Тема 1. Введение в экономику


Тема 1. Введение в экономику

1. Предмет и метод экономической науки
Различают две трактовки термина «экономика»:

  1. совокупность хозяйственных связей в данной социально-экономической системе.
  2. Наука, изучающая закономерности функционирования этих связей экономическая теория.
История взглядов на предмет.

В настоящий момент общепризнанной является следующая трактовка понятия:
Экономическая теория наука о деятельности людей в процессе производства, распределения, обмена и потребления экономических благ в условиях альтернативности целей и возможностей использования редких ресурсов.
Предметом экономической теории является выбор: как люди выбирают способ использования ограниченных производственных ресурсов для производства товаров, удовлетворяющих безграничные потребности людей в обществе.
Субъектом экономического выбора могут выступать 3 вида агентов:

  1. Домашнее хозяйство (домохозяйство) один или несколько человек, проживающих вместе и совместно осуществляющие часть расходов. Не всегда домохозяйство совпадает с семьей.
  2. Фирма один или несколько людей, осуществляющих производственную или иную деятельность с целью получения прибыли. НКО не фирмы.
  3. Государство надрыночная структура, призванная регулировать экономическую деятельность.
С точки зрения масштабности экономического выбора различают следующие уровни изучения экономики:

  1. Микроэкономика уровень изучения экономики, на котором происходит анализ экономических действий отдельных индивидов, домашних хозяйств, фирм.
  2. Мезоэкономика промежуточный уровень между микро и макроуровнями экономики. Изучает объекты, которые выходят за рамки отдельного товарного рынка, но национального масштаба не достигают. Это региональные рынки, а также закономерности функционирования межотраслевых комплексов.
  3. Макроэкономика уровень изучения экономики, на котором изучаются законы функционирования национальной экономики в целом через анализ основных ее агрегированных характеристик (сектор домашних хозяйств, частный сектор, правительственный сектор). Изучается закономерности государственного вмешательства в экономику.
  4. Мегаэкономика (мировая экономика) глобальный уровень изучения экономических закономерностей, предполагает выявление общепланетарных тенденций или тенденций в развитии большой группы стран.

Метод совокупность приемов и способов, с помощью которых изучается объект.
Экономисты используют в своих исследованиях следующие методы:
А) Общенаучные

  1. Наблюдения объекта (в т.ч. и статистические) фиксирование состояния объекта в различные периоды времени.
  2. Обработка полученного материала посредством синтеза и анализа, индукции и дедукции, системного подхода.
  • Дедукция способ рассуждений от общих положений к частным, логический вывод частных положений их общей мысли.
  • Индукция способ рассуждения от отдельных частных фактов и положений к общим выводам, обобщениям.
  • Анализ метод научного исследования, состоящий в расчленении целого на составные элементы.
  • Синтез метод научного исследования, состоящий в соединении (мысленном или реальном) различных элементов объекта в единое целое (систему).
  • Системный подход - метод исследования, в основе которого лежит рассмотрение объектов как систем (раскрывается целостность объекта, многообразие типов связей в нем и сведение в единую теоретическую картину). Система множество элементов, находящихся в отношениях и связях друг с другом, образующих определенную целостность, единство.
  1. Разработка гипотез и их проверка
  2. Проведение экспериментов
  3. Создание моделей в логической и математической форме.
Б) Специфические

  1. Метод «при прочих равных условиях» - означает, что из всей совокупности факторов выбирается их ограниченное количество. Действие всех остальных предполагается равным нулю или постоянным.
  2. Метод предельного анализа изучение предельных величин величин, показывающих приращение переменной вслед за малым изменением фактора.
  3. Метод теории игр метод рассуждения, при котором на основе действий одних участников (игроков) определяются возможные действия других участников.

Основным методом экономической теории является сравнение выгод и издержек по каждой из имеющихся альтернатив при выборе. Расшифруем это:

  1. Практически в любой ситуации экономические субъекты стоят перед выбором.
  2. Выбор предоставляется в виде четко выделяемых альтернатив
  3. Каждая альтернатива оценивается с двух сторон: выгоды и издержки
  4. Выбирается альтернатива, дающая максимальный чистый выигрыш
  5. Выгоды по невыбранным (упущенным) альтернативам учитываются как альтернативные издержки (издержки упущенных возможностей)

Существует два подхода к любому экономическому объекту:

  1. Позитивный подход (метод) совокупность систематических знаний, относящихся к тому, что есть.
  2. Нормативный подход (метод) - совокупность систематических знаний, относящихся к тому, что должно быть.

2. Общественное производство
Экономика существует для того, чтобы люди в рамках нее создавали нужные им блага.
Про благом понимают все, что удовлетворяет потребности людей.
Блага бывают:

  1. экономические (редкие) - свободные (имеющиеся в изобилии)
  2. Потребительские (непосредственно удовлетворяют потребности) и производственные (ресурсы для производства)
Блага создаются в процессе общественного производства.
Общественное производство целесообразная деятельность людей, направленная на удовлетворение их потребностей.
Выделяют следующие его стадии:

  1. Производство процесс создания полезного продукта
  2. Распределение определение доли и объема продукции, которая достанется каждому экономическому субъекту
  3. Обмен процесс, во время которого одни товары и услуги обмениваются на другие.
  4. Потребление использование созданных благ для удовлетворения потребностей.
Воспроизводство многократно повторяемый процесс производства.
Виды воспроизводства:

  1. Простое производство продукции в одном и том же количестве.
  2. Расширенное возобновление производства во все увеличивающихся размерах

В процессе производства взаимодействуют ряд факторов производства, а именно

Факторы производства совокупность ресурсов, необходимых для производства продукции
Средства производства - совокупность средств и предметов труда, используемых человеком в процессе произ-ва материальных благ.
Средства труда то, чем производят продукт, предметы труда то, из чего производят продукт.
Рабочая сила - способность к труду, совокупность физических и интеллектуальных способностей, которыми располагает человек и к-рые используются им для произ-ва жизненных благ.
Земля (природный фактор) ресурсы, существование которых не обусловлено деятельностью человека (почва, все что на ней растет и живет, недра, водные ресурсы, климатические условия и т.п.)
Капитал совокупность производительных благ, позволяющих осуществлять производство. (движение, обращение, прибавочная стоимость)
Труд любая физическая или интеллектуальная деятельность человека, направленная на создание определенных благ.
Предпринимательские способости (Маршалл) деятельность по комбинации и координированию факторов производства с целью организации эффективного производства.


3. Технологический выбор в экономике
Ограниченность ресурсов предполагает альтернативность их использования.
Альтернативность продемонстрируем кривой производственных возможностей:
Рассмотрим экономику гипотетической страны.
Введем допущения:

  1. Пусть все ресурсы в стране возможно использовать на 100% (КПД=100%)
  2. Количество ресурсов фиксировано (нельзя привлечь дополнительные ресурсы в страну)
  3. Технология производства неизменна
  4. В экономике производятся два товара: товар А и товар Б
Варианты производства
А
B
C
D
E
F
Товар А
0
1
2
3
4
5
Товар Б
15
14
12
9
5
0
Нанесем данные таблицы на график

Тема 1. Введение в экономику


Получившаяся кривая кривая производственных возможностей (кривая трансформации). Точки этой кривой показывают наборы товаров, которые может производить наша страна при максимально эффективном размещении ресурсов. Все точки кривой эквивалентны по эффективности.
Комбинации товаров под кривой показывают неэффективные варианты производства (существуют потреи или недоиспользованные ресурсы). Комбинации товаров выше кривой недоступны при данных технологиях и при данном объеме ресурсов.
Кривая производственных возможностей как правило выпукла. Это объясняется законом убывающей предельной производительности отдача от фактора производства по мере увеличения его количества падает. ПРИМЕР



Кривая производственных возможностей демонстрирует альтернативные издержки в масштабе всей экономики. ПРИМЕР



4. Экономические системы и их виды.

Экономическая система система общественного производства, то есть совокупность производственных сил и производственных отношений.
Производительные силы совокупность средств производства и рабочей силы
Производственные отношения совокупность социально-экономических отношений между людьми в процессе производства.
Выделяют следующие типы экономических систем

  1. Традиционная экономическая система традиции ставятся выше экономических интересов и экономического прогресса. Следовательно для этих систем характерен низкий уровень развития экономики, их зависимость от иностранных государств, низкий уровень жизни. Высока роль государства и силовых структур. Примерами таких экономик могут служить такие государства как Индия, Афганистан, Иран.
  2. Командная (административно-командная) экономическая система. Основной чертой этой системы является централизация управления, планирования и распределения. Производитель господствует над потребителем, лишает его свободы выбора. Мотивация к повышению эффективности отсутствует, поэтому эффективность системы в целом низка. Примеры СССР, Куба, Китай.
  3. Рыночная экономическая система. Основной ее чертой является свобода предпринимательства, наличие большого числа производителей и потребителей, мотивация эгоистическая. Роль государства минимальна. Поэтому производится только то, что пользуется спросом, не производятся обшественные блага. Например, Гонконг.
Большинство экономик являются смешанными сочетают в себе черты каждого типа экономических систем.

Тема 5. Фирма в рыночной экономике


1.1. Общая и предельная полезности

Выбор потребителя определяется полезностью товара или услуги. Факторы выбора: потребительское предпочтение и экономические факторы (цена и доход).
Два подхода: кардиналистская теория (каждая новая единица блага дает количественный прирост полезности), ординалистская (потребитель выбирает набор одного блага в предложенной ему паре).
Поведение потребителя определяется современной наукой с помощью теории предельной полезности (кардиналистский подход) и методом кривых безразличия и бюджетных линий (ординалистский подход).
Полезность – удовлетворение от потребления какого-либо товара или услуги.
Общая полезность – удовлетворение от потребления определённого набора единиц товаров и услуг. Общая полезность возрастает с каждым приращением товара и услуги, но в убывающем темпе (TU).
Предельная покупка – та, которая вызывает сомнения в приобретении, которую вас приходится убеждать купить.
Предельная полезность связана с полезностью предельной покупки (настоятельность потребности). Предельная полезность каждой последующей единицы будет падать (из-за насыщения) (MU).
Закон убывающей предельной полезности отражает взаимосвязь между количеством потребляемого блага и степенью удовлетворённости от потребления дополнительной единицы некоторого блага. По мере роста количества потребляемого блага общая полезность возрастает, но всё в меньшей пропорции, а предельная полезность сокращается. Мера полезности – цена, которую человек готов уплатить за удовлетворение своей потребности.
Чем выше цена, тем насущней потребность.
Q – количество приобретенной дополнительной единицы
Тема 5. Фирма в рыночной экономике

Тема 5. Фирма в рыночной экономике



Алгебраическое выражение предельной полезности товара Х
Тема 5. Фирма в рыночной экономике
, где
Тема 5. Фирма в рыночной экономике
- приращение общей полезности
Тема 5. Фирма в рыночной экономике
- малое приращение количества товара Х
Таким образом, закон убывающей предельной полезности характеризует наклон кривой спроса: заставляет производителя понижать цену, чтобы покупали больше продукции. Чем интенсивнее потребление благ, тем меньше увеличение полезности от каждой дополнительной единицы.

4.2. Потребительские предпочтения

Потребительские предпочтения: транзитивность, большего выбора меньшему, ранжирование альтернативных возможностей.
Кривые безразличия – кривые равных полезностей и равного удовлетворения потребностей в любой точке кривой. Желание приобрести любое количество товара отражается на кривой безразличия.
Критерий покупок – безразличие к сочетанию товаров, т.е. товары одинаково удовлетворяют потребность.

Тема 5. Фирма в рыночной экономике


Через точки a, b, c проходит кривая безразличия U2. В точке e, если провести по ней параллельную кривую U3, данная кривая будет более предпочтительна, т.к. большее количество товаров и услуг удовлетворяет большие потребности. Если таких кривых множество, то график называется картой кривых безразличия.
Чем выше кривая, тем лучше и больше комбинация товаров.
Кривая безразличия предполагает множество товаров и услуг, отличающихся одинаковой полезностью для потребителя и она отражает не количественное соизмерение потребностей, а их ранжирование.
Черты кривых безразличия:
- отрицательный наклон;
- кривые не пересекаются;
- выпуклые (MRS);
- наклон уменьшается по мере движения вниз и вправо вдоль кривых (MRS);
- чем выше кривая, тем выше уровень полезности.
Обычно кривые безразличия демонстрируют убывающую предельную норму замещения MRS. MRS – одно благо может быть замещено другим без изменения общей полезности для потребителя, т.е. это отказ от единицы одного блага для приобретения другого. MRS зависит от конкретной точки кривой безразличия, в которой она измеряется. MRS = –X/Y






Тема 5. Фирма в рыночной экономике

По мере движения по кривой безразличия сверху вниз абсолютное значение MRS уменьшается.
Суть MRS: чем меньше единиц товара А имеет домохозяйство, тем труднее ему отказаться от ещё одной единицы этого блага, и тем больше потребление товара В, чтобы компенсировать единицы товара А.
отказ 1,5 1 0,5 0,5
> > > >

Мясо
4,0
2,5
1,5
1
0,5
Колбаса
0,5
1
1,5
2,5
4
> > > >
приобретено 0,5 0,5 1 1,5
Увеличение потребления колбасы приводит к отказу мяса с
меньшим объёмом.
MRS=- X(A)/ Y(Б)
Если покупатель отдаёт предпочтение товару А, то график будет более пологий; если товару Б, то более крутой.
Значение теории о предельной норме замещения в том, что она помогает предпринимателям разрабатывать или совершенствовать новый продукт, т.е. учитывать потребительские предпочтения.

4.3. Бюджетные ограничения

Кривая безразличия характеризует предпочтения покупателей. Бюджетная линия характеризует реальность покупки и возможности семьи (убывающая прямая отражает набор продуктов, требующих одинаковых затрат).
Тема 5. Фирма в рыночной экономике

Бюджетная линия (потребительских возможностей) — это прямая линия с отрицательным наклоном, отражающая множество наборов из 2-х продуктов, требующих одинаковых затрат. Она показывает выбор доступной комбинации благ, доставляющую наибольшую возможную полезность
Тема 5. Фирма в рыночной экономике

(т.е. купить на свой доход).

ab – бюджетная линия семьи, невозможно купить в точке М, в точке К любой набор; cd – семейный доход уменьшился; ef – семейный доход увеличился.
Сдвиг бюджетной линии.
1. изменение в доходе, смещение параллельно (см. а)
2. изменение в цене, поворот и изменение угла наклона (см. б, в)

Тема 5. Фирма в рыночной экономике

Тема 5. Фирма в рыночной экономике

Тема 5. Фирма в рыночной экономике










В ситуации:
на графике б) изменяется цена товара А, на графике
в) изменяется цена товара Б.
Бюджетные ограничения
PxX+PyY M (денежный доход потребителя)
Если между ними равенство, то речь идет о бюджетной линии

4.4. Оптимум потребителя, способы достижения максимальной полезности

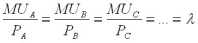
1. MUА/PA = MUВ/PB – выбор потребительского набора, при котором отношение предельной полезности (MU) к цене (Р) одинаково для всех благ MU – предельная полезность от определённого товара на денежную единицу; P – цена на товар. Предельная полезность разных товаров должна быть одинаковой.
2. MUА/MUВ = PА/PВ - выбор, при котором отношение предельной полезности любой пары благ должно равняться отношениям их цены.
В результате наступает потребительское равновесие: максимальная полезность потребителю от покупки разных товаров при имеющемся бюджете. Это означает, что любое увеличение полезности от потребления одного блага будет требовать сокращения полезности от потребления другого блага.

Тема 5. Фирма в рыночной экономике



Е – точка потребительского равновесия. Кривая безразличия (U2) показывает, что покупатель хотел бы купить, а бюджетная линия – что он может. В своем единстве они показывают максимальное удовлетворение от покупки при ограниченном бюджете.
Максимизация полезности – правило: последний рубль, затраченный на приобретение каждого продукта, приносил бы одинаковую предельную полезность (т.е. потребитель находится в состоянии равновесия). На точку равновесия влияет изменение доходов и цены.
Условие касания кривой безразличия и бюджетной линии для максимизации плезности:
а) расходы равнялись доходу, т.е. PxX+PyY=M
б) MRSXY = Px/Py

Задача: Бюджет составляет 350 руб.
Стоимость товара А – 50 руб., товара В – 100 руб.

Штук
Товар А
Товар В
Пред-я полез-ть
Пред-я полез-ть на 1 руб
Пред-я полез-ть
Пред-я полез-ть на 1 руб
1
5
0,1
9
0,09
2
4
0,08
6
0,06
3
3
0,06
5
0,05
4
2
0,04
3
0,03
5
1
0,02
1
0,01
MUA/PA = MUB/PB Если цена товара Б снизится
3:50=6:100 вдвое, то при тех же затратах
(3 шт. А) (2 шт. В) будет куплено вместо 3 единиц
A и 2 единиц Б 3 единицы А и 4 единицы Б., т.е. при снижении цены количество купленных товаров возрастает.
Эффект дохода – если цена падает, то высвобождается часть дохода для покупки дополнительной единицы продукта, следовательно спрос увеличивается.
Эффект замещения – больше покупают товаров, цена на которые ниже.
Нормальный товар: объём спроса увеличивается с ростом дохода и наоборот, эффект дохода и замещения при увеличении цены отрицательный и наоборот. Низшие блага: уменьшение дохода приводит к увеличению спроса (эффект дохода). Увеличение дохода снижает спрос.
Товар Гиффена: товары с возрастающей кривой спроса (парадокс, т.к. кривые спроса убывающие).
Воздействие на кривую спроса

На нормальные товары (предметы роскоши)
На низшие товары (некачественные товары)
Уменьшение дохода
Увеличение дохода
Уменьшение дохода
Увеличение дохода
Отриц.
эффект
Полож.
эффект
-
отрицательно
+
положительно
Увеличение Р
Снижение
Р
Эфф. дохода
влияет больше
Эфф. замещен влияет больше
Сокращение D
Увеличение D
Увеличение
D
Сокращение
D
Кривая потребление-доход (кривая Хикса) или кривая уровня жизни.
Кривая цена-потребление, точки которой показывают соотношение двух товаров при изменении цены товара Х и постоянном доходе. Выделяют нормальные товары, низшие блага и товары Гиффена.

Тема 5. Фирма в рыночной экономике

Тема 5. Фирма в рыночной экономике













Тема 6. Производство и издержки




вероятность
потерь Bд


Bкр

Bкат
уровень потерь

1.2 Фирма и основные виды собственности

Собственность - экономические отношения между людьми по поводу присвоения (отчуждения) материальных благ.
Собственность:

  1. В юридическом смысле выражает имущественное отношение (собственнику принадлежит обусловленное законом имущество).
  2. В экономическом смысле – это система объективных отношений между людьми по поводу присвоения средств и результатов производства.
Собственность – абстрактное понятие. Присвоение – конкретное (они нетождественны), т.е. это общественный способ обладания вещью. Если присвоение в интересах частных лиц – это частная собственность, если в интересах группы, то коллективная, если в интересах общества – общественная.
Субъект собственности (собственник) – активная сторона отношений собственности, объект собственности – пассивная (вещества природы, имущество, энергия, информация, интеллект).
Отношения собственности:

  1. субъектно-объектные (имущественное отношение собственника к своей вещи, кто за что отвечает);
  2. субъектно-субъектные (имущественные взаимосвязи субъекта с другими субъектами, кто перед кем отвечает).
Связь между объектами и субъектами представлена отношениями:

  1. Владение (начальная форма собственности, отражающая юридическую закрепленную, фиксация субъекта собственности за объектом).
  2. Пользование (отношения собственности, т.е. применение объекта собственности в соответствии с его назначением по желанию и усмотрению пользователя). Владение и пользование могут соединяться в руках одного субъекта или быть разделенными (пользователь вещи не является ее владельцем – аренда земельного участка).
  3. Распоряжение – высший способ реализации отношений между объектом и субъектом собственности, дают субъекту право и возможность поступать по отношению к объекту любым образом (в том числе передачу полномочий собственника в другие руки).
Существует пучок прав собственности (право владения, пользования, управления, на доход от использования собственности, на безопасность, имущественная ответственность и т.д.). Однако два вида экономических прав собственности остаются основными:
а) права хозяйствования (право пользования) – использование полезных свойств объекта (потребительной стоимости);
б) права собственности (право распоряжения) – передача прав хозяйствования другим агентам.
Типы форм собственности
По субъектам: По объектам:
- гражданские частные - вещественные (материальные)
- юридические лица - интеллектуальные (духовные)
- государственные - на управление (руководство)
- муниципальные общественные

Частная собственность: достоинства (стимул к труду, благосостоянию, свобода, моральное удовлетворение), недостатки (индивидуализм, стяжательство, разобщенность).
Общественная собственность: ее необходимость в ВПК, космической сфере, энергетике, науке, образованию и т.д. Негатив: ничейная, низкая эффективность.
Разумное сочетание частной и общественной собственности. Меры: национализация – передача частной собственности в государственное использование; приватизация – передача общественной собственности в частные руки; реституция – возврат ранее отчужденной частной собственности.


1.3 Предпринимательство: виды и формы

Предпринимательская деятельность – самостоятельная инициативная деятельность граждан, направленная на получение прибыли.
Виды: по форме образования капитала и по средствам приложения капитала (производственно-коммерческое, консалтинг, инжиниринг, инвестиционное и т.д.).
Предпринимательские функции: организация производства и управление, риск, принятие экономических решений. Разделение функций собственности и управления (менеджмент и предпринимательство).
Абсолютное преимущество специализации – явное превосходство; сравнительное преимущество – снижение альтернативных издержек.
Крупное производство (эффект масштаба): НТП, специализация, экономия, меньше риск, но трудно управлять. Малый бизнес: специализация, гибкость, занятость, психологический климат, но есть риск, финансовые трудности.
Многоярусность экономики: крупные предприятия в массовом производстве, мелкие – в малых сериях, в разработке нового.
Сотрудничество крупного и малого бизнеса:
Франчайз – предложение крупной фирмы реализовать продукцию от своего имени мелкой. Венчурные (рискованные) предприятия - малые фирмы в разработке проектов, имеющих риск.
1) Индивидуальное предпринимательство (один человек или семья):
- плюсы: стимул к труду, свобода действий, гибкость, просто организовать, льготы в налогах;
- минусы: ограниченность ресурсов, риск;
- пример: торговля, фермерство, сфера услуг, кустарный промысел.
2) Товарищества (партнерства) (2 или более собственников, объединенных на паях совместного бизнеса):
- плюсы: дополнительные финансы, меньше риск, просто организовать;
- минусы: несогласованность, оппортунистическое поведение;
- пример: с/х, торговля, общепит, услуги, строительство.
Полное товарищество (полная ответственность), в основе - учредительный договор, используется там, где больше удельный вес интеллектуального капитала (брокерские, бухгалтерские, аудиторские, адвокатские фирмы):
Товарищество на вере (коммандитное) – действительные члены несут ответственность всем имуществом, вкладчики – только по взносам. Управляют фирмой первые, вторые получают только процент на вклад. Учредительный документ – договор.
3) Хозяйственные общества:
а) ООО (Общество с ограниченной ответственностью) (уставной капитал на доли, риск убытков по вкладам). Высший орган управления – общее собрание. Текущее руководство – исполнительный орган.
Право свободного выхода и продажи своей доли в капитале.
б) Общество с дополнительной ответственностью (ответственность не только по вкладам, но и на остальное имущество членов пропорционально вкладам).
в) Акционерное общество (корпорация, владельцы акций - пайщики АО, а владельцы облигаций – его кредиторы). Акционеры несут ответственность в пределах стоимости своих акций. Пакет – совокупность акций одного акционера. Высший орган управления АО – общее собрание.
Текущие вопросы – совет акционеров (наблюдательный совет). Финансы и ведение отчетности – это дело ревизионной комиссии. Исполнительный орган – правление (администрация), председатель и его заместитель избираются советом акционеров или общим собранием.
АО – юридическое лицо. Закрытое АО (ЗАО) и открытое АО (ОАО).
- плюсы: эффективность, крупные проекты, участие в управлении и хозяйственной сфере, простота передачи прав собственности, стабильность доходов, привлечение специалистов;
- минусы: сложность контроля, нет гарантии дивидендов, трудно организовать, двойное налогообложение.
Дочернее хозяйственное общество не отвечает по долгам основного, но последнее отвечает солидарно с дочерним по его сделкам.
Зависимым хозяйственное общество признается, если другое преобладающе имеет 20% голосующих акций или 20% уставного капитала.
4) Производственные кооперативы
Право юридического лица (не менее 5 членов). Субсидиарная ответственность по обязательствам.
Доходы: фонд зарплаты и прибыль. Учредительный документ – Устав. Не имеют права выпускать акции.
- плюсы: интересы труженика и собственника;
- минусы: вложение прибыли в потребительские доходы, а не в инвестиции;
- примеры: торговля, сфера услуг, строительство, мелкое промышленное производство.
Унитарные предприятия (государственные и муниципальные) – общественная собственность. Хозяйство ведется на основе использования закрепленного за ним (предпринимателем) общественных производственных фондов. Имущество неделимо и не может быть распределено по долгам. Имущество принадлежит предприятию на праве хозяйственного ведения или оперативного управления.
Под унитарным предприятием понимается коммерческая организация, не наделенная правом собственности на закрепленное за ней собственником имущество.





Тема 7. Потребительский выбор


Тема 7. Потребительский выбор

1. Понятие полезности. Кардиналистский и ординалистский подходы к ее измерению.
Полезность – цель потребления, свойство экономических благ удовлетворять потребности, приносить удовольствие потребителю.
Рациональный потребитель – рыночный субъект, который стремиться к максимальному удовлетворению своих потребностей путем потребления полезных свойств благ при ограничениях в доходе и ценах.
Для измерения и сопоставления полезности применяют два подхода:

  1. Количественный (кардиналистский) подход
  2. Порядковый (ординалистский) подход
Количественный (кардиналистский) подход (У.Джевонс, К.Менгери Л.Вальрас) основан на представлении о возможности измерения полезности различных благ в гипотетических единицах - ютилах (от английского слова utility -полезность)
Различают два вида полезности:
1. Общая полезность (TU) - это удовлетворение, которое индивид получает от потребления товаров и услуг в данном объеме.
Функция полезности:
TU=f(Qа,Qb,...,Qz),
где Qa,Qb,Qz- объемы потребления благ A,B,...,Z.
2. Предельная полезность (MU) - это прирост общей полезности при увеличении объема потребления данного блага на единицу.
MU=TU/Q
Кардиналистский подход опирается на законы Госсена.
Первый закон Госсена - Закон убывающей предельной полезности:
1) в одном непрерывном акте потребления полезность последующей единицы потребляемого блага убывает;
2) при повторном акте потребления полезность каждой единицы блага уменьшается по сравнению с ее полезностью при первоначальном потреблении.
Второй закон Госсена - Формулировка условия оптимума потребителя. Потребитель достигнет максимума удовлетворения, если он распределит свои средства на покупку различных товаров таким образом, что:
1) для всех реально покупаемых им товаров А,В,С... имеет место
Тема 7. Потребительский выбор

где,
Тема 7. Потребительский выбор
предельные полезности товаров А,В,С..., - коэффициент, который характеризует предельную полезность денег;
2) для всех непокупаемых им товаров Z,Y... имеет место:
Тема 7. Потребительский выбор

Следствие из второго закона Госсена: увеличение цены какого-либо блага (при неизменных ценах на все прочие блага и том же доходе) ведет к падению соотношения предельной полезности от его потребления и цены. Снижение предельной полезности означает меньшую готовность индивида платить за данное количество, то есть более низкий спрос.
Недостатки количественного подхода: не существует единиц для объективного измерения полезности различных товаров; предельная полезность денег не постоянна, она изменяется с изменением дохода, а значит деньги не могут служить мерой полезности.

Порядковый (ординалистский) подход (Ф.Эджуорт, В.Парето, И.Фишер) не требует измерения полезности в абсолютных единицах и постоянства предельной полезности денег, от потребителя требуется только ранжировать наборы благ по степени предпочтения.
Аксиомы:
1. Полной (совершенной) упорядоченности. Потребитель может сказать, что АВ (набор А предпочтительнее набора В), либо ВА; либо А~В (набор А и набор В равноценны).
2. Транзитивности: если А~В~С, то А~С.
3. Ненасыщения: если набор А содержит не меньшее количество каждого товара, а одного из них больше, чем набор В, то АВ.
4. Независимости потребителя. Удовлетворение потребителя зависит только от количества потребляемых им благ и не зависит от количества благ, потребляемых другими потребителями.
В дальнейшем изложим этот подход при определении равновесия потребителя.

2. Равновесие потребителя.
2.1. Бюджетное ограничение
Пусть потребитель выбирает из двух товаров (1 и 2). Потребительский набор Х(Х1,Х2) говорит о количестве товара 1 и товара 2, которые потребитель хочет приобрести. Это количество зависит не только от желания потребителя, но и от ситуации на рынке – сложившихся ценах.
Пусть P1 – цена 1 товара и P2 – цена 2 товара = P1*X1 + P2*X2 – сумма денег на покупку.
P1*X1 + P2*X2 = m
m – сумма денег, которой располагает потребитель.
Доступные количества товара X1 и X2 – те, которые не нарушают неравенство. Множество таких наборов составляют бюджетное множество. Предпосылку о двух товарах легко анулировать, приняв за второй товар композитный товар (товар, представляющий все другие товары, цена такого товара=1, т.к. сводится к количеству денежных единиц, которые потребитель потратит на другие товары).
Бюджетное множество – множество доступных товаров.
Бюджетная линия – множество наборов, на которые полностью расходуется доход потребителя.
Уравнение бюджетной линии: P1*X1 + P2*X2=m или X2=m/P2–P1*X1/P2
Таким образом мы видим уравнение прямой с пересечением оси X2 в точке m/P2 и отрицательным наклоном, равным P1/P2. Наклон означает пропорцию, в которой рынок готов заместить товар 2 на товар 1 (или альтернативные издержки потребления товара 1).
Бюджетная линия изменяется:

  1. При изменении дохода потребителя. При его увеличении происходит сдвиг бюджетной линии вправо и наоборот.
  2. При изменении цен, которое изменяет наклон линии.
  3. При изменении цен товаров в одной пропорции бюджетная линия сдвигается параллельно, т.о. этот сдвиг будет эквивалентен изменению дохода.
  4. При росте доход и всех цен в одинаковой пропорции происходит абсолютно сбалансированная инфляция, не изменяется бюджетное множество и не изменяется оптимальный выбор.

2.2. Предпочтения потребителей

При анализе предпочтений используются 4 аксиомы ординалистского подхода. Графически уровни порядковых полезностей демонстрируются с помощью кривых безразличия.
Отложим по осям количества в наборах товаров 1 и 2. Рассмотрим потребительский набор Х(Х1*,Х2*) и заштрихуем область, которая соответствует предпочитаемым Х наборам. Граница данной области – кривая безразличия. Или все наборы товаров 1 и 2, доставляющие потребителю одинаковый уровень полезности составляют кривую безразличия.
Свойства кривых безразличия:

  1. Кривая безразличия, лежащая выше и правее другой кривой, представляет собой более предпочтительные работы товаров (стандартные кривые безразличия).
  2. Кривые безразличия не могут пересекаться, так как разные кривые безразличия представляют из себя отличные уровни предпочтений.
  3. Кривые безразличия имеют отрицательный наклон, т.е. приобретение дополнительного количества одного товара предполагает отказ от определенного количества другого товара.
  4. Кривая безразличия – выпуклая линия к началу координат (стандартные кривые безразличия).
Множество всех кривых безразличия на плоскости называется картой кривых безразличия.
U1U2U3 , но конкретные значения U неизвестны, мы можем их лишь проранжировать.

Точки кривой безразличия характеризуются предельной нормой замещения (MRS).
MRS (Margenal Rent of Substitute) – пропорция, в которой потребитель готов заместить один товар другим при сохранении общего уровня полезности (т.е. оставаясь на той же кривой безразличия). Или графически наклон кривой безразличия в конкретной точке (предельно малое изменение количества товара Х1 и изменения количества товара Х2, замещающее это изменение для сохранения безразличности наборов). На рисунке – тангенс угла наклона () касательной в точке А.
tg=Х2/Х1
MRS всегда меньше 0, т.к. кривая безразличия имеет отрицательный наклон.





2.3. Выбор
Суть выбора: Потребители выбирают наиболее предпочитаемый набор из своих бюджетных множеств. Если предпочтения стандартны, то большее всегда предпочитается меньшему, и потребитель выбирает набор, который дает ему максимальную полезность (лежит на более высокой кривой безразличия) при данных бюджетных ограничениях. Такая кривая безразличия должна лишь касаться бюджетного множества в одной точке.
Условие оптимума потребителя: В точке оптимального выбора наклон кривой безразличия в точке (MRS) совпадает с соотношением цен, отражаемым наклоном бюджетной линии.







Тема 9. Факторные рынки и распределение доходов


Тема 9. Факторные рынки и распределение доходов

1. Понятие рынка ресурсов. Спрос и предложение на рынке ресурсов.
Рынок ресурсов вид рынков, предметом купли и продажи на котором выступают факторы производства (или экономические ресурсы).
Специфика ресурсных рынков:

  1. Продавцами на этих рынках могут выступать как фирмы, так и домохозяйства.
  2. Распределение ресурсов между отраслями и фирмами происходит в соответствии с их возможностями платить за ресурсы.
  3. От цен на разные виды ресурсов будет зависеть распределение доходов в обществе.
  4. Цена экономических ресурсов имеет под собой основу денежный доход от использования данного ресурса:
Экономический ресурс
Доход
Капитал
Прибыль
Труд
Заработная плата
Земля
Рента
Различают рынки земли, капитала и труда.
Цена на ресурсы складывается в результате взаимодействия спроса и предложения.
1. Спрос на ресурсы. Спрос на ресурсы зависит от:

  1. спроса на продукцию, изготовляемую с применением данного вида ресурса. Чем выше спрос на готовый продукт, тем больше покупатели готовы платить за готовый продукт, тем по большей цене может себе позволить закупать ресурсы предприниматель, тем больше будет спрос на ресурсы.
  2. производительности ресурса. При ее росте фирма привлекает меньшее количество ресурсов. Производительность ресурса отражает предельный продукт ресурса (MPпродукт, созданный последней единицей данного ресурса).
  3. цены на замещающие и дополняющие ресурсы
Кривая спроса на ресурс (D) =MRP (доход от предельного продукта ресурса = MP*P).
Кривая спроса на ресурс имеет отрицательный наклон.
Эластичность спроса на ресурсы зависит от:
А) эластичности спроса на готовую продукцию. Прямая зависимость.
Б) замещаемости ресурсов. Прямая зависимость.
В) доли ресурса в общих издержках. Прямая зависимость.
Г) коэффициента снижения предельного продукта переменного ресурса. Чем быстрее падает предельный продукт при добавлении фиксированного количества переменного фактора, тем больше эластичность спроса на ресурс.


2. Предложение ресурсов.
Предложение ресурсов меняется сравнительно медленно во времени. Так как Sрес в краткосрочном периоде фиксировано, то важнейшим следствием взаимодействия спроса и предложения на рынке ресурсов является высокий доход на дефицитные ресурсы и низкие на имеющиеся в изобилии.
Главная задача фирмы максимизация прибыли. При выборе сочетания ресурсов для производства товаров и услуг фирма может это сделать двумя способами:

  1. Правило минимизации издержек при выборе комбинации ресурсов фирма будет манипулировать ресурсами до тех пор, пока предельный продукт к ценам ресурсов не выровняются. При этом получается самые низкие издержки.
MPK/ = MPL/W=MPR/R
Где - прибыль, MPK, MPL, MPR предельные продукты капитала, труда, земли соответственно, W - заработная плата, R рента.

  1. Правило максимизации прибыли. Чтобы максимизировать прибыль, фирма должна использовать такую комбинацию ресурсов, чтобы их предельные продукты были равны ценам ресурсов.
MPK/ = MPL/W=MPR/R=1
У любой фирмы как правило есть несколько объемов производства, минимизирующих издержки, и только один максимизирующий прибыль.
2. Рынок труда.
Рынок труда вид рынка ресурсов, на котором объектом купли-продажи является труд (рабочая сила, услуги труда).
Что продается на рынке труда?

  1. Рабочая сила способность человека к целенаправленной трудовой деятельности.
  2. Труд затраты умственной и физической энергии в процессе производства благ.
  3. Услуги труда найм работника для осуществления им определенных в договоре функций.
Разница: человек свободная личность, работодатель заранее не знает, как работник будет работать на него
Особенности труда как ресурса:

  1. Большая продолжительность взаимоотношений продавца и покупателя. Чем дольше, тем лучше качество труда.
  2. Большая роль неденежных факторов (сложность и престижность работы, состояние здоровья, моральный климат в коллективе, перспективы роста и т.д.)
  3. Значительно влияние на рынок труда со стороны институциональных структур (профсоюзы, союзы предпринимателей, государственная политика в области занятости и т.п.)
1. Спрос на труд
Субъекты спроса фирмы и государство.
DL спрос на труд.
L количество привлекаемого труда (человеко-часы).
W почасовая ставка заработной платы (руб/час).
Кривая спроса на труд имеет отрицательный наклон, так как при росте почасовой ставки заработной платы предприниматель стремиться автоматизировать производство и сократить рабочих.
2. Предложение труда
Субъекты предложения домашние хозяйства.
SL кривая предложения труда.
SL имеет разную форму для индивида и для рынка труда в целом:

  1. Индивидуальная кривая предложения труда (SLI)- предполагается, что работник рассматривает отдых как благо, а работу как антиблаго (не рассматриваем трудоголиков!!). Пока доход работника был низкий (WWI), он использовал любую возможность подзаработать и увеличивал предложение труда при увеличении ставки оплаты труда. Но как только ему стали платить, на его взгляд, достаточно, при дальнейшем росте зарплаты (WWI) работник предпочитает больше отдыхать, меньше работать (LLI). «Зачем мне много денег, если у меня нет времени их тратить».
  2. Рыночная кривая предложения труда (SLM) выглядит как обычная кривая предложения (имеет положительный наклон). Когда ставка оплаты повышается, и отдельные работники снижают предложение труда, на рынок приходят работники с другого сегмента рынка труда, которых привлекает высокая зарплата.
3. Цена труда заработная плата.

    • В широком смысле доход от фактора производства под названием «труд» (всё, что работодатель платит работнику)
    • В узком смысле цена за использование единицы труда за определенное время (=ставка заработной платы).
Заработная плата бывает:

  1. Номинальная сумма денег, которую получает работник за свой труд.
  2. Реальная то количество товаров и услуг, которое можно приобрести на зарплату.
Существует 3 модели рынка труда:

  1. Конкурентная ни продавцы, ни покупатели не способны влиять на условия купли-продажи труда. Конкурентный рынок характеризуется множеством фирм и работников одинаковой квалификации. Рынок около биржи труда. Кривая предложения на рынке труда наклонная, так как существуют возможности альтернативного предложения своего труда переход в другие отрасли.
  2. Монопольная покупатель определяет масштабы спроса и уровень цен. На рынке имеется только один покупатель. Он нанимает меньше рабочих, таким образом максимизируя прибыль и снижая оплату труда.
  3. Профсоюзная рабочие продают рабочую силу коллективно через профсоюз, который использует следующие методы повышения оплаты труда: 1. Введение ограничений предложения труда (забастовки и т.п.). 2. Повышение уровня стандартной заработной платы. 3. Повышение спроса на труд через спроса на продукт (реклама и т.п.). 4. Противостояние монополисту.
3. Рынок капитала.
Три направления трактовки понятия «капитал»:

    1. Натуралистическая концепция. Капитал совокупность средств производства и товаров для продажи.
    2. Монетаристская (денежная) концепция. Капитал деньги, приносящие процент.
    3. Концепция человеческого капитала. Капитал выступает в двух формах: физический (средства производства) и человеческий (приобретенные знания, умения и навыки).
    Все три концепции рассматривают один и тот же предмет, акцентируя разные его стороны.
    Формы капитала:

    1. Производительная (П) набор средств производства.
    2. Товарная (Т) запасы готовых товаров для продажи.
    3. Денежная (Д) сумма денег.
    Кругооборот капитала:

    1. Производственного Д Т (рабочая сила и средства производства) П Т+т Д+д
    т и д прибавочный продукт и прибавочная стоимость

    1. Торгового Д Т Д+д
    2. Спекулятивного Д Д+д
    Капитал в производственной форме делится на:

    1. Основной капитал здания, машины, оборудование, которые многократно используются в процессе производства и переносят свою стоимость на продукт по частям в течение всего срока его службы. Перенос стоимости основного капитала на конечный продукт называется амортизацией. При этом на предприятии накапливается амортизационный фонд, который используется для покупки нового оборудования.
    2. Оборотный капитал сырье, материалы, рабочая сила, которые полностью переносят на готовый продукт свою стоимость в течение одного производственного цикла.
    Доход за использование капитала может принимать две формы:

      1. Прибыль плата за предпринимательство, новаторство и риск = Выручка Издержки. 3 вида:
        • Бухгалтерская прибыль = Выручка Бухгалтерские издержки
        • Экономическая прибыль = Выручка Экономические издержки
        • Нормальная прибыль - уровень прибыль, достаточный чтобы удержать предпринимателя на данном рынке
      2. Процент плата за предоставление денежного капитала в кредит, плата за отложенное потребление. Для банковского капитала маржа (валовая прибыль банка) разница между процентом за кредит и процентом за депозит. Чистая прибыль банка = Маржа Расходы по ведению банковского дела.
      Процент тем выше, чем больше риск, больше срок, меньше размер ссуды.
      Процентная ставка: * номинальная (i) текущая рыночная ставка
      * реальная (r) номинальная за минусом ставки инфляции r=i-
      Рынок капитала:
      i номинальная процентная ставка
      I* - равновесная номинальная процентная ставка
      К размер капитала К* - равновесный размер капитала
      Sk предложение капитала (банки, домашние хозяйства)
      Dk спрос на капитал со стороны различных проектов (фирмы)

      Для сравнения сумм капитала, относящихся к разным временным периодам используют дисконтирование процедура приведения денежных сумм к одному периоду времени.
      Предположим нужно посчитать, будет ли прибылен проект, в который нужно вложить 20000 рублей, через год вам возвратят 10000 рублей, а еще через год 12000. Просто складывать 10000+12000 нельзя, так как за то, что вы отказываетесь от потребления 20000 сейчас вам нужно получить компенсацию. Эта компенсация процент от первоначальной суммы (ставка дисконтирования). Пусть в нашем примере 15% (10% - погасить влияние инфляции, 5% - сама компенсация)




      10000 р. к концу срока будут стоить 10000+1000*0,15=11500
      20000 р. к концу срока будут стоить: 1 год - 20000+20000*0,15=23000
      2 год 23000+23000*0,15=26450. = 20000*(1+0,15)2
      Получается, что 2645011500+12000. В проект вкладывать не стоит. Можно эти деньги просто потратить или искать другой проект.
      Формула дисконтирования N=P*(1+r)t N дисконтированная величина, P первоначальная величина, r ставка дисконтирования, t количество лет.
      4. Рынок земли
      Необходимо различать два рынка:

      1. Рынок земли продавец передает право собственности на землю при продаже. Цена на рынке цена земли.
      2. Рынок услуг земли продавец передает право хозяйственного использования земли на определенный срок арендатору. Цена на рынке арендная плата (земельная рента).
      Предложение земли (Sz) совершенно неэластично, так как количество земли фиксированная величина:

      1. Кардинальное увеличение предложения земли невозможно. Можно, конечно, осушить болота и разровнять горы, но в европейской части России, в Европе осушать и разравнивать особо нечего и это ОЧЕНЬ долгосрочные проекты.
      2. Земля недвижимость. Нельзя земельный участок переместить на более удачное место. Предложение городской земли в центральном районе нельзя увеличить за счет сельской земли в деревни Козюлино.
      3. Земля фактор, не имеющий альтернативы для общества, поэтому Sz не имеет участков с положительным наклоном.
      На графике: Dz - спрос на землю, R рента, Qz количество земли
      Из совершенной неэластичности Sz следует, что уровень ренты полностью зависит от спроса на землю (Dz):
      Dz1 Dz2 R1R2
      Земельные участки неоднородны по качеству (имеют разную производительность). У них разные:

        1. плодородие
        2. местоположение.
        Отсюда на разные рентные ставки: у самых плодородных (для сельхозземель) и самых удобно расположенных (для земель несельскохозяйственного назначения) участков рента будет самая высокая. Но так как земля используется разного качества, то рента как доход от земли будет у всех, но у владельцев хороших участков она будет выше на «премию за качество участка» - дифференциальная рента.

        Цена земли, как капитального ресурса, определяется размерами земельной ренты, которую можно получать с участка, и ставкой ссудного процента. Т.о. цена земли приведенная к настоящему времени рента.
        Рz = Ri / (1+r)t
        Так как t, то 1/(1+r)t 0, то приближенно цену земли можно считать как:
        Рz=R/r
        Где R рента, r ставка ссудного процента
        Природные ресурсы:

        1. Воспроизводимые (например, плодородный слой земли) при правильной системе агротехнических мероприятий участок может давать хорошие результаты каждый год.
        2. Невоспроизводимые (например, месторождения) существует ограниченный запас, и рано или поздно он заканчивается. Два варианта использования невоспроизводимых ресурсов: А) текущее потребление, Б) консервация для производства будущих благ. Ни тот ни другой вариант неприемлим для экономического развития мира.
        Компромисс: Темпы роста добычи должны быть меньше темпов замещения ресурсов (поиск альтернативных источников энергии).

        

            Экономика: Знания - Циклы - Макроэкономика