Международная экономика


Международная экономика наряду с микро- и макроэкономикой является самостоятельной частью современной экономической теории, изучающей экономическую взаимозависимость между странами, а также закономерности функционирования современной микрохозяйственной системы с целью выработки адекватных мер по ее корректировке и разработки общих механизмов межгосударственной координации экономического поведения хозяйственных субъектов разной государственной принадлежности. В границах отдельно взятой страны международная экономика анализирует потоки товаров, услуг и платежей между данной страной и остальной частью мировой экономики, исследует внешнеэкономическую политику страны, направленную на регулирование этого потока, и ее воздействие на благосостояние страны.
Совершенно очевидно, что международная экономика как наука является более общей по отношению к базовой экономической теории, так как последняя - это, по существу, частный случай международной экономической теории, в которой количество экономических систем (подсистем) сведено к одной. Изучение базовой экономической теории, сосредоточенной преимущественно на проблемах закрытой экономики, - это только первый шаг вперед к изучению поведения реальной экономики. На самом деле в мире не существует абсолютно закрытой экономики, за исключением мировой экономической системы в целом.
Аналогично разделению базовой экономической теории на микро- и макроэкономику международная экономика также подразделяется на две основные части.
Первая включает теорию международной торговли, международную торговую политику отдельных стран, теорию мобильности факторов производства между странами, а также изучение проблем международной экономической интеграции. Все перечисленные выше разделы экономической теории относят к микроэкономическим аспектам международной экономики, поскольку они имеют дело с индивидуальными странами, рассматриваемыми как отдельные экономические единицы, и с относительными (бартерными) ценами индивидуальных товаров и услуг. Эта часть международной экономики является по существу теорией статического равновесия, в котором деньги играют свою
настоящую классическую роль вспомогательного фактора, лишь облегчающего процесс международного товарообмена.
Вторая часть международной экономики - теория международных финансов - включает прежде всего макроэкономический анализ последствий экономической взаимозависимости между странами с учетом валютных отношений между ними, а также влияния на макроэкономическое равновесие национальных экономик состояния их платежного баланса. Таким образом, теория международных финансов оперирует макроэкономическими проблемами экономического равновесия, достигаемого на краткосрочных интервалах при помощи инструментов международных валютных отношений и платежного баланса.
К макроэкономическим аспектам международной экономики относят также широкий спектр проблем, связанных с моделированием национальных экономик с целью оптимизации экономической политики стран в условиях большей или меньшей открытости их экономических систем.
Учебник подготовлен в соответствии с программами дисциплин, читаемых в Санкт-Петербургском государственном инженерно-экономическом университете для следующих специальностей:
экономика и управление на предприятии (по отраслям);
финансы и кредит;
бухгалтерский учет, анализ и аудит;
государственное и муниципальное управление;
маркетинг;
математические методы в экономике;
коммерция (торговое дело);
менеджмент организации;
прикладная информатика (по областям).

Баланс в условиях торговли


2) движение от Е до N, соответствующее расширению объемов выпуска одежды в связи со специализацией (движение точки производства от R к Q).
Если мы будем иметь дело с отсталой экономикой, которая не может изменить автаркическое состояние равновесия, граница ее производственных возможностей будет задаваться прямоугольником OGRH. В условиях свободной внешней торговли эта отсталая страна продолжала бы производить объемы производства, соответствующие точке R (таким образом, выигрыш от специализации будет нулевым), но переместила бы свое потребление в точку Е. Движение от R к Е обеспечило бы стране определенный выигрыш от обмена.


1 Представим, что речь идет о развивающейся стране, которая не может изменить структуру своего производства.

3.5.4. Баланс в условиях торговли
Рассмотрим две страны, например Соединенные Штаты Америки и Великобританию. Каждая страна производит два товара: продовольствие и одежду, при условии увеличивающихся альтернативных издержек. Баланс в условиях автаркии устанавливается, как мы выяснили выше, путем взаимодействия между предельным уровнем трансформации (предложением) и предельной нормой замещения (спросом).
Соответствующие графические модели представлены на рис. 3.19.
В условиях автаркии США производят и потребляют объемы продукции, соответствующие точке Е, в которой кривая производственных возможностей MN касается кривой социального безразличия (7).
Относительная цена в США на продовольствие до начала торговли, определяемая абсолютным наклоном в точке Е кривой MN к оси абсцисс, равна 0,25.
Великобритания в условиях автаркии производит и потребляет объемы продукции, соответствующие точке Е'. Относительная цена продовольствия в Великобритании в условиях отсутствия внешней торговли равна 3,5.
Таким образом, на момент начала международной торговли продовольствие в США является более дешевым нежели в Великобритании.
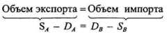
С началом торговли производство в США сдвигается от точки Е к точке Q, а потребление - к точке S. Объем американского экспорта составляет VQ единиц продовольствия, а объем импорта - VS единиц одежды. США получают от международной торговли существенный экономический выигрыш, так как точка S, соответствующая объемам потребления продукции в США в условиях внешней торговли, находится на более высокой кривой безразличия, чем точка Е.

Баланс в условиях торговли

Рис. 3.19. Специализация, основанная на сравнительном преимуществе:
а - США; б - Великобритания
Великобритания с началом торговли с США также сдвигает объемы производства из точки Е' в точку Q, а потребления - из Е' в S'. Следовательно, благосостояние Великобритании также улучшается.
Торговые треугольники SVQ и Q'V'S' идентичны.
Сразу отметим, что модель, представленная на рис. 3.19, иллюстрирует лишь заключительный шаг (этап) процесса международной специализации в соответствии с принципом теории сравнительных преимуществ. В реальной же действительности относительная цена равновесия, балансирующая торговлю между странами, определяется методом проб и ошибок в ходе протяженного во времени процесса, который
продолжается до тех пор, пока не будут выполнены следующие два условия:
1) альтернативные издержки производства одноименного товара в обеих странах одинаковы (в нашем случае для продовольствия они равны 1,0);
2) торговля сбалансирована, т. е. каждая страна желает экспортировать то, что другая страна может импортировать (в рассматриваемом примере VS = V'Q' и VQ = V'S').
Подведем краткие итоги вышесказанному.
Условия равновесия торговли лежат между автаркическими ценовыми соотношениями в США и Великобритании.
В условиях равновесия торговли объем мирового предложения равен объему мирового спроса на обоих рынках (продовольствия и одежды).
Специализация и свободная торговля позволяют обеим странам получить определенные экономические выгоды, в частности улучшить благосостояние своих наций.
Страны осуществляют в условиях свободной торговли и внешнеторгового равновесия частичную специализацию, продолжая производить оба товара.


3.5.5. Модель общего равновесия международной
торговли
Рассмотренный подход к определению внешнеторгового баланса, к сожалению, не может претендовать на роль общего метода определения международного равновесия, так как рассмотренная выше модель может быть построена только с помощью метода проб и ошибок.
Последующее развитие теории общего равновесия пошло по пути построения кривой предложения экспортного товара с учетом спроса на соответствующее количество импортного товара, получаемого по каналам международного торгового обмена1.
Каждая точка, расположенная на такой кривой предложения, характеризуется двумя координатами (параметрами):
количеством одного товара, которое страна желает экспортировать при данных условиях торговли;
количеством другого товара, которое страна имеет своей целью импортировать при текущих условиях торговли.
Очевидно, что экспорт товара одной страной будет равен импорту данного товара другой только в равновесном состоянии. Чтобы уяснить, как строится кривая (функция) предложения страны, вернемся к рис. 3.19 и обратим внимание на то, что при условиях торговли, представленных графически линией DH, США производят и потребляют объемы продукции, соответствующие точкам Q и S.

Баланс в условиях торговли

Рис. 3.20. Предложение отдельной страны в модели общего равновесия:
а - производство и потребление США; б - экспорт и импорт США
Следовательно, первая точка на искомой кривой предложения США будет определяться координатами (величинами): VQ на оси экспорта (продовольствия) и VS на оси импорта (одежды).
Для определения других точек кривой предложения США при других условиях торговли необходимо повторить описанную выше процедуру: изобразить графически другие линии условий торговли, построить соответствующие новым точкам касания торговые треугольники, определить в каждом конкретном случае объем экспорта и объем импорта, а затем нанести на график предложения точку с соответствующими ей координатами экспорта и импорта. Соединяя все полученные точки непрерывной линией, как это представлено на рис. 3.20, получим функцию предложения США, учитывающую как собственно
предложение (экспорт) страны, так и соответствующий ему спрос (импорт).
Напомним, что в рассматриваемых ниже графических моделях экономика США имеет сравнительное преимущество в производстве продовольствия, а британская - в одежде. Рис. 3.20, а подобен рис. 3.19, а: он иллюстрирует производство и потребление в США с учетом экспорта и импорта, которые определяются по соответствующим торговым треугольникам.
Рис. 3.20, б иллюстрирует равновесие для каждого конкретного случая условий торговли американского объема экспорта (продовольствие) и объема американского импорта (одежда). Например, по автаркической относительной цене продовольствия (р = 0,25) США производят и потребляют объемы продукции, соответствующие точке равновесия Е. Экспортное предложение США по такой цене будет, очевидно, нулевым, и на рис.
3.20, б оно представлено точкой в начале координат.
При увеличении относительной цены равновесия до р = 1,0 США сдвигают объемы производства в точку Q, а потребление в этом случае характеризуется координатами точки S. Объемы экспорта продовольствия и импорта одежды соответствуют при этом катетам торгового треугольника SVQ. Заметим, что треугольник S'J'O' на рис. 3.20, б идентичен торговому треугольнику SVQ на рис.
3.20, а; он является зеркальным отражением SVQ.
Аналогично при условиях торговли, равных р - 2,0, США производят товары в объемах, соответствующих точке R, а потребляют в объемах, соответствующих точке К, которой обозначено на рис. 3.20, б также предложение США, обусловленное условиями торговли ТОТ3 (р = 2,0).
Рис. 3.21 является аналогичным рис. 3.20 и иллюстрирует кривую предложения Великобритании - страны, имеющей сравнительное преимущество в одежде. Автаркическое равновесие в Великобритании имеет место в точке Е, в которой относительная цена продовольствия р - 6,0. В этих условиях британское предложение является нулевым.
При р = 3,0 Великобритания производит объемы продукции, соответствующие точке Q, а потребляет - точке S. Ее предложение в этом случае, определяемое катетами торгового треугольника QVS, отмечено на графике (рис. 3.21, б) точкой S'. Торговый треугольник QVS идентичен треугольнику S'J'O'.
При условиях торговли р = 2,0 Великобритания увеличит объем производства одежды и ее экономика перейдет в положение, характеризуемое точкой R, с потреблением, соответствующим точке К (рис. 3.21, а). Соответствующее британское предложение (рис.
3.21, б) будет определено точкой К'.

Баланс в условиях торговли

Рис. 3.21. Предложение страны-партнера в торговле:
а - производство и потребление Великобритании; б - экспорт и импорт Великобритании
Соединив точки О', S' и К' на рис. 3.21, б непрерывной линией, получим кривую предложения Великобритании в международной торговле.
Рассмотренные кривые предложения, представляющие по своей сути комбинацию кривых спроса (импорта) и предложения (экспорта), всегда выпуклы относительно оси импорта, что свидетельствует о наличии у торгующих стран сравнительных преимуществ по экспортируемым товарам (в США - продовольствие, в Великобритании - одежда).



Бюджетно-налоговая и денежно-кредитная политика.


а) запрет на инвестиции нерезидентов, продажи национальных ценных бумаг иностранцам;
б) обязательная конверсия займов в иностранной валюте в национальном Центральном банке;
в) запрет на выплату процентов по срочным вкладам иностранцам в национальной валюте;
г) введение отрицательной процентной ставки по вкладам нерезидентов в национальной валюте. В данном случае проценты платит или вкладчик банку, или банк, привлекающий вклады в иностранной валюте, выплачивает Центральному банку;
д) ограничение ввоза валюты в страну;
е) ограничение на форвардные продажи национальной валюты иностранцам;
ж) применение принудительных депозитов. Например, фирмы, активно прибегающие к иностранным кредитам (из-за более низких процентных ставок), обязываются помещать часть привлеченных капиталов на беспроцентный счет в Центробанке страны.
Оценивая влияние валютных ограничений на международные валютные отношения в целом, надо подчеркнуть, что они отрицательно воздействуют на товарообмен между странами, значительно затрудняя развитие экспорта. Несмотря на то, что валютные ограничения способствуют временному выравниванию платежных балансов отдельных стран, в конечном счете они осложняют проблему их балансирования.

Бюджетно-налоговая и денежно-кредитная политика. Для уменьшения дефицита платежного баланса обычно используются:
бюджетные субсидии экспортерам;
протекционистское повышение импортных пошлин;
отмена налога с процентов, выплачиваемых держателям ценных бумаг в целях притока капитала в страну.
Среди регуляторов денежно-кредитной политики особое место принадлежит учетной ставке процента. Как известно, величина процентных ставок определяет условия предоставления кредита. Если процентные ставки высоки, то условия предоставления кредита являются жесткими: если процентные ставки низки, то они свободны (либеральны).
В мировом хозяйстве значительное количество физических и юридических лиц держит свои средства в форме ликвидных активов, которые перемещаются в те страны, где более высокие процентные ставки, т. е. туда, где за кредиты платят более высокие цены ("горячие деньги").
Когда, например, США предлагают более высокие процентные ставки по кредитам по сравнению с Великобританией, владельцы английских денежных средств, продавая фунты стерлингов, приобретают доллары и, покупая американские акции, вкладывают их в экономику США. В итоге на международном финансовом рынке растет потребность в долларах (для вложения в американские акции) и понижается спрос на фунты стерлингов.
Повышение же потребности в долларах аналогично последствиям от дополнительного экспорта, увеличивающего положительное сальдо платежного баланса.
Аналогично воздействие процентных ставок на платежный баланс через национальный доход. Так, увеличение процентных ставок, вызываемое обычно нехваткой долларов, уменьшает инвестиционную деятельность, сокращает производство, потребление товаров и соответственно уменьшает и импорт. В результате платежный баланс улучшается.
Понижение процентных ставок влияет на платежный баланс противоположным образом. Если, например, в США процентные ставки понизятся, то иностранные вкладчики капиталов постараются их перевести из США в более "выгодные" страны. Начнется "сброс" долларовых средств и обмен их на национальную валюту.
По своему воздействию это будет аналогично росту импорта, т. е. увеличит предложение долларов на валютном рынке и ухудшит платежный баланс США. В этом же направлении будет действовать и рост национального производства (в связи с облегчением условий кредитования), и увеличения спроса на национальные и иностранные товары. В результате платежный баланс ухудшается.

Справедливости ради необходимо отметить, что вывод о положительном влиянии более высоких процентных ставок на платежный баланс должен быть скорректирован. Определяющим моментом здесь является не столько уровень процентной ставки, сколько факторы, вызывающие его рост. Если рост процентной ставки есть результат более жесткой кредитной политики, то это утверждение верно.
Однако в тех случаях, когда первопричиной служит рост инфляционных тенденций в экономике, положение дел будет обратным.
Кроме того, в долговременной перспективе увеличение процентных ставок постепенно приводит к некоторому "истощению" или уменьшению притока капитала. Более того, в дальнейшем в связи с необходимостью выплат сначала более высоких процентов, а затем и самих долгов следует ожидать ухудшения платежного баланса. Поэтому использование более высоких процентных ставок целесообразно только в краткосрочной перспективе.





Бреттон-Вудская система фиксированных валютных курсов


Этими обстоятельствами и объясняется во многом завышенный курс американского доллара в России. С учетом всего вышесказанного можно сделать следующий общий вывод: определение равновесного валютного (обменного) курса на основе теории ППС может быть только приблизительным. Не говоря уже о том, что существует множество других причин, вызывающих колебания обменных курсов валют; не существует, в частности, и единого
научно обоснованного подхода к определению состава товаров и услуг, подлежащих включению в потребительскую корзину.
Однако в качестве хорошего ориентира валютного курса, его серьезной базы, данный подход к определению валютных курсов может быть использован, тем более, если речь идет о долгосрочном временном интервале.

9.2
Международная валютная система
и ее эволюция
9.2.1. Классификация валютных систем по степени
гибкости обменных курсов валют
Международная валютная система1 может быть определена как совокупность международных правил, инструкций и соглашений, которые управляют финансовыми отношениями между странами мирового хозяйства.
Международное финансовое дело сопряжено, как уже было отмечено выше, с определенными трудностями международного обмена денег; откуда следует, что решающую роль во всех возможных системах играют валютные курсы. С учетом этого различные международные валютные системы могут быть классифицированы по степени гибкости (или жесткости) соответствующих валютных курсов.
Мы уже знакомы с двумя полярными альтернативами: абсолютно гибкие и фиксированные валютные курсы. Однако между двумя этими крайностями имеется множество промежуточных компромиссных вариантов. К основным видам промежуточных валютных курсов относятся:
1) корректируемый фиксированный курс;
2) "грязный" плавающий курс;
3) ползущий фиксированный курс;
4) совместный плавающий курс;
5) валютная змея2 (валютный коридор).
Корректируемый фиксированный курс. По своему характеру он достаточно близок к полностью фиксированному курсу с той лишь разницей, что фиксация осуществляется на определенный период времени
(вплоть до нескольких лет). В условиях относительно незначительных изменений рыночной конъюнктуры Центральный банк осуществляет валютные интервенции в целях поддержания установленного курса. Но в том случае, если имело место значительное нарушение равновесного состояния, валютный курс может быть зафиксирован на новом уровне (девальвирован или ревальвирован).
"Грязный" плавающий курс. Данная система находится ближе к свободно плавающему курсу. Обменный курс в этом случае не фиксируется, ему предоставляется возможность колебаться под действием рыночных сил.
Вместе с тем, когда его колебания начинают приводить к негативным последствиям для экономики, правительство соответствующей страны принимает необходимые меры по его регулированию. Таким образом, речь здесь идет о регулируемом чистом плавании, или, другими словами, о "грязном" плавании.
Ползущий фиксированный курс. Данная система, по сути, находится между системой "грязного" плавающего курса и корректируемого фиксированного. В этом случае вместо значительных и редких девальваций и ревальвации правительство осуществляет корректировку в относительно меньших масштабах, но значительно чаще (скажем, раз в месяц) по мере изменения уровня обменного курса.
Совместный плавающий курс. В этом случае группа стран устанавливает в отношении своих национальных денежных единиц фиксированный (корректируемый фиксированный) курс, но допускает совместное свободное плавание их курсов по отношению к валютам третьих стран.
Валютная змея. Здесь обменные курсы валют могут колебаться в пределах определенного коридора (полосы). Если курс национальной валюты выходит за установленные пределы, правительства соответствующих стран начинают осуществлять согласованные стабилизирующие меры.
Рассмотрим иллюстрацию валютного коридора, принятого в странах Европейского сообщества на примере двух стран: Франции и Германии (рис. 9.2).
По мере роста предложения франков в Германии (S1) при неизменном уровне спроса на них (D) при свободном формировании валютного курса его колебания могут выйти за пределы нижней точки интервенции (В).
В этом случае Федеральный банк Германии начинает покупать французские франки (слабую валюту) за марки ФРГ (сильную валюту). В результате спрос на французские франки возрастает, цена на франк увеличивается до тех пор, пока он снова не окажется в пределах установленной полосы.
Французский Центральный банк при этом продает из своих валютных резервов марки ФРГ в обмен на французские франки.
Если же спрос на французские франки растет (до уровня, например, D1) при неизменном предложении (S), то при свободном формировании курса валют может оказаться превышенным верхний предел интервенции. В этом случае Федеральный банк Германии продает из своих валютных резервов франки (сильную валюту) в обмен на марки ФРГ (слабую валюту). Таким образом увеличивается предложение французского франка, курс его понижается до тех пор, пока снова не окажется в пределах обусловленной полосы.
Французский Центральный банк при этом покупает марки за франки.

Бреттон-Вудская система фиксированных валютных курсов

Рис. 9.2. Иллюстрация валютного коридора:
D - спрос на французские франки; S - предложение французских франков; А - верхняя точка интервенции (максимальный курс); В - нижняя точка интервенции (минимальный курс);
(А-В) - ширина валютного коридора
Существование полосы колебаний обеспечивает свободное образование обменного курса валюты в заранее установленных пределах (рыночное равновесие) и предоставляет экспортерам, а также импортерам твердую основу для расчетов, благодаря чему существенно стимулируется международная торговля.


1 Некоторые авторы термину международная валютная система предпочитают определение международный валютный порядок или международный валютный режим.
2 Змея в туннеле.

9.2.2. Цели международной валютной системы
Международная валютная система не замыкается на самой себе. Ее главная функция - позволить фундаментальным экономическим процессам производства и распределения осуществляться настолько гладко и эффективно, насколько это возможно.
Если Адам Смит интерпретировал международную торговлю как колесо человеческой цивилизации, то международная валютная система выполняет в этом случае функцию смазки в подшипниках этого колеса. Когда это колесо вращается мягко и плавно, международные валютные отношения становятся незаметными, считаются само собой разумеющимися, так как все внимание исследователей сосредотачивается на возрастающем потоке товаров и услуг, предназначенных для удовлетворения потребностей населения в каждом уголке мира. Но если колесо торговли начнет вращаться с большим трением, международный поток товаров и услуг может сократиться или даже прерваться с соответствующими негативными последствиями для экономического благосостояния народов.
Именно в течение таких кризисов большинство людей и узнает о существовании (и значении!) международной валютной системы.
Из вышесказанного следует, что основными целями международной валютной системы являются:
1) обеспечение эффективного разделения труда между различными экономическими системами мирового хозяйства;
2) максимизация общего объема мирового производства и уровня занятости населения;
3) оптимизация уровня благосостояния как различных стран, так и различных групп населения внутри каждой страны.

9.2.3. Этапы развития международной валютной
системы
В целом характер функционирования и стабильность международной валютной системы зависят от степени ее соответствия состоянию и структуре мирового хозяйства. В частности, при изменении структуры мирового хозяйства и соотношения сил на мировой арене происходит замена существующей формы международной валютной системы на новую. Появившись в XIX в., мировая валютная система прошла три этапа эволюции. Это:
"Золотой стандарт" (Парижско-Генуэзская система);
Бреттон-Вудская система фиксированных валютных курсов;
Ямайкская система плавающих валютных курсов.

Охарактеризуем кратко эти этапы эволюции мировой валютной системы.
Система "золотого стандарта". Первая мировая валютная система стихийно сформировалась в XIX в. на базе золотого монометаллизма, т. е. обеспечения национальной валюты золотыми запасами казначейства. Начало функционирования "золотого стандарта" экономисты относят к 1821 г., а юридически она была оформлена межгосударственным соглашением на Парижской конференции в 1867г., которое признало золото единственной формой мировых денег.
Впоследствии многие развитые страны того времени отказывались от валютного дуализма (обеспечения валюты как золотом, так и серебром) и вступали в парижское соглашение. Россия это сделала в 1895-1897 гг. усилиями тогдашнего российского министра финансов С. Ю. Витте.
Система "золотого стандарта" характеризовалась следующими основными чертами.
Каждая валюта имеет золотое содержание, т. е. валютная единица приравнивается к определенному весовому количеству золота.
В соответствии с золотым содержанием валют устанавливались их золотые паритеты, т. е. валютные курсы, взаимные цены валют.
Конвертируемость каждой валюты в золото как внутри, так и за пределами границ отдельного государства.



Четыре зоны экономических проблем


Проблемы осуществления экономической политики. Рассмотрим основные проблемы практической реализации достижения внутреннего и внешнего балансов страны при помощи рис. 12.22.
Графики внутреннего и внешнего балансов делят весь квадрант "области допустимых решений" на четыре зоны несбалансированности, или зоны экономического "несчастья". Это:

Четыре зоны экономических проблем

Рис. 12.22. Четыре зоны экономических проблем
Зона 1. Безработица и излишек (активное сальдо) платежного баланса. Эта зона лежит слева от обоих графиков внутреннего и внешнего баланса.
Зона II. Потенциальное инфляционное давление и излишек (активное сальдо) платежного баланса. Эта зона лежит слева от графика внешнего баланса, но справа от графика внутреннего баланса.
Зона III. Потенциальное инфляционное давление и дефицит платежного баланса. Эта зона лежит справа от обоих графиков внутреннего и внешнего баланса.
Зона IV. Безработица и дефицит платежного баланса. Эта зона лежит слева от графика внутреннего баланса и справа от графика внешнего баланса.
В любой конкретный момент времени экономика работает в одной из этих четырех зон - на пересечении кривых IS и LM. Власти не могут точно определить расположение кривых IS и LM или графика внешнего баланса, но они могут легко установить зону, в которой оказалась экономика, из актуальных данных о безработице, инфляции
и платежном балансе. Являются ли эти данные достаточными для правильной формулировки экономической политики? Ответ - нет!
В зонах I и III власти находятся в абсолютном неведении. Например, точки А и В лежат в зоне I. Если экономика находится в точке А, власти должны уменьшить государственные расходы (чтобы переместить кривую IS вниз и влево) и увеличить предложение денег (чтобы передвинуть кривую LM вправо). Однако если экономика находится в точке В, которая также лежит в зоне I, власти должны сделать противоположное, т. е. они должны увеличить государственные расходы (чтобы сдвинуть кривую IS вправо) и уменьшить предложение денег (чтобы сдвинуть кривую LM влево).
Точно так же точки С и D в зоне III предполагают диаметрально противоположные политики.
В зонах II и IV ситуация немного лучше. В этих двух зонах направление изменения правительственных расходов известно. Например, в зоне II (точки К и N) власти должны всегда уменьшать правительственные расходы (чтобы сдвинуть кривую IS влево). Аналогично в зоне IV (точки J и Н) власти должны увеличить правительственные расходы (чтобы сдвинуть кривую IS вправо).
К сожалению, направление изменения предложения денег продолжает быть неопределенным. Например, точки К и N лежат в зоне II, но власти должны увеличивать предложение денег в N и уменьшать его в К. Так же точки Н и J лежат в зоне IV, но власти должны увеличить предложение денег в J и уменьшить H. Неопределенность монетарной политики в зонах II и IV совершенно устраняется, когда кривая LM более пологая, чем график внешнего баланса, но тогда монетарная политика становится неопределенной в зонах I и III. К сожалению, разработчики стратегий не знают, является ли кривая LM более пологой или более крутой, чем график внешнего баланса.
Таким образом, без дополнительной информации о точном расположении (и наклоне) кривых IS и LM и графика внешнего баланса знаний только о том, в какой зоне оказалась экономика, не будет достаточно для формулирования экономической политики.
Итак, весь наш анализ привел к достаточно печальному заключению: хотя одновременное достижение внутреннего и внешнего равновесия с помощью фискальной и монетарной политик в принципе осуществимо, разработчики стратегий испытывают недостаток необходимой информации для формулирования правильного сочетания политик. Существуют ли правила, которые помогают разработчикам стратегий в их поисках внутреннего и внешнего баланса в условиях нехватки информации? Несомненно, они есть, и следующий раздел курса посвящен поэтому знаменитой "проблеме разделения", правильное решение
которой ведет к достижению как внутреннего, так и внешнего равновесия.
Сущность проблемы разделения. Разработчики экономических стратегий по достижению внутреннего и внешнего равновесию, имея данные только о национальном доходе, безработице, инфляции, процентной ставке и состоянии платежного баланса, не располагают, как было сказано выше, полной информацией для принятия обоснованного решения. В этих условиях фискальные власти могут иметь серьезные разногласия с монетарными властями по поводу правильного сочетания этих политик. Различия в убеждениях по поводу стратегии и этики, переплетенные с неполными знаниями об экономической системе, могут усилить разногласия и завести решение проблемы в тупик. Альтернативой здесь является разделение политик.
Проблема разделения - это результат децентрализованного принятия решений. Она предполагает связывание определенного инструмента политики с определенной целью политики. Так, монетарным властям (контролирующим предложение денег) может быть поручено достижение только внешнего баланса при игнорировании любых побочных эффектов от их воздействия на уровень занятости.
Точно так же фискальным властям может быть поручено использовать фискальную политику (изменение государственных расходов и налогов) для достижения внутреннего баланса, игнорируя любые возможные побочные эффекты от их воздействия на платежный баланс.
Когда каждый рычаг разработки стратегии закреплен за единственной целью политики, экономика не передвигается в точку общего равновесия за один ход. Вместо этого начинается процесс регулирования. Монетарные власти могут регулировать предложение денег для достижения внешнего баланса.
При этом, однако, они могут сорвать планы фискальных властей, которые должны приспосабливать свою политику для новой ситуации. Но эти действия фискальных властей могут сбить монетарную политику с цели. Поэтому монетарные власти опять должны делать изменения, и так далее до бесконечности.
Проблема разделения может быть успешно решена только тогда, когда регулирующие процессы, в конечном счете, приведут к достижению обеих целей одновременно. Для этого разделение политик должно быть, используя экономический жаргон, "устойчивым".
Для достижения устойчивости разделения политик может быть использовано правило Р. Манделла1, согласно которому каждый инструмент
экономической политики должен быть использован для достижения той цели, на которую он имеет наибольшее относительное воздействие. Правило Манделла предполагает следующие рекомендации для исправления каждого конкретного дисбаланса (табл. 12.1):
Таблица 12.1. Правило Манделла

Зона
Состояние экономики
Монетарная политика
Фискальная политика
I
Безработица и излишек
Экспансионистская
Экспансионистская
II
Инфляция и излишек
Экспансионистская
Рестриктивная
III
Инфляция и дефицит
Рестриктивная
Рестриктивная
IV
Безработица и дефицит
Рестриктивная
Экспансионистская
Практика последовательного и без задержек выполнения рекомендаций Манделла свидетельствует о достаточно высокой их эффективности.


1 Политика переключения расходов характеризуется изменениями валютного курса (в частности, проведением девальвации или ревальвации). Девальвация переключает расходы с приобретения иностранных товаров на приобретение отечественных и может использоваться для ликвидации или сокращения дефицита платежного баланса страны. Правда, при этом необходимо иметь в виду, что она также увеличивает внутреннее производство, а это вызывает определенный рост импорта.
Ревальвация переключает расходы с приобретения отечественных на приобретение иностранных товаров и может использоваться для ликвидации или сокращения положительного сальдо платежного баланса страны. Она также сокращает внутреннее производство и впоследствии ведет к падению импорта, которое отчасти нейтрализует воздействие ревальвации.
1 Роберт Манделл (1932) - канадский профессор экономики, разработавший совместно с Дж Флемингом модель принципов корректировки открытой экономической системы. Лауреат Нобелевской премии 1999 г. по экономике.

12.3.6. Платежный баланс
и предложение денег
До сих пор мы рассматривали, как влияют изменения в предложении денег на платежный баланс. Между тем в реальной действительности и платежный баланс имеет определенное влияние на предложение денег. В частности, дефицит платежного баланса обусловливает необходимость его компенсирования путем продажи Центральным банком валютных резервов страны. Снижение же валютных резервов Центрального банка сопровождается увеличением предложения иностранной валюты на внутреннем рынке в обмен на национальную валюту, образно говоря "откачиваемую" в этом случае Центральным банком из экономической системы страны.
Таким образом, дефицит платежного баланса имеет тенденцию уменьшать предложение денег в стране, а излишек - увеличивать. Эти процессы могут иметь место, если монетарные власти не реагируют на них, что бывает крайне редко. Предложение денег находится, как правил, под очень жестким контролем монетарных властей, пытающихся активно стерилизовать платежный дисбаланс, т. е. не допустить влияние платежного дисбаланса на предложение денег.



Демпинг


Наибольшими в процентном отношении субсидиями пользуется во всех высокоразвитых странах сельскохозяйственная продукция. Эти страны последовательно реализуют государственные программы поддержания фермерских доходов через гарантированную закупку на средства налогоплательщиков своих стран избыточной сельскохозяйственной продукции, а также выплаты премий за невозделывание посевных площадей. В США, например, объем субсидирования составляет
в среднем 50% от стоимости продукции, в странах Скандинавии - 80%, в России - лишь 20%.
Чтобы снизить бюджетные затраты на проведение политики поддержания фермерских доходов, страны Западной Европы и США продают заведомо в убыток избыточную сельскохозяйственную продукцию за границу, предлагая товар по заниженным ценам странам Африки, Латинской Америки, а также странам СНГ, в том числе и России.
При этом возникает вопрос: следует ли приветствовать субсидируемый экспорт в такие страны или принять ответные компенсационные меры, задействовав инструменты внешнеторгового регулирования? При ответе на этот вопрос правительства соответствующих стран должны взвешенно сопоставлять, с одной стороны, интересы практически уничтожаемого в этом случае национального производства аналогичной продукции, а с другой - антиинфляционные настроения потребителей и эффективность общественного производства в стране.


1 Напомним, что в соответствии с положениями Всемирной торговой организации (ВТО) экспортные субсидии относятся к формам так называемой нечестной конкуренции и запрещены.

6.2.2. Демпинг
Следующее направление государственной внешнеторговой политики, очень схожее с политикой субсидирования экспорта, называется "демпинг".
Демпинг - это международная дискриминация в ценах, при которой экспортирующая фирма продает свой товар на каком-либо одном зарубежном рынке дешевле, чем на другом (обычно отечественном). Делается это, как правило, с целью вытеснения конкурента с данного рынка.
Экономисты различают следующие типы демпинга:
устойчивый;
преднамеренный (хищнический);
случайный (спорадический).
Устойчивый демпинг объясняется прежде всего объективными различиями между разными рынками. Самым принципиальным из них является рыночная эластичность спроса, в частности, на внутренних и мировом рынках. Эластичность спроса на любой товар на мировом рынке существенно выше, чем на национальных рынках, что обусловливается доступом на мировой рынок огромного количества заменителей любого товара, а также более высоким уровнем конкуренции на нем нежели на рынках национальных.
Естественно, что максимизирующие свою прибыль производители этот фактор, а также другие факторы, определяющие различия рынков, постоянно (устойчиво) используют.
Преднамеренный демпинг, классифицируемый как несправедливый метод конкуренции, имеет целью уничтожение конкурентов для обеспечения
своей монопольной власти на рынке с последующим значительным ростом цен, компенсирующим все затраты, а также обеспечивающим максимизацию прибыли на долгосрочном интервале времени.
Случайный демпинг связан, как правило, со сбытом случайно возникшего излишка продукции, вызванного непредвиденными изменениями конъюнктуры рынка, ошибками планирования и т. п.
Максимизация прибыли в условиях устойчивого демпинга может быть осуществлена с учетом следующих известных (из курса микроэкономики) предпосылок:
1. Для любого фиксированного объема выпуска общий доход фирмы максимизируется, когда предельный доход последней проданной на внутреннем рынке единицы продукции MRBH равен предельному доходу от последней, проданной в иностранном секторе единицы продукции MRИН, т. е. MRВН = MRИН.
2. Для переменного выпуска прибыль фирмы максимизируется, когда общий предельный доход равен предельным затратам последней произведенной на фирме единицы продукции, т. е. MR = МС. Например, если MRВН MRИН фирма может увеличить общий доход (и таким образом прибыль), перемещая продажи с внутреннего рынка на иностранный. Аналогично, если MRВН = MRИН МС, фирма может увеличить, прибыль, увеличивая (наращивая) объем выпуска продукции.
Если на внутреннем рынке та или иная фирма обладает большей монопольной властью, чем на зарубежном, и у отечественных потребителей нет альтернативы приобретения данного товара по более низкой цене за границей, то и низкие цены экспортируемого товара будут способствовать максимизации прибыли данной фирмы. При обеспечении этих условий фирма может обогащаться за счет своих потребителей на внутреннем рынке.

6.3
Скрытые методы внешнеторговой
политики
Помимо рассмотренных наиболее используемых методов регулирования международного товарообмена существует множество других методов явного и скрытого протекционизма, к которым периодически прибегают правительства многих государств. В настоящее время используются десятки видов только скрытого протекционизма, позволяющие в одностороннем порядке ограничивать экспорт или импорт продукции. Рассмотрим кратко некоторые из них.
1. Технические и административные барьеры. Для искусственного снижения объемов импортируемой в страну продукции правительства некоторых государств вводят бесчисленные технические и административные правила торговли, усложняющие обмен товарами и услугами. К наиболее распространенным барьерам технического характера можно отнести следующие требования:
соблюдение национальных технических стандартов;
получение на импортируемые товары сертификаторов качества;
специфическая упаковка и маркировка ввозимой в страну продукции;
соблюдение определенных санитарно-гигиенических норм и требований;
выполнение определенных мероприятий по охране окружающей среды;
соблюдение усложненных таможенных формальностей;
защита потребителей и т. д.
2. Политика государственных закупок. Правительства всех стран, являясь субъектами соответствующих экономических систем, осуществляют в процессе деятельности закупки весьма значительных объемов товаров и услуг, во многом определяя тем самым структуру и интенсивность товаропотоков во внутренней и внешней торговле стран. При этом практически все правительства стремятся закупать продукцию преимущественно отечественного производства, даже если она является более дорогой, нежели аналогичная импортная продукция.
Особенно жесткой в пользу своих (отечественных) производителей становится политика государственных закупок, когда речь заходит о продукции стратегического характера: военное оборудование, оборудование связи, тяжелый транспорт и т. п.
Кроме того, правительство может предпочесть закупки отечественных товаров импорту, например, по причине укрепления национального престижа: автомобили, самолеты и т. п.
В любом случае конечным результатом такой политики правительства будет снижение объемов импортируемой в страну продукции и, следовательно, эффективности как национальной, так и мировой экономик.
3. Внутренние налоги и сборы. Одним из широко используемых способов создания искусственных барьеров на пути импортной продукции в страну является введение внутренних налогов и сборов с целью повышения внутренней цены импорта и снижения тем самым его конкурентоспособности на внутреннем рынке страны.
Налоги, которые при этом накладываются на импортную продукцию как центральными, так и местными властями, могут быть либо прямыми (например, акцизный налог), либо косвенными (например, портовые сборы). Однако и в том, и в другом случае, являясь дискриминационными, они снижают объемы импорта в пользу менее конкурентоспособной отечественной продукции. Последствия внутренних налогов особенно негативны в тех нередких случаях, когда их ставка превышает по стоимости размер соответствующей импортной пошлины.
Контроль же обоснованности размера внутренних налогов практически невозможен, так как они в отличие от таможенных тарифов законодательно, как правило, не регламентируются.





Диапазон валютных операций


Особенностью мирового валютного рынка является децентрализованный характер совершения валютных операций. С организационно-технической точки зрения мировой валютный рынок представляет собой совокупность современных средств телекоммуникации (телеграф, телекс, телефон, информационные системы, компьютерные сети), связывающих между собой банки и биржи разных стран, осуществляющие валютные операции и обслуживающие международные расчеты.
Валютные операции могут быть осуществлены либо на организованном (биржевом), либо на неорганизованном, внебиржевом или межбанковском валютном рынке, на котором осуществляется до 90% всех валютных сделок. Ежедневный оборот мирового валютного рынка составляет от 500 млн. до 4 трлн. долл. США: 20% оборота приходится на азиатский рынок, 40% на европейский и 40% на американский.
В последние годы на мировом валютном рынке произошло изменение характера торговли с перенесением акцента на изменение срочности торговли: наметился значительный рост сделок, исполнение которых произойдет в будущем. Наряду с традиционными валютными биржами стали функционировать биржи, специализирующиеся на срочной торговле валютой и финансовыми активами.
Либерализация валютного законодательства многих стран способствует ускорению развития и внутренних валютных рынков, под которыми понимается вся совокупность операций, осуществляемых банками, расположенными на территории конкретных стран, по валютному обслуживанию своих клиентов.


1 Банки, которым предоставлено право на проведение валютных операций (девизом, как было отмечено выше, называют иностранную валюту).

9.3.2. Основные виды валютных операций
Все действия, которые осуществляют участники национальных и мирового валютных рынков, принято называть валютными операциями. Диапазон валютных операций широк и многообразен. С содержательной точки зрения все множество этих операций можно классифицировать следующим образом:
операции по купле-продаже или конверсии (обмену) валют - валютный дилинг;
операции коммерческих банков по привлечению и размещению валютных средств - депозитно-кредитные валютные операции;
обслуживание международных и прежде всего внешнеторговых расчетов в формах, принятых в международной практике;
обслуживание владельцев кредитных карточек и другие неторговые сделки (переводы, обслуживание туристов и т. п.).
Рассмотрим кратко основные дилинговые валютные операции. В мировой практике межвалютных обменов наиболее широко применяются:
1) арбитраж;
2) обменная операция типа спот;
3) срочная валютная сделка: а) форвардная; б) фьючерсная;
4) опционная сделка;
5) операции типа своп.
Арбитраж. Арбитраж - это спекулятивные операции, предпринимаемые с целью получения прибыли. В то же время арбитражные операции, под которыми понимают покупку валюты в финансовом центре, где она дешевле, для немедленной перепродажи в том финансовом центре, где она дороже, обеспечивают поддержание обменных курсов между соответствующими валютами на одном и том же уровне.
Действительно, в рассматриваемом случае в результате повышения спроса на конкретную валюту в первом финансовом центре цена на нее там будет возрастать при одновременном снижении цены (из-за возросшего предложения) в другом финансовом центре. Этот процесс будет продолжаться до тех пор, пока уровень цены на конкретную валюту не выровняется в обоих финансовых центрах.
Когда в арбитраже участвуют лишь две валюты, речь идет о двустороннем арбитраже. Когда в данный процесс вовлечены три валюты,
мы имеем дело с треугольным или трехсторонним арбитражем. Трехсторонний арбитраж может быть использован, например, для обеспечения согласованности кросс-курсов между тремя валютами.
В частности, при наличии несообразности котировок отдельных валют между собой идею кросс-курсов можно использовать для извлечения прибыли из подобных ситуаций. Предположим, что на рынке преобладающими являются следующие попарные курсы валют.
1 USD = 4,35 FIM (финские марки);
1 USD = 5,5 RUR (российские рубли);
1 FIM = 1,1 RUR.
Алгоритм получения прибыли в этом случае будет следующим:
продажа долларов за рубли;
покупка за рубли финских марок;
покупка долларов за финские марки.
Существует простая схема (алгоритм) для определения прибыльной последовательности таких операций.
Разместите каждую из трех валют в разных углах треугольника, как это показано на рис. 9.3.

Диапазон валютных операций

Рис. 9.3. Схема валютного арбитража
с помощью кросс-курса
Начиная с любой валюты, просматривается последовательность их обмена по часовой стрелке. Если такая последовательность дает выигрыш, то искомое решение найдено.
Если данная последовательность ведет к проигрышу (убыткам), прибыль должна приносить обратная последовательность (против часовой стрелки).
Как и в случае с двусторонним арбитражем, трехсторонний арбитраж увеличивает спрос на
валюту в том финансовом центре, где она стоит дешевле, и предложение валюты в том финансовом центре, где она дороже, а также быстро устраняет несогласованные кросс-курсы и прибыльность дальнейшего арбитража. В результате арбитраж быстро выравнивает обменные курсы каждой пары валют и приводит к согласованному курсу среди всех пар валют, объединяя таким образом все международные финансовые центры в единый международный валютный рынок.
Обменная операция типа спот. Сутью валютной операции спот является расчет наличными, который исторически и логически лежит
в основе множества других валютных сделок, внешней торговли и пр. Кроме того, она означает, как нами уже отмечалось, немедленность оплаты, как правило, на второй рабочий день после заключения сделки. С точки зрения общей теории денег обменные операции типа спот отражают функцию денег как средства обращения и платежа.
Эти операции в практике мировой валютной системы наиболее распространены и составляют до 70% от общего объема валютных сделок1. В частности, с помощью операций спот банки обеспечивают текущие потребности своих клиентов в иностранной валюте, перелив капиталов, в том числе так называемых "горячих" денег2, из одной валюты в другую, осуществляются арбитражные (спекулятивные) операции. Средний размер сделки на условиях спот - 4 млн долл.
Срочные сделки с иностранной валютой. Срочные валютные сделки - это сделки, при которых стороны договариваются о поставке обусловленной суммы валюты через определенный срок после заключения сделки по курсу, зафиксированному в момент ее заключения.
Из сделанного определения вытекают две особенности срочных валютных операций:
1) существует интервал во времени между моментами заключения и исполнения сделок;
2) курс валют по срочной валютной сделке фиксируется в момент заключения сделки, хотя она исполняется через определенный срок.
Срочные валютные сделки совершаются в следующих целях:
страхование от убытков в связи с возможным понижением или повышением курса валюты;
получение спекулятивной прибыли за счет курсовой разницы. Срочные валютные сделки принято различать на форвардные
и фьючерсные; они во многом сходны, но имеют и определенные различия. Сравнительная характеристика фьючерсного и форвардного рынков приведена в табл. 9.1.
Главным инструментом форвардной сделки является форвардный курс - договорная цена валютного товара, связывающая спот-курс в момент заключения сделки с процентной ставкой по банковским депозитам обмениваемых валют, от соотношения которых он при прочих равных условиях будет зависеть.
Таблица 9.1. Сравнительная характеристика фьючерсного и форвардного рынков

Критерий сравнения
Фьючерсный рынок
Форвардный рынок
Участники
Банки, корпорации, индивидуальные инвесторы, спекулянты
Банки, крупные корпорации. Доступ для небольших фирм и индивидуальных инвесторов ограничен
Метод общения
Участники сделки обычно не знают друг друга, общаясь через клиринговую ассоциацию
Один контрагент сделки знает другого; соглашение заключается вне биржи
Посредники
Участники сделки действуют через брокеров
Обычно участники сделки имеют дело друг с другом
Место и метод сделки
Фьючерсные контракты обращаются на бирже и являются объектом регулирования соответствующих биржевых комитетов
На межбанковском валютном рынке по телефону или телексу
Специальный депозит
Для покрытия риска участники сделки обязаны внести гарантийный депозит, что требует изъятия из оборота денежных средств, которые не принесут в течение всего хеджевого периода никакой прибыли
Гарантийный депозит не требуется, если сделка между банками осуществляется без посредников
Размер сделки
Стандартный контракт1 (например, 100 тыс. долл., 25 тыс. ф. ст. , 120 тыс. марок)
Любая сумма по договоренности участников
Поставка валюты
Осуществляется по небольшому числу контрактов (от 1% до 6% от общего количества сделок)
По большинству контрактов, подлежащих исполнению
Право собственности
Как правило, результатом операции является получение или выплата разницы между покупной и продажной ценой фьючерсов
Имеет место переход права собственности на валюту от продавца к покупателю
Степень ликвидности
Высокая ликвидность
Низкая ликвидность
Вероятность исполнения контрактов
Незначительная вероятность неисполнения противоположной стороной своих обязательств по сделке
Низкая вероятность исполнения контрактов
Завершение сделки
Каждая сделка должна быть ликвидирована обратной (офсетной) сделкой
Сделка считается завершенной после обмена валютами


Динамический анализ


Треугольник F3F4G7 отражает потребительскую прибыль, обусловленную чистым увеличением потребительских излишков за счет роста потребления данного товара в стране А на величину Q3Q4. Появление положительного потокоотклоняющего эффекта от присоединения к интеграционной группировке наиболее вероятно в тех случаях, когда разница в издержках производства данного товара внутри и за пределами союза невелика. В этом случае отмена даже относительно небольшой по размерам пошлины скорее всего сделает его производство внутри союза более дешевым по сравнению с производством за рамками союза.


1 Вероятно потому, что производство данного товара в Германии более эффективно нежели во Франции.
1 Рассмотрите самостоятельно, почему при этом нет необходимости анализировать график предложения данного товара из страны В.
1 Таким образом, произошло переключение потребления на производителя, чьи издержки производства выше, чем у отвергнутого.

8.2.2. Динамический анализ
Кроме статического эффекта торгово-экономические союзы имеют несколько интересных динамических эффектов. Положительные динамические эффекты могут быть сведены к следующим пяти.
1. Увеличение размеров рынка может позволить фирмам получить соответствующий эффект от увеличения масштабов производства, который приводит к уменьшению издержек производства по следующим причинам: более полное использование заводских мощностей, повышение уровня квалификации труда и управляющих кадров. Подобный эффект является особенно важным для развивающихся стран.
2. Расширение интеграционных контактов между странами нередко влечет за собой улучшение производственной и непроизводственной инфраструктуры стран-участниц союзов (автомобильных и железных
дорог, финансовых услуг и т. п.). В свою очередь, это вызывает еще большие долгосрочные выгоды от сотрудничества, в частности, снижение расходов, связанных с проведением экспортно-импортных операций.
3. Позиция каждой из входящих в интеграционную группировку стран как участниц различных торговых и экономических переговоров является более предпочтительной по сравнению с положением отдельной страны-аутсайдера. Это может позволить странам-участницам союза обеспечить для себя, например, лучшие условия торговли или другие преимущества.
4. Присоединение к торгово-экономическим союзам ведет к возрастанию конкуренции между странами. Монополистические и олигополистические рыночные структуры становятся в этом случае не защищенными от внешнего воздействия. Конкуренция становится менее индивидуальной, более эффективной и ведет к развитию новых отраслей производства.
Это создает определенный климат, способствующий более быстрому распространению передовой технологии и более быстрому экономическому росту.
5. Образование торгово-экономических союзов, как правило, сопровождается существенным увеличением объемов инвестирования третьих стран в экономику стран-участниц таких союзов. Фирмы третьих стран строят свои заводы в союзных странах, чтобы избежать в дальнейшем (после образования союза) таможенной дискриминации. Этот фактор, например, был основополагающим при принятии решения американских фирм инвестировать огромные суммы в экономику европейских стран после 1955 г.
Основные отрицательные последствия, с которыми может быть связано присоединение к торгово-экономическому союзу, состоят в следующем.
1. При определенном стечении обстоятельств может начаться отток ресурсов из страны, перераспределяемых в пользу более сильных в экономическом отношении членов союза. Страна в этом случае может превратиться в "отсталый регион".
2. В том случае, если интеграция способствует установлению более тесных интеграционных связей между отдельными фирмHми стран-участниц, результатом может быть более широкое распространение олигопольного сговора, влекущего за собой повышение цен на соответствующую продукцию. Кроме того, может возрасти количество слияний, что, в свою очередь, повлечет за собой усиление господства монополии.
3. В ряде случаев может возникнуть эффект потерь от увеличения масштабов производства, связанный с формированием слишком больших компаний (отрицательный эффект масштаба).
Необходимо отметить, что в комплексном виде оценить все эти аргументы чрезвычайно трудно, тем более, что многие последствия, как положительные, так и негативные, носят весьма долгосрочный характер и зависят от общего положения на мировой арене.
Наконец, следует добавить, что определенная часть аргументов, как "pro", так и "contra", а следовательно, и соответствующих последствий, носит сугубо политический характер и потому находится за пределами экономического анализа.

8.3
Основные региональные
интеграционные структуры
Экономические группировки в Европе
Европейские сообщества. Наиболее полно и последовательно идеи экономической интеграции ранее самостоятельных национальных экономик были реализованы в ходе формирования и активной жизнедеятельности организационных структур и инструментов хозяйственного управления Европейскими сообществами (ЕС).
Первоначально членами этой организации были Франция, ФРГ, Италия, Бельгия, Нидерланды и Люксембург.
В 1951 г. они создали Европейское объединение угля и стали, затем в 1957г. - Европейское сообщество по атомной энергии и Европейское экономическое сообщество (ЕЭС).
В 1967 г. эти три организации объединились в единую интеграционную группировку - Европейские сообщества (ЕС).
В настоящее время в ЕС, кроме названных выше стран, входят: Великобритания, Дания, Ирландия (1973); Греция (1979), Испания, Португалия (1986); Австрия, Финляндия, Швеция (1995).
Доля ЕС в мировом объеме производства составляет в настоящее время около 25%, а в мировом экспорте - свыше 34%.
Руководящим (законодательным) органом ЕС является Совет министров - орган, состоящий из 15 человек (по одному члену на каждую страну), обладающий правом принимать решения по основным вопросам деятельности ЕС и правом заключать международные соглашения от имени этой организации.
Исполнительным органом, или правительством ЕС, является Комиссия ЕС - наднациональный орган с местонахождением в Брюсселе.
В последние годы существенно возросла роль Европейского парламента, который контролирует финансы Сообщества, имеет право вето при обсуждении бюджета, активно участвует в разработке единой политики ЕС.
Важным органом ЕС является Суд Европейского сообщества, обеспечивающий единообразное толкование правил и норм, принятых в сообществе, а также регулирование споров и претензии, в том числе и от иностранных юридических лиц.
Практический (текущий) контроль над доходами и расходами структур ЕС осуществляет Счетная палата ЕС, представляющая Европарламенту не только контрольные данные, но и рекомендации.
Одним из важнейших шагов на пути западноевропейской экономической интеграции было создание в 1979 г. Европейской валютной системы (ЕВС).
ЕВС основывается на согласованном поддержании изменений рыночных валютных курсов в оговоренных количественных пределах с помощью валютного вмешательства центральных банков стран-участниц. Была создана европейская расчетная единица - ЭКЮ, являющаяся полноценной коллективной международной валютой. За годы своего существования ЕВС зарекомендовала себя как действенный фактор в борьбе с инфляцией и колебаниями курсов валют.
В настоящее время проведена работа по формированию общей валютно-финансовой политики в рамках ЕС, предполагающей использование единой валюты (евро) и создание Европейского Центрального банка Европейского Экономического Сообщества.
Европейская ассоциация свободной торговли. ЕАСТ представляет собой региональную экономическую группировку с сохранением суверенных прав государств-членов и отсутствием наднациональных институтов. Если одной из основ ЕС является таможенный союз, то в ЕАСТ это зона свободной торговли.
Каждое государство, входящее в ЕАСТ, проводит самостоятельную торговую политику по отношению к третьим странам, а товары из этих стран не могут свободно перемещаться внутри ЕАСТ.
Первоначально в ЕАСТ входило семь государств: Австрия, Великобритания, Дания, Норвегия, Португалия, Швейцария и Швеция. Справедливости ради необходимо отметить, что ряд стран, становившихся впоследствии членами данной Ассоциации, рассматривали членство в ЕАСТ как временное, промежуточное решение своих торгово-экономических проблем, как своего рода "прихожую" ЕС.
Основное внимание в своей внешнеэкономической политике страны ЕАСТ уделяют отношениям с ЕС, на которое приходится свыше половины товарооборота членов ЕАСТ. В результате сотрудничества членов ЕС и ЕАСТ в Западной Европе создана крупнейшая в мире зона свободной торговли, объединяющая рынки 18 стран региона с населением около 400 млн. человек.
Помимо стран, входящих в ЕС, в ЕАСТ в настоящее время входят Исландия, Норвегия и Лихтенштейн.
Североамериканская зона свободной торговли (NAFTA1).
В январе 1988 г. президенты США и Канады подписали соглашение о свободной торговле, по которому был создан обширный открытый рынок, простирающийся на 19 млн. км2 и охватывающий более 275 млн. потребителей.
Основными проблемами, рассмотренными в рамках этого соглашения, были:
тарифы;
правительственные поставки;
энергия;
сельское хозяйство;
инвестиции;
механизм урегулирования конфликтов.
Эконометрические расчеты показали, что в результате практической реализации Соглашения о свободной торговле между Канадой и США уровень реальных доходов в обеих странах повысился на 3,5%. Если же принимать во внимание последствия динамических эффектов, таких как усиление конкуренции, стимулирование совершенствования технологии, стимулирование роста инвестиций, а также эффект масштаба, то эти оценки будут еще выше.
Тем не менее, существующая экономическая интеграция США с Канадой перестала удовлетворять США, и в 1994 г. в Североамериканскую зону свободной торговли была включена Мексика.
В настоящее время территория данного блока составляет обширную территорию в 21 млн. км2 с населением 370 млн. человек и мощным экономическим потенциалом. На долю стран, входящих в NAFTA, приходится около 20% всего объема мировой торговли.
АСЕАН. В конце XX в. усилились интеграционные процессы в Юго-Восточной Азии. Наиболее успешно на протяжении почти 30 лет действует Ассоциация стран Юго-Восточной Азии (АСЕАН), в которую входят: Сингапур, Малайзия, Индонезия, Таиланд, Бруней, Филиппины, СРВ (1995).
Успех взаимного сотрудничества в рамках этой группировки тесно связан с бурным экономическим ростом большинства из этих стран, сопоставимостью уровней их развития, хорошо налаженными и имеющими давние исторические традиции взаимными торговыми связями, а также отрегулированными формами сотрудничества.
Стремление к интеграции, тесному взаимовыгодному сотрудничеству отмечается и среди арабских государств Персидского залива. Так, с 1981 г. функционирует Совет по сотрудничеству арабских государств, включающий Саудовскую Аравию, Кувейт, Катар, Бахрейн, Оман, Арабские Эмираты (так называемую "нефтяную шестерку"). В 1992 г. было объявлено о создании Организации экономического сотрудничества центроазиатских государств.
Инициаторами ее создания стали Иран, Пакистан и Турция.
Пытаются развивать интеграционные процессы в своем регионе и африканские государства. Образовывая экономические и таможенные союзы, африканские страны планировали на основе скоординированной политики развивать взаимные экономические связи. В результате предполагалось образовать в отдельных регионах относительно емкие внутренние рынки как базу для модернизации экономики.
Интеграция ими рассматривалась как альтернативный путь развития, во многом как способ достижения экономического процветания в "опоре на собственные силы". Эта идея и до сих пор присутствует в планах Организации африканского единства - идея создания к 2025 г. Африканского экономического сообщества.
В то же время, говоря об экономической интеграции развивающихся стран, нельзя не отметить отсутствие реальных предпосылок для ее эффективной практической реализации. Многие из провозглашенных интеграционных группировок в силу незрелости социально-экономических отношений, примитивности и структурной недифференцированности национальных хозяйств, неразвитости рыночной и финансовой инфраструктур обрекали эти формирования либо на откровенное прозябание, либо на полную неудачу.


1 NAFTA - North American Free Trade Agreement.

ЧАСТЬ II
МАКРОЭКОНОМИЧЕСКИЙ АНАЛИЗ
ОТКРЫТОЙ ЭКОНОМИКИ
Среди довольно широкого спектра проблем, которые являются объектами макроанализа международной экономики, можно выделить три важнейшие.
Первая проблема обусловливается особой спецификой международных экономических отношений, связанной с использованием национальных денежных знаков (валют).
Результаты этих валютно-финансовых отношений между странами мирового хозяйства отражаются на состоянии платежных балансов соответствующих стран, порождая тем самым вторую сложную макроэкономическую проблему их оптимального формирования и балансирования.
Третьей важнейшей проблемой международной макроэкономики является анализ последствий денежно-кредитной и бюджетно-налоговой политики в условиях открытых экономических систем с целью обеспечения их общего (внутреннего и внешнего) макроэкономического равновесия.




Динамика валютного курса


Из этого следует, что достичь полной конвертируемости национальной валюты декларативным путем нельзя: подобные попытки обречены на неудачу и могут привести к значительным убыткам для государства. Часть свободно конвертируемых валют являются резервными валютами.
Резервными называются валюты, которые составляют резервные средства для международных расчетов и хранятся центральными банками других стран. К резервным валютам в настоящее время относятся доллар США, фунт стерлингов, швейцарский франк, немецкая марка и японская йена. Эти пять валют составляют практически 100% мировых валютных резервов.
Частично-конвертируемая валюта обменивается на ограниченное число иностранных валют и применяется не во всех видах международного платежного оборота. Большинство стран мира, в том числе и Россия, имеют такую валюту. Нестабильное функционирование российской экономики требует существенного валютного контроля и регламентации со стороны государства, снятие которых в ближайшее время невозможно.
Неконвертируемая (замкнутая) валюта не обменивается на другие иностранные валюты и используется только внутри страны в качестве национальной денежной единицы.


1 Валютой принято называть деньги, используемые в международных расчетах.
1 На расчете кросс-курсов основывается, например, котировка валют Центральным банком России. При этом за основу берется курс рубля по отношению к американскому доллару, а прочие курсы определяются по методу кросс-курсов: рубль - доллар, доллар - валюта.

9.1.2. Динамика валютного курса
Для того чтобы понять, что определяет динамику (повышение или понижение) стоимости (курса) валюты, необходимо применить метод анализа рынка, где действует конкуренция - в данном случае покупателей валюты, формирующих спрос на нее, и продавцов, осуществляющих предложение валюты.
Валютные курсы, как и цены на любой товар или актив на конкурентном рынке, определяются взаимодействием рыночного спроса на валюту и ее предложения.
Спрос на национальную валюту, например английские фунты стерлингов, будут формировать:
1) зарубежные покупатели товаров, экспортируемых из Великобритании, которые нуждаются в фунтах стерлингов для оплаты экспортных поставок;
2) иностраные инвесторы, которым фунты стерлингов необходимы для осуществления инвестиций в финансовые и материальные активы Великобритании;
3) валютные спекулянты, рассчитывающие на то, что курс фунта стерлингов в будущем возрастет по отношению к другим валютам;
4) иностранные туристы, собирающиеся посетить Великобританию;
5) правительство Великобритании (в том случае, если оно стремится не допустить падения фунта стерлингов), которое будет предъявлять спрос на национальную валюту, используя на эти цели свои запасы иностранной валюты и золота.
Предложение фунтов стерлингов будут формировать:
1) английские импортеры, стремящиеся реализовать фунты стерлингов, т. е. осуществить конвертацию в ту или иную валюту для оплаты заключенных сделок;
2) валютные спекулянты, ожидающие, что курс фунтов стерлингов понизится по отношению к другим валютам;
3) английские инвесторы, осуществляющие зарубежные инвестиции, которые будут стремиться "продать" свои фунты стерлингов;
4) английские туристы, выезжающие за пределы Великобритании;
5) правительство Великобритании, заинтересованное в том, чтобы не допустить чрезмерного роста курса национальной валюты.
Рассматривая взаимодействие функций спроса на валюту и ее предложения, необходимо отметить, что спрос и предложение устанавливают курс валюты только в тех пределах, которые определяются характером действующей в стране валютной системы.
Если в стране нет ограничивающего валютного контроля, то контрагенты валютных сделок будут действовать в конкурентных условиях. Валютный курс в условиях отсутствия вмешательства государства (в форме так называемых валютных интервенций Центрального банка) называется плавающим. Однако с таким свободно и произвольно плавающим курсом своей валюты многие государства (в лице своих правительств) чаще всего не могут согласиться (по многим причинам, которые будут рассматриваться в последующих разделах).
Тогда соответствующие валютные курсы фиксируются и удерживаются на желаемых уровнях, даже если те не соответствуют фактическим курсам равновесия.
Как правило, официальные валютные органы выбирают (устанавливают) пределы, в рамках которых курс национальной валюты свободно
колеблется (плавает). Если курс достигает верхней или нижней границы этих пределов, то официальные органы проводят валютные интервенции. Так, в случае падения обменного курса рубля ниже допустимой отметки Центральный банк России будет вынужден (в поддержку своих заявлений о поддержании фиксированного курса) осуществить валютную интервенцию, "выбросив" на валютный рынок страны определенный объем иностранной валюты, скупая на нее "лишнюю" рублевую массу.
В том случае, если курс национальной валюты превысит допустимый предел, официальные органы страны также должны будут осуществить валютную интервенцию, однако в этом случае продавая соответствующее количество рублей в обмен на иностранную валюту (скупая иностранную валюту).
Изменение валютных курсов в экономической теории определяется (называется) по-разному в зависимости от используемого в стране валютного режима. При системе плавающих курсов понижение цены равновесия валюты называется обесценением, а повышение - удорожанием. При системе фиксированных курсов аналогичные процессы носят название соответственно девальвации и ревальвации.

9.1.3. Факторы, определяющие валютные курсы
Валютный рынок, как и любой другой, подвержен изменениям спроса и предложения, которые проявляются через колебания валютных курсов. Рассмотрим основные факторы, влияющие на эти колебания.
Объем денежной массы. Прежде всего необходимо отметить такой фактор, как относительное количество денежной массы данного государства в общем объеме предложения денег со стороны остальных стран мировой хозяйственной системы. Изменение валютных курсов, в конце концов, является результатом соотношения между объемами национальных денежных единиц.
На международной арене, как и на внутринациональном рынке, стоимость валюты при прочих равных условиях тем меньше, чем больше ее находится в обращении.
Для повышения курса национальной валюты правительство страны должно проводить жесткую ограничительную политику в отношении денежного предложения: увеличивать норму банковского резервирования, повышать учетную ставку процента, продавать государственные облигации. И, наоборот, для понижения курса необходимо увеличить объем денежного предложения, сделать деньги более доступными, более "дешевыми".
Объем валового национального продукта. Общий спрос на денежных рынках возникает в результате использования денег прежде
всего как средства обращения. Определенный запас наличности постоянно требуется для покрытия априори неизвестной стоимости сделок, возникающих при обмене денег на товары и услуги (так называемый трансакционный спрос на деньги).
Спрос на деньги в результате различных сделок зависит от их годового объема и тесно связан с уровнем (объемом) произведенного продукта - ВНП. Как правило, экономические агенты выбирают валюты тех стран, в которых они предполагают осуществить наибольшие расходы. Тот, кто хочет купить национальный продукт, созданный, например, в США (импортер), должен иметь на руках доллары, так как продавцы американских товаров, как правило, в качестве валюты платежа выбирают доллар. И это совершенно естественно, так как только долларами американский производитель может расплатить я со своими рабочими и поставщиками из США. Спрос на доллары представляет собой, таким образом, спрос на право покупки части ВНП США.
Этот спрос должен быть пропорционален ВНП данной страны независимо от того, откуда проистекает этот спрос. То же самое относится к валюте других стран. Так, если в стране производится мало привлекательных для иностранцев товаров и услуг, если качество их низкое, а цены при этом относительно высокие, можно с уверенностью предположить, что спрос на валюту этой страны будет низким и таким же, следовательно, будет ее обменный курс.
Сегодня, при окончательном отрыве бумажных денежных знаков от золота, критерии сопоставимости разных валют полностью лежат в плоскости их покупательной способности. Так, только товары и услуги, приобретаемые в стране на ее валюту, в сравнении с тем же количеством и качеством товаров и услуг, приобретаемых в другой стране на другую валюту, создают базу для сопоставления этих валют и получения их взаимных курсов.
Колебания циклического характера. Предположим, что в стране проводится экспансионистская экономическая политика. Правительство снижает уровень налогообложения, увеличивает объем государственных расходов. В результате вызванного таким образом роста в экономической системе будет увеличиваться совокупный спрос на все виды товаров и услуг, в том числе и импортные.
Увеличение импорта приведет к увеличению предложения национальной валюты, и обменный курс национальной валюты понизится.
А теперь представим, что в стране проводится рестрикционистская фискально-денежная политика.



Фиксированный курс: протекционистская политика


В результате предложение денег в стране начнет уменьшаться, кривая LM2 будет сдвигаться влево до тех пор, пока не будет ликвидирован дефицит платежного баланса, т. е. до своего первоначального положения LM1. Таким образом, монетарная политика при фиксированном валютном курсе в условиях высокой мобильности капитала так же неэффективна, как и в случае его абсолютной мобильности.
Результаты внешнеэкономической торговой политики в случае высокой мобильности капитала также аналогичны последствиям ее проведения в условиях абсолютной мобильности капитала. Чтобы убедиться в этом, рассмотрим графическую модель, представленную на рис. 13.21.
Непосредственными результатами протекционистской внешнеторговой политики являются, как известно, рост чистого экспорта, ставки процента и национального дохода, что соответствует переходу экономической системы в новое равновесное состояние, характеризуемое на рис. 13.21 точкой Е2 (Y2, i2)
Прямым следствием осуществления такой политики является также сдвиг кривой ВР вправо. Кроме того, при высокой мобильности капитала в связи с ростом внутренней ставки процента существенно возрастает приток иностранного капитала в страну.
Для того чтобы в этих условиях не допустить роста курса национальной валюты, Центральный банк должен будет проводить валютные интервенции, выкупая иностранную валюту в обмен на национальную. В результате денежное предложение в стране будет возрастать до тех пор, пока равновесие в экономической системе не установится в точке Е3, которой соответствуют более низкая ставка процента (i3) и более высокий уровень дохода (Y3) нежели в исходном состоянии Е1.
Таким образом, проведение протекционистской внешнеэкономической торговой политики в рассматриваемых условиях (фиксированного

Фиксированный курс: протекционистская политика

Рис. 13.21. Фиксированный курс: протекционистская политика
в условиях высокой мобильности капитала
обменного курса и высокой мобильности капитала) является весьма эффективным.


1 Более высокий доход обозначает бoльший размер импорта, а следовательно, дефицит торгового баланса. Отток капитала вследствие понижения в стране внутренней ставки процента также обусловливает дефицит счета движения капитала.

13.2
Большая открытая экономика
13.2.1. Особенности функционирования
большой открытой экономической системы
При анализе модели малой открытой экономики мы исходим из предположения, что проводимая страной экономическая политика не влияет на мировую ставку процента и что экономика может заимствовать капитал и предоставлять кредиты по мировой ставке процента в неограниченных количествах.
Для большой открытой экономики эти предположения становятся нереалистичными, так как она занимает промежуточное положение между рассмотренной нами малой открытой экономикой и моделью закрытой экономики. В этом случае ставка процента не является экзогенной переменной: чем больше такая экономика заимствует за границей, тем более высокую ставку процента ей приходится платить. В результате,
что и неудивительно, имеет место сочетание двух различных по своим параметрам моделей. Или возьмем, например, проблему сокращения национальных сбережений в результате экспансионистской бюджетно-налоговой политики правительства. Как и в закрытой экономике, подобные действия в условиях большой открытой экономики также приведут к повышению ставки процента и вытеснению частных инвестиций1.
Так же как и в малой открытой экономике с совершенной мобильностью капитала, эти действия правительства большой открытой экономики приведут к появлению положительного сальдо счета движения капитала, дефицита текущего счета платежного баланса и к росту реального обменного курса.
Таким образом, модель открытой экономики естественным образом сочетает в себе некоторые черты модели малой открытой экономики с некоторыми элементами закрытой экономической системы.
Если же внимание читателя акцентировать на отличительных ее характеристиках, то основной среди них необходимо отметить эндогенный характер мировой ставки процента в условиях функционирования большой открытой экономики. Еще раз подчеркнем, что мировая ставка процента определяется здесь не столько мировыми финансовыми рынками, сколько экономической политикой самой большой открытой экономической системы; в частности, чем больше средств большая экономика желает заимствовать на мировых финансовых рынках, тем более высокую процентную ставку ей приходится платить.
Рассмотрим, как приток капитала (КА) зависит от уровня внутренней ставки процента (i) для разных типов экономических систем (рис. 13.22).
В условиях закрытой экономики (рис. 13.22, а) не существует международного кредитования, поэтому КА = 0 вне зависимости от величины ставки процента.
Рис. 13.22, б характеризует малую открытую экономическую систему с абсолютной мобильностью капитала, который свободно движется между странами при мировой ставке процента и функция КА имеет абсолютную эластичность спроса (предложения) при i = i*.
Третий промежуточный вариант (рис. 13.22, в) отражает положительную зависимость между притоком капитала в большую экономику и величиной внутренней ставки процента. Чем выше ставка процента

Фиксированный курс: протекционистская политика

Рис. 13.22. Зависимость притока капитала из-за рубежа и ставка процента
а - закрытая экономика; б - малая открытая экономика; в - большая открытая экономика
в стране, тем более привлекательными становятся активы данной страны для зарубежных инвесторов и тем больше средств для накопления капитала поступает в эту страну из-за рубежа:
KA = KA(i).
Это уравнение свидетельствует, что приток капитала, т. е. сальдо счета движения капитала платежного баланса страны, является функцией внутренней ставки процента.


1 Увеличение государственных расходов ведет к росту совокупного спроса, вызывая, как правило, увеличение объемов выпуска. Но более высокий объем выпуска вызывает рост ставки процента на рынке активов, что сглаживает воздействие фискальной политики на выпуск. Более высокий уровень ставки процента снижает уровень инвестиционных расходов или "вытесняет" инвестиции.
Следовательно, фискальная политика, вызывающая увеличение выпуска, может в конечном счете сократить уровень инвестиций.

13.2.2. Модель большой открытой экономики
Модель большой открытой экономики аналогична модели малой открытой экономической системы за исключением фрагмента, формализующего условие движения потоков капитала. Ниже перечисляются все ее составные элементы, в частности:
Y = Y=F(K, L).
Y = C + I+G +XN.
C = C(Y-T).
I = I(i).
XN = XN(r*).
КА = KA(i).
7. XN + KA = 0.
Эти уравнения формализуют следующие положения:
1) величина выпуска (национального дохода) определяется характером производственной функции и располагаемыми объемами труда (L) и капитала (К)\
2) основное макроэкономическое тождество национальных счетов;
3) зависимость объема потребления от величины располагаемого дохода;
4) зависимость объема инвестиций от реальной ставки процента;
5) состояние текущего счета платежного баланса, обусловленное реальным обменным курсом валюты;
6) зависимость счета движения капитала от величины внутренней ставки процента;
7) необходимость балансирования друг друга счетами движения капитала и текущих операций.
С учетом вышесказанного общая запись модели IS-LM-BP для большой открытой экономики имеет вид:
IS: Y = C(Y-T) + I(i)+ G + XN(Y,r),
LM: M/P = L(Y, i),
BP:XN(Y, r) = -KA(i).
В третьем уравнении утверждается, что текущий счет XN всегда балансирует счет движения капитала КА, который в свою очередь зависит от внутренней ставки процента (r).
Для лучшего уяснения рассматриваемой модели подставим третье уравнение модели в первое. Тогда модель большой открытой экономики примет вид:
IS: Y = C(Y- Т) + I(i) + G - KA(i),
LM: M/P = LD(Y, i)
На рис. 13.23 приводится графическая иллюстрация данной модели.
Сделаем некоторые пояснения к графической модели большой открытой экономики в краткосрочном периоде.
Рис. 13.23, а: благодаря введению в уравнение IS нового параметра (потока капитала "-KA(i)) кривая IS становится более эластичной, чем она была бы в соответствующей модели закрытой экономики. При этом чем чувствительнее величина потока капитала к ставке процента, тем более эластичной становится кривая IS.
Рис. 13.23, б: здесь показано, что равновесная ставка процента i1, определяет поток капитала КА. Кривая имеет восходящий характер, так как повышение ставки процента стимулирует приток иностранных инвестиций.
Рис. 13.23, в: показано, что обменный курс валюты изменяется таким образом, чтобы чистый экспорт товаров и услуг уравновесил этот приток капитала. Иными словами, обменный курс служит средством установления баланса между текущим счетом и счетом движения капитала.

Фиксированный курс: протекционистская политика

Рис. 13.23. Модель большой открытой экономики
333
Рассмотрим теперь с помощью данной модели последствия для большой открытой экономики конкретной экономической политики в условиях плавающего обменного курса.

13.2.3. Экономическая политика
в большой открытой экономике
Бюджетно-налоговая политика. Проанализируем прежде всего влияние на исследуемую экономическую систему стимулирующей бюджетно-налоговой политики: увеличения государственных расходов или(и) снижения налогов (рис. 13.24).

Фиксированный курс: протекционистская политика

Рис. 13.24. Последствия бюджетно-налоговой политики
в большой экономической системе
Рост государственных закупок или(и) снижение налогов приводят к смещению кривой IS вправо (вверх). Как следует из рис. 13.24, а, такой сдвиг сопровождается ростом национального дохода (Y) и ставки процента (i).
В свою очередь, рост ставки процента ведет к сокращению объема инвестиций и увеличению притока капитала в страну (рис. 13.24, б).
В силу того, что текущий счет XN и счет движения капитала КА всегда уравновешивают друг друга, рост КА сопровождается падением XN. Поскольку же величина XN связана с реальным обменным курсом обратной зависимостью, реальный обменный курс r* должен при этом повышаться.
Заметим еще раз, что итоговое влияние бюджетно-налоговой политики в этой модели является комбинацией ее последствий для закрытой экономики и для малой открытой экономической системы. Как
и в закрытой экономике, стимулирующая бюджетно-налоговая политика в большой открытой экономике повышает ставку процента, что вытесняет внутренние инвестиции. Как и в малой открытой экономике с совершенной мобильностью капитала, стимулирующая бюджетно-налоговая политика вызывает приток капитала, дефицит текущего счета платежного баланса и повышение реального обменного курса национальной валюты.
Денежно-кредитная политика. Последствия денежно-кредитной, к примеру, стимулирующей политики рассмотрим с помощью графической модели, представленной на рис. 13.25.

Фиксированный курс: протекционистская политика

Рис. 13.25. Стимулирующая монетарная политика
в большой открыZой экономике
Увеличение предложения денег в результате стимулирующей кредитно-денежной политики приводит к смещению кривой LM вправо (рис. 13.25, а). Уровень дохода при этом растет, а ставка процента уменьшается.
Рис. 13.25, б иллюстрирует сокращение объемов капитала (из-за снижения внутренней ставки процента), поступающего в страну из-за рубежа.
В результате уменьшение потока капитала из-за рубежа сопровождается возрастанием чистого экспорта (для поддержания баланса между текущим счетом и счетом движения капитала). Рост чистого экспорта происходит вследствие снижения обменного курса (увеличивается предложение национальной валюты для международных расчетов, и обменный курс снижается).
Литература
Киреев А. П. Международная экономика. В 2-х ч. - Ч. I. Международная микроэкономика: движение товаров и факторов производства: Учеб. пособие для вузов. - М.: Междунар. отношения. 1997.
Киреев А. П. Международная экономика. В 2-х ч. - Ч. II. Международная макроэкономика: открытая экономика и макроэкономическое программирование: Учеб. пособие для вузов. - М.: Междунар. отношения, 1999.
Кругман П., Обстфельд М. Международная экономика. Теория и политика: Учебник для вузов / Пер. с англ, под ред. В. П. Колесова, В. П. Колесова, М. В. Кулакова. - М.: Экономический факультет МГУ, ЮНИТИ, 1997.
Линдерт П. Экономика мирохозяйственных связей: Пер. с англ. / Общ. ред. и предисл. О. В. Ивановой. - М.: Прогресс, 1992.
Миклашевская Н. А., Холопов А. В. Международная экономика: Учебник. - М.: МГУ им. М. В. Ломоносова, Изд-во "Дело и Сервис", 1998.
Михайлушкин А. И., Шимко П. Д. Экономика: Учебник для втузов. - М.: Высшая школа, 2000.
Мэнкью Н. Г. Макроэкономика. Пер. с англ. - М.: Изд-во МГУ, 1994.
Овчинников Г. П. Международная экономика: Учеб. пособие. - СПб.: Изд-во В. А. Михайлова, 1999.
Сальваторе Д. Международная экономика: Пер. с англ. / Под ред. Г. Н. Котова. - М., 1998.




Фискальная и монетарная политики


На рис. 12.18 пересечение кривых IS и LM определяет равновесный уровень национального дохода (300) и процентной ставки (8%). Поскольку точка Е лежит справа от графика внешнего баланса, платежный баланс находится в дефиците, который фактически пропорционален длине отрезка GE, при условии, что предельная склонность к импорту является фактором пропорциональности.
Определим размер дефицита, вычислив изменение в импорте, которое необходимо для восстановления внешнего баланса, предполагая, что процентная ставка и, следовательно, баланс счета движения капитала остаются постоянными. Например, зафиксировав процентную ставку на уровне 8% и допуская, что национальный доход падает с 300 до 160 (т. е. Y = -140), мы можем восстановить внешний баланс (см. точку G). Предположим теперь, что предельная склонность к импорту равна 0,10. На сколько упадет импорт, если доход упадет на 140?
Импорт упадет на 14 (0,10 140). Следовательно, дефицит платежного баланса в точке Е должен быть также равен 14.
На первый взгляд может показаться маловероятным совпадением факт пересечения всех трех кривых (IS, LM, ВР) в одной точке, соответствующей внутреннему и внешнему равновесию экономической системы, однако на самом деле это достигается необходимыми корректировками бюджетно-налоговой и денежно-кредитной политики правительства.


1 На практике степень мобильности капитала во многом зависит от развитости финансового рынка в данной стране и наличия валютных ограничений (мер, регламентирующих операции с национальной и иностранной валютой). В настоящее время в экономически развитых странах степень мобильности капитала достаточно высока, тогда как в большинстве развивающихся стран и стран с переходной экономикой финансовые рынки еще недостаточно развиты или находятся в стадии становления, а валют. На практике степень мобильности капитала во многом зависит от развитости финансового рынка в данной стране и наличия валютных ограничений (мер, регламентирующих операции с национальной и иностранной валютой).
В настоящее время в экономически развитых странах степень мобильности капитала достаточно высока, тогда как в большинстве развивающихся стран и стран с переходной экономикой финансовые рынки еще недостаточно развиты или находятся в стадии становления, а валютные ограничения охватывают платежи не только по счету капитала, но и зачастую по текущим операциям.ные ограничения охватывают платежи не только по счету капитала, но и зачастую по текущим операциям.

12.3.5. Эффекты фискальной
и монетарной политики
Как фискальная и монетарная политики (т. е. автономные перемены в расходах правительства или в подоходном налоге и предложении денег) влияют на национальный доход, процентную ставку и платежный баланс? Мы должны ответить на этот вопрос, прежде чем рассмотрим применение фискальной и монетарной политики для достижения внутреннего и внешнего баланса.
Эффекты монетарной политики. Рассмотрим сначала эффекты монетарной политики. Увеличение предложения денег вызовет сдвиг кривой LM вправо: при любой процентной ставке большее предложение денег может поддерживать более высокий доход (рис.
12.19). Возрастание предложения денег вызывает сдвиг кривой LM вправо, как показано штриховой линией LM1. Равновесие сдвигается из Е0 в Е1, национальный доход увеличивается с 300 до 340, а процентная ставка падает с 8% до 12%.
Какое влияние оказывает это на платежный баланс? Платежный баланс ухудшается, причем сразу по двум причинам: 1) из-за дополнительного импорта, вызванного ростом национального дохода и 2) из-за уменьшения притока капитала, вызванного снижением процентной ставки.
В условиях рис. 12.19 ухудшение платежного баланса проиллюстрировано тем фактом, что горизонтальный отрезок НЕ1 (показывает необходимое уменьшение национального дохода для восстановления внешнего баланса после увеличения предложения денег) обязательно
меньше, чем горизонтальный отрезок GE0 (показывает необходимое снижение дохода для восстановления внешнего баланса перед увеличением предложения денег).

Фискальная и монетарная политики

Рис. 12.19. Эффекты монетарной политики
Используя вышеупомянутый аргумент, заключаем, что уменьшение предложения денег вызывает снижение национального дохода, повышение процентной ставки и улучшение платежного баланса (поскольку импорт имеет тенденцию к снижению, а вливания капитала - к повышению).
Эффекты фискальной политики. Обратимся теперь к фискальной политике. Увеличение правительственных расходов вызывает перемещение кривой IS; вправо: при любой процентной ставке национальный доход возрастает в этом случае на величину, равную произведению мультипликатора на увеличение правительственных расходов (рис.
12.20).
Возрастание правительственных расходов вызывает сдвиг кривой IS вправо, как показано штриховой линией IS1. Равновесие перемещается из E0 в Е1, национальный доход повышается с 300 до 400, в то время как процентная ставка поднимается с 8 до 12%.
Какое влияние оказывает все это а платежный баланс? Экспансионистская фискальная политика вызывает два противоречивых эффекта: 1) увеличивает уровень национального дохода, который ухудшает
платежный баланс (из-за возросшего импорта), и 2) поднимает процентную ставку, которая улучшает счет движения капитала. Окончательный результат зависит от того, какой из этих эффектов сильнее. Это неопределенность проиллюстрирована на рис.
12.20 тем фактом, что горизонтальный отрезок НЕ1 может быть как меньше, так и больше отрезка GЕ0 в зависимости от относительных наклонов кривой LM и графика внешнего баланса.

Фискальная и монетарная политики

Рис. 12.20. Эффекты фискальной политики
Таким образом, мы можем сделать вывод о том, что увеличение (уменьшение) правительственных расходов вызывает рост (падение) и национального дохода, и процентной ставки, но влияние этого изменения в фискальной политике на платежный баланс неопределенно.
Обеспечение внутреннего и внешнего баланса. Рассмотрим графическую модель (рис. 12.21), иллюстрирующую идею достижения обеих целей экономической политики: внутреннего и внешнего баланса.
Внешний баланс соответствует, как нам известно, восходящему графику ВР, внутренний - вертикальной линии, проведенной на уровне национального дохода, соответствующего полной занятости в национальной экономике (Y1). Очевидно, что одновременно и внутренний, и внешний балансы имеют место в единственной точке F, лежащей
на обоих графиках. Поэтому для достижения обеих целей одновременно власти должны:

Фискальная и монетарная политики

Рис. 12.21. Две цели: внутренний и внешний баланс
1) зафиксировать предложение денег на соответствующем уровне, обеспечивающем прохождение кривой LM через точку общего равновесия F;
2) зафиксировать государственные расходы на таком уровне, чтобы кривая IS также прошла через точку F.
Другими словами, разработчики экономических стратегий должны выбрать такое сочетание фискально-монетарной политики, которое заставит кривые IS и LM пройти через точку общего баланса.
Еще о мобильности капитала. При решении проблемы достижения общего баланса экономической системы вопрос о мобильности капитала, т. е. чувствительности его к изменению процентной ставки и возможности перемещения между странами, становится вопросом первостепенной важности. Проиллюстрируем это при помощи только что рассмотренного рис. 12.21.
Рассмотрим точку G на графике баланса ВР.
В точке G платежный баланс находится в равновесии. Если мы переместим экономику из G в H за счет повышения процентной ставки с 5 до 7%, в платежном балансе появится активное сальдо, но только тогда, когда более высокая процентная ставка привлекает дополнительные вливания капитала. В этом случае мы, двигаясь в точку F, можем
восстановить внешний баланс при более высокой процентной ставке, позволяя национальному доходу возрасти.
Однако, если движения капитала между странами совершенно нечувствительны к изменению процентной ставки (абсолютная немобильность), платежный баланс "застрянет" на уровне, соответствующем точке Н. Это означает, что в случае абсолютной немобильности капитала график внешнего баланса вырождается в линию, вертикальную оси национального дохода (как это показано пунктирной линией GH).
В такой ситуации национальная экономика просто не сможет достичь одновременно и внутреннего, и внешнего балансов, во всяком случае, при использовании только методов фискальной и монетарной политики. И причина этого проста: графики внутреннего и внешнего баланса не пересекаются, так как представляют собой параллельные линии. В любой, отдельно взятый момент экономика может находиться как на графике внутреннего, так и внешнего баланса, но не на обоих.
Как обеспечить одновременное достижение обеих целей в такой ситуации? С помощью соответствующего сочетания политики регулирования расходов (например, фискальной и монетарной политик) с политикой переключения расходов1.
Учитывая, что последствием осуществления такой политики является сдвиг графика внешнего баланса, соответствующая политика перераспределения расходов может позволить совместить графики внешнего и внутреннего балансов, устраняя таким образом потенциальный конфликт между ними. Тогда любое сочетание фискальной и монетарной политики, которое обеспечивает внутренний баланс, обусловливает также и внешний баланс.



Формализованное отражение предпочтений инвестора


Естественно, что портфели, отвечающие этому критерию, будут находиться на кривой безразличия I1. 3. График в иллюстрирует промежуточный варинт между первыми двумя: здесь инвестора интересуют как доходность портфеля, так и степень его риска. На дополнительный риск ( p) он готов идти
162
только при условии соответствующего роста доходности ( rP), что, по его представлению, компенсирует принятый рост степени риска. Рассмотренный график иллюстрирует несколько упрощенное линейное соотношение между доходностью и степенью риска, когда одинаковым приростам степени риска ( p1 = p2) соответствуют равные приросты доходности ( rp1 = rp2).

Формализованное отражение предпочтений инвестора

Рис. 7.7. Формализованное отражение предпочтений инвестора
при помощи кривых безразличия
4. График г соответствует более реальной ситуации, суть которой заключается в следующем: с ростом степени риска инвестор готов идти на его дальнейший прирост только за счет все увеличивающегося компенсирующего прироста доходности; для рассматриваемого примера при p1 = p2( rp2 rp1).
Таким образом, можно сделать следующие выводы:
1) все инвестиционные портфели, лежащие на одной кривой безразличия, являются равноценными для инвестора. Следствием этого является тот факт, что кривые безразличия не могут пересекаться1;
2) инвестор будет считать любой портфель, лежащий на кривой безразличия, которая находится выше и левее, более привлекательным, чем любой портфель, лежащий на кривой безразличия, которая находится ниже и правее. В этом также просто убедиться, проведя горизонтальную или вертикальную секущие линии (рис. 7.8);

Формализованное отражение предпочтений инвестора

Рис. 7.8. Иллюстрация соотношения кривых безразличия
3) инвестор имеет дело с бесконечным числом кривых безразличия. Это означает, что как бы ни были расположены на графике две из них, всегда существует возможность построить еще произвольное количество непересекающихся кривых безразличия, лежащих между ними.
Выбор оптимального портфеля. Для выбора из множества альтернативных вариантов оптимального инвестиционного портфеля необходимо на одном графике совместить как само допустимое множество анализируемых портфелей, так и множество, или семейство, кривых безразличия, формализующих предпочтения инвестора.
Далее из множества допустимых вариантов необходимо определить инвестиционный портфель, расположенный на кривой безразличия, проходящей выше и левее остальных (рис. 7.9). Для рассматриваемого на рис. 7.9 примера оптимальным будет, очевидно, портфель А.

Формализованное отражение предпочтений инвестора

Рис. 7.9. Выбор оптимального инвестиционного портфеля
В заключение еще раз обратим внимание читателя на то, что выбор оптимального инвестиционного портфеля в значительной мере определяется характером расположения кривых безразличия, формализующих предпочтение инвестора относительно соотношения доходности и риска. Так, например, Mсли бы наш инвестор относился к риску более негативно нежели в рассматриваемом случае в качестве оптимального мог бы быть выбран инвестиционный портфель D.


1 В общем случае коэффициент ковариации характеризует зависимость двух случайных величин х и у и
рассчитывается по формуле

xy =

(х - х)(у - у)
, т. е. как среднее арифметическое из произведений отклонений
случайных величин х и у от своих средних х и у. Для рассматриваемого примера положительное значение ковариации показывает, что доходности двух ценных бумаг имеют однонаправленную тенденцию изменения. Отрицательный коэффициент ковариации означает, что анализируемые доходности имеют тенденцию компенсировать друг друга. Например, лучшая, чем ожидалась, доходность одной ценной бумаги сопровождается, как правило, худшей, чем ожидалась, доходностью другой.
Нулевое (или близкое к нулевому) значение коэффициента ковариации означает отсутствие или очень слабую взаимозависимость между доходностями соответствующих ценных бумаг.
1 Убедиться в этом несложно, проведя доказательство от противного, что читателю предлагается сделать самостоятельно.





ПЛАТЕЖНЫЙ БАЛАНС КАК ОТРАЖЕНИЕ МИРОХОЗЯЙСТВЕННЫХ СВЯЗЕЙ



9.1
Валютный курс и факторы,
его определяющие
9.1.1. Определение валютного курса
Международная свободная торговля выгодна, как было установлено ранее, всем участвующим в ней странам, причем по тем же экономическим причинам, по которым торгуют друг с другом жители разных регионов одной страны.
В то же время международная торговля характеризуется и определенными особенностями. В частности, в условиях международной торговли в обмене товарами и услугами участвуют граждане разных стран. Поэтому, во-первых, правительства многих государств стараются воздействовать на международную торговлю таким образом, чтобы обеспечить своим гражданам (или, по крайней мере, некоторым из них) определенные выгоды за счет иностранцев.
Следствием такой внешнеэкономической политики является установление таможенных барьеров между соответствующими странами.
Другой отличительной чертой международной торговли является то, что потребители и фирмы, участвующие в торговых отношениях, как правило, используют при этом разные денежные единицы. Например, российские покупатели американских товаров платят в рублях, в то время как американские производители этих товаров хотят получать оплату в долларах США.
Поэтому следующая группа актуальных вопросов международной экономики связана с особенностями международных расчетов, осуществляемых при помощи различных валют1, что предполагает, как правило, обмен одной валюты на другую.
Система международных валютных отношений (расчетов) является важнейшей частью всемирного хозяйства, через которую осуществляются все платежные и расчетные операции в мировой экономике. Именно этим и объясняется то огромное значение, которое экономисты придают проблеме отношений между национальными знаками стоимости (деньгами) в международных экономических сделках. При их осуществлении каждый раз возникает вопрос: как сравнивать "ценность" различных валют при практическом осуществлении международных расчетов?
Действительно, если, например, немцы собираются закупать американские станки, то им необходимо расплачиваться американскими долларами. Но сколько немецких марок следует отдать за
один американский доллар? С другой стороны, стоит ли им вообще закупать американское оборудование, выгодно ли это, дешевле ли оно (а может дороже?) аналогичных немецких изделий?
Ответ на эти и им подобные вопросы дает валютный курс, представляющий собой "цену" денежной единицы одной страны, выраженную в денежных единицах других стран.
Валютный, или обменный, курс связывает экономику конкретной страны с внешним миром, позволяет оценивать эффективность всех внешнеэкономических операций и во многом определяет качество функционирования национальной экономики в целом. Валютные курсы аккумулируют информацию о состоянии экономик соответствующих стран, а также настроений и ожиданий участников рынка относительно перспектив развития этих экономических систем. Для страны с относительно открытой экономикой валютный курс является, может быть, единственной самой важной ценой.
Действительно, валютный курс прямо или косвенно влияет на все сферы экономики; многие последствия изменений валютного курса могут быть достаточно разрушительными для национальных экономик. Изменение валютного курса влияет, например, на уровень общего спроса в стране, уровень цен, процентные ставки, распределение доходов внутри страны и на многие другие сферы экономики.
Установление курсов национальных валют в соответствии со сложившейся практикой и законодательными нормами называется валютной котировкой.
В мировой экономической практике существуют два метода котировок.
1. Прямая котировка, когда одна единица иностранной валюты приравнивается к определенному количеству национальной валюты. Например, в России при котировке американского доллара один доллар США (USD) приравнивается к определенному количеству рублей (RUR/USD), или в США одна немецкая марка (DEM) приравнивается к определенному количеству долларов или центов (USD/DEM). Такая котировка в настоящее время применяется в большинстве стран мирового сообщества.
Единица низшего разряда объявляемой котировки называется пунктом. Например, изменение курса рубля к доллару с 27,9 до 28,5 руб. за 1 долл. можно определить как понижение курса рубля на шесть пунктов.
2. Обратная (косвенная) котировка, когда единица национальной валюты приравнивается к определенному количеству иностранной валюты. Например, в Великобритании один фунт стерлингов (GBP) приравнивается определенному количеству, скажем, американских долларов (USD/GBP). Эта традиция восходит к тому времени, когда английская
валюта была ведущей мировой валютой, на долю которой приходилось до 80% всех международных расчетов (1913). В настоящее время, помимо английского фунта стерлингов, обратную котировку имеют ирландский фунт стерлингов, австралийский и новозеландский доллары, а также некоторые другие валюты. С 1978 г. введена частичная обратная котировка доллара США.
Прямой и косвенный курсы связаны обратной зависимостью: S(RUR/USD) = 1/S(USD/RUR).
Для избежания путаницы и затруднений при дальнейшем изложении материала валютный курс будет рассматриваться как цена иностранной валюты (прямая котировка).
В практике международных расчетов очень широко используются кросс-курсы, т. е. соотношения между двумя валютами, которые устанавливаются из их курса по отношению к курсу третьей валюты1.
При этом необходимо помнить следующие правила:
1. Для нахождения кросс-курсов валют с котировками на базе одной и той же третьей валюты (например, американского доллара) необходимо разделить эти две котировки. Так, если за 1 долл. США (USD) дают 6 французских франков (FRF) или 1,5 немецких марок (DEM), то за одну немецкую марку можно получить 4 французских франка. Таким образом,

Кросс-курс
=
FRF / USD(6,0)
=4,0FRF / DEM
(FRF / DEM)
DEM / USD(1,5)

2. Если доллар является базой котировки только для одной из валют, то для нахождения их кросс-курса необходимо перемножить долларовые курсы этих валют. Так, если за 1 долл. США можно получить 1,5 немецких марок, а за один фунт стерлингов (GBP) на рынке предлагают 2 долл.
США, то за один фунт стерлингов можно получить 3 немецкие марки. Таким образом,

Кросс-курс
=
USD

DEM
=
DEM
(DEM / GBP)
GBP
USD
GBP

При заключении конкретных сделок по купле-продаже валюты используются следующие виды курсов.

1. Спот-курс - цена единицы иностранной валюты одной страны, выраженная в единицах валюты другой страны, установленная на момент заключения сделки, предполагающей немедленную оплату и поставку валюты (при условии обмена валютами банками-контрагентами на второй рабочий день со дня заключения сделки).
2. Форвардный (срочный) курс - цена, по которой данная валюта продается или покупается при условии поставки ее на определенную дату в будущем. Таким образом, при заключении подобных сделок стороны пытаются предвидеть величину обменного курса. Если на дату поставки валюты курс будет отличаться от значащегося в договоре, то одна сторона получит прибыль от курсовой разницы, а другая понесет убытки.
Форвардные (срочные) сделки с валютой служат таким образом двуединой цели:
срахованию участников от риска более крупных потерь;
извлечению спекулятивной прибыли на разнице курсов (форвардного и спот) на момент поставки валюты.
Все расчеты по международным операциям между непосредственными участниками валютных сделок осуществляются через банки, которые рассматривают валютные операции как одно из средств получения дохода. Поэтому при котировке банки устанавливают два вида валютных курсов: курс покупателя, по которому банк покупает валюту, и курс продавца, по которому банк продает валюту.
Разница между ними, представляющая собой доход банка, называется спредом, или маржой. Спред, или маржа, должны покрывать операционные издержки банка и обеспечивать ему нормальную прибыль при проведении операций с валютой. При этом размер маржи, назначаемой коммерческим банком по разным валютам для разных клиентов и в зависимости от объема сделок, может существенно колебаться.
Очень важной характеристикой валюты является ее конвертируемость. Конвертируемость - это возможность свободно обменивать национальную валюту на иностранную по действующему курсу, а также оплачивать иностранные товары и услуги национальной валютой (как внутри страны, так и за ее пределами).
По степени конвертируемости валюта делится на:
свободно конвертируемую;
частично конвертируемую;
неконвертируемую (замкнутую).
Свободная конвертируемость подразумевает прежде всего устойчивость национальной экономики, возможность экономического роста и, как следствие этого, доверие к национальной валюте со стороны
иностранных партнеров. Для обеспечения свободной конвертируемости своей национальной валюты правительство соответствующей страны должно поддерживать либеральный режим внешней торговли, чтобы не искажать мировые цены на товары и услуги на внутреннем рынке. Центральный банк должен иметь при этом значительный запас золотовалютных резервов, чтобы поддерживать валютный курс без помощи административных санкций по ограничению ввоза и вывоза иностранной валюты и регулирования валютообменных операций.



ПЛАТЕЖНЫЙ БАЛАНС И ЭКОНОМИЧЕСКАЯ ПОЛИТИКА


СТРАНЫ
10.1
Определение и принципы формирования
платежного баланса
В настоящее время практически все страны являются участницами современного мирового хозяйства, поэтому проблемы международной экономики объективно заняли центральное место в политике абсолютного большинства государств.
В открытых экономиках межгосударственные экономические отношения осуществляются по двум основным направлениям - международной торговли и финансов. Внешнеторговые связи предполагают, что часть продукции, произведенной в данной стране, экспортируется за границу, в то время как часть товаров и услуг, произведенных за рубежом, импортируется, т. е. потребляется или инвестируется в данной стране. В финансовой сфере взаимозависимость национальных экономик выражается в том, что граждане той или иной страны наряду с национальными могут владеть и иностранными активами, в частности: держать денежные вклады в зарубежных банках, покупать ценные бумаги, выпущенные иностранными компаниями или правительствами, приобретать недвижимость за пределами своей страны.
В результате международные рынки товаров и услуг, а также финансовые рынки, тесно переплетаясь, воздействуют на величину национального дохода данной страны, состояние занятости, уровень инфляции и другие макроэкономические показатели. Так, например,

экокомическое положение, скажем Японии, зависит от того, на какой стадии экономического цикла находится экономика США, что непосредственно связано с объемом японского экспорта в эту страну. Если, например, в США наблюдается экономический рост, то оживление деловой активности в Японии за счет расширения ее экспорта в США означает, что рост экономики одного государства способствует росту экономики другого.
В свою очередь, характер и направление международных потоков капитала зависят от того; какую кредитно-денежную политику проводит Центральный банк той или иной страны. Так, если Федеральная Резервная Система США осуществляет жесткую кредитно-денежную политику, следствием которой является повышение процентных ставок, то можно ожидать оттока капитала из Японии, если вложение капитала в США в данный момент окажется более прибыльным.
Все вышесказанное свидетельствует о том, что при разработке экономической политики правительство каждой страны не может не учитывать механизм взаимосвязи макроэкономических показателей в открытой экономике. При этом прежде всего должны быть определены и измерены основные макроэкономические переменные, характеризующие участие страны в международном обмене товарами, услугами и капиталом, а затем построена макроэкономическая модель, описывающая взаимосвязи этих переменных.
С помощью этой модели необходимо проанализировать, как влияет на потоки товаров, услуг и капиталов экономическая политика, проводимая в данной стране и в других странах.
Основой для такого макроэкономического анализа является платежный баланс страны. Отражая состояние международных экономических отношений данной страны с остальным миром, платежный баланс выступает важнейшим ориентиром при разработке обоснованной макроэкономической политики: бюджетно-налоговой, денежно-кредитной, внешнеторговой, валютной и т. п.
Платежный баланс - балансовый счет международных операций - это стоимостное выражение всего комплекса макрохозяйственных связей страны в форме соотношения поступлений денежных средств и платежей.
Таким образом, платежный баланс представляет собой количественное и качественное выражение масштабов, структуры и характера внешнеэкономических операций страны, ее участия в мировом хозяйстве.

Данные платежного баланса показывают, как в течение отчетного периода развивалась внешняя торговля, что дает возможность дать оценку уровню производства, занятости и потребления в стране. Он позволяет проследить, в каких формах происходило привлечение иностранных капиталов и осуществлялись инвестиции за границу, своевременно ли погашалась внешняя задолженности страны или имели место просрочки и ее реструктуризация.
Платежный баланс показывает, как Центральный банк изменял уровень своих международных резервов, устраняя в случае необходимости платежные дисбалансы. Платежный баланс активно используется для определения мероприятий фискальной и монетарной политики, протекционистских мер, регулирования внутреннего валютного рынка и валютного курса и таких важнейших макроэкономических показателей страны, как валовой внутренний продукт (ВВП) и национальный доход (НД).
Платежный баланс составляется по принципу двойной записи (двойного счета), т. е. представляет собой двустороннюю запись всех экономических сделок. Система двойной записи означает, что каждая международная сделка в платежном балансе отражается дважды: по кредиту одного счета и дебету другого1. При этом исторически (начиная с меркантилистов) сложилось, что внешнеэкономические операции, увеличивающие приток в страну золота и иностранной валюты, рассматривались как активные кредитные операции.
Таким образом, к кредиту в платежном балансе относятся те сделки, в результате которых происходит отток ценностей, за которым должен последовать компенсирующий приток валюты в страну, поэтому кредит записывается со знаком "плюс". К дебету относятся те сделки, в результате которых страна расходует валюту в обмен на приобретенные ценности (они записываются со знаком "минус").
В этом отношении платежный баланс страны представляет собой своеобразный аналог баланса банка, а не промышленного предприятия. Например, предположим, что российское предприятие экспортирует товар на сумму 100 000 долл., который должен быть оплачен в течение трех месяцев. В российском платежном балансе вначале записывается экспорт товаров на данную сумму как кредит, так как он ведет к получению платежа от иностранцев. Затем платеж сам по себе отражается как дебет краткосрочного капитала, так как представляет

собой краткосрочный отток капитала из России, т. е., согласившись подождать оплаты три месяца, российский экспортер предоставляет кредит иностранному импортеру и приобретает право требования к нему. Это означает рост российских активов за рубежом и дебет. В целом эта сделка в платежном балансе России отразится следующим образом:


Кредит (+)
Дебет (-)
Товарный экспорт, долл.
100 000
-
Краткосрочный отток капитала, долл.
-
100000
В случае если происходит безвозмездное предоставление экономических ценностей (товаров, услуг или финансовых активов), возникает вопрос, как отразить эту операцию в счетах дважды? Для того чтобы это сделать, в платежный баланс вводится особая статья, которая называется "трансферты".
Предположим, что Россия получила от других стран товары стоимостью 10 млн. долл. в качестве гуманитарной помощи. В платежном балансе России необходимо сделать при этом следующие проводки:


Кредит (+)
Дебет (-)
Гуманитарная помощь (импорт), млн. долл.
-
10
Трансферты, млн. долл.
10
-
Таким образом, для активов (материальных или финансовых) кредитовая проводка показывает операцию, приводящую к их вывозу (и тем самым к уменьшению), в то время как контрпроводка по дебету означает операцию, приводящую к их ввозу (и тем самым росту).
Что касается пассивов (обязательств), то закономерность здесь прямо противоположная. Например, если Россия займет 10 млрд. долл. у США, то приобретет при этом не только актив, но и пассив (обязательства перед США). Счет актива в этом случае будет дебетовым, а счет пассива - кредитовым. Запись в платежном балансе России, регистрирующая эту операцию, будет иметь следующий вид:


Кредит (+)
Дебет (-)
Актив, млрд. долл.
-
10
Пассив, млрд. долл.
10
-

Общие правила отражения международных экономических операций в платежном балансе по кредиту или дебету представлены в табл. 10.1.
Таблица 10.1. Отражение международных экономических операций

Операция
Кредит (+)
Дебет (-)
Товары и услуги
Экспорт товаров и услуг
Импорт товаров и услуг
Доходы от инвестиций и оплата труда
Поступления от нерезидентов1
Выплаты нерезидентам
Трансферты
Получение средств
Передача средств
Операции с финансовыми активами
Получение долгосрочных и краткосрочных кредитов
Предоставление долгосрочных и краткосрочных кредитов
Исходя из принципа двойной записи, общая сумма кредита должна быть равна общей сумме дебета для всего платежного баланса, однако очевидно, что по его отдельным разделам может возникать дисбаланс между кредитом и дебетом. При этом, если кредит по разделу баланса больше дебета, имеет место положительное сальдо, если же дебет больше кредита, говорят об отрицательном его сальдо или дефиците.
Далеко не всегда на практике соблюдается также и условие равновесия платежного баланса в целом (без соответствующего вмешательства государства). Происходит это прежде всего потому, что для составления платежного баланса используются статистические данные из различных источников, собираемых различными службами. Информация о международных сделках может не совпадать как во времени, так и в числовом выражении.
Наконец, сведения о сделках могут сознательно искажаться экономическими агентами в целях осуществления противозаконных операций, в частности, вывоза капитала из страны, например, с использованием фиктивных импортных контрактов.



МОДЕЛИ МАКРОЭКОНОМИЧЕСКОГО РАВНОВЕСИЯ ОТКРЫТОЙ ЭКОНОМИКИ


СТРАНЫ
11.1
Платежный баланс и реальный
обменный курс
Состояние платежного баланса страны во многом определяется соотношением стоимостных объемов ее экспорта и импорта, которые в свою очередь зависят не только от обменных курсов валют соответствующих стран, но и от соотношения цен (отечественных и заграничных) на конкретные товары и услуги.
Именно поэтому экономисты различают два вида обменных курсов валют: номинальный и реальный, которые связаны между собой определенной зависимостью.
11.1.1. Реальный обменный курс валют
Номинальный обменный курс представляет собой относительную цену валют двух стран.
Реальный обменный курс - это относительная цена товаров, произведенных в двух странах, характеризующая пропорцию,
240
в которой товары одной страны могут обмениваться на товары другой. Таким образом, реальный обменный курс представляет собой, по существу, известные нам "условия торговли".
Рассчитывается реальный обменный курс (r*) по формуле


r* =r
Pf
Pd

где r - номинальный валютный курс; Pd - цена на внутреннем рынке (в национальных денежных единицах); Рf - цена за рубежом (в соответствующей валюте).
Для иллюстрации сути реального обменного курса рассмотрим условный пример, предположив, что стоимость аналогичных товаров в России и США составляет соответственно 400 руб. и 40 долл. при стоимости 1 долл. 20 руб.


r* =20
руб.

40 долл.
=2.
долл.
400 руб.

То есть при этих ценах и обменном (номинальном) курсе за одну единицу американской продукции можно получить две единицы аналогичного российского товара: еще одна иллюстрация того, что реальный валютный курс отражает относительный уровень цен в стране на ту или иную продукцию, а следовательно, и ее конкурентоспособность в международной торговле.
Переписав формулу, по которой рассчитывается реальный обменный курс, в виде


r* =
rPf
Pd
легко убедиться в том, что числитель в ней характеризует зарубежную цену, выраженную в национальных денежных единицах, а знаменатель - соответствующий уровень внутренней цены. Таким образом, реальный обменный курс валюты представляет собой не что иное как паритет покупательной способности.
Рост реального валютного курса (или его реальное обесценение) означает, что иностранные цены в рублях возрастают по сравнению с ценами на производимые в России товары. Это при прочих равных условиях приведет к переключению определенной части как российских, так и зарубежных потребителей на отечественную продукцию, увеличив тем самым ее конкурентоспособность.
К тому же результату приведет соответственно и понижение курса рубля (национального обменного курса). И наоборот, снижение реального
обменного курса, т. е. реальное его удорожание, будет означать, что отечественные товары становятся относительно более дорогими.
В самом общем случае (для произвольного количества товаров и услуг) реальный обменный курс между двумя странами может быть рассчитан по формуле


r* =r
P1
P2

где Р 1- уровень цен в зарубежной стране; P2 - уровень цен в национальной экономике.
Если r* увеличивается, т. е. обесценивается за счет, например, относительно низких отечественных цен, то население данной страны будет, очевидно, снижать потребление импортной продукции за счет роста объема потребления отечественных товаров. Поведение же иностранных потребителей будет в этих условиях диаметрально противоположным: они увеличат потребление продукции зарубежных фирм. Поэтому экспорт будет расти, а импорт сокращаться, приводя к росту чистого экспорта XN.
Графическая иллюстрация зависимости между реальным обменным курсом и чистым экспортом XN = XN(r*) будет иметь вид, представленный на рис. 11.1.

МОДЕЛИ МАКРОЭКОНОМИЧЕСКОГО РАВНОВЕСИЯ ОТКРЫТОЙ ЭКОНОМИКИ

Рис. 11.1. Чистый экспорт и реальный обменный курс
Отметим кроме того, что XN представляет собой текущий счет платежного баланса, следовательно, рис. 11.1 иллюстрирует также и зависимость текущего счета платежного баланса от реального обменного курса.
Необходимо в целях последующего анализа обратить внимание также на то, что на краткосрочных интервалах Р1/Р2 = const, т. е. в этом случае изменения реального обменного курса полностью определяются соответствующими изменениями номинального курса валют.

11.1.2. Факторы, определяющие равновесный
реальный обменный курс
Итак, мы выяснили, что реальный обменный курс связан с текущим счетом платежного баланса. Чем выше (3 > 2 > 1) реальный обменный курс (рис. 11.1), тем дороже товары, произведенные у себя в стране, по сравнению с товарами иностранного производства, тем ниже чистый экспорт и тем меньше величина положительного сальдо текущего счета платежного баланса.
Кроме того, нам известно, что счет текущих операций должен уравновешивать счет движения капитала, а это означает, что сальдо текущего счета равно разнице между сбережениями (S) и инвестициями (I) XN = S - I. Сбережения при этом определяются функцией потребления и бюджетно-налоговой политикой, а объем инвестиций - функцией инвестиций и мировой ставкой процента (рис. 11.2).

МОДЕЛИ МАКРОЭКОНОМИЧЕСКОГО РАВНОВЕСИЯ ОТКРЫТОЙ ЭКОНОМИКИ

Рис. 11.2. Равновесный реальный обменный курс (rE*):
(S - I) - счет движения капитала платежного баланса;
ХN(r*) - счет текущих операций платежного баланса
Линия, отражающая зависимость между сальдо текущего счета платежного баланса и реальным обменным курсом, имеет, как было показано выше, нисходящий характер, так как более высокий реальный обменный курс приводит к снижению показателя чистого экспорта. Линия, отражающая превышение сбережений над инвестициями,
вертикальна, так как ни сбережения, ни инвестиции не зависят от реального обменного курса.
В точке, соответствующей равновесному значению реального обменного курса, количество денежных единиц, полученных в результате операций со счетом движения капитала, равно количеству денежных единиц, требуемых для покрытия сальдо текущего счета, и наоборот.
Представленную выше модель можно рассматривать как диаграмму спроса и предложения на национальную валюту. В частности, вертикальная линия (S - I) обозначает превышение наших сбережений над нашими инвестициями и соответственно предложение национальной валюты, которая может быть обменена на иностранную валюту для инвестиций за рубежом.
Нисходящая линия XN отображает чистый спрос на национальную валюту, предъявляемый иностранцами, желающими приобрести товары в данной стране.
Таким образом, в точке, соответствующей равновесному реальному обменному курсу (rE*), предложение национальной валюты в качестве кредитов за границу уравновешивает спрос на национальную валюту, предъявляемый иностранцами, приобретающими наш "чистый" экспорт. Другими словами, в точке, соответствующей равновесному реальному обменному курсу, предложение национальной валюты по операциям с капиталом уравновешивает спрос на национальную валюту, предъявляемый для реализации текущих операций.

11.1.3. Экономическая политика и реальный
обменный курс
Теперь, используя полученные знания, можно рассмотреть, как основные направления экономической политики правительства будут влиять на реальный обменный курс, а следовательно, и платежный баланс страны.
Бюджетно-налоговая политика внутри страны. Что происходит с реальным обменным курсом, если правительство конкретной страны увеличивает государственные закупки, что, в свою очередь, ведет к снижению уровня национальных сбережений?
Сокращение сбережений уменьшает величину (S - I) и соответственно XN. Таким образом, увеличение объема государственных расходов способствует образованию дефицита счета текущих операций.
На рис. 11.3 показывается, как корректируется реальный обменный курс в результате осуществления бюджетно-налоговой политики внутри страны.

МОДЕЛИ МАКРОЭКОНОМИЧЕСКОГО РАВНОВЕСИЯ ОТКРЫТОЙ ЭКОНОМИКИ

Рис. 11.3. Влияние стимулирующей бюджетно-налоговой политики
внутри страны на реальный обменный курс
Осуществление стимулирующей бюджетно-налоговой политики смещает вертикальную линию (S - I) влево, уменьшая предложение национальной валюты для зарубежных инвестиций. Более низкое предложение национальной валюты вызывает повышение ее реального обменного курса, т. е. национальная валюта становится дороже. За счет повышения ценности национальной валюты товары, произведенные в данной стране, становятся более дорогими по сравнению с иностранными товарами, что приводит к сокращению экспорта и увеличению импорта.
Бюджетно-наоговая политика за рубежом. Рассмотрим теперь, что происходит с реальным обменным курсом, если правительства зарубежных стран увеличивают объем государственных закупок или снижают налоги?
Подобное изменение бюджетно-налоговой политики приводит к сокращению уровня мировых сбережений и, таким образом, повышает мировую ставку процента. Повышение мировой ставки процента снижает уровень внутренних инвестиций (7), в результате растет (S - I) и соответственно XN. Таким образом, повышение мировой ставки процента ведет к образованию положительного сальдо счета текущих операций (рис.
11.4).
Меры по стимулированию экономики с помощью бюджетно-налоговых мероприятий в зарубежных странах повышают мировую ставку процента и, таким образом, снижают уровень инвестиций в малой открытой экономике. Сокращение инвестиций приводит к увеличению предложения национальной валюты, что снижает равновесное значение



МАКРОЭКОНОМИЧЕСКАЯ ПОЛИТИКА


В настоящее время большинство государств мира проводят в большей или меньшей степени открытую экономическую политику. Открывая же свои экономические системы для сотрудничества с другими странами, правительства соответствующих государств должны наряду со стремлением к обеспечению внутриэкономического равновесия (и прежде всего полной занятости), стремиться к внешнему экономическому равновесию, под которым понимается равновесие платежного баланса. Поэтому внешнее равновесие экономической системы, состояние платежного баланса, уровень валютного курса становятся важнейшими проблемами макроэкономической политики правительств таких; государств.
12.1
Кейнсианская модель
"доходы-расходы "
12.1.1. Равновесие в закрытой экономической
системе
Макроэкономический анализ открытой экономики может осуществляться с различной степенью (глубиной) проникновения в исследуемые проблемы. Простейшая модель, позволяющая анализировать развитие открытой экономики, основана на разработанном Дж. М. Кейнсом подходе к анализу экономики через соотношение доходов и расходов.
Начнем ее рассмотрение с базовой кейнсианской модели закрытой экономики.
Предположим, что наша экономическая система состоит из двух секторов: предпринимательского и сектора домашних хозяйств. Предположим также отсутствие влияния на экономику со стороны государства, отсутствие каких-либо связей с внешним миром, а также неиз-мешюсть всех цен в экономике - цен товаров (инфляция отсутствует), капитала (процентных ставок), труда (зарплат) и иностранной валюты: (фиксированный курс). Последнее предположение означает фактически, что факт существования денежного сектора и денежных инструментов регулирования экономики модель не учитывает.

Валовый национальный продукт (ВНП) рассматриваемой экономической системы рассчитывается как денежное выражение всех конечных товаров и услуг, произведенных за определенный период времени, обычно за год. Весь ВНП в нашем случае может быть представлен в виде двух категорий: потребительские товары (С) и инвестиции (I):
Y = С + I,
где Y - валовый национальный продукт.
При производстве товаров и услуг, формирующих ВНП, весь объем дохода генерируется в форме заработной платы, ренты, процентного дохода и прибыли. Все полученные доходы либо тратятся на потребление, либо сберегаются. Таким образом, можем записать еще одно уравнение для ВНП:
Y = C + S.
Приравнивая записанные выше тождества, получаем:
C + S = Y = C + L
И, следовательно, С + S = С + I.
Исключив С из обеих частей уравнения, можно получить важное тождество, которое гласит, что сбережения (утечки) равны инвестициям (инъекциям) и которое выполняется только в том случае, когда экономическая система находится в состоянии равновесия.
Размер инвестиционных расходов в рассматриваемой модели определяется экзогенно, т. е. не зависит от уровня доходов (Y). Однако потребление является функцией от дохода: при увеличении дохода потребление также возрастает, но не в полном объеме прироста дохода:
C = Ca + bY,
где Са - автономное (независимое от уровня дохода) потребление; b - доля дохода (0 b 1), которая расходуется на потребление.
Таким образом, b - это предельная склонность к потреблению (МРС), которая определяется как


b =
C
Y

т. е. как отношение приращений (изменений) потребления и дохода. Для удобства анализа предположим, что предельная склонность к потреблению является постоянной величиной.
Подставив в уравнение Y = C + I значение С = Са + bY, получим выражение для равновесного уровня дохода:
Y = (Ca + bY) + I,
Y - bY = Ca + I,
Y(1 - b) = Ca + I,
Y = (1/(1 - b))(Са + I)
откуда следует, что равновесный уровень дохода равен мультипликатору расходов (1/(1 - b)), умноженному на сумму автономного потребления и инвестиций.
Рассмотрим пример, иллюстрирующий определение равновесного уровня дохода. Предположим, что функция потребления имеет следующий вид: С = 50 + 0,6Y. Объем инвестиций I = 30.
Графическая иллюстрация соответствующей кейнсианской модели "доходы - расходы" приведена на рис. 12.1.
Линия под углом 45 на рис. 12.1, а - это вспомогательная линия "нулевых сбережений", характеризующая равенство доходов и расходов экономической системы. В точке В весь доход тратится на потребление, следовательно, сумма сбережений равна нулю.
При более низких уровнях дохода сумма сбережений отрицательна - это означает, что люди тратят сбережения предыдущих периодов и расходуют, таким образом, больше, чем их текущий доход.
Учитывая, что объем планируемых инвестиционных расходов I=30, линия (С + I) на рис. 12.1, а соответствует функции совокупных расходов анализируемой экономической системы, которую называют также функцией совокупного спроса.
Очевидно, что равновесный уровень дохода для рассматриваемых исходных данных соответствует точке Е - точке равновесия экономической системы, для которой Y - 200. Этот же ответ может быть получен и аналитически:
Y = С + I = 50 + 0,6Y + 30,
Y = 0,6Y + 80,


Y =
1
80=200
1 - 0,6

Равновесный уровень дохода может быть также определен как уровень, при котором предполагаемые инвестиции равны объему сбережений (рис. 12.1, б):
S = Y - C = Y - (Ca + bY) = -Ca + (1-b)Y = -Ca + sY,
где

S
Y
-предельная склонность к сбережению (MPS).
Очевидно, что MPC + MPS = 1.
С учетом вышесказанного аналитический расчет равновесного уровня доходов, соответствующий рис. 12.1, б, будет следующим:
-50 + (1 - 0,6)Y = 30,
Y = 200.

МАКРОЭКОНОМИЧЕСКАЯ ПОЛИТИКА

Рис. 12.1. Равновесие в закрытой экономической системе
Совершенно естественно, что обе части рис. 12.1 содержат аналогичную информацию, позволяющую придти к идентичным выводам, однако модель I = S, как мы увидим далее, будет особенно полезна для случая открытой экономики.

12.1.2. Равновесный национальный доход в открытой
экономике
Обсуждение равновесного уровня национального дохода и мультипликатора расширим на случай малой открытой экономики, которая своими международными сделками не оказывает заметного воздействия на национальный доход ее торговых партнеров или остальной мир. Для исследования экономики страны, вовлеченной во внешнеторговые отношения, в рассмотренную выше модель необходимо добавить зарубежный сектор, т. е. включить в нее третий компонент конечного продукта - экспорт товаров и услуг, а также третье направление использования совокупного дохода - на импорт товаров и услуг. Так как в данной модели не рассматривается правительственный сектор, валовый национальный продукт страны может быть определен как
Y = Cd + Id + X,
где Cd - потребление отечественных товаров и услуг; Id - инвестиционные расходы на отечественные товары и услуги; X - экспорт товаров и услуг, произведенных внутри страны.
Представим теперь равенство Y = Cd + Id + X в более удобном виде. Заметим при этом, что величина внутренних расходов на все товары и услуги в условиях открытой экономики представляет собой сумму внутренних расходов на отечественные товары и услуги и внутренних расходов на товары и услуги, произведенные за рубежом. Поэтому общий объем потребления (С) равен сумме объема потребления отечественных товаров и услуг (Сd) и объема потребления товаров и услуг, произведенных за рубежом (Cj).
Общий объем инвестиций (I) равен сумме объема инвестиционных расходов на отечественные товары и услуги (Id) и объема инвестиционных расходов на товары и услуга, произведенные за рубежом (If).
Тогда С = Cd + Cf и I = Id + If.
Теперь, подставляя эти выражения в Y = Cd + Id + X, получим:
Y = (C - Cf) + (I - If) + X = C + I + X - (Cf + If) = C + I + (X - M),
где М - величина расходов на импорт.
Принимая во внимание, что Y = С + S, вычтем из обеих частей равенства Y = С + I + (Х - М) величину С. В результате получим:
S = I + (Х - M) или S + М = I + X.
Итак, в малой открытой экономике условие равновесного национального дохода, связывающее инъекции (I + X) и утечки из потока доходов (S + М), выражается уравнением:
I + X = S + M.
Несмотря на то, что данное уравнение является определяющим, у него есть интересные и весьма важные интерпретации, например S - I = X - M. Это указывает, что, с одной стороны, при равновесном уровне национального дохода страна могла бы иметь положительное сальдо торгового баланса (чистые инъекции из-за границы), равное превышению сбережений над внутренними инвестициями (чистые внутренние утечки). С другой стороны, дефицит торгового баланса страны при равновесном уровне национального дохода равен превышению внутренних инвестиций над сбережениями.
Заметим, что выполнение условия S + М = I + X для равновесного национального дохода не подразумевает автоматического равновесия торгового, и тем более, платежного баланса. Только в том случае, если S = I, будет выполняться равенство X = М, и торговый баланс также будет находиться в равновесном состоянии.
Рассмотрим теперь, как определяется в открытой экономике уровень равновесного дохода. Напомним, что инвестиции и экспорт автономны, т. е. не зависят от уровня дохода (У), а импорт, напротив, является функцией дохода:
M = mY,
где т = M/ Y - предельная склонность к импорту (МРМ)1.



Малая открытая экономика


экономики
13.1
Малая открытая экономика
13.1.1. Модификация модели IS-LM-BP
для малой открытой экономики
В качестве основного инструмента исследования проблем макроэкономического регулирования открытых экономических систем чаще всего используется рассмотренная выше модель IS-LM-BP, основными эндогенными переменными которой являются:
национальный доход (Y);
ставка процента (i);
реальный обменный курс (r).
Для случая малой открытой экономики, с которой мы начнем рассмотрение проблем макроэкономической политики, указанная выше модель имеет вид:
IS: Y = C(Y- Т) + I(i) + G + XN(Y, r);
LM: M/P = LD(Y, i);
BP: i = I*
Все параметры представленной модели были рассмотрены выше, за исключением величины Т, представляющей собой объем государственных налогов.
Поскольку наглядное графическое представление такой трехмерной модели весьма затруднительно, будем использовать (по мере необходимости) два варианта двумерных моделей, в каждой из которых

одна из трех переменных принимается за константу и анализируется взаимосвязь (-") между двумя другими:
1) r = const, Y - i;
2) i = i* = const, Y - r.
Первый вариант графического представления модели IS-LM-BP приводится на рис. 13.1.

Малая открытая экономика

Рис. 13.1. Модель малой открытой экономики (Y - i)
В условиях внутреннего и внешнего равновесия все три представленные на графике кривые пересекаются в одной точке Е, что обеспечивается (в случае необходимости) соответствующей корректировкой обменного курса. В частности, если i i* (рис. 13.2), иностранные инвесторы начинают вкладывать свои средства в экономику данной страны, конвертируя при этом их в соответствующие национальные денежные единицы.
В результате растет обменный курс данной национальной валюты, вызывая соответствующий рост относительных цен на отечественные товары по сравнению с ценами на иностранную продукцию; чистый экспорт уменьшается, и кривая IS сдвигается влево до тех пор, пока внутренняя ставка процента не сравняется с мировой.
Если внутренняя ставка процента окажется ниже мировой (i i*), отечественные инвесторы в этом случае будут вывозить свои капиталы за границу, переводя их в соответствующую иностранную валюту. В результате обменный курс национальной валюты снизится, кривая IS переместится вверх до положения, соответствующего равенству i = i*.
305
Из вышеизложенного следует, что в условиях плавающего курса валюты общее равновесие малой экономической системы устанавливается в точке пересечения кривых LM и ВР (на уровне мировой ставки процента). Затем происходит адаптация обменного курса и соответствующее смещение кривой IS до этой же точки.

Малая открытая экономика

Рис. 13.2. Обеспечение внутреннего и внешнего равновесия
за счет корректировки обменного курса
Если экономическая система поддерживает фиксированный курс национальной валюты, то, например, при превышении внутренней ставкой процента соответствующего мирового уровня, Центральный банк, препятствуя ее росту, вынужден будет проводить валютные интервенции, покупая иностранную валюту в обмен на национальную. В результате предложение денег в экономической системе будет увеличиваться, кривая LM начнет сдвигаться вправо до тех пор, пока внутренняя ставка процента не упадет до мировой и приток капитала из-за рубежа прекратится.
Таким образом, в малой открытой экономике внутренняя процентная ставка при любом режиме валютного курса всегда равна мировой (i = i*), что обусловливает пересечение всех трех кривых (IS, LM, BP) в одной точке, определяющей общее макроэкономическое равновесие экономической системы.
Второй вариант графической иллюстрации модели малой открытой экономики предполагает анализ зависимости между уровнем национального дохода (Y) и реальным обменным курсом (r).
Так как мы исходим из того, что ставка процента постоянна и равна мировой (i = i}, на графике (рис. 13.3) будут представлены только два уравнения:
IS: Y = C(Y - Т) + I(i*) + G + XN(Y, r);
LM: M/P = LD(Y, i*).
Кривые LM* и IS* на рис. 13.3 специально помечены звездочкой, так как описывают те состояния денежного и товарного рынков, при которых постоянно выполняется равенство внутренней ставки процента мировой (i = i*).

Малая открытая экономика

Рис. 13.3. Модель малой открытой экономики (Y - r)
Кривая IS* на рис. 13.3 имеет нисходящий характер, поскольку с ростом обменного курса национальной валюты снижаются чистый экспорт (XN), а следовательно, и совокупный национальный доход.
Линия LM* проходит параллельно оси обменного курса, поскольку он не входит в уравнение LM*. Действительно, если мировая ставка процента задана, то положение LM* определяется объемом совокупного национального дохода (Y) независимо от уровня обменного курс валюты. Рис.
13.4 наглядно иллюстрирует, как на основании мировой ставки процента и кривой LM, связывающей значение ставки процента и национального дохода (13.4, а), получается функция LM, индифферентная относительно обменного курса валюты r (рис. 13.4, б).

Малая открытая экономика

Рис. 13.4. Формирование кривой LM*
Макроэкономическая политика в условиях открытой экономики во многом определяется характером (типом) обменного курса национальной валюты: плавающим или фиксированным. Рассмотрим кратко основные особенности (различия) при ее практическом осуществлении в том и другом случаях.

13.1.2. Экономическая политика
в условиях плавающего обменного курса
При использовании режима плавающего обменного курса валютные резервы Центрального банка страны остаются неизменными, так как курс валюты в этих условиях устанавливается в результате свободного взаимодействия спроса на национальную валюту и ее предложение, т. е. автоматически. Теряя непосредственный контроль над обменным

курсом, Центральный банк получает в то же время реальную возможность контролировать денежное предложение (положение кривой LM), влияя таким образом на объем национального производства.
Отметим также, что в условиях плавающего обменного курса сальдо платежного баланса всегда будет равно нулю, поскольку стоимость национальной валюты будет повышаться или понижаться в той степени, которая необходима для обеспечения равновесия платежного баланса.
Плавающий валютный курс и бюджетно-налоговая политика. Предположим, например, что правительство конкретной страны осуществляет расширительную бюджетно-налоговую политику, связанную с ростом объемов государственных закупок и снижением налогов. Целью ее, предположим, является рост уровня национального дохода в стране.

Малая открытая экономика

Рис. 13.5. Стимулирующая бюджетно-налоговая политика
при плавающем обменном курсе
В условиях закрытой экономики эти действия правительства действительно бы привели, как мы знаем, к росту ставки процента (i) и уровня национального дохода (Y). В открытой экономической (малой) системе соответствующая государственная политика приведет, как это следует из ее графической модели (рис. 13.5) к сдвигу кривой IS*, характеризующей рынок товаров и услуг, вправо.
Это, как и в случае закрытой экономики, приведет к росту ставки процента, однако, давление на внутреннюю ставку процента в сторону ее повышения послужит стимулом для притока иностранного капитала в данную экономическую систему с образованием положительного сальдо платежного баланса.
Спрос на национальную валюту в этом случае увеличится, вырастет ее обменный курс, который будет повышаться для выравнивания
сальдо платежного баланса. Результатом же повышения валюZного курса будет сокращение объема чистого экспорта. Валютный курс будет расти, а чистый экспорт - сокращаться до тех пор, пока будет существовать активное сальдо платежного баланса, т. е. пока внутренняя ставка процента не сравняется с мировой.
Сокращение же чистого экспорта сводит, как правило, на нет весь эффект от расширения спроса на товары и услуги на внутреннем рынке, и в итоге равновесный уровень национального дохода в экономической системе не меняется, возрастает лишь обменный курс национальной валюты.
Таким образом, бюджетно-налоговая политика в рассматриваемых условиях является неэффективной, так как рост государственных расходов полностью компенсируется снижением совокупного спроса и уровня национального производства.
Плавающий валютный курс и денежно-кредитная политика. Предположим, что Центральный банк страны, проводя с целью повышения деловой активности стимулирующую денежно-кредитную политику, покупает на открытом рынке облигации, увеличивая тем самым предложение денег. В условиях неизменности цен (на краткосрочных интервалах) это приведет к увеличению реальных запасов денежных средств и соответствующему сдвигу вправо кривой LM* (рис.
13.6). При этом так же, как и в закрытой экономике, снизятся ставка процента, обменный курс и возрастет национальный доход.

Малая открытая экономика

Рис. 13.6. Стимулирующая денежно-кредитная политика
при плавающем курсе
Однако, если в закрытой экономике снижение ставки процента приведет к соответствующему росту объемов капиталовложений, в малой открытой экономической системе это будет стимулировать бегство капитала в другие страны с более высокой ставкой процента и увеличение
дефицита платежнoго баланса. В результате возрастет предложение национальной валюты, снизится ее обменный курс.



МЕЖДУНАРОДНАЯ ТОРГОВЛЯ И МИРОВОЙ РЫНОК


Принимая во внимание, что объектом приложения исследовательского аппарата международной экономики как теории является мировое хозяйство, или мировая экономика, остановимся на его краткой характеристике.
Под мировым хозяйством понимают систему взаимосвязанных и взаимозависимых национальных хозяйств (экономик), функционирующую и развивающуюся по единым объективным законам рынка.
1.1
Эволюция системы
мирового хозяйства
В своем становлении и развитии мировое хозяйство прошло долгий и сложный путь. Большинство исследователей относят его возникновение ко времени великих географических открытий XV - XVI вв.1 Именно эти открытия, по их мнению, привели к ускоренному развитию международной торговли драгоценностями, пряностями, благородными металлами и рабами. Однако мировое хозяйство этого периода
было, естественно, ограниченным, оставаясь долгое время сферой применения только купеческого капитала.
Современное мировое хозяйство возникло после промышленного переворота, произошедшего в конце XIX - начале XX столетия в ходе перерастания капитализма в его монополистическую стадию.
Мировое хозяйство до середины XX в. основывалось в большей степени на неэкономическом принуждении, зачастую даже на военной силе нежели на "силе капитала". В этот период существовали острые противоречия, делавшие его весьма неустойчивым. Это прежде всего противоречия как между самими империалистическими державами (приведшие к двум мировым войнам), так и между промышленно развитыми и развивающимися странами.
К середине XX столетия мировое хозяйство было расколото на две части: мировое капиталистическое и мировое социалистическое, - производящие соответственно 2/3 и 1/3 мирового продукта. Внутри каждой из этих частей мирового хозяйства существовали и развивались достаточно активные экономические отношения, чего нельзя сказать об отношениях между этими противоборствующими частями мирового хозяйства.
Что касается развивающихся стран, то их национальные экономики на этот период времени были развиты настолько незначительно, что не могли сколько-нибудь заметно влиять на структуру мирового хозяйства в целом. Однако уже с 60-х годов XX в. некоторые развивающиеся страны, активно развивая свои экономические системы, стали уверенно входить в систему мирового хозяйства. К середине 70-х годов среди них заметно выделились "новые индустриальные страны" (НИС) Юго-Восточной Азии: Южная Корея, Гонконг и Сингапур, а также некоторые страны Латинской Америки: Бразилия, Аргентина, Мексика.
С начала 90-х годов очень уверенно и мощно заявили о себе КНР, Малайзия, Индонезия, Индия и Турция.
После распада социалистического содружества, а затем и СССР мировое хозяйство начинает приобретать черты единого, целостного образования. Однако оно, естественно, не является однородным. Классифицируя входящие в его состав национальные экономические системы, их можно подразделить на три класса (уровня развития): 1) промышленно развитые; 2) развивающиеся; 3) переходного типа.


1 Некоторые исследователи отсчет времени его функционирования ведут со времен Римской империи, считая ее системой мирового хозяйства того времени (см., напр.: Хасбулатов Р. И. Мировая экономика. М.: ИНСАН, 1994).

1.2
Открытость национальных экономических систем
Одной из ведущих тенденций мирохозяйственного развития нескольких последних десятилетий является последовательный переход многих стран от замкнутых национальных хозяйств к экономике открытого типа, ориентированной на внешний рынок.
Открытой называют национальную экономику, естественным путем интегрированную в мировое хозяйство, достаточно полно реализующую преимущества международного разделения труда, активно использующую различные формы мирохозяйственных связей, выработанных современной практикой. Это такая экономика, все субъекты экономических отношений которой могут без ограничений совершать операции на международном рынке товаров и факторов производства.
Обратим внимание на то, что, как это следует из вышесказанного, необходимо различать понятия открытости экономики и свободы торговли. Понятие открытости экономики шире понятия свободы торговли и включает помимо собственно торговли товарами и услугами свободу передвижения между странами факторов производства (трудовых ресурсов, капитала, информации), а также взаимообмен национальными валютами.
Переход конкретной национальной экономики к политике открытости обеспечивает стране:
1) углубление специализации, а следовательно, и кооперации, что ведет к росту производительности, эффективности труда;
2) распространение мирового опыта через систему развитых международных отношений;
3) рост конкуренции между отечественными производителями, стимулируемый на мировом рынке;
4) рост благосостояния населения страны.
Отмечая основные преимущества, которые обеспечивает политика открытой экономики, необходимо также обратить внимание на то, что открытость экономики не является синонимом бесконтрольности и вседозволенности во внешнеэкономических связях государства и, конечно, не означает открытости границ.
Более того, открытая экономика требует существенного вмешательства государства в международные экономические отношения страны. Целью такого вмешательства должно быть последовательное отстаивание экономических интересов своей страны, обеспечение конкурентоспособности, эффективности национальной экономики, обеспечение
национальной безопасности страны. Исходя из этих критериев должны решаться проблемы оптимизации структуры экспорта и импорта, движения капитала, таможенной, валютной, налоговой, кредитной и инвестиционной политики. В результате государство оказывает существенное влияние не только на масштабы, но и на формы взаимодействия национальной экономики с внешним миром, с мировым хозяйством.
В качестве количественных индикаторов степени открытости конкретной национальной экономики чаще всего используются следующие экономические показатели: 1) экспортная квота; 2) импортная квота; 3) объем "чистого" экспорта; 4) внешнеторговая квота.
Рассчитываются они следующим образом.
1. Экспортная квота:
XQ = X / ВНП,
где X - объем экспорта страны за год, ден. ед.; ВНП - объем годового валового национального продукта, ден. ед.
2. Импортная квота:
MQ = М / ВНП,
где М - годовой объем импорта страны, ден. ед.
3. "Чистый" экспорт:
XN= Х - М.
4. Внешнеторговая квота:
ВТК = ВТО / ВНП,
где ВТО - внешнеторговый оборот страны за год, рассчитываемый как сумма объемов экспорта и импорта в стоимостном выражении.
Все рассмотренные выше показатели, за исключением "чистого" экспорта, могут быть рассчитаны и в процентах. Для этого результаты соответствующих расчетов необходимо умножить на 100.
Основными факторами, влияющими на степень открытости экономики, масштабы и интенсивность экономических связей национальных хозяйств, являются следующие.
Первый фактор - это уровень экономического развития страны, который принято измерять величиной национального дохода, приходящегося на душу населения. Первостепенное значение этого фактора не может вызывать сомнений, так как величина производственного и личного потребления в стране прямо зависит от объема национального дохода страны. И чем больше национальный доход на душу населения, тем шире возможности развития экономических связей с другими
странами. При этом экономисты отмечают следующую закономерность: чем больший удельный вес в структуре национального продукта имеют базовые отрасли (энергетика, металлургия, горнорудная и т. д.), тем меньше участие страны в международном разделении труда, тем меньше открытость национальной экономики.
Второй фактор - это степень развития структуры национального (общественного) продукта. Зависимость между структурой общественного продукта и интенсивностью внешних (а также и внутренних) экономических связей (потоков) такова: чем более дифференцирована структура производства, тем более интенсивными (при прочих равных условиях) могут быть эти связи, и наоборот, чем менее дифференцирован общественный продукт, тем слабее интенсивность этих связей, так как тогда нет условий для широких потоков товаров и услуг внутри хозяйства данной страны и между странами. Международные экономические связи долгосрочны и прочны лишь тогда, когда товарная структура как экспорта, так и импорта дифференцирована, а степень обработки обмениваемых товаров велика.
Вообще существует прямая зависимость между объемом национального дохода, приходящегося на душу населения, и развитостью структуры общественного продукта, но это не "жесткая" связь, так как в ее пределах могут быть весьма большие отклонения.
Третий фактор - это наличие в стране производственных ресурсов, понимаемых здесь, главным образом, как природные ресурсы, необходимые для производства сельскохозяйственного сырья, а также полезных ископаемых.
Причем если воздействие первых двух факторов на интенсивность внешних экономических связей проявляется лишь при определенном уровне промышленного развития, то обладание запасами сырья и сельскохозяйственными ресурсами играет определенную роль и в условиях недостаточно развитой экономики.



ТЕОРИИ МЕЖДУНАРОДНОЙ ТОРГОВЛИ


Международная, или внешняя, торговля занимает особое место в сложной системе мирового хозяйства. Хотя в современных условиях ведущей формой международных экономических отношений является не вывоз товаров, а зарубежное инвестирование, международная торговля по своим масштабам и функциям сохраняет исключительно важное значение. Она опосредует практически все виды сотрудничества, включая совместную производственную деятельность разнонациональных субъектов, международный трансферт технологий и т. п. И исторически, и логически интернационализация хозяйственной жизни всегда начиналась со сферы товарного обращения.
2.1
Факторы, определяющие необходимость
международной торговли
Необходимость международной торговли обусловлена следующими основными факторами.
Во-первых, особенностью занимаемой страной территории. Трудно представить себе, чтобы, например, в Монако1 был построен металлургический завод для производства того небольшого количества тонн стали, которое необходимо этому государству. Если же это будет сделано, то производство окажется убыточным. Это будет объясняться не неумелостью жителей Монако, а лишь тем фактором, что современное производство становится эффективным лишь при достижении некоторого минимального объема выпуска продукции, притом все более и более высокого (положительный эффект масштаба).
В настоящее время, в частности, больше уже не строят, если только нет крайней необходимости в этом, металлургических предприятий с объемом производства меньше 4-5 млн. т стали в год.
Эта экономическая необходимость приводит к тому, что небольшая страна не может иметь ту же самую структуру производства (независимо от объемов выпускаемой продукции), что и большая страна.
Во-вторых, различиями в природно-климатических условиях стран (запасы полезных ископаемых, количество и качество пахотных земель и т. п. ). Например, виноград и вино из него можно было бы производить, например, в Финляндии. Однако очевидно, что эффективность такого производства в расчете на единицу продукции не будет идти ни в какое сравнение с соответствующей эффективностью для страны, в которой почва, число солнечных дней в году, среднегодовая температура и количество осадков создают благоприятные условия для такой культуры и такого производства. Таким образом, существуют страны, где природные условия мало благоприятствуют сельскохозяйственному производству, тогда как в других странах они позволяют сделать эту отрасль производства очень доходной.
Экономическая структура таких стран будет в связи с этим глубоко различной.
Что касается полезных ископаемых, то вопрос о том, в какой мере природные богатства определяют структуру экономики и ее экономический рост, достаточно спорный. Без сомнения, все менее точным становится, например, такое представление, принятое в XIX в., что Англия своим процветанием обязана запасам каменного угля. Однако абсолютно ясно, что наличие тех или иных природных запасов создает определенную ориентацию в структуре экономики страны, в особенности, если эта страна довольно мала (например, Кувейт).
В-третьих, необходимость внешней торговли вызвана неравномерностью развития различных отраслей народного хозяйства. Продукция наиболее динамично развивающихся отраслей, которую невозможно реализовать на внутреннем рынке, вывозится на мировой рынок.
В-четвертых, на современном этапе развития национальных экономических систем четко прослеживается тенденция к максимальному расширению размеров производства (с целью минимизации средних издержек), тогда как емкость внутреннего рынка ограничена платежеспособностью населения. Поэтому производство неизбежно перерастает границы внутреннего спроса, и предприниматели каждой страны ведут упорную борьбу за внешние рынки сбыта.
В результате действия всех перечисленных выше факторов у абсолютного большинства стран возникает потребность в сбыте излишков своей продукции на внешних рынках, а также необходимость получения определенных товаров и услуг извне. Заинтересованность отдельных стран в расширении своих международных связей объясняется также и стремлением извлечь более высокую прибыль в связи с использованием дешевой рабочей силы и сырья развивающихся стран.
Нарастание интенсивности международного движения товаров, обусловленное рассмотренными выше факторами, явилось логической
причиной пявления и развития мирового рынка, общая эволюция которого представлена на рис. 2.1.


ТЕОРИИ МЕЖДУНАРОДНОЙ ТОРГОВЛИ


ТЕОРИИ МЕЖДУНАРОДНОЙ ТОРГОВЛИ

Внутренний рынок - форма товарообмена, при котором все, предназначенное для продажи, сбывается потребителям данной страны.
ТЕОРИИ МЕЖДУНАРОДНОЙ ТОРГОВЛИ

Национальный рынок - внутренний рынок, часть которого ориентируется на иностранных покупателей.
ТЕОРИИ МЕЖДУНАРОДНОЙ ТОРГОВЛИ

Международный рынок - часть национальных рынков, которая непосредственно связана с зарубежными рынками.
ТЕОРИИ МЕЖДУНАРОДНОЙ ТОРГОВЛИ

Мировой рынок - сфера устойчивых товарно-денежных отношений между странами, основанных на международном разделении труда и других факторах производства.
Рис. 2.1. Эволюция форм рынка
Мировой рынок характеризуется следующими основными чертами:
1) является категорией товарного производства, вышедшего в поисках сбыта своей продукции за национальные рамки;
2) проявляется в межгосударственном перемещении товаров, находящихся под воздействием не только внутреннего, но и внешнего спроса и предложения;
3) оптимизирует использование факторов производства, подсказывая производителю, в каких отраслях и регионах они могут быть применены наиболее эффективно;
4) выполняет санирующую роль, выбраковывая из международного обмена товары (а зачастую и их производителей), которые не в состоянии обеспечить международный стандарт качества при конкурентных ценах.
Главным внешним признаком существования мирового рынка является передвижение товаров и услуг между странами, т. е. международная торговля, состоящая из двух встречных потоков: экспорта и импорта.

1 В Монако в настоящее время проживает около 250 тыс. человек.

2.2
Равновесие на мировом рынке
Если исходить из предпосылки баланса спроса и предложения, то графически понятие экспорта и импорта для двух торгующих между собой стран можно представить так, как показано на рис. 2.2.

ТЕОРИИ МЕЖДУНАРОДНОЙ ТОРГОВЛИ

Рис. 2.2. Баланс спроса и предложения на мировом рынке:
а - страна А; б - мировой рынок; в - страна В
На рис. 2.2. DA и SA формализуют соответственно спрос и предложение товара в стране A, DB и SB - в стране В, a Dw и Sw - на мировом
рынке. Соответственно QEA, PEA и QEB, PEB представляют равновесные объемы продаж товара и равновесные цены в странах А и В в условиях автаркии1. Величины QEW и PEW определяют соответственно объем продаж и равновесную цену на мировом рынке в условиях свободной торговли (с нулевыми транспортными расходами).
Поскольку в рассматриваемой модели равновесная цена в стране А (PEA ) ниже, чем равновесная цена в стране В (PEB ), экономически целесообразным становится экспорт данного товара из страны А в страну В. Торговля между этими странами будет осуществляться по мировой цене PEW находящейся в диапазоне между внутренними ценами равновесия, существующими в странах до начала торговли. Очевидно, что для случая только двух стран количество товара, экспортируемого одной страной, должно в точности соответствовать количеству товара, импортируемого другой страной. Такое же соотношение между объемами экспорта и импорта будет иметь место и в рамках всей мировой экономики.
Естественно также, что баланс между экспортом и импортом для двух отдельных стран в рамках всей мировой экономической системы может и отсутствовать.
В формализованном виде условие равновесия в торговле между двумя странами может быть записано следующим образом:

ТЕОРИИ МЕЖДУНАРОДНОЙ ТОРГОВЛИ

или
DA+DB = SA + SB;
Dw - Sw.
Отсюда следует, что условия SA - DA = DB - SB и Dw - Sw являются эквивалентными условиями равновесия на мировом рынке продаж конкретного товара.

1 Автаркия - это политика добровольной или вынужденной изоляции страны от мирового рынка, хозяйственное обособление государства.

2.3
Особенности
современного мирового рынка
Прежде всего необходимо отметить, что мировой рынок в отличие от рынков национальных, как правило, бездефицитен: предложение
здесь чаще всего превышает спрос, который характеризуется достаточно высокой ценовой эластичностью.
Современный мировой рынок отличается очень высоким динамизмом, в частности, опережающим ростом объемов товарного обмена по сравнению с ростом объемов национального производства, а также быстрой обновляемостью товарного ассортимента и видов услуг.
В качестве характерной особенности мирового рынка необходимо отметить также неравномерность показателя внешнеторгового оборота по отдельным странам. Например, внешнеторговый оборот, исчисленный в долларах на душу населения, в странах ЕС (Европейское сообщество) более чем в два раза превышает соответствующий показатель для США (6600 против 3200 долл.).
И, наконец, особенностью развития мирового рынка является нарастание в общем объеме международного оборота доли промежуточных продуктов за счет соответствующего сокращения доли конечных изделий. Это результат установления глубоких и устойчивых технологических связей между фирмами разных стран по выпуску изделий машиностроительной, электротехнической, электронной и других отраслей промышленности. Ориентация этих предприятий на внешний рынок превращает их как бы в цеха и участки одного и того же завода, разбросанные в разных странах.
Таким образом, современная международная торговля постепенно утрачивает изначально присущие ей черты простой реализации на внешнем рынке определенного излишка продукции и все более сводится к заранее согласованным поставкам товаров между кооперирующимися предприятиями разных стран.





ТАРИФНЫЕ МЕТОДЫ РЕГУЛИРОВАНИЯ МЕЖДУНАРОДНОЙ ТОРГОВЛИ


3.1
Меркантилизм
и идея свободной торговли
Современные теории международной торговли имеют длинную историю. Вопрос, почему страны торгуют друг с другом, был поставлен экономистами одновременно с началом развития экономической
науки. Попытка разработки последовательной экономической концепции, объясняющей необходимость международной торговли и ее место в хозяйственной жизни страны, впервые была предпринята в рамках научной экономической школы меркантилизма (итал, merkante - купец, торговец), сложившейся в XV столетии и господствовавшей почти три века до начала XVIII столетия. Основные представители меркантилизма: Т. Мен (Англия), А. Серра (Италия), А. Монкретьен (Франция).
Основные идеи меркантилистов можно свести к следующим основным положениям:
1) главным богатством общества являются драгоценные металлы, в частности золото и серебро;
2) источником богатства является сфера обращения, т. е. торговля и денежный оборот;
3) государство должно всячески способствовать накоплению в стране драгоценных металлов.
Итак, сторонники меркантилизма были убеждены, что основой процветания нации является наличие в стране золота и серебра. Именно золото и серебро позволяют строить фабрики и создавать рабочие места, содержать сильный государственный аппарат, армию, военный и торговый флот, вести колониальные войны, захватывая новые территории для метрополий. Внешняя торговля, по мнению меркантилистов, должна быть полностью ориентирована на получение золота, поскольку в случае простого товарного обмена (например, шерсти на вино) оба товара, будучи использованными, перестают существовать.
Ассоциируя богатство стран с количеством золота и серебра, которым они располагают, меркантилистская школа внешней торговли полагала, что для укрепления национальных позиций государство должно:
1) поддерживать положительный торговый баланс - вывозить товаров больше, чем ввозить, так как это обеспечивает приток золота в качестве платежей, что, в свою очередь, позволит увеличить внутренние расходы, производство и занятость;
2) регулировать внешнюю торговлю для увеличения экспорта и сокращения импорта с целью обеспечения положительного торгового сальдо с помощью тарифов, квот и других инструментов торговой политики;
3) запретить или строго ограничить вывоз сырья и разрешить беспошлинный импорт сырья, которое не добывается внутри страны, но используется при производстве экспортной продукции: это позволяет держать низкими экспортные цены на готовую продукцию;
4) запретить всякую торговлю колоний с иными странами, кроме метрополии, которая единственная может перепродавать колониальные товары за рубеж, и запретить колониям производить готовые товары, превращая их тем самым в поставщиков сырья в метрополии;
5) установить контроль за использованием и обменом драгоценных металлов, в том числе запретить вывоз золота и серебра частными лицами.
Необходимо отметить, что меркантилисты внесли серьезный вклад в развитие теории международной торговли хотя бы уже потому, что впервые отметили ее значимость для экономического развития стран и разработали одну из возможных моделей внешней торговли. Они впервые описали то, что в современной экономике называется платежным балансом.
Однако меркантилисты не смогли понять, что обогащение одной нации может происходить не только за счет обнищания других, с которыми она торгует, что международная экономика развивается, а поэтому развитие стран возможно не только за счет передела уже существующего богатства, но и за счет его наращивания.
Практическая реализация идей меркантилизма способствовала развитию национализма, обособленности стран, возникновению конфликтных ситуаций между ними. Международная торговля в это время была разделена на "зоны", удовлетворяющие интересы метрополий (Великобритания, Франция, Испания и др.) и связанных с ними колониальных стран. Примером меркантилистской политики в России была политика Петра I.
Подобная экономическая политика противоречила развитию капиталистического производства, поэтому потребовались новые концепции международной торговли.
Самый сильный удар по меркантилистским воззрениям на внешнюю торговлю нанесли экономисты, представлявшие школу, которая позже получила название классической, и, в частности, ее основоположник, английский экономист Адам Смит (1723-1790).
Главной идеей в работах А. Смита была идея о том, что благосостояние наций зависит не столько от количества накопленного ими золота, сколько от их способностей производить конечные товары и услуги. Поэтому основой богатства наций и народов является не накопление золота, а развитие производства за счет разделения труда и кооперации. Практически во всех своих трудах А. Смит формулировал следующий вывод: выгоду получают страны, активно,
без помех и ограничений участвующие в международном разделении труда.
Высмеивая боязнь внешней торговли, А. Смит сравнивал нации с домашними хозяйствами. Поскольку каждое домашнее хозяйство находит выгодным для себя производить лишь часть необходимого, а остальное приобретать за счет продажи излишков, то же самое, по мнению А. Смита, может быть отнесено и к нациям в целом. Он писал: "Основное правило каждого благоразумного главы семьи состоит в том, чтобы не пытаться изготовлять дома такие предметы, изготовление которых обойдется дороже, чем при покупке их на стороне.
Портной не пробует сшить себе сапоги, а покупает их у сапожника...
То, что представляется разумным в образе действия любой частной семьи, вряд ли может оказаться неразумным для всего королевства. Если какая-либо чужая страна может снабжать нас каким-нибудь товаром по более дешевой цене, чем мы в состоянии изготовлять его, гораздо лучше покупать его у нее на некоторую часть продукта нашего собственного промышленного труда, прилагаемого в той области, в которой мы обладаем некоторым преимуществом"1.
Резюмируя основные положения А.Смита в теории международной торговли, необходимо отметить следующее:
1) правительствам не следует вмешиваться во внешнюю торговлю, поддерживая режим открытых рынков и свободы торговли;
2) нации, так же как и частные лица, должны специализироваться на изготовлении товаров, в производстве которых у них есть абсолютные преимущества2, и торговать ими в обмен на товары, абсолютным преимуществом в производстве которых обладают другие нации;
3) концентрация усилий (ресурсов) стран на производстве товаров, по которым страны имеют абсолютное преимущество, приводит к увеличению общих объемов производства, росту обмена между странами продуктами своего труда;
4) свободная торговля между странами обусловливает эффективное распределение мировых ресурсов, обеспечивая прибыль любой и каждой торгующей стране.
Эти выводы А. Смита являются одним из важнейших достижений классической школы экономической мысли. И все же во многих отношениях доводы А.Смита были несовершенны. В частности, он полагал, что каждая нация производит товары, по которым имеет абсолютное преимущество перед потенциальными партнерами.
Это позволяет ей участвовать в международной торговле, извлекая из этого соответствующую выгоду.
Более того, А.Смит считал, что каждая нация в достаточной мере обладает абсолютными преимуществами перед своими торговыми партнерами, чтобы поставлять на экспорт столько же товаров, сколько закупается по импорту за границей, если только торговля будет свободна от ограничений и регламентации. При этом он отмахнулся от вопросов, которые возникали и ставились уже в то время.
Как быть, если какая-либо страна не обладает абсолютными преимуществами ни по одному из товаров?
Захотят ли другие страны в этих условиях торговать с такой страной?
А если захотят, не будет ли такая торговля выгодной другим странам за счет ущерба, нанесенного данной стране?
Или ущерб понесут страны, обладающие абсолютными преимуществами по всем видам товаров?
Дальнейшее развитие теории международного разделения труда и международной торговли связано с именем Давида Рикардо,1 которому удалось доказать, что абсолютные преимущества, рассматриваемые А.Смитом, представляют собой лишь частный случай общей теории сравнительных, или относительных, преимуществ.
Д. Рикардо, в частности, обосновал выгодность внешней торговли для любой страны, даже если она вообще не располагает абсолютными преимуществами или, напротив, имеет абсолютные преимущества перед другими странами в производстве абсолютно всех товаров и услуг.
Чтобы разобраться в теории А. Смита и Д. Рикардо, рассмотрим и проанализируем две конкретные числовые модели, при помощи которых можно проиллюстрировать все основные, ключевые доводы в пользу выгодности внешней торговли для любой участвующей в ней страны.

1 Смит А. Исследование о природе и причинах богатства народов: Кн. IV "О системах политической экономии". М.: Соцэкгиз, 1935.
С. 32-33.
1 Рикардо Давид (1772-1823) - английский экономист, создатель и разработчик теории сравнительных преимуществ.
2 Под абсолютным преимуществом понимаются либо более низкие затраты ресурсов на производство единицы продукции, либо большее количество продукции, изготовленное с использованием единицы ресурсов.



НЕТАРИФНЫЕ БАРЬЕРЫ МЕЖДУНАРОДНОЙ ТОРГОВЛИ


5.1
Аргументы против тарифов
Основные аргументы против использования таможенных пошлин, как импортных, так и экспортных, были изложены выше, при рассмотрении основ теории тарифов; здесь же мы только обобщим их.
5.1.1. Влияние тарифа на мировой объем
производства
Любое государство, осуществляющее выпуск товара, по которому оно имеет сравнительное преимущество перед другими странами, способствует увеличению мирового объема выпуска этого товара. При этом максимизация мирового выпуска конкретного товара имеет место тогда, когда альтернативные издержки его производства (предельные нормы замещения) примерно одинаковы во всех странах. Следовательно, именно в результате свободной торговли достигается максимальный объем производства в мире.
Любое ее ограничение ведет к снижению мировых объемов выпуска продукции, препятствуя, таким образом, получению потенциальной выгоды от торговли.

5.1.2. Тарифы и потребление
При введении пошлины становится невозможным не только достижение максимального объема мирового производства, но и оптимальное распределение готовой продукции между потребителями (странами).
Определенный набор товаров будет оптимально распределен между двумя покупателями (или странами), когда при дальнейшем распределении уже невозможно сделать одного из потребителей (или одну из стран) богаче без уменьшения уровня благосостояния другого (другой) при данном наборе благ. (Это оптимизация по принципу Парето). Оптимум же в этом случае достигается тогда, когда предельные нормы замещения в потреблении двух покупателей (или стран) будут одинаковы (равны). И если свободная торговля способствует, как мы знаем, выравниванию альтернативных издержек (предельных норм замещения) в разных странах, то тарифы этому препятствуют, поскольку при введении тарифа образуется разница между внутренними и внешними относительными ценами.
Таким образом, введение пошлины не допускает оптимального распределения товаров между странами.

5.1.3. Тариф и налоговое бремя
на потребителей
Тариф, как мы могли в этом убедиться выше, приводит к росту внутренних цен по сравнению с условиями свободной торговли. Тем самым часть доходов потребителей перераспределяется в государственный бюджет, и их располагаемый доход сокращается. Уровень жизни в стране снижается со всеми вытекающими отсюда последствиями - экономическими и политическими.

5.1.4. Тариф на импорт (экспорт)
и экспорт (импорт) страны
Торговля, в том числе и международная, является, образно говоря, дорогой с двусторонним движением. Вводя, например, налог на импорт и, следовательно, снижая его, страна сокращает экспортные доходы другой страны, что приводит к уменьшению ее возможности импортировать товары из первой страны. Таким образом, первая страна, введя таможенные пошлины, собственными руками наносит удар по своим экспортопроизводящим отраслям.
Кроме того, зачастую экспортные товары страны включают импортные комплектующие, рост цен на которые (в результате введения импортной пошлины) приводит к росту издержек на производство экспортной продукции, которая становится менее конкурентоспособной на мировом рынке.
Экспортные пошлины, вводимые страной, ведут к сокращению объема экспорта, а следовательно, и валютных поступлений, что, в свою очередь, сокращает возможности страны импортировать необходимую продукцию, в том числе и комплектующие для своих экспортных товаров.

5.1.5. Тариф и уровень занятости в стране
Вводя импортный тариф, правительство страны преследует, как правило, цель защиты рабочих мест на отечественных предприятиях, производящих товары, конкурирующие с импортом. Достижение этой цели сопряжено, очевидно, с сокращением уровня занятости в экспор-топроизводящих отраслях. При этом снижение экспорта из-за ограничения импорта может оказаться настолько значительным, что положительное влияние от введения тарифа на уровень занятости в отраслях, конкурирующих с импортом, может быть перекрыто отрицательным влиянием на занятость в экспортопроизводящих отраслях.
Более того, работники, занятые в отраслях, конкурирующих с импортом, из-за растущих издержек производства будут требовать повышения заработной платы. Чтобы не допустить оттока рабочей силы в эти отрасли, экспортные отрасли тоже поднимут уровень заработной платы, что скажется на росте издержек и снизит конкурентоспособность производимых в стране товаров и, следовательно, экспорт в целом.
Ну, и наконец, введение тарифов, особенно в одностороннем порядке, подрывает стабильность международной торговли и международной экономики в целом, поскольку партнеры, пострадавшие от введения тарифа, прибегают, как правило, к ответным санкциям (репрессалиям). Эти процессы в отдельных случаях становятся неуправляемыми и приводят к "торговым войнам".

5.2
Аргументы в защиту тарифов
Несмотря на столь убедительную аргументацию сторонников свободной торговли, в реальном мире импортные тарифы используются как основной способ международной торговой политики. Набор аргументов в защиту таможенных импортных пошлин весьма широк, и каждая страна делает особый акцент на те из них, которые больше подходят к ее местным условиям.
Рассмотрим основные из приводимых чаще всего аргументов в защиту тарифа.
5.2.1. Тариф как средство защиты
молодых отраслей
Аргумент о необходимости защиты молодых отраслей пользуется наибольшей популярностью как среди ученых, выступающих с позиций протекционизма, так и среди политиков, воплощающих их идеи в жизнь. Этот аргумент, который всегда имел огромную привлекательность
для молодых и развивающихся стран, был сформулирован в 1791 г. Александром Гамильтоном - секретарем (министром) казначейства при Джордже Вашингтоне.
Он заключается в том, что в менее развитых странах временное введение тарифа вляется оправданным, поскольку сдерживает импорт современной промышленной продукции в течение того времени, пока нарождающаяся собственная индустрия набирается опыта и издержки отечественного производства снижаются до уровня, позволяющего противостоять конкуренции импортной продукции без тарифных подпорок. При этом утверждается, что сдерживание конкуренции импорта из более развитых стран со временем приведет к снижению национальных издержек производства, что окажется выгодным и всему мировому хозяйству в целом. Кроме того, в его защиту высказывается и то соображение, что тариф в этом случае носит лишь временный характер.
Такая поддержка национального автомобилестроения весьма успешно осуществлялась, например, в послевоенной Японии, что позволило ей достаточно быстро достичь высокого уровня конкурентоспособности и упразднить затем тарифы за ненадобностью. Другие примеры: развитие машиностроения и строительной отрасли в Южной Корее, машиностроения в Бразилии и др.
Кстати, довод в пользу необходимости защиты молодых отраслей останется актуальным и впредь, поскольку такие отрасли будут в различных странах возникать всегда. Увеличение в мировом объеме производства доли новых продуктов, изготовляемых при помощи новых технологий, является имманентным свойством экономического развития, и поэтому постоянно будет существовать проблема защиты новых отраслей отечественного производства, временно уступающих по конкурентным позициям другим странам.
Однако, по мнению некоторых экономистов, более эффективным способом защиты молодых отраслей нежели тарифная защита является их субсидирование, но для того, чтобы им воспользоваться, государство должно располагать весьма существенными объемами необходимых для этого средств.

5.2.2. Тариф как средство получения дохода
Этот аргумент в пользу введения таможенных пошлин активно используется прежде всего развивающимися странами, а также государствами с переходной экономикой, включая и Россию. Основной проблемой в этих странах является неспособность правительств обеспечить необходимый уровень общественных потребностей населения. Поэтому таможенные пошлины становятся важнейшим источником
пополнения государственного бюджета, обеспечивая до половины и более поступлений средств в госбюджет. Для иллюстрации вышесказанного, в табл. 5.1 приводится статистическая информация (на 2000г.) о формировании доходов госбюджетов некоторых стран мира за счет тарифных сборов.
Таблица 5.1. Тарифные поступления в бюджеты стран

№п/п
Страна
Процент от объема бюджета
1
Аргентина
13,31
2
Австралия
5,19
3
Бра илия
4,22
4
Канада
5,26
5
Колумбия
11,58
6
Франция
0,03
7
Германия
0,02
8
Гана
40,90
9
Индия
24,07
10
Италия
0,21
11
Берег Слоновой Кости
40,73
12
Корея
14,01
13
Малайзия
28,23
14
Мексика
2,73
15
Пакистан
30,94
16
Великобритания
0,01
17
США
1,56
18
Венесуэла
18,00
19
Россия1
12,00
Итак, как следует из табл. 5.1, большинство слаборазвитых стран используют тариф в качестве основного или одного из основных источников пополнения государственного бюджета. Объясняется это тем, что правительства этих стран считают гораздо более простым способом пополнения бюджета взимание повышенных таможенных пошлин в нескольких портах страны (задействовав при этом незначительное количество должностных лиц таможни), чем внедрение сложных систем налогообложения, свойственных развитым странам2.



МЕЖДУНАРОДНОЕ ПЕРЕМЕЩЕНИЕ ФАКТОРОВ ПРОИЗВОДСТВА


В настоящее время использование тарифов при регулировании международной торговли становится все более проблематичным. Одной из главных причин такого положения дел является жесткий контроль за тарифными ограничениями со стороны международных организаций и прежде всего Всемирной торговой организации1 (ВТО), последовательно проводящих политику уменьшения уровня таможенных пошлин в международной торговле.
Существуют и другие обстоятельства, затрудняющие использование национальными равительствами тарифно-таможенного регулирования в протекционистских целях. В частности, общим недостатком стоимостных, или ценовых, методов регулирования является их косвенное воздействие на национальную экономику. Так, в ряде случаев иностранные экспортеры идут на выплату повышенного тарифа за счет понижения уровня собственной прибыли, искажая таким образом прогноз относительно объемов импорта.
Кроме того, при импорте товара с низким уровнем эластичности (например, нефти) изменение тарифа может и не повлиять на объемы импортных поставок.
Перечисленные недостатки таможенных пошлин привели к разработке и использованию альтернативных мер регулирования импорта, воздействующих непосредственно на количественные и стоимостные параметры поставок импортируемого товара.
Наиболее используемые нетарифные методы торговой политики делятся на количественные и финансовые.
6.1
Количественные ограничения международной торговли
Количественные ограничения представляют собой административную форму государственного регулирования внешнеторгового оборота, определяющую номенклатуру и количество товаров, разрешенных к экспорту или импорту.
Они включают:
квотирование (контингентирование);
лицензирование;
"добровольное" ограничение экспорта.
Наибольшее распространение среди перечисленных выше количественных методов ограничений внешней торговли имеют импортные квоты, или количественное ограничение объема иностранной продукции, разрешенной к ввозу в страну за определенный срок. В чем импортные квоты предпочтительнее аналогичных тарифных ограничений?
1. Импортные квоты позволяют национальным производителям, опасающимся ценовой конкуренции с иностранными поставщиками, сохранить за собой определенную долю рынка без угрозы противоборства в ценовой конкуренции.
2. На макроуровне количественные ограничения дают возможность, жестко фиксируя объем импорта, прогнозировать величину валютных расходов страны.
3. Квоты предоставляют правительству большую гибкость и власть при осуществлении внешнеэкономической политики, тогда как повышение ставок тарифа регламентируется, как уже было отмечено, международными торговыми соглашениями.
4. Нуждающиеся в защите отрасли отечественной экономики также предпочитают квотирование импорта, поскольку добиться введения квоты им легче, чем введения или увеличения тарифа.
Принимая во внимание столь высокую "конкурентоспособность" таможенных импортных квот по отношению к таможенному тарифу, проведем более глубокий сопоставительный анализ таможенных квот и пошлин. Прежде всего отметим, что и квота, и пошлина по своим последствиям на экономику страны во многом эквивалентны. Для понимания микроэкономической сути квоты исследуем эту эквивалентность при помощи графической модели, представленной на рис.
6.1.
В условиях свободной торговли равновесие достигается в точке Е, где график внутреннего спроса на импорт DD пересекается с графиком зарубежного предложения - экспорта - SS. Страна ввозит 50 тыс. ед. импортной продукции по цене 1200 долл. за единицу.
Предположим, что правительство данной страны ввело квоту 40 тыс. ед. (в месяц), как это отражено на рис. 6.1 вертикальной линией Q. Такая квота будет эффективной, так как она ниже, чем существующий до нее приток импорта в страну в условиях свободной торговли (50 тыс. ед.). Цена на внутреннем рынке возрастет до 1300 долл. за единицу импортной продукции, что соответствует новой точке равновесия F. Цена на мировом рынке при этом будет определяться соответствующей
координатой точки H и составит 1000 долл. за единицу продукции.
Как и импортный налог, импортная квота, таким образом, "вбивает клин" между отечественными и мировыми ценами.

МЕЖДУНАРОДНОЕ ПЕРЕМЕЩЕНИЕ ФАКТОРОВ ПРОИЗВОДСТВА

Рис. 6.1. Эквивалентность импортных квот и пошлины
Нетрудно убедиться, что тот же результат по ценовым и количественным параметрам импорта правительство могло бы получить, если бы вместо рассматриваемой квоты ввело 30-процентную адвалорную пошлину (на рис. 6.1 результат ее введения отражен новой кривой предложения S1S1).
Аналогичными в этом случае являются и экономические потери страны. В этом достаточно просто убедиться, если импортное квотирование проиллюстрировать на модели равновесия внутреннего спроса DВН и внутреннего предложения SВН, представленной на рис. 6.2. Совокупные экономические потери государства, обусловленные введением квоты, составят, как и в ранее рассмотренном варианте с пошлиной, сумму площадей фигур 2 и 4.
В чем же различаются импортные пошлины и квота?
Главное различие заключается в интерпретации эффекта доходов, соответствующих площади прямоугольника 3 на рис. 6.2. В случае с импортной пошлиной эти доходы перераспределяются от потребителей
в государственный бюджет. В случае импортной квоты они перераспределяются в соответствии с принятыми в стране принципами распределения импортных лицензий, дающих право импортировать товар в рамках квоты.

МЕЖДУНАРОДНОЕ ПЕРЕМЕЩЕНИЕ ФАКТОРОВ ПРОИЗВОДСТВА

Рис. 6.2. Потери страны в условиях импортной квоты
Основными способами распределения импортных лицензий являются:
аукцион на конкурентной основе;
система явных предпочтений.
Самым выгодным для страны и самым справедливым способом распределения лицензий является аукцион. Если открытый аукцион хорошо организован, то публичные торги на нем должны быть конкурентными. В результате на аукционе должна установиться такая цена на импортные лицении, которая бы приблизительно равнялась разнице между ценой импортера и самой высокой внутренней ценой, по которой может быть продан импортный товар.
При подобном открытом аукционе квота приносит в государственный бюджет страны тот же доход, что и эквивалентный тариф.
Однако, несмотря на то, что открытые аукционы являются самым эффективным способом распределения импортных лицензий, в реальной жизни они никогда не используются.
Несколько большее распространение имеет другой вариант аукциона на другой конкурентной основе. В условиях коррумпированности государственных властей обладателями импортных лицензий становятся те, кто даст за них наибольшую взятку.
Импортные лицензии могут быть размещены и на основе системы явных предпочтений, когда государство закрепляет импортные лицензии за определенными фирмами без какой-либо предварительной борьбы, заявок или переговоров. Чаще всего импортные лицензии предоставляются наиболее авторитетным фирмам, причем в объеме, соответствующем их доле в суммарной величине импорта в предыдущем временном дискрете. В этом случае доход государства свободно и безвозмездно распределяется между соответствующими отечественными фирмами.
Одной из отличительных черт квотирования является нерыночный, административный характер подобного регулирования внешней торговли, в то время как при использовании таможенных пошлин действие рыночного механизма лишь корректируется. Кроме того, импортная квота обходится экономической системе дороже, чем эквивалентный тариф, если она становится причиной монополизации внутреннего рынка. Доминирующая фирма в отечественной промышленности не может обрести монопольную власть от введения незапретительного тарифа, поскольку ей противостоит эластичное конкурирующее предложение по цене, равной мировому уровню плюс тариф.
Однако в условиях квотирования отечественная фирма не будет опасаться взвинчивания цен, поскольку будет уверена, что объем поставок конкурирующего зарубежного товара не превысит размера квоты. В результате квота дает возможность доминирующей отечественной фирме при неэластичной кривой спроса получать монопольные прибыли за счет установления высоких цен.
Рассмотрим иллюстрирующую подобную ситуацию графическую модель (рис. 6.3). На приведенной модели МС - кривая предельной цены внутреннего монополиста (кривая предложения); AR - график внутреннего спроса; PW - уровень мировой цены при абсолютно эластичном графике предложения экспорта PWG.
В условиях свободной торговли внутренняя цена соответствует мировой PW, по которой отечественный производитель реализует в равновесном состоянии PWH единиц, а по импорту в страну завозится HG единиц продукции.
Предположим, что правительство данной страны вводит определенную импортную пошлину1 (скажем, размером PWPt,). Внутренняя
цена в этом случае возрастает до величины Рt в результате потребление в стране снижается до объема РtК, из которого PtU производит потенциальный отечественный монополист и только UK, что существенно меньше, чем в условиях свободной торговли, завозится по импорту. Представим теперь, что правительство решает заменить пошлину на квоту, разрешающую импортировать только UK единиц продукции. График спроса на продукцию отечественного производителя в этом случае будет представлен линией AR' с соответствующей функцией предельного дохода MR'.



МЕЖДУНАРОДНАЯ ЭКОНОМИЧЕСКАЯ ИНТЕГРАЦИЯ


Рассмотренные базовые модели международной торговли предполагали, что товары и услуги могут свободно экспортироваться и импортироваться, в то время как факторы производства, с помощью которых они произведены, обладают только внутренней, но не международной мобильностью. В реальной действительности и капитал активно инвестируется за рубеж, и люди перемещаются из страны в страну в поисках более высокооплачиваемой работы; научно-технические достижения также экспортируются и импортируются.
В принципе международное движение товаров и международное перемещение факторов производства могут замещать друг друга. Например, капиталоизбыточная страна может экспортировать либо капиталоемкие товары, либо сам капитал. Трудоизбыточная страна может экспортировать трудоемкие товары, либо ее граждане могут сами выехать за рубеж и работать там.
Международное перемещение факторов производства подчиняется примерно тем же законам, что и международная торговля товарами: факторы производства перемещаются в те страны, где за них больше платят (де выше процентная ставка, больше заработная плата, выше лицензионные платежи).
В чем же состоят тогда отличия международной мобильности факторов производства от международного движения товаров в рамках соответствующей теории международной торговли?

7.1
Мобильность производственных факторов
и теории международной торговли
7.1.1. Мобильность факторов производства
и теория сравнительных преимуществ
Предположим, что в мировой экономической системе, состоящей из двух стран, скажем, России и Германии, производят два вида продукции: товар 1 и товар 2. Соответствующие трудозатраты в обеих странах приводятся в табл. 7.1.
Таблица 7.1. Трудозатраты на единицу продукции

Страны
Трудозатраты
товар 1
товар 2
Россия
6
3


2
1/3


Германия
1
1


1
1


В соответствии с теорией сравнительных преимуществ Россия будет экспортировать в Германию товар 2, а Германия в Россию - товар 1, осуществляя, таким образом, соответствующую специализацию и обмениваясь этими товарами в соотношении, например, 1:1. Отказ России от производства 1 ед. товара 1 увеличит объем производства ею товара 2 на 3 ед. Отказ Германии от производства 1 ед. товара 2 увеличит объем производства ею товара 1 также на 1 ед.
Итоговый баланс объемов производства продукции во всей мировой экономике приведен в табл. 7.2.
Это означает, что международная торговля товарами на основе использования принципов теории сравнительных преимуществ обеспечивает мировой экономике прирост в 2 ед. товара 2 на каждой операции международного товарообмена.
Таблица 7.2. Итоговый баланс объемов производства

Страны
Изменение в производстве
в результате международной торговли товарами
товар 1
товар 2
Россия
-1
+3
Германия
+1
-1
Мировая экономика
0
2
Предположим теперь, что в России работники первой отрасли, производящей товар 1, вместо перемещения во вторую отрасль, где производится товар 2, по которому страна имеет сравнительное преимущество, уезжают в Германию, где их труд может использоваться более производительно при производстве обоих товаров. В этой ситуации отказ России от производства 1 ед. товара 1 высвободит шестерых работников, которые, переехав в Германию, могут произвести 1 ед. товара 1 и 5 (6-1) ед. товара 2.
Итоговый прирост объемов производства продукции в этом случае представлен в табл. 7.3.
Таблица 7.3. Итоговый прирост объемов производства

Страны
Изменение в производстве
в результате международной торговли товарами
товар 1
товар 2
Россия
-1
0
Германия
+ 1
+5
Мировая экономика
0
+5
Сопоставление данных табл. 7.2 и 7.3 показывает, что результаты движения факторов производства с точки зрения принципов теории сравнительных преимуществ существенно выше по сравнению с результатами международной торговли товарами.

7.1.2. Мобильность факторов в теории соотношения
факторов производства
Убедимся в том, что и в теории Хекшера-Олина (теории соотношения факторов производства) последствием международной мобильности факторов производства является, как правило, больший прирост совокупного производства, чем в результате торговли. Для этого построим совмещенную границу производственных возможностей двух стран, показывающую такое сочетание товаров 1 и 2, которое потребители получат в свое распоряжение, если страны будут специализироваться на тех товарах, которые они могут производить с наименьшими издержками, и торговать (обмениваться) ими друг с другом (рис. 7.1).
При этом предположим сначала, что факторы производства не перемещаются между странами.
На отрезке АВ обе страны производят оба товара, что в соответствии с теорией Хекшера-Олина приводит к выравниванию цен на факторы производства в обеих странах.
В промежутке UA Германия полностью специализируется на производстве капиталоемкого товара 1, а в промежутке ВV Россия полностью специализируется на производстве трудоемкого товара 2. Чем ближе будут страны по обеспеченности факторами производства, тем длиннее будет отрезок АВ. В одном крайнем случае, если количество капитала, приходящееся на каждого работника в Германии, полностью совпадет с количеством капитала, приходящимся на одного работника в России, обе страны будут производить оба товара: точка А сольется с точкой U, а точка В - с точкой V.

МЕЖДУНАРОДНАЯ ЭКОНОМИЧЕСКАЯ ИНТЕГРАЦИЯ

Рис. 7.1. Рост производства в результате
мобильности факторов производства
В другом крайнем случае, если страны резко отличаются в обеспеченности факторами производства, отрезок АВ превратится в точку, показывающую, что обе страны специализируются на товаре своего относительного преимущества и цены на факторы производства не выравниваются.
Предположим далее, что один из факторов производства, например капитал, становится мобильным и может свободно перемещаться между странами. Это никак не отразится на длине отрезка АВ, поскольку на нем цены на факторы производства в каждой из стран уже и так одинаковы.
Однако на отрезках UA и В V произойдет отток капитала из капиталоизбыточной Германии, где его стоимость ниже, в Россию, где его стоимость выше. Продуктивность капитала возрастает, что отражается в сдвиге этих отрезков границы производственных возможностей вовне на уровень новой границы CD, вдоль которой стоимость капитала в обеих странах выравнивается.
Более того, выравнивание цен товаров и цен капитала неизбежно приводит и к выравниванию цены другого фактора производства - труда. Это связано с тем, что производитель в стране с более высокой заработной платой просто не сможет произвести конкурентоспособные товары, если их рыночная цена одинакова и внутри страны, и за ее пределами и цена капитала, который расходуется на его производство, также одинакова. Новая граница производственных возможностей CD
показывает новые сочетания производства товаров 1 и 2, которые возникают в результате уже не только специализации и торговли товарами, но и международного движения капитала.
Таким образом, международная мобильность факторов производства приводит к выравниванию цен товаров, произведенных с помощью этих товаров, и к большему экономическому росту, чем международная торговля товарами.

7.1.3. Взаимосвязь международной торговли
и движения факторов
Международное движение факторов производства замещает международную торговлю в случае, если ее причиной является различие в обеспеченности стран факторами производства. Допустим, капиталоизбыточная Германия экспортирует капиталоемкий товар. В то же время она вывозит и капитал, который размещается в странах с более высокой процентной ставкой. Рост производства товара на экспорт увеличивает потребность в капитале, с помощью которого он производится, что, в свою очередь, ведет к росту его цены.
Увеличение процентной ставки препятствует экспорту капитала за рубеж, поскольку его цена в Германии сближается с мировой. Тем самым экспорт товаров препятствует движению (экспорту) капитала.
Международное движение факторов производства дополняет международную торговлю в случае, если в основе торговли лежат иные, нежели различия в обеспеченности факторами производства, причины (сравнительные преимущества, эффект масштаба, технологические различия и пр.). Если обеспеченность стран факторами производства и их цена одинаковы, то увеличение экспортного производства в Германии приведет к росту потребности в капитале и, следовательно, его цены, которая в результате превысит мировой уровень, что приведет к притоку капитала из-за рубежа в Германию. Торговля товарами привела к изменению цены фактора производства, что и вызвало его перемещение между странами.
Тем самым экспорт товаров способствует движению (импорту) капитала.
Международное движение факторов производства замещает межотраслевую торговлю и дополняет внутриотраслевую торговлю в условиях больших различий в обеспеченности стран факторами производства. Когда степень обеспеченности факторами производства по отдельным странам сильно отличается, каждая страна специализируется на производстве одного товара и международное движение факторов производства отсутствует, между странами возможна лишь межотраслевая торговля.



ВАЛЮТНО-ФИНАНСОВЫЕ ОТНОШЕНИЯ СТРАН МИРОВОГО ХОЗЯЙСТВА


8.1
Сущность и основные формы
экономической интеграции
Развитие интеграционных процессов в мировой экономике, наблюдающееся в последние десятилетия, явилось закономерным результатом роста объема международного товарообмена и повышения интенсивности международного движения факторов производства, что
потребовало создания более надежных производственно-сбытовых связей между странами, а также устранения имеющихся еще препятствий на пути международной торговли и движения факторов производства между странами. Сделать это оказалось возможным лишь в рамках межгосударственных интеграционных объединений (политических и экономических).
Под экономической интеграцией понимается процесс экономического взаимодействия стран, приводящий к либерализации международных экономических отношений, что находит отражение в уменьшении и снятии ограничений на их осуществление.
Можно выделить три основных подхода к либерализации мирохозяйственных отношений и, прежде всего, мировой торговли: международный, региональный и транснациональный.
Международный подход реализуется посредством проведения международных конференций (раундов) под эгидой Всемирной торговой организации, целью которых является сокращение тарифных и нетарифных барьеров в международной торговле по всему миру.
Транснациональный подход активно реализуется, в последнее время в особенности, через производственно-экономическую деятельность транснациональных компаний (ТНК).
Региональный подход предполагает достижение соглашений между небольшим количеством государств, целью которых является установление между собой режима свободной торговли при сохранении торговых ограничений с остальными странами мира. Европейские сообщества (ЕС) и Соглашение между США, Канадой и Мексикой (1994 г.) - наиболее известные примеры таких преференциальных торговых отношений.
Даже если подписание подобных соглашений обусловлено в большей степени политическими нежели экономическими факторами, такие региональные торговые группировки инициируют целый ряд важных экономических проблем и вопросов.
Представляет ли это образование региональных торговых групп движение к свободной торговле или это усиление протекционизма?
Повышают ли преференциальные соглашения экономическую эффективность и благосостояние всего мирового хозяйства в целом?
Выгодно ли образование региональных экономических союзов всем странам-участницам?
Попытаемся дать ответы на эти вопросы.
Прежде всего отметим, что преференциальные торговые соглашения могут быть реализованы в виде следующих структурных образований:
Преференциальный торговый клуб.
Зона свободной торговли.
Таможенный союз.
Общий рынок.
Экономический союз (полный экономический союз).
При этом преференциальный торговый клуб является низшей ступенью экономической интеграции, а экономический союз - высшей.
Рассмотрим перечисленные формы экономической интеграции более подробно.
Преференциальный торговый клуб (объединение). Две или более стран образуют преференциальный торговый клуб, если они сокращают пошлины на импорт всех товаров (исключая капитал) для каждого из участников клуба, сохраняя свои первоначальные тарифы для всего остального мира. Примером такой формы экономической интеграции может быть "Система преференций Содружества наций", образованная в 1932 г. Великобританией и 48 государствами, большую часть которых составляли ее собственные колонии.
Зона свободной торговли. Две или более стран образуют зону свободной торговли (ассоциацию свободной торговли), если они упраздняют между собой все торговые барьеры (пошлины и количественные ограничения), но сохраняют каждая свои торговые барьеры по отношению к третьим странам. В такой зоне таможенный контроль на границах стран-участниц должен быть сохранен. Его целью в этом случае становится налогообложение или запрещение импорта из третьих стран, который мог проникнуть в зону через низкий таможенный барьер соседней страны-участницы.
Примером зоны свободной торговли является Европейская ассоциация свободной торговли (ЕАСТ), образованная в 1960 г. Австрией, Данией, Норвегией, Португалией, Швецией, Швейцарией и Великобританией.
Таможенный союз. Две или более стран образуют таможенный союз, если они упраздняют все таможенные ораничения во взаимной торговле всеми товарами (кроме обслуживания капитала), а также принимают (учреждают) единую систему внешних торговых барьеров с третьими странами, снимая тем самым необходимость содержания таможенной службы на внутренних границах. В отношении торговли
примером таможенного союза является Европейское экономическое сообщество (ЕЭС).
Общий рынок. Две или более стран образуют общий рынок, если они создают таможенный союз и, кроме того, допускают свободное передвижение всех факторов производства между собой (миграция рабочей силы и капитала). Примером общего рынка являются ЕЭС или Европейский общий рынок, имеющий официальное название - Европейские сообщества.
В принципе свободное перемещение факторов производства внутри определенной группировки стран должно способствовать более рациональному использованию совокупных ресурсов, развитию разделения труда и специализации производства. Вместе с тем полной реализации этого препятствуют различия в экономической политике, проводимой государствами, входящими в общий рынок.
Экономический союз. Две или более стран образуют экономический союз, если они создают общий рынок и, кроме того, унифицируют свою экономическую политику, включая денежную, налоговую и социальную, а также политику в отношении торговли и движения рабочей силы и капитала. Примером экономического союза стал Benelux - экономический союз, образованный Бельгией, Нидерландами и Люксембургом (термин Benelux составлен из первых букв названий стран-участниц). Эти три страны образовали таможенный союз в 1949 г., который был превращен затем в экономический союз в 1960 г.
Ярким примером экономического союза могут служить Соединенные Штаты Америки, где 50 штатов объединены в полный экономический союз с общей валютой и единым Центральным банком (Федеральная резервная система). Торговля между отдельными штатами свободна, и капитал и труд свободно перемещаются в погоне за максимальной прибылью. Фискальная и монетарная политики, так же как и международные связи, военные расходы, пенсионное обеспечение, программы здравоохранения, едины и обеспечиваются единым федеральным правительством.
Другие программы, такие как образование, культура, обеспечение порядка (полиция), финансируются штатами, что позволяет последним утверждать свою "самобытность" в пределах союза.
Экономический союз - высшая форма экономической интеграции, к которой в настоящее время стремится Европейское сообщество.
В обобщенной форме характеристика современных типов торгово-экономических союзов представлена в табл. 8.1.
Таблица 8.1. Сводная характеристика экономических союзов

Формы интеграции
Свободная торговля внутри союза
Единые тарифы и квоты к третьим странам
Свободное движение факторов производства внутри союза
Единая экономическая политика стран-участниц
Зона свободной торговли
+
-
-
-
Таможенный союз
+
+
-
-
Общий рынок
+
+
+
-
Экономический союз (полный)
+
+
+
+

8.2
Экономические последствия вступления
стран в торгово-экономические союзы
Присоединение какой-либо страны к торгово-экономическому союзу даже в самой простейшей его форме неизбежно оказывает определенное воздействие на параметры ее экономического функционирования. При этом принято выделять два основных направления, по которым может осуществляться рассмотрение последствий вступления страны в интеграционный союз: статический анализ и динамический анализ.
8.2.1. Статический анализ
В рамках статического анализа возможно выделить два варианта последствий вступления страны в интеграционную торгово-экономическую группировку:
потокообразующий эффект (эффект создания торговли);
потокоотклоняющий эффект (эффект отклонения торговли).
Потокообразующий эффект означает переключение (вследствие присоединения страны к интеграционной группировке) спроса страны и, соответственно, потребления от отечественного производителя с более высокими издержками к зарубежному производителю с менее высокими издержками.
Потокоотклоняющий эффект означает вызываемое вступлением в торгово-экономический союз переключение спроса и, соответственно, потребления от производителя за пределами союза, имеющего более
низкие издержки, к производителю, имеющему более высокие издержки, но являющемуся членом союза.
Рассмотрим эти эффекты более подробно.
Пример потокообразующего эффекта. Предположим, что перед образованием Европейского сообщества Франция и Германия самостоятельно производили достаточное количество товара X, так как на импорт этого товара существовали высокие тарифы. Предположим также, что после образования ЕС и последующего упразднения тарифов внутри сообщества Франция обнаружила, что товар X выгоднее импортировать из Германии1.
Таким образом, образовалась новая отрасль (новый поток) торговли между Францией и Германией.



Изменение в инъекциях = Изменение в утечках


Рис. 12.2 наглядно иллюстрирует эту зависимость для упрощенного случая, когда МРМ = const.
Принимая во внимание, что экспорт определяется экзогенными факторами (в частности, объемом зарубежного ВНП), а обменные курсы

Изменение в инъекциях = Изменение в утечках

Рис. 12.2. Склонность к импорту и предельная склонность к импорту
являются фиксированными, график зависимости торгового баланса страны (Х - М) от уровня ее национального дохода будет иметь вид, представленный на рис. 12.3.

Изменение в инъекциях = Изменение в утечках

Рис. 12.3. Зависимость торгового баланса от дохода
Следовательно, с возрастанием уровня национального дохода положительное сальдо торгового баланса сокращается, переходя в устойчивый дефицит.
Вычитая фиксированный (автономный) уровень инвестиций из функции сбережений, легко получить зависимость от дохода для величины (S - I) - рис. 12.4.
А теперь нанесем правую и левую части ранее выведенного нами тождества S - I = Х - М на один график (рис. 12.5).
Рис. 12.5 иллюстрирует равновесный уровень национального дохода, при котором S = I и, следовательно, X = М, т. е. торговый баланс сводится таким образом, что внутренние накопления равны внутренним инвестициям.
Мультипликатор в открытой экономике. Рассмотрев принципы определения равновесного уровня дохода в открытой экономической системе, проанализируем далее, что в ней произойдет, например, при росте внутренних инвестиций в стране (рис. 12.6).
Если бы экономика была закрытой, то национальный доход вырос бы до уровня Y"E, но поскольку существует внешняя торговля и импорт растет с увеличением дохода, результирующий рост национального дохода будет существенно меньшим, достигая лишь величины Y'E. Экспансионистский внутренний шок сопряжен с ростом торгового дефицита, а следовательно, и меньшим приростом национального дохода по сравнению с закрытой экономикой или экономикой с бартерным обменом, когда экспорт всегда равен импорту.

Изменение в инъекциях = Изменение в утечках

Рис. 12.4. Внутренние накопления, инвестиции и (S - I) линия

Изменение в инъекциях = Изменение в утечках

Рис. 12.5. Сбережения за вычетом инвестиций и торговый баланс
в равновесии с ними
Меньший прирост национального дохода подразумевает и меньшую величину мультипликатора (из-за влияния импорта как дополнительной утечки1 из потока дохода).

Изменение в инъекциях = Изменение в утечках

Рис. 12.6. Влияние на национальный доход Xоста
внутренних инвестиций
Мультипликатор внешней торговли. Если экономическая система в результате роста инвестиций перешла из равновесного состояния YE, характеризующегося равенством I + X= S + М, в новое равновесное состояние Y'E, должно выполняться условие:
Изменение в инъекциях = Изменение в утечках,
или
I + X = S + М
Подставляя вместо S и M их значения, рассчитанные через предельные склонности к сбережению и импортированию, получим:
I + X = MPS Y + MPM Y,
откуда

Y =
1
( I + X),
MPS + MPM

где

k =
1
MPS + MPM
- мультипликатор внешней торговли.
Пример. Исходное равновесное состояние условной экономической системы характеризовалось следующими макроэкономическими показателями:
YE = 1000; MPS = 0,2; MPM = 0,2.
Требуется определить равновесный уровень национального дохода при увеличении объема инвестиций на 100 единиц.
Решение.








k =
1
= 2,5 Y = k I = 250; Y'E + Y = 1250.
MPS + MPM

S = MPS Y = 50; M = MPM Y = 50.
I + X = S + M; 100 + 0 = 50 + 50, 200 = 200.


1 Предельная склонность к импорту различна для разных стран. Например, для Швейцарии и Великобритании она превышает 0,40, в то время как для США она равна 0,13.
1 В закрытой экономике (без правительственного сектора) единственной утечкой являются сбережения.

12.2
Модель общего равновесия Т. Свона
Одновременное обеспечение внутреннего и внешнего равновесия экономической системы является одной из основных проблем макроэкономического анализа в условиях открытой экономики. Под внутренним равновесием понимается такое состояние экономики страны, при котором обеспечивается соответствие совокупного спроса и совокупного предложения при полной занятости и отсутствии инфляции. Под внешним равновесием будем понимать равновесие счета текущих операций платежного баланса, т. е. акцентируем внимание на потоках товаров и услуг.
Очевидно, что для обеспечения внутреннего и внешнего равновесия правительство страны может использовать инструментарий как бюджетно-налоговой политики, изменяя, например, государственные расходы (G), так и денежно-кредитной политики, прибегнув, в частности, к изменению реального обменного курса (r*) национальной валюты. Естественно, что для одновременного достижения обоих видов равновесия механизмы бюджетно-налоговой и денежно-кредитной политики должны быть тщательно скоординированы.
Рассмотрим методологический аппарат, позволяющий осуществить такую координацию с использованием диаграммы Т. Свона (рис. 12.7).
Графики внутреннего и внешнего равновесия экономической системы на рис. 12.7 приведены в координатах G (бюджетно-налоговая политика) и r* (денежно-кредитная политика). При этом график внутреннего равновесия (полной занятости) имеет нисходящий характер. Это обусловлено тем, что если экономическая система находится на линии 1 (например, в точке А), то рост государственных расходов G приведет к увеличению объемов национального производства и избыточной занятости (точка В).
Для восстановления внутреннего равновесия в этих условиях должно произойти реальное удорожание национальной валюты (снижение r*) за счет, например, ревальвирования национальной валюты (переход в точку С).
Как следует из вышесказанного, область диаграммы Свона, расположенная выше (правее) графика внутреннего равновесия, соответствует

инфляционному спросу и избыточной занятости. Та же ее часть, которая расположена ниже (левее) данного графика, характеризует избыточное предложение и неполную занятость.
Линия 2 на рис. 12.7 соответствует внешнему равновесию экономической системы с нулевым сальдо счета текущих операций. Его восходящий характер может быть объяснен следующим образом.

Изменение в инъекциях = Изменение в утечках

Рис. 12.7. Модель общего равновесия Т. Свона:
1 - график внутреннего равновесия; 2 - график внешнего равновесия
Рост объемов национального производства и избыточной занятости, обусловленные увеличением государственных расходов (переход системы из точки D в точку E), вызовет соответствующее сокращение чистого экспорта XN, т. е. дефицит текущего счета. Для восстановления внешнего равновесия в этих условиях необходимо девальвировать национальную валюту, что обусловит обесценение реального валютного курса (рост r) и достижение нулевого сальдо счета текущих операций. Экономическая система переместится в этом случае из точки Е в равновесную точку F.
Таким образом, область диаграммы, представленной на рис. 12.7, лежащая выше (левее) линии 2, будет соответствовать положительному сальдо счета текущих операций, а область, расположенная ниже (правее), - его дефициту.
Точка пересечения графиков внутреннего и внешнего равновесия (точка О) означает ту ситуацию, когда достигнуто и внутреннее,
и внешнее равновесие. Любое движение в сторону от точки О означает нарушение одного или обоих равновесий. В частности:
область I соответствует отрицательному сальдо счета текущих операций и неполной занятости;
область II - дефициту счета текущих операций и инфляционному спросу;
область III - положительному сальдо счета текущих операций и инфляционному спросу;
область IV - положительному сальдо текущего счета и неполной занятости в экономической системе.
Таким образом, диаграмма Свона наглядно иллюстрирует, как можно достичь общего равновесия, если в качестве одного из инструментов макроэкономического регулирования используется валютный курс. Для практического решения данной проблемы и выбора пакета конкретных мероприятий по макроэкономическому регулированию экономической системы проводятся, как правило, тщательные статистические исследования, при помощи которых выявляются степень, характер, особенности воздействия отдельных рычагов, а также моделируется их влияние в совокупности с другими факторами, для того чтобы таким образом выйти на наиболее приемлемые варианты экономической политики.

12.3
Внутреннее и внешнее равновесие
в модели IS-LM-BP
В рассмотренной выше кейнсианской модели "доходы-расходы" деньги не играли практически никакой роли, в частности, банковская ставка процента, устанавливаемая на денежном рынке независимо от равновесия на рынке товаров и услуг, являлась для данной модели экзогенной переменной. Между тем взаимодействие между рынками благ и денег очевидно: изменения в объемах национального производства непосредственно влияют на спрос на денежные активы, колебания же банковской ставки процента - на объем совокупных расходов и в первую очередь - на их инвестиционную составляющую.
Взаимосвязь и взаимообусловленность товарного и денежного рынков могут быть проанализированы в рамках модели двойного равновесия IS-LM, предложенной в 1937 г. английским экономистом, лауреатом Нобелевской премии сэром Джоном Хиксом, виднейшим

представителем кейнсианской экономической школы. В частности, кривая IS1 моделирует ситуацию на товарном рынке, a LM2 - на рынке денег.
Так как ставка процента оказывает влияние как на объем инвестиций, так и на спрос на деньги, эта переменная позволяет связать рынки товаров и денег.



Экономическая политика и динамика платежного баланса страны


Следовательно, золотой стандарт почти автоматически приводит платежные балансы к новому равновесию, обеспечивая, таким образом, долгосрочное равновесие платежных балансов. Действительно, страна с отрицательным сальдо испытывает утечку золота за границу, что заставляет эмиссионный институт сократить объем национальной валюты в обращении. Согласно количественной теории денег, это уменьшение денежной массы вызывает снижение относительных цен на национальные товары, что увеличивает их конкурентоспособность и позволяет увеличить экспорт и сократить импорт, т. е. привести обменные процессы к новому равновесию.
Напротив, дополнительный выпуск национальной валюты, вызванный притоком золота в страну с положительным сальдо, вызывает рост цен на национальные товары, который, влияя соответствующим образом на международную торговлю, уменьшает положительное сальдо платежного баланса.

11.3
Экономическая политика и динамика
платежного баланса страны
Уяснив базовые основополагающие принципы формирования платежного баланса страны, исследуем теперь особенности динамики составляющих его элементов (счетов) при проведении в конкретной экономической системе соответствующей экономической политики. В качестве объекта нашего исследования выберем (из методических соображений) так называемую малую экономику, имеющую свободный доступ на мировые финансовые рынки с целью заимствования или кредитования. Представляя незначительную долю мирового рынка, малые
экономики (к числу которых относится подавляющее количество экономических систем современного мирового хозяйства) не оказывают на мировую ставку процента (r* ) практически никакого влияния, принимая ее как данную1:
i = i*
Таким образом, здесь в отличие от закрытой экономики нельзя исходить из предположения, что реальная ставка процента2 должна уравновешивать сбережения и инвестиции в конкретной стране. В частности, открытая экономика может функционировать с положительным сальдо счета движения капитала, занимая необходимые для инвестиций средства за рубежом, или с положительным сальдо текущего счета, выступая на мировой финансовой арене в качестве кредитора.
При разработке рассматриваемой экономической системы воспользуемся следующими стандартными предположениями:
1) объем выпуска определяется производственной функцией Y = Y(K,L);
2) объем потребления прямо пропорционален величине располагаемого дохода: С = C(Y - Т), где Т - разница между объемами налоговых отчислений и трансфертными платежами;
3) объем инвестиций обратно пропорционален реальной ставке процента:I = I(i*).
Проведем с учетом сделанных нами допущений несложные преобразования основного макроэкономического тождества:
Y = C + I + G + XN,
XN=(Y - C - G) - I,
XN = S - I
XN = S - I(i*),
или

Сальдо
текущего счета


=
-
Сальдо счета
движение капитала




Таким образом, сальдо текущего счета платежного баланса и счета движения капитала определяются как разница между внутренними
257
сбережениями и инвестициями при мировой ставке процента. На рис. 11.11 приводится графическая модель, адекватная рассмотренной нами выше аналитической модели малой открытой экономики.
Сбережения на рис. 11.11 не зависят от динамики ставки процента, так как обусловливаются другими причинами (накопления к старости, на обучение детей, летний отдых, приобретение дорогостоящих товаров и т.п.).

Экономическая политика и динамика платежного баланса страны

Рис. 11.11. Модель малой открытой экономики
Разность между объемами инвестиций и сбережений внутри страны определяют сальдо счета движения капитала и соответственно счета текущих операций. На приведенном рис. 11.11 имеет место положительное сальдо счета текущих операций, так как при мировой ставке процента объем сбережений превосходит объем инвестиций (S I).
Очевидно при этом, что на состояние счетов платежного баланса в условиях малой открытой экономики непосредственно повлиять может прежде всего внутренняя бюджетно-налоговая политика, через параметры Т и G оказывающая воздействие на объем сбережений S.
Предположим, что экономическая система стартует, имея сбалансированную внешнюю торговлю: XN = X - M = 0. Это означает, что в этом случае и счет движения капитала также имеет нулевое сальдо: I - S = 0.
Проанализируем последствия для счетов платежного баланса осуществления экспансионистской экономической политики правительства, расширяющего государственные закупки.
Увеличение величины G сокращает объем национальных сбережений, так как S = Y - C - G. При неизменной мировой ставке процента
(i*) инвестиции остаются на том же уровне. Таким образом, поgвляется избыток инвестиций по сравнению со сбережениями. Уменьшившиеся сбережения ведут к образованию положительного сальдо счета движения капитала, так как часть инвестиций должна (и будет) теперь финансироваться за счет зарубежных займов.
Естественно, текущий счет платежного баланса должен сбалансировать счет движения капитала, следовательно, XN должен сократиться, что означает появление дефицита счета текущих операций.
Та же логика применима и к уменьшению налогов (Т). Уменьшение налогов ведет к росту величины располагаемого дохода (Y - Т), стимулирует потребление и сокращает объем национальных сбережений. (Даже при том, что некоторая часть уменьшения налогов идет на увеличение частных сбережений, величина государственных сбережений сокращается на всю величину сокращения налогов и в целом объем сбережений сокращается.)
Сокращение национальных сбережений, в свою очередь, увеличивает (I - S) - счет движения капиталов и уменьшает XN - счет текущих операций.
Эти процессы проиллюстрированы на графической модели (рис. 11.12).

Экономическая политика и динамика платежного баланса страны

Рис. 11.12. Внутренняя расширительная бюджетно-налоговая политика
Итак, изменения бюджетно-налоговой политики, вызывающие увеличение частного потребления С или государственного потребления G, приведут к снижению объема национальных сбережений (Y - С - G) и, таким образом, сдвинут вертикальную линию, обозначающую сбережения,
влево. Поскольку XN есть расстояние между линиями сбережений и инвестиций при мировой ставке процента, данное смещение ведет к уменьшению XN (чистого экспорта).
Таким образом, если начальная ситуация характеризуется полностью сбалансированной внешней торговлей, то меры бюджетно-налоговой политики, приводящие к сокращению национальных сбережений, сопровождаются возникновением положительного сальдо счета движения капиталов и дефицита счета текущих операций платежного баланса.
Рассмотрим теперь, что происходит с платежным балансом малой открытой экономики при увеличении правительствами зарубежных стран своих расходов. Если эти зарубежные государства представляют собой небольшую часть мировой экономики, то изменение проводимой ими бюджетно-налоговой политики, если и окажет воздействие на экономику других стран, то крайне незначительное. Но если эти государства представляют значительную часть мировой экономики, то увеличение ими объема государственных закупок снизит величину мировых сбережений и, таким образом, повысит мировую ставку процента (i*).
Повышение мировой ставки процента, в свою очередь, снизит объем инвестиций в малой открытой экономике. Поскольку величина ее внутренних сбережений при этом не претерпевает никаких изменений, величина (I - S) должна уменьшиться, что означает дефицит счета движения капитала. Другими словами, часть внутренних сбережений начинает утекать за границу.
Поскольку XN = S - I, сокращение I должно увеличить XN. Таким образом, сокращение сбережений за границей приводит к положительному сальдо счета текущих операций в рассматриваемой стране. На рис.
11.13 показано, что происходит с малой открытой экономикой, стартовавшей со сбалансированной внешней торговлей, в результате проведения стимулирующей бюджетно-налоговой политики в других странах.
Поскольку изменение бюджетно-налоговой политики происходит за границей, кривые внутренних сбережений и инвестиций остаются без изменений. Единственное изменение, которое имеет место - это изменение мировой ставки процента (i*). Из графической модели видно, что повышение мировой ставки процента ведет к положительному сальдо счета текущих операций платежного баланса (XN).
Таким образом, повышение мировой ставки процента вследствие проведения стимулирующей бюджетно-налоговой политики в зарубежных странах ведет к дефициту счета движения капитала и положительному сальдо счета текущих операций платежного баланса. Снижение мировой ставки процента будет иметь, естественно, противоположный результат.
И наконец, проанализируем изменения в платежном балансе малой открытой экономики соответствующие смещению кривой планируемых инвестиций вверх. Подобное смещение происходит, например, если правительство изменяет налоговое законодательство для стимулирования внутренних инвестиций, предоставляя, к примеру, налоговые скидки для инвесторов (рис. 11.14).

Экономическая политика и динамика платежного баланса страны

Рис. 11.13. Стимулирующая бюджетно-налоговая политика
в зарубежных странах
Поскольку объем сбережений остался неизменным, инвестиции должны финансироваться за счет зарубежных займов. Появляется положительное сальдо по счету движения капитала (I - S), а сальдо текущего счета (ХN = S - I) уменьшается.Таким образом, смещение кривой инвестиций вверх приводит к положительному сальдо счета движения капитала и дефициту текущего счета платежного баланса.
Рассмотренная модель малой открытой экономики наглядно демонстрирует, что международные потоки товаров и услуг, отраженные в текущем счете платежного баланса, жестко связаны с потоками средств для накопления капиталов, отражаемых в счете движения капитала. Поскольку счет движения капитала есть инвестиции минус сбережения, влияние экономической политики на эти потоки всегда может быть определено путем исследования воздействия той или иной политики на инвестиции (I) и сбережения (S).
Политика, стимулирующая инвестиции, ведет к положительному сальдо счета движения капитала и дефициту счета текущих операций. Политика, стимулирующая сбережения, приводит к дефициту счета движения капитала и положительному сальдо счета текущих операции платежного баланса.
Оценка экономической политики и ее воздействия на открытую экономику часто является предметом споров среди экономистов и политиков. Например, многие экономисты дефицит текущего счета считают очень серьезной проблемой. Так как он отражает низкий уровень

Экономическая политика и динамика платежного баланса страны

Рис. 11.14. Смещение кривой инвестиционного спроса
сбережений в стране, это означает, что население страны меньше откладывает на будущее. В закрытой экономике низкий уровень сбережений приводит к низкому объему инвестиций и, таким образом, к меньшим запасам капитала в будущем.
В открытой экономике низкий уровень сбережений ведет к увеличению внешнего долга, который, естественно, должен быть выплачен.
В обоих случаях высокий уровень текущего потребления ведет к снижению уровня потребления в будущем, а это означает, что будущие поколения должны принять на себя бремя низкого уровня национальных сбережений.
Вместе с тем, дефицит текущего счета не всегда отражает какие-то неблагоприятные процессы в экономике страны. Например, когда развивающиеся страны встают на путь индустриализации, они часто финансируют большие объемы инвестиций за счет зарубежных займов. В этом случае положительное сальдо движения капитала и дефицит счета текущих операций являются показателем экономического развития.
Таким образом, нельзя оценивать состояние экономики только по состоянию счета движения капитала и текущего счета. Наоборот, следует рассматривать факторы, определяющие эти международные потоки.


1 А что же определяет мировую ставку процента? Как известно, в закрытой экономике ставка процента определяется равновесием сбережений и инвестиций. Если мировую экономику рассматривать в планетарном масштабе, ее также можно считать закрытой экономикой.
Таким образом, равновесие мировых сбережений и мировых инвестиций определяет мировую ставку процента.
2 Напомним, что реальная ставка процента рассчитывается как разность между номинальной ставкой процента и уровнем инфляции в стране.





Экономическая политика в условиях несовершенной мобильности капитала


Фискальная политика обусловливает в ее расширительном варианте повышение процентных ставок, что стимулирует приток капитала в страну, в результате чего счет движения капитала улучшается, но при возрастании курса национальной валюты. Очевидно, что разработка и проведение макроэкономической политики, обеспечивающей общее равновесие в открытой (в частности, малой) экономической системе, предполагают необходимость учета и многих других факторов, например, временнго лага, фактора неопределенности, ожиданий потребителей и т. п.

13.1.4. Экономическая политика
в условиях несовершенной мобильности капитала
Рассмотренные выше последствия осуществления макроэкономической политики в малой открытой экономике предполагали абсолютную мобильность капитала между странами, что, однако, не всегда соответствует реальной действительности, так как абсолютная, или совершенная, мобильность капитала характерна преимущественно лишь для стран с достаточно высоким уровнем развития рыночных отношений.
Более типичными, а следовательно, и реалистичными в настоящее время являются международные экономические отношения, осуществляемые странами в условиях не абсолютной, а высокой мобильности капитала.
Констатируя этот факт, покажем, что анализ последствий макроэкономической политики в условиях несовершенной, в частности, высокой мобильности капитала не вносит принципиальных изменений в сделанные нами ранее выводы. Графическая иллюстрация основных вариантов мобильности капитала в рамках рассматриваемой модели IS-LM-BP представлена на рис. 13.15.

Экономическая политика в условиях несовершенной мобильности капитала

Рис. 13.15. Мобильность капитала в модели IS-LM-BP
Как следует из рис. 13.15, между степенью международной мобильности капитала и эластичностью функции ВР (платежного баланса) существует прямая зависимость. Кроме того, рис.
13.15, б и 13.15, в наглядно иллюстрируют качественное различие между понятиями "высокая" и "низкая" мобильность капитала. В частности, для случая высокой мобильности капитала эластичность функции ВР выше при равных условиях, чем эластичность функции LM, для низкой - наоборот.
Начнем анализ с рассмотрения последствий макроэкономической политики в условиях абсолютно гибкого (плавающего) обменного курса валюты. Результаты, например, расширительной бюджетно-налоговой политики проиллюстрируем при помощи графической модели, представленной на рис. 13.16.
Стартовое состояние экономической системы, представленной на рис. 13.16, соответствует точке внутреннего и внешнего равновесия Е1. В результате осуществления расширительной фискальной политики кривая IS1 сдвинется в положение IS2.
Внутреннее равновесие системы сдвигается при этом в точку Е2, что обусловливает рост как уровня дохода (до Y2), так и внутренней ставки процента (до i2).

Экономическая политика в условиях несовершенной мобильности капитала

Рис. 13.16. Плавающий курс: монетарная экспансия
в условиях высокой мобильности капитала
Несмотря на однонаправленный характер изменения и ставки процента, и национального дохода, их действие на сальдо платежного баланса будет, как известно, различным. Однако, учитывая, что в условиях высокой мобильности капитала масштабы его притока в страну значительны, положительного сальдо по счету движения капитала (вызванного ростом ставки процента) более чем достаточно для компенсации отрицательного сальдо торгового баланса, вызванного ростом уровня дохода. В результате возникает избыток платежного баланса, соответствующий длине отрезка Е2А.
В то же время приток капитала в страну, вызванный ростом внутренней ставки процента, вызовет соответствующее удорожание национальной валюты. Результатом повышения валютного курса, а следовательно,
и снижения объемов чистого экспорта, будет сдвиг влево кривых IS и ВР до тех пор, пока будет существовать активное сальдо платежного баланса, т. е. пока кривая ВР не "встретит" точку пересечения кривых IS и LM. Внутреннее и внешнее равновесие восстанавливаются в точке Е3, где уровни дохода Y3 и внутренней процентной ставки i3 незначительно превышают свои исходные значения (Y1 и i1).
Таким образом, экспансионистская фискальная политика в условиях высокой мобильности капитала является малоэффективной.
Последствия проведения в экономической системе экспансионистской денежно-кредитной политики проанализируем при помощи модели IS-LM-BP, представленной на рис. 13.17. В результате роста денежной массы в стране кривая LM1 сдвигается вправо в положение LM2, а внутреннее равновесие смещается в точку Е2.

Экономическая политика в условиях несовершенной мобильности капитала

Рис. 13.17. Плавающий курс: фискальная экспансия
в условиях высокой мобильности капитала
В результате объем производства возрастает до уровня Y2, однако этот рост достигается ценой дефицита платежного баланса (Е2А), обусловленного прежде всего значительным оттоком капитала из страны вследствие понижения ставки процента до уровня i2.
Понижение курса национальной валюты, обусловленное оттоком капитала из страны, приведет к росту чистого экспорта. Кривая IS1 сдвинется в положение IS2 а кривая ВР пойдет вправо (вниз), пока общее
равновесие не установится в точке Е3, где уровень национального дохода Y3 выше, а соответствующая процентная ставка i3 ниже их первоначальных уровней (Y1 и i1).
Следовательно, в условиях высокой мобильности капитала денежно-кредитная политика является достаточно эффективной. Кстати, здесь, как и для случая с абсолютной мобильностью капитала, основным фактором роста национального дохода является не рост инвестиций, а увеличение объема чистого экспорта.
Внешнеэкономическая торговая политика предполагает, как правило, введение тех или иных протекционистских мер, ведущих к росту чистого экспорта, что перемещает график функции IS вправо и вызывает рост в стране внутренней ставки процента и уровня дохода (рис. 13.18).

Экономическая политика в условиях несовершенной мобильности капитала

Рис. 13.18. Плавающий курс: протекционистская политика
в условиях высокой мобильности капитала
Результатом осуществления протекционистской внешнеторговой политики будет также сдвиг вправо и кривой ВР, что вместе с последствиями сдвига вправо кривой IS приведет к возникновению значительного активного сальдо платежного баланса, пропорционального длине отрезка Е2А.
Все это означает, что проведение протекционистской внешнеэкономической торговой политики в условиях высокой мобильности капитала
и плавающего обменного курса приведет к значительному возрастанию обменного курса национальной валюты со всеми вытекающими отсюда последствиями: снижением объема экспорта, увеличением объема импорта, уменьшением чистого экспорта и национального дохода, уменьшением внутренней ставки процента. Результатом этих процессов будет сдвиг кривых IS и ВР влево до тех пор, пока общее равновесие открытой экономической системы не восстановится в исходной точке макроэкономического равновесия E1 что свидетельствует о неэффективности протекционистской политики в рассматриваемых условиях.

Экономическая политика в условиях несовершенной мобильности капитала

Рис. 13.19. Фиксированный курс: фискальная экспансия
в условиях высокой мобильности капитала
Перейдем теперь к рассмотрению результатов макроэкономической политики в условиях фиксированного обменного курса национальной валюты. Последствия осуществления расширительной бюджетно-налоговой политики для случая высокой мобильности капитала проанализируем при помощи модели, представленной на рис. 13.19.
Фискальная экспансия сдвигает кривую IS1 в положение IS2, обусловливая тем самым рост внутренней ставки процента (i2 i1) и положительное сальдо платежного баланса, соответствующее длине отрезка Е2А.
Приток капитала в страну вызовет рост спроса на национальную валюту и ее обменного курса. Для поддержания объявленного фиксированного курса Центральный банк будет вынужден скупать иностранную валюту в обмен на национальную, что увеличит предложение денег в стране. Кривая LM1 на рис. 13.19 начнет сдвигаться вправо до положения LM2: пока не будет полностью компенсирован дефицит платежного баланса.
Необходимо отметить при этом, что в точке Е3 доход значительно выше, чем в точке E1. Это объясняется тем, что в условиях высокой мобильности капитала влияние расширительной фискальной политики усиливается эффектом от увеличения денежной массы.

Экономическая политика в условиях несовершенной мобильности капитала

Рис. 13.20. Фиксированный курс: монетарная экспансия
в условиях высокой мобильности капитала
Продолжая анализ последствий проведения макроэкономической политики в условиях фиксированного валютного курса и высокой мобильности капитала, предположим, что Центральный банк осуществил монетарную экспансию, понизив, к примеру, для коммерческих банков страны норму обязательного резервирования (рис. 13.20).
Рост предложения денег в этом случае сдвинет кривую LMl вправо до положения ZM2, увеличивая доход (от Y1 до Y2) и понижая ставку процента (с i1 до i2). Поскольку счет движения капитала, как и счет текущих
операций, будут изменяться в одном и том же направлении1, возникнет существенный дефицит платежного баланса, соответствующий длине отрезка Е2А.
Возникший дефицит платежного баланса приведет к падению спроса на национальную валюту и понижению ее обменного курса. Для поддержания фиксированного обменного курса Центральный банк будет вынужден проводить нтервенции на валютном рынке, продавая резервы иностранной валюты в обмен на национальную.



Комплексный анализ последствий введения тарифа


Для анализа этих потерь рассмотрим графическую модель на рис. 4.2.
Комплексный анализ последствий введения тарифа

Рис. 4.2. Комплексный анализ последствий введения тарифа:
MO - объем импорта в условиях свободной торговли; M1 - объем импорта в условиях
пошлины; М - снижение объема импорта в условиях пошлины
Левая часть рассматриваемой модели убедительно свидетельствует о том, что убытки потребителей превышают суммарную величину выигрыша производителей и импортных сборов, идущих в доход государства. Убытки, причиняемые стране введением тарифа, можно проиллюстрировать также при помощи модели рынка импортного товара (правая часть графика). Кривая спроса на импорт DM представляет собой разницу между тем, сколько данного товара хотят приобрести
покупатели по конкретной цене, и тем, сколько товара по этой цене готовы произвести отечественные производители данной продукции. Такая интерпретация модели позволяет изобразить абсолютные потери страны областью (2 + 4), представляющей собой треугольник, высота которого равна размеру тарифа, а основание - общему сокращению импорта. Используя данную модель, чистые потери страны от введения тарифа можно оценить, пользуясь информацией, относящейся только к импорту, и не прибегая к построению кривых спроса и предложения.
Какой же экономический смысл содержится в утверждении, что геометрически чистые потери стороны соответствуют области (2 + 4)? Нетрудно убедиться в том, что именно эта область представляет собой, по существу, преимущества от международной специализации и торговли, потерянные с введением тарифа. В частности, фигура 2 соответствует дополнительным издержкам, которые связаны с замещением импорта (15 тыс. шт.) внутренним производством. Это количество (отрезок MN) ранее привозилось из-за границы; его полная стоимость соответствовала площади фигуры 5; после введения тарифа оно производится внутри страны, и его полная стоимость равна сумме площадей фигур 2 и 5. Очевидно, что с введением таможенной пошлины государство теряет дополнительный доход, обозначенный цифрой 2.
К чистым потерям государства, вызванным введением тарифа, относится и площадь, обозначенная цифрой 4. Действительно, объем товара, соответствующий отрезку АВ (25 тыс. шт.) ранее импортировался из-за границы на общую стоимость, равную площади фигуры 6. Этот объем импорта имел полную потребительскую стоимость, которая соответствовала сумме площадей (4 + 6). Стоимость, по которой этот объем импорта приобретался государством, соответствовала площади фигуры 6. Таким образом, излишек потребителей был равен площади фигуры 4. После введения тарифа покупатели оказались лишенными возможности приобретения этой части потребительского излишка.

4.3
Частичный равновесный анализ
экономической системы в условиях
импортного тарифа для большой страны
Большая страна, в отличие от малой, варьируя объемом своего импорта, может оказывать определенное влияние на уровень мировых цен (с целью улучшения своих условий торговли). В частности, экономически значимая страна, вводя соответствующий тариф на ввозимую
по импорту продукцию, может сократить объем импорта, а следовательно, и совокупный спрос на данный товар, в результате чего мировая цена на эту продукцию снизится.
Если же цены на экспортируемую большой страной продукцию останутся при этом неизменными, она сможет тем самым улучшить условия своей внешней торговли. При этом, однако, нельзя не учитывать и отрицательный эффект, который всегда имеет место при введении страной импортного тарифа. Поэтому для определения общего влияния импортного тарифа на экономику большой страны необходимо провести сопоставительный анализ выигрыша большой страны от улучшения условий торговли и соответствующих негативных последствий введения таможенной пошлины.
Проведем этот анализ при помощи графической модели, представленной на рис. 4.3.

Комплексный анализ последствий введения тарифа

Рис. 4.3. Модель равновесия большой страны
в условиях импортного тарифа:
D D- линия внутреннего спроса большой страны; Sd - линия внутреннего
предложения большой страны; Sw+d - линия внешнего и внутреннего
предложения в условиях свободной торговли; Sw+d+t - линия совокупного
предложения в условиях тарифа Т
Равенство объемов спроса и предложения в условиях свободной торговли достигается в точке С, в которой объем спроса на товар составит Q5, тогда как объем внутреннего предложения - лишь Q1. Недостающее количество товара Q1Q5 импортируется по мировой цене Pw, более низкой нежели внутренняя автаркическая цена на этот же товар Pd
Предположим, что правительство большой страны в целях улучшения условий своей торговли вводит импортный тариф размером Т ден. ед., что сдвигает функцию совокупного предложения влево вверх до положения Sw+d+T Точка равновесия анализируемой экономической системы перемещается при этом в положение F, в результате чего:
1) возрастает до уровня Pw+T внутренняя цена на товар;
2) внутреннее производство возрастает на Q1Q2
3) внутреннее потребление уменьшается на Q4Q5,
4) импорт страны сокращается до объема Q2Q4,
5) уровень мировой цены на товар падает до Pw.
Анализируя рассматриваемую модель, нетрудно убедиться в том, что основное ее отличие от соответствующей модели малой страны заключается в оценке дохода, который в случае большой страны представлен сегментами (3 + 5). Часть государственного дохода в этом случае представляет собой перераспределяемый в пользу государства излишек отечественных потребителей, так называемый внутренний доход, соответствующий сегменту 3. Вторая часть поступлений в государственный бюджет большой страны формируется за счет иностранных поставщиков, вынужденных, столкнувшись в большой стране с импортным тарифом, снижать цену на свою продукцию.
Сегмент 5, таким образом, иллюстрирует перераспределение доходов от иностранных производителей (экспортеров) продукции в государственный бюджет большой страны в результате улучшения условий ее торговли, обусловленного введением тарифа. Если 5 (2+4), большая страна получает чистую выгоду от введения импортной пошлины (за счет стран, экспортирующих соответствующую продукцию). Если 5 (2+4), когда эффект улучшения условий торговли меньше нежели сумма потерь, обусловленных введением тарифа, большая страна несет чистые убытки.
Тариф, обеспечивающий максимум разности [(5 - 2+4)], называется оптимальным тарифом.

4.4
Общий равновесный анализ
экономической системы в условиях
импортного тарифа для малой страны
Предположим, что небольшая страна, например Австрия, используя трудовые ресурсы и капитал, занимается выпуском стали и ткани, получая в результате постоянный доход при фиксированных объемах производства. Предположим также, что Австрия экспортирует сталь

Комплексный анализ последствий введения тарифа

Рис. 4.4. Влияние тарифа на внутреннее производство и потребление
и импортирует ткань по текущим мировым ценам: Рст=10 долл. и Ртк = 50 долл. соответственно. В условиях свободной торговли в Австрии, как правило, устанавливаются цены, преобладающие на мировых рынках (малая страна). Таким образом, относительная цена ткани составляет 5 (50 долл./10 долл.).
Для защиты внутреннего производства ткани правительство Австрии вводит 20-процентную пошлину на импорт ткани.
Как повлияет введение тарифа на экономику страны?
Влияние на внутренние цены. Самое очевидное и непосредственное влияние введенная пошлина оказывает на внутренние цены. В результате введения тарифа возникает несоответствие между внутренними и мировыми ценами. В нашем случае внутренняя цена ткани увеличивается до 60 долл.
Таким образом, если на мировом рынке относительная стоимость ткани остается равной 5, в Австрии она увеличивается до 6 (60 долл./10 долл.). Такое изменение внутренней относительной цены оказывает непосредственное влияние на экономику малой страны.
Влияние на внутреннее производство и потребление. Как мы только что убедились, относительная цена импортного товара (ткани) с введением тарифа увеличивается. В результате происходит перемещение имеющихся ресурсов с производства стали (идущей на экспорт) на производство ткани (конкурирующей с импортной продукцией), как это показано на рис.
4.4.
До введения пошлины объем производства в Австрии находился на уровне, соответствующем точке Р0, где альтернативная стоимость стали по отношению к ткани (это отношение показывает наклон кривой производственных возможностей UV в точке P0) равна относительной цене стали на мировом рынке (определяющей абсолютную крутизну наклона бюджетной линии MN).
С введением тарифа происходит увеличение относительной цены ткани при уменьшении относительной цены стали, что соответствует наклону новой бюджетной линии DF. В результате объем производства стали уменьшается, а объем производства ткани увеличивается: точка равновесия смещается из положения Р0 в положение Р1.
Таким образом, введение тарифа приводит к перераспределению ресурсов из отрасли, производящей сталь, в отрасль, находящуюся под защитой импортных ограничений и занимающуюся выпуском ткани. В этом и состоит эффект защиты внутреннего производства при введении тарифа.
Влияние на стоимостной объем производства и благосостояние государства. Одним из наиболее важных результатов введения тарифа является уменьшение выпуска товаров по мировым ценам.



Кредитно-денежная политика в условиях фиксированного обменного курса


Действительно, увеличение предложения денег приводит к снижению внутренней процентной ставки, а следовательно, к оттоку капитала из страны. Отток же капитала и возникающий в результате этого дефицит платежного баланса увеличивают спрос на иностранную валюту, в результате обменный курс национальной валюты понижается.
Если Центральный банк стремится поддерживать курс национальной валюты на фиксированном уровне, то он будет проводить валютные интервенции: продавать иностранную валюту и покупать отечественную. В результате денежная масса будет сокращаться. Это означает, что линия LM1* сдвинется влево до своего исходного состояния LM*. По мере уменьшения объема денежной массы ставка процента повышается, и отток капитала при выполнении условия i = i* прекращается.
Все увеличение денежной массы, происшедшее в результате осуществления в экономической системе расширительной монетарной политики, "уходит" в этом случае через платежный баланс, не оказывая никакого влияния на уровень национального дохода.

Кредитно-денежная политика в условиях фиксированного обменного курса

Рис. 13.13. Кредитно-денежная политика
в условиях фиксированного обменного курса
В этих условиях денежно-кредитная политика в своем традиционном смысле становится невозможной, а Центральный банк, принимая условия фиксированного курса национальной валюты, практически теряет контроль над результатами изменения предложения денег. Таким образом, монетарная политика при фиксированном обменном курсе является неэффективной: она не влияет на объем национального производства, а ее итогом становится лишь сокращение валютных резервов Центрального банка. Одним из наиболее эффективных инструментов денежно-кредитной политики при использовании фиксированного обменного курса становятся его официальное снижение (девальвация)
или повышение (ревальвация). При этом результаты девальвации аналогичны результатам увеличения предложения денег в условиях гибкого обменного курса (рост чистого экспорта и совокупного дохода), а ревальвации - уменьшению денежного предложения.
Внешнеэкономическая торговая политика. Введение внешнеторговых ограничений при фиксированном обменном курсе приводит к совершенно другим результатам нежели в условиях гибкого обменного курса. В частности, введение, например, импортных пошлин и квот приведет к росту чистого экспорта XN (сальдо текущих операций), и следовательно, к сдвигу кривой IS вправо (рис.
13.14).

Кредитно-денежная политика в условиях фиксированного обменного курса

Рис. 13.14. Внешнеторговые ограничения
в условиях фисированного обменного курса
Появившаяся тенденция к росту обменного курса национальной валюты заставит правительство с целью удержания фиксированного обменного курса на заданном уровне увеличить предложение денег, сдвинув при этом кривую LM* вправо. В результате вместе с ростом чистого экспорта вырастет и совокупный доход страны.
Таким образом, введение внешнеторговых ограничений при фиксированном обменном курсе приводит к росту совокупного дохода с увеличением сальдо текущих операций XN.
Проделанный выше анализ основных макроэкономических последствий политики государства в малой открытой экономике в краткосрочном периоде свидетельствует об их зависимости от характера валютного курса. При этом рассмотрены лишь полярные варианты режимов обменного курса - свободно плавающий и жестко фиксированный.
В реальной действительности их спектр существенно шире, однако все они в конечном итоге представляют собой ту или иную комбинацию этих двух валютных режимов. Следовательно, рассмотренные нами принципы макроэкономической политики в открытой экономике достаточно реалистичны и могут быть с соответствующими небольшими дополнениями успешно реализованы для макроэкономического анализа в условиях, используемых в реальной действительности промежуточных валютных режимов.
В табл. 13.1 обобщаются результаты воздействия бюджетно-налоговой, кредитно-денежной и внешнеторговой политики на уровни дохода (У) и обменного курса (г), а также на состояние текущего счета платежного баланса (XN).
Таблица 13.1. Макроэкономическая политика в условиях открытой экономики

Экономическая политика
Вид обменного курса
Плавающий
Фиксированный
Показатели
Y
r
XN
Y
r
XN
Стимулирующая
фискальная
0
^
v
^
0
0
Стимулирующая
монетарная
^
v
^
0
0
0
Протекционистская
внешнеторговая
0
^
0
^
0
^
Примечание. (^) - рост показателя; (v) - уменьшение показателя; (0) - неизменность показателя.
Как следует из представленных в таблице данных, при плавающем обменном курсе на доход влияет лишь кредитно-денежная политика. Это связано с тем, что, например, расширение денежной массы в стране, обусловливая снижение ставки процента, порождает также дополнительный стимулирующий эффект в виде снижения обменного курса национальной валюты. Стимулирующая же бюджетно-налоговая политика в условиях плавающего обменного курса полностью нейтрализуется ростом курса национальной валюты.
При фиксированном обменном курсе на доход влияет лишь бюджетно-налоговая политика, которая приводит к изменению ставки процента и, следовательно, притоку или оттоку иностранного капитала. Возникающее активное сальдо или дефицит платежного баланса приводят через механизм валютных интервенций к изменению денежной массы, что усиливает эффект от бюджетно-налоговой политики.
Механизм же денежно-кредитной политики в условиях фиксированного валютного курса не работает, поскольку Центральный банк
лишен в этом случае возможности проводить самостоятельную политику по регулированию объема денежной массы: все его усилия по изменению предложения денег подчинены здесь лишь задаче поддержания обменного курса национальной валюты на объявленном уровне. Любые попытки по изменению денежной массы изменяют уровень процентной ставки, что приводит к изменению потоков капитала и нарушению равновесия платежного баланса. Для восстановления внешнего равновесия Центральный банк вынужден воздействовать на объем денежной массы в обратном направлении, нейтрализуя таким образом последствия денежно-кредитной политики.
Какой из рассмотренных обменных курсов предпочтительнее?
Главный аргумент в пользу плавающего курса состоит в том, что он дает возможность использовать кредитно-денежную политику для достижения различных целей, тогда как при фиксированном курсе ее функции сводятся лишь к поддержанию обменного курса на объявленном уровне. Установление плавающего курса позволяет направить кредитно-денежную политику на решение других задач, таких как стабилизация занятости и цен.
Сторонники фиксированного курса считают, что неопределенность курса валюты затрудняет внешнюю торговлю. Кроме того, в пользу фиксированного обменного курса иногда приводится аргумент, что его установление позволяет предотвратить неоправданное увеличение предложения денег. В случае использования фиксированного обменного курса необходимое изменение предложения денег происходит автоматически.
В конечном итоге не обязательно делать жесткий окончательный выбор между фиксированным и плавающим обменным курсами. Так, при фиксированном курсе валюты страна может изменять его уровень, если поддержание его вступает в чересчур острое противоречие с достижением других экономических целей. Если же обменный курс плавающий, то все равно в процессе принятия решений о расширении или сокращении предложения денег страны зачастую прямо или косвенно предусматривают установление его на заранее намеченном уровне.
Предпочтение может быть отдано и одному из промежуточных валютных курсов. Главное в этом выборе заключается в хорошем понимании всех его последствий для функционирования отечественной экономической системы.
Одновременное достижение внутреннего и внешнего равновесия в экономической системе представляет собой достаточно сложную проблему, для решения которой экономическая теория выработала с учетом вышесказанного две эмпирические модели: одну для экономики
с фиксированным, другую - для экономики с плавающим валютным курсами.
В условиях фиксированного валютного курса государство для поддержания внешнего равновесия (платежного баланса) должно использовать монетарную политику, а для регулирования внутреннего равновесия - фискальную. В частности, при регулировании внешнего дисбаланса при дефиците или излишке платежного баланса необходимы продажа или покупка иностранных активов. Для регулирования внутреннего равновесия сравнительное преимущество имеет бюджетно-налоговая политика.
Несмотря на то, что осуществление фискальной политики, например, за счет увеличения государственных расходов, может привести к дефициту торгового баланса, он, как показывает практика, полностью перекрывается положительным сальдо счета движения капитала, обусловленным притоком капитала в страну.
В условиях плавающего обменного курса бюджетно-налоговая политика приобретает большую значимость для регулирования торгового, а, следовательно, и платежного баланса; внутреннее же равновесие становится объектом регулирования в основном для денежно-кредитной политики. Монетарная политика оказывает значительное влияние, как следует из вышесказанного, на внутренний выпуск (доход), однако необходимо иметь в виду, что рост спроса на отечественную продукцию происходит здесь в основном за счет увеличения спроса на экспорт на фоне оттока капитала.



Международная классификация статей платежного баланса



10.3
Макроэкономический анализ платежного
баланса
10.3.1. Международная классификация статей
платежного баланса
Современные формы представления платежного баланса являются результатом длительной эволюции теории платежного баланса и практики его составления. Принципы составления платежного баланса отдельных стран подвергаются все большей унификации. В частности, классификация статей платежного баланса по методу МВФ приведена в табл.
10.2.
Таблица 10.2. Классификация статей платежного баланса

Текущие операции
• Товары
• Услуги, в том числе доходы от инвестиций
• Трансферты:
- частные односторонние переводы;
- официальные односторонние переводы
Итог
Баланс (счет) текущих операций

Продолжение табл. 10.2

Движение капиталов
• Долгосрочный капитал:
- прямые инвестиции;
- портфельные инвестиции
Краткосрочный капитал

Итог
Баланс (счет) движения капиталов
Движение золотовалютных резервов
• Золотовалютные резервы:
- золото;
- резервы иностранной валюты;
- специальные права заимствования;
- экю
Обязательства страны перед иностранными банками

Итог
Баланс (счет) движения золотовалютных резервов
Итоговый баланс
Основными статьями платежного баланса, отражающего связь экономики страны с внешним миром, являются "Счет текущих операций (текущий счет)" и "Счет движения капитала". Счет текущих операций - это баланс обменов (трансакций), совершаемых в сфере реальной экономики, на рынке товаров и услуг; счет движения капитала - это баланс трансакций, совершаемых в финансовой сфере, на рынке капитала.
Рассмотрим их более подробно.

10.3.2. Текущий баланс (счет текущих операций)
Особое значение в платежном балансе страны занимает баланс текущих операций и прежде всего торговый баланс и баланс услуг, которые наиболее тесно связаны с состоянием внутренней экономики страны и с ее позицией в мировом хозяйстве. Считается, что баланс текущих операций отражает величину реальных ценностей, которые страна передала загранице или получила от нее в дополнение к валовому внутреннему продукту. Он показывает, живет ли страна "по своим доходам".
С аналитической точки зрения баланс текущих операций отмечается двумя особенностями:
1) текущие операции по своей природе окончательны - расчеты по ним не влекут за собой ответных операций, как это имеет место с операциями по движению капитала;

2) в краткосрочном периоде текущие операции наиболее устойчивы, а их итог отражает влияние более глубоких экономических тенденций, нежели операции движения капитала.
Вследствие этого баланс текущих операций рассматривается как метод, имеющий наиболее значительное экономическое содержание. Он включается в национальные счета, расчеты "затраты - выпуск", другие макроэкономические выкладки для определения итога внешнеэкономической деятельности страны и ее взаимодействия с внутриэкономическими процессами. Этот показатель фигурирует также в числе основных при анализе государственной экономической политики и выработке ее долгосрочных целей.
Текущий баланс измеряет стоимость чистых доходов страны, возникающих в результате международных сделок с товарами, услугами и трансфертами:

Текущий
баланс
=
{
Доходы
от экспорта
-
Расходы
на импорт
}
=
{
Чистые трансферты
за границу
}


Чистые трансферты за границу в этом уравнении равны трансфертам от фирм, домашних хозяйств и правительства данной страны иностранцам минус трансферты резидентам данной страны от иностранцев.
Текущий баланс может быть равен нулю, или сбалансирован, либо может иметь место несбалансированность:
- избыток, когда страна получает от заграницы больше, чем отдает;
- дефицит, когда имеют место чистые расходы на иностранные товары, услуги или трансферты.
Что происходит, когда платежный баланс по текущим операциям несбалансирован? Здесь целесообразно провести аналогию с отдельно взятым человеком. Представьте себе, что в течение нескольких месяцев вы тратите на товары и услуги (продукты питания, обучение, книги и т. п.) больше, чем получаете в виде доходов от работы и трансфертов (стипендии и денежных переводов от родителей).
По терминологии платежного баланса вы испытываете дефицит баланса по текущим операциям.
Как вы оплатите превышение расходов над доходами? Очевидно, что вы должны будете взять в долг или продать активы. Возможно, что вы продадите свои акции, облигации и другие ценные бумаги, снимете деньги с банковского счета, продадите автомобиль или начнете брать ссуды в банке или занимать у родственников.
Все это пути финансирования дефицита вашего текущего счета платежного баланса.

Но если у вас слишком большой дефицит, вы не сможете долго продолжать финансировать его. Вместо этого рано или поздно вы будете вынуждены скорректировать ваши доходы (больше зарабатывать) или расходы (меньше тратить), чтобы устранить причину, лежащую в основе дефицита текущего баланса.
Объяснение дефицита платежного баланса по текущим операциям для страны будет точно таким же, как и для отдельного человека. Страна, имеющая дефицит платежного баланса по текущим операциям, расходует на товары и услуги из-за границы и на трансферты за границу больше величины своих доходов от продажи товаров и услуг за границу. И так же, как отдельная личность, страна должна финансировать дефицит текущего платежного баланса. Страна финансирует дефицит текущего платежного баланса, продавая активы иностранцам или беря у них деньги взаймы.
Но финансирование имеет предел. Когда пользующиеся спросом активы истощаются и никто не хочет больше давать кредиты, то уже нельзя продолжать иметь дефицит, потому что нет возможности оплачивать его.
Таким образом, страна, как и отдельная личность, в конечном счете бывает вынуждена скорректировать свой платежный баланс по текущим операциям либо посредством увеличения поступлений из зарубежных источников, либо за счет сокращения своих расходов.
Положительное сальдо текущего баланса (активное сальдо счета текущих операций) противоположно дефициту. В этом случае страна выручает за границей больше, чем она тратит там, а значит, накапливает заграничные активы или кредитует иностранцев как сторону, обеспечивающую ей положительное сальдо.
Связь между положительным сальдо текущего платежного баланса и заграничными активами может быть уточнена следующим образом:

Положительное сальдо
текущего положительного
баланса
=
Прирост чистых
заграничных
активов


Чистые заграничные активы1 - это превышение заграничных активов, которыми владеют отечественные резиденты, над нашими активами, которыми владеют иностранцы.

Аналогичным образом:

Дефицит
текущего платежного
баланса
=
Уменьшение чистых
заграничных
активов


Быть чистым должником не означает быть банкротом. Например, Россия имеет еще активы для продаж. Но поступая таким образом, мы будем увеличивать долги будущих поколений, и в конце концов мы и наши дети должны будем выплачивать все займы, а вдобавок и проценты по этим займам.
Таким образом, текущий платежный баланс каждой страны должен быть сбалансирован.


1 Активы включают все, начиная от акций, облигаций, банковских счетов и кончая недвижимым имуществом, художественными ценностями и прямой собственностью корпораций.

10.3.3. Баланс движения капиталов
(счет движения капитала)
В балансе движения капиталов отражены доходы от торговли активами, например от продажи акций, облигаций, недвижимости и компаний иностранцам, и расходы, возникающие в результате наших покупок активов за границей.

Баланс
движения
капиталов
=
Поступления
от продажи
активов
-
Расходы
на покупку активов
за границей


Баланс движения капитала показывает, таким образом, как меняются чистые заграничные активы, а значит, и чистый приток или отток капитала. Если поступления от продажи активов остальному миру больше, чем наши расходы на покупку активов за границей, то баланс движения капиталов сводится с положительным сальдо. В этом случае капитал притекает в страну, и мы говорим, что имеется чистый приток капитала.
Наоборот, когда мы покупаем за границей больше активов, чем иностранцы покупают в нашей стране, имеет место чистый отток капитала и баланс сводится с дефицитом.
Существует простое правило, помогающее отличить положительное сальдо от дефицита в текущем платежном балансе и балансе движения капиталов. Когда соответствующие сделки ведут к чистым поступлениям иностранной валюты, то данный баланс своLится с положительным сальдо. Когда страна покупает за границей товаров больше, чем продает, т. е. когда она тратит больше иностранной валюты, чем получает, возникает дефицит текущего платежного баланса.
Когда продажи активов иностранцам и займы за границей в конечном счете превосходят закупки заграничных активов и выплаты кредитов,

то страна приобретает иностранную валюту в результате чистого притока капитала и, следовательно, имеет место положительное сальдо движения капиталов.
Объединим теперь баланс по текущим операциям и баланс движения капиталов и посмотрим на платежный баланс в целом.

10.3.4. Платежный баланс и вмешательство



Международное движение капитала


В частности, в условиях миграции в странах, принимающих рабочую силу:
1) повышается конкурентоспособность производимых товаров вследствие уменьшения издержек производства, связанных с более низкой ценой рабочей силы;
2) иностранные рабочие, обеспечивая дополнительный спрос на товары и услуги, стимулируют рост объемов производства и дополнительную занятость;
3) при импорте квалифицированной рабочей силы имеет место существенная экономия затрат на образование и профессиональную подготовку;
4) иностранные рабочие часто рассматриваются как своеобразный амортизатор в случае кризисов и сопровождающей их безработицы (они первыми могут быть уволены);
5) иностранные рабочие не обеспечиваются пенсиями и не учитываются при реализации социальных программ;
6) иммигранты улучшают демографическую картину развитых стран, для которых характерен большой удельный вес населения преклонного возраста.
Нельзя, конечно, не учитывать и отрицательные моменты, связанные с импортом (приемом) рабочей силы в страну. Так, дополнительная конкуренция со стороны иностранных рабочих на рынке труда ведет к росту безработицы по некоторыT специальностям (чаще же иммигранты заполняют вакансии, на которые мало претендентов среди местного населения). Например, в активно импортирующих рабочую силу Франции, Великобритании, скандинавских странах уровень безработицы
превышает 10%, что многие склонны связывать с притоком в эти страны большого количества иностранных рабочих. Кроме дополнительного бремени, которое при этом несут налогоплательщики, широкомасштабный импорт рабочей силы имеет и другие отрицательные последствия. В частности, общеизвестно, что массовую иммиграцию всегда сопровождают рост социальной напряженности в обществе, конфликты на расовой, национальной или религиозной почве, рост преступности и другие негативные явления.
Страны, экспортирующие рабочую силу, не менее взвешенно и комплексно должны учитывать кроме стандартных экономических также и другие последствия эмиграции своих рабочих. Основные из них следующие.
1. Экспорт рабочей силы рассматривается в некоторых странах1 как важный источник поступления валюты в страну. И это неудивительно: по данным Международного валютного фонда, средняя норма прибыли при экспорте товаров составляет 20%, услуг - 50%, а от экспорта рабочей силы - в среднем около 100%.
В частности, доходы от экспорта рабочей силы составляют 25-50% доходов от товарного экспорта в таких развивающихся странах, как Бангладеш, Египет, Греция, Марокко, Пакистан, Португалия, Шри-Ланка, Судан, Турция. В Иордании, Лесото, Йемене доходы от экспорта рабочей силы достигают 10-50% ВНП.
2. Экспорт рабочей силы означает уменьшение давления избыточных трудовых ресурсов на экономику страны и соответственно социального напряжения в обществе.
3. Бесплатное для страны-экспортера обучение рабочей силы новым профессиональным навыкам, знакомство с передовой технологией и организацией труда. Так, индийские ученые, вернувшиеся на родину после нескольких лет работы в высокотехнологичных американских корпорациях в районе Силиконовой долины, стали основоположниками развития индийской промышленности по созданию новых компьютерных технологий.
В то же время страны - экспортеры рабочей силы сталкиваются и с некоторыми негативными последствиями ее экспорта. Главное из них - это "утечка умов", отток, как правило, самых квалифицированных, инициативных кадров, столь необходимых национальной экономике.


1 Речь в этом случае идет о слаборазвитых или развивающихся странах.

7.3
Международное движение капитала
7.3.1. Причины и формы международного движения
капитала
Капитал, являясь одним из основных факторов производства, представляет собой весь накопленный запас средств в производительной, денежной и товарной формах, необходимых для создания материальных благ.
Основной причиной и предпосылкой вывоза капитала из страны является относительный избыток его в данной стране, т. е. перенакопление капитала. В этом случае в целях получения предпринимательской прибыли или процента он вывозится (переводится) за границу. Кроме вышеназванной причинами вывоза капитала могут также быть:
1) несовпадение объема спроса на капитал и объема его предложения в различных звеньях мирового хозяйства;
2) наличие возможности монополизации местного рынка принимающей страны;
3) наличие в странах, куда экспортируется капитал, более дешевого сырья и рабочей силы. Так, к примеру, немецкий рабочий в обрабатывающей промышленности "стоит" в 4 раза дороже тайваньского, в 9 раз дороже бразильского и в 54 раза дороже россиянина;
4) стабильная, по сравнению со страной-донором, политическая обстановка и благоприятный "инвестиционный климат" в принимающей стране.
Понятие инвестиционного климата в теории международного движения факторов производства отличается определенной сложностью и комплексностью. Оно включает такие параметры, как:
а) государственная политика в отношении иностранных инвестиций: соблюдение международных соглашений, прочность государственных институтов, преемственность власти и т. д.;
б) экономические условия: общее состояние экономики (подъем, спад, стагнация), положение в валютной, финансовой и кредитной системах страны, таможенный режим и условия использования рабочей силы, уровень налогов в стране и т. п.;
в) действующее законодательство о компаниях: порядок их создания, деятельности, отчетности, перевода в другую страну, ликвидации; меры, регулирующие или ограничивающие их деятельность1.
На практике необходимость зарубежного инвестирования обусловливается, очевидно, всем комплексом рассмотренных выше причин с обязательным учетом всех составных элементов инвестиционного климата, а также принципа сравнительных преимуществ отдельных рынков.
Основными формами международного перемещения капитала в настоящее время являются:
1) прямые инвестиции в промышленные, торговые и другие зарубежные предприятия;
2) портфельные (спекулятивные) инвестиции в иностранные облигации, акции, другие ценные бумаги;
3) международные кредиты (займы) ссудного капитала промышленным и торговым предприятиям, банкам, другим финансовым учреждениям;
4) экономическая помощь: бесплатная или в виде льготных кредитов.


1 В развитых странах с рыночной экономикой по отношению к иностранным инвесторам применяется так называемый национальный режим, в соответствии с положениями которого деятельность иностранных инвесторов регулируется в основном национальными законами, постановлениями и административными процедурами, предназначенными для всех местных предпринимателей как национальных, так и иностранных.

7.3.2. Прямые зарубежные инвестиции
В последние десятилетия в системе мировых хозяйственных связей все большее значение приобретает движение прямых инвестиций - вложений капитала с целью приобретения долгосрочного экономического интереса в стране приложения капитала. Инвестор в этом случае обеспечивает себе полный контроль над объектом размещения своего капитала. Прямые инвестиции практически целиком связаны с вывозом частного предпринимательского капитала, не считая относительно небольших по объему зарубежных инвестиций фирм, принадлежащих государству.
Начиная с середины 80-х годов темп прироста прямых инвестиций в мировой экономике в 4 раза превышал темп прироста мирового BBП И этому есть свои объяснения.
В частности, при использовании прямых зарубежных инвестиций:
активизируется деятельность частного сектора;
расширяется выход на внешний рынок;
облегчается доступ к новым технологиям и методам управления;
возрастает вероятность реинвестирования прибыли внутри страны, а не вывоз ее в страну базирования капитала;
не увеличивается размер внешней задолженности принимающей страны.

Ведущие позиции как в экспорте, так и в импорте предпринимательского капитала занимают индустриально развитые страны, на долю которых приходится 97-98% общемирового объема прямых зарубежных инвестиций. Среди них особо выделяются 3 центра мирового хозяйствования: США, Западная Европа и Япония.
Проанализируем экономические последствия миграции капитала как для стран-экспортеров, так и для принимающих стран. Пусть, как и ранее, в мире существует две страны - А и В.

Международное движение капитала

Рис. 7.3. Совокупный объем производства
при отсутствии возможности для зарубежного инвестирования
Считая главной и единственной причиной международного движения капитала различную прибыльность его вложения в разных странах, предположим, что в стране А наблюдается относительный избыток капитала при ограниченных возможностях инвестирования вследствие отсутствия, например, природных ресурсов, научно-технического потенциала и т. п. В стране В, наоборот, капиталов мало, но она располагает значительными природными ресурсами.
Допустим, что по каким-то причинам движение капиталов между странами отсутствует. Данная ситуация может быть наглядно проиллюстрирована с помощью графической модели (рис. 7.3).
В рассматриваемой модели страна А располагает капиталом в объеме КА, страна В - КB; общий объем капитала в мировой экономической
системе составляет величину: (КА + KB).



Международное равновесие


Международное равновесие. Для обеспечения общего равновесия экспорт продовольствия из США должен быть равен импорту продовольствия Великобритании, и импорт в США одежды должен быть равен английскому экспорту этого товара.
В общем случае международное равновесие обеспечивается такими условиями торговли, при которых мировая торговля сбалансирована, и мировое предложение в точности равняется мировому спросу на всяком и каждом рынке. Все производители продают все, что они желают продавать, а все потребители покупают все, что они желают купить. Все удовлетворены и не имеют никакого стимула изменить свое поведение.
Воспользуемся рассмотренными кривыми предложения и установим с их помощью общий подход к определению общих условий равновесия. Совершенно очевидно, что международное равновесие будет иметь место в точке пересечения кривых предложения торгующих стран (США и Великобритании). Только при условиях торговли, соответствующих этому пересечению, будут полностью сбалансированы торговые потоки двух стран.
Проиллюстрируем это графической моделью, представленной на рис. 3.22, которая объединяет кривые предложения США и Великобритании, рассмотренные соответственно на рис. 3.20 и 3.21.

Международное равновесие

Рис. 3.22. Модель международного равновесия
Кривые предложения США и Великобритании, совмещенные на одном графике, определяют все основные параметры международной торговли. Угол наклона ТОТ3 = ТОТ'3 представляет собой относительную цену, по которой осуществляется торговля между ними, отрезок OL - точное количество продовольствия, экспортированного США и импортированного Великобританией, отрезок OL' - точное количество одежды, экспортированной Великобританией и импортированное США. Точка пересечения кривых (К' = К) определяет точную относительную цену, по которой данное количество продовольствия будет обмениваться на данное количество одежды (p = 2).
При этом точка К (К') - единственная точка, в которой желательный объем импорта каждой страны в точности соответствует желательному объему экспорта другой страны. Например, в условиях торговли р = 1,0 (ТОТ2) предложение США намного меньше, чем его желаемый объем импорта со стороны Великобритании. В этом случае будет иметь место избыточный спрос на продовольствие, определяющий давление на цену продовольствия в сторону ее повышения. В то же
время будет иметь место избыточное предложение одежды со стороны Великобритании, обусловливая давление на цену одежды в сторону ее понижения.
В результате относительная цена продовольствия будет повышаться, пока не будет достигнуто состояние международного равновесия.
Рассмотренная нами модель международной торговли позволяет изучать все основные параметры международного обмена товарами и услугами и связанные с ним параметры национальной экономики. Она показывает условия производства (предложения) и предпочтения потребителей (спроса), а также объемы производства и потребления и относительные товарные цены в условиях отсутствия торговли, как и относительное преимущество каждой из стран. В условиях торговли модель показывает уровень специализации стран на производстве каждого товара, физический объем торговли, условия торговли, выигрыш от торговли и его распределение между странами.
Общее международное равновесие достигается в случае одновременного уравновешивания спроса и предложения на товар как во внутренней, так и в международной торговле, т. е. на внутреннем и мировом рынках.


1 Показатель, синтезирующий спрос и предложение и показывающий, какое количество импортного товара требуется стране, чтобы побудить ее продавать соответствующие количества другого товара, в экономической литературе называют иногда взаимным спросом.

3.5.6. Общий подход
к определению условий торговли страны
В рассмотренных выше моделях условия торговли определялись нами на основе категории альтернативных издержек производства товаров. Например, под относительной ценой продовольствия (или условиями торговли) для США мы понимали число единиц одежды, которые обмениваются на одну единицу продовольствия. Эти условия торговли часто называют товарными условиями торговли, или чистыми бартерными условиями торговли.
Такой способ расчета эквивалентен расчету условий торговли как отношения цены за единицу продовольствия к цене за единицу одежды1.
Таким образом, условия торговли конкретной страны могут быть рассчитаны через соотношение экспортных и импортных цен на определенный товар, если интерес представляет только данный товар, или через соотношение индекса экспортных и индекса импортных цен в целом, если анализируется торговля всеми товарами (и услугами):


TOT =
Индекс экспортных цен
100
Индекс импортных цен

Растущий показатель условий торговли (ТОТ 100) означает, что при росте совокупной цены экспорта страны по сравнению с совокупной ценой импорта на каждую единицу экспортируемого товара становится возможным приобрести все большее количество импортных товаров. При этом считается, что благосостояние страны в этом случае растет; если же ТОТ 100, то оно ухудшается. Однако такой вывод справедлив лишь при определенных условиях, в частности, когда "ухудшение" условий торговли в данной стране обусловливается результатами изменений у зарубежных партнеров, то есть экзогенными факторами.
Если же речь идет о действии внутренних (эндогенных) факторов, необходим более глубокий анализ последствий изменения под их влиянием условий торговли. Например, в стране в результате использования суперэффективной технологии резко возросли объемы производства некоторого экспортируемого товара при существенном снижении цены на него. Условия торговли при этом для данной страны ухудшатся, откуда вовсе не следует, что страна что-то потеряет или торговля для нее станет менее выгодной. Страна может получать при этом выигрыш как от роста эффективности производства, так и от увеличения объема экспорта товара по более низкой цене.
Таким образом, условия торговли дают важную информацию для оценки изменений в благосостоянии нации, но использовать ее следует только наряду с другими данными - об объемах торговли и о причинах изменения цен.


1 Обозначим: Qx - количество продовольствия; Qy - количество одежды; Рх - цена за единицу продовольствия; Ру - цена за единицу одежды; М - располагаемый объем средств. Тогда: Qx= М/РХ и Qy= М/Ру , а условия торговли у/х = Px/Py.

3.6.2. Теория жизненного цикла товара
В середине 60-х годов американский экономист Р. Верной выдвинул теорию жизненного цикла продукта, в которой пытался объяснить развитие мировой торговли готовыми изделиями на основе специфики этапов их жизни, т. е. периода времени, в течение которого продукт обладает жизнеспособностью на рынке и обеспечивает достижение целей продавца.
Теория жизненного цикла товара исходит из того, что некоторые страны специализируются на производстве и экспорте технологически новых товаров, тогда как другие - на производстве уже известных товаров. Наиболее развитые страны, обладающие большими объемами капитала и квалифицированной рабочей силой, в состоянии инвестировать большие средства в технологические нововведения, производить на их основе новую продукцию, получая таким образом
постоянное (динамическое) сравнительное преимущество перед другими странами.
В соответствии с данной теорией товар проходит пять стадий жизни в международной торговле.
1. Первая стадия называется стадией нового продукта. Новый продукт производится и потребляется в возрастающих масштабах только в той стране, где он был разработан. Обычно производство начинается с небольших масштабов и полностью ориентировано на внутренний рынок.
2. Вторая стадия называется стадией роста продукта. Товар совершенствуется, растут его продажи на внутреннем рынке, и начинается его экспорт за рубеж. Иностранной конкуренции пока нет, и страна имеет временную монополию в производстве и торговле данным товаром.
3. Третья стадия называется стадией зрелости товара. Технология товара отработана уже настолько, что становится неразумным его дальнейшее производство в самой стране, которая его разработала, с помощью ее рабочей силы. Куда эффективнее оказывается перенести часть уже стандартизированного производства в другие страны, где стоимость рабочей силы значительно ниже.
Другие страны начинают производить данный продукт по лицензии для своего внутреннего рынка.
4. Четвертая стадия называется стадией падения производства товара. Используя более дешевую рабочую силу, имитирующая страна (страны) начинает не только поставлять товар на свой внутренний рынок, но и продавать его на рынке страны, разработавшей товар, вытесняя с него местных производителей. Конкуренция технологий переходит в плоскость ценовой конкуренции.
Внутреннее производство в стране, разработавшей товар, быстро падает, и экспорт прекращается.
5. Пятая стадия называется стадией прекращения внутреннего товара. На ней имитирующая страна настолько опережает страну - разработчика товара, что последняя в итоге вынуждена вообще прекратить его внутреннее производство и насыщать внутренний рынок только за счет импорта из-за рубежа.



Межстрановая миграция населения


Если начнется международное движение факторов производства, то на этой основе обе страны начнут постепенно производить оба товара, что сделает возможной уже внутриотраслевую торговлю. Объем мирового производства вырастает больше в результате международного перемещения факторов производства, чем в результате международной торговли, поскольку не товары, а сами факторы производства перемещаются в те страны, где они могут использоваться наиболее эффективно. В большинстве случаев международная мобильность факторов является более мощным источником экономического роста нежели международная торговля.
Главное же различие между международной торговлей товарами и международным перемещением факторов производства состоит в том, что в первом случае происходит международное движение конечных продуктов, являющихся результатом производительного использования факторов производства, а во втором - международное движение самих факторов, с помощью которых эти конечные продукты могут быть произведены.
Кроме того, международное движение факторов производства обычно является предметом более жесткого государственного регулирования, чем международная торговля товарами. В большинстве стран мира продолжают существовать очень серьезные ограничения на движение капитала и миграцию рабочей силы.
Аналогично воздействие мировой торговли товарами и международного движения факторов производства на распределение доходов внутри стран. Как известно из теории Хекшера-Олина, каждая страна экспортирует те товары, для производства которых она обладает относительно избыточными факторами производства, и импортирует те товары, для производства которых она испытывает относительный недостаток (дефицит) факторов производства. Владельцы относительно избыточных факторов производства выигрывают от торговли, владельцы относительно недостаточных факторов производства проигрывают.
Предположим, что в Германии капитал является относительно избыточным фактором производства, а труд - относительно недостаточным. Страна экспортирует капиталоемкие товары в другие страны. При этом на пути международного движения факторов производства воздвигнуты непреодолимые барьеры, и поэтому факторы производства не перемещаются между странами. В этом случае производители капиталоемкого товара получают выигрыш от торговли.
Но в то же время капиталоизбыточность страны означает, что цена капитала (процентная ставка) в Германии ниже, чем в других странах. И если преграды на пути международного движения капитала снять, то неминуемо начнется отток капитала из Германии за рубеж, в страны, где процентная ставка выше. Отток капитала будет происходить до тех пор, пока уровень процентной ставки не выравнится.
Из-за того, что капитал размещается за рубежом, где цена его выше, прибыли владельцев капитала растут. Вследствие оттока капитала из Германии труд в ней становится относительно более избыточным фактором, и цена на него падает.
В результате, как и международная торговля, международное движение факторов производства перераспределяет доходы в пользу владельцев относительно избыточных факторов производства.

7.2
Межстрановая миграция населения
и международный рынок труда
Рассмотрение основных проблем мировой экономики, связанных с межстрановым перемещением факторов производства, начнем с анализа международного рынка труда, который существует в форме миграции наиболее мобильного из всех факторов - фактора "рабочая сила".
Миграция рабочей силы - переселение трудоспособного населения из одних стран в другие сроком более чем на один год.
Причинами миграции рабочей силы являются факторы как экономического, так и неэкономического характера. К причинам неэкономического характера относятся: политические, национальные, религиозные, природные (стихийные) бедствия, войны, экологические проблемы, причины личного характера и др. Причины экономического характера обусловливаются прежде всего различным уровнем экономического развития отдельных стран.
Объективно возможность миграции, вызванной экономическими причинами, появляется вследствие национальных различий в условиях оплаты труда (заработной платы).
Какое влияние оказывает миграция рабочей силы на страны, импортирующие и экспортирующие ее?
Для упрощения анализа мировое хозяйство представим как двухстрановую модель, предположив при этом, что главной и единственной причиной международного движения рабочей силы является различный уровень реальной средней заработной платы в рассматриваемых странах. Предположим, что речь идет о Соединенных Штатах Америки и Мексике. Начнем анализ с ситуации, когда миграция не разрешена, что соответствует равновесию в точках ЕА (Мексика) и ЕB (США) на представленной графической модели (рис.
7.2). Эти точки, как следует из рассматриваемой модели, соответствуют средней реальной часовой тарифной ставке мексиканских рабочих (1,25 долл.) и их американских коллег (5,50 долл.).
Если бы никаких препятствий для миграции рабочей силы между странами не было, а ее перемещение не требовало бы никаких издержек, процесс перемещения рабочей силы шел бы до тех пор, пока снизившийся уровень заработной платы в США не уравнялся с возросшим уровнем заработной платы в Мексике. Однако это перемещение требует от мигрантов как экономических, так и весьма существенных психологических, моральных издержек. При этом психологические издержки имеют для нормальных в моральном отношении людей столь важное значение, что разрыв в уровнях заработной платы всегда будет оставаться даже при существовании полной юридической и физической свободы передвижения.

Межстрановая миграция населения

Рис. 7.2. Влияние свободы перемещения на рынок рабочей силы
Таким образом, лишь относительно незначительное число лиц (т млн. человек для рассматриваемой модели) сочтут выигрыш в повышении заработной платы достаточным, чтобы компенсировать издержки миграции. Кстати, выигрыш в заработной плате, или, что то же самое, издержки миграции, составляют в нашем случае 3,40 долл. в час (5,00 - 1,60 = 3,40). Действительно, те, кто решается на переезд, получают в США 5,0 долл. в час; этот же час в Мексике "стоит"
1,6 долл., следовательно, разницу в 3,4 долл. составляют различные издержки, связанные с необходимостью работы за рубежом.
Оценим экономические последствия, которые будут иметь место в результате эмиграции m миллионов рабочих из Мексики в Соединенные Штаты Америки. Чтобы оценить чистый выигрыш мексиканских эмигрантов, необходимо измерить площадь фигуры, заключенной между старым и новым уровнем заработной платы в Мексике, а также старым (SA) и новым (S1A) - в условиях миграции - предложениями труда в стране. Этот выигрыш соответствует сумме площадей фигур 2 и 3.
Для остальных категорий (групп) лиц в Мексике и США последствия миграции мексиканских рабочих в США будут следующими.
Рабочие, оставшиеся в Мексике (кривая предложения их труда - S1A), выигрывают благодаря тому, что снижение конкуренции за рабочие места повышает среднюю реальную часовую тарифную ставку с 1,25 долл. до 1,60 долл. Таким образом, выигрыш этих рабочих будет соответствовать площади четырехугольника 1. Их наниматели теряют часть своих прибылей, поскольку вынуждены платить работникам более высокую заработную плату. Потери мексиканских предпринимателей составят величину, эквивалентную сумме площадей фигур 1 и 2.
Предприниматели в США, конечно, выигрывают от дополнительного предложения труда (S'B SB). Снижение часовых тарифных ставок с 5,5 долл. до 5 долл. приносит им дополнительный доход, соответствующий площади фигуры (4+5). Рабочие, уже находившиеся в США, теряют объем доходов, эквивалентный площади четырехугольника 4.
Анализ ситуации, представленной на рассматриваемой нами модели, демонстрирует некоторые явные, но, возможно, неожиданные общеэкономические последствия свободы передвижения для "постоянного" населения в целом.
Прежде всего оценим эти последствия для США (но без учета последствий для мигрантов даже после их прибытия в страну). Как страна в целом США, безусловно, выигрывают: выигрыш предпринимателей (4+5) и всех потребителей, покупающих их продукцию, явно превышает потери рабочих: (4+5) 4.
Таким образом, идеи ограничения иммиграции никак нельзя обосновывать чистыми экономическими потерями для страны, если только не обнаружить нечто, не отраженное в рассматриваемой модели.
Страна эмиграции (Мексика) после отъезда мигрантов определенно проигрывает: потери предпринимателей (1+2) не могут быть меньше, чем выигрыш мексиканских рабочих 1.
Таким образом, если анализировать стандартные статические последствия, вызванные миграцией рабочей силы, можно сделать очевидный вывод о том, что принимающие страны и сами мигранты выигрывают в этом процессе, в то время как страны эмиграции теряют.
Мировое хозяйство в целом, несомненно, выигрывает, поскольку свобода миграции позволяет людям перемещаться в страны, где они могут внести больший вклад в мировое производство продукции и услуг.
При анализе всех (а не только стандартных экономических) последствий миграции рабочей силы оценка "плюсов" и "минусов" такого сложного явления должна учитывать и множество других факторов.



Мировой валютный рынок


С конца 40-х и до начала 70-х годов XX столетия Бреттон-Вудская валютная система, базировавшаяся по существу на долларе, достаточно успешно поддерживала фиксированные обменные курсы валют. При этом уникальное положение среди всех остальных валют занял американский доллар. Статус единственной резервной валюты позволил США фактически безвозмездно присваивать определенную часть мирового продукта, так как все остальные страны соглашались в обмен на свои товары и услуги получать вновь эмитированные доллары.
Такая практика получила название "бесплатных завтраков" для США и стала одной из причин последующего краха данной валютной системы.
Объективной основой для доминирования доллара в послевоенные годы стало безусловное экономическое превосходство США над остальными странами. На США в 1949 г., например, приходилось 54,6% капиталистического промышленного производства и 75% золотых запасов. До 60-х годов XX в. в результате дефицитов торговых балансов с США остальные страны испытывали существенный "долларовый голод", и поэтому долларовое господство США в эти годы было нерушимым.
Однако к концу 60-х годов в результате возрастания экономической мощи и влияния стран Западной Европы и Японии их дефицитные торговые балансы с США сменились на балансы с положительным сальдо. "Долларовый голод" сменился "долларовым насыщением", американские партнеры стали стремиться обменивать накопленные долларовые запасы на золото (по фиксированной и достаточно низкой, по меркам того времени, цене золота).
Долларовые запасы США за пределами страны составили огромную сумму1: принцип Бретгон-Вудской валютной системы об обмене доллара на золото оказался обременительным для США, золотая ликвидность не обеспечивалась.
Доверие к американскому доллару оказалось подорванным. В 1971 г. президент США Ричард Никсон отказался от конвертируемости доллара в золото по фиксированной цене. Таким образом, Брет-тон-Вудская система в начале 70-х годов фактически развалилась, и основные промышленные страны позволили своим обменным курсам свободно колебаться.
Ямайкская (современная) валютная система. Еще в 1972 г., когда стало ясно, что система фиксированных обменных курсов больше не отвечает интересам подавляющего большинства стран, был создан специальный Комитет по реформе валютной системы, по результатам работы которого в январе 1976 г. на очередном заседании Международного валютного фонда в Кингстоне (Ямайка) были определены основы современной мировой валютной системы. Суть этой системы характеризуют плавающие обменные курсы валют и многовалютный стандарт.
В соответствии с основными принципами ямайкской валютной системы:
1) функции золота в качестве меры стоимости и точки отсчета валютных курсов упразднялись. Золото превратилось в обычный товар со свободной ценой на него. Произошла демонетизация золота.
Однако в качестве резервного средства оно продолжает использоваться. Каждая страна имеет золотой запас, предназначенный для обеспечения своей валюты - монетарное золото. В случае когда необходимо поддержать национальную валюту, страна продает часть золотого запаса по рыночной цене на свободных рынках;
2) валютные отношения полицентричны, т. е. основаны не на одной, а на нескольких ключевых валютах;
3) странам предоставлялось право выбора любого режима валютного курса. Валютные отношения между ними стали складываться на плавающих курсах их национальных денежных единиц. Колебания курсов обусловливались двумя основными факторами: а) реальными стоимостными соотношениями, покупательной способностью валют на внутренних рынках стран; б) соотношением спроса и предложения национальных валют на международных рынках. В то же время для предотвращения беспорядочных колебаний курса страны - члены МВФ
обязаны прилагать все возможные усилия для поддержания своих финансов в должном порядке. На практике это означало введение определенного варианта управляемого плавания валют соответствующих стран;
4) введены коллективные мировые деньги - СДР1 - специальные права заимствования, призванные заменить золото и резервные валюты в качестве главного средства мировой ликвидности. Идеологи СДР планировали придать этой валюте функции мирового платежного средства, заменяющего все прочие резервные валюты. Однако практика показала, что СДР не смог заменить доллар и другие резервные валюты в качестве универсального средства расчетов - страны предпочитали известные валюты.
Поэтому МВФ смог провести всего несколько эмиссий с 1970 г., и к настоящему времени доля коллективной валюты в общей сумме резервов стран МВФ составляет около 2 - 3%. Цена СДР определяется на основе корзины ведущих валют в соответствии с долей каждой страны в мировом экспорте;
5) усилена роль МВФ в качестве регулятора валютно-финансовых отношений, подкрепленная расширением практики выделения стабилизационных кредитов тем странам, чьи валюты нуждаются в поддержке.
В заключение отметим, что в настоящее время мировое экономическое сообщество находится перед необходимостью формирования концептуальных принципов новой модели международного валютного режима, где должны быть отражены следующие основные тенденции функционирования современной мировой экономической системы:
образование нескольких мировых валютных полюсов при полном отказе от моновалютной схемы валютной системы;
отход от ориентации на свободное неограниченное плавание национальных валют и усиление взаимного воздействия на валютные курсы вплоть до осуществления совместных валютных интервенций для поддержания допустимых колебаний обменных курсов валют;
перенос центра тяжести в области межгосударственного валютно-финансового регулирования с чисто денежно-кредитных рычагов на макроэкономические меры координации экономической политики различных стран;
либерализация валютных отношений, результатом которой будет обеспечение тотальной конвертируемости валют.

1 Репрессалии (лат. reprehendo - удерживаю), по международному праву принудительные меры, предпринимаемые государством в ответ на незаконные действия другого государства с целью заставить его прекратить эти действия и возместить ущерб.
1 Эта цена доллара (и золота) продержалась до 1971 г.
1 За пределами США находилось около 50 млрд. долл., что соответствовало трем четвертям наличности, находящейся в обращении.
1 SDR - special drawing rights. 204

9.3
Рынки валют и основные
валютные операции
9.3.1. Мировой валютный рынок
По мере развития национальных денежных рынков и их взаимных связей сложился единый мировой валютный рынок для ведущих валют, основными функциями которого являются:
1) своевременное осуществление международных расчетов;
2) страхование валютных рисков;
3) взаимосвязь с кредитными и финансовыми рынками;
4) диверсификация валютных резервов банков, государств;
5) регулирование валютных курсов (рыночное и государственное);
6) получение спекулятивной прибыли его участниками в виде разницы курсов валют;
7) проведение валютной политики, направленной на государственное регулирование национальной экономики, и согласованной политики в рамках мирового хозяйства.
Среди участников сделок на валютных рынках можно выделить четыре уровня:
первый (низший) уровень составляют такие традиционные категории населения, как туристы, экспортеры (импортеры), инвесторы и т. п. Это те, кто непосредственно использует или предлагает иностранную валюту;
второй уровень - это коммерческие банки, выступающие в роли расчетных палат между теми, кто использует и кто предлагает иностранную валюту. Коммерческие банки, осуществляя валютные сделки от лица фирм, выходящих на внешние рынки в качестве экспортеров или импортеров, а также диверсифицируя свои портфели за счет иностранных активов, являются основными участниками валютного рынка;
третий уровень представляют валютные брокеры, при посредничестве которых коммерческие банки выравнивают поступления и расходы иностранной валюты между собой (так называемый межбанковский или оптовый рынок);
четвертый и самый высокий уровень представляет Центральный банк страны, который действует как покупатель или продавец в последней инстанции, когда общие доходы и расходы страны в иностранной валюте не равны. В этом случае Центральный банк либо сокращает свои валютные резервы, либо увеличивает их.
Таким образом, со структурной точки зрения мировой валютный рынок можно рассматривать как совокупность центральных (эмиссионных) банков стран, девизных1 банков, специализированных брокерских и дилерских организаций, транснациональных компаний, фирм и физических лиц. Торговля валютой на валютном рынке не привязана к какой-либо одной географической точке, не имеет фиксированного времени открытия и закрытия.
Валютный рынок существует, таким образом, практически повсеместно, хотя, конечно, можно выделить периферию, где валютные сделки менее интенсивны или сводятся к простому валютному обмену, и пункты интенсивных валютно-финансовых операций. Обычно это столицы государств, крупные деловые центры, пограничные и портовые города.
На карте мира существуют и особые валютные гиганты - Нью-Йорк, Токио, Сингапур, Гонконг, Цюрих, Париж, Франкфурт-на-Майне, и, разумеется валютно-финансовая столица мира - Лондон.



Модель абсолютного преимущества



3.2
Теории абсолютного
и сравнительного преимуществ
3.2.1. Модель абсолютного преимущества
Для использования данной модели предположим, что в каждой стране имеется такой товар, который на единицу затрат она может производить в объеме, большем нежели другие страны.
Для упрощения анализа рассмотрим условный пример, когда две торгующие друг с другом страны производят только два вида продукции1, например пшеницу и природный газ. При этом предположим, что природные, климатические и другие условия отражаются на эффективности производства этой продукции следующим образом (табл. 3.1).
Таблица 3.1. Модель абсолютного преимущества

Продукция
Производство на единицу затрат
Россия
мировое хозяйство
Пшеница, т
25
100
Природный газ, тыс. м3
50
40
Из табл. 3.1 видно, что производство в России более эффективно в отношении природного газа (50 40) и менее эффективно, чем в мировом хозяйстве, в отношении пшеницы (25 100). Другими словами, Россия имеет абсолютное преимущество в производстве природного газа, а мировое хозяйство - в производстве пшеницы.
Кроме того, из табл. 3.1 следует, что каждый торговый партнер моет увеличить или уменьшить производство любого из этих двух продуктов, но при соблюдении следующих условий:
Россия: уменьшить производство пшеницы на 0,5 т для производства дополнительно 1 тыс. м3 газа;
мировое хозяйство: уменьшить производство пшеницы на 2,5 т для производства дополнительно 1 тыс. м3 газа.
Нетрудно убедиться, что речь в данном случае идет об альтернативных издержках производства природного газа в России и мировом
хозяйстве. Сводная таблица альтернативных издержек производства обоих видов продукции у обоих партнеров будет иметь следующий вид (табл. 3.2).
Таблица 3.2. Альтернативные издержки экономических субъектов

Продукция
Альтернативные затраты
Россия
мировое хозяйство
Пшеница, тыс. м3/т
2
0,4
Природный газ, т/тыс, м3
0,5
2,5
В отсутствие торговли каждая страна могла бы потреблять только то, что производит.
Производственные возможности России и мирового хозяйства на единицу затрат представлены на рис. 3.1.

Модель абсолютного преимущества

Рис. 3.1. Модели производственных возможностей стран:
а - Россия; б - мировое хозяйство
На вопрос, сколько и какой продукции будут производить Россия и мировое хозяйство в условиях автаркии, ответить можно только в том случае, если будут проанализированы социальные (общественные)
вкусы и предпочтения, которые и определяют, как мы знаем, характер спроса в странах.
Предположим, что существующая система общественных предпочтений в России такова, что из множества точек на линии производственных возможностей выбирается точка S0 (рис. 3.1, а) с координатами: 15т пшеницы и 20 тыс. м3 природного газа (в расчете на единицу затрат ресурсов). Точно так же предположим, что все остальные страны остановятся в своем выборе на 70 т пшеницы и 12 тыс. м3 природного газа.
В отсутствие внешней торговли цены на газ и пшеницу в России и мировом хозяйстве различны и определяются соответствующими альтернативными издержками, приведенными выше. В частности, в России 1 т пшеницы будет стоить 2 тыс. м3 газа, или, что то же самое, 1 тыс. м3 газа будет стоить 0,5 т пшеницы. За границей в отсутствие внешней торговли соотношение цен будет соответствовать пропорции: 2,5 = 100 / 40 т пшеницы за 1 тыс. м3 газа.
Теперь представим, что Россия устанавливает торговые отношения с другими странами (мировым хозяйством). Кто-то сразу обратит внимание на бросающуюся в глаза разницу цен. В России очень дешевый газ: 1 тыс. м3 газа можно купить за 0,5 т пшеницы, тогда как за границей за каждую 1 тыс. м3 газа можно получить 2,5 т пшеницы.
Если транспортные расходы невелики (а мы предположим, что они нулевые), этот наблюдательный предприниматель воспользуется случаем и станет закупать газ по 0,5 т пшеницы за 1 тыс. м3 газа в России и продавать его за границей за 2,5 т пшеницы. Естественно, что он достаточно быстро приумножит свое состояние, так как он в сущности открыл способ превращать 0,5 т пшеницы в 2,5 т!
Вне зависимости от того, останутся ли внешнеторговые сделки целиком в его руках или у него появятся независимые конкуренты, совершенно очевидно, что направления внешнеторговых потоков будут определяться разницей в соотношениях альтернативных издержек производства. Поскольку в России относительно дешевый природный газ, а в других странах - пшеница, Россия будет экспортировать газ и импортировать пшеницу.
Каждая страна, участвующая в международной торговле, должна, очевидно, получать выгоду от нее. Какими же должны быть условия взаимовыгодной международной торговли вообще и для рассматриваемого нами примера в частности? Ведь проанализированная нами выше ситуация с наблюдательным предпринимателем не дает никакой выгоды для России. По каким же ценам России будет выгодно экспортировать газ на мировой рынок?
Очевидно, по ценам, превышающим 0,5 т пшеницы за 1 тыс. м3 природного газа. В противном случае у России не будет стимулов для экспорта своего природного газа. Мировому же
хозяйству будет выгодно покупать газ у России до тех пор, пока его цена за 1 тыс. м3 будет меньше 2,5 т пшеницы.
Таким образом, соотношение цен, обеспечивающее взаимную выгоду партнеров по торговле, можно записать следующим образом: 0,5 t 2,5, где t - условия торговли (terms of trade).
Если t равно одному из граничных условий, только одна сторона получает выгоду от торговли. В противоположном случае обе стороны выигрывают от внешнеторгового обмена и повышают свой жизненный уровень, так как их возможности увеличиваются без дополнительных затрат ресурсов. Проиллюстрируем это утверждение, предположив, что соотношение мировых цен установилось на промежуточном уровне: 1 тыс. м3 газа = 1 т пшеницы.
В этом случае оба торговых партнера смогут выйти за прежние пределы национального потребления (рис. 3.2). Россия, например, может полностью специализироваться на производстве газа (точка S1) и обменивать некоторое его количество на пшеницу; это переместит потребление в точку С на новой линии торговых возможностей (20т пшеницы, 30 тыс. м3 газа).

Модель абсолютного преимущества

Рис. 3.2. Иллюстрация эффекта международной торговли для торгующих стран:
а - Россия; б - мировое хозяйство
Примечание. Заштрихованные на графической модели треугольники называют "торговыми
треугольниками"
Точно также остальные страны могли бы полностью специализироваться на продукте, производство которого обходится им дешевле, и производить только пшеницу (точка S1), обменивая ее затем на природный газ, чтобы достичь уровня потребления, соответствующего точке С (80 т пшеницы, 20 тыс. м3 газа).
Таким образом, возможность специализации и обмена по устраивающей обоих партнеров мировой цене позволяет России и остальным странам одновременно получить выигрыш от внешней торговли. Выигрыш обеих сторон для рассматриваемого примера рассчитаем в табл. 3.3.
Таблица 3.3. Общий эффект свободной торговли

Характеристики торговли
Продукция субъектов мировой торговли
России
Мирового хозяйства
газ
пшеница
газ
пшеница
В условиях автаркии
20
15
12
70
В условиях свободной торговли
30
20
20
80
Прирост объемов производства
10
5
8
10
Общий прирост производства газа, обусловленный вступлением обеих сторон в международную торговлю, составляет на единицу затрат ресурсов 18 тыс. м3, общий прирост пшеницы - 15 т.
Графическая иллюстрация общего эффекта увеличения совокупного производства в результате участия стран (сторон) в международном торговом обмене представлена на рис. 3.3. До начала процесса международного обмена суммарное потребление природного газа и пшеницы характеризуется координатами точки N. После того как начинается международная торговля, Россия, специализируясь на производстве газа, обменивает часть его на пшеницу, на производстве которой специализируется мировое хозяйство. В результате суммарное мировое производство растет и суммарное потребление газа и пшеницы возрастает до уровня, характеризующегося координатами точки М.
Учитывая вышесказанное, можно сделать вывод, что международная специализация и внешняя торговля оказывают на экономику такое же воздействие, какое оказывают увеличение количества и повышение качества ресурсов. Иными словами, международная специализация и внешняя торговля эквивалентны экономическому росту. И это только статический эффект от международной торговли.
Далее, в условиях специализации стран возможно также действие динамического эффекта, связанного с повышением производительности труда, обусловленного этой специализацией.

Модель абсолютного преимущества

Рис. 3.3. Графическая иллюстрация общего эффекта
международной торговли
Итак, мы рассмотрели модель с абсолютным преимуществом: каждый из партнеров по внешней торговле мог производить на единицу затрат больше того или иного товара, чем другие. В частности, Россия могла производить больше природного газа, а остальные страны - больше пшеницы.
Однако этот пример не может полностью устранить сомнения, высказанные еще до А. Смита и Д. Рикардо: как быть, если страна ни в чем не располагает абсолютным преимуществом и другие страны на единицу затрат могут производить любого товара больше.



Модель адаптации платежного баланса в условиях


Этот процесс проходит без вмешательства государства автоматически. Уяснив работу механизма адаптации платежного баланса, в частности, ликвидации его дефицита посредством девальвации (в нашем примере с 40 до 50 руб./долл.) национальной денежной единицы, рассмотрим влияние на этот процесс показателей эластичности функций спроса
и предложения для зарубежной валюты (долл.). Осуществим это при помощи графической модели, представленной на рис. 11.7.
Если кривые спроса и предложения в России американских долларов заданы функциями D$ и S$, то обесценивание рубля на 25% с 40 руб./долл. до 50 руб./долл. полностью ликвидирует дефицит платежного баланса России.

Модель адаптации платежного баланса в условиях

Рис. 11.7. Влияние эластичности на механизм адаптации платежного баланса
Однако, если кривые спроса и предложения долларов были бы менее эластичны, как показано кривыми D$1 и S$1 то для полного ликвидирования дефицита России потребовалась бы двухсотпроцентная девальвация рубля (с 40 руб./долл. до 120 руб./долл.). Подобное громадное обесценивание рубля может оказаться невыполнимым, в частности, например, из-за опасения роста темпов инфляции в стране.
На принятие решения о необходимости и конкретной величине девальвации национальной валюты с целью устранения дефицита платежного баланса существенное влияние может оказать показатель стабильности рынка иностранной валюты. Стабильный (устойчивый) рынок иностранной валюты предполагает, что любое отклонение от равновесного валютного курса автоматически нивелируется с возвращением валютного курса вновь к равновесному состоянию. На неустойчивом
рынке иностранной валюты, наоборот, любое отклонение от равновесия уводит валютный курс все дальше от равновесного состояния.
Для оценки стабильности или нестабильности рынка иностранной валюты может быть использовано условие Маршалла - Лернера, упрощенная версия которого представлена ниже.
Рынок иностранной валюты является стабильным, если сумма коэффициентов ценовой эластичности спроса на импорт и спроса на экспорт (взятых по абсолютной величине) больше единицы. Если сумма соответствующих коэффициентов меньше единицы, то рынок иностранной валюты является нестабильным, а если сумма их равна единице, то любые изменения валютного курса не приведут к каким-либо изменениям платежного баланса страны.
При практическом использовании рассматриваемого механизма адаптации платежного баланса необходимо иметь в виду, что меры, принимаемые для сокращения дефицита платежного баланса (понижение курса национальной валюты), сразу после их осуществления приводят к ухудшению баланса, в более длительной перспективе давая все-таки ожидаемый положительный результат. Данная закономерность получила название "эффект Джей-кривой"1 (рис. 11.8).

Модель адаптации платежного баланса в условиях

Рис. 11.8. Иллюстрация эффекта J-кривой
Если величина сальдо баланса страны соответствует точке А и правительство страны принимает меры по обесцениванию национальной валюты для стимулирования экспорта и сокращения импорта, то такие действия в краткосрочном периоде (до одного года) приведут к дальнейшему ухудшению состояния баланса (точка В) и только вслед за этим произойдет его нетто-улучшение, т. е. образуется положительное сальдо.
Это свяано с тенденцией импортных цен, выраженных в национальной валюте, повышаться более быстрыми темпами, чем растут экспортные цены после обесценивания, хотя объем торговли первоначально изменяется незначительно. Со временем объем экспорта увеличивается, а объем импорта сокращается и экспортные цены выравниваются с импортными ценами, так что первоначальное ухудшение торгового баланса страны приостанавливается, а затем торговый баланс начинает улучшаться.
Пример. Предположим, что реальный ВНП России растет, вследствие чего спрос на импорт при данном валютном курсе увеличивается: кривая М сдвигается в положение М1 (рис. 11.9).

Модель адаптации платежного баланса в условиях

Рис. 11.9. Модель адаптации платежного баланса в условиях гибких
обменных курсов
Первоначальное равновесие находится в точке Е, где при обменном курсе 50 руб. за 1 долл. текущий платежный баланс сбалансирован: расходы на импорт равны доходам от экспорта.
При первоначальном обменном курсе 50 руб./долл. новая величина отечественного объема спроса на импорт в рублях соответствует точке Е1. Доходы же от экспорта все еще соответствуют точке Е на кривой экспорта X.
Разница между расходами на импорт и доходами от экспорта (отрезок ЕЕ1) представляет собой дефицит платежного баланса, или, что то же самое, излишек спроса на иностранную валюту.
Превышение объема спроса над объемом предложения иностранной валюты приводит к ее удорожанию, что эквивалентно понижению курса рубля. Равновесие смещается в положение E2 Удешевление рубля в свою очередь восстанавливает платежный баланс. Во-первых, оно делает иностранные товары более дорогими относительно отечественных товаров, а это приводит к снижению объема импорта (снижению расходов на импорт).
Во-вторых, оно поднимает конкурентоспособность нашего экспорта за границей. В результате удешевление рубля увеличивает экспортные доходы.
Таким образом, с помощью абсолютно гибкого обменного валютного курса платежный баланс регулируется автоматически, уравнивая спрос на иностранную валюту со стороны расходов на импорт с возросшим предложением иностранной валюты от экспортных доходов.
Наряду с рассмотренным преимуществом плавающего валютного курса, к его достоинствам можно отнести также возможность правительства проводить относительно независимую экономическую политику, направленную на обеспечение полной занятости и увеличение темпов экономического роста.
Вместе с тем нельзя не видеть и очевидных недостатков системы свободно плавающих валютных курсов. Так значительные краткосрочные его колебания могут дестабилизировать внешнеэкономические сделки и привести к убыточности в связи с невозможностью выполнения ранее заключенных контрактов.


1 Объяснение такому названию заключается в том, что когда мы откладываем сальдо торгового баланса на оси ординат, а время - на оси абсцисс, то график реакции торгового баланса на обесценивание национальной валюты выглядит как кривая, напоминающая английскую букву "Джей" (J).

11.2.2. Адаптация в условиях фиксированных
валютных курсов
Совсем другой, но тоже автоматический механизм балансирования платежного баланса действует при режиме фиксированных валютных курсов.
Золотой стандарт, рассмотренный нами ранее, является наиболее понятным примером системы фиксированных валютных курсов.
Предположим, что мир состоит всего из двух стран - России и США, и хождение имеют валюты только этих двух стран: рубль и доллар. В обеих странах действует золотой стандарт, и обе они следуют трем правилам, которые свойственны золотому стандарту:
фиксированный золотой паритет;
конвертируемость;
стопроцентное покрытие.
Пусть валютный (золотой) паритет будет равен 200 долл. за тройскую унцию золота в США и 400 руб. за унцию золота в России. Из

этих валютных паритетов следует, что валютный курс рубля равен: 2 руб. за 1 долл.
Почему валютный курс будет равен именно 2 руб. за 1 долл.? Потому что люди никогда не станут платить больше 2 руб. за 1 долл., поскольку в этом случае им выгоднее обменять рубли на золото в России (по золотому стандарту), отвезти его в США и там купить (по золотому стандарту) доллары.
По той же причине люди никогда не станут платить и больше 0,5 долл. за 1 руб. Следовательно, валютный курс будет равен в точности 0,5 долл. за 1 руб.
Теперь рассмотрим, что происходит, если по каким-то причинам первоначальный платежный баланс не равен нулю. В этом случае включается адаптационный механизм платежного баланса, балансирующий в конечном счете все платежи. На графической модели (рис.
11.10) показывается, как этот механизм балансирования работает.

Модель адаптации платежного баланса в условиях

Рис. 11.10. Модель адаптации платежного баланса в условиях
фиксированных обменных курсов
Предположим, что в России произошло увеличение расходов на импорт, что сдвигает кривую спроса на иностранную валюту из положения М в положение М1 и создает дефицит платежного баланса в объеме (ЕЕ1).
Однако в условиях золотого стандарта рост спроса на иностранную валюту не приведет к росту ее обменного курса, или, что то же самор, к падению курса национальной валюты. В нашем примере обменный
курс рубля останется на уровне: 0,5 долл. за 1 рубль. В реальной действительности будет обмен рублей на золото в России, вывоз золота в США и приобретение там желаемой иностранной валюты (долларов). При этом денежная масса в России начнет сокращаться (в соответствии с принципом стопроцентного покрытия), а в США увеличиваться.
Изменение же денежной массы в странах в свою очередь повлияет на уровень расходов в России и США. В России сокращение денежной массы приведет к повышению процентных ставок и снижению расходов; в США денежная экспансия понижает процентные ставки и поднимает уровень расходов. Эти процессы изображены на графической модели как постепенное смещение кривой расходов на импорт из положения М1влево, а доходов от экспорта X вправо.
Этот процесс будет продолжаться до тех пор, пока платежный баланс не восстановится в точке Е2, где кривая спроса на импорт находится в положении M2, а кривая экспорта - в Х1.



Модель сравнительного преимущества


Захотят ли они торговать с этой страной? А если захотят, то следует ли данной стране соглашаться на такое сотрудничество, не будет ли оно ей в ущерб? Для ответа на эти и другие вопросы рассмотрим следующую модель.

1 Далее будет рассмотрен и общий вариант для произвольного количества обмениваемых товаров.

3.2.2. Модель сравнительного преимущества
В соответствии с законом сравнительного преимущества Д.Рикардо каждая страна располагает сравнительным преимуществом в производстве
какого-либо товара1 и получает выигрыш, торгуя им в обмен на остальные.
Для иллюстрации данного положения модифицируем условия рассмотренного выше примера, предположив, что в России с помощью единицы затрат можно произвести 50 тыс. м3 природного газа или 25 т пшеницы, тогда как в остальных странах с помощью единицы затрат можно произвести 67 тыс. м3 газа или 100 т пшеницы (табл. 3.4).
Таблица 3.4. Модель сравнительного преимущества

Продукция
Производство на единицу затрат
Россия
мировое хозяйство
Пшеница, т
25
100
Природный газ, тыс. м3
50
67
Как следует из табл. 3.4, мировое хозяйство имеет абсолютное преимущество перед Россией как в производстве пшеницы (10025), так и в производстве природного газа (6750).
Для того чтобы убедиться в том, что и в этих условиях торговые отношения между Россией и мировым хозяйством могут быть взаимовыгодными, рассчитаем альтернативные издержки обеих сторон (табл. 3.5) и проанализируем соответствующие графические модели внешней торговли партнеров (рис. 3.4).
Таблица 3.5. Альтернативные издержки экономических субъектов

Продукция
Альтернативные затраты
Россия
мировое хозяйство
Пшеница, тыс. т
2
0,67
Природный газ, т/тыс, м3
0,5
1,5
Из табл. 3.5, а также графической модели внешнеторгового обмена следует, что выгодность внешней торговли никак не зависит от того, что Россия может производить больше природного газа на единицу затрат, чем остальные страны.
Выигрыш при обмене об[словливается не абсолютным преимуществом, а тем очевидным фактом, что соотношения альтернативных издержек при отсутствии торговли (наклоны сплошных линий) различны.

Модель сравнительного преимущества

Рис. 3.4. Модель внешнеторгового обмена:
а - Россия; б - мировое хозяйство
Как следует из рис. 3.4, установление торговых отношений и в данном случае расширяет потенциальные возможности России, несмотря на то, что в России производство обоих товаров обходится дороже, чем в других странах.
Как только можно будет торговать, кто-нибудь обратит внимание на то, что можно купить 1 тыс. м3 газа в России всего за 0,5 т пшеницы, отправить его за границу и продать там за 1,5 т пшеницы. "Условия торговли" здесь следующие: 0,5 t 1,5.
Предположим, что соотношение мировых цен будет таким же, как и в предыдущем примере: 1 тыс. м3 газа за 1 т пшеницы. Вновь, как и в ситуации абсолютного преимущества, для обеих сторон будет выгодно, чтобы обеспечить наивысший уровень потребления, полностью специализироваться на производстве единственного товара - газа в России и пшеницы в остальном мире.
Предположим, что каждая из сторон достигнет точки С в потреблении, при этом Россия будет экспортировать 20 тыс. м3 газа в обмен на 20 т заграничной пшеницы. Выигрыш от внешней торговли заключается, таким образом, в приросте потребления благодаря возможности перемещения в точки, подобные С. При отсутствии торговли в точках типа S0 такой уровень потребления был недоступен.
Таким образом, мы еще раз смогли убедиться в том, что международная специализация и свободная торговля могут позволить странам потреблять на уровне, превышающем их производственные возможности.
Сравнительное преимущество в условиях возрастающих
альтернативных издержек
Рассмотренная модель исходит из предпосылки, что альтернативные издержки производства обоих товаров, участвующих в международном обмене, постоянны1. Данная предпосылка Д.Рикардо вызвала впоследствии возражения экономистов по поводу такого упрощения модели как на теоретическом, так и на практическом уровнях.
Дело в том, что для производства разных продуктов требуется самое разное сочетание факторов, другими словами, при производстве разных продуктов ресурсы используются с различной эффективностью. Когда из производства, например, природного газа изымаются ресурсы для переброски в производство пшеницы, они высвобождаются совсем не в тех пропорциях, какие в данный момент необходимы для производства пшеницы. Газодобывающая промышленность сможет предоставить значительно больше труда и капитала (как факторов производства) и намного меньше земли по сравнению с тем, сколько их применяется в производстве пшеницы. Прибавление значительной массы труда и капитала в условиях ограниченного роста земли приводит к тому, что доходность производства пшеницы уменьшается (это результат действия закона убывающей доходности, который, строго говоря, относится к ситуации, когда к неизменному количеству одних факторов последовательно добавляются дополнительные единицы другого).
Таким образом, с каждой последующей непроизведенной 1 тыс. м3 газа мы можем получить все меньше и меньше добавочных тонн пшеницы.
Самым же серьезным возражением против предпосылки о постоянстве альтернативных издержек было то, что она никак не коррелировала (не совмещалась) с действительной структурой внешней торговли и производства. Из постоянства альтернативных издержек следовало, что каждая из стран будет максимизировать выигрыш от внешней торговли, полностью специализируясь на товаре, в производстве которого она обладает сравнительным преимуществом. В реальной же действительности нам не удается найти примеров полной специализации. Так, в США не прекращается выпуск для внутреннего потребления тех товаров,
которые они частично импортируют, например тканей, автомобилей и телевизоров. И таким же является положение дел во внешнеторговых отношениях других стран мирового хозяйства.
Эти и подобные соображения привели экономистов к выводу, что предпосылку о постоянстве альтернативных издержек следует заменить на более реалистичную. Они постепенно стали склоняться к предпосылке о возрастающих альтернативных издержках: в отрасли, расширяющейся за счет остальных отраслей, производство каждой последующей единицы товара сопряжено с отказом от выпуска все большего объема продукции в других отраслях (рис. 3.5).

Модель сравнительного преимущества

Рис. 3.5. Кривая производственных возможностей экономической системы
В этом легко убедиться, если проследить за изменением альтернативных издержек на выпуск дополнительной тонны пшеницы по мере переключения все большего объема ресурсов с производства природного газа на производство пшеницы. Когда экономика производит всего
20 млн. т пшеницы, касательная к кривой производственных возможностей в точке S0 показывает, что для увеличения выпуска пшеницы на 1 т потребовалось бы пожертвовать выпуском 1 тыс. м3 природного газа. Когда ежегодно производится 40 млн. т пшеницы, ресурсы для выпуска еще 1 т можно высвободить, отказавшись от производства 2 тыс. м3 газа (точка S1). Чтобы довести выпуск до 60 млн. т, потребовалось бы в конце концов для 60-миллионной тонны пожертвовать уже 3 тыс. м3 природного газа (точка S2).
Таким образом, динамика альтернативных издержек производства пшеницы по рассмотренным нами точкам S0 > S1 > S3 будет следующей: (1 > 2 > 3) тыс. м3 за 1 т1. Нетрудно при этом убедиться в том, что возрастающие альтернативные издержки обусловливают восходящий характер кривой предложения продукции, являясь, по существу, основой для ее построения и понимания, кстати, ее сути. Действительно, если на ось ординат нанести альтернативные издержки (относительные цены), связанные с производством дополнительных единиц пшеницы, то полученная кривая будет по праву называться кривой предложения пшеницы, поскольку альтернативные издержки производства есть те предельные издержки, на уровне которых в конце концов установилась бы цена на пшеницу при ее сбыте многими конкурирующими производителями (рис.
3.6).

Модель сравнительного преимущества

Рис. 3.6. Кривая предложения пшеницы
Хотя такое представление рассматриваемой модели само по себе не дает никакой новой информации, оно позволяет сделать вывод о том, что кривая производственных возможностей является, по существу, модифицированной формой графического изображения кривой предложения для соответствующих товаров. Это позволяет базовую
модель международной торговли рассматривать в случае необходимости (см. гл. 5) в привычных терминах спроса и предложения.
В условиях возрастающих издержек основные последствия внешней торговли те же, что и при ранее сделанном нами предположении об их постоянстве. В частности, обе страны, как и раньше, могут извлечь из нее выгоду, для чего стремятся повысить специализацию в изготовлении тех товаров, при производстве которых они располагают сравнительным преимуществом. Однако отличия, появляющиеся в связи с введением предположения о возрастании издержек, приближают нас к реальной действительности: во-первых, нет полной специализации; во-вторых, в результате конкуренции между странами выравниваются предельные издержки. Воздействие на одну из стран (предположим, речь идет о России) установления торговых отношений в условиях возрастающих издержек иллюстрируется на рис.
3.7.



Модель теоремы Хекшера-Олина


Равновесие относительной цены стали показано общим (одинаковым) наклоном линий BE и В'Е', которые являются гипотенузами уже известных нам торговых треугольников BFE и B'F'E'.
В условиях свободной торговли Россия поддерживает объемы производства стали и ткани на уровнях, соответствующих точке полной занятости В', но потребление России будет в этих условиях соответствовать точке Е', находящейся на кривой безразличия 3, характеризующей более высокий уровень удовлетворения потребностей населения.
В условиях автаркии Англия, как уже отмечалось выше, производит и потребляет объемы продукции, соответствующие координатам точки D. В условиях свободной торговли она сдвигает производство к точке полной занятости В, а точка, характеризующая объемы потребления в Англии, перемещается в точку Е на кривой социального безразличия 2 с более высоким уровнем удовлетворения потребностей населения страны.
Из торговых треугольников BFE и B'F'E' следует, что в условиях свободной торговли Россия экспортирует B'F' ткани в обмен на FB британской стали.
В результате капиталоизбыточная страна экспортирует капиталоемкий това, а трудоизбыточная страна экспортирует трудоемкий товар.
Для случая нелинейных функций производственных возможностей с возрастающими альтернативными издержками проведенный выше анализ остается, по существу, тем же самым и представлен на рис. 3.12.

Модель теоремы Хекшера-Олина

Рис. 3.12. Модель теоремы Хекшера-Олина в условиях
возрастающих альтернативных издержек
В условиях автаркии Англия производит и потребляет сталь и ткань в объемах, соответствующих точке С, а Россия - точке С'. (Для простоты и удобства продолжаем считать, что в автаркии обе страны достигают одной и той же кривой социального безразличия. Кстати, это предположение может быть снято без серьезного усложнения анализа).
В Англии относительная цена стали задается наклоном социальной кривой безразличия 1 в точке С, а в России - ее наклоном в точке С'. Как и прежде, сталь (капиталоемкий товар) дешевле в Англии (капиталоизбыточная страна), потому что кривая социального безразличия 7 "круче" (по отношению к оси "сталь") наклонена в точке С' нежели в точке С.
В условиях свободной торговли относительная цена стали повышается в Англии и понижается в России, пока не становится одинаковой в обеих странах. Условия данного равновесия торговли иллюстрируются общим (одинаковым) наклоном (параллельных) линий FD и F'D', которые соединяют точки производства стран (F и F') с их соответствующими точками потребления (D и D').
Из торговых треугольников FED и F'E'D' со всей очевидностью следует, что Россия экспортирует F'E' ткани в обмен на EF британской стали. И снова капиталоизбыточная Англия экспортирует капиталоемкую сталь, а трудоизбыточная Россия - трудоемкую ткань.

3.3.3. Теорема Столпера-Самуэльсона
Рассмотрение теоремы Столпера-Самуэльсона1 начнем с анализа графической модели, иллюстрирующей границу производственных возможностей условной страны, к примеру Англии (рис. 3.13).
Предположим, что в условиях свободной торговли Англия производит объемы продукции, соответствующие координатам точки Q, экспортируя при этом сталь в обмен на импортируемую ткань. Допустим также, что для защиты интересов национальных производителей ткани Англия вводит таможенную пошлину на импорт ткани, которая поднимает внутреннюю относительную цену ткани или понижает относительную цену стали. В результате прибыль, получаемая производителями ткани, будет возрастать, а производители стали будут нести потери. В свою очередь, рост прибыли будет стимулировать производителей ткани расширять выпуск, а потери вынудят производителей стали сокращать
ее производство; в итоге экономика Англии займет на кривой производственных возможностей положение, соответствующее точке Q'

Модель теоремы Хекшера-Олина

Рис. 3.13. Изменение структуры объемов выпуска продукции
Очевидно, что в этих условиях должна возрасти цена труда, интенсивно используемого при производстве ткани, и снизиться цена другого фактора производства - капитала1. Подтвердим наше предположение соответствующим анализом числовых данных. Предположим для этого, что оптимальная технология производства продукции, соответствующая точке Q, задана исходными данными, представленными в табл.
3.11.
Таблица 3.11. Затраты ресурсов

Изготовляемая продукция
Затраты на единицу выпуска
труд (L)
капитал (К)
Ткань, м2
4(L1)
1(K1)
Сталь, т
2(L2)
3(K2)
Отсюда следует, что сталелитейная промышленность при снижении объемов выпуска на 1 т высвобождает 2 ед. труда и 3 ед. капитала, но ткацкая промышленность может использовать на 1 дополнительный м2 ткани 4 ед. труда и 1 ед. капитала. Таким образом, сталелитейная
промышленность высвобождает меньшее количество труда на единицу капитала (или большее количество капитала на единицу труда), чем ткацкая промышленность желает получить.
Например, если выпуск стали уменьшен на 1 т, а выпуск ткани увеличен на 1 м2, появится излишек спроса на труд в 2 ед. и излишек предложения капитала также в 2 ед. Избыточный спрос на труд будет означать увеличение (рост) заработной платы, а излишек предложения капитала - уменьшение размера процентной ставки.
Формула цены каждого товара может быть записана следующим образом:
Р1 = L1 w + К1 i;
Р2 = L2 w + К2 i,
где Р1 - цена товара 1 (ткань); Р2 - цена товара 2 (сталь); w - ставка заработной платы за единицу труда (цена труда); i- ставка процента за использование единицы капитала (цена капитала).

Модель теоремы Хекшера-Олина

Рис. 3.14. Зависимость цены фактора производства от цены на товар
Если по оси абсцисс откладывать заработную плату (w), а по оси ординат - ставку процента (i), то, используя уравнения для Р1и Р2, можно построить график, показывающий зависимость цены факторов производства от стоимости товаров (рис. 3.14).
Поскольку товар 1 (ткань) требует относительно бльших затрат труда по сравнению с товаром 2 (сталь), то это отражено на графике
более крутой (по отношению к оси абсцисс) прямой. Равновесие достигается в точке Е, которая и определяет цену факторов производства (труда и капитала) при существующем уровне цен на товары 1 и 2. Это w и z.
Предположим далее, что цена товара 1 по каким-то причинам выросла с Р1, до Р1'. Линия АВ при этом передвинется параллельно самой себе положение А'В', определив, таким образом, новое равновесие экономической системы в точке Е1.
Итак, при возросшей цене товара 1 (ткань) новая цена труда составит величину w1, а новая цена капитала - i1. Как следует из графической модели, цена труда возросла с w до w1, а цена капитала упала с i до i1.
В результате торговли выросла цена фактора, интенсивно используемого для производства товара 1, цена которого возросла (например, вследствие того, что его стали экспортировать за рубеж или на его импорт была введена таможенная пошлина). Цена другого фактора - капитала, используемого для производства товара 1 менее интенсивно, упала.
Аналогичным образом легко убедиться в том, что рост цены на товар 2 (сталь) приведет к увеличению ставки процента на капитал и падению уровня заработной платы.

1 Самуэльсон П. (р. 1915 г.) - американский экономист-теоретик, автор знаменитого учебника "Economics". Его интересы распространяются почти на все области экономической теории: теория потребления и богатства, теория капитала, экономическая динамика и общее равновесие, международная торговля, финансы, макроэкономика, экономический анализ и др.
Лауреат Нобелевской премии по экономике.
1 Необходимо отдавать себе отчет в том, что в общем случае даже незначительное движение по границе производственных возможностей ведет к полной реорганизации производственной структуры: ресурсы перемещаются из одной отрасли в другую, меняются методы производства, оптимальные пропорции труда, капитала, структура внутреннего распределения доходов. Сущность этой комплексной реорганизации как раз и анализируется в рамках теоремы Столпера - Самуэльсона.

3.3.4. Эффект усиления Джонса
Итак, в соответствии с теоремой Столпера-Самуэльсона международная торговля ведет к росту цены фактора, интенсивно используемого для производства товара, цена которого растет, и снижению цены фактора, интенсивно используемого для производства товара, цена на который падает. Однако возникает вопрос: пропорциональны ли рост (или снижение) цены фактора производства росту (или снижению) цены товара, произведенного с его помощью?
Экономический анализ показывает, что рост или снижение цены факторов происходит в большей степени, чем растет или снижается цена товара, произведенного с их помощью. Действие этого эффекта, названного эффектом усиления Джонса, означает, что рост относительных цен на товар приносит владельцам фактора, относительно более интенсивно используемого для его производства, непропорционально большие доходы, чем это вытекает из изменения цен, абсолютно ущемляя владельца другого фактора производства.
Проиллюстрируем действия эффекта усиления на рассматриваемом нами числовом примере, принимая цены за факторы производства -
труд и капитал - одинаковыми и равными 5 ден. ед. Цена ткани (трудоемкого товара) в этом случае составляла:



Монетарные власти проводят стерилизационные операции


Особенно частыми стерилизационные операции стали после Второй мировой войны, когда главной целью экономической политики правительств большинства стран стала полная занятость.
Таким образом, монетарная политика как главный инструмент процесса регулирования платежного баланса при правилах игры золотого
стандарта была оторвана от ее изначальной функции поддержания платежного баланса в равновесии (внешнего равновесия) и стала использоваться для достижения полной занятости (внутреннего) баланса.
Как монетарные власти проводят стерилизационные операции? Для стерилизации дефицита платежного баланса они должны закупать государственные облигации на открытом рынке, уменьшить учетную ставку или понизить резервные требования. Для стерилизации излишка платежного баланса они должны сделать противоположное, т. е. должны либо продавать государственные ценные бумаги, поднять учетную, ставку, либо повысить резервные требования.
Однако в способности монетарных властей стерилизовать платежный дисбаланс существуют ограничения. Например, монетарные власти не могут бесконечно продолжать стерилизацию хронического (или фундаментального) дефицита, потому что рано или поздно у них кончатся международные резервные авуары, а также аналогично не могут бесконечно продолжать стерилизацию хронического излишка - рано или поздно запас международных резервуарных авуаров станет равным внутреннему предложению денег, и последующие излишки увеличат предложение денег на взаимно однозначной основе, как в случае золотого стандарта.
Проанализируем, как повлияет устранение стерилизационных мероприятий на макроэкономические процессы в стране, воспользовавшись для этого графической моделью, представленной на рис. 12.23.
Предположим, что экономика испытывает дефицит платежного баланса, как показано точкой пересечения Е кривых IS и LM. Когда платежный баланс может оказывать влияние на предложение денег (как, например, в случае золотого стандарта), равновесие в точке Е не будет больше сохраняться. Эта точка становится временным равновесием. Когда монетарные власти теряют международные резервы, предложение денег падает и кривая LM непрерывно сдвигается влево - при той же процентной ставке, но с меньшим предложением денег, рынок денег может оставаться в равновесии при меньшем уровне национального дохода.
Этот процесс со временем подходит к концу, когда кривая LM достаточно сдвигается влево и проходит через точку пересечения F кривых IS и графика внешнего равновесия.
Предполагая, что экономика в точке Е имеет полную занятость, пассивная политика монетарных властей создает безработицу. Поэтому, прекращая стерилизационные операции, монетарные власти позволяют системе переместиться из Е в F. В результате монетарные власти приносят в "жертву" внешнему балансу полную занятость. Это объясняет, почему монетарные власти отказываются быть пассивными
и вместо этого активно занимаются стерилизационными операциями в попытке "иммунизировать" предложение денег от дисбаланса платежей. Для восстановления полной занятости в Е экономика должна применить политику перераспределения расходов, чтобы сдвинуть график внешнего равновесия вправо.

Монетарные власти проводят стерилизационные операции

Рис. 12.23. Монетарный процесс в экономической системе
Совершенная мобильность капитала. В заключение рассмотрим крайний случай совершенной мобильности капитала. Это означает, что финансовый капитал абсолютно мобилен между странами.
Инвесторы не обращают внимания на то, акциями какой страны они владеют. Если внутренняя процентная ставка становится выше, чем зарубежная процентная ставка, капитал будет перемещаться в страну до тех пор, пока ставки не сравняются. При равновесии внутренняя процентная ставка не может отличаться от мировой процентной ставки. График внешнего баланса (ВР) становится горизонтальным на уровне мировой процентной ставки. В этом предельном случае монетарная политика становится совершенно неэффективной.
Полная занятость может быть достигнута только через фискальную политику (так же как и через политику перераспределения расходов) (рис. 12.24).
Предположим, что экономика стартует при полном равновесии в точке Е и власти пытаются увеличить доходы с помощью экспансионистской
фискальной политики. Кривая IS сдвигается вправо, как показано пунктирной кривой IS'. При отсутствии совершенной мобильности капитала, равновесие переместится в точку F пересечения кривой LM и пунктирной кривой IS'. Но в F внутренняя процентная ставка (10%) будет выше, чем мировая процентная ставка (8%). Это привлечет больший приток капитала из заграницы.
При отсутствии стерилизации возникающее активное сальдо платежного баланса увеличит предложение денег и вызовет перемещение кривой LM вправо (как показано пунктирной кривой LM'). Этот процесс будет продолжаться, пока равновесие не восстановится в G. Таким образом, при наличии совершенной мобильности капитала, фискальная политика может эффективно увеличить производительность и занятость.

Монетарные власти проводят стерилизационные операции

Рис. 12.24. Совершенная мобильность капитала
Рассмотрим теперь монетарную политику. Могут ли монетарные власти увеличить национальный доход с помощью увеличения предложения денег? Ответ - нет!
Снова предположим, что начальное равновесие в Е нарушается экспансионистской монетарной политикой. Вначале кXивая LM сдвигается вправо, как показано пунктирной линией LM'. Внутренняя процентная ставка падает до 6%, как показано точкой Н на пересечении пунктирной линии LM' и кривой IS, и финансовый капитал покидает страну.
Если монетарные власти попытаются стерилизовать дефицит платежного баланса, то у них скоро кончатся резервы.
Равновесие может быть восстановлено только, когда предложению денег предоставляется возможность упасть до начального уровня, вызывая сдвиг кривой LM на начальную позицию. Таким образом, экономика возвратиться к Е, где ничего не изменилось; только запас международных резервов стал меньше. При наличии абсолютной мобильности капитала монетарная политика абсолютно не эффективна для увеличения дохода и занятости.





Общее равновесие в малой открытой экономике


Легко убедиться, что данный график содержит всю необходимую для этого информацию: равновесный объем экспорта (импорта) и уровни цен до и после установления торговых отношений. Очевидно, что на этом графике чистый выигрыш страны-импортера равен площади между кривой спроса на импорт Dм и линией мировой цены, а чистый выигрыш страны-импортера - площади между линией мировой цены и кривой экспортного предложения Sx.
Поскольку объем внешней торговли у обеих стран одинаков, распределение выигрыша зависит только от того, насколько в этих странах изменились цены относительно мировой цены\
В нашем примере цена в России упала на 33,3% [(200 - 150) : 150 100%], а цена в Канаде выросла на 20% [(150 - 120) : 150 100%]. Поэтому в результате выигрыш России оказался больше на 66,7%.
Таким образом, хотя международная торговля и является взаимовыгодной, выигрыш от нее распределяется между странами неравномерно. Больше выигрывает та страна, в которой цены изменились в большей степени.

3.5
Общее равновесие
в международной торговле
3.5.1. Равновесие в закрытой экономике
При отсутствии внешней торговли экономика страны может быть интерпретирована как отдельный суперпотребитель, линия бюджетного ограничения которого может быть задана кривой производственных возможностей, а вкусы и предпочтения - социальной картой безразличия.
Общее равновесие будет наблюдаться в точке, в которой граница производственных возможностей является касательной к самой высокой из возможных кривых безразличия (рис. 3.16).
Углы наклона кривой производственных возможностей (UV) и кривой безразличия 1 в точке Р0 совпадают и равны углу наклона касательной MNK соответствующим кривым в точке Р0.
Напомним, что:
угол наклона UV к оси продовольствия в точке Р0 равен альтернативным (предельным) издержкам производства1 продовольствия в точке Р0;
угол наклона касательной MN равен отношению цен продовольствия и одежды (Рх /Ру);

Общее равновесие в малой открытой экономике

Рис. 3.16. Общее равновесие в закрытой экономике
угол наклона кривой безразличия 1 в точке Р0 определяется предельной нормой замещения (MRS)1.
Обратим также внимание на основное различие между вариантом с постоянными альтернативными издержками и вариантом с возрастающими издержками. В первом случае отношение цен товаров однозначно определялось углом наклона линии производственных возможностей, формализующей предложение товаров; информации относительно спроса для этого не требовалось. Для случая возрастающих альтернативных издержек отношение цен товаров в условиях равновесия может быть определено только с учетом спроса на соответствующие товары, который отражается характером кривой безразличия и соответствующим значением предельной нормы замещения.

1 Альтернативные издержки в теории равновесия международной торговли называют также предельной нормой трансформации.
1 Предельная норма замещения - такое количество единиц товара 2 (одежды), которым нужно пожертвовать, чтобы получить дополнительную единицу товара 1 (продовольствия) и при этом обеспечить сохранение существующего уровня потребления.

3.5.2. Равновесие в малой открытой экономике
Предположим, что в результате, например, существенного снижения затрат на транспортировку продукции или устранения запретительных тарифов нашей закрытой экономике представляется возможность торговать продовольствием и одеждой на международном рынке. Экономическая система может быть охарактеризована как малая. Это означает, что продажа и закупки (экспорт и импорт) на мировом рынке не влияют на уровень мировых цен. Короче говоря, наша экономика
- ценополучатель в международной торговле. Как в этих условиях страна достигает общего равновесия?
Одна из важнейших особенностей международной торговли заключается в том, что решение производить товары в этом случае является не зависимым от решения о потреблении произведенной продукции. В отличие от закрытой экономики, которая производит ту корзину предметов потребления, которую граждане хотят потребить, открытая экономика использует международную торговлю, чтобы разрубить "гордиев узел" между производством и потреблением.
Решение, какие товары производить, обусловливается критерием максимизации прибыли фирм, а решение, какие товары потреблять, определяется критерием максимизации полезности действий индивидуальных потребителей (рис. 3.17). Равновесие в условиях автаркии имеет место в точке P0

Общее равновесие в малой открытой экономике

Рис. 3.17. Общее равновесие в малой открытой экономике
Предположим, что страна имеет сравнительное преимущество в производстве одежды. Тогда с началом свободной торговли она будет наращивать производство одежды, сокращая производство продовольствия. Этот процесс будет продолжаться до тех пор, пока альтернативные издержки производства одежды не сравняются с относительной ценой одежды в мировом хозяйстве.
Предположим, что международное ценовое отношение задается наклоном линии ST. Тогда экономика рассматриваемой страны будет перемещаться из точки Р0 в точку P1, где альтернативные издержки (наклон границы производственных возможностей) равны международному ценовому отношению (наклону ST).
Линия ST может быть интерпретирована как граница возможностей потребления. Это означает, что, производя объемы продукции, соответствующие точке Р1, лежащей на линии ST, наша экономика может фактически потреблять любую комбинацию продовольствия и одежды, соответствующую точкам, расположенным на этой линии. Практически же это может быть реализовано посредством междунароного обмена товарами.
Как соотносятся между собой граница производственных возможностей UV и граница возможностей потребления ST? Они имеют только одну общую точку Р1 - точку оптимальных объемов производства. Во всех остальных случаях граница возможностей потребления находится вне границы производственных возможностей, обеспечивая тем самым возможность потребления объемов продукции существенно больших, нежели те, которые может произвести национальная экономика.
Так наглядно иллюстрируются экономические выгоды международной свободной торговли.
Каким же будет объем потребления страны, вступившей в международные торговые отношения? Очевидно, он будет определяться координатами точки С, где граница возможностей потребления (ST) касается самой высокой из возможных социальных кривых безразличия (кривая 2). Заметьте, что национальная экономика не была бы способна достигнуть кривой социального безразличия 2, оставайся она закрытой, - граница производственных возможностей (UV) не достигает социальной кривой безразличия 2.
Какими будут объемы экспорта и импорта рассматриваемой страны в равновесии в условиях свободной внешней торговли? Они могут быть рассчитаны как разница между произведенными и потребленными (использованными) количествами. Графически они определяются как катеты уже известного нам торгового треугольника Р1 JC.
Таким образом, наша экономическая система экспортирует P1J единиц одежды и импортирует JC единиц продовольствия. Заметьте, что P1 J = P1D - JD, т. е. объем экспорта одежды устанавливается как разность между объемами внутреннего производства и потребления одежды. Аналогично JC = КС - KJ, т. е. объем импорта равен разности между объемами внутреннего потребления продовольствия и его внутреннего производства.

3.5.3. Выигрыш от торговли
Очевидно, что торговля для каждой страны имеет смысл только в том случае, если она получает какой-то выигрыш от торговли. Иногда полагают, что выигрыш от торговли накапливается только в развитых странах. Это неверно.
Мы уже не раз демонстрировали, что свободная внешняя торговля выгодна для каждой страны. Чтобы еще раз убедиться в этом, выделим в структуре выигрыша от торговли:
1) выигрыш от обмена (выигрыш от потребления) - преимущества, получаемые страной только из-за того, что она вступила в торговые отношения с другими странами. Или, другими словами, это выигрыш от производства в условиях свободной торговли той же самой корзины предметов потребления, которая производилась и в условиях автаркии;
2) выигрыш от специализации (выигрыш от производства) - преимущества, получаемые страной из-за того, что в условиях свободной торговли она сосредоточила свои усилия на производстве товаров, по которым она имеет сравнительное преимущество.

Общее равновесие в малой открытой экономике

Рис. 3.18. Разложение валового выигрыша от торговли на выигрыш
от обмена и выигрыш от специализации
Деление валового выигрыша от торговли проиллюстрируем с помощью графической модели (рис. 3.18).
Равновесие в условиях автаркии достигается в точке R, где экономика достигает кривой социального безразличия 1. В условиях свободной
торговли по относительным ценам, показанным абсолютным наклоном границы возможностей потребления ST, экономика производит объемы продукции, соответствующие точке Q, а потребляет объемы продукции, соответствующие точке N, достигая при этом кривой социального безразличия 3. Валовый выигрыш от торговли иллюстрируется движением от точки R до точки N.
Его можно разложить на две составляющие:
1) движение от R к Е, что соответствует участию страны в международной торговле по мировым ценам, но без специализации, связанной с изменением структуры производства1;



Оптимизация внешнеторговой стратегии страны


Оптимизация внешнеторговой стратегии страны

Рис. 3.7. Оптимизация внешнеторговой стратегии страны
При отсутствии торговли Россия потребляет только то, что сама производит. Предположим, что производственные возможности России и сложившаяся система предпочтений в потреблении таковы, что равновесие
в экономике соответствует точке S1, где цена (и предельные издержки) пшеницы составляет 2 тыс. м3 газа за 1 т и в год производится 50 млрд. м3 природного газа и 40 млн. т пшеницы.
Установление торговых отношений дает России возможность обменивать природный газ на пшеницу по новой цене. Как и в предыдущих примерах, предположим, что при отсутствии торговли за границй цена на пшеницу ниже, чем в России, так что Россия в итоге будет экспортировать газ, чтобы закупить более дешевую пшеницу (по цене, например, 1 тыс. м3 за 1 т, как показано на рис. 3.7).
При этом российские производители вскоре обнаружат, что, раз иностранцы готовы платить по тонне пшеницы за каждую экспортируемую ими 1 тыс. м3 газа, стоит перебросить побольше ресурсов из производства пшеницы в производство природного газа, жертвуя лишь 0,5 т пшеницы за каждую дополнительную 1 тыс. м3 добытого ими природного газа. Перемещение ресурсов страны в производство природного газа приведет к передвижению экономики из точки S1, в направлении S2. Очевидно при этом, что в условиях возрастающих издержек, чем больше ресурсов будет отдаваться производству природного газа, тем выше будут становиться издержки на каждую 1 тыс. м3 газа, производящуюся дополнительно.
После того как будет достигнута равновесная цена во взаимной торговле, дальнейшая специализация страны на производстве газа теряет экономический смысл.
Таким образом, специализация будет оставаться выгодной лишь до того момента, пока альтернативные издержки производства товара (в нашем примере - природного газа) не сравняются с его ценой на мировом рынке.
Для рассматриваемого примера это произойдет в точке S2, где альтернативные издержки и мировая цена природного газа составят величину "1т пшеницы за 1 тыс. м3 газа".
Будет ли Россия извлекать экономическую выгоду из товарообмена в этих условиях? Несомненно. Осуществляя специализацию в соответствии с принципами теории сравнительных преимуществ, она произведет 80 млрд. м3 природного газа, вырастив и собрав при этом 20 млн. т пшеницы.
Предположим, что с учетом характера общественных предпочтений Россия обменяет 25 млрд. м3 газа на 25 млн. т пшеницы. В результате она увеличит объемы потребления как пшеницы (до 45 млн. т), так и природного газа (до 55 млрд. м3).
Итак, мы пришли к выводу, что и в условиях возрастающих альтернативных издержек международная торговля остается взаимовыгодной, если страны специализируются в соответствии со своими сравнительными преимуществами, причем максимальный выигрыш, в отличие
от рассмотренной выше модели с постоянными альтернативными издержками, дает частичная (неполная) специализация.
Очевиден также и вывод о том, что в условиях свободной торговли выравниваются предельные (альтернативные) издержки на производство продукции в разных странах. А это, в свою очередь, ведет к выравниванию соответствующих цен.
Сравнительные преимущества при наличии
более двух стран
Расширение модели сравнительных преимуществ для случая произвольного числа стран, участвующих в международных торговых отношениях, проиллюстрируем при помощи данных табл. 3.6.
Таблица 3.6. Объемы выпуска на единицу затрат ресурсов

Товар
Объем выпуска
США
Канада
Англия
Пшеница, т
20
30
5
Масло, кг
40
30
25
Альтернативные издержки производства пшеницы и масла в рассматриваемых странах приведены в табл. 3.7.
Таблица 3.7. Расчет альтернативных издержек

Товар
Объем выпуска
США
Канада
Англия
Пшеница, т
2,0
1,0
5,0
Масло, кг
0,5
1,0
0,2
При наличии свободной торговли между этими странами равновесная цена, например, на пшеницу установится в диапазоне: 1,0 t 5,0. Предположим, что она будет равна t = 4,0. Это означает, что США и Канада будут экспортировать пшеницу в Англию, а Англия, в свою очередь, будет экспортировать в Канаду и США масло.
Торговля несколькими товарами
Рассмотренная модель сравнительных преимуществ может быть расширена также и для произвольного количества товаров. Чтобы понять, как это можно сделать, модифицируем формулу определения
сравнительных преимуществ для упрощенной базовой модели "две страны - два товара" (табл. 3.8).
Таблица 3.8. Затраты времени на единицу продукции

Товары
Затраты времени
страна 1
страна 2
Товар А
T1A
T2A
Товар В
T1B
T2B
Сделаем предположение, что альтернативные издержки С на производство товара А в стране 1 ниже, чем в стране 2, т. е.:
С1A С2Aили

T1A

T2A
T1B
T2B
или, что то же самое:

T1A


T1B

T2A

T2B


Отсюда следует, что альтернативные издержки изготовления товара для конкретной страны могут быть рассчитаны не только через время, потраченное на производство другого товара в этой же стране Т1A / T1B но и через количество времени, потраченного на производство товара этого же наименования за рубежом, т. е. Т1A / Т2A
Таким образом альтернативные издержки могут быть рассчитаны по совершенно произвольному количеству товаров. Далее достаточно все товары анализируемой страны расположить в порядке возрастания альтернативных издержек их изготовления в данной стране, чтобы сделать (с учетом соотношения уровней заработной платы в каждой из стран) вполне обоснованный вывод о возможности экспорта (или импорта) соответствующих товаров.
Ситуация "большая страна - малая страна"
При изучении теории сравнительных преимуществ иногда делается ошибочный вывод, что большая страна благодаря своим огромным размерам и экономической силе может присвоить себе весь выигрыш от международной торговли, используя свои преимущества перед маленькой и слабой страной. Однако на арене свободной мировой торговли (если она действительно свободна)
правила игры не те, что имеют место на ринге, где большой и сильный парень может свалить маленького и хилого. В условиях свободной мировой торговли верно как раз обратное. Когда две страны не равны по размерам, все выгоды от торговли между ними могут отойти маленькому государству, в то время как большая страна не получит ничего.
Например, предположим, что мир состоит только из России и Греции. Допустим также, что Греция имеет перед Россией сравнительное преимущество в производстве вина. Из-за различия в территориальных размерах Греции невозможно будет насытить вином огромный российский рынок. Соответственно, России придется в этих условиях производить весьма значительное количество вина, и мировые цены, таким образом, будут практически равны российским внутренним ценам.
Это значит, что условия торговли будут практически совпадать с российскими автаркическими относительными ценами (альтернативными издержками). Но из-за того, что не будет различия между российскими альтернативными издержками производства вина и условиями торговли (мировой ценой), Россия может не выиграть ничего. В таких условиях весь выигрыш от международной торговли будет получен маленькой страной (Грецией). Большая страна (Россия) просто перераспределит свои ресурсы таким образом, что обеспечит маленькой стране возможность специализироваться в производстве вина и получать всю выгоду от международной торговли.
Это прекрасный пример работы "невидимой руки" Адама Смита.
Валютный аспект международной торговли
До сих пор мы рассматривали международный обмен товарами, не принимая во внимание его денежный, а точнее, валютный аспект. Мы предполагали, например, что природный газ обменивается Россией непосредственно на пшеницу. Это, конечно, не соответствует действительности, так как на самом деле страны торгуют друг с другом, прибегая к помощи валютных рынков, где можно обменять одну валюту на другую, чтобы расплатиться за импорт.
Д. Рикардо показал в своей теории, что взаимовыгодность внешней торговли сохраняется и тогда, когда международный обмен товарами осуществляется с участием денег. Какую же роль играют при этом деньги? Конечно, вспомогательную. Если торговлю А.Смит уподобил колесу, при помощи которого движется вперед человеческая цивилизация, то деньги (а в международной торговле - валюту) можно рассматривать
как масло, смазку, которая делает это движение плавным и легким.
Если при данном обменном курсе национальной валюты стране не удается покрыть расходы на импорт поступлениями от экспорта, их можно уравновесить путем изменения относительных цен на собственные и заграничные товары в денежном выражении.
В мире, где существуют деньги, такое выравнивание платежей достигается:
1) либо установлением нового равновесия обменного курса валют;
2) либо корректировкой всех уровней цен в одной или обеих странах.
Действительно, нетрудно установить связь между коэффициентом обмена в физическом выражении (t) и понятием обменного курса валют.
Рассмотрим, например, торговый обмен между Россией и Германией, предполагая, что коэффициенты обмена установились на равновесных уровнях, выраженных в виде отношения к 1 т масла:



Основные методы регулирования платежного баланса


В противном случае воздействие прямых инвестиций на платежный баланс страны-импортера капитала может быть отрицательным. Инфляция. Инфляция оказывает на платежный баланс страны отрицательное (негативное) влияние. Повышение внутренних цен снижает конкурентоспособность национальных товаров, затрудняя их экспорт, поощряет импорт товаров, способствует бегству капиталов за границу.
Чрезвычайные обстоятельства. Чрезвычайные обстоятельства - неурожай, стихийные бедствия, катастрофы и т. д. - негативно влияют на платежный баланс страны.
Торговые ограничения. Платежные балансы реагируют на дискриминацию стран, на барьеры, в частности, таможенные, препятствующие развитию взаимовыгодных экономических отношений.

10.4
Основные методы регулирования платежного баланса
Платежный баланс всегда являлся объектом государственнVго регулирования. Это обусловлено следующими причинами.
Во-первых, платежным балансам присуща неуровновешенность, проявляющаяся в длительном и крупном дефиците у одних стран

и чрезмерном активном сальдо у других. Нестабильность баланса международных расчетов влияет на динамику валютного курса, миграцию капиталов, состояние экономики. Например, покрывая дефицит текущих операций платежного баланса национальной валютой, США способствовали экспорту инфляции в другие страны, созданию избытка долларов, что подорвало Бреттон-Вудскую валютно-финансовую систему в середине 70-х годов.
Во-вторых, после отмены золотого стандарта в 30-х годах XX в. стихийный механизм выравнивания платежного баланса путем автоматического ценового регулирования действует крайне слабо. Поэтому выравнивание платежного баланса требует целенаправленных государственных мероприятий.
В-третьих, в условиях интернационализации хозяйственных связей повысилось значение платежного баланса в системе государственного регулирования экономики. Задача его уравновешивания входит в круг основных задач экономической политики государства наряду с обеспечением желаемых темпов экономического роста, сдерживанием инфляции и безработицы.
Материальной основой регулирования платежного баланса служат:
государственная собственность, в том числе золотовалютные резервы;
объем (часть) национального дохода, перераспределяемого через государственный бюджет (40-50%);
непосредственное участие государства в международных экономических отношениях как экспортера капиталов, кредитора, заемщика;
регламентация внешнеэкономических операций с помощью нормативных актов и органов государственного контроля.
При регулировании платежного баланса возникает проблема: какие страны (имеющие активное сальдо или дефицит) должны принимать соответствующие меры по его выравниванию. Рассуждения теоретиков и требования практиков по этому вопросу различны. Обычно под давлением внутренних и внешних факторов проблема выравнивания платежного баланса наиболее остро встает перед странами, имеющими дефицит.
Страны с активным балансом международных расчетов призывают их "навести порядок в собственном доме": ограничить инфляцию, проводить дефляционную политику, стимулировать экспорт, сдерживать импорт товаров и т. д. Такие требования после Второй мировой войны США, например, предъявляли странам Западной Европы, имевшим хронический дефицит платежного баланса. В 60-х годах положение дел стало меняться, и теперь уже страны Западной Европы, прежде всего ЕС, выступают с аналогичными требованиями к США.

Страны с дефицитом платежного баланса обычно настаивают, чтобы их партнеры с активным балансом ослабили таможенные и иные ограничения импорта, расширили вывоз капитала. Так, с 70-х годов представители США постоянно призывают ФРГ и Японию стимулировать экономический рост и импорт американских товаров.
Государственное регулирование платежного баланса - это совокупность экономических, в том числе валютных, финансовых, денежно-кредитных, мероприятий государства, направленных на формирование основных статей платежного баланса, а также покрытие сложившегося сальдо.
Существует разнообразный арсенал методов регулирования платежного баланса, направленных либо на стимулирование, либо на ограничение внешнеэкономических операций в зависимости от валютно-экономического положения и состояния международных расчетов страны.
Странами с дефицитным платежным балансом обычно предпринимаются следующие мероприятия с целью стимулирования экспорта, сдерживания импорта товаров, привлечения иностранных капиталов, ограничения вывоза капиталов.
Дефляционная (антиинфляционная) политика. Такая политика, направленная на сокращение внутреннего спроса, включает прежде всего ограничение государственных (бюджетных) расходов, замораживание цен и заработной платы. При этом правительством активно используются соответствующие финансовые и денежно-кредитные рычаги, такие как:
изменение учетной ставки Центрального банка;
установление пределов роста денежной массы;
кредитные ограничения.
При проведении такой политики сдерживания снижается объем национального дохода, падает потребление национальных товаров, сопровождающееся снижением объемов потребления импортных товаров. Снижение импорта позитивно воздействует на платежный баланс, так как снижает потребность в иностранной валюте. Таким образом, при замедлении и даже прекращении роста национального дохода платежный баланс страны улучшается.
Однако необходимо при этом иметь в виду, что в условиях экономического спада, при наличии большой армии безработных и резервов неиспользованных производственных мощностей политика дефляции ведет к дальнейшему падению производства и занятости. Она связана с наступлением на жизненный уровень трудящихся и грозит обострением социальных конфликтов, если не принимаются соответствующие компенсирующие меры.

Девальвация. Понижение курса национальной валюты направлено на стимулирование экспорта и сдерживание импорта товаров. Однако роль девальвации в регулировании платежного баланса зависит от конкретных условий ее проведения и сопутствующей общеэкономической и финансовой политики.
Девальвация стимулирует экспорт товаров лишь при наличии экспортного потенциала конкурентоспособных товаров и услуг и благоприятной ситуации на мировом рынке.
Что касается сдерживающего влияния девальвации на импорт, то в условиях интернационализации процессов производства продукции и развития международной специализации страна зачастую не может резко сократить ввоз товаров. К тому же не все страны проводят успешную политику импортозамещения. Кроме того, удерживая импорт, девальвация может привести к утрате конкурентных преимуществ отечественной продукции, при изготовлении которой использовались импортное оборудование, материалы, энергия и т. п.
Таким образом, девальвация национальной валюты, хотя и может дать стране временные преимущества, во многих случаях не дает возможности устранить причины дефицита ее платежного баланса.
Валютные ограничения. Валютные ограничения следует различать по сферам их применения.
По текущим операциям платежного баланса они выступают в следующих формах:
а) блокирование валютной выручки иностранных экспортеров от продаж товаров в данной стране, ограничение их возможностей распоряжаться этими средствами;
б) обязательная продажа валютной выручки экспортеров полностью или частично Центральному или девизному банкам;
в) ограниченная продажа иностранной валюты импортерам (при наличии разрешения органа валютного контроля);
г) ограничения на форвардные покупки импортерами иностранной валюты;
д) запрещение продажи товаров за рубежом на национальную валюту;
е) запрещение оплаты импорта некоторых товаров иностранной валютой;
ж) регулирование сроков платежей по экспорту и импорту в условиях нестабильности валютных курсов. Например, некоторые страны устанавливают ограниченные сроки (до 1 месяца) продажи экспортерами иностранной валюты на национальную с целью избежать использования этих средств спекулянтами против национальной валюты.
По финансовым операциям платежного баланса валютные ограничения выступают в таких формах.

При пассивном балансе принимаются следующие меры по ограничению вывоза капитала и стимулированию притока капиталов для поддержания курса валюты:
а) лимитирование вывоза национальной и иностранной валюты, золота, ценных бумаг, предоставления кредитов;
б) контроль за деятельностью рынка ссудных капиталов: операции осуществляются только с разрешения министерства финансов и при представлении информации о размере выдаваемых кредитов и прямых инвестиций за рубежом: привлечение иностранных кредитов при условии предварительного разрешения органов валютного контроля (в частности, на выпуск займов) с тем, чтобы они не оказали негативного воздействия на национальный валютный рынок, рынок ссудных капиталов и рост денежной массы в обращении;
в) полное или частичное прекращение погашения внешней задолженности либо разрешение ее оплаты национальной валютой без права перевода за границу.
При активном платежном балансе в целях сдерживания притока капиталов и повышения курса национальной валюты пименяются следующие формы валютного контроля по финансовым операциям:



Ожидания относительно будущей динамики валютного курса.


Правительство ужесточает денежную политику, увеличивает налоги, снижает государственные расходы. В результате всех этих мер совокупный спрос падает, а выпуск продукции начинает сокращаться. Но за падением выпуска продукции и доходов следует уменьшение и расходов, часть которых составляет сокращение расходов на импорт. Следовательно, спад в национальной экономике означает уменьшение импорта, что в свою очередь уменьшит предложение национальной валюты и повысит ее обменный курс.
Рост экономики за границей будет приводить к увеличению экспорта из страны. Увеличение экспорта потребует дополнительных объемов национальной валюты. Спрос на нее возрастет, что вызовет соответствующий рост ее обменного курса.
Спад в экономике зарубежных стран приведет соответственно к снижению обменного курса отечественной валюты.
Различия в процентных ставках и переливы капитала. Динамика валютных курсов во многом зависит от международных потоков капитала. Потоки же капитала между странами в свою очередь связаны с влиянием денежной политики конкретных стран на процентные ставки.
Если, например, Соединенные Штаты Америки ужесточают денежную политику, то процентные ставки в стране будут иметь тенденцию роста относительно процентных ставок на капитал в остальном мире. Инвесторы, желая извлечь доходы из более высоких процентных ставок в США, конвертируют свои портфели из немецких марок, английских фунтов стерлингов или французских франков в доллары США. Капитал начинает переливаться в США, вызывая удорожание доллара.
Если же денежная политика ужесточается не в США, а в Европе, это приведет к оттоку капитала из Соединенных Штатов Америки в Европу, поскольку инвесторы начнут продавать американские облигации, чтобы купить европейские ценные бумаги, гарантирующие более высокие доходы. В результате доллар подешевеет, а европейские валюты подорожают.
Таким образом, если по мнению правительства обменные курсы будут меняться без какой-либо рациональной на то причины, государства имеют все основания для соответствующего вмешательства, чтобы попытаться компенсировать (стерилизовать) эти изменения.
Ожидания относительно будущей динамики валютного курса. То, что на валютный курс влияют ожидания относительно его будущей динамики, доказательств не требует. Другое дело - выяснить, чем определяются сами эти ожидания. Опыт последних лет показывает, что это, прежде всего:
1) ожидаемые изменения денежной массы. Так, любые признаки быстрого роста денежной массы предвещают избыточное предложение валюты этой страны, что должно понизить ее цену (курс);
2) ожидаемая правительственная политика в отношении частного сектора. Например, политические течения в стране, предполагающие будущую конфискацию частной собственности в тех или иных
формах и объемах, как правило, вызывают сброс национальной валюты и падение ее курса на валютных рынках. Угроза новых налогов на финансовые активы в этой валюте или введение валютных ограничений, блокирующих конвертируемость национальной денежной единицы, приводит к аналогичному результату;
3) ожидаемые последствия правительственных интервенций на валютном рынке. Если спекулянты валютой убеждены в желании и возможности правительства поддержать национальную валюту, то они сами будут способствовать этому. В противном случае спекуляция против этой валюты только усилится, что приведет к дальнейшему падению курса.

9.1.4. Валютные курсы и паритет покупательной
способности
В теории обоснования валютных курсов широко используется достаточно здравая идея, которая называется законом единой цены: если в двух странах производится идентичный товар, то цена этого товара должна быть одинаковой в обеих странах независимо от того, какая страна является его производителем. Предположим, что американская пшеница стоит 100 долл. за 1 т, а идентичная ей российская пшеница стоит 2000 руб. за 1 т. Согласно закону единой цены обменный курс между рублем и долларом должен установиться на уровне 20 руб. за 1 долл., так как только в этом случае 1 т американской пшеницы будет продаваться за 2000 руб. в России (т. е. по цене российской пшеницы), а 1 т российской пшеницы будет продаваться за 100 долл. в США. Если бы обменный курс составлял 40 руб. за 1 американский долл., то при неизменных ценах на пшеницу в обеих странах, российская пшеница продавалась бы в США по 50 долл. за 1 т, что на 50 долл. дешевле американской пшеницы; американская же пшеница обходилась россиянам в 4000 руб. за 1 т, что в два раза дороже российской пшеницы. Так как американская пшеница была бы дороже российской в обеих странах, будучи полностью идентичной ей, спрос на американскую пшеницу упал бы до нуля.
Восстановление исходного равновесия при неизменных внутренних ценах возможно лишь тогда, когда обменный курс американского доллара упадет до уровня 20 руб. за 1 долл. и цена на российскую и американскую пшеницу уравняется в обеих странах.
Одна из самых известных теорий формирования валютных курсов - теория паритета покупательной способности (ППС) - базируется на рассмотренной выше идее. Она является применением закона единой цены не к ценам на отдельные товары, а к национальному уровню цен вообще.
Теория паритета покупательной способности утверждает, что валютный курс всегда меняется ровно настолько, насколько это необходимо
для того, чтобы компенсировать разницу в динамике уровня цен в разных странах. Так, если инфляция в конкретной стране будет превосходить инфляцию за границей, то при прочих равных условиях валюта данной страны будет иметь тенденцию к соответствующему удешевлению.
Рассмотрим в качестве примера две условные страны А и В. Предположим, что за текущий год уровень цен в обеих странах вырос соответственно в 100 и в 2 раза. Представим также, что обменный курс национальных валют остался прежним и составляет 1:1. Тогда весь экспорт из страны А в страну В стал бы неправдоподобно дорогим и практически прекратился бы. И наоборот, объем импорта в страну А был бы огромным вследствие того, что цены в стране А были бы гораздо выше, чем в стране В (рис.
9.1).


Ожидания относительно будущей динамики валютного курса.

Рис. 9.1. Последствия непропорционального роста цен в разных странах
Если же импорт превзойдет экспорт в значительных масштабах, на денежную единицу страны А будет оказано соответствующее давление, которое вызовет ее удешевление и восстановит международную конкурентность товаров из страны А.
В общем случае паритет (соотношение) между денежными единицами различных стран по их покупательной способности (ППС) может быть рассчитан по формуле


ППС=
Стоимость (в денежных единицах страны)
потребительской корзины товаров и услуг
в стране А
Стоимость ( в денежных единицах страны)
потребительской корзины товаров и услуг
в стране В
Гипотеза о том, что между курсами национальных валют и паритетом покупательной способности имеется достаточно жесткая зависимость, в долгосрочной перспективе получает неплохую эмпирическую
поддержку. И это понятно, так как в долгосрочной перспективе товары и услуги могут быть куплены либо в одной, либо в другой стране. Однако в краткосрочном плане эта гипотеза "работает" неубедительно, плохо; здесь динамика паритета покупательной способности часто не соответствует движению валютных курсов, особенно в "неспокойные" годы.
Кстати, соотношение покупательной силы валют само по себе ничего не говорит о том, какая валюта "хорошая", а какая "плохая". Например, если соотношение покупательной силы американского доллара и японской йены равно 1:150, то это еще вовсе не означает, что доллар в 150 раз "сильнее" йены; просто в Японии все цены привыкли измерять в тысячах йен. Валюта считается более сильной, чем другая, лишь тогда, когда ее курс по отношению к другим валютам растет.
Причем изменение курса - его повышение или снижение - определяется не сегодняшней, а будущей (ожидаемой) силой валют.
А теперь зададимся вопросом, почему с помощью теории покупательной способности нельзя полностью объяснить колебания валютных курсов?
Во-первых, утверждение теории ППС о том, что валютные курсы определяются исключительно изменениями относительных уровней цен, базируется на явно нереальном предположении, что все товары в обеих странах идентичны.
Во-вторых, в реальной действительности валютные курсы ориентируются не на полную потребительскую корзину товаров и услуг (которая по международным стандартам должна включать в себя 500 видов товаров и услуг), а на весьма "усеченную" корзину того незначительного круга товаров, которыми в действительности обмениваются конкретные страны. Например, домовладения, земля, такие услуги, как питание в ресторанах, парикмахерские услуги и т. п., не относятся к товарам, которыми торгуют за рубежом и, Yледовательно, цены на них на фактический валютный курс не влияют. Свежий хлеб теоретически можно перебросить через океан но, очевидно, эта операция будет крайне неэффективна и поэтому на практике невозможна.
Другое дело - телевизоры, "сникерсы", "памперсы" и тому подобные товары, стоящие в России, например, очень дорого, а в США - сущие пустяки, тем более, что везут в Россию то, что уже не пользуется спросом в собственной стране.



Первоначальное рыночное равновесие


Таким товаром для рассматриваемого примера является сталь, объем производства которой для точки P1 значительно ниже, чем оптимальный объем производства в точке P0 При уменьшении же объемов производства стали до объема, соответствующего точке Р1, потребление в стране будет определяться новой бюджетной линией SР1Т, параллельной MN. Общественное благосостояние Австрии неизбежно ухудшится, так как страна перейдет на более низкую кривую социального безразличия. Влияние тарифа на внутреннее потребление. Как мы уже убедились, при перемещении уровня производства в точку Р1 потребление в стране определяется новой бюджетной линией SP1T. Но в какой именно точке находится потребление?
Вот ответ, который, видимо, некоторых удивит: не в точке С' - точке касания бюджетной линии SP1T с наивысшей кривой безразличия. Напомним, что наклон SP1T определяется мировыми относительными ценами. Однако внутреннее потребление всегда происходит в соответствии с внутренними относительными ценами (определяющими наклон линии DF). Значит, точка, характеризующая потребление, находится на бюджетной линии SP1T в точке, в которой предельная
норма потребительского замещения равна внутреннему соотношению цен, т. е. в точке С1.
Тарифные поступления в государственный бюджет. Обратимся еще раз к рис. 4.4 и отметим, что в стране произведено продукции меньше, чем того требует потребление по внутренним ценам.
Таким образом, линия DF, характеризующая в точке Р1 объем производства в условиях внутренних цен (определяемый как национальный доход по факторной стоимости), расположена ниже и левее линии GH, показывающей объем потребления при внутренних ценах (эта величина известна как совокупный расход). Чем обусловлена разница между этими двумя величинами?
Разница между объемом производства и объемом потребления в условиях внутренних цен определяется величиной тарифных сборов, полученных государством. На графической модели (рис. 4.4) доход, получаемый правительством после введения тарифа на импортируемую ткань, представлен соответствующим ему отрезком DG.
Правительство расходует тарифные поступления на государственные нужды или перераспределяет их между отдельными потребителями в виде безвозмездных социальных выплат или сокращения подоходного налога.
Запретительный тариф. Влияние запретительного тарифа на макроуровне показано на рис. 4.5.

Первоначальное рыночное равновесие

Рис. 4.5. Запретительный тариф
Кривая UV - это кривая производственных возможностей, кривые 1 и 2 - кривые социального безразличия. Соотношение мировых цен на сталь и ткань определяет абсолютную крутизну бюджетной линии MN. При этом в условиях свободной торговли соотношение внутренних цен устанавливается соотношением мировых цен.
Первоначально объем производства определялся точкой Р0, а объем потребления - точкой С0. Правительство страны вводит тариф, вследствие которого происходит уменьшение внутренних цен (новое соотношение цен определяет наклон линии DF). Очевидно, что торговля в этом случае полностью прекращается, как только объемы производства и потребления достигнут автаркического равновесия в точке Р1.
Тариф станет запретительным.
На рассматриваемом рисунке показана минимальная адвалорная тарифная ставка, при которой тариф становится запретительным. Очевидно, что дальнейшее увеличение размера пошлины уже ничего не изменит - тариф так и останется запретительным.

4.5
Общий равновесный анализ
экономической системы в условиях
импортного тарифа
для большой страны
Для анализа влияния тарифа на условия торговли возьмем две страны, например США и Великобританию, действия каждой из которых могут оказаться вполне достаточными для оказания влияния на международные цены (рис. 4.6).
Первоначальное рыночное равновесие показано на рис. 4.6 при помощи криJых предложения для США и Великобритании и достигается в точке их пересечения (E0). США при этом экспортирует OS0 т стали в Великобританию в обмен на ОС0 м ткани.
Наклон линии ТОТ0, характеризующий соотношение индексов экспортных и импортных цен1, определяет относительную стоимость стали по отношению к ткани в США.
Рассмотрим, как повлияет введение правительством США тарифа на исходное равновесие рыночной системы?
Из приведенного ранее анализа известно, что введение пошлины уменьшает объемы международной торговли, поэтому кривая предложения

Первоначальное рыночное равновесие

Рис. 4.6. Влияние тарифа на условия торговли
США изменит свое первоначальное положение так, как это показано на рис. 4.6 пунктирной линией (ТОТ1).
Таким образом, после введения тарифа рыночное равновесие перемещается в точку Е1. Обратим внимание на тот факт, что условия торговли в США улучшились: новая линия ТОТ1 характеризующая соотношение экспортных и импортных цен в условиях пошлины, проходит круче по отношению к оси абсцисс (стали) нежели линия ТОТ0. Это и есть желаемый результат, достигнутый США от введения ею таможенной пошлины на ткань.
Итак, большая страна может значительно повысить эффективность своей внешнеторговой деятельности введением тарифа, потому что она имеет возможность использовать свою монополистическую и монопсоническую власть на мировых рынках.
На рынке стали США действует как монополист, ограничивая объем предложения, а на рынке ткани выступает как монопсонист, сокращая объем спроса. В результате этого возникает дефицит стали на мировом рынке (в объеме S1S0), тогда как предложение ткани избыточно (на величину С1С0). Поэтому относительная цена стали (экспортируемой США) на мировом рынке увеличивается, о чем свидетельствует
тот факт, что прямая ТОТ1, характеризующая новое соотношение индексов экспортных и импортных цен, проходит круче по отношению к оси абсцисс, чем ТОТ0, характеризующая условие торговли США до введения правительством США таможенного тарифа.
Заметим, что малая страна испытывает недостаток в монополистической и монопсонической власти на мировых рынках. Вот почему небольшая страна, находясь в условиях совершенной конкуренции, не может влиять на рыночные цены. В этом и заключается основное объяснение того, почему небольшое государство не может диктовать другим странам микрохозяйственной системы свои условия внешней торговли, в то время как большая страна может это делать.

1 Наклон линии ТОТ0 к оси абсцисс может быть рассчитан как отношение OC0/OS0

4.6
Фактический уровень защиты
национального производства
Номинальные тарифные ставки (публикуемые в стране) зачастую не позволяют точно оценить реальный уровень таможенной защиты, получаемой внутренними (национальными) производителями. Основная причина этого заключается в том, что номинальный тариф определяется только общей стоимостью импортируемой продукции, тогда как фактический уровень защиты - добавленной стоимостью отечественных товаров.
Рассмотрим два примера, разъясняющих ситуацию.
Пример 1. Предположим, что цена одной пары кожаной обуви на мировом рынке составляет 40 долл., и для производства одной пары обуви страна (к примеру, Италия) использует импортируемую кожу по цене 30 долл. (на одну пару). Добавленная стоимость итальянской обуви, рассчитываемая как разность между ценой за одну пару обуви и стоимостью приобретенного для ее изготовления сырья, равна в этом случае 10 долл. (40-30).
Предположим также, что итальянское правительство вводит 25-процентный номинальный тариф на импортируемую в страну обувь. Внутренняя цена одной пары обуви увеличивается на 50 долл.
Какой же будет фактическая степень защиты, обеспечиваемая итальянским правительством отечественным производителям обуви? Номинальная тарифная ставка, равная 25%, увеличивает добавленную стоимость от первоначального ее значения - 10 долл. - до 20 долл. (50-30).
Таким образом, происходит увеличение добавленной стоимости на 100%. Это и есть реальный уровень защиты отечественного производства, который Италия обеспечивает производителям кожаной обуви.
Пример 2. Предположим, что в дополнение к 25-процентной номинальной тарифной ставке на импортируемую обувь итальянское правительство вводит 10-процентный тариф на импорт кожи. Как это повлияет на фактический уровень защиты отечественной обувной промышленности?
Как и в предыдущем примере, первоначальное значение добавленной стоимости V= 10 долл. (40 - 30). Добавленная стоимость с учетом тарифов на готовую продукцию (25%) и кожу (10%) составит V =17 долл. (50 - 33), что целесообразно проиллюстрировать при помощи рис. 4.7.

Первоначальное рыночное равновесие

Рис. 4.7. Расчет реального уровня защиты отечественного производства
при использовании тарифов
Относительный рост добавленной стоимости в данном случае составил 70% ((17 - 10) / 10 100).
Из рассмотренных примеров следует, что тариф на промежуточный товар (в нашем примере - кожу) существенно влияет на реальный уровень защиты на конечную продукцию.
В самом общем случае фактический уровень защиты F национальных; производителей может быть рассчитан по формуле


F =
V'-V
100,
V

где V - добавленная стоимость при производстве товара в условиях свободной торговли; V' - добавленная стоимость в условиях применения таможенных тарифв.
Запишем данную формулу в более подробном виде, введя для этого следующие обозначения:



Платежный баланс страны и основное макроэкономическое тождество


государства
Определение платежного баланса может быть записано в виде уравнения:

Платежный
баланс
страны


=
Текущий
платежный
баланс
+
Баланс
движения
капиталов




Поскольку итоговые поступления валюты от иностранцев должны быть равны итоговым суммам, выплаченным иностранцам, мы видим, что дефицит или избыток платежного баланса должен быть возмещен Центральным банком страны.
Итоговое положительное сальдо платежного баланса будет в точности равно закупкам иностранной валюты Центральным банком. И наоборот, дефицит платежного баланса будет в точности равен чистым продажам иностранной валюты Центральным банком.
В случае отсутствия вмешательства государства в форме валютных интервенций должно выполняться равенство:

Сальдо
по текущим
счетам


=
-
Сальдо
по операциям
движения капитала





10.3.5. Платежный баланс страны и основное
макроэкономическое тождество
Рассмотренный нами выше платежный баланс страны убедительно иллюстрирует тесную взаимосвязь финансовых потоков с рынками товаров. Чтобы увидеть эту связь на формализованном уровне, перепишем основное тождество национальных счетов: Y = С + I + G + XN,
где Y - объем валового национального продукта; С - объем потребительских расходов; I - объем инвестиционных расходов; G - объем государственных расходов; XN - объем чистого экспорта страны.

Вычтем из обеих частей основного макроэкономического тождества С и G. Тогда
Y - C - G = I + XN.
Учитывая, что (Y - С - G) представляет собой объем национальных сбережений (S)1, получим:
S = I + XN.
Перенесем все члены равенства в левую часть и получим основное тождество национальных счетов:
(I - S) + XN = 0.
Данная форма записи основного тождества национальных счетов показывает связь между международными потоками средств, предназначенных для накопления капитала (I - S) и международными потоками товаров и услуг (XN).
Каждый член этого равенства имеет собственное имя:
(I - S) - счет движения капитала платежного баланса;
XN - текущий счет (счет текущих операций) платежного баланса.
Счет движения капитала представляет собой избыток внутренних инвестиций над внутренними сбережениями. Инвестиции могут превышать сбережения страны, так как инвесторы могут финансировать инвестиционные проекты за счет средств, заимствованных на мировых финансовых рынках. Таким образом, счет движения капитала равен объему внутреннего накопления капитала, финансируемого за счет зарубежных займов.
Счет текущих операций (XN) - это сумма, получаемая из-за границы в обмен на наш чистый экспорт (включая чистую выручку от использования наших факторов производства).
Основное тождество национальных счетов утверждает, что счет движения капитала и текущий счет платежного баланса должны быть уравновешены. Это значит, что сальдо счета движения капитала и сальдо счета текущих операций в сумме равны нулю:
(I - S) + XN = 0 = BP (Balance of payments).
Если величина (I - S) является положительной, a XN - отрицательной, мы имеем положительное сальдо движения капитала и дефицит текущего счета платежного баланса. Это означает, что мы берем займы

на мировых финансовых рынках и импортируем больше товаров, нежели экспортируем.
Если величина (I - S) является отрицательной, a XN - положительной, мы имеем дефицит счета движения капитала и положительное сальдо счета текущих операций. Это означает, что на мировых финансовых рынках мы выступаем в роли кредитора и больше экспортируем товаров, чем импортируем.
Баланс счета движения капитала и текущего счета показывает, что международные потоки фондов для финансирования накопления капитала и международные потоки товаров и услуг представляют собой две стороны одной медали. С одной стороны, если наши сбережения превышают наши инвестиции, то сбережения, не инвестированные внутри страны, используются для выдачи кредитов иностранцам. Им требуются эти ссуды, поскольку мы представляем им больше товаров и услуг, нежели они предоставляют их нам, т. е. XN является положительной величиной. С другой стороны, если наши инвестиции превышают наши сбережения, излишек инвестиций должен финансироваться из-за рубежа.
Иностранцы должны предоставлять нам кредиты. Эти иностранные займы позволяют нам импортировать товаров и услуг больше, чем мы экспортируем, т. е. XN является отрицательной величиной.
Заметьте, что международные потоки капитала могут принимать различные формы. Проще всего исходить из того, - что мы и делали до настоящего момента, - что, когда мы сталкиваемся с положительным сальдо движения капитала, иностранцы предоставляют нам займы. Но точно так же междуUародное перемещение капитала может происходить в форме приобретения активов данной страны иностранцами.
Например, когда японские инвесторы приобрели Рокфеллеровский центр, эта сделка была результатом (частью) положительного сальдо счета движения капиталов платежного баланса США. В обоих случаях: и когда иностранцы приобретают внутренние долговые обязательства, и когда они приобретают внутренние активы, приобретаются права на будущий доход с капитала страны. Другими словами, в обоих случаях иностранцам в итоге принадлежит некоторая часть (доля) запаса капитала данной страны.
Приведенная выше форма записи платежного баланса является неполной, укороченной, так как не включает еще одну категорию учета - счет движения золотовалютных (официальных) резервов (OR). Изменение OR отражает увеличение или уменьшение государственных золотовалютных сбережений, не входящих в счет движения капитала, например, при продаже Центральным банком золота или иностранной резервной валюты. Полная форма платежного баланса имеет вид:

(I - S) + XN + OR = 0.
Таким образом, сальдо счета текущих операций уравновешивается не только сальдо счета движения капитала, но и суммой [(I - S) + OR].


1 При исследовании внугриэкономических проблем национальные (общие) сбережения (S) развиваются на частные S1 = Y - С - Ти государственные S2 = T - G, где Т-разница между объемами налоговых отчислений и трансфертными платежами.

10.3.6. Факторы, влияющие
на платежный баланс
Как следует из вышесказанного, платежный баланс дает достаточно полное представление об участии страны в мировом хозяйстве, масштабах, структуре и характере ее внешнеэкономических связей. В платежном балансе отражаются:
структурные диспропорции экономики, определяющие возможности экспорта и потребности импорта товаров, капиталов и услуг;
изменения в состоянии рыночного и государственного регулирования экономики;
конъюнктурные факторы (степень международной конкуренции, инфляции, изменения валютного курса и др.).
На состояние платежного баланса страны влияют огромное количество факторов, основными из которых являются:
Неравномерность экономического развития стран, международная конкуренция. Эволюция основных статей платежного баланса конкретной страны отражает изменения соотношения сил центров соперничества в мировой экономике. Так, в период после Второй мировой войны торговый баланс США сводился с огромным активным сальдо (в 1947г., например, 10 млрд. долл.).
Затем в процессе-утраты своих лидирующих позиций американская экономика стала испытывать постоянный дефицит внешнеторгового оборота. С 1986г. США стали чистыми должниками: активы иностранцев в США превышают активы резидентов США за границей.
Циклические колебания экономики. В платежных балансах находят выражение колебания, подъемы и спады хозяйственной активности, так как от состояния национальной экономики зависят результаты ее внешнеэкономических операций. Например, рост объемов производства вызывает увеличение импорта энергоносителей, сырья, оборудования, а при замедлении темпов экономического роста ввоз товаров сокращается.
При вялом развитии национальной экономики обычно увеличивается вывоз капитала из страны. При ускоренном, когда растут прибыли, повышается процентная ставка, темп вывоза капитала сокращается.
Рост заграничных государственных расходов. Тяжелым бременем для национальной экономики являются внешние правительственные расходы, которые преследуют разнообразные экономические и

политические цели. Косвенное воздействие таких расходов на платежный баланс определяется их влиянием на условия производства, темпы экономического роста, а также масштабами изъятия ресурсов из экспортных отраслей народного хозяйства.
Вывоз и ввоз капитала. Вывоз и ввоз капитала оказывают двойственное влияние на платежный баланс страны. В частности, вывоз капитала увеличивает его пассив, отвлекает средства, которые могли бы быть использованы для модернизации экспортных отраслей.
Кроме того, в отличие от внутренних капиталовложений экспорт капитала снижает возможный мультипликационный эффект в национальной экономике, так как тратится в основном на покупку иностранных сырья, рабочей силы, оборудования. В то же время экспорт капитала служит базой притока в страну через определенный период процентов и дивидендов.
Приток иностранных капиталов оказывает на платежный баланс страны-импортера также двоякое влияние. Иностранные капиталы положительно влияют на платежный баланс страны-импортера лишь при условии их самоокупаемости: если использование капиталов приносит доходы, часть которых направляется на погашение внешней задолженности.



Плавающий валютный курс и внешнеэкономическая политика.


Происходящее обесценение национальной валюты стимулирует возрастание чистого экспорта и, следовательно, дальнейшее увеличение совокупного спроса и дохода. Возрастание дохода приводит к росту спроса на деньги, а также к росту процентной ставки до тех пор, пока ее уровень не достигнет мирового (i = i*). Тогда прекращаются отток капитала и снижение обменного курса национальной валюты.
Таким образом, эффективное воздействие денежно-кредитной политики на уровень дохода в малой открытой экономике осуществляется прежде всего через изменение не ставки процента, а обменного курса национальной валюты.
Следовательно, в данном случае увеличение денежной массы в стране стимулирует главным образом не внутренний, а внешний спрос. Поскольку внутренняя ставка процента после своего изменения всегда оказывается в условиях малой открытой экономики на уровнM мировой, здесь основным фактором увеличения национального дохода при проведении экспансионистской монетарной политики становится не рост инвестиций, а рост чистого экспорта.
Плавающий валютный курс и внешнеэкономическая политика. Рассмотрим основные последствия для малой открытой экономики протекционистской политики установления импортных тарифов и квот. Прямым следствием такой политики будет увеличение чистого экспорта страны (рис. 13.7, а), что приведет в свою очередь к сдвигу кривой IS* вправо (рис.
13.7, б).
В результате возрастет обменный курс национальной валюты, что, приводя к снижению объемов экспорта и соответствующему росту объемов импорта, нейтрализует последствия ограничительной внешнеторговой политики.
Следовательно, введение внешнеторговых ограничений в условиях малой открытой экономики, функционирующей в режиме "плавающего" обменного курса национальной валюты, приводит к повышению обменного курса, но не оказывает влияния на доход.
Цель введения ограничений в области внешней торговли обычно состоит в том, чтобы повлиять на состояние текущего счета XN. Однако намеченных целей удается достичь не всегда. К этому выводу приводит нас и рассматриваемая модель. Напомним, что
XN = Y - C(Y - T) - I(i) - G.
Введение внешнеторговых ограничений не влияет на состояние текущего счета, так как это не воздействует на доход, потребление, инвестиции и объем государственных закупок. Тенденция роста чистого

Плавающий валютный курс и внешнеэкономическая политика.

Рис. 13.7. Внешнеторговые ограничения при плавающем обменном курсе
экспорта XN, проявляющаяся в сдвиге вправо (вверх) графика XN, нейтрализуется снижением XN, связанным с соответствующим ростом обменного курса.

13.1.3. Экономическая политика при фиксированно
обменном курсе
При установлении фиксированного обменного курса Центральный банк обязуется покупать или продавать национальную валюту по заранее определенной цене, выраженной в иностранной валюте. Для проведения такой политики Центральному банку необходимо располагать определенным запасом национальной валюты (которую можно напечатать)
и иностранной валюты (которая должна быть накоплена в результате совершения соответствующих сделок).
При установлении фиксированного обменного курса единственной целью кредитно-денежной политики становится поддержание его на объявленном уровне. Для иллюстрации механизма регулирования предложения денег посредством установления фиксированного курса валют приведем пример.
Представим, что обменный курс рубля установлен (фиксирован) на уровне 50 руб. за 1 долл., однако равновесным при соответствующем предложении национальной валюты является курс в 60 руб. за 1 долл., т. е. на 10 руб. ниже. Это создает благоприятные условия для получения прибыли в сфере валтных спекуляций: спекулянт может купить у государства, например, 100 долл. за 5000 руб., а затем продать их на финансовом рынке за 6000 руб., получив таким образом прибыль в 1000 руб. Принципиальная схема арбитража представлена на рис.
13.8.

Плавающий валютный курс и внешнеэкономическая политика.

Рис. 13.8 Схема валютного арбитража
при заниженном валютном курсе
Полученные при этом Центральным банком рубли автоматически уменьшают предложение национальной валюты (рублей). Соответственно кривая LM* сдвигается влево, и равновесный обменный курс национальной валюты повышается.
Сокращение предложения национальной валюты будет продолжаться до тех пор, пока равновесный обменный курс не достигнет объявленного - фиксированного (рис. 13.9).
Теперь рассмотрим противоположный случай, когда объявленный фиксированный курс составляет 50 руб. за 1 долл., а равновесный - 40 руб., т. е. выше на 10 руб. В этом случае спекулянт может получить прибыль, купив на рынке, например, 100 долларов за 4000 руб. и продав их Центральному банку за 5000 руб. Прибыль спекулянта, так же как и в предыдущем случае, составит 1000 руб.
Однако в противоположность рассмотренной выше ситуации, выплаченные спекулянту рубли автоматически увеличивают предложение национальных денежных знаков. Соответствующая вышесказанному схема валютного арбитража представлена на рис. 13.10.

Плавающий валютный курс и внешнеэкономическая политика.

Рис. 13.9. Валютная интервенция Центрального банка
при регулировании заниженного обменного курса
Результатом арбитража, проиллюстрированного на рис. 13.10, будет сдвиг линии LM* вправо с соответствующим понижением равновесного обменного курса рубля. Предложение национальной валюты будет увеличиваться до тех пор, пока равновесный обменный курс не снизится до объявленного фиксированного уровня (рис.
13.11).
Итак, если официальный фиксированный курс национальной денежной единицы завышен, то стремление Центрального банка удержать отечественную валюту от удешевления приведет к сокращению валютных резервов. Если действия Центрального банка вызовут истощение запасов валютных резервов, то он не сможет удержать валютный курс от падения, что станет причиной девальвации, т. е. установления официального обменного курса на более низком уровне. И наоборот, если фиксированный курс национальной валюты занижен, то интервенции Центрального банка, направленные на удержание отечественной валюты от удорожания, будут способствовать накоплению валютных резервов.
Необходимо отметить, что действие описанного выше механизма относится лишь к номинальному обменному курсу, а к реальному он применим лишь на коротких отрезках времени. При колебаниях цен,

Плавающий валютный курс и внешнеэкономическая политика.

Рис. 13.10. Схема валютного арбитража при завышенном валютном курсе

Плавающий валютный курс и внешнеэкономическая политика.

Рис. 13.11. Валютная интервенция Центрального банка
при регулировании завышенного обменного урса
которые на протяжении длительного периода неизбежны, реальный обменный курс может измениться, даже если номинальный обменный курс зафиксирован. Поэтому в долгосрочном периоде фиксирование номинального обменного курса не влияет на реальные экономические переменные (процессы), в том числе, и на реальный обменный курс. Такая политика может повлиять в этом случае лишь на предложение денег и уровень цен в стране.
Однако в краткосрочной модели при неизменных ценах фиксирование номинального обменного курса равнозначно фиксированию курса реального.
Основные последствия проведения экономической политики в условиях фиксированного обменного курса будут следующими.
Бюджетно-налоговая политика. При проведении, например, стимулирующей (экспансионистской) бюджетно-налоговой политики смещение кривой IS* вправо (рис. 13.12), создаст условия для роста обменного курса.
В частности, осуществление такой политики приведет к росту внутренней процентной ставки, что стимулирует приток капитала в страну и образование положительного сальдо движения капитала и в целом платежного баланса. Приток капитала в страну порождает тенденцию к росту обменного курса национальной валюты.
В ответ на это для поддержания зафиксированного уровня обменного курса Центробанк, покупая иностранную валюту и продавая национальную, вынужден будет увеличить предложение национальной валюты, сместив кривую LM при этом также вправо. Процентная ставка понижается, причем этот процесс будет продолжаться до тех пор, пока уровень внутренней процентной ставки не сравняется с мировым (i = i*). В результате проведение экспансионистской бюджетно-налоговой
политики в условиях фиксированного обменного курса приведет (в отличие от условий использования режима гибкого обменного курса) к росту совокупного дохода в национальной экономике.

Плавающий валютный курс и внешнеэкономическая политика.

Рис. 13.12. Стимулирующая бюджетно-налоговая политика
в условиях фиксированного обменного курса
Таким образом, поскольку фискальная политика в условиях малой открытой экономики не изменяет процентную ставку, ее можно считать весьма эффективной; рост, например, государственных расходов при неизменной процентной ставке не вытесняет ни инвестиций, ни потребления, способствуя в то же время росту национального производства (рис. 13.12) с Y1 до Y2.
Необходимо при этом отметить, что уровень дохода (Y) в результате стимулирующей фискальной политики увеличивается в большей степени, нежели в закрытой экономической системе. Это объясняется тем, что влияние расширения государственных расходов на уровень национального дохода дополняется эффектом от увеличения денежной массы в стране.
Денежно-кредитная политика. При осуществлении расширительной денежно-кредитной политики, например, с помощью покупки государственных облигаций у населения кривая LM* начнет сдвигаться вправо (рис. 13.13), обусловливая падение рыночного обменного курса национальной валюты (при соответствующем росте рыночного курса иностранных валют).



Портфельные инвестиции


Подавляющее большинство современных международных корпораций имеют форму ТНК. Статистика ООН насчитывает сегодня примерно 40 000 транснациональных компаний, значение которых в формировании современной мировой экономики является ключевым, ибо они создают реальные предпосылки становления международного производства с единым информационным пространством, международным рынком капитала и рабочей силы, научно-технических услуг.
Транснациональные корпорации контролируют до половины мирового промышленного производства, около 70% внешней торговли. Общая сумма их иностранных инвестиций составляет около 2 трлн. долл. В руках этих компаний находится примерно 95% мировых патентов и лицензий.
Aктивизация деятельности ТНК, наблюдающаяся в настоящее время, придала интеграционным процессам, идущим в мировой экономике, совершенно новый импульс прежде всего потому, что их зарубежные
филиалы стремятся стать органичной частью национальных экономик принимающих стран, "внедряясь" и "врастая" в национальные рынки других стран. В США, например, 15% производства автомобилей - это продукция чисто японских или американо-японских компаний; 62% японских видеомагнитофонов и почти 70% телевизоров производится с фирменными знаками всемирно известных японских компаний далеко за пределами страны (не только в странах Юго-Восточной Азии, но и в Латинской Америке); 5% производственных мощностей Японии, 20% - США, от 30 до 40% - Западной Европы размещены за пределами национальных границ. Еще лет десять назад даже теоретически такое положение дел предсказать было невозможно.
Особенностью современной ТНК является органичное соединение национального и зарубежного комплексов корпораций в единый глобальный комплекс, где автономные центры, находящиеся в различных странах, работают в рамках единой глобальной стратегии. Другой особенностью ТНК является очень жесткая их конкуренция не только на мировых рынках товаров и услуг, но и на соответствующих рынках капитала, высококвалифицированной рабочей силы, технологии, информации и т. п.

7.3.3. Портфельные инвестиции
Под зарубежными портфельными инвестициями понимаются вложения капитала в иностранные ценные бумаги, которые, не давая инвестору права реального контроля над объектом инвестирования, обеспечивают в то же время достаточно высокую ликвидность активов. Таким образом, основной целью осуществления зарубежных портфельных инвестиций является получение максимальной прибыли от вложений при минимально допустимом уровне риска от инвестиций.
Чаще всего портфельные инвестиции рассматриваются как средство защиты денежных активов от инфляции и получения спекулятивных доходов. При этом, если портфельные инвестиции дают желаемый результат (за счет роста курсовой стоимости и выплачиваемых дивидендов), то ни отрасли, ни типы ценных бумаг не имеют для спекулянта принципиального значения.
Особенно выросли объемы международных портфельных инвестиций за последние двадцать лет. Если в середине 80-х годов международные операции с ценными бумагами составляли не более 10% ВНП в наиболее развитых странах мира, то к середине 90-х годов их объемы возросли до 100% и более от ВНП этих стран. Отметим при этом, что более 90% портфельных зарубежных инвестиций осуществляются между развитыми странами и растут темпами, значительно опережающими прямые инвестиции.
При формировании портфеля инвестиций инвестор должен, очевидно, владеть аппаратом оценки его качества, которое определяется уровнем доходности и степени риска портфеля.
Доходность портфеля. Предположим, что инвесторы измеряют свои доходы от ценных бумаг в виде процента от величины первоначальных затрат. Тогда ожидаемая доходность (норма прибыли) i-й ценной бумаги может быть определена по формуле


ri =
Ri - Ii
100
Ii

где ri- - норма прибыли на i-ю бумагу, %; Ri - прогноз будущей рыночной стоимости ценной бумаги в конце анализируемого периода с учетом дивидендов; Ii - размер первоначальных инвестиций.
Ожидаемая доходность портфеля в этом случае может быть рассчитана как средневзвешенная величина из индивидуальных оценок доходности входящих в портфель ценных бумаг (активов):


n
rp = rifi
i = 1

где rp - ожидаемая доходность портфеля; fi - доля затрат, инвестируемых в i-ю ценную бумагу; п - число ценных бумаг (активов) в портфеле.
Проиллюстрируем расчет ожидаемой доходности инвестиционного портфеля, используя для этого данные табл. 7.4.
Предположим, что ожидаемая доходность ценных бумаг, входящих в портфель, составит: А - 16,2%; В - 24,6%; С - 22,8%. Тогда


3
rp = rifi=16,2
i = 1


4000
17200
+24,6

7000
17200
+22,8

6200
17200
=22%
Таблица 7.4. Портфель ценных бумаг

Ценные бумаги
Количество ценных бумаг в портфеле
Начальная рыночная цена одной ценной бумаги , ден. ед.
Сумма инвестиций, ден. ед.
А
100
40
4000
В
200
35
7000
С
100
62
6200
Начальная стоимость портфеля, ден. ед.
17200
Из приведенного расчета следует, что инвестор, поставивший перед собой цель - максимизацию доходности, - должен, казалось бы, включить в свой портфель только один вид актива, характеризующийся наивысшей эффективностью (в нашем примере - ценные бумаги В). Однако такой экстремальный подход, совершенно игнорирующий аргумент (показатель) риска, вряд ли можно считать практически приемлемым, так как в реальной действительности наблюдается закономерность роста степени рискованности ценных бумаг с возрастанием их доходности (т. е. имеет место прямая зависимость между этими двумя характеристиками ценных бумаг). Поэтому большинство инвесторов стремятся диверсифицировать свой портфель (не складывать яйца в одну корзину), снижая тем самым риск от потери своих средств при осуществлении портфельных инвестиций.
В качестве показателя степени риска портфельных инвестиций в теории портфеля используется среднее квадратическое отклонение. Для портфеля, состоящего из трех ценных бумаг, формула для расчета среднего квадратического отклонения доходности имеет вид:


Портфельные инвестиции

где ij - коэффициент ковариации1 доходностей ценных бумаг i и j.
При осуществлении практических расчетов соответствующие коэффициенты ковариации целесообразно записывать в виде ковариационной матрицы, которая для рассматриваемого нами примера имеет вид (на главной диагонали матрицы располагаются дисперсии доходности ценных бумаг):

Портфельные инвестиции

160
Располагая теперь необходимой информацией, рассчитаем степень риска, для рассматриваемого инвестиционного портфеля:

Портфельные инвестиции

[( 11f1f1+ 12f1f2+ 13f1f3) + ( 21f2f1+ 22f2f2+ 23f2f3) + ( 31f3f1+ 32f3f2+ 33f3f3)]1/2 =
= [(146 0,2325 0,2325 + 187 0,2325 0,4070 + 145 0,2325 0,3605) + (187 0,4070 0,2325 + 854
0,4070 0,4070 + 104 0,4070 + 289 0,3605 0,3605)]1/2 = [227,13]1/2 = 16,65(%)
Оптимизация инвестиционного портфеля. Ожидаемая доходность, и степень риска, рассчитанные для каждого портфеля, позволяют, основываясь на соотношении этих двух параметров, выбрать предпочтительный из анализируемых портфелей.
Проанализируем эту непростую проблему при помощи графической модели, представленной на рис. 7.6.

Портфельные инвестиции

Рис. 7.6. Выбор инвестиционного портфеля
По отношению к представленным на рис. 7.6 инвестиционным портфелям могут быть сделаны следующие выводы:
161
1) портфель L предпочтительнее портфеля М, поскольку оба обладают одинаковой ожидаемой доходностью (rLP = rMP), но портфель L менее рискован, чем М ( LP MP);
2) портфель N является предпочтительнее портфеля М, так как MP = NP, но rNP rMP;
3) те портфели ценных бумаг, которые располагаются в квадранте IV, следует рассматривать как предпочтительные по отношению к портфелю М;
4) те портфели, которые находятся ниже и правее точки М, т. е. в квадранте IV, необходимо рассматривать с точки зрения инвесторов как менее привлекательные нежели портфель М;
5) выбор между портфелями, расположенными в квадрантах I и III, будет зависеть от мнения инвестора относительно доходности и риска с точки зрения допустимого компромисса между этими показателями. Этот компромисс количественно может быть измерен как отношение, показывающее, на какую величину дополнительного риска согласен инвестор за получение дополнительной единицы ожидаемого дохода.
Кривые безразличия. Отношение инвестора к риску и доходности графически может быть представлено с помощью кривых безразличия на двумерном графике, где по оси абсцисс откладывается степень риска ( р), а по оси ординат - доходность портфеля (rp) (рис. 7.7).
Дадим краткие пояснения к рис. 7.7.
1. Инвестор, предпочтения которого представлены на графике а, рассматривает все портфели, характеризующиеся одинаковой степенью риска, как эквивалентные независимо от доходности, которую они обеспечивают. Принимая во внимание, что данного инвестора интересует только риск (точнее, минимизация его), можно сделать вывод: любой инвестиционный портфель, лежащий на кривой безразличия, которая проходит левее других, является более привлекательным по отношению к портфелям, расположенным на кривых безразличия, расположенных правее.
2. Инвестор, интересы которого представлены на графике б, нейтрален к риску; он воспринимает риск как данность и для любой его степени выбирает портфель, максимизирующий доходность.



Последствия вступления страны в таможенный союз:


е. точке А. При этом равновесная цена установится на уровне Р1 а общий объем импорта в страну составит веSичину Q1. Однако, как это следует из рассматриваемой графической модели, кривая предельных издержек импорта МС проходит выше соответствующей ей кривой предложения. Это объясняется тем, что в силу существующей монопсонии страны-импортера приобретение каждой дополнительной единицы импортной продукции ведет к повышению ее цены. Следовательно, рассматриваемая страна будет максимизировать свой выигрыш, приносимый ей внешней торговлей, в точке С - точке
пересечения кривой спроса и кривой предельных издержек МС, импортируя при этом товары в объеме Q2.

Последствия вступления страны в таможенный союз:

Рис. 5.3. Тариф в условиях монопсонии
Для того чтобы сократить объем потребления (импорта) до уровня Q2, правительство страны может ввести импортную пошлину, равную по величине разности (Р3 - Р2). Импортер, таким образом, будет реализовывать свой товар по цене Р2, потребители будут покупать его по цене Р3 величина (Р3 - Р2) с каждой единицы продукции будет поступать в доход государства.

5.2.7. Тариф и таможенные союзы
До сих пор мы рассматривали "общие" торговые барьеры, когда обложению налогом или ограничению импорта подвергались все товары вне зависимости от страны, в которой они производились. Однако некоторые импортные барьеры могут носить дискриминационный характер, поскольку облагают налогом товары из одних стран в большей степени, чем из других. Такая ситуация имеет место, например, внутри любого таможенного союза.
При организации таможенных союзов возникает необходимость ответа на следующий вопрос: если исходной является ситуация, при которой весь импорт независимо от его происхождения облагается одинаковой ставкой тарифа, то каким будет выигрыш или потеря от снятия торговых барьеров только между некоторыми странами? Иными словами, что происходит при образовании таможенного союза? Оказывается,
что создание таможенного союза может как улучшить, так и ухудшить положение дискриминирующей страны и всего мирового хозяйства.
Влияние упразднения торговых барьеров между партнерами представлено на рис. 5.4, который является графической моделью последствий присоединения Великобритании к Европейскому экономическому сообществу, представляющему собой таможенный союз стран Западной Европы.

Последствия вступления страны в таможенный союз:

Рис. 5.4. Последствия вступления страны в таможенный союз:
а - до образования таможенного союза; б - после образования таможенного союза
В целях упрощения анализа предположим, что все кривые предложения абсолютно эластичны. При отсутствии тарифов самыми дешевыми для Великобритании оказались бы, естественно, японские автомобили по цене P1 = 3000 фунтов стерлингов. Следом за ними, по цене Р2 = 3400 фунтов стерлингов, расположились бы германские машины.
В условиях свободной торговли Великобритания стала бы импортировать автомобили только из Японии. Точка С определяла бы в этом случае условия (параметры) равновесия объема спроса и объема предложения. Однако до присоединения Великобритании к таможенному союзу в рамках Европейского экономического сообщества (левая модель рис.
5.4) в ней действовали торговые ограничения в отношении импорта автомобилей. Предположим, что тариф был специфическим и единым для всех иностранных поставщиков - 1000 фунтов стерлингов, что повышало внутреннюю цену импортных японских автомобилей
с 3000 до 4000 фунтов стерлингов. Никто при этом в Великобритании не стал бы покупать германские автомобили, поскольку они обошлись бы в 4400 фунтов стерлингов. Таким образом, отправным пунктом наших рассуждений становится точка А, в которой Великобритания получает в качестве тарифных сборов доход в размере, соответствующем площади прямоугольника P1P3AF.
Излишек потребителей, оставшийся в их распоряжении, будет соответствовать площади треугольника P3GA.
Общий выигрыш Великобритании (в лице государства и собственно потребителей) будет соответствовать площади фигуры P1GAF.
Теперь предположим, что Великобритания вступает в Европейское экономическое сообщество, упраздняя все тарифы на ввоз автомобилей из стран-партнеров, в то же время оставляя их на прежнем уровне в отношении импорта из третьих стран (правая модель рис. 5.4).
Германские автомобили будут теперь стоить в Великобритании 3400 фунтов стерлингов, т. е. на 1000 фунтов стерлингов дешевле, чем до вступления Великобритании в таможенный союз. Таким образом, они станут самыми доступными по цене из всех импортных автомобилей.
Британские потребители, видя, что цены на автомобили упали с 4000 до 3400 фунтов стерлингов, увеличат объем спроса (покупок) теперь уже германских автомобилей до уровня, соответствующего точке В, т. е. до М1.
Потребительский выигрыш после вступления Великобритании в таможенный союз составит, таким образом, величину, эквивалентную площади треугольника P2GB. Однако британское правительство в этом случае никаких поступлений в госбюджет не получит.
Если сопоставить обе рассмотренные модели, то легко убедиться в том, что после вступления Великобритании в таможенный союз доход ее увеличился (по сравнению с соответствующим доходом до вступления в союз) на величину ЕАВ (+) и уменьшился на величину Р1P3ЕF (-).
Исследуя рассмотренные выше модели, можно определить условия, при которых общий выигрыш от таможенного союза превышает убытки. Выигрыш оказывается тем выше, чем:
эластичнее кривая импортного спроса;
больше разница между издержками отечественного производства и издержками страны-партнера (то есть между их кривыми предложения);
меньше разница между издержками производства страны-партнера и издержками производства третьей страны.
Таким образом, наилучшие условия для увеличения объема торговли возникают при высокоэластичном спросе на импорт и наличии в одной из стран - партнеров по таможенному союзу издержек производства, приближающихся к мировому уровню. И наоборот, наименее эффективным будет присоединение к таможенному союзу в случае неэластичного спроса и высоких издержек производства во всех странах-партнерах.

5.2.8. Неэкономические доводы в пользу тарифа
Следующая группа аргументов в пользу тарифного протекционизма связана со стремлением государства к достижению "неэкономических" целей (политических, культурных, социологических и др.). Здесь приходится иметь дело с вопросами, обычно остающимися за пределами традиционного экономического анализа.
Среди них чаще всего выделяют следующие три немеркантильные цели:
национальный престиж;
перераспределение доходов;
национальную оборону (защиту).
Целые нации, как и отдельные личности, нуждаются порой в своего рода символике и осознании того, что некоторая продукция производится в данной стране. И если достижение этой цели невозможно без ограничений во внешней торговле, государство может установить на ввоз ее в страну из-за рубежа соответствующие таможенные пошлины.
Следующей неэкономической целью торговой политики можно считать перераспределение доходов внутри страны. В частности, необходимость тарифа может быть обоснована тем, что он обеспечивает большую степень защиты какой-либо обделенной группы населения пусть даже за счет уменьшения общего размера "пирога", подлежащего дележу.
Сильнейшим доводом сторонников протекционизма является тезис о необходимости обеспечения достаточного уровня национальной безопасности страны в случае возникновения острых осложнений между государствами, от которых, как показывает всемирная история, никто не застрахован. Если игнорировать этот аргумент, то в мирное время в мировом хозяйстве может сформироваться такая структура международной специализации, в соответствии с которой некоторым странам будет экономически невыгодно производить стратегическую продукцию. К стратегической, в частности, относят продукцию, которая может быть использована (или имеет очень большое значение) в условию: военного времени. Если такие страны будут вовлечены в военный
конфликт, тем более со странами, производящими стратегическую продукцию, их национальной безопасности может быть нанесен очень большой ущерб.
Кстати, даже А.Смит - первый идеолог свободной торговли - отказался от своих обычно беспощадных нападок на торговые барьеры и сам лично санкционировал запретительные законы в отношении кораблестроения и прочих стратегических производств. В этом случае, считал А.Смит, национальная оборона имеет большее значение, чем национальное богатство.
Очень весомым аргументом в пользу сохранения протекционистской защиты производства, связанного с обороноспособностью, выступает необходимость поддержания определенного объема производства и сохранения квалификационных навыков, знаний и опыта для выпуска конкурентных товаров (которые в противном случае могут быть просто потеряны, а воссоздание их обошлось бы стране слишком дорого). Противостоять этому могут только разработка и реализация отраслевой стратегии развития, ориентированной на создание независимого от мировой экономики многопрофильного (диверсифицированного) национального хозяйства.
Рассмотренный выше перечень как экономических, так и неэкономических аргументов, используемых для обоснования протекционистской политики, можно было бы продолжить.Сюда можно отнести, например, доводы в пользу сохранения стабильности национальной валюты, обеспечения баланса между объемами экспорта и импорта и т.д.
При принятии конкретного решения о необходимости введения той или иной протекционистской меры всегда необходимо обосновать: представляет ли она наиболее эффективное средство для достижения данной цели, нет ли других альтернативных методов ее реализации, имея в виду, что общее благосостояние страны оказывается более высоким не за счет введения внешнеторговых ограничений, а в условиях свободной торговли.
В то же время еще раз подчеркнем, что в реальной действительности идея свободной торговли поддерживается лишь в уставах международных организаций и в учебниках по международной экономике. Существование противодействующих друг другу государств ставит перед национальными правительствами задачу обеспечения собственных национальных интересов, в том числе и за счет протекционистских мер. Практически любая страна мира применяет в настоящее время те или иные торговые ограничения.
Публикуемый ежегодно Международным валютным фондом перечень таких ограничений занимает десятки страниц.





Потенциальная монополия и квота


Максимум прибыли монополиста определяется, как известно, координатами точки равновесия Е, в которой кривая предельного дохода MR' пересекается с кривой предельных издержек МС. Это P1 и Qi на рис. 6.3.
Потенциальная монополия и квота

Рис. 6.3. Потенциальная монополия и квота
Таким образом, при замене пошлины квотой монополист получает возможность сократить объем производства и поднять цену на свою продукцию. В этом случае переход от пошлины к квоте превращает потенциального монополиста в действующего.
Существуют и другие, возможно, менее важные различия между импортной квотой и импортной пошлиной, в частности, в разной силе
ограничительного воздействия, которое тариф и квота оказывают на объем импорта в условиях изменения спроса или предложения товара. На рис. 6.4 приводится графическая модель, иллюстрирующая это отличие.

Потенциальная монополия и квота

Рис. 6.4. Анализ силы ограничительного воздействия
на импорт при росте спроса:
а - пошлина; б - квота
Из приведенной графической модели следует, что для эквивалентных тарифа и квоты рост внутреннего спроса на товар от DBH до D'вп будет иметь различные последствия. В случае использования пошлины при росте спроса на товар (DВН > D'ВН) возрастает объем импорта данного товара в страну (на величину Q4Q5) при неизменном уровне внутренней цены Pt. В случае же использования квоты объем импорта в страну остается, естественно, прежним (Q3Q4 = Q5Q6), а внутренняя цена возрастает до уровня P'g.
Анализ силы ограничительного воздействия на импорт в условиях снижения внутреннего предложения читателям предлагается осуществить самостоятельно.
Квоты на экспорт. Страна может использовать свою монополистическую силу во внешней торговле, осуществляя прямой контроль объема (количества) экспорта. Для практической реализации этой цели правительство использует лицензии на экспорт, распределение которых осуществляется аналогично распределению лицензий на импорт.
Как и экспортная пошлина, рассмотренная ранее, экспортная квота вызывает рост цены товара на зарубежных рынках и снижение - на внутреннем.
В результате создаются условия для обеспечения отечественных потребителей достаточными запасами товаров по относительно низким ценам, предупреждения истощения природных ресурсов, а также для повышения цен на экспорт путем ограничения поставок на зарубежные рынки.
"Добровольное" ограничение экспорта. В некоторых случаях импортирующая страна, используя "аргумент" угрозы введения импортной пошлины или квоты, "убеждает" зарубежные страны "добровольно" сократить объемы их экспорта. Эта парадоксальная ситуация сочетает обычно лоббистское давление отечественных производителей соответствующих товаров с желанием правительства импортирующей страны скрыть от общественности свои протекционистские цели.
Последствия таких "добровольных" экспортных ограничений сказываются на благосостоянии импортирующих стран весьма негативно, в то время как "добровольные экспортеры" имеют существенный экономический выигрыш от квотирования импорта.
Действительно, весь перераспределяемый излишек потребителей "улавливается" в данном случае не отечественными импортерами, а зарубежными экспортерами, которые получают возможность повышать цену на свою продукцию. Таким образом, для импортирующей страны "добровольное" ограничение экспорта экспортирующей страной означает наряду с невосполнимыми потерями (см. фигуры 2 и 4 на рис. 4.1) полную потерю результатов эффекта дохода, соответствующего площади прямоугольника 3 на том же рисунке.
Кроме того, необходимо иметь в виду, что "добровольные" ограничения не всегда срабатывают: экспортирующие страны зачастую находят обходные пути. Вот некоторые из них.
1. Переключение на категории товаров, не подвергающиеся ограничениям. Например, Южная Корея в конце 70-х - начале 80-х годов XX в. добровольно согласилась ограничить свой экспорт нерезиновой обуви в США. Переключением на обувь с резиновой подошвой она фактически смогла увеличить объем экспорта обуви в США на 115% в течение первого же года действия этого ограничения.
В дополнение к этому в течение того же периода экспортеры обуви из "неохваченных" "добровольными" ограничениями стран увеличили свою долю на американских рынках с 4% до 15%.
2. Образование предприятий за границей. Например, если "добровольные" экспортные ограничения экспорта японских автомобилей в США отвлекают их потенциальных покупателей в сторону производителей легковых автомашин в других странах, японские фирмы строят заводы за границей (в том числе и в США), избегая тем самым ограничений на экспорт своей продукции.


1 World Trade Organization (WTO).
1 Пошлина в данной модели рассматривается исключительно в целях сопоставительного анализа пошлины и квоты.

6.2
Финансовые методы внешнеторговой
политики
Помимо защиты внутреннего рынка от зарубежного импорта с помощью количественных нетарифных методов в практике международного товарообмена достаточно широко используются также методы, которые условно можно обобщить в группу финансовых. К ним в первую очередь должны быть отнесены: субсидии и демпинг.
6.2.1. Субсидии
Под субсидией в самом общем случае понимается денежная выплата из госбюджета, направленная на поддержку отечественных производителей и косвенную дискриминацию импорта. Субсидия - это, по существу, отрицательная пошлина, поэтому подробный анализ государственных субсидий был бы, очевидно, излишним. Дадим лишь краткую их характеристику.
Прежде всего отметим, что субсидии могут предоставляться как производителям товаров, конкурирующих с импортом, так и производителям товаров, которые поставляются на экспорт. В первом случае они называются внутренними, во втором - экспортными.
Рассмотрим сначала модель, иллюстрирующую последствия от использования внутренних субсидий (рис. 6.5).
В условиях свободной торговли (до введения субсидии) объем отечественного производства составлял Q1, объем потребления - Q3, объем импорта (Q3 - Q1).
В условиях субсидии, защищающей отечественных производителей, конкурирующих с импортом, объем внутреннего производства возрастает до Q2, объем потребления остается на прежнем уровне Q3 (поскольку потребители покупают товар по прежней мировой цене PW), а объем импорта, естественно, снижается до (Q3 - Q2), т. е. на величину прироста объемов внутреннего производства (Q2 - Q1).
Производители отечественной продукции получают при продаже каждой ее единицы цену Ps, складывающуюся из цены Pw, которую платит покупатель, и субсидии, получаемой от правительства (S = Ps-Pw). Расходы правительства при этом, оплачиваемые, кстати, налогоплательщиками страны, составят величину, соответствующую сумме площадей фигур 1 и 2.
Часть субсидии, соответствующая площади фигуры 1, перераспределяется в пользу наиболее эффективных отечественных производителей


Потенциальная монополия и квота

Рис. 6.5. Последствия введения внутренней субсидии:
SBH - внутреннее предложение товара; SSBH - внутреннее предложение товара в условиях внутренней субсидии; SW - абсолютно эластичное предложение товара по мировой цене DBH -
спрос в стране на данный товар
данного товара. Другая же ее часть, соответствующая площади треугольника 2, - это чистые потери экономики страны, обусловленные тем, что в результате получения субсидии определенная часть неэффективно работающих отечественных производителей (по сравнению с мировым уровнем производства) получает возможность продавать свой товар.
Подчеркнем, что достоинством такого субсидирования является достижение той же цели - ограничение импорта, - что и для случаев использования тарифов и квот, но без искажения внутренних цен, свойственного последним.
Это обусловливает исключение действия потребительского эффекта, имеющего место при использовании как тарифов, так и квот (см. фигуру 4 на соответствующих графических моделях, например 4.1) и ведет к повышению (по отношению к тарифу и квоте) эффективности мирового производства данного товара.
А теперь перейдем к анализу экономических последствий от использования экспортной субсидии1, предусматривающей выплаты отечественным экспортерам, что позволяет им продавать товар иностранным
покупателям по более низкой цене, форсируя тем самым экспорт (рис. 6.6).
В условиях равновесия при свободной торговле между странами покупатели в импортирующей стране купят Q1 единиц импортного товара по свободной (мировой) цене Pw. Если экспортирующая страна предоставит своим производителям экспортную субсидию на данный товар, те смогут снизить экспортную цену для любого объема предложения на величину субсидии S, что позволит им увеличить предложение своего товара до SSW, а объем экспорта - до Q2.

Потенциальная монополия и квота

Рис. 6.6. Последствия введения экспортной субсидии:
SW - предложение импортного товара из-за рубежа; SSW - предложение импортного товара в условиях введенной в зарубежной стране экспортной субсидии; DИМПВН - спрос на импортный товар
внутри импортирующей страны
Объем субсидии при этом определяется площадью прямоугольника PsPAAE1. Результат же введения экспортной субсидии зависит от того, удастся ли экспортирующей стране за счет увеличения объема продаж своего товара компенсировать потери из-за ухудшения условий торговли (снижения экспортной цены), а также расходов на финансирование самой субсидии.



Потокообразующий эффект


Более реальна, конечно, ситуация, когда и до образования интеграционной группировки одна страна импортирует определенное количество товара из другой страны - будущего партнера (в нашем примере Франция из Германии). В этом случае после их объединения в рамках ЕС поток экспорта товара X из Германии во Францию существенно усилится.
Однако и в том, и в другом случаях вызванное вступлением в торгово-экономический союз снятие торговых барьеров представляет возможность для развития большей специализации в соответствии с принципом сравнительных преимуществ. В результате вместо того, чтобы затрачивать относительно большие средства на производство того или иного товара отечественными фирмами, его можно теперь импортировать по сравнительно низким ценам, развивая в стране те отрасли промышленности, по которым она имеет сравнительные преимущества.
Пример потокоотклоняющего эффекта. Предположим теперь, что перед образованием ЕС Франция импортировала товар Y из США, которые производили этот товар с наименьшими издержками в мире. После образования сообщества и последующего упразднения тарифов на торговлю внутри сообщества Франция обнаружила, что данный товар выгоднее импортировать из Германии, потому что на импорт из Германии нет пошлины.
Германия, таким образом, отвлекла (отклонила) на себя импорт товара Y для Франции. В результате снижается эффективность использования ресурсов в мирохозяйственной системе.
Суть потокообразующего и потокоотклоняющего эффектов целесообразно рассмотреть на числовых примерах.
Рассмотрим три страны: А - собственная страна; В - страна - партнер по интеграционному союзу; С - страна, представляющая весь остальной мир.
Предположим при этом, что каждая страна производит товар X по постоянной средней стоимости (табл. 8.2.).
В условиях свободной торговли страна С будет экспортировать товар X в обе страны: А и В (30 40, 30 50). Предположим далее, что страна А облагает единым 100-процентным стоимостным тарифом весь импорт в страну (гр. 3 табл. 8.2).
Если стоимость производства данного товара в стране А остается на прежнем уровне (50 долл.), она будет производить товар в этих условиях на внутреннем рынке, так как 50 80 и 50 60.
Таблица 8.2.Потокообразующий эффект

Страна
Средняя стоимость производства, долл.
А облагает все страны 100%-ной пошлиной
А упраздняет пошлину для В, оставляя ее для страны С
1
2
3
4
А
50
50
50
В
40
80
40
С
30
60
60
Теперь объединим страны А и В в таможенный союз (гр. 4 табл. 8.2). В этом случае страна А прекращает производство товара X и импортирует его из страны В.
При помощи информации, представленной в табл. 8.3, проиллюстрируем потокоотклоняющий эффект.
Таблица 8.3. Потокоотклоняющий эффект

Страна
Средняя стоимость производства, долл.
А облагает единой 50%-ной пошлиной весь импорт
А упраздняет пошлину на импорт для В, оставляя для С
1
2
3
4
А
50
50
50
В
40
60
40
С
30
45
45
До образования таможенного союза страна А импортирует товар из страны С, так как 45 50 60 (гр. 3 табл. 8.3). После образования таможенного союза страна А импортирует товар из страны В, так как 40 45 50 (гр.
4 табл. 8.3). В результате происходит смещение производства от производителя с низкими издержками (страна
С-30 долл.) к производителю с высокими издержками (страна В - 40 долл.), что снижает эффективность использования ресурсов. Рассмотрим графическую иллюстрацию последствий действия рассматриваемых эффектов, начав с потокообразующего (рис. 8.1).

Потокообразующий эффект

Рис. 8.1. Потокообразующий эффект:
DD' - кривая внутреннего спроса на рынке A; SS' - кривая внутреннего предложения на рынке А; РР' - кривая предложения партнера (для упрощения анализа рассматривается абсолютно эластичное предложение); TT' - кривая предложения партнера с учетом таможенного тарифа
До образования таможенного союза (предположив, что средняя стоимость производства в стране С выше, чем ОР) страна А потребляет товар в объеме OQ3. Из этого объема OQ2 производилось на внутреннем рынке и Q2Q3, импортировалось из страны-партнера В.
Доход страны А, получаемый ею от взимания таможенной пошлины, равен площади прямоугольника G1F2F3G2.
Проанализируем, что происходит после образования таможенного союза и устранения таможенного тарифа в стране А.
Потребление в стране А увеличивается до OQ4, производство же на внутреннем рынке падает до уровня OQ1 импорт в страну возрастает до величины Q1Q4, а поступления в бюджет страны от таможенной пошлины прекращаются. Потребители страны А получают очевидную выгоду от упразднения тарифа в объеме, соответствующем площади фигуры PF4G2T.
Однако после упразднения тарифа страна А теряет, как уже было сказано, доход от взимания таможенной пошлины G1F2F3G2. Кроме
того, производители страны А при упразднении тарифа теряют часть прибыли в объеме, соответствующем площади фигуры PF1G1T.
Таким образом, чистая выгода страны А от упразднения тарифа будет представлена на рассматриваемой графической модели площадями двух треугольников F1F2G1 и F3F4G2.
Треугольник F1F2G1 соответствует сохраненной реальной стоимости внутреннего производства в стране А, которая была замещена импортом, и иллюстрирует производственный эффект таможенного союза. Суть его заключается в следующем.
Объем продукции Q1Q2, ранее производимой на внутреннем рынке (его полная стоимость определялась площадью фигуры Q1Q2GlF1), теперь импортируется из страны с низкими издержками производства по полной стоимости, определяемой площадью фигуры Q1Q2F2F1. Очевидно при этом, что площадь треугольника F1F2G1 представляет собой для страны А чистую выгоду производственного эффекта.
Треугольник F3F4G2 характеризует чистую выгоду страны А, обусловленную ростом объема потребления продукции в условиях упразднения тарифа. Это потребительский эффект.
Общая чистая выгода страны А - как результат действия потоко-образующего эффекта организации таможенного союза - соответствует суммарной площади треугольников FlF2Gl и F3F4G2. Ее объем определяется тремя параметрами:
величиной исходной таможенной пошлины;
эластичностью предложения в производственной точке G1 до образования таможенного союза;
эластичностью спроса в производственной точке G2 до образования союза.
Графическая модель, иллюстрирующая действие потокоотклоняющего эффекта при создании таможенного союза, приведена на рис. 8.2.
Предположим, что средняя стоимость производства какого-либо товара в стране С ниже, чем в стране В: ОС ОB.
Прибавляя пошлину (тариф) страны А к графику функции предложения страны С, получим график предложения страны С с учетом пошлины, установленной в стране А на данный товар, импортируемый из-за границы1.
Очевидно с учетом вышесказанного, что до образования таможенного союза страна А потребляла данный товар в объеме OQ3 из которого OQ2 производила на внутреннем рынке и Q2Q3 импортировала из страны С. Доход страны А от взимаемой при этом таможенной пошлины
соответствовал площади прямоугольника G1H1H2G2 на рассматриваемой графической модели (3+5).
После образования таможенного союза и упразднения пошлины на импорт из страны В стране А становится выгоднее импортировать данный

Потокообразующий эффект

Рис. 8.2. Потокоотклоняющий эффект:
DD' - кривая внутреннего спроса на рынке страны A; SS' - кривая внутреннего предложения на рынке страны А; ВВ' - кривая предложения страны В (партнера); СС - кривая предложения страны С (остального мира)#
товар из страны В (ОВ ОТ)1. Потребление в стране А возрастает при этом до уровня OQ1. Производство на внутреннем рынке падает до объема OQ1.
Импорт в страну А возрастает до величины Q1Q4 (за счет снижения производства на внутреннем рынке - на Q1Q2, за счет увеличения внутреннего потребления - на Q3Q4).
При вступлении в таможенный союз страна А теряет доход от получения таможенной пошлины в объеме, соответствующем площади прямоугольника G1H1H2G2 (3+5).
Кто же в этой ситуации выиграл, а кто проиграл?
Потребительский излишек возрос на величину, соответствующую площади фигуры TBF4G2, представляющей сумму площадей (1+2+3+4).
В то же время производители страны А в итоге лишились части своей прибыли, равной площади фигуры TBF4G2 (1); потери правительства
страны А равняются, как уже было отмечено выше, площади (3+5).
Итак, суммарный итог выглядит следующим образом: (1+2+3+4) - (1+3+5) = (2+4) - 5.
Иными словами, все зависит от соотношения площадей (2+4) и 5.
Если сумма (2+4) 5, то потокоотклоняющий эффект обусловливает чистую общественную выгоду для страны А. Если же (2+4) 5, потокоотклоняющий эффект ведет к чистым общественным убыткам.
Определим с учетом вышесказанного, что означают треугольники F1F2G1 (2) и F3F4G2 (4), а также прямоугольник F2H1H2F3 (5).
Прямоугольник F2H1H2F3 (5) представляет чистый убыток от перевода исходного количества импорта (Q2Q3) из страны с низкими производственными издержками С в страну В с высокими издержками.
Треугольники F1F2Gl (2) и F3F4G2 (4) представляют два позитивных результата. Треугольник F1F2G1 представляет собой производственную прибыль, обусловленную перемещением производства товара в объеме Q1Q2 из страны А (с общими затратами на производство этого количества продукции F1Q1Q2G1) в страну В (с соответствующими затратами F1Q1Q2F2).



Расчет форвардного курса


Расчет форвардного курса основан на паритете процентных ставок: инвестор должен получать одинаковый доход от размещения средств под процент без риска как в национальной, так и иностранной валюте.
Допустим, что курс спот рубля к доллару (прямая котировка) равен 1 долл. = S руб., процентная ставка без риска по рублевому депозиту составляет iруб, а по долларовому - iдолл. Инвестор планирует разместить средства на депозите на время t Перед ним два варианта:
1) разместить сумму S на рублевом депозите и получить по завершении периода t средства в размере:


S (1+iруб.
t
) руб.
360

2) конвертировать сумму S, эквивалентную 1 долл., разместив этот доллар под ставку iдолл на период t, и по его завершении вновь обменять


(1+iдолл.
t
) долл.
360

на рубли по некоторому форвардному курсу F.
Оба варианта должны принести инвестору одинаковый результат. В противном случае возникнет возможность совершить арбитражную операцию. Поэтому можно записать, что


S (1+iруб.
t
) =F (1+iдолл.
t
)
360
360

Отсюда


F =
1+iруб. (t/360)
S
1+iдолл. (t/360)

Пример. Курс рубля равен 50 руб./долл., стайка без риска на шесть месяцев по рублевому депозиту - 8%, по долларовому - 12%.
Требуется определить шестимесячный форвардный курс рубля (доллара).

Он равен
Расчет форвардного курса

Что касается валютных операций по срочным контрактам, то различают три категории их участников: хеджеры, спекулянты и арбитражеры.
Хеджеры стремятся уменьшить риски, связанные с валютными сделками, осуществляя для этого страхование (хеджирование) валютного риска путем создания встречных требований и обязательств в иностранной валюте. Далее будет рассмотрен пример, иллюстрирующий такую процедуру хеджирования.
Спекулянты являют собой полную противоположность хеджерам: в то время как хеджирование означает некоторое действие, направленное на уменьшение обменного риска, спекуляция подразумевает умышленное принятие обменного риска на себя с целью получения прибыли. Например, если ожидается падение курса валюты, спекулянты-понижатели ("медведи") начинают продавать ее по существенному в данный момент срочному (форвардному или фьючерсному) курсу с тем, чтобы поставить покупателям эту валюту в будущем, приобретя ее на спотовом рынке по более низкому курсу, получив таким образом прибыль в виде соответствующей курсовой разницы. Если ожидается повышение курса, спекулянты-повышатели ("быки") скупают валюту на срок в надежде при его наступлении получить ее от продавца по курсу, зафиксированному в момент сделки, и продать эту валюту по более высокому текущему спот-курсу.
Основное отличие валютного арбитражера от обычного валютного спекулянта заключается в том, что арбитражер ориентируется на краткосрочный характер операции, пытаясь предугадать колебание курсов в короткий промежуток времени между сделками. Сделать это можно, как правило, со значительно меньшим риском нежели в случае с долгосрочным валютным контрактом. Правда, и в этом случае дилер должен очень хорошо знать рынок и уметь прогнозировать результаты деятельности других банков, наблюдать за движением валютных курсов с целью определения изменения тенденций в их колебаниях.
Одним из наиболее традиционных хеджевых инструментов на различных рынках являются несомненно, форвардные соглашения. На международном валютном рынке они особенно широко используются. Проиллюстрируем механизм хеджирования валютного риска с помощью форвардного соглашения на условном примере.
Пример. Предположим, что российская экспортная фирма заключила контракт на поставку продукции в США общей стоимостью 1 млн. долл. Валютный курс спот на момент заключения соглашения составляет 50 руб./долл., а курс форвард на 6 месяцев - 49 руб./долл.
В соответствии с условиями контракта фирма-покупатель обязана осуществить платеж за поставленный товар в размере 1 млн. долл. через шесть месяцев после подписания соглашения.
Представим, что валютный курс спот через шесть месяцев составит 45 руб./долл.
Алгоритм хеджирования валютного риска при помощи форвардного соглашения может быть следующим.
В день подписания контракта со своим американским контрагентом российская фирма заключает форвардное соглашение с коммерческим банком на продажу ему через шесть месяцев 1 млн. долл. по курсу 49 руб./долл.
По прошествии шести месяцев российская фирма получает от своего американского контрагента платеж в размере 1 млн. долл. и продает полученную валюту в соответствии с форвардным соглашением коммерческому банку по заранее установленному курсу. Доход (выручка) фирмы составит 49 млн. руб.
Очевидно, что, если бы фирма не заключила подобного форвардного соглашения, через шесть месяцев она получила бы только 45 млн. руб. (с учетом нового курса спот - 45 руб./долл.). Таким образом, форвардное соглашение позволило фирме избежать потерь в размере 4 млн. руб.
Принципиальная схема хеджирования валютной сделки с помощью форвардного соглашения представлена на рис. 9.4.

Расчет форвардного курса

Рис. 9.4. Хеджирование валютного риска при помощи
форвардного соглашения
С расширением масштабов биржевой торговли валютами в качестве хеджевого инструмента все чаще начинают использоваться фьючерсы. Отметим при этом, что суть операции хеджирования с использованием фьючерсного соглашения практически не отличается от страхования валютных рисков с помощью форвардного хеджирования.
Опционная сделка. Относительно новый инструмент хеджирования представляют собой сделки с опционами. Под опционом понимается соглашение сторон, по которому одна из сторон за специальное
денежное вознаграждение (премию) противоположной стороне получает право (но не обязанность) продать или купить валюту в течение определенного срока в будущем, а другая сторона обязуется реализовать указанное право.
Очевидно, что если рыночная конъюнктура будет неблагоприятной для реализации опциона, его покупатель просто не воспользуется своим правом. Указанная характеристика опциона коренным образом отличает его от форвардных соглашений и фьючерсов. Однако за получение соответствующего права покупатель вынужден заплатить продавцу специальное вознаграждение (в среднем до 5% от размера сделки), что является компенсацией продавцу за возможный срыв сделки.
С точки зрения сроков исполнения, опционы подразделяются на два типа: американский и европейский. Американский опцион может быть исполнен в любой день до истечения срока действия контракта; европейский - только в день истечения срока контракта.
Существует два вида опционов: опцион на покупку, или опцион колл; и опцион на продажу или опцион пут. Опцион колл дает право держателю опциона купить или отказаться от покупки базового актива (например, валюты). Опцион пут дает право держателю опциона продать или отказаться от продажи базового актива.
Проиллюстрируем использование инструментария опциона на рассмотренном ранее примере с российской экспортной фирмой.
Российская фирма в день подписания с американской фирмой контракта на поставку ей товара покупает у банка1 опцион на продажу 1 млн. долл. по курсу 50 руб./долл. в течение шести месяцев, уплатив при этом премию 2 млн. руб.
Предположим, как и в предыдущем примере, что по истечении шести месяцев валютный курс составит 45 руб./долл.
Российская фирма получает от американской фирмы-контрагента 1 млн. долл. и реализует свой опцион, продавая их банку по курсу опциона, получая при этом 50 млн. руб. Если из этой суммы вычесть издержки, связанные с приобретением опциона (2 млн. руб.), то получим чистый доход фирмы в объеме 48 млн. руб.
При первом рассмотрении в приведенном примере становится очевидным, что российская фирма при использовании опциона в качестве хеджевого инструмента несет издержки более высокие, чем при управлении финансовыми рисками с помощью фьючерсов или форвардных соглашений. Однако здесь необходимо обратить внимание на то, что если бы в рассматриваемом примере курс американского доллара по
истечении шести месяцев не упал, а поднялся (скажем, до 54 руб./долл.), то фирма не воспользовалась бы своим опционом, а просто продала бы банку 1 млн. долл. по текущему курсу за 54 млн. руб., получив при этом солидную прибыль.
Использование же фьючерсов и форвардных соглашений не представляет компании-хеджеру таких возможностей. Принципиальная схема опционного соглашения с целью хеджирования валютных рисков представлена на рис. 9.5.

Расчет форвардного курса

Рис. 9.5. Схема опционного хеджевого соглашения
Операции типа своп. Относительно новым инструментом управления финансовыми рисками являются валютные свопы.
Своп (англ, swap - мена, обмен) представляет собой соглашение между сторонами об обмене денежных потоков на протяжении периода времени в будущем. Потоки денежной наличности, осуществляемые сторонами по сделке своп, обычно привязаны к стоимости долговых инструментов или к стоимости разной иностранной валюты. Соответственно двумя основными видами свопов являются "процентные свопы" и "валютные свопы".
Валютный своп возникает, когда одна из сторон передает определенную основную сумму и фиксированный процент в одной валюте другой стороне в обмен на эквивалентную сумму и фиксированный
процент в другой валюте. В этом случае валютный своп включает три разных вида денежных потоков: 1) на начальной стадии свопа две стороны обмениваются денежной наличностью; 2) стороны осуществляют друг другу периодические процентные платежи на протяжении срока действия соглашения о свопе; 3) по окончании срока действия свопа стороны вновь обмениваются основной суммой.
В качестве примера предположим, что текущий курс спот обмена немецких марок на доллары США равен 2,5 марки за 1 долл.1 Предположим также, что процентная ставка в США равна 10%, а в Германии - 8%. Сторона А является владельцем 25 млн. марок и желает обменять эти марки на доллары.
Алгоритм осуществления валютного свопа в этом случае можно представить в виде схемы (рис. 9.6).

Расчет форвардного курса

Рис. 9.6. Схема валютного свопа
Операция своп может быть использована для приобретения, например, банком необходимой валюты без валютного риска для обеспечения международных расчетов или диверсификации валютных авуаров.
Операция своп активно используется также центральными банками промышленно развитых стран для временного подкрепления своих резервов в иностранной валюте, используемых для государственных валютных интервенций.
Таким образом, операции своп дают возможность получать без валютного риска необходимую валюту, компенсировать временный отлив капиталов из страны, регулировать структуру валютных резервов, в том числе официальных.
Рынок свопов используется преимущественно фирмами и финансовыми учреждениями, на нем практически нет индивидуальных участников сделок. Средний размер сделки на условии своп - 16 млн. долл.


1 Сафонов В. С. Валютный дилинг. М.: АО "Консалтбанкир", 2000.
1 Высокий уровень стандартизации фьючерсного контракта иногда может быть его недостатком. К примеру, корпорации необходимо застраховать 150 тыс. долл., а количество долларов на каждом валютном фьючерсе 100 тыс. долл. В этом случае фирма застрахует лишь 66,7% имеющейся в ее распоряжении валюты и не сможет снизить риски от изменения курса доллара до приемлемой величины.
1 Опционные операции в постоянном режиме проводятся только достаточно мощными банками; средний раздел опционной сделки составляет около 20 млн. долл.
1 Обменный курс в сделке своп - это обычно спот-курс, среднее значение между ценой продавца и покупателя.
2 "Горячими" деньгами в международной экономике называются денежные средства, передвижение которых из одной страны (валюты) в другую вызвано различием уровней процентных ставок в отдельных странах.






Распределение доходов в условиях свободной международной торговли


Однако если расценивать управленческий и иной опыт, накопленный "Боингом" и другими американскими авиастроительными фирмами, как нечто отличное от опыта, накопленного "Мицубиси" и другими японскими судостроителями, то получим объяснение этого конкретного сочетания сравнительных преимуществ в рамках теории сравнительной обеспеченности факторами производства.

1 Леонтьев В. (р. 1906 г.) - американский экономист. Разработал в 30-е годы XX в. метод экономико-математического анализа "затраты-выпуск" для изучения межотраслевых связей, структуры экономики и составления межотраслевого баланса.
Лауреат Нобелевской премии по экономике.

3.4
Распределение доходов в условиях
свободной международной торговли
Выше было показано, что в результате развития внешнеторговых отношений страны, участвующие в них, получают определенный выигрыш в виде прироста общего благосостояния. Каким же образом распределяется этот выигрыш между отдельными странами, а внутри этих стран между различными категориями населения и, в частности, между производителями и потребителями конкретного товара, участвующего в международном обмене?
Очевидно, что распределение выигрыша от международной торговли как между странами, так и внутри каждой отдельной страны в конечном итоге определяется тем, на каком уровне устанавливаются цены на товары, которыми страны торгуют между собой, и каковы объемы торговли.
Для иллюстрации вышесказанного рассмотрим условный пример, представленный на рис. 3.15.
Как следует из рис. 3.15, производство пшеницы осуществляют Россия и Канада. Цены в отсутствие внешней торговли составляют в этих странах соответственно 200 и 120 долл. за 1 т пшеницы. Существующая разница в ценах создает потенциальные возможности для экспорта (Канадой) и импорта (Россией) пшеницы. Канадским фермерам будет выгодно экспортировать зерно, если мировая цена будет превышать 120 долл. за 1 т; причем чем выше будет мировая цена, тем больше будет объем предложения зерна со стороны канадских производителей зерна при одновременном росте внутренней цены и снижении объема внутреннего спроса на пшеницу в Канаде.
Таким образом, объем экспорта (предложения) зерна на мировом рынке (Sx) будет определяться разницей между объемами предложения и спроса на внутреннем рынке Канады, возникающей в условиях роста цен на зерно: Sx = SKан - DKан (рис. 3.15, в).

Распределение доходов в условиях свободной международной торговли

Рис. 3.15. Торговля зерном между двумя странами:
а - рынок зерна в России; б - объем экспорта (импорта); в - рынок зерна Канады
Российским же потребителям будет выгодно приобретать импортное зерно, если мировая цена на него ниже автаркической (Pw 200). Чем ниже будет мировая, а следовательно, в условиях свободной торговли и внутренняя цена, тем больше будет объем спроса на пшеницу в России. Одновременно российские производители будут сокращать объем предложения.
Таким образом, объем импорта (спроса) на мировом рынке (Dм) будет определяться разницей между объемами спроса и предложения на внутреннем рынке России, возникающей в условиях падения цен на зерно: DM = DPoc - SPoc (рис. 3.15, а).
Итак, по мере налаживания торговых отношений между Россией и Канадой цена на зерно в Канаде растет и объем его предложения для продажи на внешнем рынке увеличивается, а цена в России снижается и объем спроса на импорт растет. На рис. 3.15, б показаны функции спроса на импорт и экспортного предложения, которые пересекаются в точке, соответствующей цене равновесия. В нашем примере равновесие на мировом рынке пшеницы достигается при цене 150 долл. за 1 т зерна.
При такой цене избыточный спрос в России (50 - 20 = 30) в точности соответствует избыточному предложению в Канаде (60 - 30 = 30). При более высокой цене объем предложения зерна на мировом рынке превысит объем спроса, что будет способствовать снижению цены. При более низкой цене, наоборот, объем спроса превысит объем предложения, и мировая цена будет расти, пока не достигнет равновесного значения.
Мировая торговля и интересы потребителей. Рассмотренная нами модель позволяет показать, что хотя свободная торговля является взаимовыгодной для участвующих в ней стран в целом, внутри этих
стран одни группы населения выигрывают, а другие проигрывают. Рассмотрим сначала влияние внешней торговли на интересы потребителей. До установления торговых отношений между странами покупатели зерна в России получали потребительский излишек, соответствующий площади треугольника 1 (рис. 3.15, а); для потребителей зерна в Канаде он был равен величине, соответствующей площади фигуры (6 + 7 + 9) (рис.
3.15, в).
После установления торговых отношений между двумя странами Россия становится импортером зерна и цена на ее внутреннем рынке снижается с 200 до 150 долл. за 1 т. Потребительский выигрыш России возрастает до величины, соответствующей площади (1 + 2 + 4 + 5); чистый потребительский выигрыш составит при этом величину (2 + 4 + 5).
В Канаде после вступления ее в торговые отношения наблюдается прямо противоположная картина: внутренняя цена возрастает со 120 до 150 долл. за 1 т, что приводит к падению объема внутреннего спроса на зерно. Потребительский излишек Канады сокращается до величины, соответствующей площади фигуры б, определяя тем самым чистые потери потребителей Канады в объеме (7 + 9).
Таким образом, в результате развития международной торговли потребители в стране-экспортере проигрывают, так как в результате роста цены вынуждены сокращать объем потребления. Потребители же в стране-импортере выигрывают, поскольку имеют возможность покупать большие объемы необходимого им товара по более низкой цене.
Мировая торговля и интересы производителей. Рассмотрим теперь влияние международной торговли на интересы производителей в торгующих странах. До установления внешнеторговых отношений производители в России и Канаде получали излишки производителя, равные соответственно площадям фигур (2 + 3) и (8 + 10).
После установления внешнеторговых отношений канадские производители зерна становятся экспортерами и получают дополнительные стимулы для увеличения объемов производства в виде более высоких цен и расширившихся рынков сбыта. В этих условиях их совокупный выигрыш производителей будет соответствовать площади фигуры (7 + 8 + 9 + 10 + 11), а чистый выигрыш от развития международной торговли - (7 + 9 + 11). Что касается российских производителей зерна, то они в силу меньшей конкурентоспособности своего производства уступают свои позиции на внутреннем рынке иностранным конкурентам и сокращают производство. Их совокупный выигрыш сокращается до величины, соответствующей площади фигуры 3, в результате они несут чистые потери в размере, соответствующем площади трапеции 2.
Таким образом, в результате развития международной торговли производители в импортозамещающих отраслях проигрывают, поскольку конкуренция со стороны более эффективных иностранных производителей вынуждает их снижать цены и сокращать объемы производства. А производители в экспортных отраслях выигрывают, так как, выходя на мировой рынок, они получают возможность расширить производство и продавать свою продукцию по более высоким ценам.
Чистый выигрыш стран, участвующих в международном товарообмене. Определив влияние международной торговли на интересы потребителей и производителей в отдельности, оценим изменение благосостояния в стране-экспортере и стране-импортере в целом. Для наглядности сделаем это при помощи табл.
3.12.
Таблица 3.12. Результаты участия в свободной торговле

Страна экспортер (Канада)
Страна импортер (Россия)
потребители
произвoдители
чистый выигрыш страны
потребители
производители
чистый выигрыш страны
чистый выигрыш
чистые потери
чистый выигрыш
чистые потери
чистый выигрыш
чистые потери
чистый выигрыш
чистые потери

7 + 9
7+9+11

11
2+4+5


2
4 + 5
Таким образом, анализ рассмотренной нами модели еще раз подтверждает вывод о том, что развитие международной торговли дает выигрыш всем странам. Однако если в стране-экспортере чистый выигрыш возникает в результате того, что выгоды производителей намного превосходят потери отечественных потребителей, то в стране-импортере, наоборот, общий прирост благосостояния обусловливается тем, что выгоды потребителей превосходят потери производителей продукции, конкурирующей с импортом. Этот вывод принципиально важен для объяснения причин государственного вмешательства в сферу внешнеторговых отношений.
Распределение выигрыша от международной торговли между странами. Как следует из рассматриваемой модели, размер чистого выигрыша страны-экспортера (область 11 на рис. 3.15, б) зависит от физического объема экспорта (60 - 30 = 30) и того, насколько мировая цена превышает автаркическую (150 - 120 = 30). Аналогично величина чистого выигрыша страны-импортера (область (4 + 5) на рис.
3.15, a) зависит от физического объема импорта (50 - 20 = 30) и того, насколько понизилась цена в стране (200 - 150 = 50).
Чтобы наглядно показать распределение выигрыша от торговли между странами, целесообразно использовать функции спроса (импорта) и предложения (экспорта) на мировом рынке (рис. 3.15, б).



Равновесие на рынке товаров


Весьма существенно, что именно через эту связь предложение денег влияет на национальный доход и торговое равновесие.

1 IS означает инвестиции (Investment) и сбережения (Saving).
2 LM означает ликвидность (Liquidity) и деньги (Money).

12.3.1. Равновесие на рынке товаров:
кривая IS
Опишем логику построения кривой IS, использовав в качестве основы кейнсианскую модель "доходы-расходы", сняв чрезвычайно упрощающее ее предположение фиксированного уровня планируемых инвестиций, поскольку в реальной действительности планируемые инвестиции зависят от ставки процента (i): I = I(i). На приведенной ниже графической модели эта функция представлена на рис. 12.8, а. Поскольку ставка процента представляет собой издержки получения кредита для финансирования инвестиционных проектов, рост ставки процента уменьшает объем планируемых инвестиций.
В свою очередь, сокращение планируемых инвестиций сдвигает функцию совокупных расходов вниз (рис. 12.8, б).
Сдвиг функции совокупных расходов ведет к более низкому уровню дохода. Таким образом, рост ставки процента уменьшает доход от величины Y1 до уровня Y2; а кривая IS конкретизирует важное соотношение между процентной ставкой и равновесным уровнем доходов.
В частности, кривая IS является геометрическим местом точек всех комбинаций процентной ставки i и национального дохода Y, которые держ:ат рынок товаров и услуг в равновесии, т. е. тех комбинаций i и Y, которые удовлетворяют известному нам тождеству:
I + X = S + M.
Концепция функции IS играет особую роль в макроэкономическом анализе, так как объем выпуска всегда стремится достичь какой-либо точки на соответствующей кривой, поскольку только в таких точках соблюдается условие равновесия на товарном рынке.
Чтобы лучше уяснить смысл функции IS, рассмотрим точки, не лежащие на ее графике (рис. 12.9).


Равновесие на рынке товаров

Рис. 12.8. Модель IS: равновесие на товарном рынке
Очевидно, что для точки А3, характерно превышение уровня расходов (спроса) над соответствующим уровнем выпуска (предложения) национального продукта. В точке же А4 мы имеем дело с другим видом неравновесного состояния экономической' системы - избыточным предложением товаров и услуг. Следовательно, для точек, находящихся ниже (левее) кривой IS, характерен избыточный спрос на товары и услуги, а для точек, лежащих выше (правее), - избыточное их предложение.
Если состояние экономической системы (рис. 12.9) определяется точкой A3, избыточный спрос на товарном рынке ведет к незапланированному уменьшению запасов, что предполагает рост объема выпуска и смещение точки, соответствующей текущему состоянию экономики, по направлению к линии IS.
В состоянии же экономики, соответствующей точке А4, излишек предложения ведет к незапланированному накоплению товарных запасов, в результате чего снижается объем выпуска, и экономическая система на рис. 12.9 сдвигается также по направлению к кривой IS.

Равновесие на рынке товаров

Рис. 12.9. Избыточное предложение и избыточный спрос на товарном рынке
Нетрудно убедиться также и в том, что кривая IS тем менее эластична, чем, во-первых, менее чувствительны инвестиционные расходы к изменению процентной ставки и, во-вторых, чем меньше мультипликатор расходов конкретной экономической системы.
Сдвиг кривой IS может иметь место в тех случаях, когда изменяются все другие факторы, кроме ставки процента. К таким факторам относятся:
уровень автономных потребительских расходов;
уровень государственных закупок;
чистые налоги;
изменение объемов инвестиций (при существующей ставке процента).
Проанализируем, например, эффект от изменения инвестиционных планов предпринимателей: рост оптимизма при фиксированной ставке процента. Это приведет к сдвигу кривой инвестиционного спроса Id, а значит, и к сдвигу линии совокупных расходов, вслед за чем сдвинется и кривая IS (рис. 12.10).
Рассматривая проблему макроэкономического равновесия, необходимо отметить, что функция IS, моделируя равновесие на рынке товаров, не позволяет, однако, однозначно определить единственный равновесный уровень национального производства. Несмотря на то, что


Равновесие на рынке товаров

Рис. 12.10. Сдвиг кривой IS при изменении инвестиционного спроса
функция IS показывает, к какому значению должен стремиться совокупный объем выпуска при каждом уровне процентных ставок, он не может быть определен, пока не будет известно значение самой ставки процента. Для обоснования равновесной ставки процента необходимо рассмотреть также модель денежного рынка, а затем обе модели объединить.


12.3.2. Равновесие на рынке денег: кривая LM
Рассмотрев модель равновесия на товарном рынке, обратимся теперь к рынку денег, равновесие на котором имеет место, когда спрос на деньги равен их предложению. Спрос на реальные денежные запасы (М/Р) находится, как известно, в прямой зависимости от уровня национального дохода (Y) и в обратной - от уровня процентной ставки i:
(M/P)D = LD(Y, i).
Дж. М. Кейнс предложил три мотива для хранения денег (спроса на деньги): 1) трансакционный, 2) мотив предосторожности и 3) спекулятивный.
Трансакционный мотив объясняется использованием денег как средства обмена и представляет деньги в активном обращении. Он

возникает из-за того, что экономическим субъектам обычно не нравится точная синхронизация потоков их доходов и расходов. Экономические субъекты, как правило, не оплачивают все свои счета в день зарплаты; им нужны деньги для осуществления сделок в дни, находящиеся между днями получения зарплаты. Другими словами, каждому экономическому субъекту нужны деньги для того, чтобы ликвидировать разрыв между своим потоком и потоком расходов.
Суммарный спрос на трансакционные балансы приблизительно пропорционален национальному доходу.
Мотив предосторожности на обладание деньгами происходит от неуверенности, которая существует в мире. Обычно хранение дополнительной суммы денег вместо планирования истратить последний рубль прямо перед днем получения зарплаты является мудрым предостережением, защищающим от непредвиденных событий. Предупредительные балансы помогают людям встретить непредвиденные повышения расходов, вызванные такими неблагоприятными обстоятельствами, как болезнь, поломка машины во время путешествия и другими. Кроме того, предупредительные балансы помогают людям Wолучить преимущество в непредвиденных сделках и обеспечивают другие возможности.
Совокупное количество денег, которые хранятся по мотиву предосторожности, является прямой функцией национального дохода. По этой причине мы можем объединить предупредительные балансы с трансакционными балансами, считая их сумму примерно пропорциональной национальному доходу и называя эти составляющие совокупного спроса на деньги спросом на деньги для осуществления сделок.
Спекулятивный мотив на владение деньгами также связан с неуверенностью их обладателей. Хотя наличные деньги не обеспечивают получения процентов от их хранения (под подушкой), во времена экономической неопределенности в стране деньги все же являются чрезвычайно привлекательными инвестициями. В такие времена деньги обеспечивают защиту от потерь капитала, которые могут быть вызваны неблагоприятными состояниями рынка.
Экономические субъекты держат спекулятивные балансы, потому что они не уверены в будущих ценах на ценные бумаги и также в точном знании времени, когда им нужно будет продать ценные бумаги, т. е., когда им будет нужна ликвидность. Спрос на спекулятивные балансы возрастает от страха потери капитала и находится в обратной зависимости от процентной ставки.
Осуществляя формализованное представление вышесказанного, можно записать:
(M/P)D = MtD(Y) + MaD(i),
где MtD - спрос на деньги со стороны сделок; МaD - спекулятивный спрос на деньги, или спрос на деньги со стороны активов.

Анализируя данную зависимость, достаточно просто убедиться в том, что в случае роста производства товаров и услуг в стране, а следовательно, и уровня доходов (7) возрастет спрос на деньги со стороны сделок и соответственно общий спрос на деньги. При неизменной величине денежного предложения это приведет к росту равновесной ставки процента (рис. 12.11).

Равновесие на рынке товаров

Рис. 12.11. Модель LM: равновесие на денежном рынке:
а - рынок реальных запасов денежных средств; б - кривая LM
Итак, рост уровня дохода от Y1 до Y2 (рис. 12.11, а) сдвигает кривую общего спроса на деньги вправо. Для того чтобы уравновесить рынок реальных запасов денежных средств, ставка процента должна возрасти с i1 до i2. Таким образом, более высокий доход при неизменном объеме денежного предложения ведет к более высокой ставке процента (рис. 12.11, б).
Представленная здесь кривая равновесия денежного рынка LM показьюает все возможные сочетания уровней дохода и ставки процента, при которых спрос на реальные запасы денежных средств в точности равен их предложению. Таким образом, в точках кривой LM денежный рынок находится в состоянии равновесия.
Следует подчеркнуть, что график LM не выражает функциональной зависимости национального дохода от ставки процента или наоборот, а определяет все возможные комбинации сочетания равновесных значений национального дохода и ставки процента.
Все точки, лежащие справа (ниже) от линии LM являются точками избыточного спроса на деньги, в то время как точки, расположенные слева (выше), представляют собой точки избыточного предложения денег (рис. 12.12).



Равновесие платежного баланса



экономической системы существенно меньше, чем в модели равновесия товарных рынков. Таким образом, денежный рынок частично "гасит" мультипликационный эффект увеличения государственных расходов.
Предположим теперь, что правительство проводит экспансионистскую (расширительную) денежно-кредитную политику "дешевых" денег, увеличивая предложение денег. Рост денежной массы в условиях неизменного уровня цен вызовет рост реального запаса денежных средств (М/Р^). При заданном уровне дохода рост реальных запасов денежных средств приведет к снижению ставки процента и сдвигу кривой LM вправо (вниз) (рис.
12.16).
Равновесие экономической системы перемещается при этом из точки Е в точку Е1. Таким образом, рост предложения денег снижает равновесную ставку процента от i до i1 и увеличивает уровень дохода с величины Y до величины Y1 (за счет стимулирования инвестиций и соответствующего расширения спроса на товары и услуги).


1 Это влияние роста ставок процента на инвестиции в связи с повышением государственных расходов получило название эффекта "вытеснения": увеличение G вытесняет частные расходы, в том числе инвестиции.

12.3.4. Равновесие платежного баланса:
график платежного баланса (ВР)
Рассмотрев традиционную модель IS-LM, расширим ее включением функции платежного баланса страны (кривой ВР) с тем, чтобы получить возможность макроэкономического анализа в условиях открытой экономики как внутреннего, так и внешнего равновесия.
Как известно, платежный баланс состоит из трех основных счетов: текущего счета внешнеторговых операций, счета движения капитала и официального резервного счета. Платежный баланс всегда сбалансирован, т. е. сумма указанных трех счетов всегда равна нулю. То же относится и к любому семейному бюджету.
Семья может потратить больше, чем она зарабатывает (дефицит текущего счета внешнеторговых операций) при условии, что она может взять в долг (активное сальдо счета движения капитала); иначе она должна использовать свои сбережения (резервы).
Равновесие платежного баланса, или внешнее равновесие, имеет место, когда правительство не увеличивает, не теряет резервы (то есть, когда баланс официального резервного счета равен нулю). Очевидно, что внешний баланс достигается, когда удовлетворяется следующее условие:

Баланс текущего счета + Баланс счета движения капитала = 0.
Баланс текущего счета внешнеторговых операций - это сумма двух отдельных балансов: 1) баланса товаров и услуг (т. е. экспорт за вычетом импорта) и 2) баланса односторонних платежей (трансфертов).

Чтобы упростить изложение, предположим, что баланс односторонних платежей равен нулю; следовательно, баланс текущего счета внешнеторговых операций совпадает с балансом товаров и услуг, и мы обращаемся с ним как с торговым балансом. Внешний баланс существует, когда активное сальдо экспорта (положительное сальдо текущего счета внешнеторговых операций) равно чистому оттоку капитала (отрицательное сальдо счета движения капитала), или когда активное сальдо импорта (отрицательное сальдо текущего счета внешнеторговых операций) равно чистым вливаниям капитала (положительное сальдо счета движения капитала).
Детерминанты внешнего баланса. А теперь обратимся к определяющим факторам (детерминантам) баланса текущего счета внешнеторговых отношений и баланса счета движения капитала, сделав предположение, что валютный курс постоянен.
Как известно, торговый баланс (Х - М) зависит от уровня национального дохода; в частности, когда национальный доход повышается, импорт имеет тенденцию к увеличению, вызывая ухудшение торгового баланса. Известно также, что, когда внутренняя ставка процента в какой-либо стране поднимается по отношению к мировой ставке, иностранные инвесторы начинают приобретать ее ценные бумаги, так как они становятся дешевле. В результате счет движения капитала платежного баланса данной страны улучшается.
При падении же внутренней процентной ставки наблюдается обратный процесс замены внутренних ценных бумаг на иностранные с соответствующим ухудшением счета движения капитала.
Экономисты при этом различают три типа мобильности капитала:
1. Совершенная мобильность капитала. В этом случае внутренние ценные бумаги являются хорошей заменой иностранным, а их цены (и, следовательно, процентная ставка) устанавливаются на мировом рынке. Уровень процентной ставки, превалирующей на мировом рынке, также преобладает и в нашей небольшой открытой экономике.
2. Совершенная немобильность капитала. В этом случае рынок капитала нашей открытой экономики абсолютно оторван от мирового рынка капитала. Баланс счета движения капитала всегда равен нулю, независимо от внутренней процентной ставки.
3. Несовершенная мобильность капитала. В этом случае, который мы рассматриваем как типичный, внутренние ценные бумаги являются несовершенной заменой иностранным. Баланс счета движения капитала представляет собой функцию изменения процентной ставки.
Когда внутренняя процентная ставка повышается (предполагая, что иностранная процентная ставка остается постоянной), счет движения капитала улучшается.

Так как торговый баланс является прямой функцией национального дохода, а чистый приток капитала (баланс счета движения капитала) - прямой функцией процентной ставки, внешнее равновесие (равновесие платежного баланса) имеет место, когда уровень национального дохода и процентная ставка являются такими, что чистый приток капитала соответствует торговому балансу, т. е.:
BP = XN + KA = [X(r) - M(Y)] + [KA(i - I*)] = 0,
где XN - "чистый" экспорт (счет текущих операций); КА - счет движения капитала; Х(r) - экспорт, зависящий от обменного курса валюты (r); М - импорт, зависящий от уровня национального дохода; i - внутренняя ставка процента; r* - мировая ставка процента.
Очевидно, что имеется бесконечное множество комбинаций уровня дохода и процентной ставки, которые при данном обменном курсе согласуются с внешним балансом. Геометрическое место точек всех таких комбинаций называется графиком внешнего баланса (линией ВР).
График ВР в общем случае имеет положительный наклон (рис. 12.17).
Это объясняется тем, что увеличение дохода Y приводит к росту импорта и при прочих равных условиях дефициту по счету текущих операций XN. Восстановление равновесия платежного баланса возможно в этих условиях при наличии соответствующего по размеру активного сальдо по счету движения капитала КА (в этом случае будет достигнуто равенство XN + КА = 0). Поэтому при данном уровне дохода

Равновесие платежного баланса

Рис. 12.17. Модель платежного баланса
требуется увеличение внутренней процентной ставки i с целью при влечения иностранного капитала (для финансирования отрицательного сальдо по текущему счету).
Аналогично, когда внутренняя процентная ставка возрастает, чистый отток капитала уменьшается (или чистые вливания капитала возрастают) и появляется положительное сальдо в платежном балансе. Чтобы восстановить внешний баланс, национальный доход должен повысится для того, чтобы стимулировать увеличение импорта, равное сокращению чистого оттока капитала. Соответственно, увеличение процентной ставки должно сопровождаться увеличением национального дохода, т. е. график внешнего баланса должен возрастать. Это случай несовершенной мобильности капитала.
В общем случае эластичность кривой ВР положительно зависит от степени международной мобильности капитала, и отрицательно - от предельной склонности к импортированию. Чем меньше степень международной мобильности капитала, тем большим должно быть увеличение внутренней процентной ставки, позволяющей обеспечить необходимый для восстановления внешнего равновесия приток иностранного капитала. Когда капитал совершенно немобилен между странами, график внешнего баланса становится вертикальным на уровне дохода, при котором торговый баланс равен нулю, а когда капитал совершенно мобилен, график внешнего баланса становится горизонтальным на уровне мировой процентной ставки1.
Изменение обменного курса валюты или какого-либо другого параметра, экзогенно изменяющего чистый экспорт XN (например, в результате проведения государством внешнеторговой политики), а также сдвиги (изменения) в потоках капитала под влиянием факторов, не связанных с изменением процентной ставки, приведут к сдвигу кривой ВР.
График внешнего баланса разбивает весь квадрант на две области:
1) область внешнего дефицита, расположенная справа от графика внешнего баланса. Для любой точки из этой области уровень национального дохода слишком высок и (или) процентная ставка слишком низка для внешнего баланса. Платежный баланс в дефиците, и экономика теряет международные резервы;
2) область внешнего излишка, которая лежит слева от графика внешнего баланса. Для любой точки из этой области уровень национального дохода слишком низок и (или) процентная ставка слишком высока для внешнего баланса. Платежный баланс имеет излишек, и правительство увеличивает международные резервы.

Равновесие платежного баланса

Рис. 12.18. Модель IS-LM с графиком внешнего баланса
Совместный анализ функций IS, LM и ВР позволяет показать, имеет ли платежный баланс дефицит или излишек при текущем равновесии, определяемом пересечением кривых IS и IM (рис. 12.18).



Равновесный анализ экономической системы


t - номинальная тарифная ставка на конечный продукт;
tm - номинальная тарифная ставка на импортированные товары;
- доля импортируемых товаров в общей стоимости конечного продукта при отсутствии тарифов.
Предположим, что мировая цена конечного импортного товара фиксирована на уровне Р. Внутреннее производство конечного товара требует определенного (фиксированного) количества промежуточного импортного продукта, чья цена на мировых рынках также фиксирована. При отсутствии тарифов стоимость импортируемой промежуточной продукции, которая идет на производство одной единицы конечного товара, - Р.
Соответственно в условиях свободной торговли стоимость, добавленная в производство одной единицы конечного товара, составит:
V = P - P = P (1 - ).
Теперь предположим, что страна вводит налоги на импортную конечную и промежуточную продукцию. Тогда внутренняя цена единицы конечной продукции повышается до (1 + f)P, а затраты на импорт промежуточного продукта для изготовления одной единицы конечного товара достигают величины (1 + tm) P.
Добавленная стоимость в условиях действия тарифов составит:
V' = (1+t)P-(1+tm) P.
По определению фактический уровень зашиты


F =
V'-V
100,
V

Осуществляя подстановку и упрощая, получим:


F =
V'-V
=
(1 + t) P - (1 + tm) P - P (1 - )
=
(1 + t) - (1 + tm) - (1 - )
V
P (1 - )
1 -
=

1 + t - - tm - 1 +
=
t - tm
1 -
1 -

Теперь используем выведенное уравнение для того, чтобы сформулировать некоторые достаточно важные положения теории эффективной таможенной защиты.
1. Когда номинальные тарифные ставки конечного товара и импортируемых промежуточных продуктов равны (t =tm), эффективная тарифная ставка становится равной номинальной ставке:


F=
t - t
=
t(1 - )
=t
1 -
1 -

2. Когда номинальные тарифные ставки конечного товара и импортируемых промежуточных продуктов не равны (t tm), необходимо различать два случая:
2а) если номинальная тарифная ставка конечного товара превышает ставку, взимаемую с промежуточных импортируемых товаров (т. е., если t tm), фактический уровень защиты выше, чем номинальная тарифная ставка конечного продукта;
2б) если номинальная тарифная ставка конечного товара ниже ставки, взимаемой с промежуточных импортируемых товаров (т. е., если t tm), фактический уровень защиты ниже, чем номинальная тарифная ставка конечного продукта.
Для доказательства этого положения перепишем уравнение F следующим образом:


t - tm
=
t - t + t - tm
=
t(1 - ) + (t - tm)
=t +

(t - tm)
1 -
1 -
1 -
1 -

Учитывая, что 0 1, имеем


0
1 -
, откуда выводы 2а и 2б становятся совершенно очевидными.
3. Фактический уровень таможенной защиты может быть отрицательным! Это происходит при tm t и существенной доле промежуточных; продуктов в стоимости конечного товара. Например, если t = 0,25%, = 75%, tm = 0,50, то


F=
0,25 - 0,75 0,5
=-0,5
1 - 0,75

Таким образом, даже если номинальная тарифная ставка равна 25%, в конечном счете, промышленность будет работать с отрицательной фактической таможенной ставкой защиты, равной 50%, т. е. добавленная стоимость промышленности уменьшается вдвое.
На основе расчетов фактического уровня таможенной защиты принимаются важные решения в области внешнеторговой политики. Допустим, правительство хочет защитить отечественных производителей готовой продукции. Для этого необходимо установить ставку импортного тарифа на готовую продукцию на уровне, превышающем ставку тарифа на импорт промежуточной продукции. Если правительство ставит задачу защитить от иностранной конкуренции секторы, производящие промежуточную продукцию, но стимулировать конкуренцию в секторах, производящих готовую продукцию, то можно установить высокий импортный тариф на промежуточную продукцию, в результате чего номинальная ставка тарифа на готовую продукцию будет
фактически означать более низкий, а иногда и отрицательный уровень действительной таможенной защиты.
Тарифная эскалация. Структура тарифов во многих странах обеспечивает защиту интересов прежде всего отечественных производителей готовой продукции, особенно не препятствуя ввозу сырья и полуфабрикатов. При этом для защиты отечественных производителей готовой продукции и стимулирования ввоза сырья и полуфабрикатов используется тарифная эскалация - повышение уровня таможенного обложения по мере роста степени их обработки.
Необходимо при этом отметить, что тарифная эскалация, осуществляемая экономически развитыми странами, стимулирует производство сырья в развивающихся странах и консервирует их технологическую отсталость, поскольку только с сырьевой продукцией, таможенное обложение которой минимально, они могут реально пробиться на рынки развитых стран. В то же время рынок готовой продукции практически закрыт для развивающихся стран из-за существенной тарифной эскалации, которая свойственна большинству развитых государств.
Примечание. Для случая с произвольным количеством промежуточных элементов, входящих в состав конечной продукции, формула, по которой может быть рассчитан фактический уровень таможенной защиты, имеет вид:


Равновесный анализ экономической системы

где tj - номинальный тариф на конечную продукцию j-го наименования; tim - уровень тарифа на промежуточную продукцию i-го наименования; aij- удельный вес стоимости (цены) промежуточной продукции i-го вида в стоимости (цене) конечной продукции j-го наименования.
Действительно, в этом случае:
1)V = P - yP = P(1 - y);




2)V' = (1 + tj)P – P
ij(1 + tij);

i

Тогда

Равновесный анализ экономической системы


4.7
Равновесный анализ
экономической системы в условиях
экспортного тарифа
Экспортные пошлины, вводимые на экспортные товары при выпуске их за пределы таможенной территории государства, являются крайне редким феноменом в индустриально развитых странах. Однако развивающиеся страны в Африке, Южной Америке и Юго-Восточной Азии часто облагают пошлиной товары своего традиционного экспорта: какао (Гана), кофе (Бразилия, Колумбия), джут (Пакистан), рис (Бирма и Таиланд), чай (Шри-Ланка), олово (Малайзия).
Основными целями экспортного тарифа в этих странах являются:
увеличение доходов государства;
улучшение своих условий торговли;
увеличение объемов потребления в стране экспортируемой продукции.
4.7.1. Анализ частичного равновесия
в условиях экспортных пошлин
Последствия налогообложения экспорта рассмотрим при помощи графической модели (рис. 4.8). Рисунок изображает предположительную функцию внутреннего спроса (D), а также функцию предложения (S) риса, скажем, в Таиланде.
Соответствующий уровень равновесной цены, иллюстрируемый точкой А, составляет 20 долл. за 1 т. Для упрощения модели допустим, что мировая цена риса (60 долл. за 1 т) обусловливается абсолютно эластичной функцией мирового спроса W.
При отсутствии каких-либо торговых ограничений внутренняя цена риса должна возрасти до 60 долл. за 1 т. В этих условиях Таиланд производит 1150 тыс. т риса, из которых 90 тыс. т идет на внутреннее потребление, а 1060 тыс. т экспортируется.
Предположим, что Таиланд вводит экспортную пошлину 25 долл. за 1 т. Чистый доход экспортеров упадет при этом до 35 долл. с 1 т (60 - 25). Внутренняя цена снизится до 35 долл., что иллюстрируется на рис. 4.8 горизонтальной линией Т. Объем производства риса сокращается до 700 тыс. т, из которых на внутреннее потребление пойдет 300 тыс. т, а на экспорт - 400 тыс. т.
В результате введения экспортной пошлины излишек производителей сократится на величину, соответствующую сумме площадей фигур 1, 2, 3, 4 и 5. Часть этих потерь перераспределится в пользу потребителей Таиланда (площадь фигур 1 и 2). Часть, соответствующую площади прямоугольника 4, перераспределяет в пользу государства правительство страны. Заштрихованные же сегменты 3 и 5 иллюстрируют чистый убыток Таиланда от введения экспортной пошлины.
Эти потери экспортеров, обусловленные снижением объемов экспорта, не компенсируются ничьим выигрышем.

Равновесный анализ экономической системы

Рис. 4.8. Последствия введения экспортных пошлин
Заметьте, что проведенный анализ последствии от введения экспортной пошлины аналогичен ситуации с таможенным тарифом на импорт.
Что касается больших стран со значительной долей экспортного рынка, то они могут использовать экспортную пошлину для улучшения своих условий торговли за счет других стран. В результате введения экспортной пошлины создается дефицит соответствующего товара на мировом рынке, что ведет к росту цены на него. В основе политики налогообложения экспорта чаще всего и лежит упование на монопольное положение страны на мировом рынке, вынуждающее зарубежные страны переплачивать за импортный товар.
Целью же налогообложения экспорта при этом является прежде всего увеличение государственных доходов, хотя бы и за счет собственных производителей.

4.7.2. Анализ общего равновесия в условиях
экспортных пошлин
Анализ общего равновесия в условиях экспортных пошлин симметричен подобному анализу последствий введения импортных пошлин. Сущность этого утверждения охарактеризована симметричной теоремой Лернера1 (1936 г.): в долгосрочной статической равновесной модели общий экспортный налог имеет те же последствия в процентном стоимостном соотношении, что и общий налог на импорт.2
Продемонстрируем симметрию между импортной и экспортной пошлинами, показав, что последствия их влияния на динамику сравнительных внутренних цен идентичны. С этой целью предположим, что наша страна мала и, следовательно, является ценополучателем на мировом рынке. Страна экспортирует продовольствие (продукты питания) и импортирует одежду по текущим ценам: Рпр=10 долл. и Род = 50 долл. соответственно.
В условиях свободной торговли внутренние цены равны мировым, поэтому и на внутреннем и на внешнем рынках 1 ед. одежды обменивается на 5 ед. продуктов питания. Таким образом, относительная цена единицы одежды равна 5 (50/10).
Предположим сначала, что наша малая экономика устанавливает 20-процентный налог на импорт одежды. Внутренняя цена одежды поднимается до 60 долл. (1,2 50) за единицу. Это цена, которая должна быть заплачена внутренними потребителями и принимаемая также отечественными производителями.
В то время как на мировом рынке 1 ед. одежды продолжает обмениваться на 5 ед. продовольствия, в рассматриваемой стране относительная цена продовольствия возрастет до 6 (60/10).
Предположим затем, что страна вводит 20-процентный экспортный налог на продовольствие. Очевидно, что малая экономика сможет продолжать экспортировать продовольствие только в том случае, если ее внутренняя цена на продовольствие в сумме с экспортной пошлиной не превысят мировой цены, т. е. х 1,2 10. Таким образом, внутренняя цена на продовольствие в условиях введения 20-процентной экспортной пошлины составит 8,33 долл.
Относительная цена единицы одежды в этом случае составит 6 (50/8,33) ед. продовольствия.
Таким образом, действие 20-процентной импортной и экспортной пошлин в отношении внутренних относительных цен оказалось абсолютно одинаковым, что позволяет сделать вывод и об общих микроэкономических последствиях действия импортных и экспортных пошлин.
Из симметрии экспортных и импортных тарифов следует очень важный вывод: если развитие экспорта является целью экономической политики, то наиболее последовательным и эффективным инструментом ее практической реализации является либерализация импорта.

1 Лернер А. (1905-1982) - американский экономист, исследователь моделей конкурентного социализма. Он считал, что распределение по потребностям может быть достигнуто только при равном распределении доходов, так как только это обеспечит всеобщее благосостояние. Его модель получила название прагматического коллективизма.
2 Симметричная модель Лернера актуальна лишь в контексте долгосрочного равновесия. В краткосрочном периоде импортный налог имеет тенденцию действовать в расширительном ключе, обеспечивая улучшение платежного баланса страны, тогда как экспортный налог обусловливает антиинфляционные, депрессионные результаты с общим ухудшением платежного баланса.





Россия и мировое хозяйство


Четвертый фактор связан с характером внутреннего рынка. Емкий внутренний рынок способствует расширению экономических связей с другими странами, так как обеспечивает реализацию продукции даже крупномасштабного производства внутри страны. Богатый внутренний рынок с дифференцированным спросом - это обязательное условие полноценного функционирования национальной экономики на внешнем (мировом) рынке.
Одной из отличительных особенностей функционирования открытого мирового хозяйства второй половины XX в. является рост интенсивности международных экономических отношений. Происходит расширение и углубление экономических отношений между отдельными
странами, группами стран, экономическими группировками, отдельными организациями и фирмами.
В настоящее время в структуру международных экономических отношений в самом общем случае входят:
международное разделение труда;
международная торговля товарами и услугами;
международная миграция рабочей силы;
международное движение капиталов;
международный обмен научно-техническими знаниями;
международная экономическая интеграция;
международные валютно-финансовые и кредитные отношения.

1.3
Россия и мировое хозяйство
В России в настоящее время усиленно формируется экономическая система открытго типа, однако осуществляется это не всегда продуманно и зачастую без учета экономических интересов страны, что не только не способствует повышению эффективности национальной экономики и ее конкурентоспособности, но, наоборот, наносит ей заметный ущерб, подрывает экономическую безопасность.
В частности, несмотря на формальное расширение в начале 90-х годов XX в. участия в международных экономических отношениях, доля России в мировой экономике и степень ее вовлечения в международное разделение труда пока не только не возросла, но даже сократилась. Так, к концу 1999 г. удельный вес российской экономики в общем объеме международной торговли составил лишь около 1% (против, например, 3,3% в 1983 г.).
Структура российского экспорта носит преимущественно сырьевой характер, что свойственно странам с очень низким уровнем экономического развития. Неблагоприятна также и структура импорта, по которому в страну завозят в основном продовольственную продукцию.
На начальной стадии находятся процессы легального вывоза российского капитала, организации совместных предприятий, свободных экономических зон, международные интеграционные процессы. И это при том, что Россия, в отличие от многих стран, обладает рядом черт, позволяющих ей на равных интегрировать в мировое хозяйство и занять должное место в системе международных экономических отношений. Это прежде всего:
развитая научно-техническая база;
высокая степень обеспеченности сырьем и энергетическими ресурсами;
высокий кадровый потенциал.
Следует, однако, иметь в виду, что успехи процесса интеграции России в мировое хозяйство будут определять не сами по себе перечисленные выше факторы, а то, насколько эффективно они будут использованы.
Осуществляя этот процесс на практике, необходимо отдавать себе отчет в том, что внешняя открытость экономики, как, впрочем, и сама рыночная экономика, не могут являться самоцелью преобразований в России, а должны служить предпосылкой повышения эффективности российской экономики с целью повышения уровня благосостояния каждого гражданина России и социальной защищенности.
Осваивая мировой рынок, Россия должна осуществлять очень продуманную избирательную и поэтапную политику. Избирательность ее должна заключаться в четком определении собственных приоритетов. В частности, в преобладании усилий по построению социально-ориентированной экономики внутри страны над усилиями в обеспечении внешней открытости.
Необходима планомерная последовательность в раскрытии своего народно-хозяйственного комплекса мировому хозяйству. При этом внешняя открытость не должна быть самоцелью, а призвана служить созданию эффективного хозяйственного механизма внутри страны.
Переход в мировое рыночное хозяйство для России не будет легким. Промышленно развитым странам не нужен новый сильный конкурент. За свое место на международном рынке России придется активно побороться, одновременно пресекая попытки прибрать экономику России к рукам со стороны промышленно развитых стран.
В этой связи весьма актуальной для нашей страны на пути ее интеграции в мировое хозяйство становится проблема экономической безопасности.
Обеспечение экономической безопасности заключается в сведении к минимуму всего того ущерба, который может быть нанесен российской экономике в результате действия факторов мировой хозяйственной конъюнктуры, международной конкуренции, неэффективными действиями российских политических и экономических субъектов на мировых рынках.
Для того чтобы обладать необходимым минимумом знаний при решении всех перечисленных проблем, перейдем к практическому изучению основных, базовых положений теории международной экономики.





Совокупный объем производства


В случае отсутствия международного движения капитала относительно избыточный объем в стране А будет полностью инвестироваться в национальное производство. В соответствии с функцией предельного продукта (предельной производительности) капитала МРАК ставка процента на капитал в стране А установится на уровне, соответствующем точке С, и составит для рассматриваемого примера 2%. Что касается страны В, то относительный дефицит капитала в условиях его ограниченного предложения повлечет за собой формирование более высокой ставки процента, соответствующей точке D (8%).
Заштрихованная фигура, находящаяся ниже линии МРAK (OAGCM), обозначает стоимостной объем национального продукта, произведенного в стране А с использованием капитала в объеме КА. При этом прибыль владельцев капитала составляет величину, соответствующую площади прямоугольника OAFCM, а площадь треугольника FGC соответствует доходам владельцев других факторов производства, таких как земля и труд.
Аналогично заштрихованная фигура, расположенная ниже линии МРAK (МПНОB), отражает стоимость национального продукта, произведенного в стране В с использованием капитала в объеме КB. Прибыль владельцев капитала составляет величину, соответствующую площади фигуры MDLOB, а остальное (DHL) представляет собой доход владельцев других факторов производства.
Вся заштрихованная площадь рассматриваемой модели характеризует, таким образом, совокупный стоимостной объем выпуска продукции в обеих странах при отсутствии возможности инвестирования за рубежом.
Теперь предположим, что все ограничения и запрещения на международные финансовые потоки полностью упраздняются. У владельцев капитала в стране А и потенциальных заемщиков страны В появляются сильные стимулы к объединению своих предпринимательских способностей. Кредиторы страны А будут стремиться предоставить кредиты предпринимателям страны В, где выше ставки процента.
Конкуренция их между собой приведет к установлению нового равновесия в точке Е (рис. 7.4), где ставка процента будет равна, к примеру, 5%. При этом владельцы капитала в стране А инвестируют в предпринимательские структуры страны В W капиталовложений.
Что касается страны В, то приток капитала в нее из страны А (в объеме W) привел к снижению прибыльности вложения капитала в стране В с 8 до 5%. Однако в то же время за счет инвестирования как своего капитала, так и заимствованного из страны А, в стране В наблюдалось расширение объемов национального производства с (6+7+8) до (6+7+8+9+10+4+5). Правда, сегменты (4+5+10) являются
продуктом, произведенным за счет иностранного капитала, и его надо отдать стране А в виде прибыли инвесторов из страны А. Таким образом, чистый рост внутреннего объема производства в стране составит величину, эквивалентную площади сегмента 9.
Из-за падения прибыльности вложения капитала в стране В доходы владельцев капитала в этой стране сократятся с (6+7) до 6, а доходы владельцев других факторов производства увеличатся с 8 до (7+8+9).

Совокупный объем производства

Рис. 7.4. Совокупный объем производства в условиях
зарубежного инвестирования
В стране А объем производства с использованием оставшегося там капитала (КА - W) будет соответствовать сумме площадей фигур 1, 2, 3. Кроме того, стране А будет передано вознаграждение за заемный капитал в объеме, соответствующем площади прямоугольника (4+5+10).
Таким образом, в стране А в результате более продуктивного использования капитала за счет его инвестирования в экономику страны В совокупный продукт, произведенный с помощью того же объема капитала, оказался больше, чем изначальный, на величину сегмента 10. Доход владельцев капитала возрастает до величины, соответствующей площади фигуры (1+2+4+5+10), тогда как доходы владельцев остальных факторов производства сокращаются до сегмента 5.
С позиции всей мировой экономики в целом в результате перемещения капитала из страны А в страну В совокупный объем производства
вырос на величину, соответствующую площади фигуры (9+10), из которой сегмент 10 принадлежит стране А, а сегмент 9 - стране В. Выигрыш страны А обусловливается более эффективным использованием капитала этой страны в результате его инвестирования в страну В, а выигрыш страны В - увеличением объемов капиталовложений в национальную экономику данной страны.
Таким образом, международное передвижение капитала, как и международное движение товаров, приводит к увеличению объема совокупного мирового производства за счет более эффективного перераспределения и использования факторов производства.
Отметим, что структура выгод и потерь здесь оказывается идентичной структуре выгод и потерь, установленной нами в анализе международной торговли и миграции рабочей силы: устранение барьеров приносит выигрыш мировому хозяйству в целом и тем группам, для которых свобода означает дополнительные возможности, но наносит ущерб группам, для которых свобода означает более жесткую конкуренцию. Однако этим не исчерпывается значение миграции капиталов как для стран-экспортеров, так и для стран-импортеров.
Помимо прямого эффекта наблюдается и вторичный (косвенный) эффект, проявляющийся в развитии сопряженных производств. Размер этого эффекта в соответствии с теорией мультипликатора Дж. Кейнса может в несколько раз превысить размеры прямого непосредственного эффекта.
В то же время, осуществляя импорт капитала, стране приходится решать множество непростых проблем его эффективного использования. Эффективность его использования Vчень тесно связана со структурой и специализацией производства, состоянием финансовых рынков, уровнем конкуренции, положением в социальной сфере, движением курса национальной валюты и т. д.
В зависимости от тех или иных условий импорт капитала может быть или действенной формой международного сотрудничества, или фактором обострения острых экономических противоречий между государствами, особенно такими, которые находятся на разных ступенях экономического развития. Поэтому возможность эффективного использования иностранного капитала в национальной экономике зависит от предварительного ответа на целый ряд принципиальных вопросов:
В каких масштабах целесообразно использовать зарубежные инвестиции?
В какие отрасли и в каких формах привлекать иностранные фирмы?
Как направить деятельность этих компаний на решение внутренних социальных проблем?
Как оптимально сочетать формы экономического и административного регулирования финансовых потоков?
Рассмотренная выше графическая модель международного движения капитала может быть использована также для анализа последствий более сложного варианта миграции капитала - миграции в условиях его налогообложения.
Если финансовая мощь страны достаточно велика, чтобы влиять на уровень процента международного рынка капитала, эта мощь может и обязательно будет использоваться в ее интересах. Именно такая ситуация представлена на графической модели (рис. 7.5).

Совокупный объем производства

Рис. 7.5. Анализ налогообложения международного кредитования
Пусть страна А вводит налог 2% годовых на объем (стоимость) вывезенных за рубеж активов своих резидентов. Это подтолкнет вверх ставку процента, которую придется платить зарубежным заемщикам, и снизит ставку для местных (национальных) заемщиков. Равновесие будет восстановлено в точке, где разница ставок процента, уплачиваемых зарубежными и местными заемщиками, составит ровно 2 процентных пункта.
Это соответствует отрезку GF.
Очевидно, что здесь страна-кредитор за счет налогообложения добилась чистых односторонних выгод. Она вынудила страну-заемщика платить 6% годовых вместо 5% по всем продолжающимся долгам. Этот результат повышения платы за кредиты, графически соответствующий
площади прямоугольника LNMF, достаточно значителен, чтобы превзойти потери от ранее прибыльных зарубежных кредитов (треугольник ELG).
Очевидно, что к налогообложению может прибегнуть и страна, занимающая капитал, если она обладает соответствующей рыночной властью. В рассматриваемой модели страна В, ограничивая свои займы, может вынудить кредиторов страны А пойти на более низкий уровень доходности.
Что же произойдет, если на те же международные активы страна-заемщик введет налог в 2 процентных пункта? Тогда все ранее описанные результаты будут такими же, как и в случае введения налога страной А, за исключением того, что страна В в этом случае получит выигрыш, равный разности площадей фигур GLNZ и ELF (за счет страны А и мирового хозяйства в целом). Если же обе страны попытаются ввести налоги на один и тот же международный капитал, международная экономика будет сползать к финансовой автаркии, т. е. назад к точкам С и D, что означает потери для всех (для всего мирового хозяйства).
Прямые инвестиции и международные корпорации. Наибольшие объемы международных прямых инвестиций приходятся на долю международных корпораций, среди которых принято выделять:
1) транснациональные корпорации (ТНК), головная компания которых принадлежит капиталу одной страны, а филиалы находятся во многих странах мира;
2) многонациональные корпорации (МНК), головная компания которых принадлежит капиталу двух и более стран, а филиалы расположены в разных странах.



Структура платежного баланса


В этом случае перевод импортных платежей за границу без соответствующего поступления товаров означает, что импортная сделка теряет свою кредитовую запись.

1 Правило двойной записи имеет очень простую экономическую интерпретацию: большинство экономических операций заключается в обмене экономическими ценностями - это обмен товарами, услугами, финансовыми активами и т. д.
1 Экономическая единица является резидентом экономики (независимо от юридического гражданства), если она имеет основное место жительства и центр своего экономического интереса на экономической территории страны, под которой понимаются географическая территория в рамках национальных границ страны, а также воздушное пространство, территориальные воды, часть континентального шельфа, так называемые экстерриториальные анклавы (посольства, военные базы и т. п.).

10.2
Структура платежного баланса
В составе платежного баланса открытой экономической системы можно выделить следующие разделы:
Торговый баланс.
Баланс услуг и некоммерческих платежей.
Баланс трансфертов.
Баланс движения капиталов и кредитов.
Баланс движения золотовалютных резервов.
Торговый баланс. Исторически внешняя торговля выступает исходной формой международных экономических отношений, связывающей все национальные хозяйства в единое мировое хозяйство. Благодаря внешней торговле складывается международное разделение труда, которое углубляется и совершенствуется вместе с развитием внешней торговли и других международных экономических операций.
В торговом балансе отражаются реальные операции с товарами, т. е. экспорт и импорт. Если сальдо торгового баланса положительно1, то экспорт превышает импорт, и наоборот.
С точки зрения общего подхода к экономическому состоянию страны положительное сальдо торгового баланса расценивается как благоприятный факт. Его можно интерпретировать следующим образом: товары данного государства конкурентоспособны на внешних рынках; население страны также предпочитает отечественные товары импортным. В результате страна имеет источник получения иностранной валюты.
Отрицательное сальдо считается нежелательным и обычно оценивается как признак слабости мирохозяйственных позиций страны. Однако в этом вопросе, как и во многих других случаях в экономике, возможны нюансы, которые требуют дополнительного изучения, чтобы составить объективную картину экономического положения страны. Например, дефицит торгового баланса может быть вызван активным импортом оборудования в силу благоприятного инвестиционного климата в данной стране и хороших экономических перспектив.
Баланс услуг и некоммерческих операций. Баланс услуг включает платежи и поступления по трансфертным перевозкам, страхованию, электронной, телекосмической, телеграфной, телефонной, почтовой и другим видам связи, международному туризму, обмену научно-техническим и производственным опытом, экспертным услугам, содержанию

дипломатических, торговых и иных представительств за границей, передаче информации, культурным и научным обменам, комиссионным сборам, рекламе, ярмаркам и т. д.
Услуги представляют собой динамично развивающийся сектор мировых экономических связей; его роль и влияние на объем и структуру платежей и поступлений постоянно возрастают. Традиционные услуги (транспорт, страхование) переживают процесс крупной перестройки в связи с ростом объема и многообразия торговых поставок, повышением в нем удельного веса полуфабрикатов, узлов и деталей благодаря развитию международной кооперации и специализации. С ростом уровня благосостояния в развитых странах резко увеличились масштабы международного туризма.
Развитие международного производства стимулировало торговлю лицензиями, ноу-хау, лизинговые операции (аренда оборудования), консалтинговые (консультационные) услуги и т. д. По принятым в мировой статистике правилам в раздел "Услуги" входят выплаты доходов по инвестициям за границей и процентов по международным кредитам, хотя по экономическому содержанию они ближе к движению капиталов. Сюда же принято включать предоставление военной помощи иностранным государствам, военные расходы за рубежом.
Баланс трансфертов. По методике МВФ принято также показывать особой позицией в платежном балансе односторонние переводы, или трансфертные платежи. В их числе:
1) государственные операции - субсидии другим странам по линии экономической помощи, взносы в международные организации;
2) частные операции - переводы иностранных рабочих, специалистов, родственников на родину. Этот вид операций имеет большое экономическое значение. Италия, Турция, Испания, Греция, Португалия, Пакистан, Египет и другие страны уделяют большое внимание регулированию выезда за границу своих граждан на заработки, так как используют этот источник значительных валютных поступлений для развития национальной экономики.
Для ФРГ, Франции, Великобритании, Швейцарии, США, ЮАР и других стран, временно привлекающих иностранных рабочих и специалистов, напротив, такие переводы средств служат источником дефицита этого раздела платежного баланса.
Баланс движения капиталов и кредитов выражает соотношение вывоза и ввоза государственных и частных капиталов, предоставленных и полученных международных кредитов. По экономическому содержанию эти операции делятся на две категории: международное движение предпринимательского и ссудного капитала.

Предпринимательский капитал включает прямые заграничные (приобретение и строительство предприятий за границей) и портфельные (покупка ценных бумаг заграничных компаний) инвестиции.
Прямые инвестиции являются важнейшей формой вывоза долгосрочного капитала и оказывают большое влияние на платежный баланс. В результате этих инвестиций развивается международное производство, которое интегрирует национальные экономики в мировое хозяйство на более высоком уровне и намного прочнее, чем торговля. Вывоз предпринимательского капитала происходит в настоящее время интенсивнее, чем рост производства и внешней торговли, что свидетельствует о его ведущей роли в интернационализации хозяйственной жизни. Необходимо также отметить, что более двух третей стоимости прямых заграничных инвестиций составляют взаимные капиталовложения развитых стран.
Это означает, что хозяйственные связи между ними укрепляются в большей степени, чем с остальным миром.
Международное движение ссудного капитала классифицируется по признаку срочности.
Долгосрочные и среднесрочные операции включают государственные и частные займы и кредиты, предоставленные на срок более одного года. Получателями государственных займов и кредитов выступают преимущественно отстающие от лидеров страны, в то время как передовые государства являются главными кредиторами. Что касается частных долгосрочных займов и кредитов, то к ним наряду с развивающимися странами активно прибегают корпорации развитых стран.
Краткосрочные операции включают международные кредиты сроком до года, текущие счета национальных банков в иностранных банках (авуары), перемещение денежного капитала между банками.
Баланс движения золотовалютных резервов. Баланс движения золотовалютных резервов показывает операции, связанные с изменением "официальных", золотовалютных резервов, располагаемых страной, изменение обязательств страны перед иностранными банками.
В золотовалютные резервы страны входят золото, иностранная валюта, главным образом американские доллары, международные расчетные средства (специальные права заимствования, экю). Эти резервы используются страной для того, чтобы воздействовать на обменный курс своей валюты, а следовательно, на внешнеэкономические отношения с другими государствами.
Разность между заграничными доходами и расходами составляет, как известно, сальдо платежного баланса. Оно может быть активным, когда доходы страны по всем внешним операциям превышают расходы. В противном случае, при превышении расходов над доходами страна сталкивается с пассивным сальдо, или дефицитом.

Сальдо платежного баланса регулируется при помощи официальных золотовалютных резервов продажей или покупкой золота, иностранной валюты, международных валютных средств.
В статье "Изменение официальных валютных резервов", таким образом, отражаются методы и источники урегулирования платежного баланса официальных расчетов. Дефицит платежного баланса в точности равен чистым продажам иностранной валюты Центральным банком. И наоборот, положительное сальдо платежного баланса будет в точности равно чистым покупкам иностранной валюты Центральным банком.
Вполне очевидно, что страна не может в течение длительного времени сводить с дефицитом платежный баланс, поскольку это приведет к истощению официальных валютных резервов и может стать причиной кризиса платежного баланса. Кризис платежного баланса означает, что страна не в состоянии погасить внешнюю задолженность, а возможности получения новых займов исчерпаны. Единственным выходом из сложившейся ситуации является макроэкономическое урегулирование платежного баланса, осуществляемое с помощью корректировки обменного курса национальной валюты (см. гл.
11).


1 Торговый баланс с положительным сальдо называют активным, а с отрицательным, или дефицитом,- пассивным.



Свободный экспорт и импорт золота


Государство было обязано покупать и продавать отечественную валюту за золото по первому требованию и по паритетной стоимости. Заплатив небольшие комиссионные, любой человек (как житель данной страны, так и иностранец), пришедший в Центральный банк, мог обменять бумажные деньги на золото и это золото просто унести с собой. Свободный экспорт и импорт золота.
Поддержание жесткого соотношения между национальным золотым запасом и внутренним предложением денег. У государства в этом случае всегда были запасы золота, по крайней мере, равные по стоимости выпущенному в обращение количеству денег.
Механизм международных расчетов, основанный на "золотом стандарте" устанавливал фиксированный курс (через золотое содержание, соответствующее каждой валюте).
Пока золото выполняло все функции денег, а бумажные деньги по сути дела являлись его представителями и свободно обменивались на золото в соответствии с указанным на них официальным золотым содержанием, трудностей с установлением валютных курсов не возникало. Они (валютные курсы) базировались на золотом паритете. Так, если денежная единица "X" равнялась 10 г золота, а денежная единица "Y" - только 5 г, то паритет валюты "X" к валюте "Y", естественно, равнялся 0,5X за 1,0Y.

Отклонения курсов валют от паритета в такой валютной системе были возможны, но в крайне ограниченных пределах. Действительно, если, например, курс валюты "X" опускался существенно ниже паритета, то не было смысла осуществлять в ней расчеты. Целесообразнее было конвертировать ее в золото, транспортировать его в страну валюты "Y" и на него купить эту валюту.
Итак, при "золотом стандарте" национальные валюты обменивались по твердому курсу на золото, количество которого было ограничено.
Если увеличение количества денег внутри страны приводило к росту цен, это вызывало отток золота из страны, а следовательно, сокращению количества денег в обращении, что в свою очередь обусловливало падение цен и восстановление равновесия в стране. Стабильность курсов валют обеспечивала достоверность прогнозов денежных потоков компаний, планирование их расходов и прибыли, создавая тем самым благоприятные условия для экономического роста и развития международной торговли.
"Золотой стандарт" был и остается самой эффективной валютной системой в истории мировой экономики, как это признает большинство современных экономистов. Он обеспечивал автоматическую конвертируемость валют на основе их золотого паритета, упрощая тем самым международные расчеты и обеспечивая валютную стабильность мировой хозяйственной системе. Не случайно эпоху "золотого стандарта" называют еще "золотым веком" мировой экономики. Парадоксально, но период самого свободного развития капитализма (1870-1914), который знала история, сопровождался фиксированными (казалось бы, нерыночными, несвободными) валютными курсами.
Особенно благоприятно "золотой стандарт" воздействовал на международную торговлю, которая за этот период возросла более чем в десять раз.
Тем не менее, при использовании "золотого стандарта" многие страны испытывали достаточно серьезные экономические трудности, которые, в конце концов, привели к его разрушению.
Во-первых, странам приходилось держать весьма значительные золотые резервы, что сопряжено с существенными государственными расходами.
Во-вторых, темпы экономического развития стран мирового хозяйства стали опережать физические объемы золотодобычи. Поддержание же золотого обращения при дефиците золотого запаса вызывает упадок, экономика в такой ситуации просто задыхается.
Кроме того, жесткая привязка валютного курса к золотому паритету ограничивала возможности стран проводить независимую кредитно-денежную политику, особенно актуальную с 1914 г., с началом

Первой мировой войны. Поскольку между отдельными странами не существовало формальных соглашений о поддержании неизменных цен на золото, правительства некоторых стран под давлением внутренних обстоятельств шли на изменение золотого эквивалента своих валют, даже на приостановление конвертируемости их на золото.
Эти принципы, как и некоторые другие, например возникшая в годы Первой мировой войны инфляция, привели к тому, что "золотой стандарт" рухнул.
Межвоенный период. Если золотостандартная эра периода до 1914 г. рассматривается как "золотой" век международных валютных отношений, межвоенный период характеризуется как "темный" век, как экономический кошмар. С началом Первой мировой войны "золотой" век, как уже было сказано, закончился. Первоначально воюющие страны приостановили конвертируемость своих валют в золото и наложили эмбарго на экспорт золота, чтобы защитить свои золотые резервы.
Вскоре после этого большинство других стран приняло ту же политику, и классический золотой стандарт умер.
На внешнем валютном рынке частные лица еще могли обменивать одну бумажную валюту на другую, но по ценам, определенным условиями спроса и предложения. Таким образом, за золотостандартной системой с фиксированным валютным курсом последовал режим вполне плавающего валютного курса. По инерции большинство стран рассматривали режим колеблющихся валютных курсов как временное явление, пытаясь восстановить классический золотой стандарт, в частности, на международной конференции в Генуе в 1922 г. Однако система разрушилась, и ничто не смогло собрать ее снова.
Десятилетие Великой американской депрессии было периодом открытой экономической войны между странами мирового хозяйства. Поскольку депрессия усиливалась, правительства тщетно следовали игре на конкурентных обесценениях валюты в надежде на устранение их внутренней безработицы и восстановление внешнего баланса. В течение пятилетнего периода (1931-1935) международное сотрудничество достигло своей низшей точки.
В 1936 г. появился некоторый признак сотрудничества: Великобритания, Франция и США подписали трехстороннее соглашение, которое разрешило Франции провести девальвацию завышенного франка без репрессалий1. Но этот след сотрудничества был прерван Второй мировой

войной, международная валютная реформа была отложена до конца войны.
Бреттон-Вудская валютная система. Разработка проекта новой мировой валютной системы началась еще в годы Второй мировой войны под руководством английского экономиста Дж. М. Кейнса. Вторая международная валютная система свое юридическое оформление получила на Международной валютно-финансовой конференции в маленьком американском городке Бреттон-Вуд в 1944 г.
Идеологи данной системы попытались восстановить стабильность обменных курсов валют, которая являлась одним из главных преимуществ "золотого стандарта", увеличивая при этом гибкость их регулирования за счет уменьшения роли и значения в этом процессе золота. Для достижения этой цели ими был предложен своеобразный метод фиксации обменных валютных курсов. Так как золотые паритеты с крушением "золотого стандарта" были безвозвратно отвергнуты, паритетные обменные курсы валют предлагалось устанавливать и исчислять в долларах США; сам же доллар, обменивая при необходимости на золото по фиксированной цене.
Речь шла, таким образом, о введении золотодевизного стандарта, основанного на золоте и резервной валюте (девизе) - долларе США.
Сформулируем кратко основные принципы Бреттон-Вудской валютной системы:
1) за долларом сохранялась функция окончательных денежных расчетов между странами;
2) резервной валютой становился американский доллар, который наравне с золотом был признан в качестве меры стоимости валюты разных стран, а также международного кредитного средства платежа;
3) доллар обменивался на золото центральными банками и правительственными учреждениями других стран в казначействе США по курсу 35 долл. за одну тройскую унцию (31,1 г)1;
4) курсовое соотношение валют и их конвертируемость стали осуществляться на основе фиксированных паритетов, выраженных в американском долларе, т. е. через кросс-курсы;
5) каждой стране предоставлялось право понижать (девальвировать) или повышать (ревальвировать) курс своей национальной валюты;
6) в то же время каждая страна должна была сохранять достаточно стабильный курс своей валюты относительно любой другой валюты. Рыночные курсы валют не должны были отклоняться от фиксированных золотых или долларовых паритетов более чем на 1% в ту или другую сторону. Если стоимость валюты какой-либо страны повышалась до верхнего предела либо падала до нижнего, Центральный эмиссионный банк этой страны был обязан вмешаться в создавшуюся ситуацию и стабилизировать курс национальной валюты;
7) созданы международные валютно-кредитные организации: Международный валютный фонд (МВФ) и Международный банк реконструкции и развития (МБРР). Межгосударственное регулирование валютных отношений должно было осуществляться главным образом через МВФ, призванный обеспечивать соблюдение странами-членами официальных валютных паритетов, обменных курсов и свободной обратимости валют. Роль МБРР первоначально заключалась в кредитовании послевоенного восстановления разрушенной Европы, затем его основной задачей стало предоставление инвестиционных кредитов развивающимся странам для структурной перестройки их экономических систем.



Тариф как средство борьбы с демпингом




1 Отметим, что в России структура государственных доходов от таможенных пошлин существенно отличается от большинства стран мира - примерно 3/4 доходов приходится на экспортные пошлины и лишь 1/4 - на импортные.
2 Основным источником формирования доходов государственного бюджета в развитых странах мира является подоходный налог.

5.2.3. Тариф и дешевая иностранная
рабочая сила
Аргумент в пользу введения тарифов под названием "дешевый иностранный труд" достаточно популярен в развитых индустриальных странах. Например, заработная плата текстильных рабочих в Китае или Индии намного ниже нежели, скажем, в Англии. Свободный импорт текстиля из Индии, по мнению английских сторонников этого аргумента, может нанести серьезный ущерб текстильщикам Англии.
Можно ли поставить под угрозу их благополучие ради того, чтобы остальная часть населения Англии смогла покупать более дешевый текстиль или следует ввести таможенные пошлины?
На эти вопросы правительства разных стран дают свои ответы, диктуемые конкретными обстоятельствами.
Если же данный аргумент в защиту тарифов рассматривать абстрактно, то ухудшение положения английских текстильщиков не должно использоваться как оправдание для введения тарифов. Напомним, что свободная торговля по своим результатам аналогична научно-техническому прогрессу, и она порождает проблемы, которые точно так же сложны, как и проблемы, созданные научно-техническим прогрессом. Но ведь никто еще ни в одной стране не заявлял, что правительство этой страны должно издать закон, запрещающий все нововведения.
А что же в этой ситуации все-таки делать?
Часть прибыли от свободной торговли, которую получила остальная часть общества, должна быть использована для того, чтобы помочь уволенным рабочим-текстильщикам приобрести новые профессиональные навыки, чтобы они могли быть трудоустроены в отраслях, производящих продукцию, по которой страна имеет сравнительные преимущества. Таким образом, в условиях свободной торговли каждый должен иметь возможность улучшить качество своей жизни, включая и рабочих-текстильщиков Англии.
К сожалению, в Англии, как и в других странах, система установления такого равновесия работает плохо, что вынуждает их, несмотря на декларации о приверженности принципам свободной торговли, нарушать эти принципы и идти на введение импортных тарифов.

5.2.4. Тариф как средство борьбы с демпингом1
и его последствиями
В тех нередких случаях международной торговли, когда материальной основой демпинга являются экспортные субсидии, цены могут не отражать реального соотношения сравнительных издержек. Отсюда вполне возможна ситуация, при которой страна будет экспортировать товар, на производство которого она в действительности затрачивает слишком много ресурсов. В этом случае теоретически всем будет выгоднее, если, например, на основе введения повышенных импортных пошлин эффект субсидирования будет нейтрализован.
Кроме того, конкуренция с зарубежными фирмами, проводящими демпинговую политику, может привести к разорению отечественных производителей (предприятий). Завоевав монопольное положение на рынке, иностранная фирма в целях максимизации прибыли пойдет на установление монопольных цен на свою продукцию. В результате - естественное снижение эффективности производства по сравнению с более конкурентным рынком, существовавшим ранее.
И в этом случае проведение государством активной протекционистской политики будет достаточно обоснованным.
Отметим, однако, что антидемпинговую политику необходимо проводить очень взвешенно, просчитывая все возможные последствия от введения антидемпинговой пошлины. Проиллюстрируем это при помощи графической модели (рис. 5.1).
Как следует из данной графической модели, антидемпиговая пошлина "опускает" кривую спроса на импортный товар (D1 > D2), оказывая соответствующее влияние и на кривую предельного дохода (MR1 > MR2). В этих условиях прибыль импортера продукции на национальный рынок будет определяться параметрами М2 и Р. Покупатели же будут платить за каждую единицу этого товара с учетом антидемпингового тарифа цену Р2 Объем продаж по сравнению с ситуацией в отсутствии пошлины снизился на величину (М1 - M2), цена возросла на (Р2 - Р1).
Таким образом, антидемпинговая пошлина принесла не только выигрыш, но и убытки. Убытки заключаются в вынужденном снижении объема потребления (импорта) товара, в результате чего излишек потребителя в размере, соответствующем площади треугольника СВЕ, будет потерян без всякой компенсации.

Тариф как средство борьбы с демпингом

Рис. 5.1. Антидемпинговая пошлина
Часть потребительского излишка, соответствующая площади заштрихованного прямоугольника Р1Р2ВС, в результате введения антидемпингового тарифа перераспределяется в пользу государства. Чистый же выигрыш государства, соответствующий площади прямоугольника PP1CD, - это результат скидки с цены товара, продолжающего поступать в страну по импорту, облагаемому антидемпинговой пошлиной.
В рассматриваемом примере выигрыш страны превышает объем ее убытков. Однако в целом для мирового хозяйства антидемпинговые пошлины являются чистыми потерями, поскольку прямоугольник PP1CD - это лишь результат перераспределения доходов между зарубежными и отечественными фирмами (здесь в пользу отечественных), а не чистый выигрыш всего мирового хозяйства.

1 Демпинг - бросовый экспорт - продажа товаров по ценам ниже издержек (себестоимости).

5.2.5. Тариф как средство ослабления зависимости
страны от экспорта "неперспективных" товаров
Структура экспорта многих развивающихся стран (к сожалению, в этом отношении экономика современной России в еще большей степени, чем экономика Советского Союза, подходит под стандарт развивающихся государств) традиционно характеризуется безусловным преобладанием сырья и (в ряде случаев) продовольственных товаров.
Спрос на продовольствие и на сырье на мировом рынке отличается относительно низкой эластичностью по доходу. В этих условиях свобoдная
торговля не может выступать в качестве эффективного стимула развития таких стран. Вместо этого она приводит к закреплению однобокой экспортной ориентации развивающихся стран, препятствуя развитию в них отраслей обрабатывающей промышленности, производящих продукцию, спрос на которую характеризуется большей, чем на сырье, эластичностью по доходу.
Проведение протекционистской политики в этих условиях, напротив, может стимулировать развитие данной группы отраслей народного хозяйства страны.

5.2.6. Тарифы и узконациональные интересы
государств
В пользу протекционизма могут быть приведены и аргументы, основывающиеся на принципе так называемой "игры с нулевой суммой", когда та или другая страна может в результате проведения протекционистской политики получить выгоды для себя за счет ухудшения положения своих торговых партнеров. Важно при этом учитывать, что, поскольку суверенные государства как субъекты внешнеэкономических отношений имеют обыкновение заботиться о своих национальных интересах и обращать, мягко говоря, относительно мало внимания на интересы других стран, то на практике именно аргументы данного рода могут иметь решающее значение.
Важнейший из относящихся к этой группе аргументов заключается в возможности улучшения условий торговли на основе использования выгодного монопольного положения страны на мировом рынке.
Рассмотрим условный пример страны, занимающей монопольное положение продавца на мировом рынке некоторой продукции. Предположим при этом, что в стране функционирует большое количество индивидуальных производителей, каждый из которых в отдельности не в состоянии повлиять на уровень цен и объем экспортных поставок. Обратимся к рис.
5.2, который представляет модель, иллюстрирующую последствия использования тарифа в этих условиях.
Каждая из фирм-производителей, по сути являющаяся совершенным конкурентом, руководствуется в своей деятельности общим правилом максимизации прибыли. Следовательно, все вместе они будут стремиться обеспечить такой объем производства (Q1), который на рис. 5.2 соответствует точке А, в которой выполняется условие равенства цен (предельного дохода в условиях совершенной конкуренции) и предельных издержек: Р - МС.
При этом равновесная цена будет устанавливаться на уровне Р1.
Однако суммарная максимальная прибыль для всех производителей, в совокупности являющихся монополистом, будет соответствовать
точке В (с равновесным объемом производства Q2 и равновесной ценой Р2), где выполняется равенство предельных издержек и предельного дохода, т. е. MR = МС.

Тариф как средство борьбы с демпингом

Рис. 5.2. Тариф в условиях монополии
Чтобы обеспечить именно такой объем производства, необходимо ограничить экспорт, например, при помощи введения экспортной пошлины, равной в рассматриваемом случае величине (P2 - P3). При этом рыночная цена для потребителей будет устанавливаться на уровне P2, а производители будут фактически реализовывать свою продукцию по цене P3
Та же логика может быть использована и при рассмотрении условного примера страны, находящейся в режиме монопсонии. Проиллюстрируем это с помощью графической модели, представленной на рис. 5.3.
При отсутствии государственного вмешательства равновесное состояние будет соответствовать точке пересечения кривых спроса и предложения, т.



Теорема о выравнивании цен факторов


P1 = L1 w1 + K1 i1 = 4 5 + 1 5 = 25 ден. ед.
Предположим, что в результате международной торговли цена ткани выросла на 20% и составила 30 ден. ед. В соответствии с рассматриваемой нами теоремой, при росте цены на трудоемкий товар цена труда должна возрасти, поскольку он используется относительно более интенсивно, а цена капитала - упасть. Предположим, что цена капитала упала до 4 ден. ед. (на 20%). Тогда соответствующую цену труда можно найти из уравнения
30 = 4 w + 1 4,
откуда w = 6,5 ден. ед., что означает рост цены за труд на 30%.
Значение эффекта усиления очень важно учитывать в практической деятельности. Например, если предприниматель повышает экспортные цены на трудоемкий товар, то он должен быть готов к тому, что заработная плата рабочих, производящих этот товар, возрастет еще в большей степени, сократив в какой-то мере или даже перекрыв положительный эффект, который может быть получен от экспорта.
Примечание. Необходимо отметить, что эффект усиления Джонса справедлив и для условий, рассматриваемых в теореме Рыбчинского, а именно: рост объема фактора производства приводит к непропорционально большему росту в объемах производства того товара, для производства которого этот фактор используется относительно более интенсивно.

3.3.5. Теорема о выравнивании
цен факторов
Как было отмечено ранее, данная теорема утверждает, что даже в отсутствие перемещения факторов между странами свободная товарная торговля ведет к уравниванию реальной стоимости того или иного фактора в разных странах. В сущности, модель Хекшера-Олина указьюает на косвенный обмен факторами между странами. Экспортируя трудоемкие предметы в обмен на капиталоемкие, трудоизбыточная страна косвенно экспортирует определенное количество труда в обмен на капитал, а капиталоизбыточная страна поступает наоборот.
Этот косвенный обмен факторами поднимает реальную заработную плату в трудоизбыточной стране и понижает в капиталоизбыточной, а также понижает реальную процентную ставку за капитал в трудоизбыточной стране и поднимает ее в стране капиталоизбыточной. Таким
образом, модель Хекшера-Олина подразумевает, что если факторы не мигрируют между странами непосредственно, то этот процесс осуществляется косвенно через экспорт и импорт товаров. "Если Магомет не идет к горе, гора идет к Магомету".
Равенство между странами реальной факторной отдачи является условием эффективного распределения ресурсов во всем мире. Так же как эффективное распределение ресурса внутри закрытой экономики требует, чтобы идентичные единицы одного и того же гомогенного фактора имели одинаковую отдачу, эффективное распределение ресурса в мировой экономике требует полного факторно-ценового равенства. В конце концов мировая экономика - это единственная действительно закрытая экономика, которую мы имеем возможность наблюдать и изучать.
Окружающая же нас действительность быстро убеждает в том, что факторные цены между странами могут существенно различаться. Причина этого заключается прежде всего в недостаточной непосредственной мобильности факторов производства между странами (хотя в последние годы она существенно возросла), а также в существенных препятствиях свободной торговле, которые хотя и ослабевают со временем, но остаются еще тем не менее весьма значительными.
Учитывая вышесказанное, теорема о выравнивании цен факторов позволяет понять, как далеко мы можем продвинуться в направлении повышения всемирной эффективности, повышая мобильность национальных факторов производства и поощряя свободную торговлю между странами.

3.3.6. Тестирование модели Хекшера-Олина.
Парадокс Леонтьева
Выводы теории Хекшера-Олина достаточно убедительно объясняли структуру и объемы международных потоков товаров и услуг в международной торговле, имевшие место до конца 50-х годов XX столетия. Однако процессы, начало которым было положено в 60-е годы XX в., стали демонстрировать определенную ограниченность теории при объяснении характера и особенностей современного этапа развития международной торговли.
В частности, изменения в мире в обеспеченности различных стран факторами производства свидетельствуют о сближении развитых в промышленном отношении стран и стран, недавно вставших на путь промышленного развития. Сократилось или вовсе сошло на нет отставание от лидеров в обеспеченности других стран капиталом, квалифицированной рабочей силой и научным потенциалом, имевшее место
еще в 60-е годы. В роли таких лидеров, сдающих свои позиции в результате низких темпов прироста обеспеченности производственными факторами, выступают, например, Канада и особенно США.
Западная Европа в этом отношении оказалась менее неповоротливой, но и только. Япония и новые индустриальные страны (НИС) по обеспеченности учеными, квалифицированной рабочей силой и капиталом на одного работающего опередили и Северную Америку, и Западную Европу. Если эти процессы будут продолжаться, то у стран с развитой промышленностью произойдет постепенное выравнивание структур обеспеченности основными факторами производства при сохранении разрыва меNду ними и развивающимися странами.
Согласно теории Хекшера-Олина это должно сопровождаться:
1) снижением стимулов к торговле между промышленными странами;
2) расширением торговли "север - юг", между развитыми (север) и развивающимися (юг) странами.
В реальной действительности в международной торговле в последние годы происходят прямо противоположные процессы.
Во-первых, постоянно растет удельный вес торговли между странами с одинаково высоким уровнем доходов, т. е. между развитыми странами. В настоящее время этот показатель приближается к 60%. Более того, эти страны сблизились по уровню дохода на душу населения.
Поскольку одинаковый уровень доходов обычно свидетельствует о сходстве пропорций в обеспеченности факторами производства (более высокий доход ассоциируется с более квалифицированным трудом, большим объемом капитала и т. д.), очевидно, что вопреки основным постулатам теории Хекшера-Олина, торговля концентрируется в странах не с разными, а с одинаковыми пропорциями в обеспеченности факторами производства.
Во-вторых, в мировой торговле постоянно возрастает удельный вес встречных поставок сходных промышленных товаров.
Центр тяжести в международной торговле смещается, таким образом, к взаимной торговле "подобных стран" "подобными товарами", а вовсе не продукцией совершенно различных отраслей промышленности. Все это обусловило актуальность специальной проверки (тестирования) соответствия фактических тенденций развития внешней торговли теоретическим положениям неоклассической теории Хекшера-Олина.
Среди многочисленных исследований, посвященных практической проверке положений и выводов концепции Хекшера-Олина, следует остановиться на работе американского экономиста Василия
Леонтьева1, попытавшегося определить правильность тезиса о том, что страна, обладающая избыточными дешевыми факторами производства, экспортирует товары, требующие для своего производства преимущественно эти дешевые факторы. В частности, В. Леонтьев анализировал лишь два фактора: труд и капитал.
Результаты проверки оказались неожиданными. В условиях, когда относительно избыточным фактором в США являлся капитал, а дефицитным - труд, из расчетов, выполненных В.Леонтьевым, следовало, что США экспортировали преимущественно трудоемкую продукцию, а импортировали - капиталоемкую. Это противоречие, затем многократно перепроверенное, получило название парадокса Леонтьева.
Многие исследователи при этом пытались решить вопрос о несоответствии неоклассической концепции Хекшера-Олина практике развития внешнеторговых связей конкретных стран и избрали путь "поправок" отдельных элементов этой теории при сохранении главных ее положений. В подавляющей части эти поправки сводятся к увеличению числа факторов, прежде всего к включению дополнительных факторов: "технология", "квалификация рабочей силы", "предпринимательские способности", "качество управленческого персонала" и т. д.
Разукрупнение факторов производства вплоть до учета самых мелких повышает объясняющую способность теории Хекшера-Олина, придающей столь большое значение пропорциям между факторами. Как только мы научимся проводить более тонкие различия между факторами производства, обеспеченность различных отраслей ими предстанет перед нами совсем в другом свете. В конце концов различия в обеспеченности специфическими для каждой отрасли факторами столь велики, что это с успехом разрешает все неясности в структуре международной торговли.
Рассмотрим, например, как с помощью такого подхода можно было бы объяснить наличие крупных встречных потоков в торговле транспортным оборудованием между США и Японией, если обе страны в одинаковых пропорциях наделены и капиталом, и соответствующей рабочей силой.
Почему Япония закупает такое количество самолетов в 'США, одновременно снабжая их и весь остальной мир судами? Теория Хекшера-Олина не дает ответа на этот вопрос, если мы по-прежнему будем считать, что во всех производствах отрасли транспортного машиностроения
используются одни и те же факторы и в одной и той же пропорции.



Теорема Рыбчинского


Разница в относительных ценах на товары в разных странах, а следовательно, международная торговля между ними объясняются их различной наделенностью факторами производства.
Теорема о выравнивании цен факторов. Свободная торговля выравнивает цену на соответствующий фактор производства (факторную стоимость) в разных странах, заменяя таким образом внешнюю факторную подвижность. Эта теорема является выдающимся результатом, так как утверждает, что даже в отсутствие перемещения факторов между странами свободная торговля ведет к международному состоянию равновесия, в котором рабочие получают практически одинаковую зарплату, а владельцы капитала - одинаковую процентную ставку в разных странах мира.
Теорема Столпера-Самуэльсона. Увеличение относительной цены товара повышает реальную стоимость фактора, интенсивно используемого в процессе его производства, и уменьшает реальную стоимость другого фактора. Например, увеличение относительной цены ткани (трудоемкий товар) повышает реальную заработную плату и понижает реальный банковский процент за капитал.
Теорема Рыбчинского. При заданных коэффициентах (условиях) производства и полностью используемых объемах факторов расширение объема одного из факторов увеличивает выпуск товара, который
использует "расширенный" фактор интенсивно, и уменьшает объем выпуска другого товара.
Например, для рассматриваемого примера расширение объемов трудовых ресурсов увеличит объем выпуска ткани (трудоемкого товара) и понизит объем выпуска стали.
Проведем иллюстрацию сформулированных выше теорем.


1 Хекшер Эли (1879-1952) - шведский экономист, активно занимавшийся проблемами международной торговли.
Олин Бертил (1899-1979) - шведский экономист, ученик Хекшера. Лауреат Нобелевской премии 1977 г. по экономике за заслуги в развитии теории международной торговли.

3.3.1. Теорема Рыбчинского
Начнем с теоремы Рыбчинского, являющейся основой модели Хекшера-Олина. Предположим, что 1 м2 ткани требует 4 ед. труда и 1 ед. капитала, а 1 т стали требует для своего производства 2 ед. труда и 3 ед. капитала (табл. ЗЛО).
Таблица 3.10. Затраты ресурсов

Изготовляемая продукция
Затраты на единицу выпуска
труд (L)
капитал (К)
Ткань у, м2
4(L1)
1(K1)
Сталь х, т
2(L2)
3(K2)
Таким образом, ткань является более трудоемкой по отношению к стали, поскольку 4/1 2/3:

L1

L2
K1
K2

Предположим, что рассматриваемая экономическая система обеспечена 900 ед. труда и 600 ед. капитала. Используя эти данные как предложение труда и капитала, можем построить кривую производственных возможностей следующего вида (рис. 3.8).

Теорема Рыбчинского

Рис. 3.8. Кривая производственных возможностей страны
Если бы экономическая система имела неограниченное предложение капитала, она могла бы производить сталь и ткань в пределах, обусловленных ограничением по труду CD (2x + 4y 900), которое, кстати, аналогично границе производственных возможностей в рассмотренных выше рикардианских моделях, иллюстрирующих сравнительные преимущества (альтернативные издержки) производства.
Аналогично в случае неограниченного предложения труда рассматриваемая экономическая система могла бы осуществлять производство продукции в пределах, определенных ограничением по капиталу АВ (Зх + у 600). Когда предложение труда и капитала ограничивается, оба ограничения задают область допустимых решений, обусловленную ломаной линией СЕВ.
На рис. 3.8 линия ограничения по капиталу проходит по отношению к оси абсцисс "круче", чем линия ограничения по труду, что объясняется капиталоемкостью стали. Для понимания этого представим, что экономическая система находится в точке 100-процентного (полного) задействования факторов (E), и дадим экономике возможность увеличить объем выпуска стали (продвинемся к точке В). Капитал в этом случае останется полностью задействованным, в то время как количество безработных начнет увеличиваться.
Это означает, что сталь требует больше капитала на единицу затрат труда (на одного рабочего) нежели ткань, следовательно, сталь - более капиталоемкая продукция, чем ткань.
Для иллюстрации теоремы Рыбчинского предположим, что объем труда возрастает с 900 ед. до 1200 ед. (рис. 3.9).

Теорема Рыбчинского

Рис. 3.9. Модель теоремы Рыбчинского

В этом случае ограничение по труду (2х + 4у 1200) сдвигается выше параллельно линии CD до уровня C'D'. Общей границей производственных возможностей становится линия С'Е'В. Точка полной занятости перемещается из Е в Е'.
При этом выпуск ткани (трудоемкий товар) растет со 150 до 240 ед., в то время как выпуск стали (капиталоемкий товар) падает со 150 до 120 ед.
С ростом располагаемого объема труда выпуск трудоемкого товара должен расширяться, чтобы поглотить (потребить) расширенное предложение труда. Но так как труд используется в определенной комбинации с капиталом (предложение которого остается неизменным), очевидно должен сократиться объем выпуска капиталоемкого товара (чтобы "освободить" необходимое количество капитла).
Последствия теоремы Рыбчинского для международной торговли следующие. Расширение производства, например экспорт, с помощью относительно избыточного фактора приведет к падению производства в других отраслях, для которых данный фактор не является относительно избыточным. В этих отраслях вырастет потребность в импортных товарах.
В отдельных случаях такое падение может быть разоряющим, т. е. превышать положительные результаты от расширения производства и роста экспорта и даже привести к деиндустриализации1.
С такой проблемой, например, столкнулась Голландия в процессе разработки месторождений природного газа в Северном море (впоследствии эта проблема получила название "голландской болезни"). С ростом добычи природного газа промышленный экспорт Голландии все больше приходил в упадок. Причину такой деиндустриализации объясняет теорема Рыбчинского: добывающий сектор оттягивает ресурсы из промышленности, обусловливая падение производства в соответствующих отраслях.
Для нейтрализации такого эффекта может быть установлен налог на добываемый природный ресурс, а полученные доходы использованы для стимулирования промышленного производства (прямое субсидирование, налоговые льготы и т. п.).

1 В экономической литературе этот эффект называется эффектом разоряющего роста.

3.3.2. Теорема Хекшера-Олина
Доказательство теоремы, утверждающей, что страна экспортирует товар, который интенсивно использует избыточный фактор, начнем с некоторых кратких вводных замечаний по поводу причин международной торговли.
Непосредственной причиной международной торговли является, как мы выяснили ранее, разница между уровнями относительных цен
(альтернативных издержек) в странах до установления торговых отношений между ними (в условиях автаркии). Цены же в условиях автаркии зависят, как известно, от характера кривой производственных возможностей и социальных кривых (карт) безразличия, формализующих вкусы и предпочтения в обществе (стране). Графически это проиллюстрировано на рис.
3.10.

Теорема Рыбчинского

Рис. 3.10. Модель оптимизации объемов производства и цен в экономической системе
Так как граница производственных возможностей в свою очередь зависит от технологии, используемой в народном хозяйстве, и от располагаемых объемов ресурсов (факторов производства), основные параметры, определяющие структуру международной торговли, можно свести к:
обеспеченности факторами;
используемой технологии;
предпочтениям (вкусам) потребителей.
Базовая теория Хекшера-Олина исходит из упрощающей анализ предпосылки, что технология и вкусы в разных странах подобны, относя таким образом сравнительное преимущество лишь к различной обеспеченности производственными факторами (трудом и капиталом).
Теорему Хекшра-Олина проиллюстрируем при помощи модели на рис. 3.11.
Россия и Англия имеют идентичные условия спроса, представленные кривыми социального безразличия 1, 2 и 3, используют одну и ту же технологию, а различаются только обеспеченностью производственными
факторами. Англия, в частности, имеет бльший запас капитала, а Россия - труда (рабочей силы). Это наглядно иллюстрируют границы производственных возможностей: ABC - для Англии и А'В'С' - для России.

Теорема Рыбчинского

Рис. 3.11. Модель теоремы Хекшера-Олина
В условиях автаркии Англия достигает равновесия в точке D, где ее граница производственных возможностей ABC касается кривой социального безразличия 1.
Россия производит и потребляет объемы продукции, соответствующие точке В', где ее граница производственных возможностей также касается кривой безразличия 1. (Для простоты принимаем, что перед установлением торговых отношений обе страны достигают одной и той же кривой социального безразличия.)
В Англии относительная цена стали задается наклоном кривой социального безразличия 1 в точке D, а в России - наклоном той же самой кривой безразличия в точке В'.
Таким образом, относительная цена стали (капиталоемкий товар) ниже в Англии (капиталоизбыточная страна).
Капиталоизбыточная Англия имеет сравнительное преимущество в производстве капиталоемкой стали, а трудоизбыточная Россия - в производстве ткани.
В условиях свободной торговли относительная цена стали будет расти в Англии и падать в России, пока цена не станет одинаковой в обеих странах.



Теория Хекшера-Олина


для вина t = 100 л/т;
для автомобилей t = 1 авт./т;
для холодильников t = 6 хол./т.
Денежный обменный курс, или, другими словами, валютный курс, должен уравнять для двух стран цены на все товары (так как торговый обмен является свободным). Так как установившиеся условия торговли (0 обеспечивают равенство относительных цен (например, вина в расчете на 1 т масла), то достаточно определить денежный обменный курс только по одному из продуктов, например маслу:
для Германии 1 т масла =10 000 DEM;
для России 1 т масла = 40 000 RUR.
Откуда следует, что 10 000 DEM = 40 000 RUR. Значит, обменный курс равен 4 RUR за 1 DEM.
Рассчитанные таким образом национальные цены (с обязательным учетом обменных коэффициентов t) будут адекватно отражать состояние равновесия в международной торговле.
Естественно, все эти соображения пригодны лишь для свободного торгового обмена, когда каждый может купить данный товар там, где пожелает (транспортные издержки не учитываются).
Таким образом, тот факт, что в реальной действительности торговля ведется посредством денег (национальной валюты), нисколько не умаляет значение открытого Д. Рикардо закона сравнительного преимущества.


1 Страна не будет обладать сравнительным преимуществом по отношению к стране-партнеру лишь в том исключительном (а стало быть, невозможном случае), когда альтернативные издержки по каждому производимому в этих странах товару равны.
1 Напомним, что постоянство альтернативных издержек иллюстрируется линейным характером рассмотренных выше графических моделей международной торговли.
1 Читателям предлагается самостоятельно рассмотреть альтернативные издержки производства в стране природного газа (1/3; 1/2; 1).

3.3
Теория Хекшера-Олина1
Разрабатывая теорию сравнительных преимуществ, Давид Рикардо исходил из того, что различия между странами в производственных издержках определяются преимущественно различиями в природных и географических условиях. Этот принцип в общем справедлив, но не исчерпывает всех особенностей международной торговли.
На мировом рынке торгуют не только нефтью и апельсинами. Все большую роль во внешнеторговом обмене занимают, как уже было отмечено выше, товары обрабатывающей промышленности и услуги. В производстве и торговле этой продукцией, в формировании структуры мировой торговли все значительнее роль не столько природных, сколько других предпосылок.
В результате анализа этих предпосылок и была разработана новая концепция (теория) внешней торговли, объясняющая наличие сравнительных преимуществ у различных стран в условиях применения в этих странах практически одинаковой технологии.
Эту концепцию предложили шведские экономисты Э.Хекшер и Б. Олин, доказавшие, что различия в сравнительных издержках между странами объясняются, во-первых, тем, что в производстве различных товаров факторы используются в разных соотношениях, и, во-вторых, тем, что обеспеченность стран факторами производства неодинакова.
При этом в трактовке Хекшера-Олина страна будет иметь преимущества в тех отраслях, где интенсивно используются факторы, имеющиеся у нее в изобилии. Таким образом, страна, располагающая, например, в избытке дешевой рабочей силой, будет специализироваться на торговле продукцией, требующей значительных затрат труда (текстилем, одеждой, сборкой изделий из комплектующих и т. д.). Если же страна обладает избытком капитала, то ей выгодно экспортировать капиталоемкую продукцию (машины, оборудования и т. д.).
Прежде чем рассмотреть основные положения теории Хекшера-Олина, определим на формализованном уровне понятия капиталоемкости и трудоемкости изготовляемой продукции, воспользовавшись для этого данными табл. 3.9.
Таблица 3.9. Затраты ресурсов

Изготовляемая продукция
Затраты на единицу выпуска
труд (L)
капитал (К)
Ткань, м2
6(L1)
2(К1)
Сталь, т
8(L2)
4(К2)
В табл. 3.9 трудоемкой продукцией явSяется ткань, а капиталоемкой - сталь. Ткань является трудоемкой относительно стали потому, что ее производство требует на единицу капитала больше
труда, чем при изготовлении стали (6/2 8/4):


L1

L2
K1
K2

Аналогично сталь является более капиталоемкой продукцией по отношению к ткани поскольку при ее производстве на единицу затрат труда требуется больше капитала, чем при производстве ткани
(4/8 2/6):

K2

K1
L2
L1

Очевидно, что интенсивность использования фактора, подобно альтернативным издержкам или сравнительному преимуществу, является понятием относительным. Так, если определим, что ткань является трудоемким продуктом по отношению к стали, то из этого автоматически следует, что последняя является капиталоемкой по отношению к ткани.
Далее формализуем понятие факторного изобилия (избытка), т. е. установим на основе чего страны должны быть классифицированы как трудоизбыточные или капиталоизбыточные. Для ответа на данный вопрос могут быть использованы два критерия: физическое изобилие и экономическое изобилие.
Физический критерий определяет факторное изобилие на основе физического количества труда и капитала, которыми располагают разные страны, т. е. на основе предложения факторов производства. Согласно физическому критерию можно, например, утверждать, что Россия является трудоизбыточной относительно Англии, если Россия обеспечена большим количеством единиц труда (или рабочих) на единицу капитала (!)
Экономический критерий классифицирует страны как трудо- или капиталоизбыточные на основе их автаркических равновесных отношений:
Цена за единицу труда / Цена за единицу капитала
или
Заработная плата / Процентная ставка.
Согласно экономическому критерию Россия трудоизбыточна относительно, например, Англии, если в ее изолированном состоянии равновесия труд относительно более дешев в России нежели в Англии (т. е. если отношение "заработная плата / процентная ставка" в России ниже (меньше), чем в Англии).
Каково основное различие между двумя критериями факторного изобилия? Физический критерий основан исключительно на предложении факторов производства и полностью игнорирует влияние спроса; экономический - учитывает как предложение факторов, так и спрос на них: ведь равновесные цены на факторы производства, подобно товарным ценам, определяются и спросом, и предложением.
Вообще говоря, условия спроса в некоторых обстоятельствах могут "перевесить" условия предложения: в этом случае рассмотренные критерии могут дать противоречивые результаты классификации. Например, предположим, что российское отношение "труд / капитал" выше, нежели в Англии, но российские потребители имеют намного более сильные пристрастия, чем английские, к потреблению именно трудоемких благ.
Сильное российское пристрастие к потреблению трудоемких благ обусловливает высокую степень эластичности спроса на российский труд и соответственно высокий уровень его цены (заработной платы).
Таким образом, российский труд в изолированных автаркических условиях может быть относительно более дорогим, нежели британский труд, даже если Россия по физическому критерию, учитывающему только предложение труда, трудоизбыточна по отношению к Англии.
В стандартной модели Хекшера-Олина противоречия между физическим и экономическим критериями устраняются предположением о том, что вкусы и предпочтения в разных странах являются в значительной мере сходными. Таким образом, в стандартной модели Хекшера-Олина можно судить о факторном изобилии на основе любого критерия.
Необходимо отметить, что факторное изобилие - также относительное понятие. Если, например, установлено, что Россия является трудоизбыточной относительно Англии (по любому критерию), должно быть верно и то, что Англия является капиталоизбыточной относительно России.
Перейдем теперь к рассмотрению собственно модели Хекшера-Олина. Суть стандартной модели Хекшера-Олина может быть подытожена в четырех теоремах. Это: теорема Хекшера-Олина; теорема о выравнивании цен факторов; теорема Столпера-Самуэльсона; теорема Рыбчинского.
Сформулируем перечисленные теоремы.

Теорема Хекшера-Олина. Страна имеет сравнительное преимущество в товаре, который интенсивно использует избыточный фактор страны. Например, Россия (трудоизбыточная страна) будет иметь сравнительное преимущество в производстве трудоемкого товара, который и будет экспортировать (в нашем условном примере - ткань).
Аналогично Англия (капиталоизбыточная страна) будет иметь сравнительное преимущество в производстве стали (капиталоемкий товар), которую будет вывозить за границу, обменивая (для данных рассматриваемого примера) на ткань.
Поэтому теорему Хекшера-Олина иногда формулируют следующим образом: в странах имеет место тенденция экспортировать товары, для изготовления которых используются имеющиеся в избытке факторы производства, и наоборот, импортировать товары, для производства которых необходимы относительно редкие дефицитные факторы.
Или совсем кратко: страны экспортируют продукты использования избыточных факторов и импортируют продукты использования дефицитных для них факторов.
Таким образом, теорема Хекшера-Олина идет на один шаг дальше классической теории сравнительных преимуществ: она не только признает, что торговля основывается на сравнительных преимуществах, но и выводит причину сравнительных преимуществ - различие в наделенности стран факторами производства.



Теория внешнеторговой деятельности фирм


Страна-разработчик в это время создает новый товар, который пока неизвестен зарубежным странам. История научно-технической революции второй половины XX в. дает многочисленные подтверждения модели жизненного цикла товара.
Классическим примером прохождения товара через подобные этапы может быть история развития электроники. В течение первых лет
после Второй мировой войны производители США доминировали на мировом рынке радиоаппаратуры, действовавшей на вакуумных трубках. Япония, используя дешевую рабочую силу, оказалась в состоянии обеспечить производство более дешевых и не уступающих по качеству радиоприемников и других электронных приборов на вакуумных лампах. В свою очередь, США наладили производство транзисторных электронных приборов.
Через несколько лет Япония догнала США и в этой области производства, захватив затем значительную часть международного рынка электронной продукции. Следующий "виток" жизненного цикла этого товара был связан с разработкой и производством в США интегральных схем.

3.6.3. Теория внешнеторговой
деятельности фирм
В данной теории в качестве объекта анализа выступает не отдельная страна, а международная фирма. Объективной основой такого подхода является общепризнанный экономической наукой факт: значительная часть внешнеторговых операций фактически представляет собой внутрифирменный обмен: на внутрифирменные связи в настоящее время приходится около 70% всей мировой торговли товарами и услугами, 80-90% продаваемых лицензий и патентов, 40% экспорта капитала.
Внутрифирменная торговля базируется на обмене полуфабрикатами и запасными частями, используемыми при сборке изделия, предназначенного для реализации на мировом рынке. При этом внешнеторговая статистика свидетельствует о том, что внешняя торговля быстро расширяется между странами, где находятся крупнейшие транснациональные корпорации.

3.6.4. Теория конкурентных
преимуществ страны
Попытку совместить на качественно новой основе теорию факторов производства и теорию внешнеторговой деятельности фирм предпринял американский экономист Майкл Портер1. В конце 80-х годов он провел масштабное исследование около 100 отраслей в десяти крупнейших промышленно развитых странах, на которые приходилось
более 50% мирового экспорта. В результате М. Портер разработал оригинальную теорию конкурентных преимуществ страны. Центральное место в его концепции занимает идея о взаимосвязи четырех главных параметров экономики, формирующих конкурентную макросреду, в которой действуют фирмы этой страны.
По мнению М. Портера, основными параметрами, определяющими развитие современной международной торговли, являются:
1) факторные условия;
2) условия (параметры) спроса;
3) близкие и обслуживающие отрасли;
4) стратегия фирмы и конкуренция.
Факторные условия. Рассматривая факторы производства с точки зрения их влияния на конкурентные преимущества страны, М. Портер наряду с традиционными факторами (труд, земля, капитал, предпринимательская способность) выделяет и такие факторы, как информационная обеспеченность научной, технической, а также рыночной структур, состояние транспортной системы, системы здравоохранения, системы связи и даже обеспеченность населения жилым фондом.
Признавая значимость факторных условий, число которых у М. Портера весьма значительно, он, в отличие от создателей неоклассической теории международной торговли, считает, что эти факторы в своем большинстве страной не наследуются, а создаются в процессе развития (расширения) производства. Например, нехватка такого фактора, как земля, стала основой для разработки в Японии компактных технологических процессов, востребованных впоследствии на мировом рынке.
Конкурентные преимущества, по мнению М. Портера, в конечном счете являются результатом эффективного сочетания и использования обстоятельств, имеющих место в стране, и стратегии, которая избрана конкретной фирмой. Условия той или иной страны могут создать обстановку, в которой фирмы могут достичь конкурентных преимуществ в международном плане, но дело самой фирмы - воспользоваться или не воспользоваться этой возможностью.
Условия (параметры) спроса - это, в первую очередь, емкость спроса, динамика его развития, дифференциация спроса на виды продукта, требовательность покупателей к качеству товаров и услуг. Именно на внутреннем рынке в условиях развитого спроса должны получить апробацию новые изделия до выхода их на мировой рынок. Например, японцы, проживающие в небольших по габаритам жилищах, ориентировались на потребление дешевых энергосберегающих кондиционеров,
которые стала выпускать японская промышленность. Впоследствии такие кондиционеры широко использовались во всем мире, что обеспечило их широкий экспорт японскими компаниями.
Близкие и обслуживающие отрасли. Наличие в национальной экономике высокоразвитых родственных и поддерживающих отраслей, обеспечивающих отечественные фирмы в экспортно-ориентированных отраслях необходимыми материалами, полуфабрикатами, комплектующими изделиями и другими материальными средствами и информацией, выступает необходимым условием создания и поддержания конкурентного преимущества в мировой торговле для фирм соответствующих отраслей.
Например, итальянские фирмы, производящие ювелирные изделия, процветают потому, что Италия является мировым лидером по производству машин для обработки драгоценных камней и металлов. Другой пример. В конце 60-х - начале 70-х годов XX в. на весьма прибыльном американском рынке больших мотоциклов британские фирмы были существенно потеснены японскими фирмами "Хонда" и "Судзуки". Одной из причин этого, как установили эксперты, было наличие у этих японских фирм дочерних компаний, чьей единственной задачей было изготовление для них специальных станков на основе самых последних технических достижений.
Британские же фирмы использовали станки общего назначения, не имевшие уникальных конкурентных преимуществ.
Стратегия фирмы и конкуренция. В обеспечении национального конкурентного преимущества немаловажную роль играют фирменная структура и конкурентная среда внутри страны, складывающиеся в результате соперничества фирм, прежде всего, отечественных. М. Портер категорически отрицает потенциальную полезность концентрации производства на одной национальной фирме, тем более защищенной государственной поддержкой.
Большинство таких фирм отличается низкой эффективностью, расточительностью используемых ресурсов, низкой производительностью. Острая конкуренция на внутреннем рынке стимулирует выход фирмы за границу, способствует поиску внешних рынков.
Преуспевающие фирмы, закаленные в "домашней" борьбе, используют приобретенные в этой борьбе конкурентные способности на более жестких (а порой и жестоких) мировых рынках. Чем ожесточеннее борьба "дома", тем больше вероятность того, что такие фирмы выдержат испытание временем и будут господствовать за границей.
Конкуренция, с точки зрения М. Портера, должна носить глобальный характер. Необходимо продавать свой товар во всем мире, а не
только на внутреннем рынке. Важное место в обеспечении конкурентоспособности продукции отечественного производства М. Портер уделяет фирменной стратегии и организационной структуре. При этом невозможно, по мнению М. Портера, выделить какую-либо универсальную фирменную стратегию, или систему управления, которая была бы одинаково применима всеми фирмами во всех странах. Итальянским фирмам, лидирующим в производстве мебели, светотехнических устройств, обуви, свойственны отсутствие жестких форм управления и способность к быстрым изменениям управленческих структур.
Для немецких же фирм, эффективно специализирующихся в области производства оптики и точного машиностроения, типична жесткая система централизованного управления.
Кроме рассмотренных выше, в общую систему параметров, определяющих конкурентные преимущества, М. Портер включает и роль случайных событий, которые могут либо усилить, либо ослабить сложившиеся конкурентные преимущества страны. Случайными являются события, которые имеют мало общего с условиями развития экономики страны и влиять на которые часто не могут ни фирмы, ни правительство. К наиболее важным событиям такого рода можно отнести новые изобретения, крупные технологические сдвиги (прорывы), резкие изменения цен на ресурсы (например, "нефтяной шок"), значительные изменения на мировых финансовых рынках, войны и т. п.
В формировании национального конкурентного преимущества огромную роль играет правительство страны. Своей денежно-кредитной, бюджетно-налоговой и таможенной политикой оно прямо влияет на параметры спроса и факторы производства. Осуществляя антимонопольное регулирование, правительство оказывает воздействие на поддержание оптимальной конкурентной среды в ведущих секторах и отраслях национальной экономики, содействует развитию родственных и сопряженных отраслей, взаимодействующих с ведущими экспортными отраслями.
Таким образом, теория М. Портера в настоящее время наиболее полно отражает все важнейшие параметры национальных экономик, определяющих в своей совокупности конкурентные преимущества той или иной страны.
Отметим, что существуют и другие теории внешней торговли; однако все они, в том числе и рассмотренные выше, требуют дальнейшего развития и адаптации к современным весьма динамичным условиям международной торговли.

1 См.: Портер М. Международная конкуренция. Конкурентные преимущества стран. М, 1993.





Варианты восстановления равновесия.


Стрелками на рис. 12.12 показаны варианты восстановления равновесия. В частности, при избыточном предложении (E3) равновесие может быть вновь достигнуто либо в точке (E1) при неизменном объеме дохода (Y1) за счет снижения ставки процента (с i2 до i1), либо в точке (Е2) при той же ставке процента (i2) за счет увеличения объема совокупного дохода (с Y1 до Y2).

Варианты восстановления равновесия.

Рис. 12.12. Анализ неравновесных состояний денежного рынка
Точно так же, как экономическая система стремится к точкам, лежащим на кривой IS, она стремится и к точкам равновесия, определяемым кривой LM.
Если экономическая ситуация в стране будет соответствовать, например, точке Е3 у населения оказывается денег больше, чем они желают иметь. Чтобы избавиться от лишних денег, люди будут покупать облигации, а это повлечет за собой повышение цен на облигации и снижение процентных ставок. При избыточном предложении денег ставка процента будет падать до тех пор, пока не достигнет равновесного уровня, задаваемого кривой LM.
Если экономическая система описывается точкой Е4, процентная ставка находится ниже равновесного уровня, и люди хотят иметь больше денег, чем у них есть. Для того чтобы у них появились дополнительные деньги, они будут продавать облигации, тем самым снижая их цену и повышая процентную ставку. Этот процесс остановится только тогда, когда процентная ставка повысится до равновесного уровня, определяемого соответствующей точкой на кривой LM.
Кривая LM в отличие от кривой IS является восходящей. Увеличение ставки процента вызывает совершенно естественное сокращение спроса на реальные денежные средства. Чтобы в этих условиях поддержать спрос на реальные денежные запасы на уровне, равном некоторому фиксированному их предложению, величина дохода должна возрасти.
Очевидно таким образом, что во всех точках кривой LM реальное предложение денег1 остается неизменным. Отсюда же следует, что изменение реального предложения денег вызывает сдвиг кривой LM: вправо, если предложение увеличивается, и влево, если сокращается. Рассмотрим, например, последствия увеличения реального предложения денег (рис.
12.13).

Варианты восстановления равновесия.

Рис. 12.13. Последствия увеличения предложения денег
При увеличении предложения денег до уровня (MIP)S' для восстановления равновесия на денежном рынке при уровне дохода Y1 ставка процента должна понизиться до уровня i1. Это предполагает, что на правом графике рис. 12.13 кривая LM смещается вправо (вниз) в положение LM'.
Таким образом, при каждом уровне дохода равновесная ставка процента должна быть ниже, чтобы стимулировать людей владеть большим количеством реальных денежных запасов.
К факторам, вызывающим сдвиг кривой LM, относятся также автономные изменения спроса на деньги. Например, усиление волатильности (вариации доходности) облигаций повысит степень риска владения ими (по сравнению с деньгами), а это повлечет за собой рост спроса на деньги при любых заданных уровнях ставки процента. В результате
такого автономного повышения спроса на деньги кривая LM сдвинется влево. В противоположном случае, а именно при автономном сокращении спроса на деньги, кривая LM сдвигается вправо. Тогда при прежнем значении процентной ставки возникает избыточное предложение денег, которое будет устранено путем роста величины спроса на деньги вследствие снижения ставки процента.
Наклон кривой LM, во многом определяющий эффективность денежно-кредитной политики, зависит от степени восприимчивости спроса на деньги, во-первых, к изменению уровня дохода и, во-вторых, к изменению размера ставки процента. В частности, кривая LM проходит по отношению к оси дохода тем круче, чем более спрос на деньги восприимчив к изменению уровня дохода и чем менее - к изменению величины ставки процента.
Если же, например, спрос на деньги очень чувствителен к изменению ставки процента (кривая LM занимает в этом случае почти горизонтальное положение), то любое, даже незначительное, изменение ставки процента будет сопровождаться в этом случае значительными изменениями в уровне дохода для обеспечения равновесия на денежном рынке.


1 Реальное предложение денег зависит от объема денежной массы и уровня цен в стране.

12.3.3. Общее внутреннее макроэкономическое
равновесие
Рассмотрев условия равновесия на товарном и денежном рынках в отдельности, следующим естественным этапом будет рассмотрение этих рынков вместе, с учетом их взаимосвязи и взаимообусловленности. Модель, описывающая условия одновременного равновесия на давмых рынках (модель IS-LM), приведена на рис. 12.14.
Точка Е экономического равновесия в модели IS-LM определяет ставку процента iE и уровень дохода YE, которые удовлетворяют как условию равновесия товарного рынка, так и условию равновесия денежного рынка. Другими словами, в точке Е реальные расходы экономической системы равны планируемым, а спрос на реальные денежные средства равен их предложению.
В любой другой точке диаграммы, представленной на рис. 12.14, по крайней мере одно из этих условий не удовлетворяется, и рыночные силы толкают экономику к общему равновесию, соответствующему точке Е.
Для того чтобы понять, как это происходит, рассмотрим, что произойдет, если экономическая ситуация будет описываться точкой А. Несмотря на то, что в точке А товарный рынок находится в равновесном состоянии (совокупный спрос равен совокупному предложению),

процентная ставка оказьюается выше равновесной, а потому спрос на деньги оказывается ниже, чем их предложение. Так как у людей есть лишние деньги, они попытаются избавиться от них, покупая облигации. В результате увеличатся цены на облигации, что послужит причиной падения процентных ставок, а это в свою очередь приведет к росту и планируемых инвестиционных расходов, и объема чистого экспорта. Совокупный спрос начнет возрастать и точка, описывающая текущее состояние экономики, будет двигаться вниз по линии IS до тех пор, пока процентные ставки не упадут до уровня iE, а совокупный выпуск не возрастет до YE, т. е. до тех пор, пока экономика не придет в равновесное состояние, отображаемое точкой Е.

Варианты восстановления равновесия.

Рис. 12.14. Равновесие в модели IS-LM
В точке В, несмотря на то, что спрос на деньги равен их предложению, национальный доход оказывается выше равновесного уровня, т. е. больше совокупного спроса. Фирмы не могут продать всю свою продукцию и накапливают незапланированные запасы, что заставляет их сокращать производство и снижать выпуск. Снижение объема выпуска означает, что спрос на деньги упадет, а это приведет к снижению процентных ставок. В результате точка, описывающая текущее состояние экономики, будет сдвигаться вниз по кривой LM до тех пор, пока не достигнет точки общего равновесия Е.
Скорость восстановления равновесия на товарном и денежном рынках, как показывает практика, различна. Если на денежном рынке
равновесие обеспечивается посредством элементарных операций купли и продажи облигаций, то восстановление равновесия на товарном рынке требует от фирм изменения графиков производства, на что они могут пойти после того, как убедятся в том, что те или иные изменения в товарных запасах являются достаточно продолжительными. Таким образом, в условиях развитого денежного рынка экономика достаточно быстро достигает равновесия на этом рынке (одной из точек на кривой LA),a затем более медленно устанавливается равновесие на рынке товаров (движение вдоль кривой LM в направлении к точке общего равновесия Е).
Модель IS-LM, позволяющая определить равновесный уровень дохода в условиях фиксированного уровня цен, широко используется экономистами для анализа влияния на национальный доход краткосрочных колебаний макроэкономической политики. Рассмотрим кратко основные направления ее использования в аналитических целях.
Начнем с анализа макроэкономических последствий для экономики страны в краткосрочном периоде бюджетно-налоговой и денежно-кредитной политики.
Предположим, что правительство, проводя расширительную политику, увеличило государственные расходы (G) на величину G. Кривая IS сдвинется при этом вправо на величину

G
1 - MPC
(где

1
1 - MPC
представляет собой простой мультипликатор расходов Дж. М. Кейнса) (рис. 12.15).
Равновесие экономической системы перемещается из точки Е в точку Е1. При этом имеет место как рост уровня дохода (от Y до Y1), так и ставки процента (от i до i1).
Обратим при этом внимание читателей на то, что рост дохода в ответ на стимулирующую бюджетную политику в модели IS-LM меньше, чем в кейнсианской модели "доходы-расходы": Y G/(1 - МРС). Это различие объясняется тем, что в модели "доходы-расходы" инвестиционные расходы предполагаются постоянными. В модели же 1S-LM рост дохода в результате увеличения государственных расходов предполагает увеличение спроса на деньги и соответствующий рост ставки процента, чтобы обеспечить равенство спроса на деньги их зафиксированному предложению. Повышение ставки процента обусловливает снижение инвестиционных расходов1, поэтому прирост уровня равновесного дохода в рассматриваемой модели общего равновесия

Варианты восстановления равновесия.

Рис. 12.15. Бюджетно-налоговая политика в модели IS-LM

Варианты восстановления равновесия.

Рис. 12.16. Денежно-кредитная политика в модели IS-LM



Влияние стимулирующей бюджетно-налоговой политики


реального обменного курса. Национальная валюта становится менее ценной, и товары собственного производства становятся менее дорогими по сравнению с иностранными.

Влияние стимулирующей бюджетно-налоговой политики

Рис. 11.4. Влияние стимулирующей
бюджетно-налоговой политики за рубежом
на реальный обменный курс
Внешнеторговая политика. Теперь, имея модель, описывающую платежный баланс и реальный обменный курс, можем применить этот аппарат к анализу макроэкономических последствий внешнеторговой политики.
В широком смысле внешнеторговая политика - это политика, проводимая с целью оказания прямого воздействия на количество импортируемых или экспортируемых товаров и услуг. Чаще всего, однако, торговая политика направлена на защиту собственной промышленности от конкуренции из-за рубежа либо путем введения налогов на импорт (тарифов), либо путем установления количественных ограничений на импорт товаров и услуг (квоты).

Влияние стимулирующей бюджетно-налоговой политики

Рис. 11.5. Влияние протекционистской
политики на реальный обменный курс
В качестве примера протекционистской торговой политики рассмотрим, что произойдет, если правительство сократит объем импорта иностранных товаров. В этом случае при любом данном значении реального обменного курса объем импорта должен уменьшиться, т. е. величина чистого экспорта (экспорт минус импорт) должна возрасти. В итоге кривая чистого экспорта (ХN) смещается вверх (рис.
11.5).
В новой точке равновесия Е2 реальный обменный курс стал выше, а величина чистого экспорта (XN) осталось неизменной.
Отсюда следует, что протекционистская торговая политика не влияет на сальдо текущего счета платежного баланса. Этот вывод очень важен, тем более, что его часто игнорируют в дебатах, рассчитанных на широкую публику. Поскольку дефицит текущего счета платежного баланса отражает превышение импорта над экспортом, можно предположить, что сокращение импорта должно уменьшить дефицит текущего счета платежного баланса.
Тем не менее наша модель убедительно показывает, что протекционистская политика ведет только к повышению реального обменного курса.
Это происходит потому, что удорожание товаров отечественного производства по сравнению с иностранными товарами ведет к снижению чистого экспорта, сводя на нет увеличение чистого экспорта, которое было вызвано протекционистскими мерами.
Как это наглядно следует из рис. 11.5, для изменения сальдо текущего счета XN необходимо изменить счет движения капитала, который отражает соотношение между инвестициями и сбережениями (S - I). Поскольку протекционистская политика не затрагивает ни инвестиций, ни сбережения, она не может повлиять на счет движения капитала, а следовательно, и на счет текущих операций.
Тем не менее, протекционистская политика влияет на объем внешнеторгового оборота. Как мы видели, при повышении реального обменного курса товары и услуги отечественного производства становятся более дорогими по сравнению с иностранными.
Таким образом, в новой точке равновесия объем экспорта из данной страны будет меньше. А поскольку чистый экспорт остается неизменным, стране придется меньше импортировать. Таким образом, протекционистская политика ведет к уменьшению объемов как импорта, так и экспорта.
Такое сокращение общего объема торговли является главным аргументом возражений экономистов против проведения протекционистской политики. Международная торговля приносит выгоду всем странам, позволяя каждой из них специализироваться на товарах и услугах, производство которых в них организовано лучше всего, и предоставляя населению в каждой стране больший выбор товаров и услуг. Протекционистская же политика сводит эти преимущества торговли на нет.
Хотя эта политика может быть выгодной определенным группам производителей в обществе, общество в целом проигрывает от сокращения объемов международной торговли.

11.2
Адаптация платежного баланса
в условиях фиксированного и гибкого
номинальных курсов валют
Экономическая политика, проводимая в современных условиях тем или иным государством, представляет собой сложную систему мероприятий, направленных на создание оптимальных условий функционирования народного хозяйства. Одним из таких условий эффективного функционирования открытой экономической системы является, как уже отмечалось выше, отсутствие (недопущение) дефицита платежного баланса страны.
Особое место в числе показателей, используемых в качестве средства государственного регулирования платежного баланса, занимает валютный курс, повышение или понижение которого нMмедленно и непосредственно воздействует на экономическое положение страны. Изменяются ее внешнеэкономические показатели, валютные резервы, задолженность, динамика товарных и финансовых потоков. В частности, понижение номинального курса национальной валюты позволяет за то же количество иностранной валюты получить большее количество национальной валюты. В результате национальные товары на иностранных рынках становятся дешевле и облегчается их экспорт. При этом уменьшается количество иностранной валюты, выручаемой за единицу проданного товара.
Вместе с тем импортные товары становятся дороже и количество национальной валюты, необходимой для приобретения единицы этого товара, увеличивается. Очевидно, что особенности функционирования механизма адаптации платежного баланса в случае восстановления его нарушенного равновесия будут во многом определяться характером номинального валютного курса.
11.2.1. Адаптация в условиях гибких валютных
курсов
Особенностью свободно колеблющегося обменного курса является то, что его колебания рассматриваются если не в качестве единственного, то по крайней мере важнейшего средства, обеспечивающего автоматическое сведение платежного баланса страны.
Для упрощения анализа влияния обменного курса валюты на состояние платежного баланса предположим, что международного кредитования и заимствования не существует. Эта предпосылка подразумевает,
что иностранная валюта используется только в сделках по импорту и экспорту товаров и услуг.
Импортеры должны иметь иностранную валюту, чтобы оплатить товар за границей. Следовательно, импорт является источником спроса на иностранную валюту. Экспорт, напротив, приносит иностранную валюту и таким образом представляет источник ее предложения.
На валютном рынке предложение иностранной валюты со стороны экспорта встречается со спросом со стороны импорта. Таким образом устанавливаются обменные курсы.
Рассмотрим графическую модель рынка иностранной валюты (рис. 11.6). На оси ординат будем откладывать обменный курс национальной валюты (например, рубля), или, другими словами, рублевую цену единицы иностранной валюты, в данном случае доллара.

Влияние стимулирующей бюджетно-налоговой политики

Рис. 11.6. Модель рынка иностранной валюты
На оси абсцисс будем откладывать количество иностранной валюты. При этом предложение иностранной валюты представляет собой общую стоимость экспортных доходов, выраженную в рублях. Действительно, если экспортеры при определенном валютном курсе зарабатывают 10 млрд. руб., то это есть не что иное, как предложение иностранной валюты, пересчитанной при данном обменном курсе в рубли.
Подобным же образом спрос на иностранную валюту можно представить как общую стоимость импорта, измеренную в рублях. Следовательо, на оси абсцисс откладываем объем доходов от экспорта и объем расходов на импорт в рублях.
Удешевление отечественной валюты (при неизменных объеме совокупного спроса иностранцев, а также уровне внутренних и внешних цен) приводит к относительному удешевлению наших товаров за границей. В этом случае спрос на наши товары и доходы от экспорта возрастут. Импорт же в этих условиях, напротив, дорожает, что ведет к снижению расходов на импорт и спроса на иностранную валюту.
Очевидно, что валютный курс в режиме свободного плавания является той ценой рубля, которая может привести валютный рынок в состояние равновесия (см. точку Е на рассматриваемом рис. 11.6). Если курс рубля падает, скажем, до 70 руб./долл., то появляется превышение доходов от экспорта над расходами на импорт.
Появляющееся в результате этого положительное сальдо текущего счета платежного баланса проявляется в превышении предложения иностранной валюты над спросом на нее.
Как и на любом рынке, излишек предложения вызывает снижение цен, в данном случае снижается курс иностранной валюты и растет курс рубля (что показано направленной вниз стрелкой). И наоборот, при курсе рубля, скажем 40 руб./долл., расходы на импорт будут больше поступлений от экспорта. Расходы на импорт возрастают, потому что импорт оказывается очень дешевым в сравнении с нашими товарами, тогда как за границей наш экспорт дорожает. Превышение расходов на импорт над поступлениями от экспорта - дефицит текущего счета платежного баланса - переходит в излишек спроса на иностранную валюту над ее предложением.
Это ведет к удорожанию иностранной валюты и удешевлению рубля (стрелка вверх), в результате чего равновесие восстанавливается.
Таким образом, при свободно плавающих курсах (и при отсутствии международного заимствования и кредитования) валютный обменный курс меняется так, чтобы устранить любой дефицит или положительное сальдо текущего счета платежного баланса и уравнять спрос на иностранную валюту, вызываемый импортом, с предложением иностранной валюты, обеспечиваемым экспортом.





    Экономика: Знания - Циклы - Макроэкономика