следующая работа, делающая акцент на анализе экономической ситуации в России и других странах Восточной Европы:
Киреев А. Международная экономика. Международная микроэкономика: движение
товаров и факторов производства. Ч. 1. М., 1997.
¦ Можно также порекомендовать учебник, в котором рассматриваются разнообразные аспекты международной торговли:
Фомичев В. И. Международная торговля. М., 1998.
¦ Детальный анализ теоретических и практических аспектов проблематики, связанной со сравнительными преимуществами, содержится в книге американского автора:
Портер М. Международная конкуренция. Конкурентные преимущества стран. М„
1993.

ФУНКЦИОНИРОВАНИЕ ВАЛЮТНЫХ СИСТЕМ РАЗНЫХ СТРАН
кА. .if,.а»/4„«.*;.isw«;w,wv“w-
<‘«jfey,«^.^3«
<JOcHOBtti»ie; аспекты главы»

№&ШШ*ШШ№№№ЖтШШ№№ШШ№і&ШіШЖШШХтхЖ№Шт№в*:Ж№&№&Ш&&-^$ШШ®№ШвШ>ШМ]Ш№<*Ш№№Ш№тШЖ‘!№.
В чем заключаются возможности образования международных валютных систем?
¦ Что такое конвертируемость и валютный контроль?
¦ Как устанавливаются обменные курсы в системе свободно плавающих валютных курсов?
¦ В чем состоят основные проблемы системы жестких обменных курсов?
¦ Как финансируется неравновесие платежного баланса?
¦ Как устраняется неравновесие платежного баланса?
¦ Каковы преимущества плавающих обменных курсов?
¦ Каковы преимущества жестких обменных курсов?
¦ Почему ЕС стремится к введению жестких обменных курсов?
¦ В чем состоит основная проблема валютного союза?
ШрИИИШ
Подобно национальному торговому и платежному обороту, международный торговый и платежный оборот нуждаются в экономическом и денежном порядке. Необходима международная валютная система, которая позволяла бы оплачивать блага в разных валютах и одновременно обеспечивала бы (с минимальными ограничениями) надлежащий международный обмен. Следует особо подчеркнуть, что международная торговля должна основываться на взаимности. Точно так же, как ни одна семья не в состоянии в течение длительного периода расходовать больше, чем она зарабатывает, ни одна страна не имеет возможности в долгосрочном периоде импортировать больше, чем она экспортирует. В нашем кратком обзоре различных валютных систем, мы обсудим их основные типы: валютную систему с жесткими и валютную систему с плавающими обменными курсами, а также валютный союз.
1. Альтернативы валютной политики
Чтобы лучше представить различные валютные системы, вначале схематично охарактеризуем альтернативы валютной политики. Первое основополагающее решение связано со степенью свободы международного оборота товаров и денег: свободная конвертируемость (возможность конвертации) валют или система валютного контроля. Свободная конвертируемость валют означает выполнение следующих условий:
¦ резиденты имеют возможность без каких-либо ограничений обменивать отечественную валюту на иностранные валюты (внутренняя конвертируемость),
¦ иностранцы могут менять находящуюся в их распоряжении валюту страны пребывания на любую другую валюту (внешняя конвертируемость).
Но на практике идеальная и полная свобода обмена имеет разные степени. Конвертируемость может быть ограничена определенными сферами применения (например, платежами в рамках товарооборота), определенными странами (например, стерлинговым блоком) или определенными лицами (например, иностранцами).
Под валютным контролем подразумевают прекращение конвертируемости валюты и государственный контроль за ее обращением, предусматривающий обязательную сдачу и нормирование. Мы не станем детально рассматривать систему валютного контроля, так как это выходит за рамки вводного курса рыночной экономики. Необходимо лишь указать на то, что система валютного контроля чрезвычайно ограничивает свободную международную торговлю, ведет к созданию все новых барьеров и заканчивается в большинстве случаев двусторонним обменом (вспомним валютный контроль в бывшем СССР до введения внутренней конвертируемости рубля в 1991 г.). Многие развивающиеся страны еще и сегодня уверены, что валютный контроль позволяет повысить эффективность использования иностранной валюты. А поскольку их национальные денежные единицы зачастую официально переоценены, то обычно возникают «черные рынки».
Второе основополагающее решение касается гибкости валютного курса: будет ли он жестким, плавающим или промежуточным? Таким образом, можно построить следующую классификацию:
I. Валютная система со свободно конвертируемыми валютами:
(1) Валютная система с жесткими (неизменно жесткими) обменными курсами (например, золотой стандарт).
(2) Валютная система со ступенчато плавающими обменными курсами (обменные курсы являются жесткими, но их можно изменять от случая к слу чаю).
(3) Плавающие обменные курсы, при которых допустимо вмешательство денежных властей (управляемое плавание, «грязное плавание*).
(4) Свободно плавающие обменные курсы.
II. Валютный контроль.
2. Валютная система с плавающими валютными курсами
2.1. Валютный рынок
В ФРГ номинальный валютный курс определяется на валютном рынке1 в результате взаимодействия спроса и предложения на валюту. В качестве валюты (девизы) при этом, как правило, выступают вклады не банков до востребования в иностранных коммерческих банках (например, долларовые вклады немецкого экспортера в американском коммерческом банке). В целях упрощения мы здесь исследуем определение обменного курса только двух валют, т. е. немецкой марки и доллара.
Кто продает доллары и кто предъявляет на них спрос? Спрос на доллар предъявляется импортерами товаров и услуг (оплачиваемых в долларах), а также покупателями выраженных в долларах долговых обязательств. Предложение долларов формируется экспортерами товаров и услуг и продавцами номинированных в долларах долговых обязательств. Если абстрагироваться от оборота капитала, можно сказать, что спрос на доллары зависит от долларовой ценности импорта благ, а предложение доллара — от долларовой ценности экспорта благ.
Как мы установили, при повышении ценности марки (номинальный обменный курс w снижается ) долларовая ценность импорта в ФРГ будет возрастать. Соответственно, с падением w повышается спрос на доллары. Данная взаимосвязь отражена
 |
|
Рис. 21.1. Предложение и спрос на валютном рынке |
на рис. 21.1 в виде кривой спроса, с которой мы познакомились анализируя факторы спроса на блага (см. гл. 4). Напротив, при повышении ценности немецкой марки ценность экспорта в нормальной ситуации (точнее — при эластичном спросе на экспорт) должна понизиться. Следовательно, в нормальной ситуации предложение долларов при снижении обменного курса сократится. Поэтому мы можем описать предложение долларов возрастающей кривой.
Ценообразование на валютном рынке — одном из самых совершенных рынков мира — происходит в соответствии с правилами ценообразования полной конкуренции (определение «полной конкуренции» изложено в гл. 6, раздел 4). На рис. 21.2 кривые предложения и спроса доллара изображены как функции от цены доллара (например, 1 долл. = 2 маркам; 1 долл. = 3 маркам; в общем случае — 1 долл. = w маркам).
В точке пересечения кривых спроса и предложения устанавливается ежедневно формируемый на валютных рынках номинальный равновесный валютный курс.
Характерное свойство валютной системы со свободно плавающими обменными курсами состоит в том, что без вмешательства государства всегда существует обменный курс, который выравнивает планируемый спрос на валюту и ее планируемое предложение.
 |
Рис. 21.2. Изменение равновесного обменного курса при сдвиге спроса
на валюту |
2.2. Автоматическая стабилизация платежного баланса
Возникает вопрос, что произойдет, если по каким-то причинам (вследствие изменения вкусов потребителей, неурожая или из-за сильной внутренней инфляции) ФРГ расширяет импорт? Необходимость оплаты импорта определяет возрастание спроса на доллары, т. е. кривая спроса сдвигается вправо (от NN к N’N’ на рис. 24.2). Если кривая предложения не изменяется, складывается следующая ситуация.
Равновесный обменный курс повысился на w,, т. е. произошло обесценение марки. Мы уже знаем, что при обесценении (марка стала «дешевле»), спрос иностранцев на немецкие товары повысится, а значит, увеличится объем экспорта из Германии. С другой стороны, доллар станет «дороже», и ФРГ придется сократить импорт. Таким образом, рост обменного курса вновь приведет к выравниванию предложения и спроса.
В принципе ничего не изменяется и в том случае, если мы включим в наш анализ предложение валюты и спрос на валюту для обращения капитала. В обращении капитала различают его экспорт и импорт. Экспорт (импорт) капитала имеет место тогда, когда отечественные (иностранные) хозяйствующие субъекты приобретают иностранные (отечественные) активы. Примерами таких активов являются капитальные блага (приобретение фабрик или доли в капитале) или долговые обязательства (например, ценные бумаги). Если Германия будет намерена осуществить инвестиции за границей и для этой цели увеличит спрос на доллары, обменный курс повышается до тех пор, пока вновь не будет достигнуто равновесие. Следовательно, механизм обменного курса является не чем иным, как ценовым механизмом валютного рынка. В этом смысле говорят об автоматической стабилизации «платежного баланса». Точнее говоря, для этого должны выполняться некоторые (как правило, реализующиеся на практике) условия. В частности, спрос на экспорт должен быть эластичным, и спекуляция не должна оказывать дестабилизирующее воздействие.
2.3. Детерминанты плавающих обменных курсов
По прежнему остается в силе наше допущение о том, что обменный курс определяется через спрос и предложение на валютном рынке. Однако необходимо задать вопрос: какие факторы влияют на само поведение рынка? В научной литературе было предложено множество объяснений, некоторые из которых мы представим в самых общих чертах.
Прежде всего следует провести различие между такими мотивами спроса и предложения, как арбитраж и спекуляция.
Валютный арбитраж — это ситуация, когда разница в курсах валют (например, обменный курс между долларом и маркой во Франкфурте-на-Майне отличается от такого же курса в Лондоне) выравнивается из-за того, что валюта покупается там, где она дешевле и продается там, где она дороже. Такие арбитражные сделки заключаются валютными торговцами в большом объеме.
Процентный арбитраж — это ситуация, когда участники рынка используют разницу в процентных ставках на внутреннем рынке и за рубежом, чтобы вложить деньги там, где они приносят самый высокий доход. Но при этом необходимо учитывать валютный риск. Если, например, процентная ставка в Италии выше, чем в Германии, было бы выгодным вложить деньги в итальянские ценные бумаги; но — только в том случае, если соответствующий выигрыш в проценте не уничтожается ожидаемой курсовой потерей при обратном обмене лир на немецкие марки.
Валютная спекуляция имеет место тогда, когда участники рынка покупают и продают валюту для получения прибыли от ожидаемых изменений обменного курса. Следовательно, основой валютной спекуляции являются субъективные курсовые ожидания.
Арбитражные и спекулятивные сделки могут заключаться (и часто действительно заключаются) одновременно на двух разных рынках — наличном (спот) и срочном.
На наличном (спот) рынке сделки совершаются сразу, например, покупаются $1000 за DM2000 с доставкой их покупателю «сегодня».
На срочном рынке заключаются сделки, при которых условия устанавливаются «сегодня», но обмен происходит позже (через определенный срок), например, через 3 месяца. Так, в упомянутом примере процентный арбитражер, вложивший сегодня свои деньги в итальянские ценные бумаги, сможет продать тот доход в лирах, который он ожидает получить по истечении срока по фактическим срочным курсам, именно сегодня. Таким образом, он избегает риска изменения обменного курса. Широко распространена практика, при которой экспортеры и импортеры товаров и услуг заключают подобные сделки, преследуя цель фиксации валютного курса.
Арбитражные и спекулятивные сделки оказывают сильное влияние на обменный курс. Сами они основаны на более глубоких причинах — на так называемых фундаментальных факторах. Нередко здесь различают факторы, связанные с потоками благ, и факторы, относящиеся к потоку капитала.
Теория паритета покупательной способности (в своей общепринятой, «относительной», версии) гласит, что изменение номинального обменного курса определяется разницей в темпах инфляции в двух государствах. К примеру, если в Италии цены благ повышаются ежегодно на 10%, в то время как в Германии — только на 3%, блага в Италии станут относительно дороже, чем в Германии. Неравномерное увеличение цен приведет к росту (падению) спроса на немецкие (итальянские) блага и, таким образом, к повышению (понижению) спроса на марки (лиры). В этом случае ценность марки по сравнению с лирой повысится. Разумеется, данное объяснение верно только для того изменения обменного курса, которое обусловлено колебаниями в объемах международной торговли товарами и услугами.
Согласно простой версии этой «относительной» теории покупательной способности (не учитывающей транспортных издержек, информационных издержек, налогов и пошлин), обменный курс изменяется пропорционально расхождению в темпах инфляции. Следовательно, в приведенном выше примере курс немецкой марки по отношению к лире, должен был бы ежегодно повышаться на 7%, т. е. цена лиры в марках должна была бы снижаться примерно на 7%. В этом случае покупательная сила марки по сравнению с покупательной способностью лиры оставалась бы неизменной. Хотя цены в Италии растут быстрее, чем в Германии, но одновременно за одну марку можно получить больше лир (лира становится дешевле), т. е. реальный обменный курс остается неизменным. Поэтому, реальный обменный курс (см. гл. 20) характеризует соотношение покупательной силы двух валют. Реальный обменный курс валюты равен ее номинальному обменному курсу, помноженному на соотношение внешнего и внутреннего уровня цен. Реальный обменный курс имеет решающее значение для конкурентоспособности страны. Как это часто бывает в экономике, изменение здесь говорит о большем, чем абсолютный уровень: реальное изменение обменного курса равно номинальному изменению обменного курса, «очищенному» от разницы темпов инфляции за границей и внутри страны.
Реальное изменение обменного курса =
= Номинальное изменение обменного курса (-7%) +
-(-Темпы инфляции в Италии (+10%) -- Темпы инфляции в Германии (-3%) = .
= 0% (реальный обменный курс остается неизменным). ¦
Данный вывод может быть легко формализован. Если по определению верно, что

тогда (при незначительных изменениях величин) будет верно приблизительно следующее:
wr = w + ра — р ¦
При этом знаком Л обозначены темпы изменения соответствующей величины.
Теория паритета покупательной способности должна быть дополнена объяснением влияния на обменные курсы движения капитала. Здесь центральную роль играет теория паритета процентных ставок, согласно которой обменный курс при данных ожиданиях будущего обменного курса зависит от разницы в процентных ставках двух стран. В этом случае интерес для нас также представляют темпы изменения: если процентная ставка за границей по сравнению с процентной ставкой внутри страны повышается, это приводит к оттоку капитала за границу, и отечественная валюта обесценивается. Предположим, что изначально имело место портфельное равновесие, т. е. равновесное размещение денежных вложений с учетом процентов и ожидаемых изменений курса. Затем процентные ставки в какой-то стране, например в Италии, стали повышаться. Тогда при прочих равных условиях начинается перераспределение денежных средств в пользу вложений в итальянских лирах. Но это происходит только тогда, когда не ожидается обесценения лиры, которая выравнивала бы преимущество по процентной ставке. Итак, возрастает спрос на итальянскую валюту, поднимается ее ценность, и падает ценность марки.
Оба объяснения — теорию паритета покупательной способности и теорию паритета процентных ставок — необходимо применять комбинированно. Кроме того, следует учитывать, что фактический обменный курс всегда в немалой степени определяется ожидаемым в будущем обменным курсом. При формировании этих ожиданий в расчет принимается как информация о прошлом, так и информация об ожидаемом в будущем изменении фундаментальных факторов, точнее — ожидания относительно ожиданий других участников рынка. Если в Испании повысятся процентные ставки, то можно рассчитывать на то, что участники рынка ожидают роста ценности песеты. Поэтому они увеличивают спрос на песеты, рассчитывая на выигрыш от (ожидаемого) повышения ее ценности. Поэтому ценность песеты действительно повышается.
3. Валютная система с жесткими обменными курсами
3.1. Финансирование неравновесия платежного баланса
Если принимается решение (по причинам, которые мы объясним ниже) о переходе к жестким обменным курсам, тогда у стран с подобной валютной системой возникают две основные проблемы:
¦ проблема финансирования неравновесия платежного баланса (проблема ликвидности);
¦ проблема корректировки неравновесия платежного баланса (проблема корректировки).
Такого рода проблемы появляются всегда, когда официально установленный номинальный обменный курс не соответствует тому курсу, который установился бы при свободной игре рыночных сил (см. рис. 21.3 и 21.4). Пусть государство установило обменный курс (паритетный курс) w
0, например, 1 долл. = 2 маркам. Для того чтобы на рынке установился данный обменный курс, необходимо, чтобы предложение и спрос на доллары при валютном курсе w
0 были одинаковыми (рис. 21.3).
Тогда при официальном обменном курсе установится равновесие между предложением долларов и спросом на них. О равновесии платежного баланса (на валютном рынке) говорят тогда, когда запланированное предложение валюты и запланированный спрос на валюту выравниваются при паритетном валютном курсе, и нет надобности в том, чтобы государственные учреждения:
¦ производили вмешательство на валютном рынке, покупая и продавая валюты;
¦ ограничивали платежный оборот;
¦ производили компенсирующие кредитные и торговые сделки.
С определенными допущениями можно было бы сказать, что при паритетном курсе предложение долларов и спрос на них должны следовать свободной «игре» рыночных сил и быть одинаковыми.
 |
|
Рис. 21.3. Равновесие на валютном рынке при паритетном курсе |
Дефицит платежного баланса
Если на рис. 21.4 после начального равновесия на валютном рынке кривая спроса смещается вправо (от N,N, в N,N
2), при паритетном курсе и неизменном предложении возникает избыточный спрос. При курсе 1 долл = 2 маркам спрос на доллары более высок, чем их предложение.
Такой избыток спроса на валюту при паритетном курсе называют «дефицитом платежного баланса». -
Без вмешательства денежных властей (Центрального банка) обменный курс повысился бы с w
0 до w
r Чтобы избежать этого (так как существует договоренность о жестких валютных курсах и свободной конвертируемости), ЦБ должен устранить избыточный спрос (в зависимости от величины дефицита платежного баланса, т. е. от величины «дефицита долларов», увеличить предложение долларов — чтобы профинансировать дефицит). Однако проблема состоит в том, что ни один ЦБ не располагает безграничными запасами иностранных валют, так что дефицит невозможно финансировать в течение продолжительного времени, ибо ему приходится платить не отечественной валютой (которую он мог бы создавать беспредельно), а иностранной. Таким образом, имеет место проблема ликвидности ЦБ (при дефиците платежного баланса он должен производить выплаты в валюте, которую он не может создавать сам и запасы которой у него ограничены).
Кроме того, интервенции ЦБ оказывают влияние на внутреннюю денежную массу: Центральный банк ФРГ продает доллары за марки, и из-за этого внутренняя денежная масса сокращается на величину, равную произведению долларового предложения ЦБ на обменный курс, так как отечественные импортеры приобретают доллары за марки.
Деньги, которые ЦБ может использовать для финансирования такого дефицита, называются валютными резервами, или запасами, обеспечивающими международную ликвидность. Если добавить сюда еще и возможности получения кредита, предоставляемого ему без каких-либо условий, мы можем дать следующее опреде-
 |
|
Рис. 21.4. Дефицит платежного баланса на валютном рынке |
ление: запасы одного ЦБ, принимающиеся другими Центральными банками для финансирования дефицита платежного баланса, а также суммы иностранной валюты, которые он может получить без всяких условий, называются международной ликвидностью ЦБ. В настоящее время международная ликвидность состоит из золота, долларов, немецких марок и специальных прав заимствования (см. гл. 22, раздел 1).
Избыток платежного баланса
Если на рис. 21.5 кривая предложения при прочих равных условиях сдвигается вправо, то может возникнуть излишек предложения долларов, например, из-за того, что иностранцы увеличивают спрос на немецкие блага или хотят повысить уровень своих инвестиций в Германии.
(Излишек предложения при паритетном курсе называется избытком платежного баланса.
В этой ситуации, для того чтобы избежать снижения валютного курса с w
0 до до, (роста ценности марки) немецкий ЦБ должен повысить спрос на доллары на величину «разрыва». Он покупает доллары за марки, вследствие чего его запасы долларов и внутренняя денежная масса увеличиваются. Поскольку ЦБ может сам выпускать марки в любом количестве, в случае избытка платежного баланса проблемы ликвидности не возникает. Такая несимметричность проблемы ликвидности имеет большую практическую значимость: страны с дефицитом платежного баланса стоят перед необходимостью рано или поздно — в зависимости от величины их запасов международной ликвидности — устранить свой дефицит, в то время как для стран с избытком эта необходимость отсутствует.
Таким образом, в условиях жестких обменных курсах валютные резервы предназначены для финансирования дефицита платежного баланса в Краткосрочном периоде. Они обеспечивают временную свободу действий для корректировки дефицита платежного баланса. Их целью никогда не может быть финансирование дефицита платежного баланса в длительном периоде.
1 долл. = w маркам А
N |
 |
3.2. Корректировка неравновесия платежного баланса
В системе с жесткими обменными курсами неравновесие платежного баланса должно быть устранено средствами экономической политики.
Страна, имеющая дефицит, должна предпринять попытку продвижения экспорта и сокращения импорта. Основные направления ее политики могут состоят в:
¦ относительном снижении внутреннего уровня цен (в целях увеличения экспорта);
¦ относительном снижении национального дохода (в целях уменьшения зависящего от национального дохода импорта).
Кроме того, имеющая дефицит страна, может посредством ограничительной денежной политики повысить процентную ставку и таким образом способствовать импорту капитала (правда, за счет сокращения внутренних инвестиций и тем самым снижения уровня занятости).
Следовательно, страна, имеющая дефицит, используя инструменты денежной и фискальной политики, должна проводить ограничительную внутреннюю экономическую политику: сокращать денежную массу, поднимать процентную ставку, уменьшать государственные расходы и/или повышать налоги. Говорят, что страна, имеющая дефицит, находится «под диктатом платежного баланса», т. е. ее экономическая политика диктуется состоянием платежного баланса.
Диктат особенно чувствителен, когда страна стоит перед конфликтом целей, т. е. в ней имеют место и дефицит платежного баланса, и безработицу. Устранение безработицы на основе стимулирующей денежной и фискальной политики увеличит дефицит, а ликвидация дефицита путем ограничительной денежной и фискальной политики увеличит безработицу.
Необходимость корректировки избытка платежного баланса, в силу несимметричности проблемы ликвидности не столь сильна, как необходимость корректировки дефицита. Но и длительный избыток платежного баланса оказывает неблагоприятное воздействие на экономику страны. Вследствие переоценки отечественной валюты часть произведенных внутри страны благ мы отдаем «даром», так как (если измерять их в уплачиваемых за импорт ценах) они экспортируются слишком дешево.
Страна с (постоянным) избытком должна попытаться уменьшить свой экспорт и увеличить импорт. Ей следует:
¦ повысить внутренний уровень цен (чтобы сократить экспорт);
¦ повысить свой национальный доход (чтобы увеличить импорт);
¦ снизить процентную ставку (чтобы увеличить экспорт капитала).
Следовательно, страна с избытком платежного баланса должна с помощью средств денежной и фискальной политики проводить стимулирующую внутреннюю экономическую политику: расширять денежную массу, снижать процентную ставку, увеличивать государственные расходы и сокращать налоги.
Конфликт целей может возникнуть и у страны имеющей избыток (если одновременно в ней развивается инфляция). Только увеличение инфляции сократило бы избыток платежного баланса, но такое увеличение противоречит цели стабильности цен.
В приводимой ниже схеме наши рассуждения еще раз обобщаются. •
|
Дефицит |
Избыток |
¦ Устранение путем ограничительной денежной и фискальной политики
¦ Конфликт целей при безработице |
¦ Устранение путем ограничительной денежной и фискальной политики
¦ Конфликт целей при инфляции |
3.3. Золотой стандарт
Описанной здесь валютной системе с фиксированными обменными курсами соответствовала международная валютная система в форме золотого стандарта, существовавшая перед Первой мировой войной и отчасти после нее (примерно с 1924 по 1931 гг.). Ценность отдельных валют была фиксирована в золоте (золотой паритет), например, 1 рейхсмарка равнялась 0,359 г золота и 1 английский фунт равнялся 7,18 г золота. Из этого следует (через простой расчет — 7,18 : 0,359), что обменный курс 1 фунта составлял 20 рейхсмарок. Он оставался фиксированным до тех пор, пока был неизменным золотой паритет. В дальнейшие подробности мы вдаваться не будем. Существенно лишь то, что данная система, как и все системы фиксированных обменных курсов, функционирует только тогда, когда при конфликтах целей страны отдают приоритет не внутриэкономическим целям, а уравновешиванию платежного баланса. В противном случае (приоритет таким внутриэкономическим целям, как полная занятость и стабильность цен) стране следует отказаться от принципа фиксированных валютных курсов или от принципа вмешательства государства в экономику лишь рыночными способами.
В случае конфликтов целей необходимо либо изменить обменный курс (страна, имеющая дефицит, должна понизить, а страна, имеющая избыток, — повысить ценность своей валюты), либо, чтобы уравновесить платежный баланс, оказать воздействие на экспорт и импорт посредством валютного контроля.
4. Фиксированные или плавающие обменные курсы?
а) При плавающих обменных курсах не существует проблем ни с финансированием дефицита, ни с корректировкой платежного баланса (который всегда выравнивается). То, в какой степени плавающие обменные курсы считаются приемлемыми, во многом зависит от того, насколько сильны изменения обменных курсов и каковы их реальные последствия.
б) Страна с плавающим обменным курсом может отдать приоритет внутриэкономическим целям (стабильности цен, полной занятости и экономическому росту), она не испытывает диктата платежного баланса. Однако ей приходится смириться с изменениями номинального обменного курса. Кроме того, при плавающих обменных курсах внутренняя экономическая политика имеет более высокую эффективность.Очевидно, что, например, стимулирующая политика занятости при плавающих обменных курсах не приведет через дефи-цит платежного баланса к сокращению внутренней денежной массы и, таким образом, не вызовет противоположного «тормозящего» эффекта.
в) Важным аргументом в пользу плавающих обменных курсов является также то, что они ослабляют или вовсе предотвращают импорт внешней инфляции во внутреннюю экономику. Как было показано, излишки платежного баланса при фиксированных обменных курсах в результате интервенции ЦБ приводят к расширению внутренней денежной массы, вследствие чего повышается уровень цен на внутреннем рынке. Поскольку при плавающих обменных курсах ЦБ не обязан проводить интервенции данный эффект может отсутствовать. Кроме того, при плавающих обменных курсах, как правило, прерывается или ослабляется международная взаимосвязь цен.
При фиксированных обменных курсах повышение уровня цен за рубежом непосредственно сказывается на ценах импортных благ, причем воздействия зависит от эластичности предложения и спроса на экспортные и импортные блага. При плавающих обменных курсах иностранная инфляция в среднесрочном плане приводит к повышению ценности отечественной валюты, поэтому — в зависимости от степени ее удорожания — эффект импорта инфляции ослабляется или вовсе предотвращается. Обратной стороной данной взаимозависимости является то, что в странах, в которых из-за высоких темпов инфляции валюта постоянно обесценивается, в результате вызванного этим обесценением повышения цен импортных благ, инфляционный процесс обостряется. Однако, сторонники плавающих обменных курсов приписывают данный эффект не системе обменных курсов, а (внутренней) проинфляционной денежной политике.
г) В условиях плавающих обменных курсах возникает конкуренция валют. Валюта страны со стабильными ценами, как правило, дорожает, а валюта страны с инфляцией обесценивается, что ведет к более широкому использованию валюты со стабильным курсом, которая постепенно превращается в международную резервную валюту, в средство расчета в международном платежном обороте, а иногда даже вытесняет национальные средства платежа. В общем, существует тенденция «равняться» на валюту со стабильной ценностью. К примеру, в Европе, такие страны, как Австрия, Нидерланды, Франция, Бельгия и отчасти Швейцария, в своей денежной политике все больше ориентируются на направленную на поддержание стабильности денежного обращения политику немецкого Бундесбанка. В этом смысле конкуренция валют дает шанс для сохранения стабильности цен.
С другой стороны, существует ряд (отчасти спорных) аргументов против плавающих (т. е. в пользу фиксированных) валютных курсов.
(а) С одной стороны, подвижные валютные курсы становятся весьма зыбкой основой составляемых экспортерами, импортерами и инвесторами калькуляций, что ограничивает свободную торговлю. Этого нельзя полностью отрицать. Вспомним хотя бы о зависимости от курса доллара прямых инвестиций в США, осуществленных «Фольксвагеном». Но все-таки следует отметить, что:
¦ не только обменные курсы, но и практически все цены подвержены непредсказуемым колебаниям, что нисколько не препятствует торговле:
Пока Россия входила в состав СССР (до декабря 1991 г.) обменный курс рубля был фиксирован государством; российские резиденты при этом не имели права свободно обменивать имевшиеся у них рубли на иностранную валюту. Одновременно существовал «черный рынок» валюты, на котором курсы иностранных валют были значительно выше официально установленных. С началом преобразования планового хозяйства в рыночное с января 1992 г. произошел отказ от фиксированных курсов. Первоначально, в 1992-1994 гг., обменный курс рубля был свободно плавающим — при отсутствии каких-либо валютных интервенций со стороны ЦБ РФ. Но 11 октября 1994 г. («черный вторник») из-за отказа ЦБ от рублевых интервенций, произошло обвальное падение валютного курса (почти на 1000 пунктов), что побудило Центральный банк РФ перейти к политике управляемого плавающего валютного курса. Данная политика осуществлялась в конце 1994 г. — первой половине 1995 г.
Врезка 21.1
Валютная система Российской Федерации и конвертируемость рубля
Третий этап в функционировании валютной системы переходной российской экономики начался в июле 1995 г., когда правительство РФ ввело так называемый «валютный коридор». Этим термином обозначают «мягкую фиксацию» валютного курса в виде установления максимальных пределов его колебания. С середины мая 1996 г. валютный коридор стал «наклонным». Пределы колебания обменного курса рубля постепенно смещались (отражая обесценивание рубля в связи с инфляцией).
Однако 17 августа 1998 г. в России разразился финансовый кризис, что побудило правительство РФ отказаться от практики валютного коридора как в его обычной, так и ¦наклонной» формах. В результате рубль обесценился в 3 раза.
По состоянию на конец 1998 г. валютную систему России можно описать как систему . «управляемого плавания». Иными словами, произошло возвращение к принципам
функционирования валютной системы, которые претворялись в жизнь в конце 1994 — середине 1995 гг.
Следует также отметить, что в результате трансформационного процесса (т. е. перехода от планового хозяйства к рыночному) в целом удалось добиться такой высокой степени валютной конвертируемости, как внутренняя конвертируемость рубля, т. е. возможности неограниченных текущих валютных операций. Однако в сфере валютной политики существует ряд проблем. Несмотря на запрет (действующий с января 1994 г.) на продажу товаров на территории России за иностранную валюту, 1990-е годы характеризовались долларизацией экономики, которая, наряду с быстрым распространением бартера и неплатежей, явилась реакцией на уменьшение коэффициента монетизации (см. врезку 19.5) и одновременное обесценение рубля. Кроме того, по-прежнему сохраняются внешнеторговые (тарифные и количественные) ограничения, а часть экспортной выручки в обязательном порядке должна продаваться на внутреннем валютном рынке. В общем, несмотря на быстрое развитие валютного рынка в 1990-е гг. и реализацию валютообменных операций в начале рыночных реформ, привлекательность рубля как для резидентов, так и (особенно) для нерезидентов остается на низком уровне. По-видимому, главная причина этого — инфляция, сопряженная со спадом производства и инвестиций, а также с общей неопределенностью в хозяйственной жизни РФ: все эти факторы уменьшили и без того низкую привлекательность российских товаров и активов и тем самым обусловили низкий спрос на российскую национальную валюту.
В заключение отметим, что в 1998 г. по валютной конвертируемости рубля были нанесены удары в виде введения налога на валютообменные операции и внезапного запрета в августе (того же года) на выдачу банками валютных вкладов предприятиям и частным лицам по их требованию.
своей валюты). При фиксированных обменных курсах, наоборот, стимулом к борьбе с инфляцией может стать необходимость финансирования дефицита платежного баланса, возникновение которого неизбежно при инфляции, с ограниченными валютными резервами. Если придерживаться мнения, что страны должны и могут быть «приучены» к стабильности цен, то следует отдать приоритет фиксированным валютным курсам (исходя из того, что при фиксированных обменных курсах в разных странах темпы инфляции различны).
(г) Фиксированные обменные курсы выполняют интеграционную функцию, побуждая различные страны к координации экономической политики. В силу того, что существует соглашение о фиксации валютных курсов, и в то же время страны придерживаются различных внутриэкономических целей (одна страна стремится к ценовой стабильности, другая — к экономическому росту, сопровождаемому инфляцией, и т. д.), постоянно возникают проблемы платежного баланса.
Итак, мы встаем перед выбором между суверенностью национальной экономической политики, с одной стороны, и (вынужденной) рыночной интеграцией —
с другой. Фиксированные обменные курсы создают шанс для наилучшей рыночной интеграции, ибо они элиминируют связанные с плавающими обменными курсами издержки неопределенности: издержки защиты от валютных рисков и издержки на приобретение информации. Обратной стороной их использования является отказ от автономной национальной экономической политики. Отказ от национального суверенитета может расцениваться как недостаток сам по себе. Но с экономической точки зрения он является недостатком лишь в том случае, ес'ли затрудняется достижение общеэкономических целей полной занятости и стабильности уровня цен. Мы более подробно исследуем эту проблему на примере фиксированных обменных курсов, сфера действия которых ограничивается отдельным регионом, а именно на примере валютного союза, так как на вопрос о фиксированных или плавающих обменных курсах разумно отвечать не в мировых, а в региональных рамках.
5. Валютный союз
Для валютного союза характерны:
¦ окончательно фиксированные (непересматриваемые) обменные курсы;
¦ неограниченная конвертируемость валют;
¦ свобода оборота капитала и текущих платежей.
В конечном счете, в экономическом смысле валютный союз связан с единой валютой. Страны, присоединившиеся к валютному союзу, должны полностью отказаться от автономной денежной политики и вообще в значительной степени от самостоятельной экономической политики. Они находятся, как было отмечено, под диктатом платежного баланса.
Проиллюстрируем это еще раз на примере. Предположим, имеются две страны, торговые отношения которых первоначально находятся в равновесии. Страна А имеет более высокие темпы инфляции, чем страна Б. Поэтому импорт страны А, равный экспорту страны Б, увеличивается, а импорт страны Б, равный экспорту страны А, уменьшается. Это приводит к росту (падению) спроса на валюту страны Б (страны А) и подталкивает к повышению ценности валюты страны Б (понижению ценности валюты страны А). Поскольку в валютном союзе невозможно смягчение эффектов конкуренции различных темпов инфляции через изменение обменных курсов, разница в ценах сохранится, и блага начинают перемещаться из «дешевой» страны в «дорогую». В «дешевой» стране возрастут производство и занятость, в то время как в «дорогой» стране они сократятся.
Каковы будут последствия? Если «дорогая» страна откажется от проведения антиинфляционной политики и/или «дешевая» страна — инфляционной политики, то рыночные силы будут способствовать выравниванию условий. Если в «дешевой» стране производство и занятость возрастут, это приведет к повышению цен, тогда как в «дорогой» стране спад производства и занятости вызовет снижение цен.
Результатом явится усреднение темпов инфляции; и эти средние темпы инфляции для страны А будут ниже, а для страны Б выше, чем желаемые. В этом смысле необходим отказ от автономной экономической политики.
Кроме того, данный пример показывает, что для страны Б затрудняется достижение цели стабильности цен, в то врем как для страны А — полной занятости. Когда члены валютного союза преследуют различные цели, их членство в союзе затрудняет достижение общеэкономических целей. Следует добавить, что отказ от конкуренции валют лишает страны шанса достичь стабильности уровня цен.
Таким образом, становится очевидным, что валютный союз не всегда выгоден и что, скорее всего, для того, чтобы он дал удовлетворительные результаты необходимо выполнение некоторых условий. .Следовательно, мы сталкиваемся с вопросом оптимального валютного пространства.
6. Оптимальное валютное пространство
Оптимальное валютное пространство образуется между странами, харктеризую-щимися:
¦ относительно одинаковой конкурентоспособностью, а значит выравнивание через обменный курс не обязательно, и/или
¦ существуют другие механизмы выравнивания, которые могли бы заменить регулирующий механизм валютного курса.
Конкурентоспособность определяется прежде всего, как и в предыдущих примерах, темпами инфляции. А темпы инфляции, в свою очередь, детерминируются изменением номинальной зарплаты относительно производительности труда или денежной политикой. Поэтому валютный союз целесообразен для стран, обладающих достаточным сходством в указанной области, т. е. проводят одинаковую политику в области зарплаты и/или денежного обращения.
В случае расхождения в конкурентоспособности и отключения адаптационных механизмов валютного курса, возможно, как в описанном примере, возникновение в «дорогой» стране неполной занятости. Данная ситуация в экономическом плане вполне приемлема, если производственные факторы — труд и капитал — настолько мобильны (факторная мобильность), что они следуют за региональным перемещением спроса. Труд и капитал в этом случае перемещаются из «дорогой» страны в «дешевую». Но если капитал относительно мобилен, то достаточная мобильность труда наблюдается лишь в исключительных случаях. Таким исключительным случаем был валютный союз ФРГ с бывшей ГДР: экономика ГДР была неконкурентоспособной, приспособление обменного курса исключалось, но миграция рабочей силы с Востока на Запад помогла в какой-то степени снизить безработицу в бывшей ГДР.
В заключение необходимо подчеркнуть, что валютный союз необходимо оценивать прежде всего в политическом контексте: валютный союз вынуждает отказаться от автономной национальной экономической политики, что оценивается как положительный фактор в том случае, когда конечной целью является политический союз. Именно так обстояло дело при воссоединении ФРГ с ГДР. Аналогичный подход применим и к европейской интеграции.
Список основных понятий
¦ • Проблема ликвидности
¦ Валютные резервы
¦ Проблема корректировки
¦ Паритетный курс
¦ Равновесие платежного баланса
¦ Дефицит платежного баланса
¦ Международная ликвидность
¦ Ограничительная внутренняя экономическая политика
¦ Диктат платежного баланса
¦ Золотой стандарт
¦ Фиксированные обменные курсы
¦ Золотой паритет
¦ Плавающие обменные курсы
¦ Международная взаимосвязь цен
¦ Конкуренция валют
¦ Валютный союз
¦ Оптимальное валютное пространство
¦ Валютный коридор
¦ Международная валютная система
¦ Свободная конвертируемость валют
¦ Внутренняя конвертируемость
¦ Внешняя конвертируемость
¦ Валютный контроль
¦ Номинальный равновесный валютный курс
¦ Механизм обменного курса
¦ Валютный арбитраж
¦ Процентный арбитраж
¦ Валютная спекуляция
¦ Наличный рынок
¦ Срочный рынок
¦ Фундаментальные факторы
¦ Теория паритета покупательной способности
¦ Теория паритета процентных ставок

опросы
¦ конвертируемость;
¦ равновесие платежного баланса;
¦ валютный союз.
2) Каковы главные проблемы валютной системы с фиксированными валютными курсами?
3) Какие меры можно предпринять для корректировки дефицита платежного баланса (или его избытка) в валютной системе с фиксированными валютными курсами?
4) В каких ситуациях возникают конфликты между внутриэкономическими и внешнеэкономическими целями? Опишите, какие при этом применяются инструменты экономической политики, и объясните, в чем заключаются конфликты целей.
5) Объясните функционирование валютной системы с плавающими обменными курсами.
6) Как повлияет на платежный баланс страны увеличение в будущем импорта ресурсов (например, из-за исчерпанности внутренних запасов сырья):
а) в системе с фиксированными обменными курсами;
б) в системе с плавающими обменными курсами?
7) Какими последствиями для экономики страны чревато сохранение в течение длительного времени более высоких темпов роста цен, чем в «остальном мире»:
а) при фиксированных обменных курсах;
б) при плавающих обменных курсах?
8) Опишите преимущества и недостатки фиксированных и плавающих обменных курсов.
9) Может ли страна, вступившая в валютный союз, долгое время допускать более высокую инфляцию, чем ее партнеры по союзу?
10) Каким основным условием должно отвечать оптимальное валютное пространство?
 |
¦ Изложение проблем определения валютных курсов и функционирования валютных рынков, ориентированное на практиков, можно найти в следующей книге американского автора:
Хэррис Дж. М. Международные финансы. М., 1996. |
¦ Широкое освещение проблем, связанных с изменениями валютного курса, содержится в следующей книге, предназначенной в первую очередь для практиков-финансистов:
Наговицин А. Г., Иванов В. В. Валютный курс: факторы, динамика, прогнозирование. М., 1995.
¦ Учебником по внешнеэкономическим отношениям России, акцентирующим прикладные аспекты и предназначенным в первую очередь для предпринимателей, является следующая книга:
Экономика внешних связей России / Под ред. А. С. Булатова. М., 1995.
¦ Рекомендуем также фундаментальную работу о преобразовании валютной системы в 1960-х гг.:
Махлуп Ф. Грани перестройки международной валютной системы. М., 1966.
¦ В историческом плане определенный интерес представляет также книга:
Гильберт М. В поисках единой валютной системы: золото, доллар, СДР... Что дальше? М., 1984.
ЩЮНІ
л- ?,?«^ fif'4і*т? : « г*в«мя»им*«»»й «'й»-ж«
CsSf-S^K* ?ц *-**<* У* 4 «у**** к"- ‘..if
МЕЖДУНАРОДНАЯ ВАЛЮТНАЯ СИСТЕМА

Какие рамочные условия устанавливает валютная система Международного валютного фонда?
¦ В чем состояли цели Бреттон-Вудского соглашения?
¦ Какие возможности кредитования предусматривает Международный валютный фонд?
¦ Какое принципиальное значение имеют специальные права заимствования?
¦ Как обычно финансируются дефициты баланса текуших операций?
¦ Какое значение имеют рынки иностранных валют?
¦ Как регулируется система обменных курсов?
Какие рамочные условия устанавливает Европейская валютная система?
¦ В чем состоят цели Европейской валютной системы?
¦ Какое значение имеет европейская валютная единица (экю)?
¦ Как регулируется система обменных курсов?
¦ Какие возможности кредитования предусматриваются Европейской валютной системой для участвующих стран?
Каковы основная структура и проблемы Европейского экономического и валютного союза (ЕЭВС)?
¦ Каковы этапы формирования ЕЭВС?
¦ Какую роль играет независимость Центрального банка?
¦ Каким образом ЕЭВС дополняется программой внутреннего рынка?
Международная валютная система предназначена для регулирования прежде всего двух аспектов: системы обменных курсов и (во всяком случае, когда предусмотрены фиксированные валютные курсы) возможностей и способов финансирования и корректировки неравновесия платежного баланса. Данные цели составляют сердцевину приводимого ниже анализа международной валютной системы. Для ФРГ определяющими являются следующие структуры:
¦ валютная система Международного валютного фонда (МВФ);
¦ Европейская валютная система (ЕВС);
¦ создание Европейского валютного союза.
1. Валютная система Международного валютного фонда (МВФ)
1.1. Предварительные замечания
Международный валютный фонд — международная организация, штаб-квартира которой расположена в Вашингтоне (США) — был основан на конференции в Бреттон-Вудсе (1944 г.). Поэтому данная валютная система (а точнее — ее первоначальный вариант) называется также Бреттон-Вудской системой (системой Бреттон-Вудса). Членами МВФ являются почти все страны мира за исключением Швейцарии и некоторых стран бывшего восточного блока.
Первоначально система МВФ предусматривала фиксированные обменные курсы, точнее — фиксированные обменные курсы с небольшим диапазоном колебаний вокруг фиксированного курса (паритета): первоначально ±1, а позднее ±2,25%. В 1973 г. правила определения обменного курса были отменены и тем самым Бреттон-Вудская система прекратила свое существование. С этого времени определение обменных курсов стран-членов свободно от каких-либо правил (см. раздел 1.7).
Для того, чтобы страны-члены системы МВФ могли поддерживать с помощью соответствующей интервенции первоначально предусмотренные фиксированные обменные курсы, был создан ряд возможностей предоставления кредитов, которые существуют еще и сегодня.
1.2. Возможности кредитования в системе МВФ
1.2.1. Квоты
При вступлении в МВФ для каждой страны-члена, на основе таких экономических переменных, как валовой национальный продукт, доля в мировой торговле и запасы иностранных валют, рассчитывается ее квота. Государство-«новичок» обязано внести так называемый «подписной взнос» в размере определенной ему квоты: 25% квоты — в форме специальных прав заимствования (см. раздел 1.2.3 настоящей главы) (раньше в золоте), в конвертируемых девизах или с, согласия фонда, также в собственной валюте, остальные 75% — в национальной валюте. Оплата «членского» взноса означает, что с этого момента страна имеет право на получение в любое время и без всяких условий средств МВФ в размере доли «настоящего» вклада, т. е. подписки на капитал МВФ (специальные права заимствования (СДР)), золото и иностранная валюта плюс снятые и используемые МВФ суммы взносов в национальной валюте. Такого рода заимствования — так называемая «резервная транша» («резервная позиция») — не являются кредитом от МВФ.
Таблица 22.1
Квоты пяти самых больших и пяти самых маленьких стран-членов МВФ после повышения квоты на 30 июня 1992 г. |
|
|
в млн СДР |
в % от капитала МВФ |
|
США |
26 526,80 |
18,3000 |
|
ФРГ |
8246,50 |
5,7000 |
|
Япония |
8241,50 |
5,7000 |
|
Франция |
7414,60 |
5,1000 |
|
Великобритания |
7414,60 |
5,1000 |
|
Всего: |
57 839,00 |
39,9000 |
|
Сан-Томе и Принсипи |
5,50 |
0,0041 |
|
Мальдивская республика |
5,50 |
0,0041 |
|
Тонга |
5,50 |
0,0034 |
|
Бутан |
4,50 |
0,0031 |
|
Кирибати |
4,00 |
0,0027 |
|
Всего: |
24,50 |
0,0174 |
|
Справочно: Россия |
4313,1 |
3,0000 |
|
|
Источник: IWF-Survey, 1994. August. P.7; Annual Report of the Executive Board for the Financial Year Ended. 1992. 30 Apr. International Monetary Fund. Washington. 1992. P. 70. |
Сверх резервной позиции каждая страна-член может получить в рамках четырех кредитных траншей — каждая в объеме 25% квоты — ссуды для финансирования платежного баланса, что является нормой для получения кредита МВФ.
Квоты, которые также определяют право голоса стран-членов, пересматриваются каждые пять лет и приспосабливаются к измененным потребностям финансирования (пересматривается общая сумма квот) и к возрастанию или уменьшению «экономического веса» стран-членов (пересмотр структуры квоты). После последней корректировки правил в конце 1991 г, общая сумма квот увеличилась на 50%, т. е. на 136,7 млрд. СДР (что составляет примерно DM 300 млрд). В табл. 22.1 представлены квоты некоторых стран (Россия по объему квоты находится между Канадой и Нидерландами; ее объем квоты составляет 4 313,1 млн СДР, т. е. 3% доли капитала МВФ).
Для характеристики квот необходимо указать на то, что в рамках этих правил МВФ не в состоянии создавать деньги — как, например, банк — а может дать в долг только те средства, которые были внесены странами-членами (принцип «валютного пула»),
1.2.2. Пополнение валютных резервов МВФ (Replenishment)
Если для предоставления займов МВФ необходимо больше средств, чем он имеет в своем распоряжении от подписных платежей стран-членов, он может приобрести их следующим образом. Каждая страна-член обязана продавать МВФ определенную сумму национальной валюты за СДР. МВФ может получить кредиты от стран-членов. Кроме того, в соглашении между данным государством и МВФ предусмотрена следующая возможность: с согласия страны, валюта которой при этом используется, МВФ может получать кредиты из других источников (например на международных финансовых рынках). Согласно общему кредитному соглашению (ОКС) между группой десяти1 и МВФ, МВФ с 1962 г. распоряжается постоянной многосторонней кредитной линией, которая первоначально была предусмотрена лишь для финансирования платежного баланса членов группы десяти, но с 1983 г. применяется также по отношению к другим странам.
1.2.3. Специальные права заимствования
Осознавая необходимость сознательного контроля над запасами и распределением международной ликвидности, равно как и внутренней денежной массы, на конференции в Рио-де-Жанейро в 1967 г. страны-члены МВФ согласились на создание нового вида международной ликвидности — специальных прав заимствования (Special Drawing Rights, СДР).
Основной принцип их использования заключается в следующем: страны-члены создают через фонд международные безналичные деньги, распределяют их между собой и обязуются принимать их для выполнения требований. Каждая страна получает права заимствования, в рамках которых она может получать необходимую валюту от других стран. Например, Германия получает СДР и может приобрести за них в США, допустим, доллары. США за это получают СДР, которые они со своей стороны в случае необходимости могут использовать для приобретения франков, лир и т. д. Следовательно, СДР представляют собой новую валюту.
Приведем некоторые технические подробности использования СДР.
¦ Согласно решению стран-членов МВФ на ближайшие 5 лет устанавливается объем создаваемых СДР. Данная сумма предоставляется странам пропорционально их квотам в виде регулярных ежегодных выплат.
¦ СДР являются платежным средством лишь в отношениях между Центральными банками, частные лица не могут приобретать их и использовать как платежное средство.
¦ Необходимость погашения СДР отсутствует; СДР не являются кредитом как таковым, однако за их использование необходимо платить проценты. Ставка процента соответствует среднему уровню процентов на денежных рынках в США, Франции, Великобритании, Японии и ФРГ (в августе 1994 г. — 4,33%).
¦ Запасы СДР могут быть использованы в полном объеме. Принятые ранее правила о сохранении среднего минимального запаса выданных СДР в объеме 30% с целью акцентирования их резервного характера были отменены в мае 1981 г.
Революционным в СДР является то, что будущие страны-кредиторы обязуются принимать эти деньги без предъявления каких-либо связанных с этим условий. Обязательство платежа за СДР для конкретной страны заканчивается на «границе принятия»: достигается тогда, когда запасы СДР страны стали равными трехкратной величине получаемой ею чистой суммы квоты СДР. Таким образом, если Германия (в соответствии с соглашениями) получает СДР в объеме DM 2 млрд, она обязана выплатить за такие права другим странам максимум DM 6 млрд.
Таблица 22.2
Динамика пяти «корзинных валют» |
|
|
Динамика 5 «корзинных валют |
» с 1984 г. |
|
|
Год |
Долл. США/
1 СДР |
Марка ФРГ/1 СДР |
Франц.франк/
1 СДР |
100 иен/
1 СДР |
Фунт.стерл./
1 СДР |
|
1984 |
1,025 |
2,917 |
8,954 |
2,435 |
0,771 |
|
1985 |
1,015 |
2,989 |
9,123 |
2,422 |
0,791 |
|
1986 |
1,173 |
2,547 |
8,125 |
1,977 |
0,800 |
|
1987 |
1,293 |
2,324 |
7,772 |
1,870 |
0,791 |
|
1988 |
1,343 |
2,360 |
8,005 |
1,723 |
0,756 |
|
1989 |
1,281 |
2,409 |
8,177 |
1,768 |
0,783 |
|
1990 |
1,356 |
2,192 |
7,387 |
1,964 |
0,764 |
|
1991 |
1,368 |
2,271 |
7,717 |
1,843 |
0,776 |
|
1992 |
1,408 |
2,199 |
7,455 |
1,784 |
0,826 |
|
1993 |
1,396 |
2,308 |
7,907 |
1,553 |
0,931 |
|
1994 |
1,431 |
2,323 |
7,948 |
1,463 |
0,936 |
|
Корзинный вес валют на 21 сентября1989 г.
Испанская песета 5%
Немецкая марка 30% |
|
Г олландский гульден 9% |  |
Французский франк 19%
Фунт стерлинга 13% |
Бельгийский франк 8%
Итальянская лира 9%
Корзинный вес валют на 14 мая 199S г.
Испанская песета
4% Немецкая марка |
 |
Ценность специальных прав заимствования определяется на базе валютной корзины, а точнее — на основе динамики обменных курсов пяти самых важных мировых валют. Основой определения веса отдельных валют в «корзине СДР» служит доля соответствующей страны в мировом экспорте товаров и услуг, а также количество соответствующей валюты, которое остальные государства держат в виде резерва (резервной валюты). Вес валюты в корзине определяется на пять лет. С 1 января 1991 г. доли в валютной корзине таковы: доллар США — 40%, немецкая марка — 21%, иена — 17%, французский франк и английский фунт стерлингов — по 11 %. Табл. 22.2 содержит обзор динамики отношения пяти «корзинных валют» к одной единице СДР, т. е. цены одной единицы СДР в соответствующей валюте. .
Цель МВФ — сделать СДР предпочитаемой единицей расчета и главным резервным средством в мировой валютной системе. Достижение цели — дело будущего, но нам представляется, что относительная стабильность курса СДР делает их (как единицу расчета и измерения ценности) во все большей степени привлекательными.
1.2.4. Дополнительные кредитные линии
С начала существования МВФ к нормальным условиям предоставления кредитов для финансирования платежного баланса относятся четыре кредитные транши, каждая по 25% квоты. В стремлении избежать цепной реакции платежных и торговых ограничений МВФ был вынужден установить дополнительные возможности кредитования своих членов.
В рамках расширенной «фондовой линии» (с 1974 г.) страны с особо устойчивыми внутри- и внешнеэкономическими структурными диспропорциями могут получать кредиты на срок от 9 до 10 лет. Суммы таких ссуд ограничены 68% квоты в год или кумулятивно — 300%.
По введенной в 1963 г. линии компенсирующего финансирования недостачи от экспортной выручки возможно предоставление особых кредитов, в случаях существенного снижения, в силу изменений конъюнктуры мирового рынка, экспортных поступлений страны.
В 1969 г. МВФ создал еще одну особую возможность выдачи ссуд, т. е. линию финансирования буферных запасов (buffer stocks) для стран, которые обязаны вносить платежи за международные запасы ресурсов (цинк, какао, сахар, каучук). Сумма таких кредитов может составлять максимум 35% квоты.
Появление новых финансовых потребностей обусловливало введение новых кредитных линий. В современных условиях особое значение имеет прежде всего линия структурного приспособления, которая предоставляет развивающимся странам с особо низкими доходами финансовые средства по особо низким процентам и расширенную линию структурного приспособления. Для решения проблем России и других стран бывшего СССР в апреле 1993 г. МВФ установил временную (до конца 1994 г.) линию системной трансформации, со сроками погашения кредитов от 4,5 до 10 лет. Максимальный объем таких кредитов — 50% квоты.
Итак страна-член МВФ имеет право практически без всяких предварительных условий получить ссуду по первой кредитной транше, в рамках компенсирующего финансирования недостатка экспортной выручки, а также буферных запасов. Претендующая на кредит страна должна лишь в общей форме доказать, что она пытается устранить связанные с ее платежным балансом проблемы.
Если запланированная подписка превысит первую кредитную траншу, страну ожидает процесс проверки и объяснений. Фонд предъявляет соответствующей стране конкретные требования и условия в сфере экономической политики («кон-дициональность»). При составлении такой стабилизационной программы — часто в сотрудничестве с Мировым банком (в рамках программ структурной перестройки) — учитываются как причины и предполагаемая динамика трудностей в сфере платежного баланса, так и ситуация в области экономической политики данной страны.
Однако часто МВФ в рамках стабилизационных программ серьезно вмешивается в. экономическую жизнь стран, имеющих дефицит платежного баланса.
Все кредиты МВФ выдаются в принципе за проценты на рыночных условиях. Развивающимся странам с низким национальным доходом возможно предоставление процентных дотаций на особых условиях.
1.3. Родь золота
Первоначально центральную роль в системе МВФ играло золото, как всеобщее международное платежное средство и международная (и национальная) единица счета. До конца 1960-х гг. золото было основной составляющей валютных резервов Центральных банков и использовалось для финансирования дефицитов платежных балансов по расчетной цене $35 за унцию (до 1971 — официальная валютная цена золота, по которой ЦБ США обменивал доллары на золото Центральным банкам других стран). Наряду с этим существовала цена золота для промышленных целей («товарная цена золота»), формировавшаяся на основе взаимодействия предложения и спроса на рынке золота. С 1968 г. эта товарная цена была существенно выше его валютной цены.
Золото выступало как расчетная единица и в системе МВФ. С 1 июля 1944 г. паритетная цена валюты каждой страны-члена выражалась в золоте определенной чистоты и/или в американских долларах. Так как для долларов действовало отношение $35 = 1 унции чистого золота, в конечном счете через их золотой паритет были связаны друг с другом все валюты мира. Здесь следует обратить внимание на то, что золото в этом смысле было только единицей счета. Частные лица не имели права приобретать золото по золотому паритету в ЦБ.
Но сегодня не существует ни официального золотодолларового паритета, ни официального паритета золото-СДР. Для органов регулирования валютного обращения золото является только средством сохранения ценности, которое может покупаться или продаваться на свободном рынке.
1.4. Валютные резервы системы МВФ
Валютными резервами (запасами) являются национальные валюты, которые из-за их значения и из-за ожидаемой стабильности их ценности держатся Центральными банками различных стран в качестве средства международной ликвидности и, как правило, принимаются другими ЦБ. Важнейшим элементом валютных резервов по-прежнему является доллар США (60% мировых валютных запасов), валютой № 2 — немецкая марка (ее запасы равны $160,9 млрд или примерно 19%), после нее следует японская иена — $92 млрд (ровно 10%)'.
Доминирующая роль американского доллара объясняется уровнем развития экономики США, мощностью их финансовых рынков и существовавшей в прошлом конвертируемостью американского доллара в золото (см. раздел 1.3). Наблюдавшийся до 1978 г. и вновь возникший в 1980-х гг. большой дефицит платежного баланса США обеспечил и обеспечивает избыточное количество долларов как резервной валюты.
Позиции немецкой марки (резервная валюта № 2) определяются долгосрочной стабильностью ее ценности (она медленно росла практически до сегодняшнего дня) и ведущей ролью ФРГ в мировой торговле. Такая позиция резервной валюты достигается не без проблем: так, например, при обесценивании марки органы регулирования валютного обращения других стран «избавляются» от нее, а увеличение ее предложения на валютных рынках усиливает негативные тенденции.
1.5. Валютные резервы и внешняя позиция Немецкого Бундесбанка
Представим описанные компоненты международной ликвидности на цифровых данных Бундесбанка.
В первой строке табл. 22.3 представлены данные о запасах золота Бундесбанка, оцененных по цене покупки, т. е. по ценам, которые когда-либо были за них заплачены. Их текущая рыночная ценность гораздо выше. Вторая строка отражает депозиты в американских долларах, находящиеся в иностранных банках. Резервная транша (третья строка) обозначает, в каком объеме Бундесбанк может без всяких условий получить кредиты от МВФ. Сумма в четвертой строке указывает на специальные права заимствования, которые Бундесбанк может получить в рамках текущей подписки. Из этой суммы он уже использовал СДР в объеме DM 1012 млн, т. е. приобрел за отдал СДР за другие валюты. Помимо этого Бундесбанк выдавал кредиты за границу. Их сумма состоит прежде всего из кредитов Мировому банку. В седьмой строке показаны требования ЕВИ (Европейского валютного института, см. раздел 2). Сильное увеличение этого показателя происходило за счет платежей для ЕФВС (Европейского фонда валютного сотрудничества), которые стали необходимы из-за напряженности в системе обменных курсов европейских валют. Сумма этих позиций является требованием Бундесбанка к остальному миру (восьмая строка табл. 22.3). Если вычесть из этой суммы внешнюю задолженность, то в десятой
Таблица 22.3.
Валютные резервы Бундесбанка |
|
Чистая внешняя позиция Бундесбанка |
|
Состояние на конец года в DM млн |
1990 г. |
1992 г. |
1994 г. |
|
1. Золото |
13688 |
13688 |
13688 |
|
2. Иностранная валюты (депозиты |
|
|
|
|
и наличность) |
64517 |
85845 |
60209 |
|
3. Резервная транша |
4565 |
6842 |
6242 |
|
4. Выделенные СДР |
2573 |
2687 |
2738 |
|
5. Полученные СДР |
235 |
-1330 |
-1012 |
|
6. Кредиты и прочие требования |
|
|
|
|
к остальному миру |
2423 |
2608 |
2360 |
|
7. Требования от ЕВИ (до 1993 г. ЕФВС) |
18445 |
33619 |
31742 |
|
8. Сумма строк 1-7 |
106446 |
143959 |
115967 |
|
9. Внешняя задолженность |
52259 |
26506 |
24192 |
|
10. Чистая внешняя позиция Бундесбанка |
54188 |
117453 |
91774 |
|
|
Источник: Monatsbericht der Bundesbank. 1995. April. Tabelle 72. |
Врезка 22.1.
Валютные резервы Российской Федерации
Таблица 22а
Динамика валютных резервов Центрального банка Российской Федерации (в $ млн) |
|
Наименование |
1 января 1996 г. |
1 января 1997 г. |
1 июля 1997 г. |
1 января 1998 г. |
|
Золото |
3085 |
4047 |
4153 |
4889 |
|
СДР |
139 |
5 |
5 |
122 |
|
Резервная транша в МВФ |
1 |
1 |
1 |
1 |
|
Запасы иностранной валюты (наличность и депозиты) |
12652 |
11271 |
'20389 |
12771 |
|
Общий запас валютных резервов |
15877 |
15324 |
24549 |
17784 |
|
|
Источник: |
Анализ приведенных в табл. 22а данных о динамике и структуре международных резервов ЦБ РФ позволяет сделать следующие выводы. Во-первых, за последние годы не произошло каких-либо существенных изменений в величине валютных запасов ЦБ РФ. Следовательно, не произошло существенных перемен и в возможностях регулирования платежного баланса страны в целом. Во-вторых, структура валютных резервов ЦБ РФ напоминает аналогичный показатель баланса Бундесбанка: в обоих учреждениях активы, создаваемые международными финансовыми организациями как разновидность валютных резервов, играют крайне незначительную роль. Для того, чтобы в этом убедиться, достаточно просто разделить сумму СДР и резервной транши на запас иностранной валюты, используя сначала данные ЦБ РФ, а затем Бундесбанка. Таким образом, центральные банки обоих государств опираются в своей деятельности главным образом на такой вид международных резервов, как запасы иностранных валют в виде депозитов иностранной валюты в заграничных банках.
строке vs получим чистую внешнюю позицию (чистое внешнее сальдо) Бундесбанка, равную DM91774 млн (1994 г.).
Приведенные в табл. 22.3 данные показывают относительно небольшое значение для Бундесбанка созданной через международные институты ликвидности, а также относительно большой запас иностранных валют. С другой стороны, значительное изменение валютных резервов и прежде всего требований Европейского валютного института отражают возникшую с 1992 г. напряженность в ЕВС.
1.6. Финансирование дефицита баланса текущих операций
Если не учитывать дарения, существуют лишь две возможности финансирования дефицита баланса текущих операций: государство может оплатить дефицит ранее накопленными запасами иностранных валют или взять кредит у иностранных государств и/или у международных организаций. Необходимо отметить, что так называемая официальная задолженность, т. е. долг одного государства другому или государства международной организации (например МВФ), играет относительно небольшую роль. По объему гораздо большее значение имеет финансирование через международные финансовые рынки, а значит, через коммерческие банки (точные данные отсутствуют). Общий объем чистого финансирования на международных рынках на конец 1993 г. оценивается суммой в $5180 млрд. (Bank fur internationalen ZahlungsausgleichBIZ, 64. Jahresbericht 1993 April, S. 105).
Особую роль здесь играют сделки в иностранной валюте, т. е. финансовые трансакции, которые осуществляются в валюте, не являющейся валютой участвующих стран, например, банк в Гонконге одалживает долларовые вклады банку в Италии или английский банк выдает кредиты в немецких марках предприятию во Франции и т. д. Участниками таких международных рынков являются центральные и коммерческие банки, которые выступают как кредиторы и/или заемщики, а также корпорации и крупные компании. Срок кредита обычно устанавливается меньше одного года, кредитные гарантии не согласовываются.
Важно, что сделки в иностранной валюте не подлежат регламентации ЦБ отдельных стран. Соответственно, благодаря отмене нормы минимальных резервов, на этих рынках можно работать с существенно более низкой банковской маржой (т. е. разницей между процентными ставками по дебетовым и кредитовым счетам), что делает их весьма привлекательными как для кредиторов, так и для заемщиков. Однако в связи с отсутствием контроля такие рынки «живут своей жизнью» и могут препятствовать реализации целей денежной политики отдельных стран (способствуя развитию инфляционных тенденций). С другой стороны, рынки иностранной валюты выполняют важную функцию корректировки международной ликвидности.
Рынки иностранных валют могут разграничиваться по географическим признакам. К примеру, под еврорынком понимается совокупность финансовых трансакций, осуществляемых коммерческими банками европейских стран в валюте, являющейся для них иностранной, а под оффшорным рынком — соответствующий рынок находящихся в данном регионе коммерческих банков. Кроме того, рынки дифференцируются по обмениваемым на них валютам (рынки евродолларов, евромарок или евроиен). Например, сделкой в евроиене является предоставление немецким коммерческим банком кредита в японских иенах бельгийскому коммерческому банку. Наконец, торговлю деньгами можно разграничивать по срокам на денежные рынки иностранных валют, на которых предоставляются краткосрочные кредиты, и на валютные рынки капитала, на которых обмениваются долгосрочные облигации. Но эта классификация является спорной, так как какие-либо четкие различия между краткосрочными и долгосрочными облигациями отсутствуют.
Описанные здесь трансакции имеют особое значение для развивающихся стран, которые, как правило, испытывают большие трудности в финансировании импорта. За последние 20 лет образовался огромный объем международной задолженности этих стран государственным и частным кредиторам. В табл. 22.4 представлены данные о внешней задолженности развивающихся стран.
Общая их задолженность (без задолженности МВФ) составила в 1993 г. $ 1386 млрд.
Обремененные наибольшими долгами 15 развивающихся стран должны направлять на их обслуживание (выплаты процентов и погашения основной суммы долга) в среднем 33,2% своего экспорта.
Таблица 22.4
Внешняя задолженность развивающихся стран |
|
Внешняя задолженность развивающихся стран без задолженности МВФ |
|
Годы |
1985 . |
1990 |
1993 |
|
|
В абсолютном выражении (в $ млрд) |
В % к общей задолженности |
В абсолютном выражении (в $ млрд) |
В % к общей задолженности |
В абсолютном выражении (в $ млрд) |
В % к общей задолженности |
|
Всего |
944 |
100,00 |
1276 |
100,00 |
1386 |
100,00 |
|
Африка |
144 |
15,32 |
223 |
17,48 |
229 |
16,52 |
|
Азия |
249 |
26,49 |
364 |
28,53 |
455 |
¦ 32,83 |
|
Европа и Ближний Восток |
179 |
19,04 |
266 |
20,85 |
292 |
21,07 |
Латинская
Америка |
188 |
20,00 |
24 |
33,23 |
448 |
32,32 |
15 самых крупных
должников |
418 |
44,47 |
507 |
39,73 |
511 |
36,87 |
|
|
Величина обслуживания долгов (проценты и погашение) (в % к экспорту товаров и услуг) |
|
Годы |
1985 |
1990 |
1993 |
|
Всего |
20,9 |
14,2 |
14,1 |
|
Африка |
27,5 |
23,3 |
33,4 |
|
Азия |
14,1 |
8,8 |
7,2 |
|
Европа и Ближний Восток |
11,8 |
13,9 |
12,8 |
|
Латинская Америка |
41,8 |
25,9 |
32,3 |
|
15 самых крупных должни- |
40,9 |
25,6 |
33,2 |
|
КОВ |
|
|
|
|
|
Источник: Международный Валютный Фонд; Institut der Deutschen Wirtschaft, Internationale Wirtschaftszahlen. Koln, 1994. |
Удовлетворительного решения этой проблемы пока не найдено, а многочисленные отсрочки долгов приносят лишь временное облегчение. Важнейшими элементами соглашений о реструктуризации являются: а) срок погашения, б) количество лет без погашения и в) величина процентной ставки. Отсрочка предоставленных правительствами долгов — прерогатива так называемого Парижского клуба, в то время как отсрочка коммерческих кредитов — Лондонского клуба.
1.7. Система обменных курсов
До 1973 г. между странами-членами МВФ существовали в принципе фиксированные обменные курсы. Но эта система не оправдала себя. Суверенные государства не были готовы соглашаться с «диктатом платежного баланса», т. е. подчинять свою внутреннюю экономическую политику стабильности обменного курса. С другой стороны, они склонялись к затягиванию необходимых изменений обменных курсов через множество регулирующих мероприятий до тех пор, пока давление спекуляции не поставило вопрос о необходимых переменах на повестку дня. В конце концов в 1973 г. по одиночке и группами многие страны перешли к плавающим обменным курсам.
Какое-то время каких-либо ограничений на установление обменных курсов не существовало. Новые правила функционирования системы валютных курсов были приняты МВФ лишь в 1976 г. (во второй редакции). В соответствии с ними страны-члены МВФ с апреля 1978 г. могли свободно (в основном) устанавливать правила обменного курса, была исключена лишь привязка к золоту. Также была признана нежелательной манипуляция обменными курсами, приводящая к получению «несправедливых выгод» при конкуренции. >
Страны установили разные правила. 36 стран привязали свою валюту к американскому доллару, 14 стран франковой зоны в Африке — к французскому франку, примерно столько же — к СДР, а страны Европейского Сообщества договорились установить между собой фиксированные обменные курсы. Остальной же мир предпочел плавающие обменные курсы (см. раздел 2).
Однако стопроцентно плавающими обменные курсы не были никогда. Проводилась, в основном, политика «управляемого» плавания, т. е. власти воздействовали на курс, который, в принципе, формировался на рынке. Так, довольно часто предпринималась попытка предотвратить удорожание отечественной валюты в интересах сохранения рабочих мест в отраслях промышленности, ориентированных на экспорт, путем закупок иностранной валюты. В тех случаях, когда правительства ограничивали свободные силы рыночной экономики, было принято говорить о «грязном» плавании.
2. Европейская валютная система (ЕВС)
2.1. Предыстория и цели ЕВС
В начале 1970-х гг. страны-члены ЕС приняли решение о преобразовании к 1980 г. Сообщества в Экономический и Валютный Союз (план Вернера). Это честолюбивое намерение не было осуществлено, но оно способствовало распространению концепции стабильной валютной зоны в Европе. В 1972 г. было создано Европейское объединение валютных курсов («валютная змея»), страны-члены которого освободили в 1973 г. обменные курсы своих валют относительно доллара и согласились установить между собой фиксированные обменные курсы с возможностью изменений лишь в узком диапазоне.
В 1979 г. «объединение валютных курсов» было расширено до рамок Европейской валютной системы (ЕВС).
Как и система Бреттон-Вудса, ЕВС в принципе базируется на фиксированных, но корректируемых в случае необходимости, обменных курсах и системе валютной поддержки для финансирования дефицитов платежного баланса. Однако ЕВС построена более симметрично, т. е. в случае неравновесия платежного баланса как страны с его дефицитом, так и страны с его избытком обязаны проводить интервенции. Кроме того, ни одна валюта ЕВС не играет особой роли, напоминающей роль американского доллара в МВФ.
Создание ЕВС преследовало решение двух основных задач:
¦ Придание нового импульса приостановившемуся процессу европейской ин-• теграции. Предполагалось, что принудительный характер системы фиксированных обменных курсов (при свободной конвертируемости валют) будет способствовать сближению национальных экономических политик, а значит и интеграции.
¦ Ввиду постоянного обесценивания доллара в 1970-х гг. в Европе стремились создать зону «валютной стабильности» с фиксированными обменными курсами, что должно было позволить предприятиям, занимающимся торговлей внутри союза, получить прочную основу для долгосрочного планирования.
2.2. Отличительные черты ЕВС
Составными частями ЕВС являются прежде всего европейская валютная единица (экю = European Currency Unit), система интервенций, индикатор отклонения, система кредитования и Европейский фонд валютного сотрудничества (ЕФВС). С 1 января 1994 г. задачи ЕФВС выполняет Европейский валютный институт (ЕВИ).
Европейская валютная единица — центральный пункт ЕВС. Совместная валютная единица является относительной величиной для обменных курсов, индикатором их отклонений, расчетной величиной систем интервенции и кредитования при неравновесии платежных балансов стран-членов, платежным средством и резервной единицей центральных банков ЕВС. Экю определяется как валютная корзина, которая состоит из определенных абсолютных сумм валют стран-членов ЕС. В период с 1979 г. (создание ЕВС) по 1989 г. (включение песеты и эскудо в валютную корзину) валютные суммы в корзине периодически (каждые пять лет) корректировались. Впоследствии представленные в четвертом столбце табл. 22.5 (к примеру 0,6242 для немецкой марки) значения уже не менялись. Договор о Евро-
Таблица 22.5
Состав экю |
|
Состав «корзины» экю |
|
Валюта |
С 13 марта 1979 г. |
С 17 сентября 1984 г. |
С 21 сентября 1989 г. |
|
Немецкая марка |
0,8280 |
0,7190 |
0,6242 |
|
Фунт стерлинга |
0,0885 |
0,0878 |
0,0878 |
|
Французский франк |
1,1500 |
1,3100 |
1,3320 |
|
Итальянская лира |
109,0000 |
140,0000 |
151,8000 |
|
Голландский гульден |
0,2860 |
0,2560 |
0,2198 |
|
Бельгийский франк |
3,6600 |
3,7100 |
3,3010 |
|
Франк Люксембурга |
0,1400 |
0,1400 |
0,1300 |
|
Датская крона |
0,2170 |
0,2190 |
0,1976 |
|
Фунт Ирландии |
0,0076 |
0,0087 |
0,0086 |
|
Греческая драхма |
|
1,1500 |
1,4400 |
|
Испанская песета |
|
|
6,8850 |
|
Португальское эскудо |
|
|
1,3930 |
|
Источник: Deutsche Bundesbank. Statistisches Beiheft zum Monatsbericht. Devisenkursstatistik. 1995. Februar. S. 83.
Таблица 22.6
Среднегодовая ценность трех самых весомых валют в корзине |
|
Среднегодовые ежедневные курсы экю относительно отдельных валют |
|
Период времени |
Нем.марка/экю |
Франц.франк/экю |
Фунт стерлингов/экю |
|
1990 |
2,052 |
6,914 |
0,714 |
|
1991 |
2,051 |
6,973 |
0,701 |
|
1992 |
2,020 |
6,848 |
0,738 |
|
1993 |
1,936 |
6,634 |
0,780 |
|
1994 |
1,925 |
6,583 |
0,776 |
|
Источник: Deutsche Bundesbank. Statistisches Beiheft zum Monatsbericht.
Devisenkursstatistik. 1995, Februar. S. 62.
пейском союзе (1 ноября 1993 г.) устанавливает неизменный состав корзины (абсолютные суммы и доли валют). Поэтому в нее не входят валюты новых стран-членов, например Австрии, Финляндии и Швеции (вступивших в Европейский союз с 1 января 1995 г.). Для стран, которые принимаются в ЕВС, определяются «управляющие» курсы экю.
Из табл. 22.5 следует, что ежедневная ценность экю, выраженная в валюте одной страны-члена (например, в марках), выводится после того, как остальные 11 валют будут пересчитаны через свои обменные курсы в национальную валюту этой (двенадцатой) страны (например, ФРГ), а затем эти 12 элементов валютной корзины будут суммированы. В данном случае мы получим ежедневный курс экю в марках. В табл. 22.6 представлена динамика средних ежедневных курсов экю относительно трех самых весомых валют корзины.
Так как в рамках ЕВС речь идет о системе фиксированных валютных курсов (с диапазоном колебания), необходимо установить обменные курсы между валютами отдельных стран («управляющий» курс). В ЕВС это происходит через экю посредством установления для каждой валюты «управляющего» курса экю.
Таблица 22.7
Управляющие курсы экю |
|
|
Динамика управляющих курсов в ЕВС |
с 1979 г. |
|
1 экю = |
13 марта |
6 октября |
14. мая |
Изменения в % (+ |
|
|
1979 г,— |
1990 г. — полное |
1993 г,— |
девальвация национальной |
|
|
образова- |
членство |
расширение |
валюты/ - ревальвация |
|
|
ние ЕВС |
Великобритании |
диапазона |
национальной валюты) |
|
Немецкая марка |
2,50164 |
2,05586 |
1,94964 |
-22,07% |
Французский
франк |
5,79831 |
6,89509 |
6,53883 |
+ 12,77% |
Голландский
гульден |
2,72077 |
2,31643 |
2,19672 |
-19,26% |
|
Итальянская лира5 |
1148,15 |
1538,24 |
1793,19 |
+56,18% |
Бельгийско-
люксембургский
франк |
39,4582 |
42,4032 |
40,2123 |
+ 1,91% |
|
Датская крона |
7,08592 |
7,84195 |
7,43679 |
+4,95% |
|
Ирландский фунт Испанская песета' |
0,662638 |
0,767417 |
0,808628 |
+22,03% |
|
Британский фунт |
|
133,631 |
154,25 |
|
|
стерлинга4 Греческая драхма |
0,663247 |
0,696902 |
0,786749 |
+ 18,62% |
3
Португальское |
|
205,311 |
264,513 |
|
эскудо2
Австрийский |
|
178,735 |
192,854 |
|
|
шиллинг6 |
|
|
13,7167 |
|
|
Источник: Deutsche Bundesbank. Statistisches Beiheft zum Monatsbericht, Devisenkurs-statistik. 1995. Febr. S. 66 ft.
1 Испания участвовала в механизме обменных курсов ЕВС с 19 июня 1989 г.; принята в валютную корзину 21 сентября 1989 г.
2 Эскудо принято в валютную корзину 21 сентября 1989 г.; Португалия участвовала в механизме обменных курсов ЕВС с 6 апреля 1992 г.
3Греция пока не участвует в механизме обменных курсов ЕВС; в валютную корзину драхма была принята 17 сентября 1984 г.; управляющие курсы имеют фиктивный характер.
4 Участие Великобритании в механизме обменных курсов 17 сентября 1992 г. было временно приостановлено. Управляющий курс от 14 мая 1993 г. имеет фиктивный характер.
5 Участие Италии в механизме обменных курсов 17 сентября 1992 г. было временно приостановлено; управляющий обменный курс, начиная с 14 мая 1993 г., имеет фиктивный характер.
6 Австрия участвовала в механизме обменных курсов ЕВС с 9 января 1995 г.
Табл. 22.7 показывает текущие значения управляющих курсов экю и их самые важные изменения с 1979 г. Так, для немецкой марки действует управляющий курс 1 экю = 1,94964 марок. Из управляющих курсов отдельных национальных валют к экю образуется двусторонний управляющий курс между национальными валютами («сетка паритетов»). Если, например, 1 экю = 1,94964 марки и 6,53883 франц. франка, тогда 1,94964 марки = 6,53883 франц.франка, и из этого вытекает, что 1 марка = 3,35386 франц.франка, т. е. 1 франц.франк = 0,29816 марки.
С помощью определения валютной корзины (табл.22.5) и управляющих курсов, содержащихся в корзине, можно рассчитать вес отдельных валют:
, 0,6242 1,332 0,130
0 9496 нем,маР0К ф 53883 ^Л1ифранц-франка ^"*' 2123 ^п’1ЮКсембфранка
1 экю = 32,02% экю
неммарок + 20,37% экю
+ ... + 0,32% экю
1юксембфранка
и, .
франц.франка
Через этот простой пересчет выводится так называемый «корзинный вес валют». Очевидно, что при постоянной корзинной доле (допустим 0,6242) изменения управляющего курса приведут к изменению корзинного веса. Табл. 22.8 с относящейся к ней тортообразной диаграммой показывает, насколько сильно изменился состав экю из-за изменения управляющих курсов с 1989 г.
Центральные банки отдельных стран-членов обязаны посредством интервенций удерживать обменные курсы своих валют в определенном диапазоне. Наличие такого
Таблица 22.8
Изменение состава экю (корзинный вес валют) |
|
|
Состав экю-корзины |
|
|
Валюта |
С 21 сентября 1989 г. |
Вес в % |
14 мая 1993 г.— пересмотр управляющих курсов |
Вес в % |
|
Немецкая марка |
0,6242 |
30,36% |
1,94964 |
32,02% |
|
Фунт стерлинга |
0,08784 |
12,60% |
0,786749 |
11,16% |
|
Французский франк |
1,332 |
19,32% |
6,53883 |
20,37% |
|
Итальянская лира |
151,8 |
9,87% |
1793,19 |
8,47% |
|
Голландский гульден |
0,2198 |
9,49% |
2,19672 |
10,01% |
|
Бельгийский франк |
3,301 |
7,78% |
40,2123 |
8,21% |
Люксембургский
франк |
0,13 |
0,31% |
40,2123 |
0,32% |
|
Датская крона |
0,1976 |
2,52% |
7,43679 |
2,66% |
|
Фунт Ирландии |
0,008552 |
1,11% |
0,808628 |
1,06% |
|
Греческая драхма |
1,44 |
0,70% |
264,513 |
0,54% |
|
Испанская песета |
6,885 |
5,15% |
154,25 |
4,46% |
Португальское
эскудо |
1,393 |
0,78% |
192,854 |
0,72% |
|
|
Источник: Deutsche Bundesbank, Statistisches Beiheft zum Monatsbericht, Devisenkurs-statistik. 1995. Febr. S. 83. |
 |
|
Корзинный вес валют на 21 сентября 1989 г. |
диапазона означает, что определяемые ежедневно на национальных валютных биржах рыночные курсы могут отклоняться вверх и вниз лишь в определенной амплитуде, равной ±2,25%.
Если курс одной валюты относительно другой валюты (например, немецкая марка по отношению к бельгийскому франку) поднимается выше верхнего пункта интервенции, то тогда один ЦБ (Бундесбанк) обязан скупать «другую» валюту, в то время как другой ЦБ (Бельгийское валютное ведомство) должен продавать «первую» валюту (немецкую марку). Значит, интервенцию осуществляют всегда два центральных банка одновременно.
Первоначальные правила предусматривали, что определяемые ежедневно на национальных валютных биржах рыночные курсы могли отклоняться от двусторонних управляющих курсов вверх или вниз максимально на ± 2,25%. Исключения существовали в начале для итальянской лиры, которая до 5 января 1990 г. имела диапазон колебаний ± 6%. Аналогично расширенный диапазон в ± 6% допускался для британского фунта и испанской песеты (как переходная мера на первом этапе их участия). Значительная напряженность системы валютных курсов в рамках ЕВС и обусловленные этим обязательства интервенции ЦБ стран-участ-ниц привели к тому, что 27 мая 1993 г. диапазон был расширен до ± 15% (а участие Италии и Великобритании в механизме обменных курсов было временно отменено).
Валютная система, базирующаяся на сетке двусторонних управляющих курсов и двусторонних верхних и нижних пунктов интервенции, дополняется так называемым индикатором отклонения. Через него экю в рамках системы интервенции приобретает непосредственное значение. Индикатор отклонения измеряет отклонения ежедневно высчитываемой ценности каждой валюты в экю от ее управляющего курса. Если ежедневная ценность одной валюты в экю отклоняется на 75% (или больше) от максимально допустимого отклонения, данная страна должна осуществить определенные мероприятия. К ним относятся следующие действия:
¦ Интрамаржинальная интервенция (поддержка своей валюты ЦБ без обязательства осуществлять интервенцию на основании системы двусторонних пунктов интервенции. В общем, эта интервенция происходит тогда, когда соответствующая валюта достигает 75% предела. Так как эта величина находится еще внутри диапазона корректировок, то говорят об интрамаржинальной системе).
¦ Внутренние мероприятия валютной политики (например, применение инструментов денежной политики).
¦ Изменение управляющих курсов (возможно только при достижении единогласия между странами-членами).
В договорной системе ЕВС, в сравнении с Европейским объединением валютных курсов, была значительно расширена система помощи и кредитования. Она предполагает следующие мероприятия:
¦ Сверхкраткосрочное финансирование, которое служит для обеспечения обязательной и интрамаржинальной интервенции. Кредитами считаются и суммы иностранной валюты, которые ЦБ стран-членов скупают для поддержки валюты стран-партнеров. Данный вид финансирования не ограничен по объему. Кредиты должны быть возвращены, как правило, в течение 45 дней. Для погашения кредитов могут служить также депозиты в экю, которые страны-члены приобрели при взносе и которые равны 20% золотых и валютных запасов в ЕФВС. Однако ЦБ-кредитор обязан принимать средства только в объеме 50% погашаемых кредитов в экю. Возможность возврата кредитов в экю демонстрирует расчетную функцию, которая присуща экю в рамках кредитной системы ЕВС.
¦ Краткосрочная валютная помощь оказывается для преодоления временных трудностей с платежным балансом. Срок кредита составляет 3 месяца с возможностью двухразового продления.
¦ Среднесрочная валютная помощь — также может употребляться для преодоления трудностей с платежным балансом, но она обусловливается определенными изменениями в сфере экономической политики страны-получателя (срок 2-5 лет).
Экю является единственной счетной единицей для всех операций, совершаемых и регистрируемых в рамках механизма интервенции и кредитования ЕВС, механизма, осуществляемого через Европейский фонд валютного сотрудничества (ЕФВС), т. е. его наследника Европейского валютного института. Для создания начальных запасов экю каждый ЦБ-участник ЕВС перевел 20% своего долларового и золотого запаса в ЕФВС.
С 1987 г. во всех странах ЕС стало возможным открытие экю-счетов в банках и получение (на определенную сумму) экю-кредитов. Таким образом, для использования европейской валютной единицы частными лицами действуют те же правила, что и для других иностранных валют. Впоследствии значение экю в частном обороте денег и капитала значительно возросло.
Если интервенции не позволяют (считается нецелесообразным) поддерживать паритеты валют, в ЕВС возможен пересмотр управляющих курсов, для чего необходимо согласие всех участвующих стран. Такие пересмотры (Realignments) происходили в начальной фазе существования ЕВС относительно часто. Но в период с 1987 по 1992 г. в ЕВС пересмотр управляющих курсов не практиковался. Данное следование управляющим курсам — отнюдь не обязательно улучшение в сфере конвергенции экономической политики, нередко страны-участницы руководствовались политическими мотивами. Сегодня многие экономисты придерживаются мнения, что кризис ЕВС 1992 г. объясняется прежде всего политическими целями практики управляющих курсов (о кризисе ЕВС см. раздел 2.3.2).
Как в стабильной фазе ЕВС, так и при ее кризисе важную роль играла стабилизационная политика Бундесбанка; немецкая марка является (неофициально) «якорем» ЕВС, т. е. валютой, к которой «прикреплены» остальные национальные денежные единицы.
Однако в целом в общеэкономических условиях различных стран остаются значительные несоответствия, которые отражают балансы текущих операций и сальдо финансирования государственных бюджетов стран ЕС. Таким образом, достичь согласования национальных экономических политик (конвергенция экономической политики) пока не удается (табл. 22.10).
2.3. Европейский экономический и валютный союз (ЕЭВС)
2.3.1. План Ж. Лелора
28 июля 1988 г. Европейский Совет образовал экспертную группу, задача которой заключалась в исследовании и определении конкретных этапов создания Экономического и валютного союза ЕС. Группу экспертов возглавил президент Комиссии ЕС Жака Делор и в апреле 1989 г. был представлен трехступенчатый план создания ЕЭВС, так называемый «план Делора».
Появление плана Делора стимулировало дискуссию по европейской интеграции. Его предложения состоят в следующем:
1- я ступень
Усиление координации экономической и валютной политик стран-членов:
¦ Полное участие всех стран-членов в Европейской валютной системе и полная свобода движения капитала.
¦ Уменьшение числа пересмотров обменных курсов в системе.
2- я ступень
¦ Создание Европейской системы Центральных банков.
¦ Постепенный перенос национальных полномочий в принятии решений на уровень Сообщества.
¦ Сужение диапазона возможных колебаний обменных курсов.
3- я ступень
¦ Переход к не подлежащим корректировке фиксированным обменным курсам и, наконец,
¦ замена национальных валют единой валютой.
¦ Полная отмена национального суверенитета в валютной политике. Подробный обзор запланированных мер представлен в табл. 22.9.
2.3.2. Первая фаза интеграции и договор о Европейском союзе
Первая ступень (фаза) ЕЭВС продолжалась с 1 июля 1990 г. по 1 января 1994 г. и ознаменовалась большим шагом вперед в европейской интеграции в области общеэкономической политики. Однако в области валютной политики и «политического союза» она достигла предела своих возможностей и была вынуждена значительно отодвинуться назад. В этот период в сфере европейской интеграции произошли три главных события, которые должны рассматриваться в комплексе:
¦ Заключение Договора о Европейском Союзе (февраль 1992 г.);
¦ Создание единого внутреннего рынка (1 января 1993 г.);
Таблица 22.9
Три фазы построения Европейского экономического и валютного союза
Фаза 1:Усиление координации национальных экономической и валютной политик в рамках существующих институтов
Меры в области экономической политики___
¦ Успешное создание внутреннего рынка.
¦ Усиление конкурентной политики Сообщества.
¦ Сокращение существующих диспаритетов через бюджетную консолидацию в соответствующих странах, а также через эффективную структурную и региональную политику (реформа фонда структурных преобразований и удвоение имеющихся в распоряжении средств).
¦ Направленный на улучшение экономической координации пересмотр решений о конвергенции 1974 г.:
— создание системы многостороннего надзора на базе ряда показателей;
— координация бюджетной политики через необязательные предписания.
¦ Рекомендации Совета министров экономики и финансов (Экофин) по координации экономической политики.
Меры в области валютной политики__
¦ Полная либерализация торговли финансовыми услугами, а также оборота капитала, пересекающего границу (между странами-членами Европейского Сообщества).
¦ Интенсификация кооперации и координации.
¦ Необходимые меры в области большей автономии национальных ЦБ.
¦ Участие всех валют ЕС в механизме обменных курсов ЕВС на одинаковых условиях.
¦ Отказ от изменений паритетов в ЕВС за счет использования других механизмов адаптации.
¦ Устранение всех препятствий для частного использования экю.
¦ Расширение полномочий Комиссии президентов Центральных банков посредством изменения решения Совета от 1964 г.:
— формулирование рекомендаций по денежной политике и политике обменных курсов;
— консультации до принятия национальных решений по денежной политике, например, по установлению объемов денежной и кредитной массы.
¦ Возможно: создание Европейского резервного фонда для контроля за динамикой обменных курсов в ЕВС, а также для более тесного согласования национальных денежных политик.
Фаза 2: Создание основных органов Сообщества для формирования Экономического и валютного союза; постепенная передача задач и полномочий этим институтам
Окончание табл. 22.9
3. Определение необязательных правил установления объема и финансирования государственных бюджетных дефицитов.
4. Совместное выступление в международных организациях.
¦ Принятие решений большинством голосов по определенным вопросам.
¦ Активизация деятельности существующих органов Сообщества (Европейский парламент, Комиссия, Совет министров, Валютная комиссия).
Меры в области валютной политики
¦ Создание Европейской системы центральных банков (ЕСЦБ), выполняющей функции Европейского фонда валютного сотрудничества, Комиссии президентов центрального банка и созданных в фазе 1 институтов.
¦ Интенсификация координации денежных политик на основе использования правил Совета европейской системы ЦБ.
¦ Постепенный переход полномочий по принятию решений от национальных инстанций к Совету ЕСЦБ. Объединение части национальных валютных резервов для интервенции на валютном рынке в соответствии с основными правилами Совета ЕСЦБ. Выполнение функций регулирования в сфере банковского надзора через ЕСЦБ для достижения минимальной гармонизации инструментов денежной политики, которая необходима для проведения единой денежной политики.
¦ Сужение диапазона колебаний валютных курсов в ЕВС; пересмотр управляющих курсов должен использоваться как механизм адаптации лишь в исключительных случаях.
Фаза 3:Полная передача национальных полномочий в области экономической и валютной политики органам Сообщества Меры в области экономической политики
¦ Дальнейшая разработка совместной структурной и региональной политики при еще существующих диспаритетах.
¦ Совместная политика в области конкуренции.
¦ Введение обязательных правил и методов в сфере макроэкономической политики и политики формирования бюджета; передача компетенций принятия решения Совету министров.
¦ В сотрудничестве с Европейским парламентом Совет министров решает вопросы;
1. Необходимых предписаний д ля планирования национальных общественных бюджетов.
2. Изменения объемов финансовых средств сообщества для более действенного оказания структурной помощи странам-членам.
3. Привязка структурной помощи к обязательствам, которые должны выполняться соответствующими странами, обязанными вносить в них корректировки.
¦ Презентация стран-членов ЕС в международных экономических организациях через органы Сообщества.
¦ Изменение управляющих курсов (14 мая 1993 г.) и расширение диапазона колебаний обменных курсов в ЕВС (2 августа 1993 г.).
С началом первой фазы на передний план европейской интеграции в области фискальной и денежной политики выдвинулись усиленные кооперация и конвергенция, а также создание внутреннего рынка.
Создание внутреннего рынка стимулировало экономический рост и повышение конкурентоспособности, были устранены барьеры на путях движения товаров, услуг и капитала. В период с 1986 г. («Единый европейский акт») по 1992 г. было принято и ратифицировано около 300 направленных на стандартизацию национальных предписаний и директив. С 1993 г. в Западной Европе действительно осуществляется почти беспрепятственное движение экономических потоков (товаров, услуг и капитала) через все национальные границы. Одновременно с этим были достигнуты пределы «отрицательной интеграции». Об отрицательной интеграции говорят тогда, когда речь идет лишь об устранении препятствий для торговли и искажении правил конкуренции. Если отрицательная интеграция, осуществленная юридическими средствами Европейского Верховного суда и Европейской комиссии и была весьма успешной, то добиться большого прогресса по «положительной интеграции» не удалось. Если речь шла о том, чтобы находить положительные, т. е. определяющие, правила на политическом уровне, то «при условии единогласия, скорость передвижения конвоя (судов) определяется скоростью передвижения самого медленного корабля»(F. W. Scharpf / / Wirtschaftsdienst. 1995. Februar. S.86).
Возникшие при создании общего рынка проблемы привели к убеждению, что Европейский экономический и валютный союз должен дополняться политическим союзом, которое лишь укрепилось вследствие глубоких политических и экономических изменений в странах Восточной и Центральной Европы, стремления некоторых из них к присоединению к Европейскому Союзу.
Значительным фактором стало также объединение Германии. Существенной задачей европейской политики в начале 1990-х гг. была прочная и надежная «привязка» Германии к процессу европейской интеграции. На основании этого в декабре 1991 г. в Маастрихте состоялись две конференции правительств — об Европейском экономическом и валютном союзе и о Политическом союзе. Результаты этих двух конференций были «интегрированы» и в феврале 1992 г. оформлены главами европейских правительств как Договор о Европейском Союзе.
Маастрихтский договор основывается на трех «краеугольных камнях» (см. гл. 23):
¦ регулировании экономического, валютного и социального союза;
¦ регулировании совместной внешней политики и политики безопасности;
¦ постановлении о более тесном сотрудничестве в области юстиции и внутренних дел.
«Сердцевина» переговорного процесса — создание Экономического и валютного союза.

Регулирование Экономического Союза означает необходимость интенсификации сотрудничества в области экономической политики. В соответствии со ст.103 Договора ЕС экономическую политику необходимо рассматривать как общий интерес. Сообщество устанавливает основные принципы экономической политики, контролирует их соблюдение и дает советы или замечания при несоблюдении принципов. Новым является то, что на третьей ступени интеграции возможно применение финансовых санкций. Измененный договор ЕС обязывает страны-члены в случае «недостаточной конвергенции» к введению программ реформ для обеспечения прогресса в сфере стабильности цен и оздоровления государственных финансов. При этом речь идет не просто об объявлении намерений, а о международных обязательствах.
В области Валютного союза Маастрихтский договор указывает на необходимость фиксированных обменных курсов, которые должны привести к единой валюте, а также на связанную с этим единую денежную и валютную политику, которая обязывает к стабильности цен. Достижение данной цели предполагает реализацию временного плана-графика и определенные критерии присоединения к валютному союзу. Отдельно действует правило, согласно которому к Валютному союзу могут присоединяться только страны, выполняющие следующие условия:
1. Темп инфляции может превышать темпы инфляции трех самых стабильных стран Союза максимум на 1,5 процентных пункта.
2. Чистая новая задолженность страны не должна превышать 3% валового внутреннего продукта, а государственный долг — 60% ВВП.
3. Уровень процентной ставки страны может превышать соответствующие средние показатели трех самых стабильных (по темпам инфляции) стран максимум на 2 процентных пункта.
4. Курс национальной валюты должен стабильно находиться на протяжении двух последних лет внутри узкого диапазона (при заключении договора ±2,25%).
Табл. 22.10 отражает состояние критериев конвергенции в странах-членах ЕС к концу 1993 г.
Помимо упомянутых пунктов договор содержит множество правил, относящихся к Экономическому и Валютному союзу.
¦ После подписания Договора о Европейском Союзе главами правительств к концу 1992 г. должен был быть завершен и процесс ратификации (заключения национальных парламентов или проведение референдумов). Но процессы ратификации выявили трудности «интеграции сверху». В Великобритании, Дании и Франции решение о договоре было принято лишь незначительным большинством. Великобритания и Дания при этом оговорили особые права, в частности, о самостоятельных решениях об участии в Валютном Союзе. Более того, впоследствии Дания отказалась от участия в этом Союзе. Несмотря на трудности и задержки, Маастрихтские соглашения были ратифицированы всеми странами-членами и Договор о Европейском Союзе вступил в силу 1 ноября 1993 г. Первого января 1995 г. в Европейский Союз вступили Финляндия, Австрия и Швеция, в целом безоговорочно принявшие Договор.
Таблица 22.10. Успехи Европейского Союза в достижении конвергенции
Критерии Валютного и экономического союза достигнуты |
|
|
Изменение потребительских цен к преды
дущему году, % |
Сальдо финансирова
ния государственных бюджетов, в % к ВВП0 |
|
Страна |
1992 г. |
1993 г. |
1992 г. |
1993 г. |
|
|
Пороговые значения ЕЭВС2> |
|
|
—зд— |
О |
2.8 |
3,1 |
3 |
-3 |
|
Бельгия |
|
¦ ¦¦'¦¦¦¦ |
';'"::;2,8.Ч:' |
' 2,8 |
-6,9 |
-7,4 |
|
Дания |
2,1 |
2,1 .. |
1,3 |
1,3 ¦? |
\;.. , ?-2,6: : -' |
-4,4 |
|
Германия |
3) 4,0 |
31 4,0 |
3) 4 2 |
3) 4,2 |
|
-3,3 |
|
Франция |
2,4 |
|
¦:.??::2,І"/г. |
¦¦¦¦¦¦¦:Д2,Г |
-3,9 |
-5,9 |
|
Греция |
15,9 |
15,9 |
14,4 |
14,4 |
-13,2 |
-15,4 |
|
Великобритания |
3,7 |
|
Д/Д.б/:' |
1,6;.; |
-5,9 |
-7,6 |
|
Ирландия |
3,1 |
.'Д?З,!- |
:''ДЛ,4;"?:. |
|
-2,2:П |
-3,0 |
|
Италия |
5,1 |
5,1 |
4,5 |
4,5 |
-9,5 |
-10,0 |
|
Люксембург |
3,2 |
3,2 |
3,6 |
3,6 |
|
|
|
Нидерланды |
3,7 |
Д?. 3,7 |
2.1 |
:Д' 2.1 |
-3,5 |
-4,0 |
|
Португалия |
8,9 |
8,9 |
6,5 |
6,5 |
-5,2 |
-8,9 |
|
Испания |
5,9 |
5.9 |
4.6 |
4.6 |
-4.6 |
-7,2 |
|
|
Доходность долгосрочных государствен- |
Валовой долг госу- |
|
|
|
ных облигаций, % |
дарственных бюдже- |
|
|
|
|
|
|
тов, в % к ВВП1’ |
|
Страна |
1992 г. |
1993 г. |
1992 г. |
1993 г. |
|
|
Пороговые значения ЕЭВС2) |
|
|
10.7 |
10.9 |
9.2 |
9.5 |
60 |
60 |
|
Бельгия |
8,7 |
|
7,2 |
|
131,9 |
138,4 |
|
Дания |
|
|
7,2 |
|
73,4 |
78,5 |
|
Германия |
|
|
6,5 |
Дх-Дб#-Д/ |
• : :? 44,8 |
48,9 |
|
Франция |
|
Кл&к: |
6,8 |
; ¦.6,8 |
39,2 |
44,9 |
|
Греция |
4> 21,7 |
4> 21,7 |
4) 21,2 |
4) 21,2 |
106,7 |
113,6 |
|
Великобритания |
-Y-:- |
9,1 |
7,5 |
7,5,'Д'..:.: |
47,3 |
53,2 : |
|
Ирландия |
|
|
' 7,7 ' |
.¦¦¦:'.. 7,7 . 1 .;і |
91,6 |
92,9 |
|
Италия |
13,4 |
13,4 |
11,4 |
11,4 |
108,0 |
115,8 |
|
Люксембург |
7,9 |
7,9 |
6,9 |
: 6.9 |
Г.:- |
10,0 |
|
Нидерланды |
8,2 |
8,2 |
6,3 |
6,3 |
79,7 |
83,1 |
|
Португалия |
51 15,4 |
5> 15,4 |
51 12,5 |
5) 12,5 |
63,5 |
69,5 |
|
Испания |
12,2 |
12,2 |
10,2 |
10,2 |
48,8 |
55,6 |
|
Примечание. В принципе договор основан на идее о том, что пороговые значения темпа инфляции и доходности облигаций, как правило, исчисляются на основе показателей самой стабильной страны-члена. Поэтому отказ следовать этому правилу оправдан лишь тогда, когда успех «самой лучшей» страны связан с чрезвычайными обстоятельствами (например, экстремальными различиями в динамике конъюнктуры). Тогда самой подходящей альтернативой было бы пороговое значение, ориентированное на третью по стабильности страну.
Источники: Европейская Комиссия и национальные статистики. 1 — По определению национальных счетов (включая социальное страхование). 2 — Процент инфляции не должен превышать процентную ставку трех самых стабильных (по темпам инфляции) стран более чем на 1,5 процентных пункта. Доходность долгосрочных государственных облигаций не должна превышать доходность трех самых стабильных по темпам инфляции стран больше, чем на 2 процентных пункта. Следующие пороговые значения темпов инфляции и доходности облигаций относятся всегда соответственно к самой стабильной и к третьей по стабильности странам. 3 — Старые федеральные земли. 4 — Годичные казначейские векселя. 5 — Доходность погашению государственных займов с меняющимися процентами.
Источник: Deutsche Bundesbank GeschSftsbericht, 1993.
Одновременно процесс ратификации привел к большим сложностям в ЕВС, поставившим под вопрос успех Маастрихта и прогресс интеграции в первой фазе. Согласно плану Делора, в первой фазе все страны-члены участвуют в механизме обменных курсов на одинаковых условиях. Для удовлетворения этого требования диапазон возможного колебания лиры был сужен до ±2,25%, а в механизм обменного курса ЕВС были «заложены» британский фунт и португальское эскудо. Таким образом, в ЕВС были представлены все валюты за исключением драхмы, а расширенные диапазоны (±6%) существовали лишь для фунта, эскудо и песеты (для облегчения их «вступления» в механизм обменных курсов). Проблемы возникли из-за того, что со времени последнего пересмотра управляющих курсов (12 января 1987 г.) в ЕВС создалась большая напряженность. Из-за различий в динамике темпов инфляции произошло реальное удорожание всех валют относительно немецкой марки. Таким образом, в силу фиксирования номинальных обменных курсов в ЕВС возникла сильная напряженность, а значит появилась реальная необходимость адаптации. При ратификации Маастрихтского договора началась спекуляция против различных валют ЕВС:растущему давлению к обесцениванию подверглись прежде всего французский франк, британский фунт и итальянская лира.
Центральные банки использовали все имеющиеся в их распоряжении инструменты и прежде всего интенсивные интервенции (в течение нескольких дней за счет покупок иностранных валют чистые валютные резервы Бундесбанка увеличились на 60%). Но удержать обменные курсы в запланированном диапазоне не удалось, и 17 сентября 1992 г. было принято решение о временном приостановлении участия британского фунта и итальянской лиры в механизме обменных курсов.
Кризис существенно подорвал уверенность в стабильности функционирования ЕВС, и на протяжении 1993 г. под давление попали и валюты тех стран, фундаментальные экономические параметры которых не оправдывали продолжительного изменения обменных курсов. Так как ввиду необходимости решения национальных задач Центральные банки не имели возможности противодействия спекулятивным волнам (посредством политики процентных ставок), была предпринята попытка исправить ситуацию за счет усиленной валютной интервенции. Но, как мы знаем, массивные интервенции приводят к быстрому истощению валютных резервов; ЦБ необходимо смириться с очень большой ликвидностью банковского сектора. В июне 1993 г. стало очевидно, что ЕВС не в состоянии противодействовать спекулятивным волнам, используя имевшиеся в ее распоряжении инструменты денежной и валютной политики. Для прекращения спекуляций на валютных рынках министры финансов и президенты ЦБ стран-членов ЕС решили расширить со 2 августа 1993 г. действующие диапазоны до ±15%. Узкий диапазон был сохранен только между Нидерландами и Германией (в соответствии с двусторонним соглашением). Таким образом, обменные курсы фактически были освобождены.
План Делора предусматривает, что при переходе от первой ко второй фазе диапазон ЕВС должен быть сужен и что пересмотр управляющих курсов должен происходить только в исключительных случаях. Очевидно, что кризис ЕВС означает большой шаг назад.
2.3.3. Вторая фаза интеграции
Вступление в силу Маастрихтского договора (1 ноября 1993 г.) означало переход ко второй фазе (ступени) интеграции, что выразилось в создании во Франкфурте-на-Майне Европейского валютного института (ЕВИ), который принял на себя функции «Комиссии губернаторов Центральных банков ЕС» и ЕФВС. Наряду с этими задачами ЕВИ сконцентрировался на выполнении функции подготовки третьей ступени Валютного союза — создании инструментов и разработке методов проведения единой европейской денежной и валютной политики.
ЕВИ должен был определить необходимые для выполнения задач Европейской системы Центральных банков (ЕСЦБ) регулирующие и организационные условия. До этого времени все полномочия в области денежной и валютной политики остались у национальных банков. Следовательно выполнить заявленную в плане Делора цель постепенного перехода полномочий к ЕСЦБ уже на второй ступени не удалось.
С другой стороны достигнут определенный прогресс в процессе институциональной интеграции:
¦ Были значительно расширены права Центральных банков Бельгии, Франции и Испании (которые до тех пор были зависимы от указаний правительств).
¦ Кроме того, с началом второй ступени вступил в силу процесс автоматического контроля и адаптации, стартовым моментом которого выступают критерии конвергенции о задолженности стран-членов. При слишком высокой задолженности страна-член получает определенные рекомендации, но финансовые санкции возможны лишь на третьей ступени. По измененному Договору о ЕС страны-члены обязаны, в случае недостаточных усилий в области конвергенции, внедрять многолетние программы реформ.
¦ С 1 января 1994 г. действует запрет предоставления кредитов Центральными банками правительствам. Национальные Центральные банки (и позже — Европейский ЦБ) не имеют права предоставлять кредиты государственным органам и приобретать общественные долговые обязательства.
¦ Со вступлением в силу Договора о ЕС действует правило, согласно которому ни Сообщество не несет ответственности за обязательства стран-членов, ни каждая страна-член не отвечает по обязательствам другой страны-члена.
2.3.4. Основные проблемы ЕЭВС
Как было уже отмечено (см. гл. 21, раздел 5), членство в Европейском экономическом и валютном союзе автоматически означает отказ от самостоятельной национальной денежной политики и требует общих согласований (конвергенции) в остальных областях экономической политики. ЕВС преследует цель поддерживания в равновесии не подлежащих корректировке фиксированных обменных курсов. Кризис ЕВС в 1992-1993 гг. впечатляюще подтверждает правильность данного тезиса. Столь значительная экономическая интеграция требует наличия у стран-членов сильной политической воли.
Но условием сохранения Европейского Экономического и Валютного союза является единая экономическая политика, преследующая общеэкономические цели полной занятости, стабильности ценности денег и экономического роста, и Европейское Сообщество предприняло попытку его выполнения. Представленная Европейской Комиссией в декабре 1993 г. Белая книга («Рост, конкурентоспособность, занятость — вызов современного времени и путь в XXI век») была принята Европейским советом за основу программы действий. Позволит ли она достичь поставленных целей — покажет будущее, но во всяком случае положительным моментом является то, что с принятием данной программы действий борьба против безработицы и стимулирование экономического роста стали важными составными частями платформы экономической политики в Европейском Союзе.
Еще одна проблема — ориентация единой денежной политики на стабильность ценности денег. Даже если целью Маастрихта является единая денежная политика, обязывающая поддерживать стабильность ценности денег, то остается открытым вопрос: насколько значительной будет разница между планом и фактом? Так, ФРГ опасается, что ЕСЦБ не сможет обеспечивать стабильность валют так же последовательно, как Бундесбанк. Согласие с тем, что до достижения третьей ступени все полномочия в области денежной и валютной политики остались у национальных ЦБ, отражает прежде всего позицию немецкой стороны.
Успех немецкого Бундесбанка в стабилизации экономики объясняется его уникальной в международном плане независимостью, что позволяет ему противодействовать желаниям правительства расширить финансирование дефицита госбюджета и/или стимулировать занятость. И то и другое, как правило, ведет к инфляции.
Важнейшее значение приобретает реальная независимость Европейского центрального банка:
¦ Функциональная независимость. Европейский ЦБ не должен поддерживать действия Европейского Союза или стран-членов, направленные на увеличение дефицитов бюджетов или стимулирование занятости, если они угрожают стабильности ценности денег.
¦ Персональная независимость; Члены Европейского центрального банка назначаются не главами европейских правительств, а выбираются органами Центральных банков. Кроме того, они заключают долгосрочные трудовые контракты.
¦ Независимость в выборе средств. Европейский центральный банк в рамках политики открытого рынка не обязан скупать государственные долговые обязательства или придерживаться заданной извне цели в области обменного курса через соответствующую политику интервенции на валютных рынках.
¦ Финансовая независимость. Европейский центральный банк распоряжается собственным бюджетом, который контролируется независимой аудиторской фирмой, а не парламентом. Кроме того, распределение прибыли Центрального банка не является объектом обсуждения, а происходит автоматически, в соответствии с долями отдельных стран в валовом продукте ЕС» (Wilms Manfred. Europaische Zentralbank / / Wirt schafts wissenschaftliches Studium. Heft. 4. 1991. S.157).
Как показано в разделе 2.3.3, в этих областях был достигнут определенный прогресс, но остается и множество проблем. Решение о размещении ЕВИ и Европейского центрального банка во Франкфурте-на-Майне продемонстрировало готовность стран-участниц к компромиссу с немецкой стороной.
Ориентация Европейского Центрального банка на институциональные формы и целевые установки Бундесбанка в области денежной политики могла бы стать важным сигналом того, что Европейский центральный банк будет придерживаться политики стабилизации в той же степени, в какой ее проводит ЦБ ФРГ.
Врезка 22.2.
Россия и интеграция в СНГ
Содружество независимых государств (СНГ) — союз бывших республик СССР. СНГ было создано 8 декабря 1991 г. представителями Беларуси, Российской Федерации и Украины. В дальнейшем к Содружеству постепенно присоединялись другие государства. По состоянию на 1998 г., в СНГ входят, помимо названных стран, Азербайджан, Армения, Грузия, Казахстан, Кыргызстан, Молдова, Таджикистан, Туркменистан и Узбекистан. В январе 1993 г. был принят Устав СНГ и создан Межгосударственный банк СНГ, в сентябре того же года был заключен Договор о создании экономического союза, а ровно через год страны, входящие в СНГ, подписали Соглашение о создании платежного союза. Государствами-участниками СНГ был подписан и ряд других многосторонних соглашений, важнейшими из которых являются:
¦ Соглашение о создании зоны свободной торговли;
¦ Соглашение о сотрудничестве в области внешнеэкономической деятельности;
¦ Соглашение о практических мерах по созданию рублевой зоны нового типа (направленное на гармонизацию денежной политики в СНГ);
¦ Соглашение о принципах таможенной политики;
¦ Соглашение о сотрудничестве в области инвестиционной деятельности. Крупнейшими вехами в интеграции стран-участниц СНГ явилось также образование Таможенного союза РФ, Республики Беларусь, Казахстана, Кыргызстана (действует с января 1995 г.), Сообщества первых двух стран (действует с апреля 1996 г.),ш также подписание (2 апреля 1997 г.) Союзного договора между этими же двумя странами. РФ, Беларусь, Казахстан и Кыргызстан последовательно осуществляют гармонизацию не только таможенных тарифов, но и экономического законодательства в целом.
Данная политика повысит доверие к процессу европейской интеграции и позволит добиться существенного прогресса.
Задача обобщения успехов и недостатков процесса европейской интеграции представляется весьма непростой. Как уже отмечалось, с одной стороны, были достигнуты значительные успехи в области отрицательной интеграции, с другой — медленно осуществляется положительная интеграция. К этому следует добавить то, что низкие темпы процесса интеграции в области валютной политики были обусловлены кризисом в ЕВС.
Главной проблемой Валютного союза является то, что «исчезновение» номинальных обменных курсов как инструментов корректировок приведет к реальным процессам корректировок, которые в основном связаны с эффектом высвобождения на факторном уровне (труд и капитал). Неравномерно распределяемое на страны-члены бремя достижения большей конвергенции ложится прежде всего на страны со слабой валютой (кризисы стабилизации).
Образование СНГ — процесс, отражающий экономическую взаимозависимость стран-участниц Содружества, которая, в свою очередь, является продуктом длительного хозяйственного развития СССР как единого хозяйственного механизма, между элементами которого существовали тесные технологические взаимосвязи. В бывшем СССР имела место межрегиональная система специализации и кооперирования. Распад СССР и образование суверенных государств разрушили эту систему, что привело к глубокому спаду производства во всех без исключения республиках бывшего Советского Союза. У каждой из республик возникла острая потребность в огромных финансовых средствах, необходимых для восполнения потерянных звеньев производственных цепочек.
Однако на пути интеграции членов СНГ встали серьезные препятствия, и в частности, переориентация стран-участниц на торговлю с зарубежными государствами, а также постепенное ослабление инерции взаимных связей. Несмотря на образование СНГ, объем торговли между его участниками в течение нескольких лет после распада СССР постоянно сокращался. Данное сокращение было частично выгодно для России, поскольку в период существования СССР обмен между РСФСР и другими республиками зачастую носил неэквивалентный характер. (Торговля осуществлялась иногда по ценам, не выгодным для России; кроме того, огромная часть сделок финансировалась ее кредитами).
В результате объемы российского экспорта в страны СНГ (сырьевых и топливноэнергетических ресурсов) и импорта из них (сырье для легкой промышленности и продукты питания) значительно уменьшились.
Однако в целом интеграция в СНГ — процесс, отвечающий как политическим, так и экономическим интересам России. Участие в интеграционном союзе является благом для экономического развития страны, что подтверждает и опыт стран-участниц ЕС, в частности Германии. Поэтому, видимо, интеграция в СНГ в дальнейшем будет продолжаться, а роль России в этом процессе, вероятно, по-прежнему останется одной из ведущих.
Для сохранения состава участников Валютного союза необходима политическая воля стран-членов к равномерному распределению бремени, которое возможно лишь с помощью положительной интеграции. Прогресс в этой области зависит в значительной мере от готовности правительства отдельных национальных государств к от
казу от национальных полномочий в пользу Европейского парламента, чтобы расчи
¦ Лондонский клуб
¦ «Управляемое» плавание
¦ «Грязное» плавание
¦ Европейское объединение валютных
курсов
¦ Европейская валютная единица
¦ Валютная корзина
¦ Управляюший курс экю
¦ «Сетка паритетов»
¦ Интервенции
¦ Индикатор отклонений
¦ Интрамаржинальная интервенция
¦ Внутренние мероприятия валютной политики
¦ Изменение управляющих курсов
¦ Сверхкраткосрочное финансирование
¦ Краткосрочная валютная помошь
стить путь к действительно единой политике.
Список основных понятий
¦ Международный валютный фонд
¦ Специальные права заимствования
¦ Граница принятия
¦ Расширенная «фондовая линия»
¦ Линия компенсирующего финансирования недостачи от экспортной выручки
¦ Линия финансирования буферных запасов
¦ Линия структурного приспособления
¦ Линия системной трансформации
¦ Кондициональность
¦ Еврорынок
¦ Парижский клуб
¦ Среднесрочная валютная помошь
¦ Содружество независимых государств
¦ Квота (в МВФ)
¦ Резервная транша

¦ европейская валютная единица (экю.)
2) Объясните, почему предоставление возможности получения кредита странами, участвующими в валютной системе, имеет решающее значение для свободного движения товаров, услуг и капитала.
3) Какие возможности финансирования дефицита своего платежного баланса имеют члены МВФ?
4) Опишите концепцию специальных прав заимствования.
5) Специальные права заимствования распределяются бесплатно и дают возможность финансировать дефициты платежных балансов. Кто в случае использования СПР реально оплачивает поставки товаров?
6) Какие проблемы возникают в экономической политике стран, действующих на рынках иностранных валют?
7) В чем выражается разница между Европейской валютной системой и системой Бреттон-Вудса, в каких пунктах существует совпадение?
8) В чем состоят причины фиаско системы фиксированных обменных курсов в рамках системы Бреттон-Вудса?
9) Что является основной проблемой функционирования валютного союза?
10) Какими преимуществами пользуются члены Европейского Экономического и Валютного союза?
¦ Различные аспекты конвертируемости валюты в восточноевропейских странах в первые годы перехода к рыночной экономике (до 1994 г.) рассматриваются в книге:
Сабов 3. А. Валютная конвертируемость в переходный период. СПб., 1998.
¦ Достаточно полную картину международной валютной политики дает следующий учебник:
Основы международных валютно-финансовых и кредитных отношений : Учебник / Под ред. В. В. Круглова. М., 1998.
¦ Освещение процесса европейской интеграции после Маастрихта содержится в статье:
Маастрихтский договор : уроки ратификации / / Мировая экономика и международные отношения. 1994. № 1. С. 79-92.
ОСНОВЫ
ЕВРОПЕЙСКОГО СОЮЗА

Какова структура Европейского Союза?
¦ Что являлось первоначальным ведущим мотивом европейской интеграции?
¦ Какие формы и последствия имеет регионально ограниченная интеграция?
¦ С какими основными проблемами интеграции необходимо считаться?
¦ Какие органы управляют деятельностью ЕС?
¦ Какими видами доходов распоряжается ЕС?
¦ Каковы основные виды расходов ЕС?
¦ В чем состоят принципы осуществления аграрной политики ЕС и каковы ее проблемы?
¦ Что является основным элементом структурной политики ЕС?
ягв
*w«««-»x:<>х&м№мын&х*&ь>*
»тжввк
1. Путь к европейскому единству
1.1. Путь к таможенному союзу
Исторический опыт Европы подтверждает стремление к европейскому единству. После первой неудачной попытки обеспечения мира в Европе сразу после первой мировой войны (напомним о создании Лиги Наций, панъевропейском движении и инициативе Аристида Бриана и Густава Штреземана по формированию Европейского Союза государств) новая, направленная на достижение политического единства некоторых европейских государств попытка была предпринята в начале 1950-х гг.
Так в 1952 г. возникло Европейское сообщество угля и стали (ЕСУС, «Монта-нунион»), политическая цель которого состояла в изъятии из зоны национальной ответственности ресурсов военного производства. В том же 1952 г. шесть стран ЕСУС — Бельгия, ФРГ, Франция, Италия, Люксембург и Нидерланды — подписали договор о создании Европейского оборонного союза (ЕОС) и приняли решение о разработке планов по формированию Европейского политического сообщества. ¦
Встретившиеся на пути к этой цели препятствия (например, французское Национальное собрание отказалось от ратификации договора ЕОС) обусловили ориентацию на экономическую интеграцию.
25 марта 1957 г. Бельгия, ФРГ, Франция, Италия, Люксембург и Нидерланды подписали Римский договор о создании Европейского Экономического Сообщества (ЕЭС) и Европейского атомного сообщества (ЕАС, Евроатом). Его ядром было создание таможенного союза и общего рынка. Таможенный союз шести был осуществлен досрочно, в 1968 г. Параллельно с этим договором (от 8 апреля 1965 г.) первоначально самостоятельные институты ЕСУС, Евроатом и ЕЭС с 1967 г. были объединены в Европейское Сообщество (ЕС).
Большие успехи в интеграции объяснялись смягчившим проблемы структурной перестройки быстрым экономическим ростом, а также тем, что внутриотраслевая внешняя торговля, являвшаяся следствием относительно одинакового уровня развития шести стран-основателей сообщества, не привела к исчезновению целых экономических отраслей.
1.2. Путь к внутреннему рынку
Наряду с успехами в развитии ЕС его члены столкнулись с рядом проблем. Примерно с 1970 г. внешняя торговля все больше сталкивалась с нетарифными торговыми барьерами, успехи пошли на убыль. Вдобавок попытка полной гармонизации во всех
деталях на национальном уровне сфер, деятельность которых в значительной степени регулировалась государством (сельское хозяйство, банки, страхование, транспорт, телекоммуникации), была обречена на неудачу. Особенно грубой ошибкой в сфере экономической политики оказалось решение 1959 г. о регулировании рынка сельскохозяйственной продукции через систему «рыночных порядков», что привело к гигантским просчетам в размещении ресурсов и, таким образом, к подрыву авторитета ЕС. В целом для фазы, продолжавшейся примерно с 1970 по 1985 г., были характерны многочисленные ошибочные попытки «продвинуть» интеграцию до создания Экономического и валютного союза. Неудачи были обусловлены прежде всего тем, что страны-члены ЕС в большинстве своем не были готовы отказаться от автономной национальной экономической политики. Назрело время новых инициатив.
В июне 1985 г. под давлением ФРГ и Франции главы европейских государств и правительств приняли решение о расширении Римского договора. В декабре 1985 г. был принят, а в июле 1987 г. вступил в силу Единый Европейский Акт (ЕЕА).
ЕЕА означал важный шаг в дальнейшем развитии системы ЕС. Он выдвигал:
¦ новую цель: «Внутренний рынок-1992»,
¦ частичную отмену регламента голосования,
¦ продление и восполнение прочих сфер политики в рамках ЕС (например, социальная политика, политика в области окружающей среды, валютная политика),
¦ новую организацию в форме Европейского политического сотрудничества (ЕПС).
Новые важные элементы интеграции, т. е. «внутренний рынок-1992», а также расширение и углубление прочих сфер политики, будут описаны в гл. 24.
1.3. Путь к Европейскому Союзу
Параллельно с «внутренним рынком-1992», который в его существенных элементах уже создан, предпринимались дальнейшие попытки «продвижения» европейской интеграции. 7 февраля 1992 г. в Маастрихте был подписан Договор о Европейском Союзе (ЕС), который вступил в силу 1 ноября 1993 г. В соответствии с ним в будущем европейская интеграция должна строиться на трех базисных элементах:
¦ на дальнейшем развитии Европейского Сообщества (включавшего раньше в основном экономические элементы: таможенный союз, единую аграрную политику, структурную политику и внутренний рынок) вплоть до создания Экономического и валютного союза (1-й элемент);
¦ на правилах о «Единой внешней политике и политике безопасности» (2-й элемент)
¦ на правилах о «Сотрудничестве в области юстиции и внутренних дел» (3-й элемент).
Основной экономической составляющей Европейского Союза является первый элемент, т. е. Европейское Сообщество. Его полномочия были значительно расширены; важнейшим дополнением является многоступенчатый план, по которому до начала 1999 г. должен был произойти переход к Экономическому и валютному союзу (см. об этом подробнее в гл. 22). Наряду с этим был сформулирован ряд дополнений к договору:
¦ создание возможностей Союзного гражданства (ст.8а-е ДЕС), например с общим видом на жительство и избирательным правом по месту проживания;
¦ принцип «субсидиарности» деятельности Сообщества (ст.ЗЬ ДЕС);
¦ создание самостоятельного регионального органа — «Комиссии регионов», открывающей политическую перспективу для формирования трехступенчатой структуры Сообщества (ст.198а-с ДЕС);
¦ усиление полномочий Европейского Сообщества (ст.137-138е, 189-191 ДЕС);
¦ придание ЕС новых полномочий в сфере образования и культуры (ст. 126— 128 ДЕС) и
¦ придание ЕС новых полномочий и задач во многих сферах экономики (см. гл. 24 раздел 3).
Таким образом, акцент был сделан на углублении экономической интеграции и начале политической интеграции в рамках первого элемента Европейского Сообщества.
Для 2-го и 3-го элементов, которые означают исключительно политическую интеграцию, до сих пор был предусмотрен только процесс сотрудничества правительств вне органов ЕС. Следовательно, они не включены в компетенцию Сообщества, поэтому их следует интерпретировать скорее как политическую программу.
1.4. Региональное расширение европейской интеграции
Членами-учредителями ЕЭС (1 января 1958 г.) были ФРГ, Бельгия, Франция, Италия, Люксембург и Нидерланды. В 1973 г. к ЕЭС присоединились Дания, Ирландия и Великобритания («Северное расширение»), в 1981 г. — Греция, в 1986 г. — Испания и Португалия («Южное расширение»). Наконец, в 1995 г. в Сообщество вошли Австрия, Финляндия и Швеция.
Сегодня Европейский Союз, включает в себя 15 стран-членов с общей численностью населения 372 млн человек, его валовой внутренний продукт составляет 7000 млрд экю, он является самым большим замкнутым рынком мира. Однако по показателю ВВП на душу населения (18800 экю) ЕС уступает Японии и США, двум другим крупнейшим замкнутым экономическим блокам мира.
Существенным препятствием к дальнейшей интеграции в рамках ЕС является множество официальных языков. Официальными языками являются: датский, немецкий, греческий, испанский, итальянский, французский, голландский, португальский, финский, шведский и английский. Все выдаваемые Комиссией для внешнего пользования документы переводятся на все официальные языки. Для внутреннего пользования Комиссия использует три официальных языка: французский, английский и немецкий. Оригинальные документы составляются, как правило, на французском языке.
Но процесс европейской интеграции не закончен. Ожидается расширение ЕС, и прежде всего на Восток. Заявки на присоединение подали Турция (1989 г.), Мальта (1990 г.), Кипр (1990 г.), Швейцария (1992 г., пока интеграция приостановлена), Венгрия (1994 г.), Польша (1994 г.), Чехия (1994 г.). Кроме того, заключено множество договоров об ассоциации с восточноевропейскими странами. В принципе подать заявку и стать членом Сообщества может любая европейская страна .11-12 июня 1993 г. Европейский Совет сформулировал следующие условия членства: «Предпосылкой для членства являются институциональная стабильность в стране-кандидате как гарантия демократического порядка и наличие правового государства, соблюдение прав человека и соблюдение прав защиты меньшинств; далее необходимы функционирующая рыночная экономика, а также способность выдержать конкуренцию в рамках Союза. В дальнейшем членство означает, что отдельные кандидаты на вступление принимают на себя обязательства (являющиеся следствием их членства) и должны быть в состоянии сделать своей целью Политический союз, а также Экономический и валютный союз» (EU-Informationen 1/1995).
2. Шансы и риски регионально ограниченной интеграции рынков
Всемирный порядок валютной (МВФ) и торговой (ВТО) систем не позволяют обеспечить всемирную свободную торговлю. Слишком велика разница между странами по целям экономической политики и по их экономической мощи. Во всяком случае оптимальное валютное пространство (см. гл. 21) не охватывает весь мир. Поэтому наиболее целесообразной представляется нам регионально ограниченная интеграция (ЕС — пример ее успешного осуществления).
2.1. Формы интеграции
Между двумя крайностями — полной автаркией и совершенной всемирной свободной торговлей — существуют следующие формы интеграции.
Преференциальная зона: устранение таможенных пошлин для определенных или всех продуктовых групп ряда стран (например — Общая преференциальная система ЕС).
Зона свободной торговли: свобода от таможенных пошлин внутри зоны, таможенные пошлины для внешних стран, которые не являются едиными (например — ЕАСТ, Европейская ассоциация свободной торговли, созданная в 1960 г.).
Таможенный союз: устранение внутренних таможенных пошлин, единые внешние таможенные пошлины, распределение поступлений от них среди членов (например—ЕС).
Сегодня устранение других торговых барьеров (например, импортных квот) включается в приводимые здесь определения.
Понятия «общий рынок» и «внутренний рынок» в науке трактуются неоднозначно, в отличие от практики ЕС.
Общий рынок означает свободную торговлю товарами и услугами, а также неограниченную мобильность производственных факторов — труда и капитала (свободная торговля плюс мобильность факторов).
Внутренний рынок — это в принципе «общий рынок более высокого качества», т. е. общий рынок с полной свободой (включая непроизводственную деятельность), без контроля на границах и поэтому с некоторым единством условий производства.
Экономический союз — это общий рынок, связанный с координацией и гармонизацией экономической политики (политики стабильности, конкуренции, роста и отчасти также политики распределения), частично — в форме интегрированных институтов, как например единый антимонопольный комитет или единый Центральный банк.
Валютный союз предполагает не подлежащие корректировке фиксированные обменные курсы, связанные с неограниченной и неизменной конвертируемостью валют, а также полную свободу движения капитала. В этом случае валютный союз может быть связан с единой валютой.
Самая интенсивная форма интеграции — полное (и политическое) слияние стран-членов в форме федеративного государства, на создание которого и направлена деятельность ЕС.
2.2. Последствия интеграции
Одним из основных преимуществ интеграции является приближение к свободной торговле, а значит, преимущество самой свободной торговли (см. гл. 20), включающее:
¦ преимущества в издержках за счет специализации на относительно или даже абсолютно самой дешевой продукции стран,
¦ экономию от масштаба (economies of scale) и
¦ усиление конкуренции.
Но регионально ограниченная интеграция рынков в форме таможенного союза или при (регионально ограниченном) экономическом и валютном союзе означает, что свободная торговля осуществляется только внутри региона. Одновременно в большинстве случаев усиливается замкнутость по отношению к остальному миру. Здесь возникают так называемые эффекты «открытости» и «закрытости».
Об эффекте «открытости» (trade creating effect) говорят тогда, когда растущая свободная торговля в пространственных рамках интеграции приводит к тому, что производства с более высокими реальными издержками перемещаются в районы с относительно низкими реальными издержками. Возможно, России было бы выгодно импортировать автомобиль «Таврия», к примеру, с Украины, поставляя партнеру по СНГ «Оку». Наш пример не случайно относится к продуктам одной отрасли. В общем верно, что эффекты открытости особенно велики при внутриотраслевой торговле, т. е. при торговле, в которой ассортимент партнеров по интеграции является похожим (оба производят автомобили одного и того же класса). При межотраслевой торговле, т. е. при торговле продуктами разных промышленных отраслей (обмен автомобилей на текстиль), эффект открытости уменьшается. Данный эффект объясняет отчасти большие успехи ЕЭС в рамках таможенного союза шести стран-основате-лей, ведь они имеют в основном аналогичный продуктовый ассортимент.
Об эффекте «закрытости» (trade diverting effect) говорят тогда, когда относительное отделение пространства интеграции от остального мира приводит к тому, что местонахождение производства с более низкими реальными издержками вне интеграционного пространства перемещается в место с относительно высокими реальными издержками. К примеру, ЕС вводит таможенные пошлины на импорт дешевой говядины, что способствует ее производству (с высокими издержками) внутри Союза. Эффект закрытия означает неэффективное производство и, таким образом, потерю благосостояния как для пространства интеграции, так и для «остального мира».
Итак, оценка последствий интеграции зависит от того, какой из этих двух эффектов больше. На вопрос, при каких условиях положительные эффекты имеют перевес над отрицательными, может быть получен теоретический ответ, но мы ограничимся указанием на то, что, например, в ЕС преобладал эффект открытости, что способствовало его поэтапному расширению и снижению внешних таможенных пошлин.
2.3. Проблемы интеграции
Проблемы (регионально ограниченной) интеграции состоят в следующем.
Весьма вероятно, что распределение выигрыша в благосостоянии (внутри ЕС) будет неравномерным (и прежде всего возможности развития). Поэтому политика распределения (в рамках структурных фондов ЕС: регионального, социального и аграрного фондов) и промышленная политика вызывает бурные дискуссии.
Интеграция как «шок предложения» обусловливает некоторые существенные издержки приспособления, а именно потери человеческого (в виде безработицы или деквалификации), финансового и реального капитала при остановке производства, а также ограничение полномочий национальной бюрократии, что вызывает соответствующую защитную реакцию.
Не исключено и ухудшение благосостояния для «остального мира», так как торговля между интеграционным пространством и «внешним миром* относительно сокращается. Однако можно ожидать, что под воздействием регионального эффекта роста внутри Союза валовой продукт, а также импорт в интеграционном пространстве возрастут настолько, что даже при уменьшении доли внешней торговли с «остальным миром» ее объем в абсолютном выражении останется на прежнем уровне или увеличится.
Наконец, основной проблемой любого интеграционного процесса остается частичный или полный отказ от самостоятельной национальной экономической политики (конвергенция), и прежде всего тогда, когда новые стандарты, нормы и правила не соответствуют представлениям о национальных ценностях. В качестве примеров таких ценностей можно привести нормы защиты окружающей среды, темпы инфляции или нормативы производственной безопасности. Решение проблемы конвергенции становится одной из основных задач вновь созданных институтов интеграции.
3. Институциональная система ЕС
ЕС является государственным союзом особого вида, который невозможно отнести ни к одной принятой в международном праве классической системе. Первое впечатление о ЕС позволяет получить анализ структуры его органов.
Главными органами ЕС являются:
¦ Комиссия,
¦ Совет (Совет —инистров),
¦ Европейский парламент и
¦ Европейский суд.
Наряду с ними существуют и другие органы, например Комиссия экономики и социальных проблем или Комиссия регионов. Высшим органом является Европейский совет глав государств и правительств 15 стран-членов. Основные органы ЕС представлены на рис.23.1.
3.1. Комиссия
Комиссия является «двигателем» ЕС и его «хранителем договоров», т. е. его основным исполнительным органом, который:
¦ на основе заключений Совета или с прямым применением Договора о ЕС (задачи исполнения) осуществляет политику Сообщества;
¦ обеспечивает соблюдение правил и принципов Общего рынка (задачи контроля);
¦ делает предложения по дальнейшему развитию Сообщества. При этом Комиссия имеет монополию на выработку проектов заключений для Совета (задачи проявления инициативы).
Комиссия имеет специальные полномочия в области конкуренции — контроль в области запретов на картели, над злоупотреблениями, над слияниями предприятий, а также над государственными дотациями (ст.85-93 ДЕС). Кроме того, она управляет бюджетами ЕС и не связанными с ними различными фондами и программами.
Сегодня Комиссия состоит из 20 членов. Пять крупных стран-членов предоставляют по два таких члена («комиссара»), а остальные 10 государств — по одному. Комиссары назначаются от правительств государств-членов по взаимному согласию, срок их службы составляет пять лет, возможно повторное назначение. Решения принимаются большинством голосов. Важно, что комиссары в своей позиции полностью независимы от указаний правительств стран-членов, более того, государства отказываются от любых попыток влияния на «своих» представителей.
Каждый комиссар отвечает за определенную область деятельности, например за внутренний рынок или бюджет, и имеет право распоряжаться одним или несколькими подчиненными (ему) 22 генеральными управлениями. Таким образом, Комиссия управляет учреждением, число служащих которого составляет около 17 тыс. человек.
Методьиірижт^
И
Совет Министров ЕС
Европейский
парламент
|
^Фаза решений |
Европейская
Комиссия |  |
Комиссия экономики и социальных проблем
Г~1 Решение
Ц Выслушивание
В Европейском Совет* встречаются главы государств и правительств стран-членов. На "саммитах" ЕС определяются главные направления политики Союза. Заключения Европейского Совета по существу являются заявками важнейшему законодательному органу Совету Европейского союза (Совету министров). В его деятельности (оценка "Европейских законах") принимают участие члены кабинетов министров стран-членов ЕС. Предложения для "Союзных законов” разрабатываются Европейской Комиссией, Европейской администрацией и предъявляются Европейскому Совету. Европейский парламент участвует в выработке правовых актов Союза (пока его влияние несопоставимо с ролью национальных парламентов). Европейский суд контролирует соблюдение законов ЕС. Подать жалобу в суды могут как государства-члены и органы ЕС, так и организации и граждане. В комиссии по экономике и социальным проблемам представлены важнейшие общественные группы; она выполняет преимущественно консультационные функции. Комиссия регионов консультирует Совет и Комиссию по всем вопросам региональных интересов. Наконец Европейская счетная палата ведет надзор за бюджетом Союза.
5
з
5
ЕІ
о
о.
о
>s
8
Я
а?
а.
О о
в s
§ФІ
OQO
8ІР
S|S
1§ 1І
?2 ©5. ?о 5« X К т С
sg-о
go-
Ц\
тЬ
o*S
vS2 *2® 3 о ^
X I'D
О
s
2
О m 3 O |
|
1 |
25 |
5 |
5 |
12 |
12 |
Бельгия |
|
1 |
16 |
3 |
3 |
9 |
9 |
Дания |
|
2 |
99 |
10 |
10 |
24 |
24 |
Германия |
|
1 |
25 |
5 |
5 |
12 |
12 |
Греция |
|
2 |
64 |
8 |
8 |
21 |
21 |
Испания |
|
2 |
87 |
10 |
10 |
24 |
24 |
Франция |
|
1 |
15 |
3 |
3 |
9 |
9 |
Ирландия |
|
2 |
87 |
10 |
10 |
24 |
24 |
Италия |
|
1 |
6 |
2 |
2 |
6 |
6 |
Люксембург |
|
1 |
31 |
5 |
5 |
12 |
12 |
Нидерланды |
|
1 |
21 |
4 |
4 |
12 |
12 |
Австрия |
|
1 |
25 |
5 |
5 |
12 |
12 |
Португалия |
|
1 |
16 |
3 |
3 |
9 |
9 |
Финляндия |
|
1 |
21 |
4 |
4 |
12 |
12 |
Швеция |
|
2 |
87 |
10 |
10 |
24 |
24 |
Великобритания |
|
sS.
гЗ§ ЛІ
Рис. 23.1. Основные органы ЕС
3.2. Совет (министров)
Совет является важнейшим органом управления ЕС. Он является законодательным органом, точнее, он придает законную силу представленным ему от Комиссии правовым актам. Наряду с этим Совет имеет некоторые права инициативы и контроля и в целом является центром политических решений.
Членами Совета являются представители правительств стран-членов, т. е., как правило, министры. Поэтому Совет и называется Советом министров. Министры собираются в Совете «по специальности», иными словами, по аграрным вопросам заседают только министры сельского хозяйства, по финансовым вопросам только министры финансов и т. д.
Совет выпускает различные правовые акты, прежде всего постановления и директивы.
Постановления
Постановления являются «Европейскими Законами» и имеют обязательную силу непосредственно и во всех частях для государств-членов и для частных лиц, первенствуя над национальным законодательством.
Директивы
Директивы определяют цели, но оставляют на усмотрение государств-членов выбор форм и средств их достижения. Таким образом, они определяют законодательные рамки, которые в течение срока, определенного постановлением (как правило, от одного до двух лет), должны превратиться в национальный закон. Директивы также имеют преимущество перед национальным правом.
Совет принимает решения (в зависимости от области задач): большинством, преобладающим большинством голосов или единогласно (87 голосов). В вопросах создания внутреннего рынка Совет единогласные решения необходимы по вопросам о налогах, о свободе перемещения и о правах работников (ст. 100а, 2 ДЕС); во всех других случаях решения принимаются преобладающим большинством голосов (не менее 62 из 87 голосов). Крупные страны, такие как Германия, Франция, Италия и Великобритания, имеют по 10 голосов; Испания — 8; Нидерланды, Бельгия и Португалия — по 5; Австрия и Швеция — по 4; Дания, Финляндия и Ирландия — по 3 и Люксембург — 2 голоса. Это означает, что решение может быть принято, например, вопреки мнению двух крупных стран, а воспрепятствовать решению, требующему преобладающего большинства, могут минимум три страны. Такая возможность принятия решения большинством голосов является существенным прогрессом в процессе достижения целей создания внутреннего рынка.
Если решения Комиссии и Совета не выполняются, на государства-члены может быть оказано (в принципе) только политическое давление. На юридических и частных лиц могут быть наложены штрафы (применяются в соответствии с национальными правами). ЕС не имеет собственного судебного исполнителя.
3.3. Европейский парламент
Европейский парламент (ЕП) имеет относительно ограниченные полномочия, хотя с течением времени его права содействия в процессах принятия решений постоянно расширяются. Участие ЕП в принятии политических решений осуществляется посредство необычайно сложного набора форм:
¦ уведомление ЕП,
¦ учет мнения ЕП,
¦ процесс сотрудничества,
¦ процесс согласования и
¦ процесс соучастия в принятии решений.
В принципе ЕП является органом контроля за интеграционной политикой Совета и Комиссии. Наряду с этим ЕП участвует в процессе законотворчества. В сущности законодательство формируется в трехстороннем процессе, т. е. Комиссия делает предложение, а Совет принимает решение с учетом мнения ЕП. Однако в ряде сфер (внутренний рынок, научные исследования, трансъевропейские сети, образование, культура и здравоохранение) ЕП издает постановления и директивы на равных правах с Советом. При выработке важнейших решений, таких как например о принятии новых членов, Совет высказывает свое мнение только после согласия Парламента. Кроме того, Парламент участвует в назначении Комиссии.
Наконец, основные полномочия ЕП относятся к сфере бюджетных вопросов. По необязательным расходам, которые (с необходимостью) не предусмотрены законодательством Сообщества (прежде всего расходы в рамках региональной и социальной политики, а также политики научных исследований и помощи в развитии, которая составляет в совокупности около 44% общих расходов), парламенту, после сложного процесса обсуждения, принадлежит право окончательного решения.
Европейский парламент состоит из 626 депутатов, которые избираются непосредственным голосованием на пять лет (см. рис.23.1). Депутаты принимают решения независимо от чьих-либо указаний.
3.4. Европейская судебная палата
Задачей Европейской судебной палаты (ЕСП) является обеспечение соблюдения законов при истолковании и применении Договоров ЕС и определенных норм. Обратиться в ЕСП могут все, кто несет ответственность за применение законов ЕС, а значит, органы ЕС, государства-члены, а также юридические и частные лица, которых непосредственно касаются решения Сообщества. Важным является главенствование права ЕС перед национальным правом, даже перед национальной конституцией, и, таким образом, преимущество решений ЕСП перед решениями всех национальных судов.
ЕСП находится в Люксембурге. В ее состав входят 13 судей, которые поддерживаются шестью генеральными прокурорами. Они назначаются правительствами государств-членов на шесть лет. ЕСП по своему положению является самым независимым органом ЕС, который играет важнейшую роль в динамичном развитии Сообщества. С 1989 г. в состав ЕСП входит Суд из 12 судов первой инстанции.
3.5. Европейский совет
Европейский Совет состоит из глав государств и правительств 15 стран-членов и Президента Комиссии, текущее взаимодействие которых поддерживается через министров иностранных дел и одного из членов Комиссии. Совет заседает два раза в год (проводит саммиты). Функции председательства переходят каждые шесть месяцев в другую страну ЕС. Европейский Совет является высшим органом принятия решений ЕС; он придает европейскому делу общие политические импульсы и имеет конкретные задачи в осуществлении внешней политики и политики безопасности, а также при создании Экономического и Валютного союза.
Не следует путать Европейский Совет и Совет Европы. Совет Европы, состоящий из 15 государств-членов ЕС и 14 других европейских государств, имеет своей целью укрепление единства всей Европы. Его заключения носят рекомендательный характер. Страны-члены Совета Европы обязаны гарантировать законность, основные свободы и права человека.
3.6. Прочие органы ЕС
Наряду с центральными органами ЕС в нем функционирует и ряд других.
Европейская расчетная палата контролирует законность и экономичность ведения бюджета ЕС.
Комиссия по экономике и социальным проблемам выполняет консультационные функции при Комиссии и Совете. В ней работают 222 представителя экономических и социальных групп (профсоюзы, союзы работодателей, союзы потребителей и т. д.).
Комиссия регионов состоит также из 222 членов, представляющих местные и региональные органы власти. Комиссия оценивает проекты предлагаемых решений, затрагивающих интересы регионов, а также выступает с собственными предложениями.
Европейский центральный банк (расположенный во Франкфурте-на-Майне) функционирует в рамках Европейского экономического и валютного союза и Европейской системы Центральных банков. Его задачей является управление единой европейской валютой (евро).
Европейский инвестиционный банк предоставляет ссуды и дает поручительства для создания новых рабочих мест, а также для реализации мероприятий, направленных на удовлетворение общих интересов стран-членов.
Кроме того, в ЕС существует множество союзов, органов и комиссий.
В целом Европейский союз является организацией с небольшой демократической легитимностью. Исполнительная власть (Комиссия) и законодательная власть (Совет) действуют без прямой легитимации через выборы или парламенты. Единственный созданный на основе общих прямых выборов орган — Европейский парламент — играет в процессе принятия решений второстепенную роль.
4. Бюджет ЕС
В отличие от других международных организаций ЕС имеет ограниченную финансовую автономию. Он имеет собственные бюджетные доходы и автономно распоряжается своими расходами.
4.1. Доходы
ЕС финансируется собственными доходами. К ним относятся:
¦ Таможенные пошлины. Европейское сообщество является таможенным союзом и взимает единую таможенную пошлину за ввоз товаров из «третьих» стран. Полученные доходы направляются в бюджет Сообщества; в 1994 г., например, они составили 11,4 млрд экю.
¦ Аграрный налог. Эта особая форма таможенной пошлины взимается тогда, когда в Сообщество ввозятся сельскохозяйственные продукты из третьих стран, цена которых ниже цен, действующих в Сообществе. Аграрный налог призван компенсировать разницу между более низкой мировой ценой и высокой внутренней ценой ЕС, обеспечивая единую аграрную политику в отношении «третьих» стран (см. раздел 5.3). К «аграрным доходам» относятся также налоги на сахар и изоглюкозы. В 1994 г. поступления от них составили 10,1 млрд экю, а от аграрного налога — 0,9 млрд экю.
¦ «Доля в НДС». Этот вид доходов является основным источником финансирования Европейского Союза (в 1994 — 36,4 млрд экю или 53% доходов). Подобный вид доходов ограничен тем, что ставка НДС с 1995 г. по 1999 г. должна постепенно снизиться с 1,4 до 1 % налогооблагаемой суммы, т. е. до 1 % величины, примерно равной объему конечного потребления. Одновременно определено, что облагаемая НДС сумма не должна превышать 50% валового национального продукта страны-члена. Данное правило позволяет принимать во внимание различия в экономическом развитии стран, так как более бедные страны имеют более высокую долю потребления валового национального продукта.
¦ Доходы на основе валового национального продукта («доля в ВНП»),
Поскольку указанных выше сборов было недостаточно и они не учитывали различия в уровнях развития стран, в 1988 г. Европейский совет принял решение о дополнительном источнике доходов — «доле в ВНП». Имелась в виду изменяемая вспомогательная величина, которая должна финансировать остаточный дефицит доходов в бюджете ЕС. Облагаемой суммой является ва' ловой национальный продукт государств-членов, а ставка зависит от величины бюджетного дефицита. С помощью «доли в ВНП» обеспечивается соответствие налогообложения экономической производительности.
Таблица 23.1
Доходы бюджета ЕС (в млн экю) |
|
|
1980 г. |
1985 г. |
1990 г. |
1994 г.* |
|
Всего |
16065,7 |
28406,1 |
46469,1 |
68354,6 |
|
Таможенные пошлины |
5905,8 |
8310,1 |
10285,1 |
11359,4 |
|
Аграрные налоги |
1535,4 |
1121,7 |
1056,1 |
921,1 |
|
Налог на сахар и изоглюкозы |
466,9 |
1057,4 |
819,6 |
1118,0 |
|
Доля в НДС |
7258,5 |
15218,9 |
28967,8 |
36392,5 |
|
Доля в ВНП |
|
|
284,5 |
19725,5 |
|
Прочие доходы |
899,1 |
2698,0 |
5056,1 |
-1161,8 |
|
* План.
Источник: Institutderdeutschen Wirtschaft. Internationale Wirtschaftszahlen. 1995. |
Для того чтобы установить порядок расходования имеющихся у ЕС средств в 1988 г. было принято решение о введении «лимита платежных полномочий», который выражается в долях валового национального продукта.
Для 1993-1999 гг. рост лимита, т. е. верхней границы, был определен в диапазоне от 1,2% до 1,27%.
Обзор структуры и динамики доходов ЕС представлен в табл. 23.1.
Табл. 23.1 показывает существенный рост доходов, которые с 1980 по 1994 г. увеличились более чем в 4 раза, а также изменение их структуры в пользу статьи «доля в ВНП», на которую приходится более 20% всех доходов.
К прочим доходам относятся, например, взносы новых государств-членов, вносимые ими на протяжении определенного переходного периода до тех пор, пока они не начнут применять систему налога на добавленную стоимость ЕС, предоплата правительств или налоги на зарплату персонала ЕС.
4.2. Расходы
В расходах ЕС доминируют затраты на сельское хозяйство, в 1994 г. эта статья расходов составила почти 36 млрд, экю, или 52,4% общих расходов. Выделяемые денежные средства используются прежде всего для регулирования рынка (см. раздел 5.3).
Кроме того, существенной областью расходов является структурная политика (20 млрд, экю, или 30% общих расходов).
В сфере научных исследований основная часть средств используется для финансирования общих программ в области исследований и технического развития. К ним относятся информационные, коммуникационные и биологические технологии, фундаментальные исследования и применение новых технологий, информационные системы и телекоммуникации на транспорте, поиск новых источников энергии и исследование дна океана.
Наконец, около 3,3 млрд экю расходуется на помощь развивающимся странам и сотрудничество с третьими странами, а 3,6 млрд экю использует администрация. ФРГ является самым значительным нетто-плателыциком ЕС: ее чистый взнос в бюджет ЕС составил в 1993 г. DM 23,1 млрд, или почти 19%.
Таблица 23.2
Расходы бюджета ЕС (в млн экю) |
|
|
1980 г. |
1985 г. |
1990 г. |
1994 г.* |
|
Всего |
16290,4 |
28098,7 |
43324,8 |
68354,6 |
|
Сельскохозяйственные гаран- |
11283,2 |
19725,9 |
24979,5 |
35787,0 |
тии
Структурная политика и |
2484,1 |
3958,9 |
10368,1 . |
21528,8 |
рыболовство
Образование, социальная |
36,6 |
77,7 |
334,3 |
539,5 |
политика
Энергия, окружающая среда, |
61,7 |
196,9 |
309,3 |
642,7 |
внутренний рынок
Научные исследования |
249,8 |
510,6 |
1429,4 |
2555,4 |
|
Помощь развивающимся |
508,9 |
1084,7 |
1255,1 |
3347,3 |
странам и сотрудничество
Прочие расходы |
846,4 |
1248,0 |
2381,0 |
320,0 |
|
Управленческие расходы |
819,7 |
1296,0 |
2298,1 |
3633,9 |
|
* План.
Источник: Institut der deutschen Wirtschaft. Internationale Wirtschaftszahlen. 1995. |
5. Аграрная политика ЕС
Финансирование единой аграрной политики составляет ровно 2/3 расходов бюджета ЕС и является самой значительной (по объему) сферой экономической политики ЕС. Одновременно аграрная политика ЕС в течение долгих лет находится в центре политических дискуссий и общественного внимания.
5.1. Обоснование государственного регулирования аграрного сектора
Традиционно сельское хозяйство относится к одной из регулируемых сфер во многих странах, что детерминируется структурными диспропорциями сельскохозяйственного производства.
¦ Сельскохозяйственные продукты являются благами низшей категории (низ. • шими благами), т. е. благами с очень низкой эластичностью спроса по доходу (см. гл. 4, раздел 4.3): при увеличении дохода спрос на сельскохозяйственные продукты если и повышается, то очень незначительно.
: ¦ Спрос на сельскохозяйственные продукты мало эластичен по ценам, т. е. измене
ния цен оказывают незначительное воздействие на спрос. И наоборот, изменение предложения приводит к относительно сильным изменениям цен (см. гл. 4 и 6).
: ¦ Следовательно, значительный рост производства привел бы к затяжному и сильному падению цен на сельскохозяйственные продукты («разорительному падению цен»), которое неприемлемо для политики распределения доходов.
Кроме того, многие страны стремятся к самообеспечению основными видами продовольствия («продовольственная автаркия*), а сельское хозяйство является основным источником дохода населения во многих государствах Европы. Поэтому экономисты едины в том, что сельское хозяйство не может функционировать лишь в условиях конкуренции и саморегулирования, а дискуссии разворачиваются вокруг вопроса об адекватных мерах его защиты.
5.2. Цели и обшая структура аграрной политики ЕС
Договор о ЕС предусматривал общий рынок и для сельскохозяйственной продукции. Однако путь к нему был особенно сложным, так как национальных рынков «в рыночном смысле» не существовало, скорее, необходимо было развивать общую (единую) политику регулирования, которая состояла из системы так называемых «аграрных рыночных порядков» (которые, как метко говорят, не имеют ничего общего с рынком и имеют мало общего с порядком). Их основными элементами являются:
¦ защита от конкуренции мирового рынка через аграрные налоги (которые представляют собой в принципе гибкие таможенные пошлины);
¦ гарантированные цены для производителей, которые, как правило, выше равновесных цен (интервенция).
Примерно для 70% всех сельскохозяйственных продуктов действует система гарантированных цен, а значит, они защищены от конкуренции мирового рынка. К ним относятся зерно, сахар, молочные продукты, говядина, свинина и баранина, некоторые виды фруктов и овощей, а также столовое вино. Для некоторых продуктов, таких как домашняя птица, яйцо, цветы и некоторые виды фруктов и овощей, действует защита от дешевого импорта. В совокупности защищено примерно 95% сельскохозяйственной продукции. В деталях правила для отдельных продуктов несколько различаются, но в целом они одинаковы.
5.3. Способ функционирования интервенции и аграрного налога
Цены на сельскохозяйственные продукты формируются так же, как и цены на другие товары, — на основе взаимодействия спроса и предложения. Но когда возникает угроза того, что цены производителей снизятся ниже определенного уровня (по аграрным продуктам, которые включены в единый «рыночный порядок»), вступают в силу меры поддержки цен. К началу экономического года Совет министров сельского хозяйства определяет институциональные цены. Особое значение здесь имеют ориентировочная цена (выгодная производителям) и в общем существенно более низкая интервенционная цена. Для ряда аграрных продуктов (например, зерна) интервенционная цена означает нижний лимит внутреннего уровня цен, так как органы, проводящие интервенцию, должны закупить весь предложенный объем продукции. По другим продуктам (например, свинина) действуют такие гибкие интервенционные механизмы, как субсидии для частных складских помещений, субсидии для переработки и т. п.
Система ценовых субсидий, как правило, ведет к образованию существенных излишков сельскохозяйственного производства, которые скупаются, складируются и далее реализуются или уничтожаются. Данные мероприятия финансируются в рамках бюджета ЕС через Европейский фонд регулирования и гарантий для сельского хозяйства. В 1992 г. затраты на них составили DM 63,1 млрд, т. е. 53,3% общих расходов ЕС. В частности, расходы на интервенции по маслу и продуктам, содержащим большое количество белка (DM 13,6 млрд), по мясу, яйцу и домашней птице (DM 13,1 млрд), по зерну и рису (DM 11,2 млрд) и по молоку и молочным продуктам (DM 8 млрд; все данные приводятся по: Statistisches Jahrbuch fur das Ausland. 1994. S. 135).
Наряду с внутренним регулированием защита европейского сельского хозяйства от дешевого импорта осуществляется и с помощью внешних «барьеров». В соответствии с «рыночным порядком» средства внешней защиты включают в себя налоги на ввоз или таможенные пошлины либо их комбинации. С помощью изменяемых налогов на ввоз импортная цена поднимается на пороговую величину, которая примерно соответствует ориентировочной цене. Таким образом на внутреннем рынке импортные блага не могут предлагаться по ценам ниже ориентировочных, а значит, аграрное производство ЕС оказывается эффективно защищенным от конкуренции мирового рынка.
Помимо налогов на ввоз в качестве барьеров импорта ЕС практикует их «зеркальное отражение» — экспортное возмещение, представляющее собой дотацию на экспорт, компенсирующую разницу между высокими ценами ЕС и более низкими ценами мирового рынка. Иными словами, при поставке продукции в регионы вне ЕС экспортер получает цену мирового рынка плюс экспортное возмещение.
Данная система является весьма невыгодной для аграрных производителей вне ЕС, которые не входят в Общую преференциальную систему или не участвуют в Ломейских соглашениях (см. гл. 30). С одной стороны, она отказывает им в возможных при свободной торговле рынках сбыта Сообщества, с другой — через дотации на экспорт осуществляется давление на цены мирового рынка, а значит, снижаются как возможные цены, так и возможный объем сбыта. На заседаниях ГАТТ/ВТО по либерализации мировой торговли аграрная проблематика всегда занимает центральное место.
5.4. Оценка
Описанная система ценовой поддержки очень дорога. Бюджет ЕС настолько обременен грузом аграрных проблем, что средств для решения других необходимых задач, например в сфере структурной и региональной политики, практически не остается. Кроме того, по некоторым причинам система ценовой поддержки является неэффективной, а если иметь в виду цели политики распределения, — неприемлемой.
¦ Большая часть бюджетных средств направляется на ценовую поддержку, на скупку продукции, администрирование и складирование, на экспортные возмещения, субсидирование неэффективных способов использования товаров (например, скармливание телятам сухого молока, производство которого является дорогим) или для уничтожения (выпущенной продукции). Таким образом, «снаряды» летят мимо основной цели — повышения доходов производителей. По разным оценкам, крестьяне получают не более 20% выделяемых на осуществление аграрной политики ЕС средств.
¦ Система ценовой поддержки приводит в основном к увеличению земельной ренты — дохода такого фактора производства, как земля; таким образом, (возросшая) рента достается владельцам земель. Итак, система поддерживает доходы собственников земель, а подавляющее большинство крестьян являются арендаторами. Значит, выгоды получают крупные землевладельцы, а не производители сельскохозяйственной продукции.
¦ Система ценовой поддержки приводит к установлению цен, существенно превышающих цены мирового рынка (до 400%). Таким образом, бремя ценовой поддержки ложится не только на налогоплательщиков, но и на потребителей.
¦ Наконец, избыток производства означает существенную нагрузку на окружающую среду.
¦ И вообще всякое вмешательство в ценовый механизм искажает оптимальное размещение производственных факторов. Но количественная оценка подобных эффектов почти невозможна.
5.5. Стремление к реформам
С экономической точки зрения наиболее приемлемыми при условии освобождения цен являеются нейтральные для производства трансферты (прямые дотации доходов), которые крестьяне получали бы независимо от объема производства (например, в соответствии с площадью обрабатываемых земель или с численностью работников хозяйства). Данная практика привела бы к восстановлению конкуренции и сделала бы ненужными огромные интервенции. С другой стороны, крестьяне превратились бы в «получателей социальной помощи», а потеря ими статуса «кормильцев» делает принятие данного политического решения невероятным. Аграрные реформы ЕС предполагают осуществление следующих мероприятий:
¦ ограничение гарантий закупок через определение производственных квот (например, «молочной квоты»);
¦ снижение интервенционных цен;
¦ увеличение объема компенсации потерь доходов крестьян, осуществляемой через прямое дотирование доходов;
¦ дотации на сокращение производственных мощностей: приостановление обработки земельных площадей сельскохозяйственных предприятий (прекращение обработки земельных площадей), стимулирование окончания трудовой деятельности в сельском хозяйстве (досрочный выход на пенсию), сокращение поголовья скота (премии за убой скота);
¦ усиленное внедрение экологически безвредных производственных методов (например,экстенсивного земледелия).
Наконец, делается попытка ограничения роста расходов на «аграрные рыночные порядки» посредством введения правил, в соответствии с которыми ежегодный темп их роста не должен превышать 74% ежегодного темпа роста валового национального продукта стран-членов ЕС («аграрная директива»),
В общем, как «аграрные рыночные порядки», так и фактические адаптационные изменения создают существенные проблемы в области контроля. Необходимо напомнить о мошенничестве в сфере экспортных субсидий или махинациях с премиями за убой скота (для доказательства убоя коровы в недавнем прошлом было необходимо предъявить одно ее ухо, с тех пор в некоторых странах Сообщества встречается поразительно много одноухих коров).
6. Региональная структурная политика ЕС
Основными проблемами экономической интеграции являются, с одной стороны, неравномерное распределение выигрышей в благосостоянии между ее регионами-членами и, с другой стороны, их неравномерные изменения. Поэтому региональная структурная политика всегда будет занимать в интеграционном процессе центральное место. Политика ЕС направлена на уменьшение региональных различий в обладании финансовыми средствами. Средства для развития регионов в основном предоставляются из трех «старых» «структурных фондов».
¦ Европейский фонд регионального развития, в задачу которого входит содействие осуществлению промышленных инвестиций, созданию рабочих мест, инвестиций в инфраструктуру, мер по освоению потенциала развития регионов;
¦ Европейский социальный фонд, финансирующий системы профессионального образования, обеспечивающий средства для существования малоимущих слоев населения и создающий рабочие места;
¦ Европейский фонд регулирования и гарантий для сельского хозяйства — перестройка хозяйства аграрных регионов, прекращение обработки земельных площадей, защита окружающей среды.
С 1993 г. к ним добавились:
¦ финансовые инструменты регулирования условий рыболовства (образование особой структуры в секторе рыболовства — «фонда рыболовства») и
¦ «фонд сцепления», задача которого состоит в подготовке к вступлению в Экономический и Валютный союз Греции, Ирландии, Испании и Португалии.
Данные фонды являются основными инструментами политики «сцепления» и конвергенции Сообщества, осуществляемой согласно ст. 130а-е ДЕС. Совокупный объем финансовых средств, выделенных для реализации этой политики в 1994-1999 гг., составляет 141 млрд, экю плюс дополнительно 15,5 млрд, экю для «фонда сцепления» в период с 1993 по 1999 г. Табл. 23.3 показывает запланированное временное распределение расходов.
Выделяемые средства направляются на достижение семи целей развития, из которых первые три имеют региональную направленность.
Таблица 23.3
Обьем финансовых средств, выделенных для осуществления структурной политики
ЕС* (в млрд, экю) |
|
|
1994 г |
19951 |
. 1996і |
. 1997 г |
1998 г |
1999 г. |
Всего |
|
Структурные фонды и фонд рыболовства: |
21,1 |
21,5 |
22,7 |
24,0 |
25,7 |
27,4 |
141,5 |
|
В том числе средства, расходуемые на достижение цели № 1 |
13,2 |
14,3 |
15,3 |
16,4 |
17,8 |
19,3 |
96,3 |
|
«Фонд сцепления» |
1,8 |
2,0 |
2,3 |
2,5 |
2,6 |
2,6 |
13,7 |
|
* Полномочия для обязывания.
Источник'. Amtsblatt der EG, Nr. L 193 vom 31.7.1993: EG-Informationen. Nr. 1 /1993. |
¦ Цель № 1: экономическая адаптация отсталых регионов, ВВП которых составляет меньше 75% среднего ВВП Сообщества.
¦ Цель № 2: экономическая поддержка промышленных регионов с сокращающимся объемом производства (в них снижается число работающих в промышленности, кроме того, уровень безработицы и доля занятых в промышленности превышают соответствующие средние цифры по Сообществу).
¦ Цель № 5Ь: экономическая диверсификация «структурно слабых» сельскохозяйственных регионов. К таким регионам относятся регионы с низким уровнем экономического и социального развития, для которых характерны хотя бы два из следующих показателей: большая доля лиц, занятых в сельском хозяйстве, низкий уровень доходов в сельском хозяйстве, низкая плотность населения или сильные тенденции к переселению из региона.
Остальные цели были сформулированы для Союза в целом.
¦ В рамках достижения цели № 3 должна вестись борьба против длительной безработицы и облегчено «включение» в трудовую жизнь молодого поколения, а также лиц, которым угрожает вытеснение с рынка труда.
¦ Цель № 4 — адаптация работников к процессам промышленных преобразований, а также к изменению производственных систем через меры по борьбе с безработицей.
¦ Цель № 5а — обеспечение в рамках единой аграрной политики перестройки аграрных структур и структур рыболовства.
Названные цели планируется достичь и в новых странах-членах Европейского Союза. Кроме того, для регионов с низкой плотностью населения, т. е. для северных стран, вступающих в ЕС, была сформулирована еще одна цель (цель № 6).
Перечень осуществляемых мероприятий включает вложения в инфраструктуру всех видов (например, в постройку дорог и портов), субсидии для инвестиций предприятий, на образование, повышение квалификации, поддержку туризма через постройку гостиниц, рекламные кампании, а также освоение сельскохозяйственных ресурсов на основе содействия в сбыте и предоставления помощи для изменения программы посевов или для снижения степени эрозии почвы. Степень участия (доля инвестиции) ЕС в подобных мероприятиях, как правило, составляет 25-75%. Остальное финансирование осуществляется правительствами соответствующих стран (принцип «аддитивности»),
В Германии, например, все новые федеральные земли принадлежат регионам, развиваемым в рамках цели № 1; здесь в период 1994-1999 гг. предусматривается финансовая помощь в объеме 13,64 млрд. экю. Наряду с этим в Германии получают помощь в первую очередь для достижения целей № 5а и 5b (Eu-Nachrichten. Dokumentation Nr.2. 1994).
Точная оценка влияния структурной политики на уменьшение степени неравномерности распределения доходов в Сообществе вряд ли возможна. Во всяком случае неравенство доходов в ЕС существенно: в самом богатом регионе Сообщества (Гронинген/ Нидерланды) доходы на душу населения в 4,6 раза выше, чем в самом бедном (Фореио Айгайо/Греция). Сравнительный анализ доходов на душу населения показывает, что Ирландия и Испания смогли улучшить свои «позиции» в этой области, тогда как Греции и Португалии этого сделать не удалось (см. iw-trends, Heft 4/1992).
Список основных понятий
¦ Комиссия регионов
¦ Европейский Центральный банк
¦ Европейский валютный институт
¦ Европейский инвестиционный банк
¦ Бюджет ЕС
¦ Таможенные пошлины
¦ Аграрный налог
¦ «Доля в НДС»
¦ «Доля в ВНП»
¦ Общая (единая) политика регулирования
4 Аграрные рыночные порядки 4 Ориентировочная цена 4 Интервенционная цена 4 Налоги на ввоз 4 Экспортное возмещение 4 «Аграрная директива»
4 Политика «сцепления» и конвергенции
¦ Единый Европейский Акт
¦ Преференциальная зона
¦ Зона свободной торговли
¦ Таможенный союз
¦ Общий рынок
¦ Внутренний рынок
¦ Экономический союз
¦ Валютный союз
¦ Эффект «открытости»
¦ Эффект «закрытости»
¦ Комиссия Европейского Союза
¦ Совет Министров
¦ Постановления
¦ Директивы
¦ Европейский парламент
¦ Европейская судебная палата
¦ Европейский Совет
¦ Европейская расчетная палата
¦ Комиссия экономики и социальных проблем
^ Вопросы и задания для повторениям
1) Объясните следующие термины:
¦ таможенный союз;
¦ валютный союз;
¦ экономический союз;
¦ общий рынок;
¦ налог на импорт сельскохозяйственных продуктов;
¦ ориентировочная цена;
¦ интервенционная цена.
2) Объясните, чем отличаются друг от друга эффекты открытости и закрытости, и приведите примеры.
3) В чем состоят проблемы (регионально ограниченной) интеграции?
4) Почему органы управления ЕС недостаточно демократически легитимированы?
5) Почему такой вид доходов, как «доля в НДС», был дополнен доходами на основе валового национального продукта?
6) Почему почти во всех странах мира аграрный сектор регулируется государством?
7) Что означают налоги на импорт сельскохозяйственных продуктов и экспортные субсидии для стран, не входящих в ЕС?
8) Что является функцией и результатом системы интервенционных цен ЕС?
9) Как должна была бы выглядеть коренная реформа аграрной политики ЕС?
10) Почему региональная структурная политика ЕС является особенно важной и
какие существенные элементы она включает?

Литература*
¦ Теоретические основы процессов интеграции мировой экономики излагаются в главе 17 следующей книги:
Семенов К. А. Международные экономические отношения : Курс лекций. М., 1998.
¦ Теория и практика международных интеграционных процессов освещены в следующей книге (упомянутой в главе 20):
Спиридонов И. А. Мировая экономика : Учебное пособие. М., 1997.
¦ Материал по аграрной политике в рамках ЕС можно найти в следующей книге:
Трейси М. Сельское хозяйство и продовольствие в экономике развитых стран. Введение в теорию, практику и политику. СПб., 1995.
¦ О развитии процесса европейской интеграции и интеграции СНГ см.:
Евстигнеев В. Р. Валютно-финансовая интеграция в ЕС и СНГ: Сравнительный анализ. М., 1997.
<*$?•¦# \ > •¦ - ' <
ВНУТРЕННИЙ РЫНОК И СОПУТСТВУЮЩИЕ ОБЛАСТИ ПОЛИТИКИ

рІШІІаІІІІШІІІВІІіІІІІІІІІІІІШІ
Основные аспекты главы
В чем состоят основные принципы интеграционной политики?
¦ Что является содержанием и результатом функциональной интеграции?
¦ Что является содержанием и результатом институциональной интеграции?
¦ Что является целесообразными уровнями интеграционной политики?
¦ Какая интеграционная политика положена в основу Договора о ЕС?
Какие основные элементы включает программа внутреннего рынка «Европа-1992»?
¦ Что является новой целью интеграции?
¦ Каков порядок нового метода голосования?
¦ Почему существует контроль на границах и как он будет отменен?
¦ Что такое «новый подход» к гармонизации новых технических норм?
¦ Какие факторы препятствуют свободе передвижения и как в принципе достигается эта свобода?
¦ Какие проблемы порождает гармонизация налогов?
Что является основными элементами сопутствующих областей политики?
¦ Какие элементы и проблемы социальной политики ЕС относятся к основным?
¦ Каковы основные элементы и основные проблемы политики охраны окружающей среды ЕС?
¦ Каковы основные элементы и основные проблемы промышленной политики ЕС?
¦ В чем состоят основные элементы политики конкуренции ЕС?
Анализ?
«Внутренний рынок», экономическое ядро ЕС, формально образован 1 января 1993 г. Однако программу внутреннего рынка необходимо воспринимать как постоянный процесс обеспечения свободной торговли, который нам и предстоит подробно рассмотреть. Помимо собственно программы внутреннего рынка в Договоре о ЕС определен ряд важных политических сфер, которые мы проанализируем в связи с их экономическим значением.
1. Теория интеграционной политики
1.1. Методы интеграции
Интеграционный процесс предполагает устранение торговых барьеров и гармонизацию основных сфер экономической политики. Для достижения этой цели используются методы функциональной и/или институциональной интеграции.
Функциональной интеграцией называется гармонизация через конкуренцию. Конкуренция производств, норм и правил, отдельных регионов и экономических порядков позволяет достичь гармонизации через рынок, Поэтому говорят об ех posf-гармонизации. Очень пластично описывается эта всеохватывающая конкуренция Гербертом Гиршем:
«Международная конкуренция является также конкуренцией мест расположения производства и рабочих мест в данном регионе. Города конкурируют с городами, деревни — с деревнями, налоговые системы — с налоговыми системами, То же самое относится к системам социального обеспечения с их услугами, с одной стороны, и с их обязательными взносами — с другой, Местность, где в сравнении с требуемыми властями налогами и сборами предлагается больший объем общественных товаров и услуг, будет более привлекательной для международно мобильных ресурсов, для человеческого капитала и реальных инвестиций. Самое важное — соотношение выгод и издержек, Конкуренция местоположений будет воздействовать на общественную сферу прежде
¦ всего как движущая сила для создания новых предприятий» (Frankfurter Allgemeine Zeitung. 1988. Okt. 08).
Итак, экономическая политика сама по себе формируется на почве конкуренции, поскольку от последней зависит, будет ли принята, например, конкретная налоговая политика, политика стабилизации, заработной платы или охраны окружающей среды.
Институциональной интеграцией называется гармонизация, осуществляемая на основе совместно проводимой политики. Здесь прежде всего гармонизируются нормы, правила, политика и институты, и только потом, под воздействием конкуренции, вносятся необходимые коррективы, что позволяет говорить об ех anfe-гармонизации. В последние годы интеграционная политика ЕС представляет собой комбинацию обоих методов интеграции: создание таможенного союза явилось функциональной интеграцией (посредством конкуренции), концепция же, например, единого аграрного рынка была формой институциональной интеграции (посредством единой политики).
В соответствии с господствующим в экономической науке либеральным подходом конкуренция рассматривается как наиболее адекватный для нахождения оптимального уровня гармонизации метод. Никакое государственное ведомство не может знать заранее, что является оптимумом гармонизации как не определенного во времени динамического процесса интеграции. Но данная точка зрения верна только в принципе.
Конкуренция является «оптимальным методом открытия» (см. гл. 8), но в некоторых важных сферах имеет место так называемое фиаско рынка (несостоятельность рынка). Имеются в виду сфера производства общественных благ, внешние эффекты, защита интересов работников и потребителей (несовершенная информация), а также защита самой конкуренции (при постоянно убывающих удельных издержках или при действиях, ограничивающих конкуренцию, см. гл. 2). Возникает вопрос о целесообразности дополнения или замены рынка государственным вмешательством. Ответ на него зависит от конкретных обстоятельств.
1.2. Уровни интеграции
Если принято решение о целесообразности государственного регулирования, возникает вопрос об иерархическом уровне его осуществления: уровне Сообщества в целом, национальном уровне (уровне стран-членов), уровне регионов или местных муниципалитетов. Как правило, ответ на него определяется принципом «субсидиарности», в соответствии с которым, в том случае, когда поставленную задачу могут одинаково хорошо выполнить два административных уровня, ее решение поручается низшему из них. При этом необходимо (в зависимости от конкретных обстоятельств) проверить, не слишком ли велик объем влияния, выходящий за рамки компетенции данного уровня. В случае положительного ответа следует передать регулирование на более высокий уровень. Что касается интеграции ЕС, то здесь необходимо проверить объем эффектов, «пересекающих границы».
1.3. Примеры использования
Типичный пример внешних (побочных) эффектов — нанесение ущерба окружающей среде. Рынок, как правило, оказывается не в состоянии адекватно наказать его виновника. Если такой ущерб существен, как, например, в случаях загрязнения воздуха и земли атомными электростанциями, автомобилями и промышленными производствами, необходимо принять решение о государственных правилах защиты (например, в виде технических норм чистоты воздуха). Кроме того, в тех случаях, когда достаточно велик объем «пересекающих границы» загрязняющих выбросов, необходимо принятие правил защиты на уровне Сообщества (см. раздел 3.3. и гл. 29).
Правила по технике безопасности работников направлены на защиту сотрудников организаций от опасностей, которые они сами не могут предвидеть (несовершенная информация) или от которых они в силу своего положения не могут защититься. Так, например, ЕС принял определяющую основные требования по безопасности автотранспорта «директиву для автомобилей». Ее распространение на Сообщество в целом представляется разумным, поскольку автомобили как объект международной торговли пересекают множество границ. Аналогично — игрушки, которые могут причинить вред здоровью детей. Соответственно была принята и директива по поводу игрушек (см. раздел 2.3).
Однако необходимо указать на то, что гармонизация в ЕС далеко не всегда осуществлялась в соответствии с этими основными принципами. В недалеком прошлом «объем гармонизации» определялся, как нам представляется, случайно и в зависимости от конкретных ситуаций, что привело к ее необоснованному распространению и чрезмерной детализации.
1.4. Интеграционная политика в Договоре о ЕС
Договор о ЕС обеспечивает прежде всего (в ст. 30 о праве на свободное передвижение товаров) функциональную гармонизацию (с помощью конкуренции). Но свобода конкуренции имеет определенные границы. В ст. 36 говорится, что правила о свободном передвижении товаров «не противоречат запретам или ограничениям ввоза, вывоза и перевоза товаров, которые оправданны по причинам защиты общественной морали, порядка и безопасности, здоровья и жизни людей, животных и растений, национальной культуры (ценностей искусства, истории и археологии) или производственной и торговой собственности. Но эти запреты и ограничения не должны служить ни как средства произвольной дискриминации, ни как скрытое ограничение торговли между странами-членами». Требующие интерпретации обстоятельства были уточнены Европейским Судом, например в его решении «Cassis de Dijon» (от 20 февраля 1979) и в решении о немецком «правилечистоты» пива (от 12 марта 1987). В соответствии с ними ограничения импорта благ, которые производятся и реализуются в соответствии с национальными законодательствами стран-участниц, возможны только по причинам «неотложной необходимости». Поскольку в случае с немецким пивом такая неотложная необходимость (к примеру, защита здоровья потребителя) отсутствовала, ограничение импорта бельгийского пива, которое производилось по бельгийским законам, но не отвечало немецкому «правилу чистоты», было признано неправомерным. Запрещаются также скрытые ограничения торговли, например на основе соответствующего правила маркировки импортного пива, которое предусматривает для импортного пива наклейку «простое пиво» или «пиво в розлив».
Таким образом, мы имеем все основания рассматривать функциональную интеграцию как основной вид интеграции. Существенно важно соблюсти условие взаимного признания национальных правил во внешней торговле, а уж вопрос об их жизнеспособности будет решен рыночной конкуренцией. Применительно к налогообложению пересекающей границы торговли принцип признания национальных правил называется также принципом страны происхождения (см. раздел 2.9):
что правильно в стране происхождения, остается правильным и при пересечении границы в страну назначения.
Отсюда следует необходимость тщательной проверки, не представляют ли собой импортные ограничения скрытых барьерах на пути свободного перемещения товаров и услуг, как например в случае лимитирования импорта иностранного пива в Германию. В принципе Сообщество исходит из того, что пиво, которое можно потреблять в Бельгии, не вредно для здоровья и во всех остальных странах Сообщества (в разумных пределах).
Значит, в дополнение к названным до сих пор причинам, при наличии названных в ст. 36 причин исключений существует необходимость и в институциональной (осуществляемой с помощью единой политики) интеграции.
2. Программа внутреннего рынка «Европа-1992»
2.1. Цеди, процессы согласования и Белая книга
Ст. 7а Договора о ЕС гласит: «Сообщество принимает необходимые меры для того, чтобы до 31 декабря 1992 г. [...] поэтапно создать внутренний рынок. Внутренний рынок охватывает пространство без внутренних границ, в котором в соответствии с установками этого договора гарантируется свободное движение товаров, услуг и капитала и свободное перемещение лиц».
Таким образом, согласно новому юридическому определению составными частями внутреннего рынка являются:
¦ свобода движения товаров;
¦ свобода перемещения лиц;
¦ свобода движения услуг;
¦ свобода движения капитала.
В то время как ранние решения об интеграции в большинстве случаев оставались только на бумаге (так, например, Экономический и валютный союз по решению Совета от 22 марта 1971 г. в принципе должен был быть сформирован в 1980 г.), теперь, вместе с установлением срока, в пояснении к ст. 7а выражается «твердая политическая воля» к созданию внутреннего рынка.
Важным фактором прогресса в сфере внутреннего рынка, без сомнения, является также новый метод голосования. В настоящее время для принятия предложений по проблемам внутреннего рынка (ч.І ст.ЮОа) достаточно преобладающего большинства голосов (54 из общего числа 76), кроме решений о налогах, свободе перемещения и о правах работников (ч.2 ст.ЮОа; см. гл. 23, раздел 3).
Весьма полезным оказалось определение перечня мер по гармонизации, который был представлен в так называемой «Белой книге». Белая книга (Weifibuch) Комиссии Европейского совета, озаглавленная «Создание внутреннего рынка», была опубликована в июне 1985 г., перед голосованием о ЕЕА. В ней были представлены программы необходимых для создания внутреннего рынка мероприятий.
В совокупности речь идет о необходимости законодательного принятия 282 правовых актов, которые в соответствии с классификацией Белой книги структурируются следующим образом:
¦ устранение материальных барьеров (контроля на границах), .
¦ устранение технических барьеров,
¦ устранение налоговых барьеров.
Детальное структурирование позволяет выделить следующие сферы:
¦ устранение контроля на границах;
¦ техническая гармонизация и нормирование;
¦ либерализация общественных заказов;
¦ свобода передвижения наемных работников и работающих не по найму (в том числе лиц свободных профессий);
¦ свобода движения услуг;
¦ свобода движения капитала;
¦ создание подходящих рамочных условий для индустриального сотрудничества;
¦ устранение налоговых барьеров.
2.2. Устранение контроля на границах
Один из важнейших элементов внутреннего рынка — устранение контроля на границах («Европа без границ»). Для того, чтобы понять, зачем устранять контроль на границах, рассмотрим причины его существования.
К ним относятся:
¦ разные предписания о защите животного и растительного мира и отличия в методах контроля за их исполнением;
¦ различное бремя налога на добавленную стоимость и специальных налогов на потребление (см. раздел 2.9);
¦ расхождения в политике, относительно беженцев, выдачи виз, борьбы с преступностью и терроризмом (например, различия в контроле за приобретением и ношением оружия), а также в области торговли наркотиками;
¦ необходимость контроля двусторонних импортных квот отдельных стран-членов ЕС, затрагивающих интересы третьих стран (ст. 115 Договора о ЕС);
¦ необходимость контроля за промышленным грузооборотом (разрешения на перевозки, соблюдение правил безопасности, например наличие «регистратора грузовых перевозок» и контроль за техническими данными);
¦ необходимость контроля транспорта, перевозящего радиоактивные и другие отходы;
¦ необходимость контроля статистического учета товарооборота.
Отмена пограничного контроля внутри ЕС предполагает устранение побуждающих к его установлению причин, а в случае невозможности этого перемещение необходимого контроля внутрь страны. Именно так и действовал ЕС. Были поэтапно отменены двусторонние импортные квоты, предпринимается попытка уменьшения различий в налоговом бремени (см. раздел 2.9 данной главы).
В области контроля за частными лицами уточняется возможность отмены контроля на границах между членами ЕС за счет его усиления непосредственно в стра-нах-участницах. В сфере контроля предписаний о защите животного и растительного мира планируется перемещение контроля в страну происхождения.
Были выделены затрудняющие устранение пограничного контроля особенно сложные проблемы защиты животного и растительного мира и контроля за частными лицами. Но договоренность об его отмене была достигнута вне правовых рамок ЕС в Шенгенских соглашениях (Шенген-1 — 1985 г.; Шенген-2 — 1990 г.). К этому, первоначально подписанному Францией, Бельгией, Люксембургом и Германией, соглашению уже присоединились Австрия, Испания, Италия, Португалия и Греция (с разными сроками вступления). Между тем на практике контроль за товарами и услугами на границах в общем уже отменен.
2.3. Техническая гармонизация и нормирование
В каждой входящей в состав ЕС стране существует множество норм; в Германии, например, имеется примерно 20 тыс. промышленных стандартов (DIN) и множество предписаний профессиональных союзов по технике безопасности труда, действуют законы о производстве и сбыте продовольствия и т. д. Изобилие различных норм препятствует внешней торговле: либо прямым образом, так как страна ограничивает импорт не соответствующей национальным нормам продукции, либо косвенно (несовместимость оборудования и интерфейсов). Гармонизация в данной области и унификация норм могли бы привести к расширению объемов торговли, усилению конкуренции и экономии от масштаба.
Гармонизация охватывает:
¦ нормы, т. е. единые определения величин, терминов, форм и т. д., устанавливаемые преимущественно частными институтами нормирования;
¦ технические предписания, т. е. закрепленные в законах требования, направленные на охрану окружающей среды, здоровья потребителей и работников (например, их безопасность);
¦ «разрешительные процессы», т. е. процессы, регулирующие разрешение выпуска продуктов, использование производственных технологий и методов контроля.
Но далеко не все определения, требования законов и разрешительные процессы гармонизируются. В большинстве сфер действует принцип страны происхождения. Так, например, для пива, сливок для кофе, макаронных изделий и колбасы в соответствии с решением Европейской судебной палаты открыты все границы ЕС, вне зависимости от их соответствия отдельным национальным предписаниям. Планы по гармонизации реализуются только там, где наиболее целесообразен единый уровень защиты для всех граждан ЕС и/или возможны ограничения торговли по ст. 36.
В связи с так называемым «новым подходом» с 1984 г. набирает силу новая концепция гармонизации, а именно:
¦ установление только основных общих норм и, как правило, только в таких важных сферах, как здравоохранение, безопасность и окружающая среда;
¦ урегулирование технических деталей через европейские институты нормирования.
Европейские институты нормирования — CEN (Comite Еигорёеп de Normalisation) и CENELEC (Comite Еигорёеп de Normalisation Electrotechnique) — организации частного (гражданского) права с местонахождением в Брюсселе. Именно они, по заданиям Комиссии ЕС в соответствии с установленными основными требованиями определяют характеристики производимых продуктов. Продукты, произведенные в соответствии с нормами (признаваемые также странами ЕАСТ)? беспрепятственно реализуются во всем ЕС, хотя и не носят обязательного характера. Но если предприятие-изготовитель использует какие-то другие нормативы, он должен доказать, что его продукт соответствует директивам ЕС.
Примером гармонизации в соответствии с «новым подходом» служат инструкция по автомобилям 89/392, принятая 14 июня 1989 г. (акт№ L 183 от 14 июня 1989 г.), и инструкция по игрушкам 88/378, принятая 3 мая 1988 г. (акт № L 187 от 16 июля 1988 г.), устанавливающие лишь самые общие требования к их безопасности.
2.4. Либерализация общественных заказов
Общественные заказы охватывают поставки товаров, заказы на услуги и строительство, осуществляемые коммунальными, региональными и национальными органами власти, а также общественными предприятиями-монополистами. Объем этих заказов составляет примерно от 12 до 15% валового внутреннего продукта ЕС. Организациям из других стран-членов ЕС «достается» лишь малая их часть. Для устранения несовершенства информации о спросе и обеспечения равных шансов поставщикам на внутреннем рынке ЕС стремится к либерализации системы «придворных поставщиков». Уже приняты все соответствующие директивы о процессе размещения общественных заказов на поставку товаров, оказание услуг и строительство, предписывающие в тех случаях, когда объем заказа на поставку превышает 0,4 млн экю, а объем заказа на строительство — 5 млн экю, проведение открытых конкурсов на всей территории ЕС.
Ожидается, что либерализация поставок позволит добиться существенной экономии издержек, конкуренция приведет к значительному снижению цен, а вдолгосроч-ном плане опять появится возможность воспользоваться экономией от масштаба. Но необходимое условие реализации гипотетических преимуществ — действенный контроль.
2.5. Право свободного передвижения и повсеместного проживания
Одной из целей ЕС является формальная и материальная гарантия свободы передвижения и проживания всем гражданам (наемным работникам, лицам, работающим не по найму, населению трудоспособного возраста, не занятому в экономике, пенсионерам и студентам). Препятствиями к мобильности являются прежде всего различия в национальных удостоверениях о профессиональной квалификации и в оказываемых социальных услугах. Так, для того, чтобы получить работу в Португалии, немецкий трубочист должен преодолеть немало препятствий, а немецкий студент не имеет права на получение стипендии во Франции. Соответственно усилия по либерализации в ЕС были сконцентрированы, с одной стороны, на унификации удостоверений о профессиональной квалификации, а с другой стороны, — на нивелировании различий в предоставляемых социальных услугах.
После утомительной, длившейся 18 лет процедуры архитекторы, акушерки, парикмахеры и фармацевты получили права на беспрепятственные занятия бизнесом. Настоящим прорывом стало Общее положение о признании дипломов вузов, удостоверяющих минимум 3-летнее профессиональное образование (директива 89/48 от 21 декабря 1988 г. по акту № L 19 от 24 января 1989 г., вступившему в силу 3 января 1991 г.). Сразу после этого Комиссия представила Второе общее положение о признании удостоверений о профессиональной квалификации, которое предусматривало широкое взаимное признание всех подобных документов, что позволило устранить существенное материальное препятствие к свободе передвижения и проживания.
Европейская судебная палата предъявляет следующие требования к социальной сфере:
¦ изменение места жительства не должно приводить к потере возможности получения услуг от органов социального страхования;
¦ трудовой и страховой стаж признаются независимо от того, где они были приобретены;
¦ запрещение дискриминации по признаку гражданства в национальном законодательстве.
С одной стороны, Комиссия стремится принимать соответствующие предписанию о свободе перемещения меры регулирования и проживания, с другой стороны, — воспрепятствовать «социальному туризму». Таким образом, окончательное урегулирование общего вида на жительство всех граждан пока не достигнуто, но в принципе для всех групп лиц (включая население, не занятое в экономике, пенсионеров и студентов) требуется только доказательство наличия достаточных средств к существованию и соответствующей страховки на случай болезни (директива 90/364 ЕВС; официальная брошюра L 180/26 от 13 июля 1990 г.).
2.6. Устранение технических препятствий в сфере услуг
Здесь мы имеем в виду унификацию в таких областях, как банковское и страховое дело, сделки с ценными бумагами, транспорт и телекоммуникации. Стандартизация в данных сферах сопряжена со значительными трудностями, так как доступ к рынку и соответствующие условия производства во всех странах определены имеющими значительные различия национальными законодательствами. Проиллюстрируем наш тезис на примере банковского дела и страхования.
Банки и страховые компании продают блага, которые оказывают значительное воздействие на благосостояние тех, кто их покупает. С другой стороны, доступ потребителей к информации об их качестве ограничен, что определяет необходимость его регулирования. Банки управляют помещенными у них вкладами и начисляют проценты по ним (по сберегательным, срочным вкладам, ценным бумагам и т. д.), а потребители должны иметь гарантии надежности своих инвестиций. Страховые компании продают защиту от рисков, и соответственно их клиенты желали бы, чтобы «поставщики» ни в коем случае не оказались бы банкротами. В каждой стране ЕС существуют различные правила проведения и контроля за такими сделками (предписания по минимальному размеру собственного капитала, принципы предоставления кредитов, обязанности предоставления информации органам надзора или ограничения доступа к рынку). Проблемой является то, что каждая страна, естественно, считает целесообразными именно свои предписания и не доверяет принятым в других странах методам регулирования.
Одновременно процессы либерализации и унификации, цели которых состояли в обеспечении свободного движения услуг и свободы открытия банками филиалов, протекали и в банковской сфере. Основными принципами гармонизации банковского законодательства являются.
¦ Одноразовое разрешение открытия дела, согласно которому полученное один раз в одной стране право на занятия банковским распространяется на всю территорию ЕС.
¦ Отечественный контроль, согласно которому страна, в которой находится материнская компания, принимает на себя контроль за всей деятельностью банка на всей территории ЕС. Но денежная политика (например, установление дисконтных ставок) пока остается прерогативой национальных органов.
¦ Минимальная унификация. Принятие вышеуказанных принципов всеми странами предполагает унификацию национального банковского регулирования в области предоставления кредитов и обязательств по предоставлению информации.
Такая минимальная унификация уже в значительной мере достигнута. Выпущены важные директивы, в частности о собственном капитале, в соответствии с которой банки должны покрывать собственным капиталом 8% рисковых активов (кредитов). В ФРГ (правда, при другом определении собственного капитала) действовала квота в объеме 5,6%. С 1 января 1993 г. банки стран-членов предлагают услуги на всей территории ЕС, вне зависимости от национальных правил.
Планы по обеспечению свободного движения услуг в области страхового дела реализуются не столь быстро. Страховой бизнес считается (особенно после решения Европейской судебной палаты от 4 декабря 1986 г. относительно защиты потребителей) сферой, оказывающей значительное влияние на благосостояние потребителей. Необходимость относительно обширной защиты связана с низкой информированностью потребителей о страховых взносах и выплатах страховых сумм в области страхования жизни, страхования на случай болезни и страхования автомашин. Поэтому до тех пор, пока не осуществлена унификация, например общих условий страхования и предписаний технических резервов, сохраняются национальные формы контроля.
Принцип контроля со стороны страны происхождения (страховой компании) распространяется пока только на страхование больших коммерческих рисков для обеспечения полной свободы международного движения услуг, так как считается, что страхователи (крупные предприятия) имеют возможность получить полную информацию о платежеспособности партнеров и качестве товаров.
С 1 января 1998 г. все страны-члены ЕС должны были открыть для конкуренции сферу телекоммуникаций (как инфраструктуру, так и услуги), включая общую телефонную сеть (монополия сети и монополия справочной службы отменены). Уже несколько лет многочисленные телекоммуникационные предприятия и предприятия в других подобных отраслях, т. е. предприятия, приспосабливавшиеся к условиям расширения своей деятельности по всей Европе, проводят такую либерализацию.
2.7. Либерализация движения капитала
Движение (оборот) капитала охватывает кратко-, средне- и долгосрочные кредитные сделки, сделки с (краткосрочными) бумагами денежного рынка и с (долгосрочными) бумагами рынка капитала, включая эмиссию и торговлю ценными бумагами (акциями, облигациями и т. д.). От всего этого нужно отличать платежный оборот (движение денег), который возникает при подобных трансакциях.
Решение о либерализации движения капитала было принято 24 июня 1988 г. и вступило в силу 1 июля 1990 г. (директива 88/361, акт № L 178 от 8 июля 1988 г.). С 1993 г. оборот капитала в Сообществе полностью либерализован. Использующуюся сегодня систему корреспондентских банков призван заменить европейский клиринговый центр, который облегчит осуществление платежного оборота.
Либерализация движения капитала рассматривается как важная веха на пути к внутреннему рынку и к валютному союзу, Валютный союз означает свободный оборот капитала, без которого немыслим и внутренний рынок (согласно его экономической логике, капитал на основе взаимодействия относительной редкости и ожидаемой производительности, должен беспрепятственно перемещаться в сферы оптимального использовани).
2.8. Содействие кооперации предприятий
Причиной низкого уровня кооперации во многих сферах Сообщества выступают различия в уставах и в регламентации правовых форм (структур) предприятий. Улучшение ситуации предполагает унификацию в следующих областях:
¦ в сфере правовых форм предприятий (например, в обеспечении единой структуры акционерных обществ);
¦ в сфере планирования правовых форм межнационального образца (например, «европейских акционерных обществ» — Europa-AG);
¦ при слиянии предприятий разных стран.
Данные меры призваны способствовать всеевропейской кооперации не крупных национальных компаний, а мелких и средних предприятий (МСП) и многонациональных фирм («Евро-мульти»). Пока достигнуты относительно скромные результаты. Так, принят ряд директив по унификации отчетности и обязательств предоставления публичной информации (предписания о балансе — формы 4 и 7 директивы о правовых формах предприятий), а также по поводу создания и разделения акционерных обществ. Единственной наднациональной правовой формой является Европейское объединение экономических интересов (ЕОЭИ), но она представляет собой малозначимую форму кооперации мелких и средних предприятий (до 500 работников).
2.9. Устранение налоговых барьеров
Европейская интеграция требует определенной степени унификации национальных налоговых систем. Необходимо различать унификацию косвенных налогов (к ним относятся прежде всего налог на добавленную стоимость и специальные налоги на потребление) и прямых налогов (в основном подоходный налог и налог на имущество) (см. гл. 14).
Наиболее настоятельной является потребность в унификации косвенных налогов, так как они обусловливают контроль на границах (в соответствии со ст. 99 Договора о ЕС). Потребность в унификации прямых налогов представляется нам менее срочной, при этом она существенно сложнее, если нет планов провести ее через конкуренцию налоговых систем, когда сами предприятия и работники выбирают место нахождения и место жительства.
2.9.1. Проблемы унификации косвенных налогов
Планируемая унификация косвенных налогов преследует следующие цели (однако их одновременное достижение невозможно):
¦ «нейтральность в конкуренции» (отсутствие обусловленных налоговой системой конкурентных преимуществ у какой-либо из стран-членов);
¦ упразднение контроля на границах;
¦ постоянство распределения налоговых поступлений от налогообложения международной торговли;
¦ минимизация воздействия на национальные налоговые поступления.
В большинстве случаев преимущественной целью является «нейтральность в конкуренции». Точнее говоря для того, чтобы избежать ситуации, при которой производители из стран с высокими налоговыми ставками несут потери в конкуренции по сравнению с производителями из государств с низкими налоговыми ставками, применяется принцип страны назначения. .
Принцип страны назначения — один из наиболее часто используемых принципов налогообложения внешней торговли, согласно которому, для налогообложения ввозимых (и, как правило, потребляемых) благ применяется налоговое регулирование страны-импортера. Следовательно, в стране-поставщике экспорт освобождается от обложения налогами, а импортирующая страна «на границе» взимает налог на ввоз по внутренним налоговым ставкам. Значит, при использовании налога с оборота взимается налог, начисляемый на оборот ввоза.
Данный метод обладает тем преимуществом, что импортированные блага рассматриваются как произведенные и проданные внутри страны. Таким образом, разные национальные налоговые ставки не оказывают никакого влияния на условия конкуренции (т. е. имеет место «нейтральность в конкуренции»). Одновременно налоговые поступления получает страна конечного потребления. Существенным недостатком принципа страны назначения является вытекающая из него необходимость бюрократического контроля импорта, который в большинстве случаев происходит на границе.
Поскольку в процессе реализации программы создания внутреннего рынка контроль на границах упраздняется, принцип страны назначения в существующей его форме утрачивает силу. Альтернативой является принцип страны происхождения, согласно которому действительны налоговые законы той страны, в которой блага были произведены. Следовательно, экспорт облагается налогом, а импорт остается без налогообложения; таким образом, в конечном счете импортируемый товар подлежит обложению налогами экспортирующей страны в стране импорта. Преимущество данного принципа заключается в том, что он позволяет избежать бюрократического контроля внешней торговли, но существует опасность искажения конкуренции при разных налоговых ставках. Кроме того, налог начисляется в стране производства, а не в стране потребления. Но замена принципа страны назначения принципом страны происхождения в большинстве стран не входит в планы лиц, ответственных за проведение налоговой политики. Во всяком случае такая замена привела бы к изменению распределения налоговых поступлений от внешней торговли. Страны с излишком экспорта, например ФРГ, оказались бы в выигрыше, а страны с дефицитом торгового баланса попали бы в более невыгодное положение.
С введением принципа происхождения возникла бы конкуренция на основе налоговых ставок и количества налогооблагаемых благ, что, вероятно, породило бы понижательное давление к унификации (т. е. к установлению единых налоговых ставок, которые стали бы более низкими). Поэтому есть много причин для ех ante-гармонизации налогообложения. В ней заключалась и заключается концепция Комиссии, в принципе предусматривающая наличие диапазона для налоговых ставок.
При применении принципа страны происхождения такая ex-ante-гармонизация привела бы, в случае узости диапазона, к нейтральности в конкуренции и одновременно сделала бы излишним контроль на границах. Но добиться подобной унификации весьма непросто. Дело в том, что уравнивание налоговых ставок ограничивает автономию национальной экономической политики в центральной сфере, а решения в области унификации налогов нужно принимать единогласно. Кроме того, исторически отлаженные налоговые системы стран слишком сильно отличаются друг от друга, а значит, их быстрая безболезненная унификация невозможна. Необходимо задуматься и о том, что цель налогообложения состоит не только в формировании доходов государства, но и в оказании желаемого воздействия на производство и на потребление. Так, налог на алкогольные напитки в Дании и Швеции является одним из элементов политики здравоохранения, а налог на нефтепродукты выступает инструментом транспортной политики и политики защиты окружающей среды.
Наконец (даже если бы процесс унификации налогообложения был успешно завершен), остается уже упоминавшаяся проблема изменения в распределении налоговых поступлений от налогообложения международной торговли, так как при переходе к принципу страны происхождения налог следует начислять в стране производства, а не в стране потребления.
Ввиду наличия весьма сложных проблем ЕС принял решение о следующих временных принципах регулирования (действовавших до 31 декабря 1996 г.):
¦ в целом сохраняется принцип страны назначения;
¦ контроль на границах отменяется и заменяется национальным контролем (в форме уведомления национальных финансовых властей в рамках декларирования налога с оборота);
¦ для закупок со стороны частных лиц действует принцип страны происхождения (с некоторыми исключениями), пограничный контроль в этом случае отменяется;
¦ однако, чтобы не слишком сильно искажать конкуренцию в области этой «частной внешней торговли», вводятся минимальные налоговые ставки;
¦ минимальная ставка налога на добавленную стоимость в нормальном случае (при отсутствии льгот) составляет 15%; наряду с этим возможны две льготные ставки НДС, равные минимум 5%, но нулевые ставки можно временно сохранить.
2.9.2. Перспективы унификации прямых налогов
Так как подоходные налоги являются важным фактором выбора места нахождения предприятия и в конечном счете места жительства работников, различия в бремени прямых налогов могут препятствовать оптимальной аллокации ресурсов. Имеется в виду налогообложение прибыли предприятий. Со временем предпринятые Комиссией ЕС соответствующие усилия по унификации были прекращены. С одной стороны, осуществить унификацию налогообложения прибыли гораздо сложнее, чем стандартизацию косвенных налогов. Речь идет не столько о налоговых ставках, сколько об определении налогооблагаемых доходов предприятий. С другой стороны, целесообразно сделать более сильный акцент на ех post-унификации налоговых систем через общую конкуренцию месторасположений, В общем, в такой ситуации следует ожидать (упомянутого выше) «соревнования по снижению налогов», чреватого опасностями для бюджетной политики. Ведь если расходы не сокращаются, то увеличивается государственная задолженность.
Особой проблемой является налогообложение получаемых процентных доходов, так как после либерализации движения капитала и поэтапного приближения к осуществлению не подлежащих корректировке фиксированных обменных курсов даже минимальные различия в налогообложении приводят к существенным перемещениям капитала.
Туманными являются не только перспективы гармонизации налоговых ставок, но и унификация методов налогообложения — изъятие налога «у источника» или по предъявлении декларации, а также методов контроля — банковской тайны или контрольного уведомления. Достичь договоренности о согласованных действиях в данной сфере весьма сложно.
2.10. Обший взгляд на будущее европейской интеграции
Интеграция является открытым и, по-видимому, медленно протекающим процессом. Опыт показывает, что при значительных расхождениях в интересах страны-члены ЕС весьма неохотно идут на компромиссы. С другой стороны, интеграция приобрела характер самодвижущегося процесса, что стало неожиданностью для многих наблюдателей.
В середине 1990 г. Комиссия ЕС выполнила свою задачу и представила все 282 предусмотренных Белой книгой предложения, а Совет министров принял решение о реализации 268 из них (по состоянию на 28 октября 1994 г.). В большинстве случаев их внедрение предусматривало изменения национальных законодательств. Значительно отстали в реализации согласованных мер Греция (48) и Германия (43), а «передовиками» являются Франция (5) и Дания (8) (EU-Nachrichten, Nr. 47/1994).
Преимущества внутреннего рынка были количественно оценены в докладе Че-чини (Cecchini) «Европа-1992 — выгоды внутреннего рынка», в котором прогнозировалось его существенное влияние на рост и занятость в период с 1993 по 1998 г.:
¦ рост реального валового национального продукта Сообщества, как предполагается, превысит (как минимум) на 4,5% (возрастет примерно на DM 400 млрд) уровень ВНП, который был бы достигнут при сохранении статус-кво, т. е. при отсутствии мероприятий по созданию внутреннего рынка до 31 декабря 1992 г.;
¦ рост занятости на 1,8 млн человек; значительное снижение темпов инфляции, уменьшение бюджетных дефицитов и увеличение доли во внешней торговле за счет повышения международной конкурентоспособности.
Основными факторами достижений выступают упразднения материальных, технических и налоговых препятствий свободному движению товаров и услуг, рабочей силы и капиталов.
Заметим, что приведенные цифры отражают лишь порядок величин. В конечном счете точная количественная оценка интеграционных эффектов невозможна. Но программа внутреннего рынка, вне всяких сомнений, является программой быстрого роста, которая, по идее, должна была бы реализовать все описанные выгоды интеграции (см. гл. 23, раздел 2). В то же время она должна пройти проверку на прочность, отвергнув или подтвердив правильность аргументов критики роста — прежде всего касающихся негативных воздействий на состояние окружающей среды, разделение труда и материалистические концепции благосостояния.
3. Сопутствующие области политики
3.1. Обзор
Таможенный союз, единый аграрный рынок, региональная структурная политика, внутренний рынок, а также Экономический и валютный союз являются центральными областями экономической политики ЕС. Наряду с ними существует множество других сфер политики, в которых должна оживиться интеграция, прежде всего на основе Единого европейского акта (ЕЕА), Маастрихтского и Амстердамского договоров. К ним прежде всего относятся следующие экономически значимые сферы:
¦ социальная политика;
¦ политика охраны окружающей среды;
¦ промышленная политика (включая политику в сфере НИОКР и в области энергетики, а также расширение трансъевропейских сетей);
¦ политика конкуренции;
¦ торговая политика;
¦ транспортная политика;
¦ политика помощи развивающимся странам;
¦ политика здравоохранения и защиты потребителя.
Мы не имеем возможности подробно остановиться на всех перечисленных сферах и рассмотрим только основные — сферы социальной политики, промышленной политики, политики окружающей среды и конкуренции. Политика в отношении развивающихся стран будет описана в 30-й главе.
В совокупности сопутствующие области политики подпадают под более строгие правила принятия решений, чем программа внутреннего рынка. Поэтому здесь следует ожидать длительных задержек интеграционного процесса.
3.2. Социальная политика
3.2.1. Деятельность ЕС
Деятельность ЕС в области социальной политики ориентирована на осуществление цели, сформулированной Европейским советом в июне 1988 г.: «...внутренний рынок должен быть построен таким образом, чтобы он принес выгоду всему населению Сообщества». К наиболее значимым ее аспектам относятся:
¦ Улучшение безопасности труда работников. Принято множество директив и постановлений для улучшения условий труда, охраны здоровья и безопасности работников.
¦ Социальный диалог. С 1985 г. Комиссия организует дискуссии по вопросам экономической и социальной политики, в которых принимают участие Европейские союзы работодателей (ЕСР) и наемных работников (Европейский союз профсоюзов, ЕСП), выражающие совместные мнения, к примеру, при информировании рабочих о ходе внедрения новых технологий. Институциональная поддержка такого диалога обусловила принятие в Договоре о ЕС (ст. 118Ь) положение о широком привлечении работодателей и профсоюзов к процессу осуществления плановых и корректирующих мер в социальной сфере.
¦ Социальная хартия. Социальная хартия, точнее — «Хартия Сообщества об основных социальных правах наемных работников», была одобрена Европейским советом в декабре 1989 г. Она носит характер необязательной программы действий, на основе которой Комиссия, со своей стороны, формирует план мероприятий в области социальной политики (документ Совета № 6660/89). Основными пунктами Хартии являются:
¦ право на свободное перемещение и вид на жительство;
¦ право на труд и на его оплату;
4 право на улучшение условий жизни и труда;
4 право на социальную защиту;
'4 право на свободу коалиций и «тарифные договоры» (договоры по заработной плате, по безопасности труда и т. д.);
4 право на профессиональное образование;
4 право на равенство между мужчиной и женщиной;
4 право наемных работников на информацию, на выражение своего мнения и получение содействия;
4 право на охрану здоровья и безопасность на рабочем месте;
4 право на защиту детей и подростков;
4 права престарелых;
4 права инвалидов.
Маастрихтский договор предполагает усиление социальной политики Сообщества (ст. 2 и 3 Договора ЕС), но важнейшие договоренности относительно этой сферы зафиксированы не в самом тексте Договора, а в приложении к нему. «Протокол о социальной политике» предусматривает, что 11 стран-членов (по положению на 1994 г.) «используют органы, методы и механизмы Договора» и будут продвигаться по пути, предусмотренном Хартией Сообщества 1989 г. об основных социальных правах. Кстати говоря, Великобритания не принимает участия в реализации этой программы.
Комиссия сформулировала стратегию развития социальной политики Сообщества в «Основной книге Европейской социальной политики» (ноябрь 1993 г.) и «Белой книге Европейской социальной политики» (июль 1994 г.). Предполагается, что первый шаг ее осуществления — реализация предложения программы социальной политики 1989 г.
Социальная политика финансируется через Европейский социальный фонд (ЕСФ), объем финансовых средств которого составляет 40 млрд, экю (1993-1999 гг.). Имеющиеся средства направляются преимущественно на борьбу с длительной безработицей и безработицей среди молодежи.
3.2.2. Основные проблемы социальной политики ЕС
В принципе речь здесь идет опять-таки о проблеме выбора между осуществляемой на основе конкуренции функциональной интеграцией и институциональной интеграцией, основывающейся на политически сформулированных минимальных стандартнах.
Если издержки социальной защиты не «покрываются» соответствующей производительностью труда, конкуренция всегда приводит к «эрозии» социальной защиты. Последствия данного процесса являются вдвойне спорными.
¦ В странах с высокой производительностью и высоким уровнем социальной защиты профсоюзы опасаются «социального демпинга», т. е. смягчения социальных стандартов, причинами которых являются импорт дешевых продуктов и приток дешевой рабочей силы, а также перемещение предприятий в страны с низкой зарплатой. Работодатели также опасаются конкурентного давления, но используют усиление международной конкуренции в качестве желанного аргумента для противодействия требованиям в сфере социальной политики.
¦ В странах с низкой производительностью и низким уровнем социальной защиты все происходит наоборот. Работодатели высказывают опасения, что введение действующих в Сообществе минимальных социальных стандартов приведет к исчезновению потенциального конкурентного преимущества (дешевизна рабочей силы). Профсоюзы боятся роста безработицы, но минимальные стандарты, сформулированные для всего Сообщества, являются для них аргументами в борьбе за улучшение условий труда и социальные права.
С точки зрения экономической науки можно привести много доводов в пользу формулировки и введения минимальных социальных стандартов, но не на уровне Сообщества, а на уровне государств и регионов. Конкуренция должна получить шанс на введение обоснованных с точки зрения финансирования стандартов.
3.3. Политика охраны окружающей среды
3.3.1. Деятельность ЕС
В Договоре о ЕС значительное внимание уделяется охране окружающей среды, основными целями которой выступают:
¦ сохранение и охрана окружающей среды, а также улучшение ее качества;
¦ охрана человеческого здоровья;
¦ бережное и рациональное использование природных ресурсов;
¦ продвижение на международном уровне мер, направленных на решение региональных или глобальных проблем окружающей среды (ч.І ст.ІЗОг договора о ЕС).
При этом существует нацеленность на высокий уровень защиты окружающей среды.
4.1 ст.ІЗОг определяет основы деятельности Сообщества в области политики окружающей среды. Ими являются:
¦ принцип предупреждения;
¦ борьба против возникновения ущерба у источника загрязнения;
¦ принцип виновника.
Необходимость защиты окружающей среды является составной частью и других сфер политики Сообщества (ч. 2 ст.ІЗОг).
В противоположность весьма распространенному мнению, ЕС принимает и практические меры в области окружающей среды. В принятых ЕС в 1973 г. пяти программах действий по защите окружающей среды содержится множество директив.
¦ Вода: директива об охране водной среды 1976 г. подразделяет вредные вещества на «черный» и «серый» списки. В первый занесены 129 особо опасных материалов. Для того чтобы предприятие получило право на выбросы, необходимо особое разрешение. Но лишь для 13 из них (например, ртути, кадмия, ДДТ) установлены предельные величины. Для веществ из «серого» списка действуют менее строгие правила. Наряду с этим существуют директивы о грунтовой, питьевой и бассейновой водах, устанавливающие определенные требования к качеству этих видов воды.
¦ Воздух; Совет министров принял решение о значительном смягчении принятых в директивах требований о выхлопных газах автомобилей и выбросах заводских печей. Для малых автомобилей (объем двигателя менее 1,4 л) с 1 октября 1992 г. при допуске к эксплуатации новых моделей действуют предельные величины, превышающие принятые в США нормы. Снижение выбросов S0
2 из заводских печей должно произойти за три стадии: уменьшение на 40% до 1993 г., на 60% до 1998 г. и, наконец, на 70% до 2003 г. Наряду с этим существуют директивы о нормах качества воздуха по содержанию в нем серного диоксида, свинца и азотного диоксида.
¦ Химические вещества: согласно директиве 1979 г., производители химических веществ должны предоставлять основную информацию и оценку риска. К сожалению, химические вещества, введенные в оборот перед 1979 г., не отражены в директиве. Директива Севесо, названная так в связи с несчастным случаем выброса диоксина в итальянском городе Севесо, регулирует действия в случае крупных производственных аварий.
¦ Проверка на «переносимость природой»: директива требует, чтобы новые проекты, строительства и модернизации электростанций, доменных печей, химических фабрик, дорог или аэродромов подвергались проверке на «переносимость природой». В ФРГ, к примеру, подобная регламентация отсутствует. Правительство опаздывает в совершенствовании национального права (Wirtschaftswoche. 1989. 10 Mars. S.46).
Со временем в области охраны окружающей среды было принято более чем 200 директив и постановлений. По оценке ЕС, существуют еще большие упущения в охране водоемов и в сохранении чистоты воздуха (EU-Nachrichten 21/1994, S.4). Было создано Европейское агентство окружающей среды (находящееся в Копенгагене), которое призвано обобщать информацию об охране окружающей среды и выполняет консультационные функции.
3.3.2. Основные проблемы политики окружающей среды ЕС
Основная проблема политики окружающей среды ЕС заключается в том, что программа внутреннего рынка и другие программы являются прежде всего программами роста.
Безусловно, экономический рост далеко не всегда связан с расширением масштабов ущерба окружающей среды, но нам необходимо считаться с тем, что рост в значительной мере содействует такого рода процессам.
В выполненном по заказу ответственной за защиту окружающей среды генеральной дирекции Комиссии ЕС исследовании «Окружающая среда и внутренний рынок» (Task-Force-Bericht 1989 г.) 14 независимых экономистов из всех стран ЕС пришли к достаточно мрачным выводам относительно динамики состояния окружающей среды в странах Сообщества. Особую опасность они видят в увеличивающемся выбросе вредных веществ в воздух. Конкретно прогнозируется рост выбросов двуокиси серы работающими на угле электростанциями с 12 до 14% и окислов азота (автомобильные выхлопы) с 8 до 9%. Объем международных грузовых перевозок возрастет на 30-50%, а разрыв между объемом отходов и возможностями окружающей среды их поглотить резко увеличится.
Результаты проведенного в 1988 г. по инициативе министров окружающей среды исследования показали необходимость проведения Стратегии пяти пунктов по защите окружающей среды, имеющей силу для всех 12 стран-членов ЕС. Несмотря на усилия Сообщества по унификации налоговой системы, эксперты выступают за отчисления или налоги для окружающей среды. Для достижения целей в области окружающей среды следует оставить в распоряжении стран-членов право применять соответствующие инструменты. К примеру, целесообразно регулирование потребления энергии посредством налогов на горючее.
Целесообразно стимулирование внедрения новых, учитывающих требования охраны окружающей среды продуктов и технологий, и одновременно избегать мер, которые могли бы привести к повышению выбросов вредных веществ. Далее, увеличение объемов средств, направляемых структурными фондами ЕС терпящим убытки регионам, не должно приводить к негативным воздействиям на окружающую среду.
В соответствии с выдвинутыми в разделе 1 данной главы тезисами, в том случае, если1 экологический ущерб приобретает международный характер, необходимо дальнейшее развитие стандартов защиты на уровне Сообщества. Но позволит ли конкуренция находить правильные стандарты защиты окружающей среды? Экологические мероприятия, как правило, сопряжены с высокими издержками, значительно снижающими конкурентные преимущества по местонахождению и/или произведенным продуктам. Далеко не очевидно, что осознавшие проблемы защиты окружающей среды потребители готовы приобретать экологически безопасные, но более дорогие товары.
И хотя каждая страна ЕС имеет право применять более строгие в сравнении с принятыми в Сообществе, предписания («позитивная самодискриминация»), они, как нам представляется, не допускают ограничений импорта продуктов (в каждом конкретном случае решение об ограничении необходимо принимать через Европейскую судебную палату), произведенных с более мягкими природоохранными стандартами. Поэтому весьма вероятно, что в ходе конкуренции происходит «эрозия охраны» окружающей среды.
3.4. Промышленная политика
Понятие и содержание промышленной политики дискуссионны и в теории, и на практике как в нормативном, так и в позитивном смысле. Здесь мы обобщаем стремление Сообщества повысить промышленную конкурентоспособность стран ЕС и способствовать росту и занятости (центральная часть Белой книги Комиссии 1993 г. «Рост, конкурентоспособность, занятость — вызов современного времени и путь в XXI век»). В основе набора стратегий и проектов лежит создание и расширение трансъевропейских сетей (Договор о ЕС, ст. 129b-d). С нормативной точки зрения необходимо отметить, что осуществляемая посредством государственного вмешательства в решения предпринимателей промышленная политика не соответствует преобладающему в Германии пониманию рынка и конкуренции, но в то же время инвестиции государственных учреждений в инфраструк-турупризнаются обоснованными.
Основными среднесрочными элементами трансъевропейской транспортной, телекоммуникационной и энергетической инфраструктуры являются:
¦ железнодорожная сеть (прежде всего высокоскоростные магистрали);
¦ сеть автомобильных дорог (прежде всего в относительно бедных периферийных регионах);
¦ внутренние водные пути;
¦ сеть «комбинированного» транспорта, включающая железные дороги, водный транспорт и шоссе; '
¦ сеть для транспортировки энергоносителей;
¦ сети телекоммуникаций для единого информационного пространства.
На период до 1999 г. Комиссия оценивает издержки развития этих сетей в 400 млрд, экю (WeiBbuch. 1993. S. 36 L), но источники финансирования пока не определены. Комиссия ожидает, что 2/3 средств будут получены из национальных и/или частных источников. На конференции ЕС в Эссене (Германия) 9 октября 1994 г. было принято решение об осуществлении 14 основных транспортных и 8 энергетических проектов. Среди них — строительство высокоскоростной магистрали Нюрнберг — Эрфурт — Галле/Лейпциг — Берлин (EU-Nachrichten. Dokumentation 12/ 1994 г. S.23).
3.5. Политика конкуренции
И наконец, мы вкратце опишем политику конкуренции ЕС, играющую основную роль в процессе формирования внутреннего рынка и осуществляеме. следующим образом.
ЕС и внутренний рынок нуждаются в наднациональной политике конкуренции, так как соответствующие рынки, как правило, не ограничены национальным экономическим пространством. В ст. 85 Договора о ЕС, почти так же, как в немецком Законе о картелях, законодательно закреплен запрет картелей и ограничивающих конкуренцию согласованных действий. А ст. 86 Договора о ЕС запрещает предприятиям с доминирующим положением на рынке злоупотреблять своим положением, «если это может привести к ущемлению торговли между странами-членами». Но до
|
|
Таблица 24.1. Обзор закона о конкуренции ЕС |
|
Вид ограничения конкуренции |
Регулирование |
Образование картеля и неформально
согласованные действия |
Принцип запрета: «Несовместимы с общим рынком и запрещены все соглашения между предприятиями... и согласованные действия, которые способны ущемить торговлю между странами-членами и направлены на предотвращение, ограничение и искажение конкуренции внутри общего рынка»
(Ч. 1 ст. 85 Договора о ЕС).
Исключения: «Постановления ч.І могут быть объявлены неприменимыми к соглашениям... между предприятиями, заключениям... между объединениями предприятий и согласованным действиям, которые, при соответствующем участии потребителя в создающейся прибыли, вносят вклад в улучшение производства и распределение товаров и в стимулирование технического или экономического прогресса, причем участвующим предприятиям:
а) не предписываются ограничения, которые не обязательны для достижения этих целей, или
б) не открываются возможности для исключения из сферы конкуренции существенной части производимых товаров» (ч. 3 ст.1 Договора о ЕС). |
Злоупотреб
ление
доминирую
щим
положением |
Контроль за злоупотреблением: «Несовместимо с общим рынком и запрещено злоупотребляющее использование доминирующего положения на общем рынке или на его существенном сегменте одним или несколькими предприятиями, если это может привести к ущемлению торговли между странами-членами» (Ст. 86 Договора о ЕС). |
|
Контроль за слиянием |
Обязательность заявки о намерении слияния при его «значимости для всего Сообщества». Такая значимость существует при общем обороте всех участвующих предприятий в объеме больше 5 млрд, экю и при совокупном обороте во всем Сообществе минимум двух участвующих предприятий в объеме больше 250 млн экю (ч. 2 ст.1 Постановления 4064/89).
Критерий запрета: «слияния, которые создают или усиливают доминирующее положение, в результате которого ущемляется эффективная конкуренция на общем рынке или на его существенном сегменте, нужно объявить как несовместимые с общим рынком» (ч. 2 ст. 2 Постановления 4064/89). Критерии проверки: при своем решении Комиссия учитывает:
«а) необходимость сохранения и развития эффективной конкуренции на общем рынке, особенно в связи со структурой всех затронутых рынков и с фактической или потенциальной конкуренцией предприятий, находящихся внутри или вне Сообщества;
б) положение на рынке, а также экономическую власть и финансовую мощь участвующих предприятий, возможности выбора поставщиками и покупателями, их доступ к рынкам снабжения и сбыта, юридические или фактические ограничения доступа к рынку, динамику предложения и спроса на соответствующие товары и услуги, интересы промежуточных и конечных потребителей, а также ход технического и экономического прогресса» (ч.І ст. 2 Постановления 4064/89).
Полномочия властей по сохранению конкуренции в странах-членах: «Комиссия может передать заявку на слияние для пересмотра ответственному органу власти в стране-члене; предпосылкой для этого является наличие уведомления со стороны страны-члена о том, что слияние угрожает создать |
|
Окончание табл. 24.1 |
|
Вид ограничения конкуренции |
Регулирование |
|
|
или усилить доминирующее положение, в результате которого эффективная конкуренция на одном из рынков этой страны-члена, который имеет все признаки обособленного рынка, была бы существенно ущемлена, независимо от того, представляет ли собой этот рынок существенный сегмент общего рынка или нет [...] Если Комиссия имеет мнение, что существует такой обособленный рынок и такая угроза,
а) то она сама занимается этим делом для того, чтобы сохранить или восстановить эффективную конкуренцию на соответствующем рынке, или
б) передает дело уполномоченным органам власти в соответствующей стране-члене для того, чтобы было осуществлено регулирование конкуренции в этой стране-члене» (статья 9 Постановления 4064/89). |
|
|
Источник: Berg, Н. Wettbewerbspolitik // Vahlens Kompendium der Wirtschaftstheorie und Wirtschaftspolitik. Band 2. 5. Auflage. Mtinchen, 1992. S. 297. |
1990 г. возможности контроля слияний, имеющие особое значение для создания внутреннего рынка,отсутствовали.
С принятием в декабре 1989 г. Постановления о контроле над слияниями брешь была закрыта. В соответствии с ним (как и в немецком картельном праве) запрещаются охватывающие все Сообщество слияния компаний, создающие или усиливающие доминирующее положение на рынке и препятствующие конкуренции (см. табл. 24.1). Значение слияния для всего Сообщества определяется по следующим трем критериям:
¦ совокупный оборот участвующих в слиянии предприятий превышает 5 млрд, экю;
¦ минимум два предприятия имеют оборот во всем Сообществе в объеме 250 млн экю;
¦ каждому из предприятий в одной стране-члене принадлежит более 2/3 общего оборота в Сообществе («правило» 2/3).
Список основных понятий
¦ Гармонизация банковского законодательства
¦ Отечественный контроль
(за банковской деятельностью)
¦ Минимальная унификация
¦ Европейское экономическое, обьединение интересов (ЕЭОИ)
¦ Функциональная интеграция
¦ Ех ante-гармонизаиия
¦ Институциональная интеграция
¦ Ех post-гармонизация
¦ Принцип «субсидиарности»
¦ Принцип страны происхождения
¦ Шенгенские соглашения
¦ Европейский социальный фонд
¦ Программы действий по зашите окружающей среды
¦ Европейское агентство окружающей среды
¦ Стандарты зашиты на уровне Сообщества
¦ Постановление о контроле за слияниями
¦ Принцип страны назначения
¦ «Соревнование по снижению налогов»
¦ Доклад Чечини
¦ Аргументы критики роста
¦ Улучшение безопасности работников
¦ Социальный диалог
¦ Социальная хартия

1) На каких основных рассуждениях должно быть основано решение в пользу институциональной или функциональной интеграции?
2) На каких основных рассуждениях должно быть основано решение об иерархическом уровне институциональной интеграции?
3) Как, используя термины «институциональная интеграция» и «функциональная интеграция»? вы охарактеризовали бы интеграционную политику ЕС?
4) Какой вид интеграционной политики включен в основном в Договор о ЕС и юрисдикцию Европейской Судебной Палаты?
5) Какую роль в интеграционном процессе играют способы голосования?
6) Опишите проблемы и принципы интеграции при унификации банковского дела.
7) Что в контексте интеграционной политики является преимуществами и недостатками способов налогообложения по принципу страны назначения и по принципу страны происхождения?
8) Чего в связи с социальной политикой ЕС опасаются и на что надеются партнеры по коллективным договорам (работодатели и профсоюзы) высокоразвитой страны?
9) Почему можно предполагать, что развивающийся интеграционнэй процесс ЕС будет оказывать по большей части негативное влияние на состояние окружающей среды?
10) В чем состоит значение контроля слияний на уровне Сообщества и как сформулированы основные инструкции в этой сфере?
 |
¦ Описание некоторых процессов, связанных с внутренним рынком ЕС, можно найти в книге (упоминавшейся в предыдущей главе):
Трейси М. Сельское хозяйство и продовольствие в экономике развитых стран. Введение в теорию, практику и политику. СПб., 1995. |

ПРИЧИНЫ И ПОСЛЕДСТВИЯ ИНФЛЯЦИОННЫХ ПРОЦЕССОВ, ВОЗМОЖНОСТИ БОРЬБЫ С НИМИ
шпак •’ ¦¦гшштттттшштаттш
Что понимается пол инфляцией и какие формы ее проявления (ее вилы) необ-холимо различать?
¦ Что означает термин «инфляция»? .
¦ Как измеряется инфляция?
¦ Какова динамика инфляции в ФРГ (и в Российской Федерации)?
¦ Какие формы проявления инфляции существуют?
Откуда возникает инфляционный импульс и какие факторы вызывают инфляционный процесс?
¦ Что понимается под инфляцией спроса и инфляцией предложения?
¦ В чем состоит первоначальный импульс инфляции спроса?
¦ Что является первоначальным толчком инфляции заработной платы?
¦ Что такое инфляция прибыли и как можно обьяснить ее первоначальный импульс?
¦ Правомерно ли классифицировать конкретные процессы повышения иен как инфляцию предложения или инфляцию спроса?
¦ Как монетаристы объясняют инфляцию?
Как влияет инфляция на важные общеэкономические показатели и каковы ее
последствия для экономической политики?
¦ Какие существуют точки зрения по поводу влияния инфляции на занятость?
¦ Как изменяется распределение доходов и имущества из-за инфляции?
¦ Как воздействует инфляция на экономический рост?
¦ Что является классическим средством борьбы с инфляцией спроса и как следует его оценивать?
¦ В чем состоят возможные решения проблемы инфляции предложения в рамках государственной политики доходов?
¦ Оправдывают ли очевидные недостатки замораживания заработной платы и цен общий отказ от такого рода антиинфляционных инструментов?

1. Что такое инфляция?
Под инфляцией понимается наблюдаемое в течение длительного промежутка вре-I мени повышение уровня цен.
Итак, об инфляции говорят только тогда, когда в экономике повышается уровень цен. Для констатации инфляции недостаточно наличия роста отдельных цен; цены должны возрастать в среднем с учетом значимости благ. Но в экономике существует не один (измеренный одним индексом) уровень цен, а множество индексов (т. е. ценовых уровней).
Наиболее часто используемой единицей измерения инфляции является индекс стоимости жизни всех домохозяйств. Его исчисление предполагает исследование динамики расходов среднего домохозяйства на статистически определенную репрезентативную корзину товаров в базисном периоде. Среднее домохозяйство состоит из 2,3 лиц с месячными расходами на потребление в сумме DM 3105. Например, для 1996 г. данный индекс определяется при помощи сопоставления необходимых расходов для приобретения репрезентативной корзины товаров 1996 г. с необходимыми расходами на ту же корзину товаров в базисном году (1991 г.). Тогда, ценовой индекс для 1996 г. показывает, какую сумму денег должно заплатить среднее домохозяйство в 1996 г. если оно приобрело бы то же количество товаров, что и в 1991 г. Публикуемый ежемесячно (и называемый чаще всего темпом инфляции) темп роста цен показывает, на сколько процентов возросла или уменьшилась стоимость репрезентативной корзины товаров по сравнению с тем же месяцем предыдущего года.
«Точка отсчета» (базисный год), как правило, остается неизменной в течение относительно длительного промежутка времени (обычно — 5 лет), так как ее изменение требует существенных статистических перерасчетов. Но чем дальше находится интересующий нас год от базисного, тем большие изменения происходят в структуре потребительских предпочтений, тем меньше покупателей приобретают товары из репрезентативной корзины. Возникают новые продукты и формируются новые потребительские привычки. На поведение потребителей в нормальной ситуации воздействует и динамика структуры цен: как правило, уменьшается спрос на относительно вздорожавшие продукты. Таким образом, реакция потребителей на изменения ценовых пропорций является рациональной. Заново вычисленная — за интервал, насчитывающий нескольких лет, — репрезентативная корзина товаров базисного года учитывает такие структурные сдвиги.
Иногда в качестве измерителя инфляции используется также дефлятор валового национального продукта. Для его вычисления номинальный национальный продукт, например 1996 г., сопоставляется с денежной стоимостью такого же количества благ в базисном 1992 г. (при действующих в нем ценах).
Инфляцией считается лишь рост цен за определенные продолжительные промежутки времени. Следовательно, к ней не относятся, к примеру, сезонные повышения цен.
Одна из связанных с нашим определением инфляции проблем состоит в том, что мы рассматриваем только явный рост уровня цен. Но как быть с инфляцией, имеющей место в случаях, когда цены «замораживаются» государством («подавленная» инфляция), т. е. когда в целях борьбы с ростом цен осуществляется их общее фиксирование? Так как в этом случае оценить уровень инфляции через изменение внутреннего уровня цен невозможно, она исчисляется путем определения цен на черном рынке или оценки внешней ценности валюты (ее обменного курса).
2. Вилы инфляции
Принято выделять (в зависимости от используемых критериев) несколько видов инфляции, и в частности:
¦ ползучую инфляцию и галопирующую инфляцию (по темпам роста цен); повременную и перманентную инфляцию (по продолжительности роста цен);
¦ открытую и подавленную инфляцию (по аспектам государственной политики);
¦ инфляцию спроса и инфляцию предложения (по причинам возникновения). И также — как особую форму инфляции спроса — монетарную инфляцию.
Очевидно, что какие-либо четкие границы между «ползучей» инфляцией и «галопирующей» отсутствуют. Например, термин «ползучая инфляция» применяется в тех случаях, когда рост цен не превышает 10%. Можно выделить и любые промежуточные ступени, например, «рысцовую инфляцию».
В табл. 25.1 представлена динамика исчисленных при помощи индекса стоимости жизни темпов инфляции в ФРГ в 1981-1994 гг. Необходимо отметить, что в 1986 г. из-за значительного снижения цен импортируемых благ уровень цен снизился. Кроме того, в 1981-1986 гг. наблюдалось замедление темпов инфляции. Такое снижение темпов инфляции называют дезинфляцией. Дезинфляцию нельзя путать с дефляцией, означающей абсолютное снижение уровня цен. В 1987— 1993 гг. темпы инфляции вновь повысились. С 1994 г. имеет место небольшое ослабление инфляционных процессов. Первоначально не отображенные в табл. 25.1 темпы инфляции в новых федеральных землях Германии были весьма высоки (1992 г. +11,2%; 1993 г. +8,8%), но примерно с 1994 г. они сравнялись с уровнем роста цен в Западной Германии.
Таблица 25.1
Динамика темпов инфляции* в Западной Германии в 1981-1984 гг. |
|
Год |
1981 |
1982 |
1983 |
1984 |
1985 |
1986 |
1987 |
|
Изменение по отношению к предыдущему году, % |
+ 6,3 |
+ 5,2 |
+ 3,3 |
+ 2,4 |
+ 2,0 |
-0,1 |
+ 0,2 |
|
Год |
1988 |
1989 |
1990 |
1991 |
1992 |
1993 |
1994 |
|
Изменение по отношению к предыдущему году, % |
+ 1,3 |
+ 2.8 |
+ 2,7 |
+ 3,5 |
+ 4,0 |
+ 4,2 |
+ 3,0 |
|
* Индекс стоимости жизни всех домохозяйств.
Источник: Monatsberichte der Deutschen Bundesbank. |
3. Объяснение инфляции
С начала 1950-х гг. в зависимости от причин инфляции различают два ее вида: инфляцию спроса и инфляцию предложения. В то же время четкое их определение отсутствует. Мы различаем эти понятия следующим образом:
¦ об инфляции спроса мы говорим тогда, когда первый импульс (толчок) к повышению цен исходит «из сферы спроса», и
¦ об инфляции предложения мы говорим тогда, когда первый импульс (толчок) к повышению цен исходит «из сферы предложения» (прежде всего — рост зарплаты и прибылей).
Значит, об инфляции спроса мы говорим и тогда, когда после вызванного увеличением спроса повышения цен профсоюзы в соответствии со своей рыночной силой приспосабливают заработную плату к ценам, хотя здесь1 на процесс инфляции воздействуют элементы издержек (предложения). Точно так же мы говорим об инфляции предложения в тех случаях, когда, например, из-за вынужденного (за счет действий профсоюзов) роста зарплаты (превышающего рост производительности) возрастают цены, и когда расширение спроса происходит в силу рбусловленного ростом зарплаты и цен увеличения доходов.
Нередко понятие «инфляция спроса» используется только по отношению к повышениям цен, связанным исключительно с увеличением спроса (при постоянной зарплате). Данный подход (также и для инфляции предложения) представляется нам неверным. Поскольку чистой инфляции спроса или предложения практически не существует, проведение различия между этими двумя видами инфляции в принципе является излишним. Каждое вызванное ростом спроса повышение цен в нормальной ситуации в дальнейшем оказывает повышательное воздействие на зарплату; а каждое вынужденное повышение зарплаты оказывает дальнейшее влияние на спрос.
3.1. Инфляция спроса
Инфляция спроса — одно из первых современных объяснений инфляции. Ключевым положением данной концепции является инфляционный разрыв — избыточный спрос на блага при полной занятости. Толчок к повышению уровня цен объясняется возникновением разрыва, т. е. превышением совокупного спроса над совокупным предложением в условиях полного использования ресурсов (или «инфляционным навесом спроса»). Так как при полной занятости в краткосрочном периоде рост производства невозможен, избыточный спрос приводит к повышению цен: несмотря на увеличение расходов, покупатели получат в точности столько же благ, сколько и раньше, и повышение цен «поглощает» дополнительный денежный спрос (см. рис. 25.1). Кроме того, вызванное спросом повышение цен возможно уже до достижения полной занятости, например, вследствие наличия «узких мест» в отдельных отраслях.
Повышение спроса графически отображается смещением кривой спроса вправо: при каждой цене на национальный продукт предъявляется больший спрос, что приводит к росту цен с Р
0до Р при постоянном национальном продукте.

Чем объясняется устойчивость инфляции по, времени? Простым, но чисто формальным объяснением могло бы быть следующее: вопреки росту цен, спрос на блага остается на своем повышенном реальном уровне: ведь в исследуемом первом периоде покупатели в совокупности не получили дополнительных благ. Если они и далее предъявляют спрос на превышающее национальный продукт количество благ, и могут соответственно повысить свои расходы, тогда во втором периоде создается та же ситуация, что и в первом: предложение благ, т. е. спрос превышает объем национального продукта и уровень цен снова повышается.
Как возникает описанная ситуация?
Решающим моментом является наличие желания и возможностей покупателей повысить свои расходы, определяемые вероятностью увеличения прибыли. Но каковы шансы домохозяйств на ее возрастание? Чем выше избыточный спрос на рынке товаров, тем больше будет спрос на рабочую силу. Возникает избыточный спрос и на рынке труда, что позволяет- профсоюзам (даже без использования своей рыночной силы) обеспечить соответствующее росту цен повышение заработной платы. Домохозяйства (по крайней мере получатели зарплаты и прибыли) сохраняют реальный спрос на том же уровне. В том случае, когда события развиваются по описанному нами сценарию, и если так же поступают государство и «остальной мир» (реальный экспорт не изменяется), тогда общий спрос остается на уровне, превышающем национальный продукт. Процесс инфляции может идти дальше: избыточный спрос — рост цен — рост прибыли — рост зарплаты — избыточный спрос — рост цен и т. д.
Возможно ли прекращение этого процесса без вмешательства государства? В общем — да, так как некоторые группы хозяйствующих субъектов не смогут повысить свои доходы на величину роста цен (получатели фиксированных пенсий, получатели процентных доходов, получатели стипендий).Им приходится ограничить свой спрос на блага. Снижение спроса при постоянно растущих ценах и фиксированных обменных курсах следует ожидать также от «остального мира», если только цены там не растут в той же степени или еще больше.
Естественно, процесс повышения цен может быть остановлен в том случае, если государство, руководствуясь экономическими причинами, ограничивает предъявляемый спрос, что позволяет достичь соответствия между национальным продуктом и спросом на блага.
«Торможение» инфляционного процесса имеет место и тогда, когда ЦБ ограничивает объем денежной базы, что не позволяет соответствующим образом расширить денежную массу. Хотя коммерческие банки (см. гл. 18), имеют определенные возможности предоставления кредитов и создания денег, для «финансирования» долгосрочного инфляционного процесса их недостаточно. Если ЦБ не увеличивает денежную базу или расширяет ее, но в ограниченном объеме, тогда, например, инвесторы утрачивают возможности получения кредитов для финансирования капиталовложений и темпы инфляции снижаются.
Таким образом, обязательным условием длительного процесса инфляции спроса является увеличение денежной массы.
В общем и целом инфляционный импульс (дополнительный спрос на блага) может порождаться домохозяйствами, предпринимателями, государством или «остальным миром». Если возрастание спроса приводит к увеличению экспорта (например, вследствие более быстрого роста цен и доходов за границей), наблюдается первая форма проявления импортируемой инфляции: инфляция «привносится» в страну растущим зарубежным спросом. Если же инфляционный разрыв создан увеличением отечественного компонента спроса, то говорят о внутренней инфляции спроса.
3.2. Инфляция предложения
Причины повышения цен могут находиться (см. гл. 6), не только в сфере спроса, но и в области предложения. Повышение цен во второй из этих сфер происходит в тех случаях, когда повышение издержек через цены увеличивает спрос или если продавцы устанавливают более высокую прибылеобразующую накидку. Именно так порождаются оба основных вида инфляции предложения — инфляция издержек и инфляция прибыли. Если повышение цен происходит в условиях стагнации экономики, принято говорить о стагфляции (т. е. имеют место стагнация + инфляция).
3.2.1. Инфляция издержек
Повышение издержек может иметь следующие общеэкономические причины (подробнее см. в гл. 5):
¦ ставки зарплаты превышают темпы роста производительности;
¦ повышение цен импортируемых промежуточных продуктов;
¦ отставание темпов роста производительности капитала от увеличения стоимости капитала (процентных издержек);
¦ рост издержек в виде налоговых платежей;
¦ рост средних издержек при уменьшении степени использования производственных мощностей.
Здесь мы не будем.анализировать стоимость капитала и «налоговые издержки», а также рост средних издержек вследствие снижения степени использования производственных мощностей. Что же касается цен на импорт, то мы ограничимся несколькими замечаниями, а затем рассмотрим более часто обсуждаемую инфляцию зарплаты. .
В тех случаях, когда экономика сталкивается с увеличением цен на импортируемое сырье и промежуточные продукты, мы вновь имеем дело с инфляцией, порождаемой «остальным миром» или со второй формой проявления импортируемой инфляции.
В противоположность росту цен импортируемых благ при анализе инфляции можно не учитывать рост цен на сырье и промежуточные продукты, произведенные внутри страны, так как издержки этих продуктов состоят из зарплаты, процентов, налогов и стоимости импортированных сырья и материалов.
Теперь, как и было только что обещано, перейдем к анализу инфляции зарплаты. Как следует из материала гл. 5, удельные издержки на зарплату, т. е. в макроэкономическом смысле отношение суммы зарплаты к единице национального продукта, остаются постоянными в том случае, если мы имеем дело с одинаковым в процентном выражении приростом ставки зарплаты и производительности труда:
Ставка зарплаты х Количество рабочих часов
Удельные издержки на зарплату = ---
Национальный продукт
_ Ставка зарплаты
~ Национальный продукт
Количество рабочих часов
Следовательно, рост издержек порождается лишь превышающим рост производительности приростом ставки оплаты труда. При этом темп роста удельных издержек на зарплату соответствует (приблизительно) разнице между процентным повышением ставки зарплаты и процентным увеличением производительности. Если числитель дроби повышается на 10%, а знаменатель дроби — на 6%, то значение дроби увеличивается (примерно) на 4%’.
Приводимый ниже пример поясняет эту связь. Предположим, что удельные издержки на зарплату перед ее повышением составляют 5 руб., причем ставка зарплаты равна 10 руб. за один час работы, а производительность труда равна 2 шт. за отработанный час:
,
г . Ставка зарплаты 10
г
Удельные издержки на зарплату = „---= -=- = 5
r J Производительность труда 2
Если ставка зарплаты повысится на 10% (до 11 руб.), а производительность труда вследствие технического прогресса — на 6% (от 2 до 2,12), удельные издержки составят 11 : 2,12 = 5,189, что соответствует процентному росту удельных издержек на зарплату, равному 3,77%, т. е. приблизительно 4% .
Если профсоюзы добьются — с целью возрастания доли зарплаты в национальном доходе (см. гл. 26) — увеличения денежной зарплаты, превышающего процентный рост производительности, удельные издержки на зарплату увеличатся. Если предприниматели стремятся к сохранению прибылей, рассматриваемое нами событие становится толчком к повышению цен. Данная взаимосвязь становится очевидной, если мы рассмотрим отношение между ценой и удельными издержками:
Цена = удельные издержки (1 + норма накидки).
Следовательно, если в рассматривавшемся нами выше примере удельные издержки повышаются на 4%, при постоянстве прибылеобразующей накидки и прочих издержек уровень цен увеличивается примерно на 4%.
Давайте подумаем о том, почему в ситуации стагнации или даже уменьшения производства вообще возможно повышение зарплаты. Очевидно, что в такого рода обстоятельствах на рынке труда не может быть избыточного спроса на рабочую силу, наоборот, наблюдается избыток предложения труда. Следовательно, рыночные силы не имеют никакого отношения к повышению зарплаты. «Ответственность» за него несут обладающие рыночной властью поставщики, в данном случае профсоюзы.
Если, используя свое монопольное положение, профсоюзы (поскольку они представляют интересы рабочих при переговорах о зарплате, см. гл. 26) в ситуации стагнации добьются повышения зарплаты, возникает импульс к повышению цен. Поэтому говорят об инфляции зарплаты.
Но для объяснения инфляции недостаточно выявления фактора ее возникновения. Помимо этого необходимо описать силы, которые «держат инфляцию на ходу». Перманентную инфляцию зарплаты можно было бы объяснить следующим образом. Предприниматели реагируют на превышающее рост производительности повышение зарплаты увеличением цен (причем темп роста цен равен темпу прироста зарплаты). При неизменной денежной ценности спроса на блага это приводит к уменьшению производства и занятости (с Y
0 до Y
v см. рис. 25.2).
Но ведь зарплата является одновременно доходом наемных работников, а часть цены представляет собой прибыль (доход) предпринимателей. Если мы исходим из постоянства производства и занятости в краткосрочном периоде, то повышение зарплаты и цен означает, что доходы от зарплаты и прибыль в экономике увеличиваются с темпом, равном темпу роста зарплаты. Следовательно, работники и предприниматели находятся в ситуации, когда они могут увеличивать свои расходы на блага таким образом, что при одинаковой склонности к закупкам ими предъявляется спрос на один и тот же объем благ — как перед повышением зарплаты и цен, так и

после него. Для упрощения мы не учитываем увеличение выпуска вследствие повышения производительности. На рис. 25.2 это выражается в том, что кривая спроса смещается вверх так, что она пересекает кривую предложения при первоначальном объеме производства У
0 (пунктирная кривая спроса). Количество приобретаемых предпринимателями и работниками благ не изменяется, повышается лишь уровень цен, что связано с неудачной попыткой перераспределения со стороны профсоюзов. Если профсоюзы еще раз предпримут попытку повышения доли зарплаты через увеличение ее ставки, описанный процесс повторится и возникнет знаменитая спираль «зарплата— цены».
Описываемый нами процесс инфляции могли бы прервать или хотя бы замедлить два фактора (кроме фиксирования зарплаты и цен): снижение спроса на блага и неизменность или недостаточно быстрый рост денежной массы.
При оценке динамики спроса необходимо учитывать его различные составляющие: спрос домохозяйств на потребительские блага, спрос предпринимателей на инвестиционные блага, государственный спрос на блага и спрос «остального мира* на экспорт. Если не учитывать возможные перераспределительные эффекты повышения цен (например, временное изменение соотношения зарплаты и прибыли вследствие неодновременности повышения зарплаты и цен), у нас нет никаких оснований рассчитывать на длительное снижение спроса на потребительские и инвестиционные блага. Ведь доходы от зарплаты и прибыли повышаются (как нами показано) с тем же темпом, что и издержки на зарплату и цены, поэтому реальные доходы предпринимателей и рабочих (если абстрагироваться от повышения производительности) остаются постоянными.
Труднее ответить на вопрос, как будут изменяться спрос государства и спрос ¦остального мира». При повышении внутренних цен и при фиксированных обменных курсах если цены за границей возрастают более низкими ценами, количество экспорта будет снижаться. При плавающих обменных курсах снижение экспорта будет существенно меньше (см. гл. 21). Что же касается государства, то предсказать изменение его спроса на блага, в общем, невозможно.
Ограничение процесса роста цен имеет место и при инфляции зарплаты через регулирование денежной массы (неизменный ее объем или темпы расширения, уступающие темпам роста цен). Мы можем здесь применить тезис об ограничивающем воздействии контроля над денежной массой при инфляции спроса.
3.2.2. Инфляция прибыли
Обратимся ко второй важной форме инфляции издержек — инфляции прибыли. Об инфляции прибыли говорят тогда, когда предприниматели, используя свою рыночную власть с целью увеличения доли прибыли в национальном доходе, повышают прибылеобразующую накидку. При условии, что предприниматели в прошлом полностью использовали свои возможности увеличения цен, повышение нормы прибыли при постоянном или падающем спросе может иметь место лишь тогда, когда усиливается их рыночная власть. Ее возрастание может произойти двумя способами: через уменьшение конкуренции или снижение ценовой эластичности спроса. Ослабление конкуренции, в свою очередь, может происходить под влиянием различных факторов(см. гл. 7 и гл. 8). В частности, в ситуации экономической стагнации или сокращения объемов производства могут иметь место уменьшение числа производителей вследствие банкротств и слияний, а также ограничивающие конкуренцию сговоры. Снижение же ценовой эластичности (т. е. уменьшение процентной реакции спроса на процентное увеличение цен) происходит в течение длительного периода времени, если в ходе постоянного повышения жизненного уровня бывшие предметы роскоши превращаются в «нормальные» блага (см. гл. 4).
Как поддерживается ход инфляционного процесса при инфляции прибыли? Опять укажем на взаимодействия между ценами и зарплатой; в данном случае имеет место спираль «цены—зарплата». Но необходимо и здесь задать вопрос, как изменяются реальный спрос и денежная масса? Так как ответ на него в общем соответствует выводам, сделанным выше для инфляции зарплаты, мы просто отсылаем читателя к указанным рассуждениям.
3.3. Наслоение инфляции спроса и инфляции предложения
До сих пор мы разграничивали инфляцию спроса и инфляцию предложения. В экономической действительности оба вида инфляции могут наслаиваться друг на друга: вспомним хотя бы об инфляционном навесе спроса (вызванном превышающим рост производительности повышением зарплаты).
Хотя инфляция спроса и инфляция предложения теоретически могут быть разграничены по начальным импульсам, выявить их весьма затруднительно.
В экономической действительности мы часто наблюдаем происходящее более или менее одновременно общее повышение цен и зарплаты, что не позволяет идентифицировать начальные и «последующие» элементы инфляционного процесса. Ключом к решению данной проблемы может служить динамика реального продукта и занятости. Если оба показателя возрастают (а следовательно, увеличивается платежеспособный спрос), будет иметь место инфляция спроса. Если обе эти переменные уменьшаются (или уменьшается хотя бы темп роста национального продукта), мы сталкиваемся с инфляцией предложения.
3.4. Монетаристское объяснение инфляции
С точки зрения монетаристов,
«инфляция в конечном счете связана с темпом прироста предложения денег, который существенно превышает темпы роста реального производства. При этом темп инфляции равен разности между этими двумя переменными» (Johnson H.G., Inflation — Theorie und Politik. Mtinchen, 1975. S. 110).
Таким образом, монетаристы видят непосредственную причину инфляции в чрезмерном увеличении денежной массы, которое порождается соответствующим ростом количества денег ЦБ.
Но как увеличение денежной массы вызывает повышение цен? Мы уже познакомились с передаточным механизмом влияния (импульсов) денежной политики на основные макроэкономические переменные и поэтому ограничимся здесь кратким обобщением. Увеличение денежной массы нарушает равновесную структуру активов (портфелей) экономических единиц и приводит к повышению спроса на ценные бумаги (т. е. к замещению денег ценными бумагами). Рост спроса обуславливает увеличение цен (курсов) ценных бумаг, что (при данных купонных процентных ставках) равнозначно снижению фактических процентных ставок. Поэтому при неизменных ценах и доходах от реальных активов становится выгодным замещение долговых ценных бумаг подобными активами, вследствие чего начинает возрастать спрос на потребительские и инвестиционные блага, что в дальнейшем приводит к повышению цен. Процесс роста цен приостановится тогда, когда они вырастут настолько, что спрос, как трансакционный спрос на деньги, будет в точности равен дополнительной денежной массе.
Помимо начального импульса, нам необходимо описать движущие силы инфляционного процесса. Монетаристы делают акцент на постоянно возобновляющемся чрезмерном расширения денежной массы, осуществляемом денежными властями во избежание политически нежелательного кризиса занятости, к которому привело бы ограничение роста денежной массы через соответствующее сжатие спроса на блага.
Напрашивается вывод о том, что монетаристское объяснение инфляции не имеет принципиальных отличий от описанной выше теории инфляции спроса. Разница состоит прежде всего в том, что монетаристы видят причину инфляции не в росте спроса в реальной экономике (например, вследствие повышения ожидаемой прибыли предпринимателей или увеличения расходов государства на национальный продукт), а в первоначальном росте денежной массы. .
Но так как в обеих теориях рост денежной массы рассматривается как необходимое условие продолжительного инфляционного процесса, мнения монетаристов и теоретиков кейнсианской инфляции спроса в результате не слишком противоречат друг другу.
Предыдущий анализ следует дополнить одним замечанием: при фиксированных обменных курсах избыток платежного баланса автоматически ведет к росту денежной массы, так как ЦБ должен скупать излишек валюты при паритетном курсе выплачивая за него экспортерам отечественные деньги (например — рубли) (см. гл. 21). Следовательно, при функционировании системы фиксированных обменных курсов не обязательно рост денежной массы может быть вызван не сознательной политикой, а внешнеэкономической ситуацией. Здесь мы имеем дело с третьей формой проявления импортируемой инфляции (см. разделы 3.1 и 3.2.1 данной главы), которая в системе гибких обменных курсов полностью теряет свое значение.
3.5. Инфляция как борьба за распределение дохода
Помимо того, что инфляция спроса и инфляция предложения в силу рассмотренных нами наслоений могут выглядеть как идентичные процессы, оба они могут быть сведены к одной и той же общей причине: попытке разных групп хозяйствующих субъектов перераспределить в свою пользу национальный продукт. Разница между различными видами инфляции состоит только в том, что борьба за распределение:
¦ при инфляции спроса ведется в сфере использования национального продукта через повышение расходов, в результате чего они превышают сам совокупный продукт:
¦ при инфляции предложения ведется в сфере создания доходов через возрастание зарплаты и цен.
Но в обоих случаях борьба за распределение доходов порождает повышение цен, сознательно учитываемое в государственной экономической политике, поскольку повышение цен позволяет избежать более резких последствий этой борьбы (последствия смягчаются за счет инфляции). Повышение цен начинает выполнять функцию «социального успокоения».
4. Последствия инфляции
До сих пор мы не учитывали влияние инфляционных процессов на главные общеэкономические переменные. Но знание о них позволяет правильно оценивать настоятельность антиинфляционной политики. Следует учесть, что инфляционные эффекты носят многослойный характер и изменяются в зависимости от конкретных обстоятельств. Наряду с издержками и выгодами инфляции важно учитывать также издержки и выгоды борьбы с инфляцией.
4.1. Воздействие на занятость
Ширкое распространение получило весьма спорное утверждение о том, что характеризующаяся низкими темпами инфляция способствует росту занятости.
В упрощенном виде данная связь описывается следующим образом: в условиях безработицы государство повышает свой спрос, чтобы через мультипликационный и акселерационный эффекты (см. гл. 12) обеспечить более высокий национальный продукт и более высокую занятость. Чем больше степень приближения к полной занятости, тем скорее возникнут узкие места в отдельных областях производства, а значит будет наблюдаться повышение издержек, которое приведет к росту цен. В конечном итоге, высокие темпы инфляции приводят к незначительному улучшению ситуации с занятостью. Тезис о возможности компромиссного выбора между безработицей и темпом инфляции («больше безработицы означает меньше инфляции, меньше безработицы означает больше инфляции») представляется нам далеко не бесспорным. Мы не можем здесь подробно рассматривать этот вопрос, обсуждаемый в экономической литературе в рамках темы «кривая Филлипса» (см. гл. 13). Мы придерживаемся той точки зрения, что рост (снижение) темпа инфляции очень часто является лишь побочным продуктом стимулирующей (ограничительной) конъюнктурной политики и не является причиной увеличения или уменьшения занятости.
4.2. Воздействие на распределение доходов и имущества
Тот аргумент, что при инфляции спроса и прибыли рост цен опережает по времени возрастание заработной платы, нередко служит основанием для вывода о том, что в первую очередь от нее страдают получатели зарплаты. Обратное верно при инфляции зарплаты. По нашему мнению, с данной трактовкой эффекта перераспределения можно согласиться лишь том случае, когда мы рассматриваем краткосрочный период времени. Сразу после привыкания к инфляции, при инфляции спроса и прибыли, повышение цен будет предварительно включено в рост зарплаты, а при инфляции зарплаты ее увеличение будет предварительно включено в возрастание цен. В то же время существование пусть даже исчезающего со временем лага зарплаты, едва ли доказуемо. Очевидно, что для ответа на вопрос о том, возникает ли временный лаг изменения зарплаты в отношении к изменению цен или же изменение зарплаты опережает изменение цен, решающее значение имеет выбор момента, с которого начинается наблюдение. Иными словами:
практически невозможно установить временную очередность повышения зарплаты и цен, а значит и определить, имеет ли место спираль «цена—зарплата» или же спираль «зарплата—цена».
Как правило, отрицательное воздействие инфляции на распределение связывается с ее влиянием на получателей пенсий, когда увеличение пенсий отстает от инфляционного повышения доходов. Сегодня в ФРГ приспособление пенсий к общему изменению реальных доходов обеспечивается через так называемую «формулу динамичной пенсии», в то время как в прошлом оно осуществлялось через принятие соответствующих законов (см. гл. 15, раздел 3.2.1). И все-таки в условиях высоких темпов инфляции пенсионеры неизбежно терпят ущерб в том смысле, что корректировка денежных происходит с временным лагом. При снижающихся темпах инфляции пенсионеры, наоборот, получают определенные преимущества. Кроме того, при прогрессивном налогообложении они защищены от связанного с инфляцией утяжеления налогового бремени.
В ходе инфляционного процесса наибольший ущерб наносится тем индивидам, доходы которых повышаются медленнее, чем возрастают цены приобретаемых ими благ.
В ходе инфляционного процесса ущерб несут те владельцы имущества, у которых его номинальная чистая ценность повышается медленнее, чем уровень цен; в противоположном случае инфляция приводит к выигрышу этих хозяйствующих субъектов.
Таким образом, при повышении цен в силу того, что реальная ценность долга с течением времени снижается, выигрывает должник, а теряет кредитор. Но данный тезис имеет силу только тогда, когда кредитору не удается добиться соответствующей инфляционной надбавки в виде повышения номинальной ставки процента. Так как мелкие кредиторы (и, стало быть, мелкие вкладчики) не могут обеспечить себе такую инфляционную надбавку, в условиях роста цен они однозначно проигрывают, что с точки зрения социальной политики, представляется весьма сомнительным результатом. Следует заметить, что в ФРГ лица среднего и пожилого возраста являются нетто-кредиторами, а более молодые — скорее всего нетто-должниками, так что инфляция порождает перераспределение имущества между поколениями. Влияние инфляции на перераспределение богатства между держателями денежных и реальных активов представляется очевидным. В противоположность реальным активам денежные активы (долги) в процессе повышения цен теряют свою реальную ценность.
Еще один канал влияния инфляции на распределение возникает в связи с прогрессивной ставкой подоходного налога. Не изменяющиеся в реальном выражении, из-за соблюдения принципа номинальной стоимости («рубль равен рублю») при растущих ценах и номинальных денежных поступлениях, доход означает утяжеление налогового бремени (см. гл. 14, раздел 2.1.3). Но тот факт, что государство получает все больше налоговых доходов, ничего не говорит о том, принадлежит ли оно к «команде победителей» или же находится среди проигравших. Нам необходимо учесть изменение реальной ценности государственной задолженности, а также динамику государственных расходов. Часто рост цен приобретаемых государством благ (например, зданий и сооружений) превышает средний темп инфляции. В результате выигрыш государства за счет роста налоговых поступлений сводится на нет или оборачивается ущербом.
4.3. Воздействие на экономический рост
На сегодняшний день менее всего исследовано воздействие инфляции на экономический рост.
Положительное воздействие на рост может быть связано с влиянием инфляции на распределение, если, например, вследствие повышения прибыли в ходе инфляционного процесса возрастут инвестиции или снизится реальная задолженность предприятий.
С другой стороны, инфляция искажает основанные на редкости ценовые соотношения в экономике, так как в процентном выражении цены повышаются различным образом. Следовательно, при высоких и значительно изменяющихся темпах инфляции неопределенность ожиданий возрастает, а предоставляемая ценовым механизмом информация быстро устаревает. И то и другое ведет к возрастанию трансакционных издержек (издержки минимизации рисков и приобретения информации). Далее, при возрастании темпов инфляции часто возникает бегство в реальные непроизводственные активы. В целях избежания потерь ценности денег при их хранении приобретаются земельные участки и дома («бетонное золото»). Структура цен вновь искажается (земельные участки и дома становятся чрезмерно редкими и дорогими), а поскольку деньги теряют функцию сохранения ценности, редкие имеет место неправильное размещение производственных факторов экономики. Поэтому большинство экономистов придерживаются мнения о том, что в большинстве случаев характеризующаяся высокими или значительно изменяющимися темпами инфляция оказывает неблагоприятное воздействие на экономический рост.
5. Антиинфляционная политика
Успешная экономическая политика борьбы с инфляцией предполагает исследование причин роста цен и учет издержек антиинфляционной политики, а именно временного роста безработицы.
5.1. Борьба с инфляцией спроса
В процессе определенного как инфляция спроса повышения цен, естественно стремление к ограничению общеэкономического спроса средствами государственной экономической политики. Поэтому экономисты, как правило, выдвигают требование рестриктивной фискальной и денежной политики, причем монетаристы делают акцент на снижении темпа роста денежной массы, а кейнсианцы — на сокращении государственных расходов и повышении зависящих от доходов налогов.
Но при более тщательном рассмотрении такая «охлаждающая» конъюнктуру политика вызывает обоснованные сомнения. Ограничение способствующих экономическому развитию государственных и частных инвестиций означает снижение темпов роста в будущем (темпы повышения производительности). Следовательно, возможная краткосрочная успешная стабилизация уровня цен последовательно оплачивается потерями в виде снижения темпов роста и в конечном счете (в случае, если сохраняется навес спроса) перманентной ползучей инфляцией.
Вероятно, более разумно заблаговременно бороться с чрезмерным ростом спроса и тем самым влиять на стабилизацию экономического развития.
Таким образом, нам требуется долгосрочная, не ориентированная на деловые циклы, концепция регулирования спроса.
5.2. Борьба с инфляцией издержек
Если инфляция является следствием борьбы между группами хозяйствующих субъектов за повышение или защиту своей доли в национальном доходе, логично предположить, что экономическая политика призвана способствовать уменьшению ее интенсивности или хотя бы минимизировать ее последствия. Речь идет прежде всего о так называемой политике доходов. Политикой доходов называют направленные на стабилизацию уровня цен или корректировку распределения доходов мероприятия, оказывающие воздействие на доходы (зарплата, процент и прибыль). Важными ее инструментами (в отсутствие практики прямого государственного регулирования зарплаты, т. е. при наличии «тарифной автономии») являются общественные рекомендации и призывы.
Отчасти, политика доходов в ФРГ институционализирована Законом о стабильности в форме «концертированной кампании» (см. также гл. 16, раздел 5.4.2). При проведении «концертированной кампании» профсоюзам (правда, при необязательных совещаниях с участием государства) настоятельно рекомендуется поведение, которое имело бы в виду достижение экономической стабильности на основе рекомендаций по уровню зарплаты — в виде учета установленных государством верхних лимитов («потолков») ее повышения. Отметим, что верхние лимиты повышения ставки зарплаты предлагаются с учетом увеличения производительности экономики. Основой их установления выступает концепция так называемой политики зарплаты, ориентированной на производительность1 (см. гл. 5 и 26).
Однако даже последовательная реализация ориентированной на производительность политики зарплаты далеко не всегда приводит к стабильности цен: успехи в области повышения производительности в разных отраслях экономики различны, в то время как утвержденные в договорах ставки повышения зарплаты относительно одинаковы. Если в настоящее время политика зарплаты ориентируется на среднее повышение производительности, то соответствующее увеличение зарплаты в быстро растущих отраслях вызывает снижение удельных издержек на зарплату. Но так как олигополистическая экономика характеризуется понижательной жесткостью цен, цены в таких отраслях остаются неизменными, в то время как повышение издержек в отраслях с низким ростом производительности приведет к росту цен.
В общем перспективы успеха «концертированной кампании» оцениваются нами достаточно скептически. С одной стороны, необходимо констатировать, что она направлена исключительно на зарплату (каких-либо рекомендаций по ценам не существует). Помимо прочих причин, именно в силу неопределенности в области цен профсоюзы не готовы безоговорочно придерживаться рекомендаций «концертированной кампании». С другой стороны, нельзя забывать, что такая кампания изначально носит рекомендательный характер и никак не затрагивает принцип тарифной автономии. Власти ФРГ практически отказались от «концертированной кампании».
Поэтому для борьбы с инфляцией предложения в принципе остается лишь рестриктивная денежная и фискальная политика, которая через ограничение общеэкономического спроса сужает возможности повышения цен и зарплаты. Необходимо помнить, что борьба с инфляцией предложения средствами денежной и фискальной политики является долгосрочным процессом, и ее первыми последствиями являются увеличение безработицы и банкротства фирм. Возникает так называемая антиинфляционная рецессия: платой за стабильность цен становятся безработица и снижение темпов экономического роста. В ФРГ ее примером служат рецессии 1974-1975 и 1992-1993 гг.
В долгосрочном периоде более разумной является борьба с инфляцией уже в ее начальной фазе. Для этого необходима перманентная антиинфляционная политика, которая прежде всего нацелена на:
¦ усиление рыночной позиции потребителей (что препятствует росту цен);
‘Точнее, при рекомендации зарплаты речь идет не о концепции политики зарплаты, ориентированной на производительность, а более широко — о политике зарплаты, нейтральной по уровню издержек: тем самым такая политика учитывает также изменение других элементов издержек. Для упрощения мы здесь ограничиваемся зарплатой как важнейшим фактором издержек и, таким образом, политикой зарплаты, ориентированной на производительность.
Врезка 25.t* Таблица 25а
Инфляция я России Динамика инфляции в Российской Федерации
|
Год |
1991 г. |
1992 г. |
1993 г. |
1994 г. |
1995 г. |
1996 г. |
1997 г. |
|
Изменение сравнительно с предыдущим годом, %‘ |
+ 160 |
+ 2510 |
+ 840 |
+ 220 |
+ 130 |
+ 22 |
+ 11-12* |
1 Индекс потребительских цен.
Рассчитано по: Российский статистический ежегодник. М., 1997. С. 551.
*Оценка авторов.
Одной из главных проблем экономики России в период перехода к рынку является инфляция. Данные табл. 25а показывают, что, в частности, в 1992 г. (непосредственное начало рыночных реформ) темп инфляции составлял 2500% , что является разрушительным для денежной системы. В чем причины «взрыва* цен? Дело в том, что введение режима свободного ценообразования (с 2 января 1992 г.) было осуществлено в ситуации, когда подавляющая часть производственных активов еще находилась в руках государства, а конкуренция между производителями благ практически отсутствовала. В таких условиях «отпуск» цен означал их произвольное взвинчивание (в десятки раз) монополистами.
Это, в свою очередь, привело к сокращению спроса и спаду производства, а также к увеличению объема неплатежей, причем не только между предприятиями, но и между государством и населением, к неуплате налогов и к задержкам выплат заработной платы. Очевидно, что последний вид неплатежей чреват гибельными социальными последствиями. Реакция государства на задержки выплат зарплаты и другие неплатежи (первый раз — летом 1992 г.) заключалась в эмиссии денег, что приводило к расширению спроса и новому витку инфляции.
Сопряженная со спадом производства инфляционная спираль начала постепенно ослабевать, во-первых, вследствие некоторого оживления конкуренции в экономике (благодаря форсированной приватизации государственных предприятий), во-вторых, из-за того, что шок, связанный с распадом СССР и разрывом хозяйственных связей России и стран ближнего зарубежья (республик бывшего СССР — см. врезку 22.2) сменился периодом адаптации, и, в-третьих, благодаря ограничительной денежной политике ЦБ РФ.
Однако замедление темпов инфляции было достигнуто очень дорогой ценой — ценой глубокого спада производства и распространения в экономике вытеснивших полноценные деньги неплатежей и бартера. Причем следует иметь в виду, что массовое использование обоих этих средств обмена ухудшает общие условия производства и тем самым создает предпосылки для инфляции издержек. Таким образом, борьба с инфляцией через ограничение создания денег и уровня спроса может, в конечном счете, обернуться не полным ее подавлением, а формированием условий для дальнейшего роста цен, правда, под воздействием уже иных факторов.
Другой вариант антиинфляционной политики может состоять не в рестриктивном денежном регулировании, а в мерах по оживлению производства, вытеснению из обращения неплатежей и бартера «живыми» деньгами, а также в дальнейшем стимулировании конкуренции и борьбе с монополизмом производителей.
¦ политику конкуренции, гарантирующую настоящую (ценовую) конкуренцию между продавцами, и препятствующую установлению рыночной власти кого-то из них;
¦ попытки проведения сглаживающей конфликты политики распределения.
Список основных понятий
Инфляция издержек Инфляция прибыли Инфляция зарплаты Спираль «зарплата—цена»
Спираль «цена—зарплата» Возможность компромиссного выбора между безработицей и инфляцией Бегство в реальные непроизводственные активы Кониертированная кампания Политика доходов Антиинфляционная рецессия Политика зарплаты, ориентированная на производительность
Индекс стоимости жизни всех домохозяйств
Дефлятор валового национального продукта
Ползучая инфляция Галопирующая инфляция Временная инфляция Перманентная инфляция Открытая инфляция Подавленная инфляция Инфляция спроса Инфляция предложения Дезинфляция Инфляционный разрыв Импортируемая инфляция

4) Обсудите мнение монетаристов, считающих, что инфляцию вызывает слишком быстрый рост денежной массы.
5) Как инфляция воздействует на функции денег?
6) Опишите воздействие инфляции на распределение доходов и имущества.
7) Покажите, как в условиях современной рыночной экономики увеличение зарплаты на определенный воздействует на цены при условии, что оно превышает процент увеличения производительности.
8) Назовите и коротко опишите разные виды импортируемой инфляции.
9) Что понимается под ориентированной на производительность политикой зарплаты?
10) В чем состоит критика государственного антициклического регулирования спроса как средства борьбы с инфляцией?
¦ Анализ различных видов инфляции в историческом и теоретическом аспектах дан в следующей книге:
Малкина М. Ю. Инфляция: теория и практика, история и современность. Нижний
Новгород, 1998. .
¦ Доступное изложение связанных с инфляцией проблем содержится в гл. 18 учебника:
Курс экономической теории / Под ред. М. Н. Чепурина и Е. А. Киселевой. Киров,
1994.
¦ Четкое и понятное введение в теорию инфляции вы найдете в гл. 15 книги:
Хейне П. Экономический образ мышления. М., 1993.
¦ Подробное изложение взаимосвязи инфляции и безработицы содержится в гл. 14 и 15 уже не раз упоминавшегося американского учебника:
Дорнбуш Р., Фишер С. Макроэкономика. М., 1997.
¦ Взаимосвязь колебаний инфляции и производства с иллюстрацией на материале статистических данных об экономике России представлена в гл. 3 и 4 книги:
Лэйард Р. Макроэкономика. Курс лекций для российских читателей. М., 1994.
¦ Обширный сопоставительный анализ инфляции в странах с различным хозяйственным механизмом содержится в книге:
Никитин С.М., Гельвановский М. И., Гринберг Р. С. и др. Инфляция и хозяйственный механизм (80-е годы). М., 1993.
¦ Материалы об исчислении индекса стоимости жизни изложены в лекции 19 следующего издания:
Экономическая школа. Вып. 2. СПб., 1992.
РАСПРЕДЕЛЕНИЕ ДОХОДОВ И БОГАТСТВА
% ... • _
Ш»?.
Какими вопросами занимается теория распределения доходов?
¦ В чем заключается разница между первичным и вторичным распределениями доходов?
¦ Что такое функциональное распределение доходов?
¦ Что такое личное распределение доходов?
¦ Какую роль играет доля зарплаты?
¦ Предполагает ли «справедливое» распределение доходов применение критериев равенства доходов, распределения по потребностям или распределения по выполненной работе?
Насколько успешными могут быть меры по перераспределению доходов?
¦ Насколько эффективна «экспансионистская» политика зарплаты?
¦ Какие плоды приносит перераспределение доходов через налоги и трансферты?
¦ Какое влияние на распределение могут оказывать общественные блага?
Что такое богатство и в чем состоят возможности его перераспределения?
¦ Почему определение и оценка богатства являются центральным пунктом дискуссий о политике распределения?
¦ Какие точки зрения на распределение богатства можно выделить?
¦ Что перераспределяется: запасы богатства или его прирост?
1. Предварительные замечания
Применяемые в процессе производства различных благ факторы «труд» и «капитал» (включая землю) находятся во владении определенных лиц или их групп. Одновременно участвующие в производстве факторы, а точнее говоря, их собственники, получают доходы, которые позволяют приобретать потребительские блага или, откладывая сбережения, накапливать богатство. Тема этой главы — описание и анализ распределения национального дохода между факторами производства, т. е. между их владельцами (см. рис. 26.1). Как правило, выделяют два аспекта распределения.
(1) Какой доход получают участвующие в производстве национального продукта производственные факторы и как можно объяснить его распределение между ними?
(2) Как распределяются доходы между отдельными группами лиц или домохозяйств и как можно объяснить это распределение?
Описание одних лишь основ теории распределения доходов, позволяющее идентифицировать главные его факторы, выйдет далеко за рамки нашего вводного курса. Мы пойдем несколько иным путем: после определения некоторых основных понятий рассмотрим вопрос о «справедливом» распределении доходов, а затем обратимся к анализу фактического распределения доходов в Федеративной Республике Германии (и в России), а в заключение попытаемся оценить возможности перераспределения доходов в рыночной экономике. Завершают главу некоторые замечания относительно распределения богатства.

Лица или группы лиц
Производственные
факторы
Производственный Производственные Лица или
процесс факторы группы лиц |
|
Затраты факторф |  |
|
Рис. 26.1. Процесс создания и распределения доходов |
і ?
О. О)
W- од
§: я О О -S.1 ОО-
*
С х
Капи
тал |
 |

2. Основные понятия
2.1. Создание доходов
В результате предоставления факторных услуг в ходе производственного процесса собственники факторов получают право на часть созданного дохода; например рабочий приобретает право на получение заработной платы. Сумма, на которую распространяется право получения дохода, определяется как произведение количества предоставленных факторных услуг (например, рабочих часов) и цены фактора (например, почасовой зарплаты). Для правильного понимания процесса образования доходов нужно уяснить, что как проданные (примененные) объемы факторов, так и их цена, в рыночной экономике определяются на рынках.
¦ Если на рынке какой-либо фактор предлагается и запрашивается в больших количествах, он будет применяться в расширенных масштабах и в производственном процессе.
¦ Цена фактора будет тем выше, чем меньше в сравнении со спросом его предложение.
Во всяком случае таков основной принцип. На практике на самом важном факторном рынке — на рынке труда вследствие особой рыночной структуры (двусторонней монополии между партнерами по тарифным соглашениям) временно возникают результаты, которые лишь отчасти соответствуют условиям спроса и предложения. Если при этом на переговорах устанавливается превышающая равновесную (при которой предложение труда и спрос на труд соответствуют друг другу) ставка зарплаты, это может стать причиной безработицы. Но в долгосрочном периоде уровень заработной платы определяется, несмотря на рыночную власть партнеров по тарифным соглашениям, условия рынка.
2.2. Первичное и вторичное распределение доходов
Первичным распределением доходов называется такое распределение национального дохода, которое формируется непосредственно в ходе производственного процесса без вмешательства государства.
Напротив, вторичное распределение доходов отражает складывающееся в результате перераспределения располагаемого дохода между отдельными его получателями (т. е. домашними хозяйствами), производимого государством через прямые налоги, пенсии, пособия по безработице, льготы по квартплате, пособия на детей и другие трансферты. В качестве примера предположим, что рабочий получает валовой доход в сумме DM 3200 в месяц (включая подоходный налог и взносы работодателя и рабочего в фонды социального страхования). Это и есть тот доход, который ему достается в рамках первичного распределения. Если из него вычесть подоходный налог, а также все взносы на социальное страхование, и прибавить пособие на детей, льготы по квартплате и т. д., мы получим доход домашнего хозяйства после перераспределения доходов государством. Следовательно, различие между первичным и вторичным распределением дохода в микроэкономической сфере соответствует различию между валовым доходом и располагаемым доходом.
2.3. Функциональное и личное распределение доходов
В создании национального продукта участвуют отдельные производственные факторы — капитал (включая землю) и труд. Распределение национального дохода между этими производственными факторами называется функциональным распределением доходов.
Производственные факторы находятся в собственности хозяйствующих субъектов. Поэтому мы можем исследовать также распределение национального дохода между этими субъектами или их группами независимо от того, с помощью какого производственного фактора был создан доход. В таком случае мы имеем дело с личным распределением доходов.
Разницу между функциональным и личным распределением доходов можно проиллюстрировать на следующем примере: предположим, что национальный доход в объеме 100 делится в соотношении 60 к 40 на производственные факторы труд и капитал. Таким образом определено функциональное распределение доходов. Далее предположим, что трудовой коллектив получает доходы от труда в объеме 60 и доходы от капитала в объеме 10 (например, в виде дивидендов), а предприниматели — доходы от капитала в объеме 30. Таким образом дано личное распределение доходов в экономике: наемные работники получают 70, предприниматели — 30.
2.4. Доля зарплаты и ее значение в политике распределения
Выше мы уже упоминали о доле зарплаты, которую мы определили как долю заработной платы в совокупном национальном доходе. Доле зарплаты «противостоит» доля прибыли, отражающая удельный вес прибыли в национальном доходе. Если мы (несколько упрощенно) предполагаем, что национальный доход состоит только из зарплаты и прибыли, тогда доля зарплаты и доля прибыли должны в сумме давать 1 (т.е. 100%):
Национальный доход =
= вся сумма зарплаты в экономике + вся сумма прибыли в экономике.
Национальный доход _ Зарплата Прибыль
Национальный доход Национальный доход Национальный доход
Разделение национального дохода на зарплату и прибыль в системе национальных счетов (см. гл. 9, 10) трактуется иначе. Национальный доход разделяется на «оплату труда наемных работников» (сдельная зарплата и жалованье) и на «валовую (чистую) прибыль экономики и доходы от собственности» (доходы от процентов и аренды, зарплата предпринимателя — это фиктивная оплата услуг лиц, работающих не по найму, и прибыль в узком смысле), долю которых в национальном доходе принято называть соответственно долей зарплаты и долей прибыли.
Распределение национального дохода на оплату труда наемных работников и на доходы от предпринимательской деятельности и собственности можно обозначить лишь с некоторой оговоркой как функциональное. Это связано с тем, что доходы от наемного труда только приблизительно отражают доходы производственного фактора «труд», а доходы от предпринимательской деятельности и собственности — доходы производственного фактора «капитал». Неточность рассматриваемых показателей обусловлена прежде всего тем, что доходы от предпринимательской деятельности и собственности содержат и доходы производственного фактора «труд», а именно ценность труда, затраченного не наемными работниками, а неоплачиваемыми, но вносящими свой трудовой вклад членами семьи. Если мы стремимся получить переменную, отражающую настоящее функциональное распределение, необходимо скорректировать показатель доходов от наемного труда и предпринимательской деятельности и собственности. Для этого мы вычитаем из доходов от предпринимательской деятельности и собственности соответствующий зарплате наемных работников трудовой доход (зарплату предпринимателя) ненаемных работников и прибавить его к доходу работающих по найму (см. долю доходов наемных работников в табл. 26.1).
Распределение национального дохода на доходы наемных работников и доходы от предпринимательской деятельности и собственности не соответствует даже личному распределению, так как оно не определяет совокупную долю наемных работников и предпринимателей в национальном доходе. Наемные работники также получают в значительном объеме доходы от собственности (проценты, дивиденды). Поэтому вызывает сомнение использование в дискуссии, касающейся политики распределения, изменения доли зарплаты как показателя определения доли оплаты наемных работников в национальном доходе.
Другая причина того, что изменение доли зарплаты не является подходящим показателем изменения доли оплаты наемных работников в национальном доходе, состоит в том, что доля зарплаты не учитывает, на какое число наемных работников делится сумма, заработной платы. Этот аргумент был бы неуместен лишь в том случае, если бы численность рабочих была постоянна. Но мы не имеем права абстрагироваться от него тогда, кого изменяются численность безработных или доля наемных работников в общем числе занятых. Изменение в структуре занятости, а значит, в численном соотношении между предпринимателями и лицами, работающими по найму, учитывается в том случае, если вычисляется так называемая «очищенная» доля зарплаты, которая определяется на основе структуры занятости некоего базисного года.
С нашей точки зрения, концентрация внимания в дискуссии о политике распределения на доле зарплаты неправомерна еще по одной причине. При сопоставлении валовой (чистой) прибыли экономики и доходов от собственности с одной стороны, и оплаты труда наемных работников, с другой, мы утрачиваем возможность сравнения доходов занятых в экономике и принадлежащих к одной и той же группе лиц. Так, например, наемные работники с низким и средним доходом ставятся в один ряд с работающими по найму менеджерами (например, с директором крупного акционерного общества), доходы которых обычно превышают доходы большинства предпринимателей.
3. Справедливое распределение доходов
После этих терминологических разъяснений мы обсудим вопрос о справедливом распределении доходов.
Необходимо отметить, что на вопрос о справедливом распределении доходов невозможно дать научно обоснованный ответ, потому что каждый из них будет оценкой, опирающейся на нравственные установки отвечающего.
Экскурс:
Теория распределения на основе предельной производительности
Утверждение, что всякая оценка распределения является ценностным суждением, мы проиллюстрируем на примере «теории предельной производительности», которая, согласно мнению некоторых экономистов, дает объективно справедливое решение проблемы распределения. Если предприниматель ведет экономический расчет, он будет использовать некий производственный фактор, например труд, до тех пор, пока прирост затрат этого фактора увеличивает его прибыль. Но если это повысит его прибыль, предприниматель может и сократить объем применения фактора. До каких пределов предприниматель будет расширять применение труда, т. е. использовать больше рабочей силы? До тех пор, пока получаемая благодаря использованию фактора дополнительная выручка превышает расходы на него. В расчете на один час рабочего времени это означает, что объем применения труда будет расширяться до тех пор, пока ценность дополнительного продукта одного рабочего часа превышает ставку зарплаты за час. Аналогичное утверждение справедливо для любого другого фактора, в частности для капитала. Если мы назовем произведение продукта дополнительной единицы производственного фактора на цену этого продукта «ценностью предельного продукта фактора», тогда прибыль предпринимателя достигнет максимума в том случае, когда он использует ровно то количество каждого фактора, чтобы ценность его предельного продукта (в предельном случае) была равна цене производственного фактора. Применительно к труду это означает, что дополнительные рабочие принимаются на работу до тех пор, пока ценность произведенного ими дополнительного продукта больше ставки зарплаты. Из этого правила максимизирующего прибыль применения производственных факторов, некоторые сторонники теории предельной производительности вывели простое правило распределения: если фактору была бы выплачена ценность его предельного продукта, значит, он получил справедливое вознаграждение своих услуг, ведь ему досталось то, «что он создал». Ошибка в этой аргументации очевидна: если в производстве участвуют несколько факторов, то ценность предельного продукта одного производственного фактора ничего не говорит о вкладе, который вносит в производство именно этот фактор. Изоляция данного вклада — логически неразрешимая задача: если без участия других факторов производство не осуществимо, тогда невозможно и определение индивидуального вклада одного фактора. Определение ценности предельного продукта как «ключа» к распределению возможно, но оно будет носить произвольный характер.
3.1. Нормы распределения
Общепризнанной нормой распределения является справедливость распределения. Но, не будучи определено, это понятие является малозначимым в содержательном плане. Справедливость предполагает одинаковое обращение с равными. Но что считать одинаковым — остается спорным вопросом. Обычно речь идет о разных концепциях справедливости распределения — распределения по вкладу и распределения по потребностям.
3.1.1. Распрелеление по вкладу в производство
Согласно данной концепции, доход должен соответствовать произведенной для общества работе (что порождает проблему измерения результативности). Нередко утверждают, что в в условиях конкуренции в рыночной экономике произведенная работа соответствует рыночной цене. Данная точка зрения основывается на той идее, что рынки благ через цены и прибыль подают сигналы о существующих в экономике платежеспособных потребностях, на основе которых и определяется спрос на необходимые для производства соответствующих продуктов факторные услуги. Следовательно производства при данной величине предложения факторов их цены отражают редкость и ценность соответствующих факторных услуг для общества.
С нашей точки зрения, данная аргументация чрезмерно упрощает ситуацию. При господствующем в современном индустриальном обществе многофункциональном производстве невозможно определить вклад в его результат отдельной услуги. Так, например, в рамках производства пива вряд ли возможно определить и оценить вклад в его результаты услуг мастера, бухгалтера или рабочего на линии розлива. Таким образом, высказывание о том, что доходы в рыночной экономике соответствуют произведенной работе, оказывается тавтологией, а правило распределения по проделанной работе остается бессодержательным (см. выше материал по теории предельной производительности).
Помимо этой принципиальной проблемы возникают и другие сложности, связанные с тем, что в ряде случаев равенство рыночной оплаты и произведенной работы весьма сомнительно:
¦ Существует множество полезных для общества, но не оцениваемых рынком услуг (например, уход за детьми, деятельность домохозяйки и т. д.).
¦ Рынок не всегда оценивает предоставленные услуги в соответствии с критерием полезности для общества. Вспомним о внешних эффектах, которые выражаются в расхождении между оценкой предпринимательской прибыли и убытка, с одной стороны, и оценкой выгод и издержек для общества — с другой. Такие примеры известны нам по дискуссиям о защите окружающей среды. В других случаях рынок «воздает» за неоказанные услуги. Например, реализованный при продаже частного земельного участка прирост ценности (обусловленный вложениями общества в развитие инфраструктуры в данной местности) не является услугой собственника участка.
¦ При отсутствии или недостаточной конкуренции рыночный результат часто отражает не столько выполненную работу, сколько экономическую власть.
Наряду с выполненной работой — «выпуском» (output) — при обсуждении справедливости распределения по труду следует учитывать и затраченные индивидуумом усилия, его личную жертву — «затраты» {input). В этом случае на передний план выступают различные аспекты сопряженных с выполнением работы физических и психологических нагрузок. В ФРГ внутри отдельных отраслей и предприятий структура зарплаты в основном определяется в соответствии с критерием затраченных усилий. Очевидно, что подобное правило распределения часто ведет к иным в сравнении с распределением в соответствии q рыночной оценкой проделанной работы результатам; хозяйственная деятельность поставщика, получившая низкую оценку рынка, может характеризоваться весьма высокими затратами производителя.
3.1.2. Распределение по потребностям
Согласно этому принципу, справедливость в распределении означает одинаковое благосостояние для всех индивидуумов. Благосостояние же определяется (причем более точная формулировка невозможна) как удовлетворение, доставляемое различными социальными и экономическими благами. Обосновывается это правило равенством людей: так как люди равны, то и уровень благосостояния должен быть одинаковым.
Данный принцип подразумевает равномерное распределение доходов (принцип эгалитаризма), если уровень благосостояния для каждого человека одинаково зависит от дохода (идентичная функция полезности). В противном случае необходимо было бы учитывать остроту потребностей человека. Однако такая оценка в силу принципиальной невозможности сопоставления потребностей и полезности разных людей вряд ли осуществима. Следовательно, строго говоря, правило распределения по потребностям лишено всякого содержания.
3.2. Справедливость распределения
Предыдущий анализ показывает, что понятие «справедливость распределения» может интерпретироваться различным образом. Но правило распределения по потребностям нам кажется более разумным, чем распределение по произведенной работе.
Даже если наши представления о том, каким в конечном счете должно быть справедливое распределение доходов, весьма туманны, в научной среде и обществе сложилось единое мнение о том, что повышение степени равномерности распределения всегда означает улучшение ситуации.
Отрицание справедливости распределения по произведенной работе как правила распределения отнюдь не означает, что устранение разницы в доходах может остаться без последствий для экономики. В капиталистической рыночной экономике, как и в других экономических системах, разница в доходах функционально необходима, ибо выступает как механизм мотивации и как инструмент регулирования. С этой точки зрения, различия в доходах связаны не со спецификой проделанной разными людьми работы, а с необходимостью побуждения их к выполнению еще больших объемов работы. В этом смысле наша экономическая система предлагает связанные р известным риском возможности «карьерного роста». Лишь некоторые из нас достигают высших ступеней иерархических пирамид, но такие достижения оплачиваются настолько хорошо, что люди постоянно имеют стимул к более интенсивному, направленному на продвижение к «вершинам» труду.
4. Распределение доходов
в Федеративной Республике Германии
4.1. Доля зарплаты
Несмотря на высказанные нами сомнения, доля зарплаты играет весьма важную роль в проходящих на Западе политических дискуссиях, что обусловлено двумя причинами:
¦ показатель доли зарплаты, в сравнении с другими статистическими данными по распределению, наиболее доступен;
¦ в дискуссии гораздо проще апеллировать к одному единственному хорошо понятному показателю.
В табл. 26.1 представлено изменение доли зарплаты в ФРГ в 1950-1993 гг.:
Таблица 26.1
Динамика доли зарплаты в ФРГ (старые федеральные земли) |
|
Годы |
Валовая доля зарплаты |
Доля доходов от труда*** |
Доля наемных работников в общем числе занятых |
|
неочищенная' |
очищенная" |
|
1950 |
58,2 |
71,0 |
|
68,4 |
|
1955 |
59,7 |
67,5 |
|
74,1 |
|
1960 |
59,7 |
65,0 |
80,1 |
77,2 |
|
1965 |
65,3 |
67,3 |
80,7 |
80,9 |
|
1970 |
68,0 |
68,0 |
81,5 |
83,4 |
|
1975 |
73,1 . |
71,5 |
84,9 |
85,3 |
|
1980 |
73,5 |
70,2 |
83,2 |
87,4 |
|
1985 |
73,0 |
68,7 |
82,4 |
88,6 |
|
1990 |
69,6 |
65,0 |
77,9 |
89,4 |
|
1991 |
70,1 |
65,3 |
78,3 |
89,5 |
|
1992 |
71,1 |
66,2 |
79,4 |
89,5 |
|
1993 |
72,5 |
67,6 |
80,5 |
89,3 |
|
... — данные отсутствуют
* — Валовой доход наемных работников в процентах от национального дохода.
** — Неочищенная валовая доля зарплаты, скорректированная с учетом изменения структуры занятости по сравнению с базисным 1970 г.
*** —Соотношение между совокупным трудовым доходом [суммой валовых доходов наемных работников (резидентов) и трудовых доходов самозанятых, включая помогающих членов семьи] и национальным доходом.
Источник: Handbuch einkommens-, vermogens-, und sozialpolitischer Daten, Lose-blattsammlung, Koln, Ifd. Erganzung. Sachverstandigenrat zur Begutachtung der gesamtwirtschaftlichen Entwicklung, JG 1994/95. S. 85, 102.
Из табл. 26.1 следует, что «неочищенная» валовая доля зарплаты за 1950— 1980 гг. повысилась до 73,5% (достигнув максимального значения в 1982 г. — 76,9%), а затем начала снижаться. В начале 1990-х гг. ситуация вновь изменилась. Аналогичную картину мы наблюдаем и для «очищенной» доли зарплаты (очищенная потому, что при ее исчислении исходят из постоянной структуры занятости; в данном случае базисным является 1970 г., который, следовательно, имеет равные «очищенные» и «неочищенные» доли). Она увеличивалась до 1975 г. (71,5%), а затем начала уменьшаться. Рост «очищенной» доли зарплаты означает, что средняя зарплата по отношению к среднему доходу всех занятых в экономике повысилась, и наоборот. Рассмотрим следующий перерасчет:
L А Е
Доля зарплаты = — расширяется с темпом, равным —;
I А Пі
при этом А — это количество рабочих, а Е — численность всех занятых в экономике.
L
= L А Е _ А Е L A L Е Y y’a’e_e'a’y'e’a'y'
Из этого следует:
L
L
= A а Y Е Y’
Е
Так как при очищенной доле зарплаты доля рабочих в численности всех занятых
экономике (—) выросла.
Следует отметить, что доля зарплаты зависит от изменений экономической конъюнктуры: она снижается в фазе подъема (доходы предпринимателей опережают общий рост доходов) и повышается при спаде (наемные работники в этой фазе делового цикла устраняют отставание (лаг зарплаты).
Как было указано выше, доля зарплаты как показатель функционального распределения доходов несовершенна, так как не включает в себя полностью все доходы от труда, что отражает указанная в табл. 26.1 доля доходов от труда (предпоследний столбец).
4.2. Личное распределение доходов
Статистика личного распределения доходов в ФРГ базируется, с одной стороны, в большинстве случаев на выборочном обследовании доходов и потребления (ВОДП) и, с другой — на модельных расчетах Немецкого института экономических исследований (НИЭИ). ВОДП — это проводящееся более десяти лет изучение на добровольной основе отдельных домашних хозяйств (примерно 0,2% их числа). ВОДП не учитывает иностранцев, лиц, проживающих в общежитиях, и домашние хозяй-
Таблица 26а
Изменение доли зарплаты ВВП в РФ |
Рассчитано по:
Российский статистический ежегодник. М., 1997. С. 306. |
|
Годы • |
Неочищенная доля зарплаты в ВВП (в %) |
|
1990 |
48,8 |
|
1991 |
43,7 |
|
1992 |
36,7 |
|
1993 |
44,5 |
|
1994 |
49,3 |
|
1995 |
43,4 |
|
1996 |
45,9 |
|
Врезка 26.1.
Изменение доли зарплаты в ВВП в Российской Федерации
Из табл. 26а видно, что в 1990-е гг. в РФ «неочищенная» доля зарплаты сократилась. Особенно резкий перелом произошел в 1992 г., что связано с началом перехода к рыночной экономике. Однако затем произошло ее небольшое увеличение, и в результате «суммарное» сокращение за 1990-е гг. оказалось весьма небольшим.
Здесь следует учитывать, что в ФРГ в сумму валовой заработной платы включают обязательные платежи в фонды социального страхования, которые вычитаются из этой суммы. В России на сегодняшний день подобные отчисления весьма невелики. С учетом данных платежей в величине заработной платы в РФ показатель ее доли был бы значительно выше.
В целом падение доли зарплаты сигнализирует об ослаблении «позиции* труда (профсоюзного движения) относительно капитала. В общем доля трудовых доходов в России крайне низка — в Германии (см. табл. 26.1) и других развитых промышленных странах она составляет около 70%.
ства с высоким доходом (при предпоследнем ВОДП в 1988 г. «высокими доходами» считались доходы, равные DM 25 тыс. в месяц). НИЭИ осуществляет свои расчеты распределения, используя данные системы национального счетоводства, статистику налогообложения, частичные переписи населения и т. д.
Расслоение домашних хозяйств по доходам представлено в табл. 26.2 и 26.3.
При этом население дифференцируется по социальным группам и структурируется как по валовым доходам от труда и имущества (перед перераспределением; см. табл. 26.2), так и по располагаемому доходу (после перераспределения; см. табл. 26.3), что позволяет нам получить представление об объеме неравенства внутри отдельных групп и среди населения в целом. Так, например, 27% общей численности населения получали перед перераспределением доходы, не превышавшие DM 1 тыс. в месяц, в то время как, например, 0,8% — свыше DM 25 тыс.; после перераспределения только 2% населения имели доходы менее DM 1 тыс. и лишь 0,4% получили больше DM 25 тыс. Следовательно, данные косвенным образом показывают наличие существенного объема перераспределения через налоги и социальные услуги (см. рис. 26.2).
Вывод о значительных расхождениях в доходах социальных групп позволяет сделать анализ данных, представленных в табл. 26.2, 26.3 и особенно в табл. 26.4, в которую включены вычисления средних значений доходов групп, опять-таки дифференцированные по валовым и располагаемым доходам.
|
Распределение доходов в ФРГ в 1988 г.: Кривая Лоренца |
 |
|
Рис. 26.2. Распределение доходов в ФРГ в 1988 г.: кривая Лоренца Источник: DIW-Wochernbericht 22/1990. S. 313. |
Таблица 26.2
Разброс доходов, оцененный по величине валового дохода*, и доходы различных социальных групп от собственности в
ФРГ в 1988 г. (данные в процентах по отдельным группам)
|
Месячный доход домашнего хозяйства (в DM) |
Домашние хозяйства |
Все
домохо
зяйства
в целом |
|
Самозанятых |
Служа
щих |
Государствен
ных
должностных
лиц |
Рабочих |
Пенсио
неров |
Получателей пенсий после работы на государственных
должностях |
Получа
телей
пособий
по
безрабо
тице** |
в сельском
хозяйстве |
вне
сельского
хозяйства |
|
менее 1000 |
|
0,0 |
0,0 |
0,0 |
0,0 |
0,0 |
62,5 |
60,1 |
62,4 |
27,0 |
|
1000... |
2000,0 |
0,0 |
0,0 |
0,1 |
0,7 |
0,9 |
18,0 |
18,1 |
21,7 |
8,2 |
|
2000... |
3000,0 |
8,5 |
0,0 |
2,7 |
7,6 |
6,7 |
14,0 |
14,8 |
11,6 |
8,6 |
|
3000... |
4000,0 |
17,9 |
0,0 |
8,7 |
16,0 |
17,5 |
4,5 |
6,3 |
4,2 |
8,9 |
|
4000... |
5000,0 |
12,6 |
0,1 |
12,9 |
15,1 |
18,3 |
0,5 |
0,5 |
0,1 |
8,1 |
|
5000... |
6000,0 |
15,9 |
0,5 |
15,2 |
15,5 |
16,9 |
0,3 |
0,2 |
0,0 |
8,3 |
|
6000... |
7000,0 |
15,6 |
1.4 |
15,3 |
13,8 |
12,5 |
0,1 |
0,0 |
0,0 |
7,2 |
|
7000... |
8000,0 |
12,4 |
2,7 |
13,3 |
10,7 |
9,1 |
0,0 |
0,0 |
0,0 |
5,8 |
|
8000... |
9000,0 |
8,8 |
4,3 |
10,4 |
7,5 |
6,6 |
0,0 |
0.0 |
0.0 |
4.5 |
|
9000... |
10000,0 |
4,4 |
6,4 |
7,4 |
5.1 |
4,7 |
0,0 |
0,0 |
0,0 |
3,4 |
|
10000... |
11000,0 |
3,2 |
27,5 |
7,8 |
5,1 |
4,2 |
0,0 |
0,0 |
0,0 |
4,6 |
|
15000... |
20000,0 |
0,6 |
23,9 |
4,5 |
2,2 |
2,3 |
0,0 |
0,0 |
0,0 |
3,0 |
|
20000... |
25000,0 |
0,0 |
19,2 |
1,7 |
0,8 |
0,4 |
0,0 |
0,0 |
0,0 |
1,6 |
|
25000 и более |
|
0,0 |
14,1 |
0,0 |
0,0 |
0,0 |
0,0 |
0,0 |
0,0 |
0,8 |
|
Всего |
100,0 |
100,0 |
100,0 |
100,0 |
100,0 |
100,0 |
100,0 |
100,0 |
100,0 |
|
*Включая доходы от аренды квартир без предполагаемых социальных платежей и без учета нераспределенных прибылей предприятий, функционирующих без образования юридического лица.
* Получатели пособий по безработице (страховых выплат или материальной помощи для безработных).
Источник: Wochenberichte des DIW, Wochenbericht 22/1990. S. 304ff. |
Таблица 26.3
Разброс доходов различных социальных групп в ФРГ в 1988 г. по величине располагаемого дохода (данные в процентах
отдельным социальным группам)
|
Месячный доход домашнего хозяйства (в DM) |
Домашние хозяйства |
Все
домохо
зяйства
в целом |
|
Самозанятых |
Служа
щих |
Государствен
ных
должностных
лиц |
Рабочих |
Пенсио
неров |
Получателей пенсий после работы на государственных
должностях |
Получа
телей
пособий
по
безрабо
тице** |
в сельском
хозяйстве |
вне
сельского
хозяйства |
|
менее 1000 |
|
0,0 |
0,0 |
0,0 |
0,0 |
0,0 |
4,1 |
0,4 |
14,9 |
2,0 |
|
1000... |
2000,0 |
1.2 |
0,0 |
1,6 |
0,6 |
6,9 |
29,3 |
2,7 |
37,0 |
13,9 |
|
2000... |
3000,0 |
16,5 |
0,0 |
17,9 |
12,4 |
<38,7 |
30,9 |
24,7 |
24,2 |
26,3 |
|
3000... |
4000,0 |
22,1 |
0,1 |
35,2 |
28,0 |
31,8 |
26,1 |
30,4 |
18,7 |
27,8 |
|
4000... |
5000,0 |
20,9 |
1,4 |
17,3 |
21,1 |
8,8 |
5,8 |
19,4 |
3,9 |
10,3 |
|
5000... |
6000,0 |
18,5 |
2,8 |
11,5 |
16,0 |
6,1 |
2,6 |
13,1 |
1.3 |
6,7 |
|
6000... |
7000,0 |
12,1 |
5,0 |
7,4 |
9,9 |
3,9 |
0,8 |
6,3 |
0,0 |
4,0 |
|
7000... |
8000,0 |
4,7 |
8,8 |
4,6 |
5,7 |
2,1 |
0,2 |
2,3 |
0,0 |
2,6 |
|
8000... |
9000,0 |
2,4 |
11,1 |
2,6 |
3,5 |
1,0 |
0,1 |
0,7 |
0,0 |
1,7 |
|
9000... |
10000,0 |
1,5 |
11,4 |
1,1 |
1,9 |
0,5 |
0,0 |
0,0 |
0,0 |
1,1 |
|
10000... |
11000,0 |
0,3 |
23,4 |
0,5 |
0,9 |
0,2 |
0,0 |
0,0 |
0,0 |
1.6 |
|
15000... |
20000,0 |
0,0 |
18,0 |
0,1 |
0,0 |
0,0 |
0,0 |
0,0 |
0,0 |
1,1 |
|
20000... |
25000,0 |
0,0 |
10,7 |
0,0 |
0,0 |
0,0 |
0,0 |
0,0 |
0,0 |
0,6 |
|
25000 и более |
|
0,0 |
7,2 |
0,0 |
0,0 |
0,0 |
0,0 |
0,0 |
0,0 |
0,4 |
|
Всего |
|
100,0 |
100,0 |
100,0 |
100,0 |
100,0 |
100,0 |
100,0 |
100,0 |
100,0 |
Получатели пособий по безработице (страховых выплат или материальной помощи для безработных). Источник: Wochenberichte des DIW, Wochenbericht 22/1990. S. 304ff.
Таблица 26.4
Средняя величина дохода по отдельным социальным группам домашних хозяйств в ФРГ в 1988 г. до и после
перераспределения (в DM на домохозяйство в месяц)
|
Месячный доход домашнего хозяйства (в DM) |
Домашние хозяйства |
Все
домохо
зяйства
в целом |
|
Самозанятых |
Служа
щих |
Государствен
ных
должностных
лиц |
Рабочих |
Безра
ботных1 |
Пенсио
неров2 |
Получателей пенсий после работы на государственных
должностях |
в сельском
хозяйстве |
вне
сельского
хозяйства |
|
Расслоение домашних хозяйств по величине валового дохода от труда и имущества |
|
Мода 3
Медиана 4
Среднее
арифметическое |
3333
5685
5877 |
9705
16501
17752 |
6027
6685
7466 |
5182
5681
6262 |
3843
5391
6028 |
|
|
|
3702
4858 |
|
Расслоение домашних хозяйств по величине располагаемого дохода |
|
Мода 3 1
Медиана 4
Среднее
арифметическое |
3798
4493
4665 |
9037
11999
13618 |
3751
3872
4365 |
3793
4426
4777 |
2720
3111
3474 |
1425
1950
2178 |
2167
2513
2628 |
3583
3719
3942 |
3171
3265
4024 |
1 — Получателей страховых выплат или материальной помощи для безработных.
2— Включая прочих лиц, живущих преимущественно за счет текущих трансфертов или доходов от имущества.
3— Наиболее часто встречающийся диапазон доходов.
4— Верхний уровень доходов, включающий половину всех домашних хозяйств.
Источник: Расчеты НИЭИ на основе использования официальной статистики. |
|
|
Источник: Wochenberichte des DIW, Wochenbericht 22/1990, S. 312ГГ. |
В 1990-х гг. в России наблюдалось резкое увеличение неравенства в распределении доходов. Переход к рыночной экономике начался в условиях неразвитости рынка труда, слабой социальной защищенности трудящихся (во многом вопреки Конституции РФ и общей тенденции к построению социально-рыночной экономики — см. врезку 2.1). Если в 1990 г. соотношение доходов 10% населения с высшими и 10% с низшими доходами составляло 4:1, то в 1995 г. — 13,5:1. В 1995 г. в РФ измеряющий неравенство в распределении доходов коэффициент Джини, был равен 38,1%, тогда как в Западной Европе (включая ФРГ) он составлял примерно 25%. Графическое изображение динамики расслоения населения России по доходам представлено на рис. 26а. На этом рисунке можно видеть, что кривая 1995 г. удалена от линии равномерного распределения доходов значительно дальше, чем кривая 1990 г.
Врезка 26.2.
Неравенство в распределении доходов в Российской Федерации
Можно сделать общий вывод: первые годы трансформационного процесса в России привели к значительному росту степени социального расслоения.
 |
|
Рис. 26а. Кривые распределения доходов населения РФ в 1990 и 1995 гг. Источник: Российский статистический ежегодник. М., 1997, с.142. |
------- распределение 1995
------------ Равномерного распределения
-------- Распределение 1990
Ограничимся анализом валовых доходов (верхняя часть табл. 26.4). В соответствии с приведенными в табл 26.4 данными средний (арифметический) доход всех домашних хозяйств ФРГ в 1988 г. составил DM 4858; при этом половина домашних хозяйств имела доходы ниже (или выше) DM 3702 (медиана). В то же время средний доход самозанятых, т. е. предпринимателей, функционирующих вне сельского хозяйства, составлял DM 17752, а, например, домохозяйства рабочих имели средний доход в сумме DM 6028. Если учесть распределение располагаемого дохода (нижняя часть таблицы) это неравенство сократится.
Анализируя представленные данные, необходимо учитывать, что речь идет о доходе домашних хозяйств, а не о доходе на душу населения. Размеры домашних хозяйств в разных социальных группах различны: домашние хозяйства самозанятых работников по числу входящих в них лиц превосходят другие домохозяйства; самыми маленькими домашними хозяйствами являются домохозяйства пенсионеров. Отметим также, что домашние хозяйства, как правило, имеют доходы из нескольких источников, тогда как классифицируются по социальным группам в соответствии с социальным положением конкретного лица, получающего доходы.
5. Стратегии изменения распределения доходов
5.1. Институциональная среда: коллективный договор, партнеры по тарифным соглашениям и трудовые конфликты
В ФРГ отношения найма основываются на заключаемом между наемным работником и работодателем индивидуальном трудовом договоре. В индивидуальном трудовом договоре наемный работник обязуется предоставить свою рабочую силу в распоряжение работодателя за установленную в договоре оплату. Но содержание трудового договора не может быть полностью установлено самостоятельным решением договаривающихся сторон, ибо он должен соответствовать предписаниям трудового законодательства (в целях защиты интересов рабочего), частично или полностью учитывать нормы коллективного договора.
Коллективный договор — это договор между представителем наемных работников (профсоюзом) и работодателем (при внутрифирменном коллективном договоре) или объединением работодателей (при генеральном соглашении). Закон о коллективном договоре регулирует права и обязательства тарифных партнеров (т. е. сторон, заключающих тарифные соглашения) и содержит правовые предписания, регулирующие содержание, заключение и окончание трудовых отношений, а также вопросы внутреннего распорядка и Устава предприятий. Тарифные партнеры заключают коллективные договоры без вмешательства государства. Такая тарифная автономия вытекает из ч. 3 ст. 9 Конституции ФРГ:
«Признается право на индивидуальные и коллективные трудовые споры с использованием установленных федеральным законом способов их разрешения, включая право на забастовку».
В коллективом договоре устанавливается ставка заработной платы и прочие условия труда. В ФРГ проводят различие между долгосрочным общим тарифным договором, который содержит предписания для более долгосрочного периода (например, условия предоставления отпуска, сверхурочной, ночной работы и работы в выходные дни, защита от увольнения для наемных работников предпенсионного возраста и т. п.), и краткосрочным (часто ограниченным 12 месяцами) тарифным договором по зарплате и жалованью, регулирующим оплату труда. Тарифный договор в полном объеме распространяется только на членов профсоюзов и на тех работодателей, которые участвовали в заключении тарифных соглашений (при тарифном договоре союзов работодателей — на членов союза). В соответствии с принципом трудового права «одинаковая зарплата за одинаковую работу» основные положения тарифного договора распространяются и на неорганизованных наемных работников. При наличии особых условий по заявке тарифных партнеров федеральный (или земельный) министр труда может объявить содержание тарифного договора обязательным и для работодателей, не участвующих в тарифном соглашении. «Объявление общей обязанности» является исключением и в основном применяется в строительстве.
Защитный характер тарифного договора для отдельного наемного работника выражается главным образом в невозможности заключения отличных от него, менее выгодных соглашений в рамках трудового договора.
Первоначально между профсоюзами и работодателями ведутся свободные переговоры о новом тарифном договоре. Если они терпят неудачу, как правило, предпринимается попытка заключения договора третейское разбирательство примирительной комиссии, что позволяет сохранить мир между тарифными партнерами. В деятельности примирительной комиссии участвуют большое число представителей работодателей и профсоюза, а председательствует — избранное тарифными партнерами нейтральное должностное лицо. Примирительная комиссия может со своей стороны выдвинуть компромиссное предложение (примирительное решение). В случае если тарифным партнерам вновь не удается достичь согласия, считается, что тарифные переговоры окончательно потерпели неудачу, так как в ФРГ не принято принудительное примирение через государственные ведомства. С провалом переговоров прекращает свое действие закрепленная в тарифном договоре обязанность достижения компромисса (согласно которой профсоюзы и союз работодателей должны придерживаться тарифных соглашений). Таким образом, становятся возможными трудовые конфликты (Arbeitskamp/).
Право на борьбу вытекает из процитированной выше статьи Конституции ФРГ о свободе коалиции, которое косвенно подтверждается добавленным в рамках законодательства о чрезвычайных положениях третьим установлением ч. 3 ст. 9. В соответствии с ним, мероприятия, осуществляемые при чрезвычайных положениях, не могут быть направлены против какой-либо участвующей в трудовых конфликтах стороны.
К основным методам разрешения трудовых конфликтов в ФРГ относятся забастовки и локауты. Право на забастовку является бесспорным. Для достижения требований профсоюзов относительно условий труда и заработной платы решение о забастовке может быть принято после голосования за нее на предприятиях, как минимум 75% сотрудников, являющихся членами профсоюза. Для компенсации невыплаты зарплаты во время забастовки члены профсоюза получают из его средств забастовочные деньги, сумма которых зависит от взносов. Получение пособия по безработице в данном случае невозможно. По Закону об обеспечении нейтральности Федерального ведомства по труду при трудовых конфликтах от 1986 г., спорный § 116 Закона о поддержке труда (ЗПТ) был дополнен таким образом, что непосредственно страдающие от трудовых конфликтов наемные работники других профессий, не подпадающие под действие тарифного договора, получают пособия по безработице. Непосредственно пострадавшие наемные работники, находящиеся вне региона забастовки и принадлежащие к той же профессии, получают пособия по безработице, кроме случая, когда имеет место «посреднический трудовой конфликт», т. е. если ведется борьба за изменение условий труда непосредственно затронутых наемных работников, и поэтому безработный из другого региона причисляется к участникам трудовых конфликтов.
В ответ на забастовку (как правило, затрагивающую отдельное предприятие или регион тарифного договора) некоторые работодатели прибегают к локауту,' т. е. увольнению наемных работников и лишению их пособий по безработице. Локаут допустим, но он подпадает под «предписание соответственности». Если, например, забастовка ограничена менее чем 25% наемных работников зоны действия тарифного договора, оборонительный локаут рассматривается как правомерный, если он со своей стороны не охватывает больше четверти наемных работников зоны действия договора. Кроме того, необходимо учитывать как положительную, так и отрицательную стороны свободы коалиции. Применительно к трудовым конфликтам это означает, что локаут, направленный лишь против членов бастующего профсоюза и не затрагивающий неорганизованных наемных работников, является противозаконным.
В заключение раздела приведем некоторые сведения об организации профсоюзов и союзов работодателей в ФРГ. Сегодня профсоюзы в большинстве случаев организованы по «принципу отраслевых объединений», т. е. все организованные наемные работники в определенной отрасли промышленности, например в металлургии, являются членами отраслевого профсоюза «Металл» независимо от их профессии или занимаемой должности («одно предприятие — один профсоюз»). Когда-то в Германии (особенно перед Первой мировой войной) доминировал принцип профессиональной группы, т. е. существовали, например, профсоюзы токарей, портных и т. д. В настоящее время принцип профессиональной группы определяет структуру профсоюзных организаций, например в Великобритании. Головной организацией профсоюзов в ФРГ является Немецкий союз профсоюзов (НСП), в котором объединены в общей сложности 15 отдельных профсоюзов. Кроме него важную роль играют Немецкий профсоюз служащих, Объединение христианских профсоюзов и Немецкий союз государственных должностных лиц.
Высшей организацией Союзов работодателей, которые также организованы по принципу отраслевых объединений, является Федеральное объединение немецких союзов работодателей (ФОНСР).
Членами Федерального объединения немецких союзов работодателей являются 47 образованных по отраслевому принципу организаций работодателей (профессиональных объединений) и 12 действующих на уровне федеральных земель союзов работодателей (земельных союзов). Члены объединения выбирают через своих представителей президента и других членов президиума. Федеральное объединение имеет задачей защиту общих социально-политических интересов членов объединения, выходящих в своей деятельности за рамки одной федеральной земли или отрасли.
Коллективный договор — это договор между наемными работниками (или их представителями, например профсоюзом) и работодателем (при внутрифирменном коллективном договоре) или объединением работодателей (при генеральном соглашении). В соответствии с законом РФ «О коллективных договорах и соглашениях» коллективный договор, регулируя трудовые отношения, определяет права и обязанности сторон, а также ответственность за их нарушение. Как правило, если не считать генеральных соглашений, заключаемых на федеральном уровне, государство не принимает участия в разработке и принятии договора. Тарифная автономия вытекает из ч. 4. ст. 37 Конституции РФ: «Признается право на индивидуальные и коллективные трудовые споры с использованием установленных федеральным законом способов их разрешения, включая право на забастовку».
Врезка 26.3.
Трудовые соглашения и конфликты в Российской Федерации
Содержание коллективного трудового соглашения определяется его сторонами. Оно может включать положения об оплате и условиях труда, индексации оплаты труда с ростом цен, о содействии занятости, переобучении наемных работников, о предотвращении трудовых конфликтов и т. д. В России выделяют следующие виды коллективных трудовых соглашений (в зависимости от уровня, на котором они заключаются, и, как следствие, от их содержания).
¦ Генеральное соглашение: заключается на федеральном уровне на несколько лет и устанавливает общие принципы регулирования социально-трудовых отношений. В качестве примера подобного договора можно назвать Генеральное соглашение между общероссийскими объединениями профсоюзов, общероссийскими объединениями работодателей и Правительством (в лице Министерства труда).
¦ Региональное соглашение: принимается на уровне субъекта Российской Федерации и регулирует те же общие принципы социально-трудовых отношений, что и генеральное соглашение, но лишь в пределах отдельного региона.
¦ Отраслевое (межотраслевое) соглашение: заключается в рамках отрасли или нескольких отраслей и устанавливает наемным работникам этих отраслей условия труда и социальные гарантии.
¦ Профессиональное соглашение: распространяется только на наемных работников определенной профессии.
¦ Территориальное соглашение: заключается на уровне более мелких, чем регионы, административно-территориальных единиц (например, городов, районов).
Все эти соглашения могут быть как дву-, так и трехсторонними, когда в них принимают участие представители исполнительной власти. В последнем случае мы говорим о трипартизме.
Разработка и заключение трудовых соглашений не всегда проходят гладко. Если стороны зашли в тупик и возник трудовой спор, они обращаются к примирительной процедуре, включающей несколько этапов. Причем правом выдвижения требований обладают лишь наемные работники обладают, но никак не работодатели. Первоначально участники переговоров создают примирительную комиссию из представителей спорящих сторон. Если разрешить трудовые разногласия не удается, участники переговоров приглашают третью, незаинтересованную сторону, — посредника. Если и на
этот раз согласие не достигнуто, переговорный процесс вступает в третий этап — стороны обращаются в трудовой арбитраж. Трудовой арбитраж — это орган, образуемый специально для решения конкретного трудового спора, в него не могут входить представители сторон спора. Если же работодатель уклоняется от рассмотрения разногласий в трудовом арбитраже или принятия его рекомендаций, закон позволяет наемным работникам прибегнуть к последнему средству — забастовке.
Право на забастовку следует из уже упоминавшейся ст. 37 Конституции РФ (ч. 4) и из закона о коллективных трудовых спорах. Решение об объявлении забастовки принимают либо общее собрание наемных работников предприятия, либо профсоюз или объединение профсоюзов. Работодателя заранее (за ІОдней) извещают о решении профсоюза, чтобы он смог сообщить о забастовке своим поставщикам и потребителям и принять иные минимизирующие убытки меры. Забастовочный орган, работодатель и органы исполнительной власти в период забастовки должны обеспечивать общественный порядок, безопасность людей и сохранность имущества. Те предприятия, от работы которых зависят безопасность и здоровье людей (больницы, водоснабжение, транспорт и т. д.), даже во время забастовки должны предоставлять необходимый минимум услуг.
Российское законодательство предусматривает известные гарантии для участников забастовок. Так, в период забастовки за ними сохраняются место работы и должность. В то же время о выплате заработной платы не может быть и речи. Вместе с тем наемным работникам, не принимающим участия в забастовке, но не могущим из-за нее исполнять свою работу, время вынужденного бездействия оплачивается как простой не по вине наемного работника, т. е. в размере не ниже двух третей их ставки. Коллективным договором могут предусматриваться определенные компенсационные выплаты участвующим в забастовке наемным работникам. Локаут, т. е. увольнение бастующего наемного работника и лишение его пособия по безработице, а также закрытие данного предприятия работодателем законодательно запрещены.
В заключение дадим краткий очерк современной организации профсоюзов и союзов работодателей в России. После краха коммунистической системы, при которой все наемные работники должны были в обязательном порядке состоять членами какого-либо профсоюза, произошло сокращение членства в профсоюзах. Однако, несмотря на это, профсоюзное движение не иссякло. Оно лишь несколько видоизменило формы своей деятельности — вместо социального обеспечения оно в большей мере ориентировано на активную борьбу за интересы наемных работников, которое проявляется в организации забастовок.
В профсоюзном движении в настоящее время можно выделить следующие компоненты:
¦ традиционные (официальные) профсоюзы: Федерация независимых профсоюзов России. К ним относятся 40 отраслевых профсоюзов и более 70 региональных профессиональных объединений, охватывающих около 65 млн человек, т. е. более 90% общего числа членов профсоюзов в России;
¦ профсоюзы наемных работников негосударственного сектора: 10 профсоюзов.с числом членов до 3 млн человек, нередко включающих и самих предпринимате-
. лей;
История союзов предпринимателей в России в отличие от истории профсоюзов была прервана на длительное время — на весь советский период, когда ни о каких союзах работодателей (промышленников) не могло быть и речи. Лишь в конце 1980-х гг. предпринимательские союзы начали возрождаться. Так, были образованы Научно-промышленный союз (ныне — Российский союз промышленников и предпринимателей), Ассоциация руководителей предприятий, Ассоциация государственных предприятий и т. д. Новая волна в создании союзов предпринимателей связана с развитием уже в посткоммунистической России системы коммерческих банков и бирж. Своим появлением на свет ей обязаны такие организации, как Конгресс российских деловых кругов, Ассоциация российских банков, Межрегиональный биржевой и торговый союз.
Продолжение Врезки 263
5.2. Экспансионистская (агрессивная) политика профсоюзов в области заработной платы
Как агрессивная рассматривается политика профсоюзов в области заработной платы, заключающаяся в попытке добиться ее увеличения темпами, превышающими сумму средних темпов роста производительности труда и темпа инфляции, т. е. когда такая политика направлена на повышение доли зарплаты в ВВП.
Экспансионистская политика заработной платы отличается от политики зарплаты, «ориентированной на производительность», предусматривающей рост заработной платы темпами, соответствующими росту народнохозяйственной производительности труда, измеренной как объем производства на душу занятого населения. Основная ее идея заключается в предотвращении роста издержек и отрицательного его воздействия на уровень цен и занятость путем ориентации динамики заработной платы на народнохозяйственный рост производительности труда.
Данную взаимосвязь иллюстрируют следующие уравнения:
Доля заработной платы =
_ Сумма заработной платы Национальный доход
_ Отработанные рабочие часы х Ставку заработной платы
Реальный национальный продукт х Уровень цен '
Выразив эти уравнения через уровень цен, получаем:
,, Ставка заработной платы
Уровень цен = „-с—=---;-•
г Производительность труда х Долю заработной платы
Отсюда следует, что:
¦ если ставка заработной платы и производительность труда в процентном выражении повышаются одинаково, уровень цен при неизменной доле зарплаты остается постоянным;
¦ если ставка заработной платы повышается в процентном выражении на большую величину, чем производительность труда, тогда уровень цен при постоянной доле зарплаты повышается на ту же процентную величину, что и агрессивно повышенная ставка заработной платы;
¦ если изменяются и ставка заработной платы, и производительность труда, и доля зарплаты, то можно показать, что верна следующая связь: повышение цен в процентном выражении равно повышению заработной платы в процентном выражении за вычетом роста производительности труда в процентах и повышения доли зарплаты в процентах. Следовательно, если увеличивается доля зарплаты, то ставка зарплаты может повыситься в процентном выражении на большую величину, чем производительность, без повышения уровня цен. Это станет ясно, если учесть, что в таком случае агрессивное повышение заработной платы будет не полностью скомпенсировано ростом цен, а хотя бы частично — за счет уменьшения доли прибыли.
Важно то, что ориентированная на производительность политика заработной платы, исходит из постоянной доли заработной платы, а значит, предполагает неизменные пропорции распределения доходов, т. е. закрепляет статус-кво в измеренном через долю зарплаты распределении доходов.
Кроме того, политика зарплаты, ориентированная на производительность, обеспечивает ценовую стабильность лишь с учетом удельных издержек на зарплату. Другие факторы народнохозяйственных удельных издержек — процентные ставки, амортизация, изменения степени использования мощностей, косвенные налоги (включаемые в издержки) и изменение условий торговли (terms of trade) — не учитываются. Поэтому Экспертным советом (Sach.verstdndigen.rat) в ФРГ обсуждалась концепция «нейтральной к издержкам политики заработной платы», предусматривавшая такой рост зарплаты, который оставляет неизменным общеэкономический уровень издержек. Следовательно, если, например, издержки повышаются вследствие увеличения косвенных налогов, то зарплата должна повыситься меньше, чем производительность, и т. д. Но в ФРГ в явном виде эта концепция уже не применяется.
После приведенного обзора основных понятий политики зарплаты мы кратко обсудим перспективы результативности перераспределения доходов через политику зарплаты.
В экономической науке существует почти единодушное мнение о том, что агрессивная политика зарплаты профсоюзов в условиях рыночной экономики может изменить распределение доходов в пользу наемных работников лишь в краткосрочном периоде, в то время как в среднесрочном плане распределение доходов не изменяется. Так, в своем исследовании, посвященном созданию богатства и базирующемся на анализе экономического кругооборота, Карл Фель (Carl Fohl), указывает:
«Политика зарплаты не влияет на распределение, независимо от того, остается ли номинальное процентное повышение зарплаты в пределах роста производительности или нет... Если номинальное процентное увеличение зарплаты превышает рост производительности, то цены благ повышаются на разницу в темпах роста обеих величин. Если, например, при росте производительности на 5 % зарплата повышается на 8%, тогда цены при прочих равных условиях вырастут на 3%» (Fdhl С., Kreislaufanalytische Untersuchungen der Vermogensbildung, Gutachten, hergestellt im Auftrage des Bundeswirtschaftsministeriums. Tubingen, 1964. S.77).
К аналогичным выводам пришел и Экспертный совет по общеэкономическому развитию:
«Экспертный совет полагает, что шансы участвующих групп повлиять в длительном периоде на доли доходов от наемного труда или от собственности через использование рыночной власти невелики. Поэтому борьба за распределение путем использования рыночной власти неэффективна... Такая борьба может привести к изменению структуры распределения, но предпринятые затем усилия другой стороны снова ликвидируют эти краткосрочные выигрыши распределения. Подобная борьба воздействует на конъюнктуру и уровень цен дестабилизирующим образом» (Sach-verstandigenrat zur Begutachtung der gesamtwirtschftlichen Entwicklung / / Jahres-gutachten. 1972. S. 141).
Необходимо добавить следующее: если агрессивная политика зарплаты, вызвав падение инвестиционной активности в экономике, приведет к неполной занятости, может создаться ситуация, когда наемные работники, несмотря на возросшую долю заработной платы, по абсолютной величине будут получать меньше доходов в виде заработной платы, чем перед повышением заработной платы. Это происходит тогда, когда процентное увеличение заработной платы меньше, чем процентное снижение занятости. Не ставя под сомнение оправданность цели перераспределения, следует отметить, что вряд ли верен тезис, согласно которому агрессивная политика зарплаты ввиду существующих в рыночной экономике условий (прежде всего из-за наличия у предприятий власти устанавливать цены) является разумной стратегией распределения.
5.3. Государственное перераспределение
5.3.1. Налоги и трансферты
Государственное перераспределение через прямые налоги, особенно через прогрессивную ставку подоходного налога с физических лиц, направлено на то, чтобы распределение располагаемого дохода (вторичное распределение доходов) было более равномерным, чем распределение валовых доходов (первичное распределение доходов).
Табл. 26.5 показывает объем государственного перераспределения доходов между домашними хозяйствами и социальными группами на 1992 г. В общем немецкая система трансфертов приводит к тому, что получаемый за производственные услуги располагаемый доход распределяется более равномерно, чем валовой доход от наемного труда и собственности. Если учитывать перераспределение между социальными группами, самые большие перераспределительные эффекты имеют место между служащими и рабочими, с одной стороны, и пенсионерами — с другой. В этом проявляется влияние системы социального обеспечения престарелых (общий эффект см. на рис. 26.2).
Таблица 26.6
Врезка 26.4.
Перераспределение доходов в России
Распределение и перераспределение доходов сектора «Домашние хозяйства» в 1993-1996 гг. в Российской Федерации (в текуших иенах; млрд, руб.)
|
|
1993 г. |
1994 г. |
1995 г. |
1996 г. |
|
Первичные доходы |
91380 |
355910 |
881859 |
1285705 |
|
В том числе: |
|
|
|
|
|
оплата труда |
76346 |
300998 |
693804 |
1032509 |
|
доходы от собственной производственной деятельности |
15034 |
54912 |
186055 |
253196 |
|
+ Вторичные доходы, полученные в результате перераспределения |
16893 |
49903 |
142248 |
239746 |
|
+ Другие факторные доходы |
4497 |
16299 |
57208 |
71793 |
|
- Налоги и другие расходы в порядке перераспределения |
20981 |
83494 |
177234 |
274242 |
|
Располагаемый доход |
91789 |
338618 |
904081 |
1323002 |
|
Источник: Национальные счета России в 1989-1996 гг. М., 1998. С. 79.
Табл. 26.6 иллюстрирует роль перераспределения доходов в РФ. Чтобы прояснить эту роль, необходимо доходы, полученные в результате перераспределения (полученные текущие трансферты), разделить на величину первичных (валовых) доходов, а затем расходы домохозяйств, осуществленные в порядке перераспределения (выплаченные текущие трансферты), разделить на ту же переменную. Если аналогичные операции проделать с соответствующими германскими данными (представленными в табл.26.5), то можно убедиться, что объем перераспределения доходов в России значительно меньше, чем в Германии и других промышленно развитых странах (см. также врезку 14.5).
Так, в ФРГ (расчет упомянутой таблицы сделан на основе данных последнего столбца) отношение полученных домохозяйствами трансфертов к их валовому доходу составляло 25,63%, а отношение выплаченных трансфертов к валовому доходу было равно 44,5%. В России в 1996 г. (в 1993 г.) аналогичные показатели были равны соответственно 18,65% (18,49%) и 23,33% (22,96%). |
Возможно ли «переложение» (компенсация) отдельных элементов системы перераспределения? Так, прогрессивная ставка подоходного налога с физических лиц несомненно приводит к более равномерному распределению чистых, а не валовых доходов, так как у получателей высоких доходов изымают в виде налогов более значительную часть доходов (более высокая средняя ставка налога, см. гл. 14, раздел 2.1.3), чем у получателей более низких доходов. Весьма важный вопрос состоит в том, является ли такое распределение чистых доходов в действительности более равномерным, чем то распределение, которое могло сложиться при отсутствии прогрессивной налоговой ставки. Ответ был бы отрицательным, если бы получателям
Таблица 26.5
Распределение и перераспределение доходов по социальным группам домашних хозяйств в 1992 г. (в DM млрд) |
|
|
Домашние хозяйства |
|
|
|
Самозанятые |
|
|
|
|
|
Получателей |
Все |
|
|
в сель
ском |
вне |
|
Государ- |
|
|
|
пенсий после |
|
|
сель
ского |
Служа
щих |
ственных
должно- |
Рабочих |
Безра
ботных2 |
Пенсио
неров3 |
работы на государствен- |
домохо
зяйства
в целом |
|
|
стве |
хозяй
ства |
|
стных лиц |
|
|
|
ных
должностях |
Валовой доход от труда и имущества:
- валовой доход от наемного труда 4 |
7,9 |
41,7 |
688,7 |
137,8 |
500,6 |
8,4 |
57 |
5,3 |
1427,4 |
|
- валовой доход от предпринимательской деятельности 5 |
13,4 |
283 |
20,4 |
4,7 |
22,1 |
1,4 |
59,4 |
5,3 |
409,8 |
|
- доход от имущества |
2,6 |
35 |
41,6 |
9,3 |
21,7 |
1,1 |
65,5 |
6,2 |
183 |
|
+ Полученные текущие трансферты: |
|
|
|
|
|
|
|
|
|
|
“ пенсии и государственные пенсии |
0,6 |
3,5 |
5,2 |
0,9 |
6,3 |
0,6 |
218,8 |
40 |
275,9 |
|
- страхование по безработицеДюмощь при безработицей социальная помощь |
0,2 |
0,2 |
5,5 |
0,4 |
10,2 |
17,8 |
14,1 |
0,6 |
49 |
|
- пособие на детей по закону |
0,6 |
1,6 |
5,3 |
1,8 |
6,9 |
0,6 |
1 |
0,1 |
17,9 |
|
- прочие текущие трансферты 6і 1 |
2,4 |
26,8 |
29 |
12,5 |
15,4 |
2,3 |
75,7 |
10,9 |
174,9 |
- Выплаченные текущие трансферты:
- прямые налоги
- социальные взносы, выплачиваемые в
соответствии с программами |
1,8 |
67,6 |
108,6 |
26,2 |
68,6 |
1,1 |
16,1 |
5,9 |
295,8 |
|
- пенсионного страхования 6 |
1,2 |
6,9 |
93,6 |
5,3 |
75,1 |
1,1 |
12,1 |
0,9 |
196,1 |
|
- обязательного страхования на случай болезни |
1,1 |
8 |
56,3 |
3,7 |
47,7 |
0,8 |
19 |
0,8 |
137,5 |
|
- страхования по безработице 6 |
0,4 |
2,4 |
32,1 |
0,8 |
26 |
0,3 |
3,7 |
0,3 |
66 |
|
- Прочие социальные взносы 6 |
0,5 |
3 4 |
9,4 |
0,9 |
9,9 |
0,2 |
21,4 |
0,2 |
27,5 |
|
- Прочие текущие трансферты 7-8 |
3,5 |
25,5 |
50,3 |
15,9 |
45,3 |
2,1 |
28,7 |
4,8 |
176,1 |
|
= располагаемый доход 1 |
19,2 |
278,4 |
425,4 |
114,5 |
310,5 |
26,5 |
409,6 |
55,6 |
1639,7 |
|
Окончение табл. 26.5
1 — Отклонения в суммах объясняются округлением цифр.
2 — Получатели пособий по безработице (страховых выплат или материальной помощи для безработных).
3 — Включая прочих лиц, живущих преимущественно на текущие трансферты или доходы от имущества.
4 — Без предполагаемых социальных взносов.
5 — Включая доходы от аренды квартир без предполагаемых социальных платежей и без учета нераспределенных прибылей предприятий, функционирующих без образования юридического лица.
6 — Без социальных взносов государства для получателей социальных услуг.
7 — Включая трансферты между домашними хозяйствами, а также между домашними хозяйствами, лицами, проживающими в интернатах и частными организациями некоммерческого характера.
8 — Включая проценты по потребительским кредитам.
Источник: DIW-Wochenbericht 45/1994. S. 771.
высоких доходов, т. е., как правило, получателям прибыли, удалось перенести взимаемый с них подоходный налог на цены своих продуктов, так что их первичные доходы «раздулись» бы на сумму перенесенных налогов. Если часть «раздутой» прибыли изымается посредством подоходного налога, то получатели доходов оказываются, в конечном счете, в ситуации, как будто эти налоги вообще не изымались.
К сожалению, мы не имеем возможности однозначно оценить приведенные выше рассуждения, так как анализ данного вопроса приводит к противоречивым результатам.
Косвенные налоги формально не влияют на распределение доходов. Если они переносятся предпринимателями на цены, они не обременяют прибыль предпринимателей и не затрагивают первичное распределение доходов. Они не влияют и на вторичное распределение доходов, если рассматривать его чисто формально, как на распределение чистых доходов. Однако для получения реалистичной оценки при косвенных налогах необходимо учитывать и использование доходов. Домашние хозяйства платят косвенные налоги со своего чистого дохода в тот момент, когда они приобретают блага, в цены которых включены косвенные налоги. Тогда при постоянном номинальном доходе реальный доход оказывается более низким. Если учесть, что получатели более низких доходов тратят на потребление намного более значительную долю своих доходов, чем получатели более высоких доходов, то можно заключить, что относительное бремя косвенных налогов, лежащее на бедных семьях, оказывается тяжелее (регрессивное влияние косвенных налогов на доходы).
5.3.2. Общественные блага
Еще одним важным фактором распределения доходов являются общественные блага, которые используются различными группами населения в различном объеме (так называемые реальные трансферты). Уменьшают или увеличивают общественные блага (внутренняя и внешняя безопасность, дороги, учебные заведения и т. п.) разницу во вторичном распределении?
И на этот вопрос пока невозможно дать исчерпывающий ответ, так как исследования в данной области пока не привели к окончательному результату. Причина частично состоит в том, что при потреблении общественных благ потребители не обязаны раскрывать свои предпочтения (здесь не действует принцип исключения из рынка) и поэтому отсутствуют числовые показатели их индивидуального потребления.
5.4. Перераспределение доходов через перераспределение собственности на производственное имущество
Важнейшие для распределения доходов в рыночной экономике факторы, такие как интеллект, богатство, образование, связи, физическая и психическая устойчивость и гибкость (причем названные факторы в какой-то мере зависимы друг от друга), распределяются между получателями доходов весьма неравномерно. Это особенно верно для одного из важнейших факторов — богатства, а еще более верно для производственного имущества. Поэтому перераспределение богатства, т. е. прироста богатства, приобретает в рамках стратегии перераспределения доходов центральную роль, так как оно изменяет и личное распределение доходов. Возможности такого перераспределения, наряду с нынешним распределением богатства в ФРГ, будут рассмотрены в следующем разделе.
6. Распределение богатства
6.1. Распределение богатства
в Федеративной Республике Германии
Основными проблемами измерения богатства являются: определение самого понятия «богатство» (что относится к богатству; правомерно ли учитывать в его составе, например, предметы длительного пользования домашних хозяйств, трудоспособность, ноу-хау предприятий и полезные ископаемые?) и оценка частей богатства. Помимо величины богатства наше внимание привлекает его распределение:
¦ по разным видам богатства;
¦ между домашними хозяйствами, государством и «остальным миром»;
¦ внутри сектора домашних хозяйств.
Интерес этот связан с тем, что, с одной стороны, богатство порождает огромные потоки доходов, а с другой — определенные компоненты богатства, обобщенные термином «производственное имущество», наделяют своих собственников способностью распоряжаться другими производственными факторами, и прежде всего трудом.
Несмотря на то, что статистический материал по распределению богатства в основном неудовлетворителен, мы попытаемся дать общий его обзор на примере ФРГ. При этом мы опираемся в основном на сведения, полученные в ранних исследованиях. Новую информацию — главным образом о денежном имуществе — содержит выборочное обследование доходов и потребления, проводившееся в 1988 г.
Распределение национального богатства с точки зрения возможности его воспроизводства показывало в 1970 г. следующую картину1. В совокупном (оцененном) национальном богатстве в размере DM2995,4 млрд содержалось:
¦ 72% воспроизводимого реального богатства (здания, публичные подземные строения, машины, оборудование, запасы).
¦ 26% невоспроизводимого реального богатства (земельные участки). При этом не учитываются природные ресурсы и прочее богатство окружающей среды.
¦ 2% чистых требований от «остального мира» (денежное богатство). Они могут существенно варьироваться из года в год.
Если различать национальное богатство с точки зрения его использования, оказывается, что в 1970 г.:
¦ 41 % составляло производственное имущество (строения, оборудование, машины, запасы, квартиры строительных компаний);
¦ 26% — жилой фонд;
¦ 19% — государственное имущество (например, дороги), прямо не используемое в производственном процессе;
¦ 14% — сельскохозяйственное имущество.
Если мы обратимся к распределению притязаний на национальное реальное богатство по секторам, возникает следующая картина;
¦ 67% владеют домашние хозяйства (причем необходимо учитывать, что каж
дое предприятие в конечном счете находится в собственности домашнего хозяйства); -
¦ 31 % владеет государство;
¦ 2% владеют зарубежные хозяйствующие субъекты.
Мы уже несколько раз указывали на необходимость весьма осторожной интерпретации данных: наряду с различными определениями богатства существуют проблемы охвата и оценки отдельных частей имущества.
Еще одной характеристикой распределения богатства является среднее богатство различных типов домашних хозяйств.
По состоянию на 1973 г. мы располагаем данными, содержащимися в книге X. Мирхайма и Л. Вике :
¦ среднее богатство (домашнего хозяйства) наемных работников — DM63698;
¦ среднее богатство (домашнего хозяйства) незанятых — DM58916;
¦ среднее богатство (домашнего хозяйства) фермеров — DM305250;
¦ среднее богатство (домашнего хозяйства) самостоятельно занятых — DM480180.
Важное значение имеет также распределение богатства домашних хозяйств между наемными работниками, незанятыми, фермерами и самостоятельно занятыми и разный состав их богатства (см. табл. 26.6).
В ФРГ домашние хозяйства самостоятельно занятых владеют подавляющей частью производственного имущества (88 % совокупного производственного имущества всех домашних хозяйств), в то время как у домашних хозяйств наемных работников преобладает имущество в виде домов и земельных участков (44% общего имущества домов и земельных участков). Что касается их участия в чистом богатстве, то их доли одинаковы и каждая из них составляет по 35%. Однако при дальнейшей интерпретации приведенных данных необходимо учитывать, что абсолютное число домашних хозяйств, входящих в эти группы, сильно различается: у наемных работников их около 12 млн, у самостоятельно занятых — лишь примерно 1,57 млн.
Распределение определенных статей имущества, особенно денежного имущества, определяется Федеральным статистическим ведомством раз в пять лет путем уже упоминавшегося выборочного обследования доходов и потребления1. Вырисовывается следующая картина: из 24,7 млн домашних хозяйств 22,5 млн (91%) имели денежное имущество как минимум одного вида, в то время как 2,2 млн домашних хозяйств (8,8%) не имели денежного имущества вообще. В категорию денежного имущества включают запас сберегательных вкладов, банковских вкладов, ценных бумаг и некоторые прочие статьи, например срочные вклады и «берлинские ссуды» (льготные ссуды), но не наличные деньги, деньги на жиросчетах и вклады в страховых компаниях.
К концу 1988 г. домашние хозяйства владели средними чистыми денежным сбережениями (вклады за вычетом задолженности по ипотеке, потребительскому кредиту и т. д.) на сумму DM 25673. Табл. 26.7 показывает величину и структуру денежного имущества домохозяйств на 31 декабря 1988 г. по социальному положению главного получателя доходов, его возрасту и среднемесячному доходу домашнего хозяйства. При этом видно, что:
¦ крестьяне и самостоятельно занятые владеют самой большой частью чистого денежного имущества (прежде всего в виде ценных бумаг), в то время как чистое денежное имущество безработных, как это можно было ожидать, характеризуется наименьшей величиной;
¦ лица более старшего возраста в общем «богаче» молодых (при больших запасах ценных бумаг и низких затратах на строительство жилых домов у лиц старшего возраста);
¦ чистое денежное имущество значительно возрастает с ростом дохода домашнего хозяйства. .
Если даже разделение существующего богатства по социально-экономическим признакам является важным и информативным, то особое значение для научной дискуссии имеет вопрос личного распределения богатства.
Сведения, которые можно получить путем выборочного обследования доходов и потребления, ограничены скорее всего из-за того, что не учитываются домашние хозяйства с особенно высоким месячным доходом (DM 25 тыс. и более) (по осто-
1 Из-за различий в данных, представляемых различными группами лиц, а также из-за ошибок в ходе сбора и обработки этих данных и, кроме того, из-за отсутствия учета определенных запасов денежного имущества (наличных денег и жироденег, вкладов в страховых компаниях по страхованию жизни) вычисленные в рамках выборочного обследования доходов и потребления запасы имущества значительно меньше данных, публикуемых Бундесбанком.
Таблица 26.6
Абсолютные и относительные запасы различных статей имущества у домашних хозяйств разных типов в ФРГ в 1993 г. (в DM
млрд и в процентах)
Социаль
ный
статус |
Число |
Денежное
имущество |
Имущество в виде домов и
земельных
участков |
Производ
ственное
имущество |
Валовое общее имущество |
Кредиты |
Чистое общее имущество |
Доля отдельных групп в
совокупном
чистом общем имуществе |
|
главы |
домаш- |
в абсо- |
В |
в абсо |
В |
в абсо- |
В |
в абсо |
в процен- |
в |
в |
в |
в процен- |
в абсо- |
В |
домаш
него
хозяй- |
зяйств в 1 000 |
лют-
ном
выра- |
процент
ах от |
лют-
ном
выра- |
процент
ах от |
л ют-
ном
выра- |
процент
ах от |
л ют-
ном
выра- |
тах от |
абсо
лют
ном |
процент
ах от |
абсо
лют
ном |
тах от |
лют-
ном
выра- |
процента
х от |
|
ства |
|
же- |
|
же- |
|
же- |
|
же- |
|
выра- |
|
выра- |
|
же- |
|
|
|
|
НИИ |
|
НИИ |
|
НИИ |
|
НИИ |
|
же- |
|
же- |
|
НИИ |
|
|
|
|
|
|
|
|
|
|
|
|
НИН |
|
кии |
|
|
|
Наемные
работ- |
11 754 |
236,6 |
236,6 |
25,7 |
672,4 |
72,8 |
14,2 |
1,5 |
923,3 |
100 |
158,8 |
17,2 |
764,4 |
802,8 |
35,3 |
ники
Незаня
тые |
7 599 |
161,9 |
161,9 |
33,5 |
311,3 |
604,5 |
9,5 |
2 |
482,7 |
100 |
25,1 |
5,3 |
457,6 |
94,7 |
21,2 |
|
Фермеры |
621 |
19,9 |
19,9 |
10 |
172,9 |
86,6 |
6,9 |
3,4 |
199,7 |
100 |
10 |
5 |
189,7 |
95 |
8,8 |
Самоза
нятые |
1 567 |
231,5 |
231,5 |
28,3 |
366,3 |
44,8 |
219,4 |
26,9 |
817,2 |
100 |
66,6 |
8,1 |
750,6 |
91,9 |
34,7 |
|
Все |
|
|
|
|
|
|
|
|
|
|
|
|
|
|
|
|
домашние хозяй |
21 541 |
649,9 |
649,9 |
26,8 |
1522,9 |
62,9 |
250 |
10,3 |
2 422,90 |
100 |
260,5 |
10,8 |
2 162,30 |
89,2 |
100 |
|
ства |
|
|
|
|
|
|
|
|
|
|
|
|
|
|
|
Источник: Mierheim Н., Wicke L. Die personelle Vermogensverteilung in der Bundesrepublik Deutschland. Tubingen, 1978.
S. 188 f., 212 f.
Таблица 26.7
Величина и структура денежного имущества1 домашних хозяйств2 ФРГ на 31 декабря 1988 г. |
|
Наименование |
Среднее
валовое
денежное
имущество
на одно
домашнее « 3
хозяйство |
Среднее валовое денежное имущество подразделяется на: |
Средняя
задолженн
ость по
кредитам, в DM |
Среднее
чистое
денеж
ное
имущест
во |
Сберега
тельные
вклады |
Строи
тельные
накопи
тельные
вклады* |
Ценные
бумаги |
Прочее
денеж
ное
имуще
ство |
|
|
в DM |
в % |
в DM |
|
Все домашние |
25673 |
42,6 |
іб |
35,2 |
6,2 |
2225 |
23448 |
|
хозяйства |
|
|
|
|
|
|
|
|
Социальный статус получателя доходов: |
|
Фермер |
51491 |
34,6 |
іб,і |
40,6 |
8,7 |
5033 |
46458 |
|
Самозанятый4 |
49119 |
28,6 |
16,3 |
41,1 |
14 |
4273 |
44846 |
|
Государственное |
31207 |
37,2 |
31,9 |
25,5 |
5,4 |
2995 |
28211 |
|
должностное лицо |
|
|
|
|
|
|
|
|
Служащий |
26899 |
38,4 |
21,5 |
33,3 |
6,8 |
3139 |
23760 |
|
Рабочий ' |
18450 |
49,5 |
25,1 |
21,9 |
3,5 |
3144 |
15306 |
|
Безработный |
9280 |
45,1 |
18,3 |
33,2 |
3,4 |
2523 |
6757 |
|
Незанятый |
25140 |
47,9 |
6,3 |
40,9 |
4,9 |
756 |
24384 |
|
Возраст получателя доходов: |
|
Ниже 35 лет |
16130 |
38,9 |
32,6 |
22 |
6,6 |
3289 |
12841 |
|
35—45 лет |
23831 |
37,1 |
27,2 |
28,3 |
7,4 |
3975 |
19856 |
|
45—55 лет |
28872 |
39,3 |
18,7 |
35,5 |
6,5 |
2960 |
25912 |
|
50—65 лет |
30646 |
45,1 |
11,5 |
37,4 |
6 |
1396 |
29250 |
|
65—70 лет |
33824 |
44,5 |
6,9 |
43,2 |
5,4 |
806 |
33017 |
|
70 и старше |
25583 |
49,4 |
3,9 |
41,5 |
5,2 |
287 |
25296 |
|
Месячный доход домашнего хозяйства, в DM: |
5. |
|
|
|
|
Менее 1200 |
8465 |
58,9 |
6,9 |
30,6 |
3,6 |
953 |
7512 |
|
1200— 1600 |
13446 |
54,5 |
9,5 |
32 |
4 |
1135 |
12311 |
|
1600— 2000 |
17769 |
51,5 |
11,6 |
33 |
3,9 |
1792 |
15977 |
|
2000— 2500 |
22583 |
49,4 |
14 |
31,6 |
5 |
2009 |
20574 |
|
2500— 3000 |
27085 |
45,9 |
17,8 |
32,7 |
3,6 |
2439 |
24646 |
|
3000— 4000 |
31608 |
41,8 |
20,6 |
33 |
4,6 |
2923 |
28684 |
|
4000— 5000 |
41111 |
36,7 |
18,7 |
36,9 |
7,7 |
3355 |
37756 |
|
5000— 8000 |
55710 |
30,5 |
18,2 |
41,4 |
9,5 |
3762 |
51948 |
|
8000—25000 |
114308 |
23,3 |
10,7 |
48,4 |
17,6 |
6422 |
107886 |
|
1 Без учета запасов наличных денег и денег на жиросчетах, вкладов в страховых компани- |
|
ях (страхование жизни) и прочих требований. |
|
|
|
|
|
- Без учета домашних хозяйств иностранцев, домашних хозяйств с месячным чистым |
|
доходом в размере DM 25 тыс. |
и более, и без учета лиц, проживающих в интернатах, |
|
общежитиях и т. д. |
|
|
|
|
|
|
|
Продолжение табл. 26.7
3 В среднем из всех домашних хозяйств.
4 Индивидуальные предприниматели, лица свободных профессий.
5 Причисление к группам домашних хозяйств осуществлена ими самими в представленных сведениях в январе 1988 г. (без учета домашних хозяйств фермеров).
* Вклады, позволяющие (после того, как накоплена их определенная сумма) получать льготные кредиты на приобретение жилья.
Источник: Euler М. Die Geldvermogen privater Haushalte in der Bundesrepublik im Jahre 1988 / / Sparkasse H. 4/1991. S. 156.
рожным оценкам речь здесь идет примерно о 40-60 тыс., т. е. о 0,2-0,4% всех западногерманских домашних хозяйств). Но ведь вполне вероятно, что они обладают особенно большими запасами имущества.
Табл. 26.8 свидетельствует о расслоении (распределении имущества по различным диапазонам значений) валового и чистого денежного имущества. Почти 3,3 млн
Таблица 26.8
Величина и распределение валового и чистого денежного имущества' домашних хозяйств2 ФРГ на 31 декабря 1988 г. |
|
Домашние |
Домашние хозяйства с |
Среднее |
Доля запасов |
|
хозяйства с запасом |
валовым |
ЧИСТЫМ |
валовое |
чистое |
валовое |
чистое |
|
валового или |
|
|
|
|
|
|
|
|
|
чистого денежного |
|
|
|
|
имущество на одно |
денежного 3 |
|
имущества |
в DM на |
|
имуществом15 |
|
домашнее |
имущества в |
|
одно домашнее |
|
|
|
|
хозяйство3 |
общем имуществе |
|
хозяйство |
|
|
|
|
|
|
|
|
|
|
|
1000 |
в % |
1000 |
в % |
Б DM |
в0/ |
|
|
Менее |
2500 |
3260 |
14,5 |
4528 |
20,1 |
1000 |
4671 |
0,5 |
-3,6 |
|
2500— |
5000 |
2436 |
10,8 |
2133 |
9,5 |
3563 |
3567 |
1,4 |
1,3 |
|
5000— |
7500 |
1900 |
8,4 |
1695 |
7,5 |
6067 |
6067 |
1,8 |
1,8 |
|
7500— |
10000 |
1567 |
7 |
1419 |
6,3 |
8618 |
8615 |
2,1 |
2,1 |
|
10000— |
15000 |
2577 |
11,4 |
2368 |
10,5 |
12175 |
12160 |
5 |
4,9 |
|
15000— |
20000 |
1939 |
8,6 |
1828 |
8,1 |
17162 |
17189 |
5,3 |
5,4 |
|
20000— |
25000 |
1355 |
6 |
1280 |
5,7 |
22110 |
22125 |
4,7 |
4,8 |
|
25000— |
30000 |
1005 |
4,5 |
958 |
4,3 |
27062 |
27089 |
4,3 |
4,4 |
|
30000— |
35000 |
844 |
3,7 |
805 |
3,6 |
31962 |
31989 |
4,3 |
4,4 |
|
35000— |
40000 |
976 |
4,3 |
949 |
4,2 |
36524 |
36517 |
5,6 |
5,9 |
|
40000— |
50000 |
1154 |
5,1 |
1115 |
5 |
44326 |
44326 |
8,1 |
8,5 |
|
50000— |
75000 |
1668 |
7,4 |
1620 |
7,2 |
59786 |
59752 |
15,7 |
16,6 |
|
75000— |
100000 |
742 |
3,3 |
715 |
3,2 |
85545 |
85607 |
10 |
10,5 |
|
100000— |
200000 |
847 |
3,8 |
825 |
3,7 |
133723 |
133815 |
17,,9 |
18,9 |
|
200000 и более |
241 |
1,1 |
235 |
1 |
352238 |
351206 |
13,4 |
14 |
|
Всего |
22511 |
100 |
22474 |
100 |
28151 |
25998 |
100 |
100 |
|
|
' Без учета запасов наличных денег и денег на жиросчетах, вкладов в страховых компаниях (страхование жизни) и прочих требований._ |
Продолжение табл. 26.8
- Без учета домашних хозяйств иностранцев, домашних хозяйств с месячным чистым доходом в объеме DM 25 тыс. и более и без учета лиц, проживающих в интернатах, общежитиях и т. д. 3 В среднем из всех домашних хозяйств с валовым или чистым денежным имуществом.
Источник: Euler М. Die Geldvermogen privater Haushalte in der Bundesrepublik im Jahre 1988. Sparkasse H. 4/1991. S. 157.
домашних хозяйств (14,5% всех домашних хозяйств) в конце 1988 г. имели валовое денежное имущество, которое составляло менее DM 2,5 тыс. На одно домашнее хозяйство (из этих 3,3 млн) приходилось в среднем DM 1 тыс. Эти домашние хозяйства имели лишь 0,5% совокупного валового имущества. В этом диапазоне значений имущества чистое денежное имущество — из-за высоких обязательств по кредитам — является отрицательной величиной. По-другому обстоит дело в диапазоне самых больших значений имущества: здесь всего лишь 241 тыс. домашних хозяйств (1,1 % всех домашних хозяйств) располагали валовым денежным имуществом в объеме DM 200 тыс. марок и более, т. е. они имели 13,4% совокупного валового денежного имущества.
Особенно ясно это можно показать, используя кривую Лоренца, которая — по сравнению с 1983 г. — стала более «выпуклой», что сигнализирует о растущей неравномерности распределения. Между прочим эта тенденция проявлялась уже в предыдущие годы и в 1988 г. лишь продолжилась (см. рис. 26.3).
Распределение валового денежного имущества1 домашних хозяйств в конце 1983 и 1988 гг.
Результаты выборочного обследования доходов и потребления
Диапазоны
значений
1983 Домашние Богат-хозяй- ство ства 100 |
|
|
|
кумулятивно |
|
Менее |
2500 |
12,9 |
0,7 |
|
2500 — |
5000 |
25,8 |
2,5 |
|
5000 — |
7500 |
34,9 |
4,7 |
|
7500 — |
10000 |
43,0 |
7,5 |
|
10000 — |
15000 |
55,8 |
13,8 |
|
15000 — |
20000 |
64,6 |
19,9 |
|
20000 — |
25000 |
71,1 |
25,7 |
|
25000 — |
30000 |
76,1 |
31,2 |
|
30000 — |
35000 |
80,2 |
36,5 |
|
35000 — |
40000 |
83,2 |
41,0 |
|
40000 — |
50000 |
87,8 |
49,1 |
|
50000 — |
75000 |
93,6 |
63,2 |
|
75000 — |
100000 |
96,2 |
72,0 |
|
100000 — |
200000 |
99,0 |
86,8 |
|
200 000 и более |
100,0 |
100,0 |
|
1988 Домашние Богат-хозяй- ство ства
кумулятивно
|
% валового денежного имущества |
50
10 |
|
|
|
|
|
/ j c |
|
|
|
J. |
V |
/ 7 |
|
|
|
f |
|
Й i |
|
|
s>y |
|
|
a |
|
|
|
|
|
|
|
Диапазоны значений кака 1983
90
14,5
25,3
33.7
40.7
52.1
60.7
66.7
71.2 ' 74,9
79.2
84.3
91.4
95.0
98.8
100.0
0,5
1,9
3.7 -5,8
10,8
16,1
20,8
25,1
29,4
35.0
43.1
58.8
66.8
86.7
100,0
6.2. Мероприятия по изменению распределения богатства
Политика в области богатства (имущества) в основном имеет своей целью сделать распределение личной материальной свободы более равномерным. Именно либерализм подчеркивает важность частной собственности как фундамента личной свободы. Более равномерное распределение должно привести к социально более справедливому распределению экономических возможностей. Кроме того, политика в области богатства должна способствовать деконцентрации экономической власти (здесь важную роль играет распределение производственного имущества) и легитимировать институт частной собственности в капиталистической рыночной экономике.
Более равномерного распределения богатства можно было бы добиться путем прямой конфискации или посредством перераспределяющих богатство налогов, в частности через налог на имущество и налог на наследство. Если требуется изменить нынешнее распределение богатства без вмешательства в существующие отношения собственности, то это можно сделать, только начав с прироста богатства и создания условий для участия в нем малоимущих. Поскольку прирост богатства, как правило, происходит лишь за счет сбережения части дохода, политика перераспределения богатства должна также затрагивать доходы.
6.2.1. Перераспределение существующего запаса богатства
Прямая экспроприация как средство политики перераспределения богатства отвергается в большинстве западных стран. Как мера перераспределения существующего богатства (в разных странах в весьма разном объеме) используются налог на имущество и налог на наследство.
Налог на имущество и налог на наследство зависят от размера богатства, причем налог на имущество зависит от размера существующего имущества, тогда как налог на наследство — от размера имущества, получаемого вследствие смерти завещателя.
В признающей частную собственность рыночной экономике направленная на перераспределение богатства в рамках экономической системы политика должна учитывать функцию частной собственности, что изначально устанавливает границы для перераспределения богатства посредством налогов. Ни налог на имущество, ни налог на наследство не должны устранить или излишне ограничить мотивационное воздействие частной собственности.
С отой точки зрения для перераспределения существующего богатства (в определенных границах) ’относительно более подходящим является налог на наследство, так как завещатель не несет бремя налогов и поэтому в меньшей степени подвержен отрицательным стимулам (таким, как снижение предпринимательской активности и вывоз капитала за границу). Следует добавить, что наследник, как правило, приобретает завещанное ему богатство не в силу собственных заслуг. Но нельзя не обратить внимание и на то, что, как показывают исследования, отмена или существенное ограничение права наследования отрицательно воздействуют на мотивацию.
В ФРГ в настоящее время ни налог на имущество, ни налог на наследство не вызывают существенного перераспределения богатства. Годовая ставка налога на имущество для физических лиц составляет 0,5% ценности налогооблагаемого имущества, а для корпораций — 0,6%. Причем существование минимума имущества, не облагаемого налогом, приводит к тому, что налог на имущество платится практически лишь за имущество ценностью свыше DM 70 тыс.1 (для физических лиц) или свыше DM 100 тыс. (для предприятий) . Налог на наследство дифференцируется по степени родства и по величине наследуемого имущества. При наибольшей степени родства соответственно, при минимальном налогообложении по категории 1 (супруга и дети завещателя) самая высокая налоговая ставка (35%) применяется лишь для имущества, превышающего DM 100 млн. В Великобритании верхняя ставка налога на наследство, равная 80%, является существенно более эффективной.
6.2.2. Перераспределение прироста богатства
Обсуждая проблему перераспределения, мы прежде всего упомянем о государственных мероприятиях, которые сохраняют валовые факторные доходы домашних хозяйств, а значит первичное распределение доходов, неизменными. Речь идет о поощрении сбережений в форме налоговых льгот или премий по сберегательным вкладам.
Каждый гражданин ФРГ имеет право вычитать из налогооблагаемого дохода как особые расходы определенные величины доходов от сберегательных вкладов, так называемые «вложения в будущее» (.Vorsorgeaufwendungen). Лежащее на вкладчике налоговое бремя снижается, так что он может увеличить свой вклад за счет экономии на уплате налога. Однако эти, приносящие проценты расходы должны быть закреплены на продолжительный срок. Под определение освобождаемых от обложения вкладов, согласна § 10 Закона о подоходном налоге с физических лиц, подпадают взносы на страхование жизни и вклады в строительных сберегательных кассах.
Согласно §10е Закона о подоходном налоге с физических лиц, частное строительство жилья поддерживается путем предоставления возможности ускоренной амортизации. В течение первых восьми лет из налогооблагаемого дохода ежегодно вычитается по 5% строительных издержек. Для застройщика это означает окончательное освобождение от налога, так как с 1987 г. ценность собственного жилья при расчете доходов не учитывается.
Кроме того, возможно получение дотации на основе Закона о субсидировании жилищного строительства. Премия в размере 10% от суммы строительного накопительного вклада предоставляется холостым (замужним и женатым), имеющим налогооблагаемый доход до DM 27 тыс. (DM 54 тыс.). Правда, в год эта сумма не может достигать больше DM 936 (в противном случае размер премии все равно не превышает DM 936). Предоставлявшиеся ранее надбавки к сбережениям на счетах (на сберегательной книжке) и к взносам на страхование жизни отменены.
Далее речь может идти о мерах по повышению факторных доходов наемных работников.
В основе мотивации здесь лежат два мероприятия:
¦ «инвестиционная заработная плата»,
¦ участие в прибыли.
Под «инвестиционной заработной платой» понимается та часть заработной платы, которая, по соглашению между тарифными партнерами или в соответствии с законодательным актом не выплачивается наемным работникам для их свободного распоряжения, а должна быть сохранена в какой-то форме и для какой-то цели. Важнейшей формой «инвестиционной заработной-платы» являются предусмотренные в 5-м Законе о стимулировании накопления имущества наемных работников («Закон о 936 марках») выплаты на формирование имущества. Такого рода выплаты, осуществляемые работодателем, дотируются государством путем предоставления 20% надбавки к накопленной сумме, если она будет затрачена на приобретение «производственного капитала». Таким капиталом считаются акции, паевые вклады в кооперативах, контракты на покупку ценных бумаг и т. д. Причем данная накопленная сумма может составлять не более DM 936 в год. Ту же цель преследует льготное обложение передачи паевых вкладов (согласно § 19а Закона о подоходном налоге с физических лиц).
Способствует ли практика инвестиционной заработной платы процессу перераспределения?
Мы исходим из того, что инвестиционная заработная плата превышает прирост производительности, так как он уже полностью поглощен нормальным повышением заработной платы. Поэтому инвестиционная зарплата рассматривается как дополнительные издержки.
Мы предполагаем, что в стремлении к сохранению доли прибыли предприниматели повысят свои цены в той же мере, в какой возросли издержки. Тогда дальнейший ход событий (и, таким образом, ответ на вопрос — было ли перераспределение эффективным) зависит от изменения совокупного спроса на блага, т. е. прежде всего от потребительского поведения (домашних хозяйств) наемных работников. Здесь необходимо различать две возможности.
¦ Если домашние хозяйства лишь «переместят» свои сбережения, т. е. увеличат расходы на потребление на сумму принудительно сбереженной инвестиционной заработной платы, то реальный спрос останется неизменным, а значит, по всей видимости, не изменится и реальный совокупный спрос на блага. Повышение цен (возмещение дополнительных издержек) со стороны предпринимателей в этом случае оказывается успешным, занятость и распределение доходов остаются неизменными. Имущество, находящееся в распоряжении наемных работников, не увеличивается.
¦ Если домашние хозяйства наемных работников захотят направить инвестиционную заработную плату на формирование добавочного имущества, они должны при растущих ценах ограничить свой спрос на блага, так как их предыдущий денежный доход при повышенном уровне цен без сокращения общих сбережений (предыдущие сбережения плюс инвестиционная заработная плата) не допускает сохранения предыдущего уровня потребления. Однако если домашние хозяйства сократят свой спрос, тогда занятость начнет понижаться, а это может привести к тому, что предприниматели, дабы избежать слишком больших потерь выручки, хотя бы частично ограничат повышение цен или не будут сразу повышать цены в полной мере на всю величину прироста издержек. В этом случае перераспределение происходит хотя бы частично, но за счет прибыли и за счет падения занятости. Отсюда возникает возможность угрозы для инвестиций, что может вызвать дальнейшее сокращение занятости. В такой ситуации нужно подумать о реакции государства. Если государство заполнит образованный разрыв спроса, создав дополнительный спрос своими закупками до уровня полной занятости, безработица исчезнет, но одновременно предприниматели получат возможность полной компенсации роста издержек через повышение цен. Статус-кво в распределении при полной занятости восстановится, но при возросшем уровне цен; если же домашние хозяйства наемных работников, несмотря на это, останутся на низком уровне потребления, они экономят в реальном выражении больше, чем раньше, т. е. они смогут накапливать имущество, но лишь путем «затягивания ремней».
Проиллюстрируем наши рассуждения примером. Пусть перед введением инвестиционной заработной платы в экономике производится номинальный национальный продукт размером в 160 единиц, который распадается на 100 единиц заработной платы и 60 единиц прибыли. Уровень цен составляет 1, и, таким образом, реальный доход (как и номинальный доход) равен 160. Домохозяйства наемных работников сберегают из своей заработной платы 20. Затем вводится инвестиционная зарплата, равная 10 единицам; повышение расходов на заработную плату на 10% дает повод предпринимателям повысить цены также на 10%.
Если домашние хозяйства после введения инвестиционной заработной платы урежут свои сбережения, то они захотят потреблять 90 вместо 80. Увеличение спроса в денежном выражении облегчит предпринимателям проведение повышения цен на 10%.
Таким образом, создается следующая ситуация: после введения инвестиционной заработной платы потребление домашних хозяйств составляет 90 денежных единиц (при уровне цен 1,1), значит, в реальном выражении их потребление благ, как и прежде, составляет 80. Номинальный национальный продукт возрос до 176, из которых домашние хозяйства наемных работников получают ПО, а домашние хозяйства предпринимателей — 66. Доля зарплаты составляет, как и прежде, 62,5%. Сбережения домашних хозяйств реально остаются почти неизменными.
Что же произойдет, если домашние хозяйства наемных работников предпримут попытку сберечь инвестиционную заработную плату дополнительно к своим предыдущим сбережениям еще на 20?
Тогда объем их сбережений составит 30 при потреблении в денежном выражении, равном 80. Если предприниматели стремятся к сохранению уровня спроса, провести повышение цен на 10% весьма непросто. Предположим, что среднее повышение цен составит 5%. В этом случае домохозяйства наемных работников реально потребляют 80 : 1,05 = примерно 76. Номинальный национальный продукт составляет 168 и делится на 110 единиц заработной платы и 58 единиц прибыли. Следовательно, доля заработной платы повышается с 62,5% до 65,5%. Но спад реального потребления, а также, возможно, и инвестиций, впоследствии приведет к снижению реального национального продукта и, таким образом, к увеличению безработицы. Избежать этого можно только тогда, когда государство поддерживает реальный спрос, как и прежде, на уровне 160. Но в этом случае предпринимателям легче провести повышение цен на 10%. Если уровень реальных сбережений домашних хозяйств наемных работников остается высоким, а уровень реального потребления — низким, тогда, хотя они и создают имущество, но из собственных средств и при повышении цен, равном темпу роста инвестиционной заработной платы.
Следовательно, при данном распределении власти в рыночной экономике — когда решения об инвестициях, ценах и занятости принимаются предпринимателями, а решения о заработной плате принимаются предпринимателями и профсоюзами — посредством инвестиционной заработной платы наемные работники могут изменить распределение в свою пользу и, таким образом, могут образовать дополнительное имуш.ебІ?д'Лишьва счет сокращения занятости или за счет реального ограничения своего потребления.
Но если это так, очевидно, что инвестиционная заработная плата является излишней: ведь чтобы в целях образования дополнительного имущества отказаться от потребления, потребности в инвестиционной зарплате отсутствуют.
Участие в доходах и прибыли наемных работников возможно в различных формах. Оно может быть результатом тарифного договора, может добровольно предоставляться предпринимателями или может быть предписано законом. Кроме того, часто оно связано с предприятием, на котором занят наемный работник, или приобретает форму общего участия в прибыли предприятий. Наконец, оно может принимать форму непосредственной выплаты наемному работнику или вноситься в некий фонд, в котором наемный работник владеет паем.
Какую бы форму ни принимало участие в прибыли, в любом случае для предпринимателей оно означает дополнительные издержки, поэтому ее эффект следует оценивать точно так же, как эффект инвестиционной заработной платы. Аналогичные результаты получил и Экспертный совет по общеэкономическому развитию, пришедший к выводу, что:
«Всем попыткам допустить участие наемных работников в прибыли грозит неудача по двум причинам: первая связана с возможностью компенсации... Предприниматели будут относиться к этим суммам как к издержкам и предпримут попытку их компенсировать, включив в цены.... Это удается им тем легче, чем меньше сбережений будет сделано из дополнительных доходов наемных работников. Вторая причина заключается в снижении склонности к инвестированию, если сумма участия в прибыли полностью или по большей части будет превращена наемными работниками в дополнительные сбережения; тогда их включение в цены для предпринимателей... уже не будет столь простым делом. Даже если предпринимателям будет предлагаться сбереженный наемными работниками
I капитал, их доход, а значит, и рентабельность их собственного капитала снизятся. Следовательно, упадет доходность инвестиций. Вследствие этого уменьшится склонность к инвестированию».
В качестве выхода из положения Совет экспертов предложил участие наемных работников в прибыли сочетать с одновременным принятием ими ответственности за убытки. Тогда доходность собственного капитала и, таким образом, объем инвестиций предпринимателей оставались бы неизменными и без компенсации роста издержек путем повышения цен.
Список основных понятий
¦ Факторы производства
¦ Первичное распределение доходов
¦ Вторичное распределение доходов
¦ Функциональное распределение доходов
¦ Личное распределение доходов
¦ Доля зарплаты в национальном доходе
¦ Доля прибыли в национальном доходе
¦ Оплата труда наемных работников
¦ Валовая (чистая) прибыль экономики и доходы от собственности
¦ «Очищенная» доля зарплаты
¦ Теория распределения на основе предельной производительности |
¦ Справедливость распределения
¦ Критерий затраченных усилий
¦ Принцип эгалитаризма
¦ «Неочищенная» доля зарплаты
¦ Доля доходов от труда
¦ Индивидуальный трудовой договор
¦ Коллективный договор
¦ Тарифная автономия
¦ Общий тарифный договор
¦ Тарифный договор по зарплате и жалованью
¦ Локаут
¦ Принцип отраслевых объединений
¦ Союз работодателей
¦ Нейтральная к издержкам политика заработной платы
¦ Регрессивное влияние косвенных налогов на доходы
¦ Реальные трансферты |
¦ Распределение национального богатства по критерию возможности его воспроизводства
¦ Национальное богатство с точки зрения его использования |
¦ Распределение притязаний на национальное реальное богатство по секторам
¦ Поощрение сбережений
¦ Участие в доходах и прибыли |
л. а гжтт тжшшщжат
1) Объясните следующие понятия: . .
¦ первичное — вторичное распределение доходов;
¦ функциональное — личное распределение доходов.
2) Что понимается под долей заработной платы и долей прибыли?
3) Оцените адекватность доли зарплаты как показателя и целевой величины для распределения доходов.
4) Как вы представляете себе справедливое распределение доходов?
5) Оцените воздействие государственных трансфертных платежей и налогов.
6) Что понимается под политикой заработной платы, ориентированной на производительность?
Как она воздействует на распределение доходов?
7) Что вы понимаете под агрессивной политикой заработной платы?
8) Какие важные части имущества, как правило, не учитываются при расчете распределения богатства?
9) Какие обстоятельства могли бы оправдать стремление придать особое значение производственному имуществу в дискуссии о политике распределения?
10) Обсудите влияния, которые оказывают друг на друга распределение дохода и распределение богатства.
¦ Основные проблемы распределения доходов доступно изложены в гл. 13 следующего учебника:
Максимова В. Ф. Микроэкономика: Учебник. М., 1996.
¦ Проблемы перераспределения доходов доступно изложены в гл. 13 учебного пособия вводного уровня:
Введение в рыночную экономику / Под ред. А. Я. Лившица и И. Н. Никулиной. М., 1994.
¦ Для тех, кто углубленно интересуется проблемами трудовых отношений, можно порекомендовать следующий фундаментальный учебник:
Экономика труда и социально-трудовые отношения / Под ред. Г. Г. Милякьяна и Р. П. Колосовой. М., 1996.
¦ Рекомендуем также первый переведенный на русский язык фундаментальный учебник по экономике труда американских авторов:
Эренберг Р. Дж., Смит Р. С. Современная экономика труда. Теория и государственная политика. М., 1996.
КОНЪЮНКТУРА И КРИЗИСЫ
Что такое конъюнктурные колебания и как их можно описать?
¦ Как можно описать экономический цикл?
¦ Какие экономические величины отражают экономический цикл?
¦ Можно ли предсказывать конъюнктурные колебания?
Чем можно объяснить колебания общеэкономической активности?
¦ Возможно ли равновесное развитие экономики?
¦ Почему повышательные и понижательные движения экономики имеют тенденцию к самоусилению?
¦ Что вызывает поворот экономической активности от подъема к спаду и от спада к подъему?
¦ Какую роль в экономическом цикле играет «предприниматель-пионер»?
¦ Может ли государственное вмешательство в экономический процесс привести к колебаниям конъюнктуры?

Наличие колебаний экономической активности можно считать эмпирически доказанным. Однако вопрос о том, возможно ли говорить о циклических колебаниях, а также о том, каковы причины изменений экономической активности, является дискуссионным. В настоящей главе мы подробно обсуждаем данную проблематику.
1. Форма проявления конъюнктуры
Экономика никогда не стоит на месте. Практически все экономические переменные со временем подвергаются изменениям. И величина национального продукта, и значения его компонентов (частного потребления, частных инвестиций, государственных расходов и чистого экспорта) претерпевали в прошлом большие и регулярные изменения. Колебания национального продукта станут особенно очевидными, если мы отобразим на графике темпы его роста, представляющие собой процентное изменение реального продукта по сравнению с предыдущим годом. На рис. 27.1 показаны темпы экономического роста в ФРГ в 1950-1994 гг.
 |
Рис. 27.1. Темпы роста реального валового национального продукта в ФРГ
в 1950-1994 гг. (в %). |
Источник: Statistisches Bundesamt.
Рис. 27.1 показывает что, в течение всего рассматриваемого периода, за исключением 1967, 1975, 1982 и 1993 гг., наблюдалось увеличение национального продукта, однако рост был весьма неравномерным.
Для рыночной экономики справедливы следующие утверждения.
(а) Во всех странах в долгосрочном периоде наблюдается рост национального продукта и общеэкономического производственного потенциала (тренд).
(б) Вокруг этого тренда с известной регулярностью происходят колебания значений национального продукта и уровня использования производственных мощностей (т. е. общеэкономического производственного потенциала).
Мы можем схематически представить данные явления:
 |
|
Рис. 27.2. Динамика производственного потенциала экономики ФРГ’ |
Происходящие с известной регулярностью (поэтому и называемые циклическими) колебания загрузки производственного потенциала и/или колебания производства вокруг своего долгосрочного тренда мы называем экономическими (деловыми) циклами.
Несмотря на то, что ни один экономический цикл не похож на другой, принято выделять общую структуру цикла, которая состоит в следующем.
Кризис (депрессия) характеризуется высокой безработицей и низкой степенью использования производственных мощностей. Экономические субъекты не уверены в перспективах экономического развития и не готовы принимать инвестиционные решения.
Подъем (экспансия) знаменуется сначала медленным, а затем все более ускоряющимся ростом производства, продаж, прибыли. Снижается безработица, возрастает уверенность в будущем, с ростом использования экономических мощностей оживляется и инвестиционная деятельность.
Высокая конъюнктура (бум) отмечается возникновением узких мест в разных отраслях экономики, интенсивной инвестиционной активностью и ростом темпов инфляции.
Спад (рецессия) означает начало и постепенное усиление спада экономической активности. Сокращаются спрос, производство, инвестиции, прибыль и занятость. ¦
В последние годы представленная схема экономического цикла характеризуется относительно большими отраслевыми различиями (например, между сталелитейной и химической промышленностью, строительством и т. д.) и размыванием границ между отдельными фазами цикла.
Сколько времени обычно длится экономический цикл? Однозначного ответа на этот вопрос не существует, так как продолжительность разных циклов весьма различна. Часто наблюдаются циклы с периодом от трех до пяти лет, в течение которых экономика проходит через все фазы подъема и спада. В послевоенные годы конъюнктурный ритм экономики ФРГ определялся кризисами 1949, 1954,1958,1962-1963, 1967, 1971, 1975, 1981, 1987 и 1992-1993 гг. Следовательно, продолжительность цикла варьировалась в пределах от четырех до шести лет (см. рис. 27.3).
Экономическая
активность |  |
|
Рис. 27.3. Схематическое изображение делового цикла в ФРГ |
2. Индикаторы конъюнктуры
Отдельные фазы делового цикла сопровождаются изменением множества экономических переменных. Ниже мы рассмотрим некоторые из них.
(а) Ход конъюнктуры, по определению, описывается через колебания национального продукта и его тренда. Поскольку национальный продукт измеряет конъюнктуру непосредственным образом, т. е. без временного лага, его называют совпадающим индикатором. Типичными совпадающими индикаторами являются промышленное производство и степень использования мощностей.
(б) Другим индикатором конъюнктуры выступает ситуация на рынке труда. Однако рынок труда реагирует на изменение конъюнктуры со значительным временным лагом, поэтому его называют запаздывающим индикатором. Важным запаздывающим индикатором являются цены, с большим отставанием следующие за общим ходом конъюнктуры.
(в) Поскольку величина спроса определяет величину национального продукта, изменение спроса обусловливает движение конъюнктуры. Вследствие того, что запланированный спрос не поддается прямому статистическому измерению, индикатором спроса считается временная обеспеченность заказами (число месяцев, на которые есть заказы). Рис. 27.4 показывает, что в ФРГ до 1990 г. происходил подъем, сменившийся спадом, который продолжался с 1991 по 1993 г. Обеспеченность заказами считается типичным опережающим индикатором.
(г) Протекание идеального делового цикла характеризуется рядом эмпирических закономерностей, которые мы здесь лишь упоминаем. При тщательном рассмотрении колебаний выпуска выясняется, что:
¦ производство инвестиционных благ колеблется сильнее, чем производство потребительских благ;
¦ объем инвестиций в запасы колеблется сильнее, чем инвестиции в строительство и оборудование;
¦ производство потребительских благ длительного пользования (автомобилей, холодильников, стиральных машин и т. д.) колеблется сильнее, чем производство благ повседневного спроса;
¦ процентные ставки и курсы акций изменяются параллельно ходу конъюнктуры;
¦ наконец, наблюдаются колебания в доходах населения, причем сильнее всего колеблется нераспределенная прибыль предпринимателей.
 |
1987 1988 1989 1990 1991 1992 1993 1994
Рис. 27.4. Обеспеченность заказами в промышленности ФРГ. Источник: IfO-Wirtschaftskonjunktur. 1994. Heft 12. |
(д)В качестве последней группы индикаторов мы опишем психологический элемент — деловой климат. Как показывают теоретические дискуссии, решения предпринимателей о производстве определяются их ожиданиями. Исходя из этого ИФО-Институт исследования экономики в Мюнхене разработал анкету, которую регулярно заполняют 200 тыс. предприятий. Данные обобщаются ИФО-институтом. В анкете предпринимателям задается вопрос о том, как они:
(1) оценивают настоящую ситуацию в бизнесе;
(2) оценивают изменения по сравнению с предыдущим месяцем;
(3) настроены по поводу ближайших шести месяцев.
Из ответов составляется индекс делового климата для разных секторов экономики (см. рис. 27.5).
Уже долгое время предпринимаются попытки найти индикатор, который позволял бы прогнозировать будущее развитие и был бы похож на барометр, предсказывающий по изменениям давления воздуха погоду. Однако эти попытки пока не увенчались успехом. Можно предположить, что на роль такого барометра подходит, например, индикатор «делового климата» ИФО-Института, немного опережающий фактическое изменение национального продукта. Однако при более тщательном анализе индекса ИФО-Института обнаруживаются незначительные колебания, а делающий прогноз человек не имеет возможности отличить эти зачастую случайные сдвиги от главного направления процесса. Поэтому индикатор ИФО-Института является весьма грубым инструментом.
Приходится констатировать, что законы экономической динамики существенно отличны от законов, на которых базируются, к примеру, естественные науки. Экономические события подчиняются закономерностям, определяющим лишь общее направление развития, когда невозможно точно определить причины и следствия явлений. Поэтому прогнозы экономистов никогда не сбываются полностью, но в большинстве случаев, как отмечал П. Самуэльсон, они более точны, чем предсказания гадалок.
 |
1987 1988 1989 1990 1991 1992 1993 1994
Рис. 27.5. Эволюция делового климата ФРГ Источник: IfO-Wirtschaftskonjunktur. 1994. Heft 12. |
3. Объяснение экономического цикла
3.1. Общая схема объяснений
Существует множество объяснений экономического цикла, причем далеко не всегда они являются противоречивыми. Скорее различаются точки зрения, с которых сторонники различных теорий анализируют один и то же предмет. Вспомним рассуждения, содержащиеся во введении к этой книге, которые показали, насколько трудно найти однозначные объяснения. Поэтому нам приходится смириться с множественностью объяснений. И все-таки мы постараемся показать связь различных теорий. Чтобы помочь читателю разобраться в разных подходах и связывающей их основной линии, мы описываем сначала общую схему объяснения цикличности.
Наблюдаемые конъюнктурные колебания происходят на фоне роста экономики, а значит, в экономике, в которой производственное оборудование (запас капитала) посредством чистых инвестиций постоянно улучшается (частично заменяется) и расширяется. Несмотря на то что проблемы экономического роста мы будем обсуждать лишь в гл. 28, нам уже сейчас придется вести рассуждения в «терминах растущей экономики», так как колебания экономической активности большей частью вызваны экономическим ростом. Мы включаем в анализ изменения производственного оборудования и ограничиваем анализ среднесрочным периодом.
Допустим, что экономика развивается непрерывно, например, ее ежегодный рост составляет 5%. Однако вследствие неустойчивости инвестиций такое равновесное развитие представляется совершенно невероятным. «Равновесная траектория экономического роста», образно говоря, очень узка и при отступлении в сторону от нее, как показывает опыт, отклонения сначала усиливаются, а затем ослабляются и в конце концов превращаются в свою противоположность, что, однако, опять выводит экономику за рамки равновесного роста. Следовательно, этот процесс вполне можно было бы представить в виде коридора, внутри которого колебания экономической активности сначала усиливаются, а затем экономика «откатывается» в обратную сторону. Можно сказать, что вначале преобладают дестабилизирующие элементы, а в конце — стабилизирующие.
Если мы хотим объяснить колебания в пределах коридора, уместно вспомнить о том, что производственная деятельность предприятий зависит, с одной стороны, от совокупного спроса со стороны частных лиц, а с другой — от заработной платы, процентных ставок и цен, и, наконец, сильное влияние на экономическую динамику оказывает экономическая активность государства. Тогда нам остается объяснить причины циклических колебаний этих переменных.
3.2. Рост «на острие ножа»
Между величиной национального дохода и необходимым для его воспроизводства запасом машин и оборудования (так называемым запасом капитала) существует относительно устойчивая связь. Подобно тому как запас машин отдельной фабрики зависит от годового объема выпуска, так и запас капитала страны в целом зависит от среднегодового совокупного выпуска. Отношение запаса капитала к годовому объему выпуска называется капиталоемкостью (коэффициентом капитала).
Капиталоемкость (к) =
Запас капитала (К)
Национальный доход (Y) ’
При этом ясно, что запас капитала практически всегда больше, чем годовой объем выпуска. Данный вывод станет очевидным, если предположить, что почти ни одна машина не амортизируется полностью в течение одного года. В современной экономике с помощью запаса капитала размером в 1 тыс. руб. можно произвести благ примерно на 250-500 руб., т. е. капиталоемкость варьируется в пределах от 2 до 4 '.
В случае осуществления капиталовложений запас капитала увеличивается на величину чистых инвестиций, т. е. на ту часть общей их суммы, которая превышает возмещение изношенного оборудования. Следовательно, производственные мощности увеличиваются пропорционально капиталоемкости. Если капиталоемкость к равна 2 (из чего мы будем исходить в дальнейшем анализе), тогда производственные мощности увеличатся на половину чистых инвестиций. Одновременно валовые инвестиции являются компонентом совокупного спроса, воздействие которого на величину национального дохода описывается принципом мультипликатора (см. гл. 12).
Следовательно, инвестиции оказывают воздействие как на производственные мощности, так и на спрос, и решающим обстоятельством для развития конъюнктуры является их различное влияние в нормальной ситуации на производственные мощности и на спрос.
Проиллюстрируем данное положение на простом примере. Пусть функция потребления имеет вид С = 0,8 Y и ежегодно инвестируется 100 (денежных единиц). (Мы не учитываем износ машин, так что валовые инвестиции равны чистым инвестициям, а также пренебрегаем для упрощения экономической активностью государства и «остального мира»), В этой ситуации равновесный национальный доход
будет равен Y = у^ = ^^ = 500; и при капиталоемкости к = 2 для производства
равновесного национального дохода понадобится запас капитала, равный 1000. Читатель, несомненно, должен заметить, что такое краткосрочное равновесие не может быть продолжительным, так как запас капитала и производственные мощности постепенно растут, а спрос и, таким образом, объем выпуска остаются неизменными (см. табл. 27.1).
Изображенное в таблице развитие событий в действительности неблагоприятно: предприятия не инвестируют тогда, когда образуется «разрыв» между спросом и производственными мощностями, который, кроме того, из года в год увеличивает-
Таблица 27.1
Динамика запаса капитала и национального дохода при постоянных чистых
инвестициях |
|
Период |
Запас
капитала |
Мощности |
Национальный
ДОХОД |
Чистые
инвестиции |
Потребление |
«Разрыв» |
|
0 |
1000 |
500 |
500 |
100 |
400 |
0 |
|
1 |
1100 |
550 |
500 |
100 |
400 |
-50 |
|
2 |
1200 |
600 |
500 |
100 |
400 |
-100 |
|
ся. Таким образом, возникает вопрос: а можно ли вообще согласовать воздействие инвестиций на мощности и на доходы.
Мы дадим на этот вопрос сначала общий ответ, а затем проиллюстрируем его в виде таблицы.
Если в исходном равновесном состоянии, при котором предложение национального продукта равно спросу на него, осуществляются чистые инвестиции I, тогда
производственные мощности в экономике будут возрастать на ^ • I. Для того, чтобы избежать появления неиспользованных мощностей, что побудило бы предпринимателей сократить капиталовложения, спрос должен повыситься на ту же величину,
т. е. на ~І. Из гл. 12 нам известно, что произведенный и предложенный национальный продукт, который в состоянии равновесия соответствует спросу на национальный продукт, при данном потребительском поведении домохозяйств (т. е. при данной функции потребления) определяются исключительно объемом инвестиций. Если, как в приведенной выше функции потребления С = 0,8 Y, не учитывать автономное потребление, тогда равновесный доход и, таким образом, равновесный спрос будут определяться по формуле:
Спрос = произведенный национальный продукт =
1
= узу х чистые инвестиции.
Если чистые инвестиции изменяются, изменяется равновесное производство и равновесный спрос (см. анализ мультипликатора).
Изменение спроса равно изменению произведенного национального продукта:
А N =—-ДІ.
1-b
Для того чтобы производственные мощности были всегда загружены, необходимо, чтобы при чистых инвестициях 1 спрос повысился на ~І. Это происходит тогда, когда
Отсюда следует:
’ 1 ?- 1
или, наоборот,
1—b ДІ
т
—— = — = темпы роста I. k I
Созданные посредством чистых инвестиций дополнительные производственные мощности обеспечиваются достаточным спросом лишь тогда, когда капиталовложения постоянно возрастают темпами, равными предельной склонности к сбережению (1 - Ь), отнесенной к капиталоемкости к. В этом случае имеет место равновесный экономический рост.
Следовательно, если, например, предельная склонность к потреблению b = 0,8, а капиталоемкость к = 2, устанавливаются равновесные темпы роста, равные:
0 “>
^ = 0,1 = 10%.
Следовательно, чтобы избежать разрыва между производственными мощностями и спросом, инвестиции должны ежегодно возрастать на 10%.
Данный вывод иллюстрируют табл. 27.2 и 27.3. При этом, как и прежде, мы исходим из предельной склонности к потреблению, равной 0,8, и капиталоемкости, равной 2.
Следовательно, чтобы разрыв между спросом и мощностями был всегда равен нулю, все переменные при данных значениях предельной склонности к потреблению и капиталоемкости должны ежегодно возрастать на 10%.
Таблица 27.2
Равновесный экономический рост |
|
Период |
Запас
капитала |
Производст
венные
мощности |
Национальный
доход |
Чистые
инвестиции |
Потребление |
«Разрыв» |
|
0 |
1000 |
500 |
500 |
100 |
400 |
0 |
|
1 |
1100 |
550 |
550 |
по |
440 |
0 |
|
2 |
1210 |
605 |
605 |
121 |
484 |
0 |
|
3 |
1331 |
665,5 |
665,5 |
133,1 |
532,4 |
0 |
|
Таблица 27.3
Неравновесный экономический рост |
|
Период |
Запас
капитала |
Производст
венные
мощности |
Национальный
доход |
Чистые
инвестиции |
Потребление |
«Разрыв» |
|
4 |
1464 |
732 |
700 |
140 |
560 |
-32 |
|
5 |
1604 |
802 |
735 |
147 |
588 |
-67 |
|
6 |
1751 |
876 |
770 |
154 |
616 |
-106 |
|
7 |
1905 |
953 |
809 |
162 |
647 |
-144 |
|
Читатель может возразить, что ситуация, когда все переменные возрастают одинаковыми равновесными темпами, может сложиться лишь по чистой случайности. Если любое небольшое отклонение способно вывести этот процесс из равновесия, то, очень образно, говорят о «росте на острие ножа» (см. табл. 27.3, которая в принципе является продолжением табл. 27.2). Только теперь предполагается, что в четвертом периоде инвестиции возрастают не на 10%, а всего лишь примерно на 5% (с 133,1 до 140), затем ежегодно увеличиваются теми же темпами (на 5%), функция потребления при этом остается прежней: С = 0,8 У.
Табл. 27.3 показывает, что при недостижении равновесных темпов роста сразу же образуется разрыв между спросом и производственными мощностями, который с течением времени лишь возрастает. Складывается парадоксальная ситуация: появление лишних мощностей обусловлено тем, что создается слишком мало новых мощностей (т. е. инвестиций). Противоположная ситуация возникла бы в том случае, если бы фактические темпы роста оказались более высокими, чем равновесные темпы. Тогда складывается дефицит наличных производственных мощностей, потому что должно быть создано (т. е. инвестировано) слишком много новых мощностей.
Следовательно, траектория равновесного роста похожа на прогулку по гребню горного хребта, во время которой отклонение от правильного пути усугубляет само себя. Но в реальной действительности представленное в табл. 27.3 не может длиться бесконечно. Как уже отмечалось в разделе 3.1 этой главы, существуют механизмы, которые предотвращают отклонения от равновесной траектории, ведущие к катастрофе, а значит, вызывают поворот динамики национального дохода в обратном направлении. Некоторыми наиболее важными механизмами такого рода:
¦ связью между мультипликатором и акселератором,
¦ инерцией потребления и
¦ колебаниями прибыли
мы займемся ниже. Следует отметить также, что вмешательство государства в экономику может как устранить отклонения от «верной траектории», так и породить их.
3.3. Связь мультипликатора и акселератора
Очевидно, что изображенная в табл. 27.1 и 27.3 тенденция, в соответствии с которой предприятия проводят расширение мощностей тогда, когда существующие мощности не загружены, не может сохраняться в течение длительного времени. Здесь нужно напомнить, что между величиной национального дохода и величиной необходимого для его производства капитала существует относительно жесткая связь. Если национальный доход возрастает, должен увеличиваться и запас капитала (если перед этим мощности были полностью загружены), а в том случае, когда происходит сокращение национального дохода, уменьшается и необходимый запас капитала. Но так как изменение запаса капитала равно чистым инвестициям, мы можем констатировать, что желаемые чистые инвестиции (I) зависят от изменения национального дохода (ДУ):
I - f(AY).
Это и есть принцип акселератора («принцип ускорения»). В гл. 12 мы упоминали о том, что принцип акселератора не может быть единственным объяснением инвестиционной активности, о важной роли процентных ставок, прибыли, ожиданий и т. д. Но так как мы не можем учесть все факторы одновременно, мы ограничимся лишь моделью акселератора.
Основное положение принципа акселератора вызывает некоторое недоумение: чистые инвестиции зависят от изменения (прироста) национального дохода, и если этот прирост увеличивается, растут чистые инвестиции, а если прирост уменьшается, они сокращаются.
Если национальный доход повышается на 100, тогда необходимые чистые инвестиции будут равны 200 (при капиталоемкости, равной 2); если национальный доход повышается лишь на 50, тогда необходимые чистые инвестиции составят 100, т. е. уменьшатся.
Если, наоборот, национальный доход снижается на 100 единиц, тогда желаемые чистые инвестиции будут равны -200; если же национальный доход сокращается только на 50, тогда желаемые чистые инвестиции составят -100, т. е. опять будут отрицательными, но более высокими, чем прежде (ведь -100 больше -200). Следовательно, если темпы роста национального дохода снижаются, то чистые инвестиции уменьшаются, если же темпы сокращения национального дохода снижаются, то чистые инвестиции возрастают.
Данная взаимосвязь является механизмом, который в сочетании с принципом мультипликатора объясняет циклические колебания экономической активности, которые можно представить себе следующим образом.
Когда национальный доходе фазе подъема повышается, в соответствии с принципом акселератора спрос на инвестиционные блага увеличивается, что, согласно принципу мультипликатора, приводит к росту расходов на потребление. Начинается «раскачка» экономики, так как возрастание инвестиций повышает расходы на потребление, что, в свою очередь, усиливает инвестиционную активность и т. д.
Но так как принцип мультипликатора действует со снижающимся ускорением (аналогией здесь может послужить пример с автомобилем, который при полном нажатии педали газа достигает максимальной скорости со снижающимся ускорением), инвестиционные расходы, «подчиняющиеся» принципу акселератора, рано или поздно начнут снижаться. Следовательно, сокращение инвестиционных расходов, в соответствии с принципом мультипликатора, приведет к уменьшению национального дохода,
Таблица 27.4
Циклическая динамика национального продукта с затухающими колебаниями при предельной склонности к потреблению, равном 0,5, и акселераторе, равном 1,5 |
|
t |
г' — с’
4 4-1 |
С1 |
I* -I'
4 4-1 |
A |
$ |
Yt |
|
1 |
2 |
3 |
4 |
5 |
6 |
7 |
|
1 |
0 |
1000 |
0 |
0 |
1000 |
2000 |
|
2 |
0 |
1000 |
0 |
0 |
1500 |
2500 |
|
3 |
250 |
1250 |
375 |
375 |
1000 |
2625 |
|
4 |
63 |
1313 |
281 |
94 |
1000 |
2406 |
|
5 |
-109 |
1203 |
-258 |
-164 |
1000 |
2039 |
|
6 |
-184 |
1020 |
-111 |
-275 |
1000 |
1744 |
|
7 |
-147 |
872 |
54 |
-221 |
1000 |
1651 |
|
8 |
-47 |
825 |
151 |
-70 |
1000 |
1755 |
|
9 |
52 |
878 |
148 |
78 |
1000 |
1956 |
|
10 |
100 |
978 |
72 |
151 |
1000 |
2129 |
|
11 |
86 |
1064 |
-21 |
129 |
1000 |
2194 |
|
12 |
33 |
1097 |
-81 |
49 |
1000 |
2146 |
|
13 |
-24 |
1073 |
-85 |
-36 |
1000 |
2037 |
|
14 |
-54 |
1018 |
-46 |
-82 |
1000 |
1937 |
|
15 |
-50 |
968 |
7 |
-75 |
1000 |
1893 |
|
16 |
-22 |
947 |
42 |
-33 |
1000 |
1914 |
|
17 |
10 |
957 |
48 |
16 |
1000 |
1973 |
|
18 |
29 |
986 |
28 |
44 |
1000 |
2030 |
|
19 |
29 |
10Д 5 |
-1 |
43 |
1000 |
2058 |
|
20 |
14 |
1029 |
-22 |
21 |
1000 |
2050 |
|
21 |
-4 |
1025 |
-27 |
-6 |
1000 |
2019 |
|
22 |
-16 |
1010 |
-17 |
-23 |
1000 |
1986 |
|
23 |
-16 |
993 |
1 |
-25 |
1000 |
1968 |
|
24 |
-9 |
984 |
11 |
-13 |
1000 |
1971 |
|
25 |
1 |
985 |
15 |
2 |
1000 |
1987 |
|
26 |
8 |
994 |
10 |
12 |
1000 |
2006 |
|
27 |
9 |
1003 |
2 |
14 |
1000 |
2017 |
|
28 |
5 |
1008 |
-6 |
8 |
1000 |
2017 |
|
29 |
0 |
1008 |
-8 |
0 |
1000 |
2008 |
|
30 |
-4 |
1004 |
-6 |
-6 |
1000 |
1998 |
|
31 |
-5 |
999 |
-1 |
-8 |
1000 |
1991 |
|
32 |
-3 |
995 |
3 ' |
-5 |
1000 |
1990 |
|
33 |
0 |
995 |
5 |
0 |
1000 |
1995 |
|
34 |
2 |
997 |
4 |
3 |
1000 |
2001 |
|
35 |
3 |
1000 |
1 |
4 |
1000 |
2005 |
|
36 |
2 |
1002 |
-1 |
3 |
1000 |
2005 |
|
37 |
0 |
1003 |
-3 |
0 |
1000 |
2003 |
|
38 |
-1 |
1002 |
-2 |
-2 |
1000 |
2000 |
|
|
Окончение табл. 27.4 |
|
1 |
2 |
3 |
4 |
5 |
6 |
7 |
|
39 |
-2 |
1000 |
-1 |
-2 |
1000 |
1998 |
|
40 |
-1 |
999 |
1 |
-2 |
1000 |
1997 |
|
41 |
0 |
998 |
1 |
0 |
1000 |
1998 |
|
42 |
1 |
999 |
1 |
1 |
1000 |
2000 |
|
43 |
1 |
1000 |
1 |
1 |
1000 |
2001 |
|
44 |
1 |
1001 |
0 |
1 |
1000 |
2002 |
|
45 |
0 |
1001 |
-1 |
0 |
1000 |
2001 |
|
46 |
0 |
1001 |
-1 |
0 |
1000 |
2000 |
|
47 |
0 |
1000 |
0 |
-1 |
1000 |
1999 |
|
48 |
0 |
1000 |
0 |
-1 |
1000 |
1999 |
|
что, в свою очередь, вызовет дальнейшее падение инвестиций и в конце концов приведет к отрицательным чистым инвестициям. Понижательный процесс в фазе спада сначала усиливается, однако в конце концов сжатие экономической активности замедляется и через акселератор инвестиционная активность вновь усиливается.
Приведенные ниже результаты компьютерной имитации (см. табл. 27.4) показывают циклические колебания, которые могут быть вызваны совместным действием акселератора и мультипликатора. При расчете были сделаны следующие допущения.
¦ Существуют только два компонента совокупного спроса: частное потребление и частные инвестиции.
¦ Частное потребление состоит только из зависящего (индуцированного) от дохода потребления (С1): автономное потребление не учитывается. Текущее потребление зависит от национального дохода предыдущего периода (так называемый лаг Робертсона).
¦ Частные инвестиции состоят из инвестиций, которые не зависят от уровня и от изменений спроса («автономные» инвестиции Іа), и из капиталовложений, осуществленных в ответ на изменение потребительского спроса в текущем периоде по сравнению с предыдущим периодом («индуцированные» инвестиции F).
¦ Предложение благ в каждом периоде удовлетворяет спрос на блага.
¦ В периоде 1 рынок благ находится в равновесии, в периоде 2 происходит однократное повышение автономных инвестиций, но в периоде 3 они снижаются до своего первоначального уровня.
Соответствующие процессы кратко описываются в табл. 27.4, которая иллюстрирует деловые циклы с затухающей амплитудой колебаний.
В периоде 1 (t= 1) имеет место равновесный доход (равновесный национальный продукт), равный 2000, из которых на потребление и на инвестиции используется по 1000 единиц. В периоде 2 по неизвестной причине происходит однократное увеличение автономных инвестиций на 1500 (см. столбец 6). Вызванное этим повышение спроса увеличивает в том же периоде национальный продукт (см. столбец 7). Повышение национального продукта на 500, произошедшее во втором периоде, повышает в третьем периоде потребление на 250 (см. столбцы 2 и 3). Кроме того, рост потребления в периоде 3 по сравнению с периодом 2, вызванный действием акселератора, приводит к приросту индуцированных инвестиций, равному полуторакратному изменению потребления, т. е. 375 (см. столбец 5). Поскольку дополнительные автономные инвестиции в периоде 3 не происходят, изменение спроса составляет в целом 125 (250 + 375 - 500), вследствие чего произведенный национальный продукт повышается с 2500 до 2625 (см. столбец 7). Изменение национального продукта в периоде 3 вновь приведет в периоде 4 к повышению потребительского спроса, который, однако, составляет уже лишь около 63. Из-за этого снижения потребления, индуцированные инвестиции в периоде 4 достигают лишь около 94. Таким образом, по сравнению с периодом 3 совокупный спрос в целом уменьшается, так что снижается и национальный продукт. Падение национального дохода индуцирует в периоде 5 сокращение потребления и т. д.
В зависимости от значений предельной склонности к потреблению и акселератора, принятых согласно изначальным допущениям, формируются показанные в табл. 27.4 циклические колебания национального продукта.
3.4. Инерция потребительских расходов
Отклонения от «верной траектории» уменьшаются в том случае, когда имеют место расходы, которые возрастают в фазе подъема и снижаются в фазе спада медленнее, чем национальный доход. Иногда именно так «ведет себя» экспорт, и очень часто — потребительские расходы домохозяйств.
С одной стороны, предпочтения потребителей обладают некоторой инерцией: при растущих доходах расходы на потребление, как правило, будут пропорционально повышены далеко не сразу. Для приспособления к новому уровню жизни, скорее всего понадобится некоторое время. Так, например, перед тем как продать комнату в коммунальной квартире и купить себе отдельную квартиру, разумно было бы сначала «оглядеться». Или перед приобретением новой, более качественной мебели некоторое время используется старая и т. д. Аналогично, при сокращении доходов для уменьшения расходов понадобится определенное время: сначала среднее домохозяйство попытается сохранить свой жизненный уровень через снижение сбережений, т. е. через потребление накоплений.
С другой стороны, на протяжении делового цикла потребительские расходы относительно стабильны, так как изменяется распределение национального дохода на заработную плату и прибыль. Заработная плата в течение цикла колеблется меньше, чем прибыль: в ходе подъема рост заработной платы отстает от увеличения прибыли (лаг заработной платы), в фазе спада происходит обратное. Причина этого состоит главным образом в том, что в тарифных соглашениях заработная плата фиксируется на определенный промежуток времени, обычно на один год, и профсоюзы не могут предвидеть роста прибыли в фазе подъема.
Если впоследствии выясняется, что прибыль возросла больше, чем заработная плата, профсоюзы попытаются учесть это в следующем тарифном договоре, что делает запаздывание неизбежным. Наоборот, в фазе спада профсоюзы предпримут попытку сохранить уже достигнутый уровень заработной платы. Поскольку получатели заработной платы используют на потребление ббльшую долю дохода, чем получатели прибыли, спрос на предметы потребления в фазе подъема будет расти, а в фазе спада — снижаться медленнее, чем национальный доход.
Такой запаздывающий рост или уменьшение расходов на потребление приводит к тому, что динамика инвестиционных расходов под действием акселератора изменяется на противоположную: в фазе подъема они начинают первыми сокращаться, а в фазе спада — первыми возрастают.
3.5. Колебания прибыли
В то время как инерция расходов на потребление ускоряет «возвратный» механизм акселератора, динамика заработной платы, процентных ставок, цен и в конечном счете прибыли может создать особого рода «возвратный» механизм для инвестиционной активности, а именно акселератор прибыли. Следовательно, речь здесь идет о зависимости инвестиций от прибыли. Почему прибыль испытывает колебания?
Первоначально в фазе подъема, когда очень много фирм планируют расширение производственных мощностей, цены инвестиционных благ могут расти быстрее, чем цены потребительских благ, ведь расходы на потребление обладают определенной инерцией. Поэтому прибыль производителей потребительских благ снижается (т. е. сокращаются темпы ее роста), из-за чего в данном секторе экономики уменьшаются инвестиции.
Затем, в фазе подъема, под влиянием большого спроса на кредиты могут повыситься процентные ставки, в результате чего возрастет стоимость капитала, и, в тех случаях, когда возросшие издержки на уплату процентов не могут быть перенесены на цены, прибыль оказывается «под давлением». Здесь также может возникнуть отрицательное воздействие на инвестиции.
Наконец, в конце фазы подъема, когда ощущается нехватка рабочей силы, профсоюзы получают возможность добиться повышения заработной платы, а значит замедляется рост прибыли и снижается склонность к инвестированию.
Таким образом, под действием ряда факторов темпы роста прибыли на первых фазах подъема (а значит, и инвестиций) сокращаются.
Если такое замедление уже произошло, оно может очень скоро привести к само-усилению: все более повышающиеся процентные ставки и зарплата сокращают маржу прибыли, в итоге снижается зависящая от прибыли инвестиционная активность и начинается фаза спада. В фазе спада все происходит наоборот: цены инвестиционных благ в сравнении с относительно стабильными ценами потребительских благ снижаются, процентные ставки уменьшаются, профсоюзы не способны добиться повышения заработной платы. Данные процессы могут замедлить спад и после преодоления кризиса вновь начинается подъем.
3.6. Теория конъюнктуры Шумпетера
Йозеф Шумпетер (1883-1950) проводил различие между изобретениями (открытиями, созданием новых благ, новых процессов и новых методов) и инновациями (нововведениями), как коммерческим внедрением изобретений на предприятиях.
Если процесс изобретений носит непрерывный характер, то инновации распространяются циклически. Причина состоит в том, что люди по своей природе консервативны и, до тех пор пока они не проверены, испытывают трудности в принятии новых методов. Но некоторые смелые «предприниматели-пионеры» готовы опробовать новые изобретения. Наградой им служат высокие «пионерные прибыли». Привлеченные высокими доходами, за ними следуют другие предприниматели — предпри-ниматели-«имитаторы». Начинается рост инвестиционной активности, который через мультипликатор приводит к буму.
Окончание подъема связано с тем, что новое оборудование и продукция позволяют насытить спрос и инвестиционная активность вновь ослабеет. Вслед за сокращением спроса начинают снижаться цены нового оборудования и прибыль, распространяется общее пессимистическое настроение, и экономика вступает в фазу спада. Двигателем экономического развития и технического прогресса является та же сила, которая создает циклические колебания экономической активности в рыночной экономике.
3.7. Государственная экономическая политика
В предыдущих разделах этой главы были описаны некоторые механизмы, которые могут вызвать движение конъюнктуры. Но мы не получили ответа на дискуссионный вопрос о неизбежности конъюнктурных колебаний в рыночной экономике. Как отмечалось в гл. 13, новая классическая макроэкономика делает акцент на стабильности частного сектора. Согласно этому подходу, наблюдаемые в реальности циклы объясняются в первую очередь вмешательством государства в экономику (интервенционистские или политические циклы). Более подробно это мнение раскрывается в следующем суждении, в котором предполагается, что цикл начинается с роста цен: '
«В конце концов растущие темпы инфляции начинают восприниматься как неприемлемые, что приводит к принятию ограничительных мер. Однако это сокращает лишь доходы предприятий, но не их издержки, так как факторные цены — особенно заработная плата — характеризуются понижательной негибкостью.
Но когда издержки уже нельзя покрыть, остается только один выход: снижение занятости. Рост безработицы изменяет ожидания граждан, которые начинают распоряжаться деньгами более осторожно, что выражается в увеличении запасов наличности. Оба способа поведения приводят к сокращению денежного оборота, что приводит к нарушению постулата полной занятости, ибо вскоре, для того чтобы «поглотить» безработицу, вновь придется обратиться к инструментам экспансионистской экономической политики. Но экспансионистские меры дают старт новому экономическому подъему только после изменения ожиданий граждан, которые откажутся от сдерживания расходов только после того, как станет очевидным некоторое повышение занятости. В процессе сокращения запасов наличности быстро расширяется совокупный спрос, в результате чего остатки вздутых инфляцией издержек предыдущего спада будут «покрыты» и экономика начинает расти «широким фронтом». Затем инфляция вновь усиливается, и все начнется заново. Что касается экономической политики, то кейнсианство создало «новый экономический цикл»: для борьбы с инфляцией необходимо «ударить по тормозам», а для того, чтобы избежать грозящей безработицы или снизить уже возникшую безработицу, необходимо «надавить на газ». Таким образом, создается искусственный цикл с обязательной очередностью событий, который можно называть просто интервенционистским циклом* (Bester Hans. Keynes im Licht der Erfahrungen der Nachkriegszeit / / Wirtschaftsdienst. 1976. Heft VII. S.335).
Л
He подлежит сомнению, что направленная на сглаживание конъюнктурных колебаний политика регулирования спроса оценивается все более скептически. «Оглядываясь на 1960-е и 1970-е гг., для которых была характерна политика стабилизации, ориентированная на спрос, можно констатировать, что практические результаты глобального регулирования не дают повода для вдохновения: повторный «тормози и разгоняй» привел не к стабильности, а к «раскачиванию» инфляции и безработицы в ФРГ и в других странах [...] Это обусловлено рядом ошибок в кон-
Врезка 27.1.
Экономический кризис переходного периода («трансформационный . спад») в Российской Федерации
С началом рыночных реформ в России в 1990-е гг. наблюдается острый экономический кризис, получивший название «трансформационного спада». С 1990 по 1996 г. совокупное производство уменьшилось примерно наполовину, в еще большей степени сократились реальные инвестиции в основной капитал (см. врезку 3.4). Этот затяжной кризис, по мнению многих экономистов, нельзя отнести к обычному циклическому типу; он носит трансформационный характер, т. е. вызван переходом от плановой экономики к рыночной. По мнению известного венгерского исследователя экономик стран Восточной Европы Яноша Корнай (который и ввел в экономическую теорию термин «трансформационный спад»), трансформационный кризис порождается совокупностью причин, таких как нарушение координации экономической деятельности (плановая система размещения ресурсов уже разрушена, а рыночная система — еще не создана), ужесточение финансовой дисциплины предприятий в виде утраты их доступа к бесплатным государственным финансовым ресурсам, отсталость финансового сектора; коллапс дорогостоящих и долгосрочных производственных инвестиций из-за потери руководством предприятий уверенности в будущем, переход от «суверенитета производителя» к «суверенитету потребителя».
В РФ к этому комплексу причин добавились следующие: разрыв хозяйственных связей вследствие распада СССР и Совета Экономической Взаимопомощи (СЭВ), неопределенность отношений собственности и прочие виды правовой неопределенности, отказ государства от управления государственными предприятиями, политическая нестабильность и криминализация хозяйственной жизни. В итоге трансформационный спад в РФ, как уже отмечалось, оказался очень глубоким и продолжительным. Его усилили финансовые кризисы — 11 октября 1994 г. («Черный вторник») и 17 августа 1998 г., которые выражались, в частности, в резком обесценении российской национальной валюты. Кризису содействовали и уменьшение инвестиций, личного потребления и государственных расходов (в реальном выражении), вытеснение бартером и неплатежами «живых», нормальных денег (которые в 1998 г. обслуживали всего 30% сделок между предприятиями), усложнение продовольственной проблемы из-за падения сельскохозяйственного производства, очень плохая собираемость налогов и т. д.
струкции антициклического регулирования спроса, что подтверждают и экономисты кейнсианского направления.
¦ Теоретически обоснованное снижение прироста государственных расходов и доли государственного долга, которое было вызвано борьбой с рецессией, натолкнулось на практике на политическое сопротивление. Прирост среднециклической доли дефицита госбюджета привел к увеличению расходов на обслуживание государственного долга за счет инвестиционных расходов. Возникшие сомнения в возможности повторения антициклической терапии совместно с ожиданием будущего повышения налогов снизили склонность представителей частного сектора к осуществлению расходов, что усилило потребность в мерах фискальной политики.
¦ Когда на первый план вышли структурные проблемы, а не признаки общей недостаточности спроса, политика стабильности, направленная на поддержание совокупного спроса, была поставлена под сомнение.
Недостаточные структурные перемены и замедление экономического роста означали ухудшение перспективы политики регулирования спроса и задержку в решении проблем сферы предложения.
¦ Наконец, в то время, когда способность к адаптации была недостаточна, большая инерция государственного сектора оказалась тяжелым бременем. Порожденные большой задолженностью государства высокие реальные процентные платежи затруднили частные инвестиции, которые являлись предпосылкой быстрой перестройки производственного аппарата. Вместо того чтобы инвестировать в производство, предприятия приобрели на свои собственные средства доходные государственные бумаги» (Cassel D. Beschaftigungs- und Stabi-litatspolitik / / Bundesministerium fur innerdeutsche Bezieuhungen. Materialien zum Bericht zur Lage der Nation im geteilten Deutschland 1987. Bonn, 1987. S.81).
Автор приведенных выше рассуждений верно оценивает асимметрию в применении фискальной политики (т. е. повышение государственных доходов в период спада при их сохранении на неизменном уровне в период бума) и ее неспособность решать структурные проблемы. Кроме того, необходимо учитывать проблемы правильного «распределения во времени» расходов и эффекта вытеснения. Но это не означает вынесения окончательного вердикта кейнсианскому регулированию спроса — прежде всего потому, что не сделан вывод относительно того, стабильности свободной от государственного вмешательства экономической активности. И если это не так, а авторы этой книги придерживаются именно такого мнения (поскольку более 100 лет назад и без кейнсианского вмешательства в экономику существовали интенсивные экономические циклы) — тогда возникает вопрос: должно ли государство пытаться регулировать экономику, и если да, то каким образом? С начала 1980-х гг. завоевал популярность и широко применяется среднесрочный подход, целью которого является улучшение условий экономического роста и повышение эффективности производства или политика предложения. Основы такой политики сформулированы, например, в годовом отчете о состоянии экономики за 1984 г.
(Sachverstandigenrat zur Begutachtung der gesamtwirtschaftlichen Entwicklung: Jahreswirtschaftsbericht. 1984. S.83):
¦ «переориентация политики управления экономического порядка на принципы социально-рыночной экономики, в частности на надежные и неантагонистические рамочные условия экономической политики, повышение готовности к оказанию производственных услуг и принятию риска, обеспечение конкуренции и сокращение бюрократических препятствий;
¦ восстановление дееспособности государства в области фискальной политики, консолидация общественных финансов, снижение доли государственного сектора в экономике, улучшение структуры расходов и введение налогообложения, стимулирующего повышение эффективности хозяйствующих субъектов;
¦ социальная политика, основанная на принципах социальной справедливости, солидарности и субсидиарности, может в течение длительного времени обеспечивать финансирование системы социальной защиты;
¦ активное стремление к гармонизации и сотрудничеству на европейском и мировом уровнях в целях улучшения рамочных условий, расширения мировой торговли и борьбы против безработицы».
Но, несмотря на то что с начала 1970-х гг. кейнсианское регулирование не применяется и в ФРГ с начала 1980-х гг. практикуется политика предложения, мы, как и прежде, наблюдаем четкие конъюнктурные колебания, и безработица, которая лишь отчасти обусловлена структурными причинами, остается на высоком уровне. Возникает вопрос: не может ли внести вклад в решение этих проблем правильно проводимое, среднесрочно ориентированное, «обоснованное» регулирование спроса (возможно, сопровождаемое сокращением продолжительности рабочего времени)?
Важное значение имеет предусмотренная, например, в Белой книге Комиссии ЕС ориентированная на занятость политика роста (см. гл. 24, раздел 3.4). Она является стратегией, связывающей элементы политики предложения и политики спроса.
Список основных понятий
¦ Экономический (деловой) цикл
¦ Кризис
¦ Польем
¦ Высокая конъюнктура
¦ Спад
¦ Совпадающий индикатор
¦ Запаздывающий индикатор
¦ Опережающий индикатор
¦ Деловой климат
¦ Неустойчивость инвестиций
¦ Капиталоемкость
¦ Равновесный экономический рост
*/ * - Вопросы и задания, для повторения
1) Объясните следующие термины: экономический цикл, инновация, капиталоемкость.
2) Охарактеризуйте фазы типичного экономического цикла.
3) Какие экономические переменные колеблются одновременно с деловым циклом?
4) Какие компоненты совокупного спроса испытывают самые сильные колебания?
5) Возможен ли равновесный экономический рост? Каковы его необходимые условия?
6) Попытайтесь охарактеризовать процесс взаимодействия мультипликатора и акселератора.
7) Как изменяются в ходе цикла расходы на потребление?
8) Каким образом динамика прибыли может объяснить циклические колебания экономической активности?
9) Чем обосновываются высказывания о том, что государство является виновником конъюнктурных колебаний?
10) Охарактеризуйте известные вам конъюнктурные индикаторы.
¦ «Рост на острие ножа»
¦ Принцип акселератора
¦ Интервенционистские циклы
¦ Изобретение и инновация
¦ Политика предложения
¦ Трансформационный спад

¦ Обстоятельный анализ различных моделей цикла содержится в гл. 9 следующего учебника по макроэкономике:
Гальперин В. М., Гребенников П. И., Леусский А. И., Тарасевич Л. С. Макроэкономика : Учебник. 2-е изд. СПб., 1997.
¦ Теоретический анализ циклов можно найти в гл. 17 следующего издания:
Курс общей экономической теории: Учебное пособие / Под ред. Л. С. Тарасевича. СПб., 1996.
¦ Безусловно необходимо обратить внимание на одну из классических (впервые была издана в 1951 г.) работ по теории циклов:
Хансен Э. Экономические циклы и национальный доход / / Классики кейнсианства Т.2. М„ 1997. Т.2. '
¦ Классической работой британского автора по проблемам циклических колебаний (впервые изданной в 1958 г.) является:
Хаберлер Г. Процветание и депрессия: Теоретический анализ циклических колебаний. М„ 1960.
Глава 28
 |
инйшшш
штштттт |
ЗНАЧЕНИЕ И ОБЕСПЕЧЕНИЕ ЭКОНОМИЧЕСКОГО РОСТА
лчІг№ША> *?лЯ*у
>tsm
Что такое экономический рост и какие проблемы с ним связаны?
¦ Что такое экономический рост?
¦ Как измеряется экономический рост?
¦ Как можно оценить экономический рост?
¦ Какую роль в процессе экономического роста играют инвестиции и технический прогресс?
¦ Какое воздействие на экономический рост может оказывать экономическая политика государства?
¦ В чем состоит связь между текущим потреблением и экономическим ростом?
¦ Оказывает ли экономический рост негативное влияние на состояние природной среды?
¦ Какие структурные изменения происходят в процессе экономического роста?
¦ Существуют ли границы экономического роста?

1. Понятие экономического роста
Под экономическим ростом понимают длительное увеличение производственного потенциала экономики. Производственный потенциал ограничивается наличным запасом производственных факторов (труда, капитала, технических знаний и земли) и изображается в виде кривой трансформации (см. гл. 1, раздел 1.2). Следовательно, экономический рост можно описать смещением кривой трансформации вправо и вверх.
Так как, несмотря на конъюнктурные кризисы, фактическое производство в долгосрочном периоде соответствует производственным возможностям, в качестве показателя экономического роста может рассматриваться увеличение национального продукта. При использовании показателя национального продукта различают следующие понятия:
¦ номинальный экономический рост: увеличение национального продукта, оцененное в текущих ценах:
¦ реальный экономический рост: увеличение национального продукта, оцененное в постоянных ценах базисного периода;
¦ нулевой рост: постоянство реального национального продукта.
Кроме того, часто рассчитывается показатель национального продукта на душу населения, что предполагает разграничение следующих понятий:
¦ интенсивный рост: увеличение национального продукта на душу населения;
¦ экстенсивный рост: абсолютное увеличение национального продукта при отсутствии увеличения национального продукта на душу населения.
В первом столбце табл. 28.1 приводятся данные о темпах экономического роста в ФРГ с 1950 г. по настоящее время. После периода очень высоких темпов роста (1950-е гг.) началось их постепенное сокращение, в результате которого к началу 1980-х гг. их среднее значение составило 1 -2 %. С конца 1980-х гг. — отчасти вследствие европейского интеграционного процесса и объединения Германии — темпы экономического роста значительно возросли.
2. Аргументы за и против экономического роста
2.1. Цель экономического роста
В § 1 Закона об обеспечении стабильности и роста экономики (от 8 июня 1967 г.) указывается следующая цель экономического роста в ФРГ:
§1
«Осуществляя экономическую политику, федерация и федеральные земли должны учитывать необходимость достижения народнохозяйственного равновесия. Прово-димая в рамках рыночной экономики политика призвана способствовать стабильности уровня цен, высокому уровню занятости и внешнеэкономическому равновесию при устойчивом и адекватном (экономической ситуации) экономическом росте».
Необходимость экономического роста, как правило, обосновывается следующими аргументами:
¦ повышение материального благосостояния граждан в форме увеличения частного или общественного потребления;
¦ сохранение или увеличение предложения рабочих мест;
¦ облегчение перераспределения доходов и богатства;
¦ оправдание неравенства в капиталистической рыночной экономике.
Рост выпуска товаров и услуг позволяет гражданам более полно удовлетворять свои материальные потребности. Во многих странах мира на первом плане стоит покрытие базовых потребностей, тогда как в промышленно развитых государствах речь в первую очередь идет о расширении возможностей потребительского выбора, об организации досуга, об удовлетворении культурных потребностей или о сохранении окружающей природной среды.
Справедливо и то, что при прочих равных условиях рост экономики приводит к повышению спроса на услуги труда. Однако условия, как правило, не остаются неизменными. Экономический рост обычно связан с повышением производительности труда, а значит возникновение дополнительного спроса на труд, предполагает, что темпы роста национального продукта превышают темпы роста производительности труда. В противном случае спрос на труд и занятость сокращается, возникает безработица. Разрыв между ростом производства и ростом производительности может быть покрыт сокращением рабочего времени. Поддержание спроса на труд на постоянном уровне при условии неизменности затрат рабочего времени предполагает, что производство растет с той же скоростью, что и производительность. Табл. 28.1 показывает, что в тех случаях, когда реальный валовой национальный продукт возрастал медленнее, чем производительность труда работников, их численность сокращалась.
Таблица 28.1
Динамика национального продукта, занятости, рабочего времени, производительности труда и реального дохода в ФРГ (Западная Германия)
с 1950 по 1993 г. |
|
Годы |
Реальный
валовой
национальный
продукт1 |
Занятое
население2 |
Рабочее время на
одного
занятого |
Объем
работы3 |
Производительность труда |
Располагае
мый
реальный
доход6 |
|
в час4 |
ОДНОГО 5
занятого |
|
1 |
2 |
3 |
4 |
5 |
6 |
7 |
8 |
|
Годовые изменения (в %) |
|
1950/55 |
+9.5 |
+2.7 |
-1.0 |
+1.7 |
+7,7 |
+6.6 |
|
|
1955/60 |
+6.5 |
+ 1.5 |
-1.0 |
+0.6 |
+5,9 |
+4,9 |
|
|
1961/64 |
+4,8 |
+0.2 |
-0,7 |
-0.5 |
+5,3 |
+4.5 |
+5,4 |
|
1964/69 |
+4,3 |
-0,3 |
-1,1 |
-1,3 |
+5,7 |
+4,6 |
|
|
|
Окончение табл. 28.1 |
|
1 |
2 |
3 |
4 |
5 |
6 |
7 |
8 • |
|
1969/73 |
+4,2 |
+0.6 |
-1.2 |
-0.7 |
+4,9 |
+3.6 |
+5.3 |
|
1973/76 |
+ 1.4 |
-1,7 |
-0.6 |
-2,2 |
+3,7 |
+3,1 |
+2,4 |
|
1976/80 |
+3,0 |
+0,7 |
-1,2 |
-0,5 |
+3,6 |
+2,3 |
+2,8 |
|
1981 |
+0,0 |
-0.7 |
-1,1 |
-1,8 |
+ 1,7 |
+ 1,0 |
+0.2 |
|
1982 |
-1,0 |
-1,7 |
-0,5 |
-2,1 |
+ 1,1 |
+ 1,3 |
-2,1 |
|
1983 |
+ 1.8 |
-1,5 |
-0.4 |
-1,8 |
+3.7 |
+3,6 |
-0,1 |
|
1984 |
+3.0 |
+0.1 |
-о,і |
-0,0 |
+3,0 |
+2,9 |
+ 1,8 |
|
1985 |
+ 1.9 |
+0.7 |
-1.4 |
-0.6 |
+2.6 |
+ 1,2 |
+ 1,4 |
|
1986 |
+2.3 |
+ 1.4 |
-0,7 |
+0.7 |
+ 1.6 |
+0.9 |
+4.0 |
|
1987 |
+ 1.5 |
+0.7 |
-0.7 |
-0.4 |
+ 1.6 |
+ 1.0 |
+4.1 |
|
1988 |
+3.7 |
+0.8 |
+0.1 |
+0.0 |
+2.8 |
+2,9 |
+3.0 |
|
1989 |
+3.8 |
+ 1,4 |
-1.1 |
+0.6 |
+3,0 |
+ 1,9 |
+ 1.7 |
|
1990 |
+4.5 |
+2.5 |
-1,7 |
+ 1,8 |
+3,7 |
+ 1.9 |
+5.4 |
|
1991 |
+4,9 |
+ 1.7 |
+ 1.6 |
+ 1.6 |
+2.9 |
+ 1,9 |
+2.6 |
|
19927 |
+ 1.2 |
0.5 |
+ 1.7 |
+ 1.7 |
-0.1 |
+0,7 |
+3,3 |
|
1993 |
-2,3 |
-1,6 |
-1,4 |
-3,0 |
+1,2 |
-0,3 |
нет данных |
1 Валовой национальный продукт в постоянных ценах.
2 С учетом всех резидентов и без учета нерезидентов.
3 Общее число отработанных часов.
4 Валовой национальный продукт в постоянных ценах на один отработанный час.
5 Валовой внутренний продукт в постоянных ценах на одного занятого.
6 Дефлятирован посредством индекса потребительских цен.
7 За 1992 и 1993 гг. приведены лишь предварительные данные. |
|
Источник: Jahresgutachten des Sachverstandigenrates, Geschaftsbericht der Deuts-chen Bundesbank за соответствующие годы, а также собственные расчеты.
Последний аргумент в пользу экономического роста вводит нас в «замкнутый круг». Очевидно, что экономический рост облегчает перераспределение, так как сопротивление перераспределению прироста дохода и богатства, как это показывает опыт, слабее, чем сопротивление перераспределению наличных доходов и собственности. С другой стороны, неравенство в распределении оправдывается аргументом мотивации: капиталистическая рыночная экономика нуждается в порождаемом различием доходов стимуле к экономическому росту.
2.2. Критика экономического роста
В критике экономического роста мы должны четко разделять критику национального продукта как показателя экономического роста и критику правильно измеренного экономического роста.
О критике национального продукта как индикатора благосостояния см. гл. 10. Еще раз обобщим главные аргументы.
¦ Национальный продукт учитывает, как правило, только производство, которое имеет рыночную цену, не принимая во внимание широкую сферу нерыночного производства.
¦ Он отражает лишь стоимость затрат в процессе производства определяющих благосостояние благ, а не выпуск этих благ. Так, в концепции национального продукта, например, учитывается производство стирального порошка, медикаментов или звукозащитных стен, но не учитываются такие составляющие благосостояния, как чистота, здоровье или спокойствие. Систематически недооцениваются производственных затраты, которые направлены на устранение разного рода ущерба. В тех случаях, когда производство товаров и услуг обеспечивает лишь сохранение имевшего место до его осуществления уровня удовлетворения потребностей, говорят о контрпродуктивности.
¦ И наконец, при оценке национального продукта из него не вычитаются затраты ресурсов окружающей среды (например, сырья, воздуха, воды, ландшафта) и человеческого капитала (запасов здоровья и способностей). Более подробно проблема нанесения ущерба окружающей среде рассматривается в гл. 29).
Следовательно, показатель роста реального национального продукта дает нам искаженную оценку экономического роста. Но даже если бы удалось — что сомнительно — решить концептуальную проблему измерения, такого рода достижение не устраняет проблемы повышения благосостояния людей.
Критика концепции экономического роста в основном является критикой индустриального способа производства и его постулатов.
Целью как капиталистического, так и социалистического общества является максимизация материального благосостояния. Но провозглашенная цель исходит из узкой (по всей видимости, слишком узкой) материалистической концепции благосостояния. Выражаясь словами Эриха Фромма, господствующим способом существования такого общества является «иметь», а не «быть»; а ведь только последнее может привести к раскрытию человеческих способностей. Считается, что максимальное материальное благосостояние может быть достигнуто через максимальное потребление. Данное утверждение представляется нам сомнительным;
¦ оно не учитывает удовлетворение от труда, труд воспринимается неправильно лишь как «отрицательная полезность» («антиблаго»);
¦ как правило потребности развиваются быстрее, чем производство;
¦ время для потребления ограничено;
¦ существуют блага, ценность которых как символов статуса заключается в их редкости;
¦ существуют блага (как, например, автомобиль или путешествия), рост потребления которых рано или поздно приводит к отрицательным последствиям («пробкам» на дорогах);
¦ и наконец, представление о том, что потребности можно удовлетворять только путем потребления, ведет к принятию неполноценных заменителей удовлетворения (например, потребность в социальном признании удовлетворяется посредством приобретения статусного символа) и, таким образом, к разочарованию.
Наконец, для максимального потребления необходимо максимальное производство, условием которого является углубляющееся разделение труда. Но в этом случае, человеческий труд становится все более отчужденным (грубо говоря, труд является отчужденным, если человек не потребляет то, что он производит, но потребляет то, что произвел кто-то другой). Таким образом, разделение труда предполагает формирование системы мотивации труда, контроля и иерархической структуры, при которой труд становится все более монотонным и отвлеченным от своих функций.
Итак, мы перечислили важнейшие отрицательные побочные эффекты экономического роста. Мы не можем дать здесь общей оценки его желательности, но при всех недостатках не следует забывать, что для подавляющего большинства жителей Земли освобождение из тисков материальной нужды пока является недостижимой целью. В дальнейшем мы будем исходить из того, что экономический рост является разумной целью экономической политики.
3. Факторы экономического роста: инвестиции и технический прогресс
Определение детерминант экономического роста позволяет нам сделать ряд выводов. Производственные возможности общества зависят от количества и качества наличных производственных факторов: капитала, технических знаний, труда и природных ресурсов (см. рис. 28.1).
Поскольку запас природных ресурсов ограничен, а прирост населения как фактор экономического роста необходимо исключить из рассмотрения, ибо целью является рост национального продукта на душу населения, остаются запас капитала и технические знания, Следовательно, качество труда и капитала являются определяющими факторами экономического роста.
Технические знания умножаются в ходе технического прогресса. Технический прогресс выражается:
¦ в продуктовых инновациях (нововведениях) — т. е. в производстве новых видов благ;
¦ в технологических инновациях (нововведениях) — т. е. в применении новых видов производственных технологий.
Производственный
потенциал
Количество и качество труда Количество и качество земли Количество и качество капитала Технические знания
Рис. 28.1. Детерминанты экономического роста
Продуктовые инновации вносят важный вклад в рост материального благосостояния. Вспомним хотя бы о посудомоечных машинах, цветных телевизорах, персональных компьютерах, проигрывателях компакт-дисков, досках для серфинга и т. д. Но количественная оценка выгод от продуктовых инноваций весьма проблематична.
С другой стороны, определение преимуществ технологических инноваций не представляет затруднений. Технологическое нововведение позволяет при неизменных затратах производственных факторов — труда, капитала и земли — производить большее количество благ или дает возможность производить то же количество благ с меньшими затратами факторов. Примерами таких нововведений являются станки с ЧПУ, технологии, экономичные автомобильные двигатели и т. д.
Запас капитала увеличивается посредством инвестиций (накопления капитала). При данных трудовых ресурсах и данном уровне технических знаний увеличение запаса капитала расширяет производственные возможности: большие запасы капитала позволяют произвести больший объем национального продукта. Потенциальный выпуск на душу занятого населения возрастает, а значит, увеличивается потенциальная обеспеченность благами на душу населения.
Связь между увеличением запаса капитала и расширением производственных возможностей далеко не всегда пропорциональна. Здесь следует вспомнить закон убывающей отдачи (см. гл. 5), т. е. возможность того, что с ростом затрат капитала его предельная производительность уменьшается. Это означает, например, что при прочих равных условиях чистые инвестиции размером в 1 тыс. руб. повлекут за собой не 300-400 руб. прироста годового выпуска, а гораздо меньше, что затрудняет расширение будущих производственных возможностей. Но технический прогресс способствует тому, что сколько-нибудь значительного снижения предельной отдачи пока не наблюдалось.
Технический прогресс и накопление капитала имеют своим следствием повышение производительности труда, а значит, они увеличивают средний объем выпуска в расчете на один отработанный час.
Рост производительности труда является основой повышения материального уровня жизни или увеличения свободного времени, а значит, сокращения рабочего времени, продления отпусков или снижения пенсионного возраста.
Таким образом, одной из сторон накопления капитала и технического прогресса, которая не всегда оценивается положительно, является возможное высвобождение рабочей силы. Если рост производительности используется не для увеличения выпуска благ, поскольку спрос не исчерпывает производственный потенциал, то тогда этот рост служит для того, чтобы произвести то же количество продукции с меньшими затратами труда. Инвестиции в таком случае направлены уже не на расширение производства, а на повышение производительности: такие капиталовложения называются рационализирующими инвестициями. Следует четко разграничивать две возможности использования роста производительности:
¦ рост объема выпуска при постоянной занятости,
Рост производительности труда
¦ снижение занятости при постоянном объеме выпуска.
В действительности обычно обе возможности комбинируются. В ФРГ, например, с 1950 по 1990 г. произошло сокращение затрат рабочего времени и увеличение реального дохода (табл. 28.1).
Даже если уменьшение среднего необходимого рабочего времени в результате накопления капитала и технического прогресса в длительном периоде приближает население страны к реализации мечты о рае, безработица как вынужденное уменьшение рабочего времени означает для отдельного человека снижение его уровня жизни и материальную нужду. Труд, как отметил католический социолог Освальд фон Нелл-Бройнинг (Oswald von Nell-Breuning) является ценностью, которая наделяет человека самоуважением и уверенностью в себе. Если в долгосрочном периоде спрос не исчерпывает производственный потенциал, то целесообразнее было бы сократить рабочее время для всех, что позволит устранить наличие в одно и то же время и сверхурочных работ, и безработицы. Но отказываться от накопления капитала и технического прогресса было бы неразумно до тех пор, пока свободное время не будет цениться меньше, чем труд как таковой.
Важной предпосылкой инвестиционной активности частных предпринимателей является инфраструктура (или «социальный капитал»), которая, как правило, обеспечивается государством. Понятие «инфраструктура» в широком смысле включает в себя:
¦ институциональную инфраструктуру как совокупность общественных норм, учреждений и методов (законодательный порядок, администрирование, формы собственности, круг профессий и т. д.);
¦ материальную инфраструктуру как часть капитального запаса экономики, которая по указанным ниже причинам обеспечивается государством и которая вносит непосредственный вкладе производство и потребление (дороги, коммуникационные сети, энергоснабжение, водоснабжение, образование и т. д.);
¦ личностную инфраструктуру, к которой относят квалификацию людей, их здоровье, уровень образования, мотивацию к труду и т. д.
Инфраструктурные инвестиции имеют важное значение для экономического роста, ибо они являются отчасти предпосылкой, отчасти необходимыми побочными явлениями процесса роста. Если, например, планируется возведение новых производственных объектов, то к ним необходимо провести дороги, линии энергоснабжения и коммуникаций. Кроме того, необходимо привлечь здоровую и образованную рабочую силу и одновременно позаботится о постройке больниц, школ и детских садов.
4. Отправные пункты политики экономического роста
После обсуждения необходимых условий экономического роста — увеличения капитального запаса (включая инфраструктуру) и технического прогресса — возникает вопрос о возможном влиянии государства на экономический рост в рыночной экономике.
Перед государством встают следующие задачи:
¦ стимулирование способствующего экономическому росту поведения людей в частном секторе и
¦ создание необходимой инфраструктуры и поощрение развития науки и инновационной деятельности.
Экономическому росту способствует успешная стабилизационная, т. е. направленная на предотвращение инфляции и кризисов, политика государства. В условиях кризиса не используются производственные возможности и сокращаются особенно важные для экономического роста инвестиции в расширение мощностей. А в инфляции содержится угроза ошибочной ориентации экономического развития (см. гл. 25, раздел 4.3). В общем, устойчивая, предсказуемая для инвесторов экономическая политика государства способствует уменьшению возникающих в процессе приспособления неопределенности и фрикционных потерь, а значит, благоприятствует экономическому росту.
Однако необходимо напомнить, что приведенные нами аргументы являются дискуссионными. К примеру, достаточно широкое распространение получило представление о кризисах как об «очищении», как средстве стимулирования роста. Но большинство экономистов рассматривают стабилизационную политику мероприятием, благоприятствующим экономическому росту.
Чрезвычайно важной для экономического роста является политика конкуренции (прежде всего устранение препятствий доступа к рынку), так как конкурентная борьба производителей способствует появлению продуктовых и технологических инноваций и ускоряет структурную перестройку экономики. Далее, политика, повышающая мобильность труда и капитала, благоприятствует экономическому росту, однако нельзя не учитывать отрицательные аспекты вынужденной мобильности трудового населения.
Наконец, существенной предпосылкой успешной политики экономического роста является политика богатства, которая направлена на равномерное распределение его прироста. В противном случае экономический рост может привести к сосредоточению богатства в руках одних только предпринимателей, что породило бы ожесточенное сопротивление других групп населения.
Нам необходимо ответить на принципиальный вопрос о степени ограничения (бюрократическим вмешательством) регулирующих рыночную экономику основных экономических свобод. С одной стороны, все большее число экономистов выступают за дерегулирования рынков, т. е. в пользу восстановления конкуренции на регулируемых рынках. К примеру, в таких секторах экономики, как транспорт и связь, энергетика и коммунальное хозяйство, здравоохранение действуют множество регулирующих предписаний и ограничений доступа к рынку. Устранение регулирующих предписаний — так называемое дерегулирование—должно расширить сферу действия динамичной конкуренции.
С другой стороны, в научных кругах интенсивно обсуждаются проблемы зон свободной экономической деятельности (свободных зон) как средства оживления инвестиционной активности. При этом речь идет о том, чтобы позволить предпринимателям и частично также работникам определенных регионов свободно развивать свою деятельность — вне зависимости от некоторых предписаний и без каких-либо барьеров на входе. Например, зоной свободной деятельности банков является оффшорный рынок, действия на котором не подпадают под национальные правила налогообложения, банковского надзора и кредитного регулирования. Примером таких рынков служат Панама, Каймановы острова или Сингапур. Аналогичным образом оффшорные центры создали на своей территории США и Япония. Возможно также образование свободных зон производства, экспорта или страхования, но их роль для экономики в целом пока незначительна.
В сфере производства перед государством стоит задача обеспечения необходимой инфраструктуры и развития образования. Инфраструктурные инвестиции, как правило, осуществляются за счет всего общества, потому что:
¦ для отдельного предпринимателя рентабельность инфраструктурных инвестиций часто связана с большой неопределенностью (например, водные магистрали);
¦ нередко частные лица просто не способны удовлетворить огромные потребности в капитале (например, в случае со строительством сети железных дорог);
¦ сбор платы от частных лиц часто связан с большими издержками (например, дороги);
¦ в сфере институциональной инфраструктуры (законодательство, управление и т. д.) производятся общественные блага, которыми в конечном счете пользуются все члены общества, и никто не может быть лишен возможности пользоваться ими;
¦ в области личностной инфраструктуры производятся блага, которые исходя из соображений социальной справедливости необходимо распределять бесплатно или по цене, меньшей, чем связанные с ними издержки (например, в образовании и здравоохранении).
Для таких стран, как ФРГ или Япония, основу экспорта которых составляет высокотехнологичная продукция, особое значение приобретает поощрение технического прогресса. Если абстрагироваться от возможностей импорта технического прогресса (через покупку патентов, лицензий и ноу-хау, которые связаны с разными формами импорта капитала — вспомним, например, о «Фольксвагене» в Бразилии), то правомерно сделать вывод о том, что его темпы определяются уровнем затрат на исследования и разработки (НИОКР) и на обслуживание. В таком случае технический прогресс оказывается в некоторой степени регулируемым, но следует признать, что наше понимание его зависимостей носит весьма приблизительный характер. Были проведены исследования, которые показывают, что инвестиции в исследования и образование существенно более значимы для показателей экономического роста, чем инвестиции в реальный капитал, т. е. в машины и оборудование. Итак, большинство исследователей признают приоритетность и необходимость государственной политики в сфере науки и образования, особенно в сфере фундаментальных исследований и общего образования.
Фундаментальные исследования принадлежат к числу благ, которые производятся с помощью общественных средств, ибо ими как общественными благами пользуются в конечном счете все члены общества.
Бесспорной является обязанность государства по разработке и осуществлению политики в области образования, а значит, по созданию новых учебных заведений и поддержке уже существующих, в частности школ и университетов. Распространение знаний среди населения приносит обществу двойную выгоду. С одной стороны, образование является ценностью само по себе и его можно считать потребительским благом, с другой — умножение знаний способствует техническому прогрессу, а значит, является инвестиционным благом с большими положительными внешними эффектами. Таким образом, государственная политика образования оказывается перед выбором: необходимо ли развивать образование как инвестиционное благо или же следует сделать акцент на его самостоятельной ценности как потребительского блага.
Сторонники одного из довольно распространенных подходов рекомендует оценить потребности экономики в профессиональном образовании и взять их за основу разработки политики образования. Очевидно, что данная концепция (учитывая тот факт, что потребность в образовании может быть определена лишь приблизительно и в краткосрочном периоде) направлена на повышение гибкости и мобильности трудоспособного населения.
Другой возможный подход направлен на то, чтобы переориентировать политику образования с общих целей на индивидуальные склонности людей, что привело бы к изменению соотношения между образованием как профессиональной подготовкой и образованием как потребительским благом. Но нельзя не заметить, что образование как потребительское благо, хотя и весьма необходимое для разумного заполнения досуга, чревато значительными общественными издержками.
5. Прочие предпосылки и движущие силы экономического роста
Какие тайные силы закрутили колесо прогресса в Европе в XVIII в.? Мы выделим только два пункта — мотивацию инвесторов в рыночной экономике и способность населения создавать сбережения, а в конце раздела перечислим некоторые другие.
Немецкий социолог Макс Вебер (1864-1920) утверждал, что грандиозный экономический подъем основывался на кальвинистской этике («идеологии мирского аскетизма»), которая связывала накопленные богатства с Божьей милостью и одновременно запрещала потребление приобретенного богатства.
По Йозефу Алоису Шумпетеру (1883-1950), двигателем экономического прогресса в рыночной экономике является динамичный предприниматель-пионер, открывающий новые пути, новые продукты или новые методы, покоряющий новые рынки. В своей борьбе с конкурентами предприниматель-пионер некоторое время пользуется инновационным преимуществом. Но чем выше его прибыль, тем раньше (и в большем количестве) на рынке появляются подражатели (имитаторы), деятельность которых приводит к снижению установленных новатором цен (см. гл. 8, разделы 2 и 3). С точки зрения динамики, процесс развития представляет собой череду инноваций и имитаций (длительные технологические волны были связаны, например, со строительством железных дорог, электрификацией, производством автомобилей, автоматизацией производства, микроэлектроникой, в настоящее время — с мультимедиа). Возможность получения в течение некоторого времени сверхвысоких прибылей способствует прогрессу.
Г. Гирш выделяет ряд предпосылок и движущих сил экономического роста в Европе в Х?ІІІ-ХІХ вв..
Предпосылки
¦ Работоспособная транспортная система совместно с системой частной собственности образовали основу углубления разделения труда и пространственной интеграции рынков.
¦ Развитая кредитная система обеспечила финансовые возможности для создания и роста эффективных предприятий.
¦ Достаточное предложение рабочей силы необходимой квалификации явилось предпосылкой для продуктивного применения капитала в механизированных производственных процессах.
¦ Просвещенная буржуазия с осознанной готовностью к труду и стремлением к техническому прогрессу обеспечила достаточное предложение предпринимательской инициативы.
Движущие силы
¦ Протестантская, и прежде всего кальвинистская, этика.
¦ Приобретение новых навыков в процессе специализации как формы разделения труда.
¦ Иммиграция этнических и религиозных меньшинств.
¦ Снижение чрезмерного давления роста населения в связи с эмиграцией в Новый Свет.
¦ Повышение степени социальной мобильности и остроты конкуренции как результат демократизации и либерализации.
¦ Коммерческое применение и распространение технических знаний.
¦ Открытие новых рынков сбыта и сырья.
6. Издержки экономического роста
6.1. Альтернативные издержки экономического роста в форме снижения текущего потребления
Для экономического роста необходимы частные и общественные инвестиции. Если мы стремимся к увеличению инвестиций из созданного национального продукта, нам необходимо на соответствующую величину уменьшить неинвестиционные компоненты совокупного спроса данного периода, т. е. увеличить сбережения (вспомните кривую трансформации для всей экономики, гл. 1, раздел 1.2). Следовательно, наш отказ от части потребления в настоящем, т. е. направленное на повышение объема инвестиций увеличение сбережений, приведет к расширению производственного потенциала и более высокому потреблению в будущем. Этот компромиссный выбор представлен на рис. 28.2. В исходной ситуации Y
0 две страны находятся в одинаковом положении и имеют одинаковые темпы роста; при этом норма инвестиций в ориентированном на будущее (Япония) обществе 2, выше, чем в ориентированном на настоящее (Марокко) обществе 1.
 |
Рис. 28.2. Различия темпов экономического роста при разных нормах
инвестиций |
Следовательно, каждое общество должно сделать выбор между объемами текущего и будущего потребления, что в конечном счете является проблемой разделения бремени внутри поколения или между поколениями. Общество, которое ограничивает инвестиции в настоящем, подрывает тем самым возможности потребления грядущих поколений. Если федеральное правительство в интересах стабильности отказывается от осуществления необходимых инвестиций в инфраструктуру (например, в транспорт или образование) и если оно, с другой стороны, в ходе запланированной реформы налогообложения (например, руководствуясь соображениями политики распределения) принимает решение об уменьшении государственных доходов, текущее потребление, как правило, возрастает.
Необходимо, чтобы полезность, упущенная в результате отказа от потребления в настоящем, компенсировалась приростом полезности от более высокого потребления в будущем (оптимальный экономический рост). Нахождение правильного соотношения оказывается практически неразрешимой задачей. Таким образом, максимальный экономический рост никак не может быть целью разумной экономической политики.
6.2. Нанесение ущерба окружающей среде
Перечень вредных воздействий человечества на окружающую среду в ходе его экономического развития постоянно пополняется. Выделяют следующие основные виды ущерба:
¦ ухудшение качества воздуха, воды и земли;
¦ причинение вреда ландшафту, флоре и фауне;
¦ исчерпание запасов полезных ископаемых;
¦ вред здоровью и шум.
Количественная оценка размеров наносимого окружающей среде ущерба весьма затруднена. С одной стороны, далеко не просто выразить его в каждом конкретном случае в деньгах. С другой стороны, исследования и практика оценки ущерба даже в развитых странах находятся в начальной стадии. Согласно многократно цитированной оценке ОЭСР 1979 г., совокупный ущерб от загрязнения воздуха только в странах-членах ОЭСР составляет от 3 до 5% ВВП.
В классическом смысле рост национального продукта сопровождается расширением производства и потребления и, таким образом, увеличением ущерба окружающей среде. Но экономический рост отнюдь не обязательно связан с ухудшением окружающей среды, так как абсолютно вредных побочных эффектов роста, по-видимому, не существует. Поэтому тезис о нулевом росте является несколько преждевременным. Объем наносимого природной среде ущерба определяется не темпами экономического роста, а степенью, в которой новые технологии, ориентированные на снижение затрат предприятия, перекладывают часть его издержек на общество. Кроме того, даже если экономический рост причиняет ущерб окружающей среде, допустимый объем разрешаемых загрязнений определяется законодательством. С другой стороны, нельзя не заметить, что высокие темпы экономического роста делают возможной защиту окружающей среды, которая не обременяет частное и общественное потребление (о политике защиты окружающей среды см. гл. 29).
7. Структурная перестройка как
побочный эффект экономического роста
Экономический рост сопряжен со структурными изменениями во всех переменных, ибо большинство из них можно разбить на составные части, доля которых в общем итоге постоянно изменяется. В качестве примера можно упомянуть структуру доходов населения, государственных расходов и т. д. Мы ограничимся рассмотрением производственной и ценовой структур.
Обратимся к изменениям производственной структуры, под которой понимают долю отдельных секторов или отраслей в национальном продукте. Опыт показывает, что доля сельского хозяйства и производства сырья в общем выпуске постоянно снижается, тогда как доля сферы услуг постепенно увеличивается. Доля промышленного производства в странах с менее развитой экономикой в процессе экономического роста сначала повышается, но с достижением достаточно высокого уровня индустриального развития начинает сокращаться.
Нередко структурные сдвиги происходят тогда, когда экономика сталкивается с препятствиями или ограничениями. Если труд становится редким и дорогим, начинается рационализация производства; если земля является редким благом, строятся высотные здания; если имеет место сокращение спроса, должно изменяться предложение, и т.д.
В качестве основной причины сдвигов в производственной структуре рассматривается изменение структуры спроса.
С ростом дохода спрос на товары и услуги повышается неравномерно (см. гл. 4, раздел 4.3). Так, с увеличением дохода снижается доля расходов на продовольствие, особенно на основные продукты питания (картофель, хлеб и т.д.), и повышается доля расходов на дорогостоящие потребительские блага. Данный процесс, в форме «волн» спроса можно было наблюдать в ФРГ после Второй мировой войны: волны спроса на еду, одежду, жилье, автомобили, путешествия и иные способы проведения досуга.
Сдвиги в структуре спроса могут быть связаны с изменениями структуры цен. Так, в ФРГ каменный уголь был вытеснен более дешевой нефтью, а уменьшение выпуска текстильной продукции было связано с ростом импорта дешевого импортного текстиля. Поскольку в долгосрочном периоде производство вынуждено приспосабливаться к спросу, то выпуск благ, которые не находят потребителей, должен быть прекращен. Таким образом, изменение спроса определяет изменение производственной структуры.
С изменением производственной структуры возникает проблема принятия решения.
Абсолютный и даже относительный спад производства в отдельной отрасли или регионе означает возникновение социальных проблем для занятых в ней работников. Часть из них оказывается без работы или вынуждена смириться с относительным понижением заработной платы. Поэтому нередко возникает необходимость смены профессии или изменения социальных связей.
Но если государство консервирует сложившуюся экономическую структуру (например, посредством дотаций) вместо того, чтобы с помощью более разумных дотаций стимулировать адаптацию, его политика ограничивает экономический рост и утяжеляет налоговое бремя для общества.
Изменение ценовой структуры, т. е. соотношения цен в различных секторах, в долгосрочном периоде происходит посредством направленного на повышение производительности труда применения капитала и технических знаний. При этом различия в темпах роста производительности труда служат критерием для классического разделения экономики на три части (см. также гл. 10, раздел 2.1), а именно на:
¦ первичный сектор,
¦ вторичный сектор,
¦ третичный сектор.
Первичный сектор характеризуется средними темпами роста производительности (главным образом, сельское хозяйство).
В связи с рыночными реформами в России в 1990-х гг. произошло значительное увеличение доли услуг в валовом (внутреннем) продукте (см. табл. 28а и рис. 28а). Приведенные данные показывают, что особенно резко роль сферы услуг возросла в 1992 г., т. е. непосредственно с началом реформирования российской экономики.
Вторичный сектор охватывает отрасли экономики с высокими темпами роста производительности, т. е. практически всю промышленность.
В третичный сектор входят отрасли с относительно низкими или нулевыми темпами роста производительности. Он включает в себя сферу услуг (торговля, управление, образование, свободные профессии, некоторые ремесла), в том числе оказываемых государством. Предоставление услуг, как показывает опыт, невозможно механизировать в той же степени, что и промышленное производство. Так, например, трудно представить себе повышение производительности труда судьи, парикмахера, учителя или официанта как результат дополнительного применения машин и оборудования.
С другой стороны, использование новых информационных технологий, и прежде всего компьютерной техники, привело к значительному ускорению развития и в третичном секторе, в котором происходит существенная структурная перестройка.
Данные табл. 28.2 свидетельствуют об устойчивом росте доли сферы услуг в экономике, причем третичный сектор вносит все больший вклад в экономический рост. В 1989 г. доля услуг в валовом национальном продукте в ФРГ составила 58,3 %, тогда как в 1970 г. — всего лишь 49,1%.
Таблица 28.2
Динамика доли первичного, вторичного и третичного секторов в ВНП ФРГ
в 1970-1989 гг. (в %)
|
Годы |
ВНП в DM млрд |
Доля в % от ВНП в постоянных ценах 1980 г.) |
(базисный год — |
|
Первичный сектор |
Вторичный сектор |
Третичный сектор |
|
1970 |
1080,6 |
2,6 |
48,3 |
49,1 |
|
1975 |
1200,6 |
2,4 |
45,2 |
52,4 |
|
1980 |
1422,9 |
2,1 |
44,4 |
53,5 |
|
1985 |
1521,5 |
2,2 |
41,7 |
56,1 |
|
1989 |
1697,1 |
2,1 |
39,6 |
58,3 |
|
|
Источник: StatistischesBundesamt. Fachserie 18. Reihe 1.3. |
8. Теории долгосрочного развития
Исходя из краткого обзора наиболее известных долгосрочных прогнозов развития человечество постоянно видит кошмарные сны о конце света или по крайней мере о прекращении экономического роста.
8.1. Закон убывающей отдачи
Согласно закону убывающей отдачи, постоянное увеличение затрат одного производственного фактора при постоянстве остальных приводит к неизбежному снижению их эффективности (см. гл. 5). Поскольку, если следовать логике классиков, численность населения Земли непрерывно возрастает, а находящиеся в нашем распоряжении ресурсы остаются прежними, получаемый благодаря увеличению численности населения прирост продукта постоянно уменьшается. В конце концов предельный продукт сократится настолько, что мы утратим способность удовлетворять потребности жителей Земли: тогда рост населения натолкнется на свои естественные границы, определяемые пределами роста производства продовольствия. Дальнейшее развитие станет невозможным, и человечество достигнет стационарного состояния.
Аналогичные выводы можно распространить и на другой производственный фактор — капитал. В настоящее время, когда численность населения достаточно стабильна, а площадь сельхозугодий можно считать неизменной, капитал применяется во все большем объеме. Если справедлив закон убывающей отдачи, это приведет к тому, что предельная отдача капитала будет снижаться до тех пор, пока его применение станет невыгодным. И тогда будет достигнуто стационарное состояние. Причем многие не воспринимают его как абсолютное зло, ибо состоянию покоя присущи и положительные стороны (по словам А. Шопенгауэра «Колесо Иксиона1 останавливается»),
8.2. Естественные пределы экономического роста
Опубликованная в 1972 г. книга «Пределы роста» вызвала всемирную дискуссию об экономическом росте и окружающей среде. Центральными идеями ее авторов являются следующие.
(а) Представление о космическом корабле «Земля», имеющем естественные границы роста:
¦ ограниченное жизненное пространство для растущего населения,
¦ ограниченные запасы сырья,
¦ ограниченные возможности поглощения загрязнений окружающей среды.
(б) Представление об экспоненциальном росте отдельных переменных экономической системы, таких как население, загрязнение окружающей среды и потребление сырья, которые со все большей скоростью приближаются к естественным границам.
Опубликованный в 1980 г. и также широко обсуждавшийся доклад «Global 2000» содержит схожие прогнозы. В дальнейшем мы будем опираться на оба, по-прежнему сохраняющих актуальность отчета.
Предел роста:
производство продовольствия и жизненное пространство
Численность населения Земли превысила б млрд человек и возрастает примерно на 1,7% в год, т. е. удваивается через каждые 40 лет. Только для сохранения текущего уровня дохода на душу населения производство и инфраструктура должны возрастать на 100% через каждое поколение. Если темпы прироста населения сохранятся, через 500 лет на каждый квадратный метр площади Земли будет приходиться один человек. Ограниченность экипажа, который способен нести космический корабль «Земля», является прописной истиной.
Но какова максимально допустимая численность населения? Авторы отчета «Global 2000» исходят из того, что в конце XXI в. Земля, которую будут населять 30 млрд человек, достигнет предела возможной нагрузки. Причем возможности соответствующего увеличения производства продовольствия при растущей потребности в искусственных удобрениях, ускоренной эрозии почвы и потере естественного плодородия земли, весьма проблематичны.
Предел роста: запасы сырья
Если современные темпы роста потребления сырья сохранятся, запасы важнейших невозобновляемых его видов вскоре будут исчерпаны. Расчеты Римского клуба показывают, что в течение ближайших 30 лет будут исчерпаны разведанные запасы алюминия, меди, золота, свинца, нефти, серебра, олова и цинка. Аналогичные результаты были получены и в отчете «Global 2000».
Однако, по мнению многих ученых, приведенные оценки слишком пессимистичны.
Наличные запасы полезных ископаемых неизвестны. Даже оптимистичные оценки через некоторое время часто оказывались заниженными. Так, например, вновь говорят о возможностях добычи сырья со дна океана.
Если взглянуть на проблему «со стороны спроса», необходимо принять во внимание темпы роста потребления сырья. Ценовой механизм, определяющий повышение цен на редкое сырье, способствует замене дефицитных ресурсов (вместо нефти будут использоваться атомная или солнечная энергия), более бережному их потреблению, может сделать выгодным повторное использование отходов производства и вторичного сырья (переработку). Наконец, с ростом цен становятся прибыльными когда-то нерентабельные методы добычи (например, переработка сланцев в США).
Кроме того, необходимо указать на то, что в будущем экономический рост все в большей степени будет основываться на расширении третичного сектора, использующего незначительные объемы сырья.
Предел роста: загрязнение окружающей среды
Дискуссионным является и определение такого предела роста, как загрязнение окружающей среды. Неизвестно, какое количество вредных веществ может привести к серьезным нарушениям экологического равновесия. Неизвестно, какие объемы двуокиси углерода и выделяемого в процессе производства тепла вызовут изменения климата на Земле; или какое количество радиации, серной и азотной кислоты или пестицидов приведут к непоправимым нарушениям жизненных процессов растения, животного мира, человека.
В отчете «Global 2000» отмечается: «Возможно, набольшие проблемы в развитии окружающей среды будут связаны с ухудшением и потерей существенных для сельского хозяйства ресурсов. Имеется в виду эрозия земель, истощение и уплотнение почвы; засоление как искусственно орошаемых земель, так и используемой для орошения воды; утрата плодородных пахотных земель из-за расширения городов; снижение урожайности из-за растущего недостатка воздуха и воды...» («Global 2000», S. 77).
8.3. Тезис Шумпетера о «застое в капиталистическом развитии»
И наконец, ряд теорий застоя, и в частности концепция Й. Шумпетера, основываются на психологических моментах.
На место предпринимателя-собственника, предпринимателя-пионера, первопроходца, идущего по дороге прогресса, приходит предприниматель-наемный служащий (менеджер). Технический прогресс становится все более «заорганизованным», обезличенным, менее динамичным.
Собственность также перестает выступать как источник мотивации, раздробляясь и распыляясь по акциям и паям, а собственник акций уже не будет обладать тем стремлением к борьбе и принятию ответственности на себя, которое было у его предшественников в XIX в. Таким образом, Й. Шумпетер придерживается мнения, что эволюция систем управления и дробление капитала ослабляют стимул к предпринимательству.
Помимо отмеченных нами при критическом разборе отдельных прогнозов развития и теорий застоя недостатков, необходимо указать на еще один: ббльшая часть этих теорий не учитывает ни роли технического прогресса, ни структурных сдвигов, позволяющих как правило, преодолевать возникающие на пути экономического роста препятствия.
Список основных понятий
¦ Экономический рост
¦ Контрпродуктивность
¦ Продуктовые инновации
¦ Технологические инновации
¦ Запас капитала
¦ Высвобождение рабочей силы
¦ Инфраструктура
¦ Институциональная инфра-
¦ Зона свободной экономической
деятельности
¦ Дерегулирование
¦ Оффшорный рынок
¦ Политика в области образования
¦ Кальвинистская этика
¦ Оптимальный экономический рост
¦ Структурные изменения
¦ Производственная структура
¦ Ііеновая структура
¦ Стационарное состояние
структура
¦ Материальная инфраструктура
¦ Личностная инфраструктура
, Вопросы и задания для повторения?

1) Объясните следующие термины: .
¦ экстенсивный или интенсивный экономический рост:
¦ реальный экономический рост;
¦ инфраструктура;
¦ первичный, вторичный и третичный секторы экономики.
2) В чем состоят цели экономического роста (их возможные преимущества и недостатки)?
3) Какую роль играют инвестиции в инфраструктуру и почему они, как правило, осуществляются государством?
4) Проиллюстрируйте на примерах тезис о значении технического прогресса для роста экономики.
5) Какое значение для роста экономики имеет образование?
6) Почему процесс экономического роста сопровождается структурной перестройкой? В чем состоит ее характер?
7) Каким образом можно интерпретировать экономический рост как проблему распределения между поколениями?
8) Имеет ли государство возможности влияния на экономический рост?
9) Опишите основную идею анализа пределов роста.
10) Какие предпосылки и движущие силы лежали в основе экономического роста в XIX в.? Сохраняется ли их значение сегодня?

Литература
¦ Изложение моделей равновесного роста можно найти в главе 14 следующего, уже многократно упоминавшегося учебника:
Гальперин В. М., Гребенников П. И., Леусский А. И., Тарасевич Л. С. Макроэкономика: Учебник. 2-е изд. СПб., 1997.
¦ Доступное изложение различных концепций экономического роста содержится в гл. 19
следующей книги: ,
Учебник по основам экономической теории / Подред. В. Д. Камаева. М., 1995.
¦ Одна из первых теоретических работ по моделированию экономического роста была опубликована в 1948 г.:
Харрод Р. К теории экономической динамики / / Классики кейнсианства. М., 1997.
Т.1.
¦ Весьма интересны выполненные под эгидой Римского клуба работы:
Пестель Э. За пределами роста. 16-й доклад Римского клуба. М., 1988.
Тинберген Я. Пересмотр международного экономического порядка. 3-й доклад Римскому клубу. М., 1980. ¦
Медоуз Д. X., Медоуз Д. Л. и др. Пределы роста. М., 1991.
¦ Обзор глобальных проблем мира содержится в книге президента Римского клуба:
ПеччеиА. Человеческие качества. М., 1980.
Врезка 28.1
Сфера услуг в Российской Федерации
Таблица 28а
Структура производства валового внутреннего продукта РФ (в текущих ценах, в % к итогу) |
|
|
1990 г. |
1991 г. |
1992 г. |
1993 г. |
1994 г. |
1995 г. |
1996 г. |
|
ВВП |
100.0 |
100,0 |
100.0 |
100.0 |
100,0 |
100.0 |
100,0 |
|
В том числе: |
|
|
|
|
|
|
|
|
Производство товаров |
60,5 |
59,8 |
46,2 |
45,4 |
44,3 |
46,3 |
43,2 |
|
Производство услуг |
32,6 |
36,5 |
52,0 |
45,5 |
47,9 |
45,7 |
48,4 |
|
Чистые налоги на продукты и на импорт |
6,9 |
3,7 |
1,8 |
9,1 |
7,8 |
9,0 |
8,4 |
|
|
Источник: Российский статистический ежегодник. М., 1996. С. 286; Рассчитано по: Российский статистический ежегодник. М., 1997. С. 304 |
80%
60%
40%
20% - |  |
7-
1990 1991 1992 1993 1994 1995 1996 |
ИрИрИВИШрИМШШМджгдд
ШІ
Г лава 2 9
-*>» Nrf-v
1ІЕЛИ И ИНСТРУМЕНТЫ ЭКОЛОГИЧЕСКОЙ ПОЛИТИКИ
к*ЬыЖ&ЖЪМ?*еШЪ* *Ш
&Ш8Ж&і^жШ№Ш$Ші№Ш‘Ш№&№кМл(
¦МА>И№МУ.#чШ)Ы9Г4Ш Й*Лн«*»«»і.ЙЛ*Ж-*?
Что такое окружающая природная среда и почему она находится под угрозой?
¦ Является ли окружающая среда общественным благом?
¦ Что такое внешние эффекты?
¦ Являются ли экология и экономический рост антагонизмами?
¦ Почему проблемы окружающей природной среды носят международный характер?
Как можно осуществлять защиту окружающей природной среды?
¦ Какие цели ставит экологическая политика?
¦ В чем состоят принципы экологической политики?
¦ Какие инструменты экологической политики применяются?
¦ Что такое сборы, предписания и лицензирование в процессе природопользования?
¦ Какие элементы включает в себя государственная экологическая политика?

1. Введение
В экономической теории традиционно различают три производственных фактора — труд, капитал и землю. Длительное время окружающая природная среда рассматривалась как «свободное благо», пользование которым осуществляется на безвозмездной основе в силу его избыточности. Экономическое развитие предопределило коренное изменение ситуации. Сегодня окружающая природная среда является «редким.благом», которое расходуется в процессе производства и потребления. Но разработать и политически реализовать соответствующую обширную ценовую систему ее использования пока не удалось. В то же время, запасы отпущенного человечеству для решения проблемы растущей эксплуатации окружающей природной среды времени уже на исходе.
В общественных и политических дискуссиях термин окружающая природная среда трактуется неоднозначно. По нашему мнению разумно определение, сформулированное Экспертным советом по вопросам окружающей среды:
«Под окружающей средой понимается комплекс отношений живого индивида к его специфическому окружению. Окружающая среда относится всегда к живому существу или, говоря более обобщенно, к биологическим системам и не может существовать или быть использована независимо от них. Если мы говорим о живых существах (обычно человеке), на передний план выходит пространственно-структурный взгляд. Для этого, как правило, общая система окружающей среды структурируется на частичные системы — экосистемы. Местность определенной пространственно-фиксированной экосистемы называется экотопом» (Umweltgutachten. 1987. S.15).
Приведенное определение является достаточно широким, поэтому представляется разумным рассматривать окружающую среду как используемый в различных формах природный ресурс:
¦ Окружающая природная среда как потребительское благо. Из окружающей среды люди черпают такие жизненные блага, как воздух и вода, она предоставляет возможность отдыха и проведения свободного времени.
¦ Окружающая природная среда как производственный фактор. Окружающая среда предоставляет сырье, которое является необходимым условием производственного процесса, например, воду, полезные ископаемые или энергию, включая землю как производственную площадь.
¦ Окружающая природная среда как место накопления вредных веществ. Вредные вещества — такие, как сточные воды, мусор, излучения, а также шум и излишнее тепло, накапливаются окружающей средой и частично абсорбируются ею.
Ценовой механизм, который, в принципе, обеспечивает оптимальное размещение (аллокацию) редких ресурсов, терпит фиаско в отношении всех благ окружающей среды в силу того, что они не имеют рыночной цены. Поэтому необходима защита окружающей природной среды и политика в области ее охраны. В начале главы мы рассмотрим причины и издержки нагрузки на окружающую природную среду, а затем — цели, принципы и инструменты экологической.
2. Причины нагрузки на окружающую природную среду
Какие факторы определяют перегрузку окружающей природной среды? Как правило, выделяют две группы причин:
¦ причины, обусловленные развитием,
¦ социально-экономические причины.
2.1. Причины, обусловленные развитием
Среди обусловленных развитием причин решающее значение имеет рост населения. В 1950 г. численность населения мира равнялась 2 млрд, в 1990 г. — уже 5,5 млрд, а в начале нового'тысячелетия она достигнет 7 млрд человек. В соответствии с докладом «Global 2000» в 2030 г. число землян составит 10 млрд. Ясно, что рост населения несет с собой значительные проблемы. С одной стороны, необходимо увеличение производства продовольствия за счет интенсивного использования земли и расширения площади посевов, что влечет такие угрозы, как эрозия, засоление, расширение использования удобрений и применения пестицидов. Рост производства сельскохозяйственных продуктов и промышленных конечных продуктов означает растущее потребление энергии. И наконец, существенно возрастает объем отходов и вредных веществ, все более обостряется потребность в их утилизации.
С ростом населения тесно связана проблема увеличения концентрации населения в крупных городах. Развивающиеся страны пока не могут справиться с проблемой «бегства» из села в город. При пространственной концентрации населения все более интенсивно используются элементы окружающей среды (воздух, вода, земля), создаются дополнительные угрозы окружающей среде, возрастают нагрузки на нее.
Экономический рост, даже в отсутствие непосредственных воздействий на окружающую природную среду, приводит к существенному возрастанию нагрузки на нее. Данный тезис верен как для первичного (в сельском хозяйстве, например, кардинально изменилась естественная экосистема: возникли монокультуры; используются пестициды, которые попадают в цепь потребления продовольственных продуктов, удобрения, значительно снижающие качество питьевой воды и т. д.), так и для вторичного сектора (добыча невозобновляемых полезных ископаемых; большое потребление энергии; последствия от эксплуатации промышленных сооружений и дорог, такие как шумовая нагрузка, вредные вещества в почве; промышленные отходы, выхлопные газы и сточные воды и т. д.). В третичном секторе наблюдаются аналогичные процессы — возрастает потребление энергии предприятиями, увеличиваются последствия так называемой «белой индустрии», т. е. туризма (изменение экосистемы Альп). Экономический рост был основан на технических изменениях, которые через перемены в производственных процессах и привычках в потреблении отрицательно повлияли на окружающую природную среду. В качестве примеров можно привести использование фосфатов в стиральных порошках, азотных удобрений в сельскохозяйственном производстве, одноразовых бутылок и упаковочных материалов в потреблении. Но не исключено, что увеличившееся признание важности качества окружающей среды приведет к обратным тенденциям в ее развитии.
2.2. Социально-экономические причины
Производство и потребление благ окружающей среды не регулируется ценовым механизмом, так как блага окружающей среды, как правило, не имеют цены. Причина этого состоит в том, что блага окружающей среды в определенном смысле являются общественными благами, к которым принцип исключения из пользования неприменим вообще или применим не полностью, так как права собственности на них нельзя определить и употребить (см. гл. 2, раздел 4). Это относится прежде всего к атмосферному воздуху, водоемам и частично к земле как месту накопления вредных веществ. Кроме того, потребление некоторых благ окружающей среды не предполагает соперничества, т. е. назначение цен на них является неразумным. Однако в подавляющем большинстве блага окружающей среды являются объектом соперничества, так как их использование одним экономическим субъектом ограничивает возможности их употребления другими.
При использовании благ окружающей среды, как правило, возникают отрицательные внешние эффекты, т. е. внешние издержки (см. гл. 2, раздел 4). Речь идет об имеющих место в обществе издержках, которые не отражаются в системах учета предприятия (внутренних) или в расчетах (внутренних) бюджетов частных лиц или общественных организаций (загрязнение воздуха вредными выбросами промышленности и выхлопными газами автомобилей, ухудшение качества питьевой воды, снижение ценности и качества жилья вследствие шума дорожного и воздушного транспорта и т. д.). Поскольку они возникают дополнительно к частным издержкам, их называют также дополнительными социальными издержками.
Поскольку благами окружающей среды можно пользоваться бесплатно, т. е. социально-дополнительные издержки не оплачиваются частным образом, потребление благ окружающей среды одним лицом и соответствующие потери полезности других лиц не входят в расчеты «первого» лица. Результатом является избыточное использование благ окружающей среды. Цены же на услуги окружающей среды, если они устанавливаются, являются заниженными. Иными словами, принуждение частных лиц к бережному использованию благ окружающей среды отсутствует (или является чрезвычайно слабым). ¦
3. Издержки нагрузки на окружающую природную среду
Издержки нагрузки на окружающую среду весьма трудно «охватить» и оценить. Один из немецких ученых, Лутц Вике, предложил полный баланс экологического ущерба для ФРГ за 1968-1992 гг. Для 1992 г. исчисленные издержки ущерба составили более DM 200 млрд, или 6,8% валового национального продукта (см. табл. 29.1). Но полученные исследователем данные частично основываются на экспертных оценках.
Значительно легче рассчитать расходы по устранению нанесенного окружающей среде ущерба. Федеральное статистическое ведомство ФРГ, которое в течение ряда лет ведет счета экономики окружающей среды (СЭОС), определяет затраты государства и частных производителей на мероприятия по защите окружающей среды в 1992 г. в DM 37,5 млрд (Wirtschaft und Statistik. Heft 11. 1994. S.874).
В 1994 г. в целом доля расходов на защиту окружающей среды в ВВП составляла во Франции 1,1%, в Дании — 1,9%, в ФРГ — 1,7% (iw-trends, Heft 2. 1994. S.51). Но такого рода данные не позволяют нам оценить качество окружающей среды, поскольку без учета эталона чистой окружающей среды невозможно представить себе действительную нагрузку.
4. Цеди и принципы экологической политики
4.1. Цели экологической политики
В принятой в 1971 г. программе по защите окружающей среды Правительство ФРГ объявило экологическую политику самостоятельной общественной задачей, когда «защита естественных начал жизни» рассматривается наравне с такими общественными целями как безопасность, образование, социальная защита. В обращении Правительства к Парламенту 18 марта 1987 г. была выдвинута идея о внесении статьи об охране окружающей среды в Конституцию, что и было осуществлено в 1994 г. Конституция ФРГ была дополнена ст. 20а: «Принимая ответственность за будущие поколения, государство защищает естественные жизненные основы в рамках конституционного порядка через законодательство и, руководствуясь законом и правом, через исполнительную и судебную власти».

По Конституции РФ «каждый имеет право на благоприятную окружающую среду, достоверную информацию о ее состоянии и на возмещение ущерба, причиненного его здоровью или имуществу экологическим правонарушением» (ст. 42).
Таблица 29.1
Баланс экологического ущерба в ФРГ в 1992 г. (в DM млрд) |
|
Статья загрязнения |
Издержки ущерба 1984 г.
(старые федеральные земли) по Wicke (1986 г.) |
Издержки ущерба 1992 г.
(старые
федеральные
земли) |
Оценка ущерба 1992 г. (новые федеральные земли) |
Издержки ущерба в Германии (частично оценка на 1992 г.) |
|
1 |
2 |
3 |
4 |
5 |
|
1. Загрязнение воздуха |
DM 48 млрд |
более DM 12 млрд марок |
более DM 12
млрд |
более DM37
млрд |
Разные отдельные статьи (цены 1994 г.)
- ущерб здоровью |
более 2,3-5,8 |
примерно 5,4 |
более 2,7 |
более 8,1 |
|
- материальный ущерб |
более 2,3 |
примерно 2,8 |
более 1,4 |
более 4,2 |
|
- ущерб лесу |
более 5,5—8,8 |
более 5,5 |
более 2,8 |
более 8,3 |
|
2. Загрязнение воды |
более DM17,6 млрд |
DM10 млрд |
более DM12,5 млрд |
более DM22,5 млрд |
|
В том числе: издержки снабжения питьевой и оборотной* водой |
более 9,0 |
1,7 |
|
|
|
3. Нагрузка на почву |
намного более DM5,2 млрд |
примерно DM50,5 млрд (28,3-72,4) |
более DM36,7 млрд |
более DM87,2 млрд |
|
Издержки ущерба избежания, парирования, а также издержки планирования и контроля (цены 1988 г.) при: |
|
|
- ущербе для видов флоры и фауны |
|
4,0-4,3 |
|
|
|
- добыче полезных ископаемых |
|
0,2-0,7 |
|
|
|
- производстве продовольствия |
|
2,6-3,9 |
|
|
|
- ущербе от образования новых мусорных свалок и от текущих расходов на «поддержание» старых свалок (включая затраты на их полное устранение) |
(-1,7) |
14,0-17,5(3-10) |
(3-19) |
|
|
- загрязнение грунтовых вод |
|
3,9-6,7 |
|
|
|
|
4. Шумовое загрязнение среды |
более DM32,7 млрд |
DM29,5 млрд |
DM5 млрд |
DM34,5 млрд |
|
В том числе: готовность платить для избавления (в ценах 198 |
9 г.) от: |
|
|
|
|
- уличного шума |
|
12,8 |
|
|
|
- железнодорожного шума |
|
5,3 |
|
|
|
- шума воздушного транспорта |
|
0,4 |
|
|
|
- промышленного и ремесленного шума |
|
5,2 |
|
|
|
Издержки шума на рабочем месте (глухота от шума, сердечно-сосудистые заболевания без учета снижения производительности |
|
труда) |
|
|
|
|
|
5. Издержки неосуществленной защиты окружающей среды |
более DM1,0 млрд |
DM3,4 млрд |
DM1,7 млрд |
DM5,1 млрд |
|
6. Издержки предотвращения глобальных и межстрановых экологических катастроф |
DM 15 млрд |
DM2 млрд |
DMI7 млрд |
|
|
|
- издержки уменьшения выбросов СО2 |
|
|
|
более 15 |
|
- кооперация Запад-Восток в сфере охраны окружающей |
|
|
|
1 |
среды
- вклад в сохранение тропических лесов |
|
|
|
1 |
|
Издержки общего ущерба (сумма статей 1-6): |
более DM103,5 |
более DM133,4 |
более DM69,9 |
более
DM203,5 млрд |
|
млрд |
млрд |
млрд |
|
7. Прочие разные издержки бремени окружающей среды - снижение качества свободного времени и отдыха |
|
DM9,2 млрд |
|
|
|
- психосоциальные издержки (цены 1988 г.) |
|
DM40-65 млрд |
|
|
|
- спрос на (готовность платить за) улучшенное качество |
|
DM40-94.4 |
|
|
|
окружающей среды (цены 1988 г.) |
|
млрд |
|
|
|
- расходы на защиту окружающей среды в экономике (цены 1988 г.) |
|
DM32 млрд |
|
|
|
1 Оборотная вода — вода, забираемая из природного источника и рециркулируемая затем в рамках применяемых технологий (которые охлаждают или очищают ее) без сброса в водоем или канализацию. В отличие от питьевой воды оборотная вода используется |
|
для удовлетворения промышленных и прочих хозяйственных нужд. |
|
|
|
|
г СО — моноокись углерода. |
|
|
|
|
|
|
Источник: Wicke L. Umweitokonomie. 4. Aufl. Miinchen. 1993. S. 113. |
В чем состоят цели экологической политики ФРГ? Политика государства должна быть направлена на:
¦ уменьшение и устранение ущерба окружающей среде;
¦ предотвращение «новых» вредных последствий деятельности человека для него
самого и окружающей среды; •
¦ минимизацию риска для человека, животного и растительного мира, природы и ландшафта, элементов окружающей среды и имущества;
¦ сохранение и расширение свободного пространства для жизни будущих поколений, а также размножение разных видов диких животных и изменение ландшафтов.
Все более важной становится защита будущих поколений. Принцип «устойчивого развития» (sustainable development) как ведущей основы экономического развития был впервые сформулирован Всемирной комиссией по охране окружающей среды и развитию в 1987 г. в отчете Г. X. Брундтланд1. Устойчивое развитие определяется как «развитие, которое удовлетворяет потребности сегодняшних поколений и не несет риска того, что будущие поколения не смогут удовлетворить свои нужды».
Чтобы не поставить будущие поколения в худшее положение в области качества окружающей среды и снабжения природными ресурсами, запас природного капитала должен сохраняться на постоянном уровне.
Для этого необходимо соблюдение в экономической практике следующих правил:
¦ Добыча невозобновляемых ресурсов допускается только тогда, когда будущим поколениям предоставляется возможность обращения к их альтернативным заменителям. Следовательно, одновременно с использованием таких ресурсов необходимо освоение новых технологий (например, ориентированных на продолжительное использование возобновляемых источников).
¦ Выбросы в воздух и в воду, а также размещение отходов не должны превышать возможности природы к их поглощению.
¦ Возобновляемые ресурсы используются в объеме, не превышающем норму их восстановления («регенерации»).
Довольно общие формулировки находят различное практическое воплощение. Так, со времени конференции по окружающей среде в 1992 г. в Рио-де-Жанейро в дискуссиях о политике по защите окружающей среды во многих странах преобладает постановка цели снижения выбросов двуокиси углерода (С0
2) и других порождающих «парниковый эффект» газов, что, как предполагается, предотвратит необратимые изменения климата. К принятой на конференции Конвенции по защите климата уже присоединилось большинство крупных промышленно развитых стран. В ней, помимо прочего, установлена цель сокращения выбросов двуокиси углерода и других парниковых газов в промышленных странах к 2000 г. до уровня 1990 г. Правительство ФРГ не только приняло эту цель, но и обязалось снизить выбросы С0
2 в Германии к 2005 г. на 25-30% по отношению к уровню 1987 г. Кроме
того, конвенция предусматривает множество других мер в отдельных областях защиты окружающей среды. ’
С экономической точки зрения речь идет не о максимальной защите окружающей среды, а об оптимальном качестве окружающей среды, которое достигается тогда, когда сумма внешних издержек ущерба окружающей среде и издержек его устранения минимизируется. Следовательно, если издержки устранения ущерба превышают издержки, связанные с самим ущербом, то с экономической точки зрения ликвидация нанесенного вреда является невыгодной.
4.2. Принципы экологической политики
Осуществление политики окружающей среды в ФРГ основывается на некоторых основных принципах, значение которых в большинстве случаев можно свести к формулировкам причин нагрузки на окружающую среду. К ним относятся:
¦ принцип виновника,
¦ принцип сотрудничества,
¦ принцип предупреждения,
¦ принцип общественной нагрузки.
Все меры политики по защите окружающей среды, ориентированные на принцип виновника, являющийся в какой-то мере лейтмотивом природоохранной политики, направлены на то, чтобы возникшие внешние издержки (дополнительные социальные издержки) наносимого окружающей среде в процессе производства и потребления ущерба как можно более полно возлагались на его виновников. Таким образом, внешние издержки превращаются во внутренние издержки (интернализируются). К инструментам интернализации относятся экологические налоги (налоги на загрязнение среды), предписания по охране окружающей среды в форме наказов, запретов, технологических и продуктовых норм и т. д. Но практическое применение данного принципа связано с некоторыми проблемами и имеет определенные границы.
Точно определить виновника нагрузки на окружающую среду удается далеко не всегда. Причина кроется, с одной стороны, в том, что существуют кумулятивные воздействия (чья капля приведет к переливу через край бочки?), с другой стороны, возникают цепи воздействия, которые делают почти нереальным определение источника ущерба, так что невозможно и распределение издержек. Например, существует «цепь виновников» выбросов выхлопных газов'автомашин, в которых участвуют все владельцы автомобилей, производители и продавцы горючего, порождающего нагрузку на среду.
Кроме того, возникают ситуации, когда виновник и его доля в нагрузке на окружающую среду неизвестны или невозможно определить величину издержек (ущерб окружающей среде был причинен в прошлом или вызван иностранными экономическими субъектами).
И наконец, часто бывает затруднено административное осуществление принципа виновника, так как соответствующие органы не в состоянии эффективно выполнять контролирующие функции. Например, затруднен контроль нагрузки по вине индивидуальных виновников в транспортной сфере. В тех случаях, когда применение принципа виновника невозможно, следует обращаться к другим принципам.
Принцип сотрудничества предполагает, что пользователи окружающей среды несут общую ответственность и участвуют в предусмотренных мерах по ее защите от деятельности, причиняющей ущерб (строительство дорог, электростанций, мусоросжигательных установок и т. д.). Теоретически его применение позволяет достичь равновесного соотношения между индивидуальными свободами и общественными потребностями. Данный принцип представляет собой идеал для формирования процессов принятия решений в политике по защите окружающей среды, причем очень важно своевременное привлечение всех затронутых последствиями загрязнения субъектов.
Принцип сотрудничества применяется, в частности, в отраслевых договорах между Ведомством по защите окружающей среды и отраслью или отдельными ее представителями. В таких договорах определяются цели защиты окружающей среды (в качестве примера можно привести договор в отрасли производства бутылок о повышении степени рециклирования, т. е. повторного употребления).
Если предприятия отрасли обязуются отказаться от действий, причиняющих вред окружающей среде, говорится о «соглашении самосдерживания». Если они готовы провести мероприятия, поддерживающие окружающую среду, мы имеем дело с «соглашением самообязательства».
Принцип предупреждения предполагает такое использование мер по охране окружающей среды, которое позволяло бы избежать нанесения вреда. Он ориентирован на бережное использование жизненных основ человека — обеспечение его здоровья, сохранение природного кругооборота, предотвращение нанесения ущерба не только сегодня, но и в будущем, чтобы грядущие поколения унаследовали как можно более чистую окружающую среду (идея концепции устойчивого развития). Данный принцип имеет особое значение потому, что люди в принципе склонны оценивать сегодняшние блага «выше» будущих, и применение принципа предупреждения позволяет внести коррективы в их «ошибочное поведение».
Возникающие экологические проблемы подчас настолько сложны, что может создаться ситуация, когда по-настоящему не срабатывает ни один из обсуждавшихся нами принципов. В таких случаях предусматриваются меры, соответствующие принципу общественной нагрузки, когда вместо поиска виновника общественные органы предпринимают попытку снизить нагрузку на окружающую среду за счет общественных средств (прямо или косвенно расходуя их на возмещение ущерба окружающей среде). Но в рыночно ориентированной экономике принцип общественной нагрузки должен носить лишь дополняющий характер. Применение его как единственной стратегии закончилось бы неудачей (и не только из-за ограниченности государственных фондов). В общем, меры, осуществленные в соответствии с принципом общественной нагрузки (например, финансовые стимулы для инвестиций, поддерживающих окружающую среду, денежная помощь, налоговые и процентные льготы и т. д.), не подлежат рыночной оценке. Поэтому создается опасность направления ресурсов в не самые эффективные области. Уже в Отчете по защите окружающей среды в 1976 г. правительство ФРГ указывало, что общественные органы должны нести издержки по устранению вреда окружающей среде только тогда, когда невозможно установить виновника и речь идет об устранении катастрофической ситуации.
5. Инструменты экологической политики
5.1. Обзор
Под инструментами экологической политики понимаются все направленные на достижение целей защиты окружающей среды мероприятия государства. Инструменты природоохранной политики могут быть классифицированы в соответствии со следующими критериями:
(а) по принципам (см. раздел 4), на которые они ориентированы:
(б) их связям (их отсутствием) с общественными доходами и/или расходами;
(в) соответствии рыночным принципам;
(г) в зависимости от участка эколого-экономической системы кругооборота, на котором они применяются.
Рис. 29.1 характеризует систему критериев (а) и (б). Буква В указывает на принцип виновника, буква О — на принцип общественной нагрузки. О принципе сотрудничества речь будет идти в случае нефискальных инструментов, в то время
Предписания по загрязнению окружающей среды
- Изменение базовых условий, прав — собственности на использование окружающей среды
_Кооперационные решения в рамках
политики защиты окружающей среды
_Добровольные нефискальные инструменты
политики защиты окружающей среды
В
В
В
в
в
в
о
о
Нефискальные
инструменты
Инструменты планирования политики " защиты окружающей среды
Прямая общественная защита ¦ окружающей среды, финансируемая за счет сборов и взносов Прямая общественная защита - окружающей среды, финансируемая за счет налогов
. Финансирование прочих значимых для окружающей среды мер
Политика
окружающей
среды,
осуществляемая посредством — общественных расходов
Инструменты
экологической
политики
В
В
О
О
В
в
_Государственная политика закупок,
не наносящая ущерба окружающей среде
Побуждение частно-экономической деятельности, улучшающей окружающую среду
Политика
окружающей
среды,
осуществляемая
посредством
общественных
доходов
_Поддержка исследований и разработок
по защите окружающей среды
_Финансирование институциональной
защиты окружающей среды
Экологические лицензии Экологические сборы
Рисунок 29.1. Инструменты экологической политики Источник: Wicke L. Umweltokonomie, 3 Aufl. Miinchen, 1991. S. 166.
как принцип предупреждения в неявном виде содержится во всех имеющих превентивный характер мерах.
Важнейшими несоответствующими рыночному принципу инструментами являются экологические предписания (указания/запреты). Они, как нефискальные меры, выступают как классические инструменты экологической политики, характеризующейся относительно высоким влиянием государства. В сравнении с ними большинство других инструментов имеют значительные рыночные основы.
5.2. Нефискальные инструменты
Применение экологических предписаний (стандарты, нормы, правила) предполагает, что виновник нанесения ущерба вынужден снизить нагрузку на окружающую среду и внешние издержки. Запреты предусматривают полный отказ от действий, которые могут нанести ущерб окружающей среде (пример: запрет использования ДДТ). В указаниях могут допускаться и некоторые нагрузки на окружающую среду. В качестве «контролируемых переменных» служат выбросы (предельно допустимая концентрация (ПДК), предельно допустимые выбросы (ПДВ), установленные в технических нормативах загрязнения воздуха для таких веществ), производственный процесс (запрет использования некоторых видов сырья и вспомогательных материалов, сильно загрязняющих окружающую среду; установка и применение технологий, соответствующих определенным нормативам, например, котельные должны иметь определенный коэффициент полезного действия (КПД)) или само производство (ограничение объема производства благ, порождающего выброс вредных веществ в особо крупных объемах, что важно, например, при смоге; или приостановка производства).
Преимуществами предписаний являются их действенность, более высокая надежность ответной реакции, позволяющая достичь намеченного результата, а также широкие возможности их практического применения. Недостатки заключаются прежде всего в:
а) возможности относительно высоких издержек достижения целей защиты окружающей среды,
б) возможностях искажения конкурентного процесса,
в) возможности того, что предприятия будут строго выполнять предписанные нормы, хотя они обладают потенциалом, позволяющим сократить наносимый природе ущерб в значительно большей степени (используя, к примеру, новые технологии).
Достичь положительных результатов позволяет и ужесточение базовых правовых условий (например, экологических стандартов). Речь здесь идет о введении обязательного страхования ответственности за причинение ущерба окружающей среде, о повышении гражданской ответственности и также о более действенных экологическом контроле и отчетности.
Значительное место в научных дискуссиях занимает проблема введения экологических лицензий. В данном случае государство провозглашает себя собственником элементов окружающей среды и устанавливает объемы, в которых предприятия могут использовать ее способность к поглощению вредных веществ. В соответствии с объемом данной возможности заинтересованным фирмам выдаются платные сертификаты — «сертификаты на загрязнение». Таким образом производители наделяются правом использования соответствующих элементов окружающей среды. Так, например, в США с 1 января 1995 г. практикуется продажа сертификатов на выбросы двуокиси серы.
В целях защиты окружающей среды могут быть использованы и доходы государства от продажи экологических лицензий. В этом случае мы имеем дело с описанными в следующем разделе фискальными инструментами.
5.3. Фискальные инструменты
Когда говорят о фискальных инструментах, речь идет о мерах, которые осуществляются или за счет общественных расходов, или с помощью общественных доходов.
К связанным с общественными расходами инструментам политики окружающей среды причисляются:
(а) направленные на улучшение окружающей среды действия общественно-правовых институтов (например, через финансирование мероприятий по внедрению систем центрального парового отопления, строительство транспортных магистралей, меры защиты от шума, очистка водоемов и уборка городских территорий),
(б) индуцирование частных действий через использование дотаций для защиты окружающей среды, поощрение исследований и разработок,
(в) финансирование институтов защиты окружающей среды (Федерального ведомства защиты окружающей среды, союзов окружающей среды).
Возможности этих инструментов многообразны, но их анализ выходит за рамки нашего вводного курса.
К инструментам политики по защите окружающей среды, связанной с общественными доходами, относят прежде всего экологические лицензии и экологические сборы. Мы уже упоминали вкратце об экологических лицензиях. Продаваемыми государством лицензионными правами — при соблюдении установленных законодательно стандартов «качества» окружающей среды — можно было бы торговать, например, на бирже. Преимущества данного подхода заключаются в том, что:
а) обеспечивается соблюдение политически установленного максимального объема выбросов;
б) лицензирование стимулирует применение наиболее эффективных мер предотвращения ущерба окружающей среде;
в) проблема загрязнения решается рыночным способом.
Но, несмотря на то, что с точки зрения теории, экологические лицензии представляют собой весьма эффективный инструмент, не следует ожидать их масштабного использования в ближайшее время. Лицензии могут привести к ограничению доступа на рынок, что способствует тенденции к монополизации. Кроме того, их противники часто используют эмоциональный аргумент: лицензии означают продажу окружающей среды, а как можно продавать одно из наших самых ценных благ? При этом не принимается во внимание, что с предоставлением государственного разрешения на строительство, например, угольной электростанции, все еще возникают нагрузки на окружающую среду, но механизм ее компенсации отсутствует, а виновник не имеет стимулов к снижению ущерба.
Что же касается экологических сборов, то их использование создает стимулы и/или возможности финансирования достижения норм и целей экологической политики.
Так, например, в ФРГ обсуждается концепция комбинированного «налога на С0
2/энергию», которую предлагала и Европейская Комиссия. Согласно этой концепции, налогообложению подлежат общее потребление энергии и дополнительно выбросы двуокиси углерода. Цель такого налога — стимулировать уменьшение объема выбросов данного вещества.
Анализ практики экологических сборов позволяет выделить следующие их преимущества. Экономическая эффективность их бесспорна, так как сборы позволяют достичь результирующего качества окружающей среды с наименьшими издержками. Полученные средства используются для финансирования предотвращения загрязнения окружающей среды, что, с одной стороны, повышает прибыль, а с другой — способствует прогрессу экологически чистых технологий. Кроме того, сборы одинаково «затрагивают» предприятия всех размеров. Наконец они являются инструментами, соответствующими рыночным принципам. В то же время сборы характеризуются некоторыми недостатками. Очевидно, что в ходе политического процесса принятия решений о величине сборов будут активизироваться силы, настаивающие на снижении их уровня. Кроме того, они лишь условно учитывают различия региональных потребностей. Следует добавить, что сборы должны быть привязаны к оценке загрязнения, а при установлении тарифов необходимо учитывать и возможное повышение цен. Наконец, необходимо считаться с сопротивлением налогоплательщиков. Уже сегодня промышленные круги высказываются против экологических сборов, утверждая, что они не соответствуют рыночным принципам (если осуществляются не на международном уровне) и обусловливают искажение конкуренции.
5.4. Инструменты, ориентированные на рынок
На протяженииіпоследних нескольких лет ученые и государственные должностные лица обсуждают необходимость и возможность использования в экологической политике рыночных элементов. Главный признак ориентированной на рынок экологической политики состоит в том, что экономическим субъектам, не наносящим ущерба окружающей среде, предоставляется финансовое и прочее стимулирование, что предполагает гибкое определение границ экологической политики. Исключительно с «рыночных позиций» должен использоваться мотив прибыли, например, посредством введения всеобъемлющей ответственности за нанесение ущерба окружающей среде. Применение подобных мероприятий способствует дальнейшему развитию социально-рыночной экономики.
В 1991 г. в РФ был принят закон «Об охране окружающей природной среды», а 1 апреля 1996 г. был издан Указ Президента Российской Федерации № 440 «О концепции перехода Российской Федерации к устойчивому развитию». Однако в отличие от ФРГ и других промышленно развитых стран, политика по охране окружающей среды РФ пока не стала «приоритетной общественной задачей», мы имеем все основания говорить и о недостатках в ее реализации. Главная причина, по-видимому, заключается в низком уровне экономического развития России, когда чистая окружающая среда воспринимается как «предмет роскоши» (см. гл. 4, раздел 4.3). Глубокий спад производства, продолжающийся в течение всех 1990-х гг., сократил возможные источники финансирования природоохранных мероприятий. Однако он имел и положительное влияние на экологию, поскольку способствовал некоторому снижению нагрузки на окружающую среду. Можно отметить и другие позитивные (в смысле воздействия на окружающую природную среду) аспекты перехода к рынку.
Врезка 29.2.
Экологическая политика Российской Федерации
1. Отказ от планового хозяйства автоматически ведет к прекращению характерной для экономики такого типа безудержной растраты ресурсов (в том числе и природных).
2. Трансформационные изменения связаны, в частности, с ликвидацией неэффективных производств: их особенно много в использующих большие объемы природных ресурсов отраслях добывающей промышленности.
3. Прекращается доступ предприятий к государственным субсидиям на потребление ресурсов, в первую очередь — энергетических, что позволяет понизить уровень ресурсопотребления, а также энергоемкость производства (отношение затрат энергоресурсов к объему выпускаемой продукции).
4. Переход к рыночной экономике может повлечь за собой признание истинной ценности окружающей среды, а значит, к прекращению расточительности в использовании сырьевых ресурсов и будет способствовать постепенному внедрению в производство экологически чистых элементов основного капитала.
В результате в РФ будут созданы предпосылки для уменьшения нагрузки на окружающую природную среду. Однако эти процессы обязательно должны быть дополнены комплексом целенаправленных мероприятий по охране окружающей среды и конкретным претворением в жизнь упомянутых выше законодательных актов.
Важнейшими направлениями здесь являются следующие:
¦ Обеспечение доступа к информации и стимулирование направлено на непри-чинение ущерба окружающей среде (более развитое экологическое сознание, руководство предприятием с экологических позиций, создание преимуществ для выпуска продуктов и использования технологий, не причиняющих ущерба экологии).
¦ Экологические сборы или экологические лицензии усиливают стремление предприятий к увеличению прибыли. Производители, которым удается снизить выбросы вредных веществ в больших, чем предписано, объемах, вознаграждаются «задним числом». Если взносы по страхованию ответственности за окружающую среду различаются по уровню риска, на учитывающем экологические требования предприятии уменьшаются издержки страхования.
¦ Соглашения о защите окружающей среды, например соглашения между отраслями, которые принуждают стороны к «экологическому» поведению.
Объем имеющихся данных не позволяет нам оценить эффективность рыночных инструментов в полном объеме. Очевидно, что использование различных инструментов обеспечивает максимальную действенность экологической политики.
6. Глобальные экологические проблемы
Особая сложность политики по охране окружающей среды состоит в том, что множество видов загрязнения принимают международный, т. е. глобальный, масштаб (загрязнение воздуха, крупных водоемов, общее ухудшение климата). В принципе все страны мира являются в той или иной степени и виновниками ухудшения экологической обстановки, и пострадавшими. Для того чтобы устранить искажения в конкуренции, необходимо введение международно признанных подходов к экологической политике. Но одно из препятствий состоит в отсутствии на глобальном уровне «высшей инстанции», которая могла бы осуществлять экологическую политику. Кроме того, страны мира располагают различными возможностями для финансирования мер по защите окружающей среды. Поэтому примером в разработке и реализации экологической политики должны быть промышленно развитые страны.
Список основных понятий
¦ «Свободное благо»
¦ «Редкое благо»
¦ Окружающая природная среда
¦ Рост населения
¦ Увеличение концентрации населения в крупных городах
¦ Принцип исключения
¦ Отрицательные внешние эффекты
¦ Дополнительные социальные издержки
¦ Конвенция по защите климата
¦ Оптимальное качество окружающей среды
¦ Принцип виновника
¦ Принцип сотрудничества
¦ «Соглашение самосдерживания»
¦ «Соглашения самообязательства»
¦ Принцип предупреждения
¦ Принцип общественной нагрузки
¦ Экологические предписания
¦ Выбросы (вредных веществ)
¦ Экологические лицензии
¦ Общественные расходы
¦ Общественные доходы
¦ Экономические сборы
Вопросы НЗЗДВДДО лля подт
|
sag |  |
тжммсымшкмоммюмиомемихе
1) Что понимается под окружающей средой и в чем состоят ее функции?
2) В чем заключаются главные причины «экологической проблемы»?
3) Почему так трудно оценить издержки нагрузки на окружающую среду?
4) Как бы вы охарактеризовали важнейшие цели экологической политики?
5) Почему принцип виновника можно назвать «основой экологической политики»?
6) В чем состоит необходимость дополнений «принципа виновника»?
7) Назовите возможные подходы к систематизации инструментов экологической политики.
8) Каково значение фискальных инструментов при защите окружающей среды?
9) Обсудите преимущества и недостатки экологических лицензий и экологических сборов.
10) Что понимается под инструментами, соответствующими рыночному принципу?
sllilliiS
-> it;
ттштют
¦ Подробное рассмотрение теоретических и практических проблем экономики природопользования содержится в следующем учебном пособии:
Бобылев С. Н., Ходжаев А. Ш. Экономика природопользования: Учебное пособие. М„ 1997.
¦ Российскими учебниками по экономике природопользования являются:
Практикум по экологическому праву России: Учебное пособие для вузов / Под ред. А. К. Голиченкова. М., 1996. •
Гирусов Э. В., Бобылев С. Н., Новиков А. Л., Чепурина Н. В. Экология и экономика природопользования. М., 1998.
Акимова Т. А., Хаскин В. В. Экология: Учебник для вузов. М., 1998.
¦ Изложение проблем загрязнения окружающей среды с точки зрения либерального подхода см. в гл. 17 учебника вводного уровня по микроэкономике:
Долан Э. Дж., Линдсей Д. Е. Микроэкономика. СПб., 1994.
Глава 30


ПРОБЛЕМЫ
РАЗВИВАЮЩИХСЯ СТРАН
- ,ь < ' І-fJ'
Основные |  |


Какие препятствия замедляют экономическое развитие и как они преодолеваются?
¦ Как определяется развиваюшаяся страна?
¦ В чем состоят причины неравномерного экономического развития разных стран?
¦ Какими основными свойствами характеризуется процесс развития?
¦ На чем основываются инвестиционные решения в развивающихся странах?
¦ Какую роль могли бы играть в процессе развития сельское хозяйство и сельская индустриализация?
¦ Какую роль в процессе развития играет государство?
¦ Почему и в каком виде необходимо предоставление помоши развивающимся странам?
¦ Что такое программы структурного приспособления (ПСП)?
|
<%«>. MAiS&*. 2 4 * т. •§»-/•* Ь. |  |
 |
йЕ
s1» |

1. Что такое развивающаяся страна?
(«Страны, в которых отсутствуют сопряженные с функционированием современной промышленности преимущества и недостатки, называются слаборазвитыми».
Robinson JEatwell J. Einfiihrungin die Volkswirtschaftslehre. Munchen, 1974 . S. 448. Данное определение представляется абстрактным, но оно указывает на то, что мы оцениваем состояние слаборазвитости с позиции современных индустриальных обществ. Мы не рассматриваем вопрос о желательности развития отсталых стран, к примеру по образцу США. Но нищета и угнетенное положение широких слоев населения развивающихся стран обусловливают положение, когда мировой «задачей № 1» становится развитие, направленное на устранение хотя бы проблем голода и соблюдения основных прав человека.
Нередко в качестве критерия разделения стран на развитые и развивающиеся используется показатель дохода на душу населения. Приведенные в табл. 30.1 данные свидетельствуют об огромной разнице в доходах в разных странах мира.
Мы уже рассматривали некоторые, связанные с использованием этого показателя проблемы в гл. 10 и 28. Международное сравнение доходов надушу населения носит весьма относительный характер в силу значительных межстрановых различий в долях направленных на рынок общих объемов продукции. В развивающихся странах большая часть продукции, особенно в сфере «субси-стентного»1 сельского хозяйства, потребляется самим производителями и потому не включается в валовой национальный продукт. Кроме того, в рассматриваемом показателе далеко не всегда учитывается выпуск, произведенный в
Таблица 30.1
Дифференциация доходов в странах мира в 1993 г. |
|
|
Население |
Валовой национальный продукт |
|
Уровень |
Число |
МЛН |
в % к |
в $ млрд |
доля в мировом |
на душу |
|
|
стран |
человек |
мировому |
|
совокупном продук- |
населения, |
|
|
|
|
населению |
|
те, % |
$ |
|
695 и меньше |
59 |
3094 |
56,0 |
1165 |
4,8 |
376 |
|
696 -2785 |
69 |
1099 |
19,9 |
1635 |
6,7 |
1488 |
|
2786 - 8625 |
43 |
498 |
9,0 |
2153 |
8,9 |
4323 |
|
8626 и больше |
38 |
834 |
15,1 |
19304 |
79,6 |
23146 |
|
Итого |
209 |
5525 |
100,0 |
24257 |
100,0 |
4390 |
|
Источник: Weltbank-Atlas 1994. S. 20
1 Субсистентная экономика — экономика, обеспечивающая минимальный уровень потребления домохозяйства без разделения труда, т. е. без производства на рынок. |
динамично развивающейся теневой экономике. Для того чтобы хотя бы частично устранить эти недостатки, в опубликованном в 1990 г. в рамках программы развития докладе ООН «Human development report» был предложен индекс человеческого развития. Данный показатель объединяет применительно к каждой стране три величины — покупательную способность доходов на душу населения, среднюю ожидаемую продолжительность жизни и долю грамотного населения. В 1994 г. первое место по этому показателю среди 173 стран заняла Канада, а последнее — республика Гвинея. Среди государств третьего мира существуют некоторые страны, которые имеют более высокое, чем можно было ожидать по экономическим меркам, качество жизни. Например, Шри-Ланка по доходу на душу населения занимает 128-е место, а по индексу человеческого развития — 90-е.
Еще более показательным, чем одномерный или охватывающий лишь три показателя критерий, является перечень признаков, присущих развивающимся странам в целом, который иллюстрирует многообразие существующих в них проблем. Обычно в такой перечень включают следующие пункты:
¦ большая процентная доля испытывающего недостаток продуктов питания населения:
¦ незначительные объемы сбережений и инвестиций;
¦ низкая производительность труда;
¦ высокая рождаемость (-4%), относительно высокая смертность (-1,5%) и, как следствие, высокие темпы роста населения (2-3% и выше);
¦ низкий уровень развития инфраструктуры (транспортных магистралей, энергоснабжения, коммуникаций и т. д.), образования, здравоохранения, правопорядка и государственного управления;
¦ большая доля населения, занятого сельским хозяйством (50-80%);
¦ низкая доля промышленной продукции в ВВП;
¦ неравномерное распределение доходов и собственности;
¦ неравномерное распределение экономического потенциала по регионам; рядом друг с другом находятся самые современные промышленные районы и слабо развитые регионы (например, Сан-Паулу и северо-восточная Бразилия). Одновременно применяются самые современные технологии и методы каменного века (например, самолет и осел). Такое неравномерное развитие называется дуализмом;
¦ низкая доля в мировой торговле.
Как уже отмечалось, в качестве критерия разграничения стран на развивающиеся и развитые страны ООН использует размер дохода на душу населения. К развивающимся относятся страны, годовой доход населения которых составляет не более 25% доходов высокоразвитых государств.
Интересно отметить, что специалисты Мирового банка и Комитета помощи в развитии (КПР, или DAC — Development Assistance Committee) при Организации экономического сотрудничества и развития (ОЭСР, или OECD — Organization for Economic Cooperation and Development) относят Албанию, Грецию, Мальту, Турцию и Кипр к развивающимся странам. Итак, единого «списка» развивающихся стран не существует, а помощь в развитии в настоящее время получают около 160 стран и территорий.
Чтобы провести различия внутри группы развивающихся стран и привлечь внимание к положению беднейших из них, в 1971 г. ООН ввела понятие «наименее развитых стран» (НРС) (least developed countries — LDC).
В настоящее время в качестве критериев отнесения страны к группе наименее развитых стран выступают следующие показатели:
¦ валовой внутренний продукт на душу населения составляет не более $ 695,
¦ доля промышленного производства в валовом внутреннем продукте не превышает 10%,
¦ доля грамотного населения в возрасте свыше 15 лет составляет меньше 20%.
К НРС принадлежат 47 стран, в большинстве своем африканских, особенно тех,
что расположены в районе Сахеля, а также некоторые азиатские государства — Афганистан, Бангладеш, Йемен, Лаос и Непал. Из стран Латинской Америки в эту группу входит Гаити. В НРС проживает более 10% населения земного шара.
Не так давно Комиссия ООН по планированию развития пришла к выводу, что рассмотренные нами критерии уже недостаточны. Скорее всего, как НРС должны определяться страны с низким доходом, которые страдают от долгосрочной бедности из-за препятствий к росту и особенно из-за низкого уровня «развития человеческих ресурсов» (human resource development) и /или существенных структурных диспропорций. Бедность страны следует и далее измерять при помощи ВВП на душу населения (в среднем за последние три года). Для оценки же «развития человеческих ресурсов» должен применяться индекс прироста физического качества жизни (APQLI — Augmented Physical Quality of Life Index), учитывающий продолжительность жизни населения, калорийность питания, долю поступающих в школы детей семилетнего возраста, и уровень грамотности взрослого населения. Экономическая диверсификация может быть измерена индексом экономической диверсификации (EDI — Economic Diversification Index), который учитывает долю промышленности в ВВП, количество занятых в промышленности, потребление электричества на душу населения и поток экспорта. Кроме того, Комиссия считает, что к категории «наименее развитых стран» следует относить страны с населением до 75 млн человек.
Развивающиеся страны с относительно высоким уровнем развития называются пороговыми странами, или новыми индустриальными странами (NIC — newly industrialized countries). Характерная для них экономическая динамика позволяет добиться повышения дохода на душу населения и других показателей. С другой стороны, очень часто успехи в общественном развитии таких стран не идут ни в какое сравнение с их экономическими достижениями. Важно осознать, что в конечном счете типично развивающихся стран почти не существует, каждая из них отличается особыми чертами (сравните, например, Индию и Мексику с Бурунди, Португалию с Того). Тем не менее мы будем анализировать развивающиеся страны в целом, абстрагируясь от их различий. Мы не имеем возможности подробно описать социальные проблемы, а также политические и географические аспекты их развития и сосредоточимся на экономических вопросах.
2. Причины слаборазвитое™
Необходимо напомнить, как трудно определить те тайные силы, которые в конечном счете обусловили грандиозный подъем современных индустриальных наций (см. гл. 28).
Не меньшие сложности возникают и с идентификацией причин бедности, низкого уровня развития многих стран мира. И все-таки мы рассмотрим ряд представляющихся наиболее вероятными факторов слаборазвитости.
2.1. «Порочный круг» бедности
«Развивающиеся страны бедны потому, что они были бедными». Низкие доходы населения не позволяют осуществлять сбережения. Страна вынуждена направлять все полученные доходы на потребление. Отсутствие сбережений означает невозможность инвестиций. Только инвестиции обеспечивают долговременное повышение производительности труда и увеличение объемов производства в будущем, что в свою очередь позволит добиться расширения масштабов сбережений.
Следует добавить, что низкий уровень доходов означает ограниченность платежеспособного спроса, а значит, частные предприниматели не имеют стимулов для инвестиций. Например, рассматривая проект строительства обувной фабрики бизнесмен должен быть уверен, что его будущие потребители располагают достаточными доходами, чтобы покупать обувь. А доходы могут быть получены только тогда, когда население имеет работу. Кроме того, зачастую в слаборазвитых странах экономика в значительной степени является «немонетарной», т. е. на душу населения приходится ограниченный объем ликвидных средств. Данное обстоятельство — дополнительная причина узости рынка.
Кроме того, слаборазвитые страны не имеют средств для создания развитой инфраструктуры, для целей образования и для сохранения здоровья населения.
В конечном счете рост численности населения затрудняет рост производства на душу населения. Если, несмотря на все трудности, процесс развития начинается, это одновременно приводит к увеличению численности населения, которое сразу потребляет произведенный излишек. И все-таки можно согласиться с тем, что, например, и Германия когда-то была бедной, а потом разбогатела. Следовательно, такие связи объясняют не все.
Горячо обсуждается также, можно ли объяснить факт, что экономическое развитие стран в существующей системе мировой экономики проходило так неравномерно. Многие авторы придерживаются мнения, что данная система имеет неоко-лониальные черты, а зависимость развивающихся стран от индустриальных наций является важнейшей причиной их слаборазвитости.
Другие считают, что слаборазвитость стран объясняется неэкономическими факторами — климатом, образом жизни и т. д. (см. раздел 2.3). Есть много оснований полагать, что оба подхода верно отражают разнообразныетіричины существующей неравномерности развития.
2.2. Эксплуатация развивающихся стран
Ускоренное развитие некоторых государств создает предпосылки приобретения и сохранения ими военной и экономической власти, а значит, возможностей эксплуатации других стран. Вспомним хотя бы о разграблении метрополиями своих колоний, практически безвозмездном изъятии ресурсов (серебро и золото) и производственных факторов (работорговля).
В эпоху свободной торговли экономическая структура развивающихся стран была сформирована с учетом интересов промышленных государств. В них развивались отрасли добывающего сектора, например горнодобывающая промышленность и «плантационное хозяйство» (монокультуры), которые хотя и приносили прибыль, но она доставалась лишь немногим собственникам.
И сегодня положение таково, что подавляющее большинство выгод от международной торговли получают развитые страны, которые экспортируют продукцию обрабатывающей промышленности, в то время как доходы развивающихся стран от экспорта ресурсов относительно низки. Следует добавить, что развитые державы не всегда придерживаются системы свободной торговли, которая лишь на словах является важнейшей составной частью существующего порядка функционирования мировой экономики. Небольшой экспорт готовой продукции развивающихся стран в промышленные державы часто облагается высокими таможенными пошлинами или регулируется импортными квотам. Протекционистская политика Европейского союза, с его высокими дотациями для европейского сельского хозяйства препятствует аграрному импорту из развивающихся стран. А ведь именно в этом секторе развивающиеся страны имеют сравнительные преимущества в издержках, которые они не могут использовать.
Стремление к развитию привело к образованию большой внешней задолженности развивающихся стран, которые направляют существенную часть экспортной выручки на обслуживания долга, что ограничивает ресурсы, необходимые ускорения экономического развития.
2.3. Отсутствие «движущей силы»
Многие исследователи утверждают, что двигателем европейского экономического развития послужила кальвинистская этика (описанная в трудах Макса Вебера, 1864-1920), в соответствии с которой накопленное богатство приравнивалось к Божьей милости, а его потребление запрещалось («мирской аскетизм»). Естественно, данная причина не является единственной — динамично развиваются также хозяйства аскетичных басков и евреев, католиков-шотландцев и японских самураев, но она указывает на важнейшие факторы экономического роста.
Основой процесса развития экономики являются:
¦ сбережения и
¦ инвестиции в производственную деятельность.
Должны существовать люди, которые построят фабрики и используют заработанный добавочный продукт не для потребления предметов роскоши, а для производственных инвестиций. Экономическое развитие предполагает наличие динамичных предпринимателей-пионеров или, в случае их отсутствия, поддерживающего и осуществляющего сбережения и инвестиции государства.
К факторам, определяющим относительную «редкость» динамичных предпринимателей-пионеров в развивающихся странах:
¦ часто религия (например, индуизм) и мировоззрение (например, взгляды испанских «кабальеро») осуждают стремление к материальному богатству или физическому труду;
¦ зачастую развитое стремление к прибыли ориентировано на «сомнительные» виды бизнеса, на торговлю и спекуляции («базарный капитализм»);
¦ общественная собственность на землю и (экономическая) защищенность в больших семьях негативно воздействуют на стремление к индивидуальному успеху;
¦ индивиды, придерживающиеся традиционных способов поведения, скептически оценивают каждое новшество (вспомним, к примеру, о европейском средневековье, когда господствовало враждебное отношение к прогрессу, или о фундаментализме мусульман).
Большое значение для «движущих сил», естественно, имеет климат — подавляющее большинство промышленно развитых стран находится в умеренных климатических зонах. Наконец, присвоение (небольшого) излишка владельцами больших сельскохозяйственных угодий, кредиторами или коррумпированным классом функционеров является решающей причиной того, что процесс развития заканчивается не начавшись. Если господствующий класс использует излишки не для развития промышленности в собственной стране, а потребляет предметы роскоши, приобретает золото или делает вклады за границей, не может быть и речи о формировании предпосылок для развертывания процесса образования доходов.
2.4. Сравнение с развитием современных индустриальных наций
Анализ развития современных промышленных государств явно указывает на то, что процесс экономического роста помимо накопления капитала и расширения объема потребления ресурсов (особенно энергии) сопровождается нововведениями в духовной и политической сферах. Экономическое развитие Европы стимулировало появление новые философских теорий и увеличение объема знаний в естественных науках, осознание процессов формирования материальных условий жизни. Создавались национальные государства, а реализуемая ими политика меркантилизма (экономический порядок в Европе с XVI по XVIII в., при котором главная роль отводилась государственной власти и продвижению экспорта) обусловил формирование определенной институциональной, материальной и человеческой инфраструктуры. Развивались система правопорядка, эффективное государственное управление, налоговая система, рынок капитала, транспортные магистрали и государственная экономическая политика. Наконец, отсутствовало так называемое демонстративное потребление богатых людей. Желание достичь уровня потребления богатых стран не совместимо с повышением склонности к сбережению. А заводы «Кока-колы», естественно, меньше способствуют экономическому развитию, чем заводы по производству удобрений или цемента.
3. Экономические предпосылки роста
Уменьшение степени нищеты населения развивающихся стран предполагает рост производство на душу населения. Если человек применяет в производственном процессе землю и свою рабочую силу, то при благоприятных условиях он может произвести все необходимое для своей жизни. Однако в условиях высоких темпов прироста населения и ограниченных земельных ресурсов в соответствии с законом убывающей отдачи возникают голод и бедность.
При данных природных ресурсах устойчивое повышение производства на душу населения возможно только при расширении применения капитала и технических знаний.
В чем состоят основные условия создания возможности производства капитальных благ? Рассмотрим простой пример: крестьянин, который хочет приобрести косу у кузнеца, должен предоставить продавцу столько продовольствия, чтобы последний не имел проблем с питанием. Следовательно, крестьянин должен создать избыток продовольствия и ему следует произвести больше, чем он сам потребляет. Это общая закономерность. Рабочие, изготовляющие капитальные блага (косы, удобрения, установки для орошения, сельскохозяйственные машины и т. д.), получают необходимые продукты только в том случае, если другие рабочие, занятые в производстве продовольствия, выпускают больше, чем потребляют. Если процесс развития начался, он поддерживает сам себя: большее количество машин увеличит объем производства на одного работника. Больший избыток расширяет производство капитальных благ, применение которых опять-таки повышает производство на душу населения. Здесь важно, «уберечь» процесс развития от негативных воздействий роста численности населения, когда число «ртов» увеличивается существенно быстрее, чем производство капитальных благ. Не менее важно, чтобы производство капитальных благ не слишком быстро заменялось производством предметов роскоши.
Давайте обобщим основные условия развития с опорой на собственные силы:
¦ необходимо произвести излишек продукта;
¦ излишек необходимо сберечь;
¦ сбережения должны быть инвестированы;
¦ инвестиции должны быть производительными;
¦ произведенная продукция должна быть конкурентоспособной на международном рынке.
4. Возможность сбережений
У людей, которые находятся на пределе прожиточного минимума, возможность сбережений равна нулю. Но не все жители развивающихся стран живут на таком пределе, группа богатых располагает возможностями сбережений. Впрочем, в большинстве случаев склонность богатых семей к добровольным сбережениям низка, а доходы расточаются на потребление предметов роскоши.
Следовательно, государство обязано способствовать формированию сбережений в экономике. Для этого существует ряд возможностей.
Первая возможность состоит в том, что государство направляет на инвестиции часть своих доходов (налоги, таможенные пошлины, прибыль госпредприятий). Но в развивающихся странах часто существует проблема отсутствия эффективной и справедливой налоговой системы. В силу отсутствия сильной финансовой администрации, низкого уровня грамотности, а также неразвитости денежной экономики и бухгалтерского учета взимание подоходного налога с физических лиц практически невозможно.
Поэтому основными источниками доходов государства, являются финансовые поступления от косвенных налогов (на потребление) и таможенных пошлин (в силу относительной простоты их взимания). Но налоги на потребление и пошлины носят регрессивный характер, а значит, в наибольшей степени обременяют получателей низких доходов.
Вторая возможность — вынужденное сбережение после инфляционного повышения цен. Государство финансирует инвестиционные расходы через кредиты Центрального банка. Если совокупный спрос превысит производственный потенциал, повышаются цены. При постоянных номинальных доходах возможности приобретения потребителями товаров постоянно сужаются. Такого рода политика — простой и удобный способ финансирования государственных расходов (пусть читатель вспомнит, например, финансирование войны в гитлеровской Германии). Основной ее недостаток — негативные последствия инфляции (см. гл. 25, раздел 4).
Третья возможность государственного регулирования сбережений — прямое ценовое и количественное планирование, например централизованная сдача сельскохозяйственных продуктов по установленным государством низким ценам. Данная методика в самой жесткой форме использовалась в СССР в период индустриализации.
Какие бы формы ни принимали сбережения, какая бы политика их стимулирования ни использовалась, речь идет о необходимости ограничения текущего потребления. Но «героически-аскетическое» решение вопроса о сбережениях — лишь первый шаг, полученные средства должны быть инвестированы не в «финансовые пирамиды», а в установки орошения, не в «золото», а в заводы по производству искусственных удобрений.
Интересная возможность создания производительного капитала была реализована в Китае, когда незанятые работники практически вручную создавали системы орошения, дороги, жилые здания, склады и т. д. Да, такой производственный метод является не очень «прогрессивным», но это способ разумного применения рабочей силы, которую все равно необходимо кормить. Похожие модели применяются в Африке в форме программ «продовольствие за работу» (food for work).
5. Инвестиционные решения
Инвестиции — двигатель экономического развития, они создают производственные мощности и доходы. Большой проблемой, стоящей перед развивающимися странами, является использование созданных за счет сбережений инвестиционных возможностей. Необходимо заботиться как о капиталовложениях вообще, так и о том, чтобы направлять инвестиции в наиболее перспективные сферы.
5.1. Стратегии инвестирования
В развивающихся странах существуют огромные потребности во вложениях в инфраструктуру, сельское хозяйство, строительство, агропромышленность (в сельскую индустриализацию) и т. д. Но очень часто отсутствует (частная) рентабельность подобных инвестиций. Предприниматель, намеревающийся построить фабрику (скажем, для производства обуви), не имеет информации о том, способны ли одновременно создаваемые другие предприятия генерировать доходы, которые позволят «преобразовать» потребность в обуви в платежеспособный спрос. Иными словами, узость внутреннего рынка не позволяет получить необходимую отдачу на частные инвестиции. А выход на мировые рынки требует предварительной «прокладки» каналов сбыта. Глобальная стратегия предполагает первоочередное создание сбытовых организаций и усилия, направленные на производство конкурентоспособного на мировом рынке продукта.
В то же время, как правило, отсутствует обеспечение промежуточными продуктами и производственными факторами, например, в виде отсутствия фабрик по производству кожи или работников. Наконец, инфраструктура, например дороги, сети коммуникаций и электроснабжение. Все это объясняет, как трудно дать толчок инвестиционной деятельности частных предпринимателей.
Отсюда следует вывод о том, что государство должно (как и образование сбережений) непосредственно участвовать в инвестиционной деятельности. Часто обсуждаемой возможностью ограничения влияния государства является стратегия неравновесного экономического роста, основной идеей которой является стимулирование процесса развития через неравновесие, через узкие места и излишки, и прежде всего путем воздействия на недостаточную мотивацию частных предпринимателей. Если, например, государство построит цементный завод, это приведет к формированию спроса на энергию, сырье, тару и т. д. Возникнет «давление» в сторону начала производства необходимых производственных факторов, так называемая обратная связь. Одновременно формируется необходимость обеспечения реализации произведенной продукции, например стимулируется строительство жилых домов или выпуск готовых бетонных конструкций (прямая связь). Частных инвесторов приходится буквально «тыкать носом» в возможные инвестиционные проекты. Стратегия неравновесного роста разумна прежде всего тогда, когда отсутствует возможность сбалансированного развития одновременно всех секторов, «если войска достаточно лишь для атаки на отдельные позиции, а не для нападения по всему фронту».
5.2. Выбор инвестиционных проектов
Наконец, одна из основных проблем планирования капиталовложений — выбор инвестиционных проектов. Необходимо принять решения о сферах (горнодобывающая отрасль или сельское хозяйство, тяжелая промышленность или инфраструктура) вложений капитала, используемой технике (современные капиталоемкие или простые трудоемкие методы) и районах страны, особенно нуждающихся в инвестициях. При этом в настоящее время существенная роль государства состоит лишь в том, что оно создает надежные основы для функционирования частных предприятий.
Определение соотношения количеств производственных факторов — труда, капитала и земли — должно производиться в соответствии с принципом экономичности. Редкие производственные факторы должны расходоваться максимально бережно, тогда как избыточные производственные факторы могут применяться более широко. Так как в развивающихся странах капитал является редким, а труд избыточным, необходимо выбирать трудоемкие технологии. Но это означает, что методы, которые были развиты промышленными державами под давлением высокой реальной зарплаты, не соответствуют уровню развивающихся стран. Следовательно, развивающиеся страны должны или применять устаревшую технику или ограничивать себя такими производственными отраслями, которые являются трудоемкими (к ним относится, например, производство одежды).
В конечном счете при выборе инвестиционных проектов необходимо в максимальной степени учитывать проблемы развивающихся стран. Поэтому новая производственная деятельность должна иметь характеристики, которые можно обобщить примерно следующим образом.
Желаемые признаки производственной деятельности:
¦ Высокая трудоемкость.
¦ Высокая степень обратных и прямых связей.
¦ Использование собственных производственных факторов.
¦ Простые производственные методы, которые учитывают квалификацию населения и не требуют перманентной помощи из-за границы («приспособленные технологии»).
¦ Производство должно концентрироваться на основных потребностях людей: продовольствие, одежда, жилье.
¦ Необходимо экономить скудные запасы иностранной валюты, постепенно заменяя импорт собственным производством.
¦ Для сдерживания оттока населения из сельских местностей и чрезмерно сильного роста больших городов с их невообразимыми трущобами инвестиции должны направляться в сельские регионы.
Очевидно, что развитие сельского хозяйства и сельская индустриализация (эти два понятия, как будет видно ниже, отличаются) удовлетворяют многим из перечисленных выше требований. Данному выводу соответствует декларированная Мировым банком политика борьбы с бедностью, которая является предпосылкой «социально справедливого» и, таким образом, стабильного мирного развития.
6. Сельское хозяйство и сельская индустриализация
Предварительно нужно отметить, что развитие сельского хозяйства может быть только первым шагом экономического развития, но это — всего лишь шаг от голодной смерти к выживанию. Для борьбы с бедностью необходимо также развитие промыслов и ремесел — частный сектор создает рабочие места. Данным потенциалом обладает и сельская индустриализация.
6.1. Развитие сельского хозяйства
Развивающиеся страны имеют немалые возможности увеличения производства в сельском хозяйстве, однако не следует забывать и об ограничениях.
Посевы новых сортов кукурузы, риса и пшеницы, которые (в среднем на гектар) повышают урожайность в 2-5 раз, а также возможность сбора урожая в среднем два раза в год давали повод надеяться на решение проблемы голода в кратчайшие сроки (так называемая «зеленая революция»). Однако посадка «чудо-сортов» требовала расширения применения удобрений и орошения, которое предъявляет пока что чрезмерные требования к крестьянам (и имеет негативные экологические последствия). Кроме того, необходимо предоставление кредитов сельхозпроизводителям (наличие функционирующей системы аграрного кредита) и организация сбыта излишков продукции. При этом выгоды от такой деятельности должны доставаться непосредственным производителям, а не собственникам больших сельскохозяйственных угодий и не кредиторам (проблема распределения).
Возможности лучшего использования земли через орошения и удобрения пока не исчерпаны. Так, Япония использует больше искусственных удобрений, чем Индия, хотя ее посевные площади в 25 раз меньше.
Необходимы и другие производственные методы. Например, свободный выпас скота в регионах с низкой плотностью населения является экономичным, но не в Азии. По расчетам, если кормовым культурам отвести всего лишь 20 % посевной площади азиатских стран, полученная продукция позволит без каких-либо проблем отказаться от традиционного выпаса скота на пастбищах.
Однако все эти улучшения, которые мы здесь в отдельности не обсуждаем, имеют своей предпосылкой ряд структурных реформ. Существует необходимость в:
¦ земельной реформе, которая должна защищать арендаторов от эксплуатации;
¦ кредитовании внедрения новых производственных методов;
. ¦ создании системы «сельскохозяйственных консультаций», призванных доне
сти до крестьян возможности использования удобрений, орошения и борьбы с вредителями растений;
¦ создании организаций закупок, производства и сбыта;
¦ улучшении системы складирования, что расширяет возможности повышения экономичности производства;
¦ регулировании сбыта продуктов производства на рынке.
Вышеприведенный анализ показывает, что быстрому росту сельского хозяйства развивающихся стран препятствуют политические (необходимость земельной реформы), технические и финансовые проблемы. Исходными точками начала их решения видятся введение функционирующей ценовой системы и проведение институциональных реформ в государственной сфере.
6.2. Сельская индустриализация
Концепция сельской индустриализации — важная составная часть стратегии политики развития международных организаций и отдельных стран.
Цели этой концепции предполагают создание рабочих мест в сельских местностях, борьбу с запустением и повышение производства на мелких и средних предприятиях (МСП). Здесь речь идет о следующих типах фирм:
¦ предприятиях, которые перерабатывают сельскохозяйственные продукты, например молочные и мясокомбинаты, консервные фабрики, мукомольные фабрики, фабрики по переработке сахара, а также организации, занимающиеся выращиванием хлопка, добычей и переработкой древесины и т. д.;
¦ предприятиях, производящих средства производства, которые применяются в сельском хозяйстве, например корм, удобрения, мелкий сельскохозяйственный инвентарь (лопаты, грабли и т. д.), цемент, шифер, ящики, мешки, а также организации, занимающиеся разными видами ремонта;
¦ предприятиях, производящих потребительские блага, которые можно продавать на региональном рынке, например текстиль, обувь, одежда, хлебобулочные изделия, напитки, мыло, посуду и т. д. и опять-таки ремонтные организации.
Таким образом, был бы сделан первый шаг к включению сельского населения в процесс развития. Есть надежда, что таким образом данная категория граждан ознакомится с возможностями развития и постепенно будет повышена эффективность управления и во многих случаях улучшена политическая система. Таким образом, создастся основа для стабильного развития. Однако для реализации этих концепций необходима готовность государственных деятелей провести децентрализацию и деконцентрацию политической власти (включая обеспечение возможности распоряжаться на низших уровнях государственной иерархии собственными доходами).
7. Демографические проблемы
Насколько неопределенным и мало регулируемым является процесс развития, настолько очевидна невозможность достижения успеха в том случае, если развивающимся странам не удастся решить проблему увеличения численности населения. При темпе роста этого показателя в 2-3% население развивающихся стран будет удваиваться каждые 23-35 лет. Следовательно, производственный капитал также должен возрастать не менее чем в два раза каждые 30 лет — и только для того, чтобы сохранить текущий, весьма низкий уровень потребления! Отсюда следует важность действенного контроля над рождаемостью и планирования семьи. Но ввиду высокой социальной и экономической ценности детей в развивающихся странах (дети обеспечивают родителей в старости), понятно, насколько решаются подобные проблемы.
Если планирование семьи потерпит неудачу, можно надеется только на то, что эмпирическая закономерность, в соответствии с которой рост доходов на душу населения ведет к снижению рождаемости (в индустриальных государствах), в обозримом будущем повторится и в развивающихся странах.
8. Роль государства
О том, какую важную роль должно играть государство в процессе развития, уже упоминалось. Государство должно:
¦ создать стабильные основы для проявления частно-экономической инициативы (денежная система, правопорядок и т. д.);
¦ сформировать инфраструктуру;
¦ стимулировать образование сбережений;
¦ способствовать инвестициям и регулировать их;
¦ проводить политику регулирования рождаемости.
Сторонникам «чистой» рыночной экономики необходимо возразить, что возможно понимание рыночной экономики как цели и как средства экономической политики. Государство должно играть ключевую роль в преодолении общественных и институциональных препятствий роста, которые основаны на мотивации населения, на недостаточной частной рентабельности многих необходимых инфраструктурных инвестиций и на субъективной неопределенности дополняющих инвестиций. Но в начальной фазе экономического развития нам вряд ли удастся обойтись без регулирования в государственной сфере и поддержки экономической активности в частном секторе.
Нельзя забывать об опасности государственного планирования: коррумпированная, плохо образованная плановая бюрократия не может регулировать процесс развития лучше, чем «рынок».
Необходимо сделать акцент на том, что здесь речь идет не об общем выборе между социализмом и капитализмом, между рыночной экономикой и плановым хозяйством, а только о том, чтобы в период голода и несвободы во всем мире найти средства, которые быстрее всего помогут преодолеть эту ситуацию. Широко признано, что начало индустриализации связано со значительным вмешательством государства, как это и имело место в эпоху меркантилизма в Европе.
9. Мировой экономический порядок
Уже несколько лет развивающиеся страны критикуют существующий порядок мировой экономики. Они считают, что низкий уровень экономического развития многих государств обусловлен прошлыми и настоящими формами международного разделения труда, а следовательно, условиями обмена в рыночной экономике. Предъявляются и конкретные экономические требования, которые провозглашаются на собраниях различных органов ООН, например на Конференции объединенных наций по торговле и развитию, ЮНКТАД (UNCTAD — United Nations Conference on Trade and Development), и на съездах Всемирной торговой организации, ВТО (WTO — World Trade Organization), раньше называвшейся Генеральным соглашением о тарифах и торговле ГАТТ (GATT — General Agreement on Tariffs and Trade).
Обобщенно требования развивающихся стран могут быть представлены в следующих пунктах:
¦ увязывание цен на сырье (от которых зависит экспортная выручка развивающихся стран) с ценами на продукцию обрабатывающей промышленности;
¦ стабилизация экспортной выручки;
¦ повышение доли развивающихся стран в мировом промышленном производстве с современных 11 % до 25% в 2000 г. ,
По сути, эти требования нацелены на изменение результатов рыночного механизма распределения продукта мировой экономики, т. е. с проблемой перераспределения (которую мы обсуждали в рамках национальных экономик, см. гл. 26). Таким образом, речь идет о выборе между соответствующими и не адекватными рыночному механизму мерами. Очевидно, что результат распределения должен измениться, но сохранится ли рыночный механизм? В конечном счете речь идет о выборе между фиксацией цен (мерой, не соответствующей рыночному механизму) и дотациями и компенсационными платежами. Фиксация цен, которые не являются ценами равновесия и не отражают редкости, приведет к неправильному распределению редких производственных благ, а цены потеряют свою функцию регулирования. Развивающимся странам вряд ли стоит выходить на путь, по которому давно идет аграрный рынок ЕС (стабилизация доходов фермеров через фиксирование цен сельскохозяйственных продуктов).
9.1. Увязка цен на сырье с иенами на продукцию
обрабатывающей промышленности (индексация)
Большинство развивающихся стран ни в коей мере не удовлетворены реальными меновыми соотношениями (условиями торговли). Говоря более конкретно, развивающиеся страны получают все меньше искусственных удобрений, тракторов, машин и т. д. за экспортируемую тонну кофе, какао, меди, цинка и т. д. По расчетам Мирового банка, в последние годы реальные меновые соотношения претерпевали в разных государствах разнонаправленные изменения, причем в наиболее невыгодном положении оказались африканские страны с низкими доходами (см. табл. 30.2). Такая динамика обосновывает сильное стремление к переменам.
Прямая индексация цен имеет ряд недостатков. Главный из них состоит в том, что она весьма выгодна и экспортирующим сырье промышленным нациям (США, Россия). Одновременно бедные сырьем развивающиеся страны были бы обременены двойным образом: они должны были бы импортировать как дорогие промышленные продукты, так и дорогое сырье. По сравнению с индексацией цен дотации имеют то преимущество, что они могут быть целенаправленно предоставлены бедным развивающимся странам. •
9.2. Стабилизация экспортной выручки через «сырьевые соглашения»
Почти все развивающиеся страны страдают от недостатка иностранной валюты. Для очень многих из них более 50% заработанной иностранной валюты — результат экспорта зачастую одного единственного вида сырья (например, для Ганы — какао, для Уганды и Руанды — кофе, для Замбии — меди и т. д.). Принимая во внимание значительные колебания цен на такие продукты, становится ясно, насколько важны для многих стран стабилизация и повышение экспортной выручки. Их выигрыши и потери зависят от случайностей динамики цен на экспортируемые ими блага.
В соответствии с сырьевыми соглашениями должна предоставляться помощь. При этом создаются возможности:
¦ согласования цен между странами-поставщиками и странами-покупателями;
¦ создания фондов, которые скупали бы излишек предложения сырья и таким образом поддерживали цену, а при избыточном спросе продавали сырье со склада;
¦ согласования экспортных квот и таким образом ограничения предложения и стабилизации цен сырья на высоком уровне (один из основных принципов деятельности ОПЕК).
Способ функционирования таких соглашений иллюстрируется на примере Ломейских соглашений' I (1975), II (1979), III (1985) и IV (1 января 1990-28 февраля 1999), которые иногда называются Европейской моделью сглаживания неравенства между Севером и Югом. Интегральной составной частью этого соглашения является «Стабеке» — Система стабилизации выручки от экспорта сельскохозяйственных продуктов (STABEX). Ее можно сравнить, скорее всего, со страхованием неурожая. Система «Стабеке» применяется только тогда, когда выручка от экспорта одного продукта составляет как минимум 5% общей выручки экспорта определенной страны. Данная процентная ставка называется порогом зависимо* Ломё (Lome) — морской порт и столица Того, государства на западе Африки.
сти, являющимся основным условием для применения системы «Стабекс». Для наиболее слабо развитых, не имеющих прямого выхода к морю или являющихся островными государствами стран АКП порог зависимости снижается на 1 %. Второе условие, в соответствии с которым учитывался лишь экспорт в страны ЕС, было значительно смягчено после заключения IV Ломейского соглашения. В чем же состоят условия выплаты гарантийных платежей в системе «Стабекс»? Для каждого продукта и для каждой слаборазвитой страны АКТ ежегодно устанавливается критический уровень, который соответствует средней выручке от экспорта за
Таблица 30.2
Динамика торговли и условия торговли в 1965-1992 гг. (среднегодовое изменение в %) |
|
Группы стран и индикаторы |
1965-1990 гг. |
1980-1990 гг. |
1990 г. |
1991 г. |
1992 г. |
Страны с низким и средним доходом2
Объем импорта |
4,4 |
0,8 |
8,1 |
9,4 |
7,2 |
|
Объем экспорта |
3,1 |
3,9 |
4,7 |
8,0 |
5,8 |
|
Условия торговли |
1,3 |
-3,6 |
2,7 |
-3,6 |
-2,1 |
|
Африка южнее Сахары3 Объем импорта |
1,1 |
-4,1 |
2,6 |
2,4 |
3,2 |
|
Объем экспорта |
1,6 |
2,3 |
10,5 |
9,1 |
5,6 |
|
Условия торговли |
-0,7 |
-5,3 |
2,6 |
-11,9 |
-5,1 |
Азия
Объем импорта |
6,4 |
7,1 |
6,5 |
16,5 |
9,4 |
|
Объем экспорта |
7,9 |
9,7 |
8,3 |
13,1 |
11,2 |
|
Условия торговли |
-0,5 |
-1,6 |
-0,1 |
1,6 |
-2,8 |
|
Европа-Объем импорта |
4,1 |
2,5 |
2,4 |
-15,0 |
-0,8 |
|
Объем экспорта |
6,1 |
3,8 |
-2,5 |
-12,9 |
0,5 |
|
Условия торговли |
-1,7 |
0,5 |
-10,7 |
10,4 |
0,0 |
Ближний Восток и Северная Африка
Объем импорта |
7,1 |
-4,0 |
19,1 |
-0,3 |
8,1 |
|
Объем экспорта |
-0,5 |
-1,8 |
5,2 |
24,6 |
-2,1 |
|
Условия торговли |
5,7 |
-7,4 |
20,8 |
-17,0 |
-2,5 |
|
Латинская Америка и страны Карибского бассейна Объем импорта |
1,4 |
-2,5 |
10,2 |
15,4 |
11,7 |
|
Объем экспорта |
1,6 |
2,9 |
-2,9 |
5,0 |
5,6 |
|
Условия торговли |
0,8 |
-3,0 |
6,3 |
-6,2 |
-1,7 |
Справочно:
Объем мирового экспорта |
4,9 |
4,2 _ |
4,3 |
3,0 |
4,6 |
|
1 Оценка.
2 Без республик бывшего СССР.
3 Без ЮАР.
Примечание: Объем торговли вычислен в постоянных ценах и обменных курсах 1987 г.; условия торговли рассчитаны как соотношение между индексами цен экспорта и импорта.
последние шесть лет за вычетом двух лет с наиболее высокими положительными результатами. Затем разница между критическим уровнем и фактической выручкой от экспорта данного года снижается на 4,5% этого уровня (по наиболее слабо развитым государствам АКТ на 1%). Получающаяся сумма является суммой трансферта.
Другие характеристики системы «Стабекс» и направления применения
Количество конечных и побочных продуктов, на которые распространяется система, со временем увеличилось до 49, причем предусматривается возможность ее расширения. Большая часть важных для экономики государств АКТ аграрных продуктов (за исключением продуктов, регулируемых в рамках общей аграрной политики ЕС) уже включена в систему.
Государства АКТ могут представлять свои заявки на трансферты при сокращении выручки или от одной продуктовой группы, или от одного отдельного продукта.
Расчеты производятся в экю, чтобы избежать искажений вследствие обесценивания валют развивающихся государств. Функционирование системы улучшила и согласованная тесная кооперация при создании базы данных.
Предназначенные для системы стабилизации экспортных выручек финансовые средства вплоть до 1995 г. составляли 12 млрд экю. Если учесть длительность срока действия соглашения, возникает вопрос, хватит ли этих средств до ее окончания (при реализации III Ломейского соглашения возникла проблема недостаточности его фондов).
В качестве целей системы называют поддержку экономического развития слаборазвитых стран, стимулирование социального прогресса и увеличение покупательной способности населения. Для осуществления этих целей перечисленные средства должны поступать в тот сектор, на развитие которого были направлены трансферты, или же передаваться в другие важные для экономического и социального развития отрасли. По поводу использования трансферта и контроля за его применением между страной-получателем трансферта и комиссией заключается специальное соглашение, что должно улучшить реализацию системы.
Система стабилизации доходов горнодобывающей промышленности «Сисмин» (SYSMIN)
Начиная с I Ломейского соглашения система стабилизации выручки от экспорта гарантировала для стран, которые производят сельскохозяйственное сырье, более стабильные доходы и, таким образом, большую определенность как для их экономики, так и для их производителей. В то же время, страны, производящие продукты горнодобывающей промышленности (не учитывая железную руду, которая была включена в систему), должны были и дальше в одиночку бороться с такими народнохозяйственными проблемами, как значительные снижения цен и спады производства.
Из-за этого несоответствия страдали прежде всего страны АКТ — международные переговоры о стабилизации цен на сырье (например, цены на медь) до сих пор не принесли почти никаких положительных результатов.
Поскольку во время первых Ломейских переговоров не удалось решить проблему колебаний цен, эти страны искали возможность хотя бы уменьшить воздействие ценовых изменений и в общем сохранить свой потенциал в области горнодобывающей промышленности. С помощью системы, внедренной вместе с II Ломейским соглашением (и сохраняющейся до сих пор в улучшенной форме), должны быть достигнуты цели, напоминающие систему стабилизации экспортной выручки сельскохозяйственных продуктов. Однако из-за отличий в методах производства и сбыта минерального сырья их следует осуществлять иным путем.
Система стабилизации доходов горнодобывающей промышленности, коротко названная «Сисмин» (SYSM1N), на протяжении действия IV Ломейского соглашения обеспечена средствами в объеме 480 млн экю. Она применяется для таких важнейших экспортируемых бедными странами продуктов горнодобывающей промышленности, как медь, кобальт, фосфаты, марганец, боксит, алюминиевый оксид, олово, железная руда (зола серного колчедана и агломерированные железные руды), уран и золото.
Для системы стимулирования выпуска продуктов горнодобывающей промышленности существует порог зависимости (в объеме 15% для наиболее слаборазвитых стран АКП и 10% — для анклавов и островных стран), и порог спуска (в объеме 10%). Для стран, которые не достигли порога зависимости в объеме 15% по одному отдельному продукту, действует как исключение совокупная экспортная зависимость от продуктов горнодобывающей промышленности в объеме 20% (или 12% для наименее развитых стран). Таким образом, круг стран, имеющих право на трансферты (до сих пор такими странами были прежде всего Замбия и Заир), существенно расширился.
Система предполагает оказание помощи в случаях, когда какая-либо развивающаяся страна оказывается не в состоянии обновить или сохранить свое производственное оборудование и экспортные мощности обычным путем (здесь речь идет об основном капитале жизнеспособного и экономичного производства). Следовательно, должна возникнуть «помеха», которая имеет или локальные (например, катастрофы), или экономические (снижение цены) причины. Но она должна являться существенным ущербом, т. е. представлять собой уменьшение производственных и экспортных мощностей минимум на 10% и снижение соответствующей экспортной выручки тоже на 10%. В случае, когда имеют место оба условия, что устанавливается при обоюдном согласии ЕС и слаборазвитых стран АКТ, возникает право на финансовую помощь, которая предоставляется не в форме общего бюджетного трансферта, а как финансирование планов и программ, которые может предложить страна АКТ для устранения отрицательных воздействий «помех» горнодобывающей сферы на ее экономику. Финансовая помощь выплачивается в виде дотации, причем страна передает соответствующим предприятиям средства в качестве кредита. Обратный поток денег в виде обслуживания долга попадает в фонд, средства которого применяются для дальнейших проектов/программ.
Обобщая вышеприведенный анализ, можно назвать самые важные преимущества в системе стабилизации выручки:
¦ она не выводит из строя рыночный механизм, так как влияет не на мировые рыночные цены, а лишь на соответствующую экспортную выручку;
¦ она предоставляет целенаправленную помощь развивающимся странам и преимущественно самым бедным из них.
Но в принципе необходимо возвратиться к первоначальному вопросу: фиксирование цен или дотации? Если сырьевые соглашения (любого вида) не имеют ценности сами по себе, а являются лишь рычагом трансферта средств, необходимо помнить о том, что прямая помощь (дотации, кредиты) является более дешевой. Она связана с меньшими управленческими затратами и не способствует искажениям в размещении ресурсов.
9.3. Повышение доли в мировом промышленном производстве
Цель повышения доли развивающихся стран в мировом промышленном производстве с 11 до 25% представляется нам недостижимой, ибо предполагает осуществление грандиозных структурных преобразований.
Необходимо стремиться к повышению степени разделения труда, которое оказалось бы выгодным не только для развивающихся, но и для развитых стран. Однако краткосрочные проблемы, которых опасаются индустриальные нации (безработица), приводят к тому, что развивающиеся страны не получают должной поддержки.
Во всяком случае при этом необходимо устранить существующие торговые барьеры. Для продуктов развивающихся стран должны открыться рынки промышленных государств, должны быть расширены таможенные льготы, например со стороны стран ЕС, устранена «таможенная защита» производства полуфабрикатов и готовой продукции (тарифные торговые барьеры), необходимо снизить нагрузку на импорт сельскохозяйственной продукции. Кроме того, нужно обратить особое внимание на устранение нетарифных торговых барьеров (например, административных предписаний, лицензий на ввоз, технических стандартов и т. д.), протекционистское воздействие которых нередко превосходит влияние таможенных пошлин.
Как сторонники рыночной экономики и свободной торговли, индустриальные нации должны согласиться с устранением существующих торговых барьеров. Но пока промышленно развитые страны сконцентрировались на решении собственных проблем, и прежде всего проблем с безработицей.
10. Помошь развивающимся странам .
Предыдущие рассуждения позволяют нам сделать выводы о том, что:
¦ экономическое развитие предполагает наличие капитала,
¦ возможности развивающихся стран сформировать капитал собственными силами весьма ограничены.
В каком объеме необходимо предоставление помощи развивающимся странам? Мы имеем возможность ответить на этот вопрос, опираясь исключительно на нравственные установки. Выделяют следующие предельные точки зрения:
¦ каждая страна является «кузнецом своего счастья» и ответственна сама за себя;
¦ каждая страна является «кузнецом своего счастья», но необходимо наличие одинаковых стартовых возможностей;
¦ каждый человек на Земле, в какой бы стране он ни жил, имеет право на удовлетворение основных человеческих потребностей (питание, одежда, жилье и образование);
¦ все люди одинаковы, и все должны иметь одинаковое экономическое положение.
Официальные декларации, например Мирового банка, можно отнести, в сущности, к третьей точке зрения. Требуется, чтобы индустриальные нации предоставляли помощь развивающимся странам в объеме 1% своего валового национального продукта и из этой суммы 0,7% шли на общественную помощь — в форме безвозвратных дотаций, составляющих большую их часть (такова международная стратегия развития ООН).
Хотя резолюция ООН была одобрена многими индустриальными нациями, в том числе и Германией, выполняется она, как показывает табл. 30.1, лишь небольшим числом стран (Швецией, Норвегией, Данией). В 1993 г. совокупные чистые выплаты развивающимся странам и международным организациям, занимающимся их проблемами, составили $ 55,9 млрд.
Учитывая сложившуюся ситуацию, а также дальнейшую потерю интереса к помощи развивающимся странам, в особенности после демократизации восточноевропейских стран и возникновения в них высокой потребности в капитале, можно сказать следующее. Проблема содействия развивающимся странам состоит в конкретизации его целей и оказании помощи наиболее бедным из них. При этом важным аспектом является структура производства и институциональные формы ее регулирования: производство оружия и предметов роскоши или же основных видов продовольствия, и распределения частных благ? Следовательно, необходимо оказывать все более широкое влияние на решение таких вопросов, как что производить и для кого производить. И здесь при соблюдении принципов суверенитета наций основная ответственность лежит на самих развивающихся странах. Даже при доходе на душу населения в $ 500 удовлетворение основных потребностей возможно лишь при разумных производственной структуре и распределении благ. Большое значение имеет то обстоятельство, насколько хорошо государственная администрация выполняет свои функции (good governance).
Общая оценка действенности государственной помощи развивающимся странам практически невозможна. Как показывает табл. 30.3 объем трансфертов весьма существен. Определенные выгоды получают и развитые страны: выданные кредиты используются, например, для покупки у них промышленного оборудования. Для ФРГ обратный поток («норма» обратного потока) составляет 60 % общей суммы предоставленных средств. Кроме того, нельзя не учитывать, что иногда помощь может оказываться вредной, ибо она нередко парализует инициативу в странах-получателях или если (как, например, при поставке продовольствия) приводит к снижению цен сельскохозяйственных продуктов, в результате чего оказывается невыгодным собственное производство.
В конечном счете необходимо задуматься о более разумных принципах оказания помощи развивающимся странам, различных формах двустороннего и многостороннего сотрудничества: финансовое сотрудничество (предоставление кредитов и/ или дотаций); техническое сотрудничество (содействие в приобретении технических, экономических и организаторских навыков); персональное сотрудничество (образование и повышение квалификации, помощь в организации бизнеса) или в форме облегченных и улучшенных условий обмена (т. е. ответить на вопрос: Aid or Trade — помощь или торговля?).
С начала 1980-х гг. Мировой банк (часто в сотрудничестве с МВФ) в ряде развивающихся стран финансировал и проводил программы структурного приспособления (ПСП), ориентированные на устранение макроэкономических дисбалансов (дефициты платежного баланса и государственного бюджета). Такие программы основаны на политике в области экономического порядка, т. е. в стандартный перечень мероприятий входит введение рыночных элементов в производ-
Таблина 30.3
Двустороннее и многостороннее общественное сотрудничество при оказании помоши развивающимся странам странами-членами Комитета помощи по развитию (КПР) при ОЭСР (чистые выплаты, абсолютно и в % к ВНП)
|
Страна |
1980 г. |
1991 г. |
1992 г. |
1993 г. |
|
в $ млн |
в % ВНП |
в $ млн |
в % ВНП |
в $ млн |
в % ВНП |
в $ млн |
в % ВНП |
|
Австралия |
667 |
0,48 |
1050 |
0,38 |
973 |
0,35 |
953 |
0,35 |
|
Австрия |
178 |
0,23 |
547 |
0,34 |
556 |
0,30 |
544 |
0,30 |
|
Бельгия |
595 |
0,5 |
831 |
0,41 |
865 |
0,39 |
808 |
0,39 |
|
Канада |
1075 |
0,43 |
2604 |
0,45 |
2515 |
0,46 |
2374 |
0,45 |
|
Дания |
481 |
0,74 |
1200 |
0,96 |
1392 |
1,02 |
1340 |
1,04 |
|
Финляндия |
ПО |
0,22 |
930 |
0,78 |
644 |
0,62 |
355 |
0,46 |
|
Франция |
4162 |
0,63 |
7386 |
0,62 |
8270 |
0,63 |
7915 |
0,63 |
|
Германия |
3567 |
0,44 |
6890 |
0,40 |
7572 |
0,39 |
6 937 |
0,37 |
|
Ирландия |
30 |
0,16 |
72 |
0,19 |
69 |
0,16 |
81 |
0,20 |
|
Италия |
683 |
0,15 |
3347 |
0,30 |
4122 |
0,34 |
3043 |
0,31 |
|
Япония |
3353 |
0,32 |
10952 |
0,32 |
11151 |
0,30 |
11258 |
0,26 |
|
Нидерланды |
1630 |
0,97 |
2517 |
0,88 |
2753 |
0,86 |
2525 |
0,82 |
|
Новая Зеландия |
72 |
0,33 |
100 |
0,25 |
97 |
0,26 |
98 |
0,25 |
|
Норвегия |
486 |
0,87 |
1178 |
1,13 |
1273 |
1,16 |
1014 |
1,01 |
|
Швеция |
962 |
0,78 |
2116 |
0,90 |
2460 |
1,03 |
1769 |
0,98 |
|
Швейцария |
253 |
0,24 |
863 |
0,36 |
1139 |
0,46 |
793 |
0,33 |
|
Великобритания |
1854 |
0,35 |
3201 |
0,32 |
3217 |
0,31 |
2908 |
0,31 |
|
США |
7138 |
0,27 |
11262 |
0,20 |
11709 |
0,20 |
9721 |
0,15 |
Все страны-члены
КПР |
27296 |
0,37 |
58560 |
0,34 |
62633 |
0,34 |
55941 |
0,37 |
Источник: Bundesministerium fiir wirtschaftliche Zusammenarbeit. Journalisten-Handbuch Entwicklungspolitik. Bonn, 1995. S. 50. ' ственный процесс. Однако сильный упор на аллокативную эффективность часто приводит к конфликту с сильно социально-политически детерминированной системой целей развивающихся стран. Опыт реализации первого поколения ПСП показал, что их необходимо сопровождать программами, смягчающими социальные последствия структурного приспособления.
Важными областями реформ являются следующие:
¦ Реформа общественных финансов с целью восстановления сбалансированности государственного бюджета (налоговая реформа, как, например, введение налога на добавленную стоимость, реформа налоговой службы, реформа государственных служб и сокращение занятого там персонала, уменьшение государственных расходов и т. д.).
¦ Реформа государственных предприятий, которые могли покрывать свой дефицит из государственного бюджета и имели лишь одну цель деятельности — поддержание занятости. Оздоровление, приватизация и ликвидация государственных предприятий приводят к росту открытой безработицы. Объектами реформ являются также банки.
¦ В сельском хозяйстве вводятся ценовые системы, соответствующие принципам рыночной экономики и отменяются дотации на сельскохозяйственные средства производства, посевы, удобрения и т. д.
¦ Изменяется ценовой контроль и стимулируются инвестиции частных предприятий.
¦ Во внешнеэкономической сфере осуществляется девальвация отечественной валюты, которая сопровождается устранением торговых барьеров. Таможенные пошлины в количественном выражении меняются на ценностные (денежные).
В ряде стран, например в Гане, посредством ПСП достигнуты существенные результаты. Но их недостатком является относительно короткая продолжительность (примерно — три года), так что в большинстве случаев необходимо сразу после окончания предыдущих программ начинать новые. За такой короткий период экономику стран, функционировавших на основе плановой системы и бюрократического управления, трансформировать в рыночную нельзя, в силу сохранения . Препятствия для развития (см. раздел 2) часто сохраняются. К этому следует добавить, что программы часто связаны с определенными условиями для правительств стран-получателей. Еще один их недостаток — обязательство возврата полученных для ПСП кредитов. Существовавшая до сих пор ориентация ПСП исключает из сферы получения выгод от реализации данных программ большую часть населения, которое несет потери в виде резкого уменьшения реальных доходов. Приведет ли такая политика к устойчивому развитию соответствующих стран — покажет наступающее тысячелетие. Важным фактором достижения этой цели является не только всеохватывающая институциональная реформа государственной администрации, но и демократизация в общественнополитической сфере, которая должна сопровождать экономический процесс либерализации.
Список основных понятий
¦ Принцип экономичности
¦ Трудоемкие технологии
¦ Политика борьбы с бедностью
¦ «Зеленая революция»
¦ Порог зависимости
¦ Мировой экономический порядок
¦ Критический уровень
¦ Проблема колебаний цен
¦ Порог зависимости
¦ Таможенные льготы
¦ Нетарифные торговые барьеры
¦ Основные потребности
¦ Программа структурного приспособления
¦ Индекс человеческого развития
¦ Дуализм (в региональном и техническом развитии)
¦ «Наименее развитые страны»
¦ Индекс прироста физического качества жизни
¦ Порочный круг бедности
¦ Меркантилизм
¦ Демонстративное потребление
¦ «Продовольствие за работу»
¦ Стратегия неравновесного экономического роста
¦ Обратная связь
¦ Прямая связь
повторения.
ШррШНіІІІІ
и. '
1) Объясните следующие термины:
¦ порочный цикл бедности;
¦ неравновесный экономический рост; дуализм.
2) Какие признаки позволяют отнести ту или иную страну к категории развивающихся?
3) Почему невозможно продолжительное экономическое развитие без образования капитала?
4) Какие возможности увеличения сбережений имеют в своем распоряжении
развивающиеся страны? .
5) Какие критерии нужно применять при оценке альтернативных инвестиционных проектов в развивающихся странах?
6) Какие задачи, по вашему мнению, должно принимать на себя в процессе развития государство?
7) «Зависимость развивающихся стран от промышленных наций в рамках существующего международного разделения труда является единственной причиной слаборазвитости этих стран». Выскажите свое мнение об этом тезисе.
8) Какие требования по изменению мирового экономического порядка выдвигаются развивающимися странами?
9) Какие проблемы создаются при предоставлении гарантий по ценам на сырье и сельскохозяйственные продукты?
10) Опишите главные элементы системы стабилизации экспортной выручки от сельскохозяйственных продуктов «Стабекс».
Г. " 1 ‘ Литература
¦ Рекомендуем первый переводной американский учебник по экономической теории развивающихся стран:
Тодаро М. И. Экономическое развитие. М., 1997.
¦ Большой фактологический материал и доступное его изложение можно найти в 5-м разделе следующей книги:
Ломакин В. К. Мировая экономика. М., 1998.
¦ Трудности в сфере стимулирования экономического роста развивающихся стран рассматриваются в отдельных главах известных учебников: -
Макконнелл К. Р. Брю С. Л. Экономикс. Принципы, проблемы, политика. М., 1992.
Самуэльсон Л. А. Нордхаус В. Д. Экономика. М., 1997. Гл. 36.
Экономический порядок (Wirtsckaftsordnung) — термин, предложенный немецким экономистом Вальтером Ойкеном (1891-1950).
Оппортунистическое поведение — термин, употребляемый в новой институциональной теории. Такое поведение означает преследование личных интересов с использованием коварства (т. е. с нарушением соответствующих «правил игры»).
судно = 5 танкам = 8 кранам = 133,3 станка = 200 машинам.
Ответ на вопрос «что производить?» предполагает упорядочение значимости потребностей. Для определения конечной структуры выпуска помимо расчета издержек следует оценить также полезность благ. Иначе говоря, необходимо принять во внимание, насколько выгодны для общества 1 автомобиль, 1 кран или 1 танк. Если
Цены начинают выполнять аллокационную функцию.
Данный тезис касается только малых восточноевропейских стран, а не России. Россия имеет конкурентоспособные конечные товары, нефть и другие ресурсы.
Данные на душу населения в текущих ценах; старые федеральные земли Германии = = 100; удельные издержки на зарплату равны валовому доходу наемных работников (за исключением нерезидентов) в процентах от номинального национального продукта.
Какое максимальное количество потребительских благ (наборы потребительских благ) домохозяйство может купить на свои доходы?
2) Как определяется и описывается порядок, в котором домохозяйство ранжирует альтернативные наборы потребительских благ?
3) Как на основе предпочтений домохозяйства определить наилучший набор потребительских благ?
Ранжирование предпочтений показывает,-каким образом домохозяйство упорядочивает различные наборы благ.
К этим требованиям относятся: полнота (полная упорядоченность) — домохозяйство может сравнить все наборы потребительских благ; ненасыщенность — то, что домохозяйство всегда предпочтет «больший» набор; непротиворечивость (транзитивность) — если домохозяйство 2-му набору благ предпочитает 1-й набор и 2-му набору 3-й набор благ, то оно должно и 1-му набору благ предпочесть 3-й набор благ.
Это видно на рис. 4.10 в точке А. Каждый набор благ, находящийся в квадрантах I и III (включая оси координат), должен (так как содержит или больше, или меньше одного блага, чем набор, отмеченный точкой А) в глазах домохозяйства быть лучше или хуже, чем набор благ, отмеченный точкой А. Значит, равноценный набор благ может находиться только в квадрантах II или IV (без оси). А отсюда следует, что кривая безразличия является монотонно убывающей.
Это означает, что предельный продукт (в случае с удобрением см. табл. 5.1) для любого количества удобрения увеличился бы, если бы обрабатываемый земельный участок был немного больше. На рис. 5.2 изображена аналогичная взаимосвязь между капиталоотдачей и техническим прогрессом.
Названные условия достаточны, но не являются необходимыми для обоснования строго выпуклой формы изокванты. Мы не имеем возможности детально рассмотреть здесь данный аспект.
Таким образом, понятия средних издержек и удельных издержек различаются отдельными нюансами. Удельные издержки представляют собой средние издержки, приходящиеся на одну денежную единицу национального внутреннего продукта.
При неизменных предельных издержках, когда они ниже цены, производитель картофеля будет предлагать столько, сколько позволят его производственные мощности (пока рыночная цена покрывает средние издержки); при растущих предельных издержках кривая предельных издержек является его кривой предложения (графиком функции предложения) (см. главу 5).
Объясните следующие понятия:
Монополия
Олигополия
Совершенная конкуренция Неявная конкуренция Администрируемые цены
2) Как изменяются доходы увеличивающих (уменьшающих) объем предложения продавцов при неэластичном спросе?
3) Почему в свободной рыночной экономике для крестьян хороший урожай часто менее привлекателен, чем неурожай? Сформулируйте условия, при которых это утверждение будет правильным.
4) Объясните понятие равновесия доминирующих стратегий. Покажите, в каком случае такое равновесие окажется не оптимальным.
5) Почему при монополистической конкуренции возникает возможность контроля фирмы над ценой товара?
Монопольная комиссия была создана в 1973 г. для того, чтобы каждые два года проводить экспертизу состояния концентрации предприятий и ее развития в ближайшем будущем с точки зрения политики конкуренции, а также чтобы применять правила о запрете злоупотребления рыночной силой и о контроле за слиянием. Комиссия должна также обнародовать необходимые изменения закона против ограничения конкуренции. Все пять членов этой комиссии назначаются по рекомендации Федерального правительства федеральным президентом на срок четыре года. Ежегодно из комиссии выбывает один член. До сих пор Монопольная комиссия провела И «главных» экспертиз — (Hauptgutachten) (последнюю — в 1996 г.) и несколько «особых* экспертиз (Sondergutachten).
См.: Городецкий А., Павленко Ю., Френкель А. Демонополизация и развитие конкуренции в российской экономике //Вопросы экономики. 1995. № 11. С. 51—52.
В соответствии с советским законодательством предприятием считалась хозяйственная организация на самостоятельном балансе.
«Монтанный договор» (Montanvertrag) — договор стран-членов ЕС, регламентирующий государственное регулирование угольной и сталелитейной промышленности.
Определите следующие термины:
¦ картель,
¦ объединение предприятий,
¦ привязка цены,
¦ привязка эксклюзивности,
¦ «узкая» или «зрелая» олигополия.
2) В каком смысле можно говорить о ЗОКе как о «Конституции экономического порядка»?
3) Объясните концепцию конкуренции оптимальной интенсивности. Приведите примеры.
4) Обсудите значение для конкуренции свободного доступа к рынку.
5) Какие особые проблемы политики конкуренции создаются при «узкой» монополии?
6) Почему картельное ведомство Германии почти прекратило свою работу по преследованию ценовых злоупотреблений?
В тексте книги каждая из этих сфер представлена в виде одного (консолидированного) счета. В других учебниках при более дезагрегированном представлении результатов экономической деятельности описываются отдельно счет производства, счет образования доходов, счет распределения доходов, счет перераспределения доходов, счет использования доходов, а также счет изменения имущества и счет кредитования. Следует также учесть, что в американских переводных учебниках по экономике национальное счетоводство рассматривается гораздо более упрощенно, чем в настоящей книге (в них отсутствует раздельное описание названных национальных счетов).
В российских условиях сюда следует отнести достаточно большое производство в подсобных хозяйствах и на дачных участках.
Частное потребление продукции отечественного производства
Валовые инвестиции (вложения средств в отечественное производство)
самостоятельное строительство продажи предприятиям
В СНС России, по версии ООН 1993 г., этот счет представлен в виде двух счетов — распределения первичных доходов и вторичного распределения доходов. Первый из этих счетов аналогичен обобщенному счету, за тем исключением, что в нем отсутствуют статьи, отражающие значения текущих трансфертов (переданных «остальному миру» и полученных от него), а также располагаемый доход, вместо которого приводятся величины валового национального дохода. В счете вторичного распределения доходов национальный доход преобразуется в располагаемый доход посредством включения указанных текущих трансфертов.
К сектору предприятий в ФРГ относятся также государственные предприятия; к государственному сектору причислены государственные органы различных уровней (федерального, земельного и муниципального), а также органы социального страхования.
Перед воссоединением Германии.
s Включая частные организации некоммерческого характера.
Федеральное статистическое ведомство, придерживаясь Международной конвенции, уже в течение нескольких лет ориентируется на расчет валового внутреннего продукта (ВВП). Поэтому вместо Y
b мы используем здесь ВВП.
галопирующей инфляцией.
Согласно принципам, принятым в статистике России и США, отрасли, связанные с энерго- и водоснабжением, а также горнодобывающая промышленность входят не во вторичный, а в первичный сектор.
В Федеральном статистическом ведомстве ФРГ разрабатывается система отчетности об окружающей среде (СООС) для СНС. Связь с пользователями базой данных этой системы обеспечивается банком данных об окружающей среде, носящем название «СООС-информационная система» (по-немецки — UGRIS).
Речь идет о том, что безработный имеет право отказаться от предложенной работы (при сохранении страховых выплат по безработице), если она значительно ниже его квалификации или расположена очень далеко от его места жительства.
Здесь речь идет о предложенном К. Поппером принципе фальсификации. См. Popper, Karl Raimund: Logik der Forschung, Wien, 1935. S. 12-13.
Другими объяснениями независимости от процентной ставки инвестиций являются издержки приспособления и/или временные задержки при приспособлении запасов капитала.
Данная идея основывается на предположении о том, что работники полностью не распознают повышение уровня цен. Это связано с тем, что они подвергаются «денежной иллюзии*.
Если предложение труда при падающей реальной зарплате снижается, можно прийти к выводу, что при Р < Р* предложение благ сокращается. Этот вывод основывается на том, что в данном случае предложение труда ограничивает производство. Но вывод этот правилен лишь тогда, когда и после достижения полной занятости исходят из того, что номинальная ставка зарплаты при повышении уровня цен остается неизменной. В противоположность этому анализ конкурентного рынка показывает, что после достижения полной занятости при повышательной гибкости ставки номинальной зарплаты рост уровня цен через рыночный механизм привел бы к повышению указанной ставки в той же степени. Таким образом, реальная зарплата, уровень занятости и предложение благ остаются неизменными.
Строго говоря, при падающей предельной производительности труда смещение кривой предложения благ не является параллельным (эта кривая поворачивается вниз и вправо в своей фиктивной точке пересечения с осью абсцисс).
Иногда говорят также о «портфельном» вытеснении.
На рынке труда, на котором вследствие фиксирования номинальной ставки зарплаты существует избыток предложения, а значит, вынужденная безработица, речь о равновесии может идти лишь в том методологическом смысле, что экономика при отсутствии экономической политики находится в инерционном («неподвижном») состоянии.
В отличие от гл. 12 номинальный спрос на деньги здесь обозначается как L, а реальный спрос на деньги — какЬ/Р. ,
Почему в условиях неравновесных рынков невозможно выполнить основывающиеся только на ценах экономические планы?
2) Что показывает гипотеза двойного решения?
3) Какие эффекты прямой и обратной связи создаются в экономике, состоящей из одного рынка благ и одного рынка труда, если в условиях равновесия при полной занятости уменьшается спрос? (При ответе на вопрос используйте допущения теории рационирования.)
Налог на сумму зарплаты с 1 января 1980 г. отменен.
Разница в объеме — примерно 3 % (в 1990 г.) — объясняется неназванными налогами (налог на приобретение земельных участков, налог с ипподромов и лотерей, вексельный налог, налог на страхование, налог на оборот капитала, налог на сахар, налог на кофе и т. д.).
В 1994 г. — включая новые федеральные земли.
Источник: Statistisches Jahrbuch (разные годы); Monatsberichte der Deutschen Bundesbank. 1995. Marz, S. 55,
Немецкий экономист и финансист (1835-1917), главный представитель катедер-социа-лизма. В противоположность строгому экономическому либерализму катедер-социалисты выступали за государственную социальную политику как социальные реформаторы.
Объясните следующие термины:
¦ налоги;
¦ налоговая ставка;
1 С началом 1 января 1994 г. второй ступени Европейского экономического и валютного союза получение кредита государственными учреждениями от Центрального банка запрещено.
И в России в 1996 г. в Государственной думе наблюдались попытки заставить правительство и Центральный банк многократно увеличить денежную базу посредством печатного станка.
проблему обслуживания государственного долга и уменьшения его бремени.
гражданам, выезжающим за пределы РФ;
¦ компенсационные выплаты неработающим трудоспособным лицам, ухаживающим за нетрудоспособными людьми;
¦ выплату ритуальных пособий;
¦ оказание материальной помощи престарелым и нетрудоспособным гражданам органами социальной защиты.
В общем случае выплаты пенсии по старости начинаются по достижении мужчинами 60 лет при общем трудовом стаже не менее 25 лет, женщинами — 55 лет при общем трудовом стаже не менее 20 лет. В то же время предусмотрено снижение пенсионного возраста для лиц, работавших в особо трудных и/или опасных условиях. Так, для людей, постоянно трудившихся не менее 15 лет спасателями в профессиональных аварийно-спасательных службах, участвовавших в ликвидации чрезвычайных ситуаций, пенсия назначается начиная с 40-летнего возраста. .
Законодательно (ст. 36, 62 и 68 Закона «О государственных пенсиях в Российской Федерации») установлен следующий порядок начисления пенсии по старости.
Размеры пенсии в первую очередь зависят от среднего заработка обратившегося за пенсией. При этом по его желанию в расчет могут приниматься последние 24 месяца работы или 60 месяцев непрерывной трудовой деятельности в любой ее период. Средний заработок за эти периоды определяется как арифметическая средняя величина.
2) Вторым фактором, влияющим на размеры пенсии, является коэффициент соотношения зарплаты и пенсии. В общем случае он равен 0,55. Иными словами, пенсия составляет 55 % среднего заработка. Кроме того, величина пенсии повышается на 1 % заработка за каждый год общего трудового стажа, проработанный сверх стажа, требуемого для получения пенсии. При этом размеры пенсии не могут превышать 75 % заработка.
В России предоставляются также пенсии по инвалидности, по случаю потери кормильца и социальные пенсии. Пенсионное страхование является обязательным социальным страхованием наемных работников и учащихся на случай старости или инвалидности. Большая численность застрахованных (в 1995 г. — 37,2 млн человек5) показывает, что обязательное пенсионное страхование имеет, как и в ФРГ, характер общенародного страхования.
1 Численность пенсионеров, состоящих на учете в органах социальной защиты, см.: Россия в цифрах. М., 1996. С. 58.
В России подобная организация называется Федеральной биржей труда: это название неправильно, так как она занимается не только посредничеством в купле-продаже труда, но и выполняет различные социальные функции в сфере занятости рабочей силы.
ных случаев и профессиональных заболеваний.
В соответствии со ст. 1 Закона обязательное социальное страхование от несчастных случаев на производстве и профессиональных заболеваний на производстве является видом социального страхования и предполагает:
а) обеспечение социальной защиты застрахованным и заинтересованности субъектов страхования в снижении профессионального риска;
б) возмещение вреда, причиненного жизни и здоровью застрахованного при исполнении им обязанностей по трудовому договору, путем предоставления всех необходимых видов обеспечения по страхованию;
в) обеспечение предупредительных мер по сокращению производственного травматизма и профессиональных заболеваний.
В ст. 5 Закона перечислен круг лиц, подлежащих обязательному социальному страхованию от несчастных случаев на производстве и профессиональных заболеваний. К ним относятся:
¦ физические лица, выполняющие работу на основании трудового договора (контракта), заключенного со страхователем;
¦ физические лица, осужденные к лишению свободы и привлекаемые к труду страхователем; ,
¦ физические лица, выполняющие работу на основании гражданско-правового договора (подлежат обязательному социальному страхованию от несчастных случаев на производстве и профессиональных заболеваний, если в соответствии с указанным договором страхователь обязан выплачивать страховщику страховые взносы).
Обеспечение по страхованию в соответствии со ст. 8 осуществляется:
в виде пособия по временной нетрудоспособности, назначаемого в связи со страховым случаем и выплачиваемого за счет средств на обязательное социальное страхование от несчастных случаев на производстве и профессиональных заболеваний;
в виде страховых выплат: единовременной страховой выплаты застрахованному либо лицам, имеющим право на получение такой выплаты в случае его смерти; ежемесячных страховых выплат застрахованному либо лицам, имеющим право на получение таких выплат в случае его смерти;
в виде оплаты дополнительных расходов, связанных с повреждением здоровья заст- , рахованного, на его медицинскую, социальную и профессиональную реабилитацию.
В соответствии со ст. 10 Закона единовременные и ежемесячные страховые выплаты назначаются и выплачиваются застрахованному, если результатом наступления страхового случая по заключению медико-социальной экспертизы стала утрата им профессиональной трудоспособности, и его родственникам — если результатом поступления страхового случая стала смерть застрахованного.
В соответствии со ст. 20 Закона средства обязательного социального страхования от несчастных случаев формируются за счет:
1) обязательных страховых взносов страхователей;
2) взыскиваемых штрафов и пени;
3) капитализированных платежей, поступивших в случае ликвидации страхователей;
иных поступлений, не противоречащих законодательству РФ.
Во всех остальных федеральных землях для того, чтобы компенсировать расходы работодателей на страхование, один из праздничных дней был превращен в рабочий.
Синонимом термина «антициклическая политика» является термин «конъюнктурная политика», который иногда употребляется нами.
Не путать с политикой доходов.
одна из целей рыночных реформ в’. РФ в 1990-е гг. было достижение сбалансированности государственного бюджета. Но, как уже отмечалось, необходимым условием осуществления антициклического типа фискальной политики (который считается нормальной и обычной формой ее проведения) является именно отказ от выполнения указанной цели. Иными словами, манипулирование налогами и государственными расходами в современной России преследует цель не стабилизации экономической конъюнктуры, а уменьшения (и в конечном счете устранения) бюджетного дефицита.
Но бюджетный дефицит (дефицит'консолидированного бюджета РФ) не был ликвидирован, а лишь уменьшен с более чем 10 % ВВП в 1994 гг. до 3-4% в 1995-1996 гг. Причина фиаско состоит в том, что уменьшение государственных расходов и рост налоговых ставок вели к дальнейшему сокращению совокупного спроса, что в целом, естественно, усложняло достижение указанной цели.
То есть налог взимается и отчисляется в налоговую службу уже там, где имеет место факт налогообложения, — при возникновении доходов наемных работников.
'То есть в периоды спада сумма дополнительных налогов возвращалась налогоплательщикам.
'Является ли эта экономия налогов окончательной (т. е. не придется ли сэкономленные налоги позже полностью заплатить) — зависит (при прогрессивном подоходном налоге) от временного распределения прибыли: если прибыль вначале высокая, затем низкая, в этом случае предприниматель избегает окончательного налога. Ведь его большая прибыль из-за высоких амортизационных отчислений не окажется таковой и не будет облагаться повышенной (из-за прогрессивности налогообложения) ставкой. Если не происходит окончательной экономии налогов (что в большинстве случаев является нормальным явлением, так как повышенные амортизационные отчисления допускаются во время рецессии, т. е. при низкой прибыли), то в этом случае предприятие просто получает практически беспроцентный кредит из-за того, что уплата налогов происходит позже.
Федерация и федеральные земли до 1994 г. по закону о Бундесбанке были обязаны держать свои ликвидные средства у Центрального банка. В определенном объеме (который в ФРГ весьма ограничен) Бундесбанк служил также источником финансирования для государства. Для удовлетворения краткосрочных потребностей в деньгах Бундесбанк мог предоставлять до 1994 г. федерации и федеральным землям в определенном объеме так называемые кассовые кредиты (федерации — до 6 млрд немецких марок, территориальным федеральным землям — до 40 немецких марок на душу населения, федеральным землям-городам — до 80 немецких марок на душу населения). Когда началась подготовка к созданию Европейского Центрального банка, предоставление кредита было отменено.
устойчивости национальной валюты — рубля;
¦ осуществление эмиссии наличных денег и организация их обращения;
¦ выполнение функции кредитора последней инстанции для частных кредитных учреждений;
¦ осуществление надзора за деятельностью частных кредитных организаций;
¦ анализ и прогнозирование состояния экономики России в целом и ее регионов в частности.
Таким образом, можно сделать вывод, что по целому комплексу основных функций ЦБ РФ напоминает Бундесбанк и центральные банки других стран с рыночной экономикой. Источник:
Здесь данный термин имеет иной смысл, чем в главах 11-13, где он означает рынок, на котором не банки предъявляют спрос на наличйость и на вклады до востребования, предлагаемые банковской системой (Центральным банком и коммерческими банками).
Определите следующие термины:
¦ деньги,
¦ денежная масса,
¦ минимальные резервы,
¦ бумаги денежного рынка.
¦ Детальнейшее описание сущности, функций и видов денег содержится в следующем фундаментальном издании:
Харрис Л. Денежная теория. М., 1990.
¦ Подробный анализ институциональных аспектов деятельности банковской системы на основе опыта США можно найти в книге:
Долан Э. Дж., Кэмпбелл К. Д., Кэмпбелл Р. Дж. Деньги, банковское дело и денежно-кредитная политика. СПб., 1996.
¦ Краткий экскурс в историю монет и банкнот вы найдете в Приложениях 2 и 3 следующей книги (упомянутой в главе 1):
Современная экономика / Под ред. О. Ю. Мамедова. Ростов-на-Дону, 1995.
¦ Справочным пособием по кредитной системе России, предназначенным в первую очередь для хозяйственных руководителей, является:
Банковское дело: Справочное пособие / Под ред. Ю. А. Бабичевой. М., 1994.
¦ Можно также порекомендовать книгу, посвященную актуальным аспектам, связанным с созданием и развитием системы коммерческих банков в России:
Молчанов А. В. Коммерческий банк в современной России: теория и практика. М„
¦ Рекомендуем также учебник, содержащий довольно детальный анализ различных финансово-кредитных аспектов:
Финансы. Денежное обращение. Кредит / Под ред. Л. А. Дробозиной. М„ 1997.
Приобретение кредитных требований Центральным банком привело к эмиссии денег ЦБ в объеме 70 единиц. Это произошло бы и в том случае, если бы ЦБ предоставил кредит в банкнотах. Как и при операции (2), прямого увеличения денежной массы не происходит. .
Что является общим в этих операциях? Во всех случаях ЦБ приобретает имущество (девизы, ценные бумаги) или предоставляет кредит, осуществляя платеж или предоставляя созданные им деньги Центрального банка. Данное обстоятельство можно обобщить следующим образом.
Создание денег Центральным банком происходит тогда, когда он приобретает имущество (активы) у других экономических субъектов или предоставляет кредиты, осуществляя платеж или предоставляя обязательства, представляющие собой деньги (банкноты или срочные вклады в ЦБ).
Напротив, создания денег Центрального банка не происходит, если ЦБ печатает банкноты и хранит их в сейфах: технический процесс печатания денег и введение денег в обращение — сугубо различные процессы!
Что же касается операции изъятия денег ЦБ из обращения, то необходимость в специальных примерах отсутствует: достаточно представить себе вышеописанную покупку девизов и ценных бумаг Центральным банком как продажу, а предоставление кредита как его возврат.
На практике (в ФРГ) оборот переводов между «однотипными» банками, например между сбербанками или между кооперативными банками, производятся центральными институтами банков (центром жирооборота или центральной кассой). Переводы осуществляются из активов банков-членов, находящихся в центральных кассах. Эти вклады в центральных кассах отдельного банка практически выполняют функцию денег Центрального банка.
На такое упорядочение существенно влияет текущий обменный курс между долларом и немецкой маркой, так как доли в мировом экспорте рассчитываются в $.
С марта 1990 г. данные включают оборот товаров и услуг новых федеральных земель. Отклонения имеют место вследствие округления.
-’Без «дополнения к товарному обороту».
Источник: Monatsberichte der Deutschen Bundesbank; собственные расчеты.
Раньше — страны с государственной торговлей.
Алжир, Габон, Индонезия, Ирак, Иран, Катар, Кувейт, Ливия, Нигерия, Саудовская Аравия, Венесуэла и Объединенные Арабские Эмираты.
Гонконг, Сингапур, Южная Корея и Тайвань.
Источник: lnstitut der deutschen Wirtschaft. Zahlen zur wirtschafllichen Entwicklung der Bundesrepublik Deutschland. 1994.
Россия. Энциклопедический словарь. Л., 1991. С. 327-332.
В страны (из стран) дальнего зарубежья, т. е. без стран СНГ. Источник: Российский статистический ежегодник. М., 1997. С. 581,
Другие формы вмешательства, такие как субсидирование экспорта или государственные внешнеторговые монополии, здесь не рассматриваются.
Удорожание и обесценение валюты, происходящие административно в рамках системы фиксированных обменных курсов, называют (соответственно) ревальвацией и девальвацией (см., например, главу 22, раздел 2.2).
В результате увеличения спроса могла бы повыситься и цена в долларах; но мы предполагаем некоторую жесткость цен, которую можно часто наблюдать на олигополистических рынках или при абсолютно эластичном предложении благ (горизонтальная кривая предложения).
Аэробус (Airbus) — «воздушный автобус» типа воздушного судна, который производится совместно несколькими западноевропейскими странами по долгосрочным контрактам и ценам, выраженным в долларах.
Объясните следующие термины:
¦ валютный курс;
¦ удорожание и обесценение валюты;
¦ условия торговли.
2) Объясните теорему Хекшера—Олина о соотношении цен факторов.
3) Объясните суть теоремы сравнительных преимуществ Рикардо.
4) Почему международная торговля позволяет более полно использовать преимущества экономии от масштаба?
5) Существует мнение, что международная торговля способствует обострению конкуренции. Но в процессе европейской интеграции имеет место, скорее, концентрация, национальные предприятия вытесняются многонациональными предприятиями. Нет ли здесь противоречия?
Иногда валютный рынок называют платежным балансом в рыночном смысле. При этом речь идет об ожидаемом (ex ante) платежном балансе в противоположность платежному балансу в статистическом (ex post) смысле (см. гл. 10).
Если это не оговаривается особо, в дальнейшем под обменным курсом мы будем понимать номинальный обменный курс.
¦ заключение срочных валютных сделок позволяет избежать курсовых рисков. Если, например, мы хотим купить доллары, которые нам понадобятся через три месяца и будущий курс которых нам не известен, то сегодня мы можем купить их для поставки через три месяца по цене, фиксированной уже сегодня. Однако при этом остаются издержки минимизации курсовых рисков (издержки страхования от валютных рисков) и издержки приобретения информации. Кроме того, срочных рынков для долгосрочных контрактов не существует;
¦ эмпирических доказательств того, что плавающие обменные курсы препятствуют международной торговле, не существует.
Мы не можем не учитывать опасность значительных колебаний валютного курса, оказывающих сильное влияние на занятость в экспортных отраслях.
(в) И, наконец, существует мнение, что плавающие обменные курсы способствуют инфляции. Этот аргумент справедлив в том смысле, что при плавающих валютных курсах каждая страна может сохранять наиболее приемлемые для нее темпы инфляции (если она принимает порождаемое этим обесценивание
Объясните следующие термины:
¦ избыток платежного баланса, дефицит платежного баланса;
¦ валютные резервы, международная ликвидность;
Россия вступила в нее 6 января 1992 г.
He смешивать с квотами (на импорт) — инструментами внешнеторговой политики (см. главу 20, раздел 4).
См.: Bank fur internationalen Zahlungsausgleich BIZ, 46. Jahresbericht. 1994. Juni.
Понятия девальвации и ревальвации определены в главе 20 (раздел 5.1).
Текст договора напечатан в информационном бюллетене немецкого Федерального правительства 12 февраля 1992 г.
Меры в области экономической политики__
¦ Пересмотр и дополнение мероприятий, проведенных в фазе 1, в следующих областях:
— внутреннего рынка, политики конкуренции, структурной и региональной политики в рамках Сообщества.
¦ Увеличение объема средств, выделяемых на структурные преобразования и инвестиции в исследования и инфраструктуру.
¦ Интенсификация начатой в фазе 1 координации макроэкономических политик:
Среднесрочное общее планирование по ключевым экономическим целям.
Разработка методов надзора, контроля и корректировки экономического развития.
Меры в области валютной политики
¦ Фиксирование обменных курсов в ЕВС, не подлежащее корректировкам.
¦ Единая денежная и валютная политика через ЕСЦБ.
¦ Объединение национальных валютных резервов в ЕСЦБ; ответственность за интервенции на валютном рынке закрепляется только за Советом ЕСЦБ.
¦ Окончательный переход к единой валюте Сообщества._
Источник: Jahresgutachten des Sachverstandigenrates. 1989/90. S.40.
1 июня 1998 г. был создан Европейский центральный банк и 1 января 1999 г. (после завершения работы над этой книгой) был образован Валютный союз. Таким образом стартовала третья ступень европейской валютной интеграции. В Валютный союз вошли следующие 11 европейских стран (в скобках после каждой страны указан курс ее национальной валюты относительно единой европейской валюты — «евро»): Бельгия (40,3399 за 1 евро), Германия (1,95583), Испания (166,386), Франция (6,55957), Ирландия (0,787564), Италия (1936,27), Люксембург (40,3399), Нидерланды (2,20371), Австрия (13,7603), Португалия (200,482), Финляндия (5,94573). До конца 2001 г. предусмотрено введение в обращение «евро»-купюр, и к 30 июня 2002 г. — завершение валютной интеграции с изъятием из обращения национальных валют.
В связи с трансформацией ЕЭС в ЕС создаются терминологические проблемы. В историческом контексте мы используем термины ЕЭС или ЕС (Европейское Сообщество) в свое время чаще всего употреблявшиеся, иначе — ЕС (Европейский Союз). Старый Договор о ЕЭС (ДЕЭС) был превращен в Договор о ЕС (ДЕС). ЕС (Европейское Сообщество) существует и как часть ЕС (Европейского Союза); ЕЭС (Европейского Экономического Сообщества) уже не существует.
Это правило должно стать обязательным для разных стран в разное время: для государств-членов с ВНП на душу населения меньше чем 90% среднего ВНП Сообщества это правило действует с 1995 г., для других стран оно вступает в силу с 1999 г.
По сути являющийся налогом на добавленную стоимость, этот налог официально называется налогом с оборота. Здесь оба термина используются как синонимы.
Процентное изменение удельных издержек на зарплату можно точно определить, умножив процентное повышение ставки зарплаты (относительно старой ставки зарплаты) на соотношение старой и новой производительности, а затем уменьшив полученное значение на процентное увеличение производительности (относительно новой производительности). Так как возникающие отклонения минимальны, в дальнейшем мы будем исходить из более простой формулы, приведенной выше.
На основе методики, показанной в предыдущей сноске, получаем точное значение ставки процента — 3,77%: 10 ¦ 100 = 3,77%.
В этой простой модели мы абстрагируемся от того, что предприниматели и лица свободных профессий также получают доходы от труда.
По поводу исчисления этой доли см.: Sachverstandigenrat zur Begutachtung der gesamt-wirtschaftlichen Entwicklung, Gutachten 1990/91. Stuttgart, 1990. S. 84ff. u. S. ЗШ.
Изложение основано на материалах, взятых из публикации: Экономика труда и социально-трудовые отношения / Отв. ред. Г. Г. Меликьян и Р. П. Колосова. М., 1996.
См.: Engels W., Sablotny Н., Zickler D., Das Volksvermogen. Seine Verteilungs- und sozialpolitische Bedeutung, Frankfurt/M. 1974. S. 93ff.
Cm.: Mirheim H., Wicke L. Die personelle Vermogensverteilung. Tubingen, 1978. S. 264.
Сберегательные вклады, строительные накопительные вклады, запасы ценных бумаг и прочее денежное имущество (краткосрочные срочные вклады, берлинские ссуды и т.д.).
Без учета домашних хозяйств иностранцев, домашних хозяйств с месячным чистым доходом в объеме 25 тыс. немецких марок и больше и без учета лиц, проживающих в интернатах, общежитиях и т.д.
Рис. 26.3. Распределение валового денежного имущества домохозяйств ФРГ
в 1983 и 1988 гг.
Источник: Euler М. Die Geldvermogen privater Haushalte in der Bundesrepublik im Jahre 1988. Sparkasse H. 4/1991. S. 158.
Для супругов, подающих совместную декларацию доходов, свободная (необлагаемая) сумма составляла 140 тыс. немецких марок и для каждого ребенка дополнительные 70 тыс. немецких марок.
На основе решения Федерального конституционного суда от 31 декабря 1996 г. налог на имущество был отменен.
Sachverstandigenrat zur Begutachtung der gesamtwirtschftlichen Entwicklung / / Jahre-sgutachten. 1972. S. 162. Однако некоторые экономисты не разделяют мнения Совета экспертов о том, что на участие в прибыли, которое не затрагивает финансовые средства предприятий, предназначенные для самофинансирования, предприниматели обязательно должны реагировать повышением цен.
Производственный потенциал обозначен в виде некоего интервала — поскольку его нельзя точно измерить.
Для ФРГ капиталоемкость в настоящее время составляет примерно 2,8. См.: Zahlen zur wirtschaftlichen Entwicklung der Bundesrepublik Deutschland 1995. Institut der Deutschen Wirtschaft. 1996.
Формулу акселератора можно вывести из определения капиталоемкости:
_ запас капитала ~ национальный доход’
из этого следует:
запас капитала = к х национальный доход; отсюда: изменение запаса капитала = к х изменение национального дохода,
т. е. I = к х ДУ.
Таким образом, капиталоемкость преобразуется в акселератор.
Фромм Э. Иметь или быть? / Пер. с англ. М., 1990. С. 330.
Giersch Н. Konjunktur- und Wachstumspolitik. Wiesbaden, 1977. S. 171.
Начало этого процесса имеет место и в России после перестройки.
Однако повышение роли сферы услуг нельзя считать однозначно положительным явлением. Дело в том, что во многом оно было достигнуто за счет бурного развития финансового сектора, который в условиях планового хозяйства был крайне отсталым, ведь социалистическое производство отрицает активную роль денег и финансов как регуляторов экономической жизни и управляется согласно централизованному плану (см. гл. 3).
? Чистые налоги Ш Услуги И Товары
Рис. 28а. Динамика структуры ВВП России Источник: составлено по табл. 28а. '
' Иксион — древнегреческий царь, которого Зевс обрек вечно крутить колесо.
Медоуз Д. X., Медоуз Д. Л. и др. Пределы роста: Доклад по проекту Римского клуба «Сложное положение человечества». М., 1991.
GLOBAL 2000. DerBericht an den Prasidenten, Frankfurt/М. 1980 '
Страны АКТ — страны Африки, Карибского бассейна и Тихоокеанского региона.
Экономика: Знания - Циклы - Макроэкономика