ТЕМА 15. ГОСУДАРСТВЕННЫЙ СЕКТОР В ЭКОНОМИКЕ


Цель изучения темы состоит в том, чтобы узнать:
  • в чем сущность рыночной экономики (капитализма) и плановой экономики (социализма);
  • в чем состоят институциональные различия систем;
  • почему необходимы как рыночные, так и плановые (командные) начала в реальной и эффективной экономической системе;
  • каковы главные исторические тенденции в развитии экономических систем.
Уже из введения к этому учебнику мы знаем, что любое общество для решения проблем Что? Как? и Для кого? должно добровольно выбрать экономическую систему. Все виды экономических систем всегда находились в интервале между двумя крайними их видами: одна из них обеспечивала свободу личности и мотивы для ее стремления удовлетворить ее собственные интересы; другая система основана на том, что в ней ключевую роль в организации и осуществлении экономической деятельности играют коллективные ценности.
В реальной действительности страны современного мира выбирают и то и другое, но только в им одним присущей пропорции. Эти пропорции складываются под влиянием многих факторов, среди которых главными являются исторические, географические и этнокультурные факторы. Любая экономическая система это совокупность институциональных механизмов. Что такое институциональный механизм?
В целом это способы, правила, благодаря которым при повторяющихся, совпадающих условиях происходит взаимодействие различных социальных групп, т. е. индивидуумов, семей, производственных коллективов, политических партий и движений и др. Это взаимодействие должно быть повторяющимся, чтобы мы точно знали, что можно ожидать от других, т. е. могли прогнозировать их действия. Иначе говоря, институции это правила игры, которые определяют права и обязанности участников.
Главными из институциональных механизмов являются законодательство, мораль, привычки, национальные обычаи, структуры властей. Все они становятся кодексами правил игры. Процедуры похорон институционализируют те способы, которыми мы должны выражать скорбь по умершим.
Вы сами можете привести много примеров институционализации поведения людей путем создания правил игры.
Одной из главных экономических институций, отобранных в ходе сотен лет эволюционного развития человечества, является саморегулирующийся рынок, на котором рыночные сигналы (цены) привлекают или отталкивают потребителей и производителей. Симметрично этой институции возник общественный сектор (в России мы часто называем его государственным сектором), который организуется на основе других, нерыночных, правил игры.
В ходе развития экономических систем институциональные механизмы изменяются. При этом становятся иными не только экономические, но и неэкономические институциональные механизмы. Эти изменения являются реакцией на меняющиеся обстоятельства.
Ярким примером таких обстоятельств становится сам принцип ограниченности ресурсов, которыми мы располагаем в данный момент.
Сердцевиной сравнительного анализа экономических систем является изучение институциональной структуры любого из типов экономики и того, как в этих структурах действуют принципы, вытекающие из неизбежной ограниченности ресурсов и необходимости решения проблемы выбора. Следует сразу сказать, что в последние годы интерес к сравнительному анализу экономических систем вырос во многом благодаря не лучшим побуждениям некоторых ученых и политиков. В некоторых западных экономических учебниках научный сравнительный анализ оказался замененным на ироническую критику, а иногда и на злорадное высмеивание социалистической системы. Это, конечно, не осталось без ответа в бывших социалистических странах, где появилось немало национал-социалистических псевдоконцепций, морализаторских и агрессивных лозунгов.
Тот, кто действительно хочет постигнуть экономическую науку, должен следовать не логике исторических приговоров (их выносит только История), а логике строго научного анализа, который позволяет нам делать научные выводы, а не судить народы и страны.
§ 154. КАПИТАЛИЗМ В ТЕОРИИ И НА ПРАКТИКЕ Чистая теория капитализма включает, прежде всего, институциональную составляющую. Начнем с того, что капитал и капитализм не только разные понятия, но они не обязательно соотносятся друг с другом. Капитал воспроизводимые предметы, которые мы не потребляем, а используем для производства благ. Одна и та же вещь может быть и не быть капиталом.
Велосипед у девчонки предмет для развлечений. Велосипед у почтальона капитал. Чтение «Трех мушкетеров» прекрасный досуг для мальчишки.
Чтение «Основ экономических знаний» создание человеческого капитала. Капитализм не отличается наличием капитала. Капитала было много и в Советском Союзе.
Капитализм как экономическая система отличается от других систем своими институциями. При капитализме индивидуумы, в одиночку или группами, владеют в качестве частных собственников факторами производства и правом использовать их в соответствии с их собственным выбором. Частная собственность одна из экономических институций капитализма. При капитализме частная собственность одно из важнейших прав, сферу и природу которого должно признавать правительство. Правительство должно защищать это право по требованию собственника.
Это право относится не только к какому-то имуществу, как, например, дом, земля, оборудование, мастерская, фабрика. Существуют различные объекты собственности. Один из них, например, патент, который дает особые права его собственнику в отношении открытия, изобретения.
Право частной собственности выполняет очень важную функцию стимулирует накопление и сохранение богатства, в том числе в форме физического капитала. В основе этого лежит процесс личных и корпоративных сбережений. Такой процесс вряд ли осуществится в серьезных масштабах, если индивидуумы и корпорации не будут мотивированы имущественными правами.
Имеется критическая связь между частной собственностью и накоплением на основе права наследования частной собственности. Это право еще одна институция капитализма. Оно является механизмом накопления богатства, мотивирует каждого на накопление ради своих детей и детей своих детей. Результаты действия этого права видны буквально во всех так называемых капиталистических странах: прекрасные дороги к каждому сельскому дому, десятки миллионов коттеджей, все более изысканные интерьеры личных коттеджей, несколько автомобилей, телевизоров, видеосистем на семью, превращенные в личные музеи фамильные склепы на кладбищах и т. д. и т. п. Результаты длительного отсутствия этого права также во всем видны в России: сельские дома без удобств, «хрущобы» в городских кварталах, стандартизованная до унылости обстановка неудобных и маленьких квартир, почти полное отсутствие каких-либо коллекций, предметов старины у массового домашнего хозяйства и т. д.
Конечно, право частной собственности и право наследования не являются безграничными. Власти контролируют и ограничивают их в согласованных пределах. Собственника коттеджа и земельного участка в Вашингтоне могут заставить продать и то и другое, если этот участок оказался выделенным под строительство общественного здания или станции метро.
Но это будет сделано с выгодой для владельца и с учетом его требований, а не просто отнято или куплено за бесценок.
Следствием концепции права частной собственности является еще одна институция капитализма свобода предпринимательства, право свободного выбора экономической деятельности, в которой будут задействованы ресурсы данного человека или группы людей. Человек лучший судья своим интересам, и его решение должно ограничиваться лишь рамками законных видов деятельности. Человек старается максимизировать полезность, удовлетворение от своего выбора.
Стремясь к максимизации своей выгоды, он создает условия для роста богатства во всем обществе.
Конкурентные рынки еще одна институция капитализма. Именно через них, через взаимодействие товарных и факторных рынков осуществляется эффективное перераспределение ограниченных ресурсов общества. Мы уже знаем, что важной институцией капитализма являются власти, государство. Они охраняют права людей, социальные ценности общества, предотвращают другие институции от саморазрушения.
Власти, государство, вмешиваясь в экономику, никогда не сохраняют некий общественный нейтралитет. Заставляя соблюдать природоохранные законы, они жестко ограничивают производителей, заставляя их нести бремя существенных дополнительных расходов.
Конкурентные факторные рынки сами определяют цены на факторы производства и, следовательно, доходы владельцев факторов, т. е. определяют структуру распределения доходов в обществе. Эта институция часто служила и все еще служит объектом критики. Есть немало политиков и ученых, говорящих, что до того, как факторные рынки стали справедливо распределять доходы людей, существовало несправедливое распределение самих факторов.
Кому-то досталась земля, кому-то капитал, а кому-то только труд. Когда-то, возможно, было и так. Но возвращать историю распределения вспять так же бессмысленно и опасно, как сегодня включать Египет и Грецию в состав Италии только потому, что когда-то они входили в Римскую империю.

Американский импорт из Японии падает.


Величина спроса на них начинает падать, оптовики сокращают новые заказы и, напротив, увеличивают продажи американских телевизоров. Американский импорт из Японии падает. В Японии в это время покупатели начинают реагировать на то, что за американский компьютер надо платить меньше иен.
Американский экспорт в Японию растет. Теперь наши рассуждения движутся из В в С на кривой J. Но проблемы с торговым дефицитом заканчиваются после прохождения точки С, т.е. на пути из С в D. Практически все страны покупают часть факторных ресурсов за рубежом. Теперь это делает и Россия, приобретая в других странах много элементов физического капитала и даже используя иностранных рабочих. Когда рубль обесценивается, то факторный импорт становится все дороже в рублевом измерении (как если бы выросли цены зарубежной продукции). В итоге российские фирмы начинают повышать цены на свою продукцию, покрывая растущие затраты. Когда рубль обесценивается и цены импортируемых факторных товаров растут, кривая совокупного предложения сдвигается влево, что ведет к росту общего ценового уровня в России.
Но удорожание рубля дает обратный результат, сдвигая в конечном счете кривую совокупного предложения вправо.
Таким образом, обесценение рубля, сдвигая влево кривую SRAS, ведет к росту инфляции. Следовательно, обесценение валюты является, по определению, инфляционным процессом, а удорожание валюты, сдвигая кривую SRAS вправо, процессом, понижающим инфляцию. В свою очередь, обесценение валюты ведет к росту совокупного спроса, так как при этом стимулируется экспорт. И наоборот.
Конечные макроэкономические результаты будут зависеть от того, какой из сдвигов совокупного спроса или совокупного предложения окажется более сильным. Практика многих стран показывает, что обычно колебания AD бывают сильнее. Поэтому можно сделать два вывода: 1) обесценение валюты повышает инфляцию, но чаще помогает росту реального ВНП; 2) удешевление валюты действует дефляционно, но чаще помогает рецессии.
Мы до сих пор мало внимания уделяли международному движению капиталов. Для ряда стран эта проблема имеет небольшое значение, но для других она велика. Например, для США она весьма велика, учитывая, что огромная часть международных потоков капитала означает куплю-продажу активов, стоимость которых установлена в долларах. Мы уже знаем, что важнейшими детерминантами изменений обменных курсов являются процентные ставки и потоки капиталов.
Если в данной стране процентные ставки растут, а в других не меняются, то увеличивается приток в эту страну капиталов, в результате чего ее валюта дорожает. А удорожание валюты сокращает чистый экспорт, снижает цены и совокупное производство. Следовательно, рост процентных ставок в конечном счете вызывает замедление экономического роста через удорожание валюты данной страны и сокращение ее чистого экспорта.
Снижение процентных ставок имеет прямо противоположный эффект.
§ 150. ФИСКАЛЬНАЯ И ДЕНЕЖНО-КРЕДИТНАЯ ПОЛИТИКА В ОТКРЫТОЙ ЭКОНОМИКЕ Теперь мы можем обсудить вопрос о том, как действует фискальная и денежно-кредитная политика, когда обменные курсы колеблются, а капитал перемещается через границы. Это дает нам представление о том, как мировая экономика воздействует на стабилизационные цели фискальной и денежно-кредитной политики.
При этом мы должны еще раз напомнить, что, во-первых, повышение процентных ставок притягивает в страну иностранный капитал и повышает обменный курс ее валюты (и наоборот) и, во-вторых, удорожание валюты снижает совокупный спрос и увеличивает совокупное предложение, а обесценение валюты ведет к обратным результатам.
А теперь допустим, что правительство снижает налоги или увеличивает расходы. Совокупный спрос растет, что увеличивает и реальный ВНП, и общий уровень цен. В закрытой экономике на этом бы все и закончилось.
Но в открытой экономике, где движутся международные потоки капиталов, необходимо учесть макроэкономический эффект от роста обменного курса. Мы сделаем это в два хода. Во-первых, нам нужно знать, почему вырос обменный курс. Из более ранних тем известно, что расширительная фискальная политика способствует повышению процентных ставок.
А при более высоких процентных ставках в данной стране ее ценные бумаги станут объектом притяжения для иностранных инвесторов. Последние для покупки этих бумаг предъявят спрос на валюту данной страны, что поднимет ее курс.
Во-вторых, когда курс валюты растет, то товары данной страны становятся более дорогими за рубежом, а иностранные товары становятся более дешевыми в этой стране. Поэтому ее экспорт падает, а импорт растет. Доля чистого экспорта в совокупных расходах страны снижается. Следовательно, такая фискальная политика (расширительная) увеличивает одновременно и положительное сальдо баланса движения капиталов (за счет привлечения в страну иностранных капиталов), и дефицит баланса текущих операций (за счет сокращения экспорта). Оба показателя должны вырасти на равные величины, так как в условиях плавающих курсов, по определению, всегда сумма отрицательного сальдо баланса текущих операций и положительного сальдо баланса движения капиталов должна быть равна нулю.
Кстати, этот вывод о том, что фискальное расширение ведет в конечном счете к подтягиванию торгового дефицита, подтверждает и история США в 80-е гг. Предпринятые правительством Р. Рейгана крупные меры но снижению налогов многими экономистами рассматриваются как «виновники» рекордных торговых дефицитов США.
Мы знаем, что ограничительная денежно-кредитная политика снижает совокупный спрос, что понижает и реальный ВНП, и общий ценовой уровень. Но она одновременно повышает процентные ставки. Поэтому «стесненные» деньги привлекают в страну иностранный капитал, перемещающийся в поисках более высоких процентных ставок.
В результате повышается валютный курс. Дорожающая валюта поощряет импортеров и тормозит экспорт, так что чистый экспорт снижается. В итоге, получая положительное сальдо баланса движения капиталов, страна увеличивает дефицит торгового баланса.
Общий вывод состоит в том, что международные потоки капитальных активов усиливают курс проводимой денежно-кредитной политики, но одновременно ослабляют фискальную политику. Оба фактора воздействуют на процентные ставки. Главным международным последствием фискального расширения или денежно-кредитного сжатия будет рост процентных ставок и валютных курсов, а следовательно, торможение чистого экспорта.
Но это означает, что первоначальное воздействие фискальной экспансии на совокупный спрос будет ослабляться, в то время как первоначальное воздействие денежно-кредитного сжатия усиливаться.
§ 151. СВЯЗЬ МЕЖДУ БЮДЖЕТНЫМ ДЕФИЦИТОМ И ТОРГОВЫМ ДЕФИЦИТОМ Вновь напомним условие равновесия для ВНП в открытой экономике:
Y = C + G + I + (X - M).
Поскольку ВНП может расходоваться, сберегаться и облагаться налогами, то
Y = С + S + Т.
Приравнивая оба выражения для Y, получаем:
С + I + G + (X - М) = С + S + Т.
Вычитая из обоих выражений С и перенеся члены, относящиеся к государству, в левую сторону уравнения, а члены, относящиеся к частному сектору, в правую, мы получаем взаимосвязь между бюджетным дефицитом и торговым дефицитом:
G - Т = (S - I) - (X - М).
То есть бюджетный дефицит G Т должен быть равен излишку сбережений над инвестициями (S I) плюс торговый дефицит (X М).
При плавающих валютных курсах любой дефицит или излишек баланса по текущим операциям должен балансироваться равными (и противоположными) излишками и дефицитами баланса движения капиталов. Таким образом, дефицит по текущим операциям, т. е. (X М), в последнем уравнении может быть заменен на положительное сальдо движения капиталов, чтобы получить:
(G Т) = (S I) + чистый приток капиталов.
Это последнее уравнение делает нашу доказательную цель очевидной. Если данная страна испытывает бюджетный дефицит, т.е. (G Т), то этот дефицит должен покрываться либо излишком сбережений над инвестициями, т. е. (S I), либо займами у иностранных кредиторов.
Торговый дефицит следует за бюджетным вследствие определенного экономического механизма. Чтобы привлечь в страну иностранный капитал (для покрытия бюджетного дефицита), принимающая страна должна предложить более высокие процентные ставки. По мере притока иностранного капитала стоимость местной валюты растет, что ведет к торговому дефициту.
Последнее из приведенных уравнений предполагает тесную взаимосвязь двух дефицитов.
Мы уже говорили о разных подходах к торговому дефициту. Один из них полагает, что такой дефицит является тревожным симптомом: нация расходует больше, чем она зарабатывает, и вынуждена эту разницу заимствовать за рубежом. Торговый дефицит зеркальное отражение потребности в притоке капитала. Этот приток создает долги, которые нация затем должна будет выплачивать.
Сегодня такая страна закладывает свое будущее, чтобы финансировать текущее потребление.
Есть и другая точка зрения. Она исходит из того, что иностранцы ввозят в данную страну капитал не потому, что она в этом нуждается, а потому, что им это выгодно. Торговый дефицит по-прежнему остается зеркальным отражением притока капитала.Но теперь он как бы свидетельствует о силе, а не о слабости данной страны.
И все-таки большинство экономистов придерживаются первой точки зрения.
Преодоление торгового дефицита зависит от причин, которые его порождают. Первый рецепт в данном случае состоит в изменении комбинации фискальной и денежной политики. Приведенное выше фундаментальное уравнение (G - Т = (S - I) - (X - М)) предполагает необходимость снижения бюджетного дефицита: снижение G и рост Г приведут к более низким реальным процентным ставкам, а обесценение валюты к уменьшению торгового дефицита.
Но увеличение налогов и снижение государственных расходов почти верный путь к рецессии. Чтобы этого не случилось, нужны компенсирующие меры со стороны денежной политики. Как и ограничительная фискальная политика, расширительная денежно-кредитная политика способна понижать процентные ставки, вести к обесценению местной валюты и, следовательно, сокращать торговый дефицит.
Другой путь давления на торговый дефицит увеличение национальных сбережений. При более высоких сбережениях можно финансировать более высокие расходы правительства и снизить иностранное заимствование, что приведет к более дешевой местной валюте и меньшему торговому дефициту. При этом, однако, возникает вопрос о том, как побудить население сберегать больше.
И, наконец, старый испытанный способ борьбы с торговым дефицитом протекционизм. Но даже если другие страны не примут против данной страны ответных жестких мер, ее тарифы и квоты не помогут ей улучшить свой торговый баланс. Если тарифы и квоты сокращают расходы граждан на импортную продукцию, они одновременно сокращают объем предложения местной валюты на мировом рынке. Это ведет к ее подорожанию, а следовательно, к торможению экспорта и вновь к поощрению импорта.
Приведенное фундаментальное уравнение опять показывает нам, что протекционизм может увеличить (X М) только в том случае, если будет сокращен бюджетный дефицит и увеличены национальные сбережения.
Ключевые слова и понятия

  • Бюджетный дефицит и торговый дефицит
  • Закрытая экономика
  • Кривая J
  • Открытая экономика G - Т = (S I) (X - М)
  • Чистый экспорт
ИТОГИ ИЗУЧЕНИЯ ТЕМЫ

  1. В мировой экономике все страны взаимосвязаны, так как цены и процентные ставки в одной стране воздействуют на цены и процентные ставки других стран. Вследствие того, что импорт одной страны является экспортом другой страны, быстрый или медленный экономический рост одной страны влияет на ускорение или замедление экономического роста в других странах.
  2. Чистый экспорт страны зависит от уровня ее цен по отношению к ценам в других странах. Обменные курсы транслируют цены страны А в валюты других стран, и потому обменный курс ключевая детерминанта чистого экспорта.
  3. Если валюта обесценивается, то растет экспорт данной страны и ее AD, а следовательно, одновременно растут реальный ВНП и ценовой уровень. Обратное случается при подорожании валюты.
  4. Вследствие лагов в мировой торговле движение чистого экспорта описывается J-образной кривой (т. е. торговый дефицит усиливается перед фазой его улучшения).
  5. Движение капиталов четко реагирует на межстрановые различия в процентных ставках. Поэтому более высокие процентные ставки в данной стране ведут к подорожанию ее валюты, а более низкие к ее обесценению.
  6. Ограничительная денежно-кредитная политика повышает процентные ставки и ведет к подорожанию валюты, что вместе снижает AD. Поэтому международное движение капиталов усиливает денежно-кредитную политику в открытых экономиках.
  7. Расширительная фискальная политика повышает процентные ставки и ведет к подорожанию валюты. Но международные последствия частично подрывают воздействие этой политики на AD. Поэтому международное движение капиталов ослабляет фискальную политику в открытых экономиках.
  8. Бюджетный дефицит и торговый дефицит взаимосвязаны фундаментальным уравнением
G - Т = (S - I) - (X - М).
Предполагается также, что бюджетный дефицит равен сумме (S I) плюс приток капиталов.




Баланс по товарам и услугам


Если Центральный банк России покупает рубли, то объем этих покупок измеряет отрицательное сальдо (дефицит) платежного баланса. Если он продает рубли, то объем его продаж определяет размер положительного сальдо (излишка) платежного баланса. Платежный баланс, вероятно, должен был бы измеряться таким образом, чтобы исключить официальные операции между правительствами. В ряде стран так и делают. Но во многих других при определении баланса в зачет идет вся сумма операций, включая операции правительств.
Платежный баланс, например, США официально записывается таким образом, что невозможно увидеть в этой записи намерения измерить дефицит или излишек.
Таблица 28-1. Платежный баланс США (в млрд долл.)

Баланс по текущим операциям
      1. Торговый баланс

    -96,2



        1. Экспорт



      +440,1

          1. Импорт



        -536,1

            1. Чистые издержки военных операций

          -2,8



              1. Расходы на путешествия и транспорт (чистые)

            +19,7



                1. Чистый доход от инвестиций и другие услуги

              +45,8



                  1. Баланс по товарам и услугам

                -33,5



                    1. Односторонние переводы (чистые)

                  -32,9



                      1. Частные


                    -14,5

                        1. Правительственные


                      -18,4

                          1. Баланс по текущим операциям

                        -66,4



                        Счет движения капиталов



                            1. Чистый приток частного капитала
                          +35,6



                              1. Изменения в американских зарубежных активах

                            -53,3

                                1. Изменение в иностранных активах в США

                              +88,9

                                  1. Чистый приток государственного капитала
                                +43,0



                                    1. Баланс движения капиталов
                                  +78,6



                                      1. Сумма средств, указанных в п. 11 и 16
                                    +12,2



                                        1. Статистическое расхождение
                                      -12,2




                                      Платежный баланс состоит из трех частей. Во-первых, это счет текущих операций, который, в свою очередь, включает: а) видимые статьи торгового баланса, т. е. экспорт и импорт товаров; б) невидимые статьи, т. е. 1) экспорт и импорт услуг типа услуг торгового судоходства, страховых услуг, туризма, банковских операций; 2) чистые процентные платежи (процентные платежи иностранцев минус процентные платежи иностранцам), чистая прибыль, чистые дивиденды; 3) частные и государственные трансферты. Знаки «плюс» или «минус» в табл.
                                      28-1 по каждой статье указывают, что данные операции дают либо приток (+), либо утечку (-) иностранной валюты. Статьи 13 представляют собой торговый баланс. В 1992 г. торговый дефицит уже выглядит весьма умеренным в сравнении с серединой 80-х гг., когда его устрашающие размеры вызвали вспышку протекционистских мер.
                                      Статья 4 указывает на чистый итог огромных долларовых затрат на содержание американских военных баз за рубежом, а также валютные доходы от продажи вооружений. Статья 5 показывает, что американские туристы и перевозчики потратили на 19,7 млрд долл. меньше на оплату иностранных услуг, чем иностранные туристы и перевозчики на оплату аналогичных американских услуг.
                                      Второй крупный раздел платежного баланса счет движения капиталов, который включает все потоки капиталов, классифицируемые по датам выплаты по используемым видам активов. Утечка внутренних капиталов (прямых или портфельных) записывается как дебет, т. е. как трансакции (сделки) с активами. Экспорт портфельного капитала включает все покупки гражданами данной страны (резидентами) титулов собственности у иностранцев таких, как акции, облигации, недвижимость.
                                      Приток иностранных капиталов (прямых или портфельных) записывается как кредит.
                                      Таким образом, по всему балансу нет уравновешивающих намерений, т. е. отдельные счета и все счета вместе не балансируются. Когда мы берем вместе статьи 11 и 16, мы получаем 12,2 млрд долл. излишка, что, конечно, невозможно, поскольку два главных счета должны балансироваться (количество купленных долларов должно быть равно количеству проданных долларов), разница рассматривается как статистическое расхождение. Львиная доля этого расхождения отражает неспособность правительства США полностью контролировать все потоки денег, товаров и услуг, идущие через границу США.
                                      § 148. ОБ ИСТОРИИ МИРОВОЙ ДЕНЕЖНОЙ СИСТЕМЫ Примеры существования полностью фиксированных обменных курсов относятся лишь к эпохе золотого стандарта (и то лишь в те короткие периоды, когда он функционировал в своей идеальной форме). Золотой стандарт международная денежная система, при которой валюты должны были свободно конвертироваться в золото по строго фиксированной цене.
                                      При золотом стандарте фиксированные обменные курсы поддерживались автоматическим механизмом, действовавшим на основе того, что все валюты были оценены в золоте (а некоторая часть валюты просто представляла собой золотые монеты). Когда страна испытывала дефицит платежного баланса, то это означало, что из нее золота уходит больше, чем приходит. Поскольку внутреннее предложение денег (денежная масса) базировалось на золоте, утечка золота к иностранцам означала, что количество денег автоматически снижалось.
                                      Это немедленно повышало процентные ставки и привлекало в страну иностранный капитал. В то же время возникшее ограничение денежной массы вело к рецессии, т. е. к снижению совокупного производства, а заодно и к снижению уровня цен. Это, в свою очередь, подрывало покупки импортной продукции, но стимулировало экспорт.
                                      Проблема платежного баланса быстро решалась сама по себе.
                                      При существовании золотого стандарта ни одна из стран не имела возможности эффективного контроля над своей внутренней денежно-кредитной политикой (а следовательно, не могла осуществлять и эффективное макроэкономическое регулирование вообще). В принципе, воздействие положительного сальдо платежного баланса на экономику было симметрично тому, которое оказывало появление дефицита платежного баланса. Через опережающий приток иностранного золота этот излишек вел к увеличению внутренней денежной массы независимо от того, нравилось это или не нравилось правительству.
                                      Такое увеличение поднимало цены и уровень совокупного производства, снижало экспорт и стимулировало импорт. Ставки процента понижались, подталкивая утечку капиталов за границу.
                                      В силу всех этих довольно быстрых автоматических приспособлений и корректировок дело редко доходило до необходимости девальваций или ревальвации национальной валюты. Пока страна строго придерживалась правил игры системы золотого стандарта, обменный курс ее валюты оставался фиксированным. Но, как уже отмечалось, сам механизм золотого стандарта существенно ограничивал макроэкономическое вмешательство государства. Другой проблемой, которую создавал золотой стандарт, была жесткая зависимость мировой торговли от прироста золотодобычи (от открытия новых месторождений).
                                      Открытие новых месторождений могло означать рост уровня цен в долгосрочном периоде и расширение реальной экономической деятельности стран в краткосрочном периоде через механизм расширения, описанный нами в теме о денежно-кредитной политике. В те периоды, когда предложение золота росло не в ногу с мировым производством, цены должны были снижаться долговременно, а занятость снижаться в краткосрочном плане.
                                      Система золотого стандарта долгое время испытывалась на прочность и, наконец, подверглась окончательному разрушению в драматические годы Великой депрессии (30-е гг.) и второй мировой войны. В конце Второй мировой войны в июле 1944 г. представители сорока четырех стран (включая представителя СССР) встретились в Бреттон-Вудсе (США) на конференции, в ходе которой подписали соглашение о создании Международного валютного фонда (МВФ). Целью конференции являлось создание стабильной денежной системы, которая позволяла бы успешное развитие мировой торговли.
                                      Поскольку в тот момент единственной «сильной» валютой в мире был американский доллар (к концу войны США сосредоточили в своих руках подавляющую часть мировых золотых резервов), именно он и был принят за основу новой мировой денежной системы. Бреттон-Вудские соглашения установили систему фиксированных обменных курсов, основанных не на золотом стандарте, а на свободной конвертируемости американского доллара (в отношениях не между гражданами или юридическими лицами, а в отношениях между центральными банками). США соглашались с тем, что они куплей-продажей золота будут поддерживать фиксированную цену тройской унции золота на уровне 35 долл., которая была установлена еще в 1933 г. президентом США Ф. Рузвельтом. Другие страны-участницы согласились с тем, что для поддержания обменных курсов своих валют на согласованных уровнях они будут осуществлять куплю-продажу американских долларов. То есть эти страны держали свои валютные резервы в долларах или в форме золотого запаса и имели право в любое время продать свой долларовый запас Федеральной резервной системе США в обмен на золото.
                                      Эта новая денежная система получила название Бреттон-Вудской или системы золотодевизного (золотовалютного) стандарта, основанной на резервных валютах и золоте (США).
                                      Созданный без участия в нем СССР МВФ был призван управлять Бреттон-Вудской системой. В основе управления лежал принцип фиксирования обменных курсов по отношению к доллару, который, в свою очередь, был привязан к золоту. В долгосрочном плане политика Федеральной резервной системы (ФРС) оказалась существенно ограничена обязательством выкупа «иностранных» долларов на золото.



                                      Базовая макроэкономическая модель


                                      Поэтому во вмешательстве государства в экономическую жизнь нет никакой необходимости. Классическая модель обеспечивала логическое обоснование политики государственного невмешательства (laissez-faire). Таким образом, классическая модель делила макроэкономику на два сектора: а) денежный (монетарный) сектор, который определял общий ценовой уровень, и б) реальный (неденежный) сектор, который определял реальный объем совокупного производства. Ценовой уровень мог меняться только в случае изменения денежной массы. Уровень реального совокупного производства мог меняться, если только менялись технический уровень производства либо количество и качество применяемых факторов производства.
                                      Поэтому классическая модель обеспечивает два прогноза, которые поддаются проверке (вспомните о существе позитивной экономической науки): 1) уровень цен пропорционален денежной массе; 2) экономика всегда функционирует на уровне потенциального национального дохода, который обеспечивает полную занятость ресурсов.
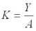
                                      В заключение вопроса о классической модели следует сказать об очень простой взаимосвязи между спросом на деньги и совокупным доходом, которая и послужила основой для уравнения обмена. Спрос на деньги зависит от номинального дохода:

                                      Базовая макроэкономическая модель

                                      где Md, спрос на деньги; К константа пропорциональности; PQ номинальный ВНП. Константа пропорциональности не должна быть равна единице, поскольку одна денежная единица за год успевает несколько раз купить товар или услугу. Для разных стран значение К различно.
                                      Например, для США в 80-е гг. оно было равно 1/6. Это означает, что величина спроса на деньги составляла 1 трлн долл. при номинальном ВНП в 6 трлн долл. Поскольку К является константой, то V (скорость обращения) также является константой:

                                      Базовая макроэкономическая модель

                                      Преобразовывая это равенство, мы и получаем уже рассматривавшееся классическое уравнение обмена: MV = PQ. В соответствии с классиками, V была константой по отношению к краткосрочным колебаниям в экономике. Уравнение обмена с предпосылкой о постоянной V является классическим отношением по поводу совокупного спроса.
                                      Ключевые слова и понятия

                                      • Автоматическая перестройка
                                      • Дефляционный разрыв
                                      • Закон Сэя
                                      • Инфляционный разрыв
                                      • Классическая количественная теория
                                      • Кривая долгосрочного совокупного предложения (LRAS)
                                      • Кривая краткосрочного совокупного предложения (SRAS)
                                      • Потенциальный национальный доход
                                      • Разрыв ВНП
                                      • Рецессионный разрыв
                                      • Совокупное предложение
                                      • Совокупное производство
                                      • Совокупный спрос
                                      • Совокупный уровень цен
                                      • Уравнение обмена
                                      ИТОГИ ИЗУЧЕНИЯ ТЕМЫ

                                          1. Базовая макроэкономическая модель описывает воздействие Y и Р, через которое выражается движение и взаимосвязь AD и SRAS. Кривая AD наклонена вниз из-за эффекта доходов и богатства, эффекта ставки процента и эффекта спроса на импортную продукцию. В краткосрочном периоде высока ценовая эластичность AS. В свою очередь, изменения AS слабо воздействуют на изменения Р, что является результатом негибкости цен на товарных и факторных рынках и ряда других аналогичных причин.
                                          2. Точка, где пересекаются кривые AD и SRAS, может находиться левее, правее и точно на кривой LRAS, которая отражает уровень потенциального производства национального дохода. Если Еsr располагается левее LRAS и кривой Yp, то экономика находится в состоянии рецессии (рецессионного разрыва). Если Еsr оказывается правее LRAS, то экономика сталкивается с инфляционным разрывом ВНП.
                                          3. Автоматическая перестройка экономики осуществляется в случае отклонения точки макроэкономического равновесия от кривой LRAS, с тем чтобы восстановить долгосрочное равновесие. Автоматическая перестройка обеспечивается в результате изменения зарплаты и товарных цен.
                                          4. Потенциальный реальный ВНП объем реальной совокупной продукции, производимой при полной занятости факторных ресурсов. Коэффициент (разрыв) ВНП соотношение фактического и потенциального ВНП, выраженное в процентах. Он указывает политикам макроэкономическую стабилизационную цель.
                                          5. В двухсекторной модели условием макроэкономического равновесия является отсутствие незапланированных инвестиций:
                                            Базовая макроэкономическая модель
                                            Фирмы обычно быстро реагируют на колебания I, стремясь как можно скорее восстановить равновесие планируемых и фактических инвестиций.
                                          6. Экономисты-классики полагали, что кривая совокупного предложения является вертикалью (т. е. только кривой LRAS, а кривая SRAS отсутствует вообще). Классическая модель взаимосвязь между спросом и предложением труда, а не конкурентная взаимосвязь между совокупным предложением и Р. Именно рынок труда устанавливает равновесную величину L, которая фиксирует совокупное предложение товаров и услуг. Совокупный спрос создается совокупным предложением и не воздействует на макрополитику. Налоговые изменения воздействуют не на спрос, а прямо на AS, стимулируя или подавляя экономическую деятельность.
                                          7. При изменении величины AD меняется только Р. Величина же АВ зависит от объема денежной массы. Отсюда открытие уравнения обмена (MV = PQ), которое является тождеством вследствие определения V. Отношение между М и ценовым уровнем определяет классическую количественную теорию денег. Классики считали, что V и Q являются константами. Они полагали, что V связана обычаями и институциональными механизмами, которые изменяются крайне медленно, а ВНП фиксирован имеющимися объемами факторных ресурсов и медленной динамикой технического уровня.
                                          8. Классики полагали, что относительные, факторные и продуктовые цены, ставки процента гибки и изменчивы; это позволяет экономике самой обеспечивать стабильный рост без вмешательства властей (государства). Равновесие S и I поддерживалось сдвигами ставки процента.




                                        Благо является общественным


                                        При одной цене эта сумма равна А. При более высокой цене она будет ниже А. То есть рыночный механизм заставляет людей определить эту сумму, а фирмы произвести товаров на нее. Но данный механизм работает только потому, что возможно исключение из потребления. Теперь представим себе, что индивид 1, если бы благо обеспечивалось рынком, при цене А купил бы его X1, единиц, а индивид 2 хотел бы получить X1 единиц этого блага за цену 1/2 А. Но благо является общественным, т. е. не конкурирующим в потреблении. Это значит, что его одновременно получают все. Следовательно, количество блага будет строго определенным.
                                        Если на каждого будет произведено X1 единиц, то и индивид 1, и индивид 2 получают по X1. Но если их будет произведено по X2 на каждого при цене 1/2 А за единицу, то каждый получит по X2 единиц.
                                        Чтобы определить рыночный спрос на общественные блага, мы должны не суммировать количества, а прибавить сумму, которую индивиды готовы платить за каждый потенциальный уровень производства этих благ. Если индивид 1 готов платить А, а индивид 2 готов платить 1/2 А за единицу X1, то общество, состоящее только из этих двух индивидов, готово платить А + 1/2 А за единицу при объеме, равном X1. За X2 они готовы платить 1/2 А + 1/2 А = А.
                                        Для частных благ рыночный спрос горизонтальная сумма индивидуальных кривых спроса, т. е. сумма различных количеств, которые потребляются индивидами. Для общественных благ рыночный спрос вертикальная сумма индивидуальных кривых спроса (мы складываем индивидуальные суммы, которые индивиды хотят заплатить за каждый уровень производства блага).
                                        Выдающийся американский экономист П. Самуэльсон полагает, что, если мы знаем, сколько общество хочет заплатить за общественное благо, нужно лишь сравнить эту сумму с затратами на производство. Пока общество (индивид 1 + индивид 2) готово платить больше МС, данное общественное благо следует производить. Ресурсы, отнятые от производства других благ, будут использованы только в том объеме, при котором население хочет получить данное количество общественных благ и платить за них.
                                        Тогда общество получает, по мнению Самуэльсона, оптимальный уровень обеспечения общественных благ.

                                        Благо является общественным

                                        15-2
                                        Но для производства оптимального количества каждого из общественных благ власти должны иметь информацию об индивидуальных предпочтениях. Однако, поскольку исключаемость из потребления отсутствует, индивиды не выявляют своих предпочтений. Их выявляет только рынок.
                                        Это противоречие остается нерешенным.
                                        Другой причиной несостоятельности рынка является то, что рыночное регулирование способно реализовать настолько глубокую дифференциацию богатства, что возникающая при этом проблема бедности становится неприемлемой в целом для общества. Если вновь представить, что общество состоит из двух индивидов (1 и 2) и каждый пытается максимизировать полезность, то на 15-2 представлены комбинации полезностей индивидов 1 и 2. Ось Х отражает полезность индивида 1, а ось У индивида 2. Любая точка внутри ОАЕ является эффективной, так как полезность обоих индивидов может быть улучшена. Но общество в целом предпочитает вместо точки С точки на самой кривой АЕ. Однако любая конкретная точка на АЕ дает конкретное соотношение полезностей для разных индивидов.
                                        Точка D отдает предпочтение индивиду 1, а точка В индивиду 2. Хотя все точки на АЕ эффективны и индивиды вместе предпочитают точку F точке А, но при этом любая точка на кривой АЕ не может быть равно желательной для 1 и 2. Рыночная система точно укажет лишь одну возможную точку на АЕ. Она будет зависеть от способностей того или иного индивида зарабатывать доход, от его наследственной факторной наделённости, умения, здоровья и т.д. Но рыночное решение всегда оставляет кого-то «за бортом». Что же делать с ними?
                                        Отдельный потребитель делает выбор на основе своей личной функции полезности, а общество делает выбор на основе социальной функции полезности, которая воплощает этику данного конкретного общества. Этот выбор различен для разных обществ, но все они учитывают проблему бедности и осуществляют программы помощи.
                                        Однако проблема бедности не так проста, как кажется. Бедность в Эфиопии и бедность в Швеции далеко не одно и то же. Поэтому во многих странах с полным учетом их конкретных особенностей определяют официальную черту бедности официально устанавливаемый уровень дохода, отличающий бедных от небедных.
                                        В США, например, этот уровень устанавливается в 3 раза выше официального минимального продовольственного бюджета. Вы сами можете сравнить официальные российские оценки такого бюджета (стоимость 19 продуктов) и минимальные уровни зарплаты и пенсии.
                                        Едва ли не главной функцией государства в XX в. стала функция социальной защиты населения. Все последние десятилетия эта функция укрепляется, обеспечивая все более эффективные технологии социальной поддержки населения, в том числе ветеранов, молодежи, многодетных семей и т. д.
                                        Наконец, еще одной причиной несостоятельности рынка и необходимости государственного вмешательства является циклический характер экономической динамики и необходимость макроэкономической стабилизации. Эта проблема подробнее освещается в темах о фискальной и денежно-кредитной политике.
                                        § 85. ОБЩЕСТВЕННЫЙ (СОЦИАЛЬНЫЙ) ВЫБОР Общество это множество индивидов, каждый из которых имеет свой набор предпочтений. Определение того, что следует считать предпочтениями общества в целом, нужно рассматривать как проблему общественного выбора.
                                        Эта проблема прямо связана с существованием правительства (властей), которое тоже состоит из индивидов (политиков и чиновников), имеющих свои собственные цели и предпочтения. Чтобы понять цели и действия правительства, нам нужно сначала понять те стимулы, с которыми сталкиваются политики и чиновники, а также сложности агрегирования предпочтений граждан в предпочтения общества.
                                        Принятый во всех демократических странах способ агрегирования предпочтений связан с механизмом голосования. Если бы все избиратели были единодушны, то это, бесспорно, вело бы к эффективным решениям. К сожалению, единодушия иногда трудно добиться среди двух человек и почти невозможно среди шести, ибо предпочтения каждого различны. Поэтому распространенным механизмом принятия решений является правило большинства.
                                        Хотя и в этом вопросе есть скептические мнения, выразившиеся в известной теореме Эрроу*. В соответствии с этой теоремой, названной теоремой невероятности (невозможности), ни одна система агрегирования индивидуальных предпочтений в социальные (общественные) решения не создает адекватных непроизвольных результатов.
                                        Экономисты любят приводить один известный пример, связанный с правилом голосующего большинства. Допустим, что, столкнувшись с необходимостью принять решение о будущем факультета, ректор университета предложил трем проректорам проголосовать следующий набор решений:

                                        Благо является общественным

                                        15-3
                                        а) увеличить число студентов и нанять дополнительный персонал;
                                        б) сохранить существующее число сотрудников и студентов;
                                        в) сократить персонал и число студентов.
                                        15-3 демонстрирует предпочтения этих трех проректоров. Проректор-1 (Пр.-1) выбирает стратегию роста. Он предает А в сравнении с Б и Б в сравнении с В. Проректор-2 (Пр.2) выбирает стабильность и предпочитает Б в сравнении с А и В. Только если стабильность разрушится, Пр.-2 выберет В. Проректор-3 (Пр.-3) выбирает радикальное изменении предпочитает В в сравнении с А и А в сравнении с Б. Таблица 15-1 суммирует результаты проректорского голосования. Как мы видим, после двух голосований А имеет предпочтение в сравнении с Б, а Б имеет предпочтение в сравнении с В. Вроде бы все идет правильно. Но вот после голосования третьего выбора оказывается, что Пр.-2 и Пр.-3 предпочитают B в сравнении с А. Теперь получается, что А побеждает Б, Б побеждает В, а В(!) побеждает А(?).
                                        Итог является абсолютно Парадоксальным.
                                        Таблица 15-1

                                        Голосование
                                        Пр.-1
                                        Пр.-2
                                        Пр.-3.
                                        Результат
                                        А против Б
                                        А
                                        Б
                                        А
                                        А выигрывает: А Б
                                        Б против В
                                        Б
                                        Б
                                        В
                                        Б выигрывает: Б В

                                        В против А
                                        А
                                        В
                                        В
                                        В выигрывает: В А


                                        Полученный в данном примере порядок голосования показал один из вариантов неадекватности и описан в теореме Эрроу. Он иллюстрирует тот факт, что любая система агрегирования индивидуальных предпочтений ведет к неадекватности. Но он иллюстрирует также и важность того, в чьих руках находится установление правил процедуры, в том числе порядка голосования вопросов. Если бы сначала голосовали выбор А и выбор В, то результаты были бы иными.
                                        Изменение порядка обеспечивает фабрикацию оценок. Опытные политики знают истинную огромную цену правил процедур и регламентов, а также людей, которые проводят в жизнь эти правила. Это означает, что такие заявления многих политиков-демагогов, как «такая-то политика нужна народу» (выбор В вместо А?!), являются абсолютно бессмысленными.
                                        Подобные заявления основаны на сфабрикованных оценках.
                                        Пытаясь понять поведение властей, экономисты применяют теорию общественного выбора, которая анализирует, как принимаются решения в государственном секторе. Чтобы понять сущность общественного выбора, следует сравнить его с выбором в частном секторе.



                                        ЦЕНТРАЛЬНЫЙ БАНК И ЕГО ФУНКЦИИ


                                        Корни этой системы уходят далеко в историю. Та ее часть, которая начинается с эпохи золотого стандарта, отнюдь не начало, а середина истории. В эпоху золотого стандарта государством гарантировался свободный обмен бумажных денег на золото.
                                        Но для этого нужно было иметь золотые резервы. Их, естественно, не держали в соотношении 1 : 1 к бумажным деньгам, а имели лишь фракцию по отношению к ним. То же самое делали и коммерческие банки в отношении получаемых ими вкладов. Принимая депозиты, они делили их сумму на две части: одну немедленно отдавали взаймы или инвестировали, а другую держали на случай востребования вкладчиками своих депозитов.
                                        Постепенно возникло понятие нормы резервов процентной доли депозитов, которую банки держат как резервы. При обычных обстоятельствах эта норма была достаточно невелика. Однако в эпохи банковских паник она могла достичь и 100%.
                                        Норма резервов может быть обязательной и добровольной. Сегодня центральные банки требуют от любого коммерческого банка соблюдения единой нормы резервов, которая называется обязательной нормой резервов. Однако всегда есть немало банков, которые предпочитают держать более высокую, чем обязательная, норму резервов, что отражает их субъективную оценку в отношении гарантий депозитов.
                                        Все резервы, которые банк имеет сверх обязательной нормы, называются избыточными резервами.
                                        А теперь представим себе, что в Нью-Йорке появился так называемый новый русский И., который привез с собой 200 тыс. долл. В итоге денежная масса США увеличилась на 200 тыс. долл. Он посетил «Кемикл банк» и сделал вклад в сумме 200 тыс. долл. В результате Т-счет (балансовый отчет, показывающий лишь немедленные разовые изменения, последовавшие в результате новой банковской операции) показал, что активы банка выросли на 200 тыс. долл. в форме наличности, а пассивы 200 тыс. долл. в форме срочного депозита.
                                        Теперь предположим, что обязательная норма резервов составляет 10% и все банки придерживаются этой нормы, а все избыточные резервы полностью используются банками для предоставления кредитов.
                                        Из 200 тыс. долл. депозита, принадлежащего И., «Кемикл банк» 20 тыс. долл. должен зарезервировать на своем счету в Центральном банке (в США он называется Федеральной резервной системой ФРС). А 180 тыс. долл. остается как избыточный резерв «Кемикл банка». Теперь его активы включают 20 тыс. долл. обязательных резервов и 180 тыс. долл. избыточных резервов. Он может отдать взаймы 180 тыс. долл. или купить на эту сумму государственные ценные бумаги.
                                        Допустим, что «Кемикл банк» решил выдать кредиты на сумму 180 тыс. долл. Теперь его активы состоят из 20 тыс. долл. обязательных резервов и 180 тыс. долл. выданных займов, т. е. чьих-то долгов в «Кемикл банке». На стороне пассивов в Т-счете два раза появится эта же цифра в 180 тыс. долл., но с разными знаками: вверху с положительным, внизу с отрицательным, взаимно компенсируя друг друга.
                                        Главное, что на Т-счете в итоге на стороне пассивов остается 200 тыс. долл. на срочном депозите.
                                        Допустим, что 180 тыс. долл. попадут в банк А. Т-счет банка А покажет в активах 180 тыс. долл. новых резервов и в пассивах 180 тыс. долл. в форме срочного депозита. 180 тыс. долл. в активах разделятся на 18 тыс. долл. обязательных резервов и 162 тыс. долл. в форме избыточных резервов. Банк А, естественно, 162 тыс. долл. использует для кредитования. Эти кредитные ресурсы, допустим, попадут в банк В, который запишет в активы 162 тыс. долл. новых резервов, в пассивы 162 тыс. долл. в форме срочного депозита.
                                        162 тыс. долл. новых резервов банка Б будут разделены на 16,2 тыс. долл. обязательных резервов и 145,8 тыс. долл. избыточных резервов.
                                        Эта «карусель» будет продолжаться до тех пор, пока счет новых кредитов не достигнет 0. Новый депозит в 200 тыс. долл., поступивший от нового русского И., привел к мультиплицированному расширению банковских ссуд и созданию депозитов по мере того, как новые резервы перераспределялись внутри банковской системы. «Карусель» закончится, когда банковские депозиты вырастут в 10 раз, достигнув 2 млн долл.
                                        Одновременно появятся 200 тыс. долл. новых обязательных резервов и 1800 тыс. долл. новых ссуд. Добавление новых резервов в систему фракционных резервов приводит к мультиплицированному расширению срочных депозитов. Один банк не может расширить предложение денег, но вся банковская система делает это всякий раз, когда происходит расширение резервов.
                                        И делает она это в пределах мультипликатора депозитного расширения пропорции расширения общей суммы срочных депозитов к изменению в избыточных резервах. Формула этого мультипликатора проста:

                                        ЦЕНТРАЛЬНЫЙ БАНК И ЕГО ФУНКЦИИ


                                        в нашем случае

                                        ЦЕНТРАЛЬНЫЙ БАНК И ЕГО ФУНКЦИИ

                                        Если норма обязательных резервов равна 20%, то Mm равно 5, а если 40%, то Mm = 2,5. Если вы попробуете составить колонки цифр с данными, которые мы использовали (200, 180, 162, 145,8 и т.д.), то увидите, что каждая колонка представляет собой геометрическую прогрессию. Если общая норма входящих резервов равна R (0,9 в нашем примере), то сумма бесконечной геометрической прогрессии равна:

                                        ЦЕНТРАЛЬНЫЙ БАНК И ЕГО ФУНКЦИИ

                                        Конечно, мультипликатор депозитного расширения работает в обе стороны, в том числе и в сторону депозитного сжатия. Для этого нужно, чтобы первоначально случилось Сокращение избыточных резервов.
                                        Мы проиллюстрировали депозитную мультипликацию, используя ряд допущений, в частности, в том, что все банки держат резервы в пределах обязательной нормы. Между тем в реальной действительности многие банки по разным причинам предпочитают держать более значительные резервы. Кроме того, клиенты довольно часто обналичивают чеки, что означает утечку наличности. Допустим, что новый русский И. открыл в «Кемикл банке» депозит лишь на 190 тыс. долл., а 10 тыс. долл. наличными оставил при себе.
                                        Тогда окончательная цифра депозитной мультипликации составляла бы 1900 тыс. долл. Центральные банки пытаются учесть все возможные утечки наличности и рассчитать фактический денежный мультипликатор. В простейшем виде формула денежного мультипликатора выглядит так:

                                        ЦЕНТРАЛЬНЫЙ БАНК И ЕГО ФУНКЦИИ

                                        где денежная масса M1 или M2, а денежная база включает общую сумму банковских резервов плюс наличность на руках у населения (обе эти части могут быть мультиплицированы). Таким образом, каждый доллар (рубль, франк, марка), который держат в банке, может поддержать несколько долларов денежной массы
                                        ЦЕНТРАЛЬНЫЙ БАНК И ЕГО ФУНКЦИИ
                                        . Но 1 доллар (рубль, марка) наличности на руках представляет собой лишь 1 доллар (рубль, марку) денежной массы, он не поддерживает банковских депозитов. Поэтому всякий раз, когда доллар (рубль, марка и т.д.) покидает банковскую систему, денежная масса сокращается. И напротив, всякий раз, когда наличность поступает в банковскую систему, денежная масса увеличивается.
                                        Все сказанное убеждает в необходимости государственного регулирования денежной массы. Если банки не предвидят возможности прибыльных и безопасных операций, они будут держать избыточные фракционные (сверх обязательных) резервы, что приведет к депозитному сжатию и сокращению денежной массы, если не произойдет вмешательства властей, отвечающих за денежную политику. Поскольку S оказывает огромное воздействие на совокупный спрос, то такое сжатие может резко обострить макроэкономическую ситуацию.
                                        Если банки предвидят возможности прибыльных и безопасных операций с кредитованием клиентов, они сократят резервы до обязательного минимума, наступит депозитное расширение, денежная масса будет нарастать, усиливая инфляционный разрыв. И в этом случае потребуется государственное вмешательство. Денежная масса важнейшая из макроэкономических переменных, требующая пристального внимания правительства, о чем речь пойдет в следующей теме.
                                        § 120. ЦЕНТРАЛЬНЫЙ БАНК И ЕГО ФУНКЦИИ Центральный банк важнейшее учреждение национальной платежной системы, без надежной работы которого не будет устойчиво работать и сама система платежей. В экстремальных случаях неудачи в деятельности центральных банков развязывают банковские паники и ведут к подрыву национального денежного обращения.
                                        В мире существуют различные модели центральных банков. В России практически все те немногие высококвалифицированные специалисты, которые так или иначе имели дело с нашим Центральным банком, стремились к созданию российской банковской системы и роли в ней Центрального банка по примеру американской Федеральной резервной системы (ФРС).
                                        ФРС была создана в 1913 г. США, как известно, федеративная страна. Замысел создателей ФРС состоял в том, чтобы «рассеять» власть среди регионов, между частным и государственным секторами, между всеми банкирами, предпринимателями и населением. В конечном счете замысел был воплощен в жизнь через эволюцию структуры ФРС, в которую вошли федеральные резервные банки (ФРБ), Совет управляющих ФРС, Федеральный комитет по операциям на открытом рынке.
                                        Вся страна поделена на 12 федеральных резервных регионов, и в каждом регионе есть свой главный ФРБ, который может иметь отделения во всех городах региона. Три самых крупных ФРБ в Нью-Йорке, Сан-Франциско и Чикаго, которые вместе обладают 50% активов ФРС. Абсолютное первенство принадлежит ФРБ в Нью-Йорке.
                                        Каждый ФРБ является акционерным учреждением, которое принадлежит частным коммерческим банкам данного региона, являющимся членами ФРБ.



                                        Что это были за методы?


                                        Фиксированная долларовая цена золота создавала дополнительное ограничение, так как увеличение денежной массы в США вело бы к росту цены на золото, которую США обязаны были поддерживать на указанном выше строго фиксированном уровне. Однако и в США, и в других странах долгое время считалось, что фиксированные валютные курсы создают сильную основу для соблюдения монетарной дисциплины. Этот фактор ценился очень высоко после опыта 30-х гг., когда колеблющиеся валютные курсы слишком часто были причиной спекулятивной нестабильности и наносили большой ущерб мировой торговле. Но этот же опыт показал также, что многие правительства не хотели поддерживать свободную торговлю и фиксированные обменные курсы ценой долговременного снижения уровня занятости факторных ресурсов.
                                        Великая депрессия внушила всем правительствам ответственность за поддержание занятости на уровне потенциального национального дохода. Бреттон-Вудская система позволяла большинству стран иметь достаточную гибкость, с тем, чтобы они могли поддерживать равновесие платежного баланса, не жертвуя внутренними приоритетами или фиксированными валютными курсами. МВФ обладал двумя особенностями, которые поддерживали возможность гибкости в отношении внутренних макрокорректировок в странах-участницах. Во-первых, МВФ обладал постоянной возможностью предоставлять валютные займы странам-участницам, с тем, чтобы помочь им в моменты, когда они испытывают дефицит по счету текущих операций, но при этом удержать их фискальную и денежно-кредитную политику от неверных шагов. Общий фонд золотых и валютных резервов, создаваемый странами-участницами, обеспечивает МВФ ресурсами для кредитных операций. Каждому новому члену определяют квоту, которая создает ему рамки как для внесения своей доли в резервный фонд МВФ, так и для реализации его права на получение займа из этого фонда.
                                        Каждый член делал в МВФ взнос золотом, равный 0,25 его квоты. Остающиеся 0,75 квоты он вносит в своей валюте. Он может использовать свой валютный взнос для покупки на время золота или какой-то валюты, равной по ценности его золотому взносу.
                                        Дополнительные ресурсы могут быть получены от МВФ в форме займа, но при строгом контроле МВФ за макроэкономической политикой.
                                        Во-вторых, хотя валютный курс каждой страны-участницы был фиксирован, он мог быть изменен (девальвирован или ревальвирован по отношению к доллару), если МВФ признавал, что платежный баланс данной страны находился в состоянии «фундаментального неравновесия». Этот термин не имел четкой дефиниции в соглашении о создании МВФ. Имелось в виду, однако, помочь тем странам, спрос на продукцию которых в мировой торговле постоянно падал и которые испытывали постоянный дефицит торгового и платежного балансов. Восстановление конкурентоспособности требовало длительных и тяжелых жертв, и, чтобы сократить этот период, страна нуждалась в девальвации своей валюты.
                                        Девальвация одновременно и улучшала положение с занятостью, и устраняла дефицит торгового баланса.
                                        С другой стороны, страны с постоянным положительным сальдо платежного баланса могли ревальвировать свою валюту. И только США не могли делать ни того, ни другого независимо от того, испытывали они «фундаментальное неравновесие» или нет. Единственная возможность как-то откорректировать завышенную оценку доллара состояла в том, чтобы другие страны ревальвировали свою валюту, т. е. повысили долларовое содержание своих валют. Но этого, как уже отмечалось, почти никогда не делалось.
                                        В результате в б0-е гг. США испытывали постоянный дефицит платежного баланса, а в 1971 г. президент США Р. Никсон отменил обмен долларовых авуаров на золото.
                                        В соответствии с Бреттон-Вудской системой девальвация рассматривалась как крайнее средство, которое могло применяться только после того, как остальные методы преодоления дисбаланса исчерпывали себя. Что это были за методы? Мы уже знаем, что любой фактор, который повышает спрос на валюту или сокращает ее предложение, будет повышать ценность этой валюты. Если же ее обменный курс фиксируется, то обычно изменялся дефицит платежного баланса в ответ на изменения спроса или предложения данной валюты.
                                        В частности, например, дефицит платежного баланса США снижался, если рос спрос на доллары или уменьшалось их предложение. 28-5 демонстрирует эти варианты перестроек. В обоих случаях имеется дефицит платежного баланса, поскольку официальный обменный курс (3 марки) превышает равновесный курс (Е, 2 марки).
                                        В обоих случаях дефицит первоначально составляет АВ. Затем в первом случае рост спроса на доллары и сдвиг кривой D1 на D2, а во втором случае снижение предложения долларов и сдвиг кривой S1 на S2 сокращают дефицит платежного баланса.

                                        Что это были за методы?

                                        28-5
                                        Таким образом, для стран с хроническим дефицитом одним методом улучшения платежного баланса может быть снижение совокупного спроса (AD), которое депрессирует импорт, а следовательно, и спрос на иностранную валюту. А другим методом может быть понижение темпа инфляции, которое депрессирует импорт и поощрит экспорт. В конечном счете, это может повысить процентные ставки и привлечь в страну иностранный капитал.
                                        При системе фиксированных обменных курсов правительство в определенной степени теряет контроль над экономикой. Могут быть периоды, когда проблемы платежного баланса вынудят правительство принять ограничительные макроэкономические меры, с тем чтобы снизить спрос на иностранную валюту, хотя в эти периоды с макроэкономической точки зрения может требоваться расширительная политика. И наоборот, возможны периоды, когда макроэкономическая конъюнктура нуждается в охлаждении, а проблемы платежного баланса могут быть решены только за счет экспансионистской макрополитики.
                                        В мире широко распространены опасения относительно спекулятивной деятельности на свободных валютных рынках. Многие считают, что она ведет к неконтролируемым быстрым изменениям цен. Подобные опасения не являются обоснованными. Причина этого состоит в том, что международные спекулянты валютой должны (обречены) продавать валюту, когда ее цена высока (и таким образом понижать цену, увеличивая предложение валюты), и покупать валюту, когда ее цена низка (и таким образом повышать цену, увеличивая спрос на валюту). То есть, чтобы достичь успеха, спекулянты валютой должны покупать, когда спрос низок (а предложение высоко), и продавать, когда спрос высок (а предложение низко).
                                        Действуя, таким образом, они ограничивают ценовые колебания. Спекулянты могут заниматься дестабилизацией цен, только если у них есть желание систематически наносить ущерб самим себе.
                                        Современная мировая денежная система является смешанной: некоторые валюты искусственно поддерживаются, как это было в Бреттон-Вудской системе, другие валюты имеют свободно плавающие курсы, третьи являются предметом постоянного вмешательства правительств. Вся эта картина находится в состоянии продолжающегося изменения, но у нее есть несколько очевидных особенностей. Во-первых, постоянно ослабляется представление о том, что обменные курсы должны быть фиксированы на долгосрочные периоды. Возникшая после краха Бреттон-Вудской системы тяга к фиксированным валютным курсам утихла уже через несколько лет, к середине 70-х гг. Даже в тех странах, где правительства все еще поддерживают обменные курсы своих валют, теперь часто происходят девальвации и ревальвации.
                                        Большинство валют имеют курсы, которые чуть-чуть колеблются ежедневно под воздействием обычных рыночных сил.
                                        Во-вторых, многие центральные банки сегодня, не колеблясь, вмешиваются, с тем, чтобы сгладить колебания курсов. Происходит как бы управляемое (а не свободное) плавание курсов. В-третьих, очевидной сегодняшней особенностью является фактическое исчезновение какой-либо роли золота в мировой денежной системе.
                                        Тенденция затухания роли золота началась еще до краха Бреттон-Вудской системы, а в последующие двадцать пять лет эта роль свелась к нулю. Сегодня существует просто свободный рынок золота, на котором есть спрос со стороны ювелиров, ряда отраслей промышленности, зубных врачей и т.д., а цена на золото полностью определяется законами спроса и предложения.
                                        В 1973 г. некоторые страны члены Европейского сообщества договорились о том, чтобы обменные курсы их валют оставались относительно фиксированными, в то время как курсы валют остальных членов могли колебаться. Это соглашение в 1979 г. было преобразовано в Европейскую валютную систему (ЕВС). При этом доминирующей валютой внутри ЕС стала немецкая марка. Однако в 1990 г. в связи с состоявшимся объединением Германии у этой страны возникло множество макроэкономических и институциональных проблем, включая возможное изменение ценности марки. Тогда Германия впервые ощутила себя «в шкуре» США во время Бреттон-Вудской системы, так как курс марки не мог быть легко перестроен внутри ЕВС, поскольку это серьезно затрагивало интересы других стран-членов.
                                        А в 1992 г. Англия и Италия вышли из ЕВС, и сегодня никто не может точно спрогнозировать возможные события в отношении ЕВС.
                                        Ключевые слова и понятия

                                        • Девальвация
                                        • Дефицит платежного баланса
                                        • Золотой стандарт
                                        • Золотодевизный стандарт
                                        • МВФ
                                        • Международная денежная система
                                        • Обесценение валюты
                                        • Обменный (валютный) курс
                                        • Паритет покупательной способности
                                        • Плавающий обменный курс
                                        • Платежный баланс
                                        • Подорожание валюты
                                        • Положительное сальдо платежного баланса
                                        • Ревальвация
                                        • Спрос и предложение валюты
                                        • Счет движения капиталов
                                        • Счет текущих операций
                                        • Управляемое плавание (курса)
                                        • Фиксированный обменный курс
                                        ИТОГИ ИЗУЧЕНИЯ ТЕМЫ

                                        1. Обменный (валютный) курс цена валюты, выраженная в единицах другой валюты. Знание курса позволяет нам переводить цены иностранных товаров и услуг в единицы нашей валюты, и наоборот.
                                        2. Импорт товаров, услуг и активов ведет к спросу на иностранную валюту для их оплаты. А экспорт товаров, услуг и активов создаст предложение иностранной валюты.
                                        3. Если правительство не поддерживает курс куплей-продажей своей валюты, то ее валютный курс определяется законами спроса и предложения. Такая система называется системой плавающих валютных курсов.
                                        4. При системе гибких валютных курсов, если возникает излишек предложения валюты, ее цена падает. Обесценение валюты повысит стоимость иностранных товаров, услуг и активов, сократит импорт и увеличит экспорт. Но избыточный спрос на валюту приведет к росту ее курса, что будет стимулировать импорт и угнетать экспорт.
                                        5. В долговременные периоды паритет покупательной способности играет основную роль в изменении валютных курсов. Теория паритета покупательной способности утверждает, что относительные ценовые уровни в любых двух странах определяют и обменный курс валют этих стран. Следовательно, страны с относительно низкими темпами инфляции будут иметь более дорогую валюту.
                                        6. В течение более коротких периодов паритет покупательной способности мало воздействует на изменения валютных курсов. Темп экономического роста и уровень процентных ставок воздействуют на темп инфляции. В частности, изменения процентных ставок являются доминирующим фактором для валютных курсов в кратковременные периоды.
                                        7. Валютные курсы могут фиксироваться на неравновесных уровнях решениями правительства, которое может, как устранять любые разрывы между величиной спроса и величиной предложения валюты, так и создавать любые такие разрывы. В случае, если величина предложения превышает величину спроса, страна испытывает дефицит (отрицательное сальдо) платежного баланса вследствие того, что ее валюта оценивается слишком высоко. Если же величина спроса превышает величину предложения, страна сталкивается с положительным сальдо платежного баланса и недооценкой своей валюты.
                                        8. Платежный баланс сумма потоков платежей между данной страной и другими странами. Операции, ведущие к предложению национальной валюты, записываются как дебетовые (минусовые) статьи. А операции, ведущие к спросу на национальную валюту, записываются как кредитовые (плюсовые). В конечном счете эти статьи должны быть взаимно сбалансированы. Платежный баланс включает два главных блока баланс текущих операций и баланс движения капиталов. Иногда выделяют еще и баланс официальных резервов. Страна, в которую особенно активно стремятся иностранные инвестиции, рискует иметь дефицит платежного баланса, но в ней будут нарастать объем инвестиций, усиливаться экономический рост и снижаться ставки процента.
                                        9. В первой половине XX в. мировая денежная система основывалась на фиксированных валютных курсах и называлась системой золотого стандарта, при которой ценность каждой валюты фиксировалась в ее золотом содержании. После второй мировой войны золотой стандарт был заменен Бреттон-Вудской системой, при которой курсы вновь были фиксированы, но с возможностью некоторых управляемых колебаний. При этой системе американский доллар был резервной валютой и выполнял роль международной основы ценности валют.
                                        10. В 1971 г. Бреттон-Вудская система была отменена и началась эпоха относительно свободного определения валютных курсов, хотя имеются многочисленные исключения из этой практики. Поэтому нынешняя мировая денежная система скорее является смешанной. Есть много сторонников возврата к фиксированным курсам.




                                        Дефлятор ВНП в 1980 г.


                                        А как узнать вырос ли ВНП реально, увеличилось ли производство конечных товаров и услуг? Для этого нужно устранить воздействие меняющихся цен на подсчеты ВНП, что делается измерением общей стоимости произведенных в данном году экономикой товаров и услуг в ценах, существовавших в каком-либо году из прошлых лет, который мы примем за базовый год. А для этого экономисты применяют дефлятор ВНП ценовой индекс, который измеряет изменения цен от года к году.
                                        Его формула очень проста:
                                        Дефлятор ВНП в 1980 г.

                                        Например, в 1980 г. номинальный ВНП составлял 1000 млрд р., а в 1990 г. 2500 млрд р. Как мы можем узнать, какая часть этого роста была реальной, т. е. за счет увеличения производства конечных товаров и услуг, а какая часть за счет роста цен? Мы произвольно выбираем базовый год например, 1985 г., т.е. цены этого года мы берем за 100,0%. Дефлятор ВНП в 1980 г. составлял 75,0%, а в 1990 г. - 125,0%. Но откуда нам известны именно эти значения дефлятора за 1980 и 1990 гг.?
                                        Для этого статистические службы создают определенный набор товаров и услуг, который называют «рыночной корзиной», и оценивают его в данном, например, 1980 году и в базовом году (в нашем случае в 1985 г.). Зная дефлятор, мы можем легко определить реальный ВНП.
                                        Так, реальный ВНП 1990 г. составляет:

                                        Дефлятор ВНП в 1980 г.

                                        Точно так же

                                        Дефлятор ВНП в 1980 г.

                                        Таким образом, ВНП как показатель реального количества произведенных конечных товаров и услуг и определяемый в результате устранения эффекта изменений в ценах называется реальным валовым национальным продуктом (РВНП). Важно понять, что рост ВНП может происходить просто в результате роста цен, а может происходить и реально, в результате увеличения производства.
                                        Например, в 1990 г. ВНП, выраженный в денежной форме, составлял 1000 млрд р., а в 1991 г. 1050 млрд р., но цены при этом поднялись на 5%. Это означает, что ВНП реально не вырос, 50 млрд прибавки возникли только из-за роста цен. Допустим теперь, что ВНП вырос до 1050 млрд р., а цены поднялись на 10%.
                                        Это означает, что реально ВНП уменьшился до 950 млрд р. в ценах прошлого года. Если ВНП вырос до 1050 млрд р., а цены на 2%, то реально ВНП вырос на 30 млрд р., т.е. на 3%. Наконец, если ВНП вырос до 1050 млрд р., а цены упали на 2%, то реально ВНП увеличился на 70 млрд р.
                                        Рост цен мы называем инфляцией, снижение дефляцией. Естественно, что мы хотим знать реальную картину с ВНП и сопоставить уровень этого года с уровнями предыдущих лет. Как это делается? Представим, что постоянно производился только один товар, цена на который постепенно росла. Мы можем совершенно произвольно выбрать базовый год (для данной таблицы им стал 3-й год).
                                        Затем рассчитываем ценовой индекс, деля цену данного года на цену базисного года и выражая итог в процентах. Этот итог экономисты называют дефлятором ВНП, т.е. ценовым индексом, который измеряет ценовые изменения от одного года к другому. Теперь мы можем умножением индекса на номинальный ВНП получить реальный ВНП в постоянных ценах 3-го года, т. е. с учетом устранения ценовых влияний.
                                        Таблица 16-1
                                        Год
                                        Цена за единицу
                                        Количество единиц
                                        Номинальный ВНП
                                        Индекс цен
                                        Реальный ВНП в постоянных ценах



                                        2*3
                                        2 : цену
                                        в 3-м году (в%)
                                        4 : 5
                                        1-й
                                        4
                                        2000
                                        8000
                                        4/10=40,0
                                        200
                                        2-й
                                        6
                                        2200
                                        13 200
                                        6/10=60,0
                                        220
                                        3-й
                                        10
                                        2420
                                        24 200
                                        10/10=100,0
                                        242
                                        4-й
                                        14
                                        2662
                                        37 268
                                        14/10=140,0
                                        266,2
                                        5-й
                                        20
                                        2928
                                        58 560
                                        20/10=200,0
                                        292,8

                                        Показатели ВНП, ВВП, РВНП и их компоненты чрезвычайно важны для оценки состояния экономики в целом, для оценки ее динамики и, что особенно важно, для прогнозов экономического развития. Эти показатели также нужны политикам и избирателям для того, чтобы знать структуру экономики, как она изменяется (т. е. ее динамику), и судить об эффективности управления экономикой. Без этих показателей мы не можем знать, какую долю в структуре экономики занимает та или иная отрасль или группа отраслей и как эта доля изменяется.
                                        Например, в США менее 3% населения занимается сельским хозяйством, а доля этой отрасли в ВНП составляет около 2%. И этого достаточно, чтобы обеспечить продовольственное изобилие в США и огромную часть сельхозпродукции продавать другим странам.
                                        Однако, в развитых странах чрезвычайно велика доля услуг в ВНП. Это говорит об очень эффективном производстве товаров, о высоком уровне благосостояния. К сожалению, структура нашего ВНП включала мизерную долю услуг, очень высокую долю сельского хозяйства и сырьевых отраслей, а среди перерабатывающих отраслей десятки лет полностью преобладал военно-промышленный комплекс, чья продукция ни светит, ни греет, ни кормит, ни одевает.
                                        В любой стране с рыночной экономикой самое часто встречающееся слово в газетах, на радио и телевидении это ВНП, потому что от состояния и динамики ВНП, его составляющих, его структуры зависят благосостояние каждого конкретного человека, жизненный статус (положение в обществе) десятков миллионов людей. Снижается ВНП жди безработицы, снижения уровня жизни и других неприятностей. Великую депрессию, случившуюся всего 60 лет назад в США и других развитых странах, помнят, как у нас столетиями помнили татаро-монгольское иго. Ведь в сравнении с 1929 г. ВНП США составлял в 1933 г. лишь чуть более 60%.
                                        Люди в этих странах обычно знают, сколько окажется безработных, если ВНП сократится на 1%, и сколько появится новых рабочих мест, если ВНП вырастет на 1%. Конечно, национальные счета дают нам показатели, которые отнюдь не исчерпывают нужную нам информацию об экономических процессах. Но эти данные имеют огромное значение для понимания указанных процессов и управления ими.
                                        Ключевые слова и понятия

                                        • Агрегирование
                                        • Амортизационные списания
                                        • Валовой внутренний продукт (ВВП)
                                        • Валовой национальный продукт (ВНП)
                                        • Валовые внутренние инвестиции
                                        • ВНП на душу населения
                                        • Дефлятор ВНП
                                        • Дефляция
                                        • Добавленная стоимость
                                        • Доходный метод
                                        • Запасы, изменения в запасах
                                        • Инфляция
                                        • Конечные товары и услуги
                                        • Косвенные налоги на предпринимательство
                                        • Личные сбережения
                                        • Личный доход
                                        • Макроэкономика
                                        • Национальные счета
                                        • Национальный доход
                                        • Номинальный ВНП
                                        • Потоки, кругооборот потоков
                                        • Потребительские расходы
                                        • Промежуточная продукция
                                        • Располагаемый личный доход
                                        • Расходный метод ^ Реальный ВНП
                                        • Трансферты
                                        • Ценовой индекс
                                        • Чистый национальный продукт (ЧНП)
                                        ИТОГИ ИЗУЧЕНИЯ ТЕМЫ

                                            1. Статистика национальных счетов обеспечивает нас средствами измерения совокупного производства товаров и услуг, состояния экономики в целом. Основой национальных счетов является концепция кругооборота доходов и продуктов. Стоимость произведенных в течение года продуктов равна стоимости доходов, созданных собственниками факторов производства.
                                            2. ВНП стоимость всех конечных товаров и услуг, произведенных в течение года национальными факторами производства. Промежуточная продукция исключается из ВНП, с тем чтобы не создавать двойного счета. ВНП не включает также непроизводительные сделки (продажи использованных продуктов, облигаций и акций, частные и государственные трансферты), деятельность в домашних хозяйствах, нелегальную деятельность.
                                            3. ВНП может быть подсчитан многими способами: суммированием стоимости конечных товаров и услуг, суммированием добавленной стоимости по каждой фирме, суммированием доходов всех владельцев факторов производства, суммированием расходов домашних хозяйств.
                                            4. ВНП венчает целую пирамиду показателей, которые все вместе и составляют систему национальных счетов. Исключив из ВНП амортизационные списания, мы получаем чистый национальный продукт (ЧНП). Исключив из ЧНП косвенные налоги, мы получаем национальный доход (НД). Исключив из НД нераспределенную прибыль корпораций, налоги на корпорации, взносы на социальное страхование и добавив трансферты, мы получаем личный доход. Исключив из него налоги на личные доходы, получаем располагаемый личный доход, который затем делится на потребительские расходы и личные сбережения.
                                            5. Номинальный ВНП стоимость произведенных в данном году конечных товаров и услуг в текущих ценах. Номинальный ВНП может изменяться либо благодаря росту производства, либо благодаря росту цен (или по обеим причинам).
                                            6. Реальный ВНП устраняет ценовое влияние из номинального ВНП. Этот показатель подсчитывается с применением ценового индекса (дефлятора ВНП). РВНП дает более достоверную информацию о совокупном производстве и его составляющих.
                                            7. ВНП не является Показателем, который измеряет уровень благосостояния. В большей мере этому служит показатель ВНП на душу населения. Однако он ничего не говорит нам о распределении доходов среди населения. Для применения ВНП в целях получения информации о благосостоянии нужно включить в него стоимостные оценки деятельности в нерабочее время, качества товаров и услуг и исключить негативные побочные эффекты (внешние факторы).




                                          Деятельность по поискам рабочего места


                                          Допустим, что правительство, признав 5% безработицы слишком высокой нормой, начинает расширять совокупный спрос. В результате этого развивается инфляционный разрыв, в ходе которого реальный ВНП растет, инфляция поднимается до 3%, норма безработицы снижается до 2,5%. Эта ситуация (точка В) является краткосрочной.
                                          Вступает в действие механизм автоматической перестройки, одновременно происходит повышение инфляционных ожиданий, краткосрочная кривая Филлипса сдвигается вверх с РС1, на РС2. Экономика возвращается к уровню потенциального ВНП (точка С), восстанавливая естественную норму безработицы, но теперь на более высоком уровне инфляции. Тем не менее правительство, следуя обещаниям понизить естественную норму безработицы, продолжает ту же политику.

                                          Деятельность по поискам рабочего места

                                          25-7
                                          Следуя ей, экономика движется в точку D, затем в точку Е и т.д. В итоге естественная норма безработицы понижается только временно, зато инфляция начинает расти постоянно. Это положение в экономике называют гипотезой акселерации концепцией того, что любая попытка применить денежную или фискальную политику, чтобы поддерживать безработицу ниже ее естественной нормы, ведет к ускоряющейся инфляции.
                                          Другой сценарий связан с подавлением избыточной безработицы, т. е. безработицы, превышающей естественную норму. Такая ситуация возникает, когда ожидаемая инфляция превышает фактическую. Именно эта ситуация соответствует точке А на 25-7, где ожидаемая инфляция составляет 5%, экономика действует на краткосрочной кривой Филлипса РС5, (т. е. при 5%-ной инфляции).
                                          Но точка на РС5, где действует экономика, определяется фактической инфляцией, которая равна 3%. При этом норма безработицы составляет 9%, что существенно выше естественной нормы безработицы (5%). Какие меры могут быть приняты в этом случае, чтобы восстановить естественную норму безработицы?
                                          Во-первых, можно оставить эту работу механизму автоматической перестройки. Если правительство продолжает поддерживать инфляцию на уровне 3%, то ожидаемая инфляция перестроится к этой ситуации, и кривая Филлипса сдвинется вниз на РС3, а точка равновесия переместится из А в С. В этой точке уровень цен будет стабильным, а норма безработицы вернется к естественному уровню. Следовательно, если не мешать автоматической перестройке (т. е. если не менять макроэкономическую политику), то экономика вернется к естественной норме безработицы по мере того, как ожидаемый уровень инфляции перестроится под фактический уровень инфляции.
                                          Но правительство может решить, что ожидание результатов экономической перестройки обойдется обществу слишком дорого. В этом случае оно может либо увеличить совокупный спрос, либо попытаться сдвинуть вниз кривую Филлипса. На 25-7 точка А свидетельствует о том, что инфляционные ожидания превышают фактический уровень инфляции.
                                          Данная ситуация может быть преодолена увеличением совокупного спроса, с тем чтобы поднять фактический уровень инфляции до ожидаемого. В этом случае экономика перейдет из точки А в точку Е. Цена такого изменения, в результате которого норма безработицы снизится до естественной, повышение цен до устойчивого уровня в 5%.
                                          Но правительство может попытаться прямо воздействовать на ожидаемый уровень инфляции, чтобы сдвинуть вниз кривую Филлипса. Оно должно будет открыто объявить цели макроэкономической политики, состоящие в достижении полной занятости и устойчивого ценового уровня. Для этого правительство должно принять меры по снижению совокупного спроса до уровня, который соответствует уровню полной занятости, а также осуществлять настойчивое пропагандистское давление на население. Если все, кто принимает экономические решения, примут всю новую информацию к сведению (ситуация с рациональными ожиданиями), то есть шансы быстро изменить инфляционные ожидания. Тогда экономика переместится в точку В вследствие сдвига вниз краткосрочной кривой Филлипса (на позицию РС0).
                                          Но если население сначала выждет, чтобы убедиться в серьезности намерений правительства (ситуация с адаптивными ожиданиями), то сначала показатели безработицы временно ухудшатся, а экономика перейдет в точку G, и лишь затем кривая Филлипса сдвинется вниз на РС0.
                                          Ключевые слова и понятия

                                          • Гипотеза акселерации
                                          • Деятельность по поискам рабочего места
                                          • Долгосрочная кривая Филлипса
                                          • Краткосрочная кривая Филлипса
                                          • Кривая Филлипса
                                          • Отправная зарплата
                                          • Предельная выгода от поисков работы
                                          • Предельные затраты на поиски рабочего места
                                          ИТОГИ ИЗУЧЕНИЯ ТЕМЫ

                                          1. В силу ряда причин совокупный спрос всегда колеблется чаще и с большей амплитудой, чем совокупное предложение. Базовая макроэкономическая модель подводит нас к суждению о том, что взаимозависимость между инфляцией и безработицей возникает при колебаниях совокупного спроса. Такую взаимозависимость графически демонстрирует кривая Филлипса. Эта взаимозависимость наблюдалась в западных странах в 50-е и 60-е гг., затем она существенно ослабла в 70-е гг. и в ряде стран исчезла вообще в 80-е.
                                          2. Первоначально кривая Филлипса была воспринята как «меню» для политиков, что особенно вдохновило сторонников расширительной макроэкономической политики на то, чтобы снизить норму безработицы в случаях с рецессионными разрывами ВНП. Однако затем была доказана неустойчивость кривой Филлипса. В первоначальной оценке кривой Филлипса не учитывалась автоматическая перестройка экономики, которая во всех случаях отклонения от уровня потенциального ВНП возвращает экономику к уровню полной занятости (к естественной норме безработицы). Последовательный ряд отрицательных шоков предложения в 70-е гг. совместно с механизмом автоматической перестройки существенно ослабил взаимозависимость инфляции и безработицы.
                                          3. Взаимозависимость инфляция/безработица является краткосрочным событием. В долгосрочном плане любой уровень инфляции совместим с естественной нормой безработицы. Поэтому долгосрочная кривая Филлипса вертикальна уровню естественной нормы.
                                          4. Безработный, по определению, является человеком, активно ищущим рабочее место. Фирмы также ищут подходящих им работников на рынке труда. Поиски требуют затрат и приносят выгоду. Поиски продолжаются, если предельная выгода от поисков превышает предельные затраты на них. Безработные устанавливают отправную зарплату, которая вместе с соотношением предельных выгод и затрат воздействует на продолжительность поисков. Продолжительность поисков, в свою очередь, воздействует на норму безработицы.
                                          5. Ожидаемая инфляция нейтральна по отношению к продолжительности поисков. Поскольку она не воздействует на поиски, она не воздействует и на норму безработицы. Поэтому в ситуации ожидаемой инфляции мы не обнаруживаем взаимосвязи между инфляцией и безработицей.
                                          6. Неожидаемая инфляция существенно влияет на продолжительность поисков и, следовательно, на норму безработицы. Но неожидаемая инфляция существует краткосрочный период, так что краткосрочная кривая Филлипса фактически показывает взаимосвязь между безработицей и неожидаемой инфляцией. В долгосрочном периоде инфляционные ожидания перестраиваются к фактическому уровню, поэтому в долгосрочном периоде взаимозависимость инфляция/безработица отсутствует.
                                          7. Если правительства пытаются установить норму безработицы на уровне ниже естественной нормы, это ведет к акселерированной инфляции. Такая ситуация известна как гипотеза акселерации.
                                          8. Кривая Филлипса создает ограничения для политиков, пытающихся бороться с избыточной безработицей. Если безработица выше естественной нормы, у политиков есть следующие варианты действий: а) предоставить свободу действий механизму автоматической перестройки; б) расширить совокупный спрос и ценой увеличения инфляции быстро понизить безработицу; в) подстегнуть автоматический механизм, стимулируя быструю перестройку инфляционных ожиданий.




                                          ДЕНЕЖНО-КРЕДИТНАЯ ПОЛИТИКА


                                          Ставка процента становится, таким образом, своего рода планкой, которую должен преодолеть каждый инвестиционный проект, заслуживающий положительного решения. Увеличение или уменьшение совокупного объема национальных инвестиций затем транслируется с мультиплицированным усилением в изменения реального ВНП и уровня цен ( 23-3, в). Рост инвестиций мультиплицированно увеличил совокупный спрос, и кривая AD сдвинулась на АD1. Здесь мы имеем дело именно с кейнсианской моделью, являющейся описанием краткосрочных макроэкономических сдвигов.
                                          Мы уже знаем, что равновесная точка ЕSR отражает краткосрочное равновесие, процесс автоматической перестройки вернет ее на кривую LRAS, сдвинув кривую SRAS на SRAS1, вдоль кривой АD1,. Тем самым будет подтверждена гипотеза нейтральности денег в долгосрочных периодах. В заключение следует сказать, что Кейнс не верил в жесткую связь инвестиций и ставки процента. Он полагал, что у инвестиций есть более сильные детерминанты. Поэтому он считал, что конечная реакция ВНП и ценового уровня на кратковременные изменения денежной массы достаточно ограничена. Отсюда то предпочтение в макроэкономической политике, которое он отдавал мерам фискального, а не монетарного воздействия.
                                          Однако кейнсианская школа поддерживает монетарные меры, когда они предпринимаются в целях сглаживания экономического цикла.
                                          § 127. ДЕНЕЖНО-КРЕДИТНАЯ ПОЛИТИКА И СОВОКУПНЫЙ СПРОС В МОНЕТАРИСТСКОЙ МОДЕЛИ Монетаристская школа выросла из классической, преодолевая ее недостатки и пересматривая проблемы спроса на деньги. Идея о том, что инфляция вызывается ростом денежной массы, восходит к классикам, которые создали уравнение обмена (MV == PQ), чтобы объяснить взаимосвязь между денежной массой и ценами. В соответствии с уравнением обмена номинальный ВНП (PQ) должен быть равен произведению денежной массы и скорости обращения денежной единицы.
                                          Это уравнение утверждает, что величина покупок конечных товаров должна быть равна сумме затрат на них. Это утверждение истинно, потому что оно является тождеством, а уравнение обмена не является теорией, так как V определяется таким образом, что тождество всегда соблюдается. Однако уравнение обмена может быть превращено в теорию, если сделать допущения о поведении членов уравнения.
                                          Классики предполагали, что V константа и что экономика всегда функционировала на уровне потенциального ВНП. Это превратило уравнение в теорию, получившую название количественной теории денег. Мы должны помнить, что это допущение вело к выводу о том, что уровень цен должен меняться строго пропорционально изменениям денежной массы.
                                          Классики тем самым дали нам более или менее точное описание экономики в долгосрочном периоде. Но в краткосрочном периоде экономика не всегда действует на уровне потенциального Y, а V отнюдь не является константой. Современная количественная теория (монетаристская теория) исходит из того, что спрос на деньги ничем не отличается от спроса на любое благо. Если те, кто принимает экономические решения, хотят увеличить свои денежные вклады, то надо сократить расходы. И наоборот, когда они считают необходимым снизить объем денег, которые держат, они увеличивают расходы и тем самым увеличивают совокупный спрос.
                                          Но в модели монетаристов трансмиссионный механизм механизм передачи изменения денежной массы в изменение номинального ВНП значительно короче, чем в кейнсианской модели. Деньги рассматриваются как один из многих активов, которые могут использоваться для накопления богатства: те, кто принимает экономические решения, в случае необходимости сокращают свои денежные ресурсы, расходуя их на покупку акций, государственных ценных бумаг, жилья, автомобилей, других товаров длительного пользования и т.д. В результате такого увеличения и потребительских, и инвестиционных расходов совокупный спрос увеличивается прямо, и это ведет к немедленным сдвигам в реальном ВНП и ценовом уровне.
                                          Монетаристы исходят также из того, что скорость обращения денег, не являясь константой, имеет устойчивые характеристики изменений в различные периоды. В частности, V ускоряется в фазах подъема и замедляется в фазах рецессии в ходе экономического цикла, т. е. точно следует изменениям трансакционного спроса на деньги. Когда растут реальный ВНП и ценовой уровень, данное количество денег должно будет обслуживать растущий объем трансакций (и наоборот).
                                          Монетаристы также придают особое значение такой переменной, воздействующей на спрос на деньги, как ожидаемый темп инфляции. Если денежная масса увеличивается, сокращая будущую ценность денег, население начинает ждать этого роста инфляции и расходует деньги на покупку различных активов, способных лучше сохранить ценность денег. Скорость обращения денег при этом увеличивается. Денежная масса и V движутся вместе. Рост М вызывает рост инфляционных ожиданий, увеличиваются объем трансакций и скорость обращения денег.
                                          Одно увеличивает другое. Если М растет на 10%, вызывая 10%-ное ускорение V (в связи с ростом инфляционных ожиданий), то номинальный ВНП увеличится на 20%.
                                          Как и кейнсианцы, Монетаристы считают, что воздействие изменений М на ВНП носит краткосрочный характер. В долгосрочные периоды рост М ведет лишь к росту ценового уровня. Как и кейнсианцы, монетаристы понимают проблему лагов (запаздываний). Но кейнсианцы считают, что все лаги, вместе взятые (запаздывание в получении макроэкономической информации, лаг на идентификацию случившегося, лаг на принятие решений, лаг на отдачу от принятого решения), меньше, чем время автоматической перестройки в случае рецессионного или инфляционного разрыва.
                                          Поэтому они придают достаточно весомую роль денежной политике, способной, по их мнению, помочь корректировке рецессионных и инфляционных разрывов.
                                          Монетаристы, однако, полагают, что лаги являются факторами, которые делают проциклической почти любую антициклическую политику.
                                          Они считают, что в большинстве случаев действия ЦБ с целью выравнивания циклической динамики ведут к противоположному эффекту (именно из-за лагов): усиливают либо рецессию, либо инфляционный разрыв. Отсюда предложение монетаристской школы о правиле постоянного роста требовании о том, чтобы денежная политика состояла в ограничении ежегодного роста денежной массы фиксированным темпом. Такой темп должен быть близок к историческому темпу роста ВНП (например, в США около 3%).
                                          По мнению монетаристов, применение правила постоянного роста устраняет проциклическую опасность из-за действий ЦБ, а вместе с ней и один из источников неопределенности и нестабильности в экономике.
                                          Ключевые слова и понятия

                                          • Денежная база
                                          • Денежная (денежно-кредитная) политика
                                          • Инструменты политики
                                          • Контроль за денежной массой
                                          • Контроль за ставкой процента
                                          • Лаги
                                          • Манипулирование дисконтной ставкой
                                          • Манипулирование нормой резервов
                                          • Операции на открытом рынке
                                          • Правило постоянного роста
                                          • Переменные политики
                                          • Промежуточные цели политики
                                          • Эффект Кейнса
                                          • Эффект Фишера
                                          ИТОГИ ИЗУЧЕНИЯ ТЕМЫ

                                          1. Денежно-кредитная политика процесс регулирования центральными банками денежной массы через контроль величины резервов, доступных для банковской системы. Расширительная денежная политика увеличивает темп роста денежной массы, а ограничительная политика направлена на снижение этого темпа. Осуществляя денежную политику, ЦБ использует три главных средства: а) устанавливает норму обязательных резервов; б) устанавливает дисконтную ставку; в) осуществляет куплю-продажу государственных ценных бумаг на открытом рынке.
                                          2. Расширительная денежная политика применяет увеличение банковских резервов в результате покупок государственных ценных бумаг на открытом рынке, понижение дисконтной ставки, снижение нормы обязательных резервов. Ограничительная денежная политика осуществляется в результате сокращения банковских резервов за счет продажи государственных ценных бумаг, повышения дисконтной ставки, повышения нормы обязательных резервов.
                                          3. Конечные цели денежно-кредитной политики называют переменными политики, которые включают устойчивые цены, полную занятость и экономический рост, равный темпу роста потенциального ВНП. ЦБ не могут прямо воздействовать на эти цели и выбирают для этого промежуточные цели (инструменты политики), которые ЦБ могут контролировать напрямую. Такими промежуточными целями являются ставка процента и количество денег.
                                          4. Номинальная ставка процента включает реальную ставку и темп ожидаемой инфляции. Изменение денежной массы может изменить номинальную ставку процента вследствие действия эффекта Кейнса или эффекта Фишера. Рост денежной массы может привести к повышению или к снижению ставки процента в зависимости от того, какой из эффектов окажется сильнее.
                                          5. Ни кейнсианцы, ни монетаристы не считают, что ЦБ может определить, как в краткосрочном периоде рост номинального ВНП повлияет на рост реального ВНП и повышение ценового уровня. Обе школы согласны и в том, что в долгосрочном периоде все воздействие денежной политики отражается в изменениях в уровне цен.
                                          6. Монетаристская школа считает, что существует большая опасность проциклических последствий использования ставки процента в качестве промежуточной цели.Они поддерживают правило постоянного роста денежной массы.




                                          ДЕНЕЖНО-КРЕДИТНАЯ ПОЛИТИКА


                                          Обычно в западных странах ЦБ увеличивает кредиты коммерческим банкам в периоды циклических сжатий и депрессий. Это поощряет банки к увеличению ссуд клиентам. При предоставлении кредитов коммерческим банкам ЦБ применяет процентную ставку, которую называют дисконтной.
                                          Дисконтная ставка ставка процента, которую назначает ЦБ за кредиты, предоставляемые частным финансовым институтам. В практике западных стран доля кредитов ЦБ частным банкам в балансе ЦБ обычно очень невелика. Такие кредиты играют роль в чрезвычайных случаях (например, во время кризиса фондовой биржи в США в октябре 1987 г.). Зато регулярную и важнейшую роль играет сама дисконтная ставка.
                                          Она как бы объявляет обществу (бизнесу) о намерениях ЦБ. Например, если коммерческие банки предоставляют ссуды за 8% а ЦБ нужно понизить ставку процента, с тем чтобы помочь экономическому подъему, он может объявить о понижении дисконтной ставки до 7%. В этом случае частные и могут занять деньги у ЦБ по более низкой ставке и ссудить их частным банкам по более высокой ставке.
                                          Но будет временным, краткосрочным явлением, на смену которому придет выравнивание ставок процента под уровень дисконтной ставки. Таким образом, объявление новой дисконтной ставки первоначально как индикатора целей ЦБ наводить расширительную или ограничительную денежную политику, затем приводит к тому, что под этот индикатор подравнивается с присущими отклонениями все множество процентных ставок на различные виды активов.
                                          Обычно изменения дисконтной ставки подкрепляются энергичными действиями на открытом рынке, что оказывает весьма существенное воздействие на общую величину чистых ободных резервов в банковской системе в целом (т. е. избыточных резервов минус резервы, полученные взаймы у ЦБ). Эта величина указывает на способность коммерческих банков создавать дополнительный объем банковских денег. Если величина свободных резервов меньше установленного законом уровня, то банковская система должна сократить объем ссуд и депозитов. Если эта величина выше такого уровня, то банковская система может увеличивать объем ссуд и депозитов.
                                          Когда величина свободных резервов снижается, то ставка процента на ресурсы ЦБ растет, а вместе с ней растут и другие ставки процента.
                                          В силу некоторых исторических причин ставка процента на ресурсы, занимаемые у ЦБ, получила название дисконтной в США. В ряде других западных стран ее часто называют банковской ставкой. Изменение дисконтной, или банковской, ставки оказывает существенное психологическое воздействие на финансовые рынки, поскольку информирует продавцов и покупателей о направлении денежно-кредитной политики ЦБ.
                                          В западных странах, для того чтобы поддерживать более жесткую связь между ставкой и денежной массой, ЦБ используют так называемое моральное воздействие неофициальное требование к банкам об ограничении их потребностей в займах у ЦБ и о том, чтобы они следовали объявленной политике ЦБ.
                                          ЦБ имеет также немало иных, менее значительных способов контроля за денежной массой. ЦБ может осуществлять выборочную проверку кредитной деятельности коммерческих банков, как правило, с целью воздействия на распределение кредитов проверяемого банка. ЦБ также в большинстве стран пользуется правом регулирования кредитов, которые используются в операциях на рынках ценных бумаг.
                                          Речь идет о том, что ЦБ может установить так называемые предельные потребности покупателей в заемных средствах, манипулируя величиной первой выплаты, которую покупатель делает за счет своих, т. е. незаемных, ресурсов.
                                          § 124. ДЕНЕЖНО-КРЕДИТНАЯ ПОЛИТИКА Таким образом, у ЦБ имеется немало сильных инструментов воздействия на денежную массу и, следовательно, проведения дискреционной денежно-кредитной политики. ЦБ нуждается именно во множестве таких инструментов, так как реакция любого отдельного коммерческого банка на те или иные отдельные изменения чаще всего непредсказуема.
                                          Коммерческие банки варьируют величиной своих избыточных резервов в соответствии с собственными оценками ситуаций, следуя которым увеличивают или сокращают объемы ссуд и депозитов. В целом мы знаем, как по мере роста ставок процента банк увеличивает эти объемы, что приводит к росту денежной массы. Но мы знаем также, что ЦБ может изменять соотношения между денежной массой и процентными ставками, используя операции на открытом рынке, изменяя норму обязательных резервов и изменяя политику кредитования коммерческих банков.
                                          Установление денежной политики процесс, в котором ЦБ определяет, как и до какого предела он будет контролировать величину предложения денег (денежную массу).

                                          ДЕНЕЖНО-КРЕДИТНАЯ ПОЛИТИКА

                                          23-1
                                          Цели этой политики включают достижение успехов в осуществлении макроэкономической трилогии: стабильного ценового уровня одновременно с полной занятостью и устойчивым экономическим ростом. Среди этих трех целей главной для ЦБ является обеспечение стабильного ценового уровня. Все три цели часто называют переменными политики, т. е. конечными целями политики.
                                          Совершенно очевидно, что ЦБ не может прямо контролировать эти переменные. То, что ЦБ в состоянии контролировать, называют инструментами политики. Таким образом, ЦБ не может контролировать реальный ВНП и ценовой уровень (поведение которых и является суммой трех упомянутых целей), но зато способен контролировать денежную массу или ставку процента. Денежная масса и ставка процента воздействуют на совокупный спрос, но характер этого воздействия определяется положением кривой SRAS, которая, естественно, находится вне контроля ЦБ.
                                          23-1 показывает нам воздействие, которое рост денежной массы оказывает на совокупный спрос. В обеих частях 23-1 экономика первоначально находится в точке Е0 в состоянии полной занятости, когда начатая ЦБ расширительная денежно-кредитная политика начинает увеличивать совокупный спрос. Кривая AD1 сдвигается на AD2 а точка равновесия с Е0 на Еsr.
                                          В обоих случаях происходит краткосрочное увеличение ВНП и возникает инфляционный разрыв ВНП. Но распределение случившегося увеличения между реальным ВНП (YR) и ценовым уровнем (Р) оказывается различным. На 23-1, а наибольшее увеличение пришлось на P1, а на 23-1, б больше увеличился Y. Это различие следствие разного наклона кривой SRAS.
                                          Чем более пологой является кривая SRAS (рис 23-1, б), тем большим оказывается рост номинального Y, выразившийся в росте реального ВНП (YR), и меньшим рост Р. Таким образом, при равном увеличении совокупного спроса рост YR относительно больше в случае б, а рост Р больше в случае о. Поэтому в краткосрочном плане ЦБ не может контролировать то, как рост номинального ВНП будет распределен между ростом Р и ростом YR.
                                          Однако в долгосрочном периоде различий между а и б нет. Как мы видим из обеих частей 23-1, процесс автоматической перестройки экономики, который должен преодолеть возникший инфляционный разрыв, заставит кривую SRAS1 сдвинуться на SRAS2. Точка равновесия в обоих случаях переместится с ESR на ELR. Поэтому в долгосрочном периоде наклон кривой SRAS не имеет значения.
                                          Но в долгосрочном периоде все воздействие увеличивания совокупного спроса отразится только в росте Р (вспомним точку зрения классиков). Из этого следует, что денежно-кредитная политика, направленная на стимулирование экономического роста в краткосрочном периоде, в долгосрочном периоде неизбежно приведет к росту ценового уровня.
                                          Помимо того что денежно-кредитная политика испытывает неопределенное воздействие наклона кривой SRAS, на ее результаты влияют и другие факторы. Во-первых, сам постоянный процесс реального экономического роста (т. е. постоянное смещение кривой LRAS вправо) создает для ЦБ цель, напоминающую движущуюся мишень, где одинаково опасны и «перелет» и «недолет». Во-вторых, периодически происходящие шоки предложения (как и всплески неденежного спроса) сами по себе воздействуют и на Р, и на YR. В-третьих, для ЦБ и других экономических ведомств, отвезших за макроэкономическую политику, огромные трудности создают лаги в поступлении необходимой информации.
                                          Любая информация о макроэкономическом состоянии приходит с опозданием даже в странах, где государственная статистическая служба работает четко. Например, в США опаздывание данных о потребительских ценах составляет один месяц, а данных о дефляторе ВНП три месяца. Данные о номинальном и реальном ВНП в норме дают картину шестимесячной давности. Наконец, российские условия отличаются огромной долей «теневой» экономики, информации о которой вообще нет. Поэтому денежно-кредитная политика определяется на основе несовершенной информации.
                                          Это вынуждает ЦБ многих стран полагаться на промежуточные цели политики переменные, которые служат своего рода наводкой к целям политики ЦБ и которые, будучи близко связаны с переменными политики, обеспечены более доступной и своевременной информацией. К числу таких переменных, применяемых наиболее часто, относятся ставка процента и денежная масса.
                                          ЦБ может контролировать объем резервов во всей банковской системе, контролируя денежную базу объем всех «банковских резервов плюс наличность у населения и фирм (т. е. так называемые «деньги повышенной эффективности»). Денежный мультипликатор, применяемый к денежной базе, создает денежную массу.



                                          ДРУГИЕ ТИПЫ ЭКОНОМИЧЕСКОГО ПЛАНИРОВАНИЯ


                                          Специальной целью социалистов являлось прогрессивное уменьшение неравенства. Неизбежность какой-то степени неравенства понимали даже социалисты. Поэтому многие из них говорили не об абсолютном равенстве, а о «справедливой доле» для каждого, о «социальной справедливости». Фактически речь шла об определенных возможных различиях в уровнях заработной платы в зависимости от квалификации, производительности и т. д.
                                          Институциональным инструментом социалистов является также предоставление людям равных возможностей в приобретении профессии, а также массовое просвещение населения. Социалисты традиционно уделяли особое внимание образованию, создав свое содержание гуманитарного образования, отличавшееся достаточной эффективностью и крайней догматичностью. В его основе было отрицание индивидуализма, подчинение личности коллективу и обществу в целом, признание абсолютного приоритета государственно-общественных ценностей.
                                          Унификация поведения, взглядов и убеждений, обязательное следование стандартному кодексу коллективистских ценностей и решений стали институциональной структурой обычаев социалиста. В XIX первой половине XX в. к этому следует добавить некоторые элементы аскетического воспитания и ограничение гедонистских наклонностей (т. е. наклонностей к наслаждениям).
                                          Но главным институциональным блоком социализма, который нам нужно вкратце рассмотреть, является экономический блок. Мы уже знаем, что модель совершенной рыночной конкуренции предусматривает гибкость цен на товары и факторы производства, распределение доходов на основе реального вклада факторов в производственный процесс. Это обеспечивало систему ценообразования и установление объемов производства каждого вида продукта.
                                          Что же происходит в модели социализма?
                                          Прежде всего переход к социализму в любой стране, решившейся на это, требовал переходного периода. По этому вопросу мнения социалистов разделились. Одни считали, что передача «средств производства» из частной собственности в собственность государства должна произойти быстро (вдруг) и во всей экономике на основе конфискации.
                                          Другие придерживались идеи постепенности и считали необходимым обеспечить какой-то вариант компенсации бывшим собственникам «средств производства» (земли и капитала). В реальности случились оба варианта, но абсолютно преобладал первый.
                                          Кому же конкретно должны были передаваться «средства производства»? Практически во всех случаях пошли двумя параллельными путями. Институционально промышленные группы собственности были переданы министерствам, а сами министерства включены в политический процесс, поскольку министры стали политическими деятелями (членами парламентов и т. д.). Естественно, что определение и выражение экономических предпочтений с этого времени замкнулось на нескольких людях.
                                          Правда, в Югославии эту модель откорректировали. Персонал министерств здесь действовал как бы независимо от политических инстанций, а предприятиями руководил совет директоров, обсуждавший мнения потребителей, рабочих и технических служб и поручавший осуществить трансляцию этих мнений в производственную практику профессиональным управляющим.
                                          Другая часть «средств производства» могла передаваться в руки отдельных коллективов (сельские кооперативы, артели, товарищества и партнерства в сфере услуг, местной промышленности и т. д.). Но и над ними были поставлены правительственные учреждения, определяющие экономические предпочтения на всех уровнях «каскада властей».
                                          Одним из труднейших для социалистов оказался вопрос о мотивации работников. Теоретические лозунги о необходимых различиях в зарплате на практике свелись к минимальному разрыву между оплатой неквалифицированного и квалифицированного труда. Но помимо этого средний уровень зарплаты повсеместно оказался чрезвычайно низким.
                                          В СССР в конце 20-х гг. (т. е. до «построения социализма») доля зарплаты в национальном доходе составляла почти 90%, а в конце 80-х гг. около 35% (сравните с 84% в США). Эти цифры однозначно говорят о том, что в реальной социалистической экономике работник полностью отчуждался от результатов своего труда и его зарплата превратилась в талон на прожиточный минимум с незначительными колебаниями в обе стороны. Сферы, где отчуждение достигло максимального уровня, подверглись глубокой деградации.
                                          В СССР такой сферой стало, в частности, сельское хозяйство.
                                          Не меньшие трудности ждали социалистов в сфере ценообразования. Отказавшись от рыночных принципов, все реальные социалистические экономики исходили из централизованного определения цен на конечные товары и на факторы производства. Практически ценообразование свелось к суммированию затрат и плановой прибыли, к которым добавлялись торговые надбавки и акцизы (косвенные налоги на водку, табак, автомобили, хрусталь, мебель и т.д.). Теоретические надежды обязательного учета социальных затрат на защиту от негативных внешних факторов оказались пустыми. Ни один управляющий предприятием за всю историю социалистических экономик не включал в затраты продукции «социальные затраты» от загрязнения природной среды его предприятием.
                                          Но и на уровне высших плановых органов социальные затраты от негативных внешних факторов включались в проекты планов, но редко доходили до стадии окончательного утверждения проектов. Отсюда те чудовищные разрушения, которые были причинены природной среде экономикой социализма в СССР, Монголии, Вьетнаме, Камбодже, других странах.
                                          Несостоятельными в конечном счете оказались и попытки тотального планирования производства. Провалы с производством то стиральных порошков, то бумаги, то запчастей и т.д., тотальный дефицит все чаще свидетельствовали о нарастающей неэффективности социалистического планирования. Одним из тяжелейших результатов социалистической системы стало разрушение общечеловеческих ценностей, основ морали (в том числе и деловой морали).
                                          На всех уровнях власти оказались люди, способные в любой момент переступить закон и действовать в составе как организованной преступности, так и индивидуальных нарушений законов и норм морали.
                                          Сегодня вся критика, с которой в XIX в. выступил против капитализма К. Маркс, может быть предъявлена социализму. Но, к сожалению, чаще дело обстояло хуже, чем это видела любая критика.
                                          § 156. ДРУГИЕ ТИПЫ ЭКОНОМИЧЕСКОГО ПЛАНИРОВАНИЯ Однако попытки воплотить в жизнь социалистические идеи осуществлялись не только в странах, где была создана социалистическая экономическая система. Эти идеи применялись и в странах, где традиционно доминировала система свободного предпринимательства, т. е. рыночная система.
                                          В качестве примера можно взять послевоенную Англию. В 19451951 гг., когда у власти в этой стране находилась лейбористская (т. е. социалистическая) партия, в Англии были национализированы Центральный банк, угольная, газовая промышленность, черная металлургия, производство электроэнергии, транспорт, коммуникационные отрасли. С момента создания своей партии в начале XX в. лейбористы выступали за общественную собственность на ключевые отрасли экономики, а затем выдвинули идею всеобъемлющего экономического планирования.
                                          Важно знать, что к 1945 г. угольная промышленность была физически изношена, добыча, занятость и экспорт снижались. Черная металлургия нуждалась в огромных инвестициях, таможенной защите и ценовом контроле. Железнодорожный, автомобильный и речной транспорт требовал срочного восстановления и развития.
                                          Частный сектор, конечно, не мог осуществить крупные инвестиции в относительно короткие сроки. Это было ясно большинству населения, проголосовавшего в 1945 г. за лейбористов.
                                          Организация национализированных отраслей была поставлена в независимое положение от политических инстанций в отношении оперативных решений. Но определение стратегической политики должно было подчиняться правительству. Каждую из отраслей возглавлял совет управляющих, имевших богатейший опыт работы.
                                          Молодые управляющие получили дополнительную подготовку в фирмах США. Первый период приток государственных инвестиций сглаживал начавшийся разлад в организации работы. Однако противоречащие друг другу указания от различных уровней иерархического управления быстро привели к деградации этих отраслей. Но в особой мере деградация коснулась отношений между рабочими и управляющими. Типичной картиной стали ползучие забастовки шахтеров, железнодорожников, докеров и т.д., приводившие к тяжелым проблемам со снабжением продовольствием, углем, электроэнергией.
                                          Обычными стали требования роста зарплаты без соответствующего роста производительности труда. Пытаясь решить возникшие проблемы, лейбористы все чаще прибегали к субсидированию национализированных отраслей, истощая госбюджет.
                                          Как мы знаем, в рыночной экономике эффективное распределение ресурсов осуществляется благодаря информации о свободных ценах, образующихся на основе предельных затрат. Любые отклонения от ориентиров предельных затрат ведут к неэффективному распределению затрат. Эти отклонения стали типичными для английских национализированных отраслей.
                                          Для скрытой помощи экспортерам искусственно поддерживались низкие тарифы на железных дорогах.



                                          ФРБ имеет множество функций


                                          Они должны купить акции своего регионального ФРБ, но их дивиденды не превышают 6% в год. Банки члены ФРБ избирают шесть директоров каждого регионального ФРБ, еще трех назначает Совет управляющих ФРС. Девять директоров избирают президента, который должен быть одобрен Советом управляющих ФРС.
                                          Эти девять директоров делятся на три категории (А, В, С). В категории А три директора должны быть профессиональными банкирами. В категории В три директора должны быть выдающимися бизнесменами из сферы промышленности, торговли и сельского хозяйства.
                                          Наконец, в категории С три назначенных Советом управляющих ФРС директора должны представлять общественные интересы. Они не могут быть служащими или акционерами ФРБ. ФРБ имеет множество функций. Среди них следует отметить следующие:
                                          а) эмиссия наличности;
                                          б) изъятие испорченных денег из обращения;
                                          в) оценка некоторых заявок на слияние;
                                          г) выдача ссуд коммерческим банкам;
                                          д) клиринг чеков;
                                          е) проверка коммерческих банков;
                                          ж) служит посредником между деловым сообществом региона и ФРС.
                                          Все национальные коммерческие банки должны становиться членами ФРС. С 80-х гг. все банки обязаны держать резервы в ФРС, но одновременно все они получили доступ к дисконтному окну, к клирингу чеков, к финансовым ресурсам ФРС в случае срочных и трудных обстоятельств, к услугам ФРБ по электронному переводу денег.
                                          Особую роль играет Совет управляющих ФРС. Он состоит из семи управляющих, каждого из которых назначает президент США с одобрения сената. Для того чтобы ограничить контроль президента над ФРС, управляющий занимает свою должность 14 лет. Все управляющие должны быть из разных регионов. Председатель Совета избирается из его членов сроком на 4 года.
                                          Президент США, даже если бы его избрали на второй срок подряд, не может назначить большинство Совета. Совет обязан предоставлять конгрессу сообщение о своей работе раз в полгода. Совет обладает широкими полномочиями по контролю за финансовыми посредниками.
                                          Федеральный комитет по операциям на открытом рынке проводит заседания 8 раз в год. В его состав входят все члены Совета управляющих ФРС, президент ФРБ Нью-Йорка и по ротации президенты четырех других ФРБ. Президенты остальных ФРБ присутствуют с правом совещательного голоса.
                                          Основная функция комитета операции на открытом рынке, о чем мы подробнее узнаем в следующей теме. Хотя решения о дисконтной ставке и норме резервов не входят в официальную компетенцию комитета, эти вопросы фактически решаются именно на его заседаниях.
                                          Помимо писаных правил существует создававшаяся десятилетиями неформальная структура отношений внутри ФРС. Коммерческие банки члены ФРС фактически не имеют влияния на решения Совета управляющих. Выборы директоров ФРБ выглядят как назначение, которое производят президенты ФРБ.
                                          Коммерческие банки не влияют на решения ФРБ, хотя и являются их акционерами. Все это позволяет сделать весьма важный вывод: собственность на активы ФРС принадлежит частному сектору, но управляется ФРС властями, отражающими интересы общества в целом. Это делает ФРС чрезвычайно влиятельной силой, цементирующей интересы всех секторов общества и экономики.
                                          ФРС обладает чрезвычайно высокой степенью независимости в отличие от других федеральных ведомств США. На независимость ФРС особое влияние оказывает ее экономическая самостоятельность. Выручка от владения ценными бумагами, от ссуд коммерческим банкам лишает конгресс и президента возможности давить на ФРС материально.
                                          ФРС сама покрывает свои расходы, направляя, вдобавок, чистую выручку в Министерство финансов.
                                          ФРС может отказать федеральному аудиторскому ведомству в разрешении на проверку своей деятельности. В одной из статей известных макроэкономистов А. Алесины и А. Саммерса на основе реальных фактов утверждается, что существует обратная зависимость между степенью независимости Центрального банка и уровнем инфляции: чем выше уровень независимости, тем ниже уровень инфляции.
                                          Хотя ФРС независимое ведомство, наивно полагать, что оно действует, не согласовывая своих решений с другими ветвями власти и другими ведомствами. Действия всех властей и всех экономических ведомств постоянно взаимо-увязываются. Раз в неделю проходят рабочие встречи председателя Совета управляющих ФРС, министра финансов и председателя совета экономических консультантов при президенте.
                                          На этих встречах согласовываются все необходимые решения, касающиеся макроэкономической трилогии проблем устойчивого роста, полной занятости и стабильных цен.
                                          В заключение целесообразно обозначить основные функции Центрального банка:

                                            1. получение депозитов от финансовых институций (в форме обязательных резервов) и выдача этим институциям разрешения осуществлять платежи друг другу;
                                            2. определение минимального уровня обязательных резервов, которые коммерческие банки должны держать для гарантии депозитных счетов, определение минимального уровня собственного капитала банка;
                                            3. предоставление займов коммерческим банкам, если они временно испытывают нехватку резервов;
                                            4. выполнение роли банкира правительства;
                                            5. обеспечение системы чековых расчетов;
                                            6. эмиссия наличности.
                                          Великая депрессия 19291933 гг. оставила глубокий след в психологии людей. Тогда она привела к панике и к массовому изъятию депозитов из банков. В огромном количестве случаев сумма изъятий превышала резервы.
                                          Призрак 1929 г. до сих пор витает в банковском мире. Именно поэтому правительства большинства развитых стран с традициями рыночной экономики установили определенные системы безопасности, как для банков, так и для вкладчиков.
                                          Как уже отмечалось, банковская система в решающей мере зависит от доверия к ней со стороны вкладчиков. Для того чтобы поддержать это доверие, власти жестко контролируют деятельность банков, страхуют депозиты вкладчиков и активы банков. Еще в 30-е гг. правительство США создало два важных финансовых агентства Федеральную корпорацию страхования депозитов и Федеральную корпорацию по страхованию счетов в ссудо-сберегательных кассах. Их функции состоят в том, чтобы предотвратить потери вкладчиков в случае возникновения паники и массового изъятия вкладов.
                                          С другой стороны, ФРБ, Управление главного валютного контролера, ряд других агентств обеспечивают систему безопасности банков.
                                          Ключевые слова и понятия

                                          • Баланс (балансовый отчет)
                                          • Депозиты
                                          • Коммерческий банк
                                          • Мультипликатор депозитного расширения
                                          • Норма резервов
                                          • Фракционные (частичные) резервы
                                          • Функции
                                          • Центрального банка
                                          • Центральный банк
                                          ИТОГИ ИЗУЧЕНИЯ ТЕМЫ

                                          1. Банки осуществляют деловые операции и зарабатывают прибыль. Они обеспечивают вкладчикам сохранность их денег, чековое обслуживание их вкладов. Банки предоставляют кредиты и гарантируют стабильность системы платежей. Они минимизируют затраты на поиск кредитов, берут на себя риск денежных операций и предлагают клиентам высоколиквидные средства для инвестиций.
                                          2. Коммерческие банки обязаны держать резервы как часть их депозитов на случай значительного изъятия вкладов. Коммерческие банки для осуществления контроля за своими операциями используют балансовые отчеты, в которых дается информация о движении активов, пассивов и собственного капитала банка.
                                          3. Важнейшее звено банковской системы Центральный банк. Он является банком правительства. Главная функция Центрального банка обеспечение трех основных макроэкономических задач: устойчивого экономического роста, высокой занятости и, особенно, стабильного уровня цен. Центральный банк устанавливает обязательную норму резервов, контролирует деятельность коммерческих банков и других финансовых посредников, осуществляет эмиссию декретных денег.
                                          4. Центральный банк, как правило, обладает значительной степенью независимости. Факты говорят о том, что, чем выше независимость Центрального банка, тем ниже уровень инфляции в данной стране.
                                          5. Действуя совместно, коммерческие банки осуществляют кредитные операции, используя избыточные резервы. Кредитная экспансия банков зависит от величины мультипликатора депозитного расширения. На величину мультипликатора влияют норма резервов, обращение части чекового оборота в наличность и стремление многих банков держать объем резервов выше обязательной нормы.




                                          Гипотеза конвергенции


                                          Против этой очевидной истины сегодня возражают лишь те, кто с надеждой пытается узнавать о событиях в социалистическом Китае и оценивать их с точки зрения возможности приспособить эти события к идее реставрации социализма в России. В Китае коммунистическими властями были допущены некоторые рыночные отношения в сельском хозяйстве и в сфере малого бизнеса. О чем это говорит?
                                          О том, что накануне серьезного экономического кризиса, китайские коммунистические власти смогли решиться на реформы. Но эти реформы, дав свои ограниченные результаты (а свои результаты дали и советские реформы во второй половине 60-х, и венгерские реформы в 70-е гг.), не создали необходимого институционального потенциала современной эффективной смешанной экономики.
                                          Но все-таки есть ли что-то позитивное в китайском опыте? Конечно, есть. У российских большевиков не было плана постепенного строительства социалистической системы экономики.
                                          Они предпочли уничтожить старую и обойтись без переходного периода от одной системы экономики к другой. После исчезновения СССР у российских властей были верные представления о том, какая смешанная система была бы работоспособной в России. Но идти к ней через мгновенное разрушение старой значило повторять путь, начатый в 1917 г., но теперь в обратном направлении.
                                          Китайский путь действительно путь через осторожно преодолеваемый переходный период от одного состояния экономики к другому, что предполагает постепенное создание институциональных механизмов рыночной экономики рядом с пока еще мощными функциями государства.
                                          Но это не конвергенция, а исторически свершившееся отрицание социалистической плановой экономической системы. Она не возникла как следствие эволюционного появления потребности в ней и добровольно осознанного народного признания ее необходимости. Везде и всюду, где она появилась, она была навязана силой и обманом.
                                          Поэтому везде, где прекращали навязывание этой системы силой, она быстро разваливалась. Сегодня ее силой удерживают на Кубе и в Северной Корее, в ряде стран СНГ. В Китае ее тоже удерживают силой, но этой же силой строят другую, пока параллельную систему рыночных институциональных механизмов.
                                          В ходе длительного исторического развития, через постепенное (эволюционное) движение или через катаклизмы мятежей, путчей и революций человечество отбирало те институциональные механизмы, которые наиболее эффективно удовлетворяли потребности людей.
                                          Ключевые слова и понятия

                                          • Гипотеза конвергенции
                                          • Институции
                                          • Переходный период
                                          ИТОГИ ИЗУЧЕНИЯ ТЕМЫ

                                          1. Экономическая система совокупность институциональных механизмов (институций), которые управляют поведением людей и обществом в целом. Экономические системы различаются, следовательно, благодаря различиям в образующих их институциях. Сравнительный анализ экономических систем означает прежде всего изучение их институций.
                                          2. Рыночная экономика и чистый капитализм отличаются своими институциями, где главную роль играют право частной собственности на факторы производства, право свободного предпринимательства, право наследования частной собственности, жесткая защита государством этих прав, конкурентные рынки товаров и факторов производства, свободное ценообразование на основе предельных затрат, распределение доходов на основе предельного продукта фактора.
                                          3. Идеальная теория капитализма не оказалась адекватной реальному капитализму и реальной рыночной экономике. Трансакционные затраты, концентрация экономической власти у крупных корпораций, несовершенная конкуренция, неспособность рыночной системы эффективно обеспечить людей общественными благами, макроэкономическую стабильность все это привело к дополнению традиционного набора институциональных рыночных механизмов новыми институциями, связанными с функциями властей (государства). Возникла смешанная экономическая система. Она не отбросила рыночную, а интегрировала в нее новые институции. Но это еще не решило всех проблем, оставив в повестке дня проблему обеспечения чисто человеческих ценностей, проблему относительной бедности, проблему неполной занятости производственных ресурсов.
                                          4. Идеальная теория социализма тоже оказалась далека от реального социализма. Предложив в теории общественную собственность на капитал ведущих отраслей, на практике социализм допустил обобществление практически всех факторов производства. Он также распространил обязательное планирование на все виды экономической деятельности. В трудовых отношениях реальный социализм допустил беспрецедентное по масштабам отчуждение работника от результатов его труда и лишил его эффективных трудовых мотиваций. Обещания жесткого учета негативных внешних факторов на практике вылилось в разрушение природной среды.
                                          5. Было немало активных попыток внедрения отдельных социалистических идей в институциональную систему капитализма. Это создало варианты национального опыта рекомендательного планирования (голландского, французского и т. д.), различные по объему и составляющим частям государственные сектора, попытки разнообразных мер по вмешательству в ценообразование, по развитию «государства благосостояния». Многое из этих попыток устоялось и вошло в институциональную практику государств со смешанной экономикой. Но многое оказалось нежизнеспособным, и в 80-е гг. начался отказ от этих не подтвердивших свою эффективность идей.
                                          6. Возникшая 30 лет назад гипотеза конвергенции (взаимопроникновения полезных элементов различных систем) была основана на двух посылках. Совершенствование теории и техники макроэкономического управления в капиталистических странах привело к тому, что стали применять аппарат прогнозирования и разработки планов-ориентиров. Одновременно ухудшение экономической динамики в социалистических странах породило потребность в реформах рыночного типа и надежды на них. Но капитализм не пошел дальше глубокого совершенствования кредитно-денежной и фискальной политики, а социализм отбросил любые рыночные реформы. В 80-е it. социалистическая экономическая система окончательно выявилась как тупиковая, и начался переход бывших социалистических стран к смешанной экономике, подтвердившей свою жизнеспособность во всех западных странах.
                                          Содержание






                                          Группа оставалась низкодоходной.


                                          Потребители угля получали субсидии, компенсирующие завышенные цены на уголь. Зато сталеплавильщики не могли повысить цены на свою продукцию, несмотря на значительный рост спроса на нее. Национализированные отрасли торговали между собой по сниженным ценам, что было названо «перекрестной субсидизацией». Но это не только не влияло на улучшение дел в данных отраслях, но вело к многочисленным конфликтам между регионами и между правлениями государственных корпораций. Постепенно, одна за другой эти отрасли сползали на убыточный уровень, становясь постоянными получателями субсидий, ибо не могли покрыть своих затрат.
                                          Безрадостную эволюцию претерпела и политика государственных инвестиций в национализированные отрасли. Во-первых, прирост инвестиций решительно обгонял прирост производительности. Во-вторых, значительная часть инвестиций шла на предприятия, жизнь которых пытались спасти из политических соображений, хотя с экономической точки зрения их нужно было закрыть.
                                          В-третьих, инвестиционные программы, рассчитанные на много лет, прерывались при смене правительств и не доводились до конца.
                                          Конечно, деятельность национализированных отраслей в Англии была эффективнее, чем деятельность их аналогов в России. Это связано с более высоким уровнем менеджеров, рабочих, наличием гигантской рыночной среды, в которой эти отрасли существовали. Но в сравнении с английским частным сектором эти отрасли были наихудшими в английской экономике.
                                          Все, что они делали, они делали хуже других.
                                          В послевоенный период многие отрасли и предприятия в Англии переходили «из рук в руки» (из национализированного сектора в частный и обратно). Условно их можно разделить на три группы: 1) угольная, металлургическая промышленность, транспорт они реорганизовывались не один раз, и это вело к значительном социальным последствиям; 2) электроэнергетика, газовая промышленность, телефонные коммуникации капиталоемкие отрасли, которые постоянно требовали крупных капиталовложений; 3) отрасли, граничащие с технологическими инкубаторами, атомная энергетика, информатика.
                                          В первой группе что-то удалось улучшить только за счет уничтожения неэффективных предприятий (многие угольные шахты), за счет крупных госинвестиций (металлургия). Во второй группе поддерживались стабильные и заниженные цены, что было выгодно частному сектору и домашним хозяйствам. Но эта группа оставалась низкодоходной.
                                          Третья группа, выполнявшая большой объем научных работ, существовала, как и в большинстве стран мира, за счет госбюджетных средств.
                                          Вывод состоит в том, что госсектор не только блажь социалистов, но объективная необходимость, ибо частный сектор не любит рисковать крупными инвестициями, которые могут окупиться лишь через много лет. Но всегда эффективность в госсекторе ниже, чем в частном, а следовательно, на микроуровне распределение ресурсов общества в госсектор не является лучшим их использованием.
                                          В Нидерландах функционирует Центральное плановое бюро (ЦПБ), создающее модели голландской экономики. Итоговые ежегодные документы ЦПБ являются одновременно и планами, и прогнозами. Основанные на технике кейнсианского регулирования, эти документы играют важнейшую роль в политике правительства, и их репутация во всем мире очень высока.
                                          Но вся эта деятельность не связана с теориями социалистов.
                                          Более развитая (по сравнению с Нидерландами) система планирования возникла в послевоенное время во Франции. В 1946 г. был создан Генеральный плановый комиссариат (ГПК). Его первой задачей было спланировать реконструкцию французской экономики. Первый План (19471953 гг.) был подготовлен под руководством Жана Монэ, который затем стал «крестным отцом» Европейского экономического сообщества (ЕЭС).
                                          Этот План удачно выбрал пути реконструкции и способы эффективного использования средств, полученных Францией по Плану Маршалла*. За первым последовали и другие планы (1954-1957, 1958-1961 гг. и др.).
                                          По мере усиления взаимодействия стран внутри ЕЭС возможности ГПК стали уменьшаться, поскольку все большая часть французской экономики координировалась на основе внешних требований. Но планы играли ведущую роль в осуществлении фискальной политики Франции. ГПК удается: 1) создавать условия для взаимодействия частных компаний, профсоюзов и правительственных учреждений; 2) обеспечивать стимулы тем частным компаниям, которые расширяют производство и инвестируют в пределах, рекомендованных ГПК.
                                          Планы ГПК являются рекомендательными, но они авторитетно ориентируют бизнес, гарантируя высокий уровень макроэкономической стабильности.
                                          Наконец, следует упомянуть о широко распространенной модели совокупного экономического планирования, ставшей фактически новым институциональным механизмом в западных странах. Речь идет о модели «государства благосостояния», т. е. системе мероприятий, которая изменяет игру рыночных сил в трех направлениях: а) гарантирует индивидуумам и семьям минимальный доход независимо от рыночной оценки их труда или накопленного богатства; б) снижает уровень «негарантированности», «незастрахованности», давая возможность отдельному человеку или семье справиться с социальными проблемами (болезнь, безработица, старость); в) предоставляет всем гражданам в случае необходимости на равной основе определенный набор социальных услуг (помощь слепым, инвалидам, иждивенцам).
                                          Модель «государства благосостояния» стала реальностью практически во всех западных развитых странах. Это стабильно растущие фонды, которые не только устойчиво служат социальному спокойствию, уверенности в завтрашнем дне для каждого, но и являются известными нам встроенными стабилизаторами, помогающими достижению макроэкономической стабильности.
                                          § 157. ГИПОТЕЗА КОНВЕРГЕНЦИИ Эта гипотеза появилась около 30 лет назад. Гипотеза конвергенции утверждение о том, что различные экономические системы мира развиваются, вбирая в себя совпадающие институциональные структуры, сталкиваясь с совпадающими экономическими проблемами.
                                          Иными словами, как бы ни различались экономические системы, в своем развитии они отбрасывают неэффективные институции, отбирают и сохраняют эффективные, так что, в конечном счете, все они после такого постепенного (эволюционного) отбора будут относительно тождественны.
                                          Аргументы сторонников этой гипотезы были следующими. Во-первых, они считали, что новейшие средства коммуникаций и транспорта развиваются повсеместно, создавая единую техническую основу различных стран и обществ. То есть возникает некое техническое единство человеческой цивилизации независимо от страновых различий.
                                          Среди россиян сторонником гипотезы конвергенции был академик А. Сахаров. Он видел экономические успехи западноевропейских стран в 50-е и 60-е гг. и со значительным преувеличением относил их за счет попыток планирования (пусть даже рекомендательного, а не директивного планирования). Вторым аргументом в пользу конвергенции стало распространение плановой техники в некоторых капиталистических странах. Поскольку А. Сахарову казалось, что планирование исключительное детище социализма, он считал, что капитализм свой шаг навстречу социализму сделал и теперь следует ожидать ответного хода. В середине 60-х гг. действительно были попытки осуществить экономические реформы в СССР и других соцстранах.
                                          Но они закончились ничем, а после советской оккупации Чехословакии в 1968 г. о них вообще забыли. Поэтому А. Сахарову вскоре пришлось горько разочароваться.
                                          Воодушевление в западных странах, связанное с идеями плановых макроэкономических методов, полностью прошло в 70-е гг. Тем более, что эти методы так и не начинались в США и Канаде, не прижились в Англии. Да и вообще экономическая наука постепенно осознавала, что степень вмешательства государства в экономику имеет свою индивидуальную критическую массу для каждой страны. В 80-е гг. на смену плановым иллюзиям в западных странах пришло осознание того, что государство стало играть слишком большую роль в экономике, что оно перешло меру разумного и нужно несколько «сдать назад». Именно в эти годы в большинстве западных стран формы и пределы вмешательства государства (правительства) в экономику были пересмотрены в сторону укрепления рыночных методов организации экономики.
                                          Оказались потесненными и попытки планирования, и чрезмерное увлечение программами «государства благосостояния». И политики, и экономисты, и большинство людей поняли, что социальные гарантии не должны превышать разумного и необходимого, что чрезмерность в этом деле превращает социальные гарантии в источник существования ленивых и безнравственных за счет трудолюбивых и честных.
                                          А что же случилось с гипотезой конвергенции? Она тихо умерла по двум уже понятным причинам. Во-первых, сама историческая практика выявила пределы вмешательства государства в экономику, превышая которые общество рискует деградацией. Во-вторых, массовым заблуждением были попытки считать, что СССР мог добровольно двигаться к восприятию рыночных методов организации экономики. Зачатки этих методов возникли лишь после исчезновения СССР.
                                          Рыночные методы и реальный социализм исключают друг друга, ибо институциональные механизмы той и другой экономических систем совершенно различны.



                                          Инвестиции с целью возмещения потребленного капитала


                                          Инвестиции с целью возмещения потребленного капитала мы называем восстановительными инвестициями. А чистые инвестиции (т. е. снижение или увеличение капитального запаса) это изменение в объеме запаса капитала за вычетом его износа. Сумма чистых и восстановительных инвестиций называется валовыми инвестициями.
                                          Когда МРС равен норме временного предпочтения, чистые инвестиции равны 0, а валовые инвестиции равны восстановительным. В этом случае экономика находится в равновесии. В каждый данный момент фактический объем капитала в экономике может быть не равен оптимальному объему.
                                          Если фактический объем будет ниже оптимального, то величина чистых инвестиций станет положительной. Итак, объем накопления зависит от конкурентного выбора между сегодняшним и будущим потреблением. Однако неоклассическая модель исходит из того, что потребитель может осуществлять и другой вид конкурентного выбора между производством (работой) и досугом, т. е. выбора между потреблением товаров и услуг и потреблением досуга. Этот выбор влечет за собой последствия для рабочего усилия, т. е. объема времени, которое люди готовы потратить на производство товаров и услуг. Рабочее усилие зависит от реальной «заработной платы и множества других факторов. Допущение о полной занятости факторных ресурсов, в свою очередь, предполагает, что рынок труда постоянно чист (все заняты).
                                          Когда рынок труда чист, люди работают столько времени, сколько они хотят при данном доминирующем уровне реальной зарплаты. Изменения рабочего усилия, следовательно, зависят либо от изменений в реальной зарплате, либо от изменения детерминант предложения труда. В первом случае кривая спроса на труд будет сдвигаться вниз или вверх вдоль кривой предложения труда.
                                          Во втором случае кривая предложения труда будет сдвигаться вдоль кривой спроса на труд.
                                          Когда индивид работает, он получает доход и тратит его на потребление сегодня или на сбережения (будущее потребление). Когда он работает больше, он сокращает досуг, делает его меньшим. Но заработанный сегодня больший доход означает возможность нового выбора использовать его либо на большее сегодняшнее потребление, либо на будущее потребление, либо на будущий досуг. В последних двух случаях речь идет о сбережениях: более существенные сбережения сегодня увеличивают объем потребления относительно рабочего усилия, которое возможно в будущем. То есть в будущем он может работать меньше, чтобы обеспечивать тот же уровень потребления.
                                          Когда объемы капитала и производства постоянны, а чистые инвестиции равны нулю, потребление всегда является постоянной величиной. Поскольку объем производства не изменяется, постольку не меняется и рабочее усилие, постольку же соотношение между потреблением товаров и услуг и потреблением досуга тоже остается постоянным.
                                          Чтобы описать ситуацию, при которой процесс накопления капитала имеет одинаковые характеристики, экономисты используют понятие равновесия устойчивого состояния, или просто устойчивое состояние. Эта устойчивость процесса накопления может принимать разные формы. Одна из них неизменность объема капитала, при котором чистые инвестиции равны 0. Это форма устойчивого состояния, при которой не происходит роста рабочей силы и не наблюдается технического прогресса.
                                          Другая форма когда рабочая сила увеличивается с постоянным темпом и объем капитала на одного работника постоянен. В этом случае объем капитала и рабочая сила увеличиваются одинаковым темпом. Если технический прогресс развивается устойчиво, возникает третья форма равновесие устойчивого состояния при постоянном положительном темпе увеличения капитала на одного работника.
                                          Если рабочая сила является постоянной долей в численности населения, то рост населения означает и рост рабочей силы. С точки зрения фирмы увеличение населения и рабочей силы означает появление дополнительных работников и дополнительных покупателей.
                                          При этом главным является то, как увеличение рабочей силы воздействует на МРС. Посылка о снижающейся отдаче на капитал исходит в том числе из того, что объем L со всей очевидностью отличается от производительности дополнительного капитала, когда происходит увеличение L и объема производства. Этот вопрос напрямую связан с совокупной производственной функцией.
                                          Масштаб общая величина экономики, когда она измеряется объемом всего К и L (рабочей силы). По отношению к накоплению К ключевой особенностью совокупной производственной функции является возможность изменения соотношения между ростом К и L и объемом производства. Если функция такова, что объем производства растет быстрее, чем К и L, то экономика получает повышающуюся отдачу от масштаба.
                                          Если пропорциональный рост К и L ведет к пропорциональному росту совокупного производства, то экономика имеет постоянную отдачу от масштаба. Если совокупное производство растет менее пропорционально к К и L, то экономика имеет снижающуюся отдачу от масштаба.
                                          Неоклассическая теория часто исходит из того, что экономика имеет постоянную отдачу от масштаба. Поэтому модели роста анализируются в единицах объема капитала на работника и объема производства на работника, которые постоянны в течение времени. Когда технический прогресс является трудоувеличивающим (растущие продуктивные мощности, возникающие вследствие технологических нововведений, которые имеют качества, идентичные таким же мощностям, возникающим вследствие роста рабочей силы), то растущие продуктивные мощности, вызванные техническим прогрессом, принимают такую же форму, как мощности, вызванные ростом числа работников в составе рабочей силы.
                                          Когда это происходит, то мы обсуждаем объем эффективного труда меру рабочей силы, которая растет вместе с ростом числа работников и ростом трудоувеличивающего технического прогресса. При постоянной отдаче от масштаба рост рабочей силы (теперь она эффективная рабочая сила, а не численность людей в составе рабочей силы) ведет к пропорциональному увеличению К в экономике. Допустим, что эффективная рабочая сила устойчиво увеличивается с течением времени.
                                          Частично это происходит из-за роста численности населения, а частично за счет технологического прогресса.
                                          Из этого следует, что К и совокупное производство будут расти одинаковым с эффективной рабочей силой темпом. Технологический прогресс означает, что эффективная рабочая сила растет быстрее, чем фактическое число работников. А это ведет к росту объема производства и К на одного работника.
                                          Технологический прогресс должен быть трудоувеличивающим, так как любой другой его вид устраняет возможность устойчивого состояния, соответствующего вскрытым Р. Солоу закономерностям. Допустим, что мы имеем дело с капиталоувеличивающим прогрессом, т. е. прогрессом, при котором растущие производительные мощности возникают вследствие технических нововведений; эти мощности имеют особенности, идентичные растущим мощностям вследствие увеличения К. Тогда мы обязаны проводить различие между фактическим К и эффективным К мерой объема К, который увеличивается одновременно с ростом числа работников и капиталоувеличивающим техническим прогрессом. Эффективный К растет при положительных чистых инвестициях и при капиталоувеличивающем техническом прогрессе. При устойчивом состоянии эффективный К должен расти одинаковым темпом с L. Это простая генерализация идеи о том, что К должен быть постоянен, когда в экономике не происходит роста населения и технического прогресса, а также идеи о том, что К на одного работника должен быть постоянным, когда в экономике идет рост населения, но нет технического прогресса.
                                          Если эффективный К увеличивается иным темпом, чем L, то МРС со временем отклонится от предельной нормы временного предпочтения, и такая экономика не сможет находиться в равновесии с устойчивым состоянием.
                                          Допустим, что эффективный К растет тем же темпом, что и эффективная рабочая сила (L). При постоянной отдаче от масштаба объем производства должен расти тогда тем же темпом, что и эффективные К и L. Но закономерности Р. Солоу показывают нам, что объем фактического К растет тем же темпом, что и объем производства. Это означает, что эффективный К должен расти тем же темпом, что и фактический К, из чего, в свою очередь, следует, что технический прогресс не может быть капиталоувеличивающим.
                                          Еще одним условием устойчивого состояния является неизменность рабочего усилия в ответ на постоянное изменение в отдаче от работы. Иными словами, постоянные изменения реальной зарплаты не воздействуют на предложение труда. Когда отдача от работы постоянно растет, это не влияет на любой выбор между настоящим и будущим.
                                          Но возникают последствия для сегодняшнего выбора. С точки зрения объема потребления благ, отдача от лишнего часа работы больше. Это означает, что работа в течение лишнего часа ведет к большему потреблению.
                                          Речь идет, таким образом, об эффекте замещения тенденции роста (падения) реальной зарплаты, с тем чтобы поднять (снизить) предложение L повышением (понижением) затрат досуга в категориях упущенных объемов потребления. Этот эффект предполагает, что более высокая реальная зарплата повысит предложение L.



                                          ИСТОЧНИКИ ГОСУДАРСТВЕННЫХ ДОХОДОВ


                                          Решая уравнение (20.1) для значения Y, которое удовлетворяет спросу на товарных рынках, мы находим равновесный Y. Решение включает перевод членов уравнения, относящихся к Y1, в левую сторону и разложение на множители:
                                          Y[1- C1(1 T1) I1] = C0 + I0 I2R + G C1T0.
                                          Деление обеих сторон на [1 C1(1 - T1) I1] дает нам следующее выражение равновесного дохода при данной ставке процента (R):


                                          ИСТОЧНИКИ ГОСУДАРСТВЕННЫХ ДОХОДОВ



                                          равновесный Y =
                                          мультипликатор автономных
                                          расходов

                                          автономные
                                          расходы

                                          Переписывая мультипликатор автономных расходов, в котором применяются предельные склонности, получаем:

                                          мультипликатор
                                          автономных
                                          расходов
                                          ИСТОЧНИКИ ГОСУДАРСТВЕННЫХ ДОХОДОВ
                                          (20.3)

                                          В этом выражении G и (G C1T0), т.е. госрасходы на товары и услуги и автономная часть налогов, являются новыми членами по сравнению с выражением, которое можно было бы применить для двухсекторной модели, где есть только С и I. В целом величина G всегда существенно больше, чем чисто автономная часть налоговых поступлений. Налоги реагируют на изменения Y, так что предельная склонность к налоговому изъятию (МРТ) неизбежно должна была появиться в формуле мультипликатора автономных расходов. Этот мультипликатор зависит от МРТ (или T1) так же, как и от предельной склонности к потреблению (МРС, или C1) и предельной склонности к инвестициям (I1 или MPI). Более высокие налоги сокращают располагаемый доход (YD), который остается после любого повышения налогов. Это воздействие отражается на мультипликаторе (20.3), так как МРТ увеличивает знаменатель и уменьшает величину мультипликатора.
                                          Введенный нами государственный сектор в форме G увеличивает совокупный спрос (AD) через госзакупки товаров и услуг и понижает совокупный спрос через чистые Залоговые поступления (T).
                                          Мультипликатор автономных расходов показывает нам, как изменится AD, когда изменяется автономная часть потребительских, инвестиционных и госрасходов. Но мультиплицируемое воздействие изменений в автономных расходах при наличии налогов отличается от такого же воздействия при отсутствии налогов. Поскольку налоги являются функцией уровня дохода (Y), постольку они создают налоговые утечки (повышающиеся чистые налоговые поступления, связанные с увеличением Y; так как налоговые утечки сокращают вызванный увеличением Y рост расходов, они уменьшают величину мультипликатора), снижающие мультипликатор.
                                          Чем сильнее налоговая утечка, тем меньшим будет конечное воздействие первоначального изменения в расходах. Следующее уравнение демонстрирует воздействие изменения в автономных расходах на Y:

                                          ИСТОЧНИКИ ГОСУДАРСТВЕННЫХ ДОХОДОВ
                                          (20.4)


                                          изменение Y =
                                          мультипликатор автономных
                                          расходов

                                          изменение в
                                          автономных
                                          расходах
                                          Поскольку повышение предельной склонности к налоговому изъятию (ставка налога, Е1) снижает величину мультипликатора, то чем выше налоговая ставка, тем ниже воздействие мультипликатора на равновесный Y.
                                          § 109. ИСТОЧНИКИ ГОСУДАРСТВЕННЫХ ДОХОДОВ Существуют три главных источника бюджетных доходов государства: во-первых, это налоги; во-вторых, плата за пользование; и, в-третьих, займы.
                                          Имеется множество различных налогов, которые устанавливают власти. Но прежде чем рассмотреть их основные виды, еще раз напомним общие типы налоговых систем. Прогрессивный налог (относящийся соответственно к прогрессивной системе налогообложения) нарастающее по мере увеличения дохода налоговое изъятие из дохода. Например, устанавливается некий уровень годового дохода, который (а также более низкие уровни дохода) облагается налогом в 12%. Затем устанавливаются интервалы между более высокими уровнями доходов.
                                          Доход в пределах этого интервала облагается уже по более высокой налоговой ставке. Предельная налоговая ставка дополнительная налоговая ответственность, деленная на дополнительный доход. Если дополнительная 1 тыс. р. дохода (сверх уровня с минимальной ставкой) увеличивает налоговое изъятие с этого дохода до 300 р., то предельная налоговая ставка равна 30%. Или если предельная ставка равна 25%, а минимальный годовой уровень дохода (облагаемый 12%-ной ставкой) составляет 10 тыс. р., то налог с дохода в 14 тыс. р. составит:

                                          ИСТОЧНИКИ ГОСУДАРСТВЕННЫХ ДОХОДОВ
                                          тыс. р.
                                          Эта сумма складывается из налога с необлагаемого предельной ставкой минимума
                                          ИСТОЧНИКИ ГОСУДАРСТВЕННЫХ ДОХОДОВ
                                          и дополнительного налога в 25% на дополнительный (к 10 тыс. р.) доход т.е.
                                          ИСТОЧНИКИ ГОСУДАРСТВЕННЫХ ДОХОДОВ
                                          тыс. р. в нашем примере.
                                          Изъятые из дохода в 14 тыс. р. налоги в сумме 2,2 тыс. р. могут быть отнесены нами ко всей сумме (основной и дополнительной) дохода:
                                          ИСТОЧНИКИ ГОСУДАРСТВЕННЫХ ДОХОДОВ
                                          Полученный результат является средней налоговой ставкой всей налоговой ответственностью, деленной на весь облагаемый доход плательщика.
                                          Понятие «облагаемый налогом доход» логично предполагает наличие необлагаемого дохода. Во многих странах существует необлагаемый минимум годового дохода. Его наличие или отсутствие зависит от исторических, экономических и других особенностей конкретной страны.
                                          В США в 30-е гг. осой минимум был на довольно высоком уровне (что исключало значительную часть населения из налогоплательщиков), но со вступлением США во Вторую мировую войну он был опущен до 500 долл. в год, в результате чего практически все население страны стало налогоплательщиками.
                                          Доход из всех источников и видов деятельности облагается подоходным налогом. Но лишь доходы от наемного труда и от индивидуальной трудовой деятельности являются предметом обложения налогом на фонд заработной платы. Поступления от этого налога используются для финансирования социальных мер защиты населения (пенсии по старости, инвалидности, пособия по безработице, многодетным семьям и т. д.).
                                          Эта статья бюджетных доходов во всех странах является, как правило, второй (после подоходного налога) по объему ресурсов, приносимых в бюджет. Подоходный налог и налог на фонд заработной платы прямые налоги.
                                          Налог на фонд заработной платы принадлежит не к прогрессивному, а к пропорциональному типу налогообложения. Пропорциональный налог налог, который взимается в равной процентной доле с любого уровня дохода (например, 20% с любой суммы 100 р., 1 тыс. р., 10 тыс. р., 100 тыс. р. и т. д.).
                                          Регрессивное налогообложение изъятие налогов, при котором налоги изымают все меньшую часть дохода по мере того, как доход увеличивается. Поскольку часть налогов не применяется к определенным низким уровням доходов, постольку получается, что в процентном исчислении с высоких доходов взимается относительно меньшая доля в качестве налога. После налоговой реформы 1986 г. в США, например, предельная налоговая ставка составляла 33% и применялась к доходу от 71 900 до 149 250 долл., а к доходу свыше 149 250 долл. применялась ставка в 28%.
                                          Одним из универсальных во всем мире налогов является налог на продажи, которым облагается огромный набор потребительских покупок товаров и услуг. Налог, которым облагаются некоторые специфические товары (табачные изделия, спиртные напитки), называется акцизным налогом. Акцизы частный случай налога на продажи.
                                          Налог на продажи и акцизы принадлежат к косвенным налогам, они «спрятаны» в цене товаров и услуг. Налог на имущество основной источник доходов местных властей во многих странах. Этот вид налога вызывает особенно много социальных конфликтов.
                                          Во-первых, считается, что он слишком обременителен после выплаты подоходных, социальных налогов, налогов на продажу и др. (как последняя капля, которая переполняет чашу терпения). Во-вторых, чтобы его взимать, нужно оценить имущество, чем занимается специальная служба, часто допускающая много злоупотреблений. У этого налога есть еще одна особенность он взимается независимо от того, обладает владелец недвижимости и другого имущества какими-либо доходами или нет.
                                          Следовательно, он составляет одну из основ автономной части налогов (G С1 T0), т.е. налогов, которые могут взиматься при полном отсутствии доходов.
                                          Бухгалтерская прибыль фирм облагается налогом на доход корпораций. К доходу корпораций, как правило, применяется прогрессивная шкала налогов. Указанный налог может стимулировать инвестиции за счет заемных ресурсов, а не за счет капитала фирмы.
                                          Это происходит потому, что обычно не делается никаких корректировок для факторов производства, которыми владеет сама фирма, и акционерного капитала, инвестируемого собственниками фирмы. Фирма, которая применяет заемные средства для инвестиций, должна будет платить процент, который она в качестве своих затрат вычтет из бухгалтерской прибыли и суммы своей налоговой ответственности. Если эта же фирма для инвестиций применяет свой акционерный капитал (т. е. увеличивает свой акционерный капитал за счет дополнительной эмиссии акций), то в бухгалтерской отчетности затраты на процент не появятся.
                                          Поэтому, несмотря на наличие альтернативных затрат (упущенной выгоды) капитала, независимо от того, создаются они инвестированием за счет долга или выпуска акций, налоговую ответственность фирмы сокращают только проценты за долг.
                                          Некоторые доходы государства создаются не налогами. Государство может заставить потребителей (физических или юридических лиц) оплачивать предоставляемые им властями товары и услуги. Местные власти обеспечивают коммунальные, транспортные, медицинские, санитарные и другие услуги, которые производятся фирмами, принадлежащими властям либо имеющими от них лицензию, но в любом случае приносящими доход от оплаты этих услуг пользователями.



                                          Классические представления о рыночном капитализме


                                          В реальной жизни теоретический капитализм обнаруживает немало несоответствий. Их источниками являются и частный сектор, и общественный (государственный) сектор. В теории рыночные операции (трансакции) не должны вести к затратам (трансакционным затратам) для покупателей и продавцов.
                                          На практике мы знаем о затратах на поиск наиболее эффективных факторов производства, на переговоры о заключении сделок и контрактов, на инфорсмент (принуждение к выполнению) контрактов, на рекламу и т. д. Эти трансакционные затраты являются бременем как для производителей, так и для потребителей. Власти должны регулировать эти затраты для того, чтобы рынки сохраняли способность к саморегуляции.
                                          Другим источником неприятностей для рыночной экономики, причем тоже рожденным в ее недрах, является угроза появления монополии. Экономия на масштабе создала фирмы, доминирующие на определенных рынках, пытающиеся ограничивать производство и взвинчивать цены, что заставило общество прибегнуть к защите своих интересов. Так власти (государство) получили функции по осуществлению антимонопольных мер.
                                          В целом, в отличие от чистой теории капитализма, где действует частный предприниматель, в реальном капитализме сегодня доминирует корпорация, которая ограничивает ответственность многочисленных собственников-акционеров за дела корпорации. Концентрация экономической власти в руках корпораций весьма значительна, а место предпринимателя-собственника занял профессиональный управляющий. Изменить баланс в пользу более совершенной конкуренции можно за счет расчленения корпораций, подавления их силы. На это сегодня не решится ни одно правительство. Да в этом и нет необходимости.
                                          Мелкие и средние фирмы не могут осуществлять крупные научно-технические программы, от которых зависит судьба всей страны. Кроме того, избавившись от одной силы, общество может нечаянно вручить монопольную власть другой силе. Почему самая высокая почасовая ставка зарплаты в США существует у строительных рабочих? Да потому, что есть тысячи строительных фирм, конкурирующих друг с другом, и всего лишь один профсоюз строительных рабочих, у которого конкурентов нет. Хотим мы этого или не хотим, а вывод о зарплате этих рабочих очевиден: она содержит монопольную надбавку.
                                          Конечно, концентрация экономической власти в руках корпораций опасна для общества, но не менее опасна эта власть, когда она оказывается в руках профсоюзов.
                                          Классические представления о рыночном капитализме сегодня подвергаются широкой ревизии. Давно стало ясно, что чистая рыночная система не может эффективно обеспечить столь нужные людям общественные блага оборону, законы, социальные гарантии и др. Это все блага, которые как бы «недопроизведены» рыночной системой.
                                          Государство должно сегодня жестко вмешиваться или брать на себя производство в таких областях, как электро-, газо- и водоснабжение, строительство коммуникаций. Ни в одной западной стране этим отраслям не предъявляется требование соответствия чисто рыночному критерию эффективности прибыльности. Ценообразование в этих отраслях регулируется властями, чтобы не допустить ущерба для потребителей, которыми являются абсолютно все граждане.
                                          Характерной особенностью последних двух десятилетий в западных странах стал рост количества и влияния в экономике малого и среднего бизнеса. С технологической, организационной, новаторской и других точек зрения малый бизнес оказывается гибче и эффективнее большого бизнеса либо, по крайней мере, конкурентоспособным с ним. Среди самых общих причин такой эффективности нужно назвать безусловную способность малого бизнеса лучше мотивировать своих работников в целях высокопродуктивного труда и более рисковых решений.
                                          Наконец, теоретический капитализм очень далек от реального, имея в виду современные сложные варианты фискальной и денежно-кредитной политики. А. Смит был бы возмущен, узнав о том, что власти дают субсидии одним, чтобы общество как можно скорее получило нужные блага, и подавляют налогами других, чтобы снизить потребление табака или алкоголя. Предприниматель-капиталист несет чистые убытки от простоя, и никто их ему не компенсирует.
                                          В то же время правительства выплачивают значительные пособия тем, чей фактор производства оказался не востребованным обществом. Речь идет о пособиях по безработице.
                                          Конечно, современный капитализм существенно отличается от своего теоретического прародителя. Он радикально изменился, особенно в XX столетии. Но он сумел сохранить все те институциональные ценности, которые позволяли ему поддерживать историческую гибкость, т. е. способность приспосабливаться к масштабным изменениям: к сдвигам в структуре экономики от сельского хозяйства к обрабатывающей промышленности, от промышленности к услугам, к урбанизации и появлению огромных мегаполисов, к индивидуализации потребительских предпочтений, к ситуациям военных противостояний с одновременным значительным ростом национального благосостояния.
                                          Ключевыми оказались обеспечение максимально широких прав человека, развитие гражданского общества, где решения принимаются предпринимателями и рабочими, потребителями и производителями, профсоюзами и союзами предпринимателей. Институциональные механизмы совершенствовались. Возникла смешанная экономическая система, включившая и нерыночные институции. Рыночный сектор обеспечил постоянный технологический прогресс и растущий уровень жизни, а общественный растущий объем социальных гарантий личности.
                                          Вероятно, самым большим достижением бывших стран «чистого капитализма» стало обеспечение ими свободы индивидуального выбора и возможностей человека «сделать себя». Развитие человеческой индивидуальности явилось энергообразующим моментом в том рывке, который эти страны сделали в XX столетии.
                                          Есть ли у реального капитализма пороки и слабости? Конечно, есть. Прежде всего центральным оценочным критерием рыночной экономики была и остается прибыль (убытки). Управляющий, предприниматель в качестве цели видят перед собой баланс активов и пассивов, а не чисто человеческие ценности.
                                          Но можно гадать вопрос: а существовала ли социалистическая стран? (общество), где в экономической политике такие ценности были бы реальностью, а не пропагандистским камуфляжем?
                                          Другой слабостью современной рыночной экономики является существование неполной занятости ресурсов, в том числе безработица. Правда, подавляющее большинство экономистов считают, что это необходимая плата, которую общество должно платить за эффективное распределение своих ограниченных ресурсов. Но тем не менее нужно признать, что такая плата существует.
                                          Наконец, и современный капитализм не смог покончить с бедностью. Даже в США примерно каждый пятый не может из-за своей бедности рассматриваться как человек, пользующийся выгодами высокого американского уровня благосостояния. Конечно, американский бедняк и перуанский бедняк радикально разные категории бедности.
                                          Но ведь любая бедность всегда является таковой по отношению к существующему богатству.
                                          § 155. СОЦИАЛИЗМ В ТЕОРИИ И НА ПРАКТИКЕ Мы не будем касаться неэкономических проблем. Социалистическая экономическая система отличается, как правило, отрицанием частной собственности на физический капитал (капитальные блага), коллективным характером решений по применению физического капитала, уравнительным распределением реального дохода, произведенного трудом, скомбинированным с физическим капиталом.
                                          В Советском Союзе в конечном счете огосударствлению подверглись все капитальные блага. Но Советским Союзом социализм, как известно, не исчерпывался.
                                          Социалисты традиционно выступали за общественную (государственную) собственность, по крайней мере, на капитал стратегически важных отраслей. К таковым они относили конвейерные производства массовой продукции, тяжелую промышленность, капиталоемкие производства, банковскую систему и финансы в целом, коммунальное хозяйство и транспорт, сырьевые отрасли, особенно горнодобывающую промышленность. Из этого следовало, что малый бизнес, сельское хозяйство, местную промышленность (ремесла и т.д.), розничную и оптовую торговлю социалисты рассматривали как спорные отрасли, которые могли быть обобществлены, но могли быть и оставлены в частной или групповой (кооперативной) собственности.
                                          В качестве системы принятия экономических решений социалисты традиционно настаивали на системе планирования, т. е. на такой организации экономической деятельности, которая координируется из единого центра на основе принятых программных установок и целей. Естественно, что такая система требует передачи собственности на капитал в
                                          руки властей.
                                          Социалисты считали, что планирование может быть лучше рыночной организации экономики, по крайней мере, по двум причинам. Во-первых, планирование должно обеспечить устойчивый темп экономического роста, в то время как капиталистическая экономика развивается циклически. Устойчивость, в свою очередь, обязана была обеспечить полную занятость ресурсов, включая рабочую силу.
                                          Во-вторых, планирование должно было устранить все отрицательные внешние факторы (например, загрязнение окружающей среды) за счет включения социальных (полных) затрат в плановые затраты.



                                          КОНЦЕПЦИЯ РЕАЛЬНЫХ ДЕЛОВЫХ (ЭКОНОМИЧЕСКИХ) ЦИКЛОВ


                                          Но более высокая отдача от работы применима к любому проработанному часу, а не только к предельному. Из-за этого работники чувствуют себя богаче и могут распределить свое увеличившееся богатство частично на дополнительные товары и услуги, а частично на досуг. Здесь речь идет уже об эффекте богатства тенденции роста (падения) реальной зарплаты, с тем чтобы понизить (повысить) предложение L повышением (понижением) богатства, тем самым, вызывая повышение (понижение) потребления благ и досуга. Сохранение устойчивого состояния требует того, чтобы предложение L не затрагивалось постоянными изменениями в реальной заработной плате, так как тенденция роста рабочего усилия (рост числа часов работы в неделю) в конечном счете приведет к тому, что число проработанных часов в неделю превысит число часов в неделе. И наоборот, тенденция снижения рабочего усилия приведет в конце концов к тому, что никакая работа вообще делаться не будет. Технический прогресс и накопление К увеличивают производительность L и ведут к росту спроса фирм на L. Этот рост давит на реальную зарплату.
                                          Если работник реагирует на такое изменение снижением или повышением предложения S труда, то это отразится на снижении или росте рабочего Ц усилия. Но так как любая из этих тенденций невозможна при росте с устойчивым состоянием, мы должны допустить, что эффект дохода и эффект замещения от постоянных изменений в реальной зарплате полностью компенсируют друг друга.
                                          В нашей стране в 70-е и 80-е гг. лучшая часть экономической науки, изучая проблемы роста, сосредоточивала свое внимание на проблемах технического прогресса и производительности в обрабатывающей промышленности либо даже только на «чистых» вопросах технического прогресса. В этом сказывалась ее методологическая ограниченность, навязанная силой, а также десоциализированная сущность марксизма, в рамках которого эта наука обязана была существовать. Между тем в реальной жизни западных стран рост жизненного уровня в XX в. во многом обеспечивался радикальным снижением относительных затрат в секторе транспорта, без чего невозможны были ни крупномасштабное производство, ни создание национальных и более широких международных рынков.
                                          Наряду с сектором транспорта создание мощных и технически прекрасно вооруженных сетей оптового и розничного распределения благ увеличивало объем товаров и услуг, которые любое данное число производителей могло доставить до потребителя. К этому следует добавить своевременное (т. е. попросту раннее) и быстрое развитие банковских и сберегательных сетей, способных аккумулировать, обработать и эффективно распределять национальные сбережения в широкий спектр их инвестиционного применения. Все эти очевидные соображения при их применении к нашим условиям многое объясняют и в провале экономического роста в эпоху социалистического строительства, и в тех проблемах, с которыми сегодня сталкивается и все еще будет сталкиваться Россия.
                                          Нам часто средствами массовой информации навязывают данные о том, что, например, японский рабочий даже более производителен, чем американский. Непонятно тогда, почему японский рабочий имеет несколько квадратных метров жилья на члена семьи, а американский в десятки раз больше. Близость уровня производительности труда в японской и американской обрабатывающей промышленности отнюдь не означает такой же близости этого уровня в других секторах, особенно в отраслях услуг.
                                          Таким образом, бессмысленно надеяться на рост уровня жизни за счет только роста производительности в одном секторе (вначале М. Горбачев считал даже, что рост в СССР можно обеспечить за счет стимулирования машиностроения). Экономический рост развитие всех секторов одновременно и сбалансирование.
                                          Мы уже знаем, что на рост производительности воздействуют прежде всего объемы национальных сбережений и инвестиций, прогресс в образовании и профессиональной подготовке рабочей силы, инновационные процессы в производстве, транспортировке и распространении благ.
                                          Есть два главных способа обеспечения национальных потребностей в инновациях. Первый самим создать инновации, второй применить инновации, созданные в других странах. США пример первого пути, Япония второго. Россия в XX в. создала большой потенциал инноваций, который почти на 100% был связан с производством боевой техники и военного снаряжения.
                                          Этот потенциал ничего не дал ни производству вообще, ни потребительским отраслям, ни транспорту, ни сфере распределения благ через оптовые и розничные сети, ни банковской сфере. Мы пошли своим «верным путем» и к концу века пришли с рекордной грудой оружия и жутким дефицитом всего, что нужно человеку для нормальной повседневной жизни.
                                          На производительность воздействуют также демографические сдвиги. Чем ниже в составе взрослого населения доля пенсионеров, тем больше относительная отдача от рабочей силы. Чем выше доля в рабочей силе молодых и неквалифицированных работников, тем ниже ее отдача.
                                          Р. Солоу сумел предложить технику количественного измерения того вклада в экономический рост, который обеспечивают различные факторы. Взяв данные американской экономики за 19291956 гг., Солоу обнаружил, что рост был значительно больше, чем это должно было случиться при осуществленном росте L и К. Эта необъясненная часть общего экономического роста («остаток Солоу») и была атрибутирована к роли технического прогресса и наилучших достижений.
                                          Солоу исходил из того, что в долгосрочный период квалификация работников, инвестиции в образование, в физический капитал и другие факторы производства зарабатывают отдачу в соответствии с их «добавкой» к предельной ценности. В открытой рыночной экономике, если человек с высшим образованием зарабатывает в год на Х ден. ед. больше, чем человек со средним образованием, это означает, что первый из них вкладывает в производство на Х ден. ед. больше, чем второй. Если инвестиции в физический капитал зарабатывают 10%-ную отдачу, то это означает, что они на 10% увеличили объем производства.
                                          При расчетах источников увеличения ВНП предполагается, что каждая дополнительная единица L обеспечивает вклад, равный ее зарплате, а каждый рубль, добавленный в К, дает отдачу, равную норме прибыли (включая процент). Допустим, что ВНП рос на 8% в год в течение пяти лет. При этом 70% национального дохода получали владельцы труда, а 30% владельцы К и предприниматели.
                                          Если занятость росла ежегодно на 4%, то вклад L составлял 2,8% из 8%-ного роста ВНП. Если К вырос на 10%, то его вклад составил 3% (3 = 30 : 10). L и К, таким образом, обеспечили 5,8% из 8%-ного роста ВНП.
                                          А «остаток Солоу», т. е. 2,2% ежегодного роста ВНП, обеспечили другие факторы.
                                          Результаты роста производительности в течение предшествующего исторического времени во всех странах с традиционной рыночной организацией реализовывались в получении людьми более высокого дохода. Однако последние десятилетия пробивает дорогу другая тенденция: все больше людей предпочитают рост свободного времени высшего блага для человека. В США объем производства на одного работника рос на 0,50,7% в год меньше, чем мог бы расти, если бы не происходил процесс сокращения рабочей недели, увеличения отпускников и числа праздничных и выходных дней.
                                          Этот процесс фактически идет весь XX в. во всех странах (известное исключение до сих пор составляет Япония).
                                          Почти половина увеличения подушевого производства в США обеспечивается источниками, которые не могут быть точно идентифицированы. Э. Денисон утверждает, что 75% роста в 19481982 гг. в США обеспечивалось именно такими источниками, которые можно назвать интеллектуальными факторами.
                                          Мы знаем, что темпы экономического роста различных стран неодинаковы. Важно также знать, что эти различия имеют кумулятивный эффект. Известное «правило 72» утверждает, что при темпе роста Х число лет, в ходе которых произойдет удвоение ВНП, равно 72 : X. При темпе в 1% это произойдет за 72 года, при 2% за 36 лет, при 8% всего за 9 лет и т.д.
                                          В национальной философии американцев есть такой «пункт», как стремление каждого сегодняшнего поколения оставить удвоенный ВНП для будущего поколения. Это требует соблюдать примерно 3%-ный темп роста.
                                          § 140. КОНЦЕПЦИЯ РЕАЛЬНЫХ ДЕЛОВЫХ (ЭКОНОМИЧЕСКИХ) ЦИКЛОВ На поведение современной экономики воздействуют меры политики, ожидания будущих цен, валютные курсы. Сегодня все согласны в том, что ожидания являются очень важным фактором для понимания экономической динамики. Но имеются существенные различия в том, как образуются ожидания и как они воздействуют на макроэкономические агрегаты. То же можно сказать и о других факторах.
                                          Известные американские экономисты Э. Прескотт и Ч. Плоссер в начале 80-х гг. объясняли циклическую динамику экономики «реальными», т.е. неденежными (немонетарными), факторами. Они Полагали, что цикличность отражает взаимодействие различных шоков. По их мнению, экономика всегда находится в точке пересечения совокупного спроса и совокупного предложения.
                                          Колебания совокупного производства инициируются техническими факторами, имеющими мало общего с монетаристскими идеями или идеями, связанными с совокупным спросом.



                                          КОНТРОЛЬ ЗА СТАВКОЙ ПРОЦЕНТА


                                          Еще раз повторим, что мультипликатор депозитного расширения равен единице, деленной на норму резервов (выраженную как пропорция суммы обязательных и добровольных резервов). Но весьма часто, особенно в России, возникают существенные утечки из банковской системы либо даже существенная часть денег вообще не доходит до банков. Речь идет об огромном для многих стран объеме обналичивания денег, которые, уйдя из банков (или не придя в них), тем самым не участвуют в процессе депозитных расширений и сжатий. Поэтому формула денежного мультипликатора выглядит иначе, чем формула мультипликатора депозитного расширения: денежная масса денежный мультипликатор =


                                          КОНТРОЛЬ ЗА СТАВКОЙ ПРОЦЕНТА

                                          23-2
                                          где денежная масса M2. Денежный мультипликатор существенно ниже мультипликатора депозитного расширения (в США среднее значение денежного мультипликатора в течение десятков лет составляет около 2,6).
                                          Способность контролировать денежную базу даст ЦБ возможность контролировать денежную массу. А контроль над денежной массой дает ЦБ средства контроля над ставкой процента. Но ЦБ не может контролировать одновременно и денежную массу, и ставку процента. Поэтому он должен выбирать, так как у него нет средств одновременного контроля над этими двумя промежуточными целями. Если ЦБ принимает решение контролировать денежную массу, то он должен предоставить существующей функции денежного спроса определить ставку процента.
                                          Если же ЦБ принимает решение контролировать ставку процента, то он должен обеспечить тот объем денежной массы, который востребует-ся в соответствии с функцией предпочтения ликвидности. 23-2 показывает неизбежность данного выбора. При данном спросе на деньги (Dm) ЦБ может определить ставку процента R, с тем чтобы обеспечить необходимое при этом количество денег Qm; либо ЦБ может определить Qm и согласиться с R, которую определяют рыночные силы (т.е. отношение Dm и Sm).
                                          ЦБ контролирует только Sm (предложение денег денежную массу) и должен выбирать либо Qm, либо R. Обе ситуации показаны на 23-2.
                                          § 125. КОНТРОЛЬ ЗА СТАВКОЙ ПРОЦЕНТА Контроль за ставкой процента может быть эффективным, если ЦБ известна ставка, которая релевантна по отношению к данному уровню потенциального ВНП, и если бы ЦБ мог точно определить, когда эта ставка начинает меняться. Однако такая задача до сих пор является местом приложения сил экономистов-аналитиков. В повседневной жизни мы наблюдаем ставку процента, которая является номинальной.
                                          Номинальная ставка процента наблюдаемая (видимая) рыночная ставка, которая состоит из реальной ставки плюс надбавка на темп ожидаемой инфляции. Чтобы получить реальную ставку процента, нужно из номинальной ставки вычесть ожидаемый темп инфляции, который точно никому не известен. Допустим, что ЦБ твердо поддерживает стабильную ставку процента, в то время как начинается быстрый экономический подъем. Подъем вызовет экстра-спрос на деньги, и, чтобы поддерживать стабильную ставку, ЦБ должен будет все время увеличивать М. Это увеличение будет постоянно подталкивать совокупный спрос, заставляя кривую AD сдвигаться вверх вдоль кривой SRAS. Реальный ВНП станет расти вместе с ростом ценового уровня (т. е. инфляцией).
                                          Этот процесс будет продолжаться с каждым увеличением М, которое необходимо осуществлять, с тем чтобы не допустить роста процентной ставки.
                                          Для того чтобы остановить инфляцию, ЦБ должен оставить целевую ставку «в покое», т. е. перестать контролировать ее и дать ей расти так, как это определит сам рынок. Все описанное может быть применено и к обратной ситуации, когда вместо подъема начинается рецессия. ЦБ, если он решил держать ставку стабильной, будет сокращать М и с каждым таким сокращением загонять экономику в еще более глубокую рецессию.
                                          В обоих случаях, таким образом, ЦБ будет действовать не антициклически, а проциклически. Именно такие ситуации наблюдались в 70-е гг. во многих западных странах.
                                          Существует обратная связь между ростом денежной массы и ставкой процента. Каждый пик темпа роста М соответствует наиболее низкой ставке процента (и наоборот). Эта взаимосвязь известна экономистам как эффект Кейнса. Эффект Кейнса прогноз о том, что ставки процента будут снижаться при увеличении темпа роста денежной массы и расти при снижении темпов роста денежной массы. При этом каждый следующий пик ставки процента будет выше предшествующего.
                                          Расширительная денежная политика станет толкать вверх ценовой уровень и вместе с ним инфляционную надбавку в составе номинальной ставки процента.
                                          Существует также тесная взаимосвязь между ставкой процента и темпом инфляции (измеряемым как индекс цен потребительской продукции). Когда темп инфляции растет, повышается и ставка процента, а когда темп инфляции падает, снижается и ставка процента. Эту взаимосвязь называют эффектом Фишера (Ирвинг Фишер автор известного уравнения обмена).
                                          Эффект Фишера прогноз о том, что номинальные ставки процента будут перестраиваться пропорционально изменениям в темпах инфляции. Рост денежной массы может повысить или понизить ставку процента в зависимости от того, что действует сильнее эффект Кейнса или эффект Фишера.
                                          Значение применения ставки процента в качестве промежуточной цели, как и чисто монетаристских рецептов, в последнее десятилетие снизилось. Денежно-кредитная политика нынешних центральных банков не базируется на какой-либо одной теории, скорее можно сказать, что сама теория развивается сегодня на основе быстрого сближения точек зрения различных школ (о различиях между ними см. ниже). Центральные банки применяют сегодня в качестве индикаторов многие промежуточные цели: номинальный ВНП, ставки процента, ценовые индексы, валютные курсы, показатели разрывов между долгосрочными и краткосрочными ставками процента и др.
                                          § 126. ДЕНЕЖНО-КРЕДИТНАЯ ПОЛИТИКА И СОВОКУПНЫЙ СПРОС В КЕЙНСИАНСКОЙ МОДЕЛИ В кейнсианской модели воздействие процентных ставок на совокупные расходы создает тот самый механизм, через некоторый денежная политика воздействует на совокупный спрос. Допустим, что ЦБ в целях стимулирования роста экономики увеличивает предложение (количество) денег (через покупку государственных ценных бумаг и т.д.). При заданном (временно фиксированном) спросе на деньги это увеличение будет воздействовать так, как увеличение предложения всегда воздействует на свободном рынке, т. е. оно снизит цену.
                                          В данном случае такой ценой является ставка процента R, которая снизится. Более низкая ставка процента всегда привлекательна для инвесторов, и, следовательно, инвестиции вырастут. Увеличение инвестиций части совокупных расходов будет иметь мультиплицированное воздействие на совокупный спрос. Вся эта цепочка воздействий, начинающаяся с изменения количества денег и заканчивающаяся изменением ВНП (Y), называется кейнсианским трансмиссионным механизмом, т. е. механизмом передачи Qm на Y:

                                          а

                                          б

                                          в

                                          г

                                          д
                                          Qm

                                          R

                                          I

                                          AD

                                          Y
                                          (изменение
                                          количества
                                          денег)

                                          (изменение
                                          ставки про-
                                          цента)

                                          (изменение
                                          объема
                                          инвестиций)

                                          (изменение совокупно-
                                          го спроса)

                                          (изменение
                                          ВНП и P)


                                          КОНТРОЛЬ ЗА СТАВКОЙ ПРОЦЕНТА

                                          23-3
                                          На 23-3, а отражено действие трансмиссионного механизма: там первоначально существует кривая предпочтения ликвидности, т. е. кривая спроса на деньги (Dm), показывающая объем денег, на который предъявляется спрос при различных уровнях R. При Dm, Qm и R все те, кто принимает экономические решения, находятся в состоянии денежного равновесия. А теперь предположим, что Qm увеличилось до Qm (вследствие увеличения Sm до Sm). Теперь все те, кто принимает экономические решения, имеют больше денег, чем они хотели бы держать при существующем уровне R. В соответствии с теорией предпочтения ликвидности альтернативой держания денег на руках является их вложение в активы с фиксированными доходами, которые имеют более высокую ставку процента (например, облигации). Но при этом цена таких активов начнет расти, что снизит процентные ставки на них. В этом обратном движении нет ничего парадоксального.
                                          Если на свободном рынке вы покупаете ценную бумагу в 50 тыс. р. и по ней получаете фиксированный доход в 5 тыс. р. в год, то это составляет ставку процента в 10%. Но если цена актива растет и вы можете купить его теперь только за 100 тыс. р., то при фиксированном доходе в 5 тыс. р. ставка процента упадет до 5%.
                                          Таким образом, при росте цены на актив ставка процента по нему падает, и наоборот. Для кривой предпочтения ликвидности (т. е. для кривой спроса на деньги Dm) это будет означать, что при росте Sm те, кто принимает экономические решения, постараются потратить избыточные наличные, покупая активы, приносящие фиксированные доходы. При этом процентные ставки будут снижаться, что и показано на 23-3, а, когда кривая Dm сдвигается на Dm. На 23-3, б показано воздействие более низких ставок процента на объем инвестиций.
                                          Объем инвестиций определяется уровнем ставки процента и кривой спроса на инвестиции D1. Величина спроса на инвестиции и ставка процента связаны обратной связью. Принимая решения об инвестициях, каждая фирма просчитывает норму отдачи каждого инвестиционного проекта, ранжирует проекты по этому критерию и отбрасывает все проекты, в которых норма отдачи от инвестиций ниже (или даже равна) ставки процента.



                                          Кривая совокупного предложения


                                          Если фирмы произвели больше продукции (Yb) и при спросе, соответствующем точке А, то это приведет к появлению положительной величины незапланированных инвестиций (Ii). Фирмы сокращают объем производства до Yp. Если фирмы произвели меньше продукции (YC), чем могли бы продать (точка А), и испытывают незапланированное снижение запасов, то они увеличат производство до Yp.
                                          В обоих случаях (при слишком больших или слишком малых изменениях незапланированных запасов) ответ фирм означает перестройку объема производства, так чтобы он сравнялся с AD.
                                          Кривая совокупного предложения

                                          17-6
                                          Исследования поведения фирм показывают, что они очень быстро реагируют на колебания товарных запасов. Если объем продаж оказывается ниже ожидаемого уровня, то фирмы почти сразу сокращают объем производства и снижают объем таких факторных затрат, как затраты на труд. Если же товарные запасы быстро сокращаются, фирмы столь же быстро увеличивают объем производства и занятость.
                                          Мы обязаны несколько слов сказать о поведении отраслей сферы услуг. Дело в том, что в таких отраслях, как правило, запасов не может быть по определению. Поэтому избыток предложения в этих отраслях означает наличие избытка мощностей.
                                          Следовательно, фирмы сферы услуг не могут маневрировать объемами запасов: они реагируют на экономическую динамику увеличением или снижением объема производственных мощностей.
                                          § 95. СОВОКУПНОЕ ПРЕДЛОЖЕНИЕ И СОВОКУПНЫЙ СПРОС В КЛАССИЧЕСКОЙ МОДЕЛИ В базовой модели рост совокупного спроса ведет одновременно к инфляции и увеличению совокупного производства. Кривая совокупного предложения наклонена вверх.
                                          Иное дело положение кривой совокупного предложения в представлениях экономистов-классиков. Их мнение состояло в том, что совокупное производство не изменяется по мере того, как изменяется совокупный спрос. Сдвиги в совокупном спросе воздействуют лишь на общий ценовой уровень.
                                          Поэтому кривая совокупного предложения является вертикалью, которая получается из классической модели предложения и спроса на труд, а не из конкурентного соотношения между совокупным предложением и инфляцией.
                                          В модели классиков именно рынок труда устанавливает равновесную величину предложения труда, которая, в свою очередь, фиксирует совокупное предложение товаров и услуг. На 17-7 представлена вертикаль совокупного предложения, которую устанавливает равновесие на рынке труда. А Ценовой уровень определяется уровнем совокупного спроса.
                                          Любые сдвиги в совокупном спросе меняют только ценовой уровень, но не воздействуют на совокупное предложение, поскольку Y является константой. На 17-7 показано, что рост совокупного спроса (с AD1 на AD2) увеличивает номинальный совокупный доход, но реальный доход остается неизменным.
                                          Модель экономистов-классиков предполагает, что совокупный спрос не воздействует на совокупное производство ни через макрополитику, ни через циклические макроэкономические колебания. Например, изменения совокупного спроса, возникающие как следствие изменений в налогах, не оказывают влияния на совокупное производство. Ведь совокупное производство, по мнению классиков, изменяется только в зависимости от изменений в объеме трудового фактора (у классиков национальный доход сумма трудовых доходов).

                                          Кривая совокупного предложения

                                          17-7
                                          Следовательно, налоговые изменения могут воздействовать на совокупное предложение не через спрос, а напрямую т. е. стимулируя (при снижении налогов) или подавляя (при повышении налогов) общий объем экономической деятельности.
                                          Если совокупный спрос падал, то макроэкономическое равновесие поддерживалось за счет рынка труда: при падении спроса возникал избыток AD относительно AS, цены и номинальная зарплата падали, но реальная зарплата оставалась той же. Поскольку реальная зарплата не менялась, не происходило изменений и в уровнях занятости, а следовательно, и в уровнях совокупного производства. Поэтому в классической модели реальный ВНП, реальная зарплата и занятость определяются вне зависимости от возможных колебаний совокупного спроса.
                                          Все сказанное полностью отвечает закону Сэя* предложение само создает себе спрос.
                                          В соответствии с ним доход, получаемый продавцами, неизменно создает спрос, достаточный для того, чтобы выкупить объем предложения. Таким образом, данный объем Производства всегда создает объем дохода, равный величине предлагаемых товаров и услуг. Единственная утечка из потока дохода, которой являются сбережения, перекрывается инъекцией в виде инвестиций.
                                          Следовательно, по мнению классиков, при изменении величины спроса меняется только ценовой уровень, а не объем производства. Эта выраженная классиками связь между AD и Р является основой современной монетаристской точки зрения о том, что первичной причиной инфляции является избыточный объем предложения денег. При вертикальной кривой AS увеличение номинальной величины предложения денег ведет к пропорциональному повышению ценового уровня при неизменности реальной величины предложения.
                                          В модели классиков спрос на деньги пропорционален валовому доходу. Согласно классикам, совокупный спрос может меняться в случае изменения величины денежной массы. Классики обнаружили взаимосвязь между количеством денег и главным макроэкономическим показателем (ВНП), которая известна как уравнение обмена:


                                          где М количество денег; V скорость обращения денег; Р ценовой уровень; Q реальный ВНП.
                                          Скорость обращения денег среднее число оборотов одной денежной единицы, расходуемой на покупку конечных товаров и услуг, в течение одного года. Скорость обращения может быть получена делением номинального ВНП (
                                          ) на предложение денег (М денежная масса).
                                          Данное определение V делает уравнение обмена тождеством, которое говорит нам о том, что все потраченное (
                                          ) должно быть равно всему произведенному (
                                          ). Уравнение обмена дает нам возможность установления взаимосвязи между величиной спроса, объемом совокупного предложения и ценовым уровнем:

                                          ,
                                          т. е. величина спроса на реальный ВНП обратно пропорциональна ценовому уровню. Когда ценовой уровень растет (допустим, что М и V остаются неизменными), величина спроса на реальный ВНП снижается, так что кривая AD наклонена вниз.
                                          Измененное выше уравнение обмена подсказывает нам, почему могла сдвигаться классическая кривая AD. Кривая совокупного спроса будет сдвигаться, если меняется денежная масса. Когда величина денежной массы растет, то растет и величина спроса на конечный продукт, и кривая AD будет смещаться вправо.
                                          Если же величина денежной массы снижается, то снижается и величина спроса на реальный ВНП, а кривая AD сдвигается влево. Теоретически кривая AD должна также сдвигаться и при изменениях в скорости обращения денег, хотя это не связано с моделью классиков. Экономисты-классики предполагали, что скорость обращения денег является константой, они исходили из того, что и скорость Обращения (V), и реальный ВНП (Р) были фиксированы в любой момент времени.
                                          Это позволило им получить отношение между М и ценовым уровнем, известное как классическая количественная теория. Уравнение обмена может быть переписано, с тем чтобы изолировать детерминанты ценового уровня:


                                          Если P и Q фиксированы (в соответствии с допущением), то отношение
                                          является константой, и изменение ценового уровня будет происходить пропорционально изменению денежной массы (предложение денег). При увеличении М на Х% поднимется и Р на X%. Иными словами, в модели классиков инфляция является чисто монетарным феноменом.
                                          Классики полагали, что экономика не может уходить от уровня производства потенциального национального дохода и процесс производства создает адекватную его объему величину совокупного спроса на товары и услуги. Сэй исходил из того, что производство само по себе рождает своих потребителей. Люди создают предложение каких-то товаров для того, чтобы иметь возможность купить другие товары.
                                          Поэтому, как думал Сэй, не могут быть произведены товары, на которые не был бы предъявлен спрос.
                                          При этом уже классикам было известно, что условием макроэкономического равновесия являлось равенство сбережений и инвестиций. Все произведенное обменивалось на совокупный доход, а совокупный доход распадался на потребление (C) и сбережения (S). В свою очередь, сбережения превращались в инвестиции (I). Совпадение сбережений и Инвестиций, как считали классики, обеспечивалось изменениями ставки процента, являющейся ценой кредита:


                                          В классической модели единственным возможным видом безработицы является добровольная безработица. Если спрос на труд (L) на конкурентных рынках, где заработная плата гибка, снижается, то снижается и зарплата. Предложение L определяется уровнем реальной зарплаты и положительно связано с уровнем номинальной зарплаты.
                                          Спрос на L также зависит от реальной зарплаты и изменяется прямо пропорционально изменениям номинальной (денежной) зарплаты. Равновесный уровень зарплаты определяется пересечением Кривых спроса и предложения L. Безработица может возникнуть только в случае, когда номинальная (денежная) зарплата является негибкой и не снижается при падении спроса на L.
                                          Экономисты-классики полагали, что относительные цены, цены на товары и цены на факторы производства, ставки процента, денежная зарплата гибки и изменчивы, что позволяет экономике легко перестраиваться и всегда поддерживать макроэкономическое равновесие на уровне потенциального национального дохода.



                                          Накопление и распределение взаимосвязанные процессы.


                                          Классики отчетливо видели, что без капитала (т. е. без денег, без их накопления и авансирования) невозможно было бы участие труда в производстве, так как его попросту не на что было бы нанять. Накопление и распределение взаимосвязанные процессы. Концепция физиократов об общественном излишке как части общественного продукта, остающегося после вычета необходимых затрат, использовалась классиками для того, чтобы проанализировать поведение этого излишка, который и составлял основу роста. Они полагали, что работники полностью потребляли заработную плату, лендлорды полностью потребляли ренту, но капиталисты реинвестировали свою прибыль.
                                          То есть рост полностью зависел от размеров и использования общественного излишка. Анализ Д. Рикардо был во многом сосредоточен именно на том, как регулируется распределение, на результатах политических компромиссов, отражавшихся в законах (этот анализ политики во многом и стал причиной того, что классики называли свой предмет политической экономией).
                                          Этот анализ в первую очередь касался прибыли как сохраняющегося (непотребляемого) остатка общественного излишка. При принятых Рикардо упрощениях речь шла об отношении между ставкой зарплаты и нормой прибыли, которые определялись внутри единственного сектора в экономике зернопроизводства. Рикардо рассматривал зерно (пшеницу) как уникальное благо, которое одновременно могло быть и потребительским продуктом, объем которого равнялся зарплате, и капитальным благом (семенной фонд).
                                          Распределение между потреблением (хлеб) и накоплением (семена) отнюдь не исчерпывало понимания совокупного продукта. Классики отчетливо осознавали, что реализуемая зарплата содержит не только хлеб (как и прибыль, т. е. капитал), не только семена, но и другие товары. Поэтому они понимали, что нельзя получить прибыль простым вычитанием зарплаты из общественного продукта.
                                          Пропорция W и К зависит и от цен на другие товары, а эти цены инкорпорируют норму прибыли. В 1960 г. П. Сраффа (выдающийся итальянский экономист) нашел решение с моделью со многими товарами, которое показывает, что в этом случае норма прибыли определяется не только данным уровнем зарплаты, но и условиями производства других «базовых товаров». Применяемая Рикардо как пример, пшеница как раз является базовым товаром, который прямо или косвенно включен в производство любого товара, в том числе в производство самой пшеницы. Боровшиеся против помещичьих законов и против протекционистских законов Рикардо и его коллеги считали поэтому, что в закрытой экономике норма прибыли обрекается на постепенное снижение.
                                          Много лет спустя и эта идея была использована Марксом для формулирования «его» закона о тенденции нормы прибыли к понижению, но уже без ссылки на закрытую экономику (каковой, кстати, является планово-командная экономика).
                                          § 139. НЕОКЛАССИЧЕСКАЯ ТЕОРИЯ ЭКОНОМИЧЕСКОГО РОСТА Однако по-настоящему всеобъемлющая разработка проблем экономического роста началась лишь в XX в. и была связана с именами Р. Харрода, Е. Домара, Р. Солоу и Э. Денисона. Их усилиями была создана неоклассическая теория экономического роста.
                                          Кейнсианский прорыв в экономической науке дал сильнейший толчок исследованиям в области долгосрочных проблем полной занятости. Пионерами в этой области по праву считаются выдающиеся американские экономисты Рой Харрод и Евсей Домар (Евсей Домашевицкий по происхождению наш соотечественник). Они установили, что долгосрочная полная занятость возможна при соблюдении двух важнейших условий. Во-первых, каждый год инвестиции должны равняться объему сбережений, достигаемых при полной занятости, т. е. при потенциальном национальном доходе.
                                          Во-вторых, темп роста совокупного производства должен равняться темпу роста L плюс темп роста производительности труда. Более 25 лет назад Р. Солоу привел следующий набор закономерностей, связанных с экономическим ростом:

                                          • реальный объем производства (в том числе на душу), а также объем физического капитала увеличиваются более или менее постоянным и одинаковым темпом в течение длительных периодов времени;
                                          • норма прибыли на капитал имеет горизонтальный тренд, т. е. она относительно постоянна в длительные промежутки времени;
                                          • темп роста объема производства значительно отличается в разных странах;
                                          • экономики с высокой долей прибыли в совокупном доходе имеют высокую норму инвестиций в ВНП.
                                          Неоклассическая теория экономического роста основана на известных предпосылках о совершенной информации, конкурентных (или почти конкурентных) рынках, рациональном определении целей фирм и индивидов, которые вместе объясняют экономический рост как результат технического прогресса и увеличения объема физического капитала и рабочей силы. Иными словами, совокупное производство определяется затратами К и L, а точное соотношение между К и L зависит от технологического уровня производства. Экономика увеличивает объем производства либо в случае роста объема применяемого физического капитала и труда, либо в случае, когда К и L становятся более продуктивными.
                                          Тот факт, что с течением времени объем производства на одного занятого растет, уже говорит о том, что рост не может быть объяснен лишь увеличением рабочей силы. Р. Солоу уже в 50-е гг. обнаружил, что увеличение объема производства на одного занятого происходит в основном за счет технологических нововведений и лишь в небольшой мере за счет накопления капитала (увеличения капиталовооруженности труда). Огромное число исследований затем подтвердило, что накопление не является источником роста само по себе, им являются сдвиги в знаниях человека, в том числе в накоплении человеческого капитала.
                                          Однако этот вывод появился не сразу.
                                          Мы уже знаем, что существует конкурентный выбор между сегодняшним и будущим потреблением. Индивид может увеличивать будущее потребление, снижая сегодняшнее, в форме сбережений или затрат на образование. Но экономика в целом способна осуществлять сбережения лишь в форме накопления капитала.
                                          В итоге упомянутый конкурентный выбор трансформируется в выбор между сегодняшним потреблением и завтрашними производственными возможностями экономики.
                                          Неоклассическая теория предполагает, что факторы производства полностью заняты, так что в каждый данный период времени объем производства определяется объемом применяемых факторов. Одним из таких факторов является К, объем которого зависит от инвестиций в предшествующие периоды. Инвестиции, в свою очередь, зависят, во-первых, от желания фирм увеличивать физический капитал и, во-вторых, от желания индивидов потреблять меньше, чтобы более значительная часть совокупного продукта была превращена в капитальные блага.
                                          В реальной жизни фирмы как бы берут взаймы у потребителей, чтобы увеличить физический капитал и производить больше. При этом их интересует: а) предельный продукт капитала; б) какую часть дополнительного объема продаж придется использовать для выплаты долга. В то же время потребителя также интересует, во-первых, каков ущерб от снижения сегодняшнего потребления и, во-вторых, насколько сегодняшние сбережения увеличат будущее потребление. Последнее напрямую связано с нормой временного предпочтения некоего предела, до которого потребители больше озабочены сегодняшним потреблением в сравнении с будущим. Это предпочтение определяется как норма, которая измеряется как некая переменная р (0 р 1).
                                          При этом р определяется как норма роста потребления, при которой потребитель безразличен к выбору между одной единицей сегодняшнего потребления и (1 + р) единиц потребления в какой-то период времени в будущем.
                                          В неоклассической модели роста инвестиционные затраты определяются взаимодействием предельного продукта капитала и нормой временного предпочтения. При этом ключевой становится идея снижающегося предельного продукта капитала. Чем больше объем накопленного капитала, тем меньшее преимущество дает его увеличение.
                                          Фирма получит преимущества, если она осуществляет улучшения (вводит новые продукты и технологии или улучшает существующие) или осваивает наиболее перспективные рынки. Если эти факторы исчерпаны, то предельный продукт капитала понижается.
                                          Допустим, что предельный продукт капитала (МРС) высок и фирмы намерены расширять мощности. Фирмы готовы платить потребителям высокий процент за кредиты с целью финансирования инвестиций. Они осуществляют инвестиции, но по мере увеличения объема физического капитала МРС снижается.
                                          Фирмы инвестируют все меньше и не хотят платить высокий процент за кредиты. Снижение процента сокращает сбережения. Постепенно в экономике возникает оптимальный запас (объем) физического капитала тот объем, при котором МРС равен предельной норме потребительского временного предпочтения. Другими словами, отдача для фирмы от дополнительной единицы К должна быть равна будущему дополнительному объему потребления, который потребитель получит, отказавшись от упущенного дополнительно сегодняшнего потребления в пользу сбережений (кредитования инвестиций фирмы).
                                          На этом равновесном уровне у фирмы нет мотиваций увеличить или сократить свой запас капитала.
                                          Но фирма может и будет продолжать инвестиции, поскольку в процессе производства ее капитал постоянно изнашивается и требует восстановления.



                                          НАЛОГООБЛОЖЕНИЕ И ЭКОНОМИЧЕСКАЯ ЭФФЕКТИВНОСТЬ


                                          е. Y С G). Вследствие того, что налоговое сокращение не воздействует на S, кривая S на графике S/I не сдвигается. Значит, равновесная точка остается на месте. Вывод состоит в том, что при отсутствии ограничений на заимствование текущее снижение налогов наряду с компенсирующим увеличением будущих налогов не воздействует на S, I (инвестиции) и реальную R. Этот вывод о том, что бюджетный дефицит, вызванный снижением текущих налогов, не влияет на макроэкономическую ситуацию, известен как равенство Рикардо, который первым сделал этот вывод*.
                                          Тем не менее, сегодня есть немало экономистов, которые считают, что бюджетный дефицит, создаваемый снижением налогов, сокращает S и повышает процентные ставки. Возможной причиной того, что дефицит госбюджета, вызванный налоговым сокращением, воздействует на S, является предположение о том, что некоторые домашние хозяйства, имеющие такое ограничение, расходуют весь текущий доход на текущее потребление. Если такое домашнее хозяйство получает прибавку вследствие снижения его текущего налога, оно потратит всю эту прибавку на дополнительное потребление.
                                          Допустим, что половина из суммы сокращения налогов в 10 млрд р. досталась потребителям с ограничениями на заимствования. Если такие потребители используют эти 5 млрд р. на увеличение потребительских расходов (остальные потребители не изменяли своих расходов), то С увеличатся на 5 млрд р. и S снизятся (Y С G) на 5 млрд р. Таким образом, при ограничениях на заимствование снижение текущих налогов ведет к снижению S. 20-1 показывает воздействие налогового сокращения на экономику при наличии ограничений на заимствование.

                                          НАЛОГООБЛОЖЕНИЕ И ЭКОНОМИЧЕСКАЯ ЭФФЕКТИВНОСТЬ

                                          20-1
                                          Точка начального равновесия E1 где пересекаются кривые сбережений (S) и инвестиций (I). Так как снижение налогов при указанных ограничениях ведет к росту текущего потребления части потребителей, S снижаются, а кривая S сдвигается на S2. Объемы S и I понижаются, а ставка процента R повышается.
                                          В этой ситуации рикардианское равенство не подтверждается, бюджетный дефицит вследствие сокращения налогов воздействует на экономику.
                                          § 111. НАЛОГООБЛОЖЕНИЕ И ЭКОНОМИЧЕСКАЯ ЭФФЕКТИВНОСТЬ Теоретически система налогообложения не должна мешать людям распределять свое время и свои ресурсы так, чтобы это приносило им максимальную выгоду. Налоги, которые удовлетворяют данному условию, называют нейтральными налогами т. е. налогами, которые не подрывают структуру потребительских расходов, производство в фирмах, не толкают индивидов и фирмы к уклонению от уплаты налогов, не создают излишнего налогового бремени.
                                          Нейтральный налог не толкает человека расходовать больше своих ресурсов на деловые командировки, на медицинскую помощь, уменьшать расходы на питание и одежду только потому, что командировки или медицинские услуги, например, не облагаются налогами, а одежда и продовольственные товары облагаются. Налоги не должны вынуждать людей и фирмы тратить больше времени и денег на поиски инвестиционного приложения своих ресурсов (как это было с активностью вокруг «МММ», «Селенги», «Властилины» и других жульнических организаций), что вроде бы снижает бремя налогов.
                                          Идеальной формой нейтрального налога является подушный налог единовременный налог на всех индивидов независимо от уровня потребительских расходов, накопленного богатства и т.д. Он одинаков для бедных и богатых, старых и молодых. Он действительно нейтрален в том смысле, как мы его описали, но он, конечно, не выдерживает критики в отношении его справедливости: нельзя отбирать, может быть, последнее у бедняка или у старика. Поэтому в налоговых системах объектом налогообложения обычно являются доход, потребительские расходы, имущество.
                                          Но эти налоги (подоходные, на продажи, имущественный, акцизы) искажают цены производителей, относительные цены, вынуждают людей отказываться от производственной деятельности. Они могут создавать излишнее налоговое бремя т. е. налоговое бремя, которое превышает необходимое бремя передачи части доходов в распоряжение государства. Излишнее бремя ведет к снижению экономической эффективности, так как подрывает существенное число рыночных операций (что снижает доходы индивидов, фирм, а затем через снижение налогов и доходы государства) либо уводит эти операции в теневой сектор экономики. Все это создает чистые потери потери.
                                          Связанные с сокращением объема экономической деятельности из-за чрезмерных налогов.

                                          НАЛОГООБЛОЖЕНИЕ И ЭКОНОМИЧЕСКАЯ ЭФФЕКТИВНОСТЬ

                                          20-2
                                          20-2 показывает нам распределение налогового бремени между участниками экономической деятельности. До введения налога производилось и продавалось Q0 продукции по цене Р0. Вводится налог, который повышает затраты на Производство и сбыт Рt Рt.
                                          Кривая S0 сдвигается на St.
                                          Потребители снижают объем покупок. Обратите внимание, что рыночная цена растет не на Рt Рt, а лишь на Рt Р0. Таким образом, часть нового налога (Рt Р0) ложится на покупателя, а другая часть на продавца (Рt Рt). Треугольник АВС составит чистую потерю для всех участников.
                                          Это потеря от сокращения объема операций и, следовательно, сокращения выигрыша для всех.
                                          В нашем примере бремя нового налога ложится поровну на продавца и покупателя. Но пропорция распределения зависит от наклона кривой D. Если наклон кривой D круче (а наклон кривой S более пологий), то цена, включающая новый налог, увеличится на большую величину. Это возложит более значительную часть бремени на покупателей.
                                          Если же наклон кривой D более плоский, рыночная цена увеличится в меньшей степени и основное налоговое бремя ляжет на продавцов.
                                          В 80-е гг. круг макроэкономических концепций дополнился концепцией сторонников совокупного предложения «саплай-сайдерами». Они считают, что между уровнями предельных налоговых ставок и объемом экономической деятельности имеется очевидная взаимосвязь. Чем выше налоговые ставки, тем меньше объем деятельности и больше тех, кто пытается избежать налогообложения, тем больше людей уходит в так называемую теневую экономику, в нелегальный бизнес. Чем выше предельные ставки, тем более пологой становится кривая предложения труда.
                                          Ставки налогов воздействуют на налоговую базу объем экономической деятельности, облагаемый налогами. Между двумя этими явлениями существует обратная связь: чем выше предельные налоговые ставки, тем уже налоговая база, и наоборот. Следовательно, ставки налогов могут воздействовать на макроэкономическую эффективность.
                                          В любом обществе часть населения, зарабатывающая высокие и средние доходы, дает казне и основную массу налогов. Вместе с тем существует заблуждение, особенно подогреваемое политиками-популистами, о том, что можно основную часть налогов переложить с индивидов на бизнес. Это неверно.
                                          В конечном счете, и налоги на бизнес тоже платятся потребителями.
                                          Налоги в существенной степени отражают «цену» правительства, вернее, «цену» всей совокупности властей (деятельности властей) в стране. Точнее, такая «цена» включает упущенную выгоду от ресурсов, затраченных на производство благ, распределяемых властями, затраты на содержание налоговой системы, а также уже известное нам излишнее бремя от налогообложения. Так что расходы властей стоят даже больше, чем-то, что показывают статьи бюджетных расходов.
                                          § 112. ДЕФИЦИТ ГОСУДАРСТВЕННОГО БЮДЖЕТА И СОВОКУПНЫЙ СПРОС Существуют три очевидных канала воздействия бюджетного дефицита на экономику. Во-первых, госзакупки товаров и услуг (G), являясь частью совокупных расходов, прямо воздействуют на совокупный спрос (AD).
                                          Во-вторых, социальные и другие трансферты (пенсии, пособия, процент по государственным облигациям и др.) увеличивают доход, который затем расходуется. В-третьих, налоги снижают доход, после чего снижается и спрос. Второе и третье оказывают на AD косвенное воздействие (через изменение доходов). Традиционно и в нашем предшествующем обсуждении государственные покупки товаров и услуг (G) рассматриваются как экзогенная переменная. Однако в реальности государственный сектор существенно реагирует на состояние экономики, особенно сильно реагируют трансферты и налоги.
                                          Поэтому в макроэкономических исследованиях начали делать попытки построить модели, описывающие реакцию государственного сектора на экономические колебания. Уравнение, описывающее такую реакцию, обычно называют функцией реакции, а иногда правилом политики (так как государственные меры это та или иная политика, и если данная политика систематична, то она выглядит, как правило, игры).
                                          Исходя из макроэкономических колебаний, важна не их реакция на уровень бюджетного дефицита, а то, как реагирует государственный бюджет. Например, государственные покупки товаров и услуг почти не реагируют на макроэкономические колебания (уровни обороноспособности, правопорядка, образования не могут изменяться под воздействием конъюнктуры). В ходе каждой рецессии правительства принимали какие-то программы по увеличению расходов и рабочих мест в госсекторе. Но, во-первых, это были небольшие программы, и, во-вторых, их внедрение в жизнь занимало слишком много времени.
                                          Но объем трансфертных платежей обычно колеблется существенно, перекрывая, например, снижение занятости и вызванное этим снижение доходов.



                                          НАЛОГООБЛОЖЕНИЕ


                                          Оба сектора совпадают в том, что они: 1) мотивированы собственными интересами; 2) сталкиваются с необходимостью конкурентного выбора в связи с ограниченностью ресурсов; 3) действуют в условиях конкуренции (политические партии конкурируют в борьбе за власть, чиновники за долю их ведомства в госбюджете). Но у обоих секторов есть существенное отличие: 1) большинство предоставляемых государством благ являются бесплатными для получателей; 2) оплата этих благ осуществляется через налоговую систему, обязывающую нас платить независимо от того, нравится нам это или нет; 3) выбор благ, предоставляемых государством, в демократических странах определяется в основном голосованием.
                                          В частном секторе каждый из нас голосует своими рублями за благо, которое нам нужно. В случае с общественными благами каждый избиратель выбирает не благо, а сначала партию. Покупая частное благо, мы получаем его сразу, а производитель делает именно то, что нам нужно. Но с общественными благами, которые предлагают разные партии, все не очень ясно.
                                          Например, вы голосуете за кандидата А, а выигрывает выборы кандидат Б. Кто теперь будет выражать ваши предпочтения?
                                          Функционирование политической жизни, как и функционирование рынка, имеет свои правила и своих игроков. Игроки включают избирателей, политиков и чиновников. В последние два десятилетия проведено немало экономических исследований поведения политиков и чиновников, мотивационных структур, в которых они действуют.
                                          Политики выполняют функции, схожие с функциями менеджеров фирм в частном секторе. Но в фирмах менеджер знает, что фирма разорится, если она будет производить то, что не нужно покупателю. Однако чиновник не мотивирован на такое поведение.
                                          Предприниматель или менеджер за неэффективную работу расплатится прибылью, благополучием, банкротством. Чиновнику в ГАИ это не грозит, его продукт (например, ежегодную отметку в техническом талоне) обязан получить каждый водитель, и водитель стоит к нему в очереди за этой отметкой и ждет любых форм недобросовестных услуг. Такие услуги не ведут к ухудшению карьеры или благосостояния этого капитана или лейтенанта (скорее наоборот).
                                          Если бюджетные ассигнования министерству Х предоставляются на основе сумм, выделявшихся год назад, то это министерство имеет стимул тратить больше и доказывать необходимость затрат, хотя эти затраты и неэффективны.
                                          Мотивации политиков несколько сложнее. На их поведение воздействует идеология, желание быть на «капитанском мостике». Но главное в их поведении максимизация шансов быть переизбранными. Между политиками и избирателями стоят группы интересов.
                                          Они хорошо известны россиянам. Аккумулируя вокруг себя некоторую часть электората, это абсолютное меньшинство общества способно взять под контроль целые стороны деятельности правительства. Такие ситуации называют ситуациями с непредставительным правительством.
                                          Теперь несколько слов нужно сказать о главном игроке избирателях. Решение избирателя состоит в выборе кандидата, за которого (и его программу) он проголосует. Для этого избирателю нужна информация о кандидате, которая не является бесплатным благом. Поведение избирателя в отношении такой информации определяется известным нам уже из первой темы принципом рационального поведения: избиратель будет искать информацию, пока выигрыш от его поисков станет превышать затраты на них. К сожалению, в этой сфере выигрыш быстро исчерпывается, а затраты растут.
                                          Поэтому (и это отчетливо видно по поведению российского избирателя), избиратель останавливает поиски информации и решает не голосовать вообще. Экономисты называют такого избирателя рациональным невежественным избирателем. Это явление абсолютно неизбежное следствие функционирования представительной демократии как формы политической организации общества.
                                          Тем не менее, несмотря на все указанные особенности, процесс принятия решений на политической сцене осуществляется.
                                          Общественный выбор процесс, в котором так или иначе индивидуальные предпочтения должны быть скомбинированы в коллективное решение. В демократическом обществе главный механизм общественного выбора демократический избирательный. Если рынок демонстрирует объективное неравенство предельного продукта труда, предельного продукта других факторов, доходов и т.д., то избирательный механизм на поверхности воплощает равенство, поскольку действует принцип «один человек один голос».
                                          Как бы ни действовал этот механизм, в конечном счете, калейдоскоп предпочтений будет сведен к единственному решению, главной особенностью которого будет его неделимость для всего населения.
                                          Мы еще вернемся к спорным и трудным проблемам общественного выбора. Тем не менее, даже при наличии таких проблем государственный сектор признается абсолютно необходимым, поскольку считается, что с ним экономика действует на кривой производственных возможностей (КПВ), а без него (т.е. только как частная экономика) внутри КПВ. Государственный сектор обеспечивает законы, оборону, дороги, здравоохранение, образование, финансовую систему, общественный порядок и безопасность и т.д.
                                          С точки зрения эффективности решения госсектора могут стать вредными, просто перераспределительными и эффективными. В демократических странах первый сценарий встречается реже, второй является нормальным (он ведет к увеличению расходов одних за счет других), третий сценарий имеет высокую вероятность. Этот третий сценарий обеспечивает улучшения по Парето. Такие улучшения означают увеличение полезности для всех без ущерба для кого бы то ни было.
                                          Обязательная вакцинация, поддержка научных исследований, улучшение общего образования дают выигрыш всем.
                                          Избирательный процесс теоретически имеет, как мы уже знаем, два контекста. Один единодушное решение избирателей. Основанные на нем решения властей полностью отражают единообразные предпочтения населения.
                                          Другой контекст появление большинства (правило большинства нам уже известно). Единодушие избирателей гарантирует решения властей по сценарию улучшений по Парето. К сожалению, единодушие чисто теоретическая схема.
                                          Даже если систему решений по консенсусу (решение считается принятым, если нет официальных возражений) принять не для всего населения, а только для правительства, то такое правительство сможет лишь поддерживать статус-кво, каким бы оно ни было плохим или хорошим.
                                          Правило большинства как основа принятия решений не гарантирует сценарий с улучшениями по Парето. Скорее, большинство сдвигает точку на КПВ в свою пользу, создавая проблемы для меньшинства. Поэтому одним из средств против диктатуры большинства является применение правила супербольшинства, т. е. решение проблемы двумя третями, тремя четвертями и более высокой пропорцией.
                                          В заключение следует сказать, что описанные выше трудности общественного выбора снижают эффективность госсектора, а в решении чисто экономических вопросов делают его совершенно неконкурентоспособным в сравнении с частным сектором. Решение этой проблемы (хотя бы в существенной степени) фактически означает достижение политического равновесия ситуации, в которой предпочтения избирателей, политиков и чиновников будут в основном совместимыми. Центральной, следовательно, является проблема адекватного агрегирования индивидуальных предпочтений.
                                          Если 50% избирателей становятся рационально невежественными избирателями и не голосуют вообще, то это означает, что власти не получают информации о предпочтениях половины всех потенциальных избирателей. Если вдобавок существенную часть оставшихся 50% избирателей мобилизуют в свою пользу группы давления, то в целом избирательный процесс может давать чрезвычайно искаженную картину предпочтений населения. В России «лобби красных помещиков» типичная группа интересов, целью которой является, во-первых, сохранение монополистических форм отраслевой организации и, во-вторых, перераспределение совокупного дохода в пользу своей в целом убыточной отрасли.
                                          § 86. НАЛОГООБЛОЖЕНИЕ Государственный сектор в любой развитой рыночной экономике в первую очередь включает государственные финансы. Их важнейшим источником являются налоги. Налоги можно взимать с чего угодно с операций, институций, имущества, деятельности, с очага и трубы, но, в конечном счете, их платят домашние хозяйства. Налоговая база мера, ценность, которая подлежит налогообложению.
                                          Для современной развитой страны налоговая база выраженный в денежной форме объем осуществляемой экономической деятельности (совокупный доход), подлежащий обложению, налогами. Структура налоговой ставки процент налоговой базы, который должен быть выплачен в форме налога.
                                          Налоги на объем (богатство) и на поток (доход) отличают две формы налоговой базы объем, запас (богатство в форме недвижимости) и поток (доход это поток наличности). Домовладельцы платят налог на недвижимость как процент от текущей оценочной стоимости их домов, которая оценивается на данный момент времени.
                                          Существуют три главные налоговые системы:

                                          • пропорциональная, при которой взимается одна и та же доля дохода со всех домашних хозяйств (например, 10%, т. е. 10 тыс. р. со 100 тыс. р., 100 тыс. р. с 1 млн р., 1 млн р.


                                          Но что означают эти 3%?


                                          Пожалуй, одной из наиболее важных, но, к сожалению, неучитываемых сфер деятельности является само домашнее хозяйство источник важнейших для человеческой жизни услуг и продуктов, не приобретающих товарную форму. С учетом того, что за последнее столетие годовое рабочее время сократилось почти вдвое, значение этой сферы стало огромным и давно требует измерения ее результатов. Наконец, до сих пор не найден надежный измеритель качественных улучшений товаров и услуг для сравнительной оценки ВНП в долгосрочном периоде времени.
                                          Уже простая модель кругооборота доходов показала, что ВНП можно подсчитать двумя способами: суммированием всех расходов на покупку произведенных в данном году товаров и услуг либо суммированием всех доходов от производства этих товаров и услуг (доходов владельцев факторов производства) в этом же году.
                                          § 88. РАСХОДНЫЙ МЕТОД Реальный кругооборот потоков включает гораздо больше элементов, чем мы видели в простейшей модели. В расходном методе насчитываются 4 основные составные части ВНП: 1) личное потребление (включая расходы на товары кратковременного и долговременного пользования, а также на услуги), 2) валовые частные внутренние инвестиции (в том числе расходы на жилищное и прочее строительство, оборудование, изменения в запасах), 3) государственные расходы, 4) чистый экспорт (т. е. экспорт минус импорт).
                                          В западных странах основную часть потребительских расходов поглощают услуги. Они заменяют личные усилия потребителя, берегут его время. В расходах потребителей также значительна доля товаров длительного пользования.
                                          В это понятие включают автомобиль, бытовые приборы, домашнюю радиоэлектронику и др. Огромное разнообразие бытовой техники не случайно называют трудосберегающими приборами. В США, например, уже в 50-е гг. статистическая служба исключала из подсчетов насыщенности рынка те стиральные машины, у которых не было автоматического управляющего устройства, т. е. считалось, что у владельцев таких машин их как бы вообще нет, ибо они требуют времени на их обслуживание, в то время как автоматы работают сами в заданном им режиме.
                                          Инвестиции затраты на новые капитальные товары (блага), чтобы с их помощью производить товары и услуги. Внутренние частные инвестиции это инвестиции частного сектора, которые делаются внутри страны. В них включаются только новые машины и оборудование, новые жилые и производственные здания и сооружения.
                                          В инвестиции включаются все продукты, которые произведены в данном году, но не проданы. Это запасы, и их оценивают по приросту в данном году (прирост и включают в ВНП) либо по снижению (объем снижения исключают из ВНП). Запасы считают инвестициями потому, что они все еще представляют собой непотребленный продукт, т. е. вложенный капитал, а не капитал принесший отдачу;
                                          Наконец, объясним понятие «валовые». Оно означает, что речь идет обо всех инвестиционных товарах, которые возмещают потребленные в течение года машины, здания, оборудование, но к ним добавляется чистый прирост капитальных благ, т. е. прирост машин, зданий и оборудования. Таким образом, валовые инвестиции сумма восстановительных и чистых внутренних частных инвестиций.
                                          На 16-2 показаны все главные элементы кругооборота потоков доходов и расходов. В расходном методе самый крупный элемент расходы на личное потребление. 65% ВНП в США составляет именно этот элемент, что говорит и о высочайшей конечной эффективности экономики, и о ее ориентации на человека, на рост его благосостояния.
                                          На втором месте госрасходы (20% ВНП), что говорит об очень высоком удельном весе собственно рыночного сектора, так как в большинстве других стран доля этих расходов в ВНП существенно выше.
                                          На третьем месте инвестиции, которые устойчиво составляют 1617% от ВНП. Эта доля не увеличивается более столетия и имеет тенденцию к медленному снижению. В сравнении с другими развитыми странами она рекордно низкая и говорит о высшей социально-экономической эффективности американского народного хозяйства. Ведь, исключая

                                          Но что означают эти 3%?

                                          16-2
                                          оборонные расходы и выплату процентов по государственному долгу, госрасходы, в конечном счете, тоже обеспечивают личное потребление. Иными словами, экономика США отвлекает всего одну шестую часть ВНП на то, чтобы обеспечить постоянную замену и улучшение своего производственного капитала.
                                          Наконец, последний элемент ВНП чистый экспорт.
                                          § 89. ДОХОДНЫЙ МЕТОД Как уже отмечалось, этот метод суммирует доходы владельцев факторов производства (труд, земля, капитал, предпринимательские услуги). Поэтому его элементами являются заработная плата, рента, прибыль корпораций, процент, амортизационные списания (средства для восстановления изношенного капитала). Подавляющей частью ВНП является заработная плата. На втором месте плата за потребленный в течение года капитал (амортизация).
                                          Примерно по 7% достается на долю прибыли, процента и ренты (вместе с доходами собственников некорпорированного бизнеса*). Конечно, это отражает доходное и, следовательно, имущественное неравенство. Тем не менее рост заработной платы в течение XX в. шел параллельно росту производительности труда.
                                          Это означает, что не происходило отчуждения работника от результатов его труда, т. е. он получал то, что зарабатывал. Другие факторы производства также оплачивались в соответствии со своим вкладом. Однако после распределения всех государственных расходов и получения населением социальных благ доля владельцев фактора, который называется трудом, оказывалась несколько выше их вклада в создание ВНП.
                                          § 90. СОСТДВЛЯЮЩИЕ ВНП Для того чтобы произвести всю сумму товаров и услуг, придется допустить полный износ какой-то части машин, оборудования, зданий и т.д. Поэтому из объема произведенных за год машин, оборудования, зданий и др. нужно вычесть ту часть, которая направляется на восстановление их износа.
                                          Тем более что эта часть не связана с выплатой доходов, т. е. амортизация не прибавляет дохода никому. Вычтя из ВНП амортизационные списания, т. е. часть годовой продукции, которая должна восстановить потребленные в производстве блага, мы получили чистый национальный продукт (ЧНП). ЧИП та часть конечных товаров и услуг, которая реально доступна в экономике. В расходном методе подсчета ВНП, так же как и в доходном, одинаково присутствуют амортизационные списания.
                                          Убирая их, мы получаем то, что реально добавляется к нашему богатству, нашему благосостоянию.
                                          Когда мы говорим о доходах в экономике в данном году, мы имеем в виду доходы, получаемые владельцами факторов. Чистый национальный продукт включает один элемент, который не является доходом от какого-либо из факторов. Речь идет о так называемых косвенных налогах на предпринимательскую деятельность, которые любая фирма рассматривает как издержки производства и включает в цену своей продукции. Косвенные налоги доход государства, но это незаработанный доход.
                                          Товар передается покупателю по цене, которая содержит в себе весь набор косвенных налогов (налог на добавленную стоимость, акцизы и т.д.), и эта «добавка» не может входить в состав доходов факторов производства, так как она не является зарплатой, рентой или процентом. Эти доходы в совокупности составляют национальный доход страны, т. е. сумму доходов, заработанных поставщиками факторов производства и использованных для создания конечных товаров и услуг в данном году.
                                          Но доходы владельцев факторов производства отличаются от личных доходов. Из доходов собственников факторов производства нужно вычесть налоги на прибыли корпораций (кроме того, часть прибылей корпорации не распределяется, т. е. не доходит до владельцев факторов производства), взносы на социальное страхование, а затем добавить трансферты (платежи правительства населению). В результате мы получим, наконец, личный доход.
                                          Однако личные доходы во всех странах облагаются налогами, после вычета которых остается располагаемый личный доход, т. е. тот доход, которым каждый из нас может распоряжаться по своему усмотрению.
                                          Располагаемый личный доход, в свою очередь, распадается на потребительские расходы и личные сбережения. Доля сбережений в располагаемом личном доходе называется нормой личных сбережений. В США она уже традиционно низка (45%), в Японии столь же традиционно высока, в России была достаточно высока до 1991 г., а затем стремительно снижалась, так как в период быстрого роста цен нужно было пытаться тратить доходы даже до их получения.
                                          В последнее время она вновь возрастает.
                                          § 91. РОСТ ВНП Когда мы знаем, что ВНП в данном году вырос на 4%, мы чувствуем себя увереннее, чем если бы он сократился на 4%. Если говорить о долгосрочной тенденции, то ВНП во всех развитых странах мира растет.
                                          В США, например, вековой показатель роста ВНП колебался вокруг 3%. Но что означают эти 3%? При подсчетах ВНП в любом году они осуществляются в ценах этого конкретного года, т. е. в текущих ценах.
                                          ВНП, исчисленный в текущих ценах, называется номинальным валовым национальным продуктом.
                                          Но номинальный ВНП может вырасти по трем причинам: либо действительно за счет увеличения производства конечных товаров и услуг, либо просто за счет роста цен, либо одновременно за счет роста производства и роста цен.



                                          Норма безработицы снизится.


                                          В результате норма безработицы снизится. На предельные затраты и выгоды от поисков воздействуют многие факторы, из которых мы рассмотрим два: пособия по безработице и неожидаемую инфляцию. Мы знаем, что пособия по безработице один из автоматических стабилизаторов, существенно воздействующих на макроэкономическую динамику. Эти платежи также воздействуют и на норму безработицы, поскольку от них в том числе зависят предельные затраты на поиски. Пособие по безработице, по определению, снижает ущерб от потери работы и, следовательно, предельные затраты на поиски рабочего места. Имея пособие, человек может потратить больше времени на поиски, что автоматически ведет к увеличению времени, в течение которого он будет оставаться безработным.
                                          Чем больше среднее время поисков, тем выше норма безработицы. Во всех странах первоначальное введение программ компенсационных платежей по безработице давало одноразовый подскок нормы безработицы. Снижение расходов на такие программы ведет к обратному результату.
                                          В 1988 г. норма безработицы в США упала до 5,5%. На это обстоятельство существенно влиял экономический подъем. Однако на снижение нормы безработицы воздействовал и другой фактор: многие штаты изменили программы пособий по безработице, что резко увеличило предельные затраты на поиски рабочих мест.
                                          Однако исполнительная власть может менять сроки выплаты пособий по безработице, воздействуя тем самым на средние сроки поисков рабочих мест.
                                          В тех странах, где давно сложился развитый рынок труда с продвинутым уровнем институциональных механизмов и информации, также давно возникло понятие «отправная зарплата» (reservation wage) наиболее низкая ставка зарплаты, которая предлагается безработному, с тем, чтобы он мог взять имеющееся рабочее место. Иными словами, безработные определяют некий уровень зарплаты, который для них является показателем минимально приемлемого рабочего места. Чем выше отправная зарплата, тем длиннее средний период поисков рабочего места. Отправная зарплата является величиной, зафиксированной в категориях реальной покупательной силы.
                                          Но она имеет и достаточно определенное номинальное выражение: безработные постоянно пересматривают номинальный уровень отправной зарплаты в зависимости от динамики инфляции и особенно инфляционных ожиданий. Если в следующем году инфляция ожидается 20%, то минимальная отправная зарплата, с которой согласится безработный, тоже повысится на 20%. Воздействие инфляционных ожиданий на уровень отправной зарплаты означает воздействие на решения людей продлить или прервать поиски рабочих мест, что, в свою очередь, немедленно влияет на текущую норму безработицы.
                                          Мы уже знаем, что существует как ожидаемая, так и неожидаемая инфляция. Их воздействие на поиски рабочих мест весьма различно. В ситуации с ожидаемой инфляцией все те, кто принимает экономические решения, будут менять свои оценки. Работники увеличат уровень отправной зарплаты, работодатели тоже перестроят свои предложения по зарплате. В результате предельные затраты и предельные выгоды от поисков рабочего места будут расти параллельно и не изменятся в реальном выражении.
                                          Поэтому ситуация с ожидаемой инфляцией не оказывает реального воздействия на поиски.
                                          В ситуации с неожиданной инфляцией работники получают совершенно различную информацию о предлагаемых зарплатах и продуктовых ценах. Они не могут точно оценить динамику отправной зарплаты и динамику цен. Поскольку информация о зарплатах появляется реже, чем информация о ценах, то возникают опасения того, что предельные затраты поисков растут очень быстро.
                                          Неожиданная инфляция сокращает период поисков, а тем самым сокращает текущую норму безработицы.

                                          Норма безработицы снизится.

                                          25-5
                                          Таким образом, в кратковременном периоде конкурентный выбор существует, скорее, между безработицей и неожиданной инфляцией. Когда возникает неожиданная инфляция, норма безработицы снижается. Когда же фактическая инфляция оказывается ниже ожидаемой, текущая норма безработицы растет.
                                          Эта взаимосвязь существует только краткосрочный период. В долгосрочном периоде инфляционные ожидания подстраиваются к уровням неожиданной инфляции. Когда эта перестройка достигает цели, фактическая норма безработицы приближается к естественной норме и кратковременная взаимосвязь между безработицей и инфляцией исчезает.
                                          Концепция поисков рабочего места имеет важное значение для понимания кривой Филлипса. Допустим, что экономика действует на уровне потенциального ВНП, норма безработицы равна естественной норме, инфляция относительно низка. Эта ситуация показана на 25-5 (точка А). В долгосрочном периоде инфляция относится к категории ожидаемой инфляции, т. е. IL (низкая инфляция) представляет не только фактический уровень инфляции, но также и ее ожидаемый уровень.
                                          Если теперь произойдет неожиданное увеличение совокупного спроса, то начнется неожиданная инфляция. Такая инфляция, как мы уже знаем, ведет к снижению времени поисков рабочих мест и, следовательно, к снижению нормы безработицы. Экономика перемещается в точку В, где инфляция выше, а норма безработицы ниже.
                                          Возникает краткосрочное равновесие, которое не может сохраниться в течение долгосрочного периода. Автоматическая перестройка экономики вернет ее к уровню потенциального ВНП. Но одновременно произойдет и перестройка инфляционных ожиданий, что вызовет сдвиг краткосрочной кривой Филлипса РСL (кривая Филлипса при низкой инфляции) на позицию РСH (кривая Филлипса при высокой инфляции).
                                          Время поисков вернется к прежнему уровню, как только фактическая инфляция сравняется с ожидаемой инфляцией.
                                          Таким образом, точка С (пересечение двух кривых Филлипса долгосрочной РСLR и краткосрочной РСH) представляет уровень ожидаемой инфляции. Сама по себе краткосрочная кривая Филлипса демонстрирует конкурентный выбор между безработицей и неожидаемой инфляцией. Когда фактическая инфляция ниже ожидаемой, норма безработицы повышается. В долгосрочном периоде этот конкурентный выбор исчезает по мере того, как перестраиваются инфляционные ожидания тех, кто принимает экономические решения.
                                          Долгосрочная кривая Филлипса представляет собой вертикаль, указывающую на то, что любой уровень ожидаемой инфляции совместим с естественной нормой безработицы.
                                          Соединяя кривую Филлипса с инфляционными ожиданиями, мы можем объяснить, почему в 50-е и 60-е гг. кривая Филлипса была обнаружена в различных странах, а в 70-е гг. исчезла повсеместно. В 60-е гг. краткосрочная взаимозависимость между инфляцией и безработицей была фактически отношением между безработицей и ожидаемой инфляцией. В эти годы инфляционные ожидания были низки, поэтому, если фактическая инфляция превышала ожидаемую, норма безработицы снижалась. По мере того как инфляционные ожидания перестраивались, краткосрочная кривая Филлипса сдвигалась вверх.
                                          В 80-е гг. инфляционные ожидания повсеместно понизились, краткосрочная кривая Филлипса сдвинулась вниз.
                                          § 135. ВЗАИМОСВЯЗЬ ИНФЛЯЦИЯ/ БЕЗРАБОТИЦА И МАКРОЭКОНОМИКА Обсуждение, например, вопросов о том, нужно ли применять жесткие меры против инфляции, может зависеть от различных наборов аргументов. В пользу таких мер экономисты (монетаристская школа) называют следующие аргументы: а) инфляция обходится обществу дороже, чем безработица; б) краткосрочная кривая Филлипса имеет крутой наклон; в) ожидания перестраиваются быстро; г) механизм автоматической перестройки экономики работает четко и быстро. Против таких мер выступают другие экономисты (кейнсианская школа), указывая, что: а) безработица обходится обществу дороже, чем инфляция; б) краткосрочная кривая Филлипса имеет пологий наклон; в) ожидания перестраиваются медленно; г) механизм автоматической перестройки действует медленно и неэффективно.
                                          Эти различия ведут и к различиям в политике в зависимости от того, представители какой из школ консультируют правительство. Например, монетаристы предпочтут использовать рецессионный спад для того, чтобы остановить инфляцию. Кейнсианцы, напротив, увеличивая совокупный спрос, будут преодолевать рецессию, что одновременно усилит инфляцию.
                                          В послевоенной истории западных стран было немало ситуаций, когда применялись разные рецепты макроэкономической политики. Кривая Филлипса содержит важные выводы для политиков. Она предполагает, что идеальное макроэкономическое состояние с устойчивыми ценами, полной занятостью, стабильным ростом недостижимо в определенных краткосрочных ситуациях.
                                          Если правительство выбирает денежную или фискальную политику, с тем чтобы справиться с определенной краткосрочной ситуацией, оно иногда действительно должно выбрать между более высокой безработицей или более высокой инфляцией. Попробуем рассмотреть два сценария с применением кривой Филлипса: снижение безработицы ниже естественной нормы и снижение высокой избыточной безработицы.

                                          Норма безработицы снизится.

                                          25-6
                                          В конкретной жизни ряда стран, где к власти приходили либеральные правительства, политики полагали, что естественная норма безработицы слишком высока и ее следует понизить. С этой целью они применяли стимулирование совокупного спроса. На 25-6 экономика первоначально находится в долгосрочном равновесии в точке А, где норма безработицы равна 5% (естественная норма), а инфляция составляет лишь 1%.



                                          НОВЫЕ ТЕОРИИ ПОТРЕБИТЕЛЬСКИХ РАСХОДОВ


                                          Долгосрочная МРС дает информацию о том, насколько вырастут потребительские расходы в течение долгого периода роста YD. В наших примерах в предшествующей теме значение долгосрочной МРС было равно 0,75. На 18-8 значение краткосрочной МРС значительно ниже. Краткосрочная МРС дает информацию о том, насколько вырастут потребительские расходы в течение одного года или в течение одного экономического цикла (по мере роста YD). Долгосрочные и краткосрочные МРС, примененные к различным крупным товарным группам, отличаются еще больше.
                                          Например, в США анализ данных за более чем 30-летний период (19531986 гг.) показал, что долгосрочная МРС по потребительским расходам в целом составляла 0,91, а краткосрочная 0,76, в то время как долгосрочная МРС и краткосрочная МРС по товарам кратковременного пользования и услугам составляли 0,76 и 0,46, а по товарам длительного пользования 0,15 и 0,30 соответственно. Обратим внимание на обратную связь значений МРС
                                          НОВЫЕ ТЕОРИИ ПОТРЕБИТЕЛЬСКИХ РАСХОДОВ

                                          18-8
                                          для товаров длительного пользования (долгосрочная МРС существенно ниже краткосрочной МРС). Знание подобных нюансов существенно помогло совершенствованию техники макропрогнозов и макроанализа.
                                          §101. НОВЫЕ ТЕОРИИ ПОТРЕБИТЕЛЬСКИХ РАСХОДОВ Простая потребительская функция явилась лишь началом глубокого изучения феномена потребительских расходов. В итоге возникло значительное число теорий потребления, среди которых сегодня наиболее признанными остаются теория постоянного дохода выдающегося американского экономиста, лауреата Нобелевской премии Милтона Фридмана и теория жизненного цикла другого выдающегося американца, также лауреата Нобелевской премии Франко Модильяни. Эти теории тесно взаимосвязаны и воплощают в качестве центральной идею потребительского предвидения (прогнозов, ожиданий) как основу для принятия решений.
                                          В частности, теория жизненного цикла была названа так потому, что сделала упор на процесс перспективного предвидения, который в течение всей жизни осуществляет обычная семья. В свою очередь, концепция М. Фридмана была названа так вследствие того, что она различает постоянный доход, который семья ожидает в течение длительного периода, и временный доход, который, как ожидает семья, быстро исчезнет.
                                          Как и в случае с простой потребительской функцией, обе теории предполагают, что индивиды и семьи (домашние хозяйства) основывают свои решения о потребительских расходах на динамике располагаемого дохода. Но обе теории исходят из того, что потребители не принимают свои решения, основываясь исключительно на располагаемом доходе данного года. Они прогнозируют свой будущий располагаемый доход, учитывая свой будущий доход от занятости, от накопленного богатства, от воздействия различных налогов и других факторов.
                                          Приняв во внимание текущий и будущий доходы, потребители принимают решения о потребительских расходах в этом году, рассмотрев также и варианты возможных расходов в будущем.
                                          Иными словами, решение потребителя становится чем-то вроде индивидуального плана расходов. Решение о расходах в этом году является лишь решением на один год среди 50 лет, на которые, вероятно, рассчитан весь план. На второй год план будет скорректирован, чтобы учесть новую информацию, однако если на втором году фактическая ситуация и ожидания совпали, то план не изменится.
                                          В процессе планирования потребительских расходов домашнее хозяйство прежде всего сталкивается с бюджетным ограничением. При этом такое ограничение рассматривается применительно не к одному-единственному году, но ко многим будущим годам, вместе взятым. Бюджетное ограничение является более подвижным в любом одном году, чем в течение множества лет.
                                          В любом данном году расходы домашнего хозяйства могут превысить располагаемый доход за счет ссуды или за счет продажи каких-то финансовых активов. Но расходы домашнего хозяйства не могут бесконечно превышать его располагаемый доход. Оно сталкивается с межвременным бюджетным ограничением, которое лимитирует его потребление во времени. В какие-то годы расходы окажутся ниже доходов, и тогда излишек дохода уйдет в сбережения (добавляясь к финансовым активам домашнего хозяйства), которые могут быть позднее использованы для покрытия потребительских расходов.
                                          Сокращение потребительских расходов в этом году создает условия их роста в будущем.
                                          Бюджетное ограничение включает накопление активов вследствие процесса сбережений. Межвременное бюджетное ограничение может быть описано следующим образом: активы в начале следующего года равны активам в начале этого года плюс доход этого года на активы, плюс доход, заработанный в этом году, минус налоги этого года, минус потребительские расходы этого года. Активы включают банковские вклады, государственные ценные бумаги, акции фирм, пенсионные фонды. Как мы видим, есть два основных источника доходов: 1) зарабатываемый доход; 2) доход на активы.
                                          Если домашнее хозяйство увеличивает свои активы, то оно увеличивает будущий доход от них.
                                          Обозначим символами составные части формулы межвременного бюджетного ограничения:
                                          At активы в начале года t;
                                          R ставка процента на активы;
                                          El заработанный в течение года l доход;
                                          Tt налоги, выплаченные в году t;
                                          Ct потребительские расходы в году t.
                                          Используя эти символы, запишем формулу межвременного бюджетного ограничения:
                                          At = At + R At + El - Tt - Ct
                                          Это уравнение относится ко всем годам жизни домашнего хозяйства годам работы и годам пребывания на пенсии. Применяя год за годом это уравнение, домашнее хозяйство может рассчитать на будущее свои позиции в отношении активов при ожидаемых процентной ставке, зарабатываемом доходе и налогах. Сократив потребление в этом году, домашнее хозяйство может увеличить свои активы в будущие годы.
                                          Более крупные активы плюс, зарабатываемый ими процент, могут быть использованы в потребительских целях на такие статьи расходов, как лучшее образование детей, хорошо обеспеченная старость, путешествия.
                                          План потребителя можно рассматривать как осуществимый, если в любой период в будущем он не ведет к нецелесообразной позиции по активам. Любая положительная величина активов является целесообразной, поскольку это означает, что домашнее хозяйство скорее дает ссуды другим, чем занимает у других. Для большинства людей нецелесообразно снижать свои активы ниже нулевой отметки. Концепция Фридмана и Модильяни в отношении активов состоит в том, что их величина должна оставаться положительной в ходе заимствования (обязательства) и наращивания собственности (активы). Если человек покупает дом с первоначальным взносом в 20% и закладывает остающиеся 80%, его чистая позиция по активам является положительной.
                                          Ценность дома как актива превышает ипотечные обязательства. Заимствование на основе чистого положительного баланса активов является совершенно целесообразным, и почти все домашние хозяйства так и поступают. Исключение часто составляют студенты коммерческих вузов, которые заимствуют в расчете на ожидаемые будущие высокие доходы.
                                          Прошло 3540 лет с тех пор, как Фридман и Модильяни выдвинули свои концепции, основанные на эмпирических исследованиях. Они послужили затем базой для выдвижения новых концепций, которые существенно уточняли наши представления о поведении тех, кто принимает экономические решения. Сама гипотеза потребительского «планирования» уже постулирует существенную степень рациональности потребительского поведения. Выдвинутая позднее теория рациональных ожиданий предполагает еще более высокую степень рациональности. Предпосылка Фридмана и Модильяни об ожиданиях в отношении будущего дохода потребителя исходит из того, что потребитель видит будущий доход, опираясь на то, что он имеет сегодня.
                                          Эта предпосылка достаточно обща, чтобы считать ее точным инструментом оценки поведения потребителя. Теория рациональных ожиданий дает уже достаточно точный инструментарий для статистического описания того, как складываются ожидания, на которых основывается поведение индивидов и фирм.
                                          Ключевые слова и понятия

                                          • Автономное потребление
                                          • Автономные инвестиции
                                          • Горизонтальный сегмент SRAS
                                          • Долгосрочная МРС
                                          • Инвестиционная функция
                                          • Краткосрочная МРС
                                          • Межвременное бюджетное ограничение
                                          • Потребительская функция
                                          • Предельная склонность к потреблению
                                          • Предельная склонность к сбережению
                                          • Простая потребительская функция
                                          • Сберегательная функция
                                          • Совокупные расходы
                                          • Средняя склонность к потреблению
                                          • Теория жизненного цикла
                                          • Теория постоянного дохода
                                          ИТОГИ ИЗУЧЕНИЯ ТЕМЫ

                                          1. Кейнсианская макроэкономическая модель предназначалась для объяснения того, как экономика в краткосрочном периоде оказывалась в состоянии равновесия в точке левее кривой потенциального реального ВНП. Кейнс исходил из того, что зарплаты и цены стали негибкими и не могли обеспечить быструю перестройку экономики в случае, когда она в краткосрочном периоде оказывалась ниже потенциального уровня.
                                          2. Кривая SRAS в модели Кейнса имеет горизонтальный сегмент. Если экономика функционирует внутри этого сегмента, то рост AD ведет к росту YR без повышения Р. Предпосылка о сегменте привела к применению биссектрисы угла 0 вместо кривой SRAS.
                                          3. Уровень реального ВНП определяется либо как сумма совокупных расходов, либо как точка, в которой утечки равны инъекциям: АЕ = С + I + G + (X М).Каждый из элементов АЕ является функцией YR, а также других факторов, которые рассматриваются в качестве детерминант автономной части таких отдельных расходов.
                                          4. МРС доля дополнительного YD, которая расходуется на потребление. MPS доля дополнительного YD, расходуемая на сбережения. Потребление зависимая переменная в потребительской функции, а YD независимая переменная. Детерминанты С богатство, предыдущий уровень доходов, ценовой уровень, ожидания, возрастная структура населения.
                                          5. Инвестиции более скромная часть АЕ, чем потребительские расходы, но более изменчивая. Инвестиции функция YD, а также ряда детерминант (реальная ставка процента, загрузка мощностей, налоги на капитал).
                                          6. Равновесный уровень YR в модели Кейнса может быть определен одним из двух способов: а) либо в точке, где АЕ = YR; б) либо в точке, где общая сумма утечек равна общей сумме инъекций. В двухсекторной модели условием равновесия может быть равенство S и l.
                                          7. Если равновесный YR меньше Yp, то имеет место рецессионный разрыв. Если равновесный YR больше Yp, то имеет место инфляционный разрыв. Обе ситуации являются краткосрочными.
                                          8. Потребители финансируют потребительские расходы из своих располагаемых доходов в устойчивой пропорции к доходам. Однако много раз наблюдались отклонения от простой потребительской функции. Теории о прогнозных расчетах потребления (теория постоянного дохода, теория жизненного цикла) относят потребительские расходы к текущему и ожидаемому будущему доходу, а не только к текущему доходу. МРС из временных доходов существенно ниже, чем МРС из постоянного дохода.




                                          ПАРАДОКС БЕРЕЖЛИВОСТИ


                                          д.). По своему воздействию на ВНП трансферты обратны по сравнению с налогами. Рост налогов снижает потребительскую функцию, а рост трансфертов повышает ее. Трансферты увеличивают располагаемый доход и тем самым повышают совокупные потребительские расходы.
                                          Воздействие трансфертов на реальный ВНП определяется так же, как и воздействие налогов. Первый шаг установление первоначального изменения в совокупных потребительских расходах умножением роста трансфертов на МРС. Затем, во втором шаге, нужно умножить изменение в С на мультипликатор расходов, и мы получим результирующие изменения в ВНП: мультипликатор трансфертов =

                                          Применяя цифровые значения предыдущего примера, получим:
                                          мультипликатор трансфертов =

                                          Абсолютное значение мультипликатора трансфертов такое же, как и абсолютное значение мультипликатора налогов, но действуют эти два мультипликатора в противоположных направлениях. Если налоги растут, реальный ВНП снижается, если трансферты растут, то реальный ВНП увеличивается.
                                          Таким образом,
                                          мультипликатор налогов =


                                          мультипликатор трансфертов =

                                          § 105. ПАРАДОКС БЕРЕЖЛИВОСТИ Парадокс бережливости гипотеза о том, что автономный подъем сбережений без соответствующего увеличения инвестиций ведет к снижению равновесного уровня реального ВНП, а это, в свою очередь, замораживает или даже снижает объем сбережений. Допустим, что домашние хозяйства все разом принимают решение об увеличении сбережений на каждом уровне располагаемого дохода. Результатом этого станет снижение реального ВНП.
                                          На 19-4 мы применим метод равенства утечки и инъекции. На 19-4, а первоначально экономика находится в точке Е1 где S = I, а реальный ВНП равен Yp, (потенциальный ВНП). Допустим, что домашние хозяйства неожиданно увеличивают сбережения, создавая автономный рост сбережений и вынуждая к сдвигу функцию сбережений (с S1, на S2).
                                          Теперь меняется точка макроэкономического равновесия, она перемещается из Е1 на Е2 где S2 = I, что создает равновесный уровень реального ВНП, равный Ya,. Этот уровень ниже на величину, равную автономному росту сбережений, умноженному на мультипликатор. Итогом роста S стало, таким образом, снижение Y.
                                          Но итогом такого роста S может стать снижение S. Это показано на рис 19-4, б, где соблюдены те же условия, что и в части а, исключая инвестиционную функцию. Допустим, что инвестиции являются возрастающей функцией реального ВНП. Объем инвестиций равен 0, если ВНП равен 0. Объем инвестиций будет расти по мере роста ВНП. Если инвестиционная функция наилучшим образом описывает макроэкономическое состояние, то коллективное намерение увеличить совокупные сбережения действительно приведет к снижению объема сбережений. Сбережения, измеряемые на вертикальной оси, упадут с S1, до S2.
                                          Здесь причиной этого является мультиплицированное снижение реального Y, которое сопровождается сдвигом функций сбережений вверх. До сдвига экономика находилась в равновесной точке Е1, где S = I, а ВНП = Yp. Однако после этого сдвига точка равновесия переместилась на Е2, где S1 = I, а реальный ВНП снизился до Ya.
                                          Вследствие того что инвестиционные расходы должны быть ниже на более низких уровнях Y, то и равновесный уровень S тоже должен быть ниже. 19-4, б показывает, что новый равновесный уровень S оказался ниже, чем до автономного повышения S. Случившееся получило название парадокса бережливости.


                                          ПАРАДОКС БЕРЕЖЛИВОСТИ

                                          19-4
                                          В периоды рецессии это явление может углубить рецессию, но в периоды инфляционного разрыва оно может помочь экономике вернуться к Yp.
                                          Ключевые слова и понятия

                                          • Мультипликатор госрасходов на покупку товаров и услуг
                                          • Мультипликатор налогов
                                          • Мультипликатор расходов
                                          • Мультипликатор трансфертов
                                          • Парадокс бережливости
                                          ИТОГИ ИЗУЧЕНИЯ ТЕМЫ

                                          1. Баланс АD и AS достигается, когда все, принимающие экономические решения, осуществляют расходы на уровне совокупных доходов, которые соответствуют уровню ВНП, являющемуся суммой С, I, G и X. Автономное изменение величин С, I, G и Х ведет к мультиплицированному изменению равновесного уровня реального ВНП.
                                          2. Соотношение между изменением Y и автономным изменением любого из расходных компонентов У называется мультипликатором расходов. Величина мультипликатора зависит от величины MPS и обратно пропорциональна ей.
                                          3. Различные виды государственной деятельности связаны с различными величинами мультипликаторов. Мультипликатор госрасходов на покупку товаров и услуг такой же, как и мультипликатор расходов. Мультипликатор налогов отличается от мультипликатора расходов тем, что он ниже на 1 и имеет противоположный знак. Мультипликатор трансфертов отличается от мультипликатора налогов противоположным знаком.
                                          4. Парадокс бережливости предполагает, что в случае коллективного решения увеличить сбережения происходит мультиплицированное снижение реального ВНП. При определенных обстоятельствах такое увеличение может снизить величину совокупных сбережений. Парадокс бережливости кратковременное явление. В долгосрочном периоде рост сбережений будет воздействовать на снижение уровня цен и повышение темпа экономического роста, но не на снижение реального ВНП.




                                          Первоначальное положение экономики


                                          Допустим, что кривая AD сдвигается вправо под воздействием какой-либо из неценовых детерминант (снижение налогов, введение крупной социальной программы и т.д.). 17-4 показывает нам начало сдвига АD и ход автоматической перестройки на макроэкономическом уровне.
                                          Первоначальное положение экономики

                                          17-4
                                          Первоначальное положение экономики точка E. Затем кривая AD1 сдвигается на позицию AD2. Возникает инфляционный разрыв, при котором происходит рост Y и Р. Поскольку спрос увеличивается, фирмы принимают решение расширить производство. Они нанимают дополнительных работников. Продуктивность этих работников ниже, поскольку лучшие давно были наняты и работают. Предельная производительность труда L начинает снижаться, а затраты на единицу продукции расти.
                                          Это, среди прочего, выявляет одну из причин того, почему кривая SRAS направлена вверх: по мере увеличения объема совокупного предложения растут и затраты на производство. В итоге макроэкономическое равновесие переместится из точке Е в точку Е1.
                                          Но эта ситуация является кратковременной. Более высокий ценовой уровень снизил реальную зарплату работников фирм, и по истечении трудовых контрактов работники потребуют повышения зарплаты. Но когда начнут расти затраты на труд, то вырастут в целом и затраты на производство продукции..

                                          Первоначальное положение экономики

                                          17-5
                                          Это сигнал для фирм, чтобы снизить объемы производства. В результате кривая SRAS1 сдвинется влево вдоль кривой AD1 на позицию SRAS2. Такой сдвиг продолжится до тех пор, пока кривая SRAS не пересечется с кривой AD в точке потенциального ВНП (Yp). Это точка E2 новое долгосрочное (потому что оно соответствует уровню потенциального ВНП) макроэкономическое равновесие. Величина совокупного предложения вернется на уровень Yp.
                                          Инфляционный разрыв ВНП Оказался, таким образом, преодолен в результате самокоррекции экономики. Экономика вернулась к потенциальному ВНП, т. е. к уровню долгосрочного совокупного предложения. Важно отметить, что долгосрочным последствием увеличения AD, когда экономика действует в условиях полной занятости ресурсов, является рост ценового уровня при сохранении уровня Y. Таким образом, в долгосрочном периоде ценовой уровень определяется совокупным спросом, а уровень совокупного предложения устанавливается позицией кривой потенциального ВНП ( 17-5).
                                          Теперь допустим, что вследствие снижения совокупного спроса кривая совокупного спроса сместилась влево и возник рецессионный разрыв ВНП, в результате которого ВНП и ценовой уровень понизятся. Макроэкономическое равновесие из точки Е сместилось в точку E1. Следствием изменения совокупного спроса стала кратковременная перестройка экономики, принявшая форму рецессионного разрыва ВНП.
                                          Снижение ценового уровня с P до P1 означает рост реальной заработной платы. Те, кто не может найти работу, готовы согласиться на предыдущий уровень реальной зарплаты, который существовал в первоначальной ситуации. Это приведет к снижению номинальной зарплаты работников, когда наступит время перезаключать трудовые контракты. Снижение спроса, кроме того, вынудило фирмы уволить часть сотрудников и сократить производство. Конечно, увольнение коснулось наименее производительных работников, что увеличило выпуск продукции на единицу факторного ресурса.
                                          Вследствие роста производительности и снижения зарплаты затраты фирм снизились, и они начали увеличивать производство. Этот процесс автоматической макроэкономической перестройки закончится, когда кривая SRAS1 сдвинется на место SRAS2 вдоль кривой AD2 и пересечется с ней на линии LRAS (кривая потенциального ВНП), т.е. макроэкономическое равновесие вернется к позиции потенциального ВНП. Таким образом, перестройка зарплаты и цен обеспечивает автоматическую коррекцию как при инфляционном, так и при рецессионном разрывах ВНП.
                                          § 93. ПОТЕНЦИАЛЬНЫЙ УРОВЕНЬ СОВОКУПНОГО ПРОИЗВОДСТВА Концепция потенциального ВНП была предложена известным американским экономистом Артуром Оукеном в начале 60-х гг. Повторимся, что потенциальный реальный ВНП объем реальной совокупной продукции, произведенной при условии полной занятости факторных ресурсов.
                                          Понятие полной занятости отнюдь не предполагает, например, нуля безработицы. Напротив, для каждой конкретной страны нужно определять базовые уровни занятости мощностей и рабочей силы, чтобы установить уровень потенциального ВНП. Да и практически «100%-ная» занятость ресурсов является игрой слов, ибо ни человек, ни машина не могут работать безостановочно. Уровень потенциального ВНП не является максимумом утилизации применяемых факторных ресурсов.
                                          Потенциальный ВНП подсчитывается на основе информации о безработице (измеритель степени занятости трудовых ресурсов) и отчетов фирм о загрузке мощностей (измеритель степени занятости физического капитала). В 1962 г. А. Оукен подсчитал, что ВНП США равен потенциальному уровню ВНП при норме безработицы в 4%. В 90-е гг. этот уровень поднялся до 5,5%.
                                          В Западной Европе данный показатель был обычно заметно выше.
                                          В ходе экономического развития фактический ВНП может оказаться и выше, и ниже потенциального ВНП. Если он делается ниже потенциального ВНП, то экономика работает в условиях безработицы и недогрузки мощностей, теряет ресурсы и снижает жизненный уровень граждан. Если же фактический ВНП оказывается выше потенциального, то безработица становится низкой, фирмы работают с высокой нагрузкой, благосостояние растет, но начинает ускоряться инфляция.
                                          Мерой того, как функционирует экономика, является коэффициент ВНП (или разрыв ВНП) соотношение фактического и потенциального ВНП, выраженное в процентах. Это ключевой показатель состояния экономики. Поскольку главным измерителем совокупного производства считается реальный ВНП, то коэффициент ВНП обычно определяется как соотношение реального ВНП и потенциального реального ВНП (реальный ВНП делится на потенциальный), умножаемое затем на 100, чтобы придать ему форму индекса.
                                          Разрыв ВНП лишь другой способ выразить ту же самую идею. Разрыв ВНП разница между фактическим и потенциальным реальным ВНП, которую можно выразить как в денежной форме, так и в процентах. Если, например, коэффициент ВНП равен 90%, то разрыв ВНП составляет 10%, т.е. фактический ВНП ниже потенциального на 10%.
                                          Этот разрыв указывает политикам макроэкономическую цель и уровень, который нужно восстановить, чтобы экономика работала в условиях полной занятости факторных ресурсов.
                                          § 94. ЕЩЕ РАЗ О ПЕРЕСТРОЙКЕ СОВОКУПНОГО ПРОИЗВОДСТВА Базовая макроэкономическая модель в целях упрощения учитывает наличие только частного сектора и включает домашние хозяйства, осуществляющие потребительские расходы, и фирмы, предъявляющие инвестиционный спрос. Условием равновесия в этой модели является тождество: Y = С + I. Тождество равенство, которое, по определению, верно для всех значений переменных в этом равенстве.
                                          Данное равенство является тождеством, так как Y (т.е. реальный ВНП) определяется как совокупное производство, и тогда каждый товар и каждая услуга, являющиеся частью Y, определяются либо как часть совокупного потребления (С), либо как часть инвестиций (I). В частности, валовые инвестиции включают расходы на строительство заводских зданий и покупку оборудования, которое фирмы заказывают у других фирм, но по методу счета в системе национальных счетов инвестиции включают также любые товары (велосипеды, кухонную посуду и т.д.), которые произведены, но не проданы. Непроданные товары включаются в товарные запасы.
                                          Поэтому тот факт, что приведенное уравнение тождество всегда удовлетворяется, не слишком много говорит нам о том, как определяется Y (ВНП). В том числе оно не даст представления о том, больше, меньше совокупный спрос совокупного предложения или равен ему.
                                          В двухсекторной модели (где есть только С и I) экономика окна находиться в равновесии, если только в ней не происходит незапланированных изменений в объеме инвестиций. Способ, каким экономика автоматически перестраивается, когда равновесие нарушено, зависит от того, что происходит товарными запасами. Фирмы принимают решения об увеличении или снижении объема производства в зависимости от того, увеличивается или снижается объем товарных запасов.
                                          Если фирмы производят больше, чем продают, плюс спланированный объем запасов, они сохранят производство, и наоборот.
                                          Уровень инвестиций, который планируют фирмы (Ip), включает только ожидаемое или предполагаемое изменение запасов. Однако фирмы часто сталкиваются с меньшим или большим объемом запасов, чем они хотели бы, в ходе осуществления ими хозяйственной деятельности. Такие неожиданные или незапланированные изменения в товарных запасах являются частью затрат фирм на инвестиции (независимо от того, что эти затраты были незапланированными или неожиданными). Валовые инвестиции (IT) являются суммой запланированных (Ip) и незапланированных (Ii) инвестиций.
                                          Это позволяет нам сформулировать относящееся к инвестициям условие равновесия на товарных рынках, состоящее в том, что равновесие существует, если незапланированные инвестиции равны нулю, а запланированные инвестиции равны фактическим (I = Ip). 17-6 показывает реакцию всех фирм на изменение в незапланированных товарных запасах в дамках базовой макроэкономической модели (AD/SRAS).



                                          ПЛАТЕЖНЫЙ БАЛАНС


                                          Однако в 80-е гг., несмотря на то что, например, темп инфляции в США был выше, чем в Японии или Германии, доллар в 19801985 гг., а затем в 19881989 гг. дорожал по отношению и к иене, и к марке. Что же случилось? Во-первых, расчеты, сделанные на основе паритета, могут быть сильно искажены наличием торговых ограничений.
                                          Так, даже если темп инфляции в Германии был выше, чем в США, общеевропейские ограничения на ввоз товаров из США были настолько значительны, что марка могла и не обесцениваться по отношению к доллару. И наоборот, хотя инфляция в США была фактически выше, чем в Германии, в силу причин, связанных с теорией паритета покупательной способности, доллар не обесценивался. Во-вторых, какие-то товары и услуги не могут при торговле ими пересекать национальные границы (земельные участки, недвижимость и т.д., аренда туристами отелей и использование ими других услуг в принимающей стране и т.д.). В этом случае темп инфляции на такие товары и услуги имеет небольшое воздействие на обменные курсы. Наконец, разные страны производят в чем-то похожие, но не идентичные продукты.
                                          И цены на них, выраженные в какой-либо одной валюте, могут расти совершенно различными темпами, как это происходило много раз с ценами на немецкие «мерседесы», шведские «вольво» и американские «кадиллаки». Таким образом, «другие факторы» (т. е. не относительные уровни цен) могут существенно влиять на установление обменных курсов, но в краткосрочные периоды. Однако в долгосрочные периоды весьма важную роль играет паритет покупательной способности.
                                          Мы уже знаем, что совокупные потребительские расходы увеличиваются, когда растет национальный доход. То же самое происходит и с расходами на импортные товары и услуги. При этом (при прочих равных условиях) страна, в которой совокупный спрос растет быстрее, чем в остальных странах, испытывает обесценение своей валюты, так как ее импорт увеличивается быстрее, чем ее экспорт. Таким образом, у нее кривая спроса на иностранную валюту сдвигается вправо более быстро, чем это происходит с кривой предложения валюты.
                                          Все эти изменения, происходящие на среднесрочных отрезках времени, показывают взаимосвязь между обменными курсами и общей экономической динамикой страны.
                                          Но в то время, как экономическая динамика в среднесрочные периоды важна для установления обменного курса, «прочие условия» могут оказаться весьма неравными в краткосрочные периоды. В частности, в такие периоды для движения обменных курсов важны различия в процентных ставках. В мире всегда имеется огромная величина так называемых горячих денег, находящихся в распоряжении банков, многонациональных корпораций, богатых людей и перемещающихся по всему миру в поисках более высоких процентных ставок.
                                          Например, допустим, что по государственным облигациям во Франции платят 6%, в то время как по таким же облигациям в США стали платить 8%. Что сделают французские владельцы «горячих» финансовых активов? Они ринутся в США и предложат франки в обмен на доллары США, с тем, чтобы купить американские государственные облигации. Но американские инвесторы тоже предъявят больший спрос на эти облигации и снизят спрос на франки. Законы спроса и предложения доскажут нам все остальное: при прочих равных условиях страны с более высокими процентными ставками испытают больший приток иностранных капиталов из тех стран, где ставки ниже.
                                          Рост процентных ставок, таким образом, приведет к удорожанию валюты данной страны, снижение процентных ставок к обесценению ее валюты. Этот фактор является основной детерминантой обменных курсов в краткосрочные периоды.
                                          § 147. ПЛАТЕЖНЫЙ БАЛАНС Многие валюты в мире являются валютами с плавающими курсами, т. е. валютами, чьи обменные курсы определяются на свободных рынках действиями законов спроса и предложения. Но многие валюты не имеют плавающих курсов. Существует много валют с фиксированными обменными курсами, т. е. курсами, которые устанавливают (и поддерживают специальными мерами) правительства.
                                          В этих случаях фиксированный обменный курс не является важнейшим предметом наблюдения специалистов в области международных финансов, которые предпочитают тогда наблюдать за платежным балансом.
                                          Чтобы усвоить это новое понятие, рассмотрим 28-2, на котором показана ситуация, где существуют две цены рубля по отношению к доллару. Одна устанавливается равновесием спроса и предложения рублей и указывает на свободный рыночный равновесный обменный курс, равный 0,1 долл. за 1000 р. (точка Е).

                                          ПЛАТЕЖНЫЙ БАЛАНС

                                          А другая поддерживается правительством и составляет 0,2 долл. за 1000 р. (Пример отражает состояние российской экономики 23-летней давности.) При цене в 0,2 долл. гораздо больше тех, кто предлагают рубли, чем тех, кто предъявляет спрос на них. На 28-2 для взятого нами примера предложение составляет 90 трлн р., а спрос только 80 трлн р. Разрыв в 10 трлн р. составлял дефицит платежного баланса России. Дефицит платежного баланса счет, в соответствии с которым величина предложения валюты данной страны превышает величину спроса на нее (в годовом исчислении).
                                          Дефицит платежного баланса возникает при поддержании обменного курса валюты на искусственно завышенном уровне.
                                          При наличии указанного разрыва и бездействии рыночного механизма правительство должно само выкупить излишек величины предложения над величиной спроса, т. е. 10 трлн р., отдав за них либо часть золотого запаса, либо часть валютных резервов. Естественно, что такая ситуация не может продолжаться долго вследствие ограниченности валютных резервов. В существовавшей ранее широкой системе фиксированных валютных курсов это обстоятельство оказалось роковым.

                                          ПЛАТЕЖНЫЙ БАЛАНС

                                          28-3
                                          Поскольку спекулянты валютой убеждены в том, что данный обменный курс будет поддерживаться лишь короткий период, они скорее продадут имеющуюся у них массу рублей, а не станут удерживать ее в ожидании падения курса. Кривая предложения ( 28-3) рублей в этом случае сместится с 5, на Sy создавая еще больший дефицит платежного баланса (с 10 до 20 трлн р.). Испытывая дефицит валютных резервов.
                                          Центральный банк должен будет допустить резкое снижение обменного курса фактически до его равновесного уровня, что означает еще более значительную девальвацию, чем та, которая уже случилась до «бегства» от рубля, показанного на 28-3. Хотя мы описывали выше пока гипотетические примеры с рублем, в начале 70-х гг. аналогичная история уже случилась с американским долларом (когда доллар имел завышенную оценку) и привела к концу систему фиксированных валютных курсов.
                                          А теперь мы можем описать обратную ситуацию, связанную с заниженной оценкой национальной валюты.

                                          ПЛАТЕЖНЫЙ БАЛАНС

                                          28-4
                                          Допустим (хотя данная ситуация близка к реальной действительности начала 70-х гг.), что в Германии равновесная цена марки (см. 28-4) составляет 0,5 долл. (точка Е), в то время как правительство поддерживает обменный курс на уровне 0,33 долл. При этом курсе величина спроса на марку (50 млрд) превышает величину предложения (40 млрд).
                                          Разница в 10 млрд представляет собой положительное сальдо (излишек) платежного баланса Германии.
                                          Положительное сальдо платежного баланса счет, в соответствии с которым величина спроса на валюту данной страны (в годовом исчислении) превышает величину предложения. Излишек в платежном балансе возникает, если обменный курс поддерживается на искусственно заниженном уровне. В данной ситуации Центральный банк Германии будет накапливать иностранную валюту, что, казалось бы, должно привести к обратной мере по сравнению с упомянутой выше девальвацией, т. е. к ревальвации немецкой марки.
                                          Но в том-то и дело, что историческая действительность дает нам весьма редкие примеры ревальвации в случаях заниженной оценки курса валюты, но весьма частые примеры девальваций в случае его завышенной оценки, что является второй слабостью системы фиксированных курсов. Отказ от ревальвации во всех странах с положительным сальдо платежного баланса происходил под давлением фирм и отраслей-экспортеров. Ревальвация сделала бы их продукцию более дорогой для иностранных покупателей и, следовательно, снизила бы спрос на нее.
                                          При этом, конечно, немецкие потребители переплачивали при покупке ими товаров и услуг, импортируемых в Германию.
                                          Теперь мы подошли к понятию платежного баланса. Платежный баланс отчет, показывающий чистый итог обмена национальной валюты на валюты других стран вследствие всех операций между данной страной и другими странами в определенном году. В обычной практике для расчета платежного баланса, вероятно, достаточно было бы подсчитать спрос частного сектора страны на валюту и предложение ее валюты, а затем вычесть из величины спроса величину предложения.
                                          На практике, однако, дело не выглядит так просто. Если мы можем наблюдать объем фактических рыночных операций, то обнаружим, что количество проданных и количество купленных российских рублей совпадают. Но в этом случае возникает вопрос о том, как мы узнаем о наличии дефицита или положительного сальдо платежного баланса.
                                          Ответ предлагает нам обратить внимание на трансакции (операции) Центрального банка, чьи покупки или продажи валюты устраняют разницу между частным спросом и частным предложением.



                                          Потребление это доход минус сбережения.


                                          с 10 млн р. и т. д.);
                                        • прогрессивная, при которой налоговая ставка повышается по мере роста дохода;
                                        • регрессивная, при которой налоговая ставка понижается по мере роста дохода. В России, как и во многих других странах, действует прогрессивная система. В США прогрессивно-регрессивная (налоговая ставка сначала повышается по мере роста дохода, а затем понижается). Однако следует знать, что, например, налог на покупки в розничной торговле является типичным примером регрессивного налога. Если, например, он равен 5% со стоимости покупки, то семьи с более высокими доходами платят существенно меньшую часть своего дохода на этот налог, чем семьи с низкими доходами.
                                        • Следует также проводить различие между средней налоговой и предельной налоговой ставками. Средняя ставка общий объем уплачиваемых вами налогов, деленный на ваш валовой доход. Предельная ставка ставка, которую вы платите за любой дополнительный доход, зарабатываемый вами. Предельная ставка имеет особое значение для поведения индивида и фирмы. От ее величины зависит, во-первых, решение индивида о том, сколько он будет дополнительно работать, и, во-вторых, решение фирмы об инвестициях, которые дадут дополнительный (предельный) доход, облагающийся предельной ставкой.
                                          В теории налогообложения существенную роль играют концепции равенства и справедливости. Трудно представить, что эти концепции весьма противоречат друг другу и здравому смыслу. Концепция, основанная на принципе получаемой выгоды (налоги больше платит тот, кто больше получает из государственных расходов), предполагает, что богатый получает от государства больше, так как оно при помощи дорогих правоохранительных органов защищает его богатство. Но, с другой стороны, почему бы тогда и безработному, получающему приличное пособие по безработице, не платить больше других? Он-то пропорционально своим доходам получает от государства все 100% доходов!
                                          Другой концепцией равенства является концепция «способности платить». То есть налогоплательщик обязан платить столько, сколько он способен. Но кто должен определять меры этой «способности»? Вероятно, государство, власти. Если согласиться с идеей о том, что способность платить должна быть основой распределения налогового бремени, то из этого следуют еще две концепции. Первая концепция горизонтального равенства, по которой те, у кого одинаковая способность платить, должны платить одинаковые налоги. Вторая концепция вертикального равенства, по которой те, у кого способность платить больше, должны платить больше.
                                          Теоретически существуют три конкретные категории, претендующие на «должность» налоговой базы: доход, потребление и богатство. Доход, точнее, экономический доход, это сумма потребительских расходов плюс изменение в богатстве. Потребление это доход минус сбережения. Богатство все, что имеет домашнее хозяйство за вычетом его обязательств. Все три налоговые базы имеют свои преимущества и свои недостатки. Однако абсолютно явного предпочтения экономисты не дают ни одному варианту (может быть, чуть больше симпатий в качестве налоговой базы вызывает потребление).
                                          Налоговое бремя в конечном счете несут домашние хозяйства. Налоги не всегда платят те, кто первоначально должен быть ответствен за их уплату. Косвенно или иначе, но это бремя часто перекладывается на других. Домашние хозяйства платят налоги или в форме сокращения их прямых доходов, или в форме увеличения их расходов.
                                          Когда налоги искажают экономические решения, они представляют для общества бремя, которое превышает налоговые поступления, получаемые правительством. Величина этого превышения называется избыточным бременем или чистой социальной потерей. Эта величина зависит от пределов, до которых искажаются экономические решения. Общим принципом, вытекающим из анализа избыточного бремени, является принцип нейтральности, который утверждает, что налог, нейтральный по отношению к экономическим решениям, является более предпочтительным, чем налог, который искажает эти решения.
                                          Размер избыточного бремени, который порождается искажающим решения налогом, зависит от того, в какой степени изменяются решения в ответ на налог. В случаях с акцизными налогами поведение потребителей отражается на эластичности спроса. Чем эластичнее кривая спроса, тем больше искажение, вызываемое любой данной налоговой ставкой. Если спрос абсолютно неэластичен, то не будет и искажения, а следовательно, не возникнет избыточного бремени. Налог будет просто изменять часть излишка, зарабатываемого потребителями. Кстати, именно поэтому экономисты предпочитают единый налог на землю всем другим налогам. Предложение земли абсолютно неэластично, и единый налог на все виды ее использования искажает экономические решения меньше, чем налоги на другие факторы производства, предложение которых эластично.
                                          После того как нам стали известны проблемы искажения избыточного бремени, можно сказать, что иногда нейтральные (по отношению к экономическим решениям) налоги желательны. Это происходит в том случае, если в экономике уже существуют другие искажения. Экономисты назвали это явление принципом второго наилучшего. По крайней мере, два фактора стимулируют не нейтральные налоги: а) наличие внешних факторов (экстерналий) и б) наличие других искажающих налогов.
                                          Мы уже знаем, что в случае отрицательного внешнего фактора фирма или домашнее хозяйство может сделать экономически неэффективный выбор. Эффективное распределение ресурсов в этом случае может быть восстановлено введением такого налога на деятельность, являющуюся источником внешнего фактора, который точно равен стоимости ущерба, причиненного этой деятельностью. Так как введение налога на внешний фактор меняет решения, оно тем самым имеет целью заставить источник внешнего фактора рассмотреть реальные издержки своей деятельности. В этом смысле искажение экономического решения, причиняемого введением налога, становится полезным, так как оно улучшает экономическое благосостояние. Вместо возникновения избыточного бремени происходит повышение эффективности.
                                          Искажающий налог полезен и тогда, когда такие налоги уже существуют. Допустим, что в экономике имеется лишь три товара А, В, С и что уже введен 5%-ный акцизный налог на В и С. Он искажает решения потребителей, и те снижают покупки В и С в пользу А. Вводя аналогичный налог на А, правительство снижает искажение от действующей системы налогов. Когда потребитель сталкивается с равными налогами на все блага, он не может избежать уплаты налогов, меняя структуру покупок. В этом случае не нейтральный налог улучшает экономическую эффективность.
                                          Изучая возможности создания оптимальной налоговой системы, экономисты связали реакции потребителей на налоги со знанием эластичности спроса в отношении различных товаров и услуг. Идея состоит в том, чтобы ввести акцизы, которые были бы наиболее значительными для товаров и услуг с относительно низкой эластичностью спроса и наиболее легкими для товаров и услуг с относительно высокой эластичностью спроса.
                                          Ключевые слова и понятия
                                          • Вертикальное равенство
                                          • Внешние факторы (экстерналий)
                                          • Горизонтальное равенство
                                          • Избыточное бремя
                                          • Налоговая база
                                          • Общественные блага
                                          • Официальная черта бедности
                                          • Порядок голосования
                                          • Правило супербольшинства
                                          • Правило большинства
                                          • Предельная налоговая ставка
                                          • Предельный ущерб
                                          • Принцип второго наилучшего
                                          • Принцип нейтральности
                                          • Принцип получаемой выгоды
                                          • Прогрессивная система налогов
                                          • Пропорциональная система налогов
                                          • Рациональный невежественный избиратель
                                          • Регрессивная система налогов
                                          • Социальная функция полезности
                                          • Социальные (общественные) затраты
                                          • Способность платить (налоги)
                                          • Средняя налоговая ставка
                                          • Структура налоговой ставки
                                          • Теорема Эрроу
                                          • Теория общественного выбора
                                          • Улучшения по Парето
                                          • Частные затраты
                                          ИТОГИ ИЗУЧЕНИЯ ТЕМЫ

                                              1. Рыночная система регулирования, эффективно обеспечивая рост производства товаров и услуг, оказывается несостоятельной в решении ряда крупных проблем жизнедеятельности общества. Рыночная система постоянно продуцирует монополистические тенденции, для подавления которых нужно государственное вмешательство. Рыночная система создает внешние факторы, ведущие к высоким социальным (общественным) затратам. Устранение этих факторов или их последствий возможно при вмешательстве государства. Рынок не может обеспечить население общественными благами неделимыми, не конкурирующими в потреблении и не исключающими снабжения потребителей товарами и услугами. Рынок не может решить проблему «безбилетника». Государство обеспечивает предложение общественных товаров.
                                              2. Рынок распределяет факторные доходы в соответствии с производительностью факторов, что создает существенную объективную дифференциацию доходов, в том числе проблему бедности. А решать эту проблему должно государство на основе конкретных представлений о социальной функции полезности. Решая проблему бедности, государство устанавливает официальную черту бедности, принимает и проводит в жизнь программы помощи. Государство в XX в. взяло на себя функции социальной защиты населения.
                                              3. Рыночная экономика развивается циклически, создавая разрывы ВНП и снижая эффективность распределения ресурсов.Государство осуществляет макроэкономическую стабилизационную политику, сглаживая циклические последствия.
                                              4. Теория общественного выбора позволяет изучать поведение избирателей, политиков и государственных служащих, с тем чтобы найти более эффективные пути агрегирования индивидуальных и групповых предпочтений и добиться более устойчивого политического равновесия. Общепринятым в демократических странах механизмом агрегирования предпочтений через принятие решений на национальном уровне стало правило большинства. Это правило действует не идеально, что подтверждает множество принятых теорем и концепций. К ним относятся: теорема Эрроу, теорема о парадоксе голосования, концепция группы интересов и возможности непредставительного правительства, концепция о рациональном невежественном избирателе и др.
                                              5. Существенная часть государственной экономической деятельности состоит в управлении государственным бюджетом. Для того чтобы устранить или компенсировать многие негативные последствия функционирования рыночной системы и удерживать эффективный уровень распределения ресурсов общества (на кривой производственных возможностей), государство должно создавать и поддерживать налоговую систему. Существуют три главных вида налоговых систем: пропорциональная, прогрессивная, регрессивная. Налоговая база включает выраженный в деньгах объем национальной экономической деятельности. Распределение налогового бремени зависит от принятой в стране концепции распределения (принцип получаемой выгоды, способность платить, горизонтальное или вертикальное равенство). Инструментом налогообложения является средняя (объем налогов, деленный на валовой доход) и предельная (доля налогов в дополнительно заработанном доходе) налоговые ставки.
                                              6. Налоги могут искажать принимаемые экономические решения. Поэтому из всех налогов экономисты предпочитают нейтральные налоги, не влияющие на экономические решения. Иногда искажающие налоги полезны и могут повысить эффективность принимаемых решений. Это явление экономисты назвали вторым наилучшим. Условием оптимального налогообложения является введение более жестких налогов (акцизов) на товары и услуги с низкой эластичностью спроса и менее жестких налогов на блага с высокой.




                                            Правила постоянного темпа роста


                                            Обычно с ценами ничего не случалось, они продолжали расти, но предложение сокращалось или даже исчезало. Однако среди мер, способных воздействовать на снижение темпов роста зарплаты, следует назвать давление на профсоюзы. То, что профсоюзы способны создавать ситуации, при которых зарплата растет при наличии избыточного предложения труда, экономисты признали давно. Дело, однако, в том, что такие ситуации могут вести и зачастую вели к спирали зарплата/цены, что, в свою очередь, раскручивало спираль затраты/цены.
                                            Поэтому в таких ситуациях давление на профсоюзы рассматривается как хотя и не очень популярная, но адекватная мера. Были случаи, когда такая мера приобретала экстраординарный характер. Так, в 1981 г. президент США Р. Рейган в ответ на незаконную забастовку авиадиспетчеров объявил о полном локауте членов их профсоюза. Эта акция сыграла сильную предупредительную роль в отношении других профсоюзов и в целом в отношении снижения требований по зарплате.
                                            Данное событие имело большое значение в превращении галопирующей инфляции в умеренную.
                                            В отличие от кейнсианцев, монетаристская школа исходит из того, что инфляция является чисто денежным феноменом. Поэтому снизить инфляцию можно только сокращением темпа роста Sm. Эта точка зрения имеет ряд основательных аргументов. Но в целом она не бесспорна. Например, жесткая монетаристская политика в России в 1995 г. действительно привела к снижению месячной нормы инфляции с 18 до 3,2%.
                                            Однако 40% в год форма сильнейшей галопирующей инфляции. Следовательно, у российской инфляции есть и иные, помимо монетаристских, корни.
                                            Монетаристская школа выступает за соблюдение правила постоянного темпа роста Sm, т.е. в пользу такой политики Центрального банка, при которой Sm ежегодно увеличивается постоянным темпом. Само значение такого темпа должно находиться в пределах значений долгосрочных (исторических) темпов роста ВНП, что позволит беспрепятственно финансировать экономический рост в постоянных ценах. Правило постоянного темпа, однако, является способом предотвратить инфляцию. Но что же делать, чтобы преодолеть ее, когда она уже случилась?
                                            В поисках ответа на этот вопрос у разных школ мы можем все-таки обнаружить широкое поле совпадающих мнений. Практически все сходятся на необходимости «холодной индюшки», на необходимости массированных пропагандистских мер в пользу резкого сжатия темпов роста Sm с целью добиться крутого перелома в пользу понижения инфляционных ожиданий.
                                            В заключение следует дать информацию о том, что у инфляции, как у процесса, наблюдавшегося в течение тысячелетий, имеются также и политические корни. Прежде всего следует указать на такое невидимое, но ясно осязаемое явление, как инфляционный налог. Дело в том, что инфляция действует точно так же, как и налог. Для финансирования своих расходов правительство собирает налоги.
                                            Но оно может действовать и по-другому выпустить государственные ценные бумаги. Мы уже знаем, что в этом случае происходит увеличение денежной базы, Sm растет. Теперь правительство финансирует свои расходы за счет новых денег. Новые деньги создают инфляцию, которая в то же время является источником для покрытия расходов государства, точно так же им источником служит налог.
                                            Все те, кто имеет деньги, платят этот невидимый налог, поскольку покупательная способность их денег снижается ровно настолько, насколько растет совокупный ценовой уровень.
                                            В нашей стране инфляция была источником государственных доходов. Во времена Советского Союза цены в плановом порядке поднимались на 3% в год якобы в связи тем, что на эту величину в среднем увеличивалось качество выпускаемых товаров, машин, оборудования и т.д. С 1922 г. инфляция стала мощным источником государственных доходов, компенсируя крупные потери другого, основного в советское время, источника налогов, бравшихся с государственных предприятий. «Монетаризация» дефицита госбюджета (т. е. фактическое покрытие дефицита за счет эмиссии и кредитной экспансии) один из важнейших источников инфляции в России в 19921994 гг.
                                            Этот источник последовательно ослаблялся в 1995 г., но сохранялись другие источники взаимные неплатежи предприятий, институциональные особенности переходной экономики и др.
                                            Еще одной, помимо инфляционного налога, политической основой инфляции является борьба различных социальных групп за кусок «национального пирога», т. е. за раздел ВНП. В Европе, включая Россию, это были, например, лендлорды в средние века и в новое время. В наше время появились новые группы владельцев факторных ресурсов, которые оказались способными политическими мерами завышать факторные цены и получать за счет этого односторонние преимущества.
                                            В ряде случаев это были отраслевые профсоюзы (особенно если отрасль включала огромное число предприятий). В других случаях это были отраслевые картели. В мировых масштабах можно назвать международные картели такой, например, как ОПЕК (Организация странэкспортеров нефти). Подъем факторных цен вызывает стагфляцию одновременную рецессию (сдвиг кривой SRAS влево вследствие роста затрат сначала в одном крупном секторе, а затем во всей экономике) и инфляцию.
                                            В ответ правительство увеличивает Sm, что ведет к росту цен. Преимущества монопольного владельца факторного ресурса временно устраняются, кривая SRAS движется вправо, восстанавливая естественную норму безработицы. Но картель может повторить свои действия, и все начнется сначала (как это неоднократно случалось в 70-е гг. в случае с политикой ОПЕК).
                                            В основе таких картельных действий политическими мерами «отрезать» себе побольше от общего пирога. Действия ОПЕК, начиная с декабря 1973 г., создали мощное движение среди политических организаций развивающихся стран («Группа 77» и др.) с целью перераспределения мирового ВНП в свою пользу.
                                            Ключевые слова и понятия

                                            • Адаптивные ожидания
                                            • Галопирующая инфляция
                                            • Градуализм
                                            • «Издержки меню»
                                            • Индексация
                                            • Инфляционный налог
                                            • Инфляционные ожидания
                                            • Инфляция
                                            • Неожидаемая инфляция
                                            • Ожидаемая инфляция
                                            • Политика цен и доходов
                                            • Правила постоянного темпа роста S
                                            • Ратификация
                                            • Рациональные ожидания
                                            • Спираль зарплата/цены
                                            • Стагфляция
                                            • Умеренная инфляция
                                            • «Холодная индюшка»
                                            • «Эффект стоптанных подметок»
                                            ИТОГИ ИЗУЧЕНИЯ ТЕМЫ

                                            1. Инфляция общий рост уровня цен. Она ведет к перераспределению доходов и богатства населения, к изменениям в уровнях реального производства и занятости.
                                            2. Стойкая инфляция возникает при постоянных попытках преодолеть шоки предложения за счет увеличения Sm и совокупного спроса. При разовом неожиданном расширении Sm в кратковременном плане растут объем инвестиций, уровень цен и реальное производство. Вместе с тем в долгосрочном плане такой скачок не затрагивает реального производства, лишь поднимается уровень цен.
                                            3. Если последствия расширительной денежно-кредитной политики являются ожидаемыми, то краткосрочное воздействие роста денежной массы не будет отличаться от долгосрочного. Цены поднимутся, вырастет ставка процента, но реальное производство не изменится. Согласно теории адаптативных ожиданий в случае неожиданной инфляции в течение какого-то времени будет существовать разрыв между фактическим и ожидаемым темпами инфляции. Это может воздействовать не только на ценовой уровень, но и на уровень ВНП и занятости. Согласно теории рациональных ожиданий инфляция будет ожидаемой, а последствия от нее незначительными.
                                            4. Инфляция возникает как вследствие сдвига кривой AD вправо, так и вследствие шоков предложения. Сдвиг кривой SRAS влево ведет не только к росту инфляции, но и к росту безработицы, что часто толкает правительства к стимулированию AD, а это вновь повышает инфляцию. Возникает процесс ратификации. С другой стороны, рост факторных затрат может создать спираль затраты/цены, поскольку формируются устойчивые инфляционные ожидания.
                                            5. Многие экономисты считают, что «холодная индюшка» эффективная мера для снижения инфляции. Но она неизбежно ведет к рецессии. Поэтому предлагаются более щадящие меры борьбы с инфляцией. Среди них следует упомянуть индексацию и градуализм. Индексирование, как считают некоторые, может удержать на постоянном уровне покупательную способность зарплаты, ценность налогов, активов с фиксированными доходами за счет их индексированного изменения в соответствии с ростом инфляции.
                                            6. Монетаристская школа исходит из необходимости поддерживать фиксированный в определенных пределах (в пределах исторического темпа роста ВНП) рост Sm, что способно держать инфляцию под контролем.
                                            7. Одной из исторических политических причин инфляции является взимание инфляционного налога, возникающего вследствие стремления правительства покрыть свои расходы за счет новых денег.




                                            ПРИЧИНЫ СУЩЕСТВОВАНИЯ ОГРАНИЧЕНИЙ ВО ВНЕШНЕЙ ТОРГОВЛЕ


                                            Таким образом, квоты повышают цену на внутреннем рынке страны-импортера (до Р3) и понижают цену в стране-экспортере (до Р1). Однако в то время как тарифы и квоты могут осуществлять одинаковое сокращение в международной торговле и вести к одинаковым ценам в двух торгующих странах, существуют важные различия между этими двумя типами ограничений. Когда вводится квота, то прибыль от роста цены в импортирующей стране обычно попадает к зарубежным и внутренним продавцам этого продукта. Так как поставщики ограничены квотой, покупатели в стране-импортере должны платить за данный товар больше.
                                            Поэтому поставщики (иностранные и собственные) выручают больше за каждую проданную единицу.
                                            Но когда вводится тариф, часть прибыли попадает властям страны-импортера через налоговую систему. Правительство этой страны получает более высокие налоговые поступления частично за счет собственных граждан потребителей данного товара, а частично за счет зарубежного экспортера, который вынужден сократить свою прибыль, чтобы удержать от падения величину спроса, снижающуюся при введении тарифа. При этом вновь выигрывают внутренние производители, поскольку они от тарифа освобождены.
                                            Поэтому весьма часто оказывается, что для интересов страны-импортера введение тарифа лучше, чем введение квот.
                                            Другим важным различием между тарифами и квотами являются различные долговременные последствия их применения для эффективности отечественного производства и цен в стране-импортере. Тариф депрессирует всех иностранных поставщиков одинаково. Поэтому он сохраняет преимущества тех зарубежных поставщиков, кто наиболее конкурентоспособен и эффективен.
                                            Квота действует более избирательно, поскольку в очереди зарубежных поставщиков лучшие могут оказаться позади, а некоторых поставщиков зачастую отбирает сама страна-импортер по политическим критериям, а не критериям экономической эффективности. Поэтому в квоту весьма часто не попадают наиболее эффективные из поставщиков.
                                            Таким образом, выбирая между тарифами и квотами, страна-импортер чаще предпочитает тарифы, потому что, во-первых, от применения тарифов власти этой страны получают больше, чем зарубежные и собственные поставщики, и, во-вторых, тарифы не могут содержать специальных преимуществ для неэффективных поставщиков.
                                            § 145. ПРИЧИНЫ СУЩЕСТВОВАНИЯ ОГРАНИЧЕНИЙ ВО ВНЕШНЕЙ ТОРГОВЛЕ Среди множества таких причин следует выделить две основные: а) ограничительные меры помогают стране-импортеру получить более выгодные цены на свою продукцию; б) эти меры способны защитить некоторые отечественные отрасли от иностранной конкуренции. Каким образом тарифы делают цены на рынке страны-импортера более выгодными для нее? Тариф вынуждает иностранного поставщика продавать свою продукцию по более дешевым ценам. Если он сделает этого, то ему не удастся продать свою продукцию.
                                            Еще раз обратимся к 27-4, б, где тариф повышает цену P2 на Р3. Это повышение цены понижает импорт с величины CD до величины QT, что автоматически означает такое же снижение экспорта (с АВ до RS в левой части 27-4). Теперь иностранный экспортер обречен продавать свою продукцию по цене Р1 (плюс тариф), в то время как отечественный поставщик по P3 (тариф его не затрагивает).
                                            Внутренняя цена, таким образом, поднялась в пользу отечественного производителя.
                                            Но вся описанная выше технология действует только в том случае, если экспортер ведет себя пассивно. В реальной жизни тариф, введенный в стране А на продукцию страны В, немедленно ведет к тому, что страна В вводит не менее жесткие меры в отношении продукции страны А. Если «обмен ударами» не прекращается, он может быстро привести к торговой войне. В ходе Великой депрессии 19291933 гг. в мировой торговле случилось нечто подобное, что стало причиной продолжения этого тяжелейшего кризиса.
                                            Другой и наиболее частой причиной торговых ограничений является защита ряда отраслей страны-импортера от конкуренции иностранных поставщиков. Конечно, при этом потребители в данной стране лишаются выгод, которые дает им международная специализация. Защита своих отраслей в стране А ведет к ответным действиям в других странах, и в результате потери несут потребители во всех странах.
                                            Весьма часто аргументом в пользу защиты своей отрасли является утверждение о необходимости не допустить потери рабочих мест. Возможно, что это утверждение верно, однако в любом случае рабочие места будут сохранены за счет роста цен и снижения реальных доходов всех потребителей, к тому же «защищенные» ресурсы отраслей будут по-прежнему применяться неэффективно.
                                            Вместе с тем во многих странах импорт зарубежной продукции действительно создает проблемы с рабочими местами либо ведет к существенному снижению доходов в ряде отраслей. В западных странах такие ситуации вынуждают правительства проводить политику помощи по торговой перестройке. Она обеспечивает специальные пособия по безработице, займы, программы переподготовки и другие формы помощи работникам и фирмам, которые пострадали от конкуренции иностранных поставщиков.
                                            В России подобная политика была бы сегодня весьма актуальна, особенно для гражданских отраслей, производящих потребительскую продукцию. В течение многих десятилетий эти отрасли были лишены серьезных инвестиционных ресурсов и в итоге оказались неконкурентоспособными на мировых рынках. Сегодня они испытывают тяжелое давление качественных импортных товаров, но не имеют ни собственных ресурсов для перестройки, ни помощи со стороны государства.
                                            Иногда введение торговых ограничений может аргументироваться неэкономическими причинами. Например, страна посчитает, что она должна быть готова к военному нападению на нее и поэтому обязана иметь и поддерживать отрасли, продукцию которых дешевле и проще купить за рубежом, но поставки, которых могут быть полностью прерваны войной. В этом случае данные отрасли защищаются от иностранной конкуренции.
                                            Другим примером являются жесткие ограничительные меры на торговлю с определенными странами по политическим причинам. Так, в США были запрещены любые торговые операции с Кубой и Ливией.
                                            Еще одним аргументом протекционистов является защита от внешней конкуренции вновь создаваемых отраслей, которые в «детском» возрасте нуждаются в помощи. Этот аргумент может быть принят только в том случае, если будущие выгоды такой отрасли достаточны, чтобы оплатить общественные потери, которые общество станет нести все время, пока данная отрасль будет под защитой ограничительных мер на внешнюю торговлю. Строго говоря, аргумент о необходимости защищать молодую отрасль имеет какой-то смысл, если отрасль, несмотря на ее перспективность, испытывает острую нехватку ресурсов и вынуждена прибегать к истощающим займам.
                                            Но и в этом случае, вероятно, полезнее было бы предоставить ей государственный заем под низкий процент, чем осуществлять торговый протекционизм. К сожалению, есть немало примеров того, как молодая отрасль, получив торговую защиту, затем становилась старой, но так и не могла существовать, не выдерживала конкуренции без этой защиты.
                                            Но наиболее частым случаем, вызывающим протекционистские меры, являются сами эти меры, т. е. так называемый «протекционистский ответ». В последние годы, например, США постоянно угрожают жесткими мерами Японии, Южной Корее, Бразилии. Делается это, как часто бывает, в целях защиты принципа свободной торговли.
                                            Вероятно, до какого-то определенного предела этот метод срабатывает. Однако он, безусловно, несет в себе существенный элемент риска. Обычно этот метод оправдывают тем, что американские компании ставятся в такие условия, при которых они конкурируют не с компаниями других стран (это они считают нормальным и правильным), а с правительствами других стран (что уже ненормально и неправильно).
                                            Но в любом случае можно сказать, что традиционная приверженность, например, США принципу свободной торговли принесла им выгод гораздо больше, чем другим странам приверженность протекционизму, особенно если речь идет о выгодах рядовых потребителей и выгодах, связанных с эффективным производством.
                                            Одна из интересных особенностей протекционизма страх перед низкими ценами иностранных поставщиков. Сторонники протекционизма любят апеллировать к публике, обвиняя ту или иную страну-экспортера в поставках товаров по низким ценам. Казалось бы, что низкая цена как раз то, что и нужно населению. Тем не менее, какая-то его часть постоянно реагирует на указанную апелляцию, поддерживая протекционистов. Обвинения в демпинге частая практика многих протекционистов.
                                            Демпинг продажа товаров на зарубежных рынках по более низким ценам, чем цены этих же товаров на внутреннем рынке. В 1996 г. в США несколько раз пытались возбудить торговые расследования против поставщиков женских пальто из России. При этом ссылались на баснословно низкие цены (70100 долл. за единицу). Однако в действительности и эта цена в несколько раз превышала затраты и, следовательно, демпинговой не являлась.
                                            Низкий уровень и затрат, и продажной цены объяснялись прежде всего низкими трудовыми затратами на российских швейных фабриках. Это вновь дало в США пищу так называемому аргументу о «дешевой иностранной рабочей силе».
                                            Суть этого аргумента состоит, во-первых, в том, что импорт сокращает рабочие места в США и, во-вторых, заставляет американских производителей снижать зарплату своим рабочим, чтобы выдержать конкуренцию, и тем самым снижать их уровень жизни. Начнем со второго утверждения. Если рабочие за рубежом принимают свою низкую (относительно США) зарплату, то, продавая свой продукт в США, они, вероятно, повышают жизненный уровень всех американских потребителей, а не понижают его. А теперь о первом утверждении: если международная торговля сокращает в какой-либо стране рабочие места в отрасли А, то она же должна создавать эти места в отрасли В. Вопрос о рабочих местах относится к общей эффективности политики занятости в стране.
                                            Если эта политика эффективна, то занятость не пострадает, а выиграет от внешней торговли. В долгосрочном периоде труд является «дешевым фактором производства», только если его производительность низка. Наивысшая зарплата удерживается в тех странах, где высока производительность труда. Высокая производительность понижает затраты и позволяет экспортерам успешно конкурировать, несмотря на низкую зарплату работников у конкурентов.
                                            Таким образом, высокая зарплата в развитых странах вела к высокой производительности и низким затратам на производство продукции. Это преимущество является абсолютным: страна, которая наиболее эффективна в производстве любой продукции, может платить своим работникам более высокую зарплату в любой отрасли.
                                            Ключевые слова и понятия

                                            • Абсолютное преимущество
                                            • Демпинг
                                            • Импорт
                                            • Квоты
                                            • Международная специализация
                                            • Помощь по торговой перестройке
                                            • Специализация
                                            • Сравнительное преимущество
                                            • Тарифы
                                            • Экспорт
                                            • Экспортная субсидия
                                            ИТОГИ ИЗУЧЕНИЯ ТЕМЫ

                                            1. Источником выгод от международной торговли является сравнительное преимущество, различия в альтернативных затратах производства товаров и услуг разных стран. Специализация осуществляется в форме концентрации ресурсов у производителя, действующего с низкими альтернативными затратами.
                                            2. Международная конкуренция перераспределяет ресурсы стран в те отрасли, где эти страны имеют сравнительное преимущество. Международный обмен и специализация ведут к более низким ценам на импортируемую продукцию и к более высоким внутренним ценам на продукцию, которую экспортируют. Для всего мирового сообщества чистым итогом международной торговли является рост мирового совокупного производства и потребления, а следовательно, рост благосостояния народов стран, участвующих в мировой торговле.
                                            3. Применение тарифов, квот и других ограничений сокращает объем иностранной продукции на внутренних рынках. Потребители (все население) платят за это высокую цену. Протекционизм это субсидии тем компаниям (и рабочим, работающим в них), чьи интересы защищаются торговыми ограничениями.
                                            4. В долговременном плане торговые ограничения не сохраняют рабочие места, так как снижение импорта неминуемо затем ведет к снижению экспорта. Относительное оправдание могут иметь лишь те аргументы в пользу торговых ограничений, которые связаны с оборонными интересами или интересами новых отраслей. Но чаще всего торговые интересы дело рук тех политиков, которые поддаются давлению групп специальных интересов.




                                            ПРОБЛЕМЫ НЕОЖИДАЕМОЙ И ОЖИДАЕМОЙ ИНФЛЯЦИИ


                                            Этим термином обозначают безработицу, существующую в период, когда национальный доход находится на уровне потенциала (PNI потенциальный национальный доход), т. е. объем безработицы, равный сумме фрикционной и структурной безработицы. Если национальный доход превышает PNI (инфляционный разрыв), то фактическая безработица будет ниже NAIRU и избыточный спрос на труд станет оказывать повышательное давление на заработную плату и, следовательно, на затраты на единицу продукции. Если национальный доход ниже PNI (рецессионный разрыв), то фактическая безработица окажется выше NAIRU и избыток предложения труда начнет давить на заработную плату, понижая ее, а следовательно, понижая затраты на единицу продукции. И только если национальный доход равен PNI (долгосрочное равновесие), фактическая безработица будет равна NAIRU, и, следовательно, никакого давления на заработную плату не возникнет.
                                            Другим фактором воздействия на зарплату являются ожидания. Если члены профсоюза ожидают 5%-ного повышения ценового уровня, то при перезаключении коллективного договора они, как минимум, потребуют 5%-ного роста зарплаты. Но если они захотят увеличить реальную зарплату, то это будет означать рост факторных затрат и снижение объема производства (сдвиг кривой SRAS влево).
                                            Наконец, третьим фактором воздействия на зарплату являются случайные шоки, которые могут стать импульсом как роста, так и снижения зарплаты. Примером таких шоков служат неожиданные успехи профсоюзных действий против компаний при выторговывании условий новых колдоговоров. В итоге произойдет рост трудовых затрат и уровня цен.
                                            С другой стороны, жесткие меры правительства в рамках так называемой «политики цен и доходов» могут серьезно повлиять на движение трудовых затрат и на инфляционную динамику. Разгон профсоюза авиадиспетчеров Р. Рейганом в начале 80-х гг. существенно воздействовал на политику профсоюзов и на резкое ослабление давления на трудовые затраты.
                                            Сумма трех описанных воздействий (фактор спроса, фактор ожиданий и фактор случайных шоков) и определяет движение трудовых затрат, а вместе с ними сдвиги кривой SRAS. Рецессионный разрыв, низкие инфляционные ожидания, отрицательные случайные шоки сдвигают кривую SRAS влево, так как понижают трудовые затраты или не дают им расти. Инфляционный разрыв, высокие инфляционные ожидания и положительные случайные шоки действуют в обратном направлении.
                                            Инфляция затрат способна принимать форму инфляционной спирали «затратыцены» («зарплатацены»). Рост затрат ведет к сдвигу кривой SRAS и, следовательно, к ситуации одновременного повышения ценового уровня и снижения уровня реального ВНП (так называемая стагфляция). Увеличение безработицы давит на затраты, нарастает Sm, вследствие чего кривая AD сдвигается вправо. Теперь реальный ВНП растет вместе с ростом инфляции.
                                            Затраты вновь растут, начиная новый виток спирали.
                                            § 131. ПРОБЛЕМЫ НЕОЖИДАЕМОЙ И ОЖИДАЕМОЙ ИНФЛЯЦИИ Инфляция спроса и устойчивое увеличение Sm повышают совокупный спрос и создают спираль «зарплатацены». Устойчивый рост факторных цен, сопряженный с устойчивым повышением Sm, превращает ее в спираль «затратыцены».
                                            В итоге у населения и бизнеса (а также у властей) возникает устойчивое ожидание постоянной инфляционной спирали, что вызывает определенные результаты.
                                            Неожидаемая инфляция ведет к давно известным последствиям. Это прежде всего перераспределение доходов и богатства. При высоких темпах инфляции заработная плата отстает, ее реальный уровень снижается, но растут прибыли, что говорит о получении нанимателями дополнительных выгод за счет работников. В более широком плане важно понимать, что сбережения и другие формы активов начинают накапливаться у людей в возрасте после 40 лет, и они становятся как бы национальными кредиторами.
                                            А до 40 лет человек чаще всего живет в долг, обустраивая свои долгосрочные жизненные условия. Инфляция обесценивает деньги и денежные формы богатства старших поколений и тем самым обесценивает долги молодых поколений. При высоких темпах инфляции сбережения могут быть вообще превращены в ничто, как это в 1992 г. случилось в России.
                                            Другим очевидным для всех последствием неожидаемой инфляции является усиливающаяся неспособность экономики работать на уровне потенциала, т. е. удерживаться на уровне полной занятости факторных ресурсов. Когда цены растут неожиданно, а зарплата не меняется, то происходит снижение реальной зарплаты. Снижаются и другие факторные затраты, что стимулирует предпринимателей увеличивать производство. Но если владельцы факторных ресурсов ожидают инфляцию, а она не случается, то факторные цены устанавливаются на высоком уровне, растет незанятость факторных ресурсов, в том числе безработица.
                                            Производство падает.
                                            Оценки инфляционной перспективы делаются всеми, кто принимает экономические решения. Экономисты применяют в этих же целях статистические модели, основанные на базовой макромодели AD/AS. Однако, как оказалось очевидным в результате ряда исследований, для более точного макропрогноза важно не только уметь оценить саму инфляцию, но и дать прогноз того, как население оценивает прогнозы инфляции. Экономисты основываются на двух возможных вариантах.
                                            Один вариант адаптивных ожиданий исходит из предположения о том, что люди определяют свои инфляционные ожидания на основе своего последнего опыта и что эти ожидания могут меняться постепенно по мере происходящих изменений. Например, если темп инфляции составлял 10% в течение нескольких последних лет, то те, кто принимает экономические решения, ожидают 10%-ный темп инфляции и в будущем году. Но если в следующем году темп окажется 20%-ный, то, согласно теории адаптивных ожиданий, люди будут перестраивать свои ожидания постепенно. Таким образом, в течение какого-то существенного времени будет существовать разрыв между фактическим и ожидаемым темпами инфляции. Фактический темп может оказаться выше или ниже ожидаемого.
                                            И в том и в другом случае неожидаемый высокий или низкий темп будет воздействовать не только на ценовой уровень, но и на уровни ставки процента, ВНП и занятости. Это объясняет, почему неожиданные изменения величины предложения денег (Sm) в кратковременном периоде воздействуют и на реальный ВНП, и на ценовой уровень, а в долговременном только на ценовой уровень.
                                            Другой теорией является теория рациональных ожиданий, которая исходит из того, что те, кто принимает экономические решения, прогнозируют будущее состояние основных макроэкономических переменных, используя всю имеющуюся информацию, включая информацию о прошлой и сегодняшней макроэкономической политике властей. Это не означает, что прогноз обязательно будет правильным, но, в отличие от адаптивных ожиданий, меняющихся постепенно, рациональные ожидания могут изменяться быстро. Таким образом, если, например, власти объявят о будущем увеличении Sm, то те, кто принимает экономические решения, могут относительно точно предвидеть последствия.
                                            Поэтому такие «жесткости» (ограничения), как контракты с фиксированными ценами, будут незначительными. Тогда рост Sm окажет воздействие на ценовой уровень и не затронет реального сектора.
                                            Таким образом, если доминируют адаптивные ожидания, то изменения темпа инфляции повлияют на занятость и совокупное производство. А если доминируют рациональные ожидания, то такие изменения будут иметь незначительные последствия (поскольку в ответ на изменение политики, ведущей к изменению инфляционной динамики, принимающие экономические решения верно оценивают последствия таких изменений).
                                            Таким образом, прогноз будущей инфляции зависит от того, как население прогнозирует эту инфляцию, т. е. от инфляционных ожиданий населения. Иными словами, имеется очевидная зависимость будущего фактического ценового уровня от прогнозируемого ценового уровня, прогноз инфляции становится инфляцией.
                                            В кратковременный период действуют контрактные ставки зарплаты, т. е. эти ставки не меняются. Поэтому не составляет труда предсказать номинальный уровень зарплаты, который будет равен ее фактическому уровню.
                                            На 24-4 уровень цен, соответствующий рациональным ожиданиям ВНП, равен 110 в точке А, где пересекаются кривая ожидаемого совокупного спроса и кривая ожидаемого краткосрочного предложения. Как рассчитывается рационально ожидаемый уровень инфляции?

                                            ПРОБЛЕМЫ НЕОЖИДАЕМОЙ И ОЖИДАЕМОЙ ИНФЛЯЦИИ

                                            24-4
                                            Поскольку на оси Y мы имеем дефлятор ВНП, то рационально ожидаемый уровень инфляции равен процентной разнице между текущим уровнем (110) и прогнозируемым на основе рациональных ожиданий уровнем (допустим, 120), т.е. 9,1%
                                            .
                                            На 24-4 ожидаемый уровень ВНП равен 1500 млрд р., при этом он превышает потенциальный уровень ВНП (т. е. уровень, достигаемый при наличии естественной нормы безработицы). Кривая LRAS является ожидаемой кривой долгосрочного предложения. Как мы предсказали точку А? Если нам известно положение кривой LRAS (1325 млрд р.), нам нужен прогноз номинальной зарплаты, который в решающей мере зависит от того, является ли зарплата фиксированной или может изменяться.
                                            В точке А мы имеем дело с фиксированной зарплатой, т. е. с кратковременной ситуацией. Точка В показывает ситуацию с более высокой зарплатой, при которой рациональные ожидания инфляции определяются в точке пересечения SRAS2 и AD и находятся на уровне 130.



                                            Реальная ставка процента.


                                            Выбирая между налогами и прямой оплатой общественных благ, предоставляемых властями, экономисты предпочитают последнюю, поскольку она обеспечивает лучшую информацию о том, оценивают ли потребители ценность этих благ больше, чем затраты на их производство. Наконец, значительным источником финансовых ресурсов для покрытия государственных расходов являются государственные займы, ведущие к возникновению и увеличению государственного долга. Дефицит разница между доходами и расходами в данном году, т. е. приростная переменная. Государственный долг валовой объем невыкупленных государственных ценных бумаг на данный момент времени, т. е. переменная, отражающая «запас» невыполненных обязательств.
                                            Поскольку превышение государственных расходов над доходами равно величине нового государственного займа (т. е. прироста государственного долга), постольку дефицит в данном году равен приросту долга в этом же году. Таким образом, бюджетный дефицит является приростом, который равен увеличению «запаса» уже накопленного долга.
                                            Одним из измерителей государственного долга является его отношение к ВНП. Для лучшего понимания динамики отношения госдолга к ВНП полезно знать следующую формулу:



                                            Темп роста
                                            отношения
                                            госдолга к ВНП
                                            =
                                            Первичный дефицит
                                            госдолг
                                            + R -
                                            темп роста
                                            реального
                                            ВНП

                                            где госдолг номинальный долг; R фактическая реальная ставка процента. Первичный дефицит = государственные расходы чистый процент налоговые поступления = государственные покупки товаров и услуг + трансферты налоговые поступления.
                                            Таким образом, первичный дефицит = полный дефицит процентные платежи. При бурном росте первичного дефицита стремительно растет отношение госдолга к ВНП, как это было во многих странах в годы, например. Второй мировой войны. Но и в мирное время история знает немало случаев быстрого роста первичных дефицитов и существенного увеличения госдолга по отношению к ВНП. Среди них немало таких, когда правительство занимает финансовые средства не только для покрытия дефицита, но и для покрытия накопленного долга или, еще чаще, для обслуживания долга, т. е. для выплаты процентов по нему.
                                            Процесс заимствования новых фондов для оплаты государственных ценных бумаг, по которым вышел срок, называется пролонгацией долга.
                                            Но может ли правительство пролонгировать свой долг бесконечно? Если бы ответ был положительным, то следовало бы, вероятно, выплатить долг, не прибегая к увеличению налогов или снижению государственных расходов. Можно пойти еще дальше и сказать, что правительство вообще могло бы не прибегать к налогообложению, а пользоваться займами и пролонгировать их до бесконечности. Однако существуют мощные экономические ограничения, которые этого не допустят.
                                            Попробуем это доказать.
                                            Допустим, что первичный дефицит равнялся нулю и правительство вообще не выпускало государственные ценные бумаги. Вследствие этого долг тоже равнялся нулю, и правительство не выплачивало проценты. Допустим, что в 1-й год правительство увеличивает расходы на 10 млрд р., не повышая при этом налоги.
                                            Появляется первичный дефицит в 10 млрд р. Правительство финансирует его, выпуская облигации на 10 млрд р. с номинальной ставкой процента в 8%. Следовательно, к концу 2-го года (не допуская никаких новых дефицитов) правительство должно заплатить 800 млн. р. в виде процентов. Хотя первичного дефицита нет, но есть валовой дефицит в 800 млн. р. Правительство занимает 800 млн. р., вновь выпуская облигации.
                                            Теперь невыкупленные облигации являют 10 800 млн. р. «Запас» долга вырос вследствие необходимости платить процент, и это ведет к дефициту, таким образом, долг всегда растет на 8% в год, хотя первичный дефицит равен 0. При помощи калькулятора легко подсчитать, что через 100 лет государственный долг вырастет почти в 2000 раз.
                                            Захочет ли население держать эти облигации? Ответ зависит от того, как быстро растет его благосостояние. Если »но растет быстрее долга, то, вероятно, люди могут продолжать покупки облигаций.
                                            Но если оно растет медленнее, произойдет обратное, и это поставит государству предел заимствования денег у населения. Тогда у государства не остается другого выхода, кроме как добиться первичного излишка (вместо случившегося 100 лет назад дефицита) бюджета, подняв налоги и снизив расходы, для того чтобы начать погашать долг.
                                            В долгосрочном периоде темп роста благосостояния совпадает с темпом роста ВНП. Величина невыкупленных государственных облигаций не может постоянно расти быстрее ВНП, т. е. пропорция долга к ВНП не может расти бесконечно. Выше мы привели уравнение пропорции долга к ВНП.
                                            Темп роста этой пропорции равен R (реальная ставка процента) минус темп роста ВНП. Эквивалентной будет другая формула:

                                            Темп роста
                                            пропорции
                                            долга к ВНП
                                            =
                                            первичный дефицит
                                            долг
                                            + i -
                                            темп роста
                                            номинального
                                            ВНП
                                            где i номинальная ставка процента. Таким образом, если реальная ставка процента постоянно выше темпа роста реального ВНП (или если номинальная ставка процента постоянно выше темпа роста номинального ВНП), то пропорция долг/ВНП не будет расти вечно (если первичный дефицит равен нулю). Население этого не допустит.
                                            Одним из наиболее популярных аргументов против госдолга и бюджетных дефицитов является утверждение о том, что долг это бремя, которое мы возлагаем на наши будущие поколения. Проблема, однако, состоит в том, что государственный долг в форме ценных бумаг в основном принадлежит домашним хозяйствам и является формой их богатства. Так что наши дети тоже являются получателями процентов с госдолга (или получателями полных сумм погашения облигаций).
                                            Но если для погашения долга правительство в дальнейшем должно будет существенно поднять налоги, то это может через многие последствия принести ущерб следующим поколениям. Как известно, среди населения государственные облигации распределяются крайне неравномерно. При повышении налогов те, у кого несколько облигаций, станут больше платить налогов, чем получать процентов. А те, у кого облигаций много, будут получать большой процентный доход, а налогов платить мало, что означает невидимую передачу ресурсов от более бедных к более богатым.
                                            Часть этого трансферта должна будет перекрываться другими фискальными мерами (другими налогами и другими трансфертами).
                                            Еще один весьма серьезный аргумент против госдолга. Речь идет о том, что, вероятно, бюджетные дефициты снижают национальный объем сбережений. Если это так, то в будущем неизбежно снижение уровня жизни наших детей и внуков.
                                            Но так ли это?
                                            §110. ДЕФИЦИТ ГОСБЮДЖЕТА И СБЕРЕЖЕНИЯ Допустим, что правительство снижает налоги на 10 млрд р. Это одноразовое снижение, которое означает, что снижение налогов у каждого налогоплательщика является фиксированной величиной. Как это подействует на объем сбережений?
                                            Вспомним, что S = Y С G. При снижении налогов G расти не могут. Допустим, что они постоянны. Но при данном уровне Y снижение налогов сократит S только в том случае, если это снижение налогов приведет к росту С (потребительские расходы). Снижение налогов на 10 млрд р. создает бюджетный дефицит.
                                            Так как расходы правительства (G) не меняются, текущая стоимость будущих налогов (Tf /(1 + R)) должна вырасти на 10 млрд р. Например, если реальная ставка процента равна 10%, то будущие налоги должны вырасти до 11 млрд р., чтобы удовлетворять условию госбюджетного ограничения. А госбюджетное ограничение требует, чтобы текущая стоимость государственных закупок была равна текущей стоимости налоговых поступлений, т. е.

                                            Реальная ставка процента.

                                            Таким образом, рассматриваемое нами изменение фискальной политики должно быть равно не просто сокращению текущих налогов (T) на 10 млрд р., а текущему сокращению расходов, скомбинированному с ростом на 11 млрд р. в будущих налогах (Tf). Как этот сдвиг налогов от сегодняшнего дня в будущее будет воздействовать на S и I? Если налог на капитал не меняется, то не изменяются и I (инвестиции). При отсутствии ограничений на заимствование изменение в выборе времени для изъятия налогов при неизменности объема государственных закупок не воздействует на объем национальных сбережений.
                                            Мы уже применили предпосылку о том, что G не меняются. Тогда и сдвиг в выборе времени для изъятия налогов не воздействует на С. Это происходит потому, что при отсутствии ограничений на заимствование текущий потребительский выбор зависит только от текущей стоимости пожизненных ресурсов, а не от того, как период за периодом доход распределяется во времени.
                                            Взятое нами в качестве примера изменение в налогах повысило располагаемый доход потребителей на 10 млрд р. в первый период и сократило его на 11 млрд р. (рост будущих налогов) во второй период. Однако это налоговое изменение не повлияло на текущую стоимость ресурсов домашних хозяйств, поскольку при реальной ставке процента в 10% рост будущих налогов на 11 млрд р. сокращает сегодняшнюю стоимость ресурсов домашних хозяйств на 11/1,10 = 10 млрд р., что полностью перекрывает сокращение текущих налогов. Так как текущая стоимость ресурсов потребителей не изменяется, налоговое сокращение не воздействует на С и, следовательно, на сбережения (т.



                                            Сбережение результат решений домашних хозяйств.


                                            Для отдельной фирмы такие покупки, конечно, являются инвестициями. Но на макроэкономическом уровне, когда мы рассматриваем инвестиции как часть совокупных расходов на произведенные элементы ВНП, инвестиции имеют указанное выше более ограниченное определение. Инвестиции намного меньший элемент совокупных расходов, чем совокупное потребление, но он чрезвычайно изменчив. Объем инвестиций характеризуется резкими колебаниями по отношению к реальному ВНП, и поэтому считают, что эти колебания являются основным источником макроэкономической нестабильности. Следуя нашей технике рассмотрения потребительских расходов, мы введем понятие инвестиционной функции величины предполагаемых инвестиций, которые бизнес и власти хотели бы осуществить на каждом из уровней YD. Но инвестиционная функция не может объяснить нам, почему инвестиции, взятые как доля от реального ВНП, настолько изменчивы.
                                            Фактический объем инвестиций в каждый момент времени независимо от уровня реального ВНП соответствует изменениям в ожиданиях (тех, кто принимает инвестиционные решения) относительно прибыльности инвестиций, реальной ставки процента на заимствованные финансовые ресурсы, загрузки существующих производственных мощностей, налоговых изменений, общей экономической конъюнктуры.
                                            Однако вполне возможно построить инвестиционную функцию, которая зависит от уровня реального ВНП. Вполне логично считать, что инвесторы будут тратить больше, когда уровень реального ВНП выше, и меньше, когда этот уровень ниже. 18-5 показывает, что инвестиционный график состоит из двух элементов: 1) автономные инвестиции величина I, когда реальный Y равен нулю; 2) элемент, который зависит от уровня реального ВНП. Инвестиционная функция, как и потребительская, направлена вверх по отношению к реальному Y(YR). Таким образом, можно сделать инвестиции функцией уровня YR, а другие факторы, которые также воздействуют на величину I, рассматривать как детерминанты величины автономных инвестиций.
                                            Когда эти детерминанты изменяются, изменения будут воздействовать на величину автономных инвестиций и приведут к сдвигу инвестиционной функции.


                                            Сбережение результат решений домашних хозяйств.

                                            18-5
                                            18-5, а показывает инвестиционную функцию, основанную на автономных инвестициях в 50 ден. ед., которые существуют, когда YR = 0, плюс увеличение инвестиций, вызванных ростом YR. 18-5, б отражает инвестиционные расходы как постоянную величину, которая не зависит от уровня YR. Здесь инвестиционная функция полностью основана на величине автономных инвестиций, а сдвиг I на I1, показывает результат увеличения автономных инвестиций с 50 до 100 ден. ед.
                                            Так как инвестиционная функция сдвигается значительно, полезно ввести ограничительное допущение в целях выяснения роли, которую инвестиции играют в совокупных расходах. Это допущение состоит в том, что инвестиционная функция является постоянной величиной от YR, т. е. что весь объем инвестиций является автономными инвестициями. Это допущение упрощает понимание того, как определяется равновесный уровень YR, и сосредоточивает наше внимание на главной черте инвестиций их изменчивости по отношению к YR. На 18-5, б показана постоянная инвестиционная функция: на всех уровнях YR общий объем инвестиций равен величине автономных инвестиций, и, как следствие этого,

                                            Сбережение результат решений домашних хозяйств.

                                            18-6
                                            мы можем к потребительской функции просто добавить постоянную величину инвестиций, чтобы получить график совокупных расходов.
                                            На 18-6 представлен этот график. Мы уже знаем, что равновесный уровень YR определяется, когда АЕ = YR или С + I = YR. На 18-6, а при С, равном 350, и I, равном 50, YR = 400. Кривая АЕ пересекает вертикальную ось в точке, равной 100 ден. ед.
                                            Эта точка определяется величиной автономного потребления, представленной постоянным значением потребительской функции (величиной предполагаемых потребительских расходов в 50 ден. ед., когда YR = 0) плюс величиной автономных инвестиций (постоянной величиной предполагаемых инвестиций в 50 ден. ед.). При этом предельная склонность к потреблению (МРС), которая является наклоном потребительской функции, определяет и наклон АЕ. Равновесный уровень YR определяется в точке, где кривая АЕ пересекает биссектрису (точка Е), т. е. в точке, где YR = 400.
                                            Обратим внимание на то, что до добавления 50 ден. ед. автономных инвестиций объем потребительских расходов составлял 200, а после их добавления С увеличились до 350. Другими словами, 50 ден. ед. автономных инвестиций вызвали увеличение С на 150 ден. ед. (вызванные потребительские расходы).
                                            Равновесный уровень YR в 400 ден. ед. является стабильным. Если произойдет отклонение от этого уровня, то включится механизм автоматической перестройки, с тем чтобы остановить равновесие. В случае если YR АЕ, это будет означать, что экономика производит больше, чем предполагают купить те, кто принимает экономические решения. Перепроизведенный объем увеличит товарно-материальные запасы, т. е. возникнет избыточный объем инвестиционных исходов.
                                            В случае если YR АЕ, это будет означать, что экономика производит меньше, чем ждут бизнес и население, и объем товарно-материальных запасов начнет снижаться. Но в обоих случаях дело закончится восстановлением равновесного уровня YR.
                                            Таким образом, равновесный уровень YR, отражает тот объем совокупного производства, который равен предполагаемым потребительским и инвестиционным затратам, вместе составляющим совокупные расходы общества в простейшей макроэкономической модели, включающей только частный сектор (YR = С + I). Но мы уже знаем, что решения о сбережениях и инвестициях принимаются разными людьми. Сбережение результат решений домашних хозяйств.
                                            Сбережение утечка. А инвестиции инъекция в поток. Что координирует эти два множества решений? В отсутствие механизма координации количественное совпадение С и I может быть только случайностью.
                                            Но такой механизм есть.
                                            Мы уже знаем, что механизмом координации являются изменения YR. YR изменяется до тех пор, пока S и I не уравняются. 18-6, б показывает нам альтернативный (помимо способа, связанного с равенством AS и Y) способ определения равновесного YR.
                                            Речь идет о подходе, связанном с выравниванием S и I. В нашем примере при YR = 400 величина инвестиций (50) равна величине сбережений (50). Таким образом, второй способ нахождение равновесного уровня YR, при котором S = I.
                                            § 99. РАВНОВЕСНЫЙ УРОВЕНЬ АЕ И ПОТЕНЦИАЛЬНЫЙ Y Кейнсианская макроэкономическая модель вполне пригодна для применения концепции потенциального Y (уровень Y который производится, если все ресурсы экономики заняты).

                                            Сбережение результат решений домашних хозяйств.

                                            18-7
                                            18-7 показывает все основные макроэкономические ситуации в модели AE/Y, связанные с потенциальным реальным ВНП (Yp). На 18-7, а экономика находится в равновесном состоянии при полной занятости ресурсов. На 18-7, б отражена ситуация рецессионного разрыва, а на 18-7, в ситуация инфляционного разрыва. Рецессионный разрыв возникает, когда кривая АЕ пересекает биссектрису левее кривой Yp.
                                            Это означает, что уровень цен был слишком высок (вспомним, что ценовой уровень сдвиговый параметр потребительской функции, а следовательно, и функции АЕ). Когда ценовой уровень снижается, потребительская функция сдвигается вверх, а когда Р растет, то потребительская функция сдвигается вниз. Таким образом, рецессионный разрыв возникает, когда уровень совокупных расходов слишком низок, а уровень цен слишком высок, чтобы достигнуть равновесия на уровне Yp.
                                            С другой стороны, когда кривая АЕ пересекает биссектрису правее кривой Yp, возникает инфляционный разрыв. Это означает, что ценовой уровень слишком низок, чтобы уравнять АЕ и Yp. Таким образом, инфляционный разрыв возникает, когда уровень АЕ слишком высок, а ценовой уровень слишком низок, чтобы достичь макроэкономического равновесия на уровне Yp.
                                            § 100. ДОЛГОСРОЧНАЯ И КРАТКОСРОЧНАЯ ПРЕДЕЛЬНАЯ СКЛОННОСТЬ К ПОТРЕБЛЕНИЮ Описанную выше кейнсианскую потребительскую функцию иногда называют простой, потому что она дает небольшие отклонения реальных значений потребительских расходов от самой функции. Будучи совершенно пригодной для целей, например, обучения, простая потребительская функция не слишком пригодна для целей прогноза или макроанализа. В 19731975 гг. во многих западных странах, особенно в США, потребительские расходы оказались существенно ниже, чем это допускала простая потребительская функция при заданном в тот период уровне располагаемого дохода (YD). Напротив, например, в 1986 г. потребительские расходы были существенно выше обычных.
                                            Не вдаваясь в возможные причины этих отклонений, отметим, что поведение потребителя в действительности всегда намного сложнее, чем в упрощенной теории. На его решения воздействует огромное
                                            число факторов, понимание которых требует более тонких аналитических инструментов.
                                            Существует, по крайней мере, одна систематическая особенность ошибок (неточностей) в простой потребительской функции. Эта особенность состоит в том, что потребительские расходы колеблются заметно меньше, чем располагаемый доход. Этот феномен может быть объяснен через применение концепции долгосрочной и краткосрочной предельной склонности к потреблению.
                                            На 18-8 показано, как долгосрочная МРС и краткосрочная МРС отличаются друг от друга.



                                            СЕМЕЙСТВО МУЛЬТИПЛИКАТОРОВ


                                            Поскольку b(1 - t) меньше 1, значение выражения
                                            больше 1. Поэтому изменение ВНП больше, чем изменение совокупных инвестиций. Чем больше значение предельной склонности к потреблению (т. е. b), тем больше значение мультипликатора. Если, например, b = 0,8, а совокупная налоговая ставка 0,3, мультипликатор будет равен 1 : 0,44, т. е. 2,27. Увеличение инвестиций на 10 трлн р. должно, следовательно, увеличить ВНП на 22,7 трлн р., а их снижение на 10 трлн р. должно снизить ВНП на 22,7 трлн р.
                                            Теперь мы можем описать поведение тех, кто принимает экономические решения, вследствие, например, увеличения инвестиций на 10 трлн р. Увеличение инвестиций означает рост закупок и заказов на инвестиционную продукцию, увеличение доходов фирм, работников (т.е. в конечном счете рост доходов домашних хозяйств). По условиям тождества совокупного дохода рост расходов на 10 трлн р. ведет первоначально к росту доходов тоже на 10 трлн р. Но это только начало «карусели», ее первый круг. Затем эти 10 трлн р. должны быть поделены на рост потребительских расходов на 5,6 трлн р. и на 4,4 трлн р. сбережений (потребители обречены расходовать свои доходы, в том числе и дополнительные, на потребление и сбережения). Теперь начинается второй круг. Расходы одних немедленно превращаются в доходы других.
                                            Расходование 5,6 трлн р. означает их превращение в доходы. 5,6 трлн р. доходов поделятся в той же пропорции (0,56 : 0,44), т.е. на 3,14 трлн р. и 2,46. «Карусель» будет продолжаться до тех пор, пока общий рост ВНП не составит 22,7 трлн р.
                                            Как и в случае с изменениями в совокупных инвестиционных расходах, изменения другой экзогенной переменной государственных расходов также ведет к изменениям в ВНП. Это изменение произойдет также, как мы только что наблюдали с ростом ВНП, вследствие роста инвестиционных расходов.
                                            Однако в учебных целях определение расходного мультипликатора можно показать в более простой форме. Дело в том, что важнейшую роль в таком определении играют значения предельной склонности к потреблению (МРС) и предельной склонности к сбережению (MPS). Поскольку, как мы уже отметили, домашние хозяйства могут тратить доходы на потребление и сбережение, то МРС + MPS = 1. Зная об этом, уже можно определить расходный мультипликатор:
                                            Расходный мультипликатор =
                                            или в нашем примере, где МРС = 0,8, мультипликатор =
                                            *. Значение мультипликатора зависит, таким образом, от MPC и MPS.
                                            Чем ниже величина МРС, тем ниже величина мультипликатора расходов. Если известны величины мультипликатора расходов и изменения автономных совокупных расходов, то легко определить результирующий рост ВНП. Произведение мультипликатора и величины автономных расходов составит искомую величину роста ВНП.
                                            § 104. СЕМЕЙСТВО МУЛЬТИПЛИКАТОРОВ Практическое применение идеи мультипликатора весьма многообразно. Ее применяют к различным областям, в том числе к различным частям совокупных расходов и доходов. В предыдущей теме мы уже вводили в тождество дохода такой элемент расходной части, как внешнюю торговлю (Y = С + I + G + X), где Х чистый экспорт. Вклад внешней торговли в ВНП зависит от уровня чистого экспорта, который находится вычитанием импортных расходов из валового экспорта.
                                            Как и в случае с потреблением или сбережением, экономисты определяют предельную склонность к импорту (МРМ) ту часть каждой единицы располагаемого дохода, которую страна расходует на импорт товаров и услуг. Знание величины МРМ важно для нахождения

                                            СЕМЕЙСТВО МУЛЬТИПЛИКАТОРОВ

                                            19-3
                                            функции импорта. Вспомним, что экспорт инъекция, а импорт утечка из циркуляционного потока дохода. Равновесный уровень ВНП зависит от величины чистого экспорта. Когда экспорт и импорт равны, внешняя торговля сбалансирована.
                                            Но баланса может и не возникнуть, и тогда величина чистого экспорта может стать положительной или отрицательной.
                                            Объем экспорта не зависит от уровня внутреннего реального национального продукта: он зависит от ВВП других стран, готовых импортировать чужие товары и услуги. Поэтому график экспорта страны А будет константой по отношению к ее совокупному доходу. Импорт страны А является утечкой и зависит от уровня ее ВНП. Импорт растет, когда растет ВНП, что в конечном счете сказывается на чистом экспорте. Воздействие чистого экспорта на внутренние совокупные расходы состоит в том, что он увеличивает АЕ, когда торговый баланс является положительным, и снижает АЕ, когда торговый баланс является отрицательным.
                                            19-3 показывает нам все расходные функции «по нарастающей». Равновесный уровень ВНП, включающего внешнюю торговлю, достигается в той же точке А, где этот равновесный уровень не учитывает (X М), т. е. где Y = С + I + G. Зато наклон кривой АЕ, содержащей С + I + G, отличается от наклона кривой АЕ, включающей С+ I + G + (X М). Включение чистого экспорта изменило наклон функции совокупных расходов, а именно наклон этой функции определяет величину мультипликатора.
                                            Величина расходного мультипликатора зависит от предельной склонности к сбережению, которая указывает долю каждой единицы располагаемого дохода, создающей утечку из потока в сбережения. Импорт еще один источник утечек. Импортная утечка включена в мультипликатор внешней торговли через включение МРМ.
                                            Мультипликатор внешней торговли =

                                            где MPS предельная склонность к сбережению, а МРМ к импорту. Допустим, что МРС составляет 0,75, а MPS = 0,25. При таких условиях мультипликатор расходов составит 4. Когда мы вводим в модель внешнюю торговлю, импорт является еще одной утечкой, которая связана с уровнем реального ВНП (зависит от него). Допустим, что МРМ =0,1. Это значит, что из каждой дополнительной единицы дохода сумма утечек составит 0,25 + 0,1 = 0,35, т.е.
                                            MPS + МРМ. Величина мультипликатора понизится с 4 до 2,86, так как
                                            . Вследствие того, что доля дополнительного дохода уходит на импорт в открытой экономике, мультипликатор внешней торговли будет меньше, чем расходный мультипликатор для закрытой экономики.
                                            Деятельность государства также создает некоторые мультипликаторы. Речь идет о деятельности по расходам на покупку товаров и услуг, по обеспечению трансфертных платежей, по собиранию налогов. Расходы и трансферты инъекции в потоки доходов, а налоги утечка.
                                            Все эти действия мультиплицированно влияют на реальный ВНП, но величина мультипликатора в каждом из этих случаев будет различной.
                                            Мультипликатор государственных расходов станет точно таким же, как и в случае с совокупными потребительскими и инвестиционными расходами. Его формула имеет тот же вид:
                                            или
                                            . Однако с мультипликатором налогов дело обстоит иначе. Правительство собирает налоги для того, чтобы финансировать государственные закупки товаров и услуг и затраты на трансферты. Когда налоги повышаются, это увеличивает утечку из потока доходов, в результате чего мультиплицированно снижается реальный ВНП.
                                            Если же налоги снижаются, то это вызывает прямо противоположный эффект. Значит, мультипликатор налогов действует в обратном направлении, чем, например, мультипликатор государственных расходов на товары и услуги. Снижение налогов увеличивает, а их рост уменьшает реальный ВНП. Кроме того, изменение налогов воздействует на потребительские расходы на любом уровне ВНП, следовательно, сдвигается потребительская функция.
                                            Но функция не сдвинется в соответствии с полной величиной изменения налогов, а лишь в соответствии с величиной изменения совокупных потребительских расходов, т. е. с величиной, равной произведению МРС и налогового изменения. Понимание этой процедуры требует применения двухходовки:

                                              1. определение того, насколько сдвинется потребительская функция: МРС изменение налогов;
                                              2. определение изменений в реальном ВНП, которое достигается умножением изложения потребительской функции на мультипликатор расходов, который, как мы уже знаем, равен величине, обратной MPS, т. е.: изменение потребительской функции
                                                .
                                            Величина налогового мультипликатора может быть определена комбинированием этих двух ходов:
                                            мультипликатор налогов =

                                            Допустим, что правительство увеличило расходы на 75 млрд р. и налоги тоже на 75 млрд р. При этом известно, что МРС = 0,75 (следовательно, MPS = 0,25, так как МРС + MPS = 1). Чистое изменение реального ВНП будет следствием двух изменений: 1) положительное изменение ВНП произойдет вследствие увеличения G (государственные закупки); 2) отрицательное изменение ВНП произойдет вследствие роста налогов и, следовательно, снижения располагаемого личного дохода. Итак:

                                            1. мультипликатор расходов =
                                              = 4, ВНП = G 4 = 75 4 = 300 млрд р.
                                            Мы получили величину положительного изменения реального ВНП;

                                            1. налоговый мультипликатор =
                                            ВНП = (налоги налоговый мультипликатор) = 75 (-3) = -225 млрд р.
                                            Напомним, что
                                            налоговый мультипликатор =

                                            Таким образом, чистое изменение ВНП = 300 - 225 = 75 млрд р. Чистый результат одновременного и равного увеличения налогов и государственных закупок не равен 0. Мультипликатор расходов больше мультипликатора налогов, вследствие чего рост ВНП из-за увеличения G оказывается больше, чем уменьшение ВНП из-за роста налогов и, следовательно, снижения располагаемого дохода.
                                            Помимо расходов на товары и услуги, государственные расходы включают также значительные затраты на трансферты (пенсии, пособия и т.



                                            Скорость обращения изменяется, но детерминированно.


                                            Таким образом, ценовой уровень изменяется пропорционально изменениям денежной массы. Классическая количественная теория описывает экономику в долгосрочном периоде. Однако в краткосрочном периоде экономика не действует на уровне потенциального ВНП, а скорость обращения изменяется.
                                            Современная классическая теория связана с монетаристской школой. С точки зрения этой школы, спрос на деньги (т. е. трансакционный спрос на наличность и банковские деньги) такой же, как и спрос на любой другой товар. Если кому-то нужны деньги, он не должен тратить часть своего дохода на товары и услуги, и наоборот.
                                            Поэтому монетаристская функция денежного спроса несколько шире кейнсианской.
                                            Любой избыточный объем Sm, в соответствии с монетаристами, может быть сразу потрачен как на покупку товаров и услуг, так и на покупку финансовых активов. То есть в данном случае трансмиссионный механизм воздействия изменений Sm на ВНП предельно сокращен. Изменения Sm сразу ведут к изменениям в потребительских и инвестиционных расходах, а следовательно, к изменениям в ценовом уровне и краткосрочным сдвигам в реальном ВНП.
                                            При этом количество денег (Qm) зависит от уровня реального ВНП, ценового уровня, темпа ожидаемой инфляции, ставок процента на альтернативные финансовые активы.
                                            Скорость обращения изменяется, но детерминированно. В частности, она повышается во время циклических подъемов и понижается во время рецессии. Когда растет ценовой уровень или реальный ВНП, то при данном Sm денежная единица должна обслуживать больший по стоимости объем трансакций, и поэтому скорость обращения нарастает. Sm и скорость обращения движутся вместе, изменяя номинальный ВНП. Рост Sm повышает инфляционные ожидания и с ними скорость обращения.
                                            Если Sm растет на 2%, вызывая увеличение скорости обращения на 1%, то номинальный ВНП увеличится на 3%.
                                            Монетаристская школа полагает, что Sm воздействует на совокупное производство в краткосрочном, а не в долгосрочном периоде. В долгосрочном периоде изменения Sm воздействуют лишь на ценовой уровень (полное совпадение с кейнсианцами). То есть в долгосрочном плане деньги нейтральны по отношению к реальному ВНП.
                                            Ключевые слона и понятия

                                            • Активы
                                            • Активы с фиксированным доходом
                                            • ATS-счета
                                            • Банковские деньги
                                            • Декретные деньги
                                            • Денежный агрегат M1
                                            • Денежный агрегат M2
                                            • Денежный агрегат M3
                                            • Депозиты до востребования
                                            • Кривая предпочтения ликвидности
                                            • Ликвидность
                                            • Мотив предосторожности
                                            • Нейтральность денег
                                            • NOW-счета
                                            • Предложение денег
                                            • Спекулятивный мотив
                                            • Спрос на деньги
                                            • Срочные депозиты
                                            • Товарные деньги
                                            • Трансакционный мотив
                                            • Трансмиссионный (передаточный) механизм
                                            • Функции денег
                                            • Чеки
                                            ИТОГИ ИЗУЧЕНИЯ ТЕМЫ

                                            1. Главными функциями денег следует считать их использование в качестве средства обмена, единицы счета, средства накопления богатства.
                                            2. Денежная масса включает декретные деньги (наличность) плюс банковские деньги (депозиты, превращаемые в чеки). Ликвидность способность активов конвертироваться в деньги.
                                            3. Есть три главные причины, определяющие спрос на деньги: мотив осуществления деловых операций (трансакционный), спекулятивный мотив и мотив предосторожности.
                                            4. Альтернативные затраты (упущенная выгода) держания денег процент, который деньги могли бы заработать, если бы их поместили в менее ликвидные активы.
                                            5. Если Sm растет быстрее Dm, то возникает избыточная денежная масса и покупательная способность денег падает. В модели Кейнса изменения Sm ведут к макроэкономическим последствиям, воздействуя на ставку процента и инвестиционный спрос. Кейнсианский спрос на деньги известен как кривая предпочтения ликвидности. Предпочтение ликвидности является функцией ставки процента. Изменения Sm в краткосрочном плане воздействуют на ценовой уровень и на реальный ВНП, а в долгосрочном только на ценовой уровень. Последнее явление известно как нейтральность денег.
                                            6. Современная количественная теория денег основана на уравнении обмена. Qm зависит от реального ВНП, ценового уровня, ожидаемого темпа инфляции, ставки процента. Скорость обращения изменяется регулярно в ходе делового цикла. Изменения Sm в краткосрочном плане прямо воздействуют на все виды спроса и, следовательно, на Р и Yp. Но в долгосрочном плане увеличение Sm ведет только к росту ценового уровня. Следовательно, монетаристы также поддерживают идею нейтральности денег.




                                            ТЕМА 16. СИСТЕМА НАЦИОНАЛЬНЫХ СЧЕТОВ


                                            Цель изучения темы состоит в том, чтобы узнать:
                                            • причины несостоятельности рынка как регулятора предложения ряда благ;
                                            • как недостатки рыночного регулирования могут быть исправлены в результате действий правительства;
                                            • различия между позитивным и нормативным анализом экономического поведения государства;
                                            • сущность проблемы общественного выбора;
                                            • различия между частными и общественными благами;
                                            • решение проблемы «безбилетника»;
                                            • причины существования и совершенствования экономических функций государства;
                                            • что такое правило большинства, кто такой рациональный невежественный избиратель;
                                            • почему мы голосуем за перераспределение дохода и богатства;
                                            • в чем состоит теорема Эрроу;
                                            • что такое политическое равновесие;
                                            • в чем заключаются причины несостоятельности государственного сектора;
                                            • что такое основные налоговые системы, концепции налогового равенства, избыточное бремя;
                                            • в чем заключается принцип второго наилучшего.
                                            Вопрос об экономической роли государства, т. е. роли властей различных уровней, является одним из старейших в экономической науке. Назревший и выдвинутый еще в начале XVIII в., затем образно сформулированный А. Смитом («государство ночной сторож») принцип невмешательства государства в экономику вплоть до 30-х гг. XX столетия разделялся практически всеми странами и экономическими школами, исключая, конечно, Россию, ставшую тоталитарным государством после 1917 г.
                                            Этот принцип, получивший французское обозначение laissez-faire («оставьте нас в покое»), и сегодня имеет некоторое число сторонников. И все-таки абсолютно подавляющей теоретической точкой зрения и практикой стала концепция совмещения рыночного регулирования и государственного вмешательства в экономику. Но, во-первых, серьезно нигде не идет речь о совмещении рыночной и централизованной плановой командной экономики. Во-вторых, степень вмешательства властей (пропорции «смешанной» экономики) не имеет каких-либо универсальных значений.
                                            Сколько стран столько пропорций сочетания свободного рыночного регулирования и государственного вмешательства.
                                            Свободные рынки через систему цен, прибылей и убытков координируют поведение тех, кто принимает экономические решения.
                                            Вследствие того, что они отвечают на сигналы, отражающие реальные рыночные условия, их решения координируются без участия какого-либо сознательного вмешательства. На свободных рынках относительные цены отражают относительные затраты. Поэтому производители и потребители используют ограниченные ресурсы в соответствии с эффективностью распределения.
                                            Ценовая система рынка обладает способностью создавать силы, преодолевающие не равновесие.
                                            Когда мы говорим о несостоятельности рынка, мы вовсе не имеем в виду в первую очередь, что рыночная система не обеспечивает эффективности распределения ресурсов общества. Речь идет о том, что рыночная система плохо служит другим (отличным от эффективности распределения ресурсов) социальным целям таким, как желаемое распределение совокупного дохода, охрана природы, обеспечение населения общественными благами.
                                            § 83. СОЦИАЛЬНЫЕ ЦЕЛИ, НЕ ДОСТИГАЕМЫЕ УСИЛИЯМИ РЫНОЧНОЙ СИСТЕМЫ Есть несколько создаваемых рыночной системой причин, которые могут вести к неэффективности. Первая из них монополия, которая осуществляет производство, если цена превышает предельные затраты, что ведет к неэффективной.
                                            Мы знаем, что есть разные причины возникновения монополий, но ясно также и то, что регулировать их деятельность в нужном для общества направлении рынок не может. Это функция властей, государства.
                                            Вторая причина наличие внешних факторов (экстерналий), т. е. затрат или выгод от операций, когда действия того (или нескольких) субъектов влияют на положение того, никак не связанного с первым. Внешние факторы, или экстерналии, могут быть отрицательными и положительными, что зависит от характера указанного влияния (отрицательного или положительного). Если химические заводы в г. N загрязняют Оку и Волгу на многие сотни километров вниз по течению, то это, конечно, отрицательный внешний фактор для жителей, живущих по берегам этих рек. Концепция внешних факторов позволяет рассматривать соотношение частных и социальных (общественных) затрат.
                                            Различие между ними ведет к несостоятельности рынка. Частные затраты измеряют наилучшее альтернативное использование ресурсов, доступных частному субъекту. Общественные затраты включают частные, а также вызванные наилучшим использованием всех ресурсов, доступных обществу в целом.

                                            ТЕМА 16. СИСТЕМА НАЦИОНАЛЬНЫХ СЧЕТОВ

                                            15-1
                                            В этом случае в общественные затраты входят затраты, навязанные заводами г. N жителям на берегах Оки и Волги.
                                            На 15-1 показано, что конкурентная фирма будет выпускать продукцию, если частные предельные затраты равны рыночной цене. Но в таком случае (как и в случае с заводами г. N) каждая единица этой продукции создает «внешние», или экстернальные, затраты, которые равны расстоянию между кривой частных предельных затрат (МСр) и кривой общественных предельных затрат (МСs).
                                            Максимизируя прибыль, эта фирма выберет объем производства Q0 где ее МСр = Р. А если учесть полные общественные затраты, то объем производства должен при той же цене составить Q1 (либо придется увеличить Р до Р1). Для каждой единицы продукции между Q0 и Q1 затраты для всех членов общества превышают стоимость, полученную потребителями и составляющую Р. Общественные затраты в интервале Q0 Q1, превышают частную выручку, что и составляет неэффективность распределения ресурсов. Другими словами, заводы г. N производят слишком много продукции и по слишком низкой цене.
                                            Этот же вывод относится и к положительным внешним факторам. Рекордные темпы роста Японии в 6070-е гг., Сингапура, Тайваня, Южной Кореи в 7080-е гг. во многом связаны с тем, что эти страны, пользуясь незащищенностью интеллектуальной собственности, бесплатно внедряли и применяли чужие технологии, в основном американские. Но в данном случае это означало, что американцы производили слишком мало и по слишком высокой цене.
                                            То есть если бы американцы допроизвели и продали то, что фактически у них было изъято бесплатно, объем их продукции был бы больше, а цены ниже.
                                            В обоих случаях возникает очевидная проблема с низкой эффективностью распределения ресурсов. Продолжение деятельности, создающей внешний фактор, сопровождается созданием предельного ущерба дополнительного ущерба, возникающего в результате повышения уровня создающей внешний фактор деятельности на одну единицу. Если производство товара А загрязняет атмосферу, предельный ущерб составляет дополнительные затраты, которые навязываются жителям данной местности благодаря дополнительному загрязнению воздуха, возникающему вследствие увеличения производства на одну единицу (в течение времени t).
                                            Еще один, третий источник несостоятельности рынка его неспособность обеспечить население общественными благами товарами и услугами, которые обеспечивают коллективное потребление. Общественные блага радикально отличаются от частных благ, успешно обеспечиваемых рынком, во-первых, тем, что они не конкурируют в потреблении, во-вторых, тем, что никто не может быть исключен из процесса потребления этих благ. Это относится к оборонным услугам, школьному Образованию, созданию и применению законов и т.д.
                                            Рынок не может обеспечить все эти блага вследствие так называемой проблемы «безбилетника», являющейся одним из открытий теории игр. Суть ее сводится к тому, что, имея свободный выбор в решении платить или не платить, потребитель, скорее всего, платить не будет. Следовательно, рынок не будет обеспечивать население такими благами.
                                            Поэтому государство должно аккумулировать через налоговую систему необходимые средства на производство или обеспечение общественных благ.
                                            Общественным благом может с известными оговорками считаться распределение и перераспределение совокупного дохода. Подавляющая часть россиян, вероятно, готова заплатить какую-то сумму через налоговую систему, чтобы полностью устранить нищету. Достижение такой цели принесет облегчение не только тем, кто нищенствует, но и всем членам общества, снизив общественные расходы, которые необходимо нести в связи с последствиями нищеты.
                                            Но для этого нужно, чтобы была преодолена проблема «безбилетника», т. е. нужно вмешательство властей.
                                            Мы уже знаем, что есть два типа общественных благ:

                                            1. неконкурирующие в потреблении и не исключаемые из потребления любого гражданина;
                                            2. неконкурирующие, но исключаемые из потребления части граждан (например, школьные завтраки).
                                            Когда исключение невозможно, то частное (рыночное) обеспечение общественными благами будет несостоятельным. Когда они не конкурируют в потреблении, предельные затраты обеспечения общественными благами равны нулю, а эффективность требует свободного доступа к ним. Рыночное (частное) обеспечение общественными благами возможно, но неэффективно.
                                            § 84. ТЕОРЕМА П. САМУЭЛЬСОНА Возможность исключения из потребления имеет принципиальное значение, основанное на микроэкономических принципах. Эффективная экономика экономика, которая производит то, что нужно людям.
                                            Рыночный спрос на частное благо просто сумма того, что домашние хозяйства решают приобрести.



                                            ТЕМА 17. БАЗОВАЯ МАКРОЭКОНОМИЧЕСКАЯ МОДЕЛЬ


                                            Цель изучения темы состоит в том, чтобы узнать:
                                            • причины создания системы национальных счетов;
                                            • в чем заключается концепция национальных счетов;
                                            • способы определения валового национального продукта и его составляющих;
                                            • недостатки современного состояния расчетов ВНП;
                                            • значение и способ определения ВНП в постоянных ценах.
                                            В нашей экономике доля людей, занятых физическим трудом и производящих товары (вещи), очень велика. В то же время в США доля рабочих уже упала ниже 25% от трудоспособного населения страны. Более 75% работающих американцев заняты в сфере услуг.
                                            Казалось бы, мы должны утопать в товарах (вещах), обладать индустриальной мощью, а США терять эту мощь и довольствоваться чем-то неосязаемым, что нельзя надеть, съесть, распилить, склеить и т.д. К несчастью, макроэкономический анализ показывает, что это впечатление обманчиво.
                                            Макроэкономика изучение экономики в целом как совокупности экономических явлений и их показателей. Макроэкономика позволяет понять структуру производства в стране, уровень производства, природу экономических колебаний, существо экономического роста, инфляции и безработицы. Для того чтобы получить знания о валовом производстве, общем уровне цен, безработице, инвестициях, личном потреблении, госрасходах, мы должны агрегировать данные о микрорынках.
                                            Агрегирование процесс статистического соединения множества индивидуальных микроэкономических рынков в один всеобъемлющий рынок с целью определения валового производства и совокупного уровня цен. Макроэкономика изучает, кроме того, взаимодействие макроэкономических переменных, влияние на них экономической политики правительства, создает основу для экономических прогнозов.
                                            Макроэкономические исследования берут начало с 30-х гг. нашего столетия. В 19291933 гг. разразился экономический кризис такого масштаба, что он стал подлинной трагедией сотен миллионов людей. Получивший в США название Великой депрессии, этот кризис заставил ученых и политиков задуматься над причинами экономических колебаний и существом экономического роста.
                                            Однако первое, с чем они столкнулись, было отсутствие необходимых агрегированных данных, которыми оперирует современная макроэкономика. Конгресс США поручил выдающемуся американскому экономисту С. Кузнецу, будущему лауреату Нобелевской премии, создать инструментарий для измерения совокупного национального производства. В 1933 г. он уже подготовил данные о национальном доходе США за 19291932 гг., благодаря которым стало ясным тяжелейшее положение американской экономики.
                                            Для измерения национального дохода С. Кузнец создал систему национальных счетов совокупность статистических показателей, которыми измеряется совокупное производство страны и его компоненты с целью определения состояния экономики в целом.
                                            В основе национальных счетов лежит концепция кругооборота доходов (потоков доходов). В простейшем виде этот

                                            ТЕМА 17. БАЗОВАЯ МАКРОЭКОНОМИЧЕСКАЯ МОДЕЛЬ

                                            16-1
                                            кругооборот представлен на 16-1. Экономика как бы поделена на две сферы потребители (домашние хозяйства) и бизнес, между которыми происходит обмен. Производители оплачивают потребителям владельцам факторов производства (земля, труд, капитал) их услуги, и эти доходы потребителей затем возвращаются в бизнес, поскольку, получив факторы производства, бизнес производит конечные товары и услуги, которые затем покупаются потребителями.
                                            Эта простейшая модель включает лишь частный сектор. Стоимость услуг владельцев факторов производства равна их затратам на конечные товары и услуги, произведенные бизнесом. Другими словами, стоимость конечных товаров и услуг должна быть равна заработной плате, ренте, прибыли и проценту.
                                            § 87. ВАЛОВОЙ НАЦИОНАЛЬНЫЙ ПРОДУКТ (ВНП) Аббревиатуру ВНП мы часто слышим по радио, телевидению, встречаем в прессе. ВНП валовая рыночная стоимость конечных товаров и услуг, произведенных в течение года на основе применения национальных факторов производства. В этом определении каждое слово важно так же, как в геометрических теоремах.
                                            Например, слово «национальных» присутствует в нем не случайно. Во Франции француз может легко купить автомобиль, произведенный во Франции американским или немецким собственником факторов производства.
                                            Даже в России мы все чаще сталкиваемся если не с иностранными производителями, то с продукцией так называемых смешанных предприятий. Конечно, в ВНП США включается прибыль и другие платежи американских владельцев факторов производства, например, в Англии.
                                            В отличие от ВНП, валовой внутренний продукт (ВВП) валовая стоимость конечных товаров и услуг, произведенных из всех имеющихся в стране факторов производства, вне зависимости от того, кому они принадлежат. Если разница между ВНП и ВВП невелика, то это говорит о примерном совпадении доходов, заработанных американцами за рубежом, и доходов, заработанных иностранцами в США. Если такая разница есть, то она указывает на низкое значение иностранной собственности на факторы производства в данной стране.
                                            Между прочим, из-за этой особенности ВВП часто используют в международных оценках мировой экономики и в сопоставлениях.
                                            ВНП, ВВП измеряют стоимость не всей производственной продукции, а лишь стоимость конечных товаров и услуг т. е. товаров и услуг, которые действительно покупаются для потребления или произведены для экспорта (вывоза за рубеж). Помимо конечной продукции, имеется еще промежуточная. Прежде чем электролампочка осветит вашу комнату, геолог должен найти нефть (А), нефтяник добыть ее (В), транспортник перевезти на нефтеперегонный завод либо перекачать по нефтепроводу (С), химик извлечь из нее топочный мазут (Д), который будет переправлен (Е) на тепловую электростанцию, где производится электроэнергия (F).
                                            Если вы просуммируете А + В + С + D + Е + F, то получится огромная сумма, весьма далекая от стоимости реально потребляемой вашей лампочкой электроэнергии. Проще говоря, возникнет двойной счет из-за подсчета промежуточных продуктов товаров, которые полностью потребляются в производстве конечных товаров и услуг.
                                            Допустим, что стоимость А включает 5 единиц (оборудование, транспорт, зарплата). Геолог продает свои знания нефтедобытчикам, которые добывают нефть на 20 единиц и продают перевозчикам, предварительно вычтя 5 единиц для расчета с геологами. Перевозчики за 25 единиц продают эту нефть химикам, вычтя 5 единиц для возмещения стоимости транспортного оборудования, зарплаты своим рабочим и других издержек. Химики перерабатывают нефть в топочный мазут, который продается за 100 единиц. Мазут поступает на электростанцию и сжигается для производства электроэнергии, которая продается за 200 единиц.
                                            Что же включать в ВНП? 200 единиц, уплаченных потребителями за электроэнергию, или 5 + 25 + 25 + 100 + 200 = 350 единиц, которые выплачены по всей цепочке от геолога до электролампочки? Ответ: 200 единиц, т. е. стоимость только конечной продукции, которая получается не суммированием стоимости промежуточных продуктов, а суммированием только добавленной стоимости т.е. стоимости, вложенной в конечный продукт фирмами на каждой из стадий единого производственного процесса.
                                            Добавленная стоимость представляет собой разницу между суммой продаж фирмы и суммой, на которую она закупает перерабатываемые ею промежуточные товары и услуги.
                                            Точно так же при подсчете ВНП в него включается лишь стоимость, добавленная во всех отраслях (сельское хозяйство, охота, рыболовство, горнодобывающая и обрабатывающая промышленность, строительство, транспорт и коммунальные услуги, торговля, сектор финансов, услуги, деятельность правительства). Одним из вариантов показателя ВНП является валовой национальный продукт на душу населения, т. е. стоимость ВНП, деленная на все население страны. Этот показатель более точно отражает уровень экономического развития страны, поскольку, хотя и условно, он отнесен к каждому среднему человеку.
                                            Как и всякая подлинная наука, экономика развивающаяся наука. А это значит, что ее анализ еще не охватил все немыслимое многообразие хозяйственной деятельности человека. Поэтому значительная часть этой деятельности пока не включается в ВНП либо включается при условных оценках.
                                            Например, ВНП оценивается в рыночных ценах, но часть конечных товаров и услуг не проходит через рынок. Собственники домов и квартир живут в них, и они обеспечивают людям жилые услуги, имеющие альтернативную стоимость. Если эти дома и квартиры сдавать, они принесут ренту.
                                            Поэтому такую условную ренту рассчитывают и включают в ВНП. Вместе с тем в ВНП не включаются многие непроизводительные сделки.
                                            Например, государственные трансферты (пенсии, пособия по безработице и многодетным и др.) выдаются без ожидания того, что их получатели что-то сделают для увеличения ВНП. Эти трансферты просто перераспределение уже созданного ВНП. Стоимость предоставляемых правительством бесплатных товаров населению также рассчитывают (по реальным издержкам производства) и не включают в ВНП.
                                            Конечно, весьма сложно включить в ВНП незаконную деятельность (самогоноварение, наркобизнес, подпольный игорный бизнес, «теневое» производство товаров, «теневую» торговлю).
                                            Разумеется, из подсчета ВНП исключаются продажи подержанных товаров (они уже когда-то считались в составе ВНП предыдущих годов).



                                            Тема 17 Международная торговля и мировой рынок


                                            16.1. Международная торговля и мировой рынок

                                            Мировое хозяйство – глобальная экономика, связывающая национальные хозяйства в единую систему через обмен экономической деятельности, МРТ (международное разделение труда). Основная тенденция развития мирового хозяйства – рост процессов интернационализации (производства и капитала).
                                            Причины: 1) расширение емкости рынка, 2) включение в МРТ, 3) ограниченность ресурсов, 4) специализация и кооперация. Открытость рынка определяется долей экспорта ВНП.
                                            1.Закрытый рынок (доля экспорта в ВНП ‹ 10% в год)
                                            2. Открытый рынок (доля экспорта в ВНП 25-34% в год).
                                            Формы международных экономических отношений: международная торговля, вывоз капитала и международный кредит, международные валютные отношения, международная миграция рабочей силы, международное научно-техническое и производственное сотрудничество.
                                            Внешняя торговля – форма международных экономических отношений, посредством экспорта и импорта товаров и услуг на основе МРТ. Теоретические основы МРТ заложены А. Смитом, он рассматривал абсолютные преимущества стран в международной торговле.
                                            В 1817 году Д. Рикардо предложил теорию сравнительных преимуществ: совокупный объем выпускаемой продукции станет максимальным тогда, когда каждый товар будет производиться той страной, в которой ниже вмененные издержки (важно сравнивать не абсолютный, а относительный эффект).
                                            Теория абсолютного преимущества
                                            При выпуске и обмене товаров меньше прямые издержки, поэтому продукция дешевле. Страны обмениваются продукцией, которую они делают дешевле, чем торговые партнеры. Влияние климата, природных условий, трудовых ресурсов, технологий.
                                            Страна является монополистом в чем-либо и отмечается естественной специализацией.
                                            Теория относительного преимущества
                                            Речь идет о наименьших альтернативных издержках производства. Сопоставляется выгода от обмена товарами, на производство которого затрачивается относительно меньше ресурсов. Влияние уникальных условий производства при изготовлении однородной продукции в разных странах.
                                            Часто это преимущество называют сравнительным.
                                            Современная модификация этой теории – теория соотношения факторов производства Хекшера-Омена-Самуэльсона: страна экспортирует товары, в производстве которых используются относительно избыточные факторы, в обмен на товары, в производстве которых использовались бы дефицитные ресурсы.
                                            Государственное регулирование внешней торговли. Два типа торговой политики: фритредерство (режим свободной торговли) и протекционизм (ограничение ввоза иностранных товаров).

                                            1. Фритредерство предполагает свободное движение товаров через границу: влияние на цену, т.е. тарифы и акции, - госрегулирование (через тарифы и нетарифные барьеры) допускается с учетом особенностей экономики. Существует с конца XVIII века либерализация внешней торговли источник благосостояния государства.
                                            2. Протекционизм - это политика, когда с помощью пошлин и административного регулирования защищается отечественный производитель. Однако это уменьшает выгоду от специализации.
                                            Методы: тарифы и нетарифные барьеры

                                            1. Тариф – налог на импорт или таможенная пошлина. Тарифы, кроме протекционистского характера, выполняют фискальную функцию – увеличение денежных ресурсов страны. Тарифы определяют величину государственных денежных сборов с товаров, которые пересекают границу страны.
                                            Формы тарифов:
                                            1. Адвалорная пошлина – фиксированный процент с цены товара. Рd = Pw (1 + Tav) (Pd – внутренняя цена импортного товара, Pw – таможенная стоимость товара, Tav – ставка адвалорного тарифа).
                                            2. Особая (специфическая) пошлина – твердая ставка за установленную единицу товара (вес, объем, площадь, количество) Pd = Pw + Ts (Ts – ставка специфического тарифа).
                                            3. Сложная пошлина – адвалорная + особая пошлины.
                                            Причины вмешательства государства: либерализация торговли, торговый дефицит в стране, усиление конкуренции с иностранными фирмами.
                                            2.Нетарифные барьеры направлены на прямое ограничение импорта с целью защиты определенных отраслей национального производства: а) контингетирование (установлена квота на ввоз и вывоз товара в количественном и стоимостном выражении); б) административные процедуры: добровольное ограничение экспорта (сокращение объема), сложная таможенная процедура, технические и санитарные стандарты, валютные ограничения импорта; в) лицензирование права на внешне-экономическую деятельность; г) государственная монополия на ряд видов внешнеэкономической деятельности.

                                            16.2. Международное перемещение факторов производства

                                            Миграция населения (трудовых ресурсов) – это перемещение трудоспособного населения за пределы национальных границ. Эмигрант – выселяющийся, иммигрант – вселяющийся. Экономические причины: снижение спроса на низкоквалифицированную рабочую силу и рост спроса на высококвалифицированную; различие в зарплате.
                                            Внешнеэкономические: демографические, политические, культурные, религиозные, национальные.
                                            Плюсы для стран, принимающих рабочую силу: дешевая рабочая сила, экономия на образовании, расширение емкости рынка предметов потребления, амортизационный эффект при кризисах (иммигрантов увольняют первыми), омоложение трудовых ресурсов. Минусы иммиграции для принимающих стран – дискриминация и недовольство коренного населения.
                                            Экспорт рабочей силы из страны – донора улучшает ситуацию внутреннего рынка труда, снижает уровень безработицы и т.д. Однако минус в утечке умов, отток квалифицированных кадров.



                                            16.3. Международное движение капитала

                                            Вывоз капитала (экспорт), ввоз капитала (импорт). Формы движения капитала:

                                            1. Предпринимательский: а) прямые, б) портфельные инвестиции.
                                            2. Ссудный (денежный): вкладывание денег в иностранный банк или внешние займы.
                                            3. Вывоз предпринимательского капитала – организация предприятий – это дело иностранных собственников. В зависимости от степени контроля за такими предприятиями различают: а) прямые инвестиции (полный контроль над отчетами зарубежных капиталовложений и обладание контрольным пакетом акций). б) портфельные инвестиции – приобретение акций иностранных предприятий в размерах, не дающих право собственности или контроля (цель – разместить капиталы). Это средство зашиты активов от инфляции и получения спекулятивных доходов.
                                            Тенденции: преобладает экспорт прямых инвестиций в новые технологии, вывоз капитала высокоразвитыми странами.

                                            1. Международный кредит: движение капитала – предоставление товарных и валютных ресурсов (возвратность, срочность, платность, обеспеченность и ценовой характер).
                                            Кредиторы – частные банки и предприниматели, международные финансово-кредитные организации, приобретающие займы.
                                            Функции: эффективное использование ресурсов, рост товарооборота между странами, напрвляет временно свободные денежные средства одних стран на финансирование других.


                                            16.4. Платежный баланс страны

                                            Платежный баланс – отражает текущее внешнеэкономическое положение. Он суммирует все операции, которые были совершены в международной торговле за определенное время (свободный баланс сделок за год между лицами, фирмами и правительственными ведомствами одной страны и теми же представителями другой страны). Характеризует соотношение между валютными поступлениями в страну и платежами, которые государства осуществляют за границей за определенное время.
                                            Дефицит платежного баланса – больше денег тратится на покупку иностранных товаров, чем иностранцы тратят на приобретение отечественных товаров.
                                            Платежный баланс состоит из 3-х разделов:

                                            1. Баланс (счета) текущих операций, расчеты по текущим операциям (товары, услуги, трансфертные платежи).
                                            2. Баланс (счета) движения капиталов, сделки по движению капиталов (чистые продажи активов).
                                            3. Баланс (счета) движения золотовалютных резервов, официальные резервы.
                                            4. Показывает движение валютных средств, связанное с текущим и прошлым движением материальных и нематериальных активов (экспорт и импорт). Если импорт больше экспорта, торговый баланс сводится с дефицитом. Неторговые операции: а) туризм, страхование, перевозки, средства связи; б) денежные поступления или расходы по платежам за рубеж.
                                            5. Отражает финансовые операции купли-продажи финансовых активов и получение кредитов и займов. Приток капитала (+) свидетельствует о приобретении национальных финансовых активов иностранцами (тождественное притоку иностранной валюты). Отток капитала – приобретение иностранных активов фирмами и домохозяйствами (утечка валюты из страны). Активное сальдо баланса движения капиталов – превышение притока капитала над оттоком (и наоборот).
                                            6. Цель – не извлечение прибыли, а урегулирование несбалансированности платежных балансов.
                                            Баланс по текущим операциям и баланс движения капиталов взаимосвязаны. Дефицит платежного баланса по текущим операциям финансируется в основном чистым притоком капитала. Актив текущего Wлатежного баланса сопровождается чистым оттоком капитала. Активное сальдо баланса движения капиталов равно превышению суммы проданных заграничных активов и займов у иностранцев над суммой полученных заграничных активов и кредитования иностранцев.
                                            Когда говорят о дефицитах и активах платежных балансов, то имеют в виду баланс счетов текущих операций и движения капитала.



                                            ТЕМА 18. МОДЕЛЬ СОВОКУПНЫХ ДОХОДОВ И РАСХОДОВ


                                            Цель изучения темы состоит в том, чтобы узнать:
                                            • что собой представляют основные макроэкономические переменные;
                                            • в чем состоит концепция потенциального реального национального дохода;
                                            • в чем заключается процесс автоматической перестройки экономики в случае рецессионного или инфляционного разрыва ВНП;
                                            • что такое уравнение обмена;
                                            • каковы основные характеристики классической макроэкономической модели.
                                            К числу критически важных мы относим две макроэкономические переменные совокупный спрос и совокупное предложение. Совокупный спрос (AD) объем товаров и услуг, который решают купить домашние хозяйства, фирмы, государство, плюс чистый спрос зарубежных покупателей. Совокупный спрос отношение между совокупной ценой и совокупным объемом продукции (на которую предъявляется спрос), выражаемое кривой совокупного спроса, имеющей

                                            ТЕМА 18. МОДЕЛЬ СОВОКУПНЫХ ДОХОДОВ И РАСХОДОВ

                                            17-1
                                            наклон вниз. Совокупное предложение (AS) объем товаров и услуг, которые производители предлагают для продажи на любом данном ценовом уровне. Совокупное предложение отношение между совокупным ценовым уровнем и общим объемом совокупной продукции, предлагаемым производителями.
                                            Оно выражается кривой совокупного предложения, имеющей наклон вверх.
                                            В моделях только с частным сектором совокупный спрос AD включает лишь потребительский спрос домашних хозяйств и инвестиционный спрос со стороны фирм. Совокупное предложение зависит от производительности факторов (т. е. от технологии и объема физического капитала), от эффективности управления и от цен, по которым фирмы рассчитывают получить за свою продукцию. Мы принимаем эти условия как данные, которые, в свою очередь, задают нам шкалу, связывающую совокупное предложение и ценовой уровень.
                                            На 17-1 представлена кривая AS; фирмы увеличивают предложение по мере роста цены. Как видим, чем выше совокупный уровень цен Р (измеряемый как дефлятор ВНП), тем больше объем совокупного Продукта Y (реальный ВНП). 17-1 показывает также, что крупные изменения У вызываются относительно небольшими изменениями Р, что означает высокую эластичность AS (ЕAS 1).


                                            Макроэкономические исследования во многих странах доказывают, что в кратковременном периоде ЕAS очень высока (от 3 до 5). Это связано с весьма пологим наклоном ивой краткосрочного совокупного предложения. Важно также учитывать, что при 35%-ном изменении реального ВНП объем производства инвестиционной продукции и товаров длительного пользования меняется еще больше, хотя колебание цен на эти товары, как правило, бывает меньшим, чем изменение совокупного уровня цен. В целом во время изменений спроса или предложения на любом из рынков реакция на эти изменения включает существенную .перестройку обеих переменных: цен и объемов (Р и Q).
                                            Так происходит в микроэкономике. А почему на макроуровне реакция Р на изменения AS весьма мала в сравнении со значительными изменениями Y? Большая часть этих явлений зависит от фактора времени. Цены всегда перестраиваются в ответ на изменения спроса и предложения, но это происходит очень медленно вследствие негибкости цен.
                                            В эпоху экономистов-классиков доминировали рынки совершенной конкуренции.
                                            Они существуют и в течение всего XX века, и цены на этих рынках по-прежнему весьма подвижны. Но в современной экономике совокупный ценовой уровень в основном зависит от компаний, осуществляющих ценообразование на основе долгосрочных конкурентных стратегий. Есть много причин, по которым цены этих компаний слабо реагируют на краткосрочные изменения в спросе. Упомянем основные из этих причин:

                                            • На многих рынках доля продаж контролируется несколькими фирмами. Когда спрос падает, фирмы не снижают цены, потому что это может привести к ценовой войне.
                                            • На рынках монополистической конкуренции снижение цены в ответ на снижение спроса не вызовет существенного увеличения продаж, поскольку потребитель на этих рынках лоялен к своим продавцам. Выигрыш фирмы от перестраивающейся цены будет невелик.
                                            • Фирмы не приветствуют постоянные изменения цен вследствие неизбежных затрат на обновление торговых каталогов и прейскурантов.
                                            • Заработная плата как факторная цена не является гибкой, что ведет к постоянству основной части затрат на единицу продукции. Заработная плата негибка, так как, во-первых, работникам не нравится неопределенность зарплаты, если ей позволено колебаться; во-вторых, они считают несправедливым любое снижение зарплаты; и в-третьих, фирмы опасаются, что снижение цены отразится и на трудовой морали персонала, сократится рабочее усилие, а лучшая часть работников уволится.
                                            • Значительная часть зарплаты устанавливается на основе трудовых соглашений, изменение которых возможно лишь при их перезаключении.
                                            • Огромная часть товаров производится усилиями многих цехов, фирм и отраслей. В случае, например, уменьшения спроса на товар требуется координированное снижение цен по всей цепочке фирм и отраслей, что крайне сложно сделать.
                                            Все эти причины, вместе взятые, ведут к негибкости в краткосрочном периоде цен на товары и услуги, а кривая AS получает весьма пологий наклон, указывая на то, что ценовой уровень колеблется незначительно в ответ на изменения в AS.
                                            На 17-2 представлены наклоненные вниз кривые AD. Если в микроэкономике кривая спроса наклонена вниз вследствие действия закона убывающей предельной полезности и вследствие того, что при росте цены, например, спрос переключается на заменители, то в макроэкономике такой наклон кривой AD объясняется другими причинами. Если ценовой уровень снижается, а денежная масса не

                                            ТЕМА 18. МОДЕЛЬ СОВОКУПНЫХ ДОХОДОВ И РАСХОДОВ

                                            17-2
                                            меняется, то уменьшаются ставки процента, что стимулирует рост спроса на товары и услуги, чувствительные к ставке процента. Одновременно идет увеличение всех форм богатства в денежной форме, что также ведет к росту расходов и сдвигам в их структуре. Наконец, снижение общего уровня цен повышает спрос со стороны иностранцев.
                                            На 17-2 показано, что снижение доходов домашних хозяйств ведет к сдвигу кривой AD0 на АD1, а рост доходов к сдвигу кривой AD0 на АD1. Анализируя краткосрочные колебания Y, мы концентрируем сейчас наше внимание на воздействии сдвигов кривой AD, а не на движении вдоль кривой AD (которое связано с изменениями ценового уровня). 17-2 демонстрирует нам, что при этом происходят, хотя и незначительные, изменения вдоль кривой AD, игнорировать которые было бы ошибочно. При сдвиге AD0 на АD1 Y тоже сдвигается на YC, а цена снижается на уровень P1.
                                            Не обращая внимания на это малое изменение Р, мы ошибочно полагаем, что Y падает до YB, а не до YC. Поскольку кривая AS является эластичной, но не абсолютно пологой (горизонтальной), возникает ошибка (YB YC), хотя и не очень значительная. Главное

                                            ТЕМА 18. МОДЕЛЬ СОВОКУПНЫХ ДОХОДОВ И РАСХОДОВ

                                            17-3
                                            изменение в Y(YA YC) случилось из-за сдвига кривой АD влево. Мы не обращаем внимания на небольшое движение вдоль кривой AD (от точки В в точку С) после сдвига АD0 на АD1, потому что точки YB и точка YC почти совпадают. Тем самым мы немного недооцениваем воздействие сдвига AD.
                                            Но если сдвиг АD0 пойдет на АD2, то Р0 сдвинется на Р2, и мы сделаем серьезную ошибку, предсказав рост Y до YE, в то время как Y увеличивается только до YD (т. е. в этом случае произойдет значительная переоценка воздействия сдвига кривой AD).
                                            В целом можно сказать, что кратковременные изменения в АD, связанные с рецессиями, или застойными явлениями в экономике, воздействуют главным образом на Y и лишь незначительно влияют на общий ценовой уровень.
                                            Макроэкономическое равновесие наступает в точке пересечения кривых AD и SRAS (краткосрочное совокупное предложение). Этой точке соответствуют равновесный ценовой уровень (Р) и равновесный ВНП (Y). Но эта точка может отражать как краткосрочное, так и долгосрочное состояние экономики. Если она находится ( 17-3) на кривой долгосрочного совокупного предложения (LRAS), то отражает долгосрочное равновесие, поскольку кривая LRAS показывает потенциальный уровень совокупного предложения, которое экономика производит в случае полной занятости факторных ресурсов. Но, как мы видим, она может находиться как слева (Esr) от кривой потенциального национального дохода (Yp), так и справа (Esr').
                                            Точки Esr и Esr' отражают краткосрочные равновесные состояния, которые экономика пытается преодолеть, чтобы восстановить долгосрочный уровень Y, т.е. Yp.
                                            Когда экономика находится в краткосрочном равновесии в точке Esr, она производит Ysr, что существенно ниже ее потенциальных возможностей (Yp). Это состояние мы называем рецессионным разрывом ВНП, в ходе которого падает ВНП, снижается уровень цен, растет безработица и, следовательно, экономика теряет свои ограниченные ресурсы, недопроизводя существенный объем благ. Когда экономика находится в краткосрочном равновесии в точке Esr', она производит Ysr', что существенно выше ее потенциальных возможностей.
                                            Это состояние мы называем инфляционным разрывом ВНП, в ходе которого наблюдается рост ВНП, общего уровня цен и занятости.
                                            § 92. МЕХАНИЗМ ДОЛГОСРОЧНОЙ АВТОМАТИЧЕСКОЙ ПЕРЕСТРОЙКИ ЭКОНОМИКИ В обоих случаях экономика будет стремиться при помощи автоматической перестройки вернуться к уровню Yp, т.е. к долгосрочному равновесию. Механизм автоматической перестройки может быть описан на примере движения любого из факторных ресурсов, скажем труда.



                                            ТЕМА 19. СОВОКУПНЫЕ РАСХОДЫ И МУЛЬТИПЛИКАТОР


                                            Цель изучения темы состоит в том, чтобы узнать:
                                            • как модель совокупные доходы/совокупные расходы определяет равновесный уровень реального ВНП;
                                            • каковы поведение элементов совокупных расходов и связь между совокупными расходами и совокупными доходами;
                                            • каково значение поведения потребительского и инвестиционного секторов для установления равновесия реального ВНП;
                                            • как применяется кейнсианская модель в целях диагностики состояния экономики;
                                            • в чем существо более поздних теорий потребительских расходов.
                                            В течение XVIIIXIX вв. экономисты продолжали следовать практически всем основным постулатам классической макроэкономической модели. Однако уже во второй половине XIX в. эти постулаты все чаще не объясняли тех прогнозов, которые из данной модели следуют (уровень цен пропорционален денежной массе, экономика всегда работает на уровне потенциального реального ВНП).
                                            В указанный период экономическая динамика приобрела уже циклическую форму, в ходе которой экономика регулярно отклонялась от потенциального ВНП. Случившиеся во второй половине XIX в. и в первые десятилетия XX в. «гиперинфляции показали, что цены могут двигаться не параллельно с денежной массой. В 1929 г. начался экономический кризис, сила которого потрясла экономику и общественные устои многих стран и заставила, наконец, еще раз «^проанализировать постулаты классической модели.
                                            За эту работу взялись многие ученые, среди которых особая роль выпала великому английскому экономисту Дж. М. Кейнсу. Он создал значительное число концепций и теорем, которые образовали крупнейшую из макроэкономических школ XX в. кейнсианскую макроэкономическую школу.
                                            Первым из экономистов Кейнс объяснил, почему совокупное производство может опуститься ниже потенциального уровня.
                                            Он показал, что со времен экономистов-классиков многое изменилось и ряд казавшихся вечными постулатов стали неверными. Во-первых, Кейнс отверг классическую идею о гибкости цен, зарплаты и ставок процента, которые позволяли экономике мгновенно перестраиваться и стабильно держаться на уровне потенциального ВНП. Во второй половине XIX начале XX в. радикально изменилась организация отраслевых рынков.
                                            В эпоху классиков доминирующей формой организации отраслевых рынков был рынок совершенной (чистой) конкуренции. Затем возникли структуры монополий, олигополии, монополистической конкуренции т.е. образовались рынки несовершенной конкуренции. Их появление и выход на доминирующие позиции означали, что эпохе гибких цен пришел конец.
                                            Цены, которые он наблюдал в 30-е гг., Кейнс назвал «липкими» (sticky).
                                            Кейнс отверг и утверждение о том, что предложение само создает себе спрос (закон Сэя). Мы уже отмечали, что классики считали изменение ставки процента условием выравнивания сбережений и инвестиций. Кейнс отказался разделять эту точку зрения. Он верно указал на то, что сбережения и инвестиции зависят не столько от ставки процента,

                                            ТЕМА 19. СОВОКУПНЫЕ РАСХОДЫ И МУЛЬТИПЛИКАТОР

                                            18-1
                                            сколько от уровня национального дохода. В случаях, когда S I или S I, равновесие восстанавливается, по мнению Кейнса, не столько из-за колебаний ставки процента, сколько вследствие изменений экономической активности и уровня национального дохода.
                                            Кейнсианская теория описывает макроэкономический процесс как процесс краткосрочный, в ходе которого уровень фактического реального ВНП чаще всего не совпадает с потенциальным. В долгосрочных периодах Кейнс, как и его ученики, сохранял уверенность в том, что для восстановления макроэкономического равновесия перестраиваются зарплата и ценовой уровень, т. е. Кейнс соглашался с классиками. Кейнс придал кривой краткосрочного совокупного предложения (SRAS) особую форму. На 18-1 представлена эта кривая.
                                            Кейнса больше всего беспокоила ситуация в точке A, где существует высокий уровень безработицы, значительная часть физического капитала бездействует. Следовательно, есть очевидная возможность увеличить Y, не увеличивая одновременно Р, поскольку многие люди ищут работу но существующим ставкам зарплаты. Но для реализации этой возможности не хватает главного совокупного спроса.
                                            То решение вопроса с недопроизводством возможно при расширении AD. Если бы кривая AD сместилась с AD1, на AD2, Y увеличился бы с Y1 до Y2 без увеличения Р.
                                            Но при смещении кривой AD с AD2, до AD3 уже произойдет повышение ценового уровня с P1 на P2. При этом кривая SRAS начинает получать наклон вверх. Это происходит потому что перемещение вдоль кривой SRAS вправо приближает движущуюся вдоль нее точку В, а затем С к вертикали LRAS (Yp = Y4).
                                            Когда наша точка достигнет этой вертикали (D), любое дальнейшее увеличение спроса не будет изменять Y, но будет повышать Р. В точке D экономика достигает состояния, которое характеризует классическую макроэкономическую модель.
                                            Таким образом, по мнению Кейнса, экономика функционирует обычно в интервале АВ на кривой SRAS ( 18-1), и, следовательно, кривая SRAS не имеет принципиального значения для определения реального ВНП. Модель Кейнса посвящена совокупному спросу, создавая основу современной теории AD. Конечно, эта модель позволяет объяснить и то, что происходит с экономикой, когда она действует правее точки В на 18-1.
                                            Просто эта модель самим Кейнсом предназначалась для анализа экономики в краткосрочном периоде. А ситуации правее точки В скорее относятся к долгосрочному периоду.
                                            § 96. РАВНОВЕСИЕ ВНП Итак, центральным для Кейнса был вопрос о том, как определяется равновесный уровень реального ВНП (или национального дохода). Мы уже знаем метод кругооборота потоков доходов. Он был применен и Кейнсом. В ходе кругооборота потоков происходят утечки (сбережения, налоги, импорт) и инъекции (инвестиции, госзакупки товаров и услуг, экспорт).
                                            В модели частного сектора (Y=C+I) располагаемый доход может быть израсходован только в целях потребления (С) и сбережений (S). С элемент совокупных расходов (АЕ), a S утечка из потока. В двухсекторной модели Y=С + I, следовательно, реальный Y движется в потоке к владельцам факторов производства (домашним хозяйствам) в качестве платежей за факторные услуги. Домашние хозяйства расходуют эти доходы на С и S. Но сбережения означают, что эти деньги не расходуются на покупку товаров и услуг, образующих ВНП.
                                            Это утечка, попадающая в финансовую систему.
                                            Однако в финансовой системе S «перерабатываются» в инвестиции (I) и становятся той самой инъекцией в поток, которая должна заместить собой S, так чтобы сумма совокупных расходов (С + I) равнялась бы Y. Совокупные расходы должны быть равны сумме конечных товаров и услуг, т. е. С+I=Y=С+S, так что S = I. То есть при равновесном уровне ВНП S = I, утечка должна быть равна инъекции. Но что может обеспечить это равенство? Ведь сбережения осуществляются домашними хозяйствами, а инвестиции фирмами. Что координирует их действия?
                                            Кейнс дал ответ на этот вопрос, который одновременно оказался ответом на более существенный вопрос: как и почему происходит отклонение фактического реального ВНП от потенциального, т. е. как и почему возникает рецессионный разрыв ВНП? Ответ состоял в том, что в случаях, когда S I или S I, равновесие восстанавливается в результате колебаний уровня реального ВНП. Если S I, то поток доходов, составляющих ВНП, в следующем цикле кругооборота будет снижаться. Снижение доходов в домашних хозяйствах приведет к снижению потребительских расходов и особенно сбережений.
                                            Этот процесс будет продолжаться до тех пор, пока сбережения не станут равными инвестициям, т. е. пока утечка не станет равной инъекции. В этом случае потоки доходов в нижней и верхней дугах кругооборота станут равными.
                                            Сбережения и инвестиции представляют собой лишь одну пару утечка/инъекция в кругообороте потока. Другая пара связана с решениями властей всех уровней (государства). Государственные расходы на покупку товаров и услуг являются инъекцией, а налоговая политика обеспечивает условия утечки из потока.
                                            Государство также осуществляет трансферты населению и юридическим лицам. Варьируя расходами (трансферты плюс закупки товаров и услуг) и налогами, государство может воздействовать на реальный ВНП так же, как это делают изменения S и I.
                                            Еще одной парой утечка/инъекция являются экспорт (инъекция) и импорт (утечка). Импорт снижает циркуляционный поток дохода, а экспорт повышает его. Таким образом,
                                            C + I + G + X = Y = C + S + T + M,
                                            следовательно,
                                            C + I + G + X = C + S + T + M,
                                            где G государственные расходы; Х экспорт; T налоги; М импорт.
                                            Модель кругооборота обеспечивает нам интуитивное видение того, как функционирует национальная экономика. Кейнсианское объяснение, как определяется равновесный уровень реального ВНП в краткосрочные периоды, полностью зависит от уровня совокупных расходов (АЕ). В модели Кейнса совокупные расходы обусловливают спрос на товары и услуги, составляющие ВНП. При этом Кейнс рассматривал воздействие на ВНП каждого из элементов АЕ (т. е. С, I, G, (X M)). Совокупный спрос (AD), являющийся отношением между Р и Y, заменяется на концепцию совокупных расходов (АЕ), которая отражает отношение между совокупными расходами и реальным ВНП.
                                            Графически модель AE/Y (расходы/доходы) представлена на 18-2.



                                            ТЕМА 20. ФИСКАЛЬНАЯ ПОЛИТИКА


                                            Цель изучения темы состоит в том, чтобы узнать:
                                            • как автономный рост совокупных расходов воздействует на мультиплицированное увеличение реального ВНП;
                                            • как определить величину мультипликатора расходов;
                                            • как определить величину мультипликатора для различных видов государственной деятельности;
                                            • как определить мультипликатор для внешней торговли;
                                            • что такое парадокс бережливости.
                                            В предыдущей теме мы уже узнали, что рост автономных потребительских расходов вызывает кратно увеличенный рост совокупного дохода. Этот феномен, обнаруженный Кейнсом, получил название расходного мультипликатора или мультипликатора расходов пропорции изменения реального ВНП в ответ на изменение в автономных расходах. Мы рассмотрели потребление (совокупные потребительские расходы) как компонент совокупных расходов и часть простейшей теории определения совокупного дохода, или ВНП. Сейчас можно показать, как эта теория действует. В тождестве Y = С + I + G, помимо потребления (С), есть еще инвестиции (I) и государственные расходы на покупку товаров и (G).
                                            Значения I и G нужно получить вне модели, в то время как С и Y устанавливаются внутри модели. Переменные определяемые за пределами модели, называются экзогенными переменными, а определяемые внутри эндогенными переменными. В макроэкономическом анализе идея о том, эндогенные переменные должны одновременно удовлетворять какому-то числу взаимосвязей (отношений), является важнейшей. Простейшая модель состоит из двух основных отношений: 1) тождества совокупного дохода (YD = С + I + G); 2) потребительской функции*.
                                            Потребительская функция фактически говорит нам о том, что С положительно зависит YD (обе константы а и b имеют положительный знак). Очень важно различать константы и переменные. Часто константы называют коэффициентами (а и b коэффициенты), а С и YD в потребительской функции являются переменными.
                                            Переменные изменяются, а константы имеют фиксированные значения.
                                            Потребительская функция может быть выражена в категориях Y, а не YD. Располагаемый доход (YD) равен Y (совокупный доход) минус налоги. Если совокупный налог как норма (ставка) является константой (t), то величина совокупного налога равна tY.
                                            Тогда YD = YD - tY = (1 - t)Y. Заменяя YD на (1 - t)Y, мы можем переписать потребительскую функцию как С = а + b (1 t)Y.
                                            Итак, для определения значений двух эндогенных переменных макромодели С и Y могут быть использованы два основных отношения (тождество дохода и потребительская функция). Значения C и Y обусловлены требованием того, чтобы оба отношения удовлетворяли им одновременно.
                                            § 102. БАЛАНС СОВОКУПНЫХ РАСКОЛОВ Еще раз вернемся к простейшему графику кейнсианской макромодели. На 19-1 совокупные расходы на оси Y, а реальный ВНП на оси X. Кривая АЕ и биссектриса угла 0 пересекаются в точке равновесия, где C и Y удовлетворяют одновременно и потребительской функции, и доходному тождеству. Кривая АЕ показывает зависимость совокупных расходов от Y. Совокупные расходы являются суммой потребительских, инвестиционных и государственных расходов.
                                            В этой модели от Y зависят только потребительские расходы (через потребительскую функцию). I и G являются экзогенными переменными. Таким образом,
                                            АЕ = а + b(1 t)Y + I + G, где АЕ включает потребительскую функцию. В любой точке биссектрисы Y = АЕ. Следовательно, кривая АЕ представляет тождество совокупного дохода.
                                            Эту кривую иногда называют «биссектрисой Кейнса», а сам график «крестом Кейнса».
                                            Еще раз вспомним, что на кривой SRAS Кейнс считал уместным лишь горизонтальный сегмент этой кривой (см. 18-1 в предыдущей теме, отрезок АВ). Краткосрочные колебания фактического Y происходят внутри этого сегмента.
                                            В то же время любой сдвиг кривой AD вызывает равное по величине изменение Y. Поэтому Кейнс отказался от кривой SRAS и заменил ее на биссектрису угла 0. Вместе с тем он утверждал, что в краткосрочном плане цены являются негибкими («липкими»), вследствие чего отказался в своей макромодели и от такой переменной, как Р. Таким образом, он построил модель доходырасходы, отвергнув базовую макромодель AD/SRAS. Обе модели важны для макроэкономического анализа. Рассмотрение совокупных расходов позволяет отдельно анализировать детерминанты совокупного спроса как переменные (С, I, G), но за счет допущения того, что Р является константой.
                                            В свою очередь, рассмотрение AD позволяет определять Р за счет того, что роль С, I, G не рассматривается.

                                            ТЕМА 20. ФИСКАЛЬНАЯ ПОЛИТИКА

                                            19-1
                                            Точка пересечения кривой АЕ и биссектрисы угла 0 является точкой А, где С и Y удовлетворяют обоим отношениям модели. На биссектрисе удовлетворяется тождество дохода, а на кривой АЕ потребительская функция. Точка пересечения дает искомое значение Y. В этой точке совокупные расходы равны совокупным доходам, а потребительские расходы удовлетворяют потребительской функции.
                                            Биссектриса круче, чем кривая АЕ. Наклон биссектрисы равен 1. Наклон потребительской функции равен b(1 - I), т. е. меньше 1. Так как у обеих линий наклоны разные, они должны всегда пересекаться.
                                            Уровни С и Y можно также определить алгебраически:
                                            Y = а +b(1 - I) Y + I + G.
                                            а + b(1 - t)Y является потребительской функцией, которая заменила С в тождестве дохода. Данное уравнение содержит одну эндогенную переменную Y, в то время как I и G являются экзогенными переменными. Переменная Y имеется в обеих сторонах уравнения.
                                            Чтобы решить его для Y, нужно перенести оба члена, содержащие Y, в левую часть уравнения. Поступая так, мы увидим, что значение Y, при котором решается это уравнение, задано:


                                            Это и есть решение модели, которое точно соответствует тому значению Y, какое мы имеем в точке А на 19-1. В этом случае значение С может быть получено включением значения Y в потребительскую функцию, т. е. С = а + b (1 I) Y, где значение Y взято из предыдущего уравнения.
                                            Теперь мы можем подытожить наше краткое рассмотрение вопросов, связанных с балансом расходов. Во-первых, простая модель определения Y включает два отношения: потребительскую функцию и тождество дохода. Модель определяет две эндогенные переменные потребление и совокупный доход.
                                            Две экзогенные переменные (I и G) устанавливаются вне модели. Во-вторых, баланс совокупных расходов достигается, когда потребители выбирают уровни С на основе уровня совокупных доходов, который является таким же, как и уровень Y = С + I + G. И, в-третьих, баланс расходов достигается при таких уровнях С и Y, которые удовлетворяют и потребительской функции, и тождеству дохода.
                                            Важно постигнуть логику поиска величин С и Y, которые удовлетворяют потребительской функции и тождеству дохода. Когда люди больше расходуют на покупки, фирмы больше производят. Для этого они нанимают больше работников, общая сумма доходов растет, растут и потребительские расходы. Когда достигается баланс расходов и доходов, доход, получаемый потребителями, равен доходу, который образуется их расходами (т. е. доходу производителей). Но допустим, что потребители расходуют слишком много по сравнению со своими доходами.
                                            В этом случае экономика начинает терять устойчивость, люди сокращают потребление и фирмы теперь производят меньше. Доходы работников сокращаются, пока вновь не будет достигнут баланс.
                                            Но откуда мы знаем, что снижение доходов и расходов будет идти именно до достижения точки равновесия, а не продолжаться вплоть до кризисного потрясения экономики? Когда С снижается вследствие уменьшения доходов, С снижается меньше, чем доходы. Предельная склон-ость к потреблению ниже 1, так что снижение Y ведет относительно меньшему снижению С. Поэтому меньшее снижению С генерирует меньшее снижение Y во втором круге движения циркуляционных потоков.
                                            Этот процесс обоюдного снижения ведет к более низкой точке общего баланса.
                                            § 103. МУЛЬТИПЛИКАТОР Рассмотрим, что произойдет с Y в случае изменения одной из экзогенных переменных, например I.
                                            Если объем I неожиданно сократился, то это вызовет сдвиг кривой АЕ вниз на величину сокращения I, что показано на 19-2.
                                            Если I снижаются на 50, то и кривая АЕ сдвигается вниз на 50. Теперь кривая АЕ пересекается с биссектрисой не в

                                            ТЕМА 20. ФИСКАЛЬНАЯ ПОЛИТИКА

                                            19-2
                                            точке А, а в точке В. Любая такая точка пересечения отражает сумму a + I + G. G в нашем примере не меняется, а является константой. Поэтому точка пересечения перемещается вниз на величину изменения I. Вместе с этим изменением I вследствие сдвига кривой АЕ произошло сокращение Y с 400 до 250. Падение Y больше (на 150), чем сдвиг кривой АЕ (на 50) потому, что наклон АЕ больше 0. Падение I, таким образом, мультиплицируется (умножается) в еще большее падение Y. Этот механизм Кейнс назвал мультипликатором. Чем круче наклон кривой АЕ, тем большим будет падение Y.
                                            Воздействие снижения I на динамику Y можно выразить алгебраически. В уравнении


                                            мы заменим I на величину I, и тогда изменение в Y составит:


                                            Это выражение мы получаем, переписывая первое уравнение в категориях изменений переменных и отмечая, что ни величина G, ни коэффициенты не изменяются. Член уравнения
                                            , который умножает изменения I в последнем уравнении, является мультипликатором. Мультипликатором является
                                            т. е. это множитель, на который умножается прирост инвестиций.



                                            ТЕМА 21. ДЕНЬГИ


                                            Цель изучения темы состоит в том, чтобы узнать:
                                            • какие решения правительства воздействуют на совокупные расходы;
                                            • в чем состоят принципы управления государственным бюджетом и его макроэкономическое значение;
                                            • какие существуют типы фискальной политики.
                                            Государство (правительство) осуществляет определенный объем расходов на покупку товаров и услуг. Государственные расходы на товары и услуги включают затраты на товары и услуги, которые государство закупает у частного сектора и у своих предприятий, плюс зарплата бюджетных работников. Величина государственных расходов на товары и услуги измеряет прямое воздействие правительства на совокупный спрос (AD).
                                            Общие государственные расходы существенно превышают расходы на покупку товаров и услуг, так как они включают еще и трансферты физическим и юридическим лицам (пенсии, пособия по инвалидности, безработице, субсидии сельскому хозяйству и промышленным предприятиям, процент на государственные ценные бумаги).
                                            Правительство финансирует свои расходы, увеличивая доходы, получаемые за счет как прямых, так и косвенных налогов. Если доходов от налогообложения не хватает, правительство прибегает к займам, выпуская государственные ценные бумаги. Управляя бюджетом, правительство осуществляет фискальную политику сознательные действия властей в отношении налоговых поступлений, трансфертов и покупок товаров и услуг с целью достижения макроэкономических и других целей.
                                            § 106. ГОСУДАРСТВО КАК ПОКУПАТЕЛЬ ТОВАРОВ И УСАУГ Власти всех уровней (государство) обеспечивают такие виды благ, как школьное образование, дороги, общественный транспорт, здравоохранение, библиотеки и т. д. Структура государственных расходов отражает сложившуюся на данный период систему общественных приоритетов. Государство обеспечивает населению общественные блага, имеющие две ключевые особенности: а) никто не может быть исключен из процесса их потребления; б) никто не конкурирует за их получение. Государство также обеспечивает денежную поддержку той части граждан, кто еще не может или уже не может заработать себе на жизнь. Она имеет форму социальных трансфертов.
                                            Государство обеспечивает духовно значимые блага музеи, библиотеки, театры и т.д. Государство обеспечивает подавляющую часть национальной системы образования. Это перечисление можно продолжать.
                                            С макроэкономической точки зрения государственные расходы на товары и услуги (G) являются частью автономных расходов, а величина G фиксирована политическими решениями.
                                            § 107. НАЛОГИ И НАЛОГОВАЯ ФУНКЦИЯ Налоги главный источник покрытия государственных расходов. Хотя составление бюджета во всех странах предполагает достижение баланса доходов и расходов, повсеместной реальностью является их более или менее существенное несовпадение. Во всех странах с традициями рыночной экономики имеется постоянный дефицит государственного бюджета (наибольший по отношению к ВНП в процентах в Италии, Бельгии, Голландии и Канаде).
                                            Значительный бюджетный излишек был известен в Ботсване (экспортер нефти и алмазов) и до 1991 г. в Кувейте. Абсолютный размер дефицита был рекордным в США (около 400 млрд долл. в начале 90-х гг.). А наиболее высокие по отношению к ВНП значения дефицита остаются в России.
                                            Валовые налоговые поступления (Тg) поступления, получаемые от всех налогов, собираемых всеми уровнями властей. Вычитая из Тg трансфертные платежи (Тp), мы получаем чистые налоговые поступления (T). Таким образом, Т = Тg Тp.
                                            Трансфертные платежи прибавка к доходам домашних хозяйств и институций, т. е. к доходам получателей (реципиентов). Именно получатели, а не правительство, определяют, как будут расходоваться трансферты. Поэтому трансферты нельзя считать частью совокупного спроса. Трансферты отрицательные налоги.
                                            Увеличение или снижение чистых налоговых поступлений воздействует на расходные решения в частном секторе, потому что Т расходуются на покупку товаров и услуг, а покупка товаров и услуг государством является частью совокупных расходов. Однако величина Т связана с уровнем дохода.
                                            И трансфертные платежи, и валовые налоговые поступления имеют предсказуемые взаимосвязи с уровнем национального дохода (Y). В периоды экономических подъемов, когда уровень безработицы минимален, а заработная плата, прибыль и другие доходы выше, увеличиваются и валовые налоговые поступления, в которые входят налоги на индивидуальные доходы и на фонд заработной платы. С другой стороны, в эти периоды трансфертные платежи понижаются, так как снижается число безработных, пожилые люди откладывают уход на пенсию и часть социальных расходов государства сокращается.
                                            Поэтому чистые налоговые поступления растут, когда растет Y, и снижаются, когда Y снижается.
                                            Налоговая функция является аналогом уже известных нам потребительской и инвестиционной функций:
                                            T = Т0 + Т1Y.
                                            Это уравнение описывает взаимосвязь между чистыми налоговыми поступлениями и Y через налоговую функцию, которая показывает, как Т изменяется по мере изменения Y. Некоторые виды налогов (например, налог на имущество) не меняются вместе с Y. Налоговая функция отражает это явление. Т0 представляет собой автономную часть налоговых поступлений, т.е. часть, которая не связана с Y. Но большая часть налогов (на индивидуальный доход, с фонда зарплаты), как и трансферты, меняется вместе с Y, что отражено во втором члене правой части приведенного уравнения (Т1Y). Постоянный наклон (Т1) экономисты называют предельной склонностью к налоговому изъятию (МРТ), т. е. изменением в Т, являющимся следствием изменения в Y. Каждый дополнительный рубль Y производит ту часть рубля (Т1), которая становится дополнительным налоговым поступлением (изъятием).
                                            Из темы о национальных счетах мы знаем, что располагаемый личный доход (YD) величина дохода, которая находится в распоряжении домашнего хозяйства на расходы и сбережения. Располагаемый доход образуется вычитанием Тg из дохода и добавлением трансфертов.
                                            YD = Y - Тg + Тp = Y - Т,
                                            т. е. в конечном счете
                                            YD = Y - Т
                                            (располагаемый доход равен валовому доходу минус чистые налоговые поступления). Потребительские расходы определяются располагаемым доходом, а не уровнем валового дохода. Вследствие того что прямо на совокупный спрос (AD) воздействуют государственные расходы на покупку товаров и услуг, а налоги воздействуют косвенно (через изменение потребительских и инвестиционных расходов), мы должны рассмотреть вопрос о равновесии на товарных рынках, чтобы выявить роль государственных расходов и чистых налогов.
                                            § 108. АГРЕГИРОВАННЫЙ ТОВАРНЫЙ РЫНОК, НАЛОГИ И ГОСУДАРСТВЕННЫЕ РАСХОДЫ Включение государственных закупок (G) в совокупный спрос изменяет условия равновесия на товарных рынках. Если в двухсекторной модели условие равновесия определялось как Y = С + I, то теперь оно выглядит как
                                            Y = С + I + G.
                                            Государственные закупки добавляются к AD, но они одновременно снижают частные потребительские расходы через налоговые изъятия. Поскольку располагаемый доход является частью У, которую потребители расходуют или сберегают, потребительская функция должна быть изменена так, чтобы потребление зависело от располагаемого дохода:
                                            С = C0 + C1 YD или С = C0 + C1(Y - T).
                                            Мы предполагаем, что включение G не изменяет инвестиционного спроса и его связи с Y и ставкой процента, так что инвестиционная функция остается той же. Мы лишь перепишем ее в следующем виде:
                                            1= I0 + I1 Y I2R.
                                            Теперь в уравнении с основным условием равновесия (Y = С + I + G) мы заменим члены С и Y на приведенные выражения для потребительского и инвестиционного спроса, а также добавим автономный уровень государственных расходов (G) к совокупному спросу и получим новое условие равновесия. Но замещения, ведущие к этому условию равновесия, мы покажем через последовательные шаги:
                                            Y = C0 + C1 YD + I0 + I1 Y - I2R + G.
                                            Затем, поскольку располагаемый доход равен (Y Т),
                                            Y = C0 + C1(Y T) + I0 + I1 Y - I2R + G.
                                            Теперь заменяем Т на налоговую функцию, так что результатом этих замещений является условие равновесия на товарных рынках:
                                            Y = C0 + C1 [Y - (T0 + T1 Y)] + I0 + I1 Y - I2R + G. (20.1)
                                            Это последнее уравнение может быть перестроено так, бы получился график комбинаций Y и ставки процента (R), для которых соблюдается условие равновесия на товарных рынках:

                                            ТЕМА 21. ДЕНЬГИ
                                            (20.2)
                                            Это сложное выражение, которое нелегко интерпретировать и не нужно запоминать. Мы можем применить его к гипотетическим величинам С, I, T, G:
                                            С = 80 + 0,7YD; I = 250 + 0,1Y - 10R; Т = 300 + 0,2Y.
                                            Допустим, что G = 1290; тогда условие равновесия на товарных рынках будет:
                                            Y = С + I + G =
                                            = 80 + 0,7YD + 250 + 0,1Y - 10R + 1290 =
                                            = 80 + 0,7 [Y- (300 + 0,2Y)] + 250 + 0,1Y- 10R + 1290.
                                            Приведение подобных дает:
                                            Y = (80 - 210 + 250 + 1290) + (0,56Y + 0,1Y) - 10R.
                                            Переводя член уравнения со ставкой процента R в левую сторону уравнения, а член уравнения с Y в правую сторону и разделив обе части уравнения на 10, получаем:
                                            R = 141 - 0,034Y.
                                            Если R = 5%, то
                                            0.034Y = 141 - 5 = 136,
                                            Y = 4000.
                                            Таким образом, при приведенных допущениях равновесный уровень Y = 4000.
                                            При заданной ставке процента, как мы видим, равновесный Y может быть определен из условия равновесия: если R известна, то известен и уровень Y, соответствующий этой точке.



                                            ТЕМА 22. БАНКОВСКАЯ СИСТЕМА


                                            Цель изучения темы состоит в том, чтобы узнать:
                                            • в чем состоят функции денег;
                                            • какими физическими свойствами должны обладать деньги;
                                            • что определяет ценность денег и альтернативную стоимость денег;
                                            • почему мы хотим держать часть денег на руках;
                                            • что такое денежная масса, спрос и предложение денег;
                                            • какую роль играют спрос и предложение денег в макроэкономических моделях.
                                            § 113. ФУНКЦИИ ДЕНЕГ Что общего между ракушками, пачкой табака, головой скота, бутылкой водки, фиксированным куском редкого металла? Все эти разнообразные предметы в разные времена служили деньгами.
                                            Что такое деньги?
                                            Деньги любой стандартный предмет, вещь, которые могут служить средством обмена. Без денег мы вынуждены были бы менять товары непосредственно на другие товары, т. е. осуществлять бартер, который возможен лишь при взаимном совпадении потребностей обоих меняющих. Деньги всегда гарантируют такое двойное совпадение. Люди продают деньги за блага, которые они хотят купить, и продают блага за деньги, когда они хотят что-нибудь продать.
                                            Деньги понижают трансакционные затраты. Постепенная эволюция денежного обмена последствия экономизирующего (рационального) поведения людей получение максимально возможного из ограниченных ресурсов.
                                            Деньги являются согласованной счетной единицей для установления цен на товары и услуги. Для того чтобы получить максимум полезного из нашего семейного бюджета, нужно осуществлять подсчеты. Это не подсчеты того, что мы, в конце концов, купим, а определение альтернативных затрат.
                                            То есть это не определение того, что выбранная нами вещь стоит, например, 100 р., а подсчеты того, что вместо этой вещи мы отказались от покупки вещи А или такого-то количества вещей В, значит, подсчеты альтернативных затрат упущенной выгоды (цены нашего выбора).
                                            Если счетной единицей будут сами блага, то с нами случится что-то вроде катастрофы. Представьте себе, что вы пришли в театр, а в кассе вам сообщили, что 1 билет стоит либо 1 кг сливочного масла, либо 1 кг сыра и т.д. Что делать?
                                            Ясно, что цена в денежных единицах единственное приемлемое для всех средство, чтобы купить или продать что-то вполне определенное.
                                            Деньги выполняют также функцию сохранения ценности (функцию сбережения). Не надо путать эту понятную функцию с все еще применяемой некоторыми российскими авторами категорией, которую они называют «деньги как мера стоимости». Само понятие стоимости вообще спорно. Вещь обладает ценностью (это единственно верный перевод примененного экономистами-классиками английского слова value) и ценой.
                                            Слово «стоимость» присуще лишь одной экономической школе, диктаторски доминировавшей в России в XX в. Мировую экономическую науку это понятие, по большому счету, вообще не интересует. Ее интересуют понятия ценности и цены.
                                            Деньги функционируют как средство сохранения, сбережения сокровища. Если бы они не действовали таким образом, их бы не принимали как средство обмена. Чем устойчивее деньги, тем лучше они действуют как средство сохранения ценности, сокровища.
                                            Однако чем сильнее инфляция, тем больше подрывается данная функция денег. При гиперинфляции эта функция полностью исчезает.
                                            § 114. КРАТКАЯ ИСТОРИЯ ДЕНЕГ Деньги появились очень давно. Первобытные племена уже использовали что-то вроде примитивных денег. Естественное стремление людей избавиться от сложностей получения благ через бартер неизбежно вело к появлению сначала некоторых принимаемых всеми товаров (вещей).
                                            В конце концов, наилучшую пригодность в этом плане показали золото и серебро. Они высоко ценились в силу их крайне ограниченного предложения и высокого спроса на них и поэтому обладали высокой и устойчивой ценой. Кроме того, они были легко делимы на небольшие единицы металла.
                                            Их стали постоянно использовать в торговых операциях. Затем на смену слиткам появились монеты. Они обладали твердым номиналом, поскольку содержали точные весовые характеристики.
                                            История знает сотни случаев, когда делались попытки уменьшить реальное золотое (или серебряное) содержание металлических денег. Поэтому долгое время в практике торговли сохранялось определение пробы и традиция взвешивания монет для определения реального веса содержащегося в них золота и серебра. Порча денег всегда вела к инфляции, ибо количество монет увеличивалось, но покупательная способность каждой из них понижалась.
                                            Наблюдения за такими событиями когда-то привели экономистов к выдвижению количественной теории денег и цен. Они полагали, что существует очевидная связь между средним уровнем цен и количеством денег в обращении, так что увеличение количества денег ведет к пропорциональному повышению уровня цен.
                                            Порча денег подтолкнула Томаса Грешэма советника Елизаветы Английской к формулированию известного закона Грешэма: «Плохие деньги выводят из строя хорошие деньги». Королеве Елизавете досталось тяжелое денежное наследство: практически весь национальный денежный запас был подпорчен. Елизавета начала выпуск новых золотых монет с полной номинальной стоимостью.
                                            Однако они почти сразу исчезли из обращения, что привело Грешэма к упомянутому выводу. Кстати, и в наше время из обращения исчезли монеты с содержанием серебра (например, серебряные монеты в 0,25 долл. в США).
                                            Вслед за монетами в денежном обращении появились бумажные деньги. Первые бумажные деньги были обязательством заплатить их предъявителю золотом, т. е. превратить, конвертировать бумажные деньги в золото. Работоспособность этих денег целиком зависела от доверия к тому, кто их конвертировал в золото. Это доверие резко возросло, когда такая функция перешла к крупным и надежным банкам, которые стали выпускать банкноты. В этих случаях бумажные деньги становились такими же «хорошими», как и золото.
                                            Сначала бумажные деньги обеспечивались золотом в пропорции 1:1. Затем резервное золото, предназначенное для его обмена по требованию на бумажные деньги, стало обеспечивать лишь часть выпущенных банкнот. «Лишние» банкноты стали инвестироваться в кредитные операции, приносящие доход. А резервное золото стало так называемым фракционным резервом, который обеспечивал не всю бумажную денежную массу, а лишь ее фракцию.
                                            Потребность в таком резерве в XIX начале XX в. подтверждалась многократными случаями банковской паники.
                                            Следующим этапом в эволюции денег был переход функции эмиссии (выпуска) денег к центральным банкам. При этом первоначально центральные банки обеспечивали полную конвертируемость банкнот в золото, что называлось системой золотого стандарта. Между двумя мировыми войнами ушла в историю эта система. В плане конвертируемости бумажных денег в золото ей на смену пришла система золотодевизного стандарта: в золото конвертировались лишь бумажные деньги, принадлежащие иностранцам или иностранным центральным банкам.
                                            Но гражданам своей страны пришлось проститься с конвертацией.
                                            Естественно, что деньги, не конвертируемые в золото, зависели от того, будут ли они приниматься по своему номиналу. Правительства вынуждены были пойти на то, чтобы гарантировать, что выпущенные в обращение бумажные деньги будут приниматься повсеместно. Так появились неразменные (на золото) бумажные деньги, каковыми на сегодняшний день является, по существу, вся национальная валюта во всех странах.
                                            Бумажные и металлические деньги сегодня ценятся по номиналу потому, что в соответствии с законами они всеми принимаются как законное платежное средство для покупки товаров и услуг и погашения долгов. Поэтому их часто называют декретными деньгами.
                                            К XX в., как мы уже знаем, повсеместно частные банки потеряли права на эмиссию бумажных денег. Эта функция перешла к центральным банкам. Но возник еще один вид денег, которые создают частные банки. Речь идет о депозитных деньгах частных долговых деньгах, которые являются займом банка у клиента и которые банк обязуется выплатить по первому требованию.
                                            Такой заем может быть использован как деньги в форме чекового депозита. Итак, клиент банка открывает депозит (вклад) и получает чековую книжку, которую фактически использует как средство платежа по своим долгам. Чеки сами по себе деньгами не являются. Деньгами являются чековые депозиты.
                                            Чек служит просто как письменное указание банку передать деньги от клиента его поставщику (подрядчику, продавцу и т.д.). Деньгами не являются и кредитные карточки. В западных странах при оплате покупки чеком покупателя часто просят предъявить чековую карточку разновидность кредитной карточки, которая служит для сверки подписи и номера счета, т. е. является документом, удостоверяющим личность и кредитоспособность покупателя. Как и чековая карточка, кредитная карточка тоже удостоверяет личность.
                                            Но вместе с тем кредитная карточка дает возможность покупателю как бы занять деньги на покупку под обещание оплатить ее несколько позднее.
                                            В течение более чем столетия депозиты четко делились на срочные депозиты и депозиты до востребования. Депозит до востребования счет в коммерческом банке в целях осуществления операций (покупок, сделок) с использованием банковских денег. Только этот вид депозитов конвертировался чеки, «очекивался».
                                            Депозит до востребования практически не приносил дохода своему владельцу.



                                            ТЕМА 23. ДЕНЕЖНО-КРЕДИТНАЯ ПОЛИТИКА


                                            Цель изучения темы состоит в том, чтобы узнать:
                                            • в чем состоят функции коммерческих банков;
                                            • каковы основные функции Центрального банка;
                                            • что такое банковские резервы и как они влияют на способность банков делать деньги;
                                            • что такое мультипликатор депозитного расширения;
                                            • какое значение имеет устойчивая система финансовых платежей.
                                            Коммерческий банк принадлежит к довольно многочисленному семейству финансовых посредников, являясь в нем исторически и функционально чем-то вроде старшего брата. Финансовый посредник фирма, которая занимает деньги у домашних хозяйств (владельцев факторных ресурсов) и фирм и дает взаймы другим домашним хозяйствам и фирмам. Среди множества видов финансовых посредников (банки, ссудо-сберегательные кассы и ассоциации, кредитные союзы и т.д.) особое место всегда занимали банки.
                                            § 118. КОММЕРЧЕСКИЕ БАНКИ Коммерческий банк финансовая институция, которая на законном основании принимает вклады (депозиты) и выдает коммерческие займы. Современные коммерческие банки можно объединить в две системы. Одна из них включает незначительное число банков, имеющих множество отделений по всей стране.
                                            В другую входит огромное число независимых банков. В Канаде и Англии действует первая система (в СССР также действовала система из нескольких государственных банков), в США и России вторая. Коммерческий банк частное, стремящееся к получению прибыли учреждение. Все коммерческие банки занимаются одним и тем же делом: держат депозиты своих клиентов, переводят деньги своих клиентов в другие банки, дают кредиты физическим и юридическим лицам, инвестируют в государственные ценные бумаги.
                                            В отличие от банков другие финансовые институты выполняли какую-либо одну задачу, например принимали только срочные депозиты и предоставляли кредиты под строго определенные цели.
                                            Все коммерческие банки так или иначе имеют между собой связи, сотрудничают. Это сотрудничество поощряется законодательно, чтобы обеспечить стабильную деятельность денежных и кредитных рынков. Банки часто дают совместные кредиты, если потребности заемщика слишком велики для одного банка (например, когда заемщиком является крупная корпорация).
                                            Еще один пример межбанковского сотрудничества функционирование кредитных карточек, каждая из которых часто задействована значительной группой банков. Наиболее распространенной формой межбанковского сотрудничества являются чековые взаиморасчеты и чековая инкассация. Банковские деньги действуют как средство обмена только потому, что банки принимают чеки друг у друга.
                                            Любой из банков (как, впрочем, и любая фирма) имеет баланс бухгалтерский инструмент, который суммирует финансовые позиции банка в данный момент времени, используя технику Т-счета, позволяющую сравнивать общие обязательства (пассивы) и активы банка. Пассивы обязательства банка. Активы собственность банка.
                                            Разницу между активами и пассивами называют собственным капиталом. На одной стороне баланса находятся активы, т. е. оцениваемое имущество или права, которые являются собственностью банка, а на другой стороне пассивы, т. е. деньги или обязательства, которые банк должен, плюс собственный капитал (чистая ценность банка). Активы забалансированы пассивами плюс собственный капитал:
                                            общие активы = общие пассивы + собственный капитал.
                                            Активы у фирмы могут включать наличность, запасы, оборудование, здания, а пассивы текущие обязательства (счета кредиторов и векселя к оплате) и долгосрочные обязательства. Почти все статьи баланса оцениваются по трансакционной ценности или по фактическим затратам. Земля, здания, оборудование входят в баланс по их покупной цене.
                                            Собственный капитал относят к пассивам, так как он представляет собой акционерный капитал. Если общие активы банка снижаются на величину X, а пассивы при этом остаются неизменными, то это означает, что собственный капитал тоже снизился на величину X. Поскольку собственный капитал равен активам минус пассивы, а балансовый отчет должен балансироваться, то при изменении активов и неизменной величине пассивов немедленно меняется значение собственного капитала. Уравнение баланса (или балансовый отчет) фактически является тождеством, которое, по определению, всегда должно сообщаться.
                                            Банки и другие финансовые посредники существуют для того, чтобы зарабатывать прибыль на разнице между процентными ставками, которые они платят по депозитам, и процентными ставками, под которые они дают взаймы. Почему же возникает эта разница? Она возникает как следствие того, что банки оказывают клиентам услуги, которые необходимо оплачивать.
                                            Допустим, что финансовых посредников не существует. Тогда найти кого-нибудь, чтобы занять у него денег, становится проблемой. Проблемой становится и желание собственника каких-либо, пусть небольших, сбережений куда-то их пристроить, чтобы они зарабатывали деньги.
                                            Толпы россиян, метавшихся между конторами «МММ» или «Властилины» именно с этой целью, показывают нам подлинные размеры данной проблемы. Банки и другие финансовые посредники минимизируют наши затраты на получение кредита, позволяют нашим деньгам работать на нас с целью зарабатывания денег.
                                            Предоставление кредита чрезвычайно рискованный бизнес. Ведь банки принимают вклады людей, т. е. фактически берут взаймы, для того чтобы затем самим давать взаймы, что делает этот бизнес еще более рискованным. Всегда существует опасность того, что взявший взаймы не вернет долг. В долг обычно берут инвесторы в надежде (а не в уверенности), что их инвестиционный проект окажется прибыльным.
                                            Но весьма часто, например, в России эта надежда не оправдывается. Вкладчик в банке вообще лишен какой-либо физической возможности контролировать использование кредита, выданного банком. Мониторинг кредитов (и то далеко не всегда) осуществляет сам банк или иной финансовый посредник.
                                            Снять риск в банковском деле невозможно, но снизить можно, дифференцировав банковскую деятельность. Не случайно пословица «Не складывай все яйца в одну корзину» родилась среди банкиров. Когда кредитуешь многих, то банкротство одного заемщика не может привести к катастрофе банка.
                                            Когда все кредиты даны одному заемщику, то его риск становится риском банка. А фактически происходит следующее: клиенты делают вклады в банк для того, чтобы их деньги были даны кому-то взаймы и принесли процент. При этом клиенты собственники этих денег ничем не рискуют. Риск аккумулирует банк, финансовый посредник.
                                            Когда мы говорим, что клиенты ничем не рискуют, это не означает, что в случае разорения коммерческого банка их вклад не подвергнется угрозе. Это может случиться, но это зависит от системы финансового законодательства. В развитых странах власти обычно депозиты страхуют до определенной суммы (в США, например, до 100 тыс. долл.).
                                            Наконец, банки и другие финансовые посредники создают ликвидные средства, т. е. деньги. Клиенты делают вклады в банк и через банк дают их взаймы на определенные периоды времени. Благодаря банку депозит клиента рассматривается (если он так или иначе превращается в чеки, т.е., применяя российский сленг, обналичивается) как банковские деньги и входит в показатель Sm (денежная масса). По существу, финансовые посредники, занимая на краткосрочные периоды и давая взаймы на долгосрочные, создают денежную массу, предоставляя инвесторам достаточно надежные ликвидные средства в кредит.
                                            Ипотечные займы (под строительство жилья) даются во многих странах на 25-30 лет.
                                            Чрезвычайно важным обстоятельством для жизнеспособности банков является фактор доверия. Из фильмов, художественной литературы, рассказов очевидцев мы знаем, что персонал банков повсеместно в мире весьма консервативен во всем в отношении политических предпочтений, одежды, семейных отношений и т.д. Экономическое обоснование такого консерватизма легко объяснимо. Ведь чековые депозиты ничем не отличаются от декретных денег. Но за декретными деньгами стоит власть, за ней закон.
                                            А за чековыми депозитами обещание, слово банка конвертировать в любой момент депозит в наличность. Если публика теряет доверие к банку, этот банк обречен на гибель. Банки всегда стремились завоевать репутацию весьма осмотрительных, осторожных в принятии решений учреждений. Во-первых, они всегда держат значительные резервы (о которых речь пойдет ниже).
                                            Во-вторых, они крайне осторожны в выдаче кредитов и инвестировании, так как потеря любого кредита, так или иначе, подрывает их репутацию в умении вести дела. А ведь банковская прибыль максимизируется при поддержании минимально низких резервов. Умение банковского менеджера как раз и состоит в умении балансировать между двумя антиподами прибылью и экономической безопасностью.
                                            § 119. КАК БАНКИ ДЕЛАЮТ ДЕНЬГИ Деньги создаются банками и другими финансовыми посредниками, чьи депозиты обращаются в финансовом хозяйстве страны как средство обмена. Отдельный банк создает деньги, но деньги создаются, тем не менее, как результат деятельности всех коммерческих банков и других финансовых посредников, действующих в рамках системы так называемых фракционных резервов.
                                            Система фракционных резервов система, когда банки используют в качестве резервов лишь часть своих ресурсов, которые они держат на депозитах.



                                            ТЕМА 24. ИНФЛЯЦИЯ


                                            Цель изучения темы состоит в том, чтобы узнать:
                                            • в чем состоит денежно-кредитная политика;
                                            • какие инструменты используют центральные банки для контроля за предложением денег (денежной массой);
                                            • о кратковременных и долговременных возможностях контроля за денежной массой;
                                            • о воздействии центральных банков на равновесный объем предложения денег и на равновесный уровень ставки процента;
                                            • о воздействии центральных банков на инвестиционный процесс;
                                            • как действует денежная политика в рамках кейнсианской модели.
                                            Прежде всего, нам полезно научиться различать понятия «деньги» и «доход», которые в обыденном, повседневном понимании часто отождествляются. Деньги понятие сверхкраткосрочное, относимое к данной минуте. Сейчас (сию минуту) ваше денежное богатство, например, составляет 100 р. (1 тыс., 10 тыс. и т.д.). Говоря о доходе, мы всякий раз упоминаем какой-то отрезок времени: 1 тыс. р. в месяц, 20 тыс. р. в год. Годовой доход одного среднего человека может составлять 10 тыс. р., а деньги, которыми он в данную минуту располагает, обычно представляют значительно меньшую сумму.
                                            Так и национальный доход составляет, например, 2000 млрд р., а на руках у населения (включая депозиты, т. е. M1) вряд ли будет одна десятая от этой суммы. Будучи различными понятиями, деньги и доход, тем не менее, тесно связаны, что мы и узнаем (среди прочего) в данной теме.
                                            § 121. ОПЕРАЦИИ НА ОТКРЫТОМ РЫНКЕ В странах с развитой финансовой системой и развитыми финансовыми рынками операции на открытом рынке являются главным инструментом манипуляций и контроля за денежной массой. Эти операции просто купля-продажа на открытом рынке государственных ценных бумаг.
                                            Суть этих операций сводится к увеличению или снижению избыточных резервов, имеющихся в банковской системе (в системе коммерческих финансовых институтов).
                                            Допустим, Центральный банк решил, что объем денежной массы слишком мал. Тогда он может начать расширительную политику в отношении операций с государственными ценными бумагами на открытом рынке. С этой целью Центральный банк начинает скупать государственные ценные бумаги у населения и бизнеса. Предположим, что Центральный банк покупает ценную бумагу в 10 тыс. р. Что происходит при этом с балансами физических лиц, коммерческих банков (и других финансовых институтов) и ЦБ? Когда физическое лицо (индивид) продает ЦБ ценную бумагу в 10 тыс. р., то ЦБ приобретает актив в 10 тыс. р. и пассив (обязательства) в форме чека, который он выпускает для передачи продавцу физическому лицу.
                                            Активы всех физических лиц при этом тоже будут затронуты, сократившись на 10 тыс. р. и оказавшись замененными на дополнительные 10 тыс. р. в депозитах до востребования (полученный ЦБ чек индивид вкладывает в коммерческий банк). Это изменение происходит на стороне активов.
                                            Затронутым окажется и баланс коммерческих банков. Банковский счет физического лица будет кредитован на депозит до востребования в 10 тыс. р. (это пассив, обязательства коммерческого банка), а чек будет направлен в отделение ЦБ для инкассации. Резервный счет коммерческого банка будет кредитован на 10 тыс. р., которые появятся как в активах на балансе банка, так и в пассивах на балансе ЦБ.
                                            Теперь 10 тыс. р. в форме депозита до востребования на балансе коммерческого банка забалансированы активом в форме дополнительных резервов в 10 тыс. р. В то время как в балансе ЦБ рост стоимости ценных бумаг на 10 тыс. р. является активом, этот рост забалансирован увеличением на 10 тыс. р. резервного счета коммерческого банка.
                                            Таким образом, вся банковская система увеличила резервы на 10 тыс. р. благодаря покупке ЦБ одной ценной бумаги на 10 тыс. р. Из предыдущей темы мы знаем, что должно произойти, когда банковские резервы увеличиваются. Мотив получения банковской прибыли толкает банки выдать ссуды, начав экспансию банковских ссуд и депозитов до востребования. При норме обязательных резервов, равной, например, 12%, коммерческий банк 1,2 тыс. р. должен будет направить в обязательные резервы.
                                            А 8,8 тыс. р. являются избыточными резервами, которые должны быть использованы для дополнительных кредитных операций банка. Мультипликатор депозитного расширения составит
                                            ТЕМА 24. ИНФЛЯЦИЯ
                                            . Следовательно, в результате покупки одной ценной бумаги в 10 тыс. р. во всей банковской системе произойдет увеличение депозитов на 83,33 тыс. р., т.е. произойдет увеличение денежной массы на 83,3 тыс. р.
                                            Прямо противоположная схема применяется в ситуациях, когда ЦБ считает, что необходимо снизить денежную массу, осуществляя политику депозитного сжатия. Тогда ЦБ начинает продавать государственные ценные бумаги, что приводит в действие мультипликатор депозитного сжатия (в нашем случае он будет равен -8,333).
                                            Таким образом, операции на открытом рынке могут быть мощным средством контроля за денежной массой. Сравнительно небольшие изменения в объеме принадлежащих ЦБ государственных ценных бумаг мультиплицированно воздействуют на величину избыточных резервов всей банковской системы. В обычной практике западных стран операции на открытом рынке не осуществляются таким образом, чтобы создать драматические изменения величины резервов. Они проводятся на основе повседневных действий и подстраиваются под текущие требования денежной политики. Постоянно растущий объем национальной экономической деятельности требует постоянного увеличения денежной массы для того, чтобы поддерживать устойчивый уровень цен.
                                            Как правило, осуществление ограничительной денежной политики означает, что ЦБ увеличивает денежную массу более медленным темпом, чем растет номинальный ВНП, а проведение расширительной денежной политики означает, что ЦБ увеличивает денежную массу более быстрым темпом, чем растет номинальный ВНП.
                                            Когда ЦБ увеличивает продажи ценных бумаг на открытом рынке, это ведет к понижательному давлению на цены этих активов. Снижающиеся цены гособлигаций прямо транслируются в растущие ставки процента. Почему так происходит?
                                            По государственным ценным бумагам платят фиксированный доход (процент). Если за облигацию в 10 тыс. р. платят 1 тыс. р. в год, то ставка процента по этому виду ценных бумаг составляет 10%. Если же цена такой облигации падает до 9 тыс. р., то ставка процента за нее вырастает до 11,1%.
                                            Соответственно покупка государственных ценных бумаг Центральным банком не только увеличивает денежную массу, но также увеличивает их цены и понижает процентные ставки на них.
                                            § 122. МАНИПУЛИРОВАНИЕ НОРМОЙ ОБЯЗАТЕЛЬНЫХ РЕЗЕРВОВ Изменение нормы обязательных резервов непосредственно сразу воздействует на объем денежной массы. Допустим, активы банка А включают 20 млн р. обязательных резервов 100 млн р. кредитных ресурсов, которые банк ссудил клиентам.
                                            Одновременно его пассивы (обязательства) включают 100 млн р. депозитов и 20 млн р. собственного капитала. Активы и пассивы, таким образом, выравнены, и избыточных резервов нет. Если норма резервов равна 20% и банк А не хочет держать в резервах против депозитов больше этих 20%, то величина его резервов должна составлять 20 млн р.
                                            А теперь предположим, что ЦБ принял решение об увеличении объема денежной массы. Одним из инструментов достижения этой цели могло бы быть снижение нормы обязательных резервов, например, до 15%. Сама эта акция никак не затронет баланс банка А, но, поскольку теперь его обязательные резервы должны составлять не 20, а 15 млн р., банк А высвобождает 5 млн р. как избыточные резервы. Это будет равносильно тому, что в банке А появился новый вкладчик с депозитом в 5 млн р.: теперь у банка есть 5 млн р. для выдачи ссуд, что он и сделает. После выдачи ссуд на 5 млн р. баланс банка А чуть-чуть изменится в отношении активов.
                                            Его активы сократятся на 5 млн р. по статье «обязательные резервы» и увеличатся на 5 млн р. по статье «выданные ссуды». Общая сумма активов останется неизменной, а пассивы вообще не будут затронуты.
                                            Но теперь в действие придет мультипликатор депозитного расширения, который увеличит 5 млн р. в
                                            ТЕМА 24. ИНФЛЯЦИЯ
                                            раза, т. е. в 6,666 раза (конечно, при условии, что вся цепочка участвующих банков будет придерживаться 15%-ной нормы обязательных резервов, а все избыточные резервы будут использованы для ссуд). Соответственно для сжатия денежной массы ЦБ должен увеличить норму обязательных резервов, что перераспределит структуру активов банка А, переведя часть резервов в обязательные и сократив тем самым кредитные ресурсы банка.
                                            Однако описанный выше инструмент регулирования денежной массы не является чем-то обычным и часто применяемым. В США, например, после прихода администрации Ф. Рузвельта власти установили стартовые и другие нормы обязательного резервирования, которые затем подверглись модификации лишь спустя несколько десятилетий. Редкое обращение властей к данному инструменту объясняется тем, что последствия его применения могут быть весьма драматичными.
                                            Для небольших банков в США норма резервов составляет 3%, следовательно, мультипликатор депозитного расширения равен 33,3.
                                            § 123. ДИСКОНТНАЯ СТАВКА Мы уже знаем, что одна из функций ЦБ предоставление займов коммерческим банкам, когда они испытывают острый дефицит резервов или когда начинается банковская паника.



                                            ТЕМА 25. КОНКУРЕНТНЫЙ ВЫБОР МЕЖДУ ИНФЛЯЦИЕЙ И БЕЗРАБОТИЦЕЙ


                                            Цель изучения темы состоит в том, чтобы узнать:
                                            • что такое временная и стойкая инфляция;
                                            • как денежно-кредитная система приспосабливается к шоку предложения;
                                            • что такое инфляция спроса и инфляция предложения;
                                            • что представляет собой ожидаемая и неожидаемая инфляция;
                                            • что такое процесс акселерации;
                                            • в чем состоят меры по преодолению инфляции.
                                            Экономисты называют инфляционным шоком любое событие, которое сдвинуло вверх ценовой уровень. Инфляционные шоки имеют множество причин и последствий. В свою очередь, изменение ценового уровня может быть разовым, а может быть стойким. Среди экономистов есть те, кто считает, что термин «инфляция» относится к стойкому увеличению ценового уровня, а разовый подъем они так и называют «подъем ценового уровня».
                                            Однако большинство экономистов считают любой из этих вариантов инфляцией, но одновременно готовы различать разовую и стойкую инфляцию как более узкие определения, которые следует относить к соответствующим конкретным случаям.
                                            § 128. ИНФЛЯЦИЯ ПРЕДЛОЖЕНИЯ Ее источником являются, как правило, шоки предложения. Наиболее часто употребляемым примером такого шока справедливо считают неожиданное четырехкратное повышение мировых цен на нефть в декабре 1973 г. арабскими странами экспортерами нефти.
                                            Но гораздо чаще шок предложения вызывался повторяющимся подъемом затрат на рабочую силу. Последнее ведет обычно не только к росту ценового уровня, но и к снижению совокупного производства. На 24-1 эта ситуация показана как сдвиг влево и вверх кривой SRAS1 на место SRAS2.
                                            Если шок предложения является разовым, то это может вызвать (а может и не вызвать) приспособительный ответ со стороны денежной массы.
                                            Допустим, что сдвиг SRAS1 на SRAS2 следствие подъема цены трудового фактора. Сдвиг E1 на E2 означает рецессионный разрыв ситуацию, которая давит на факторные затраты, принуждая их понизиться. Вслед за инфляцией происходит дефляция, и кривая SRAS2 возвращается на SRAS2.
                                            В реальной жизни, однако, чаще происходит другое меняется величина предложения денег (Sm).

                                            ТЕМА 25. КОНКУРЕНТНЫЙ ВЫБОР МЕЖДУ ИНФЛЯЦИЕЙ И БЕЗРАБОТИЦЕЙ

                                            24-1
                                            Sm увеличивается, с тем чтобы обеспечить рост затрат и ценового уровня и тем самым вызвать сдвиг кривой AD1 на AD2. Результатом этого сдвига становится восстановление долгосрочного равновесия в точке Е3, но при этом происходит дальнейшее повышение ценового уровня. Конечно, это не доставляет радости ни властям, ни населению.
                                            Однако альтернатива, описанная перед этим (дефляция и возврат к точке E1), может быть достигнута не ценой обычной рецессии, а ценой депрессии, т. е. тяжелого и продолжительного спада.
                                            Теперь допустим, что вместо разового шока предложения экономика сталкивается с последовательной серией шоков. Наиболее частым примером такой ситуации являются действия профсоюзов, способных последовательно добиваться роста зарплаты не только в условиях роста спроса, но даже в условиях роста предложения на рынке труда. Эта ситуация была типичной в западных странах, особенно в 70-е гг.
                                            24-2 может быть отнесен и к случаю с повышающимся шоком предложения регулярными подъемами трудовых затрат (заработной платы). Если Sm не приспосабливается к этим шокам, то спад и резкое увеличение предложения на рынке труда неизбежно приведут к дефляционному эффекту либо к сильному ограничению в дальнейших попытках поднимать заработную плату.
                                            Иное дело, если Sm будет приспосабливаться к шоку предложения. Рис 24-2 показывает эту ситуацию, когда вследствие роста Sm кривая АD1 сдвинулась на AD2. Долгосрочное равновесие в точке E1 нарушилось, и вследствие шока предложения возникло краткосрочное равновесие в точке Е2. Приспособительное движение Sm восстановило долгосрочное равновесие в точке Е3, но уже с более высоким уровнем цен Р3. Следующий шок предложения вновь нарушил долгосрочное равновесие, точка нового краткосрочного равновесия переместилась на Е4 с дальнейшим ростом ценового уровня.
                                            А новое приспособленное изменение Sm восстановило долгосрочное равновесие в точке Е5, но опять на более высоком уровне цен. Возник процесс ратификации превращения инфляции предложения в постоянную вследствие расширительной

                                            ТЕМА 25. КОНКУРЕНТНЫЙ ВЫБОР МЕЖДУ ИНФЛЯЦИЕЙ И БЕЗРАБОТИЦЕЙ

                                            24-2
                                            денежно-кредитной политики в ответ на спад, вызываемый шоком предложения. В случае, когда серия таких шоков связана с ростом заработной платы, этот процесс называют спиралью заработной платы и цен.
                                            Остановить эту спираль можно, лишь прекратив расширительную реакцию Sm на шоки предложения. Устойчивая расширительная реакция Sm создает у публики еще более устойчивые ожидания такой реакции и постоянного роста ценового уровня. Все группы общества (домашние хозяйства, фирмы, власти) закладывают в свои планы эти ожидания и тем самым раскручивают спираль затраты/цены.
                                            Однако остановка расширительной реакции Sm реальная угроза жесткого рецессионного разрыва.
                                            § 129. ИНФЛЯЦИЯ СПРОСА Сдвиг кривой AD вправо и вверх ведет к подъему уровня цен. Одновременно растет и уровень реального ВНП.
                                            Существуют две основные причины для этого сдвига.

                                            ТЕМА 25. КОНКУРЕНТНЫЙ ВЫБОР МЕЖДУ ИНФЛЯЦИЕЙ И БЕЗРАБОТИЦЕЙ

                                            24-3
                                            Первая увеличение автономных расходов какой-либо части совокупных расходов. Вторая увеличение Sm, передающееся через трансмиссионный механизм на изменение в совокупном спросе. В случае, если денежная политика остается неизменной, после сдвига вправо кривой AD рост зарплаты и других факторных затрат приведет к сдвигу влево кривой SRAS вдоль новой кривой AD.
                                            В результате долгосрочное равновесие восстановится, но на более высоком ценовом уровне. Инфляционный разрыв исчезнет, а совокупная продукция вернется к уровню потенциала. «Двухшаговый» инфляционный рост остановится лишь в точке нового долгосрочного равновесия.
                                            Однако если сдвиг кривой AD спровоцирует власти на денежно-кредитные приспособительные меры (увеличение Sm в тот момент, когда кривая SRAS стала сдвигаться влево), то это, как и в описанном выше случае с шоком предложения, приведет к ратификационному процессу. Иными словами, расширительная денежно-кредитная политика может превратить временную инфляцию в стойкую. 24-3 показывает этот процесс.
                                            Избыточный совокупный спрос сдвигает равновесие в точку Е2 из которой автоматическое приспособление уводит экономику в точку Е3 при одновременном снижении совокупного производства и росте ценового уровня. Этот процесс устойчиво повторяется, превращаясь в стагфляцию инфляцию, которая сопровождается застоем или рецессией. Стагфляция станет продолжаться до тех пор, пока инфляционный разрыв не будет полностью преодолен. Очевидным примером такой инфляции была стагфляция 19881990 гг. в США.
                                            Ценовой уровень повышался возрастающим темпом, рост ВНП замедлялся, но занятость оставалась на уровне, который многие экономисты рассматривали как находящийся ниже уровня естественной нормы.
                                            Однако стагфляция может возникнуть не только после инфляционного сдвига кривой AD. Сдвиг влево кривой SRAS вследствие шока предложения на мировом нефтяном рынке в 19731974 гг. привел к аналогичным последствиям: для того чтобы снизить AD до нового уровня AS, цены должны были подняться. А в итоге одновременно наблюдались рост ценового уровня и снижение ВНП при увеличении безработицы выше естественной нормы.
                                            Таким образом, все, что сдвигает кривую AD вправо, ведет к инфляционному разрыву и росту ценового уровня. К числу таких событий можно отнести автономный подъем государственных расходов и инвестиций, увеличение Sm или падение Md (спроса на деньги).
                                            § 130. ПРОБЛЕМЫ СТОЙКОЙ ИНФЛЯЦИИ Экономическая история знает много случаев стойкой инфляции. Они наблюдались и в прошлом, и в нынешнем столетии.
                                            Но встречались и весьма длительные периоды ценовой стабильности и даже дефляции. Однако после второй мировой войны практически повсеместно отмечен постоянный рост ценового уровня. При этом период 19671982 гг. принес много неприятностей экономистам, войдя в историю как Великая инфляция, в ходе которой доминировал тип галопирующей инфляции. И хотя после 1982 г. повсеместно установился умеренный темп инфляции, он тем не менее был существенно выше темпов повышения ценового уровня в 50-е или первой половине 60-х гг.
                                            Но даже умеренный темп инфляции вызывает массу проблем для населения, особенно для тех его доходов и видов богатства, денежное выражение которых фиксировано.
                                            Мы уже отметили, что наиболее частой причиной повышения затрат на единицу продукции является рост заработной платы (ставки зарплаты). Такой рост вынуждает кривую SRAS сдвинуться влево. Однако рост заработной платы не всегда ведет к увеличению затрат на единицу продукции.
                                            Если заработная плата растет на 2%, а производительность труда на 4%, то затраты снижаются, так как каждая единица труда стоит теперь на 2% больше, но зато она и производит больше на 4%. Но если зарплата растет на 2%, а производительность труда на 1%, то ситуация меняется. Теперь затраты на единицу продукции растут.
                                            Сам по себе рост заработной платы зависит от нескольких факторов (помимо политики профсоюзов). Одним из них является увеличение или снижение спроса на труд, что ведет к давлению на ставки заработной платы, которые могут начать опережать рост производительности труда или отставать от него. Этот фактор связан с понятием NAIRU (аббревиатура английского выражения поп accelarating inflationary rate of unemployment неускоряющаяся инфляционная норма безработицы).



                                            ТЕМА 26. ЭКОНОМИЧЕСКИЙ РОСТ


                                            Цель изучения темы состоит в том, чтобы узнать:
                                            • когда и как возникает конкурентный выбор между инфляцией и безработицей;
                                            • почему в долгосрочном периоде любой темп инфляции совместим с полной занятостью;
                                            • какие факторы воздействуют на длительность поисков рабочего места и как они влияют на фактическую норму безработицы;
                                            • о тех мерах, которые правительство может предпринять для того, чтобы решить проблемы безработицы;
                                            • что такое краткосрочная и долгосрочная кривая Филлипса.
                                            Инфляция и безработица подлинная головная боль политиков и экономистов на протяжении большей части XX в. Взаимосвязь этих двух важнейших макроэкономических явлений одно из наиболее интригующих отношений, которые пыталась раскрыть экономическая наука. К началу 60-х гг. нашего столетия эта взаимосвязь была раскрыта. Мы уже знаем, что есть, по крайней мере, две макроэкономические ситуации, образующие инфляцию, рост совокупного спроса со сдвигом кривой AD вправо (инфляция спроса) и снижение совокупного предложения со сдвигом кривой SRAS влево (инфляция предложения, или стагфляция).
                                            Центральное различие между этими двумя ситуациями состоит в том, что при инфляции спроса реальный ВНП поднимается, а при инфляции предложения реальный ВНП падает. В реальном мире ни уровень цен, ни уровень Уд не остаются константами, они в нормальных условиях постоянно растут от года к году. То есть в обычном режиме вправо ежегодно сдвигаются и кривая AD, и кривая SRAS.
                                            Совокупное предложение увеличивается потому, что в экономике увеличиваются численность рабочей силы, объем применяемого физического капитала, повышается уровень технологий. Совокупный спрос растет потому, что растущее по численности население увеличивает закупки потребительских благ, правительство увеличивает свои расходы на товары и услуги, усиливается инвестиционный спрос. Центральные банки повышают величину денежной массы.
                                            При любом данном темпе роста совокупного предложения более быстрый рост AD ведет к большей инфляции и более быстрому росту реального ВНП. 25-1 отчетливо показывает эту разницу между частями а и б. Верно и то, что при любом данном темпе роста совокупного предложения более медленный рост AD ведет к меньшей инфляции и более медленному росту реального ВНП. Совместив эти два утверждения, мы можем на их основе сделать прогноз о том, что если колебания в ежегодном темпе роста экономики вызваны главным образом изменениями темпа, которым растет AD, то статистические данные должны показать, что более быстро инфляция будет повышаться, когда совокупное производство увеличивается быстрее, и инфляция будет расти медленнее, если совокупное производство увеличиваться медленнее.
                                            В то же время более быстрый рост совокупного производства означает больший рост числа рабочих мест, следовательно, более низкий уровень безработицы. И наоборот, более медленный рост реального совокупного производства означает медленное увеличение числа рабочих

                                            ТЕМА 26. ЭКОНОМИЧЕСКИЙ РОСТ

                                            25-1
                                            мест, а следовательно, повышение уровня безработицы. Таким образом, если инфляция происходит вследствие роста AD, то уровень безработицы должен быть ниже, когда инфляция высока, и инфляция будет ниже, когда высока безработица. Эта простая формула открывает нам некоторую важную взаимосвязь между инфляцией и безработицей.
                                            § 133. КРИВАЯ ФИЛЛИПСА Наших знаний уже достаточно, чтобы обнаружить, что совокупный спрос колеблется значительно чаще и глубже, чем совокупное предложение. Это происходит потому, что факторы, воздействующие на AD, многочисленны и изменчивы, в то время как факторы, воздействующие на совокупное предложение, немногочисленны (уровень технологии, факторные затраты, регулирование отраслевых рынков) и изменяются существенно медленнее. Отсюда и возникло такое явление, как более частое изменение реального ВНП и ценового уровня под воздействием изменений совокупного спроса, чем под воздействием изменений совокупного предложения.
                                            Комбинируя это наблюдение с базовой макромоделью, мы можем обнаружить совершенно однозначную взаимосвязь между инфляцией и безработицей.
                                            На 25-2, а первоначальное равновесие находится в точке А. Затем мы наблюдаем ряд последовательных изменений совокупного спроса и сдвигов кривой AD при неизменности кривой совокупного предложения SRAS. Чем больше растет AD, тем большим становится реальный ВНП (1100, 1200, 1300, 1600 млрд р.). Вводя допущение о том, что потенциальный ВНП фиксирован, мы видим, что более высокий реальный ВНП означает более низкую норму безработицы.
                                            На 25-2, а внизу добавлена ординальная шкала, показывающая снижение нормы безработицы по мере роста реального ВНП в базовой модели. Точка А соответствует 10% безработицы, точка В (1200) 8%, точка С (1300) 6%, точка D (1600) 3%. Точки А, В, С, D соответствуют повышающимся ценовым уровням, значения которых перенесены на 25-2, б, где показаны взаимосвязь темпа инфляции и нормы безработицы. Там же отражены значения нормы безработицы и проставлены обозначения тех же точек А, В, С, D, позволившие получить кривую конкурентного выбора (PC) между инфляцией и безработицей.
                                            Чем выше инфляция, тем ниже норма безработицы, и наоборот таков вывод из 25-2, б. Обозначение PC означает Phillipsecurve кривая Филлипса.
                                            Кривая Филлипса графическое представление конкурентного выбора инфляциябезработица, создаваемого колебаниями совокупного спроса вдоль фиксированной кривой краткосрочного совокупного предложения. Она названа так по имени Олбака Филлипса работавшего в Англии и Австралии новозеландского экономиста, впервые обнаружившего указанный конкурентный выбор. Используя опубликованные данные исторической статистики безработицы в Англии за 18611957 гг., он попытался обнаружить простую взаимосвязь между темпом изменения ставок зарплаты и безработицы как нелинейную долгосрочную взаимосвязь со сложным краткосрочным запаздывающим ответом. Вслед за

                                            ТЕМА 26. ЭКОНОМИЧЕСКИЙ РОСТ

                                            Филлипсом экономисты многих других стран применили кривую Филлипса к аналогичным данным и получили ту же обратную взаимосвязь двух явлений.
                                            Обнаружение кривой Филлипса в 50-е гг. не было случайным. К этому времени синтез кейнсианского вклада в монетарную теорию вместе с более ранними идеями А. Маршалла, И. Фишера и К. Викселя был воспринят повсеместно консенсусом. При данном объеме денежной массы существует уровень номинальных цен, который, в определенном смысле, является равновесным ценовым уровнем, или, обобщая, равновесной траекторией ценового уровня. При данном ценовом уровне следующего периода текущий равновесный ценовой уровень достаточно высок, чтобы сократить реальную ценность денежных остатков у населения в этот период до величины спроса, определяемой при соответствующей номинальной ставке процента (которая является понижающейся функцией ценового уровня этого периода), и уровня ВНП.
                                            Если население ожидает, что общий уровень цен и номинальная зарплата станут выше, а мы предполагаем, что фактический уровень цен равен этому ожидаемому уровню, то мы столкнемся с разочаровывающим результатом неожиданным сокращением покупок. Вероятно, затем зарплата и цены будут перестраиваться, достигая равновесия, из которого станет выстраиваться и равновесный уровень занятости. Однако этот процесс не так очевиден, как хотелось бы экономистам, отвечающим за макроэкономические прогнозы.
                                            Открытие Филлипса создало атмосферу преждевременного энтузиазма. Его уверенность, что существует стабильная, т. е. долгосрочная, взаимосвязь между темпами инфляции и нормами безработицы, передалась многим экономистам. Возникло почти всеобщее представление, что эта стабильная взаимосвязь дает правительствам «меню» множество комбинаций инфляции и безработицы, из которых политики могут выбирать необходимые комбинации.
                                            Выбирая темп роста совокупного спроса, политики могут получить желаемый уровень безработицы с соответствующим ему темпом ожидаемой инфляции. Но в конце 60-х гг. с кривой Филлипса что-то случилось. Какой бы конкурентный выбор между инфляцией и безработицей ни существовал в краткосрочный период, он не наблюдался в долгосрочном периоде.
                                            Сегодня все экономисты знают, что вместо «меню» с различными долгосрочными комбинациями кривая Филлипса фактически представляет собой кратковременное явление, которое предлагает единственную позицию, представляющую устойчивое долгосрочное равновесие. Эта позиция возникает, когда экономика действует на уровне потенциального национального дохода и когда, следовательно, фактическая норма безработицы равна естественной норме безработицы. Большинство точек не удерживается на кривой Филлипса в долговременном периоде вследствие действия механизма автоматической коррекции экономики.
                                            Если экономика начинает функционировать не на кривой LRAS, процесс автоматической коррекции будет упорно возвращать ее к уровню потенциального национального дохода. Нестабильность краткосрочной кривой Филлипса показана на 25-3.



                                            ТЕМА 26. ЭКОНОМИЧЕСКИЙ РОСТ

                                            Часть а демонстрирует преодоление рецессионного разрыва (точка ESR) в результате увеличения совокупного предложения (сдвиг кривой SRAS1 на позицию SRAS2). В ходе рецессии фактическая норма безработицы превышала естественную норму. Это оказывало давление на трудовые контракты и договоры, т.



                                            ТЕМА 27. МЕЖДУНАРОДНАЯ ТОРГОВЛЯ И СРАВНИТЕЛЬНОЕ ПРЕИМУЩЕСТВО


                                            Цель изучения темы состоит в том, чтобы узнать:
                                            • что определяет экономический рост в долгосрочных периодах;
                                            • чем характерен долгосрочный рост производительности;
                                            • с какими проблемами сталкивается рост производительности труда;
                                            • за счет чего может быть увеличен национальный доход;
                                            • как воздействуют инвестиции на национальный доход;
                                            • как связаны сбережения с фактором времени;
                                            • в чем состоит кумулятивное значение различий в темпах экономического роста;
                                            • какая связь между экономическим ростом и перераспределением дохода;
                                            • что является альтернативными затратами экономического роста.
                                            В долгосрочные периоды, как мы уже знаем, технология и факторные ресурсы изменяются. Эти изменения ведут к сдвигам кривых долгосрочных затрат фирм. Вместе с созданием и введением новых продуктов эти сдвиги являются главным источником роста, долгосрочного увеличения реального совокупного производства, которое обеспечивает повышение жизненного уровня населения. На долгосрочные изменения в объеме производства и в уровне затрат воздействуют три главных фактора:
                                            а) Новая техника и технология. Драматическое (более чем на порядок) снижение доли рабочей силы, занятой в сельском хозяйстве, при еще большем количественном росте производства сельхозпродукции типичная картина для экономического роста стран Северной Америки и Западной Европы в XX в. За последние 50 лет численность шахтеров в США снизилась более чем на порядок при том же объеме угледобычи. Все эти результаты оказались возможны за счет замещения труда на физический капитал.
                                            б) Новые продукты. Автомобиль, паровоз, локомотив, электровоз, авиация, радио, телевизор, видеотехника и т.д. Вся история XX в. история постоянного появления новых продуктов, меняющих облик производства и повседневной жизни людей.
                                            в) Более производительные факторные ресурсы. Резкое улучшение образования и здравоохранения в развитых странах столь же заметно улучшило качество услуг труда. Значительные изменения произошли в материальной базе, начиная с ассортимента и качества сырых и переработанных материалов и кончая долгосрочными компонентами физического капитала (аэродромы, космодромы, новые типы заводов и фабрик и т. д.).
                                            § 136. ИСТОЧНИКИ ТЕХНОЛОГИЧЕСКИХ ИЗМЕНЕНИЙ Такие изменения относятся ко всем изменениям в технической базе производства. Чтобы измерять эти изменения, экономисты применяют понятие производительности объем производства на единицу факторного ресурса. Норма (темп) роста производительности обеспечивает меру того прогресса, который возникает вследствие технологических изменений.
                                            Одним из наиболее широко применяемых измерителей производительности является объем производства на единицу (1 час) труда почасовая производительность труда.
                                            В течение XIX и особенно XX в. шел интенсивный процесс замены труда физическим капиталом. Эта замена измерялась изменениями в соотношении капитал/труд или изменениями в капиталовооруженности труда. Для такой замены имелось несколько причин.
                                            Во-первых, во всех развитых странах цена труда росла быстрее относительно цен на элементы физического капитала, и в соответствии с принципом замещения капитал вытеснял труд в затратах на единицу продукции. Во-вторых, все элементы физического капитала становились все более производительными, так что работник мог производить все больше, применяя более эффективную единицу капитала. В-третьих, растущий вследствие увеличения подушевых доходов спрос позволил во всех отраслях осуществлять массовое производство, используя экономию на масштабе.
                                            Другим, помимо замены труда капиталом, источником технологических изменений являлась новая энергетическая база. Если в начале XX в. источником более половины энергии, потреблявшейся человечеством, была энергия человека и животных, то к концу века она почти полностью заменена углем, нефтью, природным газом, гидро- и атомной энергией.
                                            Наконец, еще один источник технологических изменений постоянно идущий процесс открытий и инноваций. Открытия имеют кумулятивный эффект, накапливая потенциал для внедрения в производство все большего числа опытно-конструкторских разработок.
                                            § 137. ИНВЕСТИЦИИ, СБЕРЕЖЕНИЯ И НАЦИОНАЛЬНЫЙ ДОХОД Кейнсианская концепция роли национального дохода в обеспечении равновесия сбережений и инвестиций является теорией о краткосрочных явлениях. Так же как и в базовой модели, эта модель изучает изменения фактического национального дохода, происходящие вокруг потенциального национального дохода, принимая последний как константу.
                                            Теория экономического роста изучает долгосрочные явления, связанные с воздействием сбережений и инвестиций на увеличение потенциального национального дохода, игнорируя краткосрочные колебания уровня национального дохода вокруг потенциального дохода.
                                            Не весь объем инвестиций воздействует на экономический рост, а лишь та их часть, которая отодвигает вправо кривую производственных возможностей экономики. Любая деятельность, дающая доход людям, повышает совокупный спрос. Поэтому краткосрочный эффект от увеличения фирмами объема производства и от увеличения ими инвестиций, t так же как от увеличения любых расходов государства, одинаков все это ведет к росту совокупного спроса.
                                            Но в долгосрочном плане на рост экономики воздействуют инвестиции, увеличивающие производственные мощности, и госрасходы, расширяющие сеть дорог, улучшающие здравоохранительные услуги, повышающие уровень фундаментальных исследований. Расходы на поддержку убыточных производств скорее принесут вред в долгосрочном плане, так как помешают эффективному перераспределению ограниченных ресурсов общества.
                                            В краткосрочном плане рост частных сбережений приведет к снижению совокупных расходов (потребительских расходов), к сдвигу потребительской функции и снижению равновесного уровня национального дохода. Но в долгосрочном плане более высокие частные сбережения означают более высокие инвестиции, если экономика имеет сильную систему финансовых посредников (банки, рынки ценных бумаг и т.д.). Важно понимать, что общие национальные сбережения включают частные плюс-минус бюджетный излишек или дефицит.
                                            В случае с российскими условиями это означает, что, чем больше бюджетный дефицит, тем меньше источников для частных инвестиций.
                                            § 138. КЛАССИЧЕСКАЯ ТЕОРИЯ ЭКОНОМИЧЕСКОГО РОСТА Среди экономистов-классиков главными исследователями проблем роста являлись А. Смит, Д. Рикардо и Т. Мальтус. Будучи свидетелями экономической жизни Англии, начавшейся промышленной революции, они пытались дать объяснение тем силам, которые управляли функционированием экономики, найти и описать возможности прогресса, т. е. возможности экономического развития.
                                            Даже конкретные действия упомянутых классиков (борьба Рикардо против «Законов о пшенице», которые регулировали торговлю пшеницей в пользу производителей в периоды высоких урожаев и низких цен; борьба А. Смита против монополистических привилегий, связанных с меркантилизмом, и т. д.) были направлены на то, чтобы снять препятствия на пути свободного экономического развития.
                                            Экономисты-классики смогли дать лишь общую картину тех явлений, которые воздействуют на процесс экономического роста. Прежде всего они определили, что накопление и производительное инвестирование части совокупного общественного продукта, осуществляемое в форме реинвестирования прибылей, являются главным источником экономического роста. Рядом с этим финансовым условием следовало поставить технические сдвиги в форме углубляющегося разделения труда и изменений в методах производства, о которых много писал А. Смит.
                                            Но ни у него, ни у его коллег нет систематического описания отношения между инвестиционным (финансовым) процессом и процессом технических нововведений. Однако они уделили особое внимание проблеме предложения труда, возникающей по мере роста численности населения. Вместе с борьбой против «Законов о пшенице» этот акцент привел их к концепции стагнации, в развитие которой особый вклад сделал Т. Мальтус.
                                            Суть этой концепции сводилась к тому, что если изменяемыми затратами общества являются лишь затраты труда, а предложение земли неизменно, то экономика начинает производить продукт, равный лишь затратам труда. При неизменности предложения (и продуктивности) земли предельный продукт труда постоянно снижается, достигая некоего прожиточного минимума. В дальнейшем стагнирующий объем производства начинает физически регулировать динамику населения. Эта концепция отнюдь не имела для экономистов-классиков основополагающего значения. Она нужна была им в их борьбе с классом лендлордов, проводившим через парламент законы в свою пользу.
                                            Но Марксу она понадобилась как авторитетная основа его тезиса о том, что общественный продукт в конечном счете создается только трудом.
                                            Теория роста у классиков возникла не сама по себе, а в контексте разработанных ими принципов экономики, связанных с производством, накоплением, обменом и распределением. В этом отношении проблемы распределения у классиков противоречат их же концепции застоя, что подчеркивает ее дискретный характер. Данные проблемы прямо связаны с владением факторами производства (земля, труд, капитал), которые зарабатывали свои виды доходов.



                                            ТЕМА 28. МЕЖДУНАРОДНЫЕ ФИНАНСЫ


                                            Цель изучения темы состоит в том, чтобы узнать:
                                            • причины особого значения международной торговли для микроэкономического благополучия нации;
                                            • в чем заключается закон сравнительного (компаративного) преимущества;
                                            • как определяются цены в международной торговле;
                                            • как власти вмешиваются во внутреннюю торговлю, с тем, чтобы защитить национальные отрасли от иностранной конкуренции.
                                            Земля и другие природные ресурсы распределены на нашей планете весьма неравномерно. Россия имеет, за редкими исключениями, практически все необходимое для производства товаров и услуг. Зато Япония испытывает огромный дефицит минеральных ресурсов и земли. Саудовская Аравия почти лишена пригодной для земледелия земли, но обладает впечатляющими запасами нефти. Но даже если у страны есть все необходимые ресурсы, как, например, у России, всегда имеются какие-то важные природные отличия, которые вынуждают эту страну вступать в торговые отношения с другими странами.
                                            Так, российский климат не позволяет нам самим получать кофе, какао, тропические плоды и фрукты и т. д. Существенную роль в развитии торговли играет общий квалификационный уровень нации, ее особенности в сфере развития различных профессий. Мастерство новозеландского фермера подсказывает и страновую специализацию Новой Зеландии фермерство.
                                            Если бы маленькая страна пыталась сама производить каждое необходимое благо, создавая весь спектр отраслей, то ни одна из этих отраслей не смогла бы достичь масштаба, который позволял бы использовать технологию массового производства. Но, несмотря на экономические противопоказания, и сегодня есть немало примеров, когда маленькие страны по каким-либо политическим мотивам организуют собственные международные авиалинии или даже металлургические заводы. Эти предприятия, как правило, выживают за счет государственных субсидий, т. е. истощают, а не пополняют бюджет своей страны.
                                            Все сказанное позволяет сделать вывод о том, что международная торговля является следствием стремления стран использовать многочисленные преимущества специализации. Международная специализация применение трудовых и других факторных ресурсов нации для того, чтобы производить такие товары и услуги, которые наилучшим образом адаптированы к использованию этих факторных ресурсов.
                                            § 141. ИСТОЧНИКИ ВЫГОД, КОТОРЫЕ ДАЕТ МЕЖДУНАРОДНАЯ ТОРГОВЛЯ Почти 200 лет назад А. Смит выступал с жесткой критикой властей, пытавшихся в интересах узких групп лендлордов ввести ограничения во внешней торговле. Д. Рикардо тоже внес огромный вклад в эту борьбу.
                                            Отмена тарифов на импорт зерна в Англию и постепенная эволюция этой страны свободной торговле результат публицистической и научной деятельности великих английских экономистов. Выгоды от торговли в целом сводятся к увеличению объема впускаемой продукции. Это происходит на всех уровнях вследствие торговли между индивидами, между регионами и между странами. Без торговли отдельный человек должен сам производить все, но производить чрезвычайно мало, испытывая крайнюю нужду.
                                            С торговлей он удовлетворяет все свои нужды. Эта же логика относится и к региону, и к нации.
                                            К сожалению, многие люди верят в то, что нация может выиграть от торговли только за счет другой нации. Это очень старое заблуждение. Сторонники протекционизма (которых и сегодня немало везде, включая Россию) всегда доказывали, что набор благ не увеличивается вследствие торговли и после обмена остается тем же, что и до него.
                                            Поэтому, дескать, если одна нация выигрывает от обмена, то другая должна обязательно потерять.
                                            А как же все-таки могут возникнуть выгоды для обеих сторон в обмене, если объем благ от этого не увеличивается? Они возникнут потому, что каждая из сторон получает в ходе обмена блага, необходимые именно ей. Конечно, когда Россия продает Украине природный газ, а покупает сахарный песок, то ни того, ни другого в результате этого обмена не становится больше, но каждая страна получает то, что она ценит больше, а отдает то, что она ценит меньше.
                                            Добровольная торговля является взаимовыгодной деятельностью.
                                            Но если логика торговли одинакова как в обмене между регионами, так и между странами, то почему мы должны специально изучать международную торговлю? Для этого есть несколько причин. Во-первых, внутренняя торговля происходит при наличии лишь одного правительства, а внешняя торговля вовлекает в политику два и более правительств.
                                            При этом каждое из них обеспокоено благосостоянием своих граждан, но отнюдь не обеспокоено благосостоянием граждан других стран. Внутренняя торговля, по определению, должна быть свободной (хотя в постсоветской России мы знаем много примеров самодурства местных властей, запрещающих, например, картофель из «своей» области А везти в «чужую» область Б). Международная торговля до сих пор идет под знаком противоборств, создающих постоянные препятствия для свободной международной торговли. Во-вторых, вся внутренняя торговля идет с применением только национальной валюты. Но международная торговля неизбежно вовлекает применение двух и более валют в обслуживание торговых операций, что требует определенных регулирующих мер.
                                            В-третьих, для трудовых и капитальных ресурсов не составляет трудностей передвигаться внутри страны (правда, в России миграция населения крайне затруднена вследствие острого дефицита жилья). Однако такие передвижения между двумя и более странами до сих пор подвергаются существенным ограничивающим мерам.
                                            § 142. ЗАКОН СРАВНИТЕЛЬНОГО (КОМПАРАТИВНОГО) ПРЕИМУЩЕСТВА Выгоды от международной специализации и торговли совершенно понятны во всех случаях, когда страны-партнеры имеют явные преимущества в каком-либо виде производства. Например, всем известно, что Бразилия производит кофе и обеспечивает им едва ли не весь мир. Но она импортирует платформы для освоения шельфовых месторождений.
                                            Здесь все правильно: в Бразилии кофе производится при меньших затратах факторных ресурсов, чем в Канаде или в США, но зато Бразилия не смогла бы произвести платформу при тех затратах, которые осуществляют в этих целях в США. Таким образом, у Бразилии имеется абсолютное преимущество в производстве кофе, а у США в производстве платформ. Совершенно очевидно, что обе страны только выиграют, если сосредоточатся на производстве продукции, по которой у них есть абсолютное преимущество, а затем будут продавать эту продукцию в другие страны.
                                            Абсолютное преимущество в международной торговле способность страны А производить благо более эффективно (т. е. с большей продукцией на единицу применяемых факторных ресурсов), чем это делает страна В. Обладание такой способностью вовсе не означает» что страна А может успешно экспортировать данное благо в страну В. При этой ситуации страна В все еще может иметь сравнительное преимущество по этому же виду блага.
                                            Последнее замечание означает, что две страны могут в целом получать выгоду от торговли даже в том случае, если одна из них более эффективна, чем другая, в производстве всех товаров и услуг. Эта идея впервые была высказана почти 175 лет назад Д. Рикардо. Допустим, что в двух странах для производства компьютеров и телевизоров применяется только один факторный ресурс труд. При этом страна А имеет абсолютное преимущество в производстве обоих товаров. Она может производить либо 50 компьютеров, либо 50 телевизоров в год.
                                            Но вторая страна (В) может производить только 10 компьютеров или 40 телевизоров в год. Может ли страна А при этих первоначальных условиях торговать со страной В этими товарами?
                                            Да, может. Несмотря на то что страна А имеет абсолютное преимущество и производит оба товара более эффективно, чем страна В, она имеет сравнительное преимущество в производстве компьютеров, но сравнительное преимущество в производстве телевизоров принадлежит стране В. Страна А может производить 50 телевизоров, в то время как страна В может производить только 40 телевизоров. Это означает, что страна А на 25% эффективнее, чем страна В в производстве телевизоров. Но вместе с тем страна А в 5 раз эффективнее в производстве компьютеров, чем страна В. Таким образом, конкурентные возможности страны А более значительны в производстве компьютеров, чем телевизоров. Страна А имеет очевидное сравнительное преимущество по компьютерам.
                                            Страна А, для того чтобы произвести один лишний компьютер, должна пожертвовать одним телевизором (1 : 1). Но страна В, для того чтобы произвести один лишний компьютер, должна пожертвовать 4 телевизорами (1 : 4). Зато страна А, для того чтобы произвести один дополнительный телевизор, должна отказаться от одного компьютера (1 : 1), а страна В лишь от 0,25 компьютера (4 : 1).
                                            Следовательно, у страны В есть сравнительное преимущество по телевизорам. Поэтому обе страны должны сконцентрировать свои усилия: одна на компьютерах, а другая на телевизорах.
                                            Как видно из табл. 27-1, благодаря специализации и торговле обе страны вместе теперь производят больше и компьютеров, и телевизоров. Когда каждая страна создает то, что она может производить лучше других, все страны получают выгоды, потому что больший объем каждого из благ может быть достигнут без увеличения применяемых факторных ресурсов.



                                            ТЕМА 29. МАКРОЭКОНОМИЧЕСКИЕ ПРОБЛЕМЫ МИРОВОЙ ЭКОНОМИКИ


                                            Цель изучения темы состоит в том, чтобы узнать:
                                            • как определяются обменные курсы национальных валют по отношению к другим валютам;
                                            • что такое удорожание и обесценение валюты;
                                            • что такое девальвация и ревальвация валюты;
                                            • в чем состоит паритет покупательной способности;
                                            • как связаны обменные курсы и экономическая динамика, обменные курсы и ставка процента;
                                            • что такое платежный баланс, его излишек или дефицит;
                                            • как сменялись этапы в истории международной валютной системы.
                                            Мы только что узнали в предыдущей теме о причинах международной торговли и тех выгодах, которые она приносит всем странам, обладающим сравнительным преимуществом. Но, по мере того как блага, которыми торгуют страны, пересекают границы в одном направлении, деньги должны двигаться в обратном направлении. В этой теме речь идет о системе, которая существует для того, чтобы обеспечивать движение международных денежных потоков, т. е. о международной валютной системе. Здесь также дается ответ на вопрос о том, что мы имеем в виду, когда говорим о «цене рубля» (или доллара, фунта, франка и т.д.), и как эта цена изменяется. Мы начинаем с того, как обменные курсы определяются на свободных рынках, т. е. в результате действия законов спроса и предложения.
                                            А затем рассмотрим прямо противоположную ситуацию международную валютную систему, в которой обменные курсы фиксируются государством.
                                            § 146. ОБМЕННЫЕ КУРСЫ И ИХ ОПРЕДЕЛЕНИЕ В УСЛОВИЯХ СВОБОДНОГО РЫНКА Когда российский товар из Казани попадает в Пермь, за него платят рублями, что не вызывает никаких трудностей. Но когда этот же товар из Казани попадает в Польшу, то за него могут заплатить только польскими злотыми, что вряд ли удобно для казанских поставщиков, которым придется каким-то образом превращать злотые в привычные им рубли.
                                            Это превращение (конвертирование) одной национальной валюты в другую осуществляется при помощи обменных курсов. Обменный (валютный) курс устанавливает ту цену в единицах одной валюты, по которой может быть куплена другая валюта. Между любыми парами валют обязательно существует обменный курс. Например, в мае 1996 г. обменный курс рубля и американского доллара составлял 4900 : 1, т.е. за 4900 р. можно было купить один доллар.
                                            В 1990 г. в СССР действовал обменный курс рубля к доллару 0,6 : 1,0 (60 коп. за 1 долл.), о чем любят вспоминать некоторые любители политической демагогии. Но от нынешней ситуации ситуация 1990 г. отличалась тем, что нигде (абсолютно нигде) в СССР и никто не мог в законном порядке купить доллары за рубли.
                                            Со временем все обменные курсы изменяются. Они могут сжижаться и повышаться. Когда рубль становится более дорогим в долларовом измерении, мы говорим, что рубль дорожает. Валюта дорожает, когда обменный курс национальной валюты меняется таким образом, что ее единица может купить больше единиц иностранной валюты. Валюта обесценивается, когда обменный курс национальной валюты изменяется так, что ее единица в состоянии купить меньше единиц иностранной валюты.
                                            При этом национальная валюта может одновременно дорожать по отношению к одним иностранным валютам и обесцениваться по отношению к другим.
                                            Подорожание и обесценение термины, описывающие движение обменных курсов на свободных рынках. Но когда ценность валюты изменяется вследствие решений правительства, мы применяем другую терминологию. Если вследствие такого решения единица национальной валюты может купить меньше единиц иностранной валюты, мы называем этот процесс девальвацией, т. е. снижением официальной ценности валюты.
                                            Если вследствие такого решения единица национальной валюты может купить больше единиц иностранной валюты, мы называем этот процесс ревальвацией, т. е. повышением официальной ценности валюты.
                                            Если в первой половине 70-х гг. обменный курс доллара к франку, постоянно изменяясь, составлял 1 : 5, в середине 80-х гг. 1 : 10, а в конце 1999 г. 1 : 26, то эти изменения происходят под воздействием законов спроса и предложения. Но так происходит в рамках системы плавающих обменных курсов, т. е. курсов, которые определяются на свободных рынках известными нам рыночными силами.
                                            Допустим, что существуют только две страны А и В и свободный рынок определяет лишь один обменный курс между валютами этих двух стран. 28-1 показывает, как определяется этот обменный курс в точке Е, где пересекаются кривые спроса D и предложения S. При этом уровне цены валюты страны В величина спроса на нее равна величине предложения этой валюты. Если бы обменный курс был ниже равновесного уровня, величина спроса на валюту страны В превышала бы величину ее предложения и, как следствие, цена этой валюты повысилась бы.
                                            И наоборот.

                                            ТЕМА 29. МАКРОЭКОНОМИЧЕСКИЕ ПРОБЛЕМЫ МИРОВОЙ ЭКОНОМИКИ

                                            28-1
                                            Итак, обычно спрос и предложение определяют цену. Но откуда исходят спрос и предложение и почему предъявляется спрос на валюту страны В? Ответы на два эти вопроса имеют свою специфику. Если житель страны А хочет купить телевизор в стране В, то ему нужна валюта страны В. Таким образом, спрос на телевизоры, производимые в стране В, ведет к спросу на ее валюту.
                                            Если житель страны А хочет купить акции или облигации в стране В, ему тоже нужна валюта страны В. Таким образом, спрос на финансовые активы страны В ведет к спросу на ее валюту. Наконец, если житель страны А хочет купить физический капитал (магазин, фабрику, мастерскую и т. д.) в стране В, ему также нужна валюта страны В, следовательно, прямые зарубежные инвестиции в страну В ведут к спросу на ее валюту. Эти три ответа дали нам понимание того, что является источником спроса на валюту страны В. Что же является источником ее предложения?
                                            Для ответа на этот вопрос нам нужно изменить направление описанных выше операций. Допустим, жители страны В хотят купить товары, финансовые активы либо элементы физического капитала в стране А. Для этого им нужна будет а страны А, которую они получат, предложив свою у для продажи на рынке иностранной валюты. Таким образом, спрос на валюту данной страны определяется спросом иностранцев на ее экспортные товары и услуги, на ее финансовые и реальные активы.
                                            А предложение иностранной валюты определяется ее импортом и инвестициями за рубежом.
                                            С точки зрения экономической динамики, для того чтобы понять, почему дорожает или обесценивается валюта, мам недостаточно знания законов спроса и предложения валюты, движущих точки равновесия вдоль кривых D и S. Нам нужно знать факторы, которые способны сдвигать эти кривые, т. е. знать детерминанты данных кривых. Экономисты считают, что основные детерминанты обменных курсов отличаются в зависимости от фактора времени. Начнем с долгосрочного периода.
                                            Поскольку существует свободное движение товаров и услуг через национальные границы, обменные курсы должны перестраиваться так, чтобы одни и те же блага обладали одинаковой ценностью, даже если они измеряются в разных валютах (исключая различия в транспортных и трансакционных затратах). Этот простейший подход дает нам основу для понимания теории паритета покупательной способности при определении обменных курсов в долгосрочные периоды. Эта теория предполагает, что обменные курсы между любыми двумя валютами перестраиваются, с тем, чтобы постоянно отражать различия между уровнями цен в двух странах.
                                            Например, допустим, что Россия и Украина производят одинаковый по своим характеристикам марганцевый концентрат и являются единственными его производителями на мировом рынке. Если тонна российского концентрата в 1996 г. стоила 500 тыс. р., а тонна украинского 10 млн карбованцев, то каким должен был быть обменный курс между рублем и карбованцем? Видимо, если на 10 млн карбованцев и 500 тыс. р. могли купить тонну марганцевого концентрата, то ценность этих двух сумм должна была быть равной и они должны были соотноситься как 20 : 1, т.е. 20 карбованцев должны были стоить 1 рубль.
                                            Если вы сомневаетесь в этом, предположите, что курс равен 30 : 1 (15 млн карбованцев и 500 тыс. р. за одну тонну). Тогда все зарубежные покупатели стали бы покупать марганец только в России. При курсе 10 : 1 случилось бы обратное.
                                            Теория паритета покупательной способности применяется для того, чтобы получить долгосрочный прогноз о воздействии инфляции на обменные курсы. Допустим, что в течение 5 лет уровень цен в России вырос на 25%, а на Украине на 50%. Ясно, что карбованец будет обесцениваться по отношению к рублю. Теория паритета покупательной способности даст прогноз в отношении величины такого обесценения. Вследствие указанной инфляции российский марганец станет стоить 625 тыс. р. за тонну, а украинский 15 млн карбованцев.
                                            Для того чтобы две новые цены были эквивалентны, теперь 15 млн карбованцев должны цениться так же, как и 625 тыс. р. В этом случае курс карбованца упадет до 24 : 1. Таким образом, различия во внутренних темпах инфляции являются главной причиной перестроек (изменений) обменных (валютных) курсов. Если на Украине инфляция оказывается выше, чем в России, то карбованец будет обесцениваться в отношении рубля.
                                            В течение многих лет теория паритета покупательной способности «работала» надежно. Валюты всех стран, где темп инфляции был выше, обесценивались по отношению к валютам, где этот темп был ниже..



                                            ТЕМА 30. ЭКОНОМИЧЕСКИЙ РОСТ И ЭКОНОМИЧЕСКОЕ РАЗВИТИЕ


                                            Цель изучения темы состоит в том, чтобы узнать:
                                            • насколько глубока связь между обменными курсами и изменениями в международных финансах;
                                            • как изменения в обменных курсах воздействуют на внутреннее экономическое развитие;
                                            • как денежно-кредитная и фискальная политика действует в условиях открытой экономики.
                                            Когда мы включаемся в изучение проблем открытой экономики, то находим много новых особенностей, связанных с макроэкономическими изменениями. Речь идет о поведении условий торговли и их влиянии на чистый экспорт и национальный доход, о существе и объемах иностранного заимствования финансовых ресурсов, изменениях в зарубежных процентных ставках и темпах инфляции. Сам термин «открытая экономика» означает попросту экономику страны, которая активно торгует с другими странами. Но, чтобы лучше усвоить это простейшее и потому слегка загадочное определение, упомянем, что граждане закрытой экономики не могут покупать продукции других стран и продавать свою продукцию иностранцам. Вследствие этого в закрытой экономике теоретически наличествуют только три макроэкономические категории расходов, из которых складывается ВНП: а) совокупное потребление (С); б) валовые инвестиции (I); в) государственные расходы на товары и услуги (G).
                                            Четвертая составляющая совокупного продукта открытой экономики, т. е. чистый экспорт (X), не может ничего добавить к совокупному продукту в закрытой экономике, потому что в ней экспорт и импорт должны равняться нулю.
                                            Конечно, вы уже нетерпеливо ждете момента, чтобы сказать, что таких закрытых экономик фактически нет на свете. Так оно и есть. И поэтому краткое обсуждение существа гипотетической закрытой экономики становится необходимым. Итак, для. закрытой экономики Y = С + I + G. Эта формула является тождеством.
                                            Будьте внимательны и различайте тождества, которые являются таковыми по определению, и равновесные условия, которые описывают равенства рыночного спроса и предложения. В закрытой экономике сбережения (S) всегда равны инвестициям (I). Национальный объем сбережений доля совокупного продукта (Y), которая не поступает в потребительский сектор (С) и в сектор государственных закупок товаров и услуг (G).
                                            Равенство S и I в закрытой экономике говорит нам о том, что эта экономика может увеличивать Y только за счет новых объемов физического капитала.
                                            Таким образом,
                                            S = Y - С - G.
                                            Поскольку тождество, определяющее ВНП, составляет
                                            Y = С + I + G,
                                            то его можно записать так:
                                            I = Y - С - G,
                                            и тогда
                                            S = I,
                                            т. е. национальный объем сбережений должен быть равен объему валовых инвестиций.
                                            Конечно, из начальных макроэкономических тем мы знаем, что S может быть и не равно I, потому что домашние хозяйства могут сберегать, но (в соответствии с технологией расчетов ВНП) не могут инвестировать. Ключ к пониманию того, почему S должны быть равны I, состоит в том, что S сумма всех решений тех, кто в экономике принимает решения, т. е. сумма решений домашних хозяйств, фирм и правительства (государства). Допустим, что домашнее хозяйство снижает потребление и за 1 тыс. р. покупает государственную облигацию. Правительство, получив эту 1 тыс. р., расходует ее на то, чтобы отремонтировать несколько дверей в здании правительства. В этом случае ни I, ни S не затрагиваются.
                                            Рост сбережений домашних хозяйств полностью перекрывается ростом G (ремонт дверей), означающим снижение на 1 тыс. р. государственных сбережений.
                                            А теперь допустим, что то же самое домашнее хозяйство покупает на 1 тыс. р. не гособлигацию, а ценную бумагу какой-либо фирмы. В свою очередь, эта фирма на 1 тыс. р. покупает цемента для своего нового цеха. Вот теперь S и I растут на одну и ту же сумму.
                                            Таким образом, в закрытой экономике сбережения могут иметь место в совокупности только через увеличение капитального запаса.
                                            § 149. СОВОКУПНЫЙ СПРОС И СОВОКУПНОЕ ПРЕДЛОЖЕНИЕ:ВОЗДЕЙСТВИЕ МИРОВОЙ ТОРГОВЛИ В 1992 г., например, импорт в США составлял трудно поддающуюся пониманию цифру 615 млрд долл. в ценах 1987 г., при экспорте в 573 млрд долл. и, следовательно, торговом дефиците в 42 млрд долл. С середины 80-х гг. огромный дефицит торгового баланса стал зоной особого внимания экономистов, политиков, телевидения, радио и прессы.
                                            Он достиг почти 150 млрд долл. в 1986 г., хотя к 1991 г. снизился до 1015 млрд долл. Некоторые считали, что это свидетельство слабости американской экономики, другие считали такой дефицит свидетельством силы США. И лишь немногие представляли, что в 1986 г. внешняя торговля США была в целом так же сбалансирована, как и за 10 лет до этого.
                                            Попробуем разобраться с происхождением и последствиями торгового дефицита этой мощной в экономическом плане страны, чтобы научиться самим оценивать подобные события.
                                            Как мы уже говорили, для открытой экономики
                                            Y = С + I + G + (X - М).
                                            (X М) чистый экспорт, т. е. валовой экспорт за вычетом валового импорта. То, что Х является частью расходной величины Y, напоминает нам о том, что автономное увеличение экспорта или автономное снижение импорта имеет мультипликационное воздействие на экономику. Рост Х (чистого экспорта) сдвигает кривую AD, увеличивая тем самым Y и общий ценовой уровень. А что может повлиять на увеличение экспорта?
                                            Если иностранцы становятся богаче, то они увеличат свои расходы, в том числе на зарубежные товары и услуги, включая и американские товары и услуги, а следовательно, американский экспорт возрастет. И наоборот: экономический спад в других странах сократит покупку их гражданами американской продукции и, следовательно, сократит американский экспорт. Таким образом, экономическая динамика в одной стране через мировую торговлю транслируется на другие страны.
                                            Другой фактор воздействия на экспорт соотношение относительных цен на иностранные и отечественные товары. Эта идея является простым применением закона спроса: если цены на товары в, стране А растут, то покупатели будут покупать их меньше, а товары страны В больше. Именно эта идея объясняет воздействие обменных (валютных) курсов на международную торговлю.
                                            Допустим, обменные курсы фиксированы. Что случится, если цены американской экспортной продукции снизятся, а цены японской продукции не изменятся? Теперь и американцы, и японцы будут больше покупать американских товаров и меньше японских. Чистый экспорт США вырастет, увеличивая совокупный спрос в США.
                                            И наоборот, рост американских цен по отношению к японским сократит в США и (X М), и AD. Рост цен за рубежом повышает отечественный чистый экспорт, а снижение цен за рубежом дает обратный результат.
                                            Главная роль обменных курсов превратить цены данной страны в их исчисление в иностранных валютах. Изменение относительных цен в мировой торговле ведет к удорожанию или обесценению различных валют. Обесценение валюты повысит чистый экспорт и, следовательно, увеличит совокупный спрос. Удорожание валюты данной страны снизит ее чистый экспорт и, следовательно, уменьшит AD. Поняв это, мы можем объяснить, почему в США в 80-е гг. рос торговый дефицит.
                                            В первой половине 80-х гг. курс доллара резко пошел вверх. Удорожание доллара столь же резко стимулировало импорт в США и угнетало американский экспорт, став тормозом для увеличения совокупного спроса. В реальном исчислении импорт в США за период 19811986 гг. увеличился почти на 60%, а экспорт на 1%. Вследствие этого 22 млрд долл. чистого экспорта в 1982 г. превратились в 155 млрд долл. торгового дефицита в 1986 г.
                                            Наивысший обменный курс предшественник наивысшего торгового дефицита. В 1985 г. большую часть года курс доллара снижался. Он снижался и весь 1986 г. Но экспортные позиции США, вопреки нашим объяснениям, не улучшались, а продолжали ухудшаться.
                                            Падение рубля резко затормозилось в первой половине 1995 г., началось даже временное улучшение его позиции, но российский экспорт продолжал расти весьма быстро, что тоже противоречит нашим объяснениям. В чем же дело? А дело в том, что в мировой торговле реакция на изменения курсов валют требует определенного времени.
                                            У нее есть лаг запаздывание. Этот лаг в мировой торговле известен как кривая J. Кривая J показывает, что торговый дефицит страны, следуя за обесценением ее валюты или за девальвацией, сначала продолжает ухудшаться, а спустя некоторое время начинает улучшаться. Кривая изменения объема экспорта, таким образом, приобретает форму буквы J, откуда и происходит ее название.

                                            ТЕМА 30. ЭКОНОМИЧЕСКИЙ РОСТ И ЭКОНОМИЧЕСКОЕ РАЗВИТИЕ

                                            29-1
                                            Возьмем пример из торговых отношений США и Японии, в частности периоды, когда цена иены повышалась, а доллар обесценивался. В первые недели роста курса иены продажи, например, японских телевизоров в США были такими же. Но когда американские оптовики заказывали новые партии японских телевизоров, они уже должны были платить больше долларов за каждый телевизор, чем раньше. В итоге долларовая цена телевизора начала расти. В свою очередь, японские оптовики сначала продолжали продавать то же самое количество персональных компьютеров из США.
                                            Фактически ничего не изменилось. Но в денежном выражении теперь импорт растет, а экспорт не меняется, что отражает часть АВ на кривой J ( 29-1).
                                            Но через некоторое время американский покупатель начинает реагировать на то, что теперь японские телевизоры стали дороже.



                                            ТЕМА 31. ЭКОНОМИЧЕСКИЕ СИСТЕМЫ: СРАВНИТЕЛЬНЫЙ АНАЛИЗ


                                            Цель изучения темы состоит в том, чтобы узнать:
                                            • чем различаются между собой развитые и менее развитые страны;
                                            • в чем состоит разрыв между богатыми и бедными странами;
                                            • в чем заключается различие между экономическим ростом и развитием;
                                            • что мешает многим странам осуществлять успешное экономическое развитие.
                                            § 152. ЭКОНОМИЧЕСКИЕ ОСОБЕННОСТИ РАЗВИВАЮЩИХСЯ СТРАН В течение огромного периода истории человечества экономический рост был чрезвычайно медленным. Главным источником энергии являлся ручной труд, а транспортными средствами животные.
                                            И только в последние 200 с небольшим лет произошли радикальные изменения. Паровой двигатель, двигатель внутреннего сгорания, электричество, ядерная энергия обеспечили энергетическое развитие, позволили создать новые транспортные средства. Люди сумели осуществить все это, резко поднять уровень жизни, удовлетворив все основные материальные потребности, обеспечив демократическое развитие общества во многих странах.
                                            Но далеко не во всех.
                                            Подавляющая часть стран современного мира не относит себя к числу государств с развитой экономикой. Так называемая группа развивающихся стран насчитывает в ООН свыше 125 государств. В эту группу входят совершенно разные страны. Среди них есть такие, которые достигли необычайно высоких результатов в экономическом развитии (Сингапур, Южная Корея, Тайвань и др.).
                                            Но среди них немало стран с чрезвычайно низким уровнем развития.
                                            В целом развивающиеся страны отличаются следующими признаками.
                                            а) Низкий уровень ВНП на душу населения. Особенно он низок в Эфиопии, Бангладеш, Заире, Уганде, Индии, Китае, Пакистане, многих странах Африки. В 39 наименее развитых и 34 слаборазвитых развивающихся странах, где проживает две трети населения земного шара, производится менее 9% мирового ВНП.
                                            В то же время 28 развитых стран, где живет около 21% населения земного шара, производят свыше 80% мирового ВНП.
                                            б) Быстрый рост численности населения. В Азии, Африке и Латинской Америке численность населения удваивается каждые 30 лет, потому что средний темп роста населения составляет здесь 2,5%. Для сравнения отметим, что в США и Западной Европе этот показатель не достигает и 1%.
                                            в) Преобладание в экономике производства сельскохозяйственных продуктов. В большинстве стран Азии, Африки и Латинской Америки более двух третей рабочей силы занято в агросекторе. Для сравнения полезно узнать, что только 2% рабочей силы в США работает в этом секторе.
                                            г) Более неравномерное распределение доходов. Дело не только в том, что в развивающихся странах существенно ниже доход на душу населения. Различие в доходах между высшим слоем, обычно занятым в торговле и финансовой сфере и связанным с этими же сферами в развитых странах, и большинством населения огромно.
                                            д) Наконец, социальные показатели развивающихся стран, как правило, указывают на низкий уровень здравоохранения, образования, культуры.
                                            К счастью, все эти признаки не характерны для России. Лишь в первом из них (уровень ВНП на душу населения) возникли угрожающие тенденции. Дело в том, что бывший СССР, чье наследство досталось России, имел специализацию и сравнительные преимущества в двух крупных секторах производстве сырьевых материалов и производстве вооружений. За несколько десятилетий варварской эксплуатации природных ресурсов они оскудели, и производство в этом секторе снижается. А снижение производства военной техники вообще жизненно необходимый процесс, без которого мы не высвободим ограниченные ^ресурсы для развития секторов, от которых зависит удовлетворение потребностей человека в жилье, продовольствии, одежде, социальных услугах.
                                            Так что утверждения некоторых политиков о том, что Россия слаборазвитая страна, не соответствуют действительности.
                                            Когда мы говорим о различиях между развитыми и развивающимися странами, мы, конечно, представляем себе те инструменты, при помощи которых эти различия могут быть измерены. Валовой национальный продукт на душу населения дает информацию об объеме товаров и услуг, которые может получить каждый отдельный человек. Трудность состоит в том, чтобы привести показатель ВНП, измеряемый в каждой стране в ее национальной валюте, к сопоставимости, т. е. суметь выразить его в какой-либо одной валюте.
                                            Однако мы уже знаем, что валюту одной страны можно выразить в единицах валюты другой страны. Если в качестве международного эквивалента избрать, например, американский доллар, то все сопоставляемые ВНП разных стран будут приведены к одному знаменателю. И все-таки этот метод может давать неточные результаты.
                                            Если применить его, например, к России, то ее ВНП, выраженный в долларах США, окажется во много раз искаженным, в данном случае уменьшенным.
                                            Дело в том, что, оценивая российский ВНП в долларах по валютному курсу, мы связываем себя спросом на рубль на валютном рынке. А этот спрос зависит от спроса на российские товары, который по многим причинам низок. Вместе с тем любому здравомыслящему человеку ясно, что в США за 1 долл. можно купить 0,5 кг хлеба, а в России 1,5 кг; мяса соответственно 0,15 кг и 0,5 кг и т.д.
                                            О чем это говорит? О том, что сопоставлять ВНП разных стран нужно по покупательной способности их валют на местных рынках товаров. Допустим, можно сравнить, сколько долларов США требуется, чтобы купить данный набор товаров в США и в России.
                                            § 153. ПРИЧИНЫ ЭКОНОМИЧЕСКОЙ ОТСТАЛОСТИ Традиционно считалось, что экономическое развитие это способность стран обеспечивать достаточно высокий темп роста ВНП (4%, 5%, 6% в год и т.д.). Сегодня этот подход в духе позитивной экономики утвердился окончательно за другим термином «экономический рост».
                                            А под экономическим развитием стали иметь в виду нормативный подход, т.е. не только способность экономики увеличивать ВВП на какой-то процент ежегодно, а еще и способность экономики постоянно повышать уровень жизни всего населения и прогрессивно изменять структуру экономики (сокращать аграрный сектор в пользу промышленного, увеличивать сферу услуг и т.д.).
                                            Конечно, экономическое развитие в решающей мере зависит от экономического роста. Мы уже знаем, что рост осуществляется благодаря достаточным инвестициям в физический и человеческий капитал, техническому прогрессу и улучшениям в экономической организации. Если эти три источника настолько слабы, что не могут обеспечить рост, то нечего ожидать и экономического развития.
                                            Слабый рост ведет к устойчиво низким сбережениям, которые составляют основу инвестиций. Небольшие инвестиции почти не обеспечивают рост, а если к тому же население страны растет быстрее, чем ВНП, то эти инвестиции не обеспечивают даже застойный уровень экономики.
                                            Возникает известный «порочный круг слаборазвитости»: низкие подушевые доходы не обеспечивают достаточных сбережений, низкие сбережения не обеспечивают достаточных инвестиций, низкие инвестиции обеспечивают низкие темпы роста, низкие темпы роста воспроизводят низкие доходы и бедность. К сожалению, стран, чья экономика вращается в этом круге, очень много. Почему так происходит? Многие экономисты считают, что для этого есть ряд причин.
                                            Объясним важнейшие среди них.
                                            Почти 200 лет назад Томас Мальтус пришел к выводу, что, как только жизненный уровень начинает расти, это побуждает людей обзаводиться большим числом детей. Поэтому рост благосостояния постоянно соревнуется с ростом населения. Долгое время все это было так, как и предсказывал Т. Мальтус. Но вот уже несколько десятилетий это соревнование исчезло в развитых странах.
                                            Однако в странах Азии, Африки и Латинской Америки темп роста населения в 23 раза выше, чем в богатых странах, а зачастую выше темпа экономического роста. Конечно, это ведет к застою в уровне жизни стран на этих континентах.
                                            Второй причиной отсталости является политическая нестабильность. Бесконечная череда государственных переворотов то в одной, то в другой стране прежде всего отражается на инвестиционном процессе и, следовательно, временно замедляет либо даже останавливает экономический рост. Бедность становится еще более безнадежной, и многие люди опять готовы поддержать очередную революцию в надежде на лучшую судьбу.
                                            Можно с уверенностью, опираясь на богатейший опыт XX столетия, сказать, что те страны, где не обеспечена политическая стабильность, обречены вращаться в «порочном круге слаборазвитости».
                                            Наконец, неверная, ошибочная экономическая политика ведет к искажению цен и подавлению экономической эффективности. Ценообразование руководит распределением ресурсов. Относительные цены на конечные товары и услуги, а также на факторы производства должны отражать их относительную ограниченность и реальную полезность.
                                            Неверно сформированные цены в конечном счете приведут к неэффективности.
                                            К сожалению, практика государственного вмешательства в ценообразование в развивающихся странах не уменьшается. Попытки многих правительств, особенно в Африке, принудительно удерживать цены на продовольствие ниже рыночного уровня нравятся многим слоям населения. Эти попытки нравились многим и у нас в России.
                                            Но эти попытки ведут к оттоку инвестиций из сельского хозяйства, к убыточности сельскохозяйственного производства. И, следовательно, к дефициту продовольствия, а во многих странах к голоду.
                                            Точно такие же ошибки совершаются в отношении налогов на прибыль предпринимателей. Их завышение подрывает сбережения и инвестиции, тормозит экономический рост.
                                            Конечно, прямое отношение к сохранению экономической отсталости имеют также географические, исторические и культурные особенности тех или иных стран. В большинстве развивающихся стран существует острый недостаток пригодных для обработки земель. Во многих из них пригодные земли принадлежат узкой группе латифундистов, на которых работают мелкие арендаторы. Эти миллионы бедняков не могут обеспечить должную производительность.
                                            Традиционное отношение в этих странах к образованию, личным свободам, науке, ценностям демократии еще долго будет мешать их попыткам вырваться из порочного круга отсталости.
                                            Хотя мы отнюдь не все знаем о том, почему по-прежнему существует «порочный круг слаборазвитости», есть целый ряд моментов, которые очевидны и полезны для того, чтобы делать выводы. Еще Адам Смит писал о том, что богатство нации зависит от специализации и торговли, от расширения размеров рынка и от прогресса в технике и организации труда. Следуя этим мыслям, можно сказать, что те правительства, которые уважают права частной собственности и свободной торговли, осуществляют фискальную и денежно-кредитную политику так, чтобы она вела к относительно устойчивым ценам, эти правительства обеспечивают условия для экономического роста.
                                            Есть ли примеры таких стран и правительств? Да, в последние два десятилетия Гонконг, Южная Корея, Сингапур, Индонезия развивались высокими темпами. А есть ли противоположные примеры?
                                            К сожалению, их немало. Многие правительства осуществляли непродуманную расширительную денежно-кредитную политику, что привело экономику этих стран к гиперинфляции. Это ставило их на грань тяжелых социальных потрясений.
                                            Не так давно эта участь постигла многие крупные страны Южной Америки.
                                            С другой стороны, есть немало стран, правительства которых применяют высокие предельные ставки налогов на все виды доходов. Это снижает совокупное производство, угнетая инвестиции, отталкивая от полезной деятельности активную часть населения, особенно предпринимателей. Все это также консервирует «порочный круг слаборазвитости».
                                            Ключевые слова и понятия

                                            • Экономический рост
                                            • Экономическое развитие
                                            ИТОГИ ИЗУЧЕНИЯ ТЕМЫ

                                            1. В XX в. появилось много стран, в которых уровень жизни радикально изменился, а экономический рост обеспечивает его дальнейшее повышение.
                                            2. Тем не менее, существует огромное количество развивающихся стран, где низок ВНП на душу населения, слишком велик сельскохозяйственный сектор в экономике, быстро растет численность населения, существует сильное неравенство в распределении доходов, огромная часть населения неграмотна, а система образования отсталая.
                                            3. Хотя абсолютно точную границу между развитой и менее развитой (развивающейся) страной определить трудно, экономисты относят к развитым страны Северной Америки, Европы, Океании и Японию, а к развивающимся страны Азии, Африки и Южной Америки.
                                            4. Экономический рост увеличение ВНП, в то время как экономическое развитие рост уровня жизни и прогрессивное изменение структуры экономики.
                                            5. Сопоставить уровень экономического развития стран лучше всего, сравнивая их ВНП на душу населения.
                                            6. Главные препятствия на пути экономического развития большинства стран Азии, Африки и Латинской Америки политическая нестабильность, быстрый рост населения и ошибки в экономической политике.
                                            7. Развивающиеся страны, которые обеспечивают специализацию, свободу торговли, демократические нормы общественной жизни и эффективную экономическую политику, характеризуются высокими темпами экономического роста. Они успешно осуществляют экономическое развитие.




                                            Трансферты называют автоматическими стабилизаторами.


                                            Трансферты растут в ходе рецессии и снижаются в ходе подъемов вследствие функционирования обычных социальных программ. В ходе рецессии растут пособия, резко увеличивается число пособий по безработице, часть людей старшего возраста уходит на пенсию по старости и т. д. Главное в том, что доходы людей, страдающих от рецессии, не падают до нуля, как это было, например, в 30-е гг., а снижаются до достаточно высоких уровней многочисленных видов социальных трансфертов, что амортизирует рецессионное снижение доходов и стабилизирует макроэкономическую динамику. Такие трансферты называют автоматическими стабилизаторами.
                                            Как и трансферты, налоги тоже чувствительны к изменениям в уровнях макроэкономической активности. Например, в США в течение последних 30 лет эластичность налоговых поступлений (изменение Т, деленное на 1% изменения ВНП) составляла 1,8. Такая высокая чувствительность объясняется рядом факторов. Во-первых, прибыль корпораций колеблется очень сильно, и вместе с ней колеблется размер собираемого налога на эту прибыль. Во-вторых, вследствие снижения объема продаж снижаются налоги на продажи.
                                            В-третьих, снижение индивидуальных доходов происходит в форме перемещения значительной массы налогоплательщиков в более низкие доходные интервалы, с которых в соответствии с прогрессивной шкалой берутся более низкие налоги. Вследствие всех этих причин средняя налоговая ставка снижается во время рецессии и растет в периоды подъемов.
                                            Трансферты и налоги воздействуют на AD через изменения в располагаемом личном доходе (YD). Многочисленные исследования по большой группе развитых стран показали, что YD меняется не более чем на 40% по отношению к изменениям в ВНП (Y). Остальные 60% перекрываются действием автоматических стабилизаторов и дискреционной политикой.
                                            Дискреционная фискальная политика сознательный выбор правительством налогов и расходов для достижения целей макроэкономической стабилизации и социальных задач.
                                            Вопрос о бюджетном дефиците почти всегда является политическим вопросом. Это происходит в силу ряда причин. Во-первых, дефицит часть общей статистической картины экономики, в которой отражается поведение многих макроэкономических переменных.
                                            Он как верхушка айсберга. В простейшем виде бюджетный дефицит разница между бюджетными расходами и доходами, которая должна покрываться (финансироваться) либо выпуском государственных ценных бумаг, либо эмиссией денег. Поэтому макроэкономическое воздействие дефицита должно анализироваться через рассмотрение воздействия бюджетных доходов, расходов, государственных ценных бумаг и денежной массы.
                                            Обычно в ходе цикла бюджетный дефицит нарастает в периоды рецессии, когда экономика действует на уровне ниже потенциала, и снижается (либо исчезает) в периоды подъемов, когда экономика действует выше потенциала, так как в периоды рецессии расходы растут, а доходы снижаются, но в периоды подъемов расходы относительно снижаются, а доходы увеличиваются. В обоих случаях речь идет о циклическом дефиците. Но если экономика действует на уровне потенциала, то что за бюджетный дефицит возможен на этой стадии?
                                            Для ответа на данный вопрос экономисты создали концепцию дефицита при полной занятости дефицита, который возникает, когда экономика действует на уровне полной занятости, т. е. при естественной норме безработицы. Этот дефицит «очищен» от циклических значений дефицита (излишка). Он получается на основе расчетов функций реакции для бюджетных расходов и доходов и определения тех уровней расходов и доходов, которые соответствуют потенциальному ВНП.
                                            В последние два десятилетия бюджетный дефицит при полной занятости стали называть структурным дефицитом, а разницу между фактическим и структурным дефицитом циклическим дефицитом.
                                            Теперь мы вновь возвращаемся к взаимосвязи бюджетного дефицита и процентных ставок, поскольку эта связь имеет важное значение для понимания роли государства в изменениях совокупного спроса. Рост дефицита, вызванный либо увеличением расходов, либо снижением налогов, приведет к росту процентных ставок. Реальная картина последних 30 лет во многих странах была такова, что в кратковременные периоды реальная ставка процента падала, когда дефицит нарастал, и наоборот. Это точно соответствует циклическим закономерностям поведения дефицита.
                                            Дефицит возникает или растет в период рецессии (спада), когда по многим причинам низка и ставка процента (все мотивы спроса на деньги ослаблены).
                                            Ключевые слова и понятия

                                            • Автоматические стабилизаторы
                                            • Автоматическая фискальная политика
                                            • Акцизы
                                            • Валовые налоговые поступления
                                            • Государственные расходы
                                            • Дискреционная фискальная политика
                                            • Единовременные налоги
                                            • Излишнее налоговое бремя
                                            • Косвенные налоги
                                            • Мультипликатор автоматических расходов
                                            • Налог на имущество
                                            • Налог на продажи
                                            • Налог на фонд заработной платы
                                            • Налоговая функция
                                            • Налоговые утечки
                                            • Нейтральный налог
                                            • Подушный налог
                                            • Предельная налоговая ставка
                                            • Предельная склонность к налоговому изъятию
                                            • Прогрессивный налог
                                            • Пролонгация долга
                                            • Пропорциональный налог
                                            • Прямые налоги
                                            • Равенство Рикардо
                                            • Регрессивный налог
                                            • Средняя налоговая ставка
                                            • Структурный дефицит
                                            • Фискальная политика
                                            • Функция реакции, или правило политики
                                            • Чистые налоговые поступления
                                            • Чистые потери
                                            • Циклический дефицит
                                            ИТОГИ ИЗУЧЕНИЯ ТЕМЫ

                                            1. Валовые государственные расходы включают покупку товаров и услуг, а также трансферты, в состав которых входят как социальные трансферты и субсидии, так и выплаты процентов по государственному долгу. Доходы государства включают налоги и доходы от госсектора. Фискальная политика является, по существу, управлением государственным бюджетом с целью достижения макроэкономических и макросоциальных целей правительства.
                                            2. Государство (власти) обеспечивает население общественными благами, которые никого не исключают из процесса их потребления и за которые никто не конкурирует. Государство обеспечивает социальные гарантии населению. G расходы на госзакупки товаров и услуг. Величина G определяется политическими решениями.
                                            3. Налоги главный источник доходов властей. Валовые налоговые поступления (Tg) включают доходы от сбора налогов всеми уровнями властей. Чистые налоговые поступления (T) равны Tg за вычетом трансфертов. Трансферты отрицательные налоги. Т зависят от уровня совокупного дохода. Налоговая функция описывает связь между T и Y. Постоянный наклон функции мы называем предельной склонностью к налоговому изъятию.
                                            4. G элемент AD. Когда G растут, растет AD, но одновременно снижается С. При ряде общепринятых допущений равновесный уровень Y определяется из условия равновесия. Равновесный уровень Y равен мультипликатору автономных расходов, умноженному на величину автономных расходов. Налоги снижают величину мультипликатора расходов.
                                            5. Предельная налоговая ставка дополнительная налоговая ответственность, деленная на дополнительный доход. Средняя налоговая ставка вся налоговая ответственность, деленная на весь облагаемый доход. Налоги на продажи и акцизы косвенные налоги. Помимо налогов, источниками бюджетных ресурсов являются платные услуги властей и займы. Пролонгация госдолга заимствование новых фондов для оплаты государственных ценных бумаг.
                                            6. При отсутствии ограничений на заимствования изменение в выборе времени для изъятия налогов при неизменности G не воздействует на объем национальных S. Это утверждение ведет к выводу о том, что бюджетный дефицит, вызванный снижением текущих налогов, не влияет на макроэкономическую ситуацию (равенство Рикардо).
                                            7. Нейтральные налоги те налоги, которые не подрывают структуру С, производство в фирмах, не стимулируют уклонения от налогов. Идеальной формой нейтрального налога является подушный налог. Излишнее налоговое бремя создает чистые социальные потери. Оно угнетает экономическую деятельность, снижает ее объем, что ведет к подрыву налоговой базы.
                                            Правило политики (функция реакции) реакция государственного сектора на экономические колебания. Автоматическая фискальная политика связана с действием автоматических стабилизаторов. Дискреционная фискальная политика связана с сознательным выбором властями налогов и расходов для достижения целей макрополитики.
                                            Бюджетный дефицит, существующий, когда Y = Yp, называется структурным дефицитом. Разница между фактическим и структурным дефицитом рассматривается как циклический дефицит.




                                            У денег есть две особенности.


                                            Срочный депозит счет в банке или ином финансовом институте в целях получения дохода в форме процента. Такой депозит означал помещение денег в банк на твердо оговоренный срок. Он приносил процентный доход, но нельзя было без потери дохода изъять депозит до истечения срока. В 80-е гг. повсеместные (в западных странах) финансовые реформы привели к тому, что возникли смешанные формы. Помещения вкладов в банки и финансовые институции. В частности, появился NOW (negotiable order of withdrawal оборотный изымаемый вексель) счет, который комбинирует срочный депозит с ограниченным числом чековых переводов в месяц.
                                            Другой такой формой стали ATS (automatic transfer services автоматическое трансфертное обслуживание) счета, которые позволяют автоматический перевод сберегательного счета в чеки.
                                            § 115. ПРЕДЛОЖЕНИЕ ДЕНЕГ Предложение денег (денежная масса) категория, которая не так легко поддается определению. Что именно должно включаться в эту категорию? Этот вопрос до сих пор остается актуальным и вызывает определенные споры. Наиболее полным будет, вероятно, следующее определение: предложение денег те активы, которые широко используются и принимаются как средство платежа.
                                            В свою очередь, активы все, имеющее ценность, что может быть законным предметом собственности. Многими экономистами применяется более практическое определение денежного предложения: предложение денег (денежная масса) является суммой всех декретных и банковских денег. Но в этом определении традиционно была одна трудность, связанная сначала с историческим различием между депозитами до востребования и срочными депозитами, а затем с различием активов по степени ликвидности.
                                            Ликвидность способность активов конвертироваться в средство обмена. Степень ликвидности зависит от легкости и затрат, при которых активы могут конвертироваться в средство обмена.
                                            Традиционно совершенной ликвидностью обладали монеты, бумажные деньги, затем к ним присоединились депозиты до востребования. Но все другие активы были существенно менее ликвидны. В западных странах, например, сберегательные счета нужно было сначала превратить в наличность или в депозиты до востребования, а сами эти счета не могли использоваться как средство обмена.
                                            Другими словами, сберегательные счета обладают ликвидностью, но не совершенной. Таким образом, различие между «чисто» денежными и неденежными формами активов вызывает некоторые проблемы. Примером могут быть также так называемые взаимные фонды. Институты взаимных фондов продают свои паи (акции) акционерам, а выручку инвестируют в краткосрочные государственные и краткосрочные ценные бумаги. Функция взаимных фондов заработать доход своим акционерам.
                                            Однако почти во всех институтах акционерам разрешается помесячно списывать часть счетов в чеки. Означает ли это, что взаимные фонды часть предложения денег? Однозначного ответа на этот вопрос нет.
                                            По указанным причинам различные активы ранжируются по степени их ликвидности. В странах с традиционными развитыми финансовыми рынками физические (индивиды) и юридические (фирмы) лица, как правило, имеют коллекции различных активов, или портфель ценных бумаг, в котором активы «расставлены» по степени их ликвидности. То же самое происходит и в масштабах всей страны.
                                            В любой стране имеется несколько рабочих определений предложения денег (денежной массы). Официальные показатели денежной массы называют денежными агрегатами. Они отличаются по набору входящих в них активов.
                                            Показать эти различия на российском примере все еще сложно по причинам ограниченности применения как банковских денег (депозитов), так других форм активов, обращающихся на финансовом рынке. Поэтому попробуем рассмотреть, например, американские денежные агрегаты.
                                            Денежный агрегат М1 наиболее узко определяемый Показатель денежной массы, который включает наличность (монеты и бумажные деньги) и депозиты, конвертируемые в чеки (т. е. обналичиваемые депозиты). В состав М1 включают NOW- и AТS-счета, туристические чеки и все обналичиваемые чеки, которые можно применить для немедленного осуществления сделок и операций.
                                            Денежный агрегат М2 включает все части М1 и дополнительно те активы, которые менее ликвидны в сравнении с М1 такие, как сберегательные депозиты, взаимные фонды денежного рынка, краткосрочные (но все-таки срочные) депозиты на сумму меньше чем 100 тыс. долл., при условии потери процентных доходов. Конечно, граница между М1 и М2 довольно условна, вследствие чего сегодня в США в качестве главного индикатора денежной массы рассматривают М2
                                            Денежный агрегат М3 включает все компоненты М2 плюс долгосрочные депозиты, депозиты американцев в банках Англии и Канады, в зарубежных филиалах американских банков, другие депозиты.
                                            Во всех странах денежная масса находится под контролем центральных банков. Сегодня для большинства стран нормальным считается состояние, при котором центральные банки являются бесприбыльными организациями, обеспечивающими денежную массу без цели максимизации прибыли от производства денег. Поэтому в таких странах объем денежной массы не зависит от альтернативных затрат держания наличности на руках, т. е. от ставки процента.
                                            Однако нужно твердо знать, что предложение денег, или денежная масса, определяется решениями властей (в России решениями федеральных властей).
                                            §116. СПРОС НА ДЕНЬГИ Спрос на деньги объем активов в денежной форме (таких, как наличность и чековые депозиты), которые население выбирает для того, чтобы держать их в своих портфелях. Иными словами, предъявляя спрос на деньги, люди осуществляют часть решений по распределению активов в своих портфелях.
                                            Спрос на деньги зависит от ожидаемого дохода, от риска и от ликвидности денег и других активов.
                                            У денег есть две особенности. Во-первых, они являются наиболее ликвидным активом, и в этом главный смысл их держания людьми. Во-вторых, наличность на руках не создает дохода. Но и банковские деньги дают низкий доход в сравнении с менее ликвидными активами. Держание денег на руках имеет свои альтернативные затраты (свою упущенную выгоду).
                                            Эти затраты упущенный процент, который мог бы быть заработан этими деньгами, если бы их поместили в менее ликвидные активы. Существование этих альтернативных затрат предполагает, что кривая спроса на деньги наклонена вниз. Спрос на деньги принадлежит закону спроса.
                                            Упущенная цена держания денег на руках процент. Если процент повышается, то величина спроса на деньги понижается, и наоборот.
                                            Тем не менее, для держания денег на руках есть свои мотивы. Первый из них - трансакционный мотив, т. е. мотив иметь при себе наличность на случай заключения сделки, операции (трансакции). Второй мотив предосторожности, особенно знакомый, прежде всего пожилым людям (иметь наличность или банковские деньги на случай немедленной потребности в них). Наконец, третий мотив спекулятивный.
                                            Для тех, кто регулярно участвует в спекулятивных операциях, определенный объем спроса на деньги является обычной необходимостью.
                                            На спрос на деньги воздействуют различные макроэкономические переменные: уровень цен, реальный ВНП, ставка процента. Более высокий уровень цен и ВНП увеличивает потребности населения в ликвидных средствах и тем самым повышает спрос на деньги. При прочих равных условиях номинальный спрос на деньги пропорционален уровню цен.
                                            8 лет назад мы могли пообедать за 1 р., сегодня за 30 р. Так как цены выросли в 30 раз, количество денег для оплаты наших покупок тоже должно было вырасти в 30 раз.
                                            Более богатый человек делает больше покупок, чем бедный. Так и экономика в целом чем выше ВНП, тем больше скупок и сделок (трансакций), а следовательно, больше спрос на деньги. Но нет необходимости в том, чтобы рост ВНП и рост спроса на деньги были пропорциональны.
                                            Рост спроса на деньги обычно отстает от роста ВНП, так как, во-первых, более доходные группы населения и более богатые фирмы часть доходов направляют в малоликвидные активы получения процента (т. е. эта часть доходов не служит источником спроса на деньги), во-вторых, совершенствование финансовой системы создает немало привлекательных альтернатив для денег (применение, например, таких денежных заменителей, как кредитные карточки).
                                            Если предположить, что риск и ликвидность постоянны, то спрос на деньги зависит от ожидаемой отдачи одновременно как от денег, так и от неденежных активов. Если вы обладаете государственной ценной бумагой, дающей доход 50% в год, и депозитом, дающим 16%, то вы, конечно, предпочтете максимально возможную часть доходов использовать для покупки гособлигаций. Россияне на своем практическом опыте все еще слабо ощущают эти различия вследствие того, что наша финансовая система не предлагает широкого выбора денежных и неденежных активов.
                                            Воздействие ценового уровня, реального ВНП и ставки (Процента на денежный спрос может быть описано следующим образом:
                                            МD = PL(Y, i, im),
                                            где МD совокупный спрос на деньги;
                                            Р ценовой уровень;
                                            Y реальный ВНП;
                                            i номинальная ставка процента на неденежные активы;
                                            im номинальная ставка процента на денежные активы;
                                            L функция денежного спроса по отношению к реальному ВНП, i и im.
                                            Приведенное уравнение показывает, что MD пропорционален ценовому уровню Р.



                                            В долгосрочном периоде зарплата изменяется.


                                            При текущем уровне цен, равном 110, ожидаемый уровень (при высокой зарплате) оказывается выше на 18,2%
                                            , а ВНП ниже потенциала на уровне 1200 млрд р. В долгосрочном периоде зарплата изменяется. Для того чтобы дать прогноз такого изменения (а без него мы не установим положения кривой краткосрочного совокупного предложения), люди должны сформировать прогноз и уровня цен, и номинальной зарплаты одновременно, поскольку они тесно взаимосвязаны. Эта взаимосвязь возможна лишь в точке, где прогнозируемая зарплата вынуждает кривую SRAS пройти через точку пересечения кривых ожидаемого LRAS и ожидаемого AD.
                                            На 24-4, б это точка А, где ожидаемый ценовой уровень равен 120, а ВНП 1325 млрд р. В этой точке мы одновременно предсказываем положение кривой SRAS и ценового уровня, поскольку эти два прогноза соответствуют друг другу.
                                            Таким образом, неожидаемые изменения (шоки) спроса и предложения создают инфляцию и ведут к росту затрат. Поэтому люди пытаются спрогнозировать, сформировать инфляционные ожидания и избежать бремени этих затрат. Если люди могут верно спрогнозировать инфляцию, они тем самым могут установить номинальную зарплату на уровне зарплаты при естественной норме безработицы, т. е. в точке, где фактический ценовой уровень совпадает с ожидаемым ценовым уровнем. Рост инфляции произойдет, но это не нанесет ущерба уровню ВНП. Допустим, что первоначальное положение экономики находится в точке E0 где Р составляет 120, а ВНП 1325 млрд р. (см.
                                            24-5). Если ожидаемый темп инфляции составляет 10%, то при неизменном уровне LRAS и росте AD до AD1 ценовой уровень повысится в течение года до 132. В результате этого изменения кривая SRAS0 сдвинется на SRAS1. Если AD повысится в полном соответствии с ожиданиями, то кривая фактического спроса совместится с кривой ожидаемого AD.
                                            Тогда ожидаемый уровень инфляции окажется предсказанным верно.
                                            В следующем году история повторится. Ожидаемый AD сместится на AD2 а увеличение трудовых затрат сдвинет SRAS1 на SRAS2. Уровень ВНП останется неизменным, но уровень цен

                                            В долгосрочном периоде зарплата изменяется.

                                            Гис.24-5
                                            Поднимется до 145 (+ 10%). Ожидаемый рост AD будет адекватно сдвигать кривую SRAS. Поскольку AD рос на ожидаемую величину, фактический сдвиг кривой AD происходил с AD0 на AD1, а затем на позицию AD3.
                                            Фактический и ожидаемый сдвиг кривой AD вел к ожидаемому росту ценового уровня.
                                            А что если фактический рост AD отличается от ожидаемого? Такой вариант не исключен. В этом случае кривая ожидаемого AD сдвинется на величину, отличающуюся от кривой фактического AD.
                                            Разница составит уже величину неожидаемой инфляции, описанной выше.
                                            Ожидаемая инфляция умеренного типа (однозначная цифра в год) ведет к небольшим издержкам. Экономисты выделяют два вида таких издержек оба с забавными названиями. Первый вид «издержки меню», т. е. затраты на постоянную замену прейскурантов, смену витринных ценовых табличек и других ценовых обозначений. Второй вид «эффект стоптанных подметок», т. е. затраты на постоянные и частые визиты в банк.
                                            Последнее связано с тем, что при инфляции люди хотят «спрятать» наличные деньги в те виды активов, которые приносят доход и тем самым снижают номинальные потери от инфляции. Но при этом люди все-таки нуждаются именно в наличных для обеспечения ежедневных затрат на жизнь, и поэтому им приходится чаще бегать в банк для обналичивания мелкими порциями своих активов (депозитов и т. д.).
                                            Ожидаемая инфляция при галопирующем темпе (от 10 до 200% в год) уже становится опасным явлением. При ней деньги быстрее теряют свою ценность. Чем быстрее это происходит, тем в большей мере деньги теряют функцию обмена. Становится реальной перспектива развития бартера.
                                            Но ожидаемая инфляция при почти гиперинфляции или при гиперинфляции (свыше 50% в месяц на протяжении не менее трех месяцев подряд) ведет к существенной потере многих функций денег. Люди стараются сбыть их с рук немедленно, бартер расцветает, появляются новые средства обмена (в России водка, сигареты в эпоху резкой скрытой инфляции в 19901991 гг.). Наконец, появляется реальная угроза подавления национальной валюты иностранной.
                                            В 19921993 гг. эта тенденция стала очевидной в России.
                                            § 132. МЕРЫ ПО СНИЖЕНИЮ ИНФЛЯЦИИ Обычно многие задают вопрос о том, возможна ли нулевая инфляция, т. е. неменяющийся, стабильный уровень цен? Нужно сказать, что в сверхдолговременных периодах мы можем найти положительный ответ на данный вопрос.
                                            Но это были периоды до 40-х и 50-х гг. нашего столетия. Например, уровень цен в 1940 г. в США был примерно таким же, как и в 1820 г. (хотя в этом 120-летнем промежутке было все: взлеты цен, одна гиперинфляция, падение цен).
                                            Однако сегодня ответ на этот вопрос выглядит иначе. Теоретически (частично и практически) можно представить себе стабильный уровень цен. В социалистической экономике уровень «назначенных» цен был стабилен. Но он скрывал и порождал скрытую инфляцию рост огромного тотального дефицита.
                                            Стоило освободить цены, и они буквально ринулись вверх.

                                            В долгосрочном периоде зарплата изменяется.

                                            24-6
                                            Но верно было бы сказать, что в статическом мире (социалистической экономики) уровень цен может быть стабилен. Он стабилен, ибо цена регулятором в этом случае не является. А в динамическом мире, где относительные цены меняются постоянно, взаимно перестраиваясь, часть цен на товарных и факторных рынках растет, другая одновременно снижается или, по крайней мере, не растет. При этом рост цен на рынках, где спрос обгоняет предложение, происходит несколько быстрее, чем их снижение на рынках, где предложение обгоняет спрос.
                                            Этот структурный факт создает инфляционную тенденцию в несколько пунктов в год. Кривая SRAS медленно сдвигается.
                                            Все экономисты так или иначе рассматривают вопрос о смягчении инфляции. При этом они анализируют, во-первых, социальные и экономические издержки сохранения инфляции и, во-вторых, издержки контроля над инфляцией в форме роста нормы безработицы. Практически все экономисты считают, что одним из наиболее сильных средств для быстрого снижения инфляции является резкое снижение темпа роста денежной массы (Sm).
                                            На 24-6 первоначально экономика находится в точке E0. При этом существует ожидание сдвига AD0 на AD1, вследствие чего кривая SRAS0 сдвигается на SRAS1. Ценовой уровень с Р0 поднимается до Р1.
                                            Но если правительство замораживает рост Sm, оно тем самым не дает AD уйти с позиции AD0. И тогда экономика перемещается не в точку Е1, а в точку ESR, достигая кратковременного равновесия и более низкого уровня цен, чем ожидалось. Но мерой этого снижения становится рецессионный разрыв.
                                            В более долговременном периоде все те, кто принимает решения, изменяют (понижают) свои инфляционные ожидания, вследствие чего факторные затраты снижаются и кривая SRAS1 возвращается на место SRAS0, что и являлось целью резкого снижения темпа роста Sm. Такое резкое снижение темпа роста Sm экономисты называют весьма забавно методом «холодной индюшки».
                                            Метод «холодной индюшки», однако, неодинаково оценивается разными экономическими школами. Кейнсианцы, например, полагают, что последствия «холодной индюшки» в форме скачка нормы безработицы слишком болезненны, а издержки умеренной инфляции вполне терпимы. Отсюда вывод: лучше сосуществовать с умеренной и даже низкой галопирующей инфляцией, чем пытаться подавлять ее. При этом, как считают некоторые из кейнсианцев, можно применить такой метод, как индексацию, т. е. автоматическую перестройку зарплаты и цен к темпу инфляции. Для этого нужно включить «эскалатор стоимости жизни» во все контракты, и в этом случае сохранится реальная стоимость доходов, налогов, трансфертов, цен.
                                            В такой ситуации не возникает перераспределения доходов и богатства, относительные цены сохранят свою регулирующую роль и тем самым обеспечат эффективное распределение ограниченных ресурсов общества. В реальной жизни индексация либо отставала от темпа инфляции и осуществлялась с лагом, либо вела к ускоряющемуся увеличению инфляции.
                                            Еще одной кейнсианской мерой смягчения инфляции является градуализм медленное снижение темпа инфляции при помощи регулирования совокупного спроса. В период администрации Дж. Картера (во второй половине 70-х гг.) в США градуалистские попытки способствовали глубокой рецессии.
                                            В России призывы к градуализму исходили от академических экономистов в 19921993 гг.
                                            Сторонники градуализма обычно выступают также за сведение так называемой политики цен и доходов, т.е. за становление правил, ограничивающих рост доходов и товарных цен. В 1992-1993 гг. меры, ограничивающие рост зарплаты, были обычным делом в России. Однако их оппонентам как будто было неизвестно, что такие меры могут дать относительный результат, только если правительство попытается одновременно сдержать совокупный спрос.
                                            Вместо регулирования AD российские власти неоднократно в огромных размерах практически безвозмездно кредитовали российских производителей (директорский корпус), добиваясь противоположного.
                                            Жесткий контроль над ценами и доходами может вести, и это много раз случалось, к подавлению SRAS. Практически в ходе всех гиперинфляции под давлением населения власти пытались ввести запретительные меры на рост цен.



                                            Великая инфляция 70-х гг.


                                            е. на уровень заработной платы. Одновременно снижение реальной зарплаты (вследствие роста цен до РSR) сокращало затраты производства, что и начало сдвигать SRAS1 на SRAS2. Давление осуществлялось на обе переменные: на темп инфляции (понижая его) и на норму безработицы (понижая ее до уровня естественной нормы). Таким образом, экономика не могла оставаться на кратковременной кривой Филлипса, что и показывает часть в 25-3. В ситуации рецессионного разрыва экономика находилась в точке А, где безработица выше естественной нормы, что давит на темп инфляции.
                                            Поэтому автоматическая перестройка направит экономику примерно в точку D (часть в), что дает более низкое значение инфляции, чем в точке А. Эта точка долгосрочного равновесия не может быть на первоначальной краткосрочной кривой Филлипса. Аналогичный процесс перестройки пройдет и в случае инфляционного разрыва ( 25-3, б показывает этот процесс), в ходе которого экономика, испытывающая избыточную занятость (норма безработицы в точке С ниже естественной нормы), получает затем сдвиг кривой SRAS1 на SRAS2 вследствие чрезмерных затрат производства. Теперь она окажется в точке ЕLR (б). На 25-3, в вся ситуация показана сначала в точке С, а затем в точке Е, где норма безработицы вернется к естественному уровню.
                                            Сдвиг в уровне совокупного предложения обеспечил давление и на темп инфляции, и на норму безработицы. В итоге темп инфляции повысится, а норма безработицы снизится.
                                            Таким образом, и в случае рецессионного, и в случае инфляционного разрывов процесс автоматической перестройки обеспечивает сдвиг кривой SRAS и восстанавливает естественную норму безработицы. Следовательно, на краткосрочной кривой Филлипса устойчивой является лишь одна точка та, где норма безработицы соответствует естественной норме. В долгосрочном периоде фактическая норма безработицы должна быть равна естественной, но темп инфляции может быть при этом любым высоким или низким (см. точки D и Е на 25-3, в). Эти точки и являются графическим представлением долгосрочной кривой Филлипса, а сама кривая (РСLR) показывает комбинации инфляции и безработицы, которые могут быть стабильными в течение долговременного периода.
                                            Следовательно, в долгосрочном периоде конкурентного выбора между инфляцией и безработицей не существует. Любой темп инфляции может сосуществовать с естественной нормой безработицы в долгосрочном периоде.
                                            Поэтому краткосрочная кривая Филлипса не является «меню», которое хотели бы иметь политики. Политики могут за счет изменений совокупного спроса уменьшить норму безработицы в обмен на более высокий темп инфляции (переместить равновесие из точки В в точку С см. часть в), но этот конкурентный выбор просуществует лишь кратковременный период. Истинное «меню» политического выбора лежит на вертикали долгосрочной кривой Филлипса.
                                            Существует несколько объяснений возникшей с 70-х гг. нестабильности краткосрочной кривой Филлипса. Среди них следует выделить два главных. Одно из них указывает на то, что в западном мире экономические колебания в 70-е гг. вызывались отрицательными шоками предложения, а не колебаниями совокупного спроса.
                                            В начале темы мы специально подчеркнули, что в 50-е гг. было подмечено значение изменений совокупного спроса. Поэтому первая точка зрения, отмечающая доминирующую роль отрицательных шоков предложения в 70-е гг., указывала на то, что при изменении совокупного предложения сдвиг идет не вдоль кривой, а вся кривая Филлипса сдвигается.
                                            Другая точка зрения указывала на то, что кривая Филлипса демонстрирует не взаимосвязь инфляции и безработицы, а взаимосвязь между ожидаемой инфляцией и безработицей. Стоит несколько подробнее рассмотреть обе эти точки зрения.
                                            Сегодня в мировом экономическом сообществе существует почти единодушное мнение о том, что шоки предложения 70-х гг. основной виновник периода Великой инфляции 70-х гг. Революция мировых цен на нефть и ряд других сопутствующих или параллельных шоков действительно должны взять на себя эту ответственность.

                                            Великая инфляция 70-х гг.

                                            25-4
                                            Вся сумма этих событий реально повлияла на совокупное предложение, сдвинув влево не только кривую SRAS, но, вероятно, даже и кривую LRAS. Вместо привычной обратной взаимосвязи между инфляцией и безработицей под воздействием отрицательных шоков предложения возникла прямая взаимосвязь между двумя этими явлениями рост безработицы (рецессионный разрыв, спад) стал сопровождаться одновременным ростом инфляции, что получило название стагфляции. Вместе с тем возникли ситуации, когда при сдвиге кривой SRAS влево кривая Филлипса сдвигалась вверх и вправо, так что при одном и том же уровне инфляции ( 25-4) могли существовать различные уровни безработицы.
                                            Напротив, при улучшении ситуации с совокупным предложением обратная взаимосвязь между инфляцией и безработицей могла хотя бы частично восстанавливаться.
                                            Значительная часть экономистов убеждена, что на нестабильность кривой Филлипса в 70-е гг. повлияли инфляционные ожидания. Если, допустим, население ожидает инфляцию в 20% в год, то владельцы факторов производства, производители и даже власти будут повышать цены на факторы, на товары и услуги, номинальные расходы на покупку товаров и услуг. В итоге кривая SRAS сдвинется влево и вынудит к сдвигу краткосрочную кривую PC. Другими словами, постоянство инфляционных ожиданий является условием стабильности краткосрочной кривой Филлипса. Это обстоятельство было обнаружено через 10 лет после открытия Филлипса.
                                            Независимо друг от друга два выдающихся американских экономиста Милтон Фридман и Эдмунд Фелпс сделали предположение о том, что кривая Филлипса может 'быть стабильной только в случае, если не изменяется ожидаемый темп инфляции. Они обнаружили также, что Филлипс для своей работы использовал периоды времени, в которых темп инфляции был одинаковым. Поэтому устойчивыми были инфляционные ожидания, следовательно, устойчивой получилась и кратковременная кривая Филлипса.
                                            Но при изменениях инфляционных ожиданий кривая Филлипса сдвигается (рост инфляционных ожиданий ведет к росту факторных затрат и сдвигу кривой SRAS влево, что сдвигает вверх кривую PC).
                                            § 134. ВЗАИМОСВЯЗЬ ИНФЛЯЦИЯ/БЕЗРАБОТИЦА И ПОИСК РАБОЧЕГО МЕСТА Итак, мы знаем теперь весьма важное макроэкономическое положение, в соответствии с которым конкурентный выбор между инфляцией и безработицей существует в краткосрочном, но не существует в долгосрочном периоде. Зная его, мы можем рассмотреть вопрос о том, как работники ищут необходимые им рабочие места, а фирмы нужных им работников.
                                            Нам уже известно, что естественная норма безработицы возникает, когда число безработных, активно ищущих работу, почти сбалансировано с числом имеющихся рабочих мест. Когда экономика действует при естественной норме безработицы, фактическая безработица равна фрикционной плюс структурная. Это значит, что информация на рынке труда все еще несовершенна (фрикционная безработица) и что у части безработных квалификация не соответствует имеющимся свободным рабочим местам (структурная безработица).
                                            Люди становятся безработными по самым разным причинам. Некоторых увольняют, некоторые увольняются, некоторые не могут сразу найти свою первую работу. Но все, кто хочет иметь рабочее место, активно ищут его.
                                            Эту деятельность экономисты называют деятельностью по поискам рабочего места или поисками рабочего места. Одновременно фирмы ищут необходимых работников, тоже осуществляя поисковую деятельность. И те, и другие поиски требуют затрат.
                                            Для их успеха нужна обширная информация, которая не является бесплатным благом. Согласие на первое попавшееся рабочее место или на наем первого попавшегося работника часто ведет к недополучению доходов работниками и прибылей фирмами.
                                            Экономисты и в этом случае прибегают к технологии маржинального анализа, применяя понятия предельной выгоды от поисков работы и предельных затрат на поиск рабочего места. Предельная выгода дополнительная выгода, которую ищущий рабочее место получает от продолжения поисков (или фирма от поисков нужного работника) вместо согласия на уже имеющееся рабочее место. Предельные затраты на поиски дополнительные затраты, которые ищущий рабочее место (или работника) несет, вместо того чтобы согласиться на доступное рабочее место. Предельные затраты увеличиваются по мере увеличения времени поисков.
                                            Каждый дополнительный день означает неполученную зарплату и новые затраты на поиски. В то время как растут предельные затраты, снижается предельная выгода от поисков. Пока предельная выгода перекрывает предельные затраты, работник (фирма) будет продолжать поиски.
                                            Когда выгода и затраты сравниваются, ищущий (работник или фирма) остановится на доступном ему выборе.
                                            Усилия по поиску так или иначе воздействуют на норму безработицы. Норма безработицы зависит не только от числа безработных, но и от продолжительности поисков рабочего места. Чем дольше идут поиски (средний период времени, в течение которого ищущий остается без работы), тем выше будет норма безработицы (и наоборот).
                                            Вместе с тем, если по каким-то причинам предельные затраты на поиски будут расти, это вынудит сократить время поисков и согласиться на доступное рабочее место.



                                            Восстановительные инвестиции


                                            Они исходили из предположения о случайных сдвигах (вверх и вниз) в производственной функции. В годы, когда обеспечивался высокий уровень производительности, люди работали больше и лучше, поэтому уровни совокупного производства и занятости были высокими. А рецессии случались, когда технология стагнировала и люди стремились работать поменьше. Таким образом, теория реальных экономических циклов основана на причинности колебаний в совокупном предложении. Она относит нас к проблемам факторной производительности и межвременных (капиталистических) производственных возможностей. Даже если проблемы с производственными возможностями являются временно независимыми, реальные показатели, такие, как совокупное производство, потребление, физический капитал, обнаруживают положительную сериальную корреляцию.
                                            С точки зрения существования на рынке труда гибкой зарплаты, единственным источником колебаний ВНП являются сдвиги кривой совокупного спроса. Изменения совокупного спроса (сдвиги кривой AD) ведут к изменениям в совокупном уровне цен, а не к изменениям в реальном ВНП. Теория реальных циклов признание, что колебания AS являются единственным источником колебаний ВНП и других макропеременных.
                                            Случайные колебания в динамике технологических изменений ведут к колебаниям в динамике накопления, так что краткосрочная производственная функция сдвигается неравномерно вверх. Эти изменения сдвигают вправо кривую спроса на труд, но тоже неравномерно. Рост численности населения ведет к сдвигу вправо кривой предложения труда. Однако неравномерный темп технологических изменений ведет к колебаниям в реальной ожидаемой зарплате и тем самым к изменениям в предложении труда.
                                            Эти изменения в производственной функции, спросе на труд и предложении труда создают изменения в равновесном уровне занятости, реальной зарплате и реальном ВНП, сдвигая кривую долгосрочного совокупного предложения. Иными словами, технический прогресс сдвигает кривую LRAS вправо, но неравномерно, что и развязывает макроэкономические колебания.
                                            В соответствии с теорией реальных циклов рынок труда благодаря гибкости зарплаты всегда находится в состоянии равновесия на уровне естественной нормы занятости. Кривая LRAS является в то же время кривой SRAS. Как уже подчеркивалось, сдвиги кривой LRAS ведут к макроэкономическим колебаниям.
                                            Когда происходит сдвиг вправо экономика находится в фазе подъема. Когда происходит сдвиг влево экономика входит в рецессию, реальный ВНП снижается.
                                            По мнению авторов теории реальных циклов, экономическая политика правительства воздействует на совокупный спрос, но не воздействует на реальный ВНП. Когда эта

                                            Восстановительные инвестиции

                                            26-1
                                            политика увеличивает совокупный спрос, реальный ВНП снижается, и тогда специальные меры денежно-кредитной политики ведут к более сильным колебаниям ценового уровня.
                                            26-1 показывает набор ситуаций, описываемых теорией реальных циклов. Первоначальное состояние экономики (E1, LRAS1, AD1, P1, Q1) нарушается какими-либо событиями типа кризиса мировых цен на нефть в 1973 и 1979 гг., и LRAS1 сдвигается влево на LRAS2. Если экономическая политика не меняется, то экономика оказывается в точке Е2 с ценовым уровнем Р2 совокупным производством Q2.
                                            Это, конечно, плохо, но, по мнению авторов теории, есть худший вариант когда правительства принимают специальные монетарные меры для увеличения совокупного спроса.
                                            Тогда кривая AD1 сдвигается вправо на AD2, а равновесная точка переходит на E3 с более высоким уровнем цен (рост денежной массы подстегнул инфляцию) и без увеличения реального ВНП.
                                            Не все идеи сторонников теории реальных циклов разделяются большинством экономистов. Но анализ, который был проделан в ходе поисков аргументации этой теории, оказался весьма плодотворным.
                                            Ключевые слова и понятия

                                            • Восстановительные инвестиции
                                            • Масштаб
                                            • Неоклассическая теория экономического роста
                                            • Норма временного предпочтения
                                            • Оптимальный запас физического капитала
                                            • Постоянная отдача от масштаба
                                            • Почасовая производительность
                                            • Предельный продукт капитала
                                            • Производительность
                                            • Рабочее усилие
                                            • Реальный экономический цикл
                                            • Рост при устойчивом состоянии
                                            • Чистые инвестиции
                                            • Эффект замещения
                                            • Эффективный капитал
                                            • Эффективный труд
                                            ИТОГИ ИЗУЧЕНИЯ ТЕМЫ

                                            1. На долгосрочные изменения ВНП и уровня затрат прежде всего воздействуют новая техника и технология, новые продукты, более производительные факторные ресурсы. Для измерения изменений в эффективности факторов применяется понятие производительности объем производства на единицу факторного ресурса. Одним из важнейших показателей производительности является почасовая производительность труда объем производства на единицу (1 час) труда. В течение всего XX в. шел интенсивный процесс замены L и К, что служило источником постоянных технологических изменений.
                                            2. Теория экономического роста изучает долгосрочные явления, связанные с воздействием сбережений и инвестиций на увеличение потенциального национального дохода. На рост влияет та часть инвестиций, которая сдвигает кривую производственных возможностей. Национальные сбережения тем ниже, чем выше бюджетный дефицит. Бюджетный дефицит снижает объем источников роста.
                                            3. А. Смит, Д. Рикардо и Т. Мальтус внесли определенный вклад в общее понимание проблем экономического роста. Они первые идентифицировали накопление и производительное инвестирование части ВНП как главный источник роста. Т. Мальтус завершил создание концепции стагнации, актуальной и сегодня в ряде южных континентов.
                                            4. Р. Харрод, Е. Домар, Р. Солоу и Э. Денисон создали неоклассическую теорию роста. Совокупное производство определяется затратами К и L, соотношение которых зависит от технического уровня производства. Харрод и Домар сформулировали условия обеспечения долгосрочной полной занятости ресурсов. Солоу сформулировал основные закономерности, связанные с экономическим ростом. Он выявил, что накопление не является источником роста само по себе, а только в контексте постоянного увеличения знаний и повышения производительности факторных ресурсов. Однако без накопления рост тоже невозможен. Он подчеркнул значение нормы временного предпочтения и предельного продукта К для объема накопления, т. е. для определения оптимального объема действующего в экономике К. Потребитель при этом выбирает между потреблением и досугом, определяя тем самым величину рабочего усилия.
                                            5. Долгосрочный постоянный темп роста рост при устойчивом состоянии. Устойчивое состояние достигается, когда объем сбережений и нового капитала адекватны для поддержания капиталоинтенсивного развития. Фактический К растет тем же темпом, что и объем производства. Одним из условий устойчивого состояния является неизменность рабочего усилия в ответ на постоянные изменения в отдаче от труда. Экономический рост не ведет к росту уровня жизни, если осуществляется лишь в одном секторе экономики. Сбалансированное развитие всех секторов необходимое условие роста благосостояния нации.
                                            6. Р. Солоу и Э. Денисон предложили технику количественного измерения вклада различных факторов в экономический рост. Это позволило обнаружить «остаток Солоу» и понять значение интеллектуальных факторов для экономического роста.
                                            7. В первой половине 80-х гг. появилась теория реальных экономических циклов, которая объясняла циклическую динамику реальными (не монетарными) факторами, лежащими на стороне совокупного предложения. Случайные колебания в динамике технологических изменений ведут к колебаниям в динамике накопления. Экономическая политика, по мнению авторов этой теории, воздействует лишь на совокупный спрос, изменяя уровень цен.




                                            Выигрыш от международной торговли


                                            Таблица 27-1



                                            Страна А

                                            Страна Б

                                            Всего

                                            До специализации

                                            Компьютеры

                                            25

                                            5

                                            30

                                            Телевизоры

                                            25

                                            20

                                            45

                                            После специализации

                                            Компьютеры

                                            40

                                            0

                                            40

                                            Телевизоры

                                            10

                                            40

                                            50


                                            Выигрыш от международной торговли вполне может быть выражен графически. На 27-1 показаны две кривые производственных возможностей А и В. Допустим, что каждая страна имеет 1000 чел.-лет факторного ресурса. Следовательно, на каждую 1000 чел.-лет страна А может производить 50 телевизоров и ни одного компьютера (точка A1), либо 50 компьютеров и ни одного телевизора (точка A2), либо любую комбинацию на кривой A1 A2. Тот факт, что кривая А1А2 расположена

                                            Выигрыш от международной торговли

                                            27-1
                                            выше В1В2 говорит нам об абсолютном преимуществе страны А, т. е. о способности страны А при том же объеме факторных ресурсов (1000 чел.-лет) производить больше и телевизоров, и компьютеров, чем страна В. Но сравнительное преимущество страны А в производстве компьютеров и сравнительное преимущество страны В в производстве телевизоров показано различными наклонами кривых A1A2 и В1В2. Наклон кривой В равен 4 (0В1 : 0В2 = 4). Это означает, что в стране В альтернативные затраты на производство одного компьютера равны затратам на четыре телевизора.
                                            Наклон кривой A1A2 равен 1, так что в стране А альтернативные затраты на 1 компьютер равны затратам на 1 телевизор (и наоборот).
                                            Вследствие того, что альтернативные затраты в двух странах отличаются друг от друга, становится реальной торговля между ними. Позднее мы обсудим вопрос о том, как распределяются выгоды от торговли между этими двумя странами. А пока мы можем отметить, что из международной торговли будет исключен компьютер, если он будет стоить меньше, чем один телевизор, и больше, чем четыре.
                                            Если компьютер на мировом рынке будет стоить меньше, чем один телевизор (альтернативные затраты на компьютер в стране А), то страна А будет производить свои собственные телевизоры.

                                            Выигрыш от международной торговли

                                            27-2
                                            Но если на мировом рынке компьютер стоит больше, чем 4 телевизора, то страна В будет производить собственные компьютеры. Иными словами, для осуществления взаимной торговли норма обмена между телевизорами и компьютерами должна быть между 4 и 1.
                                            А теперь допустим, что обмен пойдет по норме 1 компьютер за 2 телевизора. Что же в этом случае выиграют страны А и В? На 27-1 кривые A1A2 и B1B2 те же самые, что и на 27-2. Но страна А может действовать эффективнее в условиях обмена.
                                            Если пропорция обмена равна 2:1, то страна А будет производить только компьютеры и покупать телевизоры в стране В. При этом кривая потребительских возможностей в стране А будет РA2. Эта кривая имеет наклон, равный 2 (т. е. каждый проданный компьютер дает стране два телевизора). Поскольку страна А теперь может выбрать точку на кривой РA2 а не на кривой A1A2, то ясно, что торговля создает для этой страны новые производственные возможности.
                                            Аналогично выгодная ситуация возникает и для страны В. Если она будет производить только телевизоры, то сможет получить за них 20 компьютеров, и ее кривая потребительских возможностей В1Р будет существенно выше ее кривой производственных возможностей B1B2. Наклон кривой B1P тоже составляет 2. 27-2 показывает нам, что выгоды от внешней торговли прямо зависят от того, до какой степени мировые цены (2 телевизора за 1 компьютер) отличаются от внутренних альтернативных издержек (4 : 1,1 : 1).
                                            § 143. ПРОБЛЕМА УСТАНОВЛЕНИЯ МИРОВЫХ ЦЕН Пример, проиллюстрированный на 27-2, показывает нам, что работники в обеих странах при наличии торговли между ними могут зарабатывать более высокую реальную заработную плату, чем при отсутствии торговли. Не только страна А, где работники более эффективны и обеспечивают абсолютное преимущество, но и страна В, где работники менее эффективны, получают выгоду от торговли.
                                            В результате торговли страна В может производить больше телевизоров и получать больше компьютеров, повышая тем самым свой жизненный уровень через увеличение реальной (неденежной) зарплаты.
                                            Раздел выгод от торговли между странами зависит от цен этой торговли. Как мы знаем, на свободных рынках установление цены зависит от соотношения спроса и предложения. Но в применении к международной торговле модель спрос-предложение требует ряда усложнений.
                                            Во-первых, она должна учитывать две кривые спроса (страны-экспортера и страны-импортера) и две кривые предложения. Во-вторых, точка равновесия не может быть точкой пересечения любой из пар кривых D и S, потому что при наличии торговли величина

                                            Выигрыш от международной торговли

                                            27-3
                                            предложения в любой из экспортирующих стран должна быть больше величины спроса, а величина предложения в импортирующей стране должна быть меньше величины спроса.
                                            Эти особенности показаны на 27-3. На 27-3, а мы видим кривые D и S для страны, которая экспортирует, например, хлопок, а на 27-3, б кривые D и S страны, которая импортирует хлопок. Мы исходим из предположения, что у этих стран нет торговли хлопком ни с какой иной страной.
                                            Нам нужно найти рыночное равновесие, а вместе с ним равновесную цену. Равновесная цена на свободном рынке должна удовлетворять двум условиям: 1) цены на хлопок должны быть одинаковы в обеих странах; 2) величина экспорта должна быть равна величине импорта. На 27-3, о при цене Р, отрезок АВ между точкой В, где данная страна производит, и точкой А, где она потребляет, должен быть равен отрезку CD, расположенному между величиной спроса импортирующей страны (точка D) и величиной предложения (точка С).
                                            При любой более высокой цене (например, Р2) производители в обеих странах захотят продать больше, а потребители купить меньше. При цене Р2 величина предложения поднимется с точки В до точки F. Теперь объем экспорта мог бы быть равен EF, а не АВ. По той же причине рост цены приведет к большему производству и меньшим продажам в импортирующей стране, в результате импорт сократится с CD до GH. Следовательно, цена Р2 не может удержаться, если международный рынок является свободным и конкурентным.
                                            Однако, несмотря на выгоды международной торговли, многие страны постоянно вмешиваются в торговые операции.
                                            § 144. ОГРАНИЧЕНИЯ В МЕЖДУНАРОДНОЙ ТОРГОВЛЕ До А. Смита и Д. Рикардо, начавших борьбу за свободную торговлю, жесткая защита национальных производителей считалась первейшей обязанностью политиков, которые должны были стимулировать экспорт и подрывать импорт. В XX в. понимание необходимости более свободной торговли становилось доминирующим.
                                            Наиболее последовательно эта линия поддерживалась в США. И лишь в 80-е гг. США частично вернулись к протекционистским мерам в ответ на массированные попытки Западной Европы и Японии отгородиться высокой стеной от конкуренции американских товаров и особенно услуг.
                                            Среди инструментов современного контроля и регулирования внешней торговли следует выделить три главных. Во-первых, это тарифы, т. е. налог на импорт. Наиболее низкие тарифные ставки существуют в России и США. Во-вторых, страны активно применяют квоты определяемые законом ограничения на количество импортируемого товара (например, в месяц, квартал или год).
                                            И вновь по квотам наиболее свободные рынки представляют Россия и США. Наконец, третий инструмент контроля экспортная субсидия государственные платежи экспортеру, с тем чтобы он мог снизить продажную цену на свою продукцию и она стала бы более конкурентоспособной на международных рынках.

                                            Выигрыш от международной торговли

                                            27-4
                                            И по этому инструменту Россия и США минимизируют его применение. Но другие страны, особенно западноевропейские, применяют его весьма интенсивно, что привело к обвинениям этих стран в том, что они проводят политику «несправедливой конкуренции». Одним из известнейших примеров практики «несправедливой конкуренции» являются субсидии консорциуму «Европейский Аэробус», которые обеспечили ему перехват у американских авиастроительных компаний значительной части мирового рынка.
                                            Тарифы и квоты ограничивают предложение продукции из-за рубежа и повышают цену на экспортируемую продукцию. Рост цен снижает спрос на импорт. Разница лишь в том, что тарифы снижают спрос, а квоты, сокращая предложение, повышают цены.
                                            На 27-4 равновесная цена Р2. При этой цене страна-экспортер производит объем продукции, равный Q4 (точка В на 27-4, а) и потребляет Q1 (точка А). Таким образом, ее экспорт составляет АВ.
                                            Точно так же страна-импортер потребляет объем Q4 (точка D на 27-4, б), а производит лишь Q1 (точка С), так что ее импорт составляет CD.
                                            А теперь допустим, что страна-импортер вводит квоту, позволяющую импортировать лишь объем, равный Q3 Q2 ( 27-4, б). В этом случае равновесие рынка свободной торговли невозможно, рынок должен уравновеситься в точке, где импорт и экспорт равны Q3 Q2 (QT).
                                            Но из 27-4 видно, что это потребует установления совершенно разных цен в двух странах. Импорт будет равен QT, только если цена импортируемого товара равна Р3 потому что только при этой цене величина спроса превысит величину внутреннего предложения на величину QT. Точно так же экспорт составит RS ( 27-4, а), только если цена в стране-экспортере будет равна P1.
                                            Ведь при этой цене величина предложения превысит величину внутреннего спроса на RS.



                                            ВЗАИМОДЕЙСТВИЕ СПРОСА И ПРЕДЛОЖЕНИЯ ДЕНЕГ


                                            Если Р увеличивается на 50%, то при неизменности ВНП и ставки процента MD тоже увеличится на 50%. В свою очередь, при данном уровне РMD зависит (через функцию L) от Y, от i и im. Увеличение Y ведет к росту спроса на деньги (MD). Увеличение / делает более привлекательными неденежные активы и сокращает MD. Номинальный денежный спрос MD измеряется в денежных единицах.
                                            Но иногда более удобно измерять его в реальных категориях. Если обе стороны уравнения мы поделим на ценовой уровень, то получим:

                                            Левая сторона уравнения называется реальным денежным спросом. Реальный денежный спрос величина денежного спроса в категориях объема товаров, который эти деньги могут купить. Из уравнения следует, что реальный спрос на деньги
                                            зависит от Y, i, im. Функция L здесь называется функцией денежного спроса.
                                            На денежный спрос воздействуют также риск, размер богатства, ликвидность других видов активов, существующая технология расчетов. Когда богатство увеличивается, то спрос на деньги растет. Но этот рост отстает от темпа увеличения богатства, поскольку в таком случае быстрее растут сбережения.
                                            Фактор риска серьезно влияет на спрос на активы, учитывая колебания ставок процента. В этом смысле тот, кто держит наличность, ничем не рискует. Чем выше фактор риска в экономике, тем больше спрос на деньги.
                                            Спрос на деньги зависит также от степени ликвидности альтернативных активов. Чем выше эта степень, тем ниже потребность в деньгах. Наконец, на денежный спрос влияет технология платежей.
                                            Например, введение кредитных карточек позволило многим не обращаться к деньгам для осуществления трансакций.
                                            § 117. ВЗАИМОДЕЙСТВИЕ СПРОСА И ПРЕДЛОЖЕНИЯ ДЕНЕГ В то время как ставка процента является альтернативными затратами держания денег, ценность денег измеряется их покупательной способностью. Последняя обратно пропорциональна уровню цен.
                                            Если ценовой уровень увеличивается на 50%, то покупательная способность денег должна снижаться тоже на 50%. Уже известная нам модель AD/AS говорит о том, что при превышении предложения денег (денежной массы) над спросом ценовой уровень будет расти, а ценность денег снижаться. Действительно, если денежная масса растет, то население тратит дополнительные деньги на покупку активов, приносящих процент, а также на покупку товаров и услуг. Но то, что может сделать один человек (в данном случае избавиться от избыточной наличности), не обязательно могут сделать все.
                                            Вся экономика избавиться от избыточных денег не может, так как та сумма, на которую уменьшается наличность у одного, увеличивает наличность у другого. Общая денежная масса в экономике не уменьшается.
                                            Зато изменяется ценовой уровень, увеличиваясь по мере роста денежной массы. Теперь в экономике больше денег для покупки того же объема товаров и услуг. С другой стороны, нужно больше денег для того, чтобы профинансировать более высокую денежную стоимость расходов населения. На 21-1 на оси ординат показана покупательная способность денег, а на оси абсцисс величина денежного спроса. Кривая спроса на деньги Dm здесь является функцией покупательной способности денег, а не ставки процента.
                                            Покупательная способность денег измеряется объемом товарной массы, которую может купить одна денежная единица. Кривая Dm наклонена вниз, так как по мере роста ценового уровня и, следовательно, по мере снижения покупательной способности денег растет величина спроса на деньги для оплаты более высокой стоимости трансакций в экономике. Первоначальная кривая предложения денег Sm. Предложение

                                            ВЗАИМОДЕЙСТВИЕ СПРОСА И ПРЕДЛОЖЕНИЯ ДЕНЕГ

                                            21-1
                                            денег не является функцией ценности денег, а определяется решением властей. Если власти увеличивают Sm, a Dm остается неизменным, то возникает избыточная денежная масса при прежнем уровне цен. Те, кто принимает экономические решения, будут тратить этот избыток до тех пор, пока уровень цен не поднимется достаточно для того, чтобы побудить население держать новый объем денежной массы.
                                            Новой равновесной точкой окажется E1, которая отражает случившийся рост ценового уровня и, следовательно, падение покупательной способности денег до 1/ P1.
                                            Изменения денежной массы оказывают существенное краткосрочное воздействие на номинальный ВНП. По мнению кейнсианской школы, это воздействие осуществляется опосредованно, через трансмиссионный (передаточный) механизм: а) сначала происходит изменение Sm; б) это изменение воздействует на изменение процентной ставки; в) последнее влияет на объем инвестиций; г) автономный сдвиг в инвестициях мультиплицируется в изменении AD; д) происходит изменение в номинальном ВНП. Этот многоступенчатый механизм включает и взаимодействие кривой неизменяющегося денежного спроса с изменением в денежной массе.
                                            Эту кривую называют графиком предпочтения ликвидности.
                                            Изменение в Qm ведет к изменению процентной ставки и Т.д. через весь трансмиссионный механизм. Краткосрочные финансовые активы менее подвержены риску изменений ставки процента, чем долгосрочные активы. Иными словами, независимо от изменений условий краткосрочные финансовые активы могут быть быстро проданы практически по той же цене, по какой они покупались.
                                            Если по различным активам предполагается одна и та же норма отдачи, большинство владельцев активов предпочтут актив с высшей степенью ликвидности. Это предпочтение активов с низкой степенью риска и называется их предпочтением ликвидности. Предпочитая ликвидность, инвесторы хотят получать более высокую норму отдачи на менее ликвидные активы. Предпочтение ликвидности может быть выражено как премия ликвидности, добавленная к долгосрочной процентной ставке сверх ставки по краткосрочным активам. Премия ликвидности разница между долгосрочными и краткосрочными ставками процента, который хочет получить владелец долгосрочных активов в обмен на потерю ликвидности.
                                            Премия ликвидности причина, по которой краткосрочные ставки ниже долгосрочных.
                                            Если Qm растет, то население, в соответствии с теорией предпочтения ликвидности, предпочтет покупать активы с более высокой ставкой процента, например облигации с фиксированным доходом. Цена облигации тоже начнет расти, влияя на снижение ставки процента в экономике. Это снижение произойдет по следующей причине. Допустим, мы купим одну облигацию, по которой за год платится ставка в 50% (250 р.) за 500 р. Спрос на облигации вызовет рост цен на них, например, до 1 тыс. р. Но она по-прежнему приносит каждый год 250 р., что теперь составляет не 50%, а 25%. То есть когда цена актива с фиксированным доходом растет, ставка процента на него снижается.
                                            Что это означает для кривой предпочтения ликвидности? Когда Sm увеличивается, население расходует избыточные деньги на покупку облигаций. Ставка процента снижается по мере того, как цена активов с фиксированными доходами растет.
                                            Ставка процента существенно воздействует на величину инвестиционного спроса. Принимая инвестиционные решения, фирмы рассчитывают норму отдачи всех инвестиционных проектов, ранжируют их по норме отдачи от высшей к низшей и отсекают от рассмотрения все проекты, которые имеют норму отдачи ниже ставки процента. Когда станка растет, этот барьер проходит все меньшее число проектов.
                                            Снижение инвестиционных расходов мультиплицируется на совокупный спрос, который сократится, вызывая рецессию. Но если ставка процента снижается, а инвестиции увеличиваются, то AD растет, что ведет к одновременному повышению ценового уровня и реального ВНП. Возникает инфляционный разрыв.
                                            Чтобы преодолеть его, экономика через механизм автоматической перестройки сдвинет влево кривую SRAS. Реальный ВНП снизится, но уровень цен вновь поднимется. Экономика достигнет новой точки долгосрочного равновесия, т. е. возвратится к потенциалу, но с большей денежной массой и более высоким уровнем цен. Номинальный ВНП вырастет, хотя реальный снизится.
                                            Это случится потому, что рост цен более чем компенсирует снижение реального ВНП.
                                            Рост уровня цен дает обратную реакцию, вынуждая кривую предпочтения ликвидности сдвинуться вправо. Спрос на деньги увеличится, ставка процента тоже. В итоге в долгосрочном периоде все, что случится в результате роста Sm, вызовет повышение уровня цен.
                                            Таким образом, в краткосрочном плане рост Sm ведет к росту цен и ВНП, а в долгосрочном только к росту ценового уровня. В этом, в частности, состоит идея нейтральности денег в долгосрочном периоде.
                                            Кейнсианская школа исходит из того, что кривая предпочтения ликвидности чувствительна к изменениям Sm. Она полагает также, что для повышения ставки процента нужно довольно значительное повышение Sm. Но эта школа считает, что инвестиционный спрос весьма умеренно чувствителен к изменениям ставки процента.
                                            Так что при изменении ставки сдвиг в инвестиционном спросе будет относительно небольшим. Все эти предпосылки кейнсианской школы ведут к предположению о том, что в краткосрочном плане ни реальный ВНП, ни ценовой уровень не будут слишком чувствительны к изменениям в Sm. Поэтому эта школа предпочитает меры фискальной политики (а не денежно-кредитной, т. е. манипулирования Sm) в качестве инструмента воздействия на экономику.
                                            В соответствии с классической количественной теорией скорость обращения денег постоянна, экономика действует на уровне потенциального ВНП, номинальный ВНП должен быть равным Sm, умноженному на скорость обращения.



                                            ВЗАИМОСВЯЗЬ СОВОКУПНЫХ ПОТРЕБИТЕЛЬСКИХ РАСХОДОВ


                                            Поскольку Кейнс считал ценовой уровень негибким, он убрал эту переменную из своей модели, представив на ординате совокупные расходы (АЕ). В отличие от кривой AD ( 18-2, б), которая наклонена вниз, кривая АЕ наклонена вверх, поскольку АЕ растут, когда растет ВНП, и снижаются, когда снижается ВНП. В сравнении с 18-2, б мы видим, что на 18-2, а отсутствует кривая SRAS. Кривая SRAS игнорируется в кейнсианском анализе, потому что для Кейнса на этой кривой релевантным был только горизонтальный сегмент АВ (см. 18-1).
                                            Как мы уже отмечали ранее в этой теме, внутри этого сегмента любое увеличение AD генерирует
                                            ВЗАИМОСВЯЗЬ СОВОКУПНЫХ ПОТРЕБИТЕЛЬСКИХ РАСХОДОВ

                                            18-2
                                            точно такое же пропорциональное увеличение Y. Поэтому Кейнс заменил кривую SRAS на биссектрису угла 0, так как биссектриса является геометрическим местом точек, равноудаленных от обеих осей (Y и X).
                                            Биссектриса угла 0 указывает все точки, в которых совокупные расходы (АЕ) будут ровны реальному ВНП. Она также представляет все возможные точки, в которых экономика может оказаться в состоянии равновесия. По существу, биссектриса угла 0 соответствует кейнсианскому горизонтальному сегменту на кривой SRAS. Это означает, что в кейнсианской модели при определении реального ВНП значение имеет только уровень АЕ: любое изменение в АЕ вызывает пропорциональное изменение в реальном ВНП. Если АЕ на 18-2, а составляют 100 единиц, то и реальный ВНП составляет 100 единиц.
                                            Фактический равновесный уровень реального ВНП определяется, когда функция АЕ пересекает биссектрису угла 0 (точка Е на 18-2, а). В точке Е происходит и пересечение с кривой долгосрочного совокупного предложения. График АЕ делается для данного ценового уровня, который является детерминантой АЕ.
                                            Если изменяется Р, то сдвигается весь график.
                                            Обе макроэкономические модели AD/AS и AE/Y ведут к одному и тому же результату: они определяют равновесный уровень реального ВНП. Но при этом модель AD/AS показывает изменяющийся уровень цен, который она позволяет определить, и кривую SRAS, которая сдвигается в силу действия ряда детерминант. А модель AE/Y исходит из того, что ценовой уровень постоянен, но она позволяет анализировать все компоненты совокупных расходов, которые являются детерминантами совокупного спроса.
                                            Совокупный спрос дает возможность определять ценовой уровень, но скрывает значение (а именно оно чаще всего является решающим для макрополитики) отдельных детерминант AD.
                                            § 97. ВЗАИМОСВЯЗЬ СОВОКУПНЫХ ПОТРЕБИТЕЛЬСКИХ РАСХОДОВ (C) И РЕАЛЬНОГО ВНП (YR) Для нормальной развитой экономики ядром модели AE/YR является взаимосвязь С/YR. В обучающих целях мы сделаем допущение о том, что располагаемый доход (YD) равен реальному ВНП минус налоги и плюс трансферты.
                                            Потребители (домашние хозяйства) могут расходовать YD только на потребление и сбережения (YD = С + S). Но для экономистов наиболее важной является сама пропорция С и S, поскольку от нее зависит равновесный уровень YD. В особой мере важно знание того, как конкретно изменится С при изменении YD.
                                            Кейнс обнаружил наличие близкой и весьма устойчивой связи между С и YD. Он назвал эту связь потребительской функцией. Наклон потребительской функции постоянен. Эта устойчивость позволяет сделать прогноз о том, как будет распределен прирост YD между С и S. Наклон потребительской функции известен как предельная склонность к потреблению (MPC) пропорция изменения в С к изменению в YD (при прочих равных условиях).
                                            Допустим, что данная пропорция (C/ YD) составляет 0,75. Это означает, что из каждой дополнительной единицы дохода 0,75 уйдет на потребление (а 0,25, следовательно, уйдет на сбережения, потому что YD = С + S).
                                            Доля YD, которая не потрачена на потребление, является сбережениями. Поэтому: 1 МРС = MPS (предельная склонность к сбережениям). MPS обозначение предельной склонности к сбережениям, т. е. пропорции изменения в S к изменению в YD (при прочих равных условиях).
                                            Следует отличать МРС от средней склонности к потреблению (APS) отношения величины совокупного потребления к величине YD (доля потребительских затрат в каждой единице дохода).
                                            Кейнс ввел в экономическую теорию понятие автономных расходов. Среди этого большого семейства главными являются автономные потребительские расходы, или автономное потребление величина совокупных потребительских расходов, которые осуществляются, когда YD равен нулю. Это понятие кажется необычным только на первый взгляд.
                                            Есть немало индивидов, целых социальных групп, чьи расходы не обеспечены текущими доходами. Это те, кто еще не может или уже не может работать. Но есть много стран, чьи совокупные расходы существенно превышают их совокупные доходы, т. е. в которых по крайней мере часть расходов осуществляется при отсутствии текущих доходов.
                                            Во всех этих случаях расходы финансируются либо из предыдущих сбережений, либо из заемных источников, либо из средств специализированной помощи.
                                            18-3 воспроизводит модель АЕ/Y в форме ее частного случая С/YD (потребительские расходы/располагаемый доход). На 18-3, а потребительские расходы измеряются на оси Y, а реальный располагаемый доход на оси X. Потребительская функция обозначена вдоль биссектрисы, которая показывает, где С равны YD. На 18-3, б показаны сбережения на каждом уровне YD.
                                            Здесь не может быть использована биссектриса, так как график должен обеспечить демонстрацию и отрицательных величин, которые невозможны при рассмотрении потребления. Когда YD = 0, совокупное

                                            ВЗАИМОСВЯЗЬ СОВОКУПНЫХ ПОТРЕБИТЕЛЬСКИХ РАСХОДОВ

                                            18-3
                                            потребление составляет 50 (автономное потребление), а сбережения 50. Когда YD = 200, С тоже равны 200, а сбережения равны 0. Если YD 200, то С YD, а величина S становится положительной.
                                            На потребление воздействует не только YD, изменение которого смещает точку Е вдоль кривой С. На решения домашних хозяйств (потребителей) влияют также размер богатства, величина налогов, ценовой уровень, возрастная структура населения, структура распределения YD, ценовые ожидания и другие факторы. Но эти факторы воздействуют на потребительскую функцию иначе, чем YD. Изменения в указанных факторах влияют на размер потребления на всех уровнях YD, на уровень автономных потребительских расходов.
                                            Тем самым они являются детерминантами потребительской функции. При изменении любой из детерминант меняется само отношение С/YD. Такое изменение ведет к сдвигу потребительской функции по мере того, как меняется уровень автономных потребительских расходов.
                                            Таким образом, изменение YD перемещает точку Е вдоль потребительской функции, поскольку такое изменение не

                                            ВЗАИМОСВЯЗЬ СОВОКУПНЫХ ПОТРЕБИТЕЛЬСКИХ РАСХОДОВ

                                            18-4
                                            ведет к изменениям потребительских расходов на всех уровнях YD и, следовательно, не вызывает изменения уровня автономного потребления. Но если меняются детерминанты потребительской функции, то это затрагивает потребление на всех уровнях YD и меняет уровень автономного потребления, что ведет к сдвигу потребительской функции.
                                            18-4, а показывает сдвиг потребительской функции вследствие изменения одной из детерминант и повышения уровня автономных потребительских расходов с 50 до 100. При сдвиге потребительской функции с С на С1, потребительские расходы увеличатся на всех уровнях YD.
                                            Потребительская функция С пересекает биссектрису на уровне YD, который равен 200. Когда она сдвигается на С1, то пересекает биссектрису на уровне YD, равном 400. Таким образом, рост автономных потребительских расходов на 50 обеспечил еще 150 единиц так называемых вызванных потребительских расходов.
                                            Совокупные сбережения в этом случае будут вести себя иначе: ведь сбережения остаток YD после вычета С. Если потребительская функция сдвигается вверх (т.е. если теперь потребительские расходы увеличиваются на каждом из уровней YD), то соответственно функция сбережений переместится вниз с S на S1 как и показано на 18-4, б. Точка нулевых сбережений сдвинется с точки 200 к точке в 400 ден. ед. YD на оси X, т. е. к точке, где YD = С.
                                            § 98. ИНВЕСТИЦИОННАЯ ФУНКЦИЯ Наряду с потреблением инвестиции являются еще одним элементом совокупных расходов. Кратковременная макроэкономическая роль инвестиций состоит в том, чтобы возместить в кругообороте потока утечку в виде сбережений на равноценную инъекцию в поток в форме инвестиционных расходов. Долгосрочное значение инвестиций восстановление и увеличение объема физического капитала в экономике в целях обеспечения экономического роста. В краткосрочном плане инвестиции помогают определить уровень реального ВВП.
                                            Инвестиционные решения и решения о сбережениях принимаются различными группами (властями, бизнесменами и домашними хозяйствами). Сбережения аккумулируются у финансовых посредников (банков) и затем ссужаются бизнесу для осуществления инвестиций (I).
                                            Для целей нашего анализа мы применим несколько ограниченное понимание инвестиций. Инвестиции покупка вновь произведенных элементов физического капитала плюс изменения в товарно-материальных запасах (запасы конечных товаров, незавершенное производство и материалы, которые фирмы держат при себе). Однако это понятие применяется также и в отношении покупок уже бывших в употреблении элементов физического капитала (старых зданий, сооружений, оборудования, машин и т.д.), а также для покупки коммерческих и государственных ценных бумаг.

                                            

                                                Экономика: Знания - Циклы - Макроэкономика