Язык программирования C++
Абстрактные классы
Вернемся к примеру наследования, который мы рассматривали раньше. Мы ввели базовый класс Item, который представляет общие свойства всех единиц хранения в библиотеке. Но существуют ли объекты класса Item? То есть существует ли в действительности "единица хранения" сама по себе? Конечно, каждая книга (класс Book), журнал (класс Magazine) и т.д. принадлежат и к классу Item, поскольку они выведены из него, однако объект самого базового класса вряд ли имеет смысл. Базовый класс – это некое абстрактное понятие, описывающее общие свойства других, конкретных объектов.Тот факт, что в данном случае объекты базового класса не могут существовать сами по себе, обусловлен еще одним обстоятельством. Некоторые методы базового класса не могут быть реализованы в нем, а должны быть реализованы в порожденных классах. Возьмем, например, тот же метод Name. Его реализация в базовом классе довольно условна, она не имеет особого смысла. Было бы логичнее вообще не реализовывать этот метод в базовом классе, а возложить ответственность за его реализацию на производные классы.
С другой стороны, нам важен факт наличия метода Name во всех производных классах и то, что этот метод виртуален. Именно поэтому мы можем работать с указателями (или ссылками) на объекты базового класса, не зная точно, на какой именно из производных классов этот указатель указывает. Виртуальный механизм во время выполнения программы сам разберется и вызовет нужную реализацию метода Name.
on_load_lecture()
Item it; Item* itptr = new Item;
не разрешены, и компилятор сообщит об ошибке. Однако можно записать:
Book b; Item* itptr = b; Item itref = b;
Отметим, что, определив чисто виртуальный метод в классе Book, в следующем уровне наследования его уже не обязательно переопределять (в классах, производных из Book).
Если по каким-либо причинам в производном классе чисто виртуальный метод не определен, то этот класс тоже будет абстрактным, и любые попытки создать объект данного класса будут вызывать ошибку. Таким образом, забыть определить чисто виртуальный метод просто невозможно. Абстрактный базовый класс навязывает определенный интерфейс всем производным из него классам. Собственно, в этом и состоит главное назначение абстрактных классов – в определении интерфейса для всей иерархии классов. Разумеется, это не означает, что в абстрактном классе не может быть определенных методов или атрибутов.
Вообще говоря, класс можно сделать абстрактным, даже если все его методы определены. Иногда это необходимо сделать для того, чтобы быть уверенным в том, что объект данного класса никогда не будет создан. Можно задать один из методов как чисто виртуальный, но, тем не менее, определить его реализацию. Обычно для этих целей выбирается деструктор:
class A { public: virtual ~A() = 0; }; A::~A() { . . . }
Класс A – абстрактный, и объект типа A создать невозможно. Однако деструктор его определен и будет вызван при уничтожении объектов производных классов (о порядке выполнения конструкторов и деструкторов см. ниже).
Множественное наследование
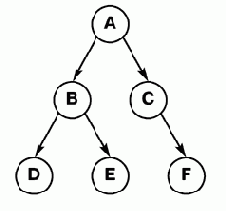
В языке Си++ имеется возможность в качестве базовых задать несколько классов. В таком случае производный класс наследует методы и атрибуты всех его родителей. Пример иерархии классов в случае множественного наследования приведен на следующем рисунке.
10.2. Иерархия классов при множественном наследовании.
В данном случае класс C наследует двум классам, A и B.
Множественное наследование – мощное средство языка. Приведем некоторые примеры использования множественного наследования.
Предположим, имеющуюся библиотечную систему решено установить в университете и интегрировать с другой системой учета преподавателей и студентов. В библиотечной системе имеются классы, описывающие читателей и работников библиотеки. В системе учета кадров существуют классы, хранящие информацию о преподавателях и студентах. Используя множественное наследование, можно создать классы студентов-читателей, преподавателей-читателей и студентов, подрабатывающих библиотекарями.
В графическом редакторе для некоторых фигур может быть предусмотрен пояснительный текст. При этом все алгоритмы форматирования и печати пояснений работают с классом Annotation. Тогда те фигуры, которые могут содержать пояснение, будут представлены классами, производными от двух базовых классов:
class Annotation { public: String GetText(void); private: String annotation; }; class Shape { public: virtual void Draw(void); }; class AnnotatedSquare : public Shape, public Annotation { public: virtual void Draw(); };
У объекта класса AnnotatedSquare имеется метод GetText, унаследованный от класса Annotation, он определяет виртуальный метод Draw, унаследованный от класса Shape.
При применении множественного наследования возникает ряд проблем. Первая из них – возможный конфликт имен методов или атрибутов нескольких базовых классов.
class A { public: void fun(); int a; }; class B { public: int fun(); int a; }; class C : public A, public B { };
При записи
C* cp = new C; cp-fun();
невозможно определить, к какому из двух методов fun происходит обращение. Ситуация называется неоднозначной, и компилятор выдаст ошибку. Заметим, что ошибка выдается не при определении класса C, в котором заложена возможность возникновения неоднозначной ситуации, а лишь при попытке вызова метода fun.
Неоднозначность можно разрешить, явно указав, к которому из базовых классов происходит обращение:
cp-A::fun();
Вторая проблема заключается в возможности многократного включения базового класса. В упомянутом выше примере интеграции библиотечной системы и системы кадров вполне вероятна ситуация, при которой классы для работников библиотеки и для студентов были выведены из одного и того же базового класса Person:
class Person { public: String name(); }; class Student : public Person { . . . }; class Librarian : public Person { . . . };
Если теперь создать класс для представления студентов, подрабатывающих в библиотеке
class StudentLibrarian : public Student, public Librarian { };
то объект данного класса будет содержать объект базового класса Person дважды (см. 10.3).

10.3. Структура объекта StudentLibrarian.
Кроме того, что подобная ситуация отражает нерациональное использование памяти, никаких неудобств в данном случае она не вызывает. Возможную неоднозначность можно разрешить, явно указав класс:
StudentLibrarian* sp; // ошибка – неоднозначное обращение, // непонятно, к какому именно экземпляру // типа Person обращаться sp-Person::name(); // правильное обращение sp-Student::Person::name();
Тем не менее, иногда необходимо, чтобы объект базового класса содержался в производном один раз. Для этих целей применяется виртуальное наследование, речь о котором впереди.
Преобразование базового и производного классов
Объект базового класса является частью объекта производного класса. Если в программе используется указатель на производный класс, то его всегда можно без потери информации преобразовать в указатель на базовый класс. Поэтому во многих случаях компилятор может выполнить такое преобразование автоматически.Circle* pC; . . . Shape* pShape = pC;
Обратное не всегда верно. Преобразование из базового класса в производный не всегда можно выполнить. Поэтому говорят, что преобразование
Item* iPtr; . . . Book* bPtr = (Book*)iPtr;
небезопасно. Такое преобразование можно выполнять только тогда, когда точно известно, что iPtr указывает на объект класса Book.
Виртуальное наследование
Базовый класс можно объявить виртуальным базовым классом, используя запись:class Student : virtual Person { }; class Librarian : virtual Person { };
Гарантировано, что объект виртуального базового класса будет содержаться в объекте выведенного класса (см. 10.4) один раз. Платой за виртуальность базового класса являются дополнительные накладные расходы при обращениях к его атрибутам и методам наследования.

10.4. Структура объекта StudentLibrarian при виртуальном множественном наследовании.
on_load_lecture()




|
/p> |
/p> |
/p> |
/p> |
вопросы |
учебники
|
для печати и PDA



| Курсы | Учебные программы | Учебники | Новости | Форум | Помощь Телефон: +7 (495) 253-9312, 253-9313, факс: +7 (495) 253-9310, email: info@intuit.ru 2003-2007, INTUIT.ru::Интернет-Университет Информационных Технологий - дистанционное образование |
Виртуальные методы и переопределение методов
Что бы изменилось, если бы метод Name не был описан как виртуальный? В таком случае решение о том, какой именно метод будет выполняться, принимается статически, во время компиляции программы. В примере с методом Name, поскольку мы работаем с указателем на базовый класс, был бы вызван метод Name класса Item. При определении метода как virtual решение о том, какой именно метод будет выполняться, принимается во время выполнения.Свойство виртуальности проявляется только тогда, когда обращение к методу идет через указатель или ссылку на объект. Указатель или ссылка могут указывать как на объект базового класса, так и на объект производного класса. Если же в программе имеется сам объект, то уже во время компиляции известно, какого он типа и, соответственно, виртуальность не используется.
func(Item item) { item.Name(); } func1(Item item) { item.Name();
}
// вызывается метод Item::Name()
// вызывается метод в соответствии // с типом того объекта, на который // ссылается item
Виртуальные методы
В обоих классах, выведенных из класса Item, имеется метод Title, выдающий в качестве результата заглавие книги или название журнала. Кроме этого метода, полезно было бы иметь метод, выдающий полное название любой единицы хранения. Реализация этого метода различна, поскольку название книги и журнала состоит из разных частей. Однако вид метода – возвращаемое значение и аргументы – и его общий смысл один и тот же. Название – это общее свойство всех единиц хранения в библиотеке, и логично поместить метод, выдающий название, в базовый класс.class Item { public: virtual String Name(void) const; . . . }; class Book : public Item { public: virtual String Name(void) const; . . . }; class Magazine : public Item { public: virtual String Name(void) const; . . . };
Реализация метода Name для базового класса тривиальна: поскольку название известно только производному классу, мы будем возвращать пустую строку.
String Item::Name(void) const { return ""; }
Для книги название состоит из фамилии автора, названия книги, издательства и года издания:
String Book::Name(void) const { return author + title + publisher + String(year); }
У журнала полное название состоит из названия журнала, года и номера:
String Magazine::Name(void) const { return title + String(year) + String(number); }
Методы Name определены как виртуальные с помощью описателя virtual, стоящего перед определением метода. Виртуальные методы реализуют идею полиморфизма в языке Си++. Если в программе используется указатель на базовый класс Item и с его помощью вызывается метод Name:
Item* ptr; . . . String name = ptr-Name();
то по виду вызова метода невозможно определить, какая из трех приведенных выше реализаций Name будет выполнена. Все зависит от того, на какой конкретный объект указывает указатель ptr.
Item* ptr; . . . if (type == "Book") ptr = new Book; else if (type == "Magazine") ptr = new Magazine; . . . String name = ptr-Name();
В данном фрагменте программы, если переменная type, обозначающая тип библиотечной единицы, была равна "Book", то будет вызван метод Name класса Book. Если же она была равна "Magazine", то будет вызван метод класса Magazine.
Виртуальные методы позволяют программировать действия, общие для всех производных классов, в терминах базового класса. Динамически, во время выполнения программы, будет вызываться метод нужного класса.
Приведем еще один пример виртуального метода. Предположим, в графическом редакторе при нажатии определенной клавиши нужно перерисовать текущую форму на экране. Форма может быть квадратом, кругом, эллипсом и т.д. Мы введем базовый класс для всех форм Shape. Конкретные фигуры, с которыми работает редактор, будут представлены классами Square (квадрат), Circle (круг), Ellipse (эллипс), производными от класса Shape. Класс Shape определяет виртуальный метод Draw для отображения формы на экране.
class Shape { public: Shape(); virtual void Draw(void); }; // // квадрат // class Square : public Shape { public: Square(); virtual void Draw(void); private: double length; // длина стороны }; // // круг // class Circle : public Shape { public: Circle(); virtual void Draw(void); private: short radius; }; . . .
Конкретные классы реализуют данный метод, и, разумеется, делают это по-разному. Однако в функции перерисовки текущей формы, если у нас имеется указатель на базовый класс, достаточно лишь записать вызов виртуального метода, и динамически будет вызван нужный алгоритм рисования конкретной формы в зависимости от того, к какому из классов (Square, Circle и т.д.) принадлежит объект, на который указывает указатель shape:
Repaint(Shape* shape) { shape-Draw(); }
Внутреннее и защищенное наследование
До сих пор мы использовали только внешнее наследование. Однако в языке Си++ имеется также внутреннее и защищенное наследование. Если перед именем базового класса ставится ключевое слово private, то наследование называется внутренним.class B : private A { . . . };
В случае внутреннего наследования внешняя и защищенная части базового класса становятся внутренней частью производного класса. Внутренняя часть базового класса остается для производного класса недоступной.
Если перед именем базового класса поставить ключевое слово protected, то будет использоваться защищенное наследование. При нем внешняя и защищенная части базового класса становятся защищенной частью производного класса. Внутренняя часть базового класса остается недоступной для производного класса.
Фактически, при защищенном и внутреннем наследовании производный класс исключает из своего интерфейса интерфейс базового класса, но сам может им пользоваться. Разницу между защищенным и внутренним наследованием почувствует только класс, выведенный из производного.
Если в классе A был определен какой-то метод:
class A { public: int foo(); };
то запись
B b; b.foo();
недопустима, так же, как и
class C { int m() { foo(); } };
если класс B внутренне наследует A. Если же класс B использовал защищенное наследование, то первая запись b.foo() также была бы неправильной, но зато вторая была бы верна.
on_load_lecture()




|
/p> |
/p> |
/p> |
/p> |
вопросы |
учебники
|
для печати и PDA



| Курсы | Учебные программы | Учебники | Новости | Форум | Помощь Телефон: +7 (495) 253-9312, 253-9313, факс: +7 (495) 253-9310, email: info@intuit.ru 2003-2007, INTUIT.ru::Интернет-Университет Информационных Технологий - дистанционное образование |
Доступ к объекту по чтению и записи
Кроме контроля доступа к атрибутам класса с помощью разделения класса на внутреннюю, защищенную и внешнюю части, нужно следить за тем, с помощью каких методов можно изменить текущее значение объекта, а с помощью каких – нельзя.При описании метода класса как const выполнение метода не может изменять значение объекта, который этот метод выполняет.
class A { public: int GetValue (void) const; int AddValue (int x) const; private: int value; } int A::GetValue(void) const { return value; } // объект не изменяется int A::AddValue(int x) const { value += x; // попытка изменить атрибут объекта // приводит к ошибке компиляции
return value; }
Таким образом, использование описателя const позволяет программисту контролировать возможность изменения информации в программе, тем самым предупреждая ошибки.
В описании класса String один из методов – GetLength – представлен как неизменяемый (в конце описания метода стоит слово const). Это означает, что вызов данного метода не изменяет текущее значение объекта. Остальные методы изменяют его значение. Контроль использования тех или иных методов ведется на стадии компиляции. Например, если аргументом какой-либо функции объявлена ссылка на неизменяемый объект, то, соответственно, эта функция может вызывать только методы, объявленные как const:
int Lexer::CharCounter(const String s, char c) { int n = s.GetLength(); // допустимо s.Concat("ab"); // ошибка – Concat изменяет значение s }
Общим правилом является объявление всех методов как неизменяемых, за исключением тех, которые действительно изменяют значение объекта. Иными словами, объявляйте как можно больше методов как const. Такое правило соответствует правилу объявления аргументов как const. Объявление константных аргументов запрещает изменение объектов во время выполнения функции и тем самым предотвращает случайные ошибки.
Интерфейс и состояние объекта
Основной характеристикой класса с точки зрения его использования является интерфейс, т.е. перечень методов, с помощью которых можно обратиться к объекту данного класса. Кроме интерфейса, объект обладает текущим значением или состоянием, которое он хранит в атрибутах класса. В Си++ имеются богатые возможности, позволяющие следить за тем, к каким частям класса можно обращаться извне, т.е. при использовании объектов, и какие части являются "внутренними", необходимыми лишь для реализации интерфейса.Определение класса можно поделить на три части – внешнюю, внутреннюю и защищенную. Внешняя часть предваряется ключевым словом public , после которого ставится двоеточие. Внешняя часть – это определение интерфейса. Методы и атрибуты, определенные во внешней части класса, доступны как объектам данного класса, так и любым функциям и объектам других классов. Определением внешней части мы контролируем способ обращения к объекту. Предположим, мы хотим определить класс для работы со строками текста. Прежде всего, нам надо соединять строки, заменять заглавные буквы на строчные и знать длину строк. Соответственно, эти операции мы поместим во внешнюю часть класса:
class String { public: // добавить строку в конец текущей строки void Concat(const String str); // заменить заглавные буквы на строчные void ToLower(void); int GetLength(void) const; // сообщить длину строки . . . };
Внутренняя и защищенная части класса доступны только при реализации методов этого класса. Внутренняя часть предваряется ключевым словом private, защищенная – ключевым словом protected.
class String { public: // добавить строку в конец текущей строки void Concat(const String str); // заменить заглавные буквы на строчные void ToLower(void); int GetLength(void) const; // сообщить длину строки private: char* str; int length; };
В большинстве случаев атрибуты во внешнюю часть класса не помещаются, поскольку они представляют состояние объекта, и возможности их использования и изменения должны быть ограничены. Представьте себе, что произойдет, если в классе String будет изменен указатель на строку без изменения длины строки, которая хранится в атрибуте length.
Объявляя атрибуты str и length как private, мы говорим, что непосредственно к ним обращаться можно только при реализации методов класса, как бы изнутри класса (private по-английски – частный, личный). Например:
int String::GetLength(void) const { return length; }
Внутри определения методов класса можно обращаться не только к внутренним атрибутам текущего объекта, но и к внутренним атрибутам любых других известных данному методу объектов того же класса. Реализация метода Concat будет выглядеть следующим образом:
void String::Concat(const String x) { length += x.length; char* tmp = new char[length + 1]; ::strcpy(tmp, str); ::strcat(tmp, x.str); delete [] str; str = tmp; }
Однако если в программе будет предпринята попытка обратиться к внутреннему атрибуту или методу класса вне определения метода, компилятор выдаст ошибку, например:
main() { String s; if (s.length 0) // ошибка . . . }
Разница между защищенными (protected) и внутренними атрибутами была описана в предыдущей лекции, где рассматривалось создание иерархий классов.
При записи классов мы помещаем первой внешнюю часть, затем защищенную часть и последней – внутреннюю часть. Дело в том, что внешняя часть определяет интерфейс, использование объектов данного класса. Соответственно, при чтении программы эта часть нужна прежде всего. Защищенная часть необходима при разработке зависимых от данного класса новых классов. И внутреннюю часть требуется изучать реже всего – при разработке самого класса.
Использование описателя const
Во многих примерах мы уже использовали ключевое слово const для обозначения того, что та или иная величина не изменяется. В данном параграфе приводятся подробные правила употребления описателя const.Если в начале описания переменной стоит описатель const, то описываемый объект во время выполнения программы не изменяется:
const double pi = 3.1415; const Complex one(1,1);
Если const стоит перед определением указателя или ссылки, то это означает, что не изменяется объект, на который данный указатель или ссылка указывает:
// указатель на неизменяемую строку const char* ptr = string; char x = *ptr; ptr++; *ptr = '0'; // обращение по указателю — допустимо // изменение указателя — допустимо // попытка изменения объекта, на // который указатель указывает – // ошибка
Если нужно объявить указатель, значение которого не изменяется, то такое объявление выглядит следующим образом:
char* const ptr = string; // неизменяемый указатель char x = *ptr; ptr++; *ptr = '0'; // обращение по указателю – допустимо // изменение указателя – ошибка // изменение объекта, на который // указатель указывает – допустимо
Объявление friend
Предположим, мы хотим в дополнение к интерфейсу класса String создать функцию, которая формирует новую строку, являющуюся результатом слияния двух строк, но не изменяет сами аргументы. (Особенно часто подобный интерфейс необходимо создавать при определении операций – см. ниже). Для того чтобы эта функция работала быстро, желательно, чтобы она имела доступ к внутренним атрибутам класса String. Доступ можно разрешить, объявив функцию "другом" класса String с помощью ключевого слова friend:class String { . . . friend String concat(const String s1, const String s2); };
Тогда функция concat может быть реализована следующим образом:
String concat(const String s1, const String s2) { String result; result.length = s1.length + s2.length; result.str = new char[result.length + 1]; if (result.str == 0) { // обработка ошибки } strcpy(result.str, s1.str); strcat(result.str, s2.str); return result; }
С помощью механизма friend можно разрешить обращение к внутренним элементам класса как отдельной функции, отдельному методу другого класса или всем методам другого класса:
class String { // все методы класса StringParser обладают // правом доступа ко всем атрибутам класса // String friend class StringParser; // из класса Lexer только метод CharCounter // может обращаться к внутренним атрибутам // String friend int Lexer::CharCounter(const String s, char c); };
Конечно, злоупотреблять механизмом friend не следует. Каждое решение по использованию friend должно быть продумано. Если только одному методу какого-либо класса действительно необходим доступ, не следует объявлять весь класс как friend.
on_load_lecture()




|
/p> |
/p> |
/p> |
вопросы |
учебники
|
для печати и PDA



| Курсы | Учебные программы | Учебники | Новости | Форум | Помощь Телефон: +7 (495) 253-9312, 253-9313, факс: +7 (495) 253-9310, email: info@intuit.ru 2003-2007, INTUIT.ru::Интернет-Университет Информационных Технологий - дистанционное образование |
Деструкторы
Аналогично тому, что при создании объекта выполняется конструктор, при уничтожении объекта выполняется специальный метод класса, называемый деструктором. Обычно деструктор освобождает ресурсы, использованные данным объектом.У класса может быть только один деструктор. Его имя – это имя класса, перед которым добавлен знак "тильда" ‘~’. Для объектов класса String деструктор должен освободить память, используемую для хранения строки:
class String { ~String(); }; String::~String() { if (str) delete str; }
Если деструктор в определении класса не объявлен, то при уничтожении объекта никаких действий не производится.
Деструктор всегда вызывается перед тем, как освобождается память, выделенная под объект. Если объект типа String был создан с помощью операции new, то при вызове
delete sptr;
выполняется деструктор ~String(), а затем освобождается память, занимаемая этим объектом. Предположим, в некой функции объявлена автоматическая переменная типа String:
int funct(void) { String str; . . . return 0; }
При выходе из функции funct по оператору return переменная str будет уничтожена: выполнится деструктор и затем освободится память, занимаемая этой переменной.
В особых случаях деструктор можно вызвать явно:
sptr-~String();
Такие вызовы встречаются довольно редко; соответствующие примеры будут рассматриваться позже, при описании переопределения операций new и delete.
Инициализация объектов
Рассмотрим более подробно, как создаются объекты. Предположим, формируется объект типа Book.Во-первых, под объект выделяется необходимое количество памяти: либо динамически, если объект создается с помощью операции new, либо автоматически – при создании автоматической переменной, либо статически – при создании статической переменной.
Класс Book – производный от класса Item, поэтому вначале вызывается конструктор Item.
У объекта класса Book имеются атрибуты – объекты других классов, в частности, String. После завершения конструктора базового класса будут созданы все атрибуты, т.е. вызваны их конструкторы. По умолчанию используются стандартные конструкторы, как для базового класса, так и для атрибутов.
И только теперь очередь дошла до вызова конструктора класса Book.
В самом конце, после завершения конструктора Book, создаются структуры, необходимые для работы виртуального механизма (отсюда следует, что в конструкторе нельзя использовать виртуальный механизм).
Вызов конструкторов базового класса и конструкторов для атрибутов класса можно задать явно. Особенно это важно, если есть необходимость либо использовать нестандартные конструкторы, либо присвоить начальные значения атрибутам класса. Вызов конструкторов записывается после имени конструктора класса после двоеточия. Друг от друга вызовы отделяются запятой. Такой список называется списком инициализации или просто инициализацией:
Item::Item() : taken(false), invNumber(0) {}
В данном случае атрибутам объекта присваиваются начальные значения. Для класса Book конструктор может выглядеть следующим образом:
Book::Book() : Item(), title("None"), author("None"), publisher("None"), year(-1) {}
Вначале выполняется стандартный конструктор класса Item, а затем создаются атрибуты объекта с некими начальными значениями. Теперь предположим, что у классов Item и Book есть не только стандартные конструкторы, но и конструкторы, которые задают начальные значения атрибутов. Для класса Item конструктор задает инвентарный номер единицы хранения.
class Item { public: Item(long in) { invNumber = in; }; . . . }; class Book { public: Book( long in, const String a, const String t); . . . };
Тогда конструктор класса Book имеет смысл записать так:
Book::Book(long in, const String a, const String t) : Item(in), author(a), title(t) {}
Такого же результата можно добиться и при другой записи:
Book::Book(long in, const String a, const String t) : Item(in) { author = a; title = t; }
Однако предыдущий вариант лучше. Во втором случае вначале для атрибутов author и title объекта типа Book вызываются стандартные конструкторы. Затем программа выполнит операции присваивания новых значений. В первом же случае для каждого атрибута будет выполнен лишь один копирующий конструктор. Посмотрев на реализацию класса String, вы можете убедиться, насколько эффективнее первый вариант конструктора класса Book.
Встречается еще один случай, когда без инициализации обойтись невозможно. В качестве атрибута класса можно определить ссылку. Однако при создании ссылки ее необходимо инициализировать, поэтому в конструкторе подобного класса нужно применять инициализацию.
class A { public: A(const String x); private: String str_ref; }; A::A(const String x) : str_ref(x) {}
Создавая объект класса A, мы задаем строку, на которую он будет ссылаться. Ссылка инициализируется во время конструирования объекта. Поскольку ссылку нельзя переопределить, все время жизни объект класса A будет ссылаться на одну и ту же строку. Выбор ссылки в качестве атрибута класса обычно как раз и определяется тем, что ссылка инициализируется при создании объекта и никогда не изменяется. Тем самым дается гарантия использования ссылки на одну и ту же переменную. Значение переменной может изменяться, но сама ссылка – никогда.
Рассмотрим еще один пример использования ссылки в качестве атрибута класса. Предположим, что в нашей библиотечной системе книги, журналы, альбомы и т.д. могут храниться в разных хранилищах. Хранилище описывается объектом класса Repository. У каждого элемента хранения есть атрибут, указывающий на его хранилище. Здесь может быть два варианта. Первый вариант – элемент хранения хранится всегда в одном и том же месте, переместить книгу из одного хранилища в другое нельзя. В данном случае использование ссылки полностью оправдано:
class Repository { . . . }; class Item { public: Item(Repository rep) : myRepository(rep) {}; . . . private: Repository myRepository; };
При создании объекта необходимо указать, где он хранится. Изменить хранилище нельзя, пока данный объект не уничтожен. Атрибут myRepository всегда ссылается на один и тот же объект.
Второй вариант заключается в том, что книги можно перемещать из одного хранилища в другое. Тогда в качестве атрибута класса Item лучше использовать указатель на Repository:
class Item { public: Item() : myRepository(0) {}; Item(Repository* rep) : myRepository(rep) {}; void MoveItem(Repository* newRep); . . . private: Repository* myRepository; };
Создавая объект Item, можно указать, где он хранится, а можно и не указывать. Впоследствии можно изменить хранилище, например с помощью метода MoveItem.
При уничтожении объекта вызов деструкторов происходит в обратном порядке. Вначале вызывается деструктор самого класса, затем деструкторы атрибутов этого класса и, наконец, деструктор базового класса.
В создании и уничтожении объектов имеется одно существенное отличие. Создавая объект, мы всегда точно знаем, какому классу он принадлежит. При уничтожении это не всегда известно.
Item* itptr; if (type == "book") itptr = new Book(); else itptr = new Magazin(); . . . delete itptr;
Во время компиляции неизвестно, каким будет значение переменной type и, соответственно, объект какого класса удаляется операцией delete. Поэтому компилятор может вставить вызов только деструктора базового класса.
Для того чтобы все необходимые деструкторы были вызваны, нужно воспользоваться виртуальным механизмом – объявить деструктор как в базовом классе, так и в производном, как virtual.
class Item { virtual ~Item(); }; class Book { public: virtual ~Book(); };
Возникает вопрос – почему бы всегда не объявлять деструкторы виртуальными? Единственная плата за это – небольшое увеличение памяти для реализации виртуального механизма. Таким образом, не объявлять деструктор виртуальным имеет смысл только в том случае, если во всей иерархии классов нет виртуальных функций, и удаление объекта никогда не происходит через указатель на базовый класс.
Копирующий конструктор
Остановимся чуть подробнее на одном из видов конструктора с аргументом, в котором в качестве аргумента выступает объект того же самого класса. Такой конструктор часто называют копирующим, поскольку предполагается, что при его выполнении создается объект-копия другого объекта. Для класса String он может выглядеть следующим образом:class String { public: String(const String s); }; String::String(const String s) { length = s.length; str = new char[length + 1]; strcpy(str, s.str); }
Очевидно, что новый объект будет копией своего аргумента. При этом новый объект независим от первоначального в том смысле, что изменение значения одного не изменяет значения другого.
// первый объект с начальным значением // "Astring" String a("Astring"); // новый объект – копия первого, // т.е. со значением "Astring" String b(a); // изменение значения b на "AstringAstring", // значение объекта a не изменяется b.Concat(a);
Столь логичное поведение объектов класса String на самом деле обусловлено наличием копирующего конструктора. Если бы его не было, компилятор создал бы его по умолчанию, и такой конструктор просто копировал бы все атрибуты класса, т.е. был бы эквивалентен:
String::String(const String s) { length = s.length; str = s.str; }
При вызове метода Concat для объекта b произошло бы следующее: объект b перераспределил бы память под строку str, выделив новый участок памяти и удалив предыдущий (см. определение метода выше). Однако указатель str объекта a по-прежнему указывает на первоначальный участок памяти, только что освобожденный объектом b. Соответственно, значение объекта a испорчено.
Для класса Complex, который мы рассматривали ранее, кроме стандартного конструктора можно задать конструктор, строящий комплексное число из целых чисел:
class Complex { public: Complex(); Complex(int rl, int im = 0); Complex(const Complex c); // прибавить комплексное число Complex operator+(const Complex x) const; private: int real; // вещественная часть int imaginary; // мнимая часть
}; // // Стандартный конструктор создает число (0,0) // Complex::Complex() : real(0), imaginary(0) {} // // Создать комплексное число из действительной // и мнимой частей. У второго аргумента есть // значение по умолчанию — мнимая часть равна // нулю Complex::Complex(int rl, int im) : real(rl), imaginary(im) {} // // Скопировать значение комплексного числа // Complex::Complex(const Complex c) : real(c.real), imaginary(c.imaginary) {}
Теперь при создании комплексных чисел происходит их инициализация:
Complex x1; // начальное значение – ноль Complex x2(3); // мнимая часть по умолчанию равна 0 // создается действительное число 3 Complex x3(0, 1); // мнимая единица Complex y(x3); // мнимая единица
Конструкторы, особенно копирующие, довольно часто выполняются неявно. Предположим, мы бы описали метод Concat несколько иначе:
Concat(String s);
вместо
Concat(const String s);
т.е. использовали бы передачу аргумента по значению вместо передачи по ссылке. Конечный результат не изменился бы, однако при вызове метода
b.Concat(a)
компилятор создал бы временную переменную типа String – копию объекта a, и передал бы ее в качестве аргумента. При выходе из метода String эта переменная была бы уничтожена. Представляете, насколько снизилось бы быстродействие метода!
Второй пример вызова конструктора – неявное преобразование типа. Допустима запись вида:
b.Concat("LITERAL");
хотя сам метод определен только для аргумента – объекта типа String. Поскольку в классе String есть конструктор с аргументом – указателем на байт (а литерал – как раз константа такого типа), компилятор произведет автоматическое преобразование. Будет создана автоматическая переменная типа String с начальным значением "LITERAL", ссылка на нее будет передана в качестве аргумента метода String, а по завершении Concat временная переменная будет уничтожена.
Чтобы избежать подобного неэффективного преобразования, можно определить отдельный метод для работы с указателями:
class String { public: void Concat(const String s); void Concat(const char* s); }; void String::Concat(const char* s) { length += strlen(s); char* tmp = new char[length + 1]; if (tmp == 0) { // обработка ошибки } strcpy(tmp, str); strcat(tmp, s); delete [] str; str = tmp; }
Операции new и delete
Выделение памяти под объекты некоего класса производится либо при создании переменных типа этого класса, либо с помощью операции new. Эти операции, как и другие операции класса, можно переопределить.Прежде всего, рассмотрим модификацию операции new, которая уже определена в самом языке. (Точнее, она определена в стандартной библиотеке языка Си++.) Эта операция не выделяет память, а лишь создает объект на заранее выделенном участке памяти. Форма операции следующая:
new (адрес) имя_класса (аргументы_конструктора)
Перед именем класса в круглых скобках указывается адрес, по которому должен располагаться создаваемый объект. Фактически, такая операция new не выделяет памяти, а лишь создает объект по указанному адресу, выполняя его конструктор. Соответственно, можно не выполнять операцию delete для этого объекта, а лишь вызвать его деструктор перед тем, как поместить новый объект на то же место памяти.
char memory_chunk[4096]; Book* bp = new (memory_chunk) Book; . . . bp-~Book(); Magazin* mp = new (memory_chunk) Magazin; . . . mp-~Magazin();
В этом примере никакой потери памяти не происходит. Память выделена один раз, объявлением массива memory_chunk. Операции new создают объекты в начале этого массива (разумеется, мы предполагаем, что 4096 байтов для объектов достаточно). Когда объект становится ненужным, явно вызывается его деструктор и на том же месте создается новый объект.
Любой класс может использовать два вида операций new и delete – глобальную и определенную для класса. Если класс и ни один из его базовых классов, как прямых, так и косвенных, не определяет операцию new, то используется глобальная операция new. Глобальная операция new всегда используется для выделения памяти под встроенные типы и под массивы (независимо от того, объекты какого класса составляют массив).
Если класс определит операцию new, то для всех экземпляров этого класса и любых классов, производных от него, глобальная операция будет переопределена, и будет использоваться new данного класса. Если нужно использовать именно глобальную операцию, можно перед new поставить два двоеточия ::new.
Вид стандартной операции new следующий:
class A { void* operator new(size_t size); };
Аргумент size задает размер необходимой памяти в байтах. size_t – это тип целого, подходящий для установления размера объектов в данной реализации языка, определенный через typedef. Чаще всего это тип long. Аргумент операции new явно при ее вызове не задается. Компилятор сам его подставляет, исходя из размера создаваемого объекта.
Реализация операции new, которая совпадает со стандартной, выглядит просто:
void* A::operator new(size_t size) { return ::new char[size]; }
В классе может быть определено несколько операций new с различными дополнительными аргументами. При вызове new эти аргументы указываются сразу после ключевого слова new в скобках до имени типа. Компилятор добавляет от себя еще один аргумент – размер памяти, и затем вызывает соответствующую операцию. Описанная выше модификация new, помещающая объект по определенному адресу, имеет вид:
void* operator new(void* addr, size_t size);
Предположим, мы хотим определить такую операцию, которая будет инициализировать каждый байт выделенной памяти каким-либо числом.
class A { void* operator new(char init, size_t size); }; void* A::operator new(char init, size_t size) { char* result = ::new char[size]; if (result) { for (size_t i = 0; i size; i++) result[i] = init; } return result; }
Вызов такой операции имеет вид:
A* aptr = new (32) A;
Память под объект класса A будет инициализирована числом 32 (что, кстати, является кодом пробела).
Отметим, что если класс определяет хотя бы одну форму операции new, глобальная операция будет переопределена. Например, если бы в классе A была определена только операция new с инициализацией, то вызов
A* ptr = new A;
привел бы к ошибке компиляции, поскольку подобная форма new в классе не определена. Поэтому, если вы определяете new, определяйте все ее формы, включая стандартную (быть может, просто вызывая глобальную операцию).
В отличие от операции new, для которой можно определить разные модификации в зависимости от числа и типов аргументов, операция delete существует только в единственном варианте:
void operator delete (void* addr);
В качестве аргумента ей передается адрес, который в свое время возвратила операция new для данного объекта. Соответственно, для класса можно определить только одну операцию delete. Напомним, что операция delete ответственна только за освобождение занимаемой памяти. Деструктор объекта вызывается отдельно. Операция delete, которая будет вызывать стандартную форму, выглядит следующим образом:
void A::operator delete(void* addr) { ::delete [] (char*)addr; }
Явные преобразования типов
Если перед выражением указать имя типа в круглых скобках, то значение выражения будет преобразовано к указанному типу:double x = (double)1; void* addr; Complex* cptr = (Complex*) addr;
Такие преобразования типов использовались в языке Си. Их основным недостатком является полное отсутствие контроля. Явные преобразования типов традиционно использовались в программах на языке Си и, к сожалению, продолжают использоваться в Си++, что приводит и к ошибкам, и к путанице в программах. В большинстве своем ошибок в Си++ можно избежать. Тем не менее, иногда явные преобразования типов необходимы.
Для того чтобы преобразовывать типы, хотя бы с минимальным контролем, можно записать
static_cast тип (выражение)
Операция static_cast позволяет преобразовывать типы, основываясь лишь на сведениях о типах выражений, известных во время компиляции. Иными словами, static_cast не проверяет типы выражений во время выполнения. С одной стороны, это возлагает на программиста большую ответственность, а с другой — ускоряет выполнение программ. С помощью static_cast можно выполнять как стандартные преобразования, так и нестандартные. Операция static_cast позволяет преобразовывать типы, связанные отношением наследования, указатель к указателю, один числовой тип к другому, перечислимое значение к целому. В частности, с помощью операции static_cast можно преобразовывать не только указатель на производный класс к базовому классу, но и указатель на базовый класс к производному, что в общем случае небезопасно.
Однако попытка преобразовать целое число к указателю приведет к ошибке компиляции. Если все же необходимо преобразовать совершенно не связанные между собой типы, можно вместо static_cast записать reinterpret_cast:
void* addr; int* intPtr = static_cast int* (addr); Complex* cPtr = reinterpret_cast Complex* (2000);
Если необходимо ограниченное преобразование типа, которое только преобразует неизменяемый тип к изменяемому (убирает описатель const), можно воспользоваться операцией const_cast:
const char* addr1; char* addr2 = const_cast char* addr1;
Использование static_cast, const_cast и reinterpret_cast вместо явного преобразования в форме (тип) имеет существенные преимущества. Во-первых, можно всегда применить "минимальное" преобразование, т. е. преобразование, которое меньше всего изменяет тип. Во-вторых, все преобразования можно легко обнаружить в программе. В-третьих, легче распознать намерения программиста, что важно при модификации программы. Сразу можно будет отличить неконтролируемое преобразование от преобразования неизменяемого указателя к изменяемому.
Как определять операции
Если для класса определяют операции, то обычно определяют достаточно полный их набор, так, чтобы объекты этого класса могли участвовать в полноценных выражениях.Прежде всего, определим операцию присваивания. Операция присваивания в качестве аргумента использует объект того же класса и копирует значение этого объекта. Однако, в отличие от копирующего конструктора, у объекта уже имеется какое-то свое значение, и его нужно аккуратно уничтожить.
class String { public: // объявление операции присваивания String operator=(const String s); }; // Реализация присваивания String String::operator=(const String s) { if (this == s) return *this; if (str != 0) { delete [] str; } length = s.length; str = new char[length + 1]; if (str == 0) { // обработка ошибок } strcpy(str, s.str); return *this; }
Обратим внимание на несколько важных особенностей операции присваивания. Во-первых, в качестве результата операции присваивания объект возвращает ссылку на самого себя. Это дает возможность использовать строки в выражениях типа:
s1 = s2 = s3;
Во-вторых, в начале операции проверяется, не равен ли аргумент самому объекту. Таким образом, присваивание s1 = s1 выполняется правильно и быстро.
В-третьих, перед тем как скопировать новое значение, операция присваивания освобождает память, занимаемую старым значением.
Аналогично операции присваивания можно определить операцию +=.
Набор операций, позволяющий задействовать класс String в различных выражениях, представлен ниже:
class String { public: String(); String(const String s); String(const char*); String operator=(const String s); String operator+=(const String s); bool operator==(const String s) const; bool operator!=(const String s) const; bool operator(const String s) const; bool operator(const String s) const; bool operator=(const String s) const; bool operator=(const String s) const; String operator+(const String s) const; };
on_load_lecture()
Переопределение операций
Язык Си++ позволяет определять в классах особого вида методы – операции. Они называются операциями потому, что их запись имеет тот же вид, что и запись операции сложения, умножения и т.п. со встроенными типами языка Си++.Определим две операции в классе String – сравнение на меньше и сложение:
class String { public: . . . String operator+(const String s) const; bool operator(const String s) const; };
Признаком того, что переопределяется операция, служит ключевое слово operator, после которого стоит знак операции. В остальном операция мало чем отличается от обычного метода класса. Теперь в программе можно записать:
String s1, s2; . . . s1 + s2
Объект s1 выполнит метод operator с объектом s2 в качестве аргумента.
Результатом операции сложения является объект типа String. Никакой из аргументов операции не изменяется. Описатель const при описании аргумента говорит о том, что s2 не может измениться при выполнении сложения, а описатель const в конце определения операции говорит то же самое об объекте, выполняющем сложение.
Реализация может выглядеть следующим образом:
String String::operator+(const String s) const { String result; result.length = length + s.length; result.str = new char[result.length + 1]; strcpy(result.str, str); strcat(result.str, s.str); return result; }
При сравнении на меньше мы будем сравнивать строки в лексикографической последовательности. Проще говоря, меньше та строка, которая должна стоять раньше по алфавиту:
bool String::operator(const String s) const { char* cp1 = str; char* cp2 = s.str; while (true) { if (*cp1 *cp2) return true; else if (*cp1 *cp2) return false; else { cp1++; cp2++; if (*cp2 == 0) // конец строки return false; else if (*cp1 == 0) // конец строки return true; } } }
Преобразования типов, определенных в программе
В языке Си++ можно определить гораздо больше типов, чем в Си. Казалось бы, и правила преобразования новых типов должны стать намного сложнее. К счастью, этого не произошло. Все дело в том, что при определении классов программист может контролировать, какие преобразования допустимы и как они выполняются при преобразовании в данный тип или из данного типа в другой.Прежде всего, выполнение тех или иных операций с аргументами разных типов можно регулировать с помощью методов и функций с разными аргументами. Для того чтобы определить операцию сложения комплексного числа с целым, нужно определить две функции в классе Complex:
class Complex { . . . friend Complex operator+(const Complex x, int y); friend Complex operator+(int y, const Complex x); };
При наличии таких функций никаких преобразований типа не производится в следующем фрагменте программы:
int x; Complex y; . . . Complex z = x + y;
Тем не менее, в других ситуациях преобразования типа производятся. Прежде всего, компилятор старается обойтись стандартными преобразованиями типа. Если их не хватает, то выполняются преобразования либо с помощью конструкторов, либо с помощью определенных программистом операций преобразования.
Задав конструктор класса, имеющий в качестве аргумента величину другого типа, программист тем самым определяет правило преобразования:
class Complex { public: // неявное правило преобразования // из целого типа в тип Complex Complex(int x); };
Операции преобразования имеют вид:
operator имя_типа ();
Например, преобразование из комплексного числа в целое можно записать так:
class Complex { public: // операция преобразования из типа // Complex в целый тип operator int(); };
При записи:
Complex cmpl; int x = cmpl;
будет вызвана функция operator int().
on_load_lecture()




|
/p> |
/p> |
вопросы |
учебники
|
для печати и PDA



| Курсы | Учебные программы | Учебники | Новости | Форум | Помощь Телефон: +7 (495) 253-9312, 253-9313, факс: +7 (495) 253-9310, email: info@intuit.ru 2003-2007, INTUIT.ru::Интернет-Университет Информационных Технологий - дистанционное образование |
Преобразования типов
Определяя класс, программист задает методы и операции, которые применимы к объектам этого класса. Например, при определении класса комплексных чисел была определена операция сложения двух комплексных чисел. При определении класса строк мы определили операцию конкатенации двух строк. Что же происходит, если в выражении мы попытаемся использовать ту же операцию сложения с типами, для которых она явно не задана? Компилятор пытается преобразовать величины, участвующие в выражении, к типам, для которых операция задана. Это преобразование, называемое преобразованием типов, выполняется в два этапа.Первый этап – попытка воспользоваться стандартными преобразованиями типов, определенными в языке Си++ для встроенных типов. Если это не помогает, тогда компилятор пытается применить преобразования, определенные пользователем. "Помочь" компилятору правильно преобразовать типы величин можно, явно задав преобразования типов.
Преобразования указателей и ссылок
При работе с указателями и ссылками компилятор автоматически выполняет только два вида преобразований.Если имеется указатель или ссылка на производный тип, а требуется, соответственно, указатель или ссылка на базовый тип.
Если имеется указатель или ссылка на изменяемый объект, а требуется указатель или ссылка на неизменяемый объект того же типа.
size_t strlen(const char* s); // прототип функции class A { }; class B : public A { }; char* cp; strlen(cp); // автоматическое преобразование из // char* в const char*
B* bObj = new B; // преобразование из указателя на A* aObj = bObj; // производный класс к указателю на // базовый класс
Если требуются какие-то другие преобразования, их необходимо указывать явно, но в этом случае вся ответственность за правильность преобразования лежит на программисте.
Стандартные преобразования типов
К стандартным преобразованиям относятся преобразования целых типов и преобразования указателей. Они выполняются компилятором автоматически. Часть правил преобразования мы уже рассмотрели ранее. Преобразования целых величин, при которых не теряется точность, сводятся к следующим:Величины типа char, unsigned char, short или unsigned short преобразуются к типу int, если точность типа int достаточна, в противном случае они преобразуются к типу unsigned int. Величины типа wchar_t и константы перечисленных типов преобразуются к первому из типов int, unsigned int, long и unsigned long, точность которого достаточна для представления данной величины. Битовые поля преобразуются к типу int, если точность типа int достаточна, или к unsigned int, если точность unsigned int достаточна. В противном случае преобразование не производится. Логические значения преобразуются к типу int, false становится 0 и true становится 1.
Эти четыре типа преобразований мы будем называть безопасными преобразованиями.
Язык Си (от которого Си++ унаследовал большинство стандартных преобразований) часто критиковали за излишне сложные правила преобразования типов и за их автоматическое применение без ведома пользователя. Основная рекомендация — избегать неявных преобразований типов, в особенности тех, при которых возможна потеря точности или знака.
Правила стандартных преобразований при выполнении арифметических операций следующие:
вначале, если в выражении один из операндов имеет тип long double, то другой преобразуется также к long double; в противном случае, если один из операндов имеет тип double, то другой преобразуется также к double; в противном случае, если один из операндов имеет тип float, то другой преобразуется также к float; в противном случае производится безопасное преобразование.
затем, если в выражении один из операндов имеет тип unsigned long, то другой также преобразуется к unsigned long; в противном случае, если один из операндов имеет тип long, а другой – unsigned int, и тип long может представить все значения unsigned int, то unsigned int преобразуется к long, иначе оба операнда преобразуются к unsigned long; в противном случае, если один из операндов имеет тип long, то другой преобразуется также к long; в противном случае, если один из операндов имеет тип unsigned, то другой преобразуется также к unsigned; в противном случае оба операнда будут типа int.
(1L + 2.3) результат типа double (8u + 4) результат типа unsigned long
Все приведенные преобразования типов производятся компилятором автоматически, и обычно при компиляции даже не выдается никакого предупреждения, поскольку не теряются значащие цифры или точность результата.
Как мы уже отмечали ранее, при выполнении операции присваивания со стандартными типами может происходить потеря точности. Большинство компиляторов при попытке такого присваивания выдают предупреждение или даже ошибку. Например, при попытке присваивания
long x; char c; c = x;
если значение x равно 20, то и c будет равно 20. Но если x равно 500, значение c будет равно -12 (при условии выполнения на персональном компьютере), поскольку старшие биты, не помещающиеся в char, будут обрезаны. Именно поэтому большинство компиляторов выдаст ошибку и не будет транслировать подобные конструкции.
Дополнительные директивы препроцессора
Директива #pragma используется для выдачи дополнительных указаний компилятору. Например, не выдавать предупреждений при компиляции, или вставить дополнительную информацию для отладчика. Конкретные возможности директивы #pragma у разных компиляторов различные.Директива #error выдает сообщение и завершает компиляцию. Например, конструкция
#ifndef unix #error "Программу можно компилировать только для Unix!" #endif
выдаст сообщение и не даст откомпилировать исходный файл, если макроимя unix не определено.
Директива #line изменяет номер строки и имя файла, которые хранятся в предопределенных макроименах __LINE__ и __FILE__.
Кроме директив, у препроцессора есть одна операция ##, которая соединяет строки, например A ## B.
on_load_lecture()




|
/p> |
/p> |
/p> |
вопросы |
учебники
|
для печати и PDA



| Курсы | Учебные программы | Учебники | Новости | Форум | Помощь Телефон: +7 (495) 253-9312, 253-9313, факс: +7 (495) 253-9310, email: info@intuit.ru 2003-2007, INTUIT.ru::Интернет-Университет Информационных Технологий - дистанционное образование |
Использование включаемых файлов
В языке Си++ реализовано удобное решение. Можно поместить объявления классов и функций в отдельный файл и включать этот файл в начало других файлов с помощью оператора #include.#include "Book.h" . . . Book b;
Фактически оператор #include подставляет содержимое файла Book.h в текущий файл перед тем, как начать его компиляцию. Эта подстановка осуществляется во время первого прохода компилятора по программе – препроцессора. Файл Book.h называется файлом заголовков.
В такой же файл заголовков можно поместить прототипы функций и включать его в другие файлы, там, где функции используются.
Таким образом, текст программы на языке Си++ помещается в файлы двух типов – файлы заголовков и файлы программ. В большинстве случаев имеет смысл каждый класс помещать в отдельный файл, вернее, два файла – файл заголовков для объявления класса и файл программ для определения класса. Имя файла обычно состоит из имени класса. Для файла заголовков к нему добавляется окончание ".h" (иногда, особенно в системе Unix, ".hh" или ".H"). Имя файла программы – опять-таки имя класса с окончанием ".cpp" (иногда ".cc" или ".C").
Объединять несколько классов в один файл стоит лишь в том случае, если они очень тесно связаны и один без другого не используются.
Включение файлов может быть вложенным, т.е. файл заголовков может сам использовать оператор #include. Файл Book.h выглядит следующим образом:
#ifndef __BOOK_H__ #define __BOOK_H__
// включить файл с объявлением используемого // здесь базового класса #include "Item .h" #include "String.h" // объявление класса String
// объявление класса Book class Book : public Item { public: . . . private: String title; . . . }; #endif
Обратите внимание на первые две и последнюю строки этого файла. Оператор #ifndef начинает блок так называемой условной компиляции, который заканчивается оператором #endif. Блок условной компиляции – это кусок текста, который будет компилироваться, только если выполнено определенное условие. В данном случае условие заключается в том, что символ __BOOK_H__ не определен. Если этот символ определен, текст между #ifndef и #endif не будет включен в программу. Первым оператором в блоке условной компиляции стоит оператор #define, который определяет символ __BOOK_H__ как пустую строку.
Давайте посмотрим, что произойдет, если в какой-либо .cpp-файл будет дважды включен файл Book.h:
#include "Book.h" . . . #include "Book.h"
Перед началом компиляции текст файла Book.h будет подставлен вместо оператора #include:
#ifndef __BOOK_H__ #define __BOOK_H__ . . . class Book { . . . }; #endif . . . #ifndef __BOOK_H__ #define __BOOK_H__ . . . class Book { . . . }; #endif
В самом начале символ __BOOK_H__ не определен, и блок условной компиляции обрабатывается. В нем определяется символ __BOOK_H__ . Теперь условие для второго блока условной компиляции уже не выполняется, и он будет пропущен. Таким образом, объявление класса Book будет вставлено в файл только один раз. Разумеется, написание два раза подряд оператора #include с одинаковым аргументом легко поправить. Однако структура заголовков может быть очень сложной. Чтобы избежать необходимости отслеживать все вложенные заголовки и искать, почему какой-либо файл оказался вставленным дважды, можно применить изложенный выше прием и существенно упростить себе жизнь.
Еще одно замечание по составлению заголовков. Включайте в заголовок как можно меньше других заголовков. Например, в заголовок Book.h необходимо включить заголовки Item.h и String.h, поскольку класс Book использует их. Однако если используется лишь имя класса без упоминания его содержимого, можно обойтись и объявлением этого имени:
#include "Item.h" #include "String.h"
class Annotation; // Annotation – имя некого класса
class Book : public Item { public: Annotation* CreateAnnotation(); private: String title; };
Объявление класса Item требуется знать целиком, для того, чтобы обработать объявление класса Book, т.е. компилятору надо знать все методы и атрибуты Item, чтобы включить их в класс Book. Объявление класса String также необходимо знать целиком, по крайней мере, для того, чтобы правильно вычислить размер экземпляра класса Book. Что же касается класса Annotation, то ни размер его объектов, ни его методы не важны для определения содержимого объекта класса Book. Единственное, что надо знать, это то, что Annotation есть имя некоего класса, который будет определен в другом месте.
Общее правило таково, что если объявление класса использует указатель или ссылку на другой класс и не задействует никаких методов или атрибутов этого класса, достаточно объявления имени класса. Разумеется, полное объявление класса Annotation понадобится в определении метода CreateAnnotation.
Компилятор поставляется с набором файлов заголовков, которые описывают все стандартные функции и классы. При включении стандартных файлов обычно используют немного другой синтаксис:
Компоновка нескольких файлов в одну программу
Программа – это, прежде всего, текст на языке Си++. С помощью компилятора текст преобразуется в исполняемый файл – форму, позволяющую компьютеру выполнять программу.Если мы рассмотрим этот процесс чуть более подробно, то выяснится, что обработка исходных файлов происходит в три этапа. Сначала файл обрабатывается препроцессором, который выполняет операторы #include, #define и еще несколько других. После этого программа все еще представлена в виде текстового файла, хотя и измененного по сравнению с первоначальным. Затем, на втором этапе, компилятор создает так называемый объектный файл. Программа уже переведена в машинные инструкции, однако еще не полностью готова к выполнению. В объектном файле имеются ссылки на различные системные функции и на стандартные функции языка Си++. Например, выполнение операции new заключается в вызове определенной системной функции. Даже если в программе явно не упомянута ни одна функция, необходим, по крайней мере, один вызов системной функции – завершение программы и освобождение всех принадлежащих ей ресурсов.
На третьем этапе компиляции к объектному файлу подсоединяются все функции на которые он ссылается. Функции тоже должны быть скомпилированы, т.е. переведены на машинный язык в форму объектных файлов. Этот процесс называется компоновкой, и как раз его результат и есть исполняемый файл.
Системные функции и стандартные функции языка Си++ заранее откомпилированы и хранятся в виде библиотек. Библиотека – это некий архив объектных модулей, с которым удобно компоновать программу.
Основная цель многоэтапной компиляции программ – возможность компоновать программу из многих файлов. Каждый файл представляет собой законченный фрагмент программы, который может ссылаться на функции, переменные или классы, определенные в других файлах. Компоновка объединяет фрагменты в одну "самодостаточную" программу, которая содержит все необходимое для выполнения.
Определение макросов
Форма директивы #define#define имя определение
определяет макроимя. Везде, где в исходном файле встречается это имя, оно будет заменено его определением. Например, текст:
#define NAME "database" Connect(NAME);
после препроцессора будет заменен на
Connect("database");
По умолчанию имя определяется как пустая строка, т.е. после директивы
#define XYZ
макроимя XYZ считается определенным со значением – пустой строкой.
Другая форма #define
#define имя ( список_имен ) определение
определяет макрос – текстовую подстановку с аргументами
#define max(X, Y) ((X Y) ? X : Y)
Текст max(5, a) будет заменен на
((5 a) ? 5 : a)
В большинстве случаев использование макросов (как с аргументами, так и без) в языке Си++ является признаком непродуманного дизайна. В языке Си макросы были действительно важны, и без них было сложно обойтись. В Си++ при наличии констант и шаблонов макросы не нужны. Макросы осуществляют текстовую подстановку, поэтому они в принципе не могут осуществлять никакого контроля использования типов. В отличие от них в шаблонах контроль типов полностью сохранен. Кроме того, возможности текстовой подстановки существенно меньше, чем возможности генерации шаблонов.
Директива #undef отменяет определение имени, после нее имя перестает быть определенным.
У препроцессора есть несколько макроимен, которые он определяет сам, их называют предопределенными именами. У разных компиляторов набор этих имен различен, но два определены всегда: __FILE__ и __LINE__. Значением макроимени __FILE__ является имя текущего исходного файла, заключенное в кавычки. Значением __LINE__ – номер текущей строки в файле. Эти макроимена часто используют для печати отладочной информации.
Препроцессор
В языке Си++ имеется несколько операторов, которые начинаются со знака #: #include, #define, #undef, #ifdef, #else, #if, #pragma. Все они обрабатываются так называемым препроцессором.Иногда препроцессор называют макропроцессором, поскольку в нем определяются макросы. Директивы препроцессора начинаются со знака #, который должен быть первым символом в строке после пробелов.
Проблема использования общих функций и имен
В языке Си++ существует строгое правило, в соответствии с которым прежде чем использовать в программе имя или идентификатор, его необходимо определить. Рассмотрим для начала функции. Для того чтобы имя функции стало известно программе, его нужно либо объявить, либо определить.Объявление функции состоит лишь из ее прототипа, т.е. имени, типа результата и списка аргументов. Объявление функции задает ее формат, но не определяет, как она выполняется. Примеры объявлений функций:
double sqrt(double x);// функция sqrt long fact(long x); // функция fact
// функция PrintBookAnnotation void PrintBookAnnotation(const Book book);
Определение функции – это определение того, как функция выполняется. Оно включает в себя тело функции, программу ее выполнения.
// функция вычисления факториала // целого положительного числа long fact(long x) { if (x == 1) return 1; else return x * fact(x - 1); }
Определение функции играет роль объявления ее имени, т.е. если в начале файла определена функция fact, в последующем тексте функций и классов ею можно пользоваться. Однако если в программе функция fact используется в нескольких файлах, такое построение программы уже не подходит. В программе должно быть только одно Определение функции.
Удобно было бы поместить Определение функции в отдельный файл, а в других файлах в начале помещать лишь объявление, прототип функции.
// начало файла main.cpp long fact(long); // прототип функции int main() { . . . int x10 = fact(10); // вызов функции . . . } // конец файла main.cpp // начало файла fact.cpp // определение функции // вычисления факториала целого // положительного числа // long fact(long x) { if (x == 1) return 1; else return x * fact(x - 1); } // конец файла fact. cpp
Компоновщик объединит оба файла в одну программу.
Аналогичная ситуация существует и для классов. Любой класс в языке Си++ состоит из двух частей: объявления и определения. В объявлении класса говорится, каков интерфейс класса, какие методы и атрибуты составляют объекты этого класса. Объявление класса состоит из ключевого слова class, за которым следует имя класса, список наследования и затем в фигурных скобках - методы и атрибуты класса. Заканчивается объявление класса точкой с запятой.
Условная компиляция
Исходный файл можно компилировать не целиком, а частями, используя директивы условной компиляции:#if LEVEL 3 текст1 #elif LEVEL 1 текст2 #else текст3 #endif
Предполагается, что LEVEL – это макроимя, поэтому выражение в директивах #if и #elif можно вычислить во время обработки исходного текста препроцессором.
Итак, если LEVEL больше 3, то компилироваться будет текст1, если LEVEL больше 1, то компилироваться будет текст2, в противном случае компилируется текст3. Блок условной компиляции должен завершаться директивой #endif.
В каком-то смысле директива #if похожа на условный оператор if. Однако, в отличие от него, условие – это константа, которая вычисляется на стадии препроцессора, и куски текста, не удовлетворяющие условию, просто игнорируются.
Директив #elif может быть несколько (либо вообще ни одной), директива #else также может быть опущена.
Директива #ifdef – модификация условия компиляции. Условие считается выполненным, если указанное после нее макроимя определено. Соответственно, для директивы #ifndef условие выполнено, если имя не определено.
Файлы и переменные
Автоматические переменные определены внутри какой-либо функции или метода класса. Назначение автоматических переменных – хранение каких-либо данных во время выполнения функции или метода. По завершении выполнения этой функции автоматические переменные уничтожаются и данные теряются. С этой точки зрения автоматические переменные представляют собой временные переменные.Иногда временное хранилище данных требуется на более короткое время, чем выполнение всей функции. Во- первых, поскольку в Си++ необязательно, чтобы все используемые переменные были определены в самом начале функции или метода, переменную можно определить непосредственно перед тем, как она будет использоваться. Во-вторых, переменную можно определить внутри блока – группы операторов, заключенных в фигурные скобки. При выходе из блока такая переменная уничтожается еще до окончания выполнения функции. Третьей возможностью временного использования переменной является определение переменной в заголовке цикла for только для итераций этого цикла:
funct(int N, Book[] bookArray) { int x; // автоматическая переменная x for (int i = 0; i N; i++) { // переменная i определена только на время // выполнения цикла for String s; // новая автоматическая переменная создается // при каждой итерации цикла заново s.Append(bookArray[i].Title()); s.Append(bookArray[i].Author()); cout s; } cout s; } // ошибка, переменная s не существует
Если переменную, определенную внутри функции или блока, описать как статическую, она не будет уничтожаться при выходе из этого блока и будет хранить свое значение между вызовами функции. Однако при выходе из соответствующего блока эта переменная станет недоступна, иными словами, невидима для программы. В следующем примере переменная allAuthors накапливает список авторов книг, переданных в качестве аргументов функции funct за все ее вызовы:
funct(int n, Book[] bookArray) { for (int i = 0; i n; i++) { static String allAuthors; allAuthors.Append(bookArray[i].Author()); cout allAuthors; // авторы всех ранее обработанных книг, в // том числе в предыдущих вызовах функции } cout allAuthors; // ошибка, переменная недоступна }
Глобальные переменные
Язык Си++ предоставляет возможность определения глобальной переменной. Если переменная определена вне функции, она создается в самом начале выполнения программы (еще до начала выполнения main). Эта переменная доступна во всех функциях того файла, где она определена. Аналогично прототипу функции, имя глобальной переменной можно объявить в других файлах и тем самым предоставить возможность обращаться к ней и в других файлах:// файл main.cpp #include "RandomGenerator.h" // определение глобальной переменной RandomGenerator rgen; main() { rgen.Init(1000); } void fun1(void) { unsigned long x = rgen.GetNumber(); . . . } // файл class.cpp
#include "RandomGenerator.h" // объявление глобальной переменной, // внешней по отношению к данному файлу extern RandomGenerator rgen; Class1::Class1() { . . . } void fun2() { unsigned long x = rgen.GetNumber(); . . . }
Объявление внешней переменной можно поместить в файл-заголовок. Тогда не нужно будет повторять объявление переменной с описателем extern в каждом файле, который ее использует.
Модификацией определения глобальной переменной является добавление описателя static. Для глобальной переменной описатель static означает то, что эта переменная доступна только в одном файле – в том, в котором она определена. (Правда, в данном примере такая модификация недопустима – нам-то как раз нужно, чтобы к глобальной переменной rgen можно было обращаться из разных файлов.)
Область видимости имен
Между именами переменных, функций, типов и т.п. при использовании одного и того же имени в разных частях программы могут возникать конфликты. Для того чтобы эти конфликты можно было разрешать, в языке существует такое понятие как область видимости имени.Минимальной областью видимости имен является блок. Имена, определяемые в блоке, должны быть различны. При попытке объявить две переменные с одним и тем же именем произойдет ошибка. Имена, определенные в блоке, видимы (доступны) в этом блоке после описания и во всех вложенных блоках. Аргументы функции, описанные в ее заголовке, рассматриваются как определенные в теле этой функции.
Имена, объявленные в классе, видимы внутри этого класса, т.е. во всех его методах. Для того чтобы обратиться к атрибуту класса, нужно использовать операции ".", "-" или "::".
Для имен, объявленных вне блоков, областью видимости является весь текст файла, следующий за объявлением.
Объявление может перекрывать такое же имя, объявленное во внешней области.
int x = 7; class A { public: void foo(int y); int x; }; int main() { A a; a.foo(x); // используется глобальная переменная x // и передается значение 7 cout x; return 1; } void A::foo(int y) { x = y + 1; { double x = 3.14;
cout x; } cout x; } // x – атрибут объекта типа A
// новая переменная x перекрывает // атрибут класса x
В результате выполнения приведенной программы будет напечатано 3.14, 8 и 7.
Несмотря на то, что имя во внутренней области видимости перекрывает имя, объявленное во внешней области, перекрываемая переменная продолжает существовать. В некоторых случаях к ней можно обратиться, явно указав область видимости с помощью квалификатора "::". Обозначение ::имя говорит о том, что имя относится к глобальной области видимости. (Попробуйте поставить :: перед переменной x в приведенном примере.) Два двоеточия часто употребляют перед именами стандартных функций библиотеки языка Си++, чтобы, во-первых, подчеркнуть, что это глобальные имена, и, во-вторых, избежать возможных конфликтов с именами методов класса, в котором они употребляются.
Если перед квалификатором поставить имя класса, то поиск имени будет производиться в указанном классе. Например, обозначение A::x показало бы, что речь идет об атрибуте класса A. Аналогично можно обращаться к атрибутам структур и объединений. Поскольку определения классов и структур могут быть вложенными, у имени может быть несколько квалификаторов:
class Example { public: enum Color { RED, WHITE, BLUE }; struct Structure { static int Flag; int x; }; int y; void Method(); };
Следующие обращения допустимы извне класса:
Example::BLUE Example::Structure::Flag
При реализации метода Method обращения к тем же именам могут быть проще:
void Example::Method() { Color x = BLUE; y = Structure::Flag; }
При попытке обратиться извне класса к атрибуту набора BLUE компилятор выдаст ошибку, поскольку имя BLUE определено только в контексте класса.
Отметим одну особенность типа enum. Его атрибуты как бы экспортируются во внешнюю область имен. Несмотря на наличие фигурных скобок, к атрибутам перечисленного типа Color не обязательно (хотя и не воспрещается) обращаться Color::BLUE.
Общие данные
Иногда необходимо, чтобы к одной переменной можно было обращаться из разных функций. Предположим, в нашей программе используется генератор случайных чисел. Мы хотим инициализировать его один раз, в начале выполнения программы, а затем обращаться к нему из разных частей программы. Рассмотрим несколько возможных реализаций.Во-первых, определим класс RandomGenerator с двумя методами: Init, для инициализации генератора, и GetNumber — для получения следующего числа.
// // файл RandomGenerator.h // class RandomGenerator { public: RandomGenerator(); ~RandomGenerator(); void Init(unsigned long start); unsigned long GetNumber(); private: unsigned long previousNumber; }; // // файл RandomGenerator.cpp // #include "RandomGenerator.h" #include time.h void RandomGenerator::Init(unsigned long x) { previousNumber = x; } unsigned long RandomGenerator::GetNumber(void) { unsigned long ltime; // получить текущее время в секундах, // прошедших с полуночи 1 января 1970 года time(ltime); ltime = 16; ltime = 16; // взять младшие 16 битов previousNumber = previousNumber * ltime; return previousNumber; }
Первый вариант состоит в создании объекта класса RandomGenerator в функции main и передаче ссылки на него во все функции и методы, где он потребуется.
// файл main.cpp #include "RandomGenerator.h" main() { RandomGenerator rgen; rgen.Init(1000); fun1(rgen); . . . Class1 b(rgen); . . . fun2(rgen); } void fun1(RandomGenerator r) { unsigned long x = r.GetNumber(); . . . } // файл class.cpp #include "RandomGenerator.h" Class1::Class1(RandomGenerator r) { . . . } void fun2(RandomGenerator r) { unsigned long x = r.GetNumber(); . . . }
Поскольку функция main завершает работу программы, все необходимые условия выполнены: генератор случайных чисел создается в самом начале программы, все объекты и функции обращаются к одному и тому же генератору, и генератор уничтожается по завершении программы. Такой стиль программирования допустимо использовать только в том случае, если передавать ссылку на используемый экземпляр объекта требуется нечасто. В противном случае этот способ крайне неудобен. Передавать ссылку на один и тот же объект утомительно, к тому же это загромождает интерфейс классов.
Оператор определения контекста namespace
Несмотря на столь развитую систему областей видимости имен, иногда и ее недостаточно. В больших программах возможность возникновения конфликтов на глобальном уровне достаточно реальна. Имена всех классов верхнего уровня должны быть различны. Хорошо, если вся программа разрабатывается одним человеком. А если группой? Особенно при использовании готовых библиотек классов. Чтобы избежать конфликтов, обычно договариваются о системе имен классов. Договариваться о стиле имен всегда полезно, однако проблема остается, особенно в случае разработки классов, которыми будут пользоваться другие.Одно из сравнительно поздних добавлений к языку Си++ – контексты, определяемые с помощью оператора namespace. Они позволяют заключить группу объявлений классов, переменных и функций в отдельный контекст со своим именем. Предположим, мы разработали набор классов для вычисления различных математических функций. Все эти классы, константы и функции можно заключить в контекст math для того, чтобы, разрабатывая программу, использующую наши классы, другой программист не должен был бы выбирать имена, обязательно отличные от тех, что мы использовали.
namespace math { double const pi = 3.1415; double sqrt(double x); class Complex { public: . . . }; };
Теперь к константе pi следует обращаться math::pi.
Контекст может содержать как объявления, так и определения переменных, функций и классов. Если функция или метод определяется вне контекста, ее имя должно быть полностью квалифицировано
double math::sqrt(double x) { . . . }
Контексты могут быть вложенными, соответственно, имя должно быть квалифицировано несколько раз:
namespace first { int i; namespace second // первый контекст
// второй контекст { int i; int whati() { return first::i; } // возвращается значение первого i int anotherwhat { return i; } // возвращается значение второго i
} first::second::whati(); // вызов функции
Если в каком-либо участке программы интенсивно используется определенный контекст, и все имена уникальны по отношению к нему, можно сократить полные имена, объявив контекст текущим с помощью оператора using.
Повышение надежности обращения к общим данным
Определять глобальную переменную намного удобнее, чем передавать ссылку на генератор случайных чисел в каждый метод и функцию в качестве аргумента. Достаточно описать внешнюю глобальную переменную (включив соответствующий файл заголовков с помощью оператора #include), и генератор становится доступен. Не нужно менять интерфейс, если вдруг понадобится обратиться к генератору. Не следует передавать один и тот же объект в разные функции.Тем не менее, использование глобальных переменных может привести к ошибкам. В нашем случае с генератором при его использовании нужно твердо помнить, что глобальная переменная уже определена. Простая забывчивость может привести к тому, что будет определен второй объект – генератор случайных чисел, например с именем randomGen. Поскольку с точки зрения правил языка никаких ошибок допущено не было, компиляция пройдет нормально. Однако результат работы программы будет не тот, которого мы ожидаем. (Исходя из определения класса, ответьте, почему).
При составлении программ самым лучшим решением будет то, которое не позволит ошибиться, т.е. неправильная программа не будет компилироваться. Не всегда это возможно, но в данном случае, как и во многих других, соответствующие средства имеются в языке Си++.
Изменим описание класса RandomGenerator:
class RandomGenerator { public: static void Init(unsigned long start); static unsigned long GetNumber(void); private: static unsigned long previousNumber; };
Определения методов Init и GetNumber не изменятся. Единственное, что надо будет добавить в файл RandomGenerator.cpp, это определение переменной previousNumber:
// // файл RandomGenerator.cpp // #include "RandomGenerator.h" #include time.h unsigned long RandomGenerator::previousNumber; . . .
Методы и атрибуты класса, описанные static, существуют независимо от объектов этого класса. Вызов статического метода имеет вид имя_класса::имя_метода, например RandomGenerator::Init(x). У статического метода не существует указателя this, таким образом, он имеет доступ либо к статическим атрибутам класса, либо к атрибутам передаваемых ему в качестве аргументов объектов. Например:
Исключительные ситуации
В языке Си++ реализован специальный механизм для сообщения об ошибках – механизм исключительных ситуаций. Название, конечно же, наводит на мысль, что данный механизм предназначен, прежде всего, для оповещения об исключительных ситуациях, о которых мы говорили чуть ранее. Однако механизм исключительных ситуаций может применяться и для обработки плановых ошибок.Исключительная ситуация возникает при выполнении оператора throw . В качестве аргумента throw задается любое значение. Это может быть значение одного из встроенных типов (число, строка символов и т.п.) или объект любого определенного в программе класса.
При возникновении исключительной ситуации выполнение текущей функции или метода немедленно прекращается, созданные к этому моменту автоматические переменные уничтожаются, и управление передается в точку, откуда была вызвана текущая функция или метод. В точке возврата создается та же самая исключительная ситуация, прекращается выполнение текущей функции или метода, уничтожаются автоматические переменные, и управление передается в точку, откуда была вызвана эта функция или метод. Происходит своего рода откат всех вызовов до тех пор, пока не завершится функция main и, соответственно, вся программа.
Предположим, из main была вызвана функция foo , которая вызвала метод Open , а он в свою очередь возбудил исключительную ситуацию:
class Database { public : void Open(const char*serverName); }; void Database::Open(const char*serverName) { if (connect(serverName)==false ) throw 2; } foo() { Database database; database.Open("db-server"); String y; ... } int main() { String x; foo(); return 1; }
В этом случае управление вернется в функцию foo , будет вызван деструктор объекта database , управление вернется в main , где будет вызван деструктор объекта x , и выполнение программы завершится. Таким образом, исключительные ситуации позволяют аварийно завершать программы с некоторыми возможностями очистки переменных.
В таком виде оператор throw используется для действительно исключительных ситуаций, которые практически никак не обрабатываются. Гораздо чаще даже исключительные ситуации требуется обрабатывать.
Обработка исключительных ситуаций
В программе можно объявить блок, в котором мы будем отслеживать исключительные ситуации с помощью операторов try и catch :try { ... }catch (тип_исключительной_операции){ ... }
Если внутри блока try возникла исключительная ситуация, то она первым делом передается в оператор catch . Тип исключительной ситуации – это тип аргумента throw . Если тип исключительной ситуации совместим с типом аргумента catch , выполняется блок catch . Тип аргумента catch совместим, если он либо совпадает с типом ситуации, либо является одним из ее базовых типов. Если тип несовместим, то происходит описанный выше откат вызовов, до тех пор, пока либо не завершится программа, либо не встретится блок catch с подходящим типом аргумента.
В блоке catch происходит обработка исключительной ситуации.
foo() { Database database; int attempCount =0; again: try { database.Open("dbserver"); } catch (int x){ cerr "Ошибка соединения номер " x endl; if (++attemptCount 5) goto again; throw ; } String y; ... }
Ссылка на аргумент throw передается в блок catch . Этот блок гасит исключительную ситуацию. Во время обработки в блоке catch можно создать либо ту же самую исключительную ситуацию с помощью оператора throw без аргументов, либо другую, или же не создавать никакой. В последнем случае исключительная ситуация считается погашенной, и выполнение программы продолжается после блока catch .
С одним блоком try может быть связано несколько блоков catch с разными аргументами. В этом случае исключительная ситуация последовательно "примеряется" к каждому catch до тех пор, пока аргумент не окажется совместимым. Этот блок и выполняется. Специальный вид catch
catch (...)
совместим с любым типом исключительной ситуации. Правда, в него нельзя передать аргумент.
Примеры обработки исключительных ситуаций
Механизм исключительных ситуаций предоставляет гибкие возможности для обработки ошибок, однако им надо уметь правильно пользоваться. В этом параграфе мы рассмотрим некоторые приемы обработки исключительных ситуаций.Прежде всего, имеет смысл определить для них специальный класс. Простейшим вариантом является класс, который может хранить код ошибки:
class Exception { public : enum ErrorCode { NO_MEMORY, DATABASE_ERROR, INTERNAL_ERROR, ILLEGAL_VALUE }; Exception(ErrorCode errorKind, const StringerrMessage); ErrorCode GetErrorKind(void )const {return kind;}; const StringGetErrorMessage(void )const {return msg;}; private : ErrorCode kind; String msg; };
Создание исключительной ситуации будет выглядеть следующим образом:
if (connect(serverName)==false ) throw Exception(Exception::DATABASE_ERROR, serverName);
А проверка на исключительную ситуацию так:
try { ... }catch (Exceptione){ cerr "Произошла ошибка "e.GetErrorKind() "Дополнительная информация:" e.GetErrorMessage(); }
Преимущества класса перед просто целым числом состоят, во-первых, в том, что передается дополнительная информация и, во-вторых, в операторах catch можно реагировать только на ошибки определенного вида. Если была создана исключительная ситуация другого типа, например
throw AnotherException;
то блок catch будет пропущен: он ожидает только исключительных ситуаций типа Exception . Это особенно существенно при сопряжении нескольких различных программ и библиотек – каждый набор классов отвечает только за собственные ошибки.
В данном случае код ошибки записывается в объекте типа Exception . Если в одном блоке catch ожидается несколько разных исключительных ситуаций, и для них необходима разная обработка, то в программе придется анализировать код ошибки с помощью операторов if или switch .
try { ... }catch (Exceptione){ cerr "Произошла ошибка "e.GetErrorKind() "Дополнительная информация:" e.GetErrorMessage(); if (e.GetErrorKind()==Exception::NO_MEMORY || e.GetErrorKind()== Exception::INTERNAL_ERROR) throw ; else if (e.GetErrorKind()== Exception::DATABASE_ERROR) return TRY_AGAIN; else if (e.GetErrorKind()== Exception::ILLEGAL_VALUE) return NEXT_VALUE; }
Другим методом разделения различных исключительных ситуаций является создание иерархии классов – по классу на каждый тип исключительной ситуации.

16.1. Пример иерархии классов для представления исключительных ситуаций.
В приведенной на рисунке 16.1 структуре классов все исключительные ситуации делятся на ситуации, связанные с работой базы данных (класс DatabaseException ), и внутренние ошибки программы (класс InternalException ). В свою очередь, ошибки базы данных бывают двух типов: ошибки соединения (представленные классом ConnectDbException ) и ошибки чтения (ReadDbException ). Внутренние исключительные ситуации и разделены на нехватку памяти (NoMemoryException )и недопустимые значения (IllegalValException ).
Теперь блок catch может быть записан в следующем виде:
try { }catch (ConnectDbExceptione ){ //обработка ошибки соединения с базой данных }catch (ReadDbExceptione){ //обработка ошибок чтения из базы данных }catch (DatabaseExceptione){ //обработка других ошибок базы данных }catch (NoMemoryExceptione){ //обработка нехватки памяти }catch (…){ //обработка всех остальных исключительных //ситуаций }
Напомним, что когда при проверке исключительной ситуации на соответствие аргументу оператора catch проверка идет последовательно до тех пор, пока не найдется подходящий тип. Поэтому, например, нельзя ставить catch для класса DatabaseException впереди catch для класса ConnectDbException – исключительная ситуация типа ConnectDbException совместима с классом DatabaseException (это ее базовый класс), и она будет обработана в catch для DatabaseException и не дойдет до блока с ConnectDbException .
Построение системы классов для разных исключительных ситуаций на стадии описания ошибок – процесс более трудоемкий, приходится создавать новый класс для каждого типа исключительной ситуации. Однако с точки зрения обработки он более гибкий и позволяет писать более простые программы.
Чтобы облегчить обработку ошибок и сделать запись о них более наглядной, описания методов и функций можно дополнить информацией, какого типа исключительные ситуации они могут создавать:
class Database { public : Open(const char*serverName) throw ConnectDbException; };
Такое описание говорит о том, что метод Open класса Database может создать исключительную ситуацию типа ConnectDbException . Соответственно, при использовании этого метода желательно предусмотреть обработку возможной исключительной ситуации.
В заключение приведем несколько рекомендаций по использованию исключительных ситуаций.
При возникновении исключительной ситуации остаток функции или метода не выполняется. Более того, при обработке ее не всегда известно, где именно возникла исключительная ситуация. Поэтому прежде чем выполнить оператор throw , освободите ресурсы, зарезервированные в текущей функции. Например, если какой-либо объект был создан с помощью new , необходимо явно вызвать для него delete .Избегайте использования исключительных ситуаций в деструкторах. Деструктор может быть вызван в результате уже возникшей исключительной ситуации при откате вызовов функций и методов. Повторная исключительная ситуация не обрабатывается и завершает выполнение программы.
Если исключительная ситуация возникла в конструкторе объекта, считается, что объект сформирован не полностью, и деструктор для него вызван не будет.
Виды ошибок
Существенной частью любой программы является обработка ошибок. Прежде чем перейти к описанию средств языка Си++, предназначенных для обработки ошибок, остановимся немного на том,какие, собственно, ошибки мы будем рассматривать.Ошибки компиляции пропустим:пока все они не исправлены, программа не готова, и запустить ее нельзя. Здесь мы будем рассматривать только ошибки, происходящие во время выполнения программы.
Первый вид ошибок, который всегда приходит в голову – это ошибки программирования. Сюда относятся ошибки в алгоритме, в логике программы и чисто программистские ошибки. Ряд возможных ошибок мы называли ранее (например, при работе с указателями), но гораздо больше вы узнаете на собственном горьком опыте.
Теоретически возможно написать программу без таких ошибок. Во многом язык Си++ помогает предотвратить ошибки во время выполнения программы,осуществляя строгий контроль на стадии компиляции. Вообще, чем строже контроль на стадии компиляции, тем меньше ошибок остается при выполнении программы.
Перечислим некоторые средства языка, которые помогут избежать ошибок:
Контроль типов. Случаи использования недопустимых операций и смешения несовместимых типов будут обнаружены компилятором. Обязательное объявление имен до их использования. Невозможно вызвать функцию с неверным числом аргументов. При изменении определения переменной или функции легко обнаружить все места, где она используется. Ограничение видимости имен, контексты имен. Уменьшается возможность конфликтов имен, неправильного переопределения имен.
Самым важным средством уменьшения вероятности ошибок является объектно-ориентированный подход к программированию,который поддерживает язык Си++. Наряду с преимуществами объектного программирования, о которых мы говорили ранее, построение программы из классов позволяет отлаживать классы по отдельности и строить программы из надежных составных "кирпичиков", используя одни и те же классы многократно.
Несмотря на все эти положительные качества языка, остается "простор" для написания ошибочных программ. По мере рассмотрения свойств языка, мы стараемся давать рекомендации, какие возможности использовать, чтобы уменьшить вероятность ошибки.
Лучше исходить из того, что идеальных программ не существует, это помогает разрабатывать более надежные программы. Самое главное – обеспечить контроль данных, а для этого необходимо проверять в программе все, что может содержать ошибку. Если в программе предполагается какое-то условие, желательно проверить его, хотя бы в начальной версии программы, до того, как можно будет на опыте убедиться, что это условие действительно выполняется. Важно также проверять указатели, передаваемые в качестве аргументов, на равенство нулю; проверять, не выходят ли индексы за границы массива и т.п.
Ну и решающими качествами, позволяющими уменьшить количество ошибок, являются внимательность, аккуратность и опыт.
Второй вид ошибок – "предусмотренные", запланированные ошибки. Если разрабатывается программа диалога с пользователем, такая программа обязана адекватно реагировать и обрабатывать неправильные нажатия клавиш. Программа чтения текста должна учитывать возможные синтаксические ошибки. Программа передачи данных по телефонной линии должна обрабатывать помехи и возможные сбои при передаче. Такие ошибки – это, вообще говоря, не ошибки с точки зрения программы, а плановые ситуации, которые она обрабатывает.
Третий вид ошибок тоже в какой-то мере предусмотрен. Это исключительные ситуации, которые могут иметь место, даже если в программе нет ошибок. Например, нехватка памяти для создания нового объекта. Или сбой диска при извлечении информации из базы данных.
Именно обработка двух последних видов ошибок и рассматривается в последующих разделах. Граница между ними довольно условна. Например, для большинства программ сбой диска – исключительная ситуация, но для операционной системы сбой диска должен быть предусмотрен и должен обрабатываться. Скорее два типа можно разграничить по тому, какая реакция программы должна быть предусмотрена. Если после плановых ошибок программа должна продолжать работать, то после исключительных ситуаций надо лишь сохранить уже вычисленные данные и завершить программу.
Лучше вместо метода Ok, возвращающего
Лучше вместо метода Ok, возвращающего значение флага okFlag, переопределить операцию ! (отрицание).class Database { public : bool operator !()const {return !okFlag;}; };
Тогда проверка успешности соединения с базой данных будет выглядеть так:
if (!database){ cerr "Ошибка соединения с базой данных"endl; }
Следует отметить, что лучше избегать такого построения классов, при котором возможны ошибки в конструкторе. Из конструктора можно выделить соединение с сервером базы данных в отдельный метод Open :
class Database { public : Database(); bool Open(const char*serverName); }
и тогда отпадает необходимость в операции ! или методе Ok().
Использование возвращаемого значения в качестве признака ошибки – метод почти универсальный. Он применяется, прежде всего, для обработки запланированных ошибочных ситуаций. Этот метод имеет ряд недостатков. Во-первых, приходится передавать признак ошибки через вложенные вызовы функций. Во-вторых, возникают неудобства, если метод или функция уже возвращают значение, и приходится либо модифицировать интерфейс, либо придумывать специальное "ошибочное" значение. В-третьих, логика программы оказывается запутанной из-за сплошных условных операторов if с проверкой на ошибочное значение.
on_load_lecture()




/p> |
/p> |
/p> |
вопросы |
учебники
|
для печати и PDA



|
Курсы | Учебные программы | Учебники | Новости | Форум | Помощь Телефон: +7 (495) 253-9312, 253-9313, факс: +7 (495) 253-9310, email: info@intuit.ru 2003-2007, INTUIT.ru::Интернет-Университет Информационных Технологий - дистанционное образование |
Возвращаемое значение как признак ошибки
Простейший способ сообщения об ошибках предполагает использование возвращаемого значения функции или метода. Функция сохранения объекта в базе данных может возвращать логическое значение: true в случае успешного сохранения, false – в случае ошибки.class Database { public: bool SaveObject(const Objectobj); };
Соответственно, вызов метода должен выглядеть так:
if (database.SaveObject(my_obj) == false ){ //обработка ошибки }
Обработка ошибки, разумеется, зависит от конкретной программы. Типична ситуация, когда при многократно вложенных вызовах функций обработка происходит на несколько уровней выше, чем уровень, где ошибка произошла. В таком случае результат, сигнализирующий об ошибке, придется передавать во всех вложенных вызовах.
int main() { if (fun1()==false ) //обработка ошибки return 1; } bool fun1() { if (fun2()==false ) return false ; return true ; } bool fun2() { if (database.SaveObject(obj)==false ) return false ; return true ; }
Если функция или метод должны возвращать какую-то величину в качестве результата, то особое, недопустимое, значение этой величины используется в качестве признака ошибки. Если метод возвращает указатель, выдача нулевого указателя применяется в качестве признака ошибки. Если функция вычисляет положительное число, возврат - 1 можно использовать в качестве признака ошибки.
Иногда невозможно вернуть признак ошибки в качестве возвращаемого значения. Примером является конструктор объекта, который не может вернуть значение. Как же сообщить о том, что во время инициализации объекта что-то было не так?
Распространенным решением является дополнительный атрибут объекта – флаг, отражающий состояние объекта. Предположим, конструктор класса Database должен соединиться с сервером базы данных.
class Database { public : Database(const char *serverName); ... bool Ok(void )const {return okFlag;}; private : bool okFlag; }; Database::Database(const char*serverName) { if (connect(serverName)==true ) okFlag =true ; else okFlag =false ; } int main() { Database database("db-server"); if (!database.Ok()){ cerr "Ошибка соединения с базой данных"endl; return 0; } return 1; }
Манипуляторы и форматирование ввода-вывода
Часто бывает необходимо вывести строку или число в определенном формате. Для этого используются так называемые манипуляторы.Манипуляторы – это объекты особых типов, которые управляют тем, как ostream или istream обрабатывают последующие аргументы. Некоторые манипуляторы могут также выводить или вводить специальные символы.
С одним манипулятором мы уже сталкивались, это endl. Он вызывает вывод символа новой строки. Другие манипуляторы позволяют задавать формат вывода чисел:
endl | при выводе перейти на новую строку; |
ends | вывести нулевой байт (признак конца строки символов); |
flush | немедленно вывести и опустошить все промежуточные буферы; |
dec | выводить числа в десятичной системе (действует по умолчанию); |
oct | выводить числа в восьмеричной системе; |
hex | выводить числа в шестнадцатиричной системе счисления; |
setw (int n) | установить ширину поля вывода в n символов (n – целое число); |
setfill(int n) | установить символ-заполнитель; этим символом выводимое значение будет дополняться до необходимой ширины; |
setprecision(int n) | установить количество цифр после запятой при выводе вещественных чисел; |
setbase(int n) | установить систему счисления для вывода чисел; n может принимать значения 0, 2, 8, 10, 16, причем 0 означает систему счисления по умолчанию, т.е. 10. |
Использовать манипуляторы просто – их надо вывести в выходной поток. Предположим, мы хотим вывести одно и то же число в разных системах счисления:
int x = 53; cout "Десятичный вид: " dec x endl "Восьмиричный вид: " oct x endl "Шестнадцатиричный вид: " hex x endl
Аналогично используются манипуляторы с параметрами. Вывод числа с разным количеством цифр после запятой:
double x; // вывести число в поле общей шириной // 6 символов (3 цифры до запятой, // десятичная точка и 2 цифры после запятой) cout setw(6) setprecision(2) x endl;
Те же манипуляторы (за исключением endl и ends могут использоваться и при вводе. В этом случае они описывают представление вводимых чисел. Кроме того, имеется манипулятор, работающий только при вводе, это ws. Данный манипулятор переключает вводимый поток в такой режим, при котором все пробелы (включая табуляцию, переводы строки, переводы каретки и переводы страницы) будут вводиться. По умолчанию эти символы воспринимаются как разделители между атрибутами ввода.
int x; // ввести шестнадцатиричное число cin hex x;
Операции и для потоков
В классах iostream операции и определены для всех встроенных типов языка Си++ и для строк (тип char*). Если мы хотим использовать такую же запись для ввода и вывода других классов, определенных в программе, для них нужно определить эти операции.class String { public: friend ostream operator(ostream os, const String s); friend istream operator(istream is, String s); private: char* str; int length; }; ostream operator(ostream os, const String s) { os s.str; return os; } istream operator(istream is, String s) { // предполагается, что строк длиной более // 1024 байтов не будет char tmp[1024]; is tmp;
if (str != 0) { delete [] str; } length = strlen(tmp); str = new char[length + 1]; if (str == 0) { // обработка ошибок length = 0; return is; } strcpy(str, tmp); return is; }
Как показано в примере класса String, операция , во-первых, является не методом класса String, а отдельной функцией. Она и не может быть методом класса String, поскольку ее правый операнд – объект класса ostream. С точки зрения записи, она могла бы быть методом класса ostream, но тогда с добавлением нового класса приходилось бы модифицировать класс ostream, что невозможно – каждый бы модифицировал стандартные классы, поставляемые вместе с компилятором. Когда же операция реализована как отдельная функция, достаточно в каждом новом классе определить ее, и можно использовать запись:
String x; . . . cout "this is a string: " x;
Во-вторых, операция возвращает в качестве результата ссылку на поток вывода. Это позволяет использовать ее в выражениях типа приведенного выше, соединяющих несколько операций вывода в одно выражение.
Аналогично реализована операция ввода. Для класса istream она определена для всех встроенных типов языка Си++ и указателей на строку символов. Если необходимо, чтобы класс, определенный в программе, позволял ввод из потока, для него нужно определить операцию в качестве функции friend.
Потоки
Механизм для ввода-вывода в Си++ называется потоком. Название произошло от того,что информация вводится и выводится в виде потока байтов – символ за символом.Класс istream реализует поток ввода, класс ostream – поток вывода. Эти классы определены в файле заголовков iostream.h. Библиотека потоков ввода-вывода определяет три глобальных объекта: cout,cin и cerr. cout называется стандартным выводом, cin – стандартным вводом, cerr – стандартным потоком сообщений об ошибках. cout и cerr выводят на терминал и принадлежат к классу ostream, cin имеет тип istream и вводит с терминала. Разница между cout и cerr существенна в Unix – они используют разные дескрипторы для вывода. В других системах они существуют больше для совместимости.
Вывод осуществляется с помощью операции , ввод с помощью операции . Выражение
cout "Пример вывода: " 34;
напечатает на терминале строку "Пример вывода", за которым будет выведено число 34. Выражение
int x; cin x;
введет целое число с терминала в переменную x. (Разумеется, для того, чтобы ввод произошел, на терминале нужно напечатать какое-либо число и нажать клавишу возврат каретки.)
Строковые потоки
Специальным случаем потоков являются строковые потоки, представленные классом strstream. Отличие этих потоков состоит в том, что все операции происходят в памяти. Фактически такие потоки формируют форматированную строку символов, заканчивающуюся нулевым байтом. Строковые потоки применяются, прежде всего, для того, чтобы облегчить форматирование данных в памяти.Например, в приведенном в предыдущей главе классе Exception для исключительной ситуации можно добавить сообщение. Если мы хотим составить сообщение из нескольких частей, то может возникнуть необходимость форматирования этого сообщения:
// произошла ошибка strstream ss; ss "Ошибка ввода-вывода, регистр: " oct reg1; ss "Системная ошибка номер: " dec errno ends; String msg(ss.str()); ss.rdbuf()-freeze(0); Exception ex(Exception::INTERNAL_ERROR, msg); throw ex;
Сначала создается объект типа strstream с именем ss. Затем в созданный строковый поток выводятся сформатированные нужным образом данные. Отметим, что в конце мы вывели манипулятор ends, который добавил необходимый для символьной строки байтов нулевой байт. Метод str() класса strstream предоставляет доступ к сформатированной строке (тип его возвращаемого значения – char*). Следующая строка освобождает память, занимаемую строковым потоком (подробнее об этом рассказано ниже). Последние две строки создают объект типа Exception с типом ошибки INTERNAL_ERROR и сформированным сообщением и вызывают исключительную ситуацию.
Важное свойство класса strstream состоит в том, что он автоматически выделяет нужное количество памяти для хранения строк. В следующем примере функция split_numbers выделяет числа из строки, состоящей из нескольких чисел, разделенных пробелом, и печатает их по одному на строке.
#include strstream.h void split_numbers(const char* s) { strstream iostr; iostr s ends; int x; while (iostr x) cout x endl; } int main() { split_numbers("123 34 56 932"); return 1; }
Замечание. В среде Visual C++ файл заголовков называется strstream.h.
Как видно из этого примера, независимо от того, какова на самом деле длина входной строки, объект iostr автоматически выделяет память, и при выходе из функции split_numbers, когда объект уничтожается, память будет освобождена.
Однако из данного правила есть одно исключение. Если программа обращается непосредственно к хранимой в объекте строке с помощью метода str (), то объект перестает контролировать эту память, а это означает, что при уничтожении объекта память не будет освобождена. Для того чтобы память все-таки была освобождена, необходимо вызвать метод rdbuf()-freeze(0) (см. предыдущий пример).
Ввод-вывод файлов
Ввод-вывод файлов может выполняться как с помощью стандартных функций библиотеки Си, так и с помощью потоков ввода-вывода. Функции библиотеки Си являются функциями низкого уровня, без всякого контроля типов.Прежде чем перейти к рассмотрению собственно классов, остановимся на том, как осуществляются операции ввода-вывода с файлами. Файл рассматривается как последовательность байтов. Чтение или запись выполняются последовательно. Например, при чтении мы начинаем с начала файла. Предположим, первая операция чтения ввела 4 байта, интерпретированные как целое число. Тогда следующая операция чтения начнет ввод с пятого байта, и так далее до конца файла.
Аналогично происходит запись в файл – по умолчанию первая запись производится в конец имеющегося файла, а все последующие операции записи последовательно пишут данные друг за другом. При операциях чтения-записи говорят, что существует текущая позиция, начиная с которой будет производиться следующая операция.
Большинство файлов обладают возможностью прямого доступа. Это означает, что можно производить операции ввода-вывода не последовательно, а в произвольном порядке: после чтения первых 4-х байтов прочесть с 20 по 30, затем два последних и т.п. При написании программ на языке Си++ возможность прямого доступа обеспечивается тем, что текущую позицию чтения или записи можно установить явно.
В библиотеке Си++ для ввода-вывода файлов существуют классы ofstream (вывод) и ifstream (ввод). Оба они выведены из класса fstream. Сами операции ввода-вывода выполняются так же, как и для других потоков – операции и определены для класса fstream как "ввести" и "вывести" соответствующее значение. Различия заключаются в том, как создаются объекты и как они привязываются к нужным файлам.
При выводе информации в файл первым делом нужно определить, в какой файл будет производиться вывод. Для этого можно использовать конструктор класса ofstream в виде:
ofstream(const char* szName, int nMode = ios::out, int nProt = filebuf::openprot);
Первый аргумент – имя выходного файла, и это единственный обязательный аргумент. Второй аргумент задает режим, в котором открывается поток. Этот аргумент – битовое ИЛИ следующих величин:
ios::app | при записи данные добавляются в конец файла, даже если текущая позиция была перед этим перемещена; |
ios::ate | при создании потока текущая позиция помещается в конец файла; однако, в отличие от режима app, запись ведется в текущую позицию; |
ios::in | поток создается для ввода; если файл уже существует, он сохраняется; |
ios::out | поток создается для вывода (режим по умолчанию); |
ios::trunc | если файл уже существует, его прежнее содержимое уничтожается, и длина файла становится равной нулю; режим действует по умолчанию, если не заданы ios::ate, ios::app или ios::in; |
ios::binary | ввод-вывод будет происходить в двоичном виде, по умолчанию используется текстовое представление данных. |
Можно создать поток вывода с помощью стандартного конструктора без аргументов, а позднее выполнить метод open с такими же аргументами, как у предыдущего конструктора:
void open(const char* szName, int nMode = ios::out, int nProt = filebuf::openprot);
Только после того, как поток создан и соединен с определенным файлом (либо с помощью конструктора с аргументами, либо с помощью метода open), можно выполнять вывод. Выводятся данные операцией . Кроме того, данные можно вывести с помощью методов write или put:
ostream write(const char* pch, int nCount); ostream put(char ch);
Метод write выводит указанное количество байтов (nCount), расположенных в памяти, начиная с адреса pch. Метод put выводит один байт.
Для того чтобы переместить текущую позицию, используется метод seekp:
ostream seekp(streamoff off, ios::seek_dir dir);
Первый аргумент – целое число, смещение позиции в байтах. Второй аргумент определяет, откуда отсчитывается смещение; он может принимать одно из трех значений:
ios::beg | смещение от начала файла |
ios::cur | смещение от текущей позиции |
ios::end | смещение от конца файла |
/p> Сместив текущую позицию, операции вывода продолжаются с нового места файла.
После завершения вывода можно выполнить метод close, который выводит внутренние буферы в файл и отсоединяет поток от файла. То же самое происходит и при уничтожении объекта.
Класс ifstream, осуществляющий ввод из файлов, работает аналогично. При создании объекта типа ifstream в качестве аргумента конструктора можно задать имя существующего файла:
ifstream(const char* szName, int nMode = ios::in, int nProt = filebuf::openprot);
Можно воспользоваться стандартным конструктором, а подсоединиться к файлу с помощью метода open.
Чтение из файла производится операцией или методами read или get:
istream read(char* pch, int nCount); istream get(char rch);
Метод read вводит указанное количество байтов (nCount) в память, начиная с адреса pch. Метод get вводит один байт.
Так же, как и для вывода, текущую позицию ввода можно изменить с помощью метода seekp, а по завершении выполнения операций закрыть файл с помощью close или просто уничтожить объект.
Функции-шаблоны
Запишем алгоритм поиска минимума двух величин, где в качестве параметра используется тип этих величин.template class T const T min(const T a, const T b) { if (a b) return a; else return b; }
Данная запись еще не создала ни одной функции, это лишь шаблон для определенной функции. Только тогда, когда происходит обращение к функции с аргументами конкретного типа, будет выполнена генерация конкретной функции.
int x, y, z; String s1, s2, s3; . . . // генерация функции min для класса String s1 = min(s2, s3); . . . // генерация функции min для типа int x = min(y, z);
Первое обращение к функции min генерирует функцию
const String min(const String a, const String b);
Второе обращение генерирует функцию
const int min(const int a, const int b);
Объявление шаблона функции min говорит о том, что конкретная функция зависит от одного параметра – типа T. Первое обращение к min в программе использует аргументы типа String. В шаблон функции подставляется тип String вместо T. Получается функция:
const String min(const String a, const String b) { if (a b) return a; else return b; }
Эта функция компилируется и используется в программе. Аналогичные действия выполняются и при втором обращении, только теперь вместо параметра T подставляется тип int. Как видно из приведенных примеров, компилятор сам определяет, какую функцию надо использовать, и автоматически генерирует необходимое определение.
У функции-шаблона может быть несколько параметров. Так, например, функция find библиотеки STL (стандартной библиотеки шаблонов), которая ищет первый элемент, равный заданному, в интервале значений, имеет вид:
template class InIterator, class T InIterator find(InIterator first, InIterator last, const T val);
Класс T – это тип элементов интервала. Тип InIterator – тип указателя на его начало и конец.
"Интеллигентный указатель"
Рассмотрим еще один пример использования класса-шаблона. С его помощью мы попытаемся " усовершенствовать" указатели языка Си++. Если указатель указывает на объект, выделенный с помощью операции new, необходимо явно вызывать операцию delete тогда, когда объект становится не нужен. Однако далеко не всегда просто определить, нужен объект или нет, особенно если на него могут ссылаться несколько разных указателей. Разработаем класс, который ведет себя очень похоже на указатель, но автоматически уничтожает объект, когда уничтожается последняя ссылка на него. Назовем этот класс "интеллигентный указатель" (Smart Pointer). Идея заключается в том, что настоящий указатель мы окружим специальной оболочкой. Вместе со значением указателя мы будем хранить счетчик – сколько других объектов на него ссылается. Как только значение этого счетчика станет равным нулю, объект, на который указатель указывает, пора уничтожать.Структура Ref хранит исходный указатель и счетчик ссылок.
template class T struct Ref { T* realPtr; int counter; };
Теперь определим интерфейс "интеллигентного указателя":
template class T class SmartPtr { public: // конструктор из обычного указателя SmartPtr(T* ptr = 0); // копирующий конструктор SmartPtr(const SmartPtr s); ~SmartPtr(); SmartPtr operator=(const SmartPtr s); SmartPtr operator=(T* ptr); T* operator-() const; T operator*() const; private: RefT* refPtr; };
У класса SmartPtr определены операции обращения к элементу -, взятия по адресу "*" и операции присваивания. С объектом класса SmartPtr можно обращаться практически так же, как с обычным указателем.
struct A { int x; int y; }; SmartPtrA aPtr(new A); int x1 = aPtr-x; (*aPtr).y = 3;
// создать новый указатель // обратиться к элементу A // обратиться по адресу
Рассмотрим реализацию методов класса SmartPtr. Конструктор инициализирует объект указателем. Если указатель равен нулю, то refPtr устанавливается в ноль. Если же конструктору передается ненулевой указатель, то создается структура Ref, счетчик обращений в которой устанавливается в 1, а указатель – в переданный указатель:
template class T SmartPtrT::SmartPtr(T* ptr) { if (ptr == 0) refPtr = 0; else { refPtr = new RefT; refPtr-realPtr = ptr; refPtr-counter = 1; } }
Деструктор уменьшает количество ссылок на 1 и, если оно достигло 0, уничтожает объект
template class T SmartPtr T::~SmartPtr() { if (refPtr != 0) { refPtr-counter--; if (refPtr-counter = 0) { delete refPtr-realPtr; delete refPtr; } } }
Реализация операций - и * довольно проста:
template class T T* SmartPtrT::operator-() const { if (refPtr != 0) return refPtr-realPtr; else return 0; } template class T T SmartPtrT::operator*() const { if (refPtr != 0) return *refPtr-realPtr; else throw bad_pointer; }
Самые сложные для реализации – копирующий конструктор и операции присваивания. При создании объекта SmartPtr – копии имеющегося – мы не будем копировать сам исходный объект. Новый "интеллигентный указатель" будет ссылаться на тот же объект, мы лишь увеличим счетчик ссылок.
template class T SmartPtrT::SmartPtr(const SmartPtr s):refPtr(s.refPtr) { if (refPtr != 0) refPtr-counter++; }
При выполнении присваивания, прежде всего, нужно отсоединиться от имеющегося объекта, а затем присоединиться к новому, подобно тому, как это сделано в копирующем конструкторе.
template class T SmartPtr SmartPtrT::operator=(const SmartPtr s) { // отсоединиться от имеющегося указателя if (refPtr != 0) { refPtr-counter--; if (refPtr-counter = 0) { delete refPtr-realPtr; delete refPtr; } } // присоединиться к новому указателю refPtr = s.refPtr; if (refPtr != 0) refPtr-counter++; }
В следующей функции при ее завершении объект класса Complex будет уничтожен:
void foo(void) { SmartPtrComplex complex(new Complex); SmartPtrComplex ptr = complex; return; }
Назначение шаблонов
Алгоритм выполнения какого-либо действия можно записывать независимо от того, какого типа данные обрабатываются. Простейшим примером служит определение минимума из двух величин.if (a b) x = a; else x = b;
Независимо от того, к какому именно типу принадлежат переменные a, b и x, если это один и тот же тип, для которого определена операция "меньше", запись будет одна и та же. Было бы естественно определить функцию min, возвращающую минимум из двух своих аргументов. Возникает вопрос, как описать аргументы этой функции? Конечно, можно определить min для всех известных типов, однако, во-первых, пришлось бы повторять одну и ту же запись многократно, а во-вторых, с добавлением новых классов добавлять новые функции.
Аналогичная ситуация встречается и в случае со многими сложными структурами данных. В классе, реализующем связанный список целых чисел, алгоритмы добавления нового атрибута списка, поиска нужного атрибута и так далее не зависят от того, что атрибуты списка – целые числа. Точно такие же алгоритмы нужно будет реализовать для списка вещественных чисел или указателей на класс Book.
Механизм шаблонов в языке Си++ позволяет эффективно решать многие подобные задачи.
Шаблоны классов
Шаблон класса имеет вид:template список параметров class объявление_класса
Список параметров класса-шаблона аналогичен списку параметров функции-шаблона: список классов и переменных, которые подставляются в объявление класса при генерации конкретного класса.
Очень часто шаблоны используются для создания коллекций, т.е. классов, которые представляют собой набор объектов одного и того же типа. Простейшим примером коллекции может служить массив. Массив, несомненно, очень удобная структура данных, однако у него имеется ряд существенных недостатков, к которым, например, относятся необходимость задавать размер массива при его определении и отсутствие контроля использования значений индексов при обращении к атрибутам массива.
Попробуем при помощи шаблонов устранить два отмеченных недостатка у одномерного массива. При этом по возможности попытаемся сохранить синтаксис обращения к атрибутам массива. Назовем новую структуру данных вектор vector.
template class T class vector { public: vector() : nItem(0), items(0) {}; ~vector() { delete items; }; void insert(const T t) { T* tmp = items; items = new T[nItem + 1]; memcpy(items, tmp, sizeof(T)* nItem); items[++nItem] = t; delete tmp; } void remove(void) { T* tmp = items; items = new T[--nItem]; memcpy(items, tmp, sizeof(T) * nItem); delete tmp; } const T operator[](int index) const { if ((index 0) || (index = nItem)) throw IndexOutOfRange; return items[index]; } T operator[](int index) { if ((index 0) || (index = nItem)) throw IndexOutOfRange; return items[index]; } private: T* items; int nItem; };
Кроме конструктора и деструктора, у нашего вектора есть только три метода: метод insert добавляет в конец вектора новый элемент, увеличивая длину вектора на единицу, метод remove удаляет последний элемент вектора, уменьшая его длину на единицу, и операция [] обращается к n-ому элементу вектора.
vectorint IntVector; IntVector.insert(2); IntVector.insert(3); IntVector.insert(25); // получили вектор из трех атрибутов: // 2, 3 и 25 // переменная x получает значение 3 int x = IntVector[1]; // произойдет исключительная ситуация int y = IntVector[4]; // изменить значение второго атрибута вектора. IntVector[1] = 5;
Обратите внимание, что операция [] определена в двух вариантах – как константный метод и как неконстантный. Если операция [] используется справа от операции присваивания (в первых двух присваиваниях), то используется ее константный вариант, если слева (в последнем присваивании) – неконстантный. Использование операции индексирования [] слева от операции присваивания означает, что значение объекта изменяется, соответственно, нужна неконстантная операция.
Параметр шаблона vector – любой тип, у которого определены операция присваивания и стандартный конструктор. (Стандартный конструктор необходим при операции new для массива.)
Так же, как и с функциями-шаблонами, при задании первого объекта типа vectorint автоматически происходит генерация конкретного класса из шаблона. Если далее в программе будет использоваться вектор вещественных чисел или строк, значит, будут сгенерированы конкретные классы и для них. Генерация конкретного класса означает, что генерируются все его методы, соответственно, размер исходного кода растет. Поэтому из небольшого шаблона может получиться большая программа. Ниже мы рассмотрим одну возможность сокращения размера программы, использующей почти однотипные шаблоны.
Сгенерировать конкретный класс из шаблона можно явно, записав:
template vectorint;
Этот оператор не создаст никаких объектов типа vectorint, но, тем не менее, вызовет генерацию класса со всеми его методами.
Задание свойств класса
Одним из методов использования шаблонов является уточнение поведения с помощью дополнительных параметров шаблона. Предположим, мы пишем функцию сортировки вектора:template class T void sort_vector(vectorT vec) { for (int i = 0; i vec.size() -1; i++) for (int j = i; j vec.size(); j++) { if (vec[i] vec[j]) { T tmp = vec[i]; vec[i] = vec[j]; vec[j] = tmp; } } }
Эта функция будет хорошо работать с числами, но если мы захотим использовать ее для массива указателей на строки (char*), то результат будет несколько неожиданный. Сортировка будет выполняться не по значению строк, а по их адресам (операция "меньше" для двух указателей – это сравнение значений этих указателей, т.е. адресов величин, на которые они указывают, а не самих величин). Чтобы исправить данный недостаток, добавим к шаблону второй параметр:
template class T, class Compare void sort_vector(vectorT vec) { for (int i = 0; i vec.size() -1; i++) for (int j = i; j vec.size(); j++) { if (Compare::less(vec[i], vec[j])) { T tmp = vec[i]; vec[i] = vec[j]; vec[j] = tmp; } } }
Класс Compare должен реализовывать статическую функцию less, сравнивающую два значения типа T. Для целых чисел этот класс может выглядеть следующим образом:
class CompareInt { static bool less(int a, int b) { return a b; }; };
Сортировка вектора будет выглядеть так:
vectorint vec; sortint, CompareInt(vec);
Для указателей на байт (строк) можно создать класс
class CompareCharStr { static bool less(char* a, char* b) { return strcmp(a,b) = 0; } };
и, соответственно, сортировать с помощью вызова
vectorchar* svec; sortchar*, CompareCharStr(svec);
Как легко заметить, для всех типов, для которых операция "меньше" имеет нужный нам смысл, можно написать шаблон класса сравнения:
templateclass T Compare { static bool less(T a, T b) { return a b; }; };
и использовать его в сортировке (обратите внимание на пробел между закрывающимися угловыми скобками в параметрах шаблона; если его не поставить, компилятор спутает две скобки с операцией сдвига):
vectordouble dvec; sortdouble, Comparedouble (dvec);
Чтобы не загромождать запись, воспользуемся возможностью задать значение параметра по умолчанию. Так же, как и для аргументов функций и методов, для параметров шаблона можно определить значения по умолчанию. Окончательный вид функции сортировки будет следующий:
template class T, class C = CompareT void sort_vector(vectorT vec) { for (int i = 0; i vec.size() -1; i++) for (int j = i; j vec.size(); j++) { if (C::less(vec[i], vec[j])) { T tmp = vec[i]; vec[i] = vec[j]; vec[j] = tmp; } } }
Второй параметр шаблона иногда называют параметром-штрих, поскольку он лишь модифицирует поведение класса, который манипулирует типом, определяемым первым параметром.
Имена
Для символического обозначения величин, имен функций и т.п. используются имена или идентификаторы.Идентификаторы в языке Си++ – это последовательность знаков, начинающаяся с буквы или знака подчеркивания. В идентификаторах можно использовать заглавные и строчные латинские буквы, цифры и знак подчеркивания. Длина идентификаторов произвольная. Примеры правильных идентификаторов:
abc A12 NameOfPerson BITES_PER_WORD
Отметим, что abc и Abc – два разных идентификатора, т.е. заглавные и строчные буквы различаются. Примеры неправильных идентификаторов:
X a-b
Ряд слов в языке Си++ имеет особое значение и не может использоваться в качестве идентификаторов. Такие зарезервированные слова называются ключевыми.
Список ключевых слов:
asm auto bad_cast bad_typeid bool break case catch char class const const_cast continue default delete do double dynamic_cast else enum extern float for friend goto if inline int long mutable namespace new operator private protected public register reinterpret_cast return short signed sizeof static static_cast struct switch template then this throw try type_info typedef typeid union unsigned using virtual void volatile while xalloc
В следующем примере
int max(int x, int y) { if (x y) return x; else return y; }
max, x и y – имена или идентификаторы. Слова int, if, return и else – ключевые слова, они не могут быть именами переменных или функций и используются для других целей.
on_load_lecture()




/p> |
/p> |
вопросы |
учебники
|
для печати и PDA



| Курсы | Учебные программы | Учебники | Новости | Форум | Помощь Телефон: +7 (495) 253-9312, 253-9313, факс: +7 (495) 253-9310, email: info@intuit.ru 2003-2007, INTUIT.ru::Интернет-Университет Информационных Технологий - дистанционное образование |
Константы
В программе можно явно записать величину – число, символ и т.п. Например, мы можем записать выражение x + 4 – сложить текущее значение переменной x и число 4. В зависимости от того, при каких условиях мы будем выполнять программу, значение переменной x может быть различным. Однако целое число четыре всегда останется прежним. Это неизменяемая величина или константа.Таким образом, явная запись значения в программе – это константа.
Далеко не всегда удобно записывать константы в тексте программы явно. Гораздо чаще используются символические константы. Например, если мы запишем
const int BITS_IN_WORD = 32;
то затем имя BITS_IN_WORD можно будет использовать вместо целого числа 32.
Преимущества такого подхода очевидны. Во-первых, имя BITS_IN_WORD (битов в машинном слове) дает хорошую подсказку, для чего используется данное число. Без комментариев понятно, что выражение
b / BITS_IN_WORD
(значение b разделить на число 32) вычисляет количество машинных слов, необходимых для хранения b битов информации. Во-вторых, если по каким-либо причинам нам надо изменить эту константу, потребуется изменить только одно место в программе – определение константы, оставив все случаи ее использования как есть. (Например, мы переносим программу на компьютер с другой длиной машинного слова.)
on_load_lecture()




|
/p> |
/p> |
вопросы |
учебники
|
для печати и PDA



| Курсы | Учебные программы | Учебники | Новости | Форум | Помощь Телефон: +7 (495) 253-9312, 253-9313, факс: +7 (495) 253-9310, email: info@intuit.ru 2003-2007, INTUIT.ru::Интернет-Университет Информационных Технологий - дистанционное образование |
Переменные
Программа оперирует информацией, представленной в виде различных объектов и величин. Переменная – это символическое обозначение величины в программе. Как ясно из названия, значение переменной (или величина, которую она обозначает) во время выполнения программы может изменяться.С точки зрения архитектуры компьютера, переменная – это символическое обозначение ячейки оперативной памяти программы, в которой хранятся данные. Содержимое этой ячейки – это текущее значение переменной.
В языке Си++ прежде чем использовать переменную, ее необходимо объявить. Объявить переменную с именем x можно так:
int x;
В объявлении первым стоит название типа переменной int (целое число), а затем идентификатор x – имя переменной. У переменной x есть тип – в данном случае целое число. Тип переменной определяет, какие возможные значения эта переменная может принимать и какие операции можно выполнять над данной переменной. Тип переменной изменить нельзя, т.е. пока переменная x существует, она всегда будет целого типа.
Язык Си++ – это строго типизированный язык. Любая величина, используемая в программе, принадлежит к какому-либо типу. При любом использовании переменных в программе проверяется, применимо ли выражение или операция к типу переменной. Довольно часто смысл выражения зависит от типа участвующих в нем переменных.
Например, если мы запишем x+y, где x – объявленная выше переменная, то переменная y должна быть одного из числовых типов.
Соответствие типов проверяется во время компиляции программы. Если компилятор обнаруживает несоответствие типа переменной и ее использования, он выдаст ошибку (или предупреждение). Однако во время выполнения программы типы не проверяются. Такой подход, с одной стороны, позволяет обнаружить и исправить большое количество ошибок на стадии компиляции, а, с другой стороны, не замедляет выполнения программы.
Переменной можно присвоить какое-либо значение с помощью операции присваивания. Присвоить – это значит установить текущее значение переменной. По-другому можно объяснить, что операция присваивания запоминает новое значение в ячейке памяти, которая обозначена переменной.
int x; // объявить целую переменную x int y; // объявить целую переменную y x = 0; // присвоить x значение 0 y = x + 1; // присвоить y значение x + 1, // т.е. 1 x = 1; // присвоить x значение 1 y = x + 1; // присвоить y значение x + 1, // теперь уже 2
Арифметические операции
+ сложение - вычитание * умножение / делениеОперации сложения, вычитания, умножения и деления целых и вещественных чисел. Результат операции – число, по типу соответствующее большему по разрядности операнду. Например, сложение чисел типа short и long в результате дает число типа long.
% остаток
Операция нахождения остатка от деления одного целого числа на другое. Тип результата – целое число.
- минус + плюс
Операция "минус" – это унарная операция, при которой знак числа изменяется на противоположный. Она применима к любым числам со знаком. Операция "плюс" существует для симметрии. Она ничего не делает, т.е. примененная к целому числу, его же и выдает.
++ увеличить на единицу, префиксная и постфиксная формы -- уменьшить на единицу, префиксная и постфиксная формы
Эти операции иногда называют "автоувеличением" и "автоуменьшением". Они увеличивают (или, соответственно, уменьшают) операнд на единицу. Разница между постфиксной (знак операции записывается после операнда, например x++) и префиксной (знак операции записывается перед операндом, например --y) операциями заключается в том, что в первом случае результатом является значение операнда до изменения на единицу, а во втором случае – после изменения на единицу.
Битовые операции
битовое И | битовое ИЛИ ^ битовое ИСКЛЮЧАЮЩЕЕ ИЛИ ~ битовое НЕПобитовые операции над целыми числами. Соответствующая операция выполняется над каждым битом операндов. Результатом является целое число.
сдвиг влево сдвиг вправо
Побитовый сдвиг левого операнда на количество разрядов, соответствующее значению правого операнда. Результатом является целое число.
Логические операции
логическое И || логическое ИЛИ ! логическое НЕЛогические операции конъюнкции, дизъюнкции и отрицания. В качестве операндов выступают логические значения, результат – тоже логическое значение true или false.
Операции присваивания
= присваиваниеПрисвоить значение правого операнда левому. Результат операции присваивания – это значение правого операнда.
+=, -=, *=, /=, %=, |=, =, ^=, =, = выполнить операцию и присвоить
Выполнить соответствующую операцию с левым операндом и правым операндом и присвоить результат левому операнду. Типы операндов должны быть такими, что, во-первых, для них должна быть определена соответствующая арифметическая операция, а во-вторых, результат может быть присвоен левому операнду.
on_load_lecture()




|
/p> |
/p> |
/p> |
вопросы |
учебники
|
для печати и PDA



| Курсы | Учебные программы | Учебники | Новости | Форум | Помощь Телефон: +7 (495) 253-9312, 253-9313, факс: +7 (495) 253-9310, email: info@intuit.ru 2003-2007, INTUIT.ru::Интернет-Университет Информационных Технологий - дистанционное образование |
Операции сравнения
== равно != не равно меньше больше = меньше или равно = больше или равноОперации сравнения. Сравнивать можно операнды любого типа, но либо они должны быть оба одного и того же встроенного типа (сравнение на равенство и неравенство работает для двух величин любого типа), либо между ними должна быть определена соответствующая операция сравнения. Результат – логическое значение true или false.
Операция присваивания
Присваивание – это тоже операция, она является частью выражения. Значение правого операнда присваивается левому операнду.x = 2; // переменной x присвоить значение 2 cond = x 2; // переменной cond присвоить значение true, если x меньше 2, // в противном случае присвоить значение false 3 = 5; // ошибка, число 3 неспособно изменять свое значение
Последний пример иллюстрирует требование к левому операнду операции присваивания. Он должен быть способен хранить и изменять свое значение. Переменные, объявленные в программе, обладают подобным свойством. В следующем фрагменте программы
int x = 0; x = 3; x = 4; x = x + 1;
вначале объявляется переменная x с начальным значением 0. После этого значение x изменяется на 3, 4 и затем 5. Опять-таки, обратим внимание на последнюю строчку. При вычислении операции присваивания сначала вычисляется правый операнд, а затем левый. Когда вычисляется выражение x + 1, значение переменной x равно 4. Поэтому значение выражения x + 1 равно 5. После вычисления операции присваивания (или, проще говоря, после присваивания) значение переменной x становится равным 5.
У операции присваивания тоже есть результат. Он равен значению левого операнда. Таким образом, операция присваивания может участвовать в более сложном выражении:
z = (x = y + 3);
В приведенном примере переменным x и z присваивается значение y + 3.
Очень часто в программе приходится значение переменной увеличивать или уменьшать на единицу. Для того чтобы сделать эти действия наиболее эффективными и удобными для использования, применяются предусмотренные в Си++ специальные знаки операций: ++ (увеличить на единицу) и -- (уменьшить на единицу). Существует две формы этих операций: префиксная и постфиксная. Рассмотрим их на примерах.
int x = 0; ++x;
Значение x увеличивается на единицу и становится равным 1.
--x;
Значение x уменьшается на единицу и становится равным 0.
int y = ++x;
Значение x опять увеличивается на единицу. Результат операции ++ – новое значение x, т.е. переменной y присваивается значение 1.
int z = x++;
Здесь используется постфиксная запись операции увеличения на единицу. Значение переменной x до выполнения операции равно 1. Сама операция та же – значение x увеличивается на единицу и становится равным 2. Однако результат постфиксной операции – значение аргумента до увеличения. Таким образом, переменной z присваивается значение 1. Аналогично, результатом постфиксной операции уменьшения на единицу является начальное значение операнда, а префиксной – его конечное значение.
Подобными мотивами оптимизации и сокращения записи руководствовались создатели языка Си (а затем и Си++), когда вводили новые знаки операций типа "выполнить операцию и присвоить". Довольно часто одна и та же переменная используется в левой и правой части операции присваивания, например:
x = x + 5; y = y * 3; z = z – (x + y);
В Си++ эти выражения можно записать короче:
x += 5; y *= 3; z -= x + y;
Т.е. запись oper= означает, что левый операнд вначале используется как левый операнд операции oper, а затем как левый операнд операции присваивания результата операции oper. Кроме краткости выражения, такая запись облегчает оптимизацию программы компилятором.
on_load_lecture()




/p> |
/p> |
/p> |
вопросы |
учебники
|
для печати и PDA



|
Курсы | Учебные программы | Учебники | Новости | Форум | Помощь Телефон: +7 (495) 253-9312, 253-9313, факс: +7 (495) 253-9310, email: info@intuit.ru 2003-2007, INTUIT.ru::Интернет-Университет Информационных Технологий - дистанционное образование |
Порядок вычисления выражений
У каждой операции имеется приоритет. Если в выражении несколько операций, то первой будет выполнена операция с более высоким приоритетом. Если же операции одного и того же приоритета, они выполняются слева направо.Например, в выражении
+ 3 * 6
сначала будет выполнено умножение, а затем сложение;соответственно, значение этого выражения — число 20.
В выражении
* 3 + 4 * 5
сначала будет выполнено умножение, а затем сложение. В каком порядке будет производиться умножение – сначала 2 * 3, а затем 4 * 5 или наоборот, не определено. Т.е. для операции сложения порядок вычисления ее операндов не задан.
В выражении
x = y + 3
вначале выполняется сложение, а затем присваивание, поскольку приоритет операции присваивания ниже, чем приоритет операции сложения.
Для данного правила существует исключение: если в выражении несколько операций присваивания, то они выполняются справа налево. Например, в выражении
x = y = 2
сначала будет выполнена операция присваивания значения 2 переменной y. Затем результат этой операции – значение 2 – присваивается переменной x.
Ниже приведен список всех операций в порядке понижения приоритета. Операции с одинаковым приоритетом выполняются слева направо (за исключением нескольких операций присваивания).
:: (разрешение области видимости имен)
. (обращение к элементу класса), - (обращение к элементу класса по указателю), [] (индексирование), вызов функции, ++ (постфиксное увеличение на единицу), -- (постфиксное уменьшение на единицу), typeid (нахождение типа), dynamic_cast static_cast reinterpret_cast const_cast (преобразования типа)
sizeof (определение размера), ++ (префиксное увеличение на единицу), -- (префиксное уменьшение на единицу), ~ (битовое НЕ), ! (логическое НЕ), – (изменение знака), + (плюс), (взятие адреса), * (обращение по адресу), new (создание объекта), delete (удаление объекта), (type) (преобразование типа)
.* -* (обращение по указателю на элемент класса)
* (умножение), / (деление), % (остаток)
+ (сложение), – (вычитание)
, (сдвиг)
= = (сравнения на больше или меньше)
== != (равно, неравно)
(поразрядное И)
^ (поразрядное исключающее ИЛИ)
| (поразрядное ИЛИ)
(логическое И)
|| (логическое ИЛИ)
= (присваивание), *= /= %= += -= = = = |= ^= (выполнить операцию и присвоить)
?: (условная операция)
throw
, (последовательность)
Для того чтобы изменить последовательность вычисления выражений, можно воспользоваться круглыми скобками. Часть выражения, заключенная в скобки, вычисляется в первую очередь. Значением
(2 + 3) * 6
будет 30.
Скобки могут быть вложенными, соответственно, самые внутренние выполняются первыми:
(2 + (3 * (4 + 5) ) – 2)
on_load_lecture()




|
/p> |
/p> |
/p> |
вопросы |
учебники
|
для печати и PDA



|
Курсы | Учебные программы | Учебники | Новости | Форум | Помощь Телефон: +7 (495) 253-9312, 253-9313, факс: +7 (495) 253-9310, email: info@intuit.ru 2003-2007, INTUIT.ru::Интернет-Университет Информационных Технологий - дистанционное образование |
Последовательность
, последовательностьВыполнить выражение до запятой, затем выражение после запятой. Два произвольных выражения можно поставить рядом, разделив их запятой. Они будут выполняться последовательно, и результатом всего выражения будет результат последнего выражения.
Условная операция
? : условное выражениеТернарная операция; если значение первого операнда – истина, то результат – второй операнд; если ложь – результат – третий операнд. Первый операнд должен быть логическим значением, второй и третий операнды могут быть любого, но одного и того же, типа, а результат будет того же типа, что и третий операнд.
Все операции языка Си++
Наряду с общепринятыми арифметическими и логическими операциями, в языке Си++ имеется набор операций для работы с битами – поразрядные И, ИЛИ, ИСКЛЮЧАЮЩЕЕ ИЛИ и НЕ, а также сдвиги.Особняком стоит операция sizeof. Эта операция позволяет определить, сколько памяти занимает то или иное значение. Например:
sizeof(long); // сколько байтов занимает тип long
sizeof (b); // сколько байтов занимает переменная b
Операция sizeof в качестве аргумента берет имя типа или выражение. Аргумент заключается в скобки (если аргумент – выражение, скобки не обязательны). Результат операции – целое число, равное количеству байтов, которое необходимо для хранения в памяти заданной величины.
Ниже приводятся все операции языка Си++.
Выражения
Программа оперирует с данными. Числа можно складывать, вычитать, умножать, делить. Из разных величин можно составлять выражения, результат вычисления которых – новая величина. Приведем примеры выражений:X * 12 + Y // значение X умножить на 12 и к результату прибавить значение Y val 3 // сравнить значение val с 3 -9 // константное выражение -9
Выражение, после которого стоит точка с запятой – это оператор-выражение. Его смысл состоит в том, что компьютер должен выполнить все действия, записанные в данном выражении, иначе говоря, вычислить выражение.
x + y – 12; // сложить значения x и y и затем вычесть 12 a = b + 1; // прибавить единицу к значению b и запомнить результат в переменной a
Выражения – это переменные, функции и константы, называемые операндами, объединенные знаками операций. Операции могут быть унарными – с одним операндом, например, минус; могут быть бинарные – с двумя операндами, например сложение или деление. В Си++ есть даже одна операция с тремя операндами – условное выражение. Чуть позже мы приведем список всех операций языка Си++ для встроенных типов данных. Подробно каждая операция будет разбираться при описании соответствующего типа данных. Кроме того, ряд операций будет рассмотрен в разделе, посвященном определению операторов для классов. Пока что мы ограничимся лишь общим описанием способов записи выражений.
В типизированном языке, которым является Си++, у переменных и констант есть определенный тип. Есть он и у результата выражения. Например, операции сложения (+), умножения (*), вычитания (-) и деления (/), примененные к целым числам, выполняются по общепринятым математическим правилам и дают в результате целое значение. Те же операции можно применить к вещественным числам и получить вещественное значение.
Операции сравнения: больше (), меньше (), равно (==), не равно (!=) сравнивают значения чисел и выдают логическое значение: истина (true) или ложь (false).
Что такое оператор
Запись действий, которые должен выполнить компьютер, состоит из операторов. При выполнении программы операторы выполняются один за другим, если только оператор не является оператором управления, который может изменить последовательное выполнение программы.Различают операторы объявления имен, операторы управления и операторы-выражения.
Объявления имен
Эти операторы объявляют имена, т.е. делают их известными программе. Все идентификаторы или имена, используемые в программе на языке Си++, должны быть объявлены.Оператор объявления состоит из названия типа и объявляемого имени:
int x; // объявить целую переменную x double f; // объявить переменную f типа // double const float pi = 3.1415; // объявить константу pi типа float // со значением 3.1415
Оператор объявления заканчивается точкой с запятой.
on_load_lecture()




/p> |
/p> |
/p> |
вопросы |
учебники
|
для печати и PDA



| Курсы | Учебные программы | Учебники | Новости | Форум | Помощь Телефон: +7 (495) 253-9312, 253-9313, факс: +7 (495) 253-9310, email: info@intuit.ru 2003-2007, INTUIT.ru::Интернет-Университет Информационных Технологий - дистанционное образование |
Оператор перехода
Последовательность выполнения операторов в программе можно изменить с помощью оператора перехода goto. Он имеет вид:goto метка;
Метка ставится в программе, записывая ее имя и затем двоеточие. Например, вычислить абсолютную величину значения переменной x можно следующим способом:
if ( x = 0) goto positiv; x = -x; // переменить знак x positiv: // объявление метки abs = x; // присвоить переменной abs // положительное значение
При выполнении goto вместо следующего оператора выполняется оператор, стоящий после метки positiv. Если значение x положительное, оператор x = - x выполняться не будет.
В настоящее время считается, что оператор goto очень легко запутывает программу. Без него, вообще говоря, можно обойтись, поэтому лучше его не использовать, ну разве что лишь в самом крайнем случае.
Пример:
int fact(int n) { int k; if (n == 1) { k = 1; } else { k = n * fact(n – 1); } return k; }
Это функция вычисления факториала. Первый оператор в ней – это объявление переменной k, в которой будет храниться результат вычисления. Затем выполняется условный оператор if. Если n равно единице, то вычисления факториала закончены, и выполняется оператор-выражение, который присваивает переменной значение 1. В противном случае выполняется другой оператор-выражение.
Последний оператор – это оператор возврата из функции.
on_load_lecture()




|
/p> |
/p> |
/p> |
вопросы |
учебники
|
для печати и PDA



| Курсы | Учебные программы | Учебники | Новости | Форум | Помощь Телефон: +7 (495) 253-9312, 253-9313, факс: +7 (495) 253-9310, email: info@intuit.ru 2003-2007, INTUIT.ru::Интернет-Университет Информационных Технологий - дистанционное образование |
Оператор возврата
Оператор return завершает выполнение функции и возвращает управление в ту точку, откуда она была вызвана. Его форма:return выражение;
Где выражение – это результат функции. Если функция не возвращает никакого значения, то оператор возврата имеет форму
return;
Операторы цикла
Предположим, нам нужно вычислить сумму всех целых чисел от 0 до 100. Для этого воспользуемся оператором цикла for:int sum = 0; int i; for (i = 1; i = 100; i = i + 1) // заголовок цикла sum = sum + i; // тело цикла
Оператор цикла состоит из заголовка цикла и тела цикла. Тело цикла – это оператор, который будет повторно выполняться (в данном случае – увеличение значения переменной sum на величину переменной i). Заголовок – это ключевое слово for, после которого в круглых скобках записаны три выражения, разделенные точкой с запятой. Первое выражение вычисляется один раз до начала выполнения цикла. Второе – это условие цикла. Тело цикла будет повторяться до тех пор, пока условие цикла истинно. Третье выражение вычисляется после каждого повторения тела цикла.
Оператор for реализует фундаментальный принцип вычислений в программировании – итерацию. Тело цикла повторяется для разных, в данном случае последовательных, значений переменной i. Повторение иногда называется итерацией. Мы как бы проходим по последовательности значений переменной i, выполняя с текущим значением одно и то же действие, тем самым постепенно вычисляя нужное значение. С каждой итерацией мы подходим к нему все ближе и ближе. С другим принципом вычислений в программировании – рекурсией – мы познакомимся в разделе, описывающем функции.
Любое из трех выражений в заголовке цикла может быть опущено (в том числе и все три). То же самое можно записать следующим образом:
int sum = 0; int i = 1; for (; i = 100; ) { sum = sum + i; i = i + 1; }
Заметим, что вместо одного оператора цикла мы записали несколько операторов, заключенных в фигурные скобки – блок. Другой вариант:
int sum = 0; int i = 1; for (; ;) { if (i 100) break; sum = sum + i; i = i + 1; }
В последнем примере мы опять встречаем оператор break. Оператор break завершает выполнение цикла. Еще одним вспомогательным оператором при выполнении циклов служит оператор продолжения continue. Оператор continue заставляет пропустить остаток тела цикла и перейти к следующей итерации (повторению). Например, если мы хотим найти сумму всех целых чисел от 0 до 100, которые не делятся на 7, можно записать это так:
int sum = 0; for (int i = 1; i = 100; i = i+1) { if ( i % 7 == 0) continue; sum = sum + i; }
Еще одно полезное свойство цикла for: в первом выражении заголовка цикла можно объявить переменную. Эта переменная будет действительна только в пределах цикла.
Другой формой оператора цикла является оператор while. Его форма следующая:
while (условие) оператор
Условие – как и в условном операторе if – это выражение, которое принимает логическое значение "истина" или "ложь". Выполнение оператора повторяется до тех пор, пока значением условия является true (истина). Условие вычисляется заново перед каждой итерацией. Подсчитать, сколько десятичных цифр нужно для записи целого положительного числа N, можно с помощью следующего фрагмента:
int digits =0; while (N 0) { digits = digits + 1; N = N / 10; }
Третьей формой оператора цикла является цикл do while. Он имеет форму:
do { операторы } while ( условие);
Отличие от предыдущей формы цикла while заключается в том, что условие проверяется после выполнения тела цикла. Предположим, требуется прочитать символы с терминала до тех пор, пока не будет введен символ "звездочка".
char ch; do { ch = getch(); // функция getch возвращает // символ, введёный с // клавиатуры } while (ch != '*');
В операторах while и do также можно использовать операторы break и continue.
Как легко заметить, операторы цикла взаимозаменяемы. Оператор while соответствует оператору for:
for ( ; условие ; ) оператор
Пример чтения символов с терминала можно переписать в виде:
char ch; ch = getch(); while (ch != '*') { ch = getch(); }
Разные формы нужны для удобства и наглядности записи.
Операторы управления
Операторы управления определяют, в какой последовательности выполняется программа. Если бы их не было, операторы программы всегда выполнялись бы последовательно, в том порядке, в котором они записаны.Операторы-выражения
Выражения мы рассматривали в предыдущей лекции. Выражение, после которого стоит точка с запятой, – это оператор-выражение. Его смысл состоит в том, что компьютер должен выполнить все действия, записанные в данном выражении, иначе говоря, вычислить выражение. Чаще всего в операторе-выражении стоит операция присваивания или вызов функции. Операторы выполняются последовательно, и все изменения значений переменных, сделанные в предыдущем операторе, используются в последующих.a = 1; b = 3; m = max(a, b);
Переменной a присваивается значение 1, переменной b – значение 3. Затем вызывается функция max с параметрами 1 и 3, и ее результат присваивается переменной m.
Как мы уже отмечали, присваивание – необязательная операция в операторе-выражении. Следующие операторы тоже вполне корректны:
x + y – 12; // сложить значения x и y и // затем вычесть 12 func(d, 12, x); // вызвать функцию func с // заданными параметрами
Условные операторы
Условные операторы позволяют выбрать один из вариантов выполнения действий в зависимости от каких-либо условий. Условие – это логическое выражение, т.е. выражение, результатом которого является логическое значение true (истина) или false (ложь).Оператор if выбирает один из двух вариантов последовательности вычислений.
if (условие) оператор1 else оператор2
Если условие истинно, выполняется оператор1, если ложно, то выполняется оператор2.
if (x y) a = x; else a = y;
В данном примере переменной a присваивается значение максимума из двух величин x и y.
Конструкция else необязательна. Можно записать:
if (x 0) x = -x; abs = x;
В данном примере оператор x = -x; выполняется только в том случае, если значение переменной x было отрицательным. Присваивание переменной abs выполняется в любом случае. Таким образом, приведенный фрагмент программы изменит значение переменной x на его абсолютное значение и присвоит переменной abs новое значение x.
Если в случае истинности условия необходимо выполнить несколько операторов, их можно заключить в фигурные скобки:
if (x 0) { x = -x; cout "Изменить значение x на противоположное по знаку"; } abs = x;
Теперь если x отрицательно, то не только его значение изменится на противоположное, но и будет выведено соответствующее сообщение. Фактически, заключая несколько операторов в фигурные скобки, мы сделали из них один сложный оператор или блок. Прием заключения нескольких операторов в блок работает везде, где нужно поместить несколько операторов вместо одного.
Условный оператор можно расширить для проверки нескольких условий:
if (x 0) cout "Отрицательная величина"; else if (x 0) cout "Положительная величина"; else cout "Ноль";
Конструкций else if может быть несколько.
Хотя любые комбинации условий можно выразить с помощью оператора if, довольно часто запись становится неудобной и запутанной. Оператор выбора switch используется, когда для каждого из нескольких возможных значений выражения нужно выполнить определенные действия. Например, предположим, что в переменной code хранится целое число от 0 до 2, и нам нужно выполнить различные действия в зависимости от ее значения:
switch (code) { case 0: cout "код ноль"; x = x + 1; break; case 1 : cout "код один"; y = y + 1; break; case 2: cout "код два"; z = z + 1; break; default: cout "Необрабатываемое значение"; }
В зависимости от значения code управление передается на одну из меток case. Выполнение оператора заканчивается по достижении либо оператора break, либо конца оператора switch. Таким образом, если code равно 1, выводится "код один", а затем переменная y увеличивается на единицу. Если бы после этого не стоял оператор break, то управление "провалилось" бы дальше, была бы выведена фраза "код два", и переменная z тоже увеличилась бы на единицу.
Если значение переключателя не совпадает ни с одним из значений меток case, то выполняются операторы, записанные после метки default. Метка default может быть опущена, что эквивалентно записи:
default: ; // пустой оператор, не выполняющий // никаких действий
Очевидно, что приведенный пример можно переписать с помощью оператора if:
if (code == 0) { cout "код ноль"; x = x + 1; } else if (code == 1) { cout "код один"; y = y + 1; } else if (code == 2) { cout "код два"; z = z + 1; } else { cout "Необрабатываемое значение"; }
Пожалуй, запись с помощью оператора переключения switch более наглядна. Особенно часто переключатель используется, когда значение выражения имеет тип набора.
Имена функций
В языке Си++ допустимо иметь несколько функций с одним и тем же именем, потому что функции различаются не только по именам, но и по типам аргументов. Если в дополнение к определенной выше функции sum мы определим еще одну функцию с тем же именемdouble sum(double a, double b, double c) { double result; result = a + b + c; return result; }
это будет считаться новой функцией. Иногда говорят, что у этих функций разные подписи. В следующем фрагменте программы в первый раз будет вызвана первая функция, а во второй раз – вторая:
int x, y, z, ires; double p,q,s, dres; . . . // вызвать первое определение функции sum ires = sum(x,y,z); // вызвать второе определение функции sum dres = sum(p,q,s);
При первом вызове функции sum все фактические аргументы имеют тип int. Поэтому вызывается первая функция. Во втором вызове все аргументы имеют тип double, соответственно, вызывается вторая функция.
Важен не только тип аргументов, но и их количество. Можно определить функцию sum, суммирующую четыре аргумента:
int sum(int x1, int x2, int x3, int x4) { return x1 + x2 + x3 + x4; }
Отметим, что при определении функций имеют значение тип и количество аргументов, но не тип возвращаемого значения. Попытка определения двух функций с одним и тем же именем, одними и теми же аргументами, но разными возвращаемыми значениями, приведет к ошибке компиляции:
int foo(int x); double foo(int x); // ошибка – двукратное определение имени
Необязательные аргументы функций
При объявлении функций в языке Си++ имеется возможность задать значения аргументов по умолчанию. Первый случай применения этой возможности языка – сокращение записи. Если функция вызывается с одним и тем же значением аргумента в 99% случаев, и это значение достаточно очевидно, можно задать его по умолчанию. Предположим, функция expnt возводит число в произвольную целую положительную степень. Чаще всего она используется для возведения в квадрат. Ее объявление можно записать так:double expnt (double x, unsigned int e = 2);
Определение функции:
double expnt (double x, unsigned int e = 2) { double result = 1; for (int i = 0; i e; i++) result *= x; return result; } int main() { double y = expnt(3.14); double x = expnt(2.9, 5); return 1; }
Использовать аргументы по умолчанию удобно при изменении функции. Если при изменении программы нужно добавить новый аргумент, то для того чтобы не изменять все вызовы этой функции, можно новый аргумент объявить со значением по умолчанию. В таком случае старые вызовы будут использовать значение по умолчанию, а новые – значения, указанные при вызове.
Необязательных аргументов может быть несколько. Если указан один необязательный аргумент, то либо он должен быть последним в прототипе, либо все аргументы после него должны также иметь значение по умолчанию.
Если для функции задан необязательный аргумент, то фактически задано несколько подписей этой функции. Например, попытка определения двух функций
double expnt (double x, unsigned int e = 2); double expnt (double x);
приведет к ошибке компиляции – неоднозначности определения функции. Это происходит потому, что вызов
double x = expnt(4.1);
подходит как для первой, так и для второй функции.
on_load_lecture()




|
/p> |
/p> |
/p> |
вопросы |
учебники
|
для печати и PDA



| Курсы | Учебные программы | Учебники | Новости | Форум | Помощь Телефон: +7 (495) 253-9312, 253-9313, факс: +7 (495) 253-9310, email: info@intuit.ru 2003-2007, INTUIT.ru::Интернет-Университет Информационных Технологий - дистанционное образование |
Рекурсия
Определения функций не могут быть вложенными, т.е. нельзя внутри тела одной функции определить тело другой. Разумеется, можно вызвать одну функцию из другой. В том числе функция может вызвать сама себя.Рассмотрим функцию вычисления факториала целого числа. Ее можно реализовать двумя способами. Первый способ использует итерацию:
int fact(int n) { int result = 1; for (int i = 1; i = n; i++) result = result * i; return result; }
Второй способ:
int fact(int n) { if (n == 1) // факториал 1 равен 1 return 1; else // факториал числа n равен // факториалу n-1 // умноженному на n
return n * fact(n -1); }
Функция fact вызывает сама себя с модифицированными аргументами. Такой способ вычислений называется рекурсией. Рекурсия – это очень мощный метод вычислений. Значительная часть математических функций определяется в рекурсивных терминах. В программировании алгоритмы обработки сложных структур данных также часто бывают рекурсивными. Рассмотрим, например, структуру двоичного дерева. Дерево состоит из узлов и направленных связей. С каждым узлом могут быть связаны один или два узла, называемые сыновьями этого узла. Соответственно, для "сыновей" узел, из которого к ним идут связи, называется "отцом". Узел, у которого нет "отца", называется корнем. У дерева есть только один корень. Узлы, у которых нет "сыновей", называются листьями. Пример дерева приведен на 5.1.

5.1. Пример дерева.
В этом дереве узел A – корень дерева, узлы B и C – "сыновья" узла A, узлы D и E – "сыновья" узла B, узел F – "сын" узла C. Узлы D, E и F – листья. Узел B является корнем поддерева, состоящего из трех узлов B, D и E. Обход дерева (прохождение по всем его узлам) можно описать таким образом:
Посетить корень дерева. Обойти поддеревья с корнями — "сыновьями" данного узла, если у узла есть "сыновья". Если у узла нет "сыновей" — обход закончен.
Очевидно, что реализация такого алгоритма с помощью рекурсии не составляет труда.
Довольно часто рекурсия и итерация взаимозаменяемы (как в примере с факториалом). Выбор между ними может быть обусловлен разными факторами. Чаще рекурсия более наглядна и легче реализуется. Однако, в большинстве случаев итерация более эффективна.
Вызов функций
Функция вызывается при вычислении выражений. При вызове ей передаются определенные аргументы, функция выполняет необходимые действия и возвращает результат.Программа на языке Си++ состоит, по крайней мере, из одной функции – функции main. С нее всегда начинается выполнение программы. Встретив имя функции в выражении, программа вызовет эту функцию, т.е. передаст управление на ее начало и начнет выполнять операторы. Достигнув конца функции или оператора return – выхода из функции, управление вернется в ту точку, откуда функция была вызвана, подставив вместо нее вычисленный результат.
Прежде всего, функцию необходимо объявить. Объявление функции, аналогично объявлению переменной, определяет имя функции и ее тип – типы и количество ее аргументов и тип возвращаемого значения.
// функция sqrt с одним аргументом – // вещественным числом двойной точности, // возвращает результат типа double
double sqrt(double x); // функция sum от трех целых аргументов // возвращает целое число int sum(int a, int b, int c);
Объявление функции называют иногда прототипом функции. После того, как функция объявлена, ее можно использовать в выражениях:
double x = sqrt(3) + 1; sum(k, l, m) / 15;
Если функция не возвращает никакого результата, т.е. она объявлена как void, ее вызов не может быть использован как операнд более сложного выражения, а должен быть записан сам по себе:
func(a,b,c);
Определение функции описывает, как она работает, т.е. какие действия надо выполнить, чтобы получить искомый результат. Для функции sum, объявленной выше, определение может выглядеть следующим образом:
int sum(int a, int b, int c) { int result; result = a + b + c; return result; }
Первая строка – это заголовок функции, он совпадает с объявлением функции, за исключением того, что объявление заканчивается точкой с запятой. Далее в фигурных скобках заключено тело функции – действия, которые данная функция выполняет.
Аргументы a, b и c называются формальными параметрами. Это переменные, которые определены в теле функции (т.е. к ним можно обращаться только внутри фигурных скобок). При написании определения функции программа не знает их значения. При вызове функции вместо них подставляются фактические параметры – значения, с которыми функция вызывается. Выше, в примере вызова функции sum, фактическими параметрами ( или фактическими аргументами) являлись значения переменных k, l и m.
Формальные параметры принимают значения фактических аргументов, заданных при вызове, и функция выполняется.
Первое, что мы делаем в теле функции — объявляем внутреннюю переменную result типа целое. Переменные, объявленные в теле функции, также называют локальными. Это связано с тем, что переменная result существует только во время выполнения тела функции sum. После завершения выполнения функции она уничтожается – ее имя становится неизвестным, и память, занимаемая этой переменной, освобождается.
Вторая строка определения тела функции – вычисление результата. Сумма всех аргументов присваивается переменной result. Отметим, что до присваивания значение result было неопределенным (то есть значение переменной было неким произвольным числом, которое нельзя определить заранее).
Последняя строчка функции возвращает в качестве результата вычисленное значение. Оператор return завершает выполнение функции и возвращает выражение, записанное после ключевого слова return, в качестве выходного значения. В следующем фрагменте программы переменной s присваивается значение 10:
Целые числа
Для представления целых чисел в языке Си++ существует несколько типов – char, short, int и long (полное название типов: short int, long int, unsigned long int и т.д.. Поскольку описатель int можно опустить, мы используем сокращенные названия). Они отличаются друг от друга диапазоном возможных значений. Каждый из этих типов может быть знаковым или беззнаковым. По умолчанию, тип целых величин – знаковый. Если перед определением типа стоит ключевое слово unsigned , то тип целого числа — беззнаковый. Для того чтобы определить переменную x типа короткого целого числа, нужно записать:short x;
Число без знака принимает только положительные значения и значение ноль. Число со знаком принимает положительные значения, отрицательные значения и значение ноль.
Целое число может быть непосредственно записано в программе в виде константы. Запись чисел соответствует общепринятой нотации. Примеры целых констант: 0, 125, -37. По умолчанию целые константы принадлежат к типу int. Если необходимо указать, что целое число — это константа типа long , можно добавить символ L или l после числа. Если константа беззнаковая, т.е. относится к типу unsigned long или unsigned int , после числа записывается символ U или u. Например: 34U, 700034L, 7654ul.
Кроме стандартной десятичной записи, числа можно записывать в восьмеричной или шестнадцатеричной системе счисления. Признаком восьмеричной системы счисления является цифра 0 в начале числа. Признаком шестнадцатеричной — 0x или 0X перед числом. Для шестнадцатеричных цифр используются латинские буквы от A до F (неважно, большие или маленькие).
Таким образом, фрагмент программы
const int x = 240; const int y = 0360; const int z = 0x0F0;
определяет три целые константы x, y и z с одинаковыми значениями.
Отрицательные числа предваряются знаком минус "-". Приведем еще несколько примеров:
// ошибка в записи восьмеричного числа const unsigned long ll = 0678; // правильная запись const short a = 0xa4; // ошибка в записи десятичного числа const int x = 23F3;
Для целых чисел определены стандартные арифметические операции сложения (+), вычитания (-), умножения (*), деления (/); нахождение остатка от деления (%), изменение знака (-). Результатом этих операций также является целое число. При делении остаток отбрасывается. Примеры выражений с целыми величинами:
x + 4; 30 — x; x * 2; -x; 10 / x; x % 3;
Кроме стандартных арифметических операций, для целых чисел определен набор битовых (или поразрядных) операций. В них целое число рассматривается как строка битов (нулей и единиц при записи числа в двоичной системе счисления или разрядов машинного представления).
К этим операциям относятся поразрядные операции И, ИЛИ, ИСКЛЮЧАЮЩЕЕ ИЛИ, поразрядное отрицание и сдвиги. Поразрядная операция ИЛИ, обозначаемая знаком |, выполняет операцию ИЛИ над каждым индивидуальным битом двух своих операндов. Например, 1 | 2 в результате дают 3, поскольку в двоичном виде 1 это 01, 2 – это 10, соответственно, операция ИЛИ дает 11 или 3 в десятичной системе (нули слева мы опустили).
Аналогично выполняются поразрядные операции И, ИСКЛЮЧАЮЩЕЕ ИЛИ и отрицание.
| 1 результат 3 4 7 результат 4 4 ^ 7 результат 3 0 0xF результат 0 ~0x00F0 результат 0xFF0F
Операция сдвига перемещает двоичное представление левого операнда на количество битов, соответствующее значению правого операнда. Например, двоичное представление короткого целого числа 3 – 0000000000000011. Результатом операции 3 2 (сдвиг влево) будет двоичное число 0000000000001100 или, в десятичной записи, 12. Аналогично, сдвинув число 9 (в двоичном виде 0000000000001001) на 2 разряда вправо (записывается 9 2) получим 0000000000000010, т.е. 2.
При сдвиге влево число дополняется нулями справа. При сдвиге вправо бит, которым дополняется число, зависит от того, знаковое оно или беззнаковое. Для беззнаковых чисел при сдвиге вправо они всегда дополняются нулевым битом. Если же число знаковое, то значение самого левого бита числа используется для дополнения. Это объясняется тем, что самый левый бит как раз и является знаком — 0 означает плюс и 1 означает минус. Таким образом, если
short x = 0xFF00; unsigned short y = 0xFF00;
то результатом x 2 будет 0xFFC0 (двоичное представление 1111111111000000), а результатом y 2 будет 0x3FC0 (двоичное представление 0011111111000000).
Рассмотренные арифметические и поразрядные операции выполняются над целыми числами и в результате дают целое число. В отличие от них операции сравнения выполняются над целыми числами, но в результате дают логическое значение истина ( true ) или ложь ( false ).
Для целых чисел определены операции сравнения: равенства (==), неравенства (!=), больше (), меньше (), больше или равно (=) и меньше или равно (=).
Последний вопрос, который мы рассмотрим в отношении целых чисел, – это преобразование типов. В языке Си++ допустимо смешивать в выражении различные целые типы. Например, вполне допустимо записать x + y, где x типа short , а y – типа long . При выполнении операции сложения величина переменной x преобразуется к типу long . Такое преобразование можно произвести всегда, и оно безопасно, т.е. мы не теряем никаких значащих цифр. Общее правило преобразования целых типов состоит в том, что более короткий тип при вычислениях преобразуется в более длинный. Только при выполнении присваивания длинный тип может преобразовываться в более короткий. Например:
short x; long y = 15; . . . x = y; // преобразование длинного типа // в более короткий
Такое преобразование не всегда безопасно, поскольку могут потеряться значащие цифры. Обычно компиляторы, встречая такое преобразование, выдают предупреждение или сообщение об ошибке.
Кодировка, многобайтовые символы
Мы уже упоминали о наличии разных кодировок букв, цифр, знаков препинания и т.д. Алфавит большинства европейских языков может быть представлен однобайтовыми числами (т.е. кодами в диапазоне от 0 до 255). В большинстве кодировок принято, что первые 127 кодов отводятся для символов, входящих в набор ASCII: ряд специальных символов, латинские заглавные и строчные буквы, арабские цифры и знаки препинания. Вторая половина кодов – от 128 до 255 отводится под буквы того или иного языка. Фактически, вторая половина кодовой таблицы интерпретируется по-разному, в зависимости от того, какой язык считается "текущим". Один и тот же код может соответствовать разным символам в зависимости от того, какой язык считается "текущим".Однако для таких языков, как китайский, японский и некоторые другие, одного байта недостаточно – алфавиты этих языков насчитывают более 255 символов.
Перечисленные выше проблемы привели к созданию многобайтовых кодировок символов. Двухбайтовые символы в языке Си++ представляются с помощью типа wchar_t
:
wchar_t wch;
Тип wchar_t иногда называют расширенным типом символов, и детали его реализации могут варьироваться от компилятора к компилятору, в том числе может меняться и количество байт, которое отводится под один символ. Тем не менее, в большинстве случаев используется именно двухбайтовое представление.
Константы типа wchar_t записываются в виде L'ab'.
Логические величины
В языке Си++ существует специальный тип для представления логических значений bool . Для величин этого типа существует только два возможных значения: true (истина) и false (ложь). Объявление логической переменной выглядит следующим образом:bool condition;
Соответственно, существуют только две логические константы – истина и ложь. Они обозначаются, соответственно, true и false .
Для типа bool определены стандартные логические операции: логическое И (), ИЛИ (||) и НЕ (!).
// истинно, если обе переменные, // cond1 и cond2, истинны cond1 cond2 // истинно, если хотя бы одна из переменных // истинна cond1 || cond2 // результат противоположен значению cond1 !cond1
Как мы уже отмечали ранее, логические значения получаются в результате операций сравнения. Кроме того, в языке Си++ принято следующее правило преобразования чисел в логические значения: ноль соответствует значению false , и любое отличное от нуля число преобразуется в значение true . Поэтому можно записать, например:
int k = 100; while (k) { // выполнить цикл 100 раз k--; }
on_load_lecture()




|
/p> |
/p> |
/p> |
вопросы |
учебники
|
для печати и PDA



| Курсы | Учебные программы | Учебники | Новости | Форум | Помощь Телефон: +7 (495) 253-9312, 253-9313, факс: +7 (495) 253-9310, email: info@intuit.ru 2003-2007, INTUIT.ru::Интернет-Университет Информационных Технологий - дистанционное образование |
Наборы перечисляемых значений
Достаточно часто в программе вводится тип, состоящий лишь из нескольких заранее известных значений. Например, в программе используется переменная, хранящая величину, отражающую время суток, и мы решили, что будем различать ночь, утро, день и вечер. Конечно, можно договориться обозначить время суток числами от 1 до 4. Но, во-первых, это не наглядно. Во-вторых, что даже более существенно, очень легко сделать ошибку и,например, использовать число 5, которое не соответствует никакому времени дня. Гораздо удобней и надежнее определить набор значений с помощью типа enum языка Си++:enum DayTime { morning, day, evening, night };
Теперь можно определить переменную
DayTime current;
которая хранит текущее время дня, а затем присваивать ей одно из допустимых значений типа DayTime:
current = day;
Контроль, который осуществляет компилятор при использовании в программе этой переменной, гораздо более строгий, чем при использовании целого числа.
Для наборов определены операции сравнения на равенство (==) и неравенство (!=) с атрибутами этого же типа, т.е.
if (current != night) // выполнить работу
Вообще говоря, внутреннее представление значений набора – целые числа. По умолчанию элементам набора соответствуют последовательные целые числа, начиная с 0. Этим можно пользоваться в программе. Во-первых, можно задать, какое число какому атрибуту набора будет соответствовать:
enum { morning = 4, day = 3, evening = 2, night = 1 }; // последовательные числа начиная с 1 enum { morning = 1, day, evening, night }; // используются числа 0, 2, 3 и 4 enum { morning, day = 2, evening, night };
Во-вторых, атрибуты наборов можно использовать в выражениях вместо целых чисел. Преобразования из набора в целое и наоборот разрешены.
Однако мы не рекомендуем так делать. Для работы с целыми константами лучше применять символические обозначения констант, а наборы использовать по их прямому назначению.
on_load_lecture()


Перейти к вопросам

Если Вы заметили ошибку - сообщите нам.
Общая информация
Встроенные типы данных предопределены в языке. Это самые простые величины, из которых составляют все производные типы, в том числе и классы. Различные реализации и компиляторы могут определять различные диапазоны значений целых и вещественных чисел.В таблице 6.1 перечислены простейшие типы данных, которые определяет язык Си++, и приведены наиболее типичные диапазоны их значений.
| Байт | char | от -128 до +127 |
| без знака | unsigned char | от 0 до 255 |
| Короткое целое число | short | от -32768 до +32767 |
| Короткое целое число без знака | unsigned short | от 0 до 65535 |
| Целое число | int | от – 2147483648 до + 2147483647 |
| Целое число без знака | unsigned int (или просто unsigned) | от 0 до 4294967295 |
| Длинное целое число | long | от – 2147483648 до + 2147483647 |
| Длинное целое число без знака | unsigned long | от 0 до 4294967295 |
| Вещественное число одинарной точности | float | от ±3.4e-38 до ±3.4e+38 (7 значащих цифр) |
| Вещественное число двойной точности | double | от ±1.7e-308 до ±1.7e+308 (15 значащих цифр) |
| Вещественное число увеличенной точности | long double | от ±1.2e-4932 до ±1.2e+4932 |
| Логическое значение | bool | значения true(истина) или false (ложь) |
Символы и байты
Символьный или байтовый тип в языке Си++ относится к целым числам, однако мы выделили их в особый раздел, потому что запись знаков имеет свои отличия.Итак, для записи знаков в языке Си++ служат типы char и unsigned char . Первый – это целое число со знаком, хранящееся в одном байте, второй – беззнаковое байтовое число. Эти типы чаще всего используются для манипулирования символами, поскольку коды символов как раз помещаются в байт.
Пояснение. Единственное, что может хранить компьютер, это числа. Поэтому для того чтобы можно было хранить символы и манипулировать ими, символам присвоены коды – целые числа. Существует несколько стандартов, определяющих, какие коды каким символам соответствуют. Для английского алфавита и знаков препинания используется стандарт ASCII. Этот стандарт определяет коды от 0 до 127. Для представления русских букв используется стандарт КОИ-8 или CP-1251. В этих стандартах русские буквы кодируются числами от 128 до 255. Таким образом, все символы могут быть представлены в одном байте (максимальное число символов в одном байте – 255). Для работы с китайским, японским, корейским и рядом других алфавитов одного байта недостаточно, и используется кодировка с помощью двух байтов и, соответственно, тип wchar_t (подробнее см. ниже).
Чтобы объявить переменную байтового типа, нужно записать:
char c; // байтовое число со знаком
unsigned char u; // байтовое число без знака
Поскольку байты – это целые числа, то все операции с целыми числами применимы и к байтам. Стандартная запись целочисленных констант тоже применима к байтам, т.е. можно записать:
c = 45;
где c — байтовая переменная. Однако для байтов существует и другая запись констант. Знак алфавита (буква, цифра, знак препинания), заключенный в апострофы, представляет собой байтовую константу, например:
'S' '' '8' 'ф'
Числовым значением такой константы является код данного символа, принятый в Вашей операционной системе.
В кодировке ASCII два следующих оператора эквивалентны:
char c = 68; char c = 'D';
Первый из них присваивает байтовой переменной c значение числа 68. Второй присваивает этой переменной код латинской буквы D, который в кодировке ASCII равен 68.
Для обозначения ряда непечатных символов используются так называемые экранированные последовательности – знак обратной дробной черты, после которого стоит буква. Эти последовательности стандартны и заранее предопределены в языке:
\a звонок \b возврат на один символ назад \f перевод страницы \n новая строка \r перевод каретки \t горизонтальная табуляция \v вертикальная табуляция \' апостроф \" двойные кавычки \\ обратная дробная черта \? вопросительный знак
Для того чтобы записать произвольное байтовое значение, также используется экранированная последовательность: после обратной дробной черты записывается целое число от 0 до 255.
char zero = '\0'; const unsigned char bitmask = '\0xFF'; char tab = '\010';
Следующая программа выведет все печатные символы ASCII и их коды в порядке увеличения:
for (char c = 32; c 127; c++) cout c " " (int)c " ";
Однако напомним еще раз, что байтовые величины – это, прежде всего, целые числа, поэтому вполне допустимы выражения вида
'F' + 1 'a' 23
и тому подобные. Тип char был придуман для языка Си, от которого Си++ достались все базовые типы данных. Язык Си предназначался для программирования на достаточно "низком" уровне, приближенном к тому, как работает процессор ЭВМ, именно поэтому символ в нем – это лишь число.
В языке Си++ в большинстве случаев для работы с текстом используются специально разработанные классы строк, о которых мы будем говорить позже.
Вещественные числа
Вещественные числа в Си++ могут быть одного из трех типов: с одинарной точностью — float , с двойной точностью – double , и с расширенной точностью – long double.float x; double e = 2.9; long double s;
В большинстве реализаций языка представление и диапазоны значений соответствуют стандарту IEEE (Institute of Electrical and Electronics Engineers) для представления вещественных чисел. Точность представления чисел составляет 7 десятичных значащих цифр для типа float , 15 значащих цифр для double и 19 — для типа long double .
Вещественные числа записываются либо в виде десятичных дробей, например 1.3, 3.1415, 0.0005, либо в виде мантиссы и экспоненты: 1.2E0, 0.12e1. Отметим, что обе предыдущие записи изображают одно и то же число 1.2.
По умолчанию вещественная константа принадлежит к типу double . Чтобы обозначить, что константа на самом деле float , нужно добавить символ f или F после числа: 2.7f. Символ l или L означает, что записанное число относится к типу long double .
const float pi_f = 3.14f; double pi_d = 3.1415; long double pi_l = 3.1415L;
Для вещественных чисел определены все стандартные арифметические операции сложения (+), вычитания (-), умножения (*), деления (/) и изменения знака (-). В отличие от целых чисел, операция нахождения остатка от деления для вещественных чисел не определена. Аналогично, все битовые операции и сдвиги к вещественным числам неприменимы; они работают только с целыми числами. Примеры операций:
* pi; (x – e) / 4.0
Вещественные числа можно сравнивать на равенство (==), неравенство (!=), больше (), меньше (), больше или равно (=) и меньше или равно (=). В результате операции сравнения получается логическое значение истина или ложь.
Если арифметическая операция применяется к двум вещественным числам разных типов, то менее точное число преобразуется в более точное, т.е. float преобразуется в double и double преобразуется в long double . Очевидно, что такое преобразование всегда можно выполнить без потери точности.
Если вторым операндом в операции с вещественным числом является целое число, то целое число преобразуется в вещественное представление.
Хотя любую целую величину можно представить в виде вещественного числа, при таком преобразовании возможна потеря точности (для больших чисел).
Определение методов класса
Данные рассуждения будут яснее, если мы определим, как выполняется операция сложения.void Complex::Add(Complex x) { this-real = this-real + x.real; this-imaginary = this-imaginary + x.imaginary; }
Первые две строки говорят о том, что это метод Add класса Complex. В фигурных скобках записано определение операции или метода Add. Это определение означает следующее: для того чтобы прибавить значение объекта класса Complex к данному объекту, надо сложить вещественные части и запомнить результат в атрибуте вещественной части текущего объекта. Точно так же следует сложить мнимые части двух комплексных чисел и запомнить результат в атрибуте текущего объекта, обозначающем мнимую часть.
Запись this- говорит о том, что атрибут принадлежит к тому объекту, который выполняет метод Add (объекту, получившему сообщение Add). В большинстве случаев this- можно опустить. В записи определения метода какого-либо класса упоминание атрибута класса без всякой дополнительной информации означает, что речь идет об атрибуте текущего объекта.
Теперь приведем этот небольшой пример полностью:
// определение класса комплексных чисел class Complex { public: int real; // вещественная часть int imaginary; // мнимая часть void Add(Complex x); // прибавить комплексное число };
// определение метода сложения void Complex::Add(Complex x) { real = real + x.real; imaginary = imaginary + x.imaginary; } int main() { Complex number; number.real = 1; // первый объект класса Complex number.imaginary = 3; Complex num2; // второй объект класса Complex num2.real = 2; num2.imaginary = 1; number.Add(num2); // прибавить значение второго // объекта к первому return 1; }
on_load_lecture()




/p> |
/p> |
вопросы |
учебники
|
для печати и PDA



| Курсы | Учебные программы | Учебники | Новости | Форум | Помощь Телефон: +7 (495) 253-9312, 253-9313, факс: +7 (495) 253-9310, email: info@intuit.ru 2003-2007, INTUIT.ru::Интернет-Университет Информационных Технологий - дистанционное образование |
Переопределение операций
В языке Си++ можно сделать так, что класс будет практически неотличим от предопределенных встроенных типов при использовании в выражениях. Для класса можно определить операции сложения, умножения и т.д. пользуясь стандартной записью таких операций, т.е. x + y. В языке Си++ считается, что подобная запись - это также вызов метода с именем operator+ того класса, к которому принадлежит переменная x. Перепишем определение класса Complex:// определение класса комплексных чисел class Complex { public: int real; // вещественная часть int imaginary; // мнимая часть // прибавить комплексное число Complex operator+(const Complex x) const; };
Вместо метода Add появился метод operator+. Изменилось и его определение. Во-первых, этот метод возвращает значение типа Complex (операция сложения в результате дает новое значение того же типа, что и типы операндов). Во-вторых, перед аргументом метода появилось ключевое слово const. Это слово обозначает, что при выполнении данного метода аргумент изменяться не будет. Также const появилось после объявления метода. Второе ключевое слово const означает, что объект, выполняющий метод, не будет изменен. При выполнении операции сложения x + y над двумя величинами x и y сами эти величины не изменяются. Теперь запишем определение операции сложения:
Complex Complex::operator+(const Complex x) const { Complex result; result.real = real + x.real; result.imaginary = imaginary + x.imaginary; return result; }
Подписи методов и необязательные аргументы
Как и при объявлении функций, язык Си++ допускает определение в одном классе нескольких методов с одним и тем же именем, но разными типами и количеством аргументов. (Определение методов или атрибутов с одинаковыми именами в разных классах не вызывает проблем, поскольку пространства имен разных классов не пересекаются).// определение класса комплексных чисел class Complex { public: int real; // вещественная часть int imaginary; // мнимая часть // прибавить комплексное число Complex operator+(const Complex x) const; // прибавить целое число Complex operator+(long x) const; };
В следующем примере вначале складываются два комплексных числа, и вызывается первая операция +. Затем к комплексному числу прибавляется целое число, и тогда выполняется вторая операция сложения.
Complex c1; Complex c2; long x; c1 + c2; c2 + x;
Аналогично можно задавать значения аргументов методов по умолчанию. Более подробное описание можно найти в лекции 5.
Понятие класса
До сих пор мы говорили о встроенных типах, т.е. типах, определенных в самом языке. Классы - это типы, определенные в конкретной программе. Определение класса включает в себя описание, из каких составных частей или атрибутов он состоит и какие операции определены для класса.Предположим, в программе необходимо оперировать комплексными числами. Комплексные числа состоят из вещественной и мнимой частей, и с ними можно выполнять арифметические операции.
class Complex { public: int real; // вещественная часть int imaginary; // мнимая часть void Add(Complex x); // прибавить комплексное число };
Приведенный выше пример - упрощенное определение класса Complex, представляющее комплексное число. Комплексное число состоит из вещественной части - целого числа real и мнимой части, которая представлена целым числом imaginary. real и imaginary - это атрибуты класса. Для класса Complex определена одна операция или метод - Add.
Определив класс, мы можем создать переменную типа Complex:
Complex number;
Переменная с именем number содержит значение типа Complex, то есть содержит объект класса Complex. Имея объект, мы можем установить значения атрибутов объекта:
number.real = 1; number.imaginary = 2;
Операция "." обозначает обращение к атрибуту объекта. Создав еще один объект класса Complex, мы можем прибавить его к первому:
Complex num2; number.Add(num2);
Как можно заметить, метод Add выполняется с объектом. Имя объекта (или переменной, содержащей объект, что, в сущности, одно и то же), в данном случае, number, записано первым. Через точку записано имя метода - Add с аргументом - значением другого объекта класса Complex, который прибавляется к number. Методы часто называются сообщениями. Но чтобы послать сообщение, необходим получатель. Таким образом, объекту number посылается сообщение Add с аргументом num2. Объект number принимает это сообщение и складывает свое значение со значением аргумента сообщения.
Запись классов
Как уже отмечалось раньше, выбор имен - это не праздный вопрос. Существует множество систем именования классов. Опишем ту, которой мы придерживаемся в данной книге.Имена классов, их методов и атрибутов составляются из английских слов, описывающих их смысл, при этом если слов несколько, они пишутся слитно. Имена классов начинаются с заглавной буквы; если название состоит из нескольких слов, каждое слово начинается с заглавной буквы, остальные буквы маленькие:
Complex, String, StudentLibrarian
Имена методов классов также начинаются с большой буквы:
Add, Concat
Имена атрибутов класса начинаются с маленькой буквы, однако если имя состоит из нескольких слов, последующие слова начинаются с большой:
real, classElement
При записи определения класса мы придерживаемся той же системы расположения, что и при записи функций. Ключевое слово class и имя класса записываются в первой строке, открывающаяся фигурная скобка - на следующей строке, методы и атрибуты класса - на последующих строках с отступом.
on_load_lecture()




|
/p> |
/p> |
вопросы |
учебники
|
для печати и PDA



| Курсы | Учебные программы | Учебники | Новости | Форум | Помощь Телефон: +7 (495) 253-9312, 253-9313, факс: +7 (495) 253-9310, email: info@intuit.ru 2003-2007, INTUIT.ru::Интернет-Университет Информационных Технологий - дистанционное образование |
Адресная арифметика
С указателями можно выполнять не только операции присваивания и обращения по адресу, но и ряд арифметических операций. Прежде всего, указатели одного и того же типа можно сравнивать с помощью стандартных операций сравнения. При этом сравниваются значения указателей, а не значения величин, на которые данные указатели ссылаются. Так, в приведенном ниже примере результат первой операции сравнения будет ложным:int x = 10; int y = 10; int* xptr = x; int* yptr = y; // сравниваем указатели if (xptr == yptr) { cout "Указатели равны" endl; } else { cout "Указатели не равны" endl; } // сравниваем значения, на которые указывают // указатели if (*xptr == *yptr) { cout "Значения равны" endl; } else { cout "Значения неравны" endl; }
Однако результат второй операции сравнения будет истинным, поскольку переменные x и y имеют одно и то же значение.
Кроме того, над указателями можно выполнять ограниченный набор арифметических операций. К указателю можно прибавить целое число или вычесть из него целое число. Результатом прибавления к указателю единицы является адрес следующей величины типа, на который ссылается указатель, в памяти. Поясним это на рисунке. Пусть xPtr – указатель на целое число типа long, а cp – указатель на тип char. Начиная с адреса 1000, в памяти расположены два целых числа. Адрес второго — 1004 (в большинстве реализаций Си++ под тип long выделяется четыре байта). Начиная с адреса 2000, в памяти расположены объекты типа char.

8.2. Адресная арифметика.
Размер памяти, выделяемой для числа типа long и для char, различен. Поэтому адрес при увеличении xPtr и cp тоже изменяется по-разному. Однако и в том, и в другом случае увеличение указателя на единицу означает переход к следующей в памяти величине того же типа. Прибавление или вычитание любого целого числа работает по тому же принципу, что и увеличение на единицу. Указатель сдвигается вперед (при прибавлении положительного числа) или назад (при вычитании положительного числа) на соответствующее количество объектов того типа, на который показывает указатель. Вообще говоря, неважно, объекты какого типа на самом деле находятся в памяти — адрес просто увеличивается или уменьшается на необходимую величину. На самом деле значение указателя ptr всегда изменяется на число, кратное sizeof(*ptr).
Указатели одного и того же типа можно друг из друга вычитать. Разность указателей показывает, сколько объектов соответствующего типа может поместиться между указанными адресами.
Бестиповый указатель
Особым случаем указателей является бестиповый указатель. Ключевое слово void используется для того, чтобы показать, что указатель означает просто адрес памяти, независимо от типа величины, находящейся по этому адресу:void* ptr;
Для указателя на тип void не определена операция -, не определена операция обращения по адресу *, не определена адресная арифметика. Использование бестиповых указателей ограничено работой с памятью при использовании ряда системных функций, передачей адресов в функции, написанные на языках программирования более низкого уровня, например на ассемблере.
В программе на языке Си++ бестиповый указатель может применяться там, где адрес интерпретируется по-разному, в зависимости от каких-либо динамически вычисляемых условий. Например, приведенная ниже функция будет печатать целое число, содержащееся в одном, двух или четырех байтах, расположенных по передаваемому адресу:
void printbytes(void* ptr, int nbytes) { if (nbytes == 1) { char* cptr = (char*)ptr; cout *cptr; } else if (nbytes == 2) { short* sptr = (short*)ptr; cout *sptr; } else if (nbytes == 4) { long* lptr = (long*)ptr; cout *lptr; } else { cout "Неверное значение аргумента"; } }
В примере используется операция явного преобразования типа. Имя типа, заключенное в круглые скобки, стоящее перед выражением, преобразует значение этого выражения к указанному типу. Разумеется, эта операция может применяться к любым указателям.
Битовые поля
В структуре можно определить размеры атрибута с точностью до бита. Традиционно структуры используются в системном программировании для описания регистров аппаратуры. В них каждый бит имеет свое значение. Не менее важной является возможность экономии памяти – ведь минимальный тип атрибута структуры это байт (char), который занимает 8 битов. До сих пор, несмотря на мегабайты и даже гигабайты оперативной памяти, используемые в современных компьютерах, существует немало задач, где каждый бит на счету.Если после описания атрибута структуры поставить двоеточие и затем целое число, то это число задает количество битов, выделенных под данный атрибут структуры. Такие атрибуты называют битовыми полями. Следующая структура хранит в компактной форме дату и время дня с точностью до секунды.
struct TimeAndDate { unsigned hours :5; // часы от 0 до 24 unsigned mins :6; // минуты unsigned secs :6; // секунды от 0 до 60 unsigned weekDay :3; // день недели unsigned monthDay :6; // день месяца от 1 до 31 unsigned month :5; // месяц от 1 до 12 unsigned year :8; // год от 0 до 100 };
Одна структура TimeAndDate требует всего 39 битов, т.е. 5 байтов (один байт — 8 битов). Если бы мы использовали для каждого атрибута этой структуры тип char, нам бы потребовалось 7 байтов.
Массивы
Массив – это коллекция нескольких величин одного и того же типа. Простейшим примером массива может служить набор из двенадцати целых чисел, соответствующих числу дней в каждом календарном месяце:int days[12]; days[0] = 31; // январь days[1] = 28; // февраль days[2] = 31; // март days[3] = 30; // апрель days[4] = 31; // май days[5] = 30; // июнь days[6] = 31; // июль days[7] = 31; // август days[8] = 30; // сентябрь days[9] = 31; // октябрь days[10] = 30; // ноябрь days[11] = 31; // декабрь
В первой строчке мы объявили массив из 12 элементов типа int и дали ему имя days. Остальные строки примера – присваивания значений элементам массива. Для того, чтобы обратиться к определенному элементу массива, используют операцию индексации []. Как видно из примера, первый элемент массива имеет индекс 0, соответственно, последний – 11.
При объявлении массива его размер должен быть известен в момент компиляции, поэтому в качестве размера можно указывать только целую константу. При обращении же к элементу массива в роли значения индекса может выступать любая переменная или выражение, которое вычисляется во время выполнения программы и преобразуется к целому значению.
Предположим, мы хотим распечатать все элементы массива days. Для этого удобно воспользоваться циклом for.
for (int i = 0; i 12; i++) { cout days[i]; }
Следует отметить, что при выполнении программы границы массива не контролируются. Если мы ошиблись и вместо 12 в приведенном выше цикле написали 13, то компилятор не выдаст ошибку. При выполнении программа попытается напечатать 13-е число. Что при этом случится, вообще говоря, не определено. Быть может, произойдет сбой программы. Более вероятно, что будет напечатано какое-то случайное 13-е число. Выход индексов за границы массива – довольно распространенная ошибка, которую иногда очень трудно обнаружить. В дальнейшем при изучении классов мы рассмотрим, как можно переопределить операцию [] и добавить контроль за индексами.
Отсутствие контроля индексов налагает на программиста большую ответственность. С другой стороны, индексация – настолько часто используемая операция, что наличие контроля, несомненно, повлияло бы на производительность программ.
Рассмотрим еще один пример. Предположим, что имеется массив из 100 целых чисел, и его необходимо отсортировать, т.е. расположить в порядке возрастания. Сортировка методом "пузырька" – наиболее простая и распространенная – будет выглядеть следующим образом:
int array[100]; . . . for (int i = 0; i 99; i++ ) { for (int j = i + 1; j 100; j++) { if (array[j] array[i] ) { int tmp = array[j]; array[j] = array[i]; array[i] = tmp; } } }
В приведенных примерах у массивов имеется только один индекс. Такие одномерные массивы часто называются векторами. Имеется возможность определить массивы с несколькими индексами или размерностями. Например, объявление
int m[10][5];
представляет матрицу целых чисел размером 10 на 5. По-другому интерпретировать приведенное выше объявление можно как массив из 10 элементов, каждый из которых – вектор целых чисел длиной 5. Общее количество целых чисел в массиве m равно 50.
Обращение к элементам многомерных массивов аналогично обращению к элементам векторов: m[1][2] обращается к третьему элементу второй строки матрицы m.
Количество размерностей в массиве может быть произвольным. Как и в случае с вектором, при объявлении многомерного массива все его размеры должны быть заданы константами.
При объявлении массива можно присвоить начальные значения его элементам (инициализировать массив). Для вектора это будет выглядеть следующим образом:
int days[12] = { 31, 28, 31, 30, 31, 30, 31, 31, 30, 31, 30, 31 };
При инициализации многомерных массивов каждая размерность должна быть заключена в фигурные скобки:
double temp[2][3] = { { 3.2, 3.3, 3.4 }, { 4.1, 3.9, 3.9 } };
Интересной особенностью инициализации многомерных массивов является возможность не задавать размеры всех измерений массива, кроме самого последнего. Приведенный выше пример можно переписать так:
double temp[][3] = { { 3.2, 3.3, 3.4 }, { 4.1, 3.9, 3.9 } }; // Вычислить размер пропущенной размерности const int size_first = sizeof (temp) / sizeof (double[3]);
Нулевой указатель
В программах на языке Си++ значение указателя, равное нулю, используется в качестве "неопределенного" значения. Например, если какая-то функция вычисляет значение указателя, то чаще всего нулевое значение возвращается в случае ошибки.long* foo(void); . . . long* resPtr; if ((resPtr = foo()) != 0) { // использовать результат } else { // ошибка }
В языке Си++ определена символическая константа NULL для обозначения нулевого значения указателя.
Такое использование нулевого указателя было основано на том, что по адресу 0 данные программы располагаться не могут, он зарезервирован операционной системой для своих нужд. Однако во многом нулевой указатель – просто удобное соглашение, которого все придерживаются.
on_load_lecture()




|
/p> |
/p> |
/p> |
/p> |
вопросы |
учебники
|
для печати и PDA



| Курсы | Учебные программы | Учебники | Новости | Форум | Помощь Телефон: +7 (495) 253-9312, 253-9313, факс: +7 (495) 253-9310, email: info@intuit.ru 2003-2007, INTUIT.ru::Интернет-Университет Информационных Технологий - дистанционное образование |
Объединения
Особым видом структур данных является объединение. Определение объединения напоминает определение структуры, только вместо ключевого слова struct используется union:union number { short sx; long lx; double dx; };
В отличие от структуры, все атрибуты объединения располагаются по одному адресу. Под объединение выделяется столько памяти, сколько нужно для хранения наибольшего атрибута объединения. Объединения применяются в тех случаях, когда в один момент времени используется только один атрибут объединения и, прежде всего, для экономии памяти. Предположим, нам нужно определить структуру, которая хранит "универсальное" число, т.е. число одного из предопределенных типов, и признак типа. Это можно сделать следующим образом:
struct Value { enum NumberType { ShortType, LongType, DoubleType }; NumberType type; short sx; // если type равен ShortType long lx; // если type равен LongType double dx; // если type равен DoubleType };
Атрибут type содержит тип хранимого числа, а соответствующий атрибут структуры – значение числа.
Value shortVal; shortVal.type = Value::ShortType; shortVal.sx = 15;
Хотя память выделяется под все три атрибута sx, lx и dx, реально используется только один из них. Сэкономить память можно, используя объединение:
struct Value { enum NumberType { ShortType, LongType, DoubleType }; NumberType type; union number { short sx; // если type равен ShortType long lx; // если type равен LongType double dx; // если type равен DoubleType } val; };
Теперь память выделена только для максимального из этих трех атрибутов (в данном случае dx). Однако и обращаться с объединением надо осторожно. Поскольку все три атрибута делят одну и ту же область памяти, изменение одного из них означает изменение всех остальных. На рисунке поясняется выделение памяти под объединение. В обоих случаях мы предполагаем, что структура расположена по адресу 1000. Объединение располагает все три своих атрибута по одному и тому же адресу.

8.1. Использование памяти в объединениях.
Строки и литералы
Для того чтобы работать с текстом, в языке Си++ не существует особого встроенного типа данных. Текст представляется в виде последовательности знаков (байтов), заканчивающейся нулевым байтом. Иногда такое представление называют Си-строки, поскольку оно появилось в языке Си. Кроме того, в Си++ можно создать классы для более удобной работы с текстами (готовые классы для представления строк имеются в стандартной библиотеке шаблонов).Строки представляются в виде массива байтов:
char string[20]; string[0] = 'H'; string[1] = 'e'; string[2] = 'l'; string[3] = 'l'; string[4] = 'o'; string[5] = 0;
В массиве string записана строка "Hello". При этом мы использовали только 6 из 20 элементов массива.
Для записи строковых констант в программе используются литералы. Литерал – это последовательность знаков, заключенная в двойные кавычки:
"Это строка" "0123456789" "*"
Заметим, что символ, заключенный в двойные кавычки, отличается от символа, заключенного в апострофы. Литерал "*" обозначает два байта: первый байт содержит символ звездочки, второй байт содержит ноль. Константа '*' обозначает один байт, содержащий знак звездочки.
С помощью литералов можно инициализировать массивы:
char alldigits[] = "0123456789";
Размер массива явно не задан, он определяется исходя из размера инициализирующего его литерала, в данном случае 11 (10 символов плюс нулевой байт).
При работе со строками особенно часто используется связь между массивами и указателями. Значение литерала – это массив неизменяемых байтов нужного размера. Строковый литерал может быть присвоен указателю на char:
const char* message = "Сообщение программы";
Значение литерала – это адрес его первого байта, указатель на начало строки. В следующем примере функция CopyString копирует первую строку во вторую:
void CopyString(char* src, char* dst) { while (*dst++ = *src++) ; *dst = 0; } int main() { char first[] = "Первая строка"; char second[100]; CopyString(first, second); return 1; }
Указатель на байт (тип char*) указывает на начало строки. Предположим, нам нужно подсчитать количество цифр в строке, на которую показывает указатель str:
#include ctype.h int count = 0; while (*str != 0) { // признак конца строки – ноль
if (isdigit(*str++)) // проверить байт, на который
count++; // указывает str, и сдвинуть // указатель на следующий байт }
При выходе из цикла while переменная count содержит количество цифр в строке str, а сам указатель str указывает на конец строки – нулевой байт. Чтобы проверить, является ли текущий символ цифрой, используется функция isdigit. Это одна из многих стандартных функций языка, предназначенных для работы с символами и строками.
С помощью функций стандартной библиотеки языка реализованы многие часто используемые операции над символьными строками. В большинстве своем в качестве строк они воспринимают указатели. Приведем ряд наиболее употребительных. Прежде чем использовать эти указатели в программе, нужно подключить их описания с помощью операторов #include string.h и #include ctype.h.
char* strcpy(char* target, const char* source);
Копировать строку source по адресу target, включая завершающий нулевой байт. Функция предполагает, что памяти, выделенной по адресу target, достаточно для копируемой строки. В качестве результата функция возвращает адрес первой строки.
char* strcat(char* target, const char* source);
Присоединить вторую строку с конца первой, включая завершающий нулевой байт. На место завершающего нулевого байта первой строки переписывается первый символ второй строки. В результате по адресу target получается строка, образованная слиянием первой со второй. В качестве результата функция возвращает адрес первой строки.
int strcmp(const char* string1, const char* string2);
Сравнить две строки в лексикографическом порядке (по алфавиту). Если первая строка должна стоять по алфавиту раньше, чем вторая, то результат функции меньше нуля, если позже – больше нуля, и ноль, если две строки равны.
size_t strlen(const char* string);
Определить длину строки в байтах, не считая завершающего нулевого байта.
В следующем примере, использующем приведенные функции, в массиве result будет образована строка "1 января 1998 года, 12 часов":
char result[100]; char* date = "1 января 1998 года"; char* time = "12 часов"; strcpy(result, date); strcat(result, ", "); strcat(result, time);
Как видно из этого примера, литералы можно непосредственно использовать в выражениях.
Определить массив строк можно с помощью следующего объявления:
char* StrArray[5] = { "one", "two", "three", "four", "five" };
Структуры
Структуры – это не что иное, как классы, у которых разрешен доступ ко всем их элементам (доступ к определенным атрибутам класса может быть ограничен, о чем мы узнаем в лекции 11). Пример структуры:struct Record { int number; char name[20]; };
Так же, как и для классов, операция "." обозначает обращение к элементу структуры.
В отличие от классов, можно определить переменную-структуру без определения отдельного типа:
struct { double x; double y; } coord;
Обратиться к атрибутам переменной coord можно coord.x и coord.y.
Связь между массивами и указателями
Между указателями и массивами существует определенная связь. Предположим, имеется массив из 100 целых чисел. Запишем двумя способами программу суммирования элементов этого массива:long array[100]; long sum = 0; for (int i = 0; i 100; i++) sum += array[i];
То же самое можно сделать с помощью указателей:
long array[100]; long sum = 0; for (long* ptr = array[0]; ptr array[99] + 1; ptr++) sum += *ptr;
Элементы массива расположены в памяти последовательно, и увеличение указателя на единицу означает смещение к следующему элементу массива. Упоминание имени массива без индексов преобразуется в адрес его первого элемента:
for (long* ptr = array; ptr array[99] + 1; ptr++) sum += *ptr;
Хотя смешивать указатели и массивы можно, мы бы не стали рекомендовать такой стиль, особенно начинающим программистам.
При использовании многомерных массивов указатели позволяют обращаться к срезам или подмассивам. Если мы объявим трехмерный массив exmpl:
long exmpl[5][6][7]
то выражение вида exmpl[1][1][2] – это целое число, exmpl[1][1] – вектор целых чисел (адрес первого элемента вектора, т.е. имеет тип *long), exmpl[1] – двухмерная матрица или указатель на вектор (тип (*long)[7]). Таким образом, задавая не все индексы массива, мы получаем указатели на массивы меньшей размерности.
Указатели
Указатель – это производный тип, который представляет собой адрес какого-либо значения. В языке Си++ используется понятие адреса переменных. Работа с адресами досталась Си++ в наследство от языка Си. Предположим, что в программе определена переменная типа int:int x;
Можно определить переменную типа "указатель" на целое число:
int* xptr;
и присвоить переменной xptr адрес переменной x:
xptr = x;
Операция , примененная к переменной, – это операция взятия адреса. Операция *, примененная к адресу, – это операция обращения по адресу. Таким образом, два оператора эквивалентны:
int y = x; // присвоить переменной y значение x int y = *xptr; // присвоить переменной y значение, // находящееся по адресу xptr
С помощью операции обращения по адресу можно записывать значения:
*xptr = 10; // записать число 10 по адресу xptr
После выполнения этого оператора значение переменной x станет равным 10, поскольку xptr указывает на переменную x.
Указатель – это не просто адрес, а адрес величины определенного типа. Указатель xptr – адрес целой величины. Определить адреса величин других типов можно следующим образом:
unsigned long* lPtr; // указатель на целое число без знака
char* cp; // указатель на байт
Complex* p; // указатель на объект класса Complex
Если указатель ссылается на объект некоторого класса, то операция обращения к атрибуту класса вместо точки обозначается "-", например p-real. Если вспомнить один из предыдущих примеров:
void Complex::Add(Complex x) { this-real = this-real + x.real; this-imaginary = this-imaginary + x.imaginary; }
то this – это указатель на текущий объект, т.е. объект, который выполняет метод Add. Запись this- означает обращение к атрибуту текущего объекта.
Можно определить указатель на любой тип, в том числе на функцию или метод класса. Если имеется несколько функций одного и того же типа:
int foo(long x); int bar(long x);
можно определить переменную типа указатель на функцию и вызывать эти функции не напрямую, а косвенно, через указатель:
int (*functptr)(long x); functptr = foo; (*functptr)(2); functptr = bar; (*functptr)(4);
Для чего нужны указатели? Указатели появились, прежде всего, для нужд системного программирования. Поскольку язык Си предназначался для "низкоуровневого" программирования, на нем нужно было обращаться, например, к регистрам устройств. У этих регистров вполне определенные адреса, т.е. необходимо было прочитать или записать значение по определенному адресу. Благодаря механизму указателей, такие операции не требуют никаких дополнительных средств языка.
int* hardwareRegiste =0x80000; *hardwareRegiste =12;
Однако использование указателей нуждами системного программирования не ограничивается. Указатели позволяют существенно упростить и ускорить ряд операций. Предположим, в программе имеется область памяти для хранения промежуточных результатов вычислений. Эту область памяти используют разные модули программы. Вместо того, чтобы каждый раз при обращении к модулю копировать эту область памяти, мы можем передавать указатель в качестве аргумента вызова функции, тем самым упрощая и ускоряя вычисления.
struct TempResults { double x1; double x2; } tempArea; // Функция calc возвращает истину, если // вычисления были успешны, и ложь – при // наличии ошибки. Вычисленные результаты // записываются на место аргументов по // адресу, переданному в указателе trPtr bool calc(TempResults* trPtr) { // вычисления if (noerrors) { trPtr-x1 = res1; trPtr-x2 = res2; return true; } else { return false; } } void fun1(void) { . . . TempResults tr; tr.x1 = 3.4; tr.x2 = 5.4; if (calc(tr) == false) { // обработка ошибки } . . . }
В приведенном примере проиллюстрированы сразу две возможности использования указателей: передача адреса общей памяти и возможность функции иметь более одного значения в качестве результата. Структура TempResults используется для хранения данных. Вместо того чтобы передавать эти данные по отдельности, в функцию calc передается указатель на структуру. Таким образом достигаются две цели: большая наглядность и большая эффективность (не надо копировать элементы структуры по одному). Функция calc возвращает булево значение – признак успешного завершения вычислений. Сами же результаты вычислений записываются в структуру, указатель на которую передан в качестве аргумента.
Упомянутые примеры использования указателей никак не связаны с объектно-ориентированным программированием. Казалось бы, объектно-ориентированное программирование должно уменьшить зависимость от низкоуровневых конструкций типа указателей. На самом деле программирование с классами нисколько не уменьшило потребность в указателях, и даже наоборот, нашло им дополнительное применение, о чем мы будем рассказывать по ходу изложения.
Автоматические переменные
Самый простой метод – это объявление переменных внутри функций. Если переменная объявлена внутри функции, каждый раз, когда функция вызывается, под переменную автоматически отводится память. Когда функция завершается, память, занимаемая переменными, освобождается. Такие переменные называют автоматическими.При создании автоматических переменных они никак не инициализируются, т.е. значение автоматической переменной сразу после ее создания не определено, и нельзя предсказать, каким будет это значение. Соответственно, перед использованием автоматических переменных необходимо либо явно инициализировать их, либо присвоить им какое-либо значение.
int funct() { double f; // значение f не определено f = 1.2; // теперь значение f определено // явная инициализация автоматической // переменной bool result = true; . . . }
Аналогично автоматическим переменным, объявленным внутри функции, автоматические переменные, объявленные внутри блока (последовательности операторов, заключенных в фигурные скобки) создаются при входе в блок и уничтожаются при выходе из блока.
Замечание. Распространенной ошибкой является использование адреса автоматической переменной после выхода из функции. Конструкция типа:
int* func() { int x; . . . return х; }
дает непредсказуемый результат.
Динамическое выделение памяти
Третий способ выделения памяти в языке Си++ – динамический. Память для величины какого-либо типа можно выделить, выполнив операцию new. В качестве операнда выступает название типа, а результатом является адрес выделенной памяти.long* lp; // создать новое целое число lp = new long; Complex* cp; // создать новый объект типа Complex cp = new Complex;
Созданный таким образом объект существует до тех пор, пока память не будет явно освобождена с помощью операции delete. В качестве операнда delete должен быть задан адрес, возвращенный операцией new:
delete lp; delete cp;
Динамическое распределение памяти используется, прежде всего, тогда, когда заранее неизвестно, сколько объектов понадобится в программе и понадобятся ли они вообще. С помощью динамического распределения памяти можно гибко управлять временем жизни объектов, например выделить память не в самом начале программы (как для глобальных переменных), но, тем не менее, сохранять нужные данные в этой памяти до конца программы.
Если необходимо динамически создать массив, то нужно использовать немного другую форму new:
new int[100];
В отличие от определения переменной типа массив, размер массива в операции new может быть произвольным, в том числе вычисляемым в ходе выполнения программы. (Напомним, что при объявлении переменной типа массив размер массива должен быть константой.)
Освобождение памяти, выделенной под массив, должно быть выполнено с помощью следующей операции delete
delete [] address;
on_load_lecture()




/p> |
/p> |
/p> |
вопросы |
учебники
|
для печати и PDA



| Курсы | Учебные программы | Учебники | Новости | Форум | Помощь Телефон: +7 (495) 253-9312, 253-9313, факс: +7 (495) 253-9310, email: info@intuit.ru 2003-2007, INTUIT.ru::Интернет-Университет Информационных Технологий - дистанционное образование |
Распределение памяти при передаче аргументов функции
Рассказывая о функциях, мы отметили, что у функций (как и у методов классов) есть аргументы, фактические значения которых передаются при вызове функции.Рассмотрим более подробно метод Add класса Complex. Изменим его немного, так, чтобы он вместо изменения состояния объекта возвращал результат операции сложения:
Complex Complex::Add(Complex x) { Complex result; result.real = real + x.real; result.imaginary = imaginary + x.imaginary; return result; }
При вызове этого метода
Complex n1; Complex n2; . . . Complex n3 = n1.Add(n2);
значение переменной n2 передается в качестве аргумента. Компилятор создает временную переменную типа Complex, копирует в нее значение n2 и передает эту переменную в метод Add. Такая передача аргумента называется передачей по значению. У передачи аргументов по значению имеется два свойства. Во-первых, эта операция не очень эффективна, особенно если объект сложный и требует большого объема памяти или же если создание объекта сопряжено с выполнением сложных действий (о конструкторах объектов будет рассказано в лекции 12). Во-вторых, изменения аргумента функции не сохраняются. Если бы метод Add был бы определен как
Complex Complex::Add(Complex x) { Complex result; x.imaginary = 0; // изменение аргумента метода result.real = real + x.real; result.imaginary = imaginary + x.imaginary; return result; }
то при вызове n3 = n1.Add(n2) результат был бы, конечно, другой, но значение переменной n2 не изменилось бы. Хотя в данном примере изменяется значение аргумента метода Add, этот аргумент – лишь копия объекта n2, а не сам объект. По завершении выполнения метода Add его аргументы просто уничтожаются, и первоначальные значения фактических параметров сохраняются.
При возврате результата функции выполняются те же действия, т.е. создается временная переменная, в которую копируется результат, и уже затем значение временной переменной копируется в переменную n3. Временные переменные потому и называют временными, что компилятор сам создает их на время выполнения метода и сам их уничтожает.
Другим способом передачи аргументов является передача по ссылке. Если изменить описание метода Add на
Complex Complex::Add(Complex x) { Complex result; result.real = real + x.real; result.imaginary = imaginary + x.imaginary; return result; }
то при вызове n3 = n1.Add(n2) компилятор будет создавать ссылку на переменную n2 и передавать ее методу Add. В большинстве случаев это намного эффективнее, так как для ссылки требуется немного памяти и создать ее проще. Однако мы получим нежелательный в данном случае эффект. Метод
Complex Complex::Add(Complex x) { Complex result; x.imaginary = 0; // изменение значения // по переданной ссылке result.real = real + x.real; result.imaginary = imaginary + x.imaginary; return result; }
изменит значение переменной n2. Операция Add не предусматривает изменения собственных операндов. Чтобы избежать ошибок, лучше записать аргумент с описателем const, который определяет соответствующую переменную как неизменяемую.
Complex::Add(const Complex x)
В таком случае попытка изменить значение аргумента будет обнаружена на этапе компиляции, и компилятор выдаст ошибку. Передачей аргумента по неконстантной ссылке можно воспользоваться в том случае, когда функция действительно должна изменить свой аргумент. Например, метод Coord класса Figure записывает координаты некой фигуры в свои аргументы:
void Figure::Coord(int x, int y) { x = coordx; y = coordy; }
При вызове
int cx, cy; Figure fig; . . . fig.Coord(cx, cy);
переменным cx и cy будет присвоено значение координат фигуры fig.
Вернемся к методу Add и попытаемся оптимизировать передачу вычисленного значения. Простое на первый взгляд решение возвращать ссылку на результат не работает:
Complex Complex::Add(const Complex x) { Complex result; result.real = real + x.real; result.imaginary = imaginary + x.imaginary; return result; }
При выходе из метода автоматическая переменная result уничтожается, и память, выделенная для нее, освобождается. Поэтому результат Add – ссылка на несуществующую память. Результат подобных действий непредсказуем. Иногда программа будет работать как ни в чем не бывало, иногда может произойти сбой, иногда результат будет испорчен. Однако возвращение результата по ссылке возможно, если объект, на который эта ссылка ссылается, не уничтожается после выхода из функции или метода. Если метод Add прибавляет значение аргумента к текущему значению объекта и возвращает новое значение в качестве результата, то его можно записать:
Complex Complex::Add(Complex x) { Complex result; result.real = real + x.real; result.imaginary = imaginary + x.imaginary; return result; }
то при вызове n3 = n1.Add(n2) компилятор будет создавать ссылку на переменную n2 и передавать ее методу Add. В большинстве случаев это намного эффективнее, так как для ссылки требуется немного памяти и создать ее проще. Однако мы получим нежелательный в данном случае эффект. Метод
Complex Complex::Add(Complex x) { Complex result; x.imaginary = 0; // изменение значения // по переданной ссылке result.real = real + x.real; result.imaginary = imaginary + x.imaginary; return result; }
изменит значение переменной n2. Операция Add не предусматривает изменения собственных операндов. Чтобы избежать ошибок, лучше записать аргумент с описателем const, который определяет соответствующую переменную как неизменяемую.
Complex::Add(const Complex x)
В таком случае попытка изменить значение аргумента будет обнаружена на этапе компиляции, и компилятор выдаст ошибку. Передачей аргумента по неконстантной ссылке можно воспользоваться в том случае, когда функция действительно должна изменить свой аргумент. Например, метод Coord класса Figure записывает координаты некой фигуры в свои аргументы:
void Figure::Coord(int x, int y) { x = coordx; y = coordy; }
При вызове
int cx, cy; Figure fig; . . . fig.Coord(cx, cy);
переменным cx и cy будет присвоено значение координат фигуры fig.
Вернемся к методу Add и попытаемся оптимизировать передачу вычисленного значения. Простое на первый взгляд решение возвращать ссылку на результат не работает:
Complex Complex::Add(const Complex x) { Complex result; result.real = real + x.real; result.imaginary = imaginary + x.imaginary; return result; }
При выходе из метода автоматическая переменная result уничтожается, и память, выделенная для нее, освобождается. Поэтому результат Add – ссылка на несуществующую память. Результат подобных действий непредсказуем. Иногда программа будет работать как ни в чем не бывало, иногда может произойти сбой, иногда результат будет испорчен. Однако возвращение результата по ссылке возможно, если объект, на который эта ссылка ссылается, не уничтожается после выхода из функции или метода. Если метод Add прибавляет значение аргумента к текущему значению объекта и возвращает новое значение в качестве результата, то его можно записать:
Рекомендации по использованию указателей и динамического распределения памяти
Указатели и динамическое распределение памяти – очень мощные средства языка. С их помощью можно разрабатывать гибкие и весьма эффективные программы. В частности, одна из областей применения Си++ – системное программирование – практически не могла бы существовать без возможности работы с указателями. Однако возможности, которые получает программист при работе с указателями, накладывают на него и большую ответственность. Наибольшее количество ошибок в программу вносится именно при работе с указателями. Как правило, эти ошибки являются наиболее трудными для обнаружения и исправления.Приведем несколько примеров.
Использование неверного адреса в операции delete. Результат такой операции непредсказуем. Вполне возможно, что сама операция пройдет успешно, однако внутренняя структура памяти будет испорчена, что приведет либо к ошибке в следующей операции new, либо к порче какой-нибудь информации.
Пропущенное освобождение памяти, т.е. программа многократно выделяет память под данные, но "забывает" ее освобождать. Такие ошибки называют утечками памяти. Во-первых, программа использует ненужную ей память, тем самым понижая производительность. Кроме того, вполне возможно, что в 99 случаях из 100 программа будет успешно выполнена. Однако если потеря памяти окажется слишком большой, программе не хватит памяти под какие-нибудь данные и, соответственно, произойдет сбой.
Запись по неверному адресу. Скорее всего, будут испорчены какие-либо данные. Как проявится такая ошибка – неверным результатом, сбоем программы или иным образом – предсказать трудно
Примеры ошибок можно приводить бесконечно. Общие их черты, обуславливающие сложность обнаружения, это, во-первых, непредсказуемость результата и, во-вторых, проявление не в момент совершения ошибки, а позже, быть может, в том месте программы, которое само по себе не содержит ошибки (неверная операция delete – сбой в последующей операции new, запись по неверному адресу – использование испорченных данных в другой части программы и т.п.).
Отнюдь не призывая отказаться от применения указателей (впрочем, в Си++ это практически невозможно), мы хотим подчеркнуть, что их использование требует внимания и дисциплины. Несколько общих рекомендаций.
Используйте указатели и динамическое распределение памяти только там, где это действительно необходимо. Проверьте, можно ли выделить память статически или использовать автоматическую переменную. Старайтесь локализовать распределение памяти. Если какой-либо метод выделяет память (в особенности под временные данные), он же и должен ее освободить. Там, где это возможно, вместо указателей используйте ссылки.Проверяйте программы с помощью специальных средств контроля памяти (Purify компании Rational, Bounce Checker компании Nu-Mega и т.д.)
Рекомендации по передаче аргументов
Встроенные типы лучше передавать по значению. С точки зрения эффективности разницы практически нет, поскольку встроенные типы занимают минимальную память, и создание временных переменных и копирование их значений выполняется быстро. Если в функции или методе значение аргумента используется, но не изменяется, передавайте аргумент по неизменяемой ссылке. Передачу изменяемой ссылки необходимо применять только тогда, когда функция должна изменить переменную, ссылка на которую передается. Передача по указателю используется, только если функции нужен именно указатель, а не значение объекта.on_load_lecture()




|
/p> |
/p> |
/p> |
вопросы |
учебники
|
для печати и PDA



| Курсы | Учебные программы | Учебники | Новости | Форум | Помощь Телефон: +7 (495) 253-9312, 253-9313, факс: +7 (495) 253-9310, email: info@intuit.ru 2003-2007, INTUIT.ru::Интернет-Университет Информационных Технологий - дистанционное образование |
Ссылки
Ссылка – это еще одно имя переменной. Если имеется какая-либо переменная, напримерComplex x;
то можно определить ссылку на переменную x как
Complex y = x;
и тогда x и y обозначают одну и ту же величину. Если выполнены операторы
x.real = 1; x.imaginary = 2;
то y.real равно 1 и y.imaginary равно 2. Фактически, ссылка – это адрес переменной (поэтому при определении ссылки используется символ -- знак операции взятия адреса), и в этом смысле она сходна с указателем, однако у ссылок есть свои особенности.
Во-первых, определяя переменную типа ссылки, ее необходимо инициализировать, указав, на какую переменную она ссылается. Нельзя определить ссылку
int xref;
можно только
int xref = x;
Во-вторых, нельзя переопределить ссылку, т.е. изменить на какой объект она ссылается. Если после определения ссылки xref мы выполним присваивание
xref = y;
то выполнится присваивание значения переменной y той переменной, на которую ссылается xref. Ссылка xref по-прежнему будет ссылаться на x. В результате выполнения следующего фрагмента программы:
int x = 10; int y = 20; int xref = x; xref = y; x += 2; cout "x = " x endl; cout "y = " y endl; cout "xref = " xref endl;
будет выведено:
x = 22 y = 20 xref = 22
В-третьих, синтаксически обращение к ссылке аналогично обращению к переменной. Если для обращения к атрибуту объекта, на который ссылается указатель, применяется операция -, то для подобной же операции со ссылкой применяется точка ".".
Complex a; Complex* aptr = a; Complex aref = a; aptr-real = 1; aref.imaginary = 2;
Как и указатель, ссылка сама по себе не имеет значения.Ссылка должна на что-то ссылаться, тогда как указатель должен на что-то указывать.
Статические переменные
Другой способ выделения памяти – статическийЕсли переменная определена вне функции, память для нее отводится статически, один раз в начале выполнения программы, и переменная уничтожается только тогда, когда выполнение программы завершается. Можно статически выделить память и под переменную, определенную внутри функции или блока. Для этого нужно использовать ключевое слово static в его определении:
double globalMax; // переменная определена вне функции void func(int x) { static bool visited = false; if (!visited) { . . . // инициализация visited = true; } . . . }
В данном примере переменная visited создается в начале выполнения программы. Ее начальное значение – false. При первом вызове функции func условие в операторе if будет истинным, выполнится инициализация, и переменной visited будет присвоено значение true. Поскольку статическая переменная создается только один раз, ее значения между вызовами функции сохраняются. При втором и последующих вызовах функции func инициализация производиться не будет.
Если бы переменная visited не была объявлена static, то инициализация происходила бы при каждом вызове функции.
Выделение памяти под строки
В следующем фрагменте программы мы динамически выделяем память под строку переменной длины и копируем туда исходную строку// стандартная функция strlen подсчитывает // количество символов в строке int length = strlen(src_str); // выделить память и добавить один байт // для завершающего нулевого байта char* buffer = new char[length + 1]; strcpy(buffer, src_str); // копирование строки
Операция new возвращает адрес выделенной памяти. Однако нет никаких гарантий, что new обязательно завершится успешно. Объем оперативной памяти ограничен, и может случиться так, что найти еще один участок свободной памяти будет невозможно. В таком случае new возвращает нулевой указатель (адрес 0). Результат new необходимо проверять:
char* newstr; newstr = new char[length]; if (newstr == NULL) { // проверить результат // обработка ошибок } // память выделена успешно
Биржевая торговля: Механические торговые системы - Создание - Программирование
- Механические торговые системы (МТС)
- Технический анализ и МТС
- Разработка механических торговых систем
- Механические торговые системы
- GNU механические торговые системы
- Тестирование механических торговых систем
- MetaStock - механические торговые системы
- Omega Trade Station - механические торговые системы
- МТС - обзор языков программирования
- Си для механических торговых систем
- C# для механических торговых систем
- C++ для механических торговых систем
- Borland C++ для механических торговых систем
- C++ Builder для механических торговых систем
- Visual C++ для механических торговых систем