Е. Гришина, А. Александрова - Неравномерность развития муниципальных образований
Авторы выражают признательность Мисихиной С.Г. (МОТ) и Денисовой И.А. (ЦЕФИР) за ценные замечания и комментарии, высказанные при подготовке доклада. Представленные в тексте взгляды, включая возможные ошибки, отражают мнение авторов и могут не соответствовать позиции Фонда «Институт экономики города».
1. Введение
Неравномерность социально-экономического развития административно-территориальных образований представляет собой один из наиболее актуальных вопросов разработки экономической политики для большинства стран. Данная проблема является особенно значимой при федеративном устройстве, поскольку значительные разрывы в уровне развития территорий способны привести к политической разобщенности и экономической дезинтеграции. Сегодня, когда страна готовится к вступлению в силу Федерального закона «Об общих принципах организации местного самоуправления в Российской Федерации», оценка масштабов не только межрегиональной, но и межмуниципальной дифференциации в рамках субъектов федерации в России приобретает особое значение. Кроме того, оценка межмуниципального неравенства в России необходима, поскольку проводимые реформы местного самоуправления обостряют проблему нахождения баланса между преимуществами и трудностями децентрализации. В связи с предстоящим перераспределением полномочий и предметов ведения между государством и местным самоуправлением в скором будущем возможны конфликты между большей свободой выбора на местах и обеспечением социального равенства, фискальной автономией в решении местных проблем и строгими требованиями прозрачности и подотчетности, необходимостью координации различных уровней управления и независимостью местного самоуправления. Разрешению подобных конфликтов может способствовать разработка программ развития регионов таким образом, чтобы в них максимально учитывались местные особенности и стимулировались эффективные преобразования на муниципальном уровне.
В исследованиях, анализирующих межрегиональное неравенство, подчеркивается, что рост неравенства на региональном уровне является предметом особой важности и стимулом к корректировке программ регионального развития [8]. Однако в силу сложностей получения сопоставимых данных, исследований, посвященных вопросам анализа и выравнивания неравномерностей территориального развития на муниципальном уровне в России, чрезвычайно мало. Тема муниципального неравенства поднималась в работе И. Слинько [13] в связи с анализом влияния фискальной децентрализации на благосостояние российских регионов. В данном исследовании была подчеркнута важность вопроса о неравномерности развития и сделан вывод о том, что межмуниципальное неравенство приводит к снижению экономического роста в регионах с отсутствием высоко обеспеченных муниципальных образований [1].
В настоящем исследовании мы фокусируем внимание на отработке методики оценки внутрирегионального неравенства. Рабочая гипотеза состоит в том, что в экономике России пространственные различия являются существенным фактором, определяющим благосостояние и перспективы экономического роста и благосостояния населения на региональном уровне. Данная гипотеза вытекает из изучения процессов урбанизации, а также из анализа бедности, который указывает на ключевую значимость пространственного фактора для благосостояния [4], [6], [14]. В докладе излагаются результаты ее эмпирической проверки и указывается на необходимость совершенствования статистических показателей (в первую очередь, муниципальной статистики) для целей анализа неравномерностей развития муниципальных образований.
Доклад состоит из трех основных частей. В первой дается характеристика используемых данных и расчетных показателей, позволяющих производить оценку внутрирегионального неравенства. Вторая часть посвящена результатам использования предложенной методики для оценки степени неравномерности развития муниципальных образований рассмотренных регионов. Краткие выводы, вытекающие из расчетов, включая возможные предложения по развитию данного направления исследования, приводятся в третьей части.
2. Используемые данные и расчетные показатели
В исследовании использованы данные Госкомстата России, опубликованные в статистических сборниках Госкомстата по республикам Чувашия (1995-2000 гг.) и Марий-Эл (2000 г.), Томской (1995-2000 гг.) и Пермской областях (1998-2000 гг.). Данные регионы были отобраны по результатам предварительного анализа доступных статистических данных в разрезе муниципальных образований, проведенного в 10 регионах России. Именно в указанных четырех субъектах удалось собрать наиболее полную и сопоставимую между собой (по набору параметров, формам представления данных) статистическую информацию. Строго говоря, для целей исследования такой подход к выбору регионов не является оптимальным. Более предпочтительным был бы сознательный выбор регионов, наблюдаемые результирующие показатели экономического развития которых значительно различаются как по абсолютным значениям, так и в динамике. В этом случае можно было бы провести анализ влияния межмуниципального неравенства на суммарный показатель развития по группам регионов, выделив отдельно промышленно развитые и аграрные территории, области с различным административно-территориальным устройством, или сгруппировав регионы по другим интересующим исследователя признакам. Однако на первой стадии исследования мы исходим из доступности информации, рассчитывая заинтересовать субъекты Российской Федерации и ведомства подобного рода исследованиями и продолжить в перспективе работу с участием заинтересованных регионов и на основе их статистических данных. Ниже представлены краткие сведения о рассматриваемых в докладе регионах.
■Республика Марий Эл.
В структуре валового регионального продукта в 2000 г. промышленность составляла 28,4%, сельское хозяйство - 19,5, строительство - 5,7, транспорт - 2,8, торговля и коммерческая деятельность по реализации товаров и услуг - 8,9%. Промышленность республики специализируется на машиностроении и металлообработке. Развиты пищевая промышленность, электроэнергетика, лесная, деревообрабатывающая и целлюлозно-бумажная промышленность. В сельском хозяйстве ведущее место занимает земледелие (производство зерна, выращивание овощей, картофеля, льна-долгунца); развиты животноводство, которое имеет молочно-мясное направление, птицеводство.
■Республика Чувашия
В структуре валового регионального продукта в 2000 г. промышленность составляла 31,2%, сельское хозяйство - 18,6, строительство - 8,8, транспорт - 2,9, торговля и коммерческая деятельность по реализации товаров и услуг - 10,4%. Основные отрасли промышленности: машиностроение и металлообработка, пищевая, электроэнергетика, химическая и нефтехимическая. В сельском хозяйстве преобладает мясо-молочное животноводство, развиваются птицеводство и производство зерна, хмеля, картофеля.
■Томская область.
В структуре валового регионального продукта в 2000 г. промышленность составляла 36,8%, сельское хозяйство - 7,2, строительство - 6,9, транспорт - 10,2, торговля и коммерческая деятельность по реализации товаров и услуг - 11,5%. Основные отрасли промышленности: топливная, цветная металлургия, химическая и нефтехимическая, машиностроение и металлообработка, электроэнергетика. В сельском хозяйстве развиты мясо-молочное животноводство, звероводство, растениеводство (картофелеводство, овощеводство, выращивание зерновых культур).
■Пермская область.
В структуре валового регионального продукта в 2000 г. промышленность составляла 42,2%, сельское хозяйство - 6,2, строительство - 7,7, транспорт - 8,6, торговля и коммерческая деятельность по реализации товаров и услуг - 13,5%. В структуре промышленного производства ведущее место занимают топливная, химическая и нефтехимическая промышленности, машиностроение и металлообработка, электроэнергетика. Получило развитие кормопроизводство для мясо-молочного животноводства. Развиты птицеводство, пчеловодство, вокруг промышленных центров - пригородное хозяйство. Выращивают зерновые культуры, картофель и овощи.
Рис. 1. Динамика ВРП рассматриваемых регионов

Суммарный показатель развития муниципальных образований. Первым шагом исследования стал расчет суммарного показателя, характеризующего уровень развития муниципальных образований. По замыслу он должен представлять собой аналог внутреннего продукта территории, но по причине отсутствия полного объема статистической информации для расчета стандартного «внутреннего муниципального продукта», конструирование приблизительного аналога потребовало нескольких последовательных действий.
Учитывая ориентацию исследования не только на экономические, но и на социальные показатели развития, в качестве интересующих нас переменных рассматривались как объем промышленного и сельскохозяйственного производства, так и демографическая ситуация, обеспеченность населения услугами здравоохранения, местами в детских дошкольных учреждениях, телефонной связью, уровень среднемесячной заработной платы и т.п. Набор этих переменных был составлен на основе экспертных представлений о наиболее значимых индикаторах социально-экономического развития, с учетом имеющихся данных. Последнее, безусловно, стало ограничением, сужающим объясняющую силу построенного показателя. Переменные, использованные для построения суммарного показателя муниципального развития представлены в таблице 1 ниже:
Таблица 1. Переменные, использованные для построения суммарного показателя муниципального развития
| названия переменных |
значения переменных |
| roj |
число родившихся на 1000 человек населения |
| sme |
число умерших на 1000 человек населения |
| unem |
уровень зарегистрированной безработицы |
| wage |
номинальная начисленная среднемесячная заработная плата |
| sq |
площадь жилищ, приходящаяся на одного жителя |
| det |
численность детей, приходящихся на 100 мест в дошкольных учреждениях |
| vr |
число врачей на 10000 человек населения |
| srmed |
число средних медицинских работников на 10000 человек населения |
| koek |
число коек на 10000 человек населения |
| prom |
объем промышленного производства (рублей на душу населения) |
| zern |
валовой сбор зерновых культур (кг на душу населения) |
| kart |
валовой сбор картофеля (кг на душу населения) |
| ovosh |
валовой сбор овощей открытого и закрытого грунта (кг на душу населения) |
| meet |
реализация скота птицы на убой (кг на душу населения) |
| milk |
произведено молока (кг на душу населения) |
| inv |
инвестиции в основной капитал (рублей на душу) |
| avto |
наличие собственных легковых автомобилей (шт. на 1000 человек населения) |
| tel |
обеспеченность населения домашними телефонными аппаратами (шт. на 100 семей плата) |
Понимая, что выбранные переменные сильно коррелированы друг с другом, мы были вынуждены использовать метод главных компонент, определяя направления максимальной вариации основных показателей социально-экономической муниципалитетов из всех четырех регионов за шесть лет. Для того, чтобы решить проблему низкой сопоставимости показаний различных переменных: часть переменных измеряется в процентах, часть – в единицах на 1 жителя или 1 000 жителей, переменные были преобразованы, по следующей формуле:

,

,
где ti — число лет доступных для анализа в регионе i;
ni — число муниципальных образований в регионе i.
Вначале метод главных компонент применялся для построения показателей отдельных аспектов социально-экономического развития: показателя демографической ситуации в муниципальном образовании, обеспеченности услугами здравоохранения и развитии сельского хозяйства. При выделении главных компонент применялся критерий Кайзера, который заключается в отборе факторов, с собственными значениями, большими единицы. По существу, это означает, что если фактор не выделяет дисперсию, эквивалентную, по крайней мере, дисперсии одной переменной, то он опускается.
Представленные ниже таблицы показывают коэффициенты корреляции переменных и процент объясненной общей дисперсии.
1. Показатель демографической ситуации.
Корреляционная матрица
|
ROJ |
SME |
| ROJ |
1,000 |
-0,266 |
| SME |
-0,266 |
1,000 |
Полная объясненная дисперсия
| |
Начальные собственные значения |
|
|
Суммы квадратов нагрузок извлечения |
|
| Компонента |
Всего |
% дисперсии |
Кумулятивный % |
Всего |
% дисперсии |
| 1 |
1,266 |
63,302 |
63,302 |
1,266 |
63,302 |
| 2 |
0,734 |
36,698 |
100,000 |
|
|
1-й фактор объясняет 63,3 % общей дисперсии. В результате объединения двух переменных ROJ и SME в один фактор, было получено, что
Демографическая ситуация в регионе: DEMOG = 0,796∙ ROJ - 0,796∙ SME
2. Показатель обеспеченности услугами здравоохранения.
Корреляционная матрица
|
VR |
SRMED |
KOEK |
| VR |
1,000 |
0,530 |
0,456 |
| SRMED |
0,530 |
1,000 |
0,621 |
| KOEK |
0,456 |
0,621 |
1,000 |
Полная объясненная дисперсия
| |
Начальные собственные значения |
|
|
Суммы квадратов нагрузок извлечения |
|
| Компонента |
Всего |
% дисперсии |
Кумулятивный % |
Всего |
% дисперсии |
| 1 |
2,074 |
69,136 |
69,136 |
2,074 |
69,136 |
| 2 |
0,558 |
18,600 |
87,736 |
|
|
| 3 |
0,368 |
12,264 |
100,000 |
|
|
1-й фактор объясняет 69,1 % общей дисперсии. В результате объединения трех переменных VR, SRMED и KOEK в один фактор было получено, что
Состояние сферы здравоохранения в регионе:
MEDIC = 0,785∙ VR + 0,871∙ SRMED + 0,837∙ KOEK
3. Показатель развития сельского хозяйства.
Корреляционная матрица
|
ZERN |
KART |
OVOSH |
MEAT |
MILK |
| ZERN |
1,000 |
0,483 |
0,205 |
0,482 |
0,597 |
| KART |
0,483 |
1,000 |
,307 |
0,302 |
0,266 |
| OVOSH |
0,205 |
0,307 |
1,000 |
0,535 |
0,361 |
| MEET |
0,482 |
0,302 |
0,535 |
1,000 |
0,751 |
| MILK |
0,597 |
0,266 |
0,361 |
0,751 |
1,000 |
Полная объясненная дисперсия
| |
Начальные собственные значения |
|
|
Суммы квадратов нагрузок извлечения |
|
| Компонента |
Всего |
% дисперсии |
Кумулятивный % |
Всего |
% дисперсии |
| 1 |
2,759 |
55,171 |
55,171 |
2,759 |
55,171 |
| 2 |
0,892 |
17,838 |
73,009 |
|
|
| 3 |
0,798 |
15,958 |
88,967 |
|
|
| 4 |
0,343 |
6,870 |
95,837 |
|
|
| 5 |
0,208 |
4,163 |
100,000 |
|
|
1-й фактор объясняет 55,2 % общей дисперсии. В результате объединения пяти переменных ZERN, KART, OVOSH, MEAT и MILK в один фактор, было получено, что
Развитие сельского хозяйства в регионе:
SELHOZ = 0,757∙ZERN+ 0,591∙ KART + 0,625∙ OVOSH + 0,859∙ MEAT + 0,841∙ MILK.
Далее метод главных компонент был применен для нахождения линейной комбинации всех рассматриваемых векторов, корреляционная матрица которых приведена ниже:
|
PROM |
SELHOZ |
INV |
DEMOG |
MEDIC |
UNEM |
WAGE |
SQ |
AVTO |
TEL |
DET |
| PROM |
1,000 |
-0,390 |
0,472 |
0,159 |
0,246 |
-0,113 |
0,698 |
0,145 |
0,355 |
0,400 |
0,332 |
| SELHOZ |
-0,390 |
1,000 |
-0,246 |
0,089 |
-0,469 |
-0,103 |
-0,324 |
-0,088 |
-0,087 |
-0,468 |
-0,250 |
| INV |
0,472 |
-0,246 |
1,000 |
0,154 |
0,125 |
0,042 |
0,471 |
0,019 |
0,269 |
0,381 |
0,164 |
| DEMOG |
0,159 |
0,089 |
0,154 |
1,000 |
-0,039 |
0,116 |
0,059 |
-0,398 |
0,144 |
0,122 |
0,161 |
| MEDIC |
0,246 |
-0,469 |
0,125 |
-0,039 |
1,000 |
-0,249 |
0,221 |
-0,005 |
0,020 |
0,196 |
0,131 |
| UNEM |
-0,113 |
-0,103 |
0,042 |
0,116 |
-0,249 |
1,000 |
-0,094 |
-0,123 |
0,162 |
0,207 |
0,062 |
| WAGE |
0,698 |
-0,324 |
0,471 |
0,059 |
0,221 |
-0,094 |
1,000 |
-0,005 |
0,547 |
0,537 |
0,392 |
| SQ |
0,145 |
-0,088 |
0,019 |
-0,398 |
-0,005 |
-0,123 |
-0,005 |
1,000 |
-0,117 |
-0,138 |
-0,107 |
| AVTO |
0,355 |
-0,087 |
0,269 |
0,144 |
0,020 |
0,162 |
0,547 |
-0,117 |
1,000 |
0,547 |
0,226 |
| TEL |
0,400 |
-0,468 |
0,381 |
0,122 |
0,196 |
0,207 |
0,537 |
-0,138 |
0,547 |
1,000 |
0,209 |
| DET |
0,332 |
-0,250 |
0,164 |
0,161 |
0,131 |
0,062 |
0,392 |
-0,107 |
0,226 |
0,209 |
1,000 |
В данном случае при выделении главных компонент не использовался не критерий Кайзера, а в качестве суммарного показателя развития муниципальных образований выбирался фактор с наибольшей объясняющей силой общей дисперсии. Такой выбор позволяет нам провести однозначные расчеты индексов неравенства при максимально возможном учете разброса в развитии муниципальных образований. На этой стадии выяснилось, что переменные уровень безработицы, площадь жилья, приходящаяся на одного жителя, а также показатель демографической ситуации имеют низкие доли дисперсий, принадлежащих фактору и, следовательно, должны быть исключены из анализа. В результате отбрасывания данных переменных и выделения главных компонент на множестве оставшихся переменных было получено, что 1-й фактор объясняет 42,7% общей дисперсии, в то время как каждый последующий фактор менее 15,7%.
Суммарный показатель развития муниципального образования:
dev_ind = 0,785∙ PROM - 0,598∙SELHOZ + 0,620∙INV + 0,398∙MEDIC + 0,849∙WAGE + 0,616∙AVTO + 0, 747∙TEL + 0, 493∙DET.
Поскольку формулы для различных мер неравенств развития муниципальных образований подразумевают использование данных, имеющих логнормальное распределение, нам необходимо было, чтобы суммарный показатель развития был логнормально распределен. Кроме того, меры неравенств не устойчивы к выбросам, поэтому мы проверили построенный суммарный показатель развития на наличие выбросов. Для того, чтобы устранить выбросы, мы поделили все значения показателя на его максимальное значение. Данная операция деления не изменяет относительные характеристики неравенства. После нее преобразованный показатель развития муниципальных образований был возведен в экспоненциальную степень для того, чтобы получить показатель, имеющий логнормальное распределение.
Отраженный в ряде исследований моноцентризм многих регионов России ([10]), при котором наблюдается значительный отрыв регионального центра от остальных муниципальных образований по большинству показателей развития, включая численность населения, объем производства различных отраслей, концентраций финансовых и управленческих функций, обеспеченность транспортом и социально значимой инфраструктурой, требует расчета показателей межмуниципального неравенства на сравнительной подвыборке муниципальных образований, не включающей столицы исследуемых регионов. Алгоритм построения данного показателя был аналогичен описанному выше, поэтому результаты промежуточных шагов представлены в приложении 4. Было получено, что суммарный показатель развития муниципальных образований (без учета региональных центров) представляет собой следующую линейную комбинацию:
dev_ind1 = 0, 791∙PROM - 0, 508∙SELHOZ + 0, 628∙INV + 0, 867∙WAGE + 0, 660∙AVTO +
0, 741∙TEL + 0, 460∙DET.
Как и в предыдущих расчетах, все значения полученного показателя были поделены на его максимум, после чего преобразованный показатель возведен в экспоненциальную степень.
Данный способ расчета представляет собой один из возможных вариантов построения совокупного показателя для оценки экономического развития. В мировой практике известны также примеры использования для аналогичных целей индексного подхода. Например, индекс городского развития (CDI), который является аналогом ВРП на уровне города, отражает уровень развития городской инфраструктуры, производства, здравоохранения, образования и эффективность снижения загрязненности в городе. Индекс городского развития позволяет ранжировать города по уровню их развития, а также может служить приближением для оценки городской бедности и эффективности работы органов городского управления. Для того чтобы, в соответствии с Техническим заданием, проиллюстрировать возможность использования индексов в составлении балльной шкалы оценок муниципалитетов, в Приложении 2 мы приводим пример разработанных группой Фонда «Институт экономики города» индексов, составленных для Томской области. Кроме того, в работе [1] можно найти подробный обзор ряда международных программ, разрабатывающих системы показателей городского развития, оценки уровня благосостояния и качества среды жизнедеятельности в муниципалитетах.
Опираясь на исследования межрегионального неравенства в России и за рубежом [9], [11], мы видим, что для повышения объективности результатов необходимы оценки у-сходимости (сокращение дисперсии суммарного показателя муниципального развития во времени) и использование различных по способу расчета показателей неравенства. В данной работе использованы:
●отношение максимального к минимальному значению суммарного показателя развития муниципальных образований (коэффициент MMR),
●коэффициент вариации,
●индекс Джини,
●индекс энтропии Тейла,
●показатель относительного отклонения от среднего.
Формулы расчета и краткие описания каждого индекса приводятся в приложении 1.
3. Результаты оценки внутрирегионального неравенства с помощью различных показателей
Как видно из таблицы, представленной ниже, наиболее длинный временной ряд показателей удалось получить для двух регионов: Республики Чувашия и Томской области.
Таблица 2. Показатели внутрирегионального неравенства
| год |
регион |
MMR |
CVu |
CVw |
Rw |
T |
G |
Gw |
| 1995 |
Республика Чувашия |
1.2738 |
0.0643 |
0.0883 |
0.0403 |
0.0039 |
0.0372 |
0.0493 |
| 1996 |
Республика Чувашия |
1.3059 |
0.0741 |
0.1009 |
0.0467 |
0.0051 |
0.0417 |
0.0556 |
| 1997 |
Республика Чувашия |
1.2989 |
0.0788 |
0.1058 |
0.0492 |
0.0056 |
0.0447 |
0.0578 |
| 1998 |
Республика Чувашия |
1.3571 |
0.0836 |
0.1173 |
0.0550 |
0.0069 |
0.0468 |
0.0648 |
| 1999 |
Республика Чувашия |
1.3678 |
0.0933 |
0.1301 |
0.0621 |
0.0085 |
0.0494 |
0.0710 |
| 2000 |
Республика Чувашия |
1.4598 |
0.1096 |
0.1516 |
0.0729 |
0.0115 |
0.0571 |
0.0823 |
| 1995 |
Томская область |
1.5119 |
0.1117 |
0.1228 |
0.0579 |
0.0077 |
0.0665 |
0.0663 |
| 1996 |
Томская область |
1.6512 |
0.1311 |
0.1316 |
0.0605 |
0.0088 |
0.0772 |
0.0709 |
| 1997 |
Томская область |
1.8977 |
0.1830 |
0.1574 |
0.0687 |
0.0123 |
0.1056 |
0.0820 |
| 1998 |
Томская область |
2.1111 |
0.2020 |
0.1796 |
0.0756 |
0.0156 |
0.0948 |
0.0913 |
| 1999 |
Томская область |
2.0978 |
0.2036 |
0.1863 |
0.0820 |
0.0171 |
0.0997 |
0.0966 |
| 2000 |
Томская область |
3.0106 |
0.3443 |
0.2748 |
0.0799 |
0.0312 |
0.1496 |
0.1113 |
| 1998 |
Пермская область |
1.4138 |
0.0893 |
0.1147 |
0.0521 |
0.0066 |
0.0522 |
0.0644 |
| 1999 |
Пермская область |
1.5730 |
0.1308 |
0.1505 |
0.0694 |
0.0116 |
0.0745 |
0.0834 |
| 2000 |
Пермская область |
1.7253 |
0.1632 |
0.1835 |
0.0849 |
0.0173 |
0.0933 |
0.1018 |
| 2000 |
Республика Марий Эл |
1.3483 |
0.0907 |
0.1224 |
0.0590 |
0.0075 |
0.0495 |
0.0668 |
Графики на Рис.2 показывают, что динамика показателей неравенства в Чувашии устойчиво положительна на протяжении шести рассматриваемых лет. Значения взвешенных коэффициентов неравенства: взвешенного коэффициента вариации и взвешенного индекса Джини превосходят значения соответствующих невзвешенных коэффициентов, что говорит о том, что экстремальное значения суммарного показателя развития муниципальных образований наблюдаются в муниципальном образовании с относительно высокой численностью населения. Максимальное значение взвешенного индекса Джини составляет 0,08, показателя относительного отклонения от среднего – 0,07, а коэффициента MMR - 1,46. При этом значения взвешенного коэффициента вариации и индекса относительного отклонения от среднего почти удваиваются к 2000 году, по сравнению с 1995, а значения индекса Тейла утраиваются к 2000 году, по сравнению с 1995. Наиболее высокими темпами неравенство увеличивается в 1999 – 2000 годах, т.е. в тот же период, когда в республике наблюдалось повышение темпов экономического роста, отраженное на рис.1 выше и, вероятнее всего, вызванное скачком показателей импортозамещающих отраслей после девальвации рубля в 1998 г.
Рис.2 Динамика различных показателей неравенства в Республике Чувашия
Аналогичная Чувашии динамика рассматриваемых показателей неравенства наблюдается и в Томской области, однако их значения говорят о гораздо более высокой неравномерности муниципального развития. Так, на представленных ниже графиках (рис.3) можно видеть устойчивый рост всех показателей с 1995 по 2000 годы и скачок на участке 1999 – 2000, но при этом стартовые значения показателей неравенства в Томской области в полтора-два раза превышают аналогичные значения по Чувашии, а вследствие более быстрого прироста указанные различия к 2000 году достигают в отдельных случаях и более двух раз. Еще в 1995 году в Томской области отношение максимального к минимальному показателю развития муниципальных образований составляло 1,51 единиц (в Чувашии даже в 2000 году отношение MMR не достигает такого уровня, хотя и приближается к нему), а в 2000 году отношение максимального к минимальному показателю превысило трехкратное значение. Забегая вперед, отметим, что это самое высокое значение MMR среди рассмотренных регионов за все шесть лет.
В отличие от Чувашии, начиная с 1997 года, значения невзвешенных индексов неравенства в Томской области превосходят значения соответствующих взвешенных индексов, то есть экстремальные значения показателя развития наблюдаются в этот период в муниципальном образовании с относительно невысокой численностью населения.
Рис.3. Динамика показателей неравенства в Томской области
Промежуточное положение между Республикой Чувашия и Томской областью занимает Пермская область, ряд данных по которой начинается с 1998 года и отражает растущее, по крайней мере, в течение трех лет, расслоение муниципальных образований по сконструированному показателю развития. В целом темпы роста неравенства развития муниципальных образований в Пермской области с 1998 по 2000 год незначительно превышают темпы роста неравенства в Республике Чувашия в аналогичный период. При этом по сравнению с Томской областью рост практически линейный. Как и в Чувашии, взвешенные коэффициенты неравенства превосходят невзвешенные, но в существенно меньшей степени, говоря о некотором, но менее значительном отрыве крупного муниципального образования, вероятно, областного центра.
Рис.4. Динамика показателей неравенства в Пермской области
Наконец, в 2000 году мы получаем возможность сравнить степень расслоения муниципалитетов в четырех регионах, добавив значения для Республики Марий Эл (см. таблицу 2). Эта республика характеризуется наименьшей среди данной группы неравномерностью муниципального развития, что отражается минимальными полученными значениями всех показателей. Однако из графика на рис.1 видно, что этот же регион показывает минимальное из наблюдаемых значение ВРП и менее значительный его прирост.
Значения индексов межмуниципального неравенства республики Чувашия, Томской и Пермской области и республики Марий Эл, построенных на основе суммарного показателя развития муниципальных образований (без учета региональных центров), представлены в приложении 5. Они также иллюстрируют положительную динамику всех коэффициентов неравенства в рассматриваемых регионах.
Продолжая сравнение показателей межмуниципального расслоения в рассматриваемых четырех регионах, важно отметить, что невзвешенный коэффициент вариации и невзвешенный индекс Джини не могут использоваться для сравнения регионов между собой по степени муниципального неравенства в силу чувствительности данных индексов к количеству муниципальных образований в регионах. Как уже было замечено, в трех из четырех рассмотренных регионах (в республиках Чувашия, Марий Эл и Пермской области) наблюдается превышение значений взвешенных коэффициентов неравенства над значениями соответствующих невзвешенных коэффициентов, что говорит о том, что экстремальное значения суммарного показателя развития муниципальных образований наблюдаются в муниципальном образовании с относительно высокой численностью населения. Это подтверждает распространенное мнение о том, что во всех регионах России ресурсы концентрируются в областных центрах, являющихся наиболее населенными. Однако в Томской области мы видим противоположную ситуацию: взвешенные показатели (коэффициент вариации и индекс Джини) имеют меньшие значения, чем невзвешенные. Таким образом, в Томской области, экстремумы наблюдаются в наименее населенных муниципалитетах. Знание авторами данной области подсказывает справедливость полученного результата, поскольку по большинству показателей развития лидером в области является не Томск, а небольшой северный город Стрежевой, где сосредоточена процветающая в настоящее время нефтяная отрасль. Из рис.5, представленного ниже, можно сделать вывод о том, что Томская область характеризуется наибольшей степенью внутрирегионального неравенство среди рассмотренных четырех регионов. Далее за Томской областью по степени межмуниципального неравенства следуют Пермская область, затем республика Чувашия и замыкает список республика Марий Эл. При этом, если сравнивать регионы по степени неравенства развития муниципальных образований на выборке без региональных центров, то получаем аналогичное распределение, но при этом отличие Томской области от остальных регионов еще более значительное, что обусловлено наличием в ней экономически успешного муниципального образования, не являющегося региональным центром.
Рис.5. Сравнение показателей неравенства в республиках Чувашия и Марий Эл, Томской и Пермской областях.
| Меры межмуниципального неравенства на основе суммарного показателя развития муниципальных образований |
Меры межмуниципального неравенства на основе суммарного показателя развития муниципальных образований, без учета региональных центров |

|

|

|

|

|

|

|

|

|

|
Сравнение полученных значений внутрирегионального неравенства и отдельных данных Госкомстата позволяет условно разделить рассматриваемые регионы на две группы. Томская и Пермская области, в экономике которых преобладает промышленность, характеризуются более высокими, по сравнению с Чувашией и Марий Эл, сводными показателями благосостояния. Например, там значительно выше средняя заработная плата и среднедушевые доходы населения в месяц.
Таблица 3. Среднедушевые денежные доходы (в месяц), руб. (до 1998 г. – тыс. руб.)
| |
1995 |
1996 |
1997 |
1998 |
1999 |
2000 |
| республика Марий Эл |
259,2 |
367,0 |
436,9 |
422,4 |
802 |
1046 |
| республика Чувашия |
301,5 |
430,7 |
479,5 |
469,5 |
817 |
1120 |
| Пермская область |
493,2 |
705,2 |
958,7 |
920,7 |
1492 |
2051 |
| Томская область |
479,3 |
756,5 |
953,6 |
993,3 |
1624 |
2329 |
Таблица 4. Среднемесячная номинальная начисленная заработная плата, руб. (до 1998 г. – тыс. руб.)
| |
1995 |
1996 |
1997 |
1998 |
1999 |
2000 |
| республика Марий Эл |
254,4 |
408,3 |
517,6 |
588,8 |
857,4 |
1164,8 |
| республика Чувашия |
253,0 |
440,2 |
541,5 |
600,2 |
847,7 |
1196,2 |
| Пермская область |
470,4 |
791,1 |
1026,0 |
1137,0 |
1658,1 |
2433,7 |
| Томская область |
546,0 |
958,6 |
1156,1 |
1218,7 |
1706,9 |
2544,9 |
Исследование суммарного показателя развития муниципальных образований на σ-сходимость (сокращение дисперсии показателя во времени) позволило проверить результаты, полученные по отдельным показателям неравенства и продемонстрировало, что в рассмотренных трех регионах: республике Чувашия, Томской и Пермской областях наблюдается отрицательная σ-сходимость. Аналогичный результат получается и на выборке, не включающей центры данных регионов, получаем аналогичный результат, хотя и с меньшим значением. Это говорит о наличии как перспективных «точек роста» во всех регионах, так и муниципальных образований, которые или не в состоянии преодолеть депрессию даже в условиях экономического роста региона, или, по крайней мере, не пользуются его результатами в той же степени, что и более развитые районы. Как можно видеть из таблицы 5, степень σ-расходимости (отрицательной σ-сходимости) в Томской области значительно превосходит степень σ-расходимости в Пермской области и республике Чувашия, причем данное наблюдение верно как с учетом, так и без учета региональных центров.
Таблица 5. Оценка σ-сходимости муниципального показателя
| год |
регион |
дисперсия показателя муниципального развития |
дисперсия показателя муниципального развития без учета региональных центров |
| 1995 |
Республика Чувашия |
0,0034 |
0,0021 |
| 1996 |
Республика Чувашия |
0,0047 |
0,0029 |
| 1997 |
Республика Чувашия |
0,0055 |
0,0035 |
| 1998 |
Республика Чувашия |
0,0059 |
0,0036 |
| 1999 |
Республика Чувашия |
0,0077 |
0,0042 |
| 2000 |
Республика Чувашия |
0,0112 |
0,0062 |
| 1995 |
Томская область |
0,0118 |
0,0075 |
| 1996 |
Томская область |
0,0179 |
0,0131 |
| 1997 |
Томская область |
0,0389 |
0,0315 |
| 1998 |
Томская область |
0,0483 |
0,0395 |
| 1999 |
Томская область |
0,0516 |
0,0410 |
| 2000 |
Томская область |
0,1775 |
0,1600 |
| 1998 |
Пермская область |
0,0077 |
0,0043 |
| 1999 |
Пермская область |
0,0184 |
0,0127 |
| 2000 |
Пермская область |
0,0332 |
0,0234 |
Рис. 6. Динамика дисперсии показателя муниципального развития
| динамика дисперсии показателя, рассчитанного по всей выборке |
динамика дисперсии показателя, рассчитанного выборке, не включающей столицы |

|

|

|

|

|

|
4. Выводы
Проведенный даже на сравнительно небольшом числе наблюдений анализ внутрирегионального неравенства позволяет увидеть устойчивую тенденцию к увеличению во второй половине 1990х годов расслоения муниципальных образований по сконструированному сводному показателю благосостояния/развития. Увеличение темпов неравенства, наблюдаемое одновременно с возобновлением экономического роста после девальвации рубля в 1998 году показывает важную роль существующей специализации муниципалитетов и диверсификации их экономической базы. Концентрация роста в импортозамещающих и ресурсных отраслях, неравномерно размещенных на территории страны и внутри регионов, вероятно, и отражается в показателях межмуниципального неравенства, которые говорят о том, что рост происходит весьма неравномерно и не обеспечивает находящиеся в сложном экономическом положении муниципалитеты дополнительными возможностями развития. Если наблюдаемая тенденция сохранится, устойчивость роста будет невозможной, так как регионам или федеральному бюджету придется осуществлять все более затратные программы выравнивания и сохранения социальных гарантий населению «отстающих» муниципалитетов.
В этой связи возникает вопрос о подходах к сглаживанию наиболее острых социальных и экономических диспропорций между муниципалитетами внутри регионов различного типа и уровня развития. Вероятнее всего, в территориях, где уровень межмуниципального расслоения (особенно достигаемого за счет отрыва наиболее крупных городов, региональных центров) наиболее высокий, необходима политика социального выравнивания, ведущую роль в разработке и осуществлении которой должна вести региональная администрация, в первую очередь по отношению к депрессивным, малонаселенным и удаленным муниципальным образованиям. Элементами такой политики могут стать программы прямой финансовой помощи или, что более устойчиво с экономической точки зрения, содействия эффективному перемещению факторов производства, в ряде случаев высвобождающему пространство для сокращения неоправданных бюджетных расходов, связанных с поддержанием жизнедеятельности людей в неперспективных поселениях. Однако оценка муниципальных ресурсов и перспектив самостоятельного экономического развития должна стать первым шагом в выборе механизмов социального выравнивания.
В то же время нам представляется, что органы управления большинства субъектов Российской Федерации, особенно тех, где наблюдается высокий уровень показателей расслоения, заинтересованы не столько в пассивном участии муниципалитетов к проводимым для них программам социального выравнивания, сколько в создании действенного стимулирующего инструмента для мобилизации усилий наиболее активных, социально и рыночно ориентированных представителей местной власти с целью снижения неравномерностей развития и повышения уровня жизни населения. В качестве возможного инструмента поощрения эффективных (в том числе социальных) преобразований можно поддержать существующую в отдельных регионах практику создания фонда стимулирования муниципального развития или поддержки муниципальных реформ, предполагающего активную роль муниципалитетов в разработке социально-экономической политики, а также их финансовое участие в ее реализации. Своевременное реагирование такого инструмента на изменения приоритетов местного развития, его преимущества при наличии стратегического видения, увязанного с экономическими перспективами региона в целом, а также ориентация на использование потенциала муниципалитетов, а не процесс перераспределения доходов, могут не только повысить эффективность управления на муниципальном уровне, но и создать условия для более устойчивого экономического роста, который и станет фактором снижения муниципального расслоения в той степени, в которой оно обусловлено пространственной концентрацией немногих развивающихся сегодня отраслей. При определении приоритетных направлений финансирования из фонда также целесообразно учитывать перспективы развития и существующие отклонения муниципальных показателей от средних значений в регионе. Возможный набор направлений чрезвычайно широк и может включать программы не только по развитию экономической и налоговой базы, но и по решению преимущественно социальных проблем, например, создание или совершенствование инфраструктуры в интересах малоимущего или социально уязвимого населения в сельских или городских районах с высокой концентрацией бедности или лишений.
На основе наблюдаемого условного разделения рассмотренных территорий на две группы можно сделать дополнительные предположения о возможных факторах риска дальнейшего межмуниципального расслоения. Предположительно, доля сельского хозяйства в экономике может быть отрицательно связана с возможностью снижения неравномерностей территориального развития, даже за счет активной политики региона по отношению к отрасли. Интересной представляется также возможность проверки на расширенном числе наблюдений гипотезы о взаимосвязи административно-политического устройства региона и степени межмуниципального неравенства (в исследовании регионы с более низкими показателями развития, но и меньшей степенью неравенства оказались республиками). Кроме того, не включенными в анализ, но заслуживающими внимания факторами, объясняющая роль которых для показателей межмуниципального расслоения может быть велика, мы считаем используемые региональной администрацией методы экономического и социального выравнивания и природно-климатические условия. Исследование взаимосвязи между внутрирегиональным расслоением и отмеченными факторами может стать продолжением данной исследовательской темы при условии доступности существенно большего числа наблюдений, в том числе в динамическом разрезе.
Поиск, сбор и детальный анализ информации, доступной в разрезе муниципальных образований, подтвердил ставшее во многом общим местом предположение о том, что единых стандартов муниципальной статистики в России нет. Для того, чтобы убедиться в этом, были проанализированы статистические справочники, составляемые десятью региональными комитетами по статистике на основе муниципальных данных. К сожалению, ни в смысле полноты данных, ни по охвату различных секторов, ни даже по единицам измерения одних и тех же показателей общности обнаружить не удалось, в результате чего информационная база анализа оказалась невелика и не позволила выполнить полное динамическое исследование. Однако муниципальная статистика может быть доступна при условии, что муниципальным образованиям будет оказана необходимая методическая поддержка в разработке показателей и сборе данных. Исследование позволяет сформулировать несколько самых простых первоначальных дополнений к административной статистике муниципальных образований. Например, важными представляются показатели развития рынка труда (отраслевая мобильность, безработица по методике МОТ), а не только отдельные сведения служб занятости; данные о развитии малого бизнеса; информация о льготополучателях, в том числе с оценкой уровня нуждаемости; показатели результативности и качества бюджетных услуг, особенно здравоохранения и образования, составляющих основную долю социальных расходов муниципальных бюджетов; индикаторы жилищных условий (включая скученность и безопасность жилищ); показатели детской безнадзорности; масштабы и состав социально неблагополучных слоев населения.
Административная статистика может быть усовершенствована и за счет выполнения требований общего характера. К ним относятся: а) полнота охвата показателей, связанных прямо или косвенно с качеством жизни населения, б) простота системы, доступность выбранных показателей для общественности, в) сопоставимость показателей во времени и пространстве, необходимая как для отслеживания динамики социально-экономических процессов, так и для сопоставления муниципальных образований друг с другом, со средними значениями по региону и т.п., г) открытость информации о муниципальном образовании. Результаты исследования говорят о необходимости слежения за тенденциями межмуниципального неравенства (хотя бы на уровне регионов), для чего необходимо построение комплексных систем мониторинга муниципального развития. Для некоторого упрощения и удобства пользования такая система может быть основана на индексном подходе, позволяющем наблюдать изменения в динамике и сравнивать показатели муниципальных образований в каждый наблюдаемый момент времени. В любом случае, ее основной чертой – а значит и особенностью исходных статистических показателей – должен быть большой вес результирующих, то есть в первую очередь социальных показателей, отражающих воздействие проводимой политики развития на благосостояние населения.
5. Список литературы
1.Ветров Г.Ю., Визгалов Д.В., Шанин А.А., Шевырова Н. И. «Индикаторы социально-экономического развития муниципальных образований», М.: Фонд «Институт экономики города», 2002.
2.«Обратить реформы на благо всех и каждого. Бедность и неравенство в странах Европы и Центральной Азии», Всемирный банк, 2001.
3.Akita, T. «Decomposing Regional Income Inequality in China and Indonesia using Two-Stage Nested Theil Decomposition Method», Annals of Regional Science, Vol.37, No.1, pp.55-77, 2003.
4.Alexandrova A., Hamilton E., Kuznetsova P. «Looking for Feasible Disaggregation in Urban Poverty Analysis», materials of Urban Research Symposium, World Bank, 2003.
5.Asra A. «Poverty and Inequality in Indonesia. Estimates, Decomposition, and Key Issues», Journal of the Asia Pacific Economy, 5 (1-2), pp. 91-111, 2000.
6.Braithwaite J., Grootaert C., Milanovic B. «Poverty and Social Assistance in Transition Countries», St. Martin’s Press, New York.
7.Carluer F., Sharipova E. «Regional Convergence in Russia? Or When Economic Geography Confirms Macroeconomic Analysis», RECEP, 2001.
8.Fedorov L. «Regional Inequality and Regional Polarization in Russia,1990-99», World Development, Vol.30, No.3, pp. 443-456, 2002.
9.Forster M., Jesuit D.K., Smeeding T.M. «Regional Poverty and Income Inequality in Central and Eastern Europe: Evidence from the Luxembourg Income Study», PovertyNet Library, The World Bank, 2002.
10.Ruble B.A., Koehn J., Popson N.E. «Fragmented Space in the Russian Federation»,Woodrow Wilson Center Press, Washington, D.C.
11.Shankar R., Shah A. «Bridging the Economic Divide within Nations: A Scorecard on the Performance of Regional Development Policies in Reducing Regional Income Disparities», Working Paper, No. 2717, The World Bank, 2001.
12. Singh N., Bhandari L., Chen A., Khare A. «Regional Inequality in India: A Fresh Look.» University of California Santa Cruz, Working Paper Series, 2002.
13.Slinko I. «The Impact of Fiscal Decentralization on the Budget Revenue Inequality among Municipalities and Growth of Russian regions», EERC, 2002.
14.Spryskov D. «Persistent Poverty in Russia», NES, Best student papers, Working paper # BSP/2000/037 E, 2000.
Приложение 1.
Формулы расчета и краткие характеристики используемых показателей
1)
Коэффициент неравенства

где

- суммарный показатель развития i – го муниципального образования i =1,…, n, где n - число муниципальный образований в регионе.
К недостаткам данного индекса относится то, что данный индекс не показывает характер неравенства в развитии муниципальных образований региона: вызвано ли оно большой вариацией в развитии всех муниципальных образований или наличием нескольких муниципальных образований, развитие которых значительно отличается от развития остальных муниципальных образований.
2)
Коэффициент вариации
где

- суммарный показатель развития i – го муниципального образования. i, k =1,…, n, где n - число муниципальный образований в регионе.
Коэффициент вариации позволяет оценить вариации в развитии всех муниципальных образований данного региона. Одна из сложностей использования коэффициента вариации состоит в том, что его значение чувствительно к количеству муниципальных образований различного размера в регионе. Для решения указанной проблемы мы пользуемся взвешенным коэффициентом вариации

, в формуле которого учтен «вес» каждого муниципального образования в численности населения региона.
Взвешенный коэффициент вариации

где

- суммарный показатель развития i – го муниципального образования. i, k =1,…, n, где n - число муниципальный образований в регионе;

— доля численности населения i – го муниципального образования в общей численности населения данного региона.
3)
Относительное отклонение от среднего значения

где

- суммарный показатель развития i – го муниципального образования. i, k =1,…, n, где n - число муниципальный образований в регионе;

— доля численности населения i – го муниципального образования в общей численности населения данного региона.
Относительное отклонение от среднего значения показателя развития используется в литературе для оценки неравномерностей пространственного развития достаточно давно (Каквани, 1980). Одно из его преимуществ состоит в значительно меньшей, чем у коэффициента вариации, чувствительности к выбросам.
4)
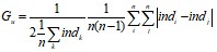
Коэффициент Джини – один из самых распространенных в России показателей неравенства, вычисляемый как

где

и

- суммарные показатели развития i – го и j – го муниципальных образований, соответственно. i =1, …, n, j =1, …, n, k =1, …, n, где n - число муниципальный образований в регионе.
.
5)
Взвешенный коэффициент Джини, который позволяет учитывать «вес» каждого муниципального образования в численности населения региона:

где

и

- суммарные показатели развития i – го и j – го муниципальных образований, соответственно i =1, …, n, j =1, …, n, k =1, …, n, где n - число муниципальный образований в регионе;

— доля численности населения i – го муниципального образования в общей численности населения данного региона.
6) Индекс энтропии Тейла:

где

- суммарный показатель развития i – го муниципального образования. i, k =1,…, n, где n - число муниципальный образований в регионе;

— доля численности населения i – го муниципального образования в общей численности населения данного региона.
Приложение 2.
Использование интегральной оценки разноименных показателей для получения совокупной характеристики муниципальных образований
Группой специалистов Фонда «Институт экономики города» были разработаны следующие индексы развития муниципальных образований: сводный индекс развития муниципального образования и сводный индекс привлекательности жизни в муниципальном образовании. Данные индексы являются линейной комбинацией следующих индексов, отражающих положение дел в различных сферах жизни муниципального образования:
I1 – индекс экономического развития;
I2 – индекс демографического состояния;
I3 – индекс доходов населения;
I4 – индекс нагрузки на бюджет;
I5 – индекс состояния рынка труда;
I6 – индекс состояния жилищно-коммунальной сферы;
I7 – индекс состояния здравоохранения;
I8 – индекс состояния сферы образования и детского воспитания;
I9 – индекс охраны правопорядка;
I10 – индекс удаленности от цивилизации.
Сводный индекс развития муниципального образования
= ( I1 + I2 + I3 + I4 + I5 + I6 + I7 + I8 + I9;)/9;
Сводный индекс привлекательности жизни в муниципальном образовании =
= (I3 + I6 + I7 + I8 + I9.+I 10) /6.
Для того, чтобы решить проблему низкой сопоставимости показаний различных индикаторов: часть индикаторов измеряется в процентах, часть – в единицах на 1 жителя, на 10 000 или на 100 000 жителей показания индикаторов были переведены в баллы (от 0 до 100) по следующей методике.
Взяв минимальное полученное значение индикатора за min и максимальное — за мах, отрезок [min, max] делится на 10 равных частей. В зависимости от того, в какой из этих равных отрезков попадает значение индикатора для каждого района, ему присваивается 10, 20, … или 100 баллов. Для большей наглядности продемонстрируем вышесказанное с помощью Диаграммы 1.
Диаграмма 1.
Данный подход является относительным по своей сути, так как он основан не на заранее данных абсолютных значениях, а на относительном распределении муниципальных показателей внутри области. Таким образом, этот подход позволяет взглянуть на межрайонные различия, увидеть аутсайдеров и лидеров в различных сферах муниципальной деятельности и оценить отрыв одних от других.
В случае, если мы имеем дело с негативным индикатором (например, смертность, доля убыточных предприятий и т.д.), то, наоборот, чем ближе значение индикатора для данного района к минимальному значению, тем больший балл ему присваивается (см. Диаграмму 2)
Диаграмма 2.
Индексы, составляющие сводные индексы развития муниципального образования и привлекательности жизни в муниципальном образовании, были построены на основе следующих индикаторов (в скобках указаны веса; «–» означает, что данный индикатор является негативным, т.е. большее значение индикатора соответствует меньшему значению конечного индекса):
1.Индекс экономического развития.
В индекс вошли следующие индикаторы:
M1 – объем производства промышленной продукции на душу населения (1/3);
M2 – доля перспективных отраслей в общей структуре производства (1/4);
M3 – инвестиции в основной капитал на душу населения (1/4);
M4 – валовый продукт сельского хозяйства на душу населения (1/18);
M5 – доля частных предприятий (1/18);
M6 – доля убыточных предприятий (1/18, –).
Окончательная формула расчета индекса:
I1 = M1 / 3+ M2 / 4 + M3 / 4 + M4 / 18+ M5 / 18+ M6 /18.
2.Индекс демографического состояния.
В индекс вошли следующие индикаторы:
M7 – демографическая нагрузка на трудоспособное население (1/3, –);
M8 – смертность (человек на 1000 жителей) (1/3, –);
M9 – миграционный прирост (человек на 1000 жителей) (1/3).
Окончательная формула расчета индекса:
I2 = M7 / 3+ M8 / 3 + M9 / 3.
3.Индекс доходов населения.
В индекс вошли следующие индикаторы:
M10 – средняя зарплата (2/9);
M11 – задолженность по зарплате (1/9, –);
M12 – оборот торговли на душу населения (2/9);
M13 – объем платных услуг на душу населения (1/9);
M14 – доля семей, получающих ежемесячное пособие на ребенка
(аналог детской бедности) (1/6, –);
M15 – доля семей, получающих жилищные субсидии
(аналог общей бедности) (1/6, –).
Окончательная формула:
I3 = M10 * 2/ 9+ M11 / 9 + M12 *2 / 9 + M13 / 9+ M14 / 9+ M15 / 9.
4.Индекс нагрузки на бюджет
В индекс вошли следующие муниципальные индикаторы:
M16 – доля граждан, пользующихся дотациями и льготами по оплате жилья и коммунальных услуг (1,5, –);
M17 – средний размер льгот по оплате жилья и коммунальных услуг (1/5, –);
M18 – доля граждан, пользующихся льготами при оплате проезда на муниципальном транспорте (2/5, –);
M19 – доля граждан, пользующихся льготами при оплате услуг связи (1/5, –);
Окончательная формула:
I4 = M16 / 5+ M17 / 5 + M18 * 2 / 5 + M19 / 5.
5.Индекс состояния рынка труда.
В индекс вошли следующие муниципальные индикаторы:
M20 – уровень регистрируемой безработицы (1/3, –);
M21 – финансовые средства, выделенные из муниципального
бюджета на реализацию мероприятий по содействию занятости
в расчете на одного безработного (1/6);
M22 – численность незанятого населения, обратившегося в органы
службы занятости, в расчете на одну заявленную вакансию (1/6, –)
M‘21 – доля занятых в производственной сфере (1/6);
M‘22 – активность службы занятости (число трудоустроившихся с помощью службы занятости к общему числу зарегистрированных) (1/6).
Окончательная формула:
I5 = M20 / 3 + M21 / 6 + M22 / 6 + M’21 / 6 + M‘22 / 6.
6.Индекс состояния жилищно-коммунальной сферы.
M23 – уровень полного благоустройства (1/2);
M24 – доля населения, проживающая в жилом фонде, обеспеченном
канализацией и водопроводом (1/6);
M25 – обеспеченность жильем 1 жителя (2/9);
M26 – величина задолженности по оплате населения за ЖКУ в
расчете на одного жителя (1/9, –).
Окончательная формула:
I4 = M23 / 2+ M24 / 6 + M25 * 2 / 9 + M26 / 9.
7.Индекс состояния здравоохранения.
В индекс вошли следующие индикаторы:
M27 – выявлено больных с впервые установленным диагнозом
активного туберкулеза (человек на 100 тыс. жителей) (1/6, –);
M28 – число врачебных больничных коек (на 10 000 жителей) (1/4);
M29 – численность врачей (человек на 10 000 жителей) (1/4);
M30 – численность среднего медицинского персонала (1/4);
M31 – численность сестер в расчете на одного врача (1/12).
Окончательная формула:
I7 = M27 / 6+ M28 / 4 + M29 / 4 + M30 / 4+ M31 / 12.
8.Индекс состояния сферы образования и детского воспитания.
В индекс вошли следующие индикаторы:
M32 – доля выпускников средних школ в общей численности учащихся (1/4);
M33 – доля педагогических работников детских дошкольных учреждений с высшим образованием (1/4);
M34 – доля учащихся во вторую и третью смену (1/8, –);
M35 – заболеваемость в детских дошкольных учреждениях = пропущено по болезни/общее количество посещений (3/8, –).
Окончательная формула:
I8 = M32 / 4 + M33 / 4 + M34 / 8 + M35 *3/ 8.
9.Индекс охраны правопорядка.
В индекс вошли следующие индикаторы:
M36 – преступлений на 100 000 жителей (1/2, –);
M37 – тяжких преступлений на 100 000 жителей (1/2, –).
Окончательная формула:
I9 = M36 / 2 + M37 * / 2.
10.Индекс удаленности от цивилизации.
В индекс вошли следующие индикаторы:
M38 – удаленность от областного центра (1/3, –);
M39 – плотность покрытия территории района автомобильными дорогами (2/3).
Окончательная формула:
I10 = M38 / 3 + M39 * 2 / 3.
Приложение 3.
Коэффициенты корреляции переменных
Таблица П3.1.
Корреляция Пирсона, (на выборке содержащей все муниципальные образования)
| |
ROJ |
SME |
UNEM |
WAGE |
SQ |
DET |
VR |
SRMED |
KOEK |
PROM |
ZERN |
KART |
OVOSH |
MEET |
MILK |
INV |
AVTO |
TEL |
| ROJ |
1,00 |
-0,27 |
-0,03 |
-0,14 |
-0,24 |
0,06 |
-0,22 |
-0,10 |
-0,15 |
-0,06 |
0,22 |
0,42 |
0,19 |
0,31 |
0,36 |
0,01 |
-0,10 |
-0,25 |
| SME |
-0,27 |
1,00 |
-0,21 |
-0,23 |
0,39 |
-0,20 |
-0,35 |
-0,03 |
0,06 |
-0,31 |
0,22 |
0,28 |
0,25 |
0,17 |
0,09 |
-0,23 |
-0,33 |
-0,44 |
| UNEM |
-0,03 |
-0,21 |
1,00 |
-0,09 |
-0,12 |
0,06 |
-0,16 |
-0,29 |
-0,16 |
-0,11 |
-0,06 |
-0,15 |
-0,28 |
-0,09 |
0,12 |
0,04 |
0,16 |
0,21 |
| WAGE |
-0,14 |
-0,23 |
-0,09 |
1,00 |
-0,01 |
0,39 |
0,37 |
0,20 |
0,00 |
0,70 |
-0,40 |
-0,49 |
0,01 |
-0,14 |
-0,22 |
0,47 |
0,55 |
0,54 |
| SQ |
-0,24 |
0,39 |
-0,12 |
-0,01 |
1,00 |
-0,11 |
-0,13 |
0,07 |
0,04 |
0,15 |
0,05 |
0,16 |
-0,02 |
-0,19 |
-0,24 |
0,02 |
-0,12 |
-0,14 |
| DET |
0,06 |
-0,20 |
0,06 |
0,39 |
-0,11 |
1,00 |
0,29 |
0,02 |
0,03 |
0,33 |
-0,24 |
-0,24 |
-0,10 |
-0,14 |
-0,22 |
0,16 |
0,23 |
0,21 |
| VR |
-0,22 |
-0,35 |
-0,16 |
0,37 |
-0,13 |
0,29 |
1,00 |
0,53 |
0,46 |
0,35 |
-0,37 |
-0,43 |
-0,21 |
-0,34 |
-0,42 |
0,21 |
0,29 |
0,48 |
| SRMED |
-0,10 |
-0,03 |
-0,29 |
0,20 |
0,07 |
0,02 |
0,53 |
1,00 |
0,62 |
0,20 |
-0,31 |
-0,20 |
-0,17 |
-0,32 |
-0,36 |
0,11 |
-0,02 |
0,08 |
| KOEK |
-0,15 |
0,06 |
-0,16 |
0,00 |
0,04 |
0,03 |
0,46 |
0,62 |
1,00 |
0,07 |
-0,25 |
-0,13 |
-0,24 |
-0,26 |
-0,33 |
0,00 |
-0,21 |
-0,05 |
| PROM |
-0,06 |
-0,31 |
-0,11 |
0,70 |
0,15 |
0,33 |
0,35 |
0,20 |
0,07 |
1,00 |
-0,32 |
-0,33 |
-0,15 |
-0,28 |
-0,36 |
0,47 |
0,36 |
0,40 |
| ZERN |
0,22 |
0,22 |
-0,06 |
-0,40 |
0,05 |
-0,24 |
-0,37 |
-0,31 |
-0,25 |
-0,32 |
1,00 |
0,48 |
0,21 |
0,48 |
0,60 |
-0,19 |
-0,05 |
-0,32 |
| KART |
0,42 |
0,28 |
-0,15 |
-0,49 |
0,16 |
-0,24 |
-0,43 |
-0,20 |
-0,13 |
-0,33 |
0,48 |
1,00 |
0,31 |
0,30 |
0,27 |
-0,19 |
-0,47 |
-0,53 |
| OVOSH |
0,19 |
0,25 |
-0,28 |
0,01 |
-0,02 |
-0,10 |
-0,21 |
-0,17 |
-0,24 |
-0,15 |
0,21 |
0,31 |
1,00 |
0,54 |
0,36 |
-0,13 |
-0,11 |
-0,31 |
| MEET |
0,31 |
0,17 |
-0,09 |
-0,14 |
-0,19 |
-0,14 |
-0,34 |
-0,32 |
-0,26 |
-0,28 |
0,48 |
0,30 |
0,54 |
1,00 |
0,75 |
-0,19 |
0,02 |
-0,33 |
| MILK |
0,36 |
0,09 |
0,12 |
-0,22 |
-0,24 |
-0,22 |
-0,42 |
-0,36 |
-0,33 |
-0,36 |
0,60 |
0,27 |
0,36 |
0,75 |
1,00 |
-0,21 |
0,15 |
-0,30 |
| INV |
0,01 |
-0,23 |
0,04 |
0,47 |
0,02 |
0,16 |
0,21 |
0,11 |
0,00 |
0,47 |
-0,19 |
-0,19 |
-0,13 |
-0,19 |
-0,21 |
1,00 |
0,27 |
0,38 |
| AVTO |
-0,10 |
-0,33 |
0,16 |
0,55 |
-0,12 |
0,23 |
0,29 |
-0,02 |
-0,21 |
0,36 |
-0,05 |
-0,47 |
-0,11 |
0,02 |
0,15 |
0,27 |
1,00 |
0,55 |
| TEL |
-0,25 |
-0,44 |
0,21 |
0,54 |
-0,14 |
0,21 |
0,48 |
0,08 |
-0,05 |
0,40 |
-0,32 |
-0,53 |
-0,31 |
-0,33 |
-0,30 |
0,38 |
0,55 |
1,00 |
Таблица П3.2.
Корреляция Пирсона, (без учета региональных центров)
| |
ROJ |
SME |
UNEM |
WAGE |
SQ |
DET |
VR |
SRMED |
KOEK |
PROM |
ZERN |
KART |
OVOSH |
MEET |
MILK |
INV |
AVTO |
TEL |
| ROJ |
1,00 |
-0,33 |
-0,05 |
-0,12 |
-0,27 |
0,09 |
-0,19 |
-0,05 |
-0,10 |
-0,04 |
0,20 |
0,40 |
0,16 |
0,28 |
0,33 |
0,02 |
-0,07 |
-0,21 |
| SME |
-0,33 |
1,00 |
-0,24 |
-0,23 |
0,36 |
-0,17 |
-0,25 |
0,10 |
0,22 |
-0,31 |
0,17 |
0,23 |
0,19 |
0,09 |
0,02 |
-0,24 |
-0,33 |
-0,39 |
| UNEM |
-0,05 |
-0,24 |
1,00 |
-0,07 |
-0,14 |
0,09 |
-0,16 |
-0,29 |
-0,13 |
-0,10 |
-0,07 |
-0,17 |
-0,31 |
-0,12 |
0,10 |
0,06 |
0,19 |
0,26 |
| WAGE |
-0,12 |
-0,23 |
-0,07 |
1,00 |
0,00 |
0,38 |
0,53 |
0,18 |
-0,06 |
0,69 |
-0,39 |
-0,49 |
0,04 |
-0,11 |
-0,20 |
0,45 |
0,57 |
0,53 |
| SQ |
-0,27 |
0,36 |
-0,14 |
0,00 |
1,00 |
-0,08 |
0,01 |
0,15 |
0,13 |
0,16 |
0,02 |
0,12 |
-0,06 |
-0,25 |
-0,29 |
0,03 |
-0,10 |
-0,10 |
| DET |
0,09 |
-0,17 |
0,09 |
0,38 |
-0,08 |
1,00 |
0,20 |
-0,05 |
-0,09 |
0,32 |
-0,21 |
-0,20 |
-0,06 |
-0,09 |
-0,18 |
0,14 |
0,20 |
0,15 |
| VR |
-0,19 |
-0,25 |
-0,16 |
0,53 |
0,01 |
0,20 |
1,00 |
0,48 |
0,12 |
0,54 |
-0,45 |
-0,47 |
-0,01 |
-0,24 |
-0,41 |
0,27 |
0,32 |
0,43 |
| SRMED |
-0,05 |
0,10 |
-0,29 |
0,18 |
0,15 |
-0,05 |
0,48 |
1,00 |
0,55 |
0,19 |
-0,27 |
-0,12 |
-0,09 |
-0,25 |
-0,29 |
0,09 |
-0,07 |
-0,04 |
| KOEK |
-0,10 |
0,22 |
-0,13 |
-0,06 |
0,13 |
-0,09 |
0,12 |
0,55 |
1,00 |
0,02 |
-0,19 |
-0,02 |
-0,15 |
-0,17 |
-0,26 |
-0,05 |
-0,32 |
-0,22 |
| PROM |
-0,04 |
-0,31 |
-0,10 |
0,69 |
0,16 |
0,32 |
0,54 |
0,19 |
0,02 |
1,00 |
-0,31 |
-0,32 |
-0,13 |
-0,27 |
-0,35 |
0,46 |
0,36 |
0,39 |
| ZERN |
0,20 |
0,17 |
-0,07 |
-0,39 |
0,02 |
-0,21 |
-0,45 |
-0,27 |
-0,19 |
-0,31 |
1,00 |
0,46 |
0,17 |
0,46 |
0,58 |
-0,18 |
-0,03 |
-0,28 |
| KART |
0,40 |
0,23 |
-0,17 |
-0,49 |
0,12 |
-0,20 |
-0,47 |
-0,12 |
-0,02 |
-0,32 |
0,46 |
1,00 |
0,26 |
0,25 |
0,21 |
-0,18 |
-0,46 |
-0,49 |
| OVOSH |
0,16 |
0,19 |
-0,31 |
0,04 |
-0,06 |
-0,06 |
-0,01 |
-0,09 |
-0,15 |
-0,13 |
0,17 |
0,26 |
1,00 |
0,50 |
0,32 |
-0,11 |
-0,08 |
-0,26 |
| MEET |
0,28 |
0,09 |
-0,12 |
-0,11 |
-0,25 |
-0,09 |
-0,24 |
-0,25 |
-0,17 |
-0,27 |
0,46 |
0,25 |
0,50 |
1,00 |
0,73 |
-0,18 |
0,06 |
-0,27 |
| MILK |
0,33 |
0,02 |
0,10 |
-0,20 |
-0,29 |
-0,18 |
-0,41 |
-0,29 |
-0,26 |
-0,35 |
0,58 |
0,21 |
0,32 |
0,73 |
1,00 |
-0,20 |
0,21 |
-0,24 |
| INV |
0,02 |
-0,24 |
0,06 |
0,45 |
0,03 |
0,14 |
0,27 |
0,09 |
-0,05 |
0,46 |
-0,18 |
-0,18 |
-0,11 |
-0,18 |
-0,20 |
1,00 |
0,27 |
0,37 |
| AVTO |
-0,07 |
-0,33 |
0,19 |
0,57 |
-0,10 |
0,20 |
0,32 |
-0,07 |
-0,32 |
0,36 |
-0,03 |
-0,46 |
-0,08 |
0,06 |
0,21 |
0,27 |
1,00 |
0,56 |
| TEL |
-0,21 |
-0,39 |
0,26 |
0,53 |
-0,10 |
0,15 |
0,43 |
-0,04 |
-0,22 |
0,39 |
-0,28 |
-0,49 |
-0,26 |
-0,27 |
-0,24 |
0,37 |
0,56 |
1,00 |
Приложение 4.
Построение суммарного показатель развития муниципального образования на выборке, не содержащей муниципальные образования, являющиеся региональными центрами
Вначале метод главных компонент применялся для построения показателей отдельных аспектов социально-экономического развития: показателя демографической ситуации в муниципальном образовании, обеспеченности услугами здравоохранения и развитии сельского хозяйства. При выделении главных компонент применялся критерий Кайзера, который заключается в отборе факторов, с собственными значениями, большими единицы.
Представленные ниже таблицы показывают коэффициенты корреляции переменных и процент объясненной общей дисперсии.
1. Показатель демографической ситуации.
Корреляционная матрица
|
ROJ |
SME |
| ROJ |
1,000 |
-0,329 |
| SME |
-0,329 |
1,000 |
Полная объясненная дисперсия
| |
Начальные собственные значения |
|
|
Суммы квадратов нагрузок извлечения |
|
| Компонента |
Всего |
% дисперсии |
Кумулятивный % |
Всего |
% дисперсии |
| 1 |
1,329 |
66,445 |
66,445 |
1,329 |
66,445 |
| 2 |
0,671 |
33,555 |
100,000 |
|
|
Как видно из данной таблицы 1-й фактор объясняет 66,4 % общей дисперсии.
В результате объединения двух переменных ROJ и SME в один фактор, было получено, что Демографическая ситуация в регионе: DEMOG = 0,815∙ ROJ - 0,815∙ SME
2. Показатель обеспеченности услугами здравоохранения
Корреляционная матрица
|
VR |
SRMED |
KOEK |
| VR |
1,000 |
0,483 |
0,122 |
| SRMED |
0,483 |
1,000 |
0,552 |
| KOEK |
0,122 |
0,552 |
1,000 |
Полная объясненная дисперсия
| |
Начальные собственные значения |
|
|
Суммы квадратов нагрузок извлечения |
|
| Компонента |
Всего |
% дисперсии |
Кумулятивный % |
Всего |
% дисперсии |
| 1 |
1,796 |
59,881 |
59,881 |
1,796 |
59,881 |
| 2 |
0,879 |
29,314 |
89,195 |
|
|
| 3 |
0,324 |
10,805 |
100,000 |
|
|
Как видно из данной таблицы 1-й фактор объясняет 59,9 % общей дисперсии.
В результате объединения трех переменных VR, SRMED и KOEK в один фактор, было получено, что Состояние сферы здравоохранения в регионе:
MEDIC = 0,662∙ VR + 0,908∙ SRMED + 0,730∙ KOEK
3. Показатель развития сельского хозяйства
Корреляционная матрица
|
ZERN |
KART |
OVOSH |
MEET |
MILK |
| ZERN |
1,000 |
0,458 |
0,166 |
0,455 |
0,577 |
| KART |
0,458 |
1,000 |
0,262 |
0,251 |
0,213 |
| OVOSH |
0,166 |
0,262 |
1,000 |
0,503 |
0,316 |
| MEET |
0,455 |
0,251 |
0,503 |
1,000 |
0,732 |
| MILK |
0,577 |
0,213 |
0,316 |
0,732 |
1,000 |
Полная объясненная дисперсия
| |
Начальные собственные значения |
|
|
Суммы квадратов нагрузок извлечения |
|
| Компонента |
Всего |
% дисперсии |
Кумулятивный % |
Всего |
% дисперсии |
| 1 |
2,627 |
52,538 |
52,538 |
2,627 |
52,538 |
| 2 |
0,947 |
18,933 |
71,472 |
|
|
| 3 |
0,842 |
16,849 |
88,320 |
|
|
| 4 |
0,361 |
7,219 |
95,539 |
|
|
| 5 |
0,223 |
4,461 |
100,000 |
|
|
Как видно из данной таблицы 1-й фактор объясняет 52,5 % общей дисперсии,
В результате объединения пяти переменных ZERN, KART, OVOSH, MEET и MILK в один фактор, было получено, что Развитие сельского хозяйства в регионе:
SELHOZ = 0,748∙ZERN+ 0,546∙ KART + 0,589∙ OVOSH + 0,851∙ MEAT + 0,834∙ MILK.
Далее метод главных компонент был применен для нахождения линейной комбинации всех рассматриваемых векторов, ковариационная матрица которых приведена ниже.
|
PROM |
SELHOZ |
INV |
DEMOG |
MEDIC |
UNEM |
WAGE |
SQ |
AVTO |
TEL |
DET |
| PROM |
1,000 |
-0,381 |
0,462 |
0,165 |
0,304 |
-0,101 |
0,692 |
0,161 |
0,359 |
0,394 |
0,324 |
| SELHOZ |
-0,381 |
1,000 |
-0,234 |
0,121 |
-0,402 |
-0,135 |
-0,307 |
-0,155 |
-0,037 |
-0,402 |
-0,203 |
| INV |
0,462 |
-0,234 |
1,000 |
0,160 |
0,125 |
0,058 |
0,453 |
0,028 |
0,271 |
0,373 |
0,143 |
| DEMOG |
0,165 |
0,121 |
0,160 |
1,000 |
-0,111 |
0,121 |
0,069 |
-0,388 |
0,156 |
0,109 |
0,160 |
| MEDIC |
0,304 |
-0,402 |
0,125 |
-0,111 |
1,000 |
-0,261 |
0,264 |
0,132 |
-0,046 |
0,048 |
0,017 |
| UNEM |
-0,101 |
-0,135 |
0,058 |
0,121 |
-0,261 |
1,000 |
-0,075 |
-0,137 |
0,192 |
0,261 |
0,090 |
| WAGE |
0,692 |
-0,307 |
0,453 |
0,069 |
0,264 |
-0,075 |
1,000 |
0,004 |
0,565 |
0,531 |
0,379 |
| SQ |
0,161 |
-0,155 |
0,028 |
-0,388 |
0,132 |
-0,137 |
0,004 |
1,000 |
-0,105 |
-0,096 |
-0,083 |
| AVTO |
0,359 |
-0,037 |
0,271 |
0,156 |
-0,046 |
0,192 |
0,565 |
-0,105 |
1,000 |
0,559 |
0,201 |
| TEL |
0,394 |
-0,402 |
0,373 |
0,109 |
0,048 |
0,261 |
0,531 |
-0,096 |
0,559 |
1,000 |
0,154 |
| DET |
0,324 |
-0,203 |
0,143 |
0,160 |
0,017 |
0,090 |
0,379 |
-0,083 |
0,201 |
0,154 |
1,000 |
В данном случае, мы уже не использовали критерий Кайзера при выделении главных компонент. В качестве суммарного показателя развития муниципальных образований выбирался фактор с наибольшей объясняющей силой общей дисперсии. Такой выбор позволяет нам провести однозначные расчеты индексов неравенства при максимально возможном учете разброса в развитии муниципальных образований. На этой стадии выяснилось, что переменные уровень безработицы, площадь жилья, приходящаяся на одного жителя, а также показатели демографической ситуации и обеспеченности услугами здравоохранения имеют низкие доли дисперсий, принадлежащих фактору и, следовательно, должны быть исключены из анализа. В результате отбрасывания данных переменных и выделения главных компонент на множестве оставшихся переменных было получено, что 1-й фактор объясняет 46,1 % общей дисперсии, в то время как каждый последующий фактор менее 14,4 %.
Суммарный показатель развития муниципального образования (без учета столиц):
dev_ind = 0, 791∙ PROM - 0, 508∙ SELHOZ + 0, 628∙ INV + 0, 867∙ WAGE + 0, 660∙ AVTO + 0, 741∙ TEL + 0, 460∙ DET,
Приложение 5,
Индексы межмуниципального неравенства республики Чувашия, Томской и Пермской области и республики Марий Эл, построенных на основе суммарного показателя развития муниципальных образований (без учета региональных центров)
Таблица П5.1. Индексы межмуниципального неравенства
| год |
номер |
MMR |
CVu |
CVw |
Rw |
T |
G |
Gw |
| 1995 |
Республика Чувашия |
1,2235 |
0,0504 |
0,0620 |
0,0262 |
0,0019 |
0,0274 |
0,0346 |
| 1996 |
Республика Чувашия |
1,2644 |
0,0582 |
0,0757 |
0,0308 |
0,0028 |
0,0300 |
0,0405 |
| 1997 |
Республика Чувашия |
1,2727 |
0,0632 |
0,0802 |
0,0332 |
0,0031 |
0,0335 |
0,0433 |
| 1998 |
Республика Чувашия |
1,3059 |
0,0649 |
0,0844 |
0,0343 |
0,0035 |
0,0340 |
0,0455 |
| 1999 |
Республика Чувашия |
1,3333 |
0,0692 |
0,0938 |
0,0367 |
0,0043 |
0,0341 |
0,0488 |
| 2000 |
Республика Чувашия |
1,4091 |
0,0823 |
0,1124 |
0,0436 |
0,0061 |
0,0395 |
0,0575 |
| 1995 |
Томская область |
1,4368 |
0,0888 |
0,0872 |
0,0293 |
0,0036 |
0,0454 |
0,0420 |
| 1996 |
Томская область |
1,5730 |
0,1115 |
0,1117 |
0,0387 |
0,0058 |
0,0554 |
0,0531 |
| 1997 |
Томская область |
1,7912 |
0,1644 |
0,1619 |
0,0584 |
0,0120 |
0,0806 |
0,0744 |
| 1998 |
Томская область |
2,0109 |
0,1832 |
0,1810 |
0,0444 |
0,0138 |
0,0686 |
0,0629 |
| 1999 |
Томская область |
1,9789 |
0,1817 |
0,1815 |
0,0470 |
0,0140 |
0,0723 |
0,0663 |
| 2000 |
Томская область |
2,8041 |
0,3259 |
0,3243 |
0,0885 |
0,0409 |
0,1223 |
0,1147 |
| 1998 |
Пермская область |
1,2778 |
0,0666 |
0,0782 |
0,0326 |
0,0030 |
0,0372 |
0,0444 |
| 1999 |
Пермская область |
1,4945 |
0,1096 |
0,1273 |
0,0539 |
0,0080 |
0,0588 |
0,0716 |
| 2000 |
Пермская область |
1,6237 |
0,1391 |
0,1533 |
0,0665 |
0,0116 |
0,0752 |
0,0869 |
| 2000 |
Республика Марий Эл |
1,2308 |
0,0556 |
0,0703 |
0,0259 |
0,0024 |
0,0269 |
0,0358 |
Рис. П5.1. Динамика индексов неравенства развития муниципальных образований в республике Чувашия
Рис. П5.2. Динамика индексов неравенства развития муниципальных образований в Томской области
Рис. П5.3. Динамика индексов неравенства развития муниципальных образований в Пермской области
1 Коэффициенты корреляции представлены в приложении 3.
2 В некоторых случаях приходилось перекодировать показатели индикаторов в баллы вручную, поскольку автоматическая перекодировка с использованием указанного алгоритма приводила к неадекватным результатам. Например, для индикатора «объем производства промышленной продукции на душу населения» значения для гг. Кедрового и Стрежевого многократно превышали значения для всех прочих муниципальных образований, включая г. Томск и Томский район. Автоматическая перекодировка в данном случае присвоила бы 100 баллов Стрежевому и Кедровому и по 10 баллов всем остальным муниципальным образованиям, в связи с чем было решено осуществить перевод данного индикатора в баллы вручную.
3 Перспективными отраслями были признаны топливная, химическая и нефтехимическая и промышленность стройматериалов.
Экономика: Знания - Циклы - Макроэкономика