Занг - Синергетическая Экономика. Время И Перемены В Нелинейной Экономической Теории
Предисловие редакторов перевода
Всякое знание есть только подведение сущности жизни под законы разума.
Лев Толстой, «Война и мир»
Характерной чертой современного этапа развития экономической науки является ее математизация, которая проявляется в замене изучаемого экономического процесса адекватной математической моделью и последующем исследовании свойств этой модели либо аналитическими методами, либо на основе проведения вычислительных экспериментов. Использование математических моделей в экономике имеет более чем столетнюю историю. Например, одна из первых моделей рыночной конкуренции (О. Курно) была опубликована в 1838 г., а через полвека Л. Вальрас уже применял математические модели при чтении курса политической экономии в Лозаннском университете. К настоящему времени в экономической теории прочно закрепились различные модели взаимодействия рынков рабочей силы, товаров и денег, модели однопродуктовой и многопродуктовой фирм, модель поведения потребителя, модель конкуренции фирм на рынке товаров и другие, которые, по существу, являются равновесными моделями.
Однако подавляющее большинство экономических процессов протекает, во времени, вследствие чего соответствующие математические модели являются в принципе динамическими. Одним из традиционных подходов к прогнозированию развития экономических процессов служит изучение смещения точки равновесия динамической системы, вызванного изменением тех или иных параметров модели. Такой (квазистационарный) подход опирается на ключевую концепцию классической политэкономии — «невидимую руку» Адама Смита. Как известно, эта концепция опирается на гипотезу о существовании на конкурентных рынках автоматического равновесного механизма.
Использование квазистационарного подхода к анализу динамических процессов экономики привело к распространению общего
представления о том, что развитие любой сложной системы можно рассматривать как смену одного устойчивого состояния другим с кратким периодом переходного процесса между ними. Однако анализ реальной экономической динамики на основе такого подхода может оказаться ошибочным, поскольку период неравновесного развития многих экономических процессов может оказаться слишком длительным, чтобы им можно было пренебречь. Прекрасно понимая важность исследования экономических процессов в динамике, классик современной экономической науки А. Маршалл оправдывал использование квазистационарного подхода для оценки изменений на рынке тем, что «наш анализ все еще пребывает в младенческом возрасте».
Отметим, что такой подход является эффективным лишь до поры до времени, пока, в силу некоторых причин, характер стационарного состояния не изменится кардинальным образом. Подобные изменения, называемые бифуркациями, принадлежат уже к области приложений методов нелинейного динамического анализа, развитие которого приводит к все большему распространению такой точки зрения: «Мир — это постоянное развитие, вечная неустойчивость, а периоды стабилизации — лишь краткие остановки на этом пути».
Динамические математические модели хорошо зарекомендовавшие себя в физике, а затем в биологии, имеют много общего, хотя и сохраняют специфические особенности каждой из этих наук. Сейчас модели этого класса все шире применяются в социологии и экономике. К настоящему времени современная методология анализа нелинейных динамических систем оформилась в новое научное направление, называемое синергетикой. Эта междисциплинарная наука нацелена на выявление общих принципов эволюции и самоорганизации сложных систем в различных областях знания на основе построения и исследования нелинейных динамических математических моделей. Важными понятиями синергетики являются «катастрофа», «бифуркация», «предельный цикл», «странный аттрактор», «диссипативная структура», «бегущая волна» и т. д. Возникающие при использовании сравнительно простых нелинейных моделей, эти понятия позволяют нам глубже проникнуть в суть многих процессов и явлений. Физика, химия, биология в изобилии демонстрируют примеры успешного применения этой методологии. К ним можно отнести фазовые переходы между агрегатными состояниями вещества, турбулентные течения жидкости, структуры в средах при наличии автокаталитических реакций, волны жизни и волны горения, колебания численности природных популяций и др.
Неудивительно, что эта универсальная методология, возникшая сравнительно недавно и хорошо зарекомендовавшая себя в естествознании, стала проникать и в традиционно гуманитарные науки, и в первую очередь в экономику. Не боясь ошибиться, можно утверждать, что любой раздел экономической науки может быть отнесен к области приложений синергетики, поскольку при рассмотрении любого динамического экономического процесса всегда присутствует в качестве действующего фактора некоторый активный, т. е. осуществляющий обратную связь элемент. Поэтому, если мы хотим заглянуть за горизонт узкого мира, в котором все представляется устойчивым и в котором нет места катастрофам и перестройкам, нам не обойтись без использования синергетического подхода.
В предлагаемой вниманию читателей книге В.-Б. Занга «Синергетическая экономика» сделана попытка дать общее представление о возможностях синергетического подхода в экономике. При этом основное внимание уделено рассмотрению сравнительно простых математических моделей малой размерности, которые, как правило, удается исследовать аналитическими методами. Использование методов синергетики в экономике — не дань моде, а насущная потребность двигаться вперед за пределы, очерченные рамками квазистационарного подхода, искать новые пути применения мощных современных вычислительных средств для решения серьезных практических задач.
Математический инструментарий книги представляет собой достаточно компактный набор методов, позволяющих проводить весьма эффективный анализ нелинейных моделей реальных экономических процессов. Несомненное достоинство используемого подхода состоит в том, что анализ обсуждаемых в книге моделей малой размерности легко поддается осмыслению, поскольку набор свойств, являющихся наиболее яркими следствиями нелинейности, достаточно ограничен. Поэтому использованный в книге математический аппарат должен стать не только азбукой для нового поколения экономистов, но одновременно и маяком, на который должны настраиваться программы математической подготовки экономических вузов. По-видимому, именно в связи с этим В.-Б. Занг рекомендует свою книгу не только специалистам, но и студентам экономических специальностей.
Масштабность задачи, которую поставил перед собой автор, не позволила ему избежать некоторых недостатков. Это касается прежде всего чрезмерной конспективности изложения основополагающих гипотез при формулировке математических моделей, что, к сожалению, присуще не только этой, но и многим другим книгам по математической экономике. Можно отметить и то; что экономические модели в книге зачастую служат как бы иллюстрациями известных математических результатов. Это ставит рассматриваемые модели в подчиненное положение по отношению к математическому аппарату, что, конечно же, не может не вызвать У читателей-экономистов некоторого чувства недовольства. Однако в результате такого подхода автора к изложению материала читатель обнаруживает, например, что экономические циклы также естественны, как колебания численности популяций, а «скачки» в обществе, т. е. изменения революционного типа, — как фазовые переходы для вещества. Так что к этому можно относиться как к намеренному методологическому подходу в подаче материала, который вынуждает читателей более тщательно вникать в те скупые строки, в которых изложены основные гипотезы и математические конструкции моделей, и проявлять максимум самостоятельности при осмыслении не только излагаемых результатов, но и математи-іеской постановки задачи.
К некоторым субъективным оценкам (и самооценкам) автора читателю следует относиться достаточно критично. Например, говоря о принципе подчинения Хакена, невозможно не упомянуть и о другой формулировке этого принципа — теореме Тихонова для систем уравнений с сингулярными возмущениями. И вообще, говоря о синергетике, следует помнить, что многие ее результаты непосредственно связаны с развитием математического моделирования, у истоков которого в нашей стране стояли А. А. Дородницын, Н. Н. Моисеев, А. А. Самарский и др. (для
удобства читателей мы приводим в конце этого предисловия небольшой список литературы на русском языке по данной тематике).
Вместе с тем мы хотели бы обратить внимание читателей на главное достоинство книги: в целом автору удалось дать широкую панораму состояния дел в сегодняшней синергетике на примере анализа сравнительно простых моделей динамических экономических процессов. Более того, книга нацелена на формирование у читателей нелинейного стиля мышления, что важно в любой области знания, в том числе, конечно же, и в современной экономике.
При работе над рукописью перевода замеченные неточности оригинала мы исправили без особых оговорок, а там, где это было необходимо, сделали подстрочные примечания. Особо следует отметить, что публикация книги на русском языке осуществлена благодаря инициативе переводчика книги Н. В. Островской, поддержавшему ее инициативу Российскому фонду фундаментальных исследований (начальник издательского отдела В. Д. Новиков), сотрудникам издательства «Мир», а также А. В. Федотову, принимавшему участие в переводе 5 и 9 глав.
Мы также хотели бы выразить благодарность автору книги проф. В.-Б. Зангу за внимание к русскому изданию — он любезно прислал по нашей просьбе список опечаток, который учтен в русском издании, а также ответил на ряд вопросов по уточнению отдельных мест текста. В заключение мы выражаем надежду, что книга будет полезна всем читателям, интересующимся приложениями методов нелинейного анализа в экономике. Кто знает, может быть среди них окажутся и те, кто найдет с ее помощью ту самую нить, распутывая которую, удастся добраться до четкой синергетической картины тех экономических проблем, которые мы все сегодня переживаем и, имея эту картину перед собой, найти реальные пути к достойному экономическому развитию.
Список дополнительной литературы
1. Арнольд В. И. Теория катастроф. М.: Наука, изд. 3-е, доп., 1990.—128с.
2. Ахромеева Г. С., Курдюмов С. П., Малинецкий Г. Г., Самарский А. А. Нестационарные структуры и диффузионный хаос. М.: Наука, 1992. — 542 с.
3. Иванилов Ю. П., Лотов А. В. Математические модели в экономике. М.: Наука,1979.— 304 с.
4. Лебедев В. В. Математическое моделирование социально-экономических процессов. М.: Изограф, 1997. — 224 с.
5. Лоскутов А. Ю., Михайлов А. С. Введение в синергетику. М.: Наука, 1990. — 270 с.
6. Петров А. А., Поспелов И. Г., Шананин А. А. Опыт математического
моделирования экономики. М.: Энергоатомиздат, 1996. — 544 с.
7. Романовский Ю. М., Степанова Н. В., ЧернавскийД. С., Математическая биофизика. М.: Наука, 1984. — 304 с.
8. Самарский А. А., Михайлов А. П. Математическое моделирование. М.: Наука, 1997. — 320 с.
9. Моисеев Н. Н. Математические задачи системного анализа. М.: Наука, 1981.
10. Тихомиров Н. П., Райцин В. Я., Гаврилец Ю. Н., Спиридонов Ю. Д. Моделирование социальных процессов. Учебное пособие. М.: РЭА, 1993.
Д. э. н., к.ф.-м.н., проф. В. В. Лебедев Д. ф.-м. н. В. Н. Разжееайкин
Предисловие
Эта книга — о динамике экономических и других социальных систем. Она написана в Шведском институте Перспективных исследований и ориентирована на смысловую сторону проблем экономической эволюции и быстрых структурных перемен.
Проводимый здесь анализ тесно связан с синергетикой. Это означает, что доктор Занг акцентирует внимание на том факте, что экономические и иные социальные величины можно подразделять на подмножества быстрых и медленных переменных. Установлено, что некоторые из медленных переменных имеют смысл коллективных, т.е. могут играть роль параметров порядка в экономических и социальных системах.
С большим или меньшим привлечением математического аппарата такое подразделение присутствует и в более ранних попытках динамического анализа экономики. Нечто подобное делали Альфред Маршалл в своем учебнике еще в девятнадцатом веке и Поль Самуэльсон в «Основах экономического анализа» в 1940 году. Однако они не предполагали возможности точного решения поднятых проблем, которую подразумевает развиваемый здесь подход к экономике. Доктор Занг не только привержен данному направлению, но конкретно показывает, как работают методы синергетики в динамическом анализе важнейших крупномасштабных проблем экономического развития. Один из его наиболее важных выводов состоит в том, что при предлагаемом подразделении взаимодействующих подсистем на быстрые и медленные можно достичь предсказуемости их поведения, которое иначе должно быть признано непредсказуемым, т.е. хаотическим. Кроме того, проведенный анализ показывает, что переменные, влияющие на переменные порядка, могут стать инструментом стратегической политики. Большинство таких переменных относятся к типу медленных и, следовательно, сами могут рассматриваться как параметры порядка на уровне экономической системы. Последнее автоматически означает, что эти переменные влияют на принятие стратегически важных решений, т.е. оказываются инструментом политики, ориентированной в будущее.
Прогнозирование будущего, безусловно, важно, однако оно легко может обратиться в беспочвенные фантазии, если не базировать его на надежном методологическом фундаменте. Один из опорных камней в этот фундамент заложил своей книгой доктор Занг.
Аке Е. Андерссон,
профессор экономики университета Умеа, директор Шведского института Перспективных исследований
Моим родителям, которых так огорчало долгое отсутствие сына
... если ортодоксальная экономическая наука заходит в тупик, причину следует искать не в общей структуре, которая с большим тщанием была доведена ранее до логической стройности и непротиворечивости, но в отсутствии ясности и общности в посылках.
Дж. М. Кейнс (1936)
От автора
Время изменяет не только экономический уклад общества, но вносит свои поправки в ключевые экономические идеи. Сегодня слишком рано судить об историческом значении вклада в экономическую науку новейших экономистов, поскольку экономисты-классики, такие как Рикардо, Мальтус, Маркс, Вальрас и Маршалл жили в иное время и принадлежат иным культурам. Время — лучший арбитр. Только время придает нам достаточно мудрости, чтобы признать, что иные идеи, которые казались сначала такими значительными и многообещающими, имеют довольно поверхностный характер.
Не только широкая публика, но многие экономисты все больше утрачивают веру в возможность применения экономической науки к реальности, хотя уровень экономических знаний в последнее время значительно вырос: видимо, между научным знанием и доверием к науке нет простой зависимости.
Можно придумать множество причин, по которым экономика ошибается в своих попытках объяснить действительность. С одной стороны, сам реальный мир резко усложнился в последние десятилетия. Технология, институты общества, качество жизни, устремления людей, их нравы, которые в прошлом менялись относительно медленно, сейчас, как правило, изменяются гораздо быстрее. Эта особенность современного общества делает затруднительными, если не просто невозможными, попытки объяснения экономической жизни с позиций чистой науки. С другой стороны, традиционная теоретическая экономика имеет свои внутренние ограничения: она ограничена преимущественно статическими и стабилизированными извне экономическими системами. Нелинейные неустойчивые процессы, такие, как регулярные и нерегулярные колебания, которые являются основными объектами нашего исследования, в традиционном анализе считаются случайными либо незначительными явлениями.
В этой книге рассматриваются проблемы, относящиеся к эволюции и переменам в нелинейных неустойчивых экономических системах. Мы сосредоточимся на таких аспектах динамических экономических систем, как нелинейность, неустойчивость, бифуркации и хаос. Для анализа характеристик нелинейных динамических экономических систем мы предлагаем новую теорию — «синергетическую экономику», базирующуюся на синергетике Хакена. Синергетическая экономика делает упор на взаимодействии линейности и нелинейности, устойчивости и неустойчивости, непрерывности и разрыва, постоянства и структурных перемен в противовес свойствам чистой линейности, устойчивости, непрерывности и постоянства. Нелинейность и неустойчивость в синергетической экономике рассматриваются, скорее как источники разнообразия и сложности экономической динамики, нежели как источники шумов и случайных явлений, как это делается в традиционной экономике.
В некотором смысле, эта книга имеет целью завершить задачу, которую ставил перед собой Поль А. Самуэльсон, когда писал свои выдающиеся «Основы экономического анализа». Он разделял развитие аналитической экономики примерно на пять больших этапов. Первый связан с именем Вальраса, у которого мы находим кульминацию идеи детерминированного равновесия и статического уровня. Парето и другие сделали следующий шаг, который лег в основу теории сравнительной статики. Третий шаг, связанный с максимизацией действия экономического объекта, был сделан Джонсоном, Слуцким, Хиксом и Алленом. Четвертое достижение связано с открытием принципа соответствия. «Пятый шаг, который естественно сделать после того, как мы исследовали отклик системы на изменение заданных параметров — это исследовать ее поведение в зависимости от времени». Более того, Самуэльсон подчеркивал, что «польза от любого теоретического построения состоит в том, чтобы понять характер поведения экономических переменных в зависимости от определенных данных или параметров. Это справедливо как для динамики, так и для статики. Следовательно, следующим логическим шагом должно быть именно создание теории сравнительной динамики. Она должна не только включить в себя теорию сравнительной статики как частный случай, а также все перечисленные выше разделы экономической теории, но покрывать значительно более широкую область» (Самуэльсон, 1946). Пятый шаг будет разрабатываться в данной книге.
Эта книга рассчитана на студентов-экономистов и экономистов-исследователей. Она может быть также полезна ученым, интересующимся приложениями нелинейной динамической теории к экономическим проблемам.
В.-Б. Занг
Стокгольм, июль, 1990
Благодарности
Я очень обязан моему учителю, профессору Аке Е. Андерссону. Его влияние легко определить на страницах этой книги, впрочем, как и на всей моей профессиональной биографии. Я благодарен ему за Предисловие к этой книге.
Я хотел бы также выразить мою глубокую благодарность проф. Германну Хакену, проф. Бьёржу Джоанссону и проф. Тьёну Пуу за их ценные замечания. Я благодарен доктору А. М. Лаее и миссис И. Кайзер, работникам издательства Шпрингер, за сотрудничество.
Я хочу также выразить признательность CERUM университета Умеа и Институту Перспективных исследований в Стокгольме за обеспечение условий и создание благоприятной интеллектуальной обстановки, стимулировавших это исследование. Я благодарен CERUM и Институту Перспективных исследований за финансовую поддержку.
1 Введение
Мы никогда не владеем окончательной истиной, а лишь находимся в постоянном поиске.
Карл Р. Поппер (1972)
Что есть время? Каким образом происходят перемены? Существует ли универсальный закон, управляющий ходом перемен? А если он существует, то возможно ли его постичь? С самого начала цивилизации человечество встает перед этими вопросами. Они присущи как западной, так и восточной культуре, и не только в рамках науки. Раздумья об эволюции сами по себе представляют эволюционный процесс, как вследствие сложности проблемы, так и по причине ограниченности нашего понимания.
В этой книге рассматриваются проблемы, связанные с динамикой экономических систем. Экономическая эволюция систематически исследовалась, начиная еще с Адама Смита, хотя единой теории так и не возникло. Встав на плечи предшественников, мы попытаемся взглянуть несколько дальше обычного.
Здесь будут затронуты не все аспекты экономического эволюционного процесса. Мы сосредоточимся лишь на некоторых из них, таких, как нелинейность, неустойчивости, бифуркации и хаос в динамических экономических системах. Прежде всего, мы проведем обзор некоторых теорий традиционной экономики. Затем для анализа свойств нелинейных динамических экономических систем мы займемся построением новой теории — «синергетической экономики». Ее фундаментальным отличием является то, что синергетическая экономика придает особое значение не линейным, а нелинейным аспектам экономического эволюционного процесса, не устойчивости, а неустойчивостям, не непрерывности, а разрывам, не постоянству, а структурным изменениям — в противоположность традиционному рассмотрению линейности, устойчивости, непрерывности и неизменности. Синергетическая экономика трактует нелинейность и неустойчивость как источник многообразия и сложности экономической динамики, а не шумов и случайных возмущений, как это делает экономика традиционная.
«Синергетическая экономика» берет свое начало из науки синергетики, основы которой были заложены Германном Хакеном (1977, 1983). Сама синергетика определяется как наука о коллективных статических и динамических явлениях в закрытых и открытых многокомпонентных системах с «кооперативным» взаимодействием между элементами системы. В физике, химии и биологии синергетика концентрируется на структурных особенностях пространственно-временной самоорганизации систем на макроскопическом уровне. Оказывается, что на этом уровне между различными системами существует тесная аналогия, даже если они состоят из разнородных элементов с существенно отличными элементарными взаимодействиями. Под этим новым углом зрения в естественных науках начинают разрабатываться теории о том, как порядок дает начало хаосу, но в хаосе зарождается новый порядок, и из хаоса вновь возникает порядок. Эти же свойства эволюционных систем изучает Синергетическая экономика.
Некоторые черты, которым синергетика придает особое значение, можно обнаружить и в традиционной экономике. Традиционные теории экономической динамики осознают роль взаимодействий и коопераций между различными частями экономических систем. Лишь немногие экономисты станут отрицать существование в экономике нелинейных взаимодействий. Однако мы покажем, что именно о роли неустойчивости нелинейных систем мы знаем слишком мало. Синергетика Хакена и работы Пригожина, посвященные диссипативным структурам, подсказали мне новый путь систематического изучения сложностей экономической эволюции.
В синергетической экономике экономическая эволюция трактуется как необратимый процесс. Существенную роль в понимании необратимых процессов играют время и хаотическая динамика. Необратимость и эволюция возникают как следствия сложности коллективного поведения внутренне простых объектов. Эта концепция представляет собой одну из движущих сил западной науки (Пригожин, 1980, Пригожин и Стенгерс, 1984). Ранее, под сильным влиянием ньютонианства, экономисты (безотчетно) трактовали экономическую эволюцию как процесс обратимый. Сегодня имеются экономические модели, которые могут четко обосновать его необратимость. Новый путь для понимания необратимых процессов открывает концепция хаоса.
Синергетическая экономика развивается на базе традиционной. Она отвергает некоторые идеи традиционной экономики и трактует результаты традиционной экономики как частные, а не общие случаи. Основные концепции традиционной экономики — концепция рационального поведения и идеальной конкуренции, играют фундаментальную роль и для развития синергетической экономики. Наше расхождение с традиционной экономикой состоит в том, что мы трактуем неустойчивости нелинейных систем как источник сложности экономической динамики.
Конечно, нельзя отрицать, что «человеческий ум извечно бьется подобно испуганной птице, стремясь избежать хаоса, который подстерегает его повсюду ...», но к нам это не относится. Мы попробуем исследовать, каким образом в ходе эволюционного процесса вследствие динамического взаимодействия различных сил возможно внутрисистемное (эндогенное) появление хаоса. Мы покажем, каким путем в экономических системах вдали от равновесия развиваются сложные структуры: циклы, апериодическое движение, хаос и сложно организованные, зависящие от времени, урбанистические образования. Исследование всех этих явлений и есть то, что составляет разницу между традиционной экономической теорией и синергетической экономикой.
Для построения «синергетической экономики» мы привлекаем модели различных экономических теорий и «школ». Мы не будем вдаваться в детали этих моделей, поскольку школ затрагивается множество, а разница между ними трудно уловима. Эти детали несуществены для достижения нашей цели, поскольку в основном нас интересуют методологические стороны экономического анализа.
Любая теория может объяснить лишь некоторые аспекты реального мира. Экономическая теория, которая стремится объяснить долговременную экономическую эволюцию, может оказаться бессильной объяснить кратковременные экономические явления, подобно тому как теория быстрых процессов Кейнса может быть непригодна для долгоживущих социальных систем Шумпетера. Однако, если экономисты отдадут себе отчет, какие предположения явно или неявно приняты в экономической теории, и, до того как начинать дебаты, определятся в том, к какому классу (т. е. к быстро или медленно протекающим процессам) отнести экономическое явление, которое подлежит теоретическому осмыслению, то взаимные недопонимания между различными школами могут быть в значительной степени устранены. Следует заметить, что Синергетическая экономика не предполагает следование какой-либо особой школе в рамках существующих экономических учений. В каждой теории она находит преимущества и недостатки. Важно понимать, при каких примерно условиях применимы результаты каждой из экономических теорий.
Столкнувшись с ошибками традиционной экономики при объяснении реальных явлений, экономисты попытались ввести в экономику такие понятия, как несовершенная конкуренция, неполная информация и нерациональность. К настоящему времени на этом пути предложено немало теорий. Мы имеем неравновесную макроэкономику, экономику семьи, частную экономику, и так далее. Очень популярно также использовать микроэкономический подход
к анализу макроэкономических процессов. В наше время и реальная экономика, и экономическая теория стали «хаотическими». Упростить экономические явления мы не можем. Но в основе человеческой природы лежит стремление к истине с позиций простоты и красоты. Для объяснения сложности реального мира мы всегда пытаемся отыскать простые и универсальные пути. И для нас естественно пытаться построить теорию, которая могла бы объяснять сложные явления, используя, насколько это возможно, простые концепции и методы.
И раньше, в 1930-х и 1940-х годах, находились экономисты, сознававшие значение неустойчивости нелинейных динамических систем для экономики. В основном это были экономисты, которые изучали деловые циклы. Однако нельзя сказать, чтобы они систематически использовали понятие неустойчивости или рассматривали его как источник сложности реального мира. Фактически для экономистов было почти невозможно без затруднений принять идеи нелинейности, поскольку хаотические явления в неустойчивых нелинейных динамических системах могут быть поняты только с помощью математики и находятся за пределами наших интуитивных представлений. Но даже математики мало знали о нелинейных неустойчивых динамических системах в то время.
Ввиду того, что эта книга написана для студентов-экономистов, с точки зрения анализа она может показаться технически сложной, так как почти все основные идеи выражены языком математики. Мы пытались сделать анализ насколько возможно простым, хотя иногда и были вынуждены использовать сложные аналитические методы. Нам кажется невозможным обсуждать трудные темы, используя одни лишь простые средства. Чтобы между читателем и автором установилось взаимопонимание, каждый партнер должен приложить свою долю усилий.
Последовательность связей между частями книги организована, как показано на рис. 1.1.
Теперь изложим детально содержание каждой главы.
Глава 2 касается времени и перемен в экономике и экономическом анализе. Мы описываем сложности экономического развития, прежде всего в общих чертах. Затем мы даем обзор равновесных и динамических теорий в экономике. Далее мы обсуждаем принцип соответствия и его ограничения. Наконец, мы останавливаемся на важности свойств нелинейности и неустойчивости.
В гл. 3 мы даем предварительные сведения о некоторых аналитических методах для динамических систем, важных с точки зрения синергетической экономики. Раздел 3.1 посвящен определениям динамических систем и концепций устойчивости. Поведение двумерных (линейных) дифференциальных уравнений мы изучаем в разд. 3.2. В разд. 3.3 представлена важная теорема, которая

устанавливает связь между нелинейными и соответствующими им линеаризованными системами, а затем дано приложение этой теоремы к модели Тобина. В разд. 3.4 обсуждается прямой метод Ляпунова и его приложения в экономике. В разд. 3.5 сформулированы концепции структурной устойчивости и неустойчивости и Даны их приложения к системе «хищник-жертва» (и к модели Гуд-вина). В разд. 3.6 даны определения консервативных и диссипативных систем и изучены некоторые свойства консервативных систем. В разд. 3.7 обсуждается теория бифуркаций и возможности ее применения к динамической экономике. В разд. 3.8 введены некоторые концепции теории особенностей и показано, как эти концепции могут быть приложены к конкретному уравнению, содержащему бифуркацию раздвоения. В разд. 3.9 показано, как для анализа поведения динамических систем может применяться (элементарная) теория катастроф. В приложении к гл. 3 приведено несколько замечаний относительно теории бифуркаций.
В гл. 4 затрагиваются вопросы существования множества равновесий и структурных изменений в экономических системах. В разд. 4.1 продемонстрированы ограничения традиционного сравнительного статического анализа и обсуждаются возможные приложения теории катастроф к изучению структурных изменений. В разд. 4.2 изучается динамическое поведение модели регионального развития; принадлежащей Андерсону. В разд. 4.3 обсуждается динамическое взаимодействие между темпом инфляции и ставкой процента. В разд. 4.4 приведено несколько примеров, иллюстрирующих концепцию структурных изменений. Сначала рассмотрена модель делового цикла Калдора, переработанная Варианом, далее показано, как в модели управления рыболовством, предложенной Кларком, малые изменения параметров могут привести к внезапному значительному изменению переменных. Затем проводится бифуркационный анализ для модели цикла выбора вида транспорта, предложенной Дейнебургом, Пальма и Калом. Наконец, показано существование множества равновесий в модели розничной торговли Вильсона. В разд. 4.5 дано применение бифуркационного метода Йосса и Джозефа к модели экономического роста, недавно предложенной Зангом. В разд. 4.6 представлены возможные приложения к экономическому анализу теории особенностей. Раздел 4.7 завершает главу.
В гл. 5 изучаются экономические циклы. В разд. 5.1 рассматриваются традиционные теории деловых циклов. В разд. 5.2 представлены теорема Пуанкаре-Бенедиксона и бифуркационная теорема Хопфа и обсуждаются их приложения к экономическим задачам. В разд. 5.3 исследовано существование предельных циклов в упрощенной модели делового цикла Кейнса. В разд. 5.4 показано, как может проявляться отсутствие равновесия в неравновесной макроэкономической модели, предложенной Экальбаром и Зангом. В разд. 5.5 доказано существование монетарных циклов в обобщенной модели Тобина. В разд. 5.6 мы показываем, как вследствие малых сдвигов бифуркационного параметра в гибридной модели роста Ван дер Плюга появляются структурные изменения — от стационарной точки до предельного цикла. В разд. 5.7 рассматривается существование оптимальной периодической политики занятости для микроэкономической модели поведения фирмы в идеально информированной среде. В разд. 5.8 изучаются эндогенные флуктуации в многосекторных моделях ростах. В разд. 5.9 развиты некоторые аналитические методы для идентификации последующих бифуркаций за бифуркацией Хопфа, описанной в этой главе. В разд. 5.10 доказывается существование экономических циклов в модели перекрывающихся поколений.
В гл. 6 изучается экономический хаос в детерминированных динамических системах. В разд. 6.1 дано определение понятия хаоса и обсуждены возможные пути возникновения хаотического поведения в детерминированных системах. В разд. 6.2 сформулированы некоторые концепции дискретных отображений и приводится пример существования хаоса в дискретной модели односекторной экономики, предложенной Штуцером. В разд. 6.3 мы доказываем существование апериодических решений в моделях роста оптимальной многосекторной экономики. В разд. 6.4 показано, что уравнения Лоренца могут быть использованы для описания малых урбанистических систем. В разд. 6.5 говорится о том, что международное сотрудничество между реальными экономическими системами, которые в случае независимости обладают предельными циклами, может привести к возникновению странного аттрактора и, следовательно, хаоса. В разд. 6.6 мы доказываем существование экономического хаоса в двухрегиональной модели, предложенной Пуу. В разд. 6.7 исследуются последствия, к которым может привести наличие экономического хаоса. В разд. 6.8 дано несколько замечаний к главе. В приложении к гл. 6 мы доказываем некоторые критерии, такие, как существование стационарных точек и предельных циклов, отличающие регулярное движение и апериодические решения от истинного хаоса.
В гл. 7 рассматривается влияние стохастических процессов (с нулевыми средними значениями) на ход экономической эволюции. В разд. 7.1 помещен обзор некоторых идей традиционной экономики, касающихся влияния стохастических процессов на экономическую эволюцию. В разд. 7.2 мы определяем некоторые базовые концепции в изучении стохастических процессов — сначала даем определения некоторых понятий теории вероятностей, затем вводим понятие стохастического процесса и приводим различные примеры стохастических процессов. В разд. 7.3 на основе использования мастер-уравнения показано, что малые флуктуации могут увести систему далеко от ее первоначальной траектории. В разд. 7.4 мы демонстрируем качественный подход к системам социальной динамики, предложенный недавно Вайдлихом и Хаагом, и приводим пример того, как этот подход может быть использован для объяснения «часов Шумпетера». В разд. 7.5 содержится дальнейшее объяснение шумовых эффектов в нелинейных стохастических системах вблизи критических точек. В разд. 7.6 мы отдельно рассматриваем влияние случайных воздействий среды на двумерные детерминированные системы вблизи критических точек. Раздел 7.7 заключает это исследование.
В гл. 8 мы изучаем различные процессы градообразования: Нас интересует роль структурной устойчивости в процессах формирования городов. В разд. 8.1 описаны различные подходы к урбанистическим динамическим процессам в науке о регионах, экономике и географии городов. В разд. 8.2 мы исследуем роль структурной устойчивости в процессах образования городов. В разд. 8.3 для иллюстрации сложности городской динамики приводится пространственная циклическая модель бизнеса Пуу «мультипликатор-акселератор». В разд. 8.4, используя модель Занга, мы показываем, что городские системы можно стабилизировать введением диффузионных членов. В разд. 8.5 имеем дело с динамическими процессами разделения и сосуществования жителей города, которые описываются системой нелинейных уравнений в частных производных. В разд. 8.6 мы исследуем модель города, которая вблизи критических точек проявляет поведение, подобное бегущим волнам. В разд. 8.7 обсуждается влияние неустойчивостей на процессы образования городов. В приложении к этой главе мы приводим два примера моделей образования структур — модель морфогенеза и «Брюсселятор».
В гл. 9 представлены некоторые методы динамического экономического анализа и обсуждается роль характеристик статистических отношений и временных масштабов в экономическом анализе. В разд. 9.1 обсуждается принцип подчинения Хакена и его значение для экономического анализа. В разд. 9.2 сформулирована теорема о центральном многообразии. В разд. 9.3 приведены некоторые методы теории сингулярных возмущений. В разд. 9.4 мы показываем, что переменные в экономике, такие, как деньги, заработная плата, цены, продукция, капитал, процентная ставка и технологии, имеют разные характеристики в различных теориях. В разд. 9.5 исследуются соотношения между масштабом времени и характеристиками статистических отношений. В разд. 9.6 предложены некоторые применения синергетической экономики для понимания динамического поведения человеческого сообщества. В приложении к гл. 9 мы показываем, как принцип подчинения Хакена может быть приложен к стохастическим дифференциальным уравнениям.
В гл. 10 дается определение синергетической экономики; обсуждается
соотношение между синергетической экономикой и традиционной экономической теорией; исследуются приложения синергетической экономики к анализу различных экономических проблем. В разд. 10.1 определяется предмет
синергетической экономики и исследуется взаимосвязь между синергетикой Хакена и экономической теорией. В разд. 10.2 обсуждается связь между синергетической и традиционной динамической экономикой. В разд. 10.3 рассмотрены приложения синергетической экономики к теории конкурентной и плановой экономики. Раздел 10.4 посвящен применению синергетической экономики для анализа экономического развития.
В разд. 10.5 изучается соотношение между возможностью и необходимостью в экономической жизни с точки зрения синергетической экономики. В разд. 10.6 обсуждается роль синергетической экономики в принятии решений экономической политики. В разд. 10.7 мы рассматриваем взаимосвязь между микро- и макроэкономикой.
Г лава 11 содержит заключительные выводы.
2 Время и перемены в экономической теории
Источник трудностей не в новых идеях, а в том, что старые, на которых было воспитано большинство из нас, и которые проникли в каждый уголок нашего сознания, не отвечают действительности.
Дж. М. Кейнс (1936)
10 Синергетическая экономика и ее значение
Наличие аналогий в основных положениях различных теорий означает, что* должна существовать более общая теория, которая объединяет частные и унифицирует их относительно этих общих свойств.
П. А. Самуэлъсош
Мы рассмотрели неустойчивое поведение различных экономических динамических систем. Было показано, что для экономических эволюционных процессов линейность и устойчивость имеют не универсальный, а весьма ограниченный характер. Такая расстановка акцентов отлична от тех, на которых строится традиционная экономика. К примеру, Самуэльсон в «Основах экономического анализа» в экономических явлениях пытался выявить именно линейность и устойчивость как базовые свойства, ведь при использовании традиционного статического анализа и принципа соответствия мы можем иметь дело лишь с теми системами, в которых малые изменения параметров приводят к малым изменениям характеристик. Эта книга, в противоположность традиционной динамике, изучает те свойства диссипативных систем, для которых малые сдвиги параметров влекут за собой качественные изменения динамического поведения. Мы показали, что когда система становится динамически неустойчивой, например вследствие возмущения параметров, для выяснения характера ее поведения становятся весьма важны нелинейные члены. В этой главе мы рассмотрим, что это означает в экономике.
10.1 Синергетическая экономика и ее связь с синергетикой
... мы ищем не просто истину, нам нужна увлекательная истина и истина, несущая свет, нужны теории, которые позволяют решать значительные проблемы. Наконец, нам нужны по возможности глубокие теории.
Карл Р. Поппер (1972)
Синергетическая экономика относится к области экономической теории. Она касается временных и пространственных процессов экономической эволюции. В частности, Синергетическая экономика имеет дело с неустойчивыми нелинейными системами и фокусирует внимание на нелинейных явлениях в экономической эволюции, таких, как структурные изменения, бифуркации и хаос.
Мною рассмотрено множество вариантов названия этой книги, например «Новые основы экономического анализа», «Новая эволюционная экономика», «Хаотическая экономика» и «Синергетическая экономика». Чтобы отразить новый подход к экономической динамике, книга была названа «Синергетическая экономика». Выбор был сделан под влиянием синергетики Хакена.
Хакен определил синергетику как общую теорию динамического поведения систем, обладающих особыми свойствами. Синергетика имеет дело с кооперативным взаимодействием множества подсистем, которое макроскопически проявляется как самоорганизация. В центре внимания синергетики находятся критические точки, в которых система изменяет характер своего макроскопического поведения и может испытывать неравновесные фазовые переходы между осцилляциями, пространственными структурами и хаосом. Область интересов синергетики не ограничена только переходами между равновесиями и квазиравновесными аттракторами, подобными предельным циклам. Синергетика пытается охватить и другие переходы, не имеющие специфической конечной формы. Таким образом, и синергетическую экономику мы можем рассматривать как часть синергетики в целом.
Необходимо подчеркнуть, что хотя мы строим синергетическую экономику, отталкиваясь от общей синергетики, на формирование фундаментальных идей экономической эволюции, представленных в этой книге, оказали сильное влияние также работы Пригожина и других (см., например, Николис и Пригожий, 1977, Пригожин, 1980, Пригожин и Стенгерс, 1984, Янч, 1980).
10.2Связь синергетической экономики с традиционной теорией экономической динамики
I
Путь познания пролегает через догадки и опровержения, от старых проблем к новым.
Карл Р. Поппер (1972)
Прежде чем рассмотреть значение синергетической экономики для различных экономических проблем, обсудим соотношение между синергетической и традиционной экономикой. Поскольку синергетическая экономика имеет дело с экономической эволюцией, она представляет собой часть теории экономической динамики. Под это понятие подпадает много теорий — и теория деловых циклов, и теория экономического роста, и множество аналитических методов, таких, как принцип соответствия. Все эти теории и методы составляют содержание традиционной теории экономической динамики. Синергетическая же экономика представляет собой расширение традиционной теории экономической динамики в том смысле, что результаты последней могут быть объяснены в рамках этой новой теории, более того, она пытается объяснить и другие экономические явления, которые традиционная теория игнорирует. С точки зрения синергетической экономики; теории, составляющие традиционную теорию экономической динамики, являются не универсальными, а лишь частными случаями. И хотя мы не можем сказать, что синергетическая экономика решает все проблемы экономической эволюции, мы можем сделать вывод о том, что эта новая теория позволяет динамической экономике объяснить и даже предсказать некоторые динамические экономические процессы, которые не могут быть объяснены с помощью традиционных теорий и методов. Синергетическая экономика предлагает обнадеживающее новое направление для объяснения сложных экономических явлений.
Установилось мнение, что для понимания экономических явлений подходы традиционной экономики, например система конкурентного равновесия Эрроу-Дебрэ, являются вполне подходящими отправными точками. Традиционная экономика предложила науке некоторые фундаментальные экономические механизмы, такие, как конкуренция, кооперация и рациональное поведение экономических объектов.
В основе синергетической экономики лежат несколько иные концепции. Понятия рационального поведения, устойчивости и равновесия, которые играют фундаментальную роль в развитии традиционной экономики, и здесь не теряют своей важности. Однако синергетическая экономика переносит центр тяжести на такие концепции, как, например, неустойчивость, которые не затрагиваются традиционной экономикой. Синергетическая экономика источники сложности
экономической эволюции находит в неустойчивости
и нелинейности более, нежели в устойчивости и линейности (или близости к линейности), как это свойственно традиционной экономике.
Основным предметом традиционной теории экономической динамики является теория деловых циклов. Эта теория имеет огромное значение и для синергетической экономики. Однако здесь это нечто большее, чем простое возрождение интереса к формальной теории эндогенных циклов, который действительно вырос в последние годы. Мы показываем, что многие экономические механизмы могут порождать осцилляции. Деловые циклы могут быть следствием нелинейного взаимодействия между различными экономическими и политическими факторами. Они могут возникать не только в конкурентной, но и в плановой экономике.
Традиционная теория деловых циклов имеет дело в основном с регулярным (периодическим) изменением переменных. В рамках традиционной теории экономической динамики нет теории, которая удовлетворительно объяснила бы с помощью эндогенных механизмов нерегулярность динамики реальных экономических данных. Вплоть до появления современной нелинейной динамической теории хаос оставался чем-то непостижимым. Сама концепций хаоса для динамической теории экономики совершенно нова. Синергетическая экономика предлагает некоторые аналитические методы для исследования эндогенного хаоса экономических систем. Она показывает, что хаос лежит в природе любой эволюционной экономической системы. Факт существования хаоса означает, что точные экономические предсказания — вещь почти невозможная.
Синергетическая экономика дала новое понимание того, какое влияние на экономическую эволюцию оказывают стохастические" процессы. Было показано, что если динамическая система устойчива, влиянием шума с нулевыми средними в экономическом анализе можно пренебречь — на качественные выводы анализа такое упрощение влияния не окажет. Так что преобладающая в традиционной экономике точка зрения на малые флуктуации верна лишь при заведомой устойчивости системы. Однако если система неустойчива, анализ влияния шума становится очень сложным. Малые флуктуации могут стать причиной существенных перемен в поведении динамической системы.
Следует заметить, что упор на неустойчивости можно обнаружить также в трудах Карла Маркса, Кейнса, Шумпетера и других экономистов, хотя истоки неустойчивости эти экономисты находят разные. «Видение» хода экономического развития в синергетической экономике очень похоже на видение хода развития Шумпетером. Инновационные толчки (шоки) Шумпетера можно рассматривать как «подачу энергии», приводящую к качественным изменениям системы: экономика без инноваций вынуждена оставаться в застое (устойчивом равновесии), а инновационные толчки могут привести к хаосу. Однако это не означает, что все, что может " предложить синергетическая экономика, уже содержится в работах Шумпетера — ведь даже в том случае, когда на одни и те же проблемы взгляды у людей совпадают, объяснение протекающих процессов может быть разным, и эта разница может обусловить различный «уровень понимания». Выводы синергетической экономики можно проверить, используя реальные экономические данные. Значительную роль в синергетической экономике играет математика. Математика помогает нам точно выразить, что мы понимаем под неустойчивостью, циклическим развитием, хаосом и так далее. Ничего этого не найдешь в трудах упомянутых выше авторов.
Различными авторами часто подчеркивается роль неточной информации и нерациональности в экономическом анализе. К примеру, демонстрируя сложности движения по хаотической траектории, Симон дал определения ограниченной рациональности и удовлетворительного уровня производства. Он показал, что вследствие сложности расчета оптимальной стратегии субъекты экономики не найдут оптимального пути, и вместо этого изберут целью удовлетворительный уровень производства. Возможность хаотического поведения может дать иное направление толкованию ограниченной рациональности Симона.
Синергетическая экономика делает упор на взаимодействие различных переменных и различных уровней системы. Хотя значение таких взаимодействий признается и «системным анализом», там этот подход мало что дал для понимания процессов социальной эволюции. Системный анализ заведомо предполагает устойчивость. В этом отношении он находится все еще в рамках традиционной экономики.
Введение в экономику нелинейности и неустойчивости может привести к новым дискуссиям. К примеру, становится труднее ответить на деликатный вопрос о том, какая из теорий экономики более соответствует действительности. Существование хаоса оказывает влияние и на сам путь, которым можно проверить экономическую теорию. Классический путь апробации теории состоит в том, что формулируется теоретическое предсказание, которое затем проверяется на экспериментальных данных. Если явления хаотичны, долговременные предсказания, в сущности, невозможны, так что процедура проверки теории становится весьма затруднительной. Более того, синергетическая экономика может сыграть существенно отрицательную роль в развитии эконометрики. Если доказано, что теория не способна давать сколько-нибудь точные предсказания, можно решить, что разработка более тонких моделей и более точных оценок параметров стала излишней. Представляется также, что воздействие концепции хаоса может отрицательно сказаться не только на эконометрике, но и на всей экономике в целом. Если задача экономики состоит не только в том, чтобы описать и объяснить экономические явления в историческом аспекте, но и в том, чтобы создать базис для аргументированных прогнозов в экономике современной, то факт присутствия хаоса может привести к ошибкам в попытках прогнозов будущего.
С тем чтобы пояснить, как проводить конкретные оценки в какой-нибудь из новых экономических теорий синергетического типа, в конце данного раздела мы показываем это на примере современной теории накопления знаний. Правда, эта иллюстрация — только лишь набросок проблемы с довольно общей точки зрения.
Так же, как накопление материального капитала является основным предметом экономики, накопление знаний индивидуумом или сообществом является наиболее важным предметом философии. В литературе представлены различные теории роста знаний. Ниже мы обсудим некоторые подходы, предложенные Поппером, Куном и Лакатосом (в порядке перечисления).
Важный подход к философии науки был предложен Поппером (1972). Цетром подхода Поппера является концепция фальсификации. Его посылка состоит в том, что эмпирическое наблюдение никогда не может установить справедливость научного обобщения, поскольку, сколь бы много наблюдений мы не приводили в поддержку теории, мы никогда не можем быть уверены в том, что следующее наблюдение не окажется с этой теорией в противоречии. Все, что могут дать теории успешные тесты — это лишь ее не опровергнуть. Такие успешные тесты можно отнести к «подтверждениям» теории только в том смысле, что они повышают к ней наше доверие, но это не то же самое, что доказать справедливость теории. По Попперу, возможность опровержения и есть тот критерий, по которому различаются наука и ненаука. Научные положения могут быть опровергнуты в принципе. Этот упор на опровержение приводит Поппера к выводам о том, как происходит накопление знаний. Согласно Попперу, научные знания — это не те знания, относительно которых установлено, что они верны, а просто базовая часть обобщений, которые, до поры, пережили попытки их опровергнуть. Наука движется вперед путем прогрессивного исключения фальшивых гипотез. С другой стороны, ненаучные положения не могут быть опровергнуты — разве только случайно.
Другой подход к философии науки предложен Томасом Куном (1962). В качестве фундаментальной концепции для объяснения феномена роста научных знаний он использовал понятие нормальной науки. Здесь «нормальная наука» означает «исследования, базирующиеся на одном или более из прошлых научных достижений, которые некое определенное научное сообщество признает на какое-то время в качестве создающих основу для последующего практического использования» (Кун, 1962). Для иллюстрации этой парадигмы цитируются «Физика» Аристотеля, «Принципы»
Ньютона и «Химия» Лавуазье. Стимулированная новой парадигмой, концепция нормальной науки должна быть достаточно свежей идеей, чтобы привлечь группу преданных приверженцев, и достаточно открытой, чтобы объять все виды решаемых учеными проблем. Нормальная наука имеет ряд важных характеристик, главной из которых является отказ от критических рассуждений в том смысле, что имеется ряд предположений, которые не подлежат сомнениям, и ряд методов, которым надлежит следовать. Они составляют дисциплинарную среду, в которой живет нормальная наука. Занимаясь нормальной наукой, ученые не выполняют множества жестких правил, но следуют примеру. Согласно Куну, именно эта некритичность разрешает прилагать теорию к большому числу задач, позволяя исследовать огромное количество деталей реального мира. Эта некритичность, очевидно, отличается от теории Поппера. Более того, согласно Куну, если бы ученые проводили все свое время, копаясь в основах, то они никогда бы не справились с исследованием «малых» проблем. Именно признание частных форм нормальной науки привело к более жестким определениям области исследований и форм научного сообщества. Те, кто не принимает базовых положений, должны быть исключены из сообщества. В течение длительного времени развитие нормальной науки может быть довольно «стабильным». Однако время от времени, вследствие открытия аномалий или фактов, которые не могут быть объяснены в терминах парадигмы, возникают кризисы. Чаще всего аномалии можно игнорировать: это просто факты, которые теория пока еще не может объяснить. Кризис как следствие аномалий может возникнуть, либо когда аномалия затрагивает нечто в основании парадигмы, либо если аномалия особенно важна по причинам внешнего свойства. Кун показывает, что противоречия в парадигме приводят в замешательство ученых, если они не знают, как их разрешить. Ученые не могут более руководствоваться парадигмой. С другой стороны, согласно Куну, кризис может возникнуть еще потому, что изменения, которым необходимо подвергнуть теорию, делают ее очевидно неудовлетворительной. В этом случае в теорию вводят все более и более сложные конструкции, но их сложность возрастает намного быстрее, чем точность выводов. Наконец, становится очевидным, что ошибка лежит в фундаменте всей системы и что аномалия, которая вызвала кризис, существовала достаточно давно.
Кризис обычно приводит к большому числу поспешных модификаций парадигмы и ее связей. Ученые наугад мечутся в поисках ответов, обращаясь даже к философии, которой в нормальной науке нет места. Из этих новых связей парадигмы случайно всплывает нечто принципиально новое. По Куну, только в такие периоды революций в науке подвергаются сомнениям ее основы — что, по идеям Поппера, должно происходить регулярно при проверке теории для устранения противоречий с экспериментальными данными.
Значительно отличающийся от Поппера и Куна подход был предложен Лакатосом (например, 1978). Одной из целей его модификации схемы Поппера было показать, что мерилом должна быть не отдельная теория, и даже не успех теории, а скорее, программа исследований. Программа исследований состоит из двух основных частей: жесткий стержень и положительная эвристическая часть. Жесткий стержень состоит из принятых ранее предположений, которые в ходе выполнения исследовательской программы считаются неопровержимыми. Положительная эвристика определяется как мощная часть техники решения проблемы, что предполагает определение круга задач, предвидение аномалий и победное их преодоление в соответствии с заранее разработанным планом. Программа исследований может быть отвергнута, если имеется лучшая, способная ее заменить (с более широким эмпирическим содержанием по отношению к программе-конкуренту). Новая программа должна быть способной объяснить все то же, что и старая, а также предсказать некоторые новые факты, которые старая предсказать не может. Поскольку этот критерий допускает быструю модификацию теории и оставляет место для небольших противоречий, он является более терпимым, чем критерий Поппера о возможности опровержений, хотя возможность более широких предсказаний является весьма жестким требованием. В соответствии с подходом Лакатоса, путь решения головоломок Куна определяется не сегодняшними аномалиями, а теоретическим анализом. Определение пути, которым следует наука, здесь представляет собой скорее именно математическую проблему, чем задачу преодоления аномалий.
10.3Конкурентная и плановая экономика с точки зрения синергетической экономики
«Китайские философы видели действительность, суть которой они называли Тао, как процесс непрерывного течения и перемен.... Китайцы отразили идею циклов разнообразной структуры, введя полярные противоположности инъ и ян, два полюса, ограничивающих циклы перемен.... Все явления природы представляют собой проявления
непрерывных колебаний между двумя полюсами....
Естественный (природный) порядок — это один из динамических балансов между инъ и ян».
Ф. Капра (1983)
В традиционной китайской философии «инь» и «ян» никогда не ассоциировались с моральными категориями. Добро не есть «инь» или «ян», но динамический баланс между ними. Зло или вред есть дисбаланс. В конфуцианстве считается, что равновесие между «инь» и «ян» в обществе обеспечивает хороший руководитель. В таоцизме предполагается, что такое равновесие определяется силами природы. В этом смысле некоторые основные идеи конфуцианства мы находим в теории централизованного планирования, а в теории конкурентного равновесия есть что-то от таоцизма, хотя, конечно, современная экономика гораздо более глубока, чем эти классические источники. Если интерпретировать капитализм и социализм в китайских традициях как соответственно «инь» и «ян», то на практике видно, что нахождение баланса между «инь» и «ян» в современной экономике представляет собой совершенно неразрешимую проблему.
Однако сегодня представляется, что интеллектуальные и политические баталии между социалистами и капиталистами стали гораздо менее ожесточенными, чем раньше. Основная причина этого заключается в том, что «капиталистические страны» осуществляют многочисленные правительственные вмешательства в свои экономические системы, а «социалистические страны» ввели у себя механизмы конкуренции. В мире доминируют экономики смешанного типа. Поскольку и конкурентная, и плановая системы имеют свои преимущества и недостатки, окончательного вывода о том, какой механизм предпочтительней, не существует.
Мы обсудим конкурентный и плановый механизмы с точки зрения синергетической экономики. Экономисты видят капиталистическое общество очень по-разному. К примеру, Карл Маркс, Шумпетер и Кейнс рассматривают конкурентную экономику как неустойчивую систему. Современная монетарная экономика показывает, что устойчива или нет конкурентная экономическая система зависит от реальной ситуации. С другой стороны, в современной неоклассической теории роста предполагается, что капиталистическое общество заведомо устойчиво. И даже когда такие экономисты, как Маркс, Шумпетер и Кейнс рассматривают капиталистическое общество как неустойчивое, истоки неустойчивости для них и их отношение к обществу полностью различны.
С точки зрения синергетической экономики, эволюционной экономической системы, которая всегда была бы устойчива, не существует. Эволюционная система всегда подвержена трансформирующим воздействиям внешних и внутренних сил. Когда система проходит некоторые критические значения внешних параметров, в ней могут возникнуть внезапные изменения структуры или хаос. Чистая конкуренция имеет много полезных аспектов, и хотя капиталистическое общество потенциально нестабильно, все-таки условия, необходимые для идеальной конкуренции, могут поддерживаться в течение длительного времени. Неустойчивость конкурентной системы может привести к неравенству среди людей. Поскольку для экономической системы характерен хаос, отдельные лица всегда имеют шанс испытать судьбу. Удача и неудача могут выпадать одному раньше, другому позже. Таким образом, вследствие нестабильности капиталистической экономики некоторые смогут стать очень богатыми, не работая, даже если они сорвали успех лишь однажды, тогда как другие будут жить очень бедно при постоянной тяжелой работе. Неравенство не может быть предотвращено с помощью чисто конкурентного механизма по причине наличия хаоса. Однако в такой экономической системе, именно благодаря тому, что люди знают, что у них есть шансы получить положительную прибыль, они прилагают усилия, вводя инновации и улучшая эффективность производства. Эта точка зрения синергетической экономики весьма похожа на точку зрения, которой придерживался Шумпетер. Все усилия, направленные на получение положительной прибыли, делают систему в целом неустойчивой. Выделить в явном виде причинную связь между неустойчивостью и усилиями людей невозможно. И именно благодаря сложному взаимодействию между неустойчивостью и этими настойчивыми усилиями капиталистическая система всегда пребывает в движении. В общественных устройствах такого типа имеется не просто возможность, но всевозрастающая тенденция сделать неравенство людей все большим и большим. Поскольку чисто конкурентный механизм не способен предотвратить неравенство, идеальное капиталистическое общество не может существовать вечно, так как в обществе с большой степенью неравенства между фирмами и индивидуумами такой экономический механизм не находит поддержки.
Синергетическая экономика показывает, что нестабильности динамических экономических систем могут привести к непредсказуемым структурным изменениям, таким как Великая депрессия. Для предотвращения подобных депрессий в конкурентную систему нужно ввести некий стабилизатор. Проводя последовательную стабилизационную политику, предохранить капиталистическое общество от разрушения может правительство. Оно способно предотвратить резкое падение производства, подобное тому, которое произошло во время Великой депрессии, принимая должные меры. Кейнс пытался рассматривать правительство как стабилизирующий фактор. К примеру, социальные проблемы могут быть разрешены именно благодаря определенной деятельности правительства. По Кейнсу, и сложности экономической эволюции могут быть разрешены надлежащими вмешательствами. Этот оптимизм присущ кейнсианству, так как в этой теории заведомо предполагается, что вмешательство правительства всегда сможет гарантировать устойчивость экономики.
Поскольку капиталистическая экономика нестабильна, для решения проблем, стоящих перед капиталистическим обществом, некоторые последователи Маркса пытались заменить ее централизованной плановой системой. Представлялось, что хаотическая экономическая жизнь может быть заменена мирной и счастливой жизнью, руководимой централизованным планированием. В таком обществе все люди — хозяева страны, и все равны почти во всех отношениях. Думалось, что демократия станет одной из основных характеристик социалистического общества. Поскольку конкуренция заменялась централизованным планированием, приводились аргументы в пользу того, что рост социалистической экономики будто бы будет быстрее, чем капиталистической. Наиболее важная характеристика социалистического государства состоит в том, что максимальная степень счастья общества в целом легко достижима. Однако, хотя в социалистическом обществе легко предотвратить неустойчивости экономической системы, нет такой теории, которая 5ы доказала, что эффективности и устойчивости можно достичь одновременно. А если не гарантирована эффективность, устойчивость надолго теряет всякий смысл
27. В случае же возникновения неустойчивостей становится неясно, как можно достичь целей социализма (всеобщего равенства).
10.4Развитая и развивающаяся модели экономики с точки зрения синергетической экономики
После времен застоя приходим к распутью. Возвращается изгнанный свет. Причина в самом движении, а не в том, что это навязано силой .... Движение естественно; возникает само по себе. Поэтому и старое рушить легко. Старое уходит, приходит новое. Время соизмерит и то, и другое; от этих перемен нет вреда.
И. Чинг
Экономическое развитие — это очень сложный процесс, в котором часто одновременно соседствуют и успехи, и неудачи. Причем при анализе процесса разные авторы делают упор на разных аспектах экономического развития. В соответствии с уровнем индустриализации, среднего дохода и других факторов существующие экономические системы принято классифицировать как развитые и развивающиеся. Правда, с экономической точки зрения классифицировать экономику как развитую или развивающуюся трудно. Одна из причин этого состоит в том, что само «развитие» — понятие относительное. Да и экономический механизм в развивающихся странах не работает так идеально, как в странах развитых.
27Этот вопрос выходит за рамки экономических теорий, поскольку экономические функционалы «эффективности» не включают
компонентов, характеризующих устойчивость. — Прим. ред.
 |
|
Рис. 10.1. Экономический взлет |
Основные проблемы, которые стоят перед развитыми и развивающимися странами, весьма различны. Развивающиеся страны обычно сталкиваются с низкой эффективностью производства, низкой прибылью, коррупцией чиновников, загрязнением среды и так далее. В развитых странах — проблемы безработицы и высокой инфляции. Эти проблемы отражают те различные заботы, с которыми можно встретиться на разных уровнях экономического развития. Чтобы найти некоторые рецепты преодоления сложностей экономического развития, мы воспользуемся аппаратом синергетической экономики.
Для описания структурных изменений в ходе экономического развития американский историк Ростоу (1960) ввел понятие экономического «взлета». Экономический взлет имеет место, когда преодолены старые сдерживающие факторы, быстро растет производство, и экономика входит в длительный период непрерывного роста. В терминах синергетической экономики мы интерпретируем экономический «взлет» как катастрофу, как это отражено на рис. 10.1. Критическая фаза такого «взлета» может занимать относительно короткий период времени, и характер произошедшего структурного изменения зависит от структуры всей системы. Сдвиг одного фактора не может привести к структурным изменениям, если система не находится вблизи критического положения. Когда же система находится в критической окрестности, структурные изменения могут быть вызваны многими факторами. Например, в Британии, утверждает Ростоу, экономический «взлет» длился два десятилетия после 1783 г. — что ненамного больше периодов американской или французской революций. Этот относительно быстрый скачок контрастирует со столетиями подготовки, которые ему предшествовали. Подготовительная стадия тянется издалека, из раннего Средневековья, от времен, когда настойчивость и упорство работника преобладали над трудовой дисциплиной и выполнением определенного объема работы за определенный срок — модель организации производительных сил была сродни организации труда на прииске или давильном прессе. Среди факторов, подготовивших европейскую и американскую индустриализацию, находятся, например, капитализм средних веков и банкиры и торговцы эпохи Ренессанса, колониализм и торговля шестнадцатого и последующих веков, возникновение государственной конкуренции, отношение протестантов к тяжелому труду и, в особенности, отказ от традиций наукой семнадцатого и философией восемнадцатого веков.
Многие думают, что в развивающихся странах экономический взлет может быть достигнут, если у них имеется достаточная финансовая поддержка и другие благоприятные внешние условия. Однако в синергетической экономике показано, что структурные изменения возникают в системе, когда она находится вблизи критической точки. С другой стороны, если система устойчива, малые сдвиги параметров могут привести лишь к малым изменениям экономического положения. Так как критические точки определяются структурой системы в целом, изменение какой-то одной стратегии вряд ли вызовет структурные изменения всего характера экономического развития, когда общество во многих других аспектах не подготовлено к такой внезапной перемене. Никакие внешние изменения не смогут оказать на общество чрезмерного влияния, если в целом оно к этому не готово. Поскольку структурные перемены в экономическом развитии определяются многими факторами, процесс трансформации общества от одного состояния к другому протекает обычно довольно долго.
Некоторые политики в развивающихся странах выделяют только какие-либо отдельные факторы экономического развития. Например, некоторые китайские официальные лица полагают, что если центральное правительство будет принимать правильные экономические решения, китайские экономические реформы успешно завершатся. В правительственных документах упор делается именно на экономические реформы. Однако, с точки зрения синергетической экономики, экономическое развитие не может определяться чисто экономическими факторами. Экономические структуры определяются взаимодействием различных экономических и социальных переменных. Следовательно, если иметь в виду далеко идущие планы, структуры общественных институтов и качество населения для правительства много важнее, чем контроль над инфляцией и планирование производства. Правда, хотя мы утверждаем, что уровень инфляции и структура производства являются быстрыми переменными в сравнении со структурой общественных институтов и качественной структурой народонаселения, это не означает, что мы не должны о них заботиться; мы показываем, что акцент только на контроле над инфляцией или планировании производства не может обеспечить надлежащие условия для экономического «взлета».
10.5Случайность и необходимость в экономической жизни
Все, что существует во Вселенной, является плодом случайности и необходимости.
Демокрит
Очевидно, что почти каждый аспект экономической жизни и жизни в целом подвержен влиянию неопределенности. Жизнь полна взлетов и падений. Однако как узнать, что есть успех или потеря? Существует ли Г осподь Бог, руководящий нами? Зависят ли успехи и потери от наших усилий? Есть ли, наконец, какой-то порядок в житейском хаосе? Сие есть наиболее насущные вопросы человеческой жизни. Мы дадим на них некоторые ответы с позиций синергетической экономики.
Синергетическая экономика показывает, что даже если мы можем найти детерминированные механизмы, управляющие ходом человеческой жизни, предсказать все возможные траектории поведения человека невозможно. Благодаря присутствию нелинейных взаимодействий между независимыми переменными и под влиянием внешней среды (см. разд. 9.5) жизнь преисполнена хаоса. Трудно предположить, что такое хаотическое поведение предопределено Богом, скорее это результат сложности условий, влияющих на индивидуума при его реакции на различные внешние воздействия. Более того; сами условия тоже подвержены изменениям, хотя скорость этих изменений может быть очень мала.
И все-таки, хотя имеется много неопределенных факторов, влияющих на человеческую жизнь, поведение человека не так случайно, как может показаться. Есть определенный механизм, который предохраняет нас от неудач и помогает достичь успеха. Показано, что этот «механизм» может быть усовершенствован нашей способностью к обучению. И в этом смысле необходимость и случайность весьма зависят от наших усилий.
Аргумент в пользу «усилий» справедлив и для общества в целом. Существует неизбежность исторического развития, хотя случайности в ходе реального процесса могут играть значительную роль. Например, есть некоторые сообщества, которые обогатились волей случая. Однако, если эти сообщества не сумеют воспользоваться шансами повышения своего потенциала для своего дальнейшего развития, эти шансы не окажут большого влияния на долговременные экономические процессы. Как именно эти шансы могут изменить само общество, сильно зависит от его социальной структуры.
Согласно синергетической экономике, нелинейная динамическая кооперация и конкуренция между участниками могут привести к хаотическим явлениям, которые находятся за пределами возможностей нашего предвидения. Именно в течение периодов хаоса люди могут ловить удачу. С другой стороны, из стабильности вытекает необходимость. В постоянно устойчивом обществе люди редко могут надеяться на удачу — в обществе нет перемен, а это означает, что социальное развитие идет по детерминированному пути. Однако показано, что и в таком обществе все же имеется часть людей, не теряющих надежду — тот важный фактор, который побуждает людей к работе.
10.6Роль политического решения в хаотическом мире
Идеи как экономистов, так и политических философов, когда они правильны, и когда неправильны, гораздо более мощная сила, чем обычно думают...
... Практики, которые считают, что они полностью свободны от какого-либо интеллектуального влияния, обычно являются рабами каких-нибудь ископаемых экономистов.
Дж. М. Кейнс (1936)
В любой современной экономической системе правительство играет важную роль в выборе направления экономического развития. Было бы интересно исследовать влияние разных стратегий на различные стороны экономики, такие, как экономический рост и распределение дохода как в краткосрочном, так и в долгосрочном аспектах. Оценка экономических стратегий — дело многотрудное. Можно сказать почти наверняка, что на практике нет политики, которая принесла бы пользу каждой без исключения группе населения, ни в краткосрочном смысле, ни в долгосрочном. Для любого правительства сложно создать такую сбалансированную комбинацию разных стратегий, которая могла бы осчастливить сразу все население.
Любое экономическое решение должно опираться на предвидение будущих событий. С помощью конкретной политики можно как стабилизировать систему, так и ввергнуть ее в хаос. Но влияние политики может быть оценено только в том случае, если будущее предсказуемо. Однако, если экономическая система хаотична, точно наперед узнать влияние конкретной политики невозможно.

Приведем несколько примеров, иллюстрирующих трудность принятия политических решений в неустойчивой системе.
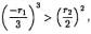
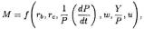
Рассмотрим сначала пример модели экономического роста, предложенной Андерссоном и Зангом (1990). В модели роста рассматриваются три переменные: производственный капитал, капитал для научно-технической деятельности и объем знаний. Динамические уравнения для изменения величины фондов капитала в этой модели те же, что и в неоклассической модели роста. Накопление знаний зависит от обучения в ходе производственной деятельности и эффективности научнотехнической деятельности. Последняя в свою очередь связана с научной политикой правительства. Как показано Андерссоном и Зангом (1990), характер кривых функций прибыли от времени t зависит от параметра научной политики, выбранной правительством. Опишем вид кривых в зависимости от этого параметра (и) на плоскости t-m (t — время, т — прибыль). При и = и
0 система устойчива и близка к равновесию, а реальная прибыль на душу населения растет с постоянной скоростью п. Предположим, что правительство может выбрать другое значение для параметра науки и = и
1, при котором равновесие перестает быть устойчивым, и возникает бифуркация Хопфа. Такой цикл показан на рис. 10.2.
Необходимо отметить, что возможно выбрать такой интервал времени [t
(n-1), t
(n)]. в течение которого сумма дохода вдоль кривой для циклической экономики будет выше, чем сумма дохода в случае равновесном.
Предположим, что о влиянии проводимой политики судят только согласно ее воздействию на изменение прибыли. Можно задаться следующим вопросом: какое из политических решений, и
0 или и
1, более «желательно» для граждан? Из рисунка видно, что в течение достаточно длительного периода общая сумма прибыли при и
1 явно выше, чем при и
0. Значит, в долговременном масштабе и
1 предпочтительнее, чем и
0. Однако, если суждение ограничено определенным периодом или точкой, результат может быть и другим. В интервале [і
пЛ\ t
(n)] политическое решение и
1 менее желательно, чем и
0; в интервале [і
п\ t
(n+1)] политическое решение и
0 желательно менее, чем иі. В момент t' решение и
0 более желательно, чем иі, в момент t" решение и
1 более желательно, чем и
0. Таким образом, суждение о влиянии научной политики зависит от того, в каком интервале времени рассматривается. Не так уж трудно увидеть, что здесь кроется множество трюков, которые политики могут проделывать над обывателями.
Можно рассмотреть более тонкий вопрос: какая из политик, и
0 или и
і, способна сделать гражданина более счастливым в долговременном и кратковременном плане? В краткосрочном масштабе это зависит от интервала времени, в котором ощутим эффект политического решения. В долговременном масштабе; даже если общая сумма прибыли при и
1 больше, чем при и
0, интуитивно можно согласиться с тем, что на практике политика и0 может сделать обывателя счастливее, потому что при и
0 нет периодов, когда бы доход относительно снижался.
Из этого примера видим, что в неустойчивой экономической системе судить о соотношении между счастьем людей и политическими решениями аналитику может быть весьма сложно. Следует подчеркнуть, что аннулировать влияние различных политик на мораль, право, справедливость и так далее в неустойчивой системе значительно труднее, чем кажется сначала.
10.7Соотношение между микро- и макроэкономикой
Одна из наиболее важных целей науки — изучать соотношение между целым и его компонентами. В общем случае нужно согласиться с тем, что сумма частей не эквивалентна целому. Однако, поскольку целое состоит из частей, между ними должна существовать связь.
Экономисты приложили огромные усилия для того, чтобы выявить зависимость между микроэкономическим поведением и макроэкономическими параметрами, хотя большинство этих исследований ограничено статическим анализом. Наиболее элегантная модель, которую создали экономисты — это модель всеобщего равновесия (см. Эрроу и Хан, 1971). В этой модели макроскопические переменные — цены — определяются микроскопическим конкурентным поведением домохозяйств и фирм. При выполнении некоторых определенных условий между микроскопическим поведением и макроскопическими переменными существует однозначное соответствие. Однако на динамическое поведение домохозяйств и фирм этот подход не распространяется, хотя на его основе предлагаются различные способы регулирования цен. В этой связи давайте обсудим, как одновременно в одних и тех же рамках учесть динамику микроскопического поведения и макроскопические параметры.
Экономическая система не может быть «сведена» к простой схеме. Необходимо четко определить различные уровни описания и найти условия, которые позволят нам переходить с одного уровня на другой. В синергетике процесс описания реальной системы можно проводить иерархически (Хакен, 1983). Например, мы можем полностью разделить различные уровни описания так, как показано на рис. 10.3.
Основной механизм такого описания может быть определен следующим образом: вблизи точки неустойчивости мы должны сделать выбор между устойчивостью и неустойчивыми коллективными движениями (модами). Устойчивые моды подчинены неустойчивым и могут быть подавлены. Оставшиеся неустойчивые моды
 |
|
Рис. 10.3. Иерархия уровней описания динамической системы, |
служат в качестве параметров порядка, определяющих макроскопическое поведение системы. Окончательные уравнения для параметров порядка могут быть сгруппированы в несколько универсальных классов, описывающих динамику параметров порядка. Поскольку размерность редуцированной системы может быть очень низкой, мы сможем описать макроскопическое поведение системы, т. е. решить задачу, которая казалась неразрешимой. Процесс редукции в экономической динамике, показанный на рис. 10.3, был предложен Вайдлихом и Хаагом (например, 1983). Мы привели пример такого подхода в разд. 7.4. Модель в разд. 7.4 была выведена на основе индивидуального поведения. Однако проблема, возникающая при таком подходе, состоит в том, приемлемо ли описывать поведение предпринимателей как стохастическое, все-таки о поведении человека мы знаем несколько больше, нежели о поведении элементарной частицы в физике. Как сказано в разд. 9.5, микроскопическое поведение может следовать из некоторых детерминированных уравнений, учитывающих влияние случайного воздействия среды.
Мы предлагаем следующую процедуру анализа эволюции экономических систем. Для простоты пренебрежем любыми случайными воздействиями на систему и ограничим наше обсуждение чисто экономическими аспектами.
Предположим, что система состоит из n предпринимателей (включая фирмы и домохозяйства). Экономическое поведение каждого предпринимателя характеризуется m-мерным вектором x
i = (х
1г? .., x
m) (i = 1,..., n). Переменные x
ij могут представлять, например, реальное потребление или производство предпринимателя i. Имеются q макроскопических переменных y
k(k = 1,...,q), которые представляют цены, заработные платы,' ставку процента и так далее. Переменные у = [(y
b..., y
q)] и x
i зависят от времени.
Рассмотрим сначали динамику микроскопических переменных. Предполагается, что в каждый момент времени каждый предприниматель обладает идеально полной информацией о макроскопических параметрах. Предполагается также, что каждый предприниматель принимает решение о потреблении (производстве) на базе текущего потребления (производства) и значений макроскопических переменных. Мы опускаем «прямые взаимодействия» между предпринимателями. Динамическое поведение i-ого предпринимателя предлагается в общем случае описывать следующими уравнениями:
^ = (Ю.7.1)
где параметр s представляет скорость установления микроскопических переменных. Различные подходы к микроэкономике имеют различные точки зрения на то, как определять конкретные функциональные формы f
ij.
Динамику макроскопических переменных в общем случае предполагается описывать уравнениями
(10.7.2)
dyic
~1й ~ 5fc(
Ell • ¦ - I %П> у) !
где функции g
k считаются непрерывно дифференцируемыми.
Динамика всей системы описывается уравнениями (10.7.1) и (10.7.2). Нетрудно видеть, что некоторые модификации процессов, предложенные в равновесном подходе, можно рассматривать как частные случаи нашей общей системы. Например, если мы предполагаем, что s достаточно велико, и у
к — это цена г-ого товара, то при определенных условиях система может быть сведена к следующей:
fij{xi,y) = 0,
dVk _ , ,
^
— Як (^1 [ • - - і Х
п , у) .
Таким образом, динамическая система содержит только движение цен. Следует заметить, что в общем случае равновесный обмен возникает, только когда цены достигают равновесия. Однако в синергетической экономике принята «адаптивная» точка зрения, т. е. такой обмен может возникнуть, даже когда цены не уравновесились.
Размерность полной системы обычно очень высока. Поскольку система, потенциально нестабильна, благодаря синергетической экономике мы уже знаем, что она может проявлять очень сложное поведение. Однако, применяя аналитические методы, развитые в этой книге (такие, как принцип подчинения и теорему о центральном многообразии), мы можем свести эту многомерную проблему к относительно низкоразмерной, так что становится возможным понять некоторые свойства таких динамических систем.
Наконец, нужно подчеркнуть, что этот раздел лишь намечает некоторые весьма общие идеи. Реальный анализ предложенной методики может оказаться весьма сложным.
11 Выводы и перспективы дальнейших исследований
Многие люди ненавидят абстракции, я полагаю, главным образом из-за трудности необходимого интеллектуального усилия; но так как они не желают признавать эту причину, они изобретают множество других, которые звучат куда возвышенней.... Те, кто вступают на этот путь аргументации, фактически, обращаются к вещам, ничего общего с наукой не имеющим.
Бертран Рассел
Подобно экономическим явлениям, сама экономическая теория также неустойчива в своем процессе развития. Синергетическая экономика останавливается на четких последовательных стадиях эволюции экономического анализа. В своих «Основах экономического анализа» Пауль А. Самуэльсон разделяет развитие аналитической экономики на пять больших ступеней. Во-первых, у Вальраса мы имеем кульминацию описания детерминированных равновесий на статическом уровне. Парето и другими сделан второй шаг, который лежит в основе теории сравнительной статики. Третий шаг, который охарактеризовал минимизацию действий в рамках экономической единицы, был сделан Джонсоном, Слуцким, Хиксом, Алленом и другими экономистами. Четвертое достижение представляет собой открытие принципа соответствия. «Естественным пятым шагом, который следует предпринять после того, как мы исследовали отклик системы на изменение заданных параметров, состоит в том, чтобы исследовать поведение системы как функцию времени.» Далее Самуэльсон подчеркивает, что «польза любого теоретического построения заключена в том свете, который она проливает на ход изменений экономических данных — самих величин, либо параметров, от которых они зависят. Это общее положение справедливо как в сфере динамики, так и статики. Таким образом, следующий логический шаг — приступить к созданию теории сравнительной динамики. Эта теория должна включать в себя теорию сравнительной статики и каждую из предыдущих пяти частей как частные случаи, и в то же время быть значительно шире». Очевидно, что этот пятый шаг нашел отражение в данной книге. Этот шаг совершен спустя столь долгое время, потому что только сейчас математика обеспечила нас мощными аналитическими методами, которые необходимы для понимания сути динамического поведения — ведь в основе любого научного открытия всегда лежит сконцентрированное знание, на которое опирается работа. Даже малый человек, если он стоит на плечах гигантов, видит дальше них.
Мы показали, что экономические системы могут проходить через иерархию неустойчивостей, в которых развиваются все более и более сложные структуры. Такие неустойчивости вызваны изменением внешних параметров и могут привести к новой пространственно-временной организации системы. Чтобы показать, как может проявляться такое поведение, мы привели несколько очевидных примеров и представили различные аналитические методы, которые помогают справиться с подобными задачами. В частности, мы затронули внезапные (структурные) изменения, существование предельных циклов и хаоса, роль стохастических процессов в экономической эволюции, эффекты временных масштабов и скоростей установления равновесия в экономическом анализе.
Существование экономического хаоса играет важную роль в экономическом прогнозировании, методологии и так далее. Следует заметить, что открытие хаоса основано на более фундаментальных и проверяемых концепциях. Эти концепции не упираются в хаос. Хаос происходит из порядка и некоторых, вполне рациональных, механизмов. Хаос — явление наблюдаемое, не представляющее собой какой-нибудь определенный механизм. То есть фундаментальный механизм, который генерирует хаос, полностью не случаен по своей природе.
По своему смыслу хаос не является абсолютно негативным состоянием. Это не только разрушение существующего порядка. Хаос потенциально позитивен. Он дает нам надежду на будущее, состоящую в том, что из кризиса нашего времени может возникнуть нечто, что можно было бы назвать «великой точкой поворота», или новое, более позитивное направление экономической эволюции. И хотя существование экономического хаоса, означает ограничение возможностей экономического прогнозирования вследствие хаотических или сложных переходных состояний, это открытие создает новые возможности для улучшения качества прогнозирования в рамках найденных ограничений, идентифицируя признаки, которые предвещают как надвигающийся хаос, так и потенциальный порядок, возникающий из него. Эта емкая теория предлагает путь, на котором можно облегчить решение реальных проблем, чтобы создать более эффективные «системы раннего предупреждения» о грозящей опасности.
Мы показали также, что с философской точки зрения человеческая природа состоит всего лишь из нескольких базовых аспектов:
тяги к знаниям, эгоизма, альтруизма, любви и так далее. Именно комбинации этих аспектов под влиянием различных сред формируют сложное экономическое поведение.
Представленное здесь исследование — лишь начало синергетической экономики. Следуя этим путем, мы сталкиваемся со все более сложными аналитическими проблемами. Синергетические экономические системы описываются неустойчивыми нелинейными динамическими уравнениями высокой размерности с различными скоростями установления, и мы не можем надеяться на полное понимание поведения таких систем, если используем только аналитические методы. Для авторитетного подтверждения трудности встающих при этом задач, процитируем В. И. Арнольда (1983), который пишет, что «неинтегрируемые задачи динамики не поддаются аппарату современной математики».
В нашей книге было предложено и исследовано много идей. Ведь «новые идеи, если их тщательно не прорабатывать, упорно не защищать и не «пробивать», просто никому ни о чем не скажут»
(Шумпетер, 1934).
Литература
Алонсо (Alonso, W., 1964) Location and Land Use (Harvard University Press, Cambridge, MA)
Андерсон, Эрроу, Пайнс (Anderson, P. W., Arrow, J. K., Pines, D., (eds), 1988) The Economy as an Evolving Complex-System (Addison-Wesley, New York)
Андерссон (Andersson, A. E., 1986) «The Four, Logistical Revolutions», Papers of Regional Science Association 59, 1-12 Андерссон, Баттен (Andersson, А. E., Batten, D. F., 1988) «Creative Nodes, Logistical Networks, and the Future of the Metropolis», Transportation 14, 281293
Андерссон, Занг (Andersson, A. E., Zhang, W. В., 1988) «The Two Dimensional Continuous Spatial Input-Output System», Ricerche Economiche XLII, 2
Андерссон, Занг (Andersson, A. E., Zhang, W. В., 1988а) «Decision Centralization and Decentralization in a Dynamic Economic System», J. Сотр. Appl. Math. 22, 317-337
Андерссон, Занг (Andersson, A. E., Zhang, W. В., 990) «Endogenous Technological Changes and Economic Growth» in M. Chatterji, R. Kuenne (eds.) Dynamics and Conflict in Regional Structural Change (The Macmillan Press, London)
Андронов А. А., Понтрягин Л. С. «Грубые системы», ДАН СССР, 1937, 14, вып. 5, 247-251
Арауджо, Шейнкман (Araujo, A. P., Scheinkman, J. A., 1977) «Smoothness, Comparative Dynamics and Turnpike Property», Econometrica 45, 601-620
Арнольд (Arnold, V. I., 1983) Geometrical Methods in the Theory of Ordinary Differential Equations (Springer Verlag, New York) (B оригинале, Арнольд В. И. Дополнительные главы теории обыкновенных дифференциальных уравнений. — M., Наука, 1978, 304
с.)
Афтальон (Aftalion, А., 1913) Les Crises Periodiques de Surproduction, v.I, II, (Riviere, Paris)
Барро (Вагго, R. J., (ed.), 1989) Modern Business Cycle Theory (Blackwell, Oxford)
Бекман (Beckmann, M. J., 1952) «A Continuous Model
ofTransportation», Econometrica 20 Бекман, Пуу (Beckmann, M. J., Puu, Т., 1985): Spatial Economics: Density, Potential, and Flow (North-Holland, Amsterdam)
Бенхабиб,Дэй (Benhabib, J., Day, R. H., 1981) «Rational Choice and Erratic Behaviour», Rev. Economic Studies 48, 459-471
Бенхабиб, Дэй (Benhabib, J., Day, R. H., 1982) «A Characterization of Erratic Dynamics in the Overlapping Generations Model», J. Economic Dynamics and Control 4, 37-55
Бенхабиб, Мийао (Benhabib, J., Miyao, Т., 1981) «Some New Results of the Dynamics of the Generalized Tobin Model», International Economic Review 22, 589-596
Бенхабиб, Нишимура (Benhabib, J., Nishimura, К., 1979) «The Hopf Bifurcation and the Existence and Stability of Closed Orbits in Multisector Models of Optimal Economic Growth», J. Economic Theory 21, 421-444
Бенхабиб, Нишимура (Benhabib, J., Nishimura, К., 1986) Endogenous Fluctuations in the Barro-Becker Theory of Fertility (New York University)
Болдрин, Монтруччио (Boldrin, M., Montrucchio, L., 1986) «On the Indeterminacy of Capital Accumulation Paths», J. Economic Theory 40, 26-39
Бриттон (Britton, N. F., 1986) Reaction-Diffusion Equation and Their Applications to Biology (Academic Press, New York)
Брок, Шейнкман (Brock, W. A., Scheinkman, J. A., 1976) «Global Asymptotic Stability of Optimal Control Systems With Applications to the Theory of Optimal Economic Growth», J. Economic Theory 12,164190
Бурмейстер, Добелл (Burmeister, E., Dobell, A. R., 1970) Mathematical Theories of Economic Growth (Macmillan, New York)
Вайдлих, Хааг (Weidlich, W., Haag, G., 1983) Qualitative Sociology (Springer, Berlin; Heidelberg)
Вальрас (Walras, L., 1874) Elements of Pure Economics, перевод W. Jane (1954) (George Alien and Unwin, London)
Вариан (Varian, H. R.., 1979) «Catastrophe Theory and the
BusinessCycle», Economic Enquiry 17, 14-28
Велупиллаи (Velupillai, К., 1978) «Some Stability Properties of Goodwin's Growth Cycle Model», J. Economics 39, 245-257
Виггинс (Wiggins, S., 1988) Global Bifurcations and ChaosAnalitical Methods (Springer, Berlin, Heidelberg)
Виксель (Wicksell, K., 1898) Interest and Prices: A Study of theCauses Regulating the Value of Money, перевод Р. Ф. Кана (19366Macmillan, London)
Виксель (Wicksell, K., 1901) Lecture on Political Economy, Vol. 1,General Theory, перевод E. Классена (Routledge and Kegan, London,1934)
Вильсон (Wilson, A. G., 1981) Catastrophe Theory and Bifurcation: Application to Urban and Regional Systems (Choom Helm, London)
Габиш, Лоренц (Gabisch, G., Lorenz, H.-W., 1986) Business Cycle Theory (Springer, Berlin, Heidelberg)
Гардинер (Gardiner, C. W., 1983) Handbook of Stochastic Methods (Springer, Berlin, Heidelberg). Русский перевод: К. В. Гардинер Стохастические методы в естественных науках.—М.:Мир, 1986
Гейл (Gale, D., 1973) «Pure Exchange Equilibrium of Dynamic Economic Model», J. Economic Theory 6, 12-36
Гилмор (Gilmore, R., 1981) Catastrophe Theory for Scientists and
Engineers (Wiley, New York) Русский перевод: Гилмор Р. Прикладная теория катастроф. — M.: Мир, 1984, тт. 1, 2
Голубицкий, Шеффер (Golubitsky, M., Schaeffer, F. G., 1984)
Singularities and Groups in Bifurcation Theory, Vol. I. (Springer, Berlin, Heidelberg)
Голубицкий, Шеффер (Golubitsky, M., Schaeffer, F. G., 1988)
Singularities and Groups in Bifurcation Theory, Vol. II. (Springer, Berlin, Heidelberg)
Гудвин (Goodwin, R. M., 1951) «The Nonlinear Accelerator and the Persistence of Biseness Cycles», Econometrica XIX, 1-18
Грандмонт (Grandmont, J. M., 1985) «On Endogenous Competitive Business Cycles», Econometrica 53, 535-572 Грандмонт (Grandmont, J. M., 1986) «Periodic and Aperiodic Behavior in Discrete OneDimensional Dynamical System», in Contributions to Mathematical Economics, ed. by W. Hildenbrand, A. Mac-Colell (North-Holland, Amsterdam)
Гроссман, Тома (Grossmann, S., Thomae, S., 1977) «Invariant
Distributions and Stationary Correlation Functions of One-Dimensional Discrete Processes», Z. Naturforsch. 32A, 1353
Гу, Нефедов, 0'Молли (Gu, Z. M., Nefedov, N. N.. O'Malley. R. E., 1989) «On Singular Singularity Perturbed Initial Value Promlems», SIAM J. Appl. Math. 49, 1-25
Гудвин (Goodwin, R. M., 1967) «A Growth Model», in Socialism and Growth, ed. by C. H. Feinstein (Cambridge University Press, Cambridge)
Гукенхеймер, Холмс (Guckenheimer, J., Holmes, P., 1983) Nonlinear Oscillations, Dynamical Systems, and Bifurcations of Vector Fields, (Springer, New York)
Гуэл, Ресслер (Guel, 0., Rossler, 0. E., (eds.), 1979) Bifurcation Theory and Applications in Scientific Disciplines (The New York Academy of Science)
Дана, Монтруччио (Dana, R. A., Montrucchio, L., 1986) «Dynamic
Complexity in Duopoly Games», J. Economic Theory, 40-56
Дебрэ (Debreu, G., 1959) Theory of Value (Yale University Press)
Дендринос, Муллалли (Dendrinos, D. S., Mullally, H., 1983) Urban Evolution Studies in the Mathematical Ecology of Cities (Oxford University Press, Oxford)
Денебург, де Пальма, Кан (Deneubourg, J. L., de Palma, A., Kahn, D., 1979) «Dynamic Models of Competition Between Transportation Modes», Environment and Planning 2, 665-673
Денкерэ, Пеликан (Deneckere, R., Pelikan, S., 1986) «Competitive Chaos», J. Economic Theory 40, 13-45
Десаи (Desai, M., 1973) «Growth Cycles and Inflation in a Model of the Class Struggle», J. Economic Theory 6, 527-545
Домингос, Фейр, Шапиро (Dominguez, К. M., Fair, R. С., Shapiro, M. D., 1988) «Forecasting the Depression: Harvard Versus Yale», Am. Economic Rev. 78, 595-612
Дэй (Day, R. H., 1983) «The Emergence of Chaos From Classical Economic Growth», Quarterly Journal of Economics 98, 201-213
Дэй, Шафер (Day, R. H., Schafer, W., 1985) «Keynesian Chaos», J. Macroeconomics 7, 277-295
Жюльен (Jullien, В., 1988) «Competitive Business Cycles in
anOverlapping Generations Economy with Productive Investment», J. Economic Theory 46, 45-65
Занг (Zhang, W. В., 1988а) «Limit Cycles in van der Ploeg's Model of Economic Growth and Conflict Over the Distribution of Income», J. Economics 48, 159-173
Занг (Zhang, W. В., 1988b) «Hopf Bifurcations in Multisector Models of Optimal Economic Growth», Economics Lett. 26, 329-334
Занг (Zhang, W. В., 1988с) «The Pattern Formation of an Urban System», Geographical Analysis 20, 75-84
Занг (Zhang, W. В., 1988d) «Brain Drain and Economic Cycles with
International Migration: A Case of Minimum Wage in the UnskilledSector», I. Development Economics 2
Занг (Zhang, W. В., 1988е) «Unurbanizing Processes With Moving Boundaries», Geographical Analysis 20, 328-339
Занг (Zhang, W. В., 1988f) Limit Cycles гп an Optimal Employment Policy Model, UmeaUniversity Studies No. 183 (University of Umea)
Занг (Zhang, W. В., 1989) Economic Development - Nonlinearity, Instability and Non-Equlibrium (докторская диссертация, представленная к защите на факультете экономики университета Умеа) (UmeaEconomic Studies No. 198, University of Umea)
Занг (Zhang, W. В., 1989а) Economic Growth and Technological Change, International Journal of Systems Science
Занг (Zhang, W. В., 1989b) «Oscillations in Rodriguez's Model of Entry and Price Dynamics», J. Economic Dynamics and Control 13, 485-497
Занг (Zhang, W. В., 1989с) Coexistence and Separation of Two Residental Groups -An Interactional Spatial Dynamic Approach, Geographical Analysis 21, 91-102
Занг (Zhang, W. В., 1989d) «Existence of Aperiodic Time-Dependent Solutions in Opiroal Growth Economy With Three Sectors», International Journal of Systems Science 20, No. 10, 1943-1953
Занг (Zhang, W. В., 1989е) U'ban Structural Changes in Continuous Time and Space, UmeaUniversity Studies, No. 191 (University of Umea)
Занг (Zhang, W. В., 1989f) Short-Run Inventory Oscillations in the Eckalbar’s Disequilibrium M(pro Model, Applied Mathematics and Computation
Занг (Zhang, W. В., 1990) «stability Versus Instability in Urban Pattern Formation», Occasional Paper Series on Socio-Spatial Dynamics 1, 41-56
Занг (Zhang, W. В., 1990a) «The Complexity of Nonlinear Dynamic Economic Systems — The Kaldorian Model With Government Policy of Bond Finance», J. Mathematical Sociology 15 (4)
Занг (Zhang, W. В., 1990b) Economic Dynamics — Growth and Development (Springer, Berlir, Heidelberg)
Занг (Zhang, W. В., 1998) Japan versus China in the Industrial Race (Macmillan, London)
28
Занг (Zhang, W. В., 1999] Confucianism and Modernization
(Macmillan, London)
28
Занг (Zhang, W. В., 1999) Capital and Knowledge. — Dynamics of Economic Structures with Non-Constant Returns. (Springer, Heidelberg)
28
Зарновиц (Zarnowitz, V., 198») «Recent Work on Business Cycles in Historical Perspective: A Review of Theories and Evidence», J. Economic Literature 23, 523-580
Зиман (Zeeman, E. С., 1977) Catastrophe Theory: Selected Papers: 1972-1977 (Addison-Wesley, beading. MA)
Изард (Isard, W., 1977) «Strategic Elements of a Theory of Major Structure Change», Papers, Regional Science Association 38, 1-14
Йе и др. (Ye, Y. Q. et al., 198€) Theory of Limit Cycles, Сер. переводов монографий по математике Американского Математического Общества (American Mathematical Society)
Йорке E., Йорке A. (Yorke, E D-, Yorke, A., 1978) «Metastable Chaos Transition to Substainid Chaotic Behavior in the Lorenz Model», J. Stat. Phys. 31, 2(3-277 Русский перевод: Йорке E., Йорке А. Метастабильный хаос: переход к устойчивому хаотическому поведению в модели Лоренца. В кн.: Странные аттракторы, сер. «Математика. Нозое в зарубежной науке», вып. 22, М.:Мир, 1981.
28Добавлено автором в корректуре - Прим. перев.
Йосс, Джозеф (looss, G., Joseph, D. D., 1980) Elementary Stability and Bifurcation Theory (Springer, New York) Русский перевод: Йосс Ж., Джозеф Д. Элементарная теория устойчивости и
бифуркаций.—М.:Мир, 1983.
Калдор (Kaldor, N., 1940) «A Model of the Trade Cycle», Economic Journal 50, 78-92
Калецкий (Kalecki, M., 1935) «A Macro-dynamic Theory of Business Cycles», Econometrica 3, 327-344
Калецкий (Kalecki, M., 1937) «A Theory of the Business Cycle», Rev. Economic Studies 4, 77-97
Капра (Capra, F., 1983) The Turning Point — Science, Society, and the Rising Culture (Fontana, London)
Kapp (Carr, J., 1981) Applications of Centre Manifold Theory (Springer, Berlin, Heidelberg)
Kapp, Манкастер (Carr, J., Muncaster, R. G.) 1983) «The Application of Centre Manifolds to Amplitude Expansions», J. Differential Equations 50, 260-288
Касс, Шелл (Cass, D., Shell, К., 1976) «The Structure and Stability of Competitive Dynamical Systems», J. Economic Theory 12, 31-70
Касти (Casti, J. L., 1985) Nonlinear System Theory (Academic, New York)
Кеворкян, Коул (Kevorkian, J., Cole, J. D., 1981) Perturbation Methods in Applied Mathematics (Springer, New York)
Кейнс (Keynes, J. M., 1936) The General Theory of Employment, Interest and Money (Harcourt, Brace, New York) Русский перевод: Кейнс Дж. Избранные произведения.— M.: Экономика, 1993
Кларк (dark, J. M., 1917) «Business Acceleration and the Low of Demand: A Theoretical Factor in in Economic Cycles», J. Political Economy 25, 217-235
Кларк (dark, С. W., 1976) Mathematical Bioeconomics (Wiley, New York)
Кноблох (Knobloch, E., 1981) «Chaos in a Segmented Disc Dynamo», Phys. Lett. 82A, 439-440
Коддингтон, Левинсон (Coddington, E. A., Levinson, N., 1955)Theory of Ordinary Differential Equations (McGraw-Hill, New York)Русский перевод: Коддингтон E., Левинсон Н. Теория обыкновенных дифференциальных уравнений.—M.: ИЛ, 1958
Колле, Трессер (Coullet, P., Tresser, J.) 1978)
«Iterationsd'Endomorphismes et Groupe de Renormalisation», J. Phys. (Paris),Coll. 39, С 5-25
Кун (Kuhn, T. S., 1962) The Structure of Scientific Revolutions (Chicago University Press, Chicago) Русский перевод: Кун /.Структура научных революций.— М.:Прогресс, 1987
Купманс (Koopmans, Т., 1965) «On the Concept of the
OptimalGrowth» in The Econometric Approach to Development Planning(Rand McNally, Chicago) pp. 225-287
Курно (Cournot, A., 1838) Recherches sur les Principes Mathematiques de la Theorie des Richesses (Riviere, Paris)
Лакатос (Lacatos, I., 1978) The Methodology of Scientific Research Program: Philosophical Papers, Vol. 1 (Cambridge University Press, Cambridge)
Ландау Л. Д. «К проблеме турбулентности», ДАН СССР, 1944, 44, с. 339-342
Ландау Л. Д., Лифшиц E. M. Гидромеханика, Теоретическая физика в 10 томах, т. VI, 1988
Левинсон, Смит (Levinson, N., Smith, О. К., 1942) «General Equations for Relaxation Oscillations», Duke Math. J. 9, 382-403
Лейженфруд (Leijonhwfrud, A., 1973) «Effective Demand Failure», Swedish Journal of Economics 75, 27-48
Ли, Йорке (Li, Т. Y., Yorke, Y., 1975) «Period Three Implies Chaos», American Mathematical Monthly 82, 985-992
Лин, Кан (Lin, J., Kahn, P. В., 1977) «Limit Cycles in Random Environments», SIAM J. Appl. Math. 32, 260-291
Лонг, Зиберт Long, N. V., Siebert, Н., 1985) «Lay-off Restraints, Employment Subsidies, and the Demand of Labor», in Optimal Control Theory and Economic Analysis 2, ed. by G. Feichtinger (North-Holland, Amsterdam)
Лоренц (Lorenz, E., 1963) «Deterministic Nonperiodic Flow», J. Atmos. Sci. 20. 130-141 Русский перевод: Лоренц E. Детерминированное непериодическое течение. В кн. «Странные аттракторы. Сер. Математика. Новое в зарубежной науке», вып. 22, М.:Мир, 1981
Лоренц (Lorenz, Н. W., 1986) «On the Uniqueness of Limit Cycles in Business Cycle Theory», Metroeconomica XXXVIII, 281-293
Лоренц (Lorenz, Н. W., 1987) «International Trade and the Possible Occurence of Chaos», Economics Lett. 23, 135-138
Лукас (Lucas, R. E., 1975) «An Equillibrium Model of the Business Cycle», J. Political Economy 83, 1113-1144
Льюис (Lewis, W. A., 1955) The Theory of Economic Growth (George Alien fe Unwin Ltd., London)
Мак-Колелл (Mac-Colell, A., 1985) The Theory of General Economic Eqwilibnum: A Differentiable Approach (Cambridge University Press, Cambridge)
Мангель (Mangel, M., 1980) «Small Fluctuations in Systems With Multiple Cycles». SIAM J. Appl. Math. 38. 120-138
Манневиль, Помэ (Manneville, P., Pomeau,Y., 1979) «Intermittency and the Lorenz Model», Phys. Lett, 75A; 1
Маркс (Marx, К., 1867-1894) Capital, 3 vols., translated by S. Moore and E. Aveling (Lawrence and Wishart, London) Русский перевод: Карл Маркс Капитал, в 3 томах. — M.: Политиздат, 1978
Марсден, Мак-Кракен (Marsden, J. E., McCracken, R., 1976) The Hop/Bifurcation and Its Applications (Springer, New York) Русский перевод: Марсден Дж., Мак-Кракен Р. Бифуркация рождения цикла и ее приложения. — М.:Мир, 1980.
Метцлер (Metzler, L. А., 1941) «The Nature and Stability of Inventory Cycles», Rev. Econ. Stat. 23, 113-129
Миз (Mees, A., 1975) «The Revival of Cities in Medieval Europe: An Application of Catastrophe Theory», Regional Science and Urban Economics 5, 403-425
Милль (Mill, J. S., 1848) Principles of Political Economy (Penguin, Harmondsworth, 1970)
Митчелл (Mitchell, W. C., 1913) Business Cycles (University of California Press, Berkeley) Русский перевод: Митчелл В. Экономические циклы: Проблема и ее постановка. — М.-Л.: Госполи-тиздат, 1930
Монд (Mond, J., 1970) Le Hasard et la Necessite (Editions Du Seuil, Paris)
Нельсон, Винтер (Nelson, R. R., Winter, S. G., 1982) An Evolutionary Theory of Economic Change (Harvard University Press, Cambridge, MA)
Никайдо (Nikaido, H., 1968) Convex Structures and Economic Theory (Academic, New york) Русский перевод: Никайдо X. Выпуклые структуры и математическая экономика. — М.: Мир, 1972
Николис, Пригожин (Nicolis, G., Prigogine, I., 1977) 5e//-
organization in Noneqilibrium Systems (Wiley, New York) Русский перевод: Николис Г., Пригожин И. Самоорганизация в неравновесных системах. От диссипативных структур к упорядоченности через флуктуации. — М.:Мир, 1979
Ньюхаус, Рюэль, Такенс (Newhouse, S., Ruelle, D., Takens, F., 1978) «Occurence of Strange Axiom - An Attractor near Quasiperiodic Flow on T"
1, m > 3», Commun. Math. Phys. 64, 35
O'Молли (O'Malley, R. E., 1988) «On Nonlinear Singularly Perturbed
Initial Value Problems», SIAM Rev. 30, 193-212
Парето (Pareto, V., 1908) Manual of Political Economy
Педлоски, Френзен (Pedlosky, J., Frenzen, C., 1980) «Chaotic and Periodic Behavior in Finite Amplitude Baroclinic Waves», J. Atmos. Sci. 37, 1177-1196
Пейксото (Peixoto, M. M., 1977) «Generic Properties of Ordinary Differential Equations», in Studies in Ordinary Differential Equations, ed. by J. Hale, Studies in Mathematics: The .Mathematical Association of America, 14, 52
Пигу (Pigou, A. C., 1927) Industrial Fluctuations (Macmillan, London)
Пиремн (Piremnne, H., 1925) Medieval Cities, translated into English by F. D. Halsey (1952) (Princeton University Press, Princeton, New Jersey)
Ван дер Плюг (v. d. Ploeg, F, 1983) «Predator-prey and Neoclassical Models of Cyclical Growth», J. Economics 43, 235-256
Ван дер Плюг (v. d. Ploeg, F., 1987) «Growth Cycles, Induced Technical Change and Perpetual Conflict over the Distribution of Income», J. Macroeconomics 9, 1-12
Поппер (Popper, К. R., 1972) Objective Knowledge - An Evolutionary Approach (Oxford University Press, Oxford) Русский перевод: Поппер К. Объективное знание. Эволюционный подход. — В кн.: К. Поппер Логика и рост научного знания. Избранные работы — М.: Прогресс, 1983, с.439-557
Пригожин (Prigogine, I., 1980) From Being into Becoming: Time and Complexity in the Physical Sciences (Freeman, San Francisco) Русский перевод: Пригожин И. От существующего к возникающему. — М.:Наука, 1985
Пригожин, Стенгерс (Prigogine, I., Stengers, I., 1984) Order out of Chaos: Man's Dialogue with Nature (New Science Library, Boulder) Русский перевод: Пригожин И., Стенгерс И. Порядок из хаоса: Новый диалог человека с природой. — М.:Прогресс, 1986
Пуу (Puu, Т., 1981) «Structural Stability and Change in Geographical Space», Environment and Planning A 13
Пуу (Puu, Т., 1986) «Muliplier-Accelerator Models Revisited», Regional Science and Urban Economics 16
Пуу (Puu, Т., 1987) «Complex Dynamics in Continuous Models of the Business Cycle», in Economic Evolution and Structural Adjustment; ed. by D. Batten, J. Casti, B. Johansson (Springer, Berlin, Heidelberg)
Рикардо (Ricardo, D., 1817) Principles of Political Economy and Taxation (Penguin, Harmonsworth, 1971) Русский перевод: Рикардо Д. Начала политической экономии и налогового обложения, в книге «Антология эконономической классики», Т. 3, М.: Эконов-Ключ, 1993
Робертсон (Robertson, D. H.; 1915) A Study of Industrial Fluctuations (Aldwych, London, 1948)
Ростоу (Rostow, W. W., I960) The Stages of Economic Growth (Cambridge University Press, Cambridge)
Рюэль, Такенс (Ruelle, D., Takens, F., 1971) «On the Nature of Turbulence», Commun. Math. Phys. 20, 167 Русский перевод:
Рюэль Д, Такенс Ф. О природе турбулентности. В кн.: Странные аттракторы. Сер. «Математика. Новое в зарубежной науке», вып. 22, М.:Мир, 1981
Самуэльсон (Samuelson, P. A., 1939) «Interactions Between the Multiplier and the Principle of Acceleration», Rev. Economics and Statistics 21, 75-78.
Самуэльсон (Samuelson, P. A., 1947) Foundations of Economic Analysis (Harvard University Press, Cambridge, MA)
Самуэльсон (Samuelson, P. A., 1972) The Collected Scientific Papers of Paul A. Samuelson, Vol. Ill, (MIT Press, Cambridge, MA)
Сарджент (Sargent, T. J., 1979) Macroeconomic Theory (Academic, New York)
Саттингер (Sattinger, D. H., 1973) Topics in Stability and Bifurcation Theory (Springer, Berlin, Heidelberg)
Сван (Swan, T. W., 1956) «Economic Growth and Capital
Accumulation», Economic Record XXXII, 334-361
Семмлер (Semmler, W. (ed.), 1985) Competition, Instability and Nonlinear Cycles (Springer, Berlin, Heidelberg)
Семмлер (Semmler, W., 1986) «On Nonlinear Theories of Economic Cycles and the Persistence of Business Cycle», Mathematical Social Sciences 12, 47-76
Смейл (Smale, S., 1967) «Differentiable Dynamical Systems», Bull. Amer. Math. Soc. 73, 747-817 Русский перевод: Смейл С. Дифференцируемые динамические системы. — УМН, 1970, т. 25, вып. 1, с. 113-185
Смит (Smith, A., 1776) An Inquiry into the Nature and Causes of the Wealth of Nations (University of Chicago Press, Chicago, 1976) Русский перевод: Смит А. Исследование о природе и причинах богатства народов, в книге «Антология экономической классики», Т. 2, М.: Эконов-Ключ, 1993
Солоу (Solow, R., 1956) «A Contribution to the Theory of Growth», Quarterly Journal of Economics 70, 65-94
Солоу (Solow, R., 1988) «Growth Theory and After», Am. Economic Review 78, 307-317 (лекция, прочитанная в Стокгольме при получении Нобелевской премии по экономике)
Спарро (Sparrow, С., 1982) The Lorenz Equations, Bifurcations, Chaos, and Strange Attractors (Springer, Berlin, Heidelberg)
Стейндал, Фейхтингер, Хартль, Зоргер (Steindal, A., Feichtinger, G., Harti, R. F., Sorger, G., 1986) «On the Optimality of Cyclical Employment Policies — A Numerical Investigation», J. Economic Dynamics and Control 10, 457-466
Такаяма (Takayama, A., 1985) Mathematical Economics, 2nd ed. (Cambridge University Press, Cambridge)
Тобин (Tobin, J., 1965) «Money and Economic Growth»,
Econometrica 33, 671-684
Тобин (Tobin, J., 1969) «A General Equilibrium Approach to Monetary Theory», J. Money, Credit, Banking 1, 15-29
Toppe (Тогге, V., 1977) «Existence of Limit Cycles and Control in Complete Keynesian System by Theory of Bifurcations», Econometrica 45, 1457-1466
Туган-Барановский М. И. Промышленные кризисы в современной Англии, их причины и влияние на народную жизнь, Пг.: Право, 1917
Фейгенбаум (Feigenbaum, М. J., 1978) «Quantative University for a Class of Nonlinear Transformations», J. Stat. Phys. 19, 25
Флашель (Flaschel, P., 1984) «Some Stability Properties of Goodwin's Growth Model: A Critical Elaboration», J. Economics44, 63-69
Фридман (Friedman, М., 1953) «The Methodology of Positive Economics», in Essays in Positive Economics. Reprinted in Readings in Microeconomics, ed. by W. Breit, H. W. Hochman (1986) (Holt, Rinehart and Winston, London) Фридман, Вальтман (Freedman, H. I., Waltman, P., 1975) «Perturbation to Two-Dimensional Predator-Prey Equations», SIAM J. Appl. Math. 28, 1-10
Хаавельмо (Haaveimo, Т., 1954) A Study in the Theory of Economic Evolution (North-Holland, Amsterdam)
Хайек Ф. А. фон (Hayek, F. A., von, 1933) Monetary Theory and the Trade Cycle (Harcourt, Brace & Co., New York) Хакен (Hacken, H., 1975) «Analogy Between Higher Instabilities in Fluids and Lasers», Phys. Lett. 53A, 77-78
Хакен (Hacken, H., 1977) Sinergetics: An Introduction, 3rd ed. (1983) (Springer, Berlin, Heidelberg) Русский перевод (со 2-го англ. издания): Хакен Г. Синергетика.— М.:Мир, 1980
Хакен (Hacken, H., 1983) Advanced Sinergetics (Springer, Berlin, Heidelberg) Русский перевод: Хакен Г. Синергетика. Иерархия неустойчивостей в самоорганизующихся системах и устройствах.— М.:Мир, 1985
Хан (Hahn, F., 1982) «Stability» an A Handbook of Mathematical Economics, Vol. 2, ed. by K. J. Arrow, М. D. Intriligator (North-Holland, Amsterdam)
Xao (Hao, B. L., 1984) Chaos (World Scientific, Singapure)
Харрод (Harrod, R. F., 1936) The Trade Cycle (Oxford University Press, Oxford)
Хикс (Hicks, J. R., 1939) Value and Capital (Clarendon, Oxford) Русский перевод: Хикс Дж. Р. Стоимость и капитал. — М.: Прогресс, 1993
Хикс (Hicks, J. R., 1950) Л Contribution to the Theory of the Trade Cycle (Clarendon, Oxford)
Хикс (Hicks, J. R., 1965) Capital and Growth (Oxford University Press, Oxford) Хопф (Hopf, E., 1942) Abzweigung einer Periodischen Losung von einer Stationdren Losung ernes Differential Systemen Ber. Math. Phys. (Sachsische Acad. der Wissenschaften, Leipzig) См. перевод в книге Марсдена, Мак-Кракена, 1980
Хотри (Hawtrey, R. G., 1913) Good and Bad Trade: An Inquiry into the Causes of Trade Fluctuations (Constable, London)
Хусейн (Huseyin, K., 1986) Multiple Parameter Stability Theory and Its Applications — Bifurcations, Catastrophes, Instabilities (Clarendon, Oxford)
Хэссаррд, Казаринов, Вэн (Hassard, В. D., Kazarinoff, N. D., Wan, Y. H., 1981) Theory and Applications of Hopf Bifurcation (Cambridge University Press, Cambridge) Русский перевод: Хэс-сард Б., Казаринов H., Вэн И. Теория и приложения бифуркации рождения цикла. — М.: Мир, 1985
Чанг, Смит (Chang, W. W., Smyth, D. J., 1971) «The Existence and Persistence of Cycles in a Nonlinear Model: Kaldor's 1940 Model Re-examined», Rev. Economic Studies 38, 37-44
Чу, Хейл (Chow, S. N., Hale, J. K., 1982) Methods of Bifurcation Theory (Springer, Berlin, Heidelberg)
Шах,Десаи (Shah, A., Decai, М., 1981) «Growth Cycles With Induced Technical Change», The Economic Journal 91, 1006-1010
Шинаси (Schinasi, G. J., 1982) «Fluctuations in a Dynamic Intermediate-Run IS-LM Model: Applications of the Poicare-Benedixon Theorem», J. Economic Theory 28, 369-375
Шпитхоф (Spiethoff, A., 1953) «Business Cycles», Int. Econ. Pap. 3, 75-171 (в первоначальном варианте опубликована под названием «Krisen», Handworterbuch der Staatswissenschaften, Vol. 6, 1925,8-91)
Штутцер (Stutzer, М., 1980) «Chaotic Dynamics and Bifurcation in a Macro Model», J. Economic Dynamics and Control 2, 253-276
Шумпетер (Schumpeter, J. A., 1934) The Theory of Economic Development (Harvard University Press, Cambridge, MA) Русский перевод: Шумпетер Дж. Теория экономического развития. — М., 1982
Шумпетер (Schumpeter, J. A., 1939) Business Cycles: A Theoretical, Historical, and Statistical Analysis of the Capitalist Process, 2 vols.
(McGraw-Hill, New York)
Шумпетер (Schumpeter, J. A., 1934) Capitalism, Socialism and Democracy (Harper & Row, New York) Русский перевод: Шумпетер Дж. Капитализм, социализм и демократия. — М.: Экономика, 1995
Шустер (Schuster, H. G., 1984) Deterministic Chaos — An Introduction, 2nd revised ed. (VCH, Weinheim, F.R.G.) Русский перевод: Шустер X. Детерминированный хаос. Введение. — М.:Мир, 1988
Экальбар (Eckalbar, J. С., 1985) «Inventory Fluctuations in a Disequilibrium Macro Model», Economic Journal 95, 976-991
Эрроу (Arrow, К. J., 1962) «The Economic Implications of Learning by Doing», Review of Economic Studies 24, 155-173
Эрроу, Гурвиц (Arrow, К. J., Hurwicz, L., 1958) «On the Stability of the Competitive Equilibrium I», Econometrica XXVI, 522-552
Эрроу, Хан (Arrow, K. J., Hahn, F. H, 1971) General Competitive Analysis (Holden-Day, San Francisco)
Эрроусмит, Плейс (Arrowsmith, D. K., Place, С. М., 1982):
Ordinary Differential Equations (Chapman and Hall. London) Русский перевод: Эрроусмиг Д., Плейс К. Обыкновенные дифференциальные уравнения.— М.: Мир, 1986
Юм (Hume, D., 1748) An Enquiry Concerning Human Understanding
Янч (Jantsch, E, 1980) The Self-Organizing Universe - Scientific and Human Implications of the Emerging Paradigm of Evolution (Pergamon Press)
2.1 Экономическая эволюция. Введение
Суть жизни — перемены.
Лао Цзе
После второй мировой войны произошло удивительное экономическое явление: две страны — Западная Германия и Япония, которые подверглись значительным разрушениям в ходе войны (по крайней мере физическим), были восстановлены и стали развиваться со значительно большей скоростью, чем страны, выигравшие войну. Бурный экономический рост, быстрая урбанизация и многочисленные экономические успехи наблюдались в послевоенные годы и в других странах, хотя иногда их развитие характеризовалось значительными (нерегулярными) флуктуациями. Даже внутри одной страны в различных регионах имелись различия. Порой они бывали столь велики, что можно было подумать, будто люди, населяющие разные области, проживают не в одной и той же стране — вывод очевиден: время и место играют определяющую роль в формировании и изменении характеристик индивидуумов и сообществ.
Экономисты предложили много теорий для объяснения феномена экономической эволюции. Однако теория экономической динамики все еще использует упрощенные подходы. До сих пор основной интерес в литературе был сосредоточен на условиях существования, единственности и устойчивости стационарных состояний.
К несчастью, в реальной экономике эти типы поведения не зарегистрированы. Вместо этого реальная экономика проявляет сложную динамику: периодические циклы, нерегулярные флуктуации и хаос. Между действительным экономическим развитием и экономическими теориями имеет место разрыв, и этот разрыв не сокращается с течением времени. Когда бы экономисты ни обращались к проблемам динамики, они находят повод для разногласий. Безусловно, с одной стороны, это может происходить вследствие сложности экономических систем, с другой стороны — из-за отсутствия взаимопонимания между самими экономистами. Более того, любопытно, что разрыв между теорией и действительностью не сокращается с появлением мощных компьютеров и накоплением статистических данных. Видимо, вера в то, что усовершенствования в технике вычислений и моделировании могут решить все проблемы экономического развития, вряд ли оправдана — анализ реальных данных мало о чем говорит, если он надежно не подкреплен хорошей теорией.
2.2 Теории равновесия в экономическом анализе
Красота физики проявляется, только если
правильно задан вопрос ...
X. Г. Шустер (1988)
Перед тем как дать обзор основных концепций теории экономической динамики, мы поясним, как важна для понимания динамической экономики экономика статическая.
Неопровержимым аргументом здесь служит то обстоятельство, что наиболее важные результаты в экономическом анализе были получены из равновесных теорий. Подобно некоторым другим концепциям экономического анализа, понятие «равновесия» в экономике позаимствовано из теоретической механики. Концепция равновесия была известна механикам задолго до публикации «Благосостояния наций» в 1776 году, и совершенно очевидно, что Адам Смит черпал свои идеи в некоторых механических аналогиях. Однако поскольку в действительности не существует такой экономики, которая могла бы быть зафиксирована в состоянии покоя, анализ равновесий имеет явно ограниченную применимость. Возникает вопрос, возможно ли, пользуясь методами равновесного анализа, пролить какой-то свет на проблемы эволюции. Тем не менее, развитие экономической теории доказало, что анализ равновесий является весьма и весьма полезным.
Интерес экономистов к равновесным ситуациям можно оправдать двояко. Во-первых, состояния равновесия имеют особые права на наше внимание, потому что когда мы спрашиваем себя, как устроена такая децентрализованная экономика, которая еще и эффективна мы обнаруживаем, что зачастую такая экономика находится в конкурентом равновесии (которое представляет собой стационарное состояние). Конечно, это не должно означать, что всякая система совершенной конкуренции обязана иметь выраженную тенденцию к равновесию — простейшим примером тому является паутинообразная динамика конкурентной модели («теорема о паутине»). Более того, в современной литературе о деловых циклах и экономическом хаосе показано, что стремление к равновесию имеет место лишь в ограниченном ряде случаев. Вторым аргументом в пользу изучения равновесий, который был выдвинут первоначально Маршаллом, является утверждение о том, что в любой реальной экономике, если она не находится в состоянии равновесия, действуют силы которые стремятся вернуть ее к равновесию. Множество примеров из этой книги покажет, что в общем случае этот аргумент, увы, несостоятелен.
Те же основополагающие аргументы можно обнаружить и в обосновании концепции «невидимой руки» Смита. Последний термин означает что социальная система, движимая под действием независимых сил к различным состояниям, согласуется при этом с окончательным Положением равновесия. В итоге результаты конкуренции могут быть совершенно отличны от тех, которые имелись в виду участниками. Смит сформулировал наиболее важный вывод общей равновесной теории — способность конкурирующей системы достигать такого распределения ресурсов, которое в определенном смысле оказывается эффективным. Рикардо (1817), Милль (1848) и Маркс (1867), чьи работы заполнили некоторые логические пробелы у Смита, все могут быть отнесены к ранним представителям общей теории динамического равновесия. Однако никто из классиков не владел верной общей теорией равновесия, никто явно не сформулировал роль спроса.
Шумпетер (1934, 1975) имел близкую Маршаллу точку зрения относительно равновесий. Однако, согласно Шумпетеру, в капиталистической системе экономическое равновесие вообще не может быть достигнуто, потому что всегда существуют новшества, которые сдвигают систему из положения равновесия — тем не менее, он считал важным изучение равновесных структур, так как они позволяют прояснить тенденцию реальных процессов экономической эволюции.
Полная формулировка общей концепции равновесия может быть отнесена на счет Вальраса, хотя многие ее элементы были независимо разработаныВ. С. Джевонсом и С. Менгером. Работы Вальраса заложили фундамент, на который и поныне опираются экономисты
Чтобы охватить области обмена, производства, капитала и денег, он развил общую теорию равновесия в унифицированной формулировке.
Модели равновесия Вальраса вновь стали обсуждаться в начале 1950-х годов (см., например, Дебрэ, 1959, Эрроу и Хан, 1971). Работы последних, которые часто называют общей теорией равновесия, были сфокусированы на вопросе существования конкурентных равновесий, гарантированных равновесными ценами. Таким образом, общий динамический анализ предопределен устойчивостью таких равновесий. Динамика здесь, в основном, состоит в «искусственных» процессах регулирования цен. Она существенным образом связана с устойчивостью равновесия, определенного в рамках статики (Эрроу и Хан, 1971).
В известной книге «Основы экономического анализа» Самуэльсон (1947) отстаивает использование концепции равновесия, аргументируя это тем, что многие экономические проблемы могут рассматриваться как задачи максимизации и минимизации. По Самуэльсону, теория поведения потребителя и фирмы являются простыми приложениями методов условной максимизации (максимизации с ограничениями). Этот аппарат обнаруживает не только единую структуру, лежащую в основе самых разных проблем, но и служит источником новых теоретических предсказаний. Одним из наиболее популярных методов, используемых при этом подходе, является сравнительный статический анализ, суть которого заключается в изучении влияния сдвига значений экономических параметров. Метод дает нам информацию о том, как изменится равновесие в результате экзогенных воздействий (шоков). Он нашел широкое применение в различных задачах экономики. В разд. 4.1 мы обсудим этот метод в деталях.
2.3 Динамические теории в экономике
История науки далеко не прямолинейна — за исключением ряда удачных приближений, преследующих внутренние цели. Ее ход полон противоречий и непредсказуемых поворотов.
И. Пригожий и И. Стенгерс (1984)
Время должно входить в качестве независимой переменной в описание каждой экономической величины. Никакая теория экономической динамики не может избежать рассмотрения временных зависимостей. В теориях равновесия время исключено, потому что предполагается, что систему можно поддерживать в таком состоянии, когда отношения взаимодействия между переменными остаются неизменными. Это предположение справедливо, если период наблюдения очень короток или если мы имеем дело только со стационарными состояниями, и следовательно, время не играет роли. До известной степени, равновесный анализ можно рассматривать как частный случай анализа динамического.
По теории экономической динамики имеется обширная литература. Основные работы в области экономической эволюции относятся к вопросам экономического роста и деловых циклов. После того как в гл. 5 будет дан обзор теории деловых циклов, мы обратимся и к теории экономического роста.
Экономический рост является классическим предметом экономики. Значительный вклад в его теорию сделан Адамом Смитом, Д. Рикардо, Т. Р. Мальтусом, К. Марксом, Дж. Миллем и другими.
В течение периода с 1870 по 1920 годы в литературе доминировали подход частичного равновесия Маршалла и подход общего равновесия Вальраса. В трудах Бома-Баверка, Кларка, Викселла и Фишера большое развитие получили также теории капитала и прибыли. Однако; по крайней мере в свете современных представлений, их работы часто страдали упрощением формулировок и неверными выводами. Можно считать, что «Социализм, капитализм и демократия» (1975), «Теория экономического развития» (1934) Дж. А. Шумпетера и «Теория экономического роста» В. А. Льюиса (1955) также не выходят за рамки классических традиций. Все эти работы характеризуются тем, что для объяснения хода экономического развития принимают во внимание не только «чисто экономические переменные», но также и некоторые социальные факторы, такие как мораль, этика, общественные институты и т. д.
В эволюционной системе Шумпетера важную роль при построении теории играет концепция инновации. Это понятие относится к различным аспектам нововведений — таким, как появление новых потребностей и изменение ориентации, составляющие часть процесса социального обучения; разработка новых товаров, удовлетворяющих нужды потребителей; использование новых товаров и оборудования для усиления конкурентоспособности; предложение новых организационных методов и открытие новых рынков. В силу существования инноваций, конкурентная капиталистическая экономика не может быть устойчивой. Однако, по Шумпетеру, такая неустойчивая эволюция не означает разрушения системы. Каждому экзогенному воздействию соответствует новое состояние равновесие, в направлении которого движется реальная система. К настоящему времени для объяснения динамики экономических систем ряд ученых, воодушевленных перспективами, открытыми Шумпетером, разработали «эволюционную экономику» (см., например, Нельсон и Винтер, 1982). Здесь термин «эволюция» зачастую относится к долговременным процессам и прогрессивным переменам.
Термин «вне-равновесие» при их подходе является ключевым словом в большей степени, нежели термин «равновесие». В этом отношении синергетическая экономика оказывается весьма похожей на «эволюционную экономику».
Интерес к макроэкономической теории роста возродила «Общая теория» Кейнса, хотя эта работа скорее может быть охарактеризована как «песо-динамика», чем просто динамика. «Общая теория» обрисовала картину взаимодействий агрегированных макроэкономических переменных.
Следует заметить, что для Кейнса и некоторых его последователей эволюция капиталистической системы является потенциально нестабильной, тогда как, согласно неоклассическому подходу, экономический рост характеризуется как устойчивый процесс. Кейнс полагал, что правительство может стабилизировать экономику, принимая верные политические решения. Таким образом, одной из основных проблем кейнсианской теории является вопрос о том, каким образом стабилизировать экономическую систему. Значительную роль в развитии современной экономической теории роста сыграли работы Самуэльсона, Солоу, Моришимы, Хикса, Леонтьева и других. Эти работы сфокусированы на процессах аккумуляции капитала, переплетающихся с увеличением производства и потребления, но почти все они выполнены в предположении заведомой устойчивости систем. О том что будет, если система находится в неустойчивом состоянии, сказано мало.
Между классической и современной теориями экономического роста существует множество различий. Например, эмпирические факты, которые пытается объяснить современная экономика роста, совершенно отличны от тех, с которыми имеет дело классическая. Так, оказалось, что некоторые из наиболее важных предсказаний теории Мальтуса и Рикардо, не реализуются. Вопреки им, сегодня доля землевладельцев не выглядит возрастающей, население не растет быстрее, чем продукты, а роль сельского хозяйства по отношению к промышленности заметно снижается.
С другой стороны, основным предметом современной экономики роста является объяснение сдвигов в производстве, занятости и акционерном капитале растущей экономики и взаимоотношения между этими переменными, а также объяснение движения распределения дохода между участниками производства. Современная теория роста пытается очертить концептуальные рамки, в которых могут иметь место гораздо более значительные эмпирические исследования. Типы экономик, которые пытается описать современная теория, являются существенно более развитыми и индустриализированными. Капитал и труд в таких экономиках — две отправные точки, на которых фокусируется основное внимание.
Земля, которая является важным фактором в классической теории роста, здесь обычно игнорируется. Анализ в основном концентрируется на соотношениях «потребление-инвестиции», а не на распределении между альтернативными инвестициями или альтернативными потребительскими товарами.
Хотя некоторые модели в этой книге разрабатываются в рамках современной экономики роста, основной подход к экономическому развитию у нас другой. Мы будем исследовать преимущественно те экономические эффекты, которые проявляются, когда предполагаемое равновесие находится в процессе установления.
2.4 Принцип соответствия Самуэльсона и его ограничения
Моделируя экономические процессы, мы обычно вводим параметры, которые остаются неизменными в течение исследуемого периода. Для описания внешних воздействий используются такие понятия, как «окружение», «экономическая политика» и «структура рассматриваемой системы». Поскольку эти параметры могут изменяться, важно знать влияние их изменений на поведение системы. Для анализа этих эффектов предложены сравнительный статический анализ и принцип соответствия.
Самуэльсон нашел два источника информации, на которых можно строить экономические прогнозы. Во-первых, некоторые результаты сравнительной статики можно получить из предположения о рациональном поведении индивидов. Мы рассмотрим эту тему в разд. 4.1. Затем Самуэльсон доказал, что еще более важная информация может быть получена из предположения об устойчивости экономической модели. Здесь мы покажем возможности и ограничения этого метода.
Прежде всего, рассмотрим, как объясняется теорией Вальраса процесс, в ходе которого предложение и спрос уравновешены. Предполагается, что при любой цене, если спрос превышает предложение, цена будет расти; если предложение превышает спрос, то цена будет падать. В явном виде это можно записать следующим образом:
^ = H[D(p,a)-S(p)l (2.4.1)
где Н(0) = 0, Н > 0, р — цена, а — параметр, соответствующий экзогенным факторам, a D и S представляют соответственно спрос и предложение. Для простоты пусть Н = 1. Вблизи точки равновесия р= р
0 соотношение (2.4.1) можно приближенно переписать как где опущены члены, содержащие высшие степени (р-ро)
1. Если обозначить начальную цену какр(0), то решение уравнения (2.4.2) дается формулой
(2.4.3)
р(0 = Ро + [р(0) - ро] exp[[D
p- Sp)t].
dp
dt
(2.4.2)
= {D
p-S
P)(p-p
0) + ...,
>+ да имеет место р(0-¦ р
0. Это выполняется в
Если равновесие устойчиво, то при t-том и только том случае, если
(2.4.4)
< 0.
D
p-S
p
Когда кривая предложения имеет положительный наклон, последнее условие выполняется. Если же наклон отрицательный, он должен быть менее крутым, чем у кривой спроса. Так что если выполнены условия устойчивости, то ответ на поставленный вопрос получен: когда растет спрос, должна расти цена. Таким образом, результаты сравнительного статического анализа могут быть выведены из условий устойчивости.
В противоположность теории Вальраса, в теории нормальной цены Маршалла количество предложения предполагается величиной саморегулируемой. Если «цена спроса» превышает «цену предложения», количество предложения будет увеличиваться. Сохранив обозначения (2.4.2) и избавившись от высших степеней, получим уравнение
(2.4.5)
решением которого является
(2.4.6)
(2.4.7)
9(0 = ?о + [9(0)-?о]ехр ~ ]rj
1
Для того чтобы равновесие было устойчивым, потребуем, чтобы
___1_ _ — Dp
Dp S
p DpSp '
т. е. наклон кривой предложения относительно оси меньше, чем у кривой спроса. Если Dp < 0, имеем (S
p - D
p)/S
p > 0. Следовательно, условия устойчивости Маршалла требуют, чтобы количество
Здесь D
p и S
p — производные по переменной р функций D и S соответственно.—Прим. ред.
предложения увеличивалось в любом случае, если увеличивается спрос, тогда как изменения цены оказываются неявно зависящими от знака, наклона кривой
предложения. Таким образом, из информации об условиях устойчивости мы
2
немедленно получаем, что рост спроса приведет к увеличению производства .
Такие соотношения между условиями устойчивости и результатами сравнительной статики названы Самуэльсоном «принципом соответствия». Предполагалось, что если этот принцип верен, то метод сравнений с равновесием можно признать годным для определения последствий данных параметрических изменений. Если заведомо предполагать процесс устойчивым, то малые изменения параметров могут приводить только к плавным изменениям переменных. Никаких внезапных перемен наблюдаться и не может.
Справедливость принципа соответствия зависит от предварительного предположения об устойчивости экономических систем, Важно исследовать, что произойдет, если это предположение ослабить.
2.5 Неустойчивость в экономическом анализе
Из сказанного выше мы видим, что гипотеза устойчивости важна, поскольку часто с ее помощью можно получать осмысленные экономические результаты. Многочисленные удачные приложения принципа соответствия к различным экономическим проблемам показали, что этот метод довольно полезен. Однако необходимо подчеркнуть, что принятие гипотезы устойчивости не означает, что экономистам нужно отвергнуть факт наличия неустойчивости, просто отношение к неустойчивостям в экономическом анализе должно быть изменено.
Изменение позиции большинства экономистов относительно гипотезы неустойчивости в экономическом анализе можно проиллюстрировать выдержками из воспоминаний Самуэльсона как классика-теоретика, относящихся к 1932-37 годам: «поскольку, естественно, теоретик равновесия стремился рассматривать модели, в которых процессы устремляются к единственному положению независимо от начальных условий... честно говоря, мы, теоретики, надеялись не вводить явления гистерезиса в нашу модель..., но в реальности мы неявно использовали модели, содержащие гистерезис:
Испания не могла бы оставаться прежней после Колумба... очевидно, что в таких моделях в результате введения в систему определенного
2Здесь предполагается, что в точке равновесия выполнено условие S
p > D
p. Из этого неравенства следует, что для обеспечения устойчивости точки равновесия необходимо, чтобы D
p < 0. — Прим. ред.
разбалансирующего фактора М все действительные переменные не остаются неизменными...» (Самуэльсон, 1972, с. 540-1).
Принятие концепции устойчивости в экономическом анализе было в значительной степени обусловлено развитием естественных наук, где для проведения осмысленного анализа динамических систем требовалась их устойчивость. Для экспериментальных наук это значит, что дескриптивные модели должны приводить к одним и тем же качественным результатам, если эксперимент повторяется при малых изменениях условий. Такое отношение к реальности вытекало из потребности в том, чтобы она была действительно устойчивой в некотором структурном смысле. А убеждение в том, что малые изменения окружающих условий не приведут к коренным и качественным различиям в поведении реальной системы, представляет собой наследие механистически ориентированного 19-го века. В соответствии с идеями детерминистической механики, сложные явления, которые не могут быть объяснены с привлечением обычных моделей, сводятся либо к постулату, что подобные явления не подлежат аналитическому рассмотрению, либо к утверждению, что система находится под воздействием чисто стохастических влияний. Как следствие, хаотические явления в эволюционных системах трактуются как преходящие явления или простые возмущения долговременной равновесной эволюции.
Ныне эта точка зрения на устойчивость претерпела изменения. Устойчивость более не предполагается в науке априорно. Показано, что малые сдвиги параметров могут приводить к структурным изменениям динамических систем. Такие структурные изменения в эволюционных системах являются не исключительными, а, скорее, общими случаями. Для нелинейных неустойчивых систем характерны сложные явления, такие, как регулярные осцилляции и хаос. Даже в относительно простых нелинейных динамических системах может наблюдаться спонтанное образование (из хаоса) сложно организованных структур. Было найдено, что сложно организованные пространственные, временные или пространственно-временные структуры возникают из хаотических состояний, и в таких самоорганизующихся системах вместо устойчивости и гармонии мы обнаруживаем эволюционные процессы, приводящие к еще большему разнообразию и усложнению структур (Николис и Пригожин, 1977, Хакен, 1977, 1983).
Мы покажем, что эти идеи могут быть приложены и к экономике. В современных экономических системах на повестке дня оказались медленные процессы, сменяющиеся резкими, иногда непредсказуемыми переменами. Экономические системы, такие, как рынки труда, кредитно-денежные рынки, урбанистические системы, системы перевозок и связи, характеризуются наличием хаоса.
Все эти хорошо наблюдаемые, запутанные явления не могут быть адекватно объяснены существующими экономическими теориями. Растущее признание значения подобных нерегулярностей — или структурных изменений и хаотических явлений — вызывает фундаментальную потребность в новых теоретических идеях и инструментах, которые могли бы позволить проводить исследования за границами традиционной экономики, базирующейся на теории оптимизации, анализе устойчивости и сравнительной статике. Синергетическая экономика предоставляет новые теоретические рамки и методы, способные удовлетворить эти потребности.
Воодушевленные современными работами математиков и представителей естественных наук в области нелинейных динамических систем, некоторые экономисты приступили к объяснению сложных экономических явлений, вводя в динамический анализ факторы неустойчивости и нелинейности. Эти исследования дали начало новому направлению в анализе экономических явлений.
3 Элементы математической теории динамических систем
Приближение к более глубокому пониманию основных принципов физики связано со все более сложными математическими методами.
Альберт Эйнштейн
Математика—служанка современной науки. Без ее участия вряд ли оказались бы возможны многие из нынешних глубоких проникновении науки в суть природы. С другой стороны, математика живет своей собственной жизнью. Труды Ньютона, Лейбница и фон Неймана являют собой прекрасный пример взаимодействия между математикой и другими науками.
Можно утверждать, что и современная экономика характеризуется применением математики к самым разным своим проблемам. Наиболее полного понимания чисто экономических вопросов нельзя достичь без привлечения математики. Не прибегая к языку математики, было бы трудно объяснить понятия экономического равновесия и неравновесия, устойчивости и неустойчивости, экономически устойчивых состояний и экономического хаоса.
История применения математики в экономике так же стара, как история самой математики. Дифференциальное исчисление использовалось в экономике еще с начала девятнадцатого века (Курно, 1838). Именно благодаря использованию этого аппарата Вальрас (1874) и Парето (1908) сформулировали теорию общего экономического равновесия, которая в период второй мировой войны достигла своей кульминации в «Величине и капитале» Хикса (1939) и «Основах экономического анализа» Самуэльсона (1947). После второй мировой войны широкое применение в экономике нашли такие разделы математики, как выпуклый анализ, топология и др. (Никайдо, 1968, Эрроу и Хан, 1971, Такаяма, 1985, Мак-Колелл, 1985, Андерсон, Эрроу и Пайнс, 1988). В последнее время для исследования экономических эволюционных процессов все шире стали использовать теорию катастроф и теорию бифуркаций. Представляется, что запаздывание во времени между получением
математических результатов и их приложением в экономике имеет тенденцию к сокращению — в самом деле, прежде; чем нашло применение исчисление бесконечно малых, прошло около полутора столетий; а чтобы найти применение теории катастроф и теории бифуркаций, экономистам понадобилось всего несколько лет.
В этой главе обсуждаются некоторые математические методы, потенциально полезные с точки зрения синергетической экономики. Здесь изучаются только такие динамические системы, которые описываются детерминированными обыкновенными дифференциальными уравнениями. Другие типы динамических систем, связанные с пространственными зависимостями и стохастичностью, будут обсуждаться позже.
3.1 Динамика и равновесие
Обыкновенные дифференциальные уравнения широко используются в теории экономической динамики. В общем случае динамические взаимодействия между экономическими переменными, такими, как цены, заработная плата и капитал, описываются системами дифференциальных уравнений. Некоторые динамические задачи приводят к (параболическим) уравнениям в частных производных, но эти типы уравнений мы рассмотрим, когда будем изучать проблемы формирования городских структур. В общем виде динамическая система может быть записана так:
дх
— =*,=/(! ) + /??**, (3.1.1)
где x: = x(r, t) — вектор зависимых переменных, r — расстояние, f (х) — нелинейная вектор-функция от х, a D — матрица диффузии. Например, в упрощенной модели Кейнса, о которой будет речь в разд. 5.3, компонентами вектора х (при D = 0) являются национальный доход и ставка процента. В модели города из разд. 8.4 переменная x(r, t) представляет собой плотность населения и земельную ренту, а r — расстояние от произвольной точки городского пространства до центрального делового района (ЦДР). Таким образом система (3.1.1) может использоваться для описания процесса градоформирования, который отображается динамикой переменной х в пространстве. В дальнейшем мы пренебрежем диффузионными членами. Дифференциальные уравнения в частных производных будут рассмотрены отдельно в гл. 8.
Без учета пространственных зависимостей система (3.1.1) может быть записана как
x=f(x). (3.1.2)
Мы дадим беглый очерк некоторых методов анализа таких уравнений.
За более полным изложением отсылаем читателя, например, к Коддингтону и Левинсону (1955) или к Чу и Хейлу (1982).
Первое основное утверждение относительно таких уравнений известно как теорема Пикара-Коши-Липшица, которая звучит следующим образом:
Теорема 3.1.1. Рассмотрим систему уравнений
x= f(x,t).
Пусть функции f(x, t) удовлетворяют условиям Липшица по всем своим переменным (т. е. непрерывны и ограничены в некоторой замкнутой области, и для всех х, х' из этой области существует такая постоянная L, что
f (x\ t)- f (x, t)|< L^ X
_ x
k| — Прим. перев.). Тогда в окрестности t = t
0
к
существует единственное решение х = x(t), удовлетворяющее начальным условиям x(0). Более того, это решение является непрерывной функцией начальных условий. Если
о = f(x,t,r),
где r — параметр, и каждая функция f в окрестности точки r
0 удовлетворяет условию Липшица равномерно по r и является по r непрерывной, то предыдущие утверждения выполняются во всей окрестности r
0. И сверх того, х = x(t,r) является непрерывной в этой окрестности.
Понятие устойчивости определяется следующим образом.
Определение 3.1.1. (Устойчивость.) Рассмотрим систему dx/dt = f(x, t). Решение х = u(t), определенное на [t
0, да], устойчиво, если для любого заданного е > 0 существует такое Ъ, что если u*(t
0) — произвольный вектор, удовлетворяющий условию

то решение x=u*(t) с начальными условиями x(t
0) = u*(t
0) существует на [t
0, да] и удовлетворяет условию

для всех t > t
0.
Определение 3.1.2. (Асимптотическая устойчивость.) Решение u(t) асимптотически устойчиво, если (а) оно устойчиво и (b) существует р, > 0, такое, что если

то
 |
|
Решение асимптотически устойчиво в целом, если р. может быть выбрано произвольно большим. |
Определение 3.1.3. (Неустойчивость.) Решение u(t) неустойчиво, если для некоторого достаточно малого положительного е и любого 8 > 0 существует решение u*(t), такое, что для некоторого t > t
0 выполняются условия (а)

и (b)
В повседневной жизни можно найти множество примеров, помогающих понять суть явления неустойчивости. Покоившаяся первоначально жидкость, перейдя к макроскопическим колебаниям, тем самым переходит от старого состояния равновесия в новое, теряя, таким образом, свою устойчивость. В условиях физического эксперимента, когда мы изменяем определенные условия, например входную мощность, система может пройти через ряд неустойчивых состояний, приводящих к совершенно различным типам поведения. Сложное неустойчивое поведение можно изучать также на примере динамики обменных курсов валют на экономических рынках.
Определение 3.1.4. (Орбитальная устойчивость.) Решение u(t) автономной системы dx/dt = f(x) является орбитально устойчивым, если для любого данного е > 0 существует 8 > 0, такое, что если
КМ - и*(М| < 6,
то
bfJuM-t^Ke
для любого t > t
0.
Понятия устойчивости и орбитальной устойчивости не следует путать. Для иллюстрации различия на рис. 3.1 приведен следующий пример. Предположим, что С и С' — две орбиты разных периодов. Хотя расстояние между ними остается все время ограниченным, расстояние между двумя точками 1 и 1' на этих орбитах вследствие сдвига фаз, порожденного разностью периодов, с течением времени может увеличиваться. Таким образом, даже если
 |
|
Рис. 3.1. Сравнение понятий устойчивости и орбитальной устойчивости. |
орбита С орбитально устойчива, соответствующее ей решение не обязательно устойчиво.
Все эти определения, сформулированные для dx/dt = f(x,t), справедливы и для автономных систем, когда f(x,t) = f(x).
Точка равновесия автономной системы x
0 определяется из условия f (x
0) = 0. В этом случае х = x
0 является решением исходной системы уравнений. Равновесие является (асимптотически) устойчивым, если решение х = x
0 (асимптотически) устойчиво.
Для иллюстрации этих понятий рассмотрим модель экономического роста Солоу. Эта модель играет важную роль в неоклассической теории экономического роста. Можно сказать, что большинство неоклассических моделей роста являются расширениями и обобщениями пионерских работ Солоу (1956) и Свана (1956) (см. также Занг, 1989).
При построении модели Солоу предполагал, что есть только один вид товара (длительного пользования); рынки сбыта продукции работают бесперебойно; предложение производственных факторов неэластично (т. е. они существенно не понижаются и не повышаются при изменении цен), и все доступные факторы в каждый момент полностью используются. Все сбережения гражданами добровольно сдаются и абсорбируются фирмами для накопления капитала. Существуют два производственных фактора: капитал К и труд L. Технология не подвержена никаким изменениям. Процесс производства описывается некоторой достаточно гладкой функцией
Y=F(K, L), (3.1.3)
где Y — поток продукции, зависящий от конкретных значений К и L. Производственная функция F считается неоклассической, если она удовлетворяет следующим условиям: (1) F(K, L) неотрицательна, если К и L неотрицательны; (2) F(0,0) = 0; (3) приросты функции F
K и f
l неотрицательны; (4) существуют вторые частные производные функции F по К и L; (5) функция однородна первого порядка: F(rK, rL) == rF(K,L) для всех неотрицательных г; (6) функция строго квазивогнута.
Предполагается, что L экзогенно возрастает с Постоянным темпом роста п:
L = L
0exp(nt).
Предполагается также, что постоянная доля s общего объема производства идет на сбережение и, выпадая из сферы потребления, добавляется к суммарному капиталу. Если пренебречь процессом обесценивания капитала, то имеем dK/dt = sY, К(0) > 0. В случае неоклассической функции приходим к соотношению

где k = K/L, f(k)= F(K,L)/L = F(k, 1). Функция f(k) обладает следующими свойствами: f(0) =0, f '(k) > 0 при k>0; f "(k)< 0 при k>0.
Существование решений уравнения (3.1.4) можно доказать. Хорошо известно, что в модели Солоу после определения динамики объема капитала на душу населения может быть рассчитана динамика всех остальных переменных — К, Y, потребления, накопления, заработной платы, суммы арендных платежей.
Теорема 3.1.2. (Существование равновесия.) Если п и s удовлетворяют неравенству

то существует единственное положительное значение k0, такое, что sf(k0)/n = k0.
Доказательство теоремы можно найти, например у Купманса (1965). Фазовую диаграмму модели Солоу при условии (3.1.5) можно представить схематически, как на рис. 3.2.
Следующая ниже теорема доказывает устойчивость равновесия в модели Солоу.
Теорема 3.1.3. (Устойчивость равновесия.) Система Солоу глобально устойчива (Эрроу и Гурвиц, 1958). Более того, в области k > 0 равновесие является асимптотически устойчивым.
Асимптотическая устойчивость может быть доказана с помощью функции Ляпунова V = U
2, где U = k — k
0 (Бурмейстер и Добелл, 1970). Динамику экономического развития можно описать следующим образом: стартуя из любой произвольной точки, экономика всегда равномерно сходится к единственному значению соотношения «капитал/труд» на больших временах. Более того, вдоль равновесной траектории роста капитал возрастает с той же скоростью, что растет численность населения — это простое и красивое следствие модели роста Солоу. Исторический обзор развития этой модели можно найти в Нобелевской лекции Солоу 1987 года (Солоу, 1988).
3.2 Классификация дифференциальных систем второго порядка
Если f(x) = Ах, где А — постоянная числовая матрица, то система dx/dt = Ах называется линейной автономной системой. Известно, что единственная точка равновесия х = 0 устойчива, если для каждого собственного значения матрицы А выполняется условие Re (z) < 0, причем при Re (z) = 0 собственное значение z будет простым. Более того, равновесие асимптотически устойчиво в том и только том случае, если для каждого z выполняется условие Re (z) <0.
Чтобы проиллюстрировать некоторые концепции, развитые к настоящему времени, рассмотрим линейную систему для двух переменных
 |
|
Рис. 3.2. Динамика модели Солоу. |
|
Tjf = = ах + Ьу, |
 |
(3.2.1)
Поскольку система линейна, мы ищем решение в виде
(*,у)
т = (и,и)
техр(г*),
где и и v — константы. Таким образом, имеем
zu=au+bv, zv = cu+dv. (3.2.2)
Система (3.2.2) разрешима, когда ІА - zI\ = 0, где А — матрица системы (3.2.1), т.е. когда z является собственным значением матрицы, а (и, v)
T — соответствующим собственным вектором. Собственное значение определяется из характеристического уравнения
г
2 - Тг + W = 0, (3.2.3)
где
T = а + d, W= ad-bc,
представляют собой соответственно след и определитель матрицы А.
В общем случае уравнение (3.2.3) обладает двумя различными корнями z
1 и z
2. Следовательно, решение системы (3.2.1) имеет вид
х = С] ехр г\і + о exp z->t,
Л (3.2.4)
у = Сі®\ ехр*!* 4- со?тexpz^t,
где c
1, c
2 определяются начальными условиями, а коэффициенты ?
1, ?
2 являются корнями уравнения
Ь?
2 + (а — d)Q — с — 0.
Из этих выражений легко установить, что качественные характеристики решения полностью определяются типом собственных значений. Поскольку собственные значения удовлетворяют квадратному уравнению (3.2.3), имеющему корни z
1 и z
2, можно выделить следующие случаи (см., например, Бриттен, 1986)
3.
I) Пусть z
1 и z
2 действительны и различны и имеют один и тот же знак. Тогда равновесие устойчиво, если они отрицательны, и неустойчиво — если положительны. В этом случае точка равновесия называется устойчивым или неустойчивым узлом. Траектории имеют форму, показанную на рис. 3.3.
II) Если z
1 и z
2 — действительны и имеют разные знаки, равновесие называется седловой точкой или седлом. Соответствующие траектории показаны на рис. 3.4.
III) Пусть z
1 и z
2 комплексно сопряжены. В этом случае Re(z
1) = Re (z
2) = Re (z). Благодаря мнимой части собственных значений траектории на фазовой плоскости будут охватывать точку равновесия. Если Re (z) < 0, они будут двигаться по спирали к
См. также Арнольд В. И. Обыкновенные дифференциальные уравнения, М.:, Наука, изд. 3, 1984, 272 с. — Прим. ред.
 |
|
Рис.3.3. Два собственных значения действительны и имеют один и тот же знак, (а) устойчивый узел, (b) неустойчивый узел. |

равновесию, как показано на рис. 3.5а, а в случае Re(z) > 0 — в направлении, противоположном равновесию, как на рис. 3.5b. Такое равновесие называется устойчивым либо неустойчивым фокусом. Если Re(z) = 0, имеем предельный случай — центр, вокруг которого траектории замыкаются, как показано на рис. 3.6.
IV) Теперь рассмотрим случай двух равных собственных чисел. Без потери общности можно считать а = d и bc = 0. Если это условие не выполняется, исходную систему можно привести к данной форме линейным преобразованием или поворотом осей на фазовой плоскости. В рассматриваемом случае имеются две возможности. Первая b = с = 0. Этот случай показан на рис. 3.7. Вторая возможность — b (или с) равно нулю (рис. 3.8). Оба равновесия относятся к типу узел.
V) Последняя возможность состоит в том, что одно (или оба) собственных значения равны нулю. В этом случае матрица А сингулярна, существует нетривиальное решение А(х, у) = 0, и все точки q(x,y)
T являются равновесиями (где q —действительная константа). Следовательно, в этом случае нуль не является больше изолированной особой точкой.
Следует заметить, что классификация этих случаев в соответствии со значениями Т и W дана в книге Николиса и Пригожина (1977).


Подобным образом могут быть проанализированы и системы больших размерностей.
3.3 Принцип устойчивости по линейному приближению
Поскольку, как правило, нас интересует устойчивость частного решения уравнения
J = /(*), (3-3.1)
обычно бывает удобно рассматривать поведение таких уравнений в окрестности отдельного «исходного» состояния (например, в окрестности положения равновесия х
0). Мы можем рассматривать произвольное решение x(t) как некоторое невозмущенное решение u(t), которое подвергается непрерывно действующему внешнему возмущению или внутренней флуктуации X(t). Это вызывает сдвиг решения u(t) к новому решению
x(t) = u(t) + X(t) (3.3.2)
Соотношение (3.3.2) определяет новую систему координат в фазовом пространстве с центром не в точке (0,...,0), а в новой точке и. Рассмотрим случай, когда и — это стационарное равновесное решение х
0. Исходную систему можно переписать в виде
X=g(X)=AX+N(X), (3.3.3)
где А — матрица, N(X) = о(Х) при Х ^ 0, (т.е. при |х|^ 0 выполняется IN (X)l / IXI ^ 0). Слагаемое N(X) представляет собой нелинейный член уравнения. Здесь предполагается, что д(Х) достаточно гладкая функция, допускающая такое представление, и , g(0) = 0.
Устойчивость исходного положения равновесия х
0 связана теперь с устойчивостью «тривиального решения» Х = 0. Следующий ниже широко известный результат иллюстрирует соотношение между устойчивостью нелинейной системы и соответствующей ей линеаризованной системы.
Теорема 3.3.1. Линеаризованная система, полученная из (3.3.3), имеет вид

Если матрица А такова, что (а) все собственные значения имеют отрицательную действительную часть, или (б) по крайней мере одно собственное значение имеет положительную действительную часть,
то в достаточно малой окрестности нуля устойчивость тривиального решения нелинейной системы (3.3.3) имеет тот же характер, что и устойчивость тривиального решения линеаризованной системы (3.3.4). Однако если линеаризованная система имеет одно или более собственных значений с нулевой действительной частью и не имеет собственных значений с положительной действительной частью, то нелинейная система будет устойчива, неустойчива или асимптотически устойчива в зависимости от своих нелинейных членов.
Доказательство теоремы можно найти, например, у Коддингтона и Левинсона (1955) и у Эрроусмита и Плейса (1982).
Мы не будем останавливаться на условиях устойчивости линейных систем, так как их можно найти в любом стандартном учебнике по дифференциальным уравнениям.
Чтобы проиллюстрировать приложение сформулированных выше концепций к экономике, мы рассмотрим модель экономического роста, учитывающую денежное обращение. Поскольку эта модель будет встречаться в книге и дальше, мы дадим здесь ее подробный анализ (см. Занг, 1989).
Ниже предполагается, что производственная функция идентична той, что использована в модели Солоу. Предполагается также, что благосостояние населения может обеспечиваться несколькими взаимоисключающими путями. Деньги, бесплатно генерируемые (вводимые в оборот) правительством, служат мерой. Деньги требуются для проведения сделок и инвестиции. Спрос на деньги зависит от распределения доходов и благосостояния населения. Однако для простоты мы предположим, что денежный спрос на душу населения является функцией дохода на душу населения, благосостояния на душу населения и прибыли, ожидаемой при данном вложении капитала. Предполагается, что денежный рынок всегда находится в равновесии, т. е. спрос на деньги всегда равен предложению. Предполагается также, что функция спроса на деньги имеет следующий вид:
т — G{y,w,r), (3.3.5)
где т (=M/L, где М — объем денежных запасов, a L — трудовые ресурсы) — это объем денежных запасов, приходящийся на душу населения, G — непрерывная функция своих аргументов, у — производство продукции на душу населения, w (= pk + т, где р — цена) — это благосостояние в денежном эквиваленте . на душу населения, а r — ожидаемый приток денег на капитал (r = f(k) — d+ E[dp/dt/p], где k
— капитал, приходящийся на душу населения, d — скорость амортизации, E[dp/dt/p]
— ожидаемая скорость инфляции). Следуя традициям кейнсианства, считается, что деньги предназначены для удовлетворение операционного и спекулятивного спроса, а функция G/p = g (k,r) не является однородной по к.
Реальное благосостояние W и реальный располагаемый доход Y
d определяются соответственно как
W=K+M/p,
Yd = F(K, L) - dK + d(M/p)/dt.
Поскольку F(K, L) = С + dK + dK/dt, где С —потребление, имеем Y
d = dW/dt + С. Таким образом, реальный чистый располагаемый доход равен изменению реального благосостояния плюс реальное потребление. Предполагается, что реальное потребление составляет всегда фиксированную долю от реального чистого дохода С = cY
d, 0 < с < 1, где с — предельная склонность к потреблению. На основе этих предположений получаем dW/dt = sY
d, где s = (1 — с). Количество денег в реальных ценах на душу населения определяется как х = M/pL. В соответствии с этими предположениями имеем

(3.3.6)
где п — фиксированная скорость роста населения, а г — постоянная скорость роста номинальных денежных накоплений. Параметр г фиксируется правительством.
Для того чтобы задать динамику роста цен, давайте сделаем наивное предположение, что инфляционные ожидания всегда соответствуют реальной инфляции E[dp/dt/p] = dp/dt/p. Таким образом, имеем dp/dt = p[r - f(k) + d]. С другой стороны, из условия равновесия (3.3.5), мы можем определить г как функцию к и х: г = и(к, х), где г/д > 0, и
х < 0. В результате динамика цен определяется соотношением
I = и(к,х)~ f (к)+ d,
г
с учетом которого (3.3.6) можно переписать как
(3.3.7)
где ? = г - d- п.
Для капитала несложно получить следующее уравнение:
к = sf(k) — (п 4- sd)k — c[z - p/p)х =
= sf(k) - (л + sd)k - c[f‘(*) — d + г - и(к, г)] х.
(3.3.8)

Система, состоящая из уравнений (3.3.7) и (3.3..8), носит название модели Тобина (см. Занг, 1989). Из сказанного следует, что наше рассмотрение ограничено лишь той областью значений параметров задачи, которые имеют смысл с точки зрения экономики. Это, кроме прочего, означает, что при надлежащих условиях может быть гарантировано существование единственного положительного равновесия (Бурмейстер и Добелл, 1970). В положении равновесия скорость изменения цен может быть положительной, отрицательной или нулевой в зависимости от знака (r — п). Можно показать, что равновесное значение к в случае отсутствия денег (х = 0) больше, чем равновесное значение отношения «капитал/труд» при наличии денег. Точка равновесия является седлом. Иллюстрацией поведения системы вблизи равновесия может послужить рис. 3.9.
Эти выводы легко проверить, применяя описанные выше аналитические результаты.
3.4 Прямой метод Ляпунова
Исследование устойчивости, основанное на системе линеаризованных в окрестности равновесия уравнений, приводит к необходимости прямого интегрирования этой системы. Для систем, содержащих множество экономических переменных, это зачастую не лучший выход из положения, особенно когда упомянутое равновесие явно зависит от времени и/или пространственных переменных.
В противоположность этому методу метод, известный как второй (или прямой) метод Ляпунова, обеспечивает нас условиями устойчивости, которые (а) не требуют интегрирования линеаризованной системы, (б) приложимы к решениям любого типа, включая явно зависящие от времени и/или пространственных переменных, и непосредственно применимы к нелинейным системам, подобным (3.1.1). Следует заметить, что для случая, когда нелинейные члены существенны для определения равновесия, мы располагаем очень небольшим числом теорем общего характера, так что обычно необходимо рассматривать каждую новую систему отдельно. Именно поэтому теорема Ляпунова в теории устойчивости играет особенно важную роль. Этот метод находит широкое применение и в экономике (см., например, Эрроу и Хан, 1971).
Определение 3.4.1. (Функция Ляпунова.) Функция V : R
m ^ R называется положительно определенной, если (а) V(0) = 0 и (б) V > 0 во всех остальных точках из некоторой открытой области GeR
m содержащей нулевую точку. Для любого решения х = x(t) уравнения dx/dt == fx) функция V(x) = V(x(t)) зависит от времени t, и ее полная производная определяется как

при достаточно гладкой функции V. Функцией Ляпунова V : R
m ^ R системы уравнений dx/dt = f(x) называется положительно определенная функция, обладающая непрерывными производными, такими, что dV/dt < 0 на G для любого решения х системы dx/dt = f(x).
Теорема 3.4.1. Если для системы (3.3.1) при f(0) = 0 существует функция Ляпунова, то равновесие в нуле является устойчивым.
Теорема 3.4.2. Если функция Ляпунова существует и - dV/dt положительно определена, то нуль асимптотически устойчив.
Теорема 3.4.3. Равновесие x = 0 неустойчиво, если существует положительно определенная функция V системы уравнений dx/dt = f(x), которая в нуле обращается в нуль (V(0) = 0), а в окрестности нуля обладает конечной производной и удовлетворяет соотношению V(dV/dt) > 0.
Доказательство этой теоремы можно найти у Коддингтона и Левинсона (1955) или Эрроусмита и Плейса (1982).
В качестве примера рассмотрим систему = у + гЛ(і,у),
(3.4.1)
= ~x + yh(x,y),
где h непрерывна вблизи нуля и h(0, 0) = 0. В нуле линеаризованная система обладает особой точкой типа центр. Рассмотрим функцию V(x, у) = х
2 + у
2. Эта функция положительно определена, и имеет место соотношение dV/dt = 2Vh(x,y). Следовательно, если h является отрицательно определенной функцией, то нуль в некоторой своей окрестности является асимптотически устойчивым, а если положительно определенной — то нуль неустойчив. Этот результат носит нелокальный характер.
Воспользуемся прямым методом Ляпунова для доказательства устойчивости процесса самопроизвольного установления цен в модели Эрроу-Дебрэ. Следующий ниже пример основан преимущественно на работе Хана (1982).
Предположим, что экономическая система работает на производство N видов товаров и включает в себя Н домашних хозяйств и F фирм-производителей.
Определим x
h е R
N как вектор торгового сальдо хозяйства h; x = I ^
h
Аналогично, у
f е R
N представляет собой вектор активности фирмы f где положительные компоненты означают выпуск продукции, а отрицательные —
использование ресурсов: y = I y
f .
f
Пусть z — вектор совокупного избытка спроса, a s — вектор совокупного избытка предложения, определяемые как
z = x-y = -s. (3.4.2)
Пусть для удобства Z, X, Y и S обозначают векторы z, х, у и s без первой компоненты. Пусть р е R+!. — вектор цен, а Р — вектор, равный (l/p
1)p без первой компоненты. Предполагается, что p
1 > 0. Вклад h-ого хозяйства в потребление запишем как w
h е R+!. Определим
цГ = У?, Ш* = (иг
1, . . ., W
N).
h
Мы рассматриваем экономики, обладающие непрерывно дифференцируемыми функциями избыточного спроса (предложения). Хорошо известно, что в случае рационального поведения потребителей и производителей избыточные предложение и спрос можно определить как функции р и т*, т.е. s = s(p,w*) и z = z(p,w*).
Они являются однородными функциями по р и подчиняются закону Вальраса
(3.4.3)
s(p, ш‘) = s(l,P,w*), ps(p, tu*) = 0, ?рбЯ+.
Пусть {D = р\р > 0, ^ p
i = l}, и пусть G — граница области D.
І
Определение 3.4.1. (Равновесие.) Точка р* е D\G является равновесием, если для каждого i (I) функция s
i (р*, w*) неотрицательна и (II) p*
is
i (p'*,w*) = 0.
При соответствующих условиях существование единственного равновесия гарантируется. Рассмотрим следующий случай динамики цен:

Можно доказать, что решение (3.4.4) ограничено. Определим
(3.4.5)
^(р) = ?
(Р. -Р.')
2
А.
По закону Вальраса имеем dV/dt = 2p*s(p). Можно доказать, что если все товары обладают свойством валовой заменимости, то p*s(p) < 0, при р не равном kp* для к > 0. Таким образом, получен следующий результат:
Теорема 3.4.4. Если все товары обладают свойством валовой заменимости, то при условии (3.4.5) единственное положение равновесия системы (3.4.4) является глобально асимптотически устойчивым
4.
Описанный выше процесс установления можно обобщить (Хан, 1982). Кроме того, в литературе можно найти множество других разнообразных примеров аналогичных процессов установления (см. Эрроу и Хан, 1971).
'См. подробнее Ланкастер К., Математическая экономика, М.: Советское Радио, 1972. — Прим. ред.
3.5 Структурная устойчивость
Развитая выше концепция устойчивости отвечает на вопрос, каким образом динамическая система реагирует на возмущение начальных условий. Однако иногда нас интересуют свойства функциональной формы динамической системы. Например, бывает важна информация об устойчивости самой функции предложения денег. Качественные свойства функций находят отражение в концепции структурной устойчивости.
Мы строим экономические модели, чтобы объяснить реальные явления. Однако результат может оказаться весьма чувствительным к малейшим изменениям модели. В этом случае произвольно малое изменение модели приводит нас к другой модели с существенно отличными свойствами. Чтобы проиллюстрировать концепцию структурной устойчивости, обратимся к хорошо известной биологической модели «хищник-жертва», которую ряд авторов рассматривал в приложении к экономике. Система «хищник-жертва» состоит из двух дифференциальных уравнений следующего вида:
(3.5.1)
В литературе по динамике городов эта модель используется для описания динамики малых городских ареалов (Дендринос и Муллалли, 1983, Занг, 1988с). Переменная х в (3.5.1) означает плотность землепользования, у — земельную ренту, а в х
1, у
1 — некоторые параметры. Система описывает простую модель спроса-предложения спекулятивной земельной ренты с учетом будущих процентов при частично совпадающих ожиданиях со стороны землепользователей и землевладельцев.
Другое приложение модели этого типа к экономике дано Гудвином (см. также Габиш и Лоренц, 1986). Поскольку система «хищник-жертва» будет не раз упоминаться и далее, представляется полезным описать модель Гудвина более детально.
Модель Гудвина построена для описания классовой борьбы. Рассмотрим два типа граждан: рабочих и капиталистов. Рабочие тратят весь свой доход wL на потребление, капиталисты накапливают свой доход Y — wL, где Y — продукция производства. Цена потребительских товаров отнормирована к единице. Пусть К означает капитал, а = а
0 ехр(дО = Y/L — производительность труда, возрастающую с постоянной скоростью g, k = K/Y — коэффициент капиталоемкости продукции, а N =N
0 exp(nt) —предложение на рынке рабочей силы, которое увеличивается с темпом роста п. Доля затрат на оплату труда по отношению к национальному доходу составляет wL/Y = w/a. Следовательно, доля прибыли капиталистов составляет 1 - w/a. Поскольку сбережения определены как S == Y —wL = (1 — w/a)Y, доля инвестиций составляет dK/dt = S = (1 - w/a)Y или (dK/dt)/K = (1 - w/a)/k, причем выбытием капитала мы пренебрегли. При постоянном значении капиталоемкости к получаем, что YdKZdt = KdY/dt. Итак, в силу
dY/dl dL/dt

и (dK/dt)/K = (1 -w/a)/k получим (dL/dt)/L = (1 - w/a)/k - g. Вводя новые переменные — долю затрат на оплату труда, у = w/a, и коэффициент занятости х = L/N, можно показать, что

где (da/dt)/a = g, Будем считать ставку заработной платы быстрой переменной, которая определяется в соответствии с кривой Филлипса, т.е.
/' >0.
lim f(x) = -boo,
X—¦ 1
lim/(x) < 0,
x—f 0
Линейная аппроксимация этого соотношения (dw/dt)/w = —r + bx приводит нас к (dy/dt)/y = -r +bx - g. Таким образом, нами получена модель Гудвина в следующем виде:

Очевидно, что модель Гудвина совпадает с моделью (3.5.1). Все выводы общего характера, справедливые для системы (3.5.1), справедливы и для модели Гудвина. Формальное сходство модели Гудвина с моделью Лотки-Вольтерра «хищник-жертва» позволяет установить аналогию между явлениями классовой борьбы и борьбой биологических сообществ
. Модель Гудвина, учитывая взаимодействие между уровнем занятости и законодательно установленной долей отчислений на оплату труда, весьма напоминает классические модели политической экономии. Называемая иногда неомарксистской моделью, она вновь привлекла внимание к трудам экономистов-классиков, таких, как Рикардо, Смит и Маркс. Современные обобщения данной модели принадлежат, например, Десаи (1973), Велупиллаи (1978), Шаху и Десаи (1981), Ван дер Плюгу (і9в3, 1987), Флашелю (1984) и Зангу (1988а).
Обсуждаемая модель очень проста и может привести к осцилляторным эффектам. Однако ее приложения ограничены в силу ее структурной неустойчивости. Как известно, в этом случае даже малые изменения функциональной формы будут влиять на качественные свойства системы. Таким образом, предложенная модель не может быть перенесена на реальные изучаемые явления, потому что, строя модель реальной ситуации, мы идеализируем и упрощаем ее, так как все входящие параметры известны нам лишь приближенно. Естественно, далее возникает вопрос, каким образом выделить те свойства модели изучаемого явления, которые не будут слишком чувствительны к малым изменениям модели, и следовательно, могут рассматриваться как свойства реального процесса.
На такие свойства указывает нам понятие структурной устойчивости.
Хотя фундаментальные идеи концепции структурной устойчивости принадлежат Пуанкаре, современный вид они приобрели в работах Андронова и Понтрягина 1937 года. Значительного прогресса в теории структурной устойчивости для фазовых пространств малой размерности добился Смейл (1967). Он показал, что для фазовых пространств больших размерностей существуют системы, в окрестности которых нет структурно устойчивых систем. Этот результат означает, что проблема полной топологической классификации дифференциальных уравнений в многомерном фазовом пространстве безнадежна, даже если ограничиться только типовыми уравнениями и только невырожденными случаями.
Чтобы пояснить идею структурной устойчивости, рассмотрим на некотором многообразии М дифференциальное уравнение dx/dt = f(x), где f принадлежит заданному векторному полю.
Определение 3.5.1. Говорят, что две системы топологически орбитально эквивалентны, если существует гомеоморфизм фазового пространства первой системы на фазовое пространство второй, переводящий ориентированные фазовые кривые первой системы на ориентированные фазовые кривые второй системы. При этом не требуется никакой координации движения соответствующих фазовых кривых.
Определение 3.5.2. Пусть М — компактное многообразие (класса C
кЛ, к > 0). Пусть f — векторное поле класса к (если М обладает границей, то предполагается, что f не касательно к ней). Система (М, f) называется структурно устойчивой, если в пространстве С
1 существует такая окрестность f, что каждое векторное поле, лежащее в этой окрестности, определяет систему, которая топологически орбитально эквивалентна исходной, и гомеоморфизм эквивалентности близок тождественному гомеоморфизму.
Система, которая не удовлетворяет условиям структурной устойчивости, называется структурно неустойчивой. В этом смысле система (3.5.1) является неустойчивой. Приведем еще один пример структурно неустойчивой системы. Движение маятника с трением описывается уравнением d
2x/dt
2 = dy/dt = —х — гу. Если г = 0, то все фазовые кривые замкнуты. Если г > 0, они наматываются по спирали на точку х = у = 0, которая представляет собой изолированную особую точку. Следовательно, если коэффициент трения был равен нулю, его малое изменение качественно изменяет характер поведения фазовых кривых. Если коэффициент трения был отличен от нуля и положителен, качественного изменения общей картины не наблюдается.
Мы можем дать еще более простое пояснение этого понятия, которого, впрочем, для нас будет вполне достаточно. Система dx/dt = f(x) является структурно устойчивой, если для достаточно малых возмущений р(х) существует гомеоморфизм, переводящий траектории dx/dt = f(x) в траектории dx/dt = f(x) +р(х).
Обозначим через М внутреннюю область замкнутой кривой, не имеющей касаний с рассматриваемыми векторными полями, и пусть G — множество всех этих векторных полей C
k. Справедлива следующая теорема:
Теорема 3.5.1. Функция f(x) в G структурно устойчива в том и только том случае, если каждая точка равновесия и каждая периодическая орбита имеют гиперболический тип, и между седловыми точками нет соединений. Множество структурно устойчивых систем является открытым и плотным в G.
Эти идеи, как и теорема 3.5.1, принадлежат Чу и Хейлу (1982)
6. Теорема формулирует необходимое и достаточное условие структурной устойчивости динамической системы. Однако применить эти результаты в реальной ситуации не так-то просто, поскольку выполнение условий теоремы трудно проверить.
’См. также Андронов, Понтрягин (1937) и Арнольд (сноска в разд. 3.2). — Прим. ред.
3.6 Консервативные системы
В этом разделе мы определим понятие консервативной системы, изучим свойства таких систем и покажем, какова связь между консервативностью системы и ее структурной устойчивостью.
Рассмотрим динамическую систему dx/dt = f(x). Фундаментальным свойством консервативной системы является существование такой функции зависимых переменных системы, которая является константой уравнений движения и играет роль «энергии». Система является консервативной, если существует функция G(x), называемая первым интегралом или просто интегралом системы, такая, что
d.Xi dG frf dt дхі
dG( х) dt
Пользуясь физической терминологией, можно сказать, что консервативные системы характерны тем, что в процессе эволюции элемент «объема» в фазовом пространстве изменяет только форму, сохраняя свою величину
, тогда как для диссипативных систем объем с течением времени уменьшается. Это различие проиллюстрировано на рис. 3.10. В диссипативных системах траектории притягиваются к неподвижной точке, и фазовый объем сжимается, а в консервативных — точки обращаются вокруг эллиптической неподвижной точки, сохраняя фазовый объем.
 |
|
Рис. 3.10. (а) Диссипативные системы, (b) консервативные системы. |
Будем называть систему обыкновенных дифференциальных уравнений dx/dt = f(x,t), x eR
n диссипативной, если существуют такие числа R > 0 и t
1 > 0, что для всех решений х(.) системы из условия | x(0) | < R всегда следует любой момент времени t > t
1. Для диссипативных систем мы имеем следующую важную теорему:
Утверждение. Диссипативная система dx/dt = f(x,t), x е R
n имеет периодическое решение периода р > 0, если (I) функция f ^-периодична по t, и (II) для каждого начального значения х
0 е R
n существует единственное решение x(.), такое, что х(0) = x
0, x(t) определено в любой момент времени t е [0,®) и непрерывно по x
0.
Доказательство. Чтобы доказать это утверждение, воспользуемся следующей теоремой о неподвижной точке, принадлежащей Брауэру.
Пусть А : Х ^ Х — компактный оператор на R
n (где Х односвязно). Предположим, что для некоторого заданного натурального т множество A
m(X) ограничено. Тогда А имеет неподвижную точку.
Построим оператор сдвига А : R
n ^ R
n вида Ах
0 = х(р). Здесь х(.) — решение системы. Тогда A
mx
0 = х(тр). Множество G определим как G = {x е R
n: Ixl < R}. Таким образом, A
mx
0e G при всех x
0, принадлежащих замыканию G, и достаточно больших т. Следовательно, А имеет неподвижную точку, которой соответствует искомое периодическое решение.
Как правило, консервативные системы обладают периодическими решениями и благодаря этому широко используются для моделирования явлений, подобных осцилляциям популяций хищников и жертв, взаимосвязи городской земельной ренты и интенсивности землепользования, безработицы и динамики экономического роста, и т. д.
Чтобы показать, что система (3.5.1) консервативна, проведем следующее преобразование:



При этом система (3.5.1) перепишется как
(3.6 1)
^ = ег?(и — 1).
Легко найти первый интеграл этой системы:
G[u, ?) = <r(u — log и) -f v — log r = A,
где А — константа. Поскольку при движении вдоль траектории, представляющей решение системы, G(u, ?) не меняется, эти траектории определяются уравнением G(u,v) = А и значением константы А. Из этого немедленно следует, что особая точка
(1,1) не может быть устойчивым фокусом. Если бы это было не так, то все кривые в ее окрестности устремлялись бы к этой точке, и, как следствие, имело бы место G(u, ?) = G(1, 1) в силу непрерывности функции д. Но это означает, что в окрестности точки (1,1) функция G постоянна, что противоречит ее определению. Из тех же соображений следует, что не существует ни устойчивых, ни неустойчивых предельных циклов с центром в точке (1,1). Все траектории, берущие начало в положительном квадранте, ограничены, так что остается единственная возможность — когда фазовая плоскость покрыта замкнутыми траекториями с центром в особой точке, причем разным траекториям соответствуют различные значения энергии G(u,v). Следовательно, модель орбитально устойчива, хотя и неустойчива асимптотически.
При всякой попытке моделирования мы вынуждены пренебрегать какими-то эффектами. Однако нужно быть уверенным, что такое: пренебрежение не окажет сколько-нибудь серьезного влияния на окончательное решение. То есть чтобы модель хорошо отражала проблему, необходимо потребовать ее структурную устойчивость
8.
Чтобы показать, как малые возмущения влияют на поведение системы (3.6.1), давайте прибавим к первому уравнению член -пс. Получим
Ж = «(1 - ?) - ги
2
(3.6.2)
Ж = *»(*» ~ 1)-
Если параметр r бесконечно мал, естественно требовать, чтобы он не оказал значительного влияния на решение исходной системы. Однако анализ собственных значений линеаризованной системы показывает, что равновесие в точке (1,1 - г) является устойчивым фокусом, и, следовательно, устойчивым фокусом расширенной нелинейной системы, каким бы малым ни было г. Фактически функция V(u,v) = o(u — logu) + v — (1 — r) log v является глобальной функцией Ляпунова системы (в положительном квадранте). Решение новой системы по спирали наматываются на равновесие, и такая система больше не может использоваться для моделирования осцилляции городской динамики.
Общая теория возмущений в приложении к системе (3.6.1)
$ = <rv(u -l)-efi{u,v),
Существование первых интегралов может быть предусмотрено в исходной постановке (как, например, в задачах небесной механики). — Прим. ред.
где f
i (i = 1,2) — функции возмущения, изученные Фридманом и Вальтманом (1975). Используя теорему о неявной функции, они доказали, что даже если е произвольно мало, для некоторых функций f возможно появление устойчивых (и неустойчивых)
9
циклов, которые качественно отличны от исходного периодического решения .
Консервативные системы хороши тем, что, как правило, поддаются анализу, но в качестве моделей реальных систем имеют ряд больших недостатков — поскольку все консервативные системы структурно неустойчивы (Бриттон, 1986), их нужно использовать крайне осторожно.
В заключение приведем пример консервативной экономической модели, предложенной Андерссоном и Зангом (1988а). Модель строится в рамках системы Леонтьева «затраты-выпуск». Экономика состоит из n секторов, не имеющих объединенных производств. Скорость роста экономики регулируется правительством. Модель описывает динамику цен и производства системой уравнений

(3.6.3)
= р- А
тр- д(р, х)В
тр,
где р=(р
1,.. . ,p
n)
T - «нормированный» вектор цен, х=(хц..., х
п) -«нормированный» выпуск продукции, A = (a
ij) и В = (b
ij) — матрицы технологических коэффициентов и коэффициентов инвестиций соответственно. Функция д(р,х) в (3.6.3) описывает скорость экономического роста системы. Скорость роста определяется правительством, которое максимизирует функцию «социальной» полезности, воздействуя на технологические мощности.
Уравнение цен в (3.6.3) означает, что если спрос на i-ый товар превышает предложение этого товара, то цена i-ого товара должна возрасти, и наоборот. Уравнение учитывает поведение потребителей. В количественном выражении это соответствует тому, что если общая себестоимость единицы i-ой продукции превышает цену продажи этого товара, то в i-ом секторе объем производства должен быть уменьшен, чтобы уменьшить потери.
Теорема 3.6.1. Динамическая система (3.6.3) является консервативной.
Доказательство. Легко убедиться, что функция

играет роль первого интеграла системы.
Заметим, что Андерссоном и Зангом (1988а) предложены и более общие динамические процессы установления, но останавливаться здесь на них мы не будем.
В заключение отметим также, что хотя консервативные системы не обладают аттракторами в фазовом пространстве, т.е. не имеют ни притягивающих неподвижных точек, ни притягивающих предельных циклов, ни «странных» аттракторов, все же и здесь мы обнаруживаем «хаос» с положительной К-энтропией, т.е. в фазовом пространстве присутствуют «странные», «хаотические» области, но они не являются областями притяжения и могут тесно переплетаться с областями регулярности таких систем (см. Шустер, 1988). Однако в нашей книге мы не будем затрагивать этих весьма сложных проблем.
3.7 Теория бифуркаций
Математические открытия, малые и большие, ... никогда не рождаются спонтанно. Их появление всегда предполагает, что почва была обильно засеяна семенами предварительных знаний и хорошо подготовлена процессом как сознательной, так и подсознательной работы.
Анри Пуанкаре
Основное назначение этого раздела — введение некоторых понятий теории бифуркаций.
Различают два аспекта теории бифуркаций: статический и динамический. Статическая теория бифуркаций имеет дело с изменениями, возникающими в структуре множества нулей функций при изменении параметров, входящих в эти функции. В случае дифференциальных уравнений равновесные решения являются нулями векторного поля, следовательно, и к ним непосредственно применимы методы статической теории бифуркаций. Динамическая теория бифуркаций изучает изменения, которые возникают в структуре решений дифференциальных уравнений при изменении параметров векторного поля.
Изменение качественных свойств может означать и изменение свойства устойчивости исходной системы, и, следовательно, в этом случае система должна обладать еще каким-то состоянием, отличным от исходного. Не давая строгих определений, скажем лишь, что значения параметров, при которых имеют место такие качественные изменения, называются бифуркационными. Для полного понимания поведения системы знание ее бифуркационных параметров абсолютно необходимо. Рассмотрим следующее эволюционное зфавнение:
§ = /(*, г). (3.7.1)
где х определено в некотором пространстве, r представляет собой вектор параметров, а f— вектор-функция, удовлетворяющая определенным требованиям. У него могут быть решения различных типов — (I) постоянные, (II) периодические, (III) субгармонические, (IV) асимптотически квазипериодические и т.п.
Рассмотрим случай равновесия f(x,r) = 0. Если особо не оговорено, далее всегда будем предполагать, что f дифференцируема столько раз, сколько это необходимо. Положение равновесия мы можем рассматривать как функцию параметров. При заданном наборе параметров уравнение часто может иметь не одно, а несколько положений равновесия, и основной вопрос, который мы здесь намерены обсудить, состоит в том, как равновесие зависит от параметров задачи.
Пусть для удобства x и r принадлежат R
1. Бифуркационная (статическая) задача эквивалентна исследованию кривых f(x,r) = 0 и их особых точек. Основным инструментом доказательства существования решений в теории бифуркаций является теорема о неявной функции для векторнозначных функций многих переменных (см., например, Чу и Хейл, 1982). В одномерном случае эту теорему можно сформулировать следующим образом:
Лемма. (Теорема о неявной функции в R
1.) Пусть fx
0,r
0) = 0 и f принадлежит классу С
1 в некоторой открытой окрестности точки (x
0,r
0) на плоскости (x,r). Тогда если f
x Ф0, то существуют такие а, в >0, что (I) всякий раз, когда x
0 - в < х < х
0 + в и r
0 - а < r < r
0+ а, уравнение f(x, r) = 0 имеет единственное решение х = x(r), и (II) существует x
r(r), причем x
r(r) = -f
r(x(r)/f
x(x(r),r).
Можно провести следующую классификацию точек, принадлежащих кривым решений (см. Йосс и Джозеф, 1980, Бриттон, 1986).
Определение 3.7.1. (Одномерный случай.)
i Регулярной точкой (x
0,r
0) для f(x, r) = 0 называется точка, в которой либо f
x Ф 0, либо f
r Ф 0. Регулярной точкой поворота называется такая регулярная точка, в которой r
x(х) изменяет знак. На рис. 3.11a представлен случай f
x = 0 при f
r Ф 0 в точке Р.
ii Особая точка — это нерегулярная точка состояния равновесия, в которой
fr = fx = 0.
iii Точкой бифуркации называется такая особая точка, через которую проходят две или более ветвей решения уравнения f(x,r) = 0.
iv Двойная точка — это такая особая точка, через которую проходят две и только две ветви решения уравнения f(x,r) = 0, имеющие разные касательные, причем все вторые производные от f в этой точке не обращаются в нуль одновременно. Двойной точкой поворота называется двойная точка, в которой на какой-либо из ветвей производная r
x изменяет знак (рис. 3.11b).
v Точка самоприкосновения — это точка соприкосновения второго порядка
двух ветвей кривой (рис. 3.11с).
vi Сопряженной точкой называется изолированная особая точка кривой f(x,r) = 0.
vii Особой точкой высшего порядка называется особая точка, в которой все три вторые производные функции f(x, r) обращаются в нуль.
двойная точка поворота, (с) точка самоприкосновения.
Рис. 3.11. Классификация бифуркаций: (а) регулярная точка поворота, (Ь)
Теория бифуркаций изучает вопросы существования и устойчивости равновесных решений, так как в реальной ситуации неустойчивых равновесных решений уравнений не наблюдается. Скажем здесь еще, что между нарушением устойчивости и бифуркацией существует тесная связь. За более строгим изложением теории бифуркаций отсылаем читателя к книгам Саттингера (1973), Йосса и Джозефа (1980) или Чу и Хейла (1982)
. Ниже для иллюстрации понятия бифуркации приведем несколько примеров.
|
Рис. 3.12. Бифуркационная диаграмма уравнения (3.7.2). |
 |
Рассмотрим уравнение
dx 4 п \
— = rx-x'=f(x,r).
(3.7.2)
Его бифуркационная диаграмма представлена на рис. 3.12, где сплошной линией обозначена устойчивая ветвь, а пунктиром — неустойчивая.
Для уравнений

точка r = 0 является точкой бифуркации фазового потока (рис. 3.13). От равновесного решения (0,0) ответвляется периодическая орбита х
2 + у
2 = г, при этом происходит изменение характера устойчивости, как показано на рисунке. Этот тип бифуркации (бифуркация Хопфа) является следствием проявления динамических свойств системы. Для уравнений

точка r = 0 является точкой бифуркации с траекториями, представленными на рис. 3.14 (см. Чу и Хейл, 1982). Точка равновесия (0,1) изменяет свои свойства устойчивости при переходе r от отрицательных к положительным значениям. Рассмотрим уравнения



где b > 0, с > 0, Ьс > 1, d Ф 0 — фиксированные параметры, а и и v — бифуркационные параметры, изменяющиеся в окрестности нуля. Следующая ниже теорема дает полное описание бифуркаций, которые возникают в этом уравнении (см. Чу и Хейл, 1982).
Теорема 3.7.2. Существует такая окрестность U точки (х,у) = (0,0) и такая окрестность V точки (u,v) = (0,0), что при выделении в окрестности V подобластей, как показано на рис. 3.15, в которых поток системы в квадранте х > 0, у > 0 имеет вид, изображенный на рис. 3.16, для любых точек (и, v) в подобласти между L'
2 и L"
2 имеется по крайней мере одна периодическая орбита. Кривые L
1, L'
2, L"
2, задаются формулами
L\ : и + bv + 0(H) = О,
Z/
2 : u(l + с) + v(l + 6) + dh'v
2 + 0(v
J) = 0,
L'i : u(l + c) + v(l + b) + dh"v
2 + 0(v
7) = 0,
L3 : uc ¦+¦ b -f- O(H) — 0,
где v < 0, а константы h' и h” легко вычислить. Каждая из бифуркаций имеет тип «седло-узел», за исключением тех, что возникают при переходе границ L'
2 и L"
2, где для L"
2 имеем бифуркацию Хопфа, а для L'
2 — гетероклиническую орбиту.

Сообщим еще некоторые полезные сведения из теории бифуркаций. Определим каскад бифуркаций как последовательность бифуркаций решений нелинейных уравнений при увеличении бифуркационного
Бифуркация четвертою порядка
ія третьего іюрвлка
Вторичная бифуркация
Рис. 3.17. Каскад закритичесхих бифуркаций параметра (рис. 3.17). Каждая бифуркация может привести и к более сложному поведению, чем уже рассмотренные. Примером может послужить, в частности, диаграмма Ландау-Хопфа. Сценарий таков: стационарное (пространственно однородное) состояние распадается на новые стационарные (пространственно неоднородные) состояния. Каждое новое бифурцирует далее к состоянию осцилляторного типа (бифуркация Хопфа). Затем предельный цикл бифурцирует к тору. Ландау (1944) высказал предположение, что эти типы переходов продолжаются далее таким образом, что система испытывает последовательные бифуркации к торам все более и более высоких размерностей.
Можно утверждать, что в реальной ситуации описанные выше бифуркации наблюдаются редко, поскольку прямые переходы и соответствующие структурные изменения сглаживаются всегда присутствующими на практике дефектами и возмущениями.
В качестве примера рассмотрим общую нелинейную задачу

Решение х = x(r, к) зависит от двух скалярных параметров гик. Параметр r, называемый бифуркационным параметром, является «входной амплитудой» системы (3.7.5), а малый параметр к — амплитудой неопределенности. Если к = 0, исследование F(x, r, 0) представляет собой бифуркационную задачу. Если к не равно нулю, назовем (3.7.5) возмущенной или неопределенной бифуркационной задачей.
Рассмотрим случай, когда к = 0, и r — точка бифуркации функции F(x, r, 0). На рис. 3.18 показаны три типа бифуркаций, которые возникают вблизи простой точки бифуркации r = r
0. Типичные диаграммы отклика решений неопределенной бифуркационной задачи собраны на рис. 3.19. По аналогии с r
0 определяется новый

критический параметр r = r
c < r^ Точка r
c называется предельной.
3.8 Теория особенностей
Многие экономические проблемы сводятся к исследованию свойств гладких функций. Например, рациональное поведение предпринимателя или домохозяина в условиях идеального рынка можно описать функциями, зависящими от цен. Применяя теорию сравнительной статики, можно исследовать, как изменится спрос или предложение при изменении рыночных цен. Основную роль при исследовании поведения мелкого производителя и потребителя играют производственные функции и функции полезности. Теория особенностей занимается классификацией и изучением гладких функций. Эта теория имеет существенные достижения. Теория катастроф — одно из наиболее важных направлений в современной прикладной математике — является ее частным случаем.
Рассмотрим гладкую функцию f : R
n^R
m и предположим, что в начале координат f имеет критическую точку в начале координат, т.е. Df(0) = 0. Теория особенностей изучает следующие вопросы:
1. Проблему определенности: каков локальный характер функции f в окрестности
нуля? Фактически этот вопрос эквивалентен вопросу: «В какой точке можно без опасений обрывать ряд Тейлора функции f?»
2. Проблему развертки: каковы существенные возмущения функции f? То есть,
какие возмущения функции f изменяют ее качественную природу и не могут быть устранены заменой переменных?
3. Проблему классификации: можно ли провести классификацию типов
особенностей функции f?
Элементарная теория катастроф решает эти проблемы для т = 1. Ее обобщение
— теория особенностей — решает первые две проблемы и дает относительно полную информацию о третьей для малых пит.
Чтобы проиллюстрировать применение теории особенностей, воспользуемся примером: обсудим с точки зрения теории особенностей бифуркацию «питчфорк»
— бифуркацию типа вилки (этот пример детально разобран в книге Г олубицкого и Шеффера, 1984).
Рассмотрим уравнение
х
3 — гх = 0, (3.8.1)
где r — параметр. Фундаментальным свойством этого уравнения является наличие бифуркации типа вилки, т. е. при переходе параметром r некоторой величины r
0 (= 0) число решений п(г) скачкообразно возрастает от одного до трех. Множество решений (3.8.1) показано на рис. 3.20.

Как уже говорилось, при применении теории особенностей к анализу бифуркаций возникают два сложных вопроса. Первый относится к степени важности вклада членов высших порядков. Иными словами, вопрос можно сформулировать так: до каких пор качественное поведение функции f(x, r) в окрестности бифуркации определяется членами низших порядков разложения функции в ряд Тейлора, позволяя пренебрегать возможным влиянием членов высших порядков? Пусть в случае бифуркации типа вилки для /і'х, г) при (х, г) = (х
0„ г
0) имеем
/ — /г — /хх — /г = 0) /гхх/хг < 0- (3-8.2)
Очевидно, (3.8.1) удовлетворяет этому требованию. В этом случае значение п(г), число решений fx, r), скачком возрастает от одного до трех при переходе r через пороговое значение r
0. Это можно доказать, воспользовавшись теоремой о неявной функции. Однако в теории особенностей доказано значительно более сильное утверждение. Можно показать, что любая функция f удовлетворяющая (3.8.2), может быть приведена к стандартной модели бифуркации-вилки х
3 — rx = 0 подходящей заменой координат. Точнее, если f удовлетворяет (3.8.2), то существуют: (I) локальный диффеоморфизм R
2 вида (x, r) ^ (Х(х, r), Y(r)), отображающий начало координат в точку (х
0, r
0), и (II) ненулевая функция S(x, r), такая, что в окрестности нуля имеет место
S(x, r)f(X (x, г), У (г)) = х3 - rx, (3.8.3)
где Х
х(х, r) > 0 и Y > 0. Поскольку S не обращается в нуль, решения уравнения f (х, r) = 0 отличаются от решений x
3 - rx = 0 с точностью до диффеоморфизма. Это означает, что члены высшего порядка в разложении f не влияют на качественное поведение модели в малом — они могут быть уничтожены подходящей заменой координат.
Уравнение (3.8.3) приводит нас к определению фундаментального понятия теории особенностей — понятия эквивалентности. Две бифуркационные задачи f и g эквивалентны, если они могут быть связаны соотношением
S(x,r)f(X(x,r),Y(r))=g(x,r),
где S не равна нулю и положительна, а (X, Y) — локальный диффеоморфизм, сохраняющий ориентацию x и r.
Если f и g эквивалентны, то такие две неоднозначные функции связаны соотношением

что представляет собой одно из важнейших следствий их эквивалентности..
Исследование бифуркации типа вилки является характерным для общего подхода теории особенностей к проблеме определенности. Далее будем называть х
3 - гх = 0 нормальной формой бифуркации типа вилки. Всякая бифуркационная задача/(х, г), которая в некоторой точке (х
0, г
0) удовлетворяет условиям
f — fz — fzz — fr
= 0| fxzx > 0, f
xr < 0, (3.8.6)
эквивалентна этой нормальной форме. Будем говорить, что условие (3.8.5) разрешает задачу идентификации для данной нормальной формы. Эквивалентные бифуркационные задачи обладают одинаковыми качественными свойствами; точнее говоря, качественные свойства — это те, которые при наличии эквивалентности сохраняются.
Вторым сложным вопросом является вопрос, который возникает при изучении того, как могут зависеть бифуркационные задачи от параметров — ведь малые изменения вспомогательных параметров бифуркационной задачи f (х, г) в особой точке функции f приводят, как правило, к качественным изменениям бифуркационной диаграммы. Рассмотрим возмущение бифуркации типа вилки:
F(x, г, s) = х
3 - гх + s = 0. (3.8.6)
Соответствующие бифуркационные диаграммы для случая s Ф 0 представлены на рис. 3.21.

В классической литературе различают два источника появления дополнительных параметров бифуркационной задачи. Во-первых, сама исходная формулировка экономической модели может содержать множество вспомогательных параметров. Во-вторых, новые параметры возникают при уточнении более грубой модели. В подходе, развиваемом теорией особенностей, возникновение дополнительных параметров происходит следующим образом. Сперва для данной бифуркационной задачи f строится определенное характерное семейство возмущений f. Пусть F(x, г, s
1,..., s
k) или просто
F(x, r, s) — к-параметрическая бифуркационная задача. Назовем функцию F возмущением f, если
F(x, r, 0, 0) = f(x, r). (3.8.7)
Для решения проблемы классификации мы ищем к-параметрическое семейство F возмущений функции f, обладающее тем свойством, что какой бы ни была функция f, любое ее возмущение эквивалентно F для некоторого s в окрестности нуля. То есть, для произвольного возмущающего члена hp(x, r, h) существуют такие значения параметров s\(h),.. ., s
k(h), что для малого s функция f + hp эквивалентна F. Назовем такую F универсальной деформацией функции f. Следует заметить, что число к параметров, необходимых для существования универсальной деформации, зависит от свойств исследуемой функции f. Так, например, можно показать, что
F(x,r, s)-x
3-rx + si + s
2x
2, (3.8.8)
является универсальной деформацией вилки.
Определив универсальную деформацию f, исследуем пространство параметров деформации R
k, чтобы определить число различных бифуркационных диаграмм {(х, r): F(x, r, s) = 0}. Для универсальной развертки вилки (3.8.8) имеется четыре основных бифуркационных диаграммы, изображенных на рис. 3.22, которые возникают при изменении s (Голубицкий и Шеффер, 1984).

Следует отметить, что если в модель ввести три и более параметров, то никакого нового поведения мы не обнаружим. Это вытекает из того факта, что (3.8.8) является универсальной разверткой вилки.
Методы теории особенностей позволяют определить точное число параметров, необходимых для описания наиболее общих возмущений бифуркационной задачи. Подход, основанный на теории особенностей, применим также к задачам устойчивости. За дальнейшими сведениями отсылаем читателя к книгам Голубицкого и Шеффера (1984, 1988).
3.9 Теория катастроф
Рассмотрим динамическую систему

(3.9.1)
где представляют собой независимые переменные, а r — параметры (называемые в теории катастроф обычно управляющими).
Сильное предположение, которое играет важную роль в теории катастроф — хотя предпринимается огромное число попыток его ослабить — состоит в том, что система (3.9.1) может быть получена с помощью следующих соотношений:


где V — «потенциальная» функция. Это предположение означает, что (3.9.1) является градиентной системой.
Общая классификация решений системы (3.9.2) может быть проведена на основе свойства нарушения их структурной устойчивости следующим образом. Можно определить точки, в которых нарушается устойчивость стационарных состояний. Эти точки в пространстве параметров образуют гиперповерхности, вдоль которых имеет место либо ветвление решений уравнения, либо функция V достигает абсолютного минимума не менее, чем в двух различных точках. Другими словами, при пересечении этих гиперповерхностей происходит переход из области с одним типом динамики в область динамики качественно иной.
Теория катастроф находит множество приложений в различных областях науки. Примеры приложения этой теории к социальным системам можно найти, например, в книге Вильсона (1981). Мы дадим несколько таких примеров в гл. 4, т. е. проведем исследование структурных изменений динамических систем, которые определяются конкретными формами функции ?(х, r), где х е R
n и r е R
k (см. Гилмор, 1981).
Прежде всего, коснемся локальных свойств функции
V(x,r):R
n х R
k R'.
Свойства этой функции определяются рядом теорем функционального анализа — теоремой о неявной функции, леммой Морса и теоремой Тома.
Теорема о неявной функции утверждает, что если градиент V
xV не равен нулю в некоторой точке, то можно подобрать такое гладкое (имеющее производные произвольно высокого порядка) преобразование переменных
Уз =Vj(x)> J = (3.9.3)
что V может быть представлена в виде

где с — константа.
Определение 3.9.1. (Критические точки Морса.) Стационарные точки, или критические траектории, гладкой функции V(x) — это точки, в которых V
xV = 0. Критические точки, в которых det V
ij Ф 0, где V
ij = d
2V\dx
idxj, называются изолированными невырожденными или критическими точками Морса.
Если стационарная точка является критической точкой Морса, то лемма Морса гарантирует существование такого гладкого преобразования переменных, что потенциал может быть локально представлен в виде квадратичной формы
П
? = ^
?іУ<< (3-9.5)
і=і
где ?і — собственные значения матрицы устойчивости V
ij, вычисленные в точке равновесия. Переход к новому масштабу длин в новых координатах z
i = уі?іГ
2 переводит квадратичную форму (3.9.5) в каноническую форму Морса
V = -г\ — ... - zf + г?+1 + ... + S* = М?{г). (3.9.6)
Функция МП (z) называется i-седлом Морса. В состоянии равновесия локальным минимумом обладают только 0-седла Морса, так что только такие седла являются локально устойчивыми.
Определение 3.9.2. (Неморсовы критические точки.) Критические точки функции V(x), в которых det V
ij = 0, называются неизолированными, вырожденными, или неморсовыми критическими точками.
Если потенциал зависит от одного или более управляющих параметров г, от этих параметров зависят и матрица устойчивости V
;j, и ее собственные значения ?
;. Следовательно, вполне возможно, что для определенных значений управляющих параметров одно или более собственных значений обращаются в нуль. В этом случае det V
;j = 0, т.е. условия, при которых справедлива лемма Морса, более не выполняются. Если m собственных значений ?і(г),..., (?
т(г) при r = r
0 обращаются в нуль, то можно воспользоваться леммой Тома о расщеплении потенциала на морсову и неморсову части:
^(*> г) — //?(уі(*, г),..r);r) -р 6j(r)yj{
x)] (3.9.7)
j=m+1
где т «плохих» координат у
;(х, r) (i = 1,..., m), связанных с обращением в нуль т собственных значений ?
;(г), зависят от x и от г. «Хорошие» координаты y
m+j (х) (j = 1, ..., п-т), соответствующие ненулевым собственным значениям ?
т+ (r), являются гладкими функциями только исходных переменных х. В точке (х
0, r
0) матрица устойчивости d
2f
N\dy
;dyj (1 < i, j < m) принимает нулевое значение (все матричные элементы обратились в нуль), тогда как (п — m)x(n — т)-мерная матрица устойчивости функции Морса невырождена. При соответствующих условиях (к < 5, несимметричности и отсутствии других дополнительных условий у семейства потенциальных функций) теорема Тома гарантирует существование гладкой замены переменных, приводящей потенциал к каноническому виду
(3.9.8)
j=m+1
где функция CG(m) носит название ростка катастрофы. В таблице 3.1 мы приводим все канонические ростки катастроф для случаев к < 5, которые соответствуют одному (m = 1) или двум (m = 2) нулевым собственным значениям.
Следует заметить, что разложение (3.9.7) в окрестности (х
0, r
0) в R
n х R
k хотя и справедливо, но не дает конкретной формы f
N; разложение (3.9.8) справедливо только в окрестности х
0 в R
n, но конкретизирует вид f
N, называемый ростком катастрофы. На самом деле Том нашел более полезное разложение, именно: если х
0— неморсова критическая точка функции V (х, r) при r = r
0, то в открытой окрестности (х
0, г
0) в R” х R имеет место
п
У = Cat (т, к) + ^
?>(г)у2 0.9.9)
j=m+i
|
Таблица 3.1. Элементарные катастрофы Тома. |
|
Наименование |
к |
Росток |
Возмущение |
|
A2 |
1 |
Х3 |
а1х |
|
A±3 |
2 |
±х4 |
2
а1 х + а1 х |
|
А4 |
3 |
x5 |
23
а1х + а2х + а3х |
|
А±5 |
4 |
±х6 |
2 3 4
а1 х + а2х + а3 х + а4х |
|
A6 |
5 |
хХ |
2 3 4 5
а1 х + а2х + а3 х + а4х а5х |
|
D-4 |
3 |
x2y - у3 |
2
а1х+ а2У + а3у |
|
D+4 |
3 |
х2у + у3 |
2
а1х+ а2У + а3у |
|
D5 |
4 |
х2у + у4 |
22
а1х+ а2У + а3Х + а4у |
|
D-6 |
5 |
х2у - у5 |
2 2 3
а1х+ а2У + а3Х + а4у + а5у |
|
D+6 |
5 |
х2у + у5 |
а1х+ а2У + а3Х + а4у + а5у |
|
E±6 |
5 |
x3y±y4 |
22
а1х+ а2У + ах + а4у + а5ХУ |
|
Функция Cat(m, к) называется функцией катастрофы или Просто катастрофой. Катастрофа состоит из двух частей: ростка катастрофы CG(m) и возмущения Pert(m, к), т.е., Cat(m, k) = CG(m) + Pert(m, к). В табл. 3.1 перечислены канонические формы катастроф от одной и двух переменных. Функция катастрофы сводится к ростку катастрофы при равенстве физического управляющего параметра r величине r
i0 или при нулевых математических управляющих параметрах ц (j = 1,... ,?).
Итак, с помощью ряда теорем мы описали локальные характеристики потенциала. В гл. 4 и 8 мы воспользуемся некоторыми (элементарными) результатами теории катастроф.
Приложение: Некоторые замечания о теории бифуркаций
Поскольку теория бифуркаций играет очень важную роль в синергетической экономике, хотелось бы дать некоторые пояснения ее отдельных результатов.
Прежде всего, обсудим некоторые общие теоремы, задающие условия возникновения бифуркаций. Для этого запишем (3.7.1) в виде
dx
- L(r)x + N(x, г) = О, (З.А.1)
где L — линеаризованный оператор, а N включает в себя все добавки, нелинейные по х. Эквивалентный способ сформулировать эту проблему состоит в том, чтобы определить r таким образом, чтобы можно было выделить отдельно часть J
0, не зависимую от r, и непрерывную часть, пропорциональную r, так что
(3.А.2)
J
0X -rx+ N(x, r) = 0,
где

Теорема З.А.1. Значение r
c может быть точкой бифуркации (3.А.2) только в том случае, если оно является собственным значением оператора J
0.
Обратное утверждение не всегда справедливо. Мы говорим, что z
c является собственным значением квадратной матрицы L(r) алгебраической кратности к, если
det\L-zI\ =(z-z
e)
kh[z),
где h(z
c) не равно нулю.
Теорема З.А.2. Если z
c (не равное нулю) является собственным значением J
0 в (3.А.2) нечетной кратности, то z
c — точка бифуркации этого уравнения.
В качестве обобщения теоремы 3.А.2 рассмотрим случай векторной переменной х е Х, векторного параметра r е М е R
m, r = (r
b r
2,..., r
m), F: Хx М ^Z
m
F(x, r) = Bx-'E
rjAjx + N(x, r) = L(r)x + N{x, г), (3.A.3)
j=i
где В и Aj (j = 1,..., n) — ограниченные линейные операторы, N(0, r) = 0, D
xN(0, r) = 0. Точку r назовем собственным значением (В, A\,..., A
m), если нуль — собственное значение оператора L(r).
Теорема 3.A.3. Пусть Х и Z — банаховы пространства, М — открытый интервал и F е C
m(M x X, Z) (т > 2). Если r
0— простое собственное значение (В, A
b..., Am), соответствующее ненулевому собственному вектору у
0, то (r, x) = (r
0, 0) — точка бифуркации F(r, x) = 0. Более того, существуют С
пЛ функции
(З.А.4)
при ? -> 0,
г*(и) = г
0 + О(Н), х
ф(?) = ?у
0 + 0(|?|)
такие, что для действительных ? вблизи нуля
F(r*(t;),x-(v)) = 0.
Все нули F вблизи точки (r, 0) являются либо тривиальными решениями х = 0, либо задаются выражением (3.А.4). Если F — аналитическая функция в окрестности этой точки или в точке (r
0, 0), то таковы же r* (v), x*(v) вблизи v = 0.
Эта теорема принадлежит Чу и Хейлу (1982).
4 Множества равновесий и структурные изменения в экономических системах
Развитие аналитической экономики в направлении сравнительной динамики должно сохраниться и в будущем. Есть надежда, что этот путь приведет к решению многих проблем ..., даже ...глобальных проблем экономического развития.
П. А. Самуэльсон (1947)
Одним из наиболее важных предметов экономического анализа является исследование влияния изменений внешних параметров на поведение экономических переменных. Анализ подобных эффектов называется сравнительным анализом. В зависимости от того, осуществляется анализ статической или динамической модели, различают сравнительный статический и сравнительный динамический анализ. Когда система устойчива, сравнительный динамический анализ носит название принципа соответствия Самуэльсона. Сравнительный анализ в том виде, как он изложен в «Основах» Самуэльсона, мы называем традиционным сравнительным анализом. В этой книге мы намерены изучить те проблемы сравнительного анализа, которые традиционный сравнительный анализ обходит.
4.1 Теория катастроф и сравнительный статический анализ
Как уже было сказано в гл. 2, изложение Самуэльсоном «Основ экономического анализа» базируется в целом на двух весьма общих гипотезах. Первая состоит в том, что условия равновесия эквивалентны условиям максимизации (минимизации) некоторой величины. Эта гипотеза в большинстве случаев означает справедливость (традиционного) сравнительного статического анализа, из которого можно вывести много важных теорем экономики. Вторая гипотеза состоит в том, что система находится в «устойчивом» равновесии
либо в движении. Как показано в гл. 2, из второй гипотезы следует справедливость принципа соответствия между сравнительной статикой и динамикой. Хотя, по большей части, в этой книге исследуется поведение динамической системы в тех случаях, когда не работает вторая гипотеза, не менее важно понимать, что произойдет, если ослабить первую гипотезу. Поэтому данный раздел посвящен первой гипотезе.
Гипотеза применяется к сравнительной статике. Использование этого общего метода (например, в микроэкономике и экономике благосостояния) позволило получить значительные результаты. В случае когда равновесные значения переменных можно трактовать как решения задачи оптимизации, становится возможным однозначно определить направление изменения решения в зависимости от сдвига параметров. Для иллюстрации приведем два простых примера (Самуэльсон, 1947).
Рассмотрим фирму, для которой заданы функции спроса и производственных издержек. Предположим, что фирма облагается налогом величины r на единицу продукции. Тогда доход фирмы определяется так:
D = хр(х) - С(х) - тх. (4.1.1)
Здесь х, р и С представляют соответственно объем производства, цену продукции и минимальные суммарные производственные издержки. Фирма определяет уровень производства для каждой заданной величины налога. При каждой заданной налоговой ставке существует равновесный объем выпуска. Рассмотрим, как в соответствии с изменением величины налога меняется объем производства, определенный фирмой.
Предположим, что фирма выбирает такой объем производства, который максимизирует ее доход. Решение, максимизирующее D в (4.1.1), будет равновесной величиной. Необходимыми и достаточными условиями локального максимума являются D
x = 0, D
xx < 0. Из D
x = 0 имеем
[хр(х) - С(х)]х — г = 0, (4.1.2)
откуда мы можем определить точку равновесия х = g(r). Дифференцирование (4.1.2) по r дает
dx
[хр(х)-С(х)]„ —= 1. (4.1.3)
Однако поскольку Д
а = [:хр(х) - С(.т)]
а должно быть отрицательным, из (4.1.3) имеем
dx
Тг<0. (4.1.4)
Таким образом заключаем, что если фирма находится в равновесии до и после налогообложения, увеличение налога всегда вызовет
падение производства. Выше мы не определяли вид функций р(х) и С(х). Наше единственное требование состояло в том, чтобы задача имела регулярное максимальное решение. Этого достаточно для того, чтобы определить направление изменения х после налогообложения. Следовательно, по известной информации о том, что фирма максимизирует прибыль, мы можем предсказать поведение фирмы при изменении налоговой политики. Этот пример служит типичной иллюстрацией того, что мы понимаем под сравнительным статическим анализом.
Теперь рассмотрим, что произойдет, если гипотезы, принятые в сравнительном статическом анализе, будут ослаблены.
Рассмотрим задачу оптимизации
minfx, r),
где х представляет переменные, а r - параметры. Минимум f достигается, когда
(4.1.5)
grad f = 0.
Решение (4.1.5) дает точку равновесия, которая минимизирует функцию потенциала f(x, r). При изменении r оптимальное решение определяет поверхность в пространстве (x, r), на которой расположены возможные состояния равновесия системы. В соответствии с традиционным сравнительным статическим анализом при гладких, медленных и малых изменениях r мы можем ожидать соответствующих гладких малых изменений х. В результате траектория равновесия в пространстве (x, r) будет гладкой и не может быть никоим образом складчатой.
Пусть в положении равновесия вторая производная функции f(x, r) равна нулю или гессиан сингулярен. В этих случаях положения, определяемые условием (4.1.5), могут не быть оптимальными. Такие точки равновесия известны как особые, и именно в таких точках и вблизи них можно наблюдать необычное поведение системы. Как показано в гл. 3, элементарной задачей теории катастроф является классификация возможных типов особенностей. Теория катастроф имеет дело с внезапными и дискретными изменениями состояния системы, которые являются результатом медленных, гладких и малых изменений одного и более параметров. В случае числа управляющих параметров вектора r меньшего или равного 4, число возможных особенностей, в топологическом смысле, относительно мало (см. гл. 3).
Рассмотрим простой пример — сборку — одну из элементарных катастроф Тома. Она находит наиболее широкое; применение в науке благодаря своей простоте и типичности.
Рассмотрим потенциальную функцию

(4.1.6)
Такое уравнение может иметь либо один, либо три действительных корня. Если

уравнение имеет три действительных корня. В противном случае оно имеет только один действительный корень. Граница областей единственного и неединственного решений определяется выражением
(4.1.8)
4г? + 21г\ = 0.
Оно определяет ограничивающие сборку кривые на управляющем многообразии— плоскости (r
b r
2) (см. рис. 4.1).
Как показано на рис. 4.1, вне сборки имеется только один корень, и он всегда соответствует минимуму потенциала f(x, г). Внутри области имеется три действительных корня: один из них соответствует максимуму (неустойчивое состояние), и два — минимуму, что можно проверить, исследуя вторую производную функции f Заштрихованная область представляет собой область катастроф, а граница — бифуркационное множество, где локальный минимум исчезает. Как это происходит, можно увидеть на рис. 4.1, где в точках 3 и 7 на границе области исчезающие минимумы функции сливаются, образуя точку перегиба. Ось /у при /у < 0 представляет собой конфликтное множество, где существуют два минимума


равной глубины (точка 5 на рис. 4.1). В случае сборки параметр т
1 носит название «расщепляющего множителя», а т
2 — «нормального множителя» (Зиман, 1977). Основанием для выбора такого наименования является то обстоятельство, что именно величина т
1 определяет, будет ли траектория лежать в области складки поверхности: если т
1 > 0, поверхность однозначна, тогда как в случае ті < 0 она двузначна; с изменением же параметра т
2 переменная х изменяется монотонно и непрерывно, за исключением скачков в точках бифуркации.
Поверхность равновесных значений (x, т) показана на рис. 4.2.
На рис. 4.2 показаны три типа поведения, которые непривычны для традиционного экономического анализа. А именно) (1) внезапный скачок (или катастрофа), (2) гистерезис — обратное движение к некоторой точке, отличной от начальной; и (3) расходимость — малое отклонение при приближении к точке возврата приводит систему на верхнюю или нижнюю поверхность и, следовательно, в весьма различные состояния.
Этот тип поведения нельзя объяснить с помощью традиционного статического анализа. Следовательно, если ослабить предположение традиционного сравнительного анализа, поведение системы перестает характеризоваться однозначной и гладкой реакцией на малые сдвиги параметров. Могут возникнуть множественные состояния равновесия и внезапные скачки.


Приведем пример приложения теории катастроф к теории Изарда (1977) городских и региональных структурных изменений. В модели Изарда переменная х представляет собой население города или региона, а управляющие переменные r
1 и r
2 соответственно производительность на единицу населения и прямой вклад единицы населения в общее благосостояние. Предполагается, что потенциальная функция имеет каноническую форму
г
4 і
2/(х,г) = —— + гі— + г2х + С, (4.1.9)
где С — константа.
Потенциальная функция интерпретируется как функция благосостояния общества. Задача состоит в том, чтобы отыскать решения, максимизирующие благосостояние. Член г
2х в (4.1.9) представляет собой прямой вклад в благосостояние, член rjX
2/2 — положительную совокупную прибыль, а член с х
4 — отрицательные внешние расходы, или рассеяние. На рис. 4.3 даны иллюстрации различных возможных траекторий.
Из приведенного выше обсуждения видно, что теория катастроф может быть использована для работы с теми проблемами сравнительной статики, которые традиционный сравнительный статический анализ решать не может. Как будет показано дальше, теория бифуркаций и теория особенностей также весьма полезны для экономического анализа, так как могут помочь нам в анализе задач, которые не решаются методами традиционного экономического анализа.
4.2 Моделирование региональной динамики
Чтобы показать, как концепция бифуркации может быть использована для объяснения динамики экономической эволюции, рассмотрим динамику регионального развития.
Ключевыми темами современной литературы но развитию регионов стали внезапные и непредсказумые нарушения непрерывности развития (см., например, Вильсон, 1981, Андерссон и Баттен, 1988). В эволюции городов проявления такого рода поведения были подвергнуты глобальному анализу. Пример — исследование Мисса (1975). В качестве отправной точки для анализа ситуации в ряде областей занятости он взял гипотезу Пиремна (1925). Согласно этой гипотезе, основной причиной возрождения крупных и мелких городов Европы в эпоху позднего средневековья было появление свободной торговли и, как следствие, улучшение систем транспортировки товаров. Основываясь на этих исследованиях, Андерссон (1986) утверждал, что фундаментальные изменения в мировой экономике последнего тысячелетия могут быть объяснены изменением структуры логистических систем, т. е. систем снабжения. Другими словами, крупные структурные изменения характера производства; размещения производств, характера труда, культуры и общественных институтов вызываются медленными, ровными изменениями в соответствующих логистических сетях. Логистические сети — это такие пространственные системы, которые могут использоваться для движения товаров, информации, людей и денег в зависимости от производства и потребления товаров. Следующий ниже пример показывает, как концепция логистических систем помогает объяснить качественные аспекты региональной эволюции.
Модель мировых логистических революций представлена здесь согласно работам Андерссона (1986) и Андерссона и Баттена (1988). Предполагается, что все флуктуации, наблюдающиеся в развитии городов, могут быть охвачены или, по крайней мере, качественно аппроксимированы системой дифференциальных уравнений с кубическими нелинейностями
ry _ x
J
dy
= _
T dt
«быстрое уравнение»,
(4.2.1)
«медленное уравнение»,
dx 1 — = _T y dt
,
где r — управляющий параметр, а T — коэффициент, имеющий смысл скорости установления (адаптации). Переменная у может быть интерпретирована, например, как емкость города в отношении товаропроизводства, а x — как его доступность для транспорта и связи. Данная система представляет собой модификацию известного уравнения Ван дер Поля. Обнаружено, что разрывы величины
у могут возникать и в том случае, когда величина х плавно меняется в критических интервалах параметров. Рис. 4.4 иллюстрирует типичный цикл, в котором могут иметь место повторяющиеся скачки.
Резкие подъемы и падения объемов производства отчетливо наблюдаются и могут быть спровоцированы постепенным изменением в местных условиях. Ключевым моментом, который нужно осознать при этом, является тот факт, что изменение значений «быстрой» переменной может происходить действительно относительно быстро. Таким образом, если провести наблюдение системы непосредственно перед и непосредственно после изучаемой перемены, то можно невольно сделать вывод, что «медленные» переменные не имеют большого влияния. «Медленная» фаза всегда будет превалировать на больших временах, тогда как «быстрая» переводит систему в существенно отличный режим.

Медленное развитие сети инфраструктуры (x) путем инвестиций физического капитала может привести к тому, что траектории окажутся расположенными в зоне L (рис. 4.4). Первоначально система находилась в положении А. С изменением х в конце концов достигается точка В, выше которой сама природа производительной емкости города заметно изменяется. В этой точке равновесие теряет свойство устойчивости, и отмечается «фазовый переход». Скорость изменений в неравновесной фазе определяется влиянием капитала, трудовых и других необходимых ресурсов, которые будут использоваться в зарождающемся режиме производства.
Ключевой особенностью этого типа нелинейного анализа является его цикличность. Стоит при достижении зоны Н прекратиться инвестициям, как начинает доминировать процесс обесценивания, и система может сесть на траекторию, изображенную в зоне Н, пока, наконец, не вернется к первоначальному положению D и затем свалится обратно в зону L. Следует заметить, что осознать необычный характер критических точек В и D не так-то легко. Лежащий в основе этих изменений процесс может быть отнесен к расходящимся, потому что непрерывное, хотя и малое, изменение емкости сетей инфраструктуры может вызвать неожиданно большие флуктуации равновесных значений товаропроизводства. Это происходит путем скачкообразных изменений состояния или фазовых переходов. Переход имеет место независимо от того, как медленно увеличивается емкость сетей, а это значит, что развитие города может быть стимулировано просто добавлением в сеть одного маленького, но важного звена. То есть если система находится вблизи критического состояния, то слабые расхождения в условиях транспортировки продукции могут привести к огромному отличию в конечной товароемкости.
Возникает естественный вопрос: может ли подобный эзотерический математический анализ, понятный лишь посвященным, объяснить подъемы и падения различных городов в прошлом. Мы думаем, что такая модель может быть использована для качественной иллюстрации явления. Она может помочь углублению наших представлений об особенностях реальной эволюции городов.
Рассмотрим пример возможного применения этой модели. Следуя Андерссону (1986), развитие городов и межрегиональных экономических связей в мире в период с 1000 до 2000 гг. нашей эры можно представить себе в виде четырех революций: (I) начинается в 11 веке в Италии и завершается в 16 веке в Северной Европе; (II) берет начало в 16 веке в Испании, Португалии и Италии и оканчивается в 19 веке в Северной Европе; (III) начинается в Англии в 18 веке и оканчивается в развивающихся странах, предположительно, в 21 веке, и (IV) начинается в Японии, Швейцарии, Западной Германии и Швеции в конце 20-го века.
Восстановление старых торговых путей и возобновление возможности передвижения через Европу и Азию мы можем рассматривать как фазы медленного улучшения сетей инфраструктуры — что находит отражение в ослаблении торговых барьеров, дорожных опасностей, стоимости транспортировки и других ограничений передвижения. Этот период соответствует Первой логистической революции.
В настоящее время мы являемся свидетелями начала Четвертой логистической революции, связанной с возрастанием объема
обрабатываемой информации и расширением сетей связи, а также ростом объема научных знаний. Улучшение систем транспорта, в особенности сети транспорта воздушного, неуклонно уменьшает значение географической близости областей и регионов.
Типичным примером для анализа Четвертой логистической революции может быть Швеция (см. Андерссон и Баттен, 1988). Для пояснения разделим трудовые ресурсы на четыре типа: профессии, связанные с наукой (I), управлением и обработкой информации (II), обслуживанием (III) и производством материальных ценностей (IV). Выбор местоположения объектов наукоемкого производства существенно зависит от возможности привлечения специалистов с высоким уровнем образования и квалификации. Следовательно, в развитии регионов возрастает роль университетов и других высших учебных заведений и научных учереждений. Таким образом, мы должны осознать, что ключевой характеристикой Четвертой логистической революции является неуклонное расширение научной базы х. Соотношение между х и емкостью производства у описано здесь уравнением (4.2.1). Траектория движения в этом случае аналогична представленной на рис. 4.4.
Нужно заметить, что в промышленности уже сейчас можно обнаружить изменения в структуре капиталовложений. Например, в 1977 году больше 17% затрат в исследования и разработки (R&D) размещало очень небольшое число фирм. Эта группа насчитывала не более 7% от общей величины промышленного сектора Швеции. В соответствии с сегодняшними оценками, в 1985 году число фирм, направляющих больше 17% затрат на R&D, составило в Швеции более четверти совокупного производственного капитала. Сюда относятся химическое производство, станкостроение, самолетостроение, космическая техника, оборудование для «высоких технологий», машиностроение и робототехника (Андерссон и Баттен, 1988).
4.3 Некоторые примеры структурных изменений
В этом разделе представлены некоторые примеры приложения теории катастроф и теории бифуркаций к социальным системам. Эти приложения сфокусированы на качественных характеристиках социальных динамических систем. Все приведенные ниже примеры можно найти у Вильсона (1981).
4.3.1 Деловые циклы в модели Калдора
Ранние приложения теории катастроф к экономике принадлежат Вариану (1979), который представил усовершенствованную версию
модели Калдора

где у — национальный доход, С — расходы на потребление, I — объем инвестиций, w — благосостояние, к — капитал, и І
0 — «замещение» инвестиций. Параметр а — коэффициент адаптации (скорость установления). Функция расходов на потребление определяется следующим образом:

Таким образом, сбережения составляют
|
Функция инвестиций І(у, к) предполагается логистически возрастающей с ростом у и уменьшающейся с ростом к. Состояние равновесия системы задается уравнениями |
 |
|
На рис. 4.5 изображены примеры различных кривых и точек равновесия. |
 |
Из рисунка видно, что возможно либо одно, низко (или высоко) лежащее равновесное значение у, либо три. В случае нескольких равновесий два внешних устойчивы, тогда как внутреннее неустойчиво. Этот случай порождает складку на dy/dt = 0. Поскольку функция сбережений зависит от w, различные значения благосостояния соответствуют различным случаям равновесия. Можно показать, что конечные возможные устойчивые состояния равновесия имеют форму сборки, как на рис. 4.6.
 |
|
Рис. 4.6. Структурные изменения в модели Калдора (k и w — медленные переменные). |
Чтобы показать, как может образоваться (гистерезисный) цикл, предположим, что переменная у приняла значение, принадлежащее верхней части многообразия на рис. 4.6. В этот момент динамика системы полностью определяется динамикой медленных переменных. Для простоты пусть w фиксировано. Предположим, что присутствуют малые внешние возмущения равновесия Е. Если возмущение очень мало, в сооответствии с динамикой k система быстро возвращается к Е. Однако стоит k, возрастая, превысить значение В, возникает катастрофа, и доход падает до нижней ветви. Начинается медленное движение вдоль линии dy/dt = 0 до тех пор, пока не будет достигнута точка бифуркации С, где возникает другая катастрофа, и у перескакивает снова на верхнюю ветвь.
4.3.2 Управление ресурсами
Рассмотрим задачу управления рыболовством, рассмотренную в работе Кларка (1976). Обозначим общий объем популяции рыб через x(t), а норму отлова через h(t). Если предположить, что естественный прирост популяции зависит от x и в общем виде описывается функцией F(x), то имеем
dx
- = F(x)~h{i). (4.3.5)
Пусть Е — величина трудовых затрат на единичный отлов, так что норма отлова может быть записана как

Это означает, что норма отлова линейно пропорциональна как величине трудовых затрат, так и величине природных рыбных запасов.
Обозначим точку равновесия уравнения (4.3.5) через х*. Тогда поддерживаемый объем улова Y задается выражением Y = Ex*.
Рассмотрим случай, когда F(x) — кривая воспроизводства, причем функция F(x)/x возрастает в некотором интервале 0 < х < К*. Для малых: F(x), при х, скажем, в интервале 0 < х < К
0 < К*, у нее имеется критическое (отрицательное) воспроизводство. Величина К
0 называется минимальным уровнем жизнеспособности популяции. Так как поведение систем в случаях критического и некритического воспроизводства очень близко, мы рассмотрим только системы с некритической функцией воспроизводства.
Базовые диаграммы для этого случая представлены на рис. 4.7.
 |
|
Рис. 4.7. Случай некритического воспроизводства. |

Рис. 4.8. Катастрофа складки для функции выхода продукции в зависимости от нормы отлова.
Имеют место три положения равновесия. Можно показать, что нулевая точка устойчива, если Е > Е+ (= F'(0)). Далее предположим, что Е > F'(0). Значение x+ всегда неустойчиво и соответствует (неустойчивому) выходу продукции, который представлен пунктирным участком на кривой «выход продукции — трудовые затраты» (см. рис. 4.8). Если Е начинает возрастать с нижнего уровня, то существует точка равновесия и соответствующее ей значение для выхода продукции Ех*(= Е*). Это значение достигает
максимума, скажем, при Е
м. Проанализируем, что произойдет, если непрерывно увеличивать норму отлова рыбы дальше. Когда значение E пройдено, малые сдвиги независимой переменной приводят лишь к малым изменениям функции. Однако если Е проходит значение Е*, выход продукции внезапно падает до нуля. Теперь пусть Е уменьшается. Поскольку при E > Е+ начало координат — точка устойчивого равновесия, путем такого уменьшения ситуация не может восстановиться. Когда Е упадет до уровня, меньшего Е+, нулевое равновесие станет неустойчивым, и можно будет начать медленно увеличивать Е до E снова. Следовательно, имеет место гистерезис, который и показан на рис. 4.8.
4.3.3 Динамический выбор вида транспорта и бифуркации
Рассмотрим приложение теории бифуркации к транспортным задачам. Данная модель предложена Денебургом, де Пальма и Каном (1979). Они рассматривают равноправные пары «исходный пункт—пункт назначения», между которыми должно быть выполнено некоторое количество D перевозок, распределенное между двумя видами транспорта (к примеру, автобусные и автомобильные перевозки). Пусть x
i обозначают число перевозок вида i (i = 1,2). Динамика выбора вида транспорта задается выражением
^ = (4-3.7)
при условии x
1 + x
2 = D. Если мы представим предпочтительность вида i как A
i (x), то D
i примет вид

Конкретный тип динамики зависит от того, как определена функция A
i. Мы рассмотрим здесь простой случай, когда предпочтительность Ai пропорциональна скорости. Предположим
А{ — і — 1| 2,
где v
i — средняя скорость транспортировки вида i. Будем считать, что между видами транспорта нет прямого взаимодействия. Пусть для определенности вид 1 — автомобильные перевозки, а вид 2 — автобусные. Предполагается, что при активном использовании скорость автомобильного транспорта снижается вследствие перегрузки магистралей, тогда как скорость автобусных перевозок,

(4.3,9)
dxn _ Pdx
2/(c + згі)
~ T/(a + xi) + dx
3/{c + x
2) “ *
2'
Уравнения (4.3.9) имеют три точки равновесия. На рис. 4.9 мы показываем поведение системы относительно бифуркационного параметра D при остальных параметрах, зафиксированных произвольно.
|
реагируя на предъявляемые требования, первоначально повышается, но затем также падает. Эти предположения находят отражение в следующих формулах; |
 |
|
Для простоты выберем п = r = s = 1. Динамика перевозок задается уравнениями |
 |
|
Рис. 4.9. Диаграммы бифуркации выбора вида транспорта в зависимости от параметра бифуркации D. |
У Денебурга, де Пальма и Кана (1979) проанализированы и более сложные случаи. Они исследовали, например, случай, когда предпочтительность вида транспорта зависит от влияния рекламы и массового подражания: чем больше людей выбирают какой-то вид транспорта, тем более популярным он становится.
4.3.4 Множества равновесий в модели розничной торговли Вильсона
Важный пример раннего применения теории катастроф к экономической географии и науке о регионах представляет собой модель розничных цен Вильсона (Вильсон, 1981). На основе этой модели
изучается поведение потребителей, переезжающих от мест проживания (или работы) к торговым центрам. Цель модели — исследовать, как поведение потребителей зависит от заданного пространственного распределения торговых центров. Побочной прикладной задачей является определение их оптимального расположения и размеров. Предполагается, что существует взаимозависимость между выгодой от увеличения размеров торгового центра и возрастанием стоимости проезда до большего центра, и при выборе расположения и размеров центра вдобавок добиваются баланса между ожидаемой прибылью и затратами на снабжение.
Пусть пространственная система состоит из п зон (i = 1,..., п), S
ij — поток наличных денег от резидентов зоны і к магазинам в зоне j. Предположим, что он определяется как
_ дРіW?exp(-bcij)
lj ~ ?*W?exp(—6c,
k)
:
где e
i — средние на душу населения расходы на покупку товаров резидентами в зоне i, Р
і
— численность населения в зоне і, Wj определяется как привлекательность магазинов в зоне j
— величина, часто измеряемая размером торгового центра, c
ij — стоимость поездки из і в j в соответствующих единицах, а и b — константы.
Пусть k — некоторая константа, характеризующая стоимость единицы предложения товара. Динамика процесса определяется как
*%L = D
j-kW
j, (4.3.10)
где скорость установления выбрана равной единице, а Dj — общий доход, полученный в центре j,

В общем виде динамика процесса может быть записана как
dW
JZL = W
jM
j(W), (4.3.12)
где Mj — нелинейная функция от W = (W
1,..., W„)
T. Интересно понять, каким образом на равновесные величины влияют параметры k, а, b, e
i и P
i. Влияние параметров а, b и k на равновесные значения представлены соответственно на рис. 4.10-12 (взяты у Вильсона, 1981).
В сложном случае полезно вспомнить некоторые выводы Вильсона относительно поведения модели. Большие значения а и малые b приводят к тому, что система имеет относительно малое число больших торговых центров и наоборот. Если велик параметр, отражающий цену, число центров имеет тенденцию к сокращению. Для
Рис. 4.12. Внезапное изменение размера торгового центра
конкретной зоны в конкретное время в пространстве параметров имеется поверхность, по одну «сторону» которой развитие данной зоны возможно, по другую — нет. Эти области в пространстве параметров назовем «РВ» (развитие возможно) и «РНВ» (развитие невозможно). Величины каждого из параметров можно классифицировать по этому признаку. Например, а = 1 является критической величиной: для а < 1 зоны всегда находятся в положении РВ, для а > 1 это не так. Когда действительно имеет место развитие, переход зоны из состояния РНВ к состоянию РВ означает «скачок» конкретного значения W. Такой скачок может привести к вторичному скачку других переменных W
k.
4.4 Бифуркационный анализ модели экономического роста
В этом разделе дано приложение методов бифуркационного анализа, развитых Йоссом и Джозефом (1980), к современной модели экономического роста, предложенной автором (Занг, 1989 и 1989а). Модель описывает влияние интеллектуалов на экономический рост.
Предполагается, что имеется только один товар, который может использоваться как для потребления, так и для накопления. Соответственно, существует единственный сектор производства, продукция которого может использоваться как для инвестиций в производство, так и для потребления населением. Предполагается, что для процесса производства необходимы три компонента — (физический) капитал, знания (человеческий капитал) и физический труд.
Предположим, что общие трудовые ресурсы, обозначаемые как L, растут с постоянной скоростью п. Участники производства (трудовые ресурсы) подразделяются на работников умственного и физического труда, обозначенные соответственно как Li и L
2, причем Li = n
1L, L
2 = n
2L, n
1 + n
2 = 1. Мы считаем, что n
1 и n
2 — константы.
Структура производства описывается следующей производственной функцией
У = F(G,L
2,I<) =A(C)Lp<l
), (4.4.1)
где Y — национальный доход, G — знания (человеческий капитал), К — физический капитал, а и в— положительные коэффициенты (а + в< 1). Для простоты определим A(G) = G
Y, где у — положительная константа. Более того, потребуем а + в+ у = 1. Это условие означает, что производственная функция является линейно однородной.
Норма прибыли на единицу использованных трудовых ресурсов равна Y/L. Предполагаем, что уровень потребления работников физического и умственного труда прямо пропорционален величине Y/L. Уровень потребления работников физического труда предполагается равным c
1Y/L, а работников умственного труда — c
2Y/L, где c
1 и c
2 — положительные константы.
Процесс накопления капитала описывается уравнением
dK
у
(Н
(4.4.2)
c\LiY C2L2Y
L L
где r — фиксированная норма амортизации капитала. Для экономики в целом темп потребления задается величиной с
1п
1 + с
2п
ъ темп сбережений равен 1 - (с
1п
1 + с
2п
2).
Теперь обсудим процесс накопления знаний. На процесс накопления знаний оказывает влияние поведение работников физического и умственного труда. Работники умственного труда накапливают' знания посредством прямого образования и за счет участия в научноисследовательской работе, тогда как работники физического труда учатся «без отрыва от производства» (Эрроу, 1962). Это весьма сильное предположение. К примеру, работники физического
труда могут принимать участие в научно-исследовательской работе, а работники умственного труда — принимать участие в процессе производства. Потенциальная динамика роста знания предполагается следующей:
(4.4.3)
~ = pY + H(
ClY/L,L
uG)-nG,
где величина pY описывает эффекты «обучения на рабочем месте» рабочих, Н — функция, отражающая вклад работников умственного труда в процесс накопления знаний, а ц — фиксированная величина темпа обесценивания знаний. Поведенческая интерпретация функции Н дана Зангом (1989). Мы определяем Н как

где a
b d и ? — неотрицательные параметры. Параметр a
1 интерпретируется как мера эффективности умственного труда. Если a
1 равно нулю, уровень потребления не влияет на рост знаний. Если эта величина бесконечна, функция Н обращается в нуль, и интеллектуалы ничего не дают для общего увеличения научного потенциала. В общем случае должно выполняться 0 < a
1 < ^. Из (4.4.4) видно, что если уровень потребления c
1Y/L достаточно высок, то он не влияет на рост знаний. С ростом L
1 и G функция Н возрастает, даже если она «нейтральна» относительно L
1 и G.
Динамика системы описывается эволюционными уравнениями (4.4.2) и (4.4.3). Систему можно переписать в виде
(4.4.5)
(4.4.6)
к = у — Сітііу — С2П2У — гк — пк, 3 = РУ -і- Н(у, д) — рд — пд,
где к = K/L, д = G/L, у = п^д^к
р и
н(у,з) =
П\Сі9
?У
а1 + ^1 У
Свойства этой системы детально проанализированы Зангом (1989а). Проведем здесь бифуркационный анализ системы относительно параметра п.
Сначала заручимся гарантией того, что существует единственное положение равновесия, и найдем условия устойчивости этого равновесия. Равновесие определяется из решения системы уравнений
(4.4.7)
У - С\П\У - С2П2У —гк - пк = О, РУ + Н (у,д) - рд - пд = 0.
Можно показать, что С(0) = 0, С(<» ) = - <» , С'(0) > 0. Эти свойства C(k) гарантируют
существование положительного решения. Предположим теперь, что имеется несколько положений равновесия. Из свойств C(k) видим, что если число нулей C(k) не равно единице, то их как минимум три. Определим функцию c(k) = (а
у + г' c
yk)C(k)/k. Число нулей этой функции совпадает с числом нулей функции C(k). Отсюда следует, что существует положительное значение k, такое, что с" = 0. С другой стороны, можно показать, что если а/у -1 > 0 и
(1 - Д)?/у -1 < 0, то с" всегда отрицательна для любого положительного k. Следовательно, а/у -1 > 0 и (1 - Д)?/у -1 < 0 являются достаточными условиями единственности.
Следует заметить, что единственность может быть установлена и при более общих условиях. Полученное выше достаточное условие выполняется, если а >у > ? > 0. То есть величина параметра капитала в полной производственной функции выше, чем величина параметра знаний; в то же время величина параметра знаний в полной производственной функции больше, чем в функции, отражающей долю интеллектуального труда. Если последнее условие не выполняется, мы можем получить множество равновесий. Итак, нами показано существование по крайней мере единственного равновесия, которое далее обозначается как (k
0, g
0).
Найдем теперь условия устойчивости этого равновесия. Можно легко показать, что два собственных значения q и q
2) якобиана, соответствующего положению равновесия, задаются уравнением
Из первого из уравнений (4.4.7) мы можем получить
r'k
l~
p\
lh
(т'к »-*У'
,=Ьг; *
(4.4.8)
|
где г' = (г + п)/(1- супу - с2п2). Подставляя (4.4.8) во второе из уравнений (4.4.7), имеем |
 |
|
Чтобы исследовать вопрос о существовании решения уравнения (4.4.9), определим функцию С как |
 |

m, =
где
 |
|
п' = 1 - (ПіСі + nJC2), |

|
Величины и' и М положительны. Поскольку в точке равновесия имеем ру/g + Н(у, g)/g = ц + и, справедливо соотношение |
 |
где а^/( а
1 + с
1у) < 1. Если ? достаточно мало, N отрицательно. Величина N отрицательна и в предельном случае, когда знания не влияют на функцию роста знаний Н (т.е. когда ? = 0). В случае ? = 1 имеет место N = py(y-1)/g + а
1с
1уу/(а
1+ с
1у)
2- Если в ходе накопления знаний эффект обучения в ходе производства отсутствует (т.е. р = 0), N положительно, а если влияние этого фактора велико, то N может стать отрицательным.
Легко видеть, что, если m
1 < 0, равновесие неустойчиво. В случае когда m
1 > 0, если к
тому же m2 < 4m2 , система устойчива. Если m2 > 4m2 и т
2 положительно, система также устойчива; если та отрицательно, система неустойчива. Когда т
2 = 0, система нейтральна. Дать определенное заключение об устойчивости системы нелегко, потому что выражения для m
1 и m
2 слишком сложны. Занг проанализировал влияние различных параметров на равновесие. Поскольку здесь мы имеем дело в основном с приложениями теории бифуркаций, обсудим лишь случай m
2 = 0.
Коль скоро ту может быть или положительным, или отрицательным, то не является недопустимым предположение о существовании параметров, обеспечивающих равенство m
2 = 0, справедливое в случае, если
(n'py/k - r - n)N = n'yyM/g. Так как М положительно, в случае отрицательного (n'/fiy/к - r - и) функция N также отрицательна.
Обозначим через и
0 величину и, при которой выполняется m
2 = 0, и выберем и в качестве бифуркационного параметра. Для
удобства вблизи равновесия перепишем систему в локальной форме. Пусть
Ui = к — ко. Ui=g-go
Тогда система может быть записана в виде
ih = f\ U, = f
2, (4.4.11)
где
rl Г ГТ ч < ST7 , n'lyUl , Tl'0(f3 - \)yU
2 ,
J {и, п) = гЦтг)^! Н--Ч--
4—гг^-+
n'pyjUjUi
+ nhh z*Ml + odc/p),
кд д-
p{b\n) = MUi + N{n)U-j
м
кт
MgUil/2^ N
aU^O(\U\
3),
(АЛЛ2)
причем U = (U
1U
2)
T, (r
l = n'/Py/k - r - п), M
k, Mg, и Ng — частные производные от М и N по переменным к и g соответственно. В (4.4.12) только r
1 и N зависят от п. Можно показать, что М
к и Ng отрицательны, а Mg — положительно.
Для соответствующих значений параметров имеем: (I) одно собственное значение равно нулю, (II) два собственных значения равны нулю с индексом Рисса два
; и (III) два собственных значения нулевые с индексом единица. Бифуркации можно наблюдать во всех этих трех случаях. Для простоты коснемся только случая (I).
Так как m
2 = 0, a N — отрицательно, имеем q
1(n
0) = 0 и q
2(n
0) = - m
1 < 0. Но поскольку равновесие является критическим состоянием, анализировать влияние изменений переменной п на поведение системы методами традиционного сравнительного анализа невозможно.
Параметризуем бифуркационные ветви следующим образом:
Ui=e, U
2 = ew(e), n = n
0+ez(e), (4.4.13)
где ? — малый параметр разложения амплитуды, а w(?) и z(?) — неизвестные непрерывные функции. Нас интересует поведение U в случае, когда ?z(?) не равно нулю.
При ? = 0 имеем f(= f
1, f
2)
T) = 0 и т
2 = 0. Построим решения уравнения f = 0 для ?, не равного нулю. Подставляя (4.4.13) в (4.4.12), получаем
Р(и,п) = em
l(w,z,e), /
2(С/,е) = stn
2(w,z,e), (4.4.14)
1 =
Гг +
+ е t
где
+ 0(|е|
г), (
4-
415)
п‘(3~і?ги п'7(7 - 1)уш
2
*0 <Г
гп
э = М -+- Nw + е[—г + М
к + wM
g -+- N
axv
2] 4- 0(|еі
2).
Мы ищем стационарные бифуркационные решения
m'(tu, z,e) = 0, (і = 1,2).
Потребуем вначале
т^шо.го.О) = О, т
2(тіі
О)г
о,0) = 0.
т.е. ri+n'yywo/g=0, M+Nw
0=0. Поскольку m
2=0, найдем ненулевое решение уравнения относительно w
0(= -M/N = - g r
x/n'Yy). Так как N отрицательно, w
0положительно.
Пусть w(h) = и’о + ?И'і(?). Подставим это выражение в (4.4.15) и решим
т‘ = (ш, г,е) = ss,-(wi, z,e) = 0, * = 1,2, (4.4.16)
где
 |
|
где w"(= \l{n'jylg-N)) > 0. Таким образом, мы получаем |
(4.4.19)
п = п
0 + ?*0 + 0(е
2),
к = к
0+е,
9 = 9о + Wo + ?
2Що + 0(е
3),
где все параметры известны.
Поскольку все полученные выражения очень сложны, обсуждать устойчивость нового равновесия мы не будем. Исследование его устойчивости можно провести стандартным методом линеаризации вблизи равновесия.
Следует заметить, что dn/de, dk/d^i dg/de зависят от нелинейных членов системы. То есть линеаризованные члены не могут вполне определить влияние параметров на поведение переменных. Принцип соответствия не работает, потому что не выполнено требование устойчивости. Однако неустойчивость не означает разрушения системы. Просто устанавливается новое равновесие, которое, в свою очередь, может быть как устойчивым, так и неустойчивым.
Поскольку w
0 положительно, можно сделать вывод, что влияние изменений скорости роста населения зависит от знака z
0. Если z
0 положительно, увеличение л приведет к повышению величины капитала на душу населения и поднимет уровень знаний; если zo отрицательно, увеличение скорости роста уменьшит капитал и уровень знаний. Трудно дать окончательное заключение о влиянии роста народонаселения на основе уравнения z
0 = Nw
10 + 2 2
M
k + w
0Mg + Wo Ng, где Nw
l0 неопределенно, M
kи Wo N отрицательны, а wyWg положительно.
Чтобы продемонстрировать сложность нелинейных систем, нами проанализирована потенциально неустойчивая ситуация. Дальнейший бифуркационный анализ можно провести методами, развитыми Йоссом и Джозефом (1980).
4.5 Теория особенностей в экономическом анализе
Мы привели некоторые примеры приложений теории катастроф и теории бифуркаций к различным проблемам экономики. Теперь мы намереваемся перечислить некоторые направления, где к экономическому анализу может применяться теория особенностей.
Можно заметить, что большинство серьезных дискуссий в экономике касаются существования (устойчивых) отношений между переменными. Например, в неоклассической теории роста делается фундаментальное предположение о том, что существуют производственные функции, которые описывают технологическую структуру производства. Существование таких функций, как отметил Хикс (1965), — вопрос, относящийся к области «статических методов в динамической теории» (см. Занг, 1989). В литературе по экономике можно обнаружить много подобных фундаментальных работ, относящихся к данной области. Кроме того, имеются задачи, относящиеся, например, к существованию функции спроса денег, что является самым важным предположением в «монетаризме», к
существованию функции потребления товаров, функции сбережений, функции спроса товаров. Все эти функции используются в динамическом анализе.
Как только мы приняли предположение, что между переменными имеются подобные устойчивые соотношения, следующей проблемой становится выявление функциональных форм, которые могут быть потенциально полезны. Теоретически имеется множество функций, которые можно использовать в анализе. Поскольку протестировать каждую из них невозможно, дать классификацию подходящих функциональных форм очень важно и с практической стороны. С теоретической точки зрения, мы хотели бы найти среди возможных функциональных форм простейшие, которые удовлетворяют определенным ограничениям, и пролить свет на эти проблемы помогает теория особенностей. Займемся для простоты функцией спроса денег.
Формулируя теорию спроса денег, Фридман (1953) подчеркивал, что деньги являются единственным благом, единственным средством поддержания здоровья экономики, и что спрос на них можно проанализировать, используя стандартную теорию потребительского выбора. Он записал функцию спроса денег как

где спрос на деньги зависит от дохода, ожидаемого держателями акций и облигаций, от ожидаемого темпа инфляции, от соотношения богатства в форме человеческого капитала (образование, профессиональные навыки, квалификация) и богатства, воплощенного в материальных и денежных активах, от реального дохода (Y/P) и переменных, отражающих вкусы и предпочтения потребителей (обозначенных буквой и). Следуя Фридману, количественная теория содержит два утверждения: (I) эмпирическую гипотезу, что спрос денег устойчив и (II), что имеются важные факторы, влияющие на эмиссию денег, но не на их спрос.
Как только эта функциональная форма нами эмпирически определена, мы должны выбрать какие-то конкретные функции для проверки теории. Для начала должна быть известна некоторая информация, например, первая и вторая частные производные нашей функции денежного спроса по всем переменным. Зная их, мы определяем, какие именно функции должны быть использованы в эмпирических исследованиях. В нашем случае, как может подсказать нам теория особенностей, качественно полезными оказываются лишь несколько конкретных функций. Другими словами, если информация о частных производных верна, мы имеем лишь несколько функций, которые можно использовать при анализе. Следовательно, мы должны рассмотреть именно эти возможные функции.
Другая проблема состоит в том, что при использовании функции денежного спроса мы всегда опускаем некоторые важные факторы. Необходимо потребовать, чтобы пренебрежение этими факторами не оказывало серьезного влияния на качественные свойства построенной функции. С другой стороны, действительно полезную функцию невозможно получить эмпирически. Теория особенностей говорит нам, какие функции вообще могут быть использованы для поставленных целей.
Наконец, нужно подчеркнуть, что приложение теории особенностей очень трудно в техническом отношении. Кроме того, поскольку большинство результатов этой теории носит локальный характер, при практическом экономическом анализе мы должны отдавать себе отчет в их ограниченности.
4.6 Замечания
Настоящая глава касалась в основном структурных изменений равновесных решений для различных экономических систем. Мы показали, что если предположения традиционного сравнительного анализа ослаблены, при сдвиге параметров вблизи их критических значений могут появиться множественные точки равновесия и возникнуть неожиданные изменения структуры решений. В долговременном смысле, поведение, изучаемое в данной главе, от времени не зависит. В следующей главе мы исследуем, как при изменении параметров равновесных решений, не зависящих от времени, формируются структуры, которые обладают временной зависимостью.
5 Экономические циклы
Природа представляет собой реализацию простейших из возможных математических идей.
Альберт Эйнштейн
В предыдущей главе мы показали, что малые изменения внешних параметров могут привести к резким изменениям характера экономической эволюции нелинейных динамических экономических систем вблизи критических точек. В таких неустойчивых системах не исключено существование не одного, а множества равновесий. Если учесть при этом, что малые возмущения параметров могут носить случайный характер, то это означает, что пути экономической эволюции не подчиняются прямому историческому детерминизму, и случайность может существенно изменить траекторию развития. Однако экономические явления, рассмотренные в гл. 4, не зависят от времени. В настоящей же главе мы коснемся таких структурных изменений (вызванных малыми сдвигами параметров), которые приводят к регулярному поведению, зависящему от времени — предельным циклам.
5.1 Т еории экономических циклов
Экономическая жизнь подвержена переменам ... отчасти вследствие изменения в данных, ... но существует и другой... источник ... изменений... в экономической системе, который присущ самой системе и лежит в основе столь важных явлений, что они представляются заслуживающими отдельной теории.
Дж. А. Шумпетер (1934)
Флуктуации, которые мы наблюдаем в экономических данных, весьма различны и по амплитуде, и по области распространения, и по длительности. Эти явления могут быть как национальны, так и интернациональны по охвату, и иногда весьма стойки — во всяком случае, достаточно продолжительны, чтобы позволить развиться
комулятивному движению системы как в направлении роста, так и затухания. Циклы деловой активности являются принадлежностью современной экономики с взаимозависимыми рынками, свободным предпринимательством и частной собственностью на финансовые активы и средства производства. Они получили развитие в эпоху стремительного роста индустрии, банков и кредита. Они изменяются и трансформируются, даже если сохраняют свои основные характеристики устойчивости и консервативности, а также особые регулярные свойства амплитудных и временных зависимостей. В качестве иллюстрации на рис. 5.1 показаны шесть временных зависимостей для США в послевоенные годы: реальный валовый национальный продукт (ВНП), уровень безработицы, процентная ставка, темпы изменения реального денежного предложения, уровень инфляции, производительность труда и средняя повременная реальная заработная плата.
Переменные — реальный ВНП, уровень безработицы и доход в человеко-час — на приведенных графиках демонстрируют нерегулярное комулятивное движение. В 1954, 1958, 1960, 1970 и 1974-1975 годах наблюдается определенный спад, который характеризуется уменьшением реального ВНП и соответствующим увеличением уровня безработицы. Следует заметить, что аналогичная картина наблюдается и в других (развитых) странах.
Зададимся вопросом: возможно ли объяснить и предсказать подобные флуктуации? Эндогенны или экзогенны деловые циклы? Эти проблемы с различных точек зрения обсуждаются в настоящей главе.
Для объяснения экономических флуктуации были предложены две основные причины. Во-первых, на экономическую систему воздействуют случайные внешние факторы, что приводит к смещению системы от положения равновесия. Пока система сохраняет близость к равновесию, результирующая траектория экономики может иметь вид осцилляторных скачков — аналогичным образом может порождаться периодичность физических характеристик машин или зданий, которые подвергаются физическим воздействиям. Во-вторых, осцилляции могут возникнуть вследствие сложных нелинейных взаимодействий между переменными. Такие типы осцилляции эндогенны по определению и находятся за пределами нашего интуитивного понимания. Изучение эндогенных экономических циклов является одним из наиболее важных предметов экономической теории. Эта глава касается в основном деловых циклов в нелинейных системах.
Экономисты—теоретики склонны соглашаться с тем, что деловые циклы имеют преимущественно эндогенное происхождение, включая периодические флуктуации соотношений монетарных и реальных переменных, цен и объемов производства, ожиданий и
 |
|
Рис. 5.1. Примеры экономических флуктуации: (а) реальный ВНП, (b) уровень безработицы, (с) процентная ставка. |
их реализации, хотя эти же экономисты принципиально расходятся во мнениях, какие из факторов играют ведущую роль, а какие подчиненную.
Просматривая ежемесячные или ежеквартальные сводки, в которых представлены многочисленные и разнообразные показатели,
 |
|
Рис. 5.1. Примеры экономических флуктуаций (продолжение): (d) темпы изменения реального денежного предложения, (е) темпы инфляции, (f) доход, приходящийся на один человеко-час. |
мы обнаруживаем, что деловые циклы можно легко отличить от Других флуктуации, потому что, как правило, они больше, продолжительнее и широкоохватней. В противоположность сезонным и Другим вариациям, которые продолжаются в течение года и менее, в ходе таких деловых циклов изменения в экономике усиливаются
 |
|
Рис. 5.1. Примеры экономических флуктуаций (продолжение): g) реальная заработная плата (NSA) (Источник: Сарджент, 1979.) |
на интервалах в несколько лет, отражая долговременные тенденции и взаимодействия и определяя ход развития на десятилетия.
Как показано у Зарновица (1985), в течение делового цикла интерес к деловой активности сам носит волновой характер, возрастая в ходе и по окончании турбулентного периода и депрессии и падая в периоды относительной стабильности и непрерывного роста.
Классики литературы по деловым циклам внесли весомый вклад в описание и анализ развития индустриальных рыночных экономических систем. Мы просто назовем некоторые из этих теорий. Роль расхождений между рынком и «естественной» процентной ставкой интенсивно исследовалась Кнутом Викселем (1898). Хотри (1913) изучал общие процессы расширения инфляции и дефляционных сжатий, вызванных флуктуациями банковских кредитов, которые, в свою очередь, сдерживаются доступностью имеющихся в наличии банковских резервов, соответствующих золотому стандарту. При рыночных ставках ниже равновесных, избыточный банковский кредит вызывает повышение инвестиций в отрасли производства средств производства и принуждает к «вынужденным сбережениям» тех, чей рост доходов отстает от уровня инфляции (Хайек, 1933). Монетарные изменения связаны с реальными вертикальными диспропорциями, которые отражают дисбаланс между производством средств производства и потребительских товаров или между совокупностью инвестиционных планов и сберегающих решений (Туган-Барановский, 1894, Шпитхоф, 1953). Были исследованы времена созревания и жизни средств производства и некоторые циклические аспекты принципов ускорения (Афтальон, 1913, Кларк, 1917). В период неопределенности взаимозависимые ожидания бизнесменов вызывают широко распространенные ошибки оптимизма при расширении и пессимизма при сокращении деловой
активности (Пигу, 1927). Непредсказуемые сдвиги спроса или предложения приводят к нарушениям механизмов горизонтального регулирования экономики — сверхинвестициям в некоторых секторах (Робертсон, 1915). Флуктуации в прибыльности предпринимательства, которые происходят в результате флуктуации стоимости единицы трудовых затрат и стоимости производства, помогли объяснить циклические движения инвестиций и выпуска продукции (Митчелл, 1913). Шумпетер (1939) видел экономический рост как собственно циклический процесс, отражающий технологический прогресс и рывок инноваций. Кейнс (1936) охарактеризовал внезапными поворотами, затяжными спадами и постепенными медленными подъемами торговые циклы. Резкие спады или «кризисы» он объяснял внезапным коллапсом малорентабельного капитала. Однако анализ Кейнса содержит в себе динамику лишь неявно и частично. Сказанное здесь иллюстрирует широкий разброс мнений, присущий традиционной экономике, хотя между всеми этими теориями есть и немало общего.
Существенным общим положением всех данных теорий являлось признание эндогенного характера экономических циклов, т. е. заведомая концентрация на внутренней динамике систем. В целом эти теории утверждали, что в результате такой динамики современные индустриальные экономики подвержены периодическим флуктуациям с крупномасштабными регулярными закономерностями, которые можно объяснить экономически. Роль экзогенных сил считалась второстепенной, даже несмотря на то, что благодаря их непрерывному воздействию эти силы выступают как источники и возбудители эндогенных процессов и могут ускорить, затормозить, прервать или повернуть вспять эндогенное движение экономической системы. Кроме того, в этих теориях в общем признавалась серьезность проблемы экономической нестабильности, хотя неустойчивость и не трактовалась как источник флуктуации, как это делается у нас. Согласно этим теориям, экономика всегда находится в равновесии либо, в крайнем случае, стремится к нему. Это может быть одной из причин того, что в течение длительного времени деловые циклы рассматривались большинством экономистов-теоретиков просто как результат «помех», временно отклоняющих систему от равновесия.
В 30-ых и 40-ых годах двадцатого столетия наблюдалось резкое увеличение числа формальных моделей по существу эндогенных циклов валового выпуска продукции, в которых использовались различные версии акселератора инвестиций и мультипликатора потребления (Харрод, 1936, Калецкий, 1937, Самуэльсон, 1939, Метцлер, 1941, Хикс, 1950). Тесно связанный с ними, но более общий класс моделей основан на принципе регулирования капитала (или «гибком акселераторе»): текущие инвестиции равны некоторой
доле разницы между желаемым и реальным капиталом. Желаемый запас изменяется непосредственно с национальным доходом. Чистые инвестиции растут с ростом национального дохода и уменьшаются при увеличении начального значения капитала (Калецкий, 1935, Калдор, 1940, Гудвин, 1951). Динамика этих моделей определяется запаздыванием, нелинейностью или обоими факторами сразу, хотя в некоторых теоретических моделях деловых циклов отдается предпочтение нелинейности. Обоснованное использование нелинейностей в теории деловых циклов систематически присутствует в литературе последних лет.
Сегодня для анализа крупных экономических флуктуации, включая кризисы, депрессию, резкие повороты и предельные циклы широко применяются такие аналитические методы, как теория бифуркаций, теория катастроф, теория особенностей. В настоящей главе мы придерживаемся именно этого направления.
Изучение деловых циклов близко соотносится с предметом макроэкономики быстротекущих процессов и имеет тесную связь с экономикой роста, денег, инфляции и ожиданий. Имеются монетаристские интерпретации деловых циклов, представляющие собой равновесные модели с ценовыми непониманиями и межвременными замещениями.
Ход развития экономической теории привел нас сегодня от «адаптивных» к «рациональным» ожиданиям.
Рациональный подход, в смысле уверенности в справедливости представлений о монетаристских шоках, является в целом монетаристским, но центр тяжести перенесен от изменений номинального спроса и регулирования запаздывания цен на информационное запаздывание и реакцию предложения. Рождаются новые проблемы и сложности, которые приводят ко все новым попыткам объяснения живучести циклического движения, роли в нем неопределенности и финансовой нестабильности, реальных скачков, последовательного регулирования цен и так далее (см., например, Барро, 1989).
5.2 Некоторые математические результаты теории предельных циклов
5.2.1 Теорема Пуанкаре-Бендиксона и ее приложения к экономике
Рассмотрим сначала систему обыкновенных дифференциальных уравнений второго порядка
^
хі ,, . dx2
ь*і), (5.2.1)
где х = (х
1, х
2)
Т причем х изменяется в пределах U с R
2, а f и g — достаточно гладкие функции от х. Всестороннее исследование предельных циклов систем второго порядка проведено Йе и др. (1986) (см. также Баутин, Леонтович, 1990, сноска в разд. 3.6. — Ред.).
Точка х* определяется как предельная точка х, если существует такая последовательность, что lim W
t(x) = х* при где W
t(x) — поток системы.
Теорема 5.2.1. (Пуанкаре-Бендиксоп.) Непустое компактное предельное множество непрерывно дифференцируемой динамической системы в Л
2, которое не содержит точек равновесия, представляет собой замкнутую орбиту.
Следующая ниже теорема является следствием теоремы 5.2.1.
Теорема 5.2.2. Область, ограниченная замкнутой траекторией непрерывно дифференцируемой динамической системы в R
2, должна содержать точку равновесия dx/dt = 0. Более того, если траектория принадлежит замкнутому ограниченому подмножеству D в U, то ее предельное множество L(x) непусто, замкнуто и связно.
Смысл этих теорем заключается в том, что если в множестве U можно выбрать некоторое подмножество D таким образом, что предельное множество L(x) непусто, является компактом и не содержит точек равновесия, то это предельное множество представляет собой замкнутую орбиту, окружающую точку равновесия. Следует заметить, что перечисленные выше теоремы не исключают возможности существования нескольких предельных циклов.
Пусть D — односвязная область в U. Имеем следующую теорему:
Теорема 5.2.3. (Бендиксон.) Предположим, что f и g в (5.2.1) обладают в D непрерывными первыми производными. Если сумма (df/dxi +дд/дх
2) не меняет знака во всей области D, то периодического решения системы (5.2.1), целиком лежащего в D, не существует.
Теорема Бендиксона формулирует условие отсутствия предельных циклов в области D.
Теорема 5.2.4. (Де Баггис.) Пусть система структурно устойчива. Тогда она имеет в D лишь конечное число предельных циклов, которые попеременно устойчивы и неустойчивы в асимптотическом смысле
12.
Существует множество приложений теоремы Пуанкаре-Бендиксона к экономике (см. Шинаси, 1982, Семмлер, 1985, 1986). В частности, Чанг и Смит (1971) привели приложение теоремы Пуанкаре-Бендиксона к модели Калдора (1940) делового цикла. Модель Чанга-Смита определяется как
(5.2.2)
% = a[T{Y,K)-S(Y,K)], ^ = Г{У,К),
где Y, К, S и I(Y, K) обозначают соответственно реальный доход, капитал, функцию потребления и функцию чистых инвестиций. Будем предполагать, что S
K < 0 и II
KI > I s
k|
В точке равновесия произведение собственных значений равно a(S
KI
Y - S
YI
K). В случае неседловой точки эта величина должна быть положительной. Если требовать неустойчивость состояния равновесия, то сумма собственных значений, равная a(I
Y — S
Y) + I
K, должна быть строго положительной. Чанг и Смит доказали следующую теорему:
и обладает
2
Теорема 5.2.5. (Чанг и Смит.) Если система (5.2.2) определена в R+
следующими свойствами:
(i) I
K < S
K < 0, I
Y > 0, S
Y > 0;
(ii) в точке равновесия (K
0, Y
0) имеет место a(I
Y — S
Y) + I
K > 0 и S
KI
Y > S
YI
K;
(iii) производная dK/dt = 0 пересекает К-ось в конечной точке K(0) > 0;
(iv) dY/dt = 0 пересекает Y-ось в конечной точке Y! > Y
0 и lim K = ;
Y ^0
(v) система структурно устойчива,
то каждая траектория либо является предельным циклом, либо приближается к предельному циклу.
Эта теорема идентична теореме Пуанкаре-Бендиксона. Менее известно, что модель Калдора 1940 г. представляет собой первую эндогенную модель делового цикла, хотя ее отличие от широко известной модели, Чанга и Смита весьма незначительно и носит формальный характер.
Теорема 5.2.5 формулирует условия существования предельного цикла. О его единственности ничего не говорится, так как теорема Пуанкаре-Бендиксона доказывает существование по крайней мере одного предельного цикла, т. е. вполне возможна ситуация, когда существуют одновременно несколько циклов, попеременно устойчивых и неустойчивых. Это значит, что то, на какой предельный цикл
попадет и будет двигаться система, зависит от начальных условий, наложенных на переменные.
Попытка разрешить проблему единственности для модели Чанга-Смита с помощью теоремы Левинсона-Смита была предпринята недавно Лоренцем (1986). Хотя его результат носит довольно частный характер, тем не менее он весьма важен, поскольку вопрос о единственности предельного цикла в нелинейных моделях деловых циклов редко поднимается в литературе.
Прежде чем сообщить результат Лоренца, остановимся на теореме Левинсона-Смита. Рассмотрим так называемое обобщенное уравнение Льенара

или эквивалентное ему уравнение
d
7 х
~di
5т+Л*>§+*(*) = 0.
(5.2.3)
Теорема 5.2.6. (Левинсон и Смит, 1942.) Уравнение (5.2.3) имеет единственное решение, если выполняются следующие условия:
i) f и g принадлежат С
1;
ii) f(x) < 0 для х е (-xj, x
2), где xj, x
2 > 0;/(x) > 0 для остальных х;
iii) х g (х) > 0 для любого х, не равного нулю;
iv) lim F(x) = lim G(x) = ^, где
r* f*
F{x) = f'(v)dv, G(x)= g(v)dv;
Jo Jo
v) G(-x1) = Gfe).
Применим эту теорему к (5.2.2). Теперь (5.2.2) можно переписать в виде
fy
dt
2
Дифференцирование уравнений регулируемого потребительского рынка по времени приводит к уравнению
d
7Y dt
7
a(I
Y - Sy)~ - а(І
к - Sk)I = 0. (5.2.4)
Уравнение (5.2.4) нельзя отнести к типу Льенара. Чтобы использовать теорему 5.2.6, предположим, что изменение капитала определяется только функцией накопления, т.е. dK/dt = S, где S = S(Y), Предположим также, что выражение (I
Y - S
Y), обозначенное через W(Y), а также І
к не зависит от величины накопления капитала. Тогда (5.2.4) можно переписать как
У1 у J у
-
r-
QW(Y)—-
0I
KS = 0. (5.2.0)
Лоренц (1986) показал, что и при некоторых других, вполне приемлемых предположениях, для функций инвестиций и накопления, симметричных относительно Y, периодическое решение уравнения (5.2.5) определяется однозначно.
5.2.2 Теорема Хопфа о бифуркациях
Поскольку теорема Пуанкаре-Бендиксона распространяется лишь на системы второго порядка, ее применение в экономике довольно ограниченно. Большинство экономических систем имеют гораздо больший порядок, так что желательно иметь в арсенале аналитические методы, пригодные для систем высоких порядков. Весьма полезной с этой точки зрения оказывается бифуркационная теорема Хопфа.
Нужно отметить, что теорема Пуанкаре-Андронова-Хопфа, называемая обычно бифуркационной теоремой Хопфа, является наиболее важным результатом теории бифуркаций. Термином «бифуркация Хопфа» называют явление рождения периодической орбиты из стационарного состояния эволюционного уравнения при изменении бифуркационного параметра. Бифуркационная теорема Хопфа формулирует достаточные условия такого поведения. Возможно, за исключением принципа максимума Понтрягина, в математике больше нет теоремы, которая имела бы столь широкое применение. Как нам кажется, причины этой популярности кроются в следующем:
(i) Условия возникновения бифуркации Хопфа легко обнаружить;
(ii) Теорема применима для любых размерностей и пространств;
(iii) Бифуркации Хопфа — единственный вид нестационарного поведения, который хорошо понят в рамках теории бифуркаций;
(iv) Теорема дает яркий пример различия между линейными и нелинейными явлениями; и, кроме того,
(v) Приводит в систему процесс нахождения периодических орбит «в целом».
Приведем стандартную формулировку бифуркационной теоремы Хопфа. Рассмотрим автономную систему
- = /(і, г), /(0, г) = 0, (5.2.6)
где f: R
n х R ^ R
n класса С" , а r — бифуркационный параметр, причем х = 0 является точкой равновесия системы для всех значений г.
Хопф (1942), а затем Марсден и Мак-Кракен (1976) показали
13, что если функция f удовлетворяет некоторым условиям, для системы (5.2.6) можно построить однопараметрическое семейство периодических траекторий, исходящих из точки (x, r) = (0, 0). Пусть A(r) — Якобиан размерности п х п функции f на стационарном решении. Первое предположение Хопфа состоит в том, что
(i) А(0) имеет пару ненулевых чисто мнимых простых собственных значений ±iz
0 и
(ii) А(0) не имеет других собственных значений на мнимой оси.
(5.2.7)
Заметим, что предположение (ii) можно ослабить. Можно показать, что периодические орбиты существуют и в том случае, если А(0) имеет на мнимой оси и другие собственные значения, при условии, что ни одно из них не является целым кратным значению ±iz
0. Кроме того, мы требуем, чтобы A(r) имела простые собственные значения вида zi(r) ±iz
2(r), где zi(0) = 0, z
2(0) = z
0, причем z
t - гладкие функции переменной r. Это следует из того факта, что элементы матрицы A(r) действительны и гладко зависят от r, а чисто мнимые собственные значения являются простыми.
Второе предположение Хопфа состоит в том, что
z/(0) не равно нулю,
(5.2.8)
то есть при переходе r через нуль мнимые собственные значения матрицы A(r) пересекают мнимую ось с ненулевой скоростью (см. рис. 5.2).
В теореме Хопфа о бифуркациях утверждается, что если выполнены условия (5.2.7) и
(5.2.8), то уравнение dx/dt = fix, r) обладает однопараметрическим семейством периодических решений.
13См. также А. А. Андронов «Применение теории Пуанкаре о «точках бифуркации» и «смене устойчивости» к простейшим автоколебательным системам». С. R. Ac. Sci., Paris, 189, 15 (1929), с. 559-561, а также комментарии в книге В. И.
Арнольда (сноска в разд. 3.2). — Прим. ред.

Для полного анализа поведения системы важно знать также, является ли бифуркация суб-или суперкритической и условия бифуркационной устойчивости циклов. Все эти вопросы рассмотрены в таких книгах, как, например, Марсден и Мак-Кракен (1976); Йосс и Джозеф (1980), Чу и Хейл (1982) или Голубицкий и Шеффер (1984)
.
Приведем следующий пример бифуркации Хопфа. Рассмотрим систему
^ = ГХі - х
2 - (х? + х\)х
Х,
(5.2.9)
-gf* = И + гх
2 - + х])х
2.
Начало координат (0,0) является ее точкой равновесия. Линейный анализ этой системы позволяет сделать следующие заключения. Для r < 0 стационарное решение является устойчивым, тогда как для r > 0 оно неустойчиво. При r = 0 состояние нейтрально. Таким образом, бифуркацию Хопфа можно наблюдать при возрастании r от нуля в сторону положительных значений. Голубицкий и Шеффер (1984) показали, что фазовый портрет этой системы может быть представлен в виде, изображенном на рис. 5.3. При r > 0 у системы (5.2.6) есть в точности одно периодическое решение. Более того, это решение устойчиво в том смысле, что все орбиты, находящиеся в его окрестности, к нему стремятся. Таким образом,
|
устойчивое при r < 0 стационарное решение x = 0 с ростом r теряет устойчивость, и происходит зарождение периодических решений, устойчивых при г > 0. |
 |
Кубические члены системы (5.2.9) направляют х вовнутрь кругов |х| = const. В случае больших lxl эти члены преобладают, стягивая орбиты к окрестности нуля. С другой стороны, когда |х| мало, доминируют линейные члены, и если r > 0, линейные члены выталкивают орбиты из окрестности начала координат. Существование периодических решений является результатом конкуренции этих сил.
Имеется множество статей, в той или иной степени обобщающих бифуркационную теорему Хопфа (в частности, на случай систем бесконечно большого порядка), а также ряд книг, в которых рассмотрены приложения этой теоремы в различных областях науки (см., например, Марсден и Мак-Кракен, 1976, Гуэл и Реслер, 1979, Хэссард, Казаринов и Вэн, 1981). В настоящее время она широко используется и в экономике (см.; например, Бенхабиб и Мийао, 1981, Бенхабиб и Нишимура, 1986, Занг, 1988d, 1989b, 1990а) — этим примерам посвящена остальная часть главы.
5.3 Упрощенная модель делового цикла Кейнса
Рассмотрим динамическую экономическую систему, которая предложена Кейнсом в его «Общей теории». Упрощенная модель делового цикла, согласно Кейнсу, описывается уравнениями
% = Я) - S(Y, R)) = aF(Y, Я), Я) - L*}.
Здесь все параметры и переменные положительны и означают
Y — национальный доход;
R — процентную ставку;
I(Y, R) — функцию спроса на инвестиции (I
Y > 0, I
R < 0); S(Y, R) — функцию сбережений (S
Y > 0, S
R > 0);
L(Y, R) — суммарный спрос на деньги (L
Y > 0, L
R < 0);
L
s — предложение денег (фиксированная величина); а, в— положительные параметры установления
.
Эта система отражает тот простой факт, что превышение спроса на инвестиции над сбережениями приводит к возрастанию дохода, и наоборот; и что если спрос на деньги выше, чем их предложение, то ставка процента прибыли растет.
Условия, налагаемые на входящие в систему функции и их производные (I
Y > 0, I
R < 0, S
Y > 0, SR > 0, LY > 0, LR < 0), означают, что инвестиции находятся в прямой зависимости от объема выпуска продукции и в обратной от процентной ставки. Это значит также, что рост национального дохода или процентной ставки будет побуждать население к большим сбережениям, а при условии роста производства продукции или уменьшения процентной ставки спрос на деньги возрастает.
В такой модели предполагается существование положительного равновесия (Y
0, R
0); которое определяется пересечением кривых L(Y, R) = L
s и F(Y, R) = 0. Рассмотрение системы достаточно ограничить локальной областью пространства вблизи равновесия.
Наличие циклов в этой модели первым предположил Торре (1977). Мы повторим здесь его анализ.
Чтобы воспользоваться бифуркационной теоремой Хопфа, мы должны определить условия существования пары чисто мнимых собственных значений и выяснить, когда равновесие теряет устойчивость. Благодаря Торре (1977) мы знаем, что эти условия выполняются, если в точке равновесия имеет место

Поскольку а может принимать любые значения из R+, найдется и такое значение, при котором выполняется первое равенство из (5.3.2). А поскольку F
Y = I
Y- S
Y, условие F
Y > 0 означает, что при заданном объеме производства предельные инвестиции в
производство выше предельных сбережений
. Более развернутая интерпретация соотношений (5.3.2) есть у Торре (1977).
Теорема 5.3.1. Пусть (5.3.2) выполняются. Тогда в системе (5.3.1) существуют предельные циклы с центром в точке (Уо,До) (бифуркация Хопфа). Критическое значение бифуркационного параметра а равно а<> Рожденные в результате бифуркации циклы периода 2nJa(e) приближенно описываются уравнениями
 |
где г0 = {осо/? (FYLR — FRLY )}1/2, е- параметр разложения по амплитуде, и
о = о0 + е2г2 + 0(?4), |
(5.3.4)
ш(е) = г
0 + ?
2(*>2 + 0(е
4),
где х
2 и со
2 —константы. Более того, если х
2 положительно, то периодическое решение будет устойчивым, в случае отрицательного х
2 — неустойчивым.
Доказательство. Для доказательства теоремы воспользуемся методом Йосса и Джозефа (1980). Поскольку существование периодических решений доказано Торре (1977), нам нужно показать здесь только метод приближенного расчета периодических решений.
Чтобы записать исходную систему в локальном виде, введем новые функции U
1 = Y - Y
0 и U
2 = R - R
0, где функции Yи R удовлетворяют (5.3.1). Буквой х обозначены малые отклонения параметра а от значения осо, т.е. х = а — осо. Тогда (5.3.1) можно переписать как
^ = J(o:)C7 + 7V(xIt/,f/) + 0(t73)) (5.3.5)
где U = (Ui, f/
2)
T — якобиан в точке равновесия
(aFy а Fr\
\0Ly PLr)
и N - члены, квадратичные по U. Пара искомых собственных значений
якобиана определяется из выражения

где а = а
0 + х. В точке х = 0 в случае выполнения условий (5.3.2) имеем пару чисто мнимых собственных значений ±iz
0. Если обозначить через z(x) собственное значение, которое при х = 0 равно iz
0, то Яе|г
х(0)] не будет равным нулю, что обусловливает потерю устойчивости равновесия. Таким образом, мы вывели условие бифуркации Хопфа.
Чтобы получить точную формулу для периодических решений, найдем из
JX = z(x)X, УтГ=г(і)Г, (а .3.7)
собственный вектор Х и сопряженный собственный вектор X*, соответствующие собственному значению z(x), которые удовлетворяют условиям (X, X*} = 1 и ( О , X*}= 0, где (,) — эрмитова билинейная форма в С
2. Имеем

Так как Л' и О линейно независимы, U можно выразить в виде их линейной комбинации
U = a(t)X + а(і)Х, (5.3.9)
где функция а (t) пока неизвестна. Подставляя (5.3.9) в (5.3.5), умножая полученные функции на О* и складывая затем полученные уравнения, получим
da
~ = г(х)а + г
0а
2 + 2гі|<г|
2 + г
2ст
2,
(5.3.10)
|
где rj — некие комплексные числа, которые мы здесь выписывать не будем. Как показано в книге Йосса и Джозефа, решения (5.3.10) можно построить в виде рядов |
 |
|
где |
 |
|
Коэффициенты для низших степеней е определяются из соотношений |
 |
|
Из (5.3.12) можно получить точные значения величин Xj, aj (j = l,2,3), o\ и о2. Определим D как |
(5.3.13)
D = -[
?Re{z
t(0)} + O(?
3)]J,
где х = х
2е
2/2+?(е
4). В соответствии с теоремой факторизации (см. Йосс и Джозеф, 1980, гл. VII), если D положительно, цикл неустойчив, если отрицательно - устойчив. Таким образом, мы определили условия устойчивости для теоремы 5.3.1.
Мы не выписали здесь точных выражений для j a>j, Xj и других параметров, поскольку они слишком громоздки. Рисунок 5.4 иллюстрирует поведение системы. Радиус цикла зависит от параметра бифуркации: при удалении параметра от критического значения радиус растет.
Процентная ставка лежит то ниже, то выше точки равновесия, т.е. хотя она и может приближаться к значению R
0, но не может постоянно оставаться ему равной. Приблизившись к равновесию, она стремится от него прочь. Ее побуждает к этому нелинейный характер взаимодействия процентной ставки и объема производства. Аналогично можно объяснить поведение национального дохода У.
Из (5.3.3) имеем
SR(t) = —о sin[w(e)<] - ~SY(t) + 0(e). (5.3.14)
’ *'r
где SR(t) = {R(t) - R
0|/2e, SY(t) = {Y(t) - Y
0}He. Так как SY(t) — периодическая функция,
которая «не зависит» от SR(t), видим, что взаимодействие между двумя переменными может быть весьма сложным.
5.4 Характер неравновесности в модели без равновесий
В этом разделе мы дадим приложение теоремы Хопфа о бифуркациях к модели управления запасами, развитой в рамках макроэкономики, не обладающей равновесием. Эта модель первоначально была предложена в работе Экальбара (1985). Занг (1989f) уточнил ее введением нелинейной функции регулирования производства. Дальнейшее изложение основывается на результатах Занга.
Пусть экономика состоит из двух секторов — домохозяйств и фирм, и трех видов товара: денег, труда и продуктов производства. Продукты производства могут накапливаться фирмами, но не домохозяевами. Фирмы имеют предварительные ожидания (оценки) спроса продукции и загружают производство с учетом ожидаемого сбыта, поддерживая заданное отношение между сбываемым и имеющимся в наличии (накопленным) товаром. Производство понуждается к функционированию своими собственными мощностями.
Предполагается, что домохозяева и фирмы встречаются на рынке труда. Текущая величина обмена на рынке труда задается формулой L = min(L* L
d), где L* — фиксированный объем труда, предлагаемого домохозяевами к продаже, L
d — объем труда, который фирмы пытаются купить. Предполагается, что L
d = L
d (V, S
E), где V — объем запаса товаров, S
E — объем ожидаемого сбыта. Предполагается, что в соответствующих единицах измерения текущий объем выхода продукции равен dL(d > 0). Предполагается также, что фирмы управляют производством таким образом, что V = f(S
E), где f > 0 и f не равно нулю. Неравенство f > 0 означает, что величина требуемых запасов (накоплений) товара является
возрастающей функцией S
E Это соответствует литературным данным по
микронакоплениям.
Предположим, что эффективный спрос потребителей S направлен на максимизацию функции полезности Кобба-Дугласа U = AS
b(M/pf~
b, отражающей сбыт труда как товара и бюджетные ограничения, где р — цена товара, М/р — желаемый баланс, А (А > 0) и b (0 < b < 1) — параметры. Функция S задается соотношением
S = а + cQ, (5.4-1)
где а = ЬМ^р, с = wb/pd, w — номинальная заработная плата, а М
0 — нижний уровень денежного потребления населения.
Фирмы производят столько продукции, сколько, как им кажется, они могут продать, S
E, плюс поправку на накопление f(S
E) — V. Значит, потребность в труде задается формулой L
d = [S
E + f(S
E) — V]/d. С другой стороны, если на рынке труда имеется недостаток, объем производства не может превысить величину Q* = dL*. Текущий выпуск продукции должен составлять

В этой неравновесной модели рынок труда также не имеет равновесия, но фирмы могут поддерживать производство, позволяющее удовлетворять эффективный спрос населения. С другой стороны, хотя рынок товаров всегда находится в равновесии, фирмы могут сталкиваться с неравновесной ситуацией, если желаемое и реальное накопления окажутся различны.
Мы будем предполагать, что изменение функции V равно Q — S, и что S
E адаптивно регулируется в соответствии с разностью S — S
E. Динамика системы описывается уравнениями
— Q — S = (1 — с) min[SE + f(S?) - V, Q’} - а,
(5.4.3)
dS_ = S-S
E = aA-c тіа[S
E + /(S
E) - V, Q'} - S
E.
Кривая переключений определяется уравнением S
E + J{S
E) — V = Q*. Плоскость (V, S
E) разделена этой кривой на две части:
Wi = [(V:, 5
е) I 5
е + f(S
E) ~? < Q‘),
W
2 = [(V; 5
E) IS
E + /(5
E) - V > Q*].
Легко видеть, что, если текущая траектория принадлежит области W
2, система линейна. Этот случай детально изучен Экальбаром (1985).
|
Мы остановимся только на случае (V, SE) е Wj. Именно в этом случае на рынке труда возможна безработица. Динамика системы описывается уравнениями |
 |
Единственная точка равновесия задается соотношениями
50Е=Г^<С?') Vo = /(¦S’o ).
Собственные значения д, равны
2с-2 + cf
(5.4.5)
(5-4.6)
1/2
¦/ \ 2
(2с - 2 + cf)
21,2 =
Пусть с
0 удовлетворяет условию 2с — 2 + с/ = 0. Так как с
0 = 2/(2+/) и f > 0, имеет место неравенство 0 < с
0 < 1. Поскольку с = wb/pd, где 0 < b < 1, условие 0 < с
0 < 1 вытекает из того, что pd > 0. Однако из Q = dL мы видим, что w < pd означает, что прибыль фирмы будет положительной. Можно найти и соответствующее значение с
0 функции с. При с = с
0 собственные значения равны соответственно iv и —iv, где v = (1 — с
0)?
2. Будем рассматривать с как бифуркационный параметр, имеющий критическое значение с
0. Так как с = wb/pd, любое изменение величин w, b, р или d приводит к сдвигу параметра с. Пусть х = с — с
0. То собственное значение, которое при х = 0 равно iv, обозначим через г(х). Дифференцирование z(x) по переменной х дает

Из (5.4.7) видно, что действительная часть z
x(0) положительна. Следовательно, потеря устойчивости установлена. При х = 0 выполняется бифуркационная теорема Хопфа.
|
Теорема 5.4.1. В окрестности равновесия для малых x существует предельный цикл. Бифуркационный цикл периода 2n/s(e) задается уравнениями |
 |
где е— амплитудный параметр разложения и
c2
f ///2
s(e) = » + - 23с0 + 24Cg - 7с|)х(1 + f')2 + 0(е«). (5.4.9)
Более того, бифуркация является суперкритической.
|
Эта теорема доказана Зангом (1988f). Соответствующее периодическое движение изображено на рис. 5.5. |
 |
Если мы сможем поддерживать параметр е достаточно малым, мы всегда будем иметь цикл в области W
1.
Чтобы подробнее пояснить циклический характер поведения системы, разделим цикл на четыре части, как на рис. 5.5b. Пусть система первоначально находилась в точке D, в которой скорость изменения накоплений равна нулю. С этого момента ожидаемый объем сбыта начинает падать. Так как объем производства фирм, Q, равен потребительскому спросу, S, в то время как предполагаемый объем сбыта превышает спрос, производители должны предвидеть будущее снижение сбыта по сравнению с предполагаемым в настоящее время. Следовательно, возникнет снижение величины S . Далее система покидает точку D, а величина S
E продолжает уменьшаться. Однако, поскольку Q = S
E + f(S
E) - V, уменьшение S
E приведет к снижению величины Q. Так как потребительский спрос является функцией объема производства, уменьшение ожидаемого объема сбыта неявно приведет к снижению потребительского спроса. Поскольку скорость изменения накоплений равна Q — S, и обе величины Q и S уменьшаются, скорость изменения накоплений может оказаться и положительной, и отрицательной. Взаимодействие этих сил приводит к движению системы по направлению к точке А.
В точке А система не может остановиться, потому что объем производства становится ниже спроса. Остальные участки движения по циклической траектории могут быть объяснены подобным же образом. Движение будет повторяться до тех пор, пока не возникнут следующие бифуркации.
Поскольку одним из достоинств этой модели является объяснение наблюдаемого в реальности циклического поведения отношения накопления и сбыта, следует не только указать на факт цикличности, но и изучить его характер. В области W
1 текущее значение нормы товарообмена дается формулой
 |
|
Следовательно, этот коэффициент тоже периодичен (рис. 5.6). |
5.5 Монетарные циклы в обобщенной модели Тобина
В разд. 3.3 мы уже говорили о модели Тобина (см. также Тобин, 1965, 1969). Равновесие этой системы неустойчиво. Мы пересмотрим анализ, данный Тобином. Обобщенная модель, представленная в этой главе, принадлежит Зангу (1990Ь). Хотя модель, которую мы называем здесь обобщенной моделью Тобина, похожа на модель Тобина, сформулированную в разд. 3.3, они весьма разнятся в динамике цен, свойствах устойчивости и некоторых других
аспектах. Мы пренебрежем здесь эффектами амортизации, т.е. в формуле (3.3.8) будем считать d = 0. Тем не менее, соотношения (3.3.6) и (3.3.8) для обобщенной модели остаются справедливыми. Все переменные, которыми мы будем тут пользоваться, имеют тот же смысл, что и в разд. 3.3.
В обобщенной модели Тобина предполагается, что изменения цен отражают как избыточный спрос (или избыточное предложение), так и адаптивные ожидания. Мы принимаем за основу точку зрения Вальраса о том, что, когда имеет место избыточный спрос, цены растут, а когда имеет место избыточное предложение — падают. По закону Вальраса избыточный спрос на товары и услуги равен избыточному по сравнению с равновесным предложению (точнее, его потоку) реальных средств. Не принимая в расчет инфляционные ожидания, мы можем предположилъ следующую динамику

(5.5.1)
где а— положительный постоянный параметр, q представляет ожидаемую скорость инфляции. В случае полной взаимозаменяемости двух понятий — капитала и денег, можно считать, что функция g удовлетворяет следующим условиям: g
k = +«>, g
q = -ю, а в случае неполной их тождественности — д
к > 0 и g
q < 0.
Предполагается, что ожидаемая скорость изменения цен может отличаться от реальной скорости инфляции. Эта динамика может иметь вид

(5.5.2)
где в— так называемый «коэффициент ожидании».
Завершим построение модели записью уравнений, которые будем называть обобщенной моделью Тобина
(5.5.3)
$ = sf(k) - (1 - s)(z - q)x - пк ^ = x{z - а[х -g(k,q)] - л),
где первые два уравнения соответствуют (3.3.6) и (3.3.8) (с учетом d = 0). Положительное длительное равновесие (к
0, х
0, q
0) определяется как решение уравнений
(5.5.4)
5/(*о) — (1 — s)(z — д)хо - пк о = 0, (фо - ff(fco, 9о)] = г - п = до-
Из (5.5.4) имеем
_sf(k
0)-nk
0 ° (1 - s)n ’
что отражает отнюдь не нейтральную роль денег для модели в том смысле, что отношение «капитал/труд» в монетарной модели меньше, чем в немонетарной. Если х
0 = 0, имеем sf(k
0)/n = к
0 - как в модели Солоу. Если х
0 положительно, то sf(k
0)/n > k
0, или f(k
0)/k
0 > n/s, из чего и следует факт отсутствия нейтральности.
Так как нас интересует только устойчивость равновесия и локальное поведение системы, выпишем систему вблизи равновесия в локальном виде. Введем переменные
Uу — к — ко, и
7 = х-хо, u
3-q-q
0} (5.5.5)
где (к, х, q) удовлетворяет (5.5.3), а вектор U = (U
b U
2, U
3)
T достаточно мал. Подстановка (5.5.5) в (5.5.3) приводит к
^ = AU + N(U,U) + 0(\U\
3), (5.5.6)
|
где А — якобиан, вычисленный в точке равновесия, a N(U, U) — квадратичный член. |
 |
Явный вид квадратичного члена N(U, U) выписывать не будем, поскольку в дальнейшем он не используется. Введем величины
°і = “trace А = -sf + п + 2 ах
0 + 0(1 + ад
ч),
|
а7 - |
|
/ sf -п -(1 - s)n \ |
/ —2ах0 |
<*х0 дч \ |
|
\ ах09к -2ахо J |
V а/3 |
-/3(1 +а//,) ) |
|
Г-
sf — п сх
0
<*09к -0(1 +ад
к)
а3 = —|Л|.
(5.5.8)
(5.5.9)
Собственные значения якобиана ?/определяются из соотношения
?
3 + аі?
2 + а
7? + аз = 0.
Необходимые и достаточные условия устойчивости равновесия известны как критерий Рауса-Гурвица, именно: (i) щ > 0; и (ii) ща
2 — а
3 > 0. Как показано в работах Бенхабиба-Мийао (1981) и Занга (1990b), в зависимости от значений параметров равновесие исследуемой нами системы может оказаться как устойчивым, так и неустойчивым. Например, если мы движемся от адаптивных ожиданий в сторону точного предвидения, может возникнуть неустойчивая седловая точка. Чтобы проиллюстрировать это утверждение, рассмотрим, что происходит в точке равновесия при возрастании объема денежной массы. Немедленным следствием этого является повышение уровня цен, и реальный объем денежных запасов стремится возвратиться к прежнему уровню, однако первоначальное возрастание денежной массы приводит к повышению ценовых ожиданий и снижает накопленный капитал. Оба последних эффекта вызывают падение денежного предложения и могут стаять причиной того, что объем денежных запасов будет превышать свое равновесное значение. Если денежное предложение продолжает падать ниже уровня равновесия, переменные меняются местами:
объем накоплений капитала возрастает, а ожидания снижаются. В сочетании с прямым влиянием объема денежных запасов на денежные накопления это приведет теперь к изменению направления динамики денежных запасов. Эти соображения наводят нас на мысль о возможности существования долговременных осцилляции.
Доказательство существования бифуркации Хопфа в обобщенной модели Тобина принадлежит Бенхабибу и Мийао (1981). Их результаты можно сформулировать в виде следующей теоремы:
Теорема 5.5.1. Если существует такой набор значений параметров, который обеспечивает устойчивость равновесия, можно найти такое значение Д> при котором якобиан системы имеет пару чисто мнимых собственных значений. Более того, существует непрерывная функция ?(е)[?(0) = 0] параметра е, такая, что когда параметр ? достаточно мал, обобщенная модель Тобина имеет непрерывное семейство периодических решений (k(t, е), x(t, е), q(t, ?))
T, которое при е^ 0 стягивается к точке равновесия (k
0, х
0, q
0).
Эта теорема весьма важна, так как доказывает существование регулярных колебаний в системе. Если цикл устойчив, такие колебания будут продолжаться бесконечно долго. Таким образом, неравновесное экономическое развитие отныне не следует рассматривать как быстротекущий процесс, и обобщенная модель Тобина становится пригодной для описания деловых циклов. Мы продолжим исследование Бенхабиба и Мийао с тем, чтобы (i) найти условия устойчивости циклов; (ii) дать точную интерпретацию параметра е; (iii) найти явное выражение для циклических траекторий; (iv)
чтобы определить, в каких случаях бифуркация Хопфа является суперкритической либо субкритической. Прежде всего, покажем, что если якобиан имеет пару чисто мнимых собственных значений, то все три задаются формулами
®і——°ь 02,з = ±*\/57= ±г?о- (5.5.10)
Как установлено Бенхабибом и Мийао, все a
t (i = 1, 2, 3) положительны. Наличие чисто мнимых собственных значений означает, что (5.5.9) можно переписать к следующему виду:
?
3 + аі?* + аз ? + аз = (?
2 •+¦ о*)(? + о.') —
= ?3 + а'?2 + о*? + о? = 0.
(5.5.11)
Следовательно, соотношения (5.5.10) справедливы.
Последующий анализ использует в в качестве бифуркационного параметра. Значение в, которое удовлетворяет (5.5.11), обозначим как во, а малое отклонение в от во как ?, т.е. ? = в — во. Собственные значения являются непрерывными функциями параметра в Обозначим через ?(?) собственное значение, равное і?
0 в точке ? = 0 (т.е. в = в
0). Можно показать, что вполне разумно считать ?
?(0) не равным нулю (см. Бенхабиб и Мийао, 1981).
Введем следующие действительные величины:
Gi — а
2д'[(1 - s)x
0gk + (п — sf')g
4](x
0 - пд
ч) + ад'g
qQ%,
С
2 = Qfl*0
o[5
?(ftr
o - ang
q) - (1 - s)x
0gk - (я - sf')g
q],
' (5.5.12)
где д* = 1/[(1 — і){ ?
2 + (ах
0 — аид
?)
2}]. Можно доказать следующую теорему.
Теорема 5.5.2. Бифуркационный цикл в обобщенной модели Тобина имеет период 2%/S(e) и может быть приближенно описан формулами

где ?— параметр разложения амплитуды,
?(е) = 0 — 0о —
? у
2 + 0(е
4),
(5.5.14)
S(e) =?
0 + ^|2. + О(е
4),
и ?
2 и S
2 —некоторые константы. В случае Яе(?
?)>0, если ?
2 > 0, цикл суперкритически устойчив; если ?
2 < 0 — неустойчив. Когда Яе(?
?) < 0, если v
2, отрицательно — цикл субкритически устойчив; если ?
2 положительно — неустойчив.
Эта теорема доказана Зангом (1989).
Теорема показывает, что потеря устойчивости, которая возникает в случае регулирования ожиданий, связана с возникновением постоянных ограниченных колебаний цен, объема производства и ожиданий. Как быстро осуществляется это регулирование, не имеет никакого значения, поскольку величина Д при которой равновесие теряет устойчивость, существует всегда. Поведение такой системы иллюстрирует рис. 5.7.
Будут бифуркации субкритическими или суперкритическими, зависит от нелинейных членов высших порядков. Рассмотрим далее субкритический случай. В левой окрестности Д
0 экономика вблизи точки равновесия будет локально устойчивой. Сильный толчок (шок)
 |
|
Рис. 5.7. БифуркацияХопфа от фиксированной точки (а) к предельному циклу (b) и поведение Z (с). |
^ В циклической обллсш
P(tl
Pit
Pttl
ИНМШІ
равновесие
В циклической схтстн
(а) ?*>0
(b) v**0
(с) v*<0
|
Рис. 5.8. Осцилляции цен. |
 |
может столкнуть экономику с орбиты, и в этом случае она не будет стремиться вернуться
к прежней стационарной точке. Введем для простоты переменные
Ко(*)=[*(*,?) - *о]Л, A'0(<)=[i(t,?) - *о]/е. <2о(*)=[?(*.?) “ ?о]/?-
Заметим, что здесь д
к > 0, g
q < 0 и д* > 0. Если п примерно равно sf(k
0), то имеем G
2 < 0 и приближенно
M0(t) = a'GiK0{t) + fl"sin[d(e)«], ,
(5.5.151
Qo(0 = ^iKo(0 + 6
/,sin[d{e)t]
1 v
где a', a", b' - положительные константы, a b"(= ?
0/х
0 + nG
2/x
0) не определено. Динамическое взаимодействие между этими тремя переменными весьма сложно. Возрастание объема капитала на душу населения может быть связано с увеличением либо уменьшением M
0(t) — величины, которую можно определить как «фазу» системы.
Интересно рассмотреть поведение других переменных цикла. Динамика цен задается выражением
L(t)x(t) L(Q)x[t) M{t) ~ М(0)
1
Р(<)
ехр[(я — г)<] = саг(<) ехр(—v"t)
где с — константа, a v*= z - п. Поведение цен показано на рис. 5.8. С течением времени, если скорость роста занятости не равна скорости роста денежных запасов, цены будут устремляться к бесконечности или нулю. Для K(t) = k(t)L(t) динамика капитала представлена на рис. 5.9.
5.6 Осцилляции в гибридной модели роста Ван дер Плюга
В литературе по теории экономического роста рассматриваются три механизма достижения сбалансированного экономического роста. В основе первого подхода лежит мальтузианский механизм популяционного взрыва. Второй подход — неоклассический, рассматривает взаимосвязь между трудом и капиталом (как, например, в модели Солоу). Третий, называемый пост-кейнсианским, предполагает строгую взаимодополняемость факторов производства. Та модель, к которой обратимся мы, основана как на неоклассическом, так и на пост-кейнсианском подходах.
Рассмотрим предельные циклы в гибридной модели конфликта с затуханием из работы Ван дер Плюга (1983). Модель состоит из трех обыкновенных дифференциальных уравнений. Основные идеи работы Ван дер Плюга взяты из книги Гудвина (см. ссылку 1967г. либо разд. 3.5 данной книги). Допущение Гудвина о строгой взаимодополняемости факторов производства Ван дер Плюг ослабил, введя в рассмотрение фактор технологического прогресса и допустив возможность для работодателей пополнять трудовые ресурсы до тех пор, пока предельная производительность труда соответствует реальной заработной плате. Основная цель Ван дер Плюга — исследование предельных циклов системы вблизи равновесной точки сбалансированного роста. Ван дер Плюг обнаружил предельные циклы прямым моделированием поведения системы. Мы установим условия существования предельных циклов. Следующие ниже результаты изложены в работе Занга (1988а).
Предположим, что в системе производится только один вид товара и для потребления, и в целях инвестиций. Предложение труда, L, экзогенно возрастает со скоростью п. Спрос на продукцию слагается из части, отвечающей потреблению, (С, и части, отвечающей инвестициям, I. Объем произведенной продукции, Q, обеспечивает чистый доход Y в виде заработной платы, WE (где W — уровень
заработной платы, Е — число занятых в производстве), чистой прибыли, f и амортизационных расходов, D, с нормой .амортизации d
1. Чистый доход используется на приобретение товаров или на накопление, S. Балансовое соотношение имеет вид
~ =: S = 1 - D.
dt
Функция потребления записывается в виде
С = (1 — в)У + гК, s > 0, г > О, где s иг — коэффициенты склонности к сбережению чистого дохода и склонности к увеличению благосостояния, соответственно. Производственные возможности характеризуются параметром капиталоемкости а и скоростью роста производительности w («влиянием технического прогресса на производительность тру/да»). Гарантированная скорость экономического роста задается формулой
g
w=bs-r, (5.6.1)
где b = а
-1- d
1 представляет отношение величины чистой прибыли к капиталу.
Естественная скорость роста, которая может поддерживаться при полном использовании трудовых ресурсов и ]в данных условиях технического прогресса, задается соотношением
д
п = w + n.
Гарантированная скорость роста увеличивается, когда усиливается предрасположенность к сбережениям и когда снижаются благосостояние, скорость амортизации или параметр капиталоемкости, поскольку эти факторы способствуют большей аккумуляции и возрастанию производства продукции при существующих мощностях производства. При долговременном сбалансированном росте гарантированная скорость роста должна быть равна естественной скорости. Производительность труда определяется из производственной функции Кобба-Дугласа после явного выражения фактора технического прогресса и перехода от эффективных единиц к первоначальному масштабу

где константа d зависит от начального состояния экономики, Е* обозначает переменную Е (число занятых), измеренную в эффективных единицах, а w* — константа, зависящая от фактора технического прогресса.
Скорость изменения коэффициента занятости Р = EIL задается соотношением
в dt а
Г a(l — w
2) dt
(5.6.3)
1 da ,
----W — п,
где g(=g" - da/dt/a) - текущая скорость роста реального производства, а s* определяется как
s* = #т (1 — г — adi) + s'г = $2 — siadj,
где г — доля затрат на оплату труда в чистом доходе
г = (1 - adi)WE/Y, s
2 = s,(l - *) + s'z',
sj и s' — коэффициенты экономии соответственно прибыли и заработной платы. Предполагается, что рост реальной заработной платы W зависит от рыночной стоимости рабочей силы, соответствующей уровню избыточной потребности в трудовых ресурсах. Скорость изменения этой величины задается кривой Филлипса в виде
^ = W{mi0 - т
2),
(5.6.4)
ті,т
2> О,
где ш\ и т
2 — постоянные параметры.
Динамика параметра капиталоемкости и доли затрат на оплату труда в чистом доходе в предположении, что параметр капиталоемкости всегда стремится к своей «желаемой» величине, которая, в свою очередь, определяется оптимальным поведением работодателей, задается следующими уравнениями (Занг, 1988а):
da
dt
(5.6.5)
= va
dz
dt
(5.6.6)
ГП\Р — ТП2 ~
da
ar(l — w
2) dt
где v(> 0) — скорость установления.
Полная гибридная модель состоит из трех дифференциальных Уравнений (5.6.3), (5.6.5) и
(5.6.6). Единственное равновесие соответствует точке
о ГО2 + s* , ,
с с ,
х
До =-, t»0 = —-—, -0 = 1- ^2- (0.6.7)
Ш] Г + W + п
Равновесие достигается при соответствующей доле трудовых затрат, сбалансированной занятости и равенстве параметра капиталоемкости желаемой величине.
г
0 = г + іи* + п > 0. (5.6.8)
Заметим, что существует некоторое значение величины ?, обозначаемое далее через v
0, такое, что
Как показано Зангом (1988а), при v = v
0 одно из трех собственных значений якобиана отрицательно, а остальные два чисто мнимы. В соответствии с бифуркационной теоремой Хопфа это и есть достаточное условие возникновения в окрестности равновесия бифуркации Хопфа. Выберем в нашем исследовании в качестве бифуркационного параметра величину ?, как это сделал Ван дер Плюг, хотя можно было бы выбрать и другие параметры. Пусть х обозначает малое возмущение величины ? относительно ?
0, т.е. х = ? - ?
0. Если ввести положительную величину и, такую, что

то можно показать, что при х = 0 два чисто мнимых собственных значения равны соответственно iu и —iu.
Чтобы убедиться, что равновесие теряет устойчивость, мы должны вычислить действительную часть производной по х от собственного значения iu. Было показано, что в общем случае достаточно, чтобы эта величина не равнялась нулю, хотя с экономической точки зрения это требование труднообъяснимо.
Теорема 5.6.1. При малых х в окрестности равновесия существует предельный цикл. Цикл, бифурцирующий от равновесия с периодом 2%/S(e), можно записать в виде
Р(е,і) = /?о + 2?-{r
0v
0cos[5(e)/] — usin[S(e)<]) + 0(е
2),
а(М) = a0 + sin [S{e)i] + ОН, (5.6.Ш)
z(?, <) = го + Іег^тпі cos[S(e)*] 4- 0(е
2),
где е— параметр разложения амплитуды, а x и S — функции от параметров системы.
Доказательство теоремы можно найти у Занга (1988а). Следует отметить, что нами рассчитаны старшие члены разложения и Найдены условия устойчивости предельного цикла. Все полученные условия существования предельных циклов можно проверить на примерах, приведенных Ван дер Плюгом (1983).
Попытаемся теперь дать интерпретацию теоремы 5.6.1 с экономической точки зрения. Ограничимся сначала плоскостью (a, z).
 |
|
Рис. 5.10. Циклическая динамика на плоскости (а, z). |
Если пренебречь старшими членами, циклическое движение переменных а и z можно описать просто в виде
“(е,*) = ого + Ьі sin[S(e)i],
(5.0.11)
z(e, t) =: г о + b
2 cos[S(e)/]
t
где b
l и b
2 — параметры, определяемые из (5.6.10) (рис.5.10).
Рассмотрим случай, когда система начинает движение из области I. Параметр капиталоемкости уменьшается, тогда как доля затрат на оплату труда в чистой прибыли возрастает. Это может иметь место в том случае, если возрастают квалификация и мастерство работников. По прошествии некоторого времени, когда доля затрат на оплату труда достигнет максимального значения, она начнет снижаться при продолжающемся падении параметра капиталоемкости (область II). Эта ситуация возникает, если для участия в производстве привлечены значительные трудовые ресурсы. Движение в области III означает, что в систему включается продуктивная технология. Поведение системы никогда не станет равновесным (стационарным).
Из теоремы 5.6.1 мы видим, что динамика коэффициента занятости гораздо сложнее, чем двух других переменных. Изменение коэффициента занятости можно выразить в виде линейной комбинации доли трудовых затрат и параметра капиталоемкости. Пусть 8 обозначает разность между текущей величиной переменной цикла и ее равновесным значением. Тогда имеем:
S/3(?,t) = аі<5г(е,1) — а2Іа(е,1), (5.6.12)
где а! и а
2 — положительные параметры, определяемые из (5.6.10). Когда доля затрат на оплату труда в чистой прибыли возрастает сверх равновесного значения, текущий коэффициент занятости стремится стать выше своей равновесной величины. Если сверх равновесия возрастает параметр капиталоемкости, коэффициент
 |
|
Рис. 5.11. Бифуркация Хопфа в модели Ван дер Плюга. |
занятости стремится стать меньше равновесного. Изменение коэффициента занятости «соотносится» с изменением доли оплаты труда и параметра капиталоемкости.
Экономический цикл можно интерпретировать и как структурную перестройку системы. Цикл бифурцирует от стационарной точки, причем система переходит от устойчивости к неустойчивости. Новый тип циклического поведения происходит вследствие технологических изменений, в случае, когда бифуркационным параметром является скорость подстройки коэффициента производства к его равновесному значению. Возмущение этого параметра означает, что технологические характеристики системы претерпели изменение, и в результате этих изменений своей структуры система перешла от устойчивого равновесия к неравновесности.
И в заключение проиллюстрируем суперкритический предельный цикл по переменной х рис. 5.11.
5.7 Оптимальная периодическая политика занятости
В этом разделе на примере периодического поведения фирм в среде с полной информацией мы коснемся приложения теоремы Хопфа к экономической задаче, описываемой системой уравнений четвертого порядка.
Изучим поведение фирмы в зависимости от политики правительства. Модель, которую мы будем здесь рассматривать, предложена Лонгом и Зибертом (1985) и развита в работах Стейндала и др. (1986) и Занга (1988f).
Моделируется поведение фирмы под влиянием финансовых субсидий либо штрафов, налагаемых правительством. Продукция фирмы подлежит продаже на рынке с конкуренцией Цена продукции, р, задана извне, так как фирма не может воздействовать
на рынок. Поскольку рынок труда также является конкурентным, заработная плата w тоже задана извне. В течение рассматриваемого периода капитал не изменяется, и объем производства зависит только от количества занятых рабочих L. Производственную функцию обозначим как F(L) (F'(0) = <» , F(™ ) = 0, F' > 0 и F"(L) < 0 для 0 < L < <» ).
Предполагается, что фирма может управлять уровнем производства с помощью коэффициента «найма/увольнения» v, и что фирма делает затраты на обучение новых работников и оплату их выходных пособий. Обозначим функцию затрат на управление трудовыми ресурсами (обучение, укрупнение и сокращение) через k(v) и определим ее как k(v) = ?
2/2. Целью фирмы является максимизация текущей величины потока прибыли
max J exp( — r<)[pi*'(L) — wL + f(L — Л) — k(v)]dt, о
при условии, что

где А есть норма занятости, определяемая правительством, r — темп инфляции (обесценивания), q — темп увольнений по собственному желанию. Предполагается, что норма занятости определяется правительством с учетом «предыстории» уровня занятости на фирме. Среднее значение предшествующего уровня занятости задается как
л(0
=: т J L(s) ехр[— (t — «)]ds, (5.7.2)
где т — положительное число. Дифференцирование (5.7.2) по t приводит к dA/dt = m(L -
А).
Поведение правительства описывается функцией f(L—A), которая удовлетворяет условиям
(5.7.3)
/(0) = 0, f(L — А) > 0 если А < L, f(L - А) < 0 если А > L,
причем функция f(L - А) дифференцируема достаточное число раз. Так как на рынке труда всегда есть безработные, правительство хочет, чтобы фирмы заняли как можно больше людей. Уравнение (5.7.3) отражает тот факт, что если фирма решает поднять у
себя уровень занятости выше нормы, определенной правительством, то она может получить от правительства финансовое поощрение (субсидию); если фирма решает снизить уровень занятости, она платит правительству штраф (налог).
Гамильтониан системы определяется как
Н =
PF - wL + d - к - am(L - А) + 0{v - gL), (5.7.4)
где а и в — затратные переменные. Применение принципа максимума Понтрягина приводит к следующей системе:

Условия трансверсальности задаются в виде
Покажем, что для (5.7.5) и (5.7.6) выполняется бифуркационная теорема Хопфа.
Занг (1988f) доказал, что для некоторых значений параметров в этой системе существует единственное положительное равновесие, которое обозначим (А
0, L
0, a
0, b
0).
Предположение 5.7.1. Пусть имеется такой набор параметров, что два собственных значения якобиана, соответствующего данной задаче, имеют отрицательные действительные части, а два других чисто мнимы.
Мы можем убедиться в справедливости этого предположения, положив f равной, например,
«*>—'¦(??)¦ <
5-”>
где z = L - А, а с — положительные константы. Такая функция удовлетворяет требованиям, налагаемым на функцию финансирования. Если взять т = r = q = -pF"(L
0)f'(0), собственные значения будут равны соответственно -т, -q, ±if')
y2.
Выберем в качестве бифуркационного параметра темп увольнений по собственному желанию и обозначим значение q, удовлетворяющее предположению 1, за q
0. Пусть х = q — q
0. При х = 0 существует одно чисто мнимое собственное значение iv с v > 0.
Предположение 5.7.2. Пусть (2q
0 — r)(mg
1 — vg
2) не равно 2v(mg
2 + vg
1), где g
i
определим как
[mf"(iv + r)(r - m + iv)(m + iv) + r(iv + m)
2(r - m + it’)
2— —if"vm(i v + r)](0j — «02) = (it; 4- m)(r — m + iv)
2.
(5.7.8)
Это предположение гарантирует потерю устойчивости положения равновесия в случае, когда q смещается в сторону от q0.
Теорема 5.7.1. Пусть выполнены предположения 1 и 2. Тогда в окрестности равновесия существует предельный цикл периода 2nJs(e). Цикл приближенно описывается формулами

где е— параметр разложения амплитуды, а х(е) и s(e) задаются как
2
і(е) = ^ + 0(е4),
(5.7.10)
5(?)=
?+?^І
+ 0(б
4),
где х
2 и s
2 — действительные числа, зависящие от параметров системы. Если N положительно, то цикл устойчив, если отрицательно — неустойчив. Явные выражения для х
2, s
2 и N можно найти в работе Занга (1988f).
Уже из (5.7.2) ясно, что если функция L(t) периодична, то A(t) имеет тот же период. Увеличение текущего уровня занятости L(t) отнюдь не означает, что норма уровня занятости A(t) станет выше. Это легко увидеть из следующего соотношения:

полученного из (5.7.9). В выражении (5.7.11) ЬА = (А — А
0)/е, ЬЬ = (L — L
0yz Существование предельного цикла является следствием поведения правительства, которое определяет норму уровня занятости из учета предшествующего уровня занятости.
Когда коэффициент найма и увольнений v равен нулю, то ЬА = ЬЬ. То есть изменение уровня нормы, предусмотренного правительством, равно реальному изменению уровня занятости лишь в этом частном случае.
5.8 Оптимальный экономический рост, связанный с эндогенными флуктуациями
Очень интересный пример деловых циклов представляет собой многосекторная модель оптимального роста. Моделям такого типа посвящено много работ (см., например, Касс и Шелл, 1976, Брок и Шейнкман, 1976, Арауджо и Шейнкман, 1977). Хорошо известно, что эти типы моделей потенциально неустойчивы. Позже Бенхабиб и Нишимура (1979) и Занг (1988Ь) вновь рассмотрели динамику этих моделей на основе теоремы Хопфа о бифуркациях. Рассмотрим для системы
« = 1.....п, (5.8.1)
следующую задачу оптимального роста:
со
max J U[T(y,k)]exp{-(r - g)t]dt
} (5.8.2)
о
где векторы у и к представляют собой соответственно выпуск продукции на душу населения и запасы материального капитала на душу населения, потребление задается функцией с = Т(у, к), а функция U(T) — это полезность, полученная от потребления. Коэффициенты д(> 0) и r(> 0) — скорость прироста населения и норма процента прибыли соответственно.
Для доказательства существования бифуркации Хопфа Бенха-бибом и Нишимурой (1979) приняты шесть следующих предположений (которые примем здесь и мы):
А1) Вся продукция производится неодновременно, причем производственная функция является линейно однородной, строго квазивогнута при неотрицательных значениях факторов и дважды дифференцируема при положительных.
А2) Если через (Ку) обозначено множество факторов, определяющих производство j-того товара, то j-ый товар не может
быть произведен без (Ку). Применение принципа максимума к задаче (5.8.1)-(5.8.2) приводит к системе уравнений
^ = Уі-дкі,
^ = -U'wi + r
qi,
(5.8.3)
9і = U'pi, P, = ~§~,
W< = J?' »'=
1.-..n
r
где р
і и w
i — цена и величина арендной платы для i-ого товара в терминах цен потребительских товаров. Для r е (g, r*), где r* задано и может быть бесконечно большим (положительным), эти величины определены однозначно. Задача имеет единственное равновесие.
A3) В точке равновесия матрица коэффициентов капитала неразложима.
A4) В положении равновесия для производства потребительского товара необходимы капиталовложение хотя бы по единственной компоненте и непосредственное применение труда.
А5) В окрестности равновесия предельная полезность от потребления постоянна, т. е. U" = 0 и U' = 1. И, наконец,
А6) В окрестности равновесия матрица входных данных невырождена.
Необходимость этих предположений обоснована Бенхабибом и Нишимурой (1979) и связана с тем, что они позволяют записать систему в локальном виде.
Можно доказать, что если предположения (А1)-(А6) выполнены, то (i) функция Т(у, k) дважды дифференцируема; (ii) динамика системы в окрестности равновесия задается уравнениями
(5-8.4)
^ = Уі(к,р)-дк
ІІ
= -?н{к,р) -f грі,
где у и w дифференцируемы; (iii) точка равновесия (k
0, p
0) системы (5.8.4) единственным образом определена для r е (g, r*), где g < r* < +<» ; (iv) все функции переменной r, именно, c(r), p(r), k(r) и y(r), в точке равновесия положительны и непрерывны для
re (g, r*) и (v) при фиксированном к в окрестности равновесия функция T(k, у) строго вогнута по у.
Предположение 5.8.7. Пусть существует такое значение г, обозначенное как r
0, что якобиан в точке равновесия имеет пару комплексно сопряженных собственных значений z
1>2 = a(r) ± іДг), которые при r = r
0 удовлетворяют условиям a(r
0) = 0, Дг
0) > 0 и da(r
0)/dr Ф 0.
Очевидно, что предположение 5.8.7 требуется в условии теоремы 2 Бенхабиба и Нишимуры (1979). Выберем r в качестве бифуркационного параметра с критическим значением r
0. Введем обозначения х = r - r
0 и z(x) = a(x) + ifi(x). Обозначим через L якобиан системы (5.8.4), вычисленный в точке равновесия.
Предположение 5.8.8. Пусть ±ifi
0 — простое изолированное собственное значение якобиана L(0).
Предположение 5.8.9. Действительные части всех собственных значений якобиана L(0), за исключением z1,2(r), отрицательны.
Предположение 5.8.10. Можно гарантировать строгую потерю устойчивости, т.е. величина R
l не равна нулю, где R
l = Re (R),
2n
Л= E УіУ\г
i'=n+1
а Y и Y* — решения системы
L[O)Y = i0oY, ?
Т(0)У* = —ifJoY*,
(Y,Y-) = 1, (У, У*) = 0, (5-8’5)
где (,) — оператор произведения в С
2п.
Если предположение 5.8.8 выполнено, мы всегда можем найти пару Y и Y*, которая удовлетворяет (5.8.5). Векторы Y и Y* можно найти, просто решив алгебраические уравнения, хотя сам расчет может оказаться весьма утомительным. Предположение 5.8.9 означает, что все собственные значения якобиана L(0) являются мнимыми, так как согласно теореме 3 в работе Бенхабиба и Нишимуры (1979), действительные ненулевые собственные значения L(0) образуют пары разных знаков.
Введя действительные числа

где [N(U
1, U
2), X*] определено в работе Занга (1988b), мя сформулируем следующую теорему:
Теорема 5.8.1. Пусть задача оптимизации удовлетворяет всем предположениям 1-10, функции y(k, p) и w(k, p) принадлежат пространству С®, ? > 3. Тогда для бифуркационного параметра r с критическим значением r
0 существуют предельные циклы, бифурцирующие от равновесия (k
0, p
0), периода 2nJs(e), которые описываются соотношениями

где е— параметр разложения амплитуды и
(5.S.7)
Ф) = До-^^ + ^+0(е
4).
Более того, если Nj — положительно, то бифуркационный цикл неустойчив. Если же N
1 отрицательно, то цикл супер- или субкритически асимптотически устойчив, в зависимости от тоге, положительна или отрицательна величина R
1.
Эти результаты распространяются и на случаи идеальной конкуренции, и на задачи максимизации функции полезности. Неустойчивость еще не означает, что вследствие неустойчивого роста экономическая система должна разрушиться. Однако экономические процессы в таких неустойчивых системах могут быт! весьма и весьма сложными.
5.9 Замечания о возможных последующих бифуркациях предельных циклов
Мы привели некоторые примеры, имеющие целью показать, что деловые циклы могут возникнуть в результате разнообразных экономических механизмов. Эти примеры относятся к самым разным экономическим теориям. Неустойчивая эволюция не ограничена каким-то специальным типом рынка или действием какого-то одного экономического механизма. Приведенные результата проливают свет и на природу наблюдаемых в реальности экономических флуктуации. Они доказывают, что такие осцилляции могут возникнуть эндогенно вследствие чисто экономических причин.
Коснемся некоторых аналитических проблем, продолжающих результаты этой главы. Рассмотрим нелинейную динамическую систему высокого порядка

где r — параметр. Предположим, что при значении r
0 параметра r имеет место равновесие, и соответствующий ему якобиан обладает п парами чисто мнимых собственных значений и т нулевыми. Нас интересует поведение экономической системы при сдвиге параметра r от значения r
0. Хотя эта задача с разных сторон исследовалась математиками, она так и не решена окончательно. Бифуркации Хопфа — это всего лишь ее частный случай. В следующей главе мы рассмотрим случай двух пар чисто мнимых собственных чисел в критической точке. Хусейн (1986) показал, что если система находится вблизи критической точки, в которой ее якобиан обладает двумя нулевыми собственными значениями индекса единица и парой чисто мнимых, она может подвергаться статическим бифуркациям, бифуркациям Хопфа, вторичным бифуркациям Хопфа и бифуркациям к двумерным либо трехмерным торам.
Другой вопрос состоит в следующем. Предположим, что как и в предыдущих примерах; нами найдены устойчивые предельные циклы. Поскольку зафиксировать параметры постоянными невозможно, то важно знать, что произойдет, если вследствие сдвига параметров система станет неустойчивой. К примеру, могут ли возникнуть вторичные бифуркации. Этой проблеме посвящено множество работ (например, Хакен, 1983, Чу и Хейл, 1982). Упомянем ниже некоторые случаи дальнейших бифуркаций. Детальное обсуждение этого вопроса можно найти в книге Йосса и Джозефа (1980).
Рассмотрим следующее автономное дифференциальное уравнение:
dx ,
= f{r,x), хвС
п, (5.9.1)
где f предполагается достаточно гладкой и f(r, 0) должна быть ненулевой. Мы ищем условия, при которых от Г-периодических решений могли бы бифурцировать субгармонические — пТ-периодические с целым п >1. Можно вновь исследовать в этом направлении все приведенные выше примеры. Однако нам достаточно лишь наметить, как мог бы быть проведен подобный анализ.
Заданные периодические решения имеют вид

где w(r) — частота. Например, X(s,t) = x
0(r) + U(s,r) может быть решением Хопфа из предыдущих примеров, где х
0 — точка равновесия, a U — некоторая периодическая функция. Решение Х
»м?.лг.х).
удовлетворяет соотношению
(5.9.2)
(5.9.3)
Введя х= X(s, г) + v(/), s = w(r)t, получим линеаризованную задачу
= fv{r,X[s, г)I?),
где f
v (r,X(s,r)\v) — первая производная функции f(r, х), как функции v, вычисленная в точке x=X(s, r). Теория Флоке утверждает, что мы можем установить устойчивость цикла X(s, r), изучая показатели z(r) = a(r) + ib(r) в представлении v(t)=L(s)exp(zt), L(s) = L(s+2n).
Эти показатели являются собственными значениями спектральной задачи
zl = w(r)^+f4r,X(
S,r)\L). (5.9.4)
Сопряженная задача определяется как
,dL'
zL’ =xv(r)~ + F;(r,X{s,r)\L')
t as
*
где Fv (r, X(s, r)\.) — однозначный линейный оператор, удовлетворяющий условию
<F,;(r, X(s, г)И), В) = (А, F;(r, X(s, г))|В),
где (,) — произведение операторов в С
п, а А и В е С
п. Предположим, что периодическое решение имеет особенность при r = r
0, т. е. a(r
0) = 0, b(r
0) = b
0. Введем обозначения w(r
0) =
Wo, X (s, ro) = Xo(s) и

В особой точке спектральная задача сводится к
iboLo — JoLq, —tboLg = d
0L
0. (5.9.6)
Если в особой точке показатель Флоке ib
0 является собственным значением якобиана J
0, то i(b
0+jw
0) также является собственным значением, соответствующим собственному вектору
Y{s) = exp(-ijs)L
0(s) = Y(s + 2ж),
|
где j — целое. В особой точке множитель Флоке |
 |
отображает повторные (периодически повторяющиеся) точки мнимой оси комплексной z-плоскости в единственные точки комплексной fe-плоскости. Ограничив рассмотрение основной ветвью
0< — <1, (5.9.8)
где b
0 и w
0 определены, как и выше, мы можем покрыть этими точками единичный круг на ^-плоскости. Будем говорить, что точка из (5.9.8), удовлетворяющая соотношению
6о т
принадлежит множеству рациональных точек, если т и п целые, и что т = 0, когда п = 1; в противном случае m не равно нулю. Мы рассмотрим здесь только случаи, для которых выполняется (5.9.9).
Предположение 5.9.1. Предположим, что если b
0 =0, то 0 является двукратным изолированным собственным значением якобиана J
0; если же b
0 не равно нулю, то b
0 является простым изолированным собственным значением J
0.
Как показано Йоссом и Джозефом, чтобы гарантировать существование субгармонической бифуркации 2л/^(г)-периодических решений, достаточно условия строгого пересечения. Под строгим пересечением мы понимаем условие a
r(r
0) > 0. Условия строгой потери устойчивости изложены в книге Йосса и Джозефа (1980).
Пусть предположение 5.9.1 выполняется при b
0/ w
0 = т/п наряду с условиями строгого пересечения. Тогда
i) В случае n = 1 по обе стороны от особенности бифурцирует единственное однопараметрическое й-семейство 2n/s* (й)-периодических решений уравнения
(5.9.1). Когда п = 2, единственное однопараметрическое й-семейство решений с периодом 4n/s* бифурцирует по одну сторону от особенности. Суперкритические (г(й) > 0) бифуркационные решения устойчивы; субкритические (г(й) < 0)
бифуркационные решения неустойчивы.
ii) В случае п = 3 в результате бифуркации возникает единственное однопараметрическое
семейство 6л/і*(й)-периодических решений, и оно неустойчиво по обе стороны от особенности.
iii) Когда п = 4, т = 1 или 3, бифурцируют два однопараметрических семейства 8n/s*(h)-периодических решений. Их устойчивость зависит от параметров задачи.
iv) Когда п > 5, малоамплитудные 2лЛ5*да-периодические решения в окрестности особенности вообще отсутствуют.
Следует заметить, что утвеждения (iii) и (iv) справедливы при выполнении еще некоторых дополнительных условий. Во всех этих случаях s* таково, что s*(0) = w
0, так что бифурцирующие решения имеют периоды, близкие к величинам, кратным 2n/w(h).
Пытливый читатель может попробовать провести исследование вторичных бифуркаций для задач, приведенных в этой главе.
5.10 Конкурентные деловые циклы в экономике с перекрывающимися поколениями — дискретная модель
С тех пор как Гейл (1973) обнаружил, что в моделях с перекрывающимися поколениями возможны равновесные циклы, известно, что идеальная конкурентная экономика постоянно подвержена флуктуациям даже в условиях внешнего «невмешательства» (см., например, Жюльен, 1988, Грандмонт, 1985, 1986). Ниже мы опишем дискретную динамическую модель экономики со сложным поведением, которая принадлежит Жюльену (1988).
Предполагается, что экономика производит единственный вид товара, который может быть потреблен в течение определенного периода или сбережен как основа для будущего воспроизводства (капитализация товара). Каждое поколение живет два периода и идентично воспроизводится. Новое (молодое) поколение продает одну единицу труда при реальной заработной плате w
t, потребляет количество товара C
1t и сберегает реальную величину S
t в виде Денег и капитала для следующего периода потребления. Старшее поколение тратит все свои сбережения предыдущего периода. Типичный потребитель решает следующую задачу оптимизации:
тах?/(Сп,С
2е),
Си +S
t<w
t, (5.10.1)
Сц < Rt+iSt, Си, Сц > 0,
где U — функция полезности, R
t+1 обозначает реальную процентную ставку на отрезке времени между t и t + 1. При определенных предположениях задача имеет единственное решение, которое характеризуется функцией сбережений S(w
t, R
t+1)-
Экономика первоначально обеспечивается фиксированной величиной капитала k
0 и количеством денег М. Уровень производства определяется с помощью неоклассической производственной функции с постоянным эффектом от масштаба. Величину капиталоотдачи обозначим через y
t = f(k
t). Относительно свойств функций S и f сделаем следующие предположения:
H1) 0 < S(w,R) < w, S — непрерывно дифференцируема, возрастает с ростом w и RS возрастает с ростом R,
lim RS(tv, R) = oo.
R—ioc
lim 5(w, R) = оо,
іи—too
Н2) Функция f возрастающая, строго вогнута на множестве R+. и принадлежит пространству С
2 на R+
Шп /'(*)€ (0,1), lim Л*) = оо,
Ас-400 к—* О
lim /Ш - к Г (к) = oo, lim f(k) - kf'(k) = О
к-іоо fc-f О
и kf'(k) не убывает.
Конкуренция фирм приводит к выравниванию предельных производительностей в каждом секторе к их издержкам
Rt =* f'(kt), щ = /(At*) - ktf'(kt) = W(kt). (5.10.2)
Определение 5.10.1. Совершенным предвидимым равновесием назовем такую последовательность цен (р)>
0, накоплений (k
t)
t>
0 норм процента прибыли (R
t)
t>
0 и реальных заработных плат (w
t)
t>
0, которая для каждого значения t достигает конкурентного временного равновесия.
Условиями совершенного предвидимого равновесия являются
m
t+i = k
t > 0, m
t > 0, для всех t > 0,
(5.10.3)
где m
t = M/p
t. Мы называем равновесие немонетарным или монетарным в соответствии с условием т
0 = 0 или т
0 > 0. Объединяя два уравнения, мы можем записать первое из уравнений (5.10.3) как

откуда можем получить k
t = g(k
t+
0 m
t+o). Легко показать, что g(k, т) принадлежит С
1, возрастает по каждому из своих аргументов и при фиксированном т стремится к нулю (бесконечности), когда к стремится к нулю (бесконечности). Теперь условия совершенного предвидимого равновесия можно записать как
(5.10.4)
(k
t,in
t) = F(fc
t+bm,
+I),
к, > 0, при заданном ко,
где F(k, т) = (g(k, т), m/f(k)) для к > 0 и т > 0.
Введем функцию X
t= (k
t,m
t). Монетарное стационарное состояние, X* = (k*, т*), определяется решением
Из условия f(k*) = 1 мы имеем вполне определенное решение k*. Можно доказать, что если S(W(k*),1)) > k*, то при условиях H1 и Н2 существует единственное монетарное стационарное состояние X* и по крайней мере одно неэффективное немонетарное стационарное состояние (k > k*). Следует рассматривать только одну такую точку, т. е. называть немонетарным стационарным состоянием точку, в которой S (W(k), f'(k)) = k.
Для того чтобы продемонстрировать существование периодических решений у отображения (5.10.4), Жюльен свел вначале двумерную задачу к одномерной, а затем уже установил существование таких решений. Понизим размерность задачи.
Определим отображение F
n(X) = (k
n(X), т
п(Х)), которое ограничено вследствие того, что W(g(k, т)) > m/f(k) +k.
Теорема 5.10.1. Существует компактное множество К с R+
2 и убывающая функция h класса С
1 из R+ в R+, такая, что если мы определим множества
г = {(А,т)ея;
2|* = Л(т)}, Г+ = Н*,т) 6 я+і* > Л(т)}, Г_ = {(Лг, т) ? Н+\к < Л(т)},
* 2
то {Г, Г+,Г_} является F-инвариантным разбиением R+
2 и
X ? Г
+ <=> Ііш т
п(Х) = оо,
г* —?оо
X ? Г_ <=> lim т
п[Х) — 0,
Л—^оо

F"(X) ? К
для достаточно больших п.
Теорема 5.10.2. Если (Х,),>
0 — совершенное предвидимое конкурентное равновесие, то при t имеет место по крайней мере одна из следующих двух ситуаций: (1) X
t стремится к
Г или (2) X
t стремится к неэффективному немонетарному равновесию.
Доказательства этих теорем даны в работе Жюльена (1988). Теорема 5.10.2 гарантирует, что все циклы принадлежат кривой Г. Это позволяет нам ограничить размерность отображения единицей, сведя задачу к динамике на кривой Г. Определим теперь новую функцию
т
/'(AM)'
Ф : я;
Функция Ф обладает следующими свойствами; Ф принадлежит С
1, для т < т* справедливо соотношение Ф(т) — т > 0, тогда как для т > т* имеет место Ф(т) — т < 0. Пусть Кф — проекция множества К на вторую ось. Множество Кф — Ф-инвариантное ком-
*
пактное множество, принадлежащее R+ .
Из теоремы 3.7.1 можно вывести, что еслиХ = (k,m) — циклическая точка порядкар, тоХ принадлежит Г, и V (l,h'(m)) — собственный вектор оператора DF
n(X), соответствующий наименьшему собственному значению (этот оператор имеет два разных собственных значения). В соответствии с определением циклического решения имеем F
p(X) = Х при р — наименьшем целом, для которого это соотношение выполняется. Тогда Х принадлежит кривой Г, так как эта орбита ограничена. Поскольку вектор V в точке Х касается Г, а Г — F-инвариант, вектор DF
p(X)V также касается Г в точке Х. Следовательно, существует такое а, что DF
p(X)V = а?. Вектор V является собственным вектором оператора DF
p(X), но все элементы оператора DF
p(X) положительны, и он имеет два действительных собственных значения. Координаты собственного вектора, соответствующего наибольшему собственному значению, имеют один и тот же знак. Координаты собственного вектора, соответствующего наименьшему собственному значению, могут быть противоположны по знаку. Производная h(m) отрицательна, так что а должно быть наименьшим собственным значением.
Циклы Ф эквивалентны циклам F в том смысле, что то йе равно нулю и
|
Теорема 5.10.3. Достаточным условием существования цикла второго порядка является |
 |
Доказательство. Непосредственный расчет показывает, что уравнения (5.10.5) эквивалентны условию Ф'(т*) < -1. Можно показать, что для достаточно малых т величина Ф
2(т) больше, чем т и эквивалентна т/f (k
s), где
к, = М{к> к'\д(к,0) = к}
Но Ф'(т*)
2 > 0, так что для т, меньших, чем т*, но достаточно близких к этой величине, выполняется Ф
2(т) < т. Из непрерывности следует, что между нулем и т* существует точка то, такая, что Ф
2(т) = т.
Следует отметить, что Жюльен (1988) вывел также условия существования циклов третьего порядка и привел примеры 2- и 3-периодических случаев.
СОДЕРЖАНИЕ
А.3 Сигнал, спектр мощности, функция автокорреляции и отображение
Пуанкаре 184
7.5. Влияние шумов на траектории нелинейных стохастических систем вблизи
7.6. Воздействие случайных внешних факторов на систему второго порядка в
6 Экономический хаос в детерминированных системах
Следовательно, все зависит от правильной постановки этих более легких проблем, по возможности полного их решения с помощью имеющейся на сегодняшний день техники и от выработки понятий, допускающих обобщения.
Д. Гильберт
В предыдущей главе мы изучали деловые циклы, вызванные различными экономическими механизмами. Однако на практике экономические данные редко демонстрируют такое регулярное осцилляционное поведение. Переменные в экономике чаще всего подвержены нерегулярным флуктуациям. В этой главе будет дано объяснение подобных эндогенных «хаотических» экономических явлений. Мы покажем, что и в хаосе есть порядок; «случайное» экономическое поведение может иметь в основе простую геометрическую первопричину. Подобные явления детерминированы по своей природе и подчиняются определенным правилам, которые не содержат ни малейшего элемента случайности. В теории будущее полностью предопределено прошлым; на практике же точно предсказать будущее в мировом хаосе почти невозможно.
6.1 Хаос в детерминированных системах
Согласно «Британской энциклопедии», слово «хаос» образовано от греческого и первоначально означало бесконечное пустое пространство, существовавшее до всех вещей. Более поздняя романская концепция трактовала хаос как первоначальную сырую бесформенную массу, в которую Творец вносит порядок и гармонию.
В настоящем исследовании миру в его техническом понимании приписывается нерегулярное движение, генерируемое нелинейными системами, чьи динамические законы однозначно определяют временную эволюцию системы от ее заданной предыстории к текущему состоянию.
Под «детерминированным движением» мы обычно понимаем наличие закона либо в виде дифференциальных, либо в виде разностных уравнений, который позволяет рассчитать динамику системы на основе заданных начальных условий. При этом, как правило, предполагается, что детерминированное движение скорее регулярно, чем хаотично. Однако на рубеже веков Пуанкаре обнаружил, что определенные механические системы, эволюция которых подчиняется уравнениям Гамильтона, могут проявлять хаотичность. К несчастью, это было воспринято как курьез, и прошло 70 лет, прежде чем в 1963 г. Е. П. Лоренц обнаружил, что даже простая система трех связанных нелинейных дифференциальных уравнений первого порядка может привести к полностью хаотическим траекториям. Лоренц нашел один из первых примеров детерминированного хаоса в диссипативных системах.
Сегодня «детерминированный хаос» — поле для весьма активных исследований. Для классификации различных типов хаоса разработано множество методов. Следует подчеркнуть, что общепринятого определения хаоса не существует, и в литературе хаос чаще всего определяется в контексте диссипативных систем как явление, связанное проявлением случайности и непредсказуемости в полностью детерминированных системах, что обозначается как «динамическая стохастичность», «детерминированный хаос», «самовозбужденный шум», «внутренняя стохастичность» и «Гамильтонова стохастичность» (см. Хао, 1984, Гукенхейлмер и Холмс, 1983, Виггинс, 1988). В приложении к этой главе мы приводим некоторые критерии, позволяющие отличить хаос от регулярного движения типа предельных циклов и апериодических движений.
К настоящему времени известны по крайней мере три пути, которыми при изменении внешних управляющих параметров нелинейная система приходит к хаосу (Шустер, 1984). Каждый вид хаотичности может быть реализован экспериментально. При этом поведение системы обнаруживает удивительную универсальность, сходную с универсальностью, которую можно найти в переходах между точками равновесий систем второго порядка. Первый путь перехода к хаосу был найден одновременно Гроссманом и Тома (1977), Фейгенбаумом (1978) и Колле и Трессером (1978). Они рассматривали простое разностное уравнение, которое использовалось, например, в биологии для описания временной зависимости популяции, и нашли, что популяция осциллирует во времени между устойчивыми величинами (неподвижными точками), значения которых рассматриваются также в качестве явных значений внешних параметров. Это продолжается до тех пор, пока число неподвижных точек не становится бесконечным, причем значение параметра, при котором временные изменения популяции становятся нерегулярными, остается конечным. Второй подход, известный как сценарий перемежаемости, был разработан Манневилем и Помэ (1979). Перемежаемость означает, что регулярный во времени сигнал прерывается статистически распределенными интервалами нерегулярного движения (перемежающийся разрыв). При вариации внешнего управляющего параметра среднее число этих разрывов увеличивается до тех пор, пока движение не становится полностью хаотическим.
Третий путь был найден Рюэлем и Такенсом (1971) и Ньюхаусом с соавторами (1978). Они предложили переход к турбулентному движению, отличный от предложенного много ранее Ландау (1944) и Ландау и Лифшицем (1959). Ландау рассматривал турбулентность во времени как предел бесконечной последовательности неустойчивостей (бифуркаций Хопфа), каждая из которых генерирует новую основную частоту. Однако Рюэль, Такенс и Ньюхаус показали, что даже после двух неустойчивостей, уже на третьем шаге, траектории начинают прижиматься к ограниченной области фазового пространства, где первоначально близкие траектории экспоненциально разбегаются, так что движение становится хаотическим. Эти особые области фазового пространства названы странными аттракторами. На рис. 6.1а продемонстрирован сценарий перехода к хаосу по Ландау и показано, что с увеличением параметра г бифуркация Хопфа порождает все больше и больше основных частот. На рис. 6.1b мы иллюстрируем переход к хаосу согласно Рюэлю-Такенсу-Ньюхаусу.
Во временных зависимостях многих экономических переменных можно наблюдать шумовые флуктуации. Традиционным объяснением таких флуктуации являлось утверждение о том, что экономика подвергается случайным возмущениям: на экономическую деятельность (например, сельскохозяйственную) влияют штормы, землетрясения и другие подобные экзогенные факторы. Сегодня на экономическую науку оказали воздействие новейшие математические исследования хаоса, и экономисты пытаются интерпретировать хаотические явления в терминах детерминированных систем.
 |
|
Рис. 6.1.(а) Переход к хаосу по Ландау. (b) Переход к хаосу по Рюэлю-Такенсу—Ньюхаусу. |
Рассматриваются ситуации, когда экономический хаос инициирован не только экзогенными шоками. Утверждается, что экономический хаос может быть вызван эндогенно в относительно простых нелинейных системах.
Мы хотели бы упомянуть здесь некоторые исследования, касающиеся экономического хаоса. Бенхабиб и Дэй (1981, 1982) и Грандмон (1985) построили модели монетарных явлений с перекрывающимися поколениями и квазидинамические модели потребительского выбора с эндогенными предпочтениями, проявляющие хаотическую динамику. Дэй (1983) рассматривал процесс классического экономического роста, который представляет собой модель «мальтузианского» типа, где уровень производства определяет скорость роста населения. Производство, в свою очередь, зависит от трудовых ресурсов. Взаимодействие этих двух факторов может привести к циклам или хаосу. Дана и Монтруччио (1986) обсуждали возникновение периодических и хаотических явлений в дуопольных играх, в которых фирмы стремятся максимизировать дисконтированную сумму прибыли и используют марковские стратегии достижения идеального равновесия. Хаос обнаружен также в неоклассической оптимальной модели роста (см., например, Болдрин и Монтруччио, 1986, Денкерэ и Пеликан, 1986). Ниже мы обсудим, каким образом в детерминированных динамических системах может зародиться хаос.
6.2 Экономический хаос в дискретной системе
В этом разделе показано, что некоторые очень простые уравнения могут описывать довольно сложное динамическое поведение. Мы рассмотрим здесь одномерное дискретное отображение
Яп-Н — f(xn)
Хорошо известно, что хаос может возникнуть, даже если дискретное отображение имеет очень простой вид.
Модель, которую мы обсудим ниже, предложена Штутцером (1980). Но сначала рассмотрим макроэкономическую модель роста, предложенную Хаавельмо (1954).

где N — численность населения, Y — реальный объем производства, а а, в, а и А — константы. Подстановка второго уравнения в
первое приводит к
(6.2.2)
<LN „ ( pN
1~
a\
Мы видим, что закон роста представляет собой обобщение аналогичной логистической формы, широко используемой в теории биологических популяций и экономическом анализе. Очевидно, динамика этой системы очень проста. Если начальное условие представляет собой N(0) > (<)(a А/в)
1/(1~
а\ тогда и N, и Y монотонно уменьшаются (увеличиваются) до тех пор, пока не достигнут своих относительных единственных равновесных значений.
Если ввести дискретное время и заменить производные по времени первыми разностями, то (6.2.2) можно переписать как

а затем привести это выражение к виду
*г+і = (1 + - г/-“) = F[xt\a, л), (6.2.3)
где новая переменная определяется заменой

Проанализируем динамику (6.2.3). Прежде чем приступить к анализу, определим несколько основных положений, касающихся разностных уравнений первого порядка x,+i = F(x
t), где F : J — J непрерывно и J — замкнутый ограниченный интервал на действительной прямой. Обозначим через F
n(x) n-кратную итерацию F, причем F
0(x) = x обозначает тождественное отображение.
Определение 6.2.1. (N-периодическая точка.) Точка p е J называется невырожденной [вырожденной] периодической точкой с периодом п, или n-периодической точкой, в том и только том случае, если F
n(p) = р и p ^ [=]F
k(p) для всех [некоторых] 1 < k < п. Точка p е J называется периодической, если для некоторого n >1 она является n-периодической. Одно-периодическая (1-периодическая) точка называется стационарным состоянием, или равновесием, или неподвижной точкой F.
Определение 6.2.2. (Цикл, период.) Если p есть п-периодическая точка, то
каждая точка в последовательности lp,F(p),^,F
n'
I(p)} также п-периодична, а сама последовательность называется периодической орбитой или циклом точки р. Если р — невырождена, то все точки периодической орбиты различны, и говорят, что орбита имеет длину или период п.
Рассмотрим, например, простейшее разностное уравнение
с«+1 = hc
t,
решением которого является c
t = с
0к‘, растущее экспоненциально при \к \ > 1. Когда 0 < к < 1, система стремится к стационарному состоянию. В этом случае при к = -1 существует 2-цикл, который возникает только для одного этого значения параметра.
Определение 6.2.3. (Асимптотическая периодичность.) Точка р является асимптотически периодической, если существует периодическая точка q ^р, для которой

Определение 6.2.4. (Локальная устойчивость.) Говорят, что к-периодическая точка p и соответствующая ей периодическая орбита локально асимптотически устойчивы, если в каждой точке x некоторого открытого интервала I, содержащего р, выполняется условие

Определение 6.2.5. (Хаотическая динамика.) Термин «хаотическая динамика» относится к динамическому поведению определенных уравнений F, которые обладают а) для каждого п > 1 невырожденной n-периодической точкой и б) несчетным множеством S е I, не содержащим периодических точек и асимптотических периодических точек. Траектории таких точек блуждают в I «случайным» образом.
Для иллюстрации изложенного в этом разделе возьмем I = [0,1] и положим в (6.2.3) для простоты а = 1/2. В этом случае F отображает I в себя. Следует заметить, что качественные свойства F никак не зависят от выбора конкретного значения 0 < а < 1. Таким образом, модель записывается в виде
= (1 + a)x
t (l - i
t1/Z) = F[x
t\a, ^). (6.2.4)
Геометрия F для разных значений а (0 < а < 5.75 и х(0) е [0,1]) изображена на рис. 6.2.

Для каждого значения о а точки равновесия задаются пересечением графика F(x
t; а) с прямой линией под углом 45°, как на рис. 6.2. Для каждой величины а > 0 имеются два положения равновесия: х
0 = 0 и х
0 = [а/(1 + а)]
2. Точка х
0 = 0 неустойчива и отталкивает соседние точки. Локальная устойчивость других точек может быть определена путем линеариазации отображения в точке равновесия. Имеем
F'(x
0\y, а) = 1 - I = ?(а). (6.2.5)
Локальную устойчивость х
0 определяет собственное значение ?(а). Если 0 < ? < 1, соседние точки притягиваются к х
0 экспоненциально и монотонно. Если 0 > ? > -1, сходимость к х
0 имеет вид затухающих колебаний. Когда ? = -1, х
0 ни устойчиво, ни неустойчиво
17. Наконец, если І?І>1, то х
0 неустойчиво. Эти типы поведения имеют место соответственно в случаях 0 < а< 2, 2 < а < 4, а = 4 и 4 < а < 5.75, как изображено на рис. 6.2.
Когда равновесие устойчиво, т.е. а < 4, оно достигается любой траекторией, начинающейся из произвольной точки. В этой области
В случае общего положения потеря устойчивости равновесия по сценарию рождения устойчивой 2-орбиты соответствует устойчивости пограничного случая. — Прим. ред.

применение традиционного сравнительного статического анализа показывает, что для достаточно больших t увеличение параметра а ведет к увеличению x
t. Если 4 < а < 5.75, траектории не входят в равновесие, а остаются в области, ограниченной нулем и единицей. Фактически, как только параметр а превышает 4, неустойчивая точка равновесия распадается на две устойчивые точки с периодом 2, т.е. на устойчивые периодические орбиты длины 2. Для а = 4.2 на рис. 6.3 показаны две невырожденные неподвижные точки отображения F
2(x; 4.2), обозначенные как х^ и x2
2 соответственно.
Как показано Штутцером, 2-периодический цикл становится неустойчивым для значений а, превышающих 4.8, и каждая 2-периодическая точка распадается на две 4-периодические точки, соответствующие
устойчивому циклу длины 4, обозначенному как (х^, х^, х0
3, х0
4 }• Рисунок 6.4 иллюстрирует этот феномен.
При увеличении параметра а этот бифуркационный процесс Удвоения продолжается, генерируя невырожденные орбиты длины 2
к (к =2,...). Такие орбиты называются гармониками 2-периодической орбиты. Можно показать, что все гармоники возникают прежде, чем параметр а достигает значения 5.54, хотя его точное пороговое значение неизвестно. Таким образом, область изменения а, внутри которой первоначально зарождаются устойчивые

вые орбиты длины к, которые затем становятся неустойчивыми и распадаются на 2к-периодические орбиты, при достижении параметром а предельного значения а
с < 5.54, сжимается.
Интервал а
с < а < 5.75 назван областью хаоса. При достижении этой области значений параметра а могут возникнуть странные явления. Например, вблизи значений 5.540 существуют 3-периодические орбиты. От них стартует образование 3
к-периодических орбит (к = 2,...) описанным выше способом. На самом деле, если мы можем локализовать 3-периодическую орбиту, замечательная теорема Ли и Йорке (1975) утверждает, что в этом случае для любого F(x
t; а) должны существовать также невырожденные точки всех периодов и несчетное множество периодических (не асимптотически периодических!) точек, чьи траектории случайным образом блуждают в области F.
Теорема. (Ли и Йорке.) Пусть J — интервал, и отображение F : J ^ J непрерывно. Предположим, что существует точка а
1 е J, для которой точки а
2 = F(oii), а
3 = F
2(o
1) и а
4 = F
3^) удовлетворяют соотношениям

Тогда (i) Для каждого к = 1,2,... в J существует периодическая точка периода к; (ii) существует несчетное множество S е J, (не содержащее периодических точек), которое удовлетворяет следующим условиям:
А) Для произвольных попарно неравных р, q е S lim sup |F"(p) - F"(g)| > О,
п—юо
и
lim inf \F
n(p)~ F*(g)| = 0.
n —f ос
Б) Для каждой точки p е S и периодической точки q е J

При некотором значении а наша динамическая экономическая система удовлетворяет требованиям теоремы. Пример хаотического поведения приведен на рис. 6.5.
Суммируя сказанное, заключаем, что, если независимо изменяющаяся величина а превышает определенное значение, сходимость

к равновесию перестает быть монотонной, и возникает сходимость осцилляторного типа. Если а увеличивать далее, можно найти такое значение, при котором система генерирует цикл произвольного периода к. Существует также несчетное множество начальных условий, при которых выпущенные траектории флуктуируют в ограниченной области апериодически и непредсказуемо, реализуя некоторый стохастический (хаотический) процесс.
Относительно малые изменения структурных параметров могут привести к большим, качественным, изменениям поведения системы. Кроме того, на характер эволюции нелинейной системы низкого порядка могут оказывать сильное влияние начальные условия. При конструировании моделей эта зависимость часто выпадает из поля зрения. Можно заключить, что качественные изменения структурных параметров и начальных условий, вместе с возможными погрешностями измерений этих параметров, заставляют усомниться в возможности предсказания поведения нелинейных систем и управления ими. Таким образом, даже если модель построена точно, на практике предсказание и управление могут оказаться невозможными вследствие неустранимых ошибок измерений.
Этот пример показывает, что траектория простого нелинейного детерминированного разностного уравнения первого порядка может быть подвержена хаотическим флуктуациям, которые выглядят случайными и ошибочно могут быть отнесены на счет влияния неучтенных переменных, или учтенных, но предполагаемых случайными. В детерминированных линейных разностных уравнениях подобные явления не наблюдаются — хаос порождется именно нелинейностью. Этот вывод означает также, что в контексте моделей макроэкономических явлений, основанных на линейных разностных уравнениях, введение в структурные уравнения правдоподобных, теоретически оправданных нелинейностей может объяснить экономические флуктуации так же успешно, или еще более успешно, чем введение случайных переменных.
Дискретная версия оригинальной модели Хаавельмо имеет совершенно другие качественные свойства. Система больше не проявляет безусловной монотонной сходимости к равновесию. Это значит, что дискретный аналог непрерывной системы не может быть надежно обеспечен простой заменой производных первыми разностями. Напротив, отсутствие определенности в том, как представить реальную систему в дискретном виде, приводит к усилению фундаментального значения того факта, что выбор интервала времени может иметь значительное влияние на качественные свойства модели.
6.3 Апериодический экономический рост
оптимальный
В гл. 5 мы доказали, что если выполнены определенные условия, то в стандартной модели оптимального роста могут наблюдаться предельные циклы. В этой главе будет показано, что в таких моделях может возникать более сложное поведение, чем регулярно-периодическое. Когда равновесие теряет свою устойчивость из-за того, что две пары комплексно сопряженных собственных значений линеаризованной системы одновременно пересекают мнимую ось, в системе могут возникать нерегулярные колебания.
Мы изучаем экономические системы, состоящие из трех частей: двух производственных и одной потребительской. Рассмотрим следующую задачу оптимального роста:
|
относительно |  |
|
Переменные определены в разд. 5.8. Пусть (А1-А6) из разд. 5.8 выполнены. Тогда систему можно записать в форме |
^ = Уі[к,р)-дкі, ^ = -w<(k,p) + грі.
(6.3.3)
Чтобы гарантировать существование апериодических колебаний, сделаем следующее предположение.
Предположение 6.3.7. Пусть система (6.3.3) обладает двумя парами простых комплексно сопряженных собственных значений, обозначенных соответственно как z
1>2 (r), z
3>4 (r)
*i,2(r) = ai(r)±*ft(r). ^
*з,л{г) = «з(
г) ±‘#і(г).
где а и pi, — действительные числа. Предполагается, что существует такое значение r = tq, что
аі(г
0) = а
2(г
0) = о, аі(г)ог
2(г) > 0, г ф г
0,
(6.3.5)
^>#0, 42^*0.
Здесь мы также требуем, чтобы | r— r
0 \ было достаточно мало. Это значит, что якобиан имеет две пары чисто мнимых собственных значений, которые при прохождении r через критическое значение r
0 одновременно теряют устойчивость. Из примеров, приведенных у Бенхабиба и Нишимуры (1979), мы видим, что это предположение является вполне приемлемым.
Пусть x = r— r
0, и напишем везде Zi(x) вместо z
i (r). Из (6.3.5) следует, что действительные части собственных значений всегда имеют одинаковый знак. Если x изменяется так, что a
1(x) и а
2(х) меняют значения с отрицательных на положительные, то устойчивость теряется. Согласно теории бифуркаций, в этот момент от ветви (k
0,po) могут зародиться новые (возможно, довольно сложные) решения, зависящие от времени. Как только x пересекает границу области устойчивости и неустойчивости (х = 0), линейная теория
устойчивости предсказывает потерю устойчивости стационарного состояния ввиду экспоненциальной зависимости функции от времени t. Такая экспоненциально растущая функция не может описывать реальное решение системы на больших временах, поскольку с течением времени все существенней становятся нелинейные члены. Именно по этой причине при изучении неустойчивых динамических систем мы должны принимать во внимание нелинейности.
Введем параметр разложения амплитуды
(6.3.6)
I х, при da
l(Q)/dx > 0, \ -z, при dc*i(0)/dx < 0.
Занг (1989) доказал следующую теорему.
Теорема 6.3.1. Пусть задача оптимизации удовлетворяет (А 1-A7). Если | Д -2/2 \, \ Р1-Р2 \
2Рі -Р2 \ все порядка 0(1) по е, то

і. ’
0 +?[СіЛ(т)зіл F+ С
2Я(т) cos F-t-
Po (6.3.7)
4- DiS(m) sin G + ?>
2S’(m) cos G] + 0(e~),
где C
i и D
i — постоянные четырехмерные векторы и А — (1 -f- W2S^)Pit + .4*(пт)I В = (1 + V2E
2)P2t + В*(т), (6.3.8)
m = e
2t.
а R(m), S(m), A*(m) и В*(т) являются скалярными функциями,
 |
|
Рис. 6.6. Нерегулярные колебания цен. |
определяемыми из соотношения

Здесь N = (пф
4х6. Величины C
;, D
h w
2, v
2, N определены у Занга (1989d).
Доказательство этой теоремы дано Зангом (1989d).
Приближение (6.3.7) справедливо для периодов времени порядка ?(1/^). Устойчивость решения определяется асимптотическим поведением функций R(m) и S(m) при т Если они стремятся к постоянному значению или
осциллируют, то бифуркационное решение устойчиво. Расчет параметров теоремы прост, но утомителен.
Теорема относится к возможным нерегулярным колебаниям, ветвящимся от состояния равновесия. В прямую противоположность случаю бифуркации Хопфа, при паре простых комплексных собственных значений зависящее от времени решение не обязательно периодично. Суперпозиция гармоник А и В, в случае, если Д и Д несоизмеримы, не является периодической функцией. Точно предсказать поведение такой системы почти невозможно. Иллюстрация поведения p
t (е, t) при несоизмеримых Д и Д дана на рис. 6.6.
 |
|
Рис. 6.7. Рост капитала может далеко отклоняться от равновесия. |
Разность между действительной нормой основного капитала на душу населения и его равновесным значением состоит из двух частей вида: CnR(m) sin A + C
2iR(m) cos А и D
nS(m) sin В + D
2iS(m) cos В. Следовательно, если в и в соизмеримы, наблюдаем регулярное периодическое движение, хотя в течение каждого периода поведение представляется нерегулярным.
Интересно исследовать поведение других переменных системы. Если условия теоремы выполнены, производство и потребление осциллируют, хотя их движение заключено в области вблизи соответствующих равновесных значений. Посмотрите на динамику накопления капитала K\(f). Если Ki(f) = ki(e,f)L
0 exp(gf), где L
0 — первоначальная численность населения, то фонд капитала растет осцилляторно, как показано на рис. 6.7. На очень больших временах f основной капитал может далеко отклониться от равновесного значения.
Из приведенных рассуждений видим, что вблизи равновесия переменные движутся «случайным образом». Это движение может быть периодическим или апериодическим в зависимости от заданных начальных условий.
6.4 Динамика городов — система Лоренца
Приведенные примеры показали очень важные особенности эволюционных систем. В таких системах с течением времени путем бифуркаций возникают новые виды поведения. Последовательность бифуркаций может перевести систему от равновесного состояния к хаотическому. Примером зарождения хаоса через последовательные бифуркации является сценарий Ландау-Хопфа (см. разд. 3.7). Как утверждали Рюэль и Такенс, маловероятно, что этот сценарий в природе реализуется. Для получения низкоразмерного многообразия в фазовом пространстве, называемого странным аттрактором, достаточно четырех последовательных бифуркаций. Предложенная схема может быть представлена следующим образом:
неподвижная точка ^ предельный цикл ^ 2-мерный тор ^ 3-мерный тор
^ странный аттрактор.
Эта схема предполагает иной путь исследования хаоса в динамических системах. Строгое определение странных аттракторов является следующим:
Определение 6.4.1. (Странный аттрактор.) Рассмотрим и-мерную систему dx/dt = f(x, r), где r — скаляр. Ограниченное множество A в R
n является странным аттрактором системы, если существует множество U, обладающее следующими свойствами:
i) U является и-мерной окрестностью А.
ii) Если х(0) принадлежит U, то для любого положительного t x(t) также принадлежит U и x(t) ^ А.
iii) Если х(0) принадлежит U, имеет место сильная зависимость от начальных условий, т.е. малые вариации x(0) за короткий промежуток времени приводят к существенным различиям траекторий системы.
iv) Аттрактор является неразложимым множеством.
Существование странного аттрактора в Непрерывной по времени динамической системе означает сильную нерегулярность поведения. Покажем, что такое поведение может наблюдаться в очень простых трехмерных динамических системах.
Для иллюстрации хаотических явлений в дифференциальных уравнениях наиболее известна система Лоренца. В 1963 г., вне связи с идеями бифуркаций, Лоренц опубликовал статью, посвященную турбулентности. Система уравнений Лоренца состоит из трех обыкновенных дифференциальных уравнений


(6.4.1)

где a, r и b - действительные положительные параметры.
Лоренц получил эту систему из следующих соображений. Двумерная ячейка жидкости нагревается снизу и охлаждается сверху, что порождает движение жидкости — конвекцию. Результирующее конвективное движение моделируется уравнением в частных производных. Переменные в уравнении разлагаются по модам в бесконечный ряд, в котором все слагаемые, кроме трех (6.4.1), тождественно равны нулю. Переменная x в (6.4.1) представляет собой скорость конвективного обмена. Переменные у и г — это соответственно горизонтальная и вертикальная вариации температуры. Три параметра а, r и b пропорциональны соответственно числу Прандтля, числу Рэлея и некоторому коэффициенту, отражающему физические свойства рассматриваемой области.
При изменении параметров поведение потока тоже изменяется. Численно показано, что для некоторых значений параметров решения уравнений псевдо-случайно (хаотически) осциллируют, причем по-видимому, бесконечно долго. Вдобавок, существуют некоторые значения параметров, для которых наблюдается явление «предтурбулентности» — когда в течение длительного периода времени траектории хаотически осциллируют, прежде чем сесть на устойчивое стационарное или устойчивое периодическое движение. Мы выделяем также «перемежающийся хаос», когда чередуются хаотические и явно устойчивые участки траекторий движения. Система может проявлять также тип движения, называемый «зашумленным периодическим», когда траектории хаотичны, хотя остаются весьма близки к неустойчивым периодическим орбитам. Вид аттрактора Лоренца приведен на рис. 6.8, где а = 4, r = 80, b= 8/3 (см. Хакен, 1983, стр. 31).
Интересно, что с помощью аттрактора Лоренца можно моделировать многие другие явления. Например, Хакен (1975) получил уравнения Лоренца, решая задачу нерегулярного распределения максимумов лазерного излучения, тогда как Йорке и Йорке (1979) обнаружили его, решая задачу о конвекции в тороидальной области. Кноблох (1981) нашел, что к системе Лоренца сводится задача о дисковом динамо. Педлоски и Френтен (1980) использовали уравнения Лоренца для описания динамики слабонеустойчивых
 |
|
Рис. 6.8. Аттрактор Лоренца. |
бароклинических волн конечной амплитуды. Существуют и другие задачи, которые можно моделировать этими уравнениями (см. Спарро, 1982). В завершение этого списка мы покажем, что уравнения Лоренца, по крайней мере на малых временах, можно использовать для описания динамики небольших городских систем, входящих в состав метрополии.
Рассмотрим в пространстве метрополии такую городскую систему. Предполагается, что в отношении экономической деятельности она очень «мала» в сравнении с метрополией. Это значит, что любые изменения экономических условий в городской системе не влияют на все пространство метрополии, которое остается структурно устойчивым в течение времени наблюдения. Мы имеем дело с краткосрочной динамикой, следовательно, пространство метрополии можно рассматривать как стационарное окружение. Очевидно, что это предположение на больших временах несправедливо.
Предполагается, что фирмы и постоянное население свободны в выборе местонахождения и в городском пространстве, и во «внешнем мире». Поскольку городское пространство очень мало, выбор положения и распределение фирм и домохозяев в городе не может влиять на расположения других составных частей метрополии.
Предполагается, что локационные характеристики городского
пространства описываются следующими тремя переменными:
X — продукция, производимая городской системой;
Y — численность коренного населения;
Z — земельная рента.
Продукция городской промышленности может идти на потребление населения или экспортироваться вовне. Мы предполагаем, что возможна следующая динамика города:
|
= ві(агУ - адХ), |
(6.4.1) |
|
= Сі(с2-К — с3У) — c4A’Z, |
(6.4.2) |
|
^ = dyXY — dnZ) |
(6.4.3) |
где а,
сі, и di, - положительные параметры.
Параметр а мы определяем как спрос на городскую продукцию, нормированный на душу населения. Параметр аз интерпретируется как уровень предложения продукции внутри города. Поскольку спрос жителей на городскую продукцию и предложение ее на городском рынке предполагаются зависящими от объема производства и численности населения, эти два параметра могут зависеть от переменных системы. Впрочем, можно считать а и а постоянными, поскольку мы будем рассматривать только небольшие отрезки времени. В соответствии с принятыми определениями, очевидно, что aY — это общий спрос жителей на городскую продукцию, а OjX — общий поток городской продукции на городской рынок. Таким образом, уравнение (6.4.2) означает, что темп изменения городской продукции пропорционален избытку спроса. Если спрос больше предложения, производство имеет тенденцию к расширению, и наоборот. Параметр Оі — коэффициент, имеющий смысл скорости установления. Для простоты предположим, что земельная рента не влияет на производство, т.е. темп изменения зависит лишь от избытка спроса на городскую продукцию.
Мы предполагаем, что изменение численности городского населения задается двумя членами с
1(с
2Х — c
3Y) и — c
4XZ. Величину С2 мы интерпретируем как спрос на труд со стороны фирм для производства единицы продукции. Следовательно, с
2Х — это общий спрос на труд на городском рынке труда. Параметр сз определяется как отношение численности городских жителей, выбирающих работу в городе, к общей численности городского населения. Величина c
3Y задает общую величину предложения труда на городском рынке труда. Член (с
2Х — c
3Y) — избыток спроса на труд в городе. Он влияет на направление миграции. На миграцию влияет также величина земельной ренты, так как люди выбирают для проживания местности с низкой ценой на землю. Член — c
4XZ учитывает этот фактор.
В (6.4.4) мы предполагали, что любое изменение величины земельной ренты отрицательно влияет на ее текущий уровень. Это соображение основано на том, что если земельная рента очень высока, то увеличить ее дальше трудно. Член d
1XY означает, что на изменения земельной ренты положительно влияют X и Y.
Чтобы показать, что система (6.4.2-4) идентична системе Лоренца, проведем следующее преобразование:
 |
1/2
diX
ClC3 ’
l/a
(6.4.5) |
</іа
аУ аз
сі
сз'
а
3С!С
3
Легко установить, что (6.4.5) преобразует (6.4.2-6.4.4) в (6.4.1). Таким образом, мы дали интерпретацию уравнений Лоренца в контексте проблем городского производства и миграции населения, показав
 |
|
Рис. 6.9. Хаотическая динамика города. |
возможность их применения для объяснения феномена развития городов.
Исследованию поведения системы Лоренца посвящено много работ (например, Спарро, 1982). Для изучения системы предложено множество подходов, комбинирующих различные аналитические и численные методы.
Мы взяли для расчета следующие значения нормировочных параметров и = 10, b = 8/3 и r = 28. Поведение системы соответствовало результатам моделирования в работе Спарро (1982). Результаты нашего расчета представлены на рис. 6.9.
Из рисунка видны некоторые свойства решений: (I) траектории не являются периодическими; (II) рисунок не изображает переходный (неустойчивый) процесс, так как, в зависимости от того, как долго продолжается численное интегрирование, траектория продолжает наматываться, не приближаясь ни к какой периодической орбите, и ни к какому стационарному состоянию; (III) топология рисунка не зависит от выбора начальных условий или метода интегрирования; и (IV) предсказать, как будет вести себя траектория в течение сколько-нибудь длительного промежутка времени невозможно.
6.5 Хаос в модели международной экономики
В этой главе мы покажем, что международная торговля между экономиками, в которых наблюдаются предельные циклы, может привести к появлению странного аттрактора и, следовательно, возникновению хаоса. Международную торговлю в некотором смысле можно рассматривать как возмущения изолированных экономик. Лоренцем (1987) предложена следующая модель.
Рассмотрим три экономики (национальные, региональные или городские), каждая из которых описывается упрощенными детерминированными уравнениями Кейнса (см. гл. 5)

где индекс i обозначает номер экономики, а остальные переменные определены следующим образом:
Y — доход;
r — процентная ставка;
L — функция спроса на деньги;
М — постоянное номинальное денежное предложение;
p — фиксированные цены товаров;
I(Y, r) — функция спроса на инвестиции (I
Y > 0, I
r < 0);
S(Y, r) — функция сбережений (S
Y > 0, S
r > 0);
а, в — положительные параметры установления.
Множество точек {(Y
i,r
i)\L
i(Y
i, r)} = S
i(Y
i,r
i)} образуют IS-кривую i-ой экономики; множество точек {(Y
i, r
i)\L
i(Y
i, ri) = M
i/p
i} образуют LM-кривую i-ой экономики.
Уравнения (6.5.1) представляют собой систему дифференциальных уравнений шестого порядка, которая может быть записана как объединение трех независимых двумерных систем, обладающих предельными циклами (при соответствующих условиях). Если все три экономики являются осциллирующими, общее движение системы (6.5.1) состоит из движения по трехмерному тору Т
3, который погружен в пространство R
6.
Введение в изолированные системы фактора международной торговли (экспорта и импорта) с помощью функций
Ex, = Ex, (Yj, Yk), (j ф j, к), Im, = Ітщ(У<)
|
приводит к уравнениям |
 |
где M
i* — фиксированное предложение денег в i-ой экономике, отражающее баланс платежных равновесий.
Расширенная система (6.5.2) состоит из трех связанных ограниченных осцилляторов. Как показано Ньюхаусом, Рюэлем и Такенсом (1978), возмущение движения по трехмерным торам может привести к странному аттрактору.
Очевидно, что существование странного аттрактора подразумевает хаотичность траекторий. Нетрудно установить, что система (6.5.2) удовлетворяет условиям теоремы Ныохауса-Рюэля-Такенса. Таким образом, в международной модели мы установили существование странных аттракторов.
Предложение 6.5.1. Если все три автономные экономики принадлежат к осцилляторному типу, введение международной торговли может привести к существованию странного аттрактора в объединенной экономике.
Лоренц показал, что существование хаотических траекторий в соответствующих моделях можно установить численным моделированием.
6.6 Хаос и экономическое прогнозирование
Великая мощь науки определяется способностью прогнозировать будущее. Эта способность питается знаниями о причинных отношениях между составными элементами исследуемых явлений. Исторически важнейшие идеи о возможностях научных предсказании сформулированы Лапласом и Пуанкаре. Их взгляды оказали значительное влияние на понимание процесса экономической эволюции.
Французский математик Лаплас считал, что законы природы несут в себе строгий детерминизм и полную предсказуемость. Лишь несовершенство методов наблюдений вызывает потребность в теории вероятностей. По Лапласу, «текущее состояние систем в природе является очевидным следствием состояний в предшествующие моменты, и если мы сможем постичь всю информацию, которая в данной точке отражает все связи всего сущего во Вселенной, то станет возможным установление относительных положений, скоростей и взаимного влияния каждого составляющего элемента в любой настоящий и будущий момент времени.... Простота законов движения небесных тел и соотношений между их массами и расстояниями позволяет проследить их движение до любой заданной точки; для того чтобы определить состояние системы этих макрообъектов в прошлых или будущих веках, для математика довольно, чтобы их положения и скорости были заданы в любой произвольный момент времени. Это возможно, благодаря точным инструментам, применяемым в астрономических наблюдениях, и небольшому числу соотношений, используемых в расчетах. Но при исследовании огромного большинства других явлений природы неполное знание причин, вызывающих явление, пренебрежение их сложностью, вкупе с погрешностями анализа, не позволяют нам достигать такой же определенности. Таким образом, существуют явления, для нас неопределенные, явления, более или менее вероятные, и мы ищем пути компенсации недостаточности нашего знания, вводя разные степени вероятности этих явлений. Так что одна из наиболее тонких математических теорий, наука о возможностях и вероятностях обязана своим существованием слабости человеческого разума».
Пуанкаре показал, что произвольно малые неопределенности состояния системы с течением времени могут усиливаться; делая, таким образом, невозможным предсказание отдаленного будущего. По Пуанкаре, «очень малая причина, которая ускользает от наблюдения, может определять значительный эффект, который не увидеть невозможно, и тогда мы говорим, что эффект случаен. Если нам точно известны законы природы и положения в пространстве в начальный момент, мы можем точно предсказать ситуацию в пространстве в момент последующий. Но даже если законы природы не составляют для нас более секрета, начальную ситуацию мы можем знать лишь приближенно. Если это знание позволяет нам предсказать ситуацию с той же степенью приближения — это все, что нам нужно, и мы можем сказать, что явление нами предсказано, что оно укладывается в законы. Но это не всегда так. Может случиться, что малые расхождения в начальных условиях повлекут за собой большие отклонения в конце, малые ошибки на старте приведут к огромным ошибкам в финале. Прогнозирование становится невозможным, и вот перед нами случайный процесс».
Во взглядах на предсказуемость мы следуем Пуанкаре. Хотя полностью предсказать динамику системы невозможно, это не означает, что нам нечего сказать о будущем произвольной системы в произвольный период времени. Наша способность к предсказанию зависит от того, что за явление мы изучаем: например, на основе законов гравитации можно с успехом предсказывать затмения на тысячи лет вперед. Однако надежные предсказания погоды сегодня совершенно невозможны, хотя движение атмосферы подчиняется законам физики в той же степени, что и движение планет. Наш вопрос: что же делает движение одних систем более предсказуемым, чем других?
Как и в вопросах прогнозирования погоды, широкая публика остается невысокого мнения об экономическом прогнозировании. И наука о прогнозировании погоды, и экономическое прогнозирование пытаются предсказать результат развития очень больших систем, компоненты которых сложнейшим образом взаимодействуют между собой. Изолирующие и упрощающие методы, которые играют центральную роль в развитии науки, для анализа таких систем малопригодны. Более того, поскольку подобные большие взаимодействующие системы часто нестабильны, предсказать поведение таких систем на больших временах практически невозможно.
Для того чтобы проиллюстрировать трудности, возникающие при прогнозировании структурных изменений в экономике, рассмотрим интересный вопрос, вновь поставленный недавно Домингосом, Фейром и Шапиро (1988): можно ли было заранее предсказать Великую депрессию? Они показали, что ни современные аналитики, ни новейший аппарат анализа временных рядов не могут дать прогноз обвального падения производства, вызванного Большим Крахом. Их вывод основан и на анализе прогнозов Гарварда и Йеля, и на применении современных методов временных рядов, использованных на данных Гарварда и Йеля, и на новейших исторических данных.
В 1920 г. в Соединенных Штатах службы прогнозирования в Гарварде и Йеле были, вероятно, двумя наиболее компетентными службами экономического прогнозирования, которые имелись в распоряжении бизнеса и государства. В двадцатых годах этого столетия Экономическая служба Гарварда (ЭСГ) издавала ежемесячные обзоры текущего и предполагаемого состояния экономики. Для прогноза ЭСГ использовала три индекса, представляющих собой теоретический прогноз (кривая А), бизнес (кривая В) и деньги (кривая С). Таким образом, предсказания Гарварда были основаны на соотношениях, определяемых из этих трех кривых в течении каждой данной фазы делового цикла, на амплитуде цикла от пика до впадины на каждой из кривых. Итоговые индексы показаны на рис. 6.10 и 6.11 соответственно для периодов 1903-1914 гг. и 1919-1931 гг. Все три этих индекса являли скорее запаздывание, чем предвидение событий (экономического Краха, в частности).
Как пояснили Домингос, Фейр и Шапиро (1988), службы Гарварда и Йеля не только не предсказывали падения производства до Краха, но и не давали каких-либо пессимистических прогнозов экономики сразу вслед за Крахом. Для изучения вопроса о предсказуемости Депрессии эти авторы оценивали набор векторных авторегрессионных моделей, используя данные службы Гарварда, данные Фишера и исторические архивные данные. Результаты оценки показали, что большие спады доходов в начальной стадии Депрессии не были сколько-нибудь внятно предсказаны ни за месяц до Краха, ни когда известие о Крахе стало фактом. Депрессия оказалась недоступной прогнозированию с использованием методов временных РЯДОВ. Таким образом, можно оправдать и службы Гарварда и Йеля, и специалистов по эконометрике, вооруженных современными методами временных рядов и современными данными, за их оптимистические экономические прогнозы как накануне Краха, так и Месяц спустя.

Рис. 6.10. Индексы ЭСГ, 1903-1904 гг.
 |
Рис. 6.10. Индексы ЭСГ, 1919-1931 гг. (источник: Amer. Econ. Rev. 74, р.597)
Поскольку основные объяснения Депрессии были основаны на предположениях структурной устойчивости и линейности, оказалось невозможным выявить причину таких структурных изменений. Синергетическая же экономика позволяет' построить плодотворную' теорию для объяснении причин, вызвавших Депрессию. |
6.7 Замечания
В настоящей главе были рассмотрены вопросы существования хаоса (заметим, что апериодические решения — это не хаос). Мы обсудили концепцию хаоса и установили наличие хаоса в макромоделях роста, моделях развития городов и моделях региональной и интернациональной экономик.
Было показано, что экономический хаос может возникнуть даже в моделях, описываемых совершенно простыми дифференциальными уравнениями. Это ошеломляющее открытие изменило наши взгляды на процесс экономического развития. Открытие хаоса создало новую парадигму экономического моделирования. Системы обладают внутренними свойствами, порождающими опасность непредсказуемого поведения. Мы обнаруживаем новые фундаментальные ограничения возможностей экономического прогнозирования. Более развернуто: предсказать будущее подобных систем возможно, но любая ошибка в начальных условиях так быстро возрастает, что от прогноза практически ничего не остается.
Существование хаоса для нас неудивительно. Хаос согласуется с большей частью нашего ежедневного опыта в большей степени, нежели точная предсказуемость — удивительно, вероятно, то, что хаос может возникнуть в детерминированных уравнениях.
Нужно подчеркнуть, что подход к описанию экономических явлений с помощью хаотических динамических систем имеет свои положительные аспекты, в частности мнимо-стохастические временные ряды могут быть порождены из подобных систем без каких-либо ссылок на произвольно постулированные экзогенные воздействия. Детерминизм, присущий хаосу, означает, что многие случайные экономические явления более предсказуемы, чем мы думали. В этом отношении могут быть весьма плодотворны приложения хаотических динамических систем к анализу прошлых экономических осцилляции.
В некотором смысле больше беспокойства доставляет утверждение, что оптимальное движение является хаотическим. Это должно означать, что индивидуальное рациональное поведение почти невозможно реализовать на практике. Мы подробно обсудим экономические аспекты существования хаоса в гл. 9.
Приложение: Некоторые критерии классификации аттракторов
Мы называем хаосом нерегулярное движение, происходящее из детерминированных уравнений. Трудность состоит в том, как измерять «нерегулярное движение».
Как видно из предыдущих глав, в детерминированных системах можно обнаружить различное поведение: например, движение к устойчивому фокусу, предельным циклам и регулярные флуктуации типа субгармонических бифуркаций. Так как эти регулярные движения также очень сложны, то желательно иметь критерии для отличия регулярного и хаотического движения.
6.7.1 Показатели Ляпунова дифференциальных уравнений
Рассмотрим вначале следующее нелинейное дифференциальное
уравнение
 |
(6.А.1) |
где F - нелинейная вектор-функция от х. Пусть x
0(t) - решение (6.A.1). Вводя x(t) = x
0(t) + X(t), получим линеаризованные уравнения
(S.A.2)
dX(t)
dt
где L(x
0(t)) = (д Ft (x
0(t))l д Xj)
nxn. Показатели Ляпунова определяются как
г= lim sup ( ^-ln |Х(/)|) . (б.А.З)
г—foo \ і J
Можно показать, что в зависимости от различных начальных значений X(t) при t = t
0 могут существовать различные показатели Ляпунова, но не более n вариантов. Можно, например, доказать следующую теорему (Хакен, 1983).
Теорема. Если при t траектория x(t) автономной системы остается в
ограниченной области и не содержит неподвижной точки, то по крайней мере один показатель Ляпунова обращается в нуль.
Следует подчеркнуть, что показатели Ляпунова являются частным случаем «обобщенных характеристических показателей». Известно, что, если все обобщенные характеристические показатели отрицательны, система устойчива.
Показатели Ляпунова можно использовать для характеристик различных типов аттракторов. Например, в случае размерности один имеются только устойчивые неподвижные точки, для которых показатели Ляпунова г отрицательны. В случае размерности два возможны только два класса аттракторов — устойчивые неподвижные точки и предельные циклы. Для устойчивой неподвижной точки два показателя Ляпунова (которые могут совпадать) отрицательны. Для предельного цикла (z
1tz
2) = (-,0). В случае
размерности три имеем следующие типичные классы:
(z
1,z
2,z
3) = (—, —, —) для устойчивой неподвижной точки,
(z
1,z
2,z
3) = (0, —, —) для устойчивого предельного цикла,
(z
1,z
2,z
3) = (—, 0,0) для устойчивого тора,
(z
1,z
2,z
3) = (+, 0, —) для странного аттрактора.
На рис. 6.12 показана связь между размерностью простого аттрактора, погруженного в трехмерное фазовое пространство, и знаками его показателей Ляпунова.
Хаос может возникнуть, если один из показателей Ляпунова положителен. Поскольку для хаотического аттрактора по крайней мере один из показателей Ляпунова положителен, соседние траектории очень быстро разбегаются. Например, (z
1,z
2,z
3)=(+,0,0) может означать, что мы имеем дело с неустойчивым тором. Если аттрактор обладает показателями (z
1,z
2,z
3)=(+,0,—), то его можно считать хаотическим. Следует, однако, подчеркнуть, что мы пока еще очень мало знаем о связи свойств аттракторов с показателями Ляпунова и о том, как рассчитывать эти показатели.
6.7.2 Показатели Ляпунова для дискретных отображений
Рассмотрим дискретное отображение вида
 |
|
Рис. 6.12. Связь между показателями Ляпунова и аттракторами. |
(6.л.4)
хп +1
= /(•*• П )|
где х
п, n = 1,2,... — векторы в M-мерном пространстве. Изучим способ определения показателей Ляпунова для (6.А.4).
 |
|
Рис. 6.13. Показатели Ляпунова для логистического отображения. |
В случае дискретного отображения траектория состоит из последовательности точек х
п, n = 0,1,.... Обозначим через х° траекторию, окрестность которой мы собираемся исследовать. Пусть
хп —
(б.А.о)
где х
п и х
п удовлетворяют соотношениям (6.А.4), а Х
п — малые возмущения. Подставляя (6.А.5) в (6.А.4), получим линеаризованную систему
X
n+1 = L(x°)X
n,
где
L
(x0 )= [3f
k (х)/
dxj ]
пр
и х=
х0 . Эго
(6.А.6)
уравнение можно решать методом
итераций. Имеем
X
n = L(x°
n_
1)L(x°
n_
2)...L(x
00)X
0.
Показатели Ляпунова определяются как
г = Іігп sup — In |Л'п|.
П-f СО 71
(б-А.7)
зависимости от направления Х
0 мы можем получить различные значения г. Для одномерного отображения имеем
г = Іігп sup - V ln|/'(i^)|.
П-?СС n
L—'
(6. A,8)
Рассмотрим, например, логистическое отображение
х
п+1 = ах„(1 - х„). (6.А.9)
Показатели Ляпунова как функции переменной а представлены на рис. 6.13. Положительные значения показателей соответствуют хаотическому движению, а отрицательные — наличию регулярности (периодичности) (см. Хакен, 1983).
6.7.3 Сигнал, спектр мощности, функция автокорреляции и отображение Пуанкаре
Упомянем теперь некоторые возможные критерии хаотичности движения. Для того, чтобы провести различие между многочастотным периодическим движением (которое тоже может выглядеть довольно сложно) и хаосом, часто бывает удобно воспользоваться Фурье-преобразованием переменной x(t):

Для многопериодического движения спектр мощности P(w) = lx(w)l
2 состоит только из дискретных линий соответствующих частот, тогда как хаотическое движение (которое, очевидно, апериодично) обладает широким шумовым спектром P(w), локализованным преимущественно в области низких частот.
Для того чтобы определить хаос, мы можем также воспользоваться вариацией автокорреляционной функции

где
Эта функция остается постоянной или осциллирует в случае регулярного движения и быстро убывает, если x(t) становится некоррелированной в хаотическом режиме. Нужно сказать, что P(w) и C(v) несут одну и ту же информацию.
Идея отображения Пуанкаре может быть представлена следующим образом. Мы можем рассмотреть множество траекторий в и-мерном пространстве и исследовать точки, в которых траектории пересекают некую гиперповерхность. В пространстве трех измерений это можно представить, как показано на рис. 6.14а. На
 |
|
Рис. 6.14. Отображение Пуанкаре. |
рис.6.14Ь точки пересечения соединены гладкой кривой. В этом случае отображение Пуанкаре сводится к поперечному сечению на двумерной плоскости, хотя сами траектории принадлежат трехмерному пространству.
В следующей ниже таблице показано, как выглядят все эти числовые критерии для хаоса. Таблица взята из книги Шустера (1988, с. 10).
Из таблицы видим, что для хаоса характерны следующие четыре критерия: (I) временная зависимость сигнала «выглядит хаотично»; (II) спектр мощности представляет собой широкополосный шум; (III) функция автокорреляции быстро распадается; (IV) отображение Пуанкаре заполняет равномерно некоторую область пространства. Подробное объяснение этой таблицы приведено у Шустера (1988).
Система
Уравнение движения
Критерий
Монтнж
Сигнал
О + уо + о sin 0 = A cos wt у — —7У — у sin х + A cos z
пи
Время
Спсісгр мощности
|
Ячейка Бенара г = -аг 4- <7у |
у — гх — у — х
'‘‘MAuLL
if-ы(Ю)
Реакция
М ь ГГ»
Функция корреляции
Белоусова-
Жаботинского z —
Z = [=1 . <-'2 , ¦ ¦ • Cd]
Се2(Ь0
4 )з
Се< +
Я тЧа«І
Система
Отображение Пуанкаре
леннона-
Хейлеса
+ 9і<?2 - 3^2
!!?»#
7 Стохастические процессы и экономическая эволюция
... Цель науки в том, чтобы находить достаточные объяснения всему, что бы ни потребовалось объяснить.
Карл Р. Поппер (1972)
7.1. Случайные процессы и экономическая эволюция
Мы показали, что случайное поведение можно обнаружить в экономических системах, описываемых даже простыми дифференциальными уравнениями. При относительно простых взаимодействиях между экономическими переменными в системе могут быть эндогенно возбуждены регулярные и нерегулярные колебания. В хаосе наличествует порядок. Однако, как мы уже говорили, есть и другой путь объяснения экономических флуктуации: нерегулярное движение может возникать в системах, подверженных воздействию внешнего случайного фактора. Обратимся за примером к простому уравнению периодического движения маятника (см. Шустер, 1988)
d
2x dx . . , .
-7-5- + г— -f sina: = A cosfuin, dt
2 di
v ”
где r — параметр затухания, А — амплитуда, w — частота вынуждающей силы. Это уравнение решалось численно для различных наборов параметров (A,w, r), и на рис. 7.1 видно, что когда амплитуда А достигает определенной величины А
с, изменения угла отклонения маятника x со временем выглядят просто хаотическими. Начальные значения решения, приведенного на рис. 7.1, равны х(0) = 0 и dx(0)/dt =0, r= 0.2, а черные точки на рис. 7.1с соответствуют тем значениям параметров (A, w), для которых движение маятника хаотично.
 |
|
Рис. 7.1. Переход к хаосу колебаний маятника под внешним воздействием. |
Необходимость учета в экономике фактора шума отражает то обстоятельство, что некоторые события являются чисто случайными, наподобие выигрыша в лотерее. Считается, что экономические системы бывают часто подвержены воздействию окружающей среды. Такие воздействия распределены во времени и в пространстве случайным образом. Другая точка зрения состоит в том, что даже если какие-то события — большой или малый урожай, изобретения и так далее — в принципе, могут быть описаны на основе детерминированного механизма, с точки зрения экономики случаен факт их появления. Если основанием для принятия в качестве приближения стохастической модели послужило последнее, то как только механизм будет выявлен, модель должна быть заменена на детерминированную.
В этой главе мы рассмотрим «стохастический подход» к вопросам экономической динамики и исследуем влияние на ход экономической эволюции малых флуктуации.
Характерный пример такого подхода к экономике можно найти в работе Лукаса (1975). Макроэкономическая модель Лукаса базируется на системе линейных разностных уравнений со стохастическими членами. Экономика подразделяется на «острова» (области). Информационные потоки между различными островами неполны. Эта географическая особенность означает, что когда агенты отмечают рост цен, они не могут сказать, возросли цены лишь
на острове их обитания либо повсеместно. Таким образом, чисто номинальные колебания цен могут побудить людей к инвестициям средств, если они не знают реальных более выгодных возможностей. Поскольку капитал, инвестированный в течение номинальных колебаний цен, недвижим, эффект проявится лишь некоторое время спустя после возмущения. Можно показать, что в рамках этой модели может быть возбуждено квазипериодическое движение как цен, так и той части дохода, которая инвестирована. Это вполне разумно объясняет автокорреляции, наблюдаемые в макроэкономических данных.
Примеры случайных явлений можно найти и в физике, например броуновское движение. Это явление, состоящее в том, что взвешеные в воде малые частицы пребывают в состоянии беспорядочного движения, было впервые систематически изучено в 1827 г. Робертом Броуном. В память о его фундаментальной пионерской Работе это «беспорядочное» движение получило название броуновского. Загадочное явление не было объяснено в полной мере до работы Эйнштейна, 1905 г. В подходе Эйнштейна к решению проблемы выделены две отправные точки: (1) движение вызвано чрезвычайно частыми ударами по частицам со стороны непрерывно движущихся молекул воды, в которой эти частицы находятся; (2) само движение этих молекул так сложно, что их воздействие на частицы может быть описано только в терминах частых, статистически независимых ударов. Для описания флуктуации, подобных этим, эффективным инструментом является статистика.
Второй подход к объяснению нерегулярного движения сформулирован в результате изучения поведения детерминированных систем. Мы уже привели некоторые примеры такого подхода. В целом, он опирается на утверждение, что детерминированных уравнений и без учета каких-либо флуктуации достаточно для описания экономической динамики по двум причинам. Во-первых, флуктуации имеют малую интенсивность. Во-вторых, флуктуации проявляются в более быстром по сравнению с макроскопическими уравнениями временном масштабе. В этой главе мы покажем, что подобная очка зрения справедлива только для некоторого ограниченного исла случаев. Даже флуктуации с нулевым средним значением пособны сдвинуть систему далеко от равновесия; малые флуктуации могут вызвать структурную перестройку всей динамической системы. Таким образом, флуктуациями в динамическом анализе пренебрегать нельзя. Следует подчеркнуть, что этот важный вывод относится лишь к неустойчивым динамическим системам, на которые сделан упор в нашем подходе к проблеме.
Возникает и другой вопрос: какой из подходов — основанный на концепции неустойчивости или на концепции экзогенных шоков — злее предпочтителен при объяснении наблюдаемых нерегулярных
флуктуации данных? На этот вопрос в принципе невозможно ответить, опираясь лишь на исследование экономической модели, потому что, в конце концов, оба подхода содержат существенные упрощения реальных экономических процессов. Однако мы должны сформулировать некоторые критерии для определения того, какой же подход и когда более приемлем. Если принять за основу утверждение Фридмана (1953) о том, что в экономической модели реализм не является самоцелью, то нужно согласиться, что реализм должен присутствовать в модели в той степени, в какой модель сообщает нам об экономике нечто полезное. Однако хорошая экономическая теория должна указывать на основной механизм, который вызвал то или иное экономическое явление. Исходя из этого, нельзя отдать предпочтение объяснению флуктуации в моделях делового цикла лишь на основе экзогенных шоков в ущерб пониманию их в терминах нелинейных взаимодействий между переменными.
Вместе с тем нельзя отрицать, что любая экономика подвержена случайным воздействиям. Необходимость их учета является следствием нашего ограниченного понимания законов природы и других факторов. Например, мы не можем точно предсказать погоду, землетрясения и так далее. Единственный способ учесть их в экономическом анализе — считать случайными.
Существует утверждение, что только от характеристик системы зависит, вызовет ли случайный удар серьезные последствия. Для устойчивой системы, обладающей свойством быстро возвращаться к равновесию, воздействие внешнего удара будет незначительно. Однако, как показано в этом исследовании, если система неустойчива, влияние случайных воздействий, даже если их средние значения равны нулю, очень сложно — это должно быть понятно из предыдущего анализа. Мы показали, что неустойчивая система может претерпеть структурную перестройку даже в том случае, когда изменения параметров будут малы. Следовательно, можно интуитивно согласиться, что если система обладает «памятью», стохастический процесс даже с нулевыми средними может сместить систему далеко от невозмущенного равновесия.
Следовательно, чтобы предсказать поведение системы, нужно построить теорию флуктуации вблизи критических состояний. Далее в этой главе изучается роль флуктуации в системах с диссипацией.
7.2. Стохастические процессы. Введение
В этом разделе даны определения некоторых элементарных понятий теории случайных процессов. Прежде чем обратиться к случайным процессам, нам нужно дать определения некоторых понятий из теории вероятностей.
7.2.1. Некоторые понятия теории вероятностей
Пусть множество рассматриваемых событий обозначено как А*. Если события могут быть занумерованы целыми числами, то А* можно записать как А* = (x
h x
2,...}, где xi, — одно из событий из A*. Пусть A — какое-нибудь подмножество из A*, а A — множество, не содержащее событий (пустое множество).
Вероятость событий A, обозначаемая как P(A), определяется как функция от A, удовлетворяющая следующим аксиомам вероятностей:
i) Р (А) > 0 для всех A;
ii) P(A*)=1; и
iii) Если A;, (i = 1,2,...) — счетная (возможно, бесконечная) совокупность непересекающихся множеств, то р|
Этих трех аксиом достаточно для определения вероятности. Из них мы имеем:
iv) Если A — множество всех событий из A*, которые не принадлежат A, то Р( A ) = 1 — Р(А), и
v) Р(А)=0.
На интуитивном уровне вероятность Р (А) означает, что если из множества А* мы N раз случайным образом выберем некоторое событие, то при стремлении числа N к бесконечности частота того, что конкретное выбранное событие окажется принадлежащим А, приближается к числу Р (А). Выбор может производится последовательно, одно событие за другим, или одновременно.
Совместная вероятность Р(ЛпВ) определяется как

где x — событие, содержащееся в обоих рассматриваемых классах A и В. С помощью этого понятия мы можем определить условную вероятность Р(А|В) как
Р(А\В) = Р{АПВ)/Р{В),
которая есть вероятность того, что каждое из событий множества A содержится в В. В теории вероятностей два множества событий A и В независимы, если утверждение, что некоторое частное событие принадлежит В, не влияет на вероятность того, что оно
принадлежит A, или Р{А\В) не зависит от В. То есть, говорят, что множества А и В независимы, если
Р{АПВ) = Р(А)Р(В).
Аналогичное утверждение можно сделать относительно нескольких множеств событий.
Понятие случайной величины определяется следующим образом. Предположим, что у нас есть абстрактное вероятностное пространство, порожденное событиями, обозначаемыми х, причем x может быть непрерывным или дискретным. Случайная величина Х(х) определяется как функция х, которая для каждого х принимает определенные значения. Случайные величины X
1,X
2,... будем называть независимыми, если все значения X
i, определены независимо от оставшихся величин Xi.
Рассмотрим случай, когда базовые события непрерывны. Среднее значение случайной величины Х(х) определяется как
(X) = J X(x)p(x)dx,
Х?А'
где р(х) — вероятностная функция. Аналогично, если события х счетны, то
<*> = !>(*)*(*)¦
Для одной переменной определяется дисперсия

Дисперсия переменной есть мера уклонения значений Х от среднего значения (X). В случае нескольких переменных аналогичное понятие носит название ковариционной матрицы, причем г/-тый элемент этой матрицы определяется как

Если переменные независимы, то эта матрица диагональна.
Рассмотрим некоторую последовательность случайных величин {X}.
Существование предела последовательности X, при п
X =• Ііш Хп
и—юо
означает, грубо говоря, что случайная переменная Х может быть і приближена последовательностью {X}. Можно построить много
определений предела, например есть почти достоверный предел, среднеквадратичный предел, стохастический предел (или предел по вероятности) и предел по распределению (см., например, Гардинер, 1983).
В качестве приложения введенных понятий рассмотрим закон больших чисел. Измеряя N раз одну и ту же величину, получим выборку значений случайной переменной Х(п) (п = 1,2,...). Предположим, что для каждого п величина Х(п) имеет один и тот же закон распределения вероятности. Следует заметить, что значения Х(п) могут быть зависимыми. Можно доказать, что предполагая при |п — т/^°° достаточно быструю сходимость к нулю ковариации (Х(п),Х(т)}, мы будем иметь
где

Ясно, что ^ (Xj . Вычислим теперь дисперсию X
N и покажем, что при N
в определенных условиях она стремится к нулю. Так как var { X
N } равняется
?аг{ад = -(^)= Ш
2 ? (Х
п,Х
т),
О ГМ 1
предполагая, что (Х
грХ
т) достаточно быстро спадает при больших іи —ml, найдем, что

Это означает, что предел lim Xn является детерминированной переменной, которая равна (X).
7.2.2. Стохастические процессы
Под стохастическими процессами мы понимаем системы, в которых присутствует некоторая случайная переменная X(t). В широком понимании это системы, которые эволюционируют во времени в вероятностном смысле. Подразумевается, что значения xj, x
2,... • функции X(t) в моменты t
bt
2... могут быть измерены и что существует множество функций совместной плотности вероятности
p(xj, tj, Х2, t2,...)
Подобно тому, как это делается в теории вероятностей, мы можем определить условные плотности вероятностей. Чтобы проиллюстрировать, как нелинейность может влиять на способ описания движения системы, рассмотрим динамику рождаемости N(t), где N — число индивидуумов некоторой популяции. Пусть вероятность того, что за бесконечно малый отрезок времени St численность популяции возрастет от N до N + 1, пропорциональна І?и 8/, т. е.
P{N -* N + V, (t,t.+ 6t)} = aNSt,
где Р — вероятность, а а — некоторая константа. Если мы выразим предполагаемую численность популяции функцией п = E(N), то получим следующее дифференциальное уравнение:

Однако, если ввести в систему нелинейную зависимость вероятности от объема популяции

где в — константа, то функция n (= E(N)) будет удовлетворять уравнению
dn аЕІАі
2)
— = an--
di p
Следовательно, если не будет выполнено E(N
2) = (E(N))
2, мы не можем записать, что

Поскольку разность E(N
2) — (E(N))
2 есть дисперсия N, то пока N имеет малую дисперсию, можно пользоваться этим соотношением приближенно. Аналогичный вывод справедлив для случая эффектов высших порядков. Если рассматривается случай более чем одной переменной, мы будем требовать малость ковариации.
Простейший тип случайного процесса — процесс с полностью независимыми переменными
р(*ь<1.*2.*2,...) = П,р(х,•,/,). (7.2.1)
что означает полную независимость переменной X в момент t от ее прошлых (или будущих) значений: Если, кроме того, p(xj,t
t) в
(7.2.1) не зависит от t
t, т.е. если в любой момент времени справедлив один и тот же вероятностный закон, то такой процесс называется процессом Бернулли. Названия процессов различаются в соответствии со свойствами их функций плотности вероятности. Например, в марковском процессе знание настоящей ситуации определяет будущую, т. е., условная вероятность марковского процесса определяется непосредственно из информации о наиболее близких текущих значениях случайных величин
Р(*Ь <1, *2, *2, • • • |Уі. <!, У2, <2, • • •) = Р[х 1, *1, *2, *2 - • • ІІ/1, t‘), где t
j >t
2...> t
j* >t
2*...
Поскольку следующие формулы справедливы для всех стохастических процессов
Р(*1.<і|*3,<з) = J P[xi
1ti,X2,t2\x
3,t3)dx2 =
= ІРІ
Х1: h 1*2, h, *3, <э)р(*2, <2І*3, ta)dx
2,
то если для процесса выполнены допущения Маркова, имеем

Уравнение (7.2.2) носит имя Чепмена-Колмогорова. Покажем, что при некоторых условиях это уравнение может быть записано в дифференциальной форме. Для любого е > 0 потребуем выполнение следующих условий:
(7.2.3)
Нт Р(».*+*Ф.О И-t о St
равномерно по векторам х, z и времени t для |х — z\ < s;
(7.2.4)
(7.2.5)
і'-То Оі) f ~
гдр(
х<*+лі*>о*=
і*-*і<*
= Л,(М) + 0(е);
і'Ло (А) f (*' “ *)(*і “
г:)РІ
х>
1 + *1*.
l)
dx=
к-г|<г
= %(*,*) +О (e).
Оба последних предела равномерны по z, t и s.
Можно показать, что при этих условиях все коэффициенты высших порядков в форме (7.2.4) и (7.2.5) должны стремиться к нулю. При некоторых других условиях рассматриваемый случайный процесс может быть записан следующим образом (Гардинер, 1983, разд. 3.4)
:
Ml у, О = -?
д[-4,(М)р(МІМ )]
" azi
, 1 ? д2[.0у,(М)р(М|у,О]
+ dzidzj
+ /[И7(г|М)р(ММ') ~ W{x\z,t)p{z,t\y,t‘)\dx.
(7.2.6)
Это уравнение называется дифференциальным уравнением Чепмена-Колмогорова. Если подходящим образом определить функции A(x,t), B(x,t) и W(x\y,t), то у этого уравнения будет существовать неотрицательное решение.
Если положить Aj(z,t) = B^zA) = 0, получим мастер-уравнение

В следующем разделе мы выведем это уравнение для процессов рождения-гибели и исследуем его свойства.
Если предположить, что величина W(z\x,t) равна нулю, то уравнение Чепмена-Колмогорова перейдет в так называемое уравнение Фоккера-Планка
az\
, 1 ?- d
2ffl,-,-(M)p(M|y,Q]
+ Ч f-f dzidzj
(7.2.8)
Соответствующий процесс известен в математике как процесс диффузии. Приложения этого уравнения к социальным системам рассмотрены Вайдлихом и Хаагом (1983). Вектор A(z,t) называется вектором дрейфа, а матрица B(z,t) — матрицей диффузионных коэффициентов (диффузионной матрицей).
Если не равен нулю только первый член дифференциального Уравнения Чепмена-Колмогорова, то имеем частный случай уравнения
Лиувилля

Предложены и некоторые другие формы стохастических уравнений, и различные методы их решения. Ниже мы приведем некоторые примеры приложения статистических методов, имеющие целью показать, как наше видение роли нелинейности и неустойчивости приводит нас к новому пониманию эволюционных процессов в экономике.
7.3. Процессы рождения—гибели и мастер-уравнение
К классу процессов, называемых процессами рождения-гибели, может быть отнесен широкий спектр явлений (Гардинер, 1983). Название происходит от задачи моделирования динамики человеческой популяции или популяции животных, в которой учитывается рождение и смерть индивидуумов. Модель «хищник-жертва», упоминавшаяся в гл. 3, — одна из наиболее увлекательных моделей подобного рода. В данном разделе мы опишем такой процесс на основе теории вероятностей с помощью мастер-уравнения, а также в терминах уравнений динамики. Описание дадим довольно краткое, так как полный анализ модели весьма сложен и хорошо известен в литературе.
Предполагается, что система состоит из особей двух видов, один из которых охотится на другой с целью пропитания, второй вид поддерживает свое существование из неистощающегося источника пищи. Пусть через X обозначена единица популяции жертв, через Y — единица популяции хищников, А* — пища жертв, В — смертность хищников. Исследуемый процесс можно проиллюстрировать схемой
(7.3.1)
X + А* —1 2Х, X + Y ->2Y,
Y -+В\
в которой первое уравнение символизирует съедение жертвой единицы пищи и немедленное воспроизводство, второе символизирует потребление хищником единицы популяции жертв (которые, следовательно, погибают — и это для них единственный вид смертности) и немедленное воспроизводство, а последнее уравнение отражает естественную смертность хищников. Ниже для количественного
обозначения величин Хи Y используются соответственно символы х и у. Если предположить, что первая «реакция» отражает скорость воспроизводства Х пропорционально произведению x и объему съеденной пищи, вторая — что воспроизводство хищников Y и потребление жертв Х с равной скоростью пропорционально величине ху, третья — скорость уменьшения популяции Y, где смертность Y пропорциональна у, то задача может быть описана с помощью уравнений «хищник-жертва»
tjjj; = ail - Ь
гху,
^ = а
2ху - Ь
2у.
Свойства этой системы были изучены в гл. 3. Обсудим совокупное воздействие на такую систему малых случайных возмущений. Видно, что малые возмущения могут вызвать блуждание решения детерминированного уравнения между траекториями системы до тех пор, пока оно в конце концов не наткнется на ось х = 0 или у = 0. Если система описывает динамику популяций, это означает гибель популяции жертв или хищников. Таким образом, модель неадекватно описывает долговременные осцилляции системы «хищник-жерва». Имеются некоторые ограничения, налагаемые на уравнения реальной осцилляционной системой.
Если мы хотим должным образом включить в рассмотрение флуктуации, то простейший способ — воспользоваться мастер-уравнениями рождения-гибели (см. Николис и Пригожин, 1977, Гардинер, 1983). Предположим, что распределение вероятности числа индивидуумов в заданный момент времени — P(x,y,t). Попытаемся найти приемлемый вероятностный закон, соответствующий системе «хищник-жертва».
Предположим, что на бесконечно малом отрезке времени St выполняются следующие законы вероятностных переходов:
РгоЬ (ж —> х + 1; у —> у) = ах St,
(7.3.2)
Prob (а: -> х — 1; у -* у + 1) = Ьхубі,
Prob (ж ж; у -» у - 1) = PySt,
Prob (х ж; у —> у) ¦= і — (аж + Ьху + Ру)6і ¦
Таким образом, мы можем заменить динамические законы скоростей вероятностными законами. Вероятность нового состояния в Момент t + St мы можем записать как сумму слагаемых, каждое из Которых представляет собой вероятность предыдущего состояния,
помноженного на вероятность перехода в новое. Пусть для простоты Ъ= 1. Имеем
ft [Р{х, У, t + St)- Р[х, у, 0] =
= а(і - \)Р{х - l,y,t) +(х 4-1 )(у- 1)Р(х+1,у-1,0+
+ 0{у + 1 )Р[х, y+l,t)-(ax + xy + 0у)Р(х, у, t),
(7.3.3)
которое при 8 ^ 0 дает стохастическое дифференциальное уравнение. В (7.3.3) мы предполагаем, что вероятность каждого происходящего события может быть вполне определена знанием величин х и у — это есть постулат Маркова. В применении к экономике это предположение должно использоваться с большой осторожностью, так как оно не позволяет учитывать предысторию. В задачах о популяциях концепция традиций, т. е. тот факт, что поведение потомства связано с поведением родителей, очевидно противоречит марковскому постулату. Сделанное предположение справедливо до той степени, в которой подобны различные индивидуумы одного вида.
Уравнения типа (7.3.3) встречаются в самых разных областях науки (см., например, Гардинер, 1983, Вайдлих и Хааг, 1983). Кроме процессов рождения-гибели, примерами систем, которые могут быть описаны таким образом, являются системы молекул различных химических соединений, электронные, биологические системы, задачи о политическом голосовании и тому подобные. Конкретный выбор вероятностей переходов осуществляется на разнообразных основаниях, определяемых той степенью информации, которая известна относительно рассматриваемых процессов рождения и гибели.
Уравнение (7.3.3) не имеет простого решения. Его решения определяются как наличием глобального детерминированного движения, так и наличием флуктуации. Кроме того, флуктуации имеют, как правило, тот же порядок величины, что и квадратный корень из числа рассматриваемых в модели индивидуумов. Причем, как показано у Гардинера (1983), часто присутствует ограничение, не позволяющее асимптотически представить решение мастер-уравнения в виде детерминированной части плюс флуктуация.
Чтобы проиллюстрировать различие между свойствами решений уравнений «хищник-жертва» и стохастического уравнения, на рис. 7.2 представлены некоторые результаты численного моделирования (рис. 7.2а соответствует рис. 1.3а в книге Гардинера (1983), рис. 7.2b — рис. 1.3с). Сплошная линия обозначает жертв (х), пунктир — хищников (у).
Рассмотрим теперь, как можно было бы решить уравнение (7.3.3). Наиболее удобно проводить исследование уравнения с помощью
представления в виде производящей функции. Это представление определяется как
 |
|
Рис. 7.2. Временные зависимости в системе (а) детерминированных уравнений, (b) стохастических уравнений. |
(7.3.4)
F(s
t,Sy,t) — s
xSyP(x,i/,і).
*,s=o
Подстановка (7.3.4) в (7.3.3) дает уравнение
И = + ‘X*» -
51>аЖ +
+ 1>М;
(7'
3'
5)
которое называется мастер-уравнением. Здесь
Si=Si-l, Sj = Sy -1. (7.3.6)
Уравнение (7.3.5) — это уравнение в частных производных с переменными коэффициентами. Решать это уравнение в общем виде
нелегко. Однако в некоторых частных случаях оно может быть решено приближенно (Николис и Пригожин, 1977). Например, если в задаче нас интересует в основном макроизмерение, то разумно положить
F = exp [Nf(
Sils
2:t)], (7.3.7)
где необходимо определить функции f и N. Поскольку локальными аспектами некоторых явлений, например флуктуациями в малых «объемах», можно пренебречь, асимптотическое решение может быть получено из предположения, что величина N очень велика и положительна. В этом случае подстановка (7.3.7) в (7.3.5) приводит к

где а = AN, в = BN, t = tN, и А, В = О (1). Так как N очень велико, член, содержащий вторую производную, умноженную на 1/N, может быть опущен. Решение для (7.3.8) ищем в виде
/ = «I+«2(0*2 + ^M0
S1 +bu(t)sis
2+ ^622(0*2+ • • •. (7.3.9)
 |
|
Если пренебречь членами, содержащими 1/N, система (7.3.10) будет допускать стационарное решение |
где коэффициенты разложения связаны с моментами функции распределения вероятности. Например, а! = E(x)/N, а = E(y)/N и bj являются дисперсиями величин x и у. Подставляя (7.3.9) в (7.3.8), получим
(7.3.11)
|
которое идентично соответствующему равновесному в системе «хищник-жертва». Однако в нашей модели более важно знать свойства дисперсий. Имеем |
 |
Видно, что эти уравнения не имеют решений, не зависящих от времени. Предположим, что при t = 0 система описывалась пуассоновским распределением переменных x и у. Это предположение означает, что b
ij(t = 0) = 0. Решение уравнения (7.3.12), удовлетворяющее начальным условиям, имеет вид
Шіі + ВЬ
2, = 2АВ(Л + В)Г,
Ьи = {1 - cos [(4-4Д)
/
2*-]} - -(
4A-^'
/J sin [(4АВ)'/
гГ] .
(7.3.13)
Мы видим, что хотя начальные вариации нулевые и система является макроскопической, вариации Ь
іі (і = 1, 2) во времени возрастают, мгновенно отклоняясь от своих начальных значений. Достичь нового равновесия вариаций невозможно. Из стохастических представлений макроскопическое равновесие (7.3.11) бессмысленно даже в пределе малых флуктуации, соответствующих отбрасыванию членов, убывающих как 1/N. Поведение системы подвержено аномальным флуктуациям, которые линейно возрастают во времени на фоне периодического «шума», имеющего частоту, вдвое превышающую частоту макроскопического движения. Эти флуктуации приводят к изменению порядка величины членов, содержащих множители 1/N, которые не могут более не учитываться, и, в итоге, к сдвигу средних значений от стационарного состояния в сторону динамического режима. Это означает, что флуктуации играют решающую роль, качественно изменяя выводы макроскопического анализа.
Возможность спонтанного отклонения от режима в результате флуктуации дает поразительный пример нарушения закона больших чисел. Как показано Николисом и Пригожиным (1977), эта совершенно новая ситуация является следствием «связи», в результате которой переходы под влиянием стохастических переменных, Даже в больших системах, не являются статистически независимыми событиями.
Формализм рождения-гибели обладает некоторыми ограничениями. Например, подход, при котором вероятности переходов вычисляются в терминах агрегированных переменных, относящихся ко всей системе, означает; что в описании сохраняются только исключительные флуктуации. Рассмотрение системы как целого Может привести к подавлению флуктуации, связанных с такими свойствами, как размер, диапазон, в котором они проявляются, и Длина корреляции, в пределах которой две части системы «чувствуют» друг друга.
7.4. Неравновесная модель часов Шумпетера
В круг фундаментальных проблем экономики входит проблема вывода макроскопических свойств многокомпонентных систем на основе элементарных микрокопических свойств составляющих компонент. Одна из задач такого подхода состоит в выяснении того, какие именно макропеременные при заданных условиях могут оказаться значимы для описания динамики системы. Например, весьма популярно строить каждую экономическую теорию, исходя из предположения о рациональном поведении домохозяйств и фирм. Как соотносятся между собой при этом сумма частей и целое, является для экономики существенным вопросом.
В целом, в экономике принято считать, что даже если поведение каждой фирмы (или домохозяина) на микроуровне вызвано неопределенным механизмом, макроповедение системы может быть описано несколькими совокупными переменными (средними значениями), что позволяет проводить дальнейший анализ. Предложены и теории, которые учитывают неопределенности, хотя большинство их ограничено рамками статического анализа.
Очень общий количественный подход для анализа динамических процессов в социальных системах был предложен недавно Вайдлихом и Хаагом (1983). Это подход «статистической физики» — он развит на основе понятий пространства отношений, пространства социо-конфигураций и ситуаций. Авторы пытаются описать динамику макроскопических переменных, используя вероятностное
феноменологическое описание микромира. Явления, рассматриваемые в рамках этого приближения, в микромасштабе принадлежат области социо-политической психологии индивидуумов, с вытекающими отсюда коллективной материальной, экономической и абстрактной структурами в макромасштабе.
Мы опишем этот подход и приведем пример его приложения к экономике.
Пусть рассматриваемое сообщество состоит из N индивидуумов и подразделяется на Р подгрупп P
k (к = 1,... ,Р), каждая из которых состоит из N
k, членов: N = N
j + ... + N
k + ... + N
p. Поскольку имеют место процессы рождения/смерти и иммиграции/эмиграции, величины N
k могут меняться. Предполагается, что существует некоторое количество А различных «аспектов жизни», относящихся к таким областям, как религия, образование, потребление и производство, в которых индивидуумам приписываются определенные роли. Для каждого аспекта а (а= 1,..., А) существует d
a различных позиций (і
а = 1,.. .,d
a). Пространство позиций
G размерности А состоит из А различных аспектов. Позиции индивидуума обозначаются вектором i = [ij,..., i
A}. Число возможных комбинаций позиций L задается как
А
а=1
Индивидуумы имеют в различные позиции. Пусть n
ki — число членов P
k имеющих позицию i. Общее число индивидуумов, имеющих позицию i, обозначим через N
i. В соответствии с этими определениями имеем
N\ = я
1(- + ....+ п
РІ,
Nk = п
к1 4-... 4-n
kL’
Поскольку n
ki может изменяться, мы можем ввести определение социоконфигурации в момент t
»(0 = {n*i(0. .....р, i=l,...,L},
которая описывает микросостояние системы. Социо-конфигурация состоит из С = PL неотрицательных целых элементов.

Позиция и социо-конфигурация относятся, в основном, к психологии и активности индивидуумов. Для того чтобы описать развитие общества, в дополнение к этим переменным нужно учесть материальное состояние общества. Материальное состояние включает в себя количественные характеристики, такие, как приемлемые экономические параметры, степень эффективности правительства и тому подобное. Предположим, что существует количественная мера у (b = 1,..., S), которая охватывает S-мерное пространство ситуаций Н. Ситуация описывается ситуационным вектором
Принадлежащим H.
Таким образом, динамика общества описывается изменением во времени социоконфигурации и ситуационного вектора. Очевидно, что взаимодействие между n(t) и y(t) вызывает довольно сложное Поведение. Вайдлих и Хааг применили эти понятия для объяснения процессов миграции и/или рождаемости-смертности популяции, процессов формирования общественного мнения и эволюции промышленности. Ниже мы приведем модель индустриальной динамики, предложенную Вайдлихом и Хаагом (1983, гл. 5).
Модель ограничена «товарным сектором Шумпетера», который во многом идентичен частному и государственному промышленному производству. В основном изучаются поведение инвестора (и инноватора) и стратегия его поведения в условиях конкуренции что означает пренебрежение влиянием макроэкономики и инвестициями, «индуцированными» спросом. Назначение модели — дать частную теорию неравновесного движения индустриальных систем стран и регионов. Модель строится по схеме «часов Шумпетера» в том смысле, что ее движущиеся части, механизм движения и системы управления являются типично шумпетеровскими. В модели часов Шумпетера при объяснении быстротекущих неравновесных экономических процессов делается упор на существование активных внешних микроэкономических сил и сильного сдерживающего и балансирующего воздействия со стороны предложения. Модель строится на основе микроэкономических различий, т. е. на гетерогенности продукции и производственных процессов. Эти различия начинают играть роль на нижнем подуровне экономической системы (на уровне фирм, рынков, промышленности). Формирование таких различий является объективным фактором инвестиционной стратегии предпринимателей, которые в соответствии с их текущими намерениями подразделяются на «экспансионеров» и «рационализаторов». Попеременные сдвиги портфеля инвестиций от инвестиций преимущественно экспансионного характера к инвестициям преимущественно рационализационным вызывает промышленные флуктуации. В ходе циклического процесса в поисках монопольных прибылей инноваторы и предприниматели-пионеры захватывают лидерство, действуя в направлении, противоположном циклическому движению инвестиционных стратегий.
Необходимо сказать, как соотносится эта частная модель с общей концепцией, изложенной выше. Конфигурация инвесторов, которую требуется определить, является частным случаем социо-конфигурации. Рассматриваемые здесь индивидуумы являются малыми группами предпринимателей, находящихся в состоянии принятия инвестиционных решений. Принятые ими экономические решения непосредственно связаны с материальными переменными — с «индексом структуры инвестиций», который мы определим ниже.
Рассмотрим сначала инвестиционные стратегии, а затем «конфигурацию» инвесторов. Предполагается, что множество стратегий инвестора содержит только две альтернативы: экспансионные (расширение производства) либо рационализационные (совершенствование производства) проекты. Таким образом, общий объем инвестиций 1(1) составляет
/(<) = E(t) + R(t), (7.4.1)
где Е и R — (неотрицательные) объемы, соответственно, экспансионных и рационализационных инвестиций. Если обозначить через E
0{t) и R
0(t) соответствующие объемы E(t) и R(t), усредненные по медленной переменной, можно разложить?ийв сумму вида
E(t) = E
0(t) +
R(t) = Ro{t) - B(t),
где B(t) называется осциллирующим сдвигом, причем —Е
0 < B(t) < R
0 . Индекс структуры инвестиций определяется как

где Z
0 = (Е
0 - R
0)/I, z = 2B/I, -1 < Z(t) < 1. Работу часов Шумпетера продемонстрируем, наблюдая неравновесное движение индекса структуры инвестиций Z(t) (или z(t)).
Для того чтобы лучше пояснить понятие конфигурации инвесторов, предположим, что каждая фирма может принимать участие только в одном проекте; и что все проекты (общее число которых составляет 2N) имеют один и тот же финансовый объем.
Рассмотрим воображаемого «нейтрального» инвестора, который ведет себя в соответствии со средней долговременной инвестиционной тенденцией. Его индивидуальный инвестиционный проект объема i = I/2N состоит из инвестиций в расширение производства (экспансионной части) e
0 и инвестиций в
совершенствование производства (рационализационной части) так, что
і = е0 + г0| (7.4:3)
где e
0 = E
0/2N, r
0 = R
0/2N. Однако реальные инвесторы ведут себя не так, как условный нейтральный инвестор. Существуют инвесторы Е- типа (R-типа), которые вместо средней устоявшейся тенденции отдают предпочтение экспансионным (рационализационным) инвестициям. Для инвесторов Е- и R-типов проект, имеющий объем i, может быть записан как
* = «в + ге = ея Н- гд, (7.4.4)
где e
E = e
0 + в, r
E = r
0 -в, e
R = e
0 - в, r
R = r
0 + в, в > 0. По сравнению с нейтральным
инвестором, для инвестора E-типа величина в добавляется к экспансионной составляющей инвестиций, тогда как для инвестора R-типа — к рационализационной части. Для простоты мы предполагаем, что для инвесторов обоих типов это одна и та же величина.
|
Пусть nE обозначает число инвесторов E-типа, а nR — число инвесторов R-типа. Имеем |
 |
Структура инвестиций характеризуется парой [E(t), R(t)], а стратегия инвестиционной деятельности — парой {n
E(t), n
R(t)}. Назовем пару {п
Е, n
R} конфигурацией инвесторов и определим индекс конфигурации инвесторов как

где n(t) = [n
E(t) - n
R (t)]/2, причем -1 < x(t) < 1. Если конфигурация инвесторов изменяется согласно переходу

или

т. е. если инвестор R-типа становится инвестором E-типа или, наоборот, целое n(t) может увеличиться либо уменьшиться на единицу. Возможны также многоступенчатые изменения конфигурации инвесторов (п ^ n — а, где а — целое).
Из определений видим, что общий объем экспансионных и
рациоционализационных инвестиций задается выражениями
Е = ПЕ^Е + n
Ren (= Е
0 + 20 Nx), R = Пеге 4- пцгя (= Йо 20Nx),
что в комбинации с (7.4.2) дает

или

В выражении (7.4.8) отражен тот факт, что флуктуирующая часть z(t) индекса структуры инвестиций Z(t) пропорциональна индексу конфигурации инвесторов x(t). Таким образом, осцилляции конфигурации инвесторов будут проявляться в осцилляциях индекса структуры инвестиций. Выражение (7.4.8) определяет соотношение между структурой инвестиций и конфигурацией инвесторов.
Ниже мы выведем уравнение движения двух компонент инвестиций — для конфигурации инвесторов и для предрасположенности к инвестициям, которые математически выражают изменения индустриальной экономики.
Микроэкономическое приближение изменений конфигурации инвесторов {n
E,n
R} включает в себя идею вероятностного перехода индивидуума из R-типа в .E-тип и обратно. Стохастический подход используется для описания поведения инвесторов в условиях неопределенности, содержащей фактор риска.
Переход от одной конфигурации инвесторов к другой может быть единичным, связанным с инновациями продукции или инновациями процесса производства одним инвестором, или многократным, что часто имеет место из-за подражания (имитации). Такие процессы являются неопределенными ввиду присутствия фактора риска и влияющих на поведение других факторов. Определим следующие величины:
р^{п) — вероятность перехода в единицу времени от инвестиций R-типа к инвестициям E-типа;
р^(п) — вероятность перехода в единицу времени от инвестиций E-типа к инвестициям R-типа.
Вероятности индивидуальных переходов приводят к понятию полной вероятности изменения конфигурации инвесторов. Переход { п
Е, n
R} ^ { п
Е + 1, n
R - 1} имеет место при полной вероятности перехода

Аналогично, для перехода { п
Е, n
R } ^ { п
Е - 1 n
R + 1} имеем
w*-(n) = П?Р*-(п) = (N + п)р^(п). (7.4.10)
Вероятность того, что в момент t конфигурация инвесторов будет иметь вид { п
Е, n
R }, обозначается как
р[пя,пл;<] = р(я;*), —N < п < N. (7.4.11)
Поскольку одна из конфигураций всегда реализуется, в любой момент t имеем
Х>(п;<)-1. (7.4.12)
П
Мастер-уравнение описывает движение вероятности p(n;t). Вероятность p(n;i) конфигурации п может возрастать вследствие переходов к п от одной из двух соседних конфигураций п—1 или п + 1,
причем вследствие обратных переходов от n к n — 1 или n + 1 вероятность р(п; t) будет уменьшаться. Из рассмотрения такого баланса немедленно получим следующее мастер-уравнение:
dp(n;0 = [w^(n - l)p{n - l;t) + u.'«_(n + l)p(n + 1;i)]—
- [u/-*(n)p(n;t) + ш
ь(п)р(п;()],
(7.4.13)
в котором первый член описывает поток вероятности перехода к конфигурации n в единицу времени, а второй член — поток от конфигурации п. Мастер-уравнение (7.4.13) представляет собой 2N+1 связанных дифференциальных уравнений относительно p(n;t) и в общем виде трудноразрешимых. Предположим для простоты, что р(п;1) имеют выраженный пик и унимодальны относительно своих средних (п),:
(
п>‘ = ”?(”;*)• (7.4.14)
Дифференцируя (7.4.14) по времени и подставляя в производную соотношение (7.4.13), приходим к соотношению

что приближенно можно записать как
d(n)
t
(7.4.15)
dt
Из (7.4.6) и (7.4.15) мы можем получить уравнение относительно средней величины х
= ?¦«*>«).
где скорость К((х)), зависящая от (х), выражается как
1
(7.4.16)
Мы можем переписать (7.4.16) как
§ = *<«),
(7.4.17)
где х представляет собой (x)
t. Вайдлих и Хааг записывают (7.4.17) как
dx
(7.4.18)
— = 2<$[sh (а + lex) + arch (а -|- /гі)] = К(х; а, к).
Они предполагают, что внешняя сила зависит от текущей конфигурации x(t) всех инвесторов системы и от вероятностей переходов, изменяющих эту конфигурацию. Последние, в свою очередь, зависят от всех инвестиционных склонностей, параметризованных величинами а и к. Кроме того, в (7.4.18)
2sh (у) = ехр(у) - ехр(-у),
2ch (у) = ехр(у) + ехр(-у),
и 8 — скалярный параметр, используемый в качестве временного масштаба.
Параметр а в (7.4.18) является «альтернатором», представляющим собой переключатель предпочтений инвестора между инвестициями Е- и Л-типов в заданных условиях. При определении вероятностей переходов альтернатор а используется как параметр, подчиняющийся следующему правилу: положительность а означает, что предпочтение отдается переходу к инвестициям ?-типа; при отрицательном а выбирается переход к инвестициям Л-типа. Предполагается, что альтернатор зависит от времени. Этот параметр играет важную роль в формировании циклического движения (часов Шумпетера). Параметр к — это «координатор», отражающий интенсивность взаимодействия индивидуальных инвесторов в заданных условиях. Другими словами, параметр к описывает склонность инвесторов согласовывать свое поведение с поведением остальных. Координационный эффект будет проявляться как синхронизация и подражание инвестора инвестициям, предпринятым другими.
Опишем теперь динамику альтернатора а — параметра выбора стратегии инвестора при внешней силе К. Прежде всего, заметим, что если большинство инвесторов имеет тенденцию максимизировать выгоду в данный момент времени, расширяя (рационализируя) деловые операции, так что x(t) > 0 (x(t) < 0), то некоторые инноваторы и первопроходцы (задающие направление) будут пытаться улучшить свои рыночные позиции проведением нонконформистской стратегии, пытаясь получить сверхприбыль в ходе изменения курса. В то время, когда экспансионными инвестициями, предпринятыми большинством инвесторов, намечается определенный подъем, эти люди (задающие направление) стремятся изменить направление своих усилий и начать снижать границы цен, проводя соответствующие инвестиции. В этом случае остальные вынуждены подстраиваться и также проводить рационализационные инвестиции, ожидая дальнейшего падения цен. Аналогичным образом, когда намечается снижение цен вследствие обратного воздействия инвестиций в рационализацию (совершенствование производства), предпринятых большинством инвесторов, первопроходцы начинают обратное движение к качественному сектору в пределах
разумного практицизма. Это приводит к появлению лучшей продукции, планированию инвестиций, расширяющих производство и вследствие этого вынуждает остальных к подражанию. Таким образом, их политика расширения производства и улучшения качества вызывает синхронизацию, что будет наблюдаться как явление цикла жизни продукции. Мы видим, что в согласии с этим рассуждением уравнение движения альтернатора а, который в терминах агрегированных переменных отражает изменение деятельности предпринимателей в различных областях промышленных инвестиций, при оговоренных выше условиях должно порождать переключения. Как сказано в книге Вайдлиха и Хаага (1983), потенциально подходящий вид динамического поведения может быть задан уравнением
da(t) _
dt
= -2/i[a
0sh (ух) + (a - at)ch (72)] = L(x\a, k), (7.4.19)
где L — вынуждающая сила реформаторской стратегии, i — параметр стратегической гибкости, отражающий гибкость инвесторов относительно изменения стратегии от экспансионной к рационализационной и обратно, у — параметр скорости тенденции к повороту, а
1 — параметр влияния стратегии, положительный или отрицательный в соответствии с тем, является весь период в целом экспансионным или рационализационным, и а, — амплитуда стратегического выбора, которая используется как оперативная масштабирующая константа.
Полная динамическая система содержит уравнения (7.4.18) и (7.4.19). Для простоты введем переменные 1* = 2St и е = ц/S. Система может быть записана как
д-р- = sh (a + кх) - rch (a + кх) = К'(т\ а, к), jjjr = -f[sh (а + кх) — zch (a -f /fcx)] = L'(x\a, к).
(7 4 20)
Существование равновесий в ней легко гарантировать, хотя единственность показать нельзя. Фактически, здесь может быть одна, три или пять точек равновесия, которые зависят только от конкретных значений параметров. Кроме того, применив теорию Пуанкаре-Бендиксона, Вайдлих и Хааг установили наличие в системе предельных циклов.
В заключение представим некоторые результаты численного моделирования. Выберем следующую комбинацию параметров;
к = 1.5, о, = 0.5, aj = 0, у = 4.0, s = 0.5.
В этом случае к =1.5 является пороговым значением перехода к новому типу решения. Здесь проявляется критическое воздействие
|
Рис. 7.3. Устойчивый фокус п начале координат. (а) Плоскость а (Ь) зависимость от времени. |
 |
эффекта затухания. Хотя начало координат является единственным равновесием, и оно устойчиво, релаксация колебаний колебаний длится в течение весьма значительного времени. Этот тип поведения показан на рис. 7.3 (см. рис. 5.5 в книге Вайдлиха и Хаага).
Если взять следующие значения параметров:
к = 1.6, а
0 = 0, а! = 0, у = 4.0, s = 0.5,
возникает устойчивый предельный цикл. Начало координат представляет собой неустойчивый фокус для движения экономики. Это поведение иллюстрирует рис. 7.4 (см. рис. 5.6 в книге Вайдлиха и Хаага).
Вайдлих и Хааг применили свою модель к исследованию экономики Федеративной Республики Германии в период 1955-1980 гг. На рис. 7.5 показаны результаты эмпирического анализа, составленные из нескольких частей, которые соответствуют применению модели для параметров, принадлежащих трем интервалам времени:
 |
|
Рис. 7.5. Сравнение результатов математического моделирования и данных наблюдений. |
периодам 1955-1965 гг., 1967-1971 гг. и 1973-1980 гг. Детальные пояснения результатов даны в книге Вайдлиха и Хаага (1983).
7.5. Влияние шумов на траектории нелинейных стохастических систем вблизи особых точек
Мы показали, что экономическая модель, учитывающая влияние стохастических воздействий, должна отражать степень, с которой эти экзогенные силы могут повлиять на конечные результаты моделирования. Если результаты моделирования решающим образом зависят от экзогенных стохастических сил и в малой степени испытывают влияние взаимодействия экономических переменных, модель не представляет интереса. С другой стороны, если учет стохастических эффектов оказывает малозаметное влияние на качественные результаты, то стохастические факторы могут быть полностью исключены из анализа. Однако, как сказано в разд. 7.1, флуктуации могут играть решающую роль в развитии экономики, даже если развитие определяется детерминированными механизмами. Влиянием флуктуации на детерминированное развитие нельзя пренебречь в случае, если детерминированные уравнения рассматриваются вблизи критических точек.
В предыдущем разделе мы вывели уравнения макроскопического процесса из рассмотрения процесса микроскопического. Обсуждая мастер-уравнение, мы выяснили, что полностью пренебречь такими микроскопическими процессами нельзя, поскольку они порождают флуктуирующие вынуждающие силы, способные увести систему прочь от равновесия. В этом разделе мы непосредственно изучим динамику совокупных переменных, рассматривая микроскопические
флуктуационные силы как источник шума, удовлетворяющий определенным требованиям.
Эволюция во времени зависит от причин, предсказать которые с абсолютной точностью невозможно. Обычно подобные причины рассматриваются как флуктуирующие силы F(t). Таким образом, динамику системы (3.1.2) можно записать как
Их
- = /(*) + F(t), (7.5.1)
где F(t) задано. Эта форма учета флуктуирующих сил в дифференциальном уравнении называется аддитивным шумом. Учет случайного воздействия окружающей среды можно провести в другой форме. Например, если рост популяции имеет флуктуации, то динамика популяции задается выражением

где Р — численность популяции, a(t) — случайная скорость роста. Этот тип флуктуации называется мультипликативным шумом. В этом разделе нас будет интересовать влияние аддитивного шума на динамику соответствующих детерминированных уравнений dx/dt = f(x) вблизи неустойчивых особых точек.
Предположим, что функция F сравнительно мала в том смысле, что она не изменяет заметно характер движения. Это означает, что неустойчивость внесена в систему не со стороны флуктуирующих частей, а со стороны детерминированной части f(x).
Типичным примером уравнения типа (7.5.1) является уравнение Ланжевена для броуновского движения
- а Ж ГП'
(7.5.2)
= ~гРі + Fi, * = 1,2,3,
где x
;, и pi — положение и момент движения «броуновской» частицы, взвешенной в газе. Сила, действующая на броуновскую частицу, распадается на систематическую часть rp
; и «случайную» флуктуирующую компоненту F. Если пренебречь флуктуациями, Движение броуновской частицы должно затухать до состояния полного покоят Влияние флуктуации может привести к непрекращающемуся нерегулярному движению частицы (рис. 7.6).
Чтобы продолжить изучение влияния флуктуации, введем понятие так называемого ансамбля: рассмотрим ансамбль макросистем,

имеющих одинаковый состав и описываемых одним и тем же множеством макропеременных x
i. Каждый его член обозначим буквой j. Рассмотрим случай, когда каждый член подвергается воздействию различных микроскопических флуктуации F
i. Можно ожидать, что для разных членов ансамбля мы будем наблюдать различные
траектории xj (t), даже если значения переменных в начальных условиях х{ (0) будут одними и теми же. Пусть (x
i(t)} обозначает среднюю по ансамблю величину

Флуктуации можно определять разными способами. Мы будем предполагать, что для всех i имеет место (F
i(t)}=0, хотя их ковариации не равны тождественно нулю. Мы можем получить два структурно различных случая:
(i) Предположим, что решения для каждого x
j(t) при одном и том же начальном условии незначительно отклоняются от своих средних значений (x
i(t)). В этом случае мы получим следующие приближенные уравнения для (x
i(t))
d(*m
dt
/[(*(<))]. *=1.2.....
Это система автономных дифференциальных уравнений. Ее решение очень незначительно отклоняется от самой траектории х- . В этом случае макропеременные
х- (t) приближенно удовлетворяют замкнутой автономной подсистеме уравнений динамики. Таким образом, быстро флуктуирующие случайные силы, действующие на микропеременные, приводят лишь к малым отклонениям макропеременных от гладкой кривой среднего по ансамблю (см. рис. 7.7).
(ii) Рассмотрим детерминированное уравнение, соответствующее уравнению


(7.5.1), ' ' '
Большое число примеров из предыдущих глав говорит о том, что в такой системе могут возникнуть бифуркации. Это означает, что решения уравнения (7.5.1), стартуя в окрестности особой точки со слегка отличными начальными значениями х(0), могут иметь совершенно различные траектории x(t). Таким образом, добавление флуктуации в такую систему может привести к траекториям, полностью отличным от траекторий соответствующего детерминированного уравнения. Иными словами, бесконечно малая разница в каких-либо «причинах» может привести к очень большой
разнице в «последствиях». В этом случае индивидуальная траектория х- может
значительно отклоняться от средней величины (xj(t)}. Следовательно, усредненные уравнения динамики не годятся для описания эволюции системы (см. рис. 7.8).
Рассмотрим простые модели «хищник-жертва» в стохастических условиях окружающей среды. Класс рассматриваемых моделей

таков:
dx{
dt
a*i
xi)+
1 = 1.....
n-
где x представляет плотность і-ото вида популяции, сіу — внешние константы Лотки-Вольтерра, a s
i(x
i) соответствует внутривидовым взаимодействиям
. Предполагается, что если і — хищник, то s
i(x
i) = u
i (мальтузианский закон роста); если же і — жертва, то
*і(*і) = «, + с,*і - dixf.
Величины r
i(t) в (7.5.4) являются случайными переменными, воздействующими на средние коэффициенты щ при наличии непредсказуемых событий, так что

<*(<)) = о,
где (.) означает среднее по ансамблю. Мы предполагаем, что величины r
i не коррелируют друг с другом и имеют дельта-корреляцию
по времени (S) с постоянной дисперсией (а). Очевидно, что модель Гудвина и ее обобщения являются частными случаями этой динамики. Следовательно, мы можем интерпретировать результаты, полученные для этих динамических систем в терминах экономики.
Интересно исследовать влияние случайного воздействия среды с нулевым средним на поведение соответственной детерминированной системы с выполняющимся тождеством r
i(i)=0. Ниже мы предполагаем, что детерминированные уравнения, соответствующие уравнениям (7.5.4),
 |
|
j |
имеют предельный цикл. Хорошо известно, что в моделях этого типа предельные циклы вполне возможны. Применяя теорему Хопфа о бифуркациях, мы можем получить точные условия существования предельных циклов.
В литературе имеются некоторые весьма интересные результаты относительно влияния флуктуации на систему (7.5.4). Например, применяя модификацию метода осреднения, Лин и Кан (1977) получили следующие результаты: при наличии предельного цикла (а) с усилением шума радиус предельного цикла уменьшается; (b) если дисперсия шума больше радиуса детерминированного цикла, предельного цикла не возникает; и (с) дисперсия угловой переменной линейно растет со временем.
Вывод (b) может означать, что если шум относительно велик, стационарное распределение вероятностей малого детерминированного предельного цикла трудно отличить от распределения устойчивого фокуса.
7.6. Воздействие случайных внешних факторов на систему второго порядка в окрестности особых точек
Только что на примере моделей «хищник-жертва» мы показали, как влияет на поведение детерминированной системы, имеющей предельный цикл, внешний шум с нулевым средним. Вместе с тем в гл. 5 нами установлено существование осциллирующих решений для широкого класса экономических систем. Поскольку результаты предыдущего раздела относятся к биологическим моделям, важно распространить их на общий случай.
Рассматриваемые нами системы второго порядка в общем виде описываются уравнениями типа

(7.6.1)
где r — параметр. В некоторых случаях такая система может иметь несколько предельных циклов. Система полностью детерминирована. Флуктуации не рассматриваются.
В работе Мангеля (1980) было исследовано влияние флуктуации на системы с одним и несколькими предельными циклами. Он рассматривал четыре типа периодических движений. Именно: (1) неподвижный устойчивый предельный цикл, охватывающий точку неустойчивого фокуса (рис. 7.9а); (2) неподвижный неустойчивый предельный цикл вокруг устойчивого фокуса, заключенного внутри устойчивого предельного цикла (рис. 7.9b); (3) задачи о бифуркациях Хопфа и (4) «дуальные» бифуркации, в которых наблюдается срастание неустойчивого цикла и устойчивого фокуса (рис. 7.9с). Все эти типы поведения легко обнаружить в динамических системах.
Мангель учел шум в уравнениях (7.6.1) следующим образом

где X
j — соответствующая случайная функция переменной х
і, а Y — стационарный случайный процесс с нулевым средним. Параметр е (0 < s « 1) характеризует интенсивность флуктуации. Если а достаточно мало, случайный процесс X(t) сходится к диффузионному процессу.
При внесении в детерминированные уравнения флуктуации возникает ряд вопросов, связанных с природой детерминированных уравнений. Например, если траектория системы всегда стремится к устойчивому предельному циклу, как на рис. 7.9а, важно знать, могут ли флуктуации увести систему от предельного цикла.
Для описания стохастических решений уравнения введем функцию плотности вероятности ?(.т,/) случайного процесса X(t):
?(і,х)6х = Рг {х < Х(і) < X + fx}, (7.6.»)'
где х определяется соотношениями (7.6.1), a X(t) — соотношениями (7.6.2). Если t ^«>, то плотность вероятности ?(х^) устремится к равновесной или стационарной плотности ?(х), которая означает возможность нахождения процесса в интервале (х, х + Зх). Плотности вероятности ?^,х) соответствует начальная плотность ?(0,Х(0)), которая характеризует распределение случайной величины Х(0) = х(0).
В случае бифуркации Хопфа нас интересует плотность вероятности случайного процесса X(t) в зависимости от бифуркационного
 |
|
Рис. 7.9. (Сплошная линия означает устойчивость траектории, пунктир |
неустойчивость.)
параметра г, которую будем обозначать ®(t,x;r). Рассмотрим дуальную бифуркационную систему Хопфа (рис. 7.9с). Для малых г фазовая точка покинет окрестность фокуса Р или окрестность внутреннего предельного цикла U и будет приближаться ко внешнему предельному циклу L с некоторой вероятностью. При г=0 особенность P/U будет проявляться в очень медленном детерминированном отталкивании от Р. Пусть L* —окрестность устойчивого предельного цикла, и пусть
Т(х) = E{t: X(t} ^ L*, X(s) <? L*, s < 11 X(0) = x}. (7.6.4)
Таким образом, T (x) — время предполагаемого попадания в область L* при условии Х(0) = х.
При рассмотрении неустойчивого предельного цикла U, окруженного устойчивым предельным циклом как на рис. 7.10, начальное положение фазовой точки является решающим фактором.
Фазовая точка, первоначально принадлежащая окрестности U, c вероятностью единица покидает эту окрестность. Даже если Х(0) находится на самом предельном цикле U, флуктуации уведут траекторию от этого положения. Поскольку задача определения вероятности того, что фазовая точка попадет в окрестность фокуса Р или предельного цикла L слишком сложна, сформулируем следующую
альтернативную задачу. Пусть s — расстояние до неустойчивого цикла по нормали, выбранное так, что s > 0 соответствует внешней ориентации. Пусть


Si = {х : s(x) = Si}, s
2 = {г : s(r) = 5
2}, Si > о,
Рассмотрим вероятность
ф(г, х) = Р {того, что на момент t функция X(t) вышла
за пределы кольца (S], S
2) через границу S]\X(0) = х}.
(7.6.6)
Стационарным аналогом функции ф (t, х) является функция ф ( х), которая представляет собой вероятность того, что траектория процесса X(t) первоначально покинет область кольца (S], S2) через границу S].
Важно суметь рассчитать эти величины из системы (7.6.2). Мангель получил их с помощью метода диффузионного приближения Папаниколау и Колера (см. Мангель, 1980). В этом приближении все функции ?(t, х), ф (t, х) и Т(х) удовлетворяют детерминированным уравнениям в частных производных. Например, уравнения, определяющие стационарные функции ? и ф для «канонической» задачи, имеют вид

с учетом соответствующих граничных и начальных условий. Функции А (х) в уравнениях (7.6.7) можно точно рассчитать через функции F и Y. Таким образом, становится возможным анализ системы традиционными методами уравнений в частных производных.
Мангелем (1980) были рассмотрены задачи, соответствующие устойчивым и неустойчивым предельным циклам; и задача бифуркации Хопфа. Функции ?(г,х) и ф (t, х) рассчитывались для различных случаев с помощью формальных асимптотических методов. Очевидно, что подобный анализ может быть проведен для всех описанных в гл. 5 динамических систем, обладающих предельными циклами.
7.7. Выводы
Для описания экономической эволюции в макроэкономике обычно выбирается лишь ограниченное число агрегированных переменных. Явно или неявно предполагается, что макроскопическое описание имеет дело, в основном, с усредненным поведением и что вероятностные факторы и случайные флуктуации (с нулевым средним) не играют роли. Такой подход возобладал в экономике после революции, произведенной Кейнсом. Несомненно, эта точка зрения имеет основания, но только если предшествующим анализом была доказана устойчивость системы. Именно вследствие свойства устойчивости малые сдвиги параметров (внешних условий) могут вызвать только малые изменения переменных. Однако, если экономическая система неустойчива, мы должны быть осторожны в оценках влияния случайных флуктуации. Малые флуктуации могут увести систему далеко от первоначальной траектории. На интуитивном уровне это вполне понятно, так как примерами предыдущей главы показано, что неустойчивые нелинейные системы очень чувствительны к малым изменениям параметров. Зачастую структурные изменения (или фазовые переходы) наблюдаются в системе именно как следствие малых сдвигов параметров. Отсюда можно предположить, что для устойчивых систем флуктуации, хотя и измеримые, должны оставаться малыми в сравнении с макроскопическими переменными, но это утверждение несправедливо в точке фазового перехода, или «революции». То есть в последнем случае в окрестности критической точки флуктуации усиливаются, Достигая макроскопического уровня, и переводят систему в новое состояние. В критической области вблизи особых точек система проявляет заметно согласованное поведение, часто сопровождаемое крупномасштабными флуктуациями.
Мы показали, что существуют макросистемы, в эволюции которых существенную роль играют флуктуации и вероятностное описание. С помощью приведенных примеров мы можем продемонстрировать, что вблизи особой точки любые малые флуктуации окажут на экономическое развитие значительное влияние. Они могут отклонить поведение системы от среднего. В этом заключается основной
смысл концепции движения к порядку через флуктуации (Николис и Пригожий, 1977).
Хакен (1983) сказал однажды, что «само явление бифуркации и связанную с ним математическую проблему (которая достаточно сложна) флуктуации превращают в значительно более сложное явление и, соответственно, в более сложную задачу неравновесных фазовых переходов». Примеры, приведенные в этой главе, показывают, каким образом под влиянием малых флуктуации могут возникнуть сложные экономические эффекты.
В заключение для дальнейшей иллюстрации идей, изложенных в этой главе, обратимся к логистическому уравнению, подвергнутому воздействию внешнего шума (см. Шустер, 1988)
г
п+і = гаг„(1 - х„) + ?„, (7.7.1)
где r — параметр, ?
п — флуктуации, удовлетворяющие условию
 |
|
Рис. 7.11. Поведение решений уравнения (7.7.1): (а) логистическое отображение и его показатели Ляпунова г, (b) логистическое отображение в присутствии внешнего шума и соответствующие показатели Ляпунова |
(7.7.2)
(?п, ?п') = <т
26(п, гі).
В уравнении (7.7.1) величина ?
п —плотность гауссовского с-измеримого белого шума. На рис. 7.11а показано поведение решений уравнений (7.7.1) в отсутствии внешнего шума (а = 0), а на рис. 7.11b — с учетом шума (а = 10
-3). Величина г на этих рисунках представляет соответствующие показатели Ляпунова. Следует заметить, что хотя шум размывает изящную структуру логистического отображения, объективный переход к хаосу остается неизменным, будучи связан с изменением знака г на рис. 7.11b.
СОДЕРЖАНИЕ
8.1 Пространственно непрерывная экономика и описание процесса
8.3 Экономические циклы в пространственной модели «мультипликатор-
8 Градоформирование — устойчивость, структурные изменения и хаос
Если те, кто творит физическую науку, и от которых интеллигентная публика черпает представление об ученых-физиках ... в поиске разгадок тайн природы пришли к необходимости изучения в большей мере особенностей и неустойчивостей, нежели свойств непрерывности и устойчивости природы вещей, то научная мысль может в конце . концов вовсе отказаться от пристрастия к детерминизму, которое, по-видимому, проистекает из представления о физической науке будущего как всего лишь увеличенном образе науки прошлого.
Джеймс Кларк Максвелл (цитируется по книге Шустера, 1988)
Всякая экономическая деятельность соотносится с определенным временем и местом, а потому важным аспектом эволюционных систем является учет пространственных зависимостей. С прогрессом в условиях транспортировки и связи взаимодействие между различными экономическими переменными становится в значительной мере зависимым от расположения в пространстве. Хорошо было бы понять характеристики таких пространственных взаимодействий.
В предыдущей главе мы просто пренебрегали ролью фактора местоположения в экономическом развитии. В некотором смысле это упрощение справедливо, но лишь до тех пор, пока пространственные зависимости могут быть эффективно представлены «агрегированными» переменными. В этой главе затрагиваются пространственно-временные процессы экономической эволюции. В частности, мы рассмотрим пространственную самоорганизацию, вторая отражает свойство изменения структуры и сложное динамическое поведение. Мы покажем, что медленно текущие градоформирующие процессы могут быть связаны с регулярными и нерегулярными временными осцилляциями.
8.1 Пространственно непрерывная экономика и описание процесса градообразования
Проблемы городов весьма усложнились в результате технологического прогресса и изменения поведения людей. Городские системы нашего времени характеризуются возрастанием пространственного и временного разнообразия протекающих в них процессов. Централизация городов наблюдалась как в развитых, так и в развивающихся странах; но вот в некоторых развитых странах начали проявляться процессы децентрализации, и сегодня чаще мы наблюдаем гетерогенные городские образования, нежели гомогенные. Образцами сложности городских форм являются метрополии, такие, как Нью-Йорк, Стокгольм, Париж и Токио.
В географии и науке об экономике городов и регионов построено множество моделей для объяснения настоящих и прогноза будущих процессов градоформирования. В текущей литературе преобладают три основных подхода. Первый, называемый неоклассической экономикой городов, развивался экономистами-урбанистами. С тех пор, как Алонсо (1964) опубликовал свою известную работу, было построено множество аналогичных моделей. Подобно тому, как теории равновесия была изящно реформирована работами Дебрэ, Эрроу и других, эти новые работы по экономике городов углубили наше понимание экономических механизмов их развития. Но подход неоклассической экономики ограничен, как правило, анализом равновесных состояний и заведомо предполагает их устойчивость.
Второй подход разрабатывался, в основном, исследователями в области науки о регионах и географии (например, Вильсон, 1981). Время и место в этом подходе играют существенную роль. Однако, поскольку при этом пространство разбивается на дискретные зоны, оказывается невозможным объяснить внутреннюю структуру городских ареалов (см. Бекман и Пуу, 1985).
Третий подход, называемый пространственным динамическим приближением, для исследования проблем динамики городов использует непрерывное пространство (например, Бекман, 1952, Бекман и Пуу, 1985, Пуу, 1987, Андерсон и Занг, 1988, Занг, 1988е, Занг, 1990). Сотрудничество между Бекманом и Пуу привело к разработке современной версии подхода фон Тюнена к классической локационной и пространственной экономике. В противоположность современным традициям региональной экономики, где пространственная структура была отброшена и заменена простыми матрицами абстрактных расстояний, Бекман и Пуу в своем подходе к пространственно зависимой экономике основывались на традициях фон Тюнена: пространственно зависима сама экономическая деятельность, которая описывается своей пространственной плотностью. В фокусе этого подхода находится именно проблема эволюции
внутренней структуры городов. Таким образом, задача о развитии города чаще всего описывается системой уравнений в частных производных с соответствующими граничными и начальными условиями. Основываясь на таком подходе, в этой главе мы исследуем взаимодействие переменных в процессе градоформирования.
Чтобы пояснить особенности этого подхода, рассмотрим модель транспортировки в непрерывном пространстве. Построение модели и ее расширений полностью принадлежит Бекману и Пуу (1985). Эта модель представляет собой пример учета пространственных эффектов в пространственно динамическом приближении.
Предполагается, что экономическая система располагается в непрерывном двумерном пространстве. Пусть изучаемая область А замкнута. Предположим, что в каждой точке заданы количества произведенного и потребленного товара. Нас интересует, можно ли для пространственно протяженных конкурентных рынков определить равновесные цены, объем и направление перевозки товаров, и если равновесие существует, выяснить условия, при которых такая конкурентная экономика устойчива.
Предположим, что спрос и предложение товаров в каждой точке пространства заданы в виде функций пространственной плотности. Разность между плотностями спроса и предложения в каждой точке (х
1, х
2) есть q = q(x
1, х
2) и является заданной функцией положения в пространстве. Поскольку область замкнута, условием равновесия пространственных рынков является

Предположим, что существуют области, где функция q(x
1, х
2) не равна тождественно нулю. Соотношение (8.1.1) означает, что если существуют области избытка товаров с отрицательным значением превышения спроса над предложением, то должны также существовать области дефицита товаров с положительным превышением спроса. Соответственно, существует движение товаров в направлении от точек превышенного предложения к точкам превышенного спроса. Будем описывать движение товаров с помощью непрерывного векторного поля потока товаров. Вектор потока обозначим как U = U(x
h х
2) = (Uj(x
b х
2), U
2(x
1, х
2)). Соотношение между полями потока и локальным превышением спроса задается как

(8.1.2)
Оно дает необходимое условие сохранения объема товаров в произвольной пространственной системе. Уравнение можно вывести следующим образом. Входящий и выходящий потоки прямоугольной ячейки со сторонами длиной Sx
{ и Sx
2 терпят разрывы вертикальной и горизонтальной компонент, как показано на рис. 8.1.
U
2(x 1, х
2 + іагг) • Si]
Sxi
Ul[xi,xa) • ІХ2 Sx
2
6x2 Ul{xi + Sxi,X
2) ¦ 6x2
6x\
Рис. 8.1. Вывод дивергетного закона.
Эти компоненты задаются так:
i) горизонтальный входящий поток = U
1(x
1, х
2) Sx
2,
ii) горизонтальный выходящий поток = U
1(x
1, + Sx
1, х
2) Sx
2,
iii) вертикальный входящий поток = U
2(x
1, х
2) Sx
2,
iv) вертикальный выходящий поток = U
2(x
1, х
2 + Sx
2) Sx
1. Следовательно, разность входящего и выходящего потоков равна


и результирующее предложение в малой области равно величине -д(х
1, х
2) Sx
1 Sx
3, то равенство потоков означает, что имеет место соотношение
(div U + q)SxiSx2 ~ О,
т. е. выполняется (8.1.2). Уравнение (8.1.2) аналогично дивергентному закону в гидромеханике и термодинамике, который описывает соотношение между потоком жидкости (тепла), его истоками и стоками.
и
п\
дЛ=0, (8-1.4)
Из замкнутости системы следует, что
где n обозначает наружное направление, ортогональное к границе а дА обозначает границу областиА.
Следует подчеркнуть, что (8.1.2) не имеет экономического смысла, но представляет собой физическое условие. Пусть k(x) означает издержки транспортировки единицы товаров на единичное расстояние в точке x = (х
1, х
2), а р(х) — цену товара. Пусть D
U обозначает производную по направлению потока U. Следовательно, прибыль от продажи единицы товара между двумя соседними пунктами, разделенными расстоянием ds, равна D
Up(x)ds; издержки транспортировки той же единицы товара составляют k(x)ds. В условиях чистой конкуренции продажа осуществляется только тогда, когда продавцы не имеют потерь. Это означает, что igradp(x)i = k, где gradp(x) = (др/дх
1, др/дх
2). Так как направление торговли, при котором достигается равенство прибыли и транспортных затрат, представляет направление градиента, то
кщ=
Ет*&р, (U Ф 0). (8.1.5)
Когда U станет равным нулю, должно выполняться igradpi < k. Уравнение (8.1.5) носит название градиентного закона. Дивергентный закон определяет соотношение между количественными переменными, градиентный закон — между монетарными. Уравнения
(8.1.2) и (8.1.5) представляют собой условия равновесия цен на пространственно-распределенных рынках. Можно показать, что поток товаров U/| и| однозначно определен в каждой точке пространства. Если U нигде не обращается в нуль (за исключением, быть может, множества особых точек меры нуль), то p определено однозначно с точностью до произвольной аддитивной константы.
Итак, мы построили модель транспортировки в условиях механизма идеальной конкуренции. Такая же модель может быть построена для плановой экономики с минимизацией полной стоимости транспортировки (см. Бекман и Пуу, 1985).
Поскольку нас интересует в основном динамика, мы не будем изучать в деталях равновесную задачу, а внесем в модель конкурентных рынков возможную динамику.
Пусть цены и вектор потока первоначально не были в равновесии. Так же, как и в традиционном равновесном приближении (Эрроу и Хан, 1971), мы определим динамический механизм установления, который должен привести возмущенную систему в состояние равновесия. Это будет означать, что найденная динамика устойчива в долговременном масштабе.
Пусть р и U — возможные градоопределяющие распределения, которые удовлетворяют граничным условиям; но не обязаны удовлетворять условиям равновесия — дивергентному и градиентному законам. Выбрав подходящие единицы измерения времени, мы определим следующие законы установления
<§=¦*<
8Ь6>
^ = -{q + dWU). (8.1.?)
В уравнении (8.1.6) правая часть gradp — U/| U| определяет направление перевозок товаров, которое обеспечивает максимум прибыли или минимум потерь. Правая часть в уравнении (8.1.7) есть локальная сумма чистого спроса и чистого экспорта. Если эта сумма положительна, в этой точке существует избыток предложения, и цены здесь должны снижаться. Равновесие для (8.1.6) и (8.1.7) определяется дивергентным и градиентным законами.
Чтобы доказать устойчивость (8.1.6) и (8.1.7), определим функцию затрат К как
K(U,p) = JJ[k\U\ + p(divU + q)]dxidz2. (8.1.8)
|
А |
 |
Используя соотношения
|
и интегральную теорему Гаусса |
 |
|
А ЭА |
(8.1.9;
|
мы можем получить следующее уравнение: |
 |
В случае, если не нарушено какое-либо условие равновесия, эта величина строго отрицательна. Пусть K
min — минимальное значение интеграла издержек транспортировки. Определим функцию К [U,p] - K
min - Эта функция играет роль функции Ляпунова. Она неотрицательна, обращается в нуль лишь в равновесии и монотонно убывает со временем. Следовательно, система устойчива.
8.2Роль структурной устойчивости в двумерной экономике
В гл. 2 мы определили понятия устойчивости и структурной устойчивости и обсудили экономический смысл устойчивости для динамических систем в экономике. Принцип соответствия Самуэльсона утверждает, что из предположения об устойчивости экономической системы можно сделать много полезных выводов. Устойчивые динамические системы обычно обладают свойствами единственности стационарного состояния и его устойчивости в долговременном масштабе. С помощью примеров было показано, что если мы ослабим требование устойчивости, поведение системы значительно усложнится. Однако мы не провели еще анализа понятия структурной устойчивости. В этом разделе мы покажем, что из предположения структурной устойчивости можно получить еще более значимые экономические результаты.
Последующее изложение базируется на работах Пуу (1981) и Бекмана и Пуу (1985, гл. 4). Прежде всего обратимся к непрерывной модели пространственной экономики. Конкретный выбор не так уж важен, так как выводы хорошо приложимы к широкому классу моделей.
Предполагается, что в экономике представлен один вид товара, который производится внутри городского пространства, и что имеются три внешних фактора — капитал К(х
ь х
2), труд Цх
ь х
2) и земля М(х
ь х
2). Предположим, что технологии не зависят от пространственной переменной, хотя комбинация факторов меняется в пространстве. Производство в каждой точке описывается производственной функцией Кобба-Дугласа
Q^K
aL
/3M\ (8.2.1)
где функция Q[= 2(х
ь х
2)] — это выход продукции в точке (х
ь х
2), причем а, в, Y Щ а+в+Y = 1. Мы можем переписать (8.2.1) в форме
= к
а1Р,
(8.2.2)
где q = Q/M, к = К/М, l = L/M. Согласно неоклассической теории, выполняются следующие условия:
rk wl а _ ,
«=7 т ”•
(8'
23)
где r — ставка процента, w — заработная плата, g — земельная рента и р — цены на продукцию. Если r, w, g ир заданы, то
тем самым определены величины к и l. Предположим, что ставка процента r является однородной в отслеживаемый период. Это предположение выполняется, если капитал мобилен, и рынок капитала находится в условиях идеального конкурентного равновесия. Как будет показано ниже, цены на продукцию и заработная плата зависят от места, а земельная рента определяется в виде остатка от локальной прибыльности производства.
Чтобы описать движение товаров и рабочей силы, введем два векторных поля
U = |7Уі(х l,X
2)
1U
2[xi,X
2)], V = [Vi(xi, ж
2), V
2(xi, х
2)],
(8.2.4)
где U и V представляют потоки соответственно товаров и рабочей силы. Предположим, что локальный спрос на товары q* и локальное предложение рабочей силы l* заданы. Тогда дивергентные законы для товаров и рабочей силы задаются уравнениями
(8.2.5)
div U = q — q*, divV = -(/-/*).
Градиентные законы определяются следующим образом

где скалярное поле f (х
ь х
2) обозначает локальные затраты на пер возки товаров или рабочей силы. Функции затрат на перевозку и варов и рабочей силы при подходящем выборе единицы измерения могут оказаться равными. Из уравнений (8.2.2)-(8.2.6) и заданных граничных условий мы можем определить равновесную структуру пространственной экономики. Следует заметить, что, возведя в квадрат выражения (8.2.6), мы можем получить уравнения в частных производных для цен на продукцию и заработной платы.
Для простоты предположим, что потоки удовлетворяют условию
' Wi
+ WT°-
(8-І
(8.2.8)
которое означает, что эти два поля имеют противоположные направления: рабочая сила движется от мест обитания к промышленным объектам, произведенные товары — в противоположном направлении. Это предположение позволяет нам записать цену продукции р(х) и заработную плату w(.v) как
Р = Р' -У{хі,х
2), w = w' -у(х 1,х
2),
где у — некий потенциал. Из (8.2.6) видно, что линии потока в конечном счете определяются (заданной) локальной функцией затрат на транспортировку f (х
ь х
2) Вместо этого мы можем теперь предположить, что известна результирующая потенциальная функция у(х
1, х
2). Поскольку линии тока являются линиями градиента потенциала, мы можем подобрать подходящую параметризацию линий тока так, что они будут решениями дифференциальных уравнений
dxi ду dxo ду
где s — «дистанционный параметр». Структурная устойчивость решения означает, что если для какой-либо другой потенциальной функции у* (х) разность между первой и второй частными производными функций у и у* соответственно по переменным х
1 и х
2 Достаточно мала, то кривые решений для двух потенциалов не имеют структурных различий. Точное определение этого понятия дано в разд. 3.5.
Получить общие характеристики структурно устойчивых систем очень трудно, но для структурно устойчивых систем на плоскости, к счастью, имеется характеризационная теорема. Она утверждает, что устойчивый поток может иметь лишь конечное число изолированных особых точек и лишь весьма ограниченных категорий и является ламинарным во всей остальной регулярной области. Получен также глобальный результат о том, как могут быть связаны особенности между собой. Это делает возможным построение очень точных схем структурно устойчивых потоков и пространственной организации экономики, соответствующей таким потокам.
Согласно Пейксото (Пейксото, 1977), следствия свойства структурной устойчивости можно объединить в следующей теореме:
Теорема 8.2.1. Если система (8.2.9) структурно устойчива, то:
i) поток регулярен повсюду, за исключением, быть может, конечного числа изолированных особых точек; или, что одно и то же, поток топологически эквивалентен множеству параллельных прямых;
ii) возможны особые точки типа узла (источники и стоки) и простые седловые точки;
iii) не существует траекторий, соединяющих седловые точки. Для каждой седловой точки существуют четыре инцидентных траектории: пара входящих и пара выходящих. Следовательно, никакая из выходящих траекторий не может ни заканчиваться на другом седле, ни, сделав петлю, возвратиться в прежнее седло как входящая.
 |
|
Рис. 8.2. Поток и пространственная организация вокруг особенности типа узла. |
Регулярность потока означает, что через каждую точку проходит только одна траектория. Теперь рассмотрим интерпретацию этих результатов в терминах организации пространственной экономики.
Источник — это точка, от которой расходятся все траектории из окружающего бассейна отталкивания. Они образуют множество радиальных траекторий, ортогональных круговым концентрическим ценовым контурам. Экономическая организация — это организация концентрических колец различной экономической деятельности, а пути транспортировки радиальны (см. рис. 8.2). Рисунок очень схож с примером фон Тюнена или со случаем новой городской экономики. В случае стока все траектории из окружающего бассейна притяжения сходятся к особой точке, контуры цен вновь будут замкнутыми концентрическими кривыми, а пространственная организация — системой концентрических колец. Направления потоков в этих двух случаях противоположны. Источники можно рассматривать как центры производства, стоки — как центры потребления.
В пункте (i) теоремы 8.2.1 кроме стоков и источников называются простые седла. Для каждого седла существуют две пары проходящих через него траекторий: одна пара входящих и другая - выходящих. Пространство вокруг седла разбито на четыре сектора, каждый содержит гиперболические траектории, притягивающиеся к особенности, но не входящие в нее. Множество ценовых контуров, к которым эти гиперболические траектории ортогональны, тоже состоит из гипербол. Различные зоны экономической активности
 |
|
Рис. 8.3. Поток и пространственная организация вокруг особенности типа седло. |
расположены теперь между парами гипербол в противоположных секторах, а организация пространства состоит из секторов вокруг седловой особенности. Таким образом, поскольку все транспортные пути отклоняются от прямой линии, в окрестности седла транспортировка должна быть очень благоприятна. Седловые точки являются «ядрами концентрации» пространства с особенно благоприятными условиями транспортировки (см. рис. 8.3).
Теперь, руководствуясь тем принципом, что никакая траектория не соединяет седловые точки, построим глобальную схему потоков и Ценовых контуров. Поскольку лишь четыре траектории в окрестности седла инцидентны, движение вдоль любой из них приведет либо к пересечению границы городского пространства, либо к попаданию в особенность, которая может быть только узлом. Заметим, что два таких узла должны быть источниками, а два других — стоками. Следовательно, элементарные ячейки можно расположить на квадратной сетке, составленной только из траекторий, инцидентных к седловым точкам. Особые точки — это узлы (точки Пересечения) сетки.
Отталкиваясь от любой произвольной седловой точки, мы можем описать городскую структуру в целом. Поскольку каждое седло окружено двумя устойчивыми и двумя неустойчивыми узлами,
Мл можем заключить, что в диагональном направлении от исходного седла вновь есть седловая точка, так как она имеет траектории
 |
|
Рис. 8.4. Общая схема структурно устойчивых потоков. |
 |
|
Рис. 8.5. Ландшафт цен. |
входа и выхода. Пространственная организация городского пространства представляет собой расположенные в шахматном порядке участки индустриального и жилого типа, как показано на рис. 8.4. Очевидно, что пространственные организации на рис. 8.2
 |
|
Рис. 8.6. Возможные структуры потоков для случая эллиптической омбилики. |
и рис. 8.3 являются локальными областями вблизи узла и седловой точки на общем рисунке.
Соответствующая потенциальная поверхность, или «ландшафт цен», показан на рис. 8.5. Предполагается, что рабочая сила перетекает вдоль направления градиента, а товары — в противоположном направлении. Выбор комбинации капитала и рабочей силы в (8.2.2) зависит от местоположения (координаты точки).
Из приведенных выше рассуждений видим, что простое предположение о структурной устойчивости делает возможным точное в топологическом отношении описание пространственной структуры экономики. Подобно тому как из принципа соответствия можно извлечь количественную информацию, топологическая информация о пространственной структуре экономики получена из предположения о структурной устойчивости системы. Такая информация может сказать нам больше, чем это кажется на первый взгляд. Например, если система структурно устойчива, то парадигма пространственной организации Кристаллера-Леша неверна, поскольку ее гексагональный узор никаким топологическим преобразованием не может быть приведен к описанным выше структурно устойчивым потокам.
Содержание этого раздела было ограничено случаем структурно устойчивой системы. Естественно задать вопрос: каковы будут
 |
|
Рис. 8.7. Возможные структуры потоков для случая гиперболической омбилики. |
возможные структуры пространственной экономики, если ослабить условие структурной устойчивости? Используя теорию катастроф, ответ на этот вопрос дал Пуу.
Если мы предположим, что потенциальная функция зависит только от трех параметров (например, от конструкции дорог и их рабочего состояния, загруженности транспорта и цен на топливо), то из теоремы Тома следует, что нам нужно рассмотреть лишь канонические формы эллиптических и гиперболических омбилических точек
у = xf - Ъх\х\ + а(х\ + х\) - /Зхі - ух2, (8.2.10).
У = Хі + х\ + агіг
2 - рхі - JX
2, (8.2.11)
где а, в и у — параметры. Исследуя возникающие в градиентных полях у-функций все возможные комбинации а, в и у; мы получим полное описание возможных структур. На рис. 8.6 и 8.7 дана иллюстрация всех канонических форм соответственно эллиптических и гиперболических омбилических катастроф. В верхней части каждого рисунка изображено бифуркационное многообразие в пространстве параметров. Ниже даны поля потоков для различных комбинаций параметров. Пока параметры в (а, в, у )-пространстве движутся, не пересекая бифуркационного многообразия, гладкие сдвиги параметров вызывают только гладкие изменения структуры потока. В окрестности бифуркационного многообразия имеет место качественное изменение характера структуры потока.
8.3Экономические циклы в пространственной модели «мультипликатор-акселератор» Пуу
В предыдущем разделе мы дали общее исследование городской структуры, используя понятия структурной устойчивости и неустойчивости. Цель этого раздела — изучить процесс формирования неустойчивых городских структур. Мы рассмотрим здесь пространственную динамическую модель экономики, предложенную Пуу (1986). Эта модель представляет собой расширенную форму модели делового цикла типа «мультипликатор-акселератор», которая была построена Самуэльсоном (1939) и позднее развита Хиксом (1950) и другими.
Существенными элементами модели являются сбережения (или потребление) и «индуцированные» инвестиции. Предполагается, что сбережения равны части национального дохода Y с заданным коэффициентом пропорциональности s. Индуцированные инвестиции пропорциональны скорости изменения национального дохода dY/dt; коэффициент пропорциональности (акселератор) равен ?. Приравнивая сбережения инвестициям, sY = ?dY/dt, приходим к модели Харрода сбалансированного роста. Скорость изменения национального дохода и инвестиций можно определить соответственно как
dY
Т v dl _
c.iY
dt
1 dt~
Q dt
L
Очевидно, что эта система является частным случаем моделей, рассмотренных в разд. 6.6. Из этих уравнений имеем
d
2Y
dt
2
(8.3.1)
dY
+ (l + s —?)-— + sY = 0. at
Решения этой модели аналогичны исходной дискретной модели Самуэльсона-Хикса, т. е. это решения простого гармонического осциллятора с затуханием либо антизатуханием одного определенного периода.
Обобщим теперь уравнение (8.3.1) и рассмотрим в непрерывном двумерном пространстве экспорт и импорт. Обозначим склонность к импорту как т. Применив интегральную теорему Гаусса,
можно показать, что истинной мерой пространственных колебаний национального дохода служит лапласиан функции дохода ?
2У = дУ
2/дл
2 + д^У/ду
2 (Бекман и Пуу, 1985).
Чтобы сделать модель нелинейной, мы примем рассуждение Хикса о «нижнем пороге» сокращения капиталовложений, когда капитал не воспроизводится и обесценивается с естественной скоростью, и о «потолке инвестиций», когда все другие факторы, помимо капитала, становятся связывающими, и их собственная скорость роста ограничивает инвестиции. Хикс (1950) ввел эти ограничения в виде линейных неравенств. Мы же для упрощения анализа заменим член ®dY/dt в (8.3.1) непрерывной функцией ®th(dY/dt), которая имеет смысл акселератора с верхним и нижним порогами. Вблизи нуля эта функция почти линейна относительно своего аргумента dY/dt, но при больших отрицательных и положительных его значениях асимптотически стремится к -1 или +1.
В этих предположениях (8.3.1) можно переписать в форме
^ + <1 + .)? - ?Й (?) + .У - т?’У = 0. (8.3.3)
Это нелинейное уравнение в частных производных. Одно из его решений удовлетворяет условию ?
2У = 0, что означает однородное распределение неизвестной функции.
О качественном поведении этой (однородной) модели можно составить представление из анализа фазовой диаграммы в пространстве (У, dY/dt). Для больших У и dY/dt система затухает. В случае ? > (1 + s) в фазовом пространстве вблизи начала координат существует окрестность, которую можно назвать зоной антизатухания, а в случае противоположного условия — зоной затухания. Комбинация антизатухания в центре и затухания на периферии может означать существование предельного цикла. Это подтверждает численный анализ модели, проведенный Пуу (1986) (см. рис. 8.8). Для нахождения условий существования циклов здесь, очевидно, может быть использована теорема Хопфа о бифуркациях.
Существование стационарных распределений градообразующих функций можно обнаружить, положив d
2y/dt
2 = dY/dt = 0. Из этих двух частных случаев мы видим, что может существовать компромисс между временными изменениями и пространственной неоднородностью. Пусть, для примера, т = s = 0.5, ? = 2, r = (л
2 + y
2)
1/2- Таким образом, (8.3.1) может быть записано в виде
 |
|
где Y' и Y" обозначают производные от У по переменной t - r. На рис. 8.9 приведена иллюстрация колебаний при различных значениях |
 |
|
Рис. 8.8. Устойчивый и неустойчивый предельные циклы. |
 |
|
Рис. 8.9. Осцилляции на разных расстояниях (г = 1.5, 2, 2.5, 3, 3.5). |
г. Для радиусов, меньших единицы, система затухает, и предельного цикла нет. Для больших радиусов возникают предельные Циклы возрастающих амплитуд, самый дальний от центра соответствует бесконечному радиусу. Хотя амплитуды циклов возрастают
 |
|
Рис. 8.10. Асимптотическое пространственное распределение. |
с расстоянием от начала координат, период циклов, по-видимому одинаков (Пуу, 1986).
Асимптотическое решение первого приближения также построено Пуу. Решение определяет пространственное распределение при заданном t. В этом случае пространственная координата рассматривается как бифуркационный параметр временной зависимости. Поведение асимптотических решений видно из рис. 8.10.
Показано, что введение пространственной зависимости разрушает идеальную временную периодичность исходной модели и приводит к замене простого гармонического движения на нерегулярное во времени. В этом отношении пространственная зависимость подобна действию распределенной системы с запаздыванием.
8.4Пространственная диффузия как стабилизатор
Предыдущие модели были построены в рамках подхода, предложенного Бекманом и Пуу. Автором этой книги недавно предложена несколько другая модель города, где в фокусе внимания находится пространственное распределение населения и некоторых Других переменных, характеризующих город. Предполагается, что экономическая деятельность сосредоточена в отдельных точках города. В оставшейся части главы мы рассмотрим ряд моделей в рамках такого подхода.
Нас интересует моделирование поведения домовладельцев в пространстве. Хорошо известно, что распределения населения и социо-экономической деятельности тяготеют к агрегации и регионализации. Причиной регионализации может служить наличие «масштабных факторов» для людей и их активности. Результатом таких тенденций является неравномерность распределения населения и социо-экономической деятельности в пространстве и времени. В этом разделе приводится модель, разработанная Зангом (1988с) для учета эффектов пространственной диффузии при формировании городской структуры.
Рассматривается городская система, состоящая из трех частей: центрального делового района (ЦДР), прилегающей области и границы городского пространства. ЦДР — это место, где реализуется большая часть социо-экономической деятельности, но социо-экономическая деятельность может иметь место и в других частях городской системы. Для простоты мы считаем ЦДР точкой. Предполагается, что граница городского пространства примыкает к области сельскохозяйственного землепользования. Между ЦДР и границей лежит область, называемая прилегающим пространством, где люди могут строить дома и заниматься другой социо-экономической деятельностью.
Процесс формирования городского пространства описывается движением плотности населения и земельной ренты во времени и пространстве. Введем определения:
x(r,t) — плотность населения в точке (r,t), y(r,t) — земельная рента в точке (r,t),
где r — расстояние от ЦДР до точки прилегающего пространства. Когда переменные x(r,t) и y(r,t) не зависят от г, мы говорим, что городская модель однородна, в противном случае — гетерогенна. Согласно Дендриносу и Муллалли (1985), если городское пространство достаточно мало, динамика системы может быть описана моделью «хищник-жертва», как в разд. 3.5,
dx
— = а
dt
(Уі - y)
x,
(3.5.1)
dy=P(x - xi )y, dt
параметры которой определены там же. Мы знаем, что решение этой системы осцилляторно и что система структурно неустойчива. Возникает вопрос, возможно ли стабилизировать систему с помощью диффузионных эффектов.
При некоторых предположениях о «движении» земельной ренты и населения модель города типа «хищник-жертва» пополнена автором (Занг, 1988с) диффузионными членами следующим образом:

*« =
а(Уі - У)* + ??ж
ГГі
Vt = - Хі)У + ?Ъгт, 0 < Г < Го,
где r
0 — расстояние от ЦДР до городской границы, ?! — параметр, характеризующий стремление избежать скопления населения, ?
2 — «коэффициент проводимости ренты». Граничным» условиями являются 1

Соотношения (8.4.2) означают, что «поток» населения и ренты через границу городского и сельскохозяйственного пространства отсутствует. Пусть начальная городская структура описывается функциями
z(r, 0) = m{r), j/(r, 0) = n(r). (8.4і8|;
Полная модель города состоит из (8.4.1)-(8.4.3). Можно показать, что эта система имеет всюду положительное решение.
Рассмотрим сперва случай ?
2 = ?
2 (= ?). Уравнения (8.4.1) могут быть переписаны в виде
xt — &(уі — у)х + ?х
гг, М
(8.4.4)
Vt = 8{х -хі)у + ?у
гг.
Теорема 8.4.1. Если ?
1 = ?
2, то при t городская структура становится однородной, т. е. xr(r,t) = y
r (r,t) = 0 при t^«>.
Доказательство можно найти в работе Занга (1988с). Этот результат получен введением функции

с помощью которой задачу можно записать как
фі — ?фтг — QF
|
с соответствующими граничными и начальными условиями. Функция F зависит от x и у как |
 |
Применяя принцип максимума к параболическим операторам, мы можем показать, что при t ^ ж имеет место F ^ 0 что эквивалентно однородности городской структуры при достаточно больших t.
Этот результат гораздо более интересен по сравнению с результатом Дендриноса и Муллалли (1985). Они не рассматривали влияние пространственной диффузии на городскую структуру, предположив, что городское пространство очень мало. Теорема 8.4.1 показывает, что их трактовка городской системы как некоего конгломерата заведомо справедлива при строгом выполнении условия ?! = ?
2. В этом случае, если только нас интересует стационарное состояние, введение диффузионных эффектов не повлияет на поведение системы, хотя может повлиять на ее устойчивость.
Теорема 8.4.2. Если ?і и вз ненулевые, то система (8.4.1) не имеет неоднородных периодических решений.
Рассмотрим функцию


— — Хі — Х
Х ІП — J — J/1 — $/і ІП —
° (8.4.5)
Легко проверить, что dW(t)/dt < 0, т. е. функция W(t) — монотонная невозрастающая функция времени. Кроме того, она ограничена снизу нулем, и, следовательно, выполняется теорема 8.4.2
.
Таким образом, введение географических факторов нарушило возможность неоднородных осцилляции городской модели «хищник-жертва».
8.5Разделение и сосуществование разнородных групп населения города
Этот раздел посвящен изучению пространственного и временного распределения жителей города. Население подразделяется на различные группы в соответствии с их экономическими и индивидуальными характеристиками. Население можно классифицировать по цвету кожи на белых и черных, по уровню дохода или образования. В Соединенных Штатах и некоторых других странах сосуществование групп населения, принадлежащих различным расам, порождало серьезные социальные проблемы и потому изучалось с различных точек зрения. Мы рассмотрим для простоты только две группы, обозначаемые как группа 1 и группа 2. Предполагается, что между обеими группами существует взаимодействие в том смысле, что их отношения влияют на характер распределения населения. Отношения могут быть дружелюбными; недружелюбными и «нейтральными». Покажем, что разделение и сосуществование зависит от этих отношений. Обозначим плотности населения этих групп как X(r,t) и Y(r,t), где r — расстояние от ЦДР до места проживания. Рассматриваемая область географически подобна области из предыдущего раздела.
Далее в этом разделе следуем работе автора (Занг, 1989с). Эволюция обеих групп может быть описана следующим образом:
' X
t ~ аХ{а - ЬХ - cY) - d
LXY + ?іХ
ГГі (8.5.1)
Yt = /3Y{a-bX-cY)-d
2XY+Q
2Y
rr, t > О, г e W, (8.5;S|
где a, b, с и d
i (i = 1,2) — постоянные, W — область, примыкающая к ЦДР.
Слагаемое ?Х
ГГ в уравнении (8.5.1) отражает эффект географической диффузии населения. Географические диффузионные члены измеряют склонность людей к проживанию в менее заселенной местности. Параметр ?[ на самом деле может зависеть от неизвестных функций и независимых переменных — координаты и времени. Член аХ(а - ЬХ - cY) описывает реакцию населения на экономические условия. Мы интерпретируем a как «физическую» вместимость городского пространства в точке г. Когда параметр а постоянен (константа), физическая вместимость однородна в пространстве. Если предположить, что (ЬХ + cY) — количественная мера пространства, занимаемого обеими группами, то величину (а -ЬХ - cY) можно рассматривать как избыток предложения физической вместимости. Когда эта величина в некоторой точке становится больше нуля, то данное место проживания оказывается более привлекательным для населения. Очевидно, что когда она равна нулю, а члены —djXY и диффузионные эффекты пренебрежимо малы, миграция населения прекращается. Множитель аХ в уравнении (8.5.1) — это скорость установления равновесного распределения населения в группе 1: если плотность населения высока, то установление равновесия замедлено, так как система менее информирована. Член — djXY служит для измерения взаимодействия групп. Этот член не имеет отношения к экономическим факторам, отражая социальное взаимодействие. Коэффициент dj может быть и положительным, и отрицательным, и нулевым. Если он положителен, группе 1 не нравится жить с группой 2. Если d
j = 0, «расовые» предубеждения отсутствуют. Если d
j отрицателен, высокая плотность группы 2 притягивает население группы 1. Например,
мы можем классифицировать население в соответствии с образовательным уровнем, и менее образованные люди могут стремиться к проживанию в районе с преобладанием более высокообразованных.
Подобным же образом можно интерпретировать уравнение (8.5.2).

Следует заметить, что эту систему можно расширить, и притом различными путями. Например, мы можем разбить население на N групп (N > 2). По аналогии с нашей базовой моделью, пространственное и временное распределение населения в этом случае можно записать в общем виде как
вместе с соответствующими начальными и граничными условиями. Затем можно исследовать разнообразные условия совместного и раздельного проживания различных комбинаций этих групп.
Мы можем также учесть взаимодействие между плотностью населения и другими переменными, характеризующими город (градообразующими переменными), такими, как рента и количество жилья. Примером такого подхода служит модель из предыдущего раздела.
Можно также ввести различные экзогенные силы, воздействующие на структуру города. Например, правительство может проводить специальную политику, чтобы гарантировать сосуществование населения. В этом случае систему (8.5.1)-(8.5.2) можно обобщить к следующему виду
X
t = аХ(а-ЬХ- сУ) - d
vXY + Е
г + ?іХ
гг,
Yt = 3Y(а -ЬХ-cY)- d2XY + Я2 + ?2УГг, t > 0, г 6 W,
где E
j(r,t) и е
2 (r,t) — экзогенные «входы». Например, Ej может означать иммиграцию группы 1 в районы города. Если Е
1 не зависит от расстояния, то объем иммиграции задается как величина Е
ъ умноженная на размер городского района.
Для простоты мы ограничимся наиболее легким случаем (8.5.1)-(8.5.2). Перепишем модель как


где n обозначает направление, нормальное к границе и ориентированное вовне, dW — граница городского пространства, а р
і и q (i = 1,2) — константы. Граничные условия определяются тем, как городская система взаимодействует с «внешним миром». Если считать, что дХ/дп и дУ/ді — миграция населения, то предложенные граничные условия означают, что миграция зависит только от плотности населения.
В работе автора (Занг, 1989с) первоначально анализируется случай b = с = 0 и d
i > 0 (i = 1, 2). Это значит, что объем пространства, занимаемого населением, не влияет на миграцию, а отношения между двумя группами чисто конкурентные. Было показано, что в результате возмущения начальных условий первоначально однородная городская структура становится гетерогенной.
Теперь нас интересует общий случай, когда на систему (8.5.3) наложены граничные условия Неймана, т. е. р
х =р
2 = 1 и q
} = сь = О или
~ ~ = 0 на №. (8.5.5)
on дп
Это значит, что миграция между городом и «окружающим миром» отсутствует. Введем величины

Теорема 8.5.1. Пусть (X,Y) — решение системы (8.5.3) с граничными условиями (8.5.5), и пусть в каждой точке r е W начальные условия удовлетворяют неравенствам 0 < F(r) < ц и 0 < H (r) < 8. Тогда имеем


ііі) если g- < g < *1 то

Пусть для простоты интерпретации ?! = ?
2 = 0. Неравенство 0 < F (r) означает, что начальная плотность населения группы 1 не равна нулю ни в какой точке городского пространства. Если заметим, что a
1/c
1 = а/(с + dj), то правая часть неравенства F(r) < а/(с + d]) означает, что начальная плотность группы 1 ограничена сверху вместимостью городского пространства и объемом пространства, занятого группой 2. Так как а
2/с
2 = а/(с+ d
2), мы можем так же просто объяснить смысл неравенства F(r) < а
2/с
2.
Утверждение теоремы (і) выполняется, если

Последнее справедливо в том случае, если d
2 > 0 и d
] < 0. Поскольку d
] (d
2) является мерой воздействия группы 2 (группы 1) на группу 1 (группу 2), мы видим, что если группа 1 стремится жить вблизи группы 2, хотя группа 2 настроена недружелюбно по отношению к группе 1, то группа 2 в конце концов окажется вытесненной группой 1. Мы видим, как протекает этот эволюционный процесс. Асимптотическое равновесие не зависит от величин d
] и d
2 — это естественно, потому что в асимптотике нет борьбы в классическом смысле. Так как Х(г, го) = а/Ъ, мы видим, что в пределе вся городская емкость будет использована группой 1: в противном случае группа 2 сможет располагать свои жилища в городском пространстве. Случай (ii) может быть интерпретирован аналогичным образом.
Поскольку условие (in) можно переписать в форме

необходимо потребовать, чтобы d] и d2 были отрицательны — между людьми отсутствует антипатия (требование, которое довольно
редко выполняется на практике). В этом случае представители разных групп населения могут проживать на одной и той же территории. Следует заметить, что (iii) выполняется только при положительном h. Случай отрицательного h мы обсудим ниже.
Если рассматривать перекрестные члены d
JxY и d
2XY как отражение взаимодействия групп на эффективность использования емкости городского пространства, полученные результаты становятся интуитивно приемлемыми. Если d
j положительно, то некоторая часть городского пространства не может быть эффективно использована. Это можно осмыслить, положив ?^ = 0. Тогда в случае равновесия имеем а = ЬХ + cY + d
1Y. Очевидно, что член d
1Y не отражает использование населением городского пространства.
Теорема 8.5.2. Пусть (X,Y) — решения уравнений (8.5.3) с учетом граничных условий (8.5.5) и Ь
1/Ь
2 < а
1/а
2 < c
jlc
2. Тогда имеем

Поскольку условия Ь
1/Ь
2 < а
11а
2 < c
jlc
2 идентичны условиям bl(b+ d
2) < 1 < (с+ d
j)lc и h < 0, необходимо, чтобы d
j > 0 и d
2 > 0. Таким образом, группы 1 и 2 чисто конкурентны. В этом случае, по прошествии времени, выживет только одна группа. Можно проверить, что система имеет два устойчивых и два неустойчивых постоянных стационарных решения. Асимптотическое равновесие зависит от начальных условий. В случае (i), так как плотность населения группы 1 очень высока, а группы 2 низка, группа 2 должна быть вытеснена в конце концов группой 1. Аналогично можно объяснить случай (ii). Здесь уместно заметить, что под вытеснением мы понимаем исчезновение в биологическом смысле, потому что миграция в модели не предусматривается.

Выше мы «изолировали» городскую систему, задав на границе условия Неймана. Интересно посмотреть, что произойдет, если мы «откроем» систему. Рассмотрим следующее граничное условие:
Сформулируем задачу на собственные значения
(8.5.13)
?
г5 + kS ~ 0, r?W,
B(s) =0 на границе,
где к — собственное значение, a S — соответствующий собственный вектор. Это уравнение в частных производных размерности 1, и решение его хорошо известно. Обозначим наименьшее собственное значение как к
0, а соответствующий собственный вектор как фг). Отнормируем этот вектор так, что maxфг)= 1. Можно проверить, что к
0 и фг)положительны.
Теорема 8.5.3. Пусть граничными условиями задачи (8.5.3) являются условия (8.5.12). Тогда тривиальное решение (0,0) задачи (8.5.3) асимптотически устойчиво в глобальном смысле (относительно неотрицательных возмущений), если а! < к
0?
1, а
0 < к
0?
2, и
неустойчиво, если а! > к
0?
1или а
2 > к
0?
2.
Если емкость городского пространства слишком мала, в нем не поместится никакая группа. Условие неустойчивости означает, что произвольное малое возмущение тривиального решения приведет к новой городской структуре. Конечно, нас интересует только случай неустойчивости тривиального решения. Равновесие системы (8.5.1) определяется как решение системы уравнений
Х{а
х - ЬіХ - сіУ) + ©i^
rr = О, Y(a
2-b
2X-c
2Y) + Q
2Y,
r=0.
Теорема 8.5.4. Пусть система (8.5.3) удовлетворяет граничным условиям (8.5.12). Тогда
i) Если аі > к
0?
1и а
2 < к
0?
2, то система (8.5.14) имеет единственное положительное решение (X (г), 0); и для любой пары начальных функций (F, H), удовлетворяющих условиям
 |
|
где е может быть произвольно малым, решение (8.5.3) удовлетворяет условиям |
Ііт Х(г,і() = А", lim Y(r,t) = 0. (8.5.15)
І-Юо ' ' t-+co
1 v '
|
ii) Если а1 > к0?1 и а2 > к0?2, то система (8.5.13) обладает положительным решением (0, Y (г)), и для любой пары начальных функций (F, H), удовлетворяющих условиям |
 |
где е может быть произвольно малым, решение системы (8.5.3) удовлетворяет условиям
Пт Х(г,і) = 0, lim Y(t, t) = У *. (8.5.16)
t-t-CO (-+00 ,
Так как аі > к
0?
ь условие а
2 < к
0?
2 в пункте (i) можно переписать в виде ?
1/к
1 < a!k
0 < ?
21к
2; это означает, что вместимость городского пространства ограничена сверху характеристикой группы 1 и снизу — группы 2. В этом случае группа 2 с течением времени вытиснится группой і.
Наконец, можно показать, что если а
1 > к
0?
1 а
2 > к
0?
2 то при подходящих начальных условиях в системе могут сосуществовать обе группы. Явный вид таких начальных условий можно найти в работе Занга (1989с).
?.бУрбанистические образования типа бегущих волн
В предыдущих разделах мы анализировали разнообразные проблемы градоформирования. Было показано, что число возможных форм городских структур в структурно устойчивых системах довольно ограничено. Неустойчивость увеличивает разнообразие городских структур. Чтобы проиллюстрировать, как именно неустойчивость может усложнить городскую систему, мы рассмотрим модель города, которая вблизи неустойчивых особых точек ведет себя подобно бегущей волне. Эта модель была предложена автором книги (Занг, 1989е).
Географические характристики рассматриваемой городской системы подобны тем, что приведены в разд. 8.4. Предполагается, что модель описывается двумя переменными:
n(r,t) — плотность населения в точке (r,t); q(r,t) — качество жилищного фонда в точке (r,t),
где r — расстояние от ЦДР до места проживания.
Следует подчеркнуть, однако; что модель, обсуждаемая в разд. 8.4, касается иных аспектов процесса формирования городской структуры, нежели та модель, которую мы будем строить здесь.
Предполагается, что в течение изучаемого периода численность населения не изменяется. Мы пренебрегаем демографическими процессами и процессами миграции между городом и «внешним миром». Согласно работе Занга (1989е), городская система описывается следующими динамическими уравнениями:
n
t(r
tt) = a[f(q) - n] + ?п
гг, (8.6.1)
q
t(r,t) = -6q + If p(n:,q)), r E G, (8.6.2)
где G обозначает область городского пространства, а — параметр адаптации, ? и 8 — соответственно параметр диффузии населения и скорость разрушения жилого фонда. Система удовлетворяет определенным начальным и граничным условиям. Диффузионные эффекты изменения качества жилья отсутствуют.
Для интерпретации (8.6.1) опустим диффузионный член. Итак, имеем
Ж =
аШ -
п]
Считается, что вид функции f(q) можно найти из предположения рациональности поведения домохозяйств. Эта функция определяет равновесное значение плотности населения при заданном качестве жилого фонда.
Уравнение (8.6.2) описывает, как качество жилья изменяется во времени. Член —8q описывает эффекты разрушения жилого фонда. Предполагается, что состояние жилищ поддерживается владельцами, которые определяют величину расходов на содержание жилого фонда, и стоимость жилья зависит от дохода владельца с единицы жилого фонда. Пусть общий доход обозначен как I. Доход в определенной точке зависит от плотности населения и качества жилого фонда, т. е. I = I(n, q), причем производная I
n этого функционала знаконеопределена, а производная I
q положительна. Знак I
n в общем случае при фиксированном уровне q не определен, так как увеличение либо уменьшение дохода при увеличении плотности населения зависит от конкретной ситуации. Производная I
q положительна, потому что улучшение качества жилья при фиксированном уровне плотности населения должно привести к возрастанию дохода владельца. Предполагается, что затраты на поддержание жилого фонда положительно связаны с доходом, т. е. dH/dI > 0. Для простоты мы определим функцию затрат на поддержание жилого фонда как
2
я(/) = ГтЬ' (8-6-3)
1 -f- сгп
где /г и а — положительные коэффициенты. Если интерпретировать q
2/(l + an) как ренту единицы жилого фонда, то величина nq
2/(l+an) представляет собой полный доход домовладельца в данной точке. Параметр ц можно интерпретировать как отношение затрат на поддержание фонда к общему доходу.
В результате система (8.6.1)-(8.6.2) может быть записана как
N
t(rj) = g(Q)-N + yN
rr,
(8.6.5)
, і
Л NQ
2 Qt(r,t) = -vQ + y^Tn
с соответствующими начальными и граничными условиями. Мы предполагаем, что в системе (8.6.5) асимптотическое равновесие существует. Нас интересует существование периодических решений типа бегущих волн вблизи асимптотического статического равновесия. Для решения этой задачи воспользуемся теорией бифуркаций.
Периодические решения типа бегущих волн обычны для уравнений в частных производных и часто наблюдаются в физике, химии и биологии. Подобное поведение можно проиллюстрировать схемой, приведенной на рис. 8.11. Если интерпретировать такое поведение как эволюцию городской структуры в пространстве, то видно, что в начальной стадии наиболее плотно заселенное пространство, т. е. пространство с наибольшей разностью между реальной и равновесной плотностью, располагается вблизи ЦДР. С течением времени наиболее плотно заселенное пространство удаляется от ЦДР, и позже наибольшую плотность можно обнаружить около середины прилегающего к центру городского пространства.
Решение системы (8.6.5) типа бегущей волны можно записать в


виде

где е — положительный параметр, который нужно еще определить. Периодическая городская структура типа бегущей волны определяется как решение, периодическое относительно r - et. Введя функцию W(r - et) = N'(r - et) и подставив (8.6.6) в (8.6.5), мы получим
' N> = W,

где штрих означает производную по (r- et). Таким образом, наша задача сводится к доказательству существования предельного цикла в системе (8.6.7). Здесь применима теорема Хопфа о бифуркациях.
Как показано в работе автора (Занг, 1989е), равновесие в системе (8.6.7) — которое обозначим далее как (N
0, W
0, Q
0), где W
0 = 0, — определяется по схеме, изображенной на рис. 8.12.
Доказательство существования предельных циклов можно провести, используя метод теории бифуркаций, описанный в гл. 5. В работе Занга (1989е) доказана следующая теорема:
Теорема 8.6.1. Имеется непустое множество значений параметров, при которых в системе (8.6.7) существует периодическая
 |
|
Рис. 8.12. Существование единственного положительного равновесия. |
городская структура типа бегущей волны вида
N(r,t) N(r — et) — N {т - at + ,
Q(r> t) = Q(r - ef) = Q (r - et + ,
где D определяется параметрами задачи, а е достаточно мало.
Следует заметить, что в качестве бифуркационного мы выбрали параметр ?. Поскольку ? = S/а, значение этого параметра может быть изменено либо при изменении фактора износа жилого фонда, либо при изменении скорости установления в уравнении для плотности населения. Как сказано в работе Занга (1989е), теорема утверждает, что при малом возмущении бифуркационного параметра формируется новая городская структура. Статическая асимптотическая городская структура бифурцирует к зависящей от времени структуре типа бегущей волны.
Так как параметр е достаточно мал, завершение полного цикла в системе требует значительного времени.
8.7Неустойчивости и градообразование
В этой главе мы рассматриваем разнообразные модели города в рамках приближения динамического пространственного взаимодействия. Так же, как и в предыдущих главах, нас интересует неустойчивая эволюция города. Разобранные нами примеры показывают, что неустойчивость является источником сложной эволюции. Основной упор в этой главе был сделан на характер городской структуры и ее изменений. Было показано, что вследствие малых изменений внешней среды от однородной, не зависящей от времени городской структуры могут бифурцировать пространственно упорядоченные, зависящие от времени гетерогенные структуры.
Из примеров, приведенных здесь, мы видим, какую важную роль в процессе формирования городской структуры играет фактор диффузии: неустойчивая модель города может быть стабилизирована введением пространственных переменных. Конечно, можно найти и противоположные примеры. Фактически влияние размеров и фактора диффузии на эволюцию города еще мало изучено. Представляется, что малые городские ареалы имеют тенденцию к однородности, тогда как большие — к гетерогенности. Поскольку процесс расширения города обычно течет очень медленно, мы можем рассматривать размер города как бифуркационный параметр. При переходе этого параметра через некоторые критические значения могут развиться более сложные городские структуры. Это
интуитивное предположение приводит к иному объяснению разнообразия и сложности эволюционных процессов в городах. Однако, чтобы хорошо понять подобные процессы, необходимо построить более сложные модели городов и разработать более мощные аналитические методы исследования.
Приложение: Структурные изменения в
двухкомпонентной модели
В этом приложении мы приведем два примера моделей формирования структур. Мы покажем, как применяются различные аналитические методы к исследованию поведения решений уравнений в частных производных. Важным примером для объяснения концепции зарождения порядка из хаоса служит в синергетике модель морфогенеза (см. Хакен, 1977). В качестве же примера, иллюстрирующего процесс самоорганизации в диссипативной системе, хорошо известна модель брюсселятора.
8.7.1 Модель морфогенеза
Прекрасной моделью морфогенеза является гидра — живое существо длиной в несколько миллиметров, состоящее из ~ 10
5 клеток примерно 15 типов. Предполагается, что процесс морфогенеза может вызываться участием в биохимических процессах по крайней
|
мере двух типов химических веществ: активатора и ингибитора. Обозначим концентрацию активатора буквой а, а ингибитора — буквой /г. Модель записывается следующим образом: |
 |
где г, к', s, с, v, D
a и D
h, — константы, x — дистанционный параметр. На рис. 8.13 и 8.14
показаны некоторые результаты численного решения этой системы (см. Хакен, 1977). Поскольку нас не интересуют конкретные значения параметров, просто опишем некоторые возможные структуры.
 |
|
Рис. 8.14. Двумерная модель морфогенеза: а) концентрация активатор»! b) концентрация ингибитора. |
Введя обозначения

мы можем переписать (8.А.1) как

DAH.
Стационарное однородное решение системы (8.А.2) имеет вид
.Ао = (Д + 1)/5, #о = Aq.
Введя параметры q
j = А - А
0и q
2 = Н—Н
0, получим новую форму системы (8.А.2)

Для линейного анализа устойчивости стационарного решения этого Уравнения, опустив g(q) и подставив q = аРхр(фф + ?), где а, в и ф= (X,Y) ] — векторы, мы получим следующие собственные значения:

Легко показать, что при некоторых значениях в и R имеет место неустойчивость. Применяя к задаче принцип подчинения, Хакен (1977) аналитически показал, что из этой нелинейной системы могут зарождаться очень сложные структуры
.
8.7.2 Брюсселятор
Другим хорошо известным примером модели «реакция-диффузия» является тримолекулярная модель брюсселятора. Эта модель идеально подходит для изучения кооперативных процессов химической кинетики (Николис и Пригожий, 1977). Поскольку математический анализ этой модели предполагает некоторую математическую искушенность, мы приведем его в деталях. Последующее изложение основано на работах Николиса и Пригожина (1977) и Хакена (1977).
Рассмотрим схему реакций брюсселятора между молекулами следующих типов: A, X, Y, В, D и Е
Л —^ X,
В + Х ^Y + D,
2 X + Y -> ЗА,
X -а Е.
Соответствующие «приведенные» концентрации веществ А, В, X и Y обозначены как а, в, х и у. Концентрации а и в считаются здесь постоянными, тогда как хи у — переменными. Согласно Николису и Пригожину (1977), «приведенные» переменные х и у в одномерном пространстве независимой переменной r удовлетворяют уравнениям
дх ,
2 д
2х
(8.А.4)
— =
а~(0+1)х + х у + ?і^у,
ду , д
2у
- = (з
х-
ху+е
2—,
где ?[ и ?
2 — диффузионные константы, и 0 < r < R. Граница области обозначена как D. Имеются два типа граничных условий
x(t,r) = а, у{і,т) = — на границе (условия Дирихле), (8.А.5)
дх ду дп дп '
(8.А.6)
Мы рассмотрим здесь только условия Дирихле. Аналогичный анализ для условий нулевого потока через границу приведен в книге Николиса и Пригожина (1977).
Единственным однородным стационарным решением задачи является решение х
0 = а, у
0 = Ріа, Введя малые возмущения q = (q,, г/,)
т как
*=3:0 + ?!, У = Уа + Я2, (8.А.7)
находим следующий вид линеаризованных уравнений:
или
dq
(8.А.8)
удовлетворяющих на границе условиям qj = q
2 = 0. Линеаризованный оператор имеет вид
Г _ ( /З-І + ?^/дг
г
2 )
-а
2 + ?
2д
2/д
Для анализа асимптотического поведения решений системы (8.А.8) достаточно найти собственные значения w
i и собственные векторы uj[=(u
jj, u
2j)
T] линейного оператора L
(8.А.Е
Luj — WjUj,
с учетом условий на границе Uj = 0 (j = 0,1,...). Решениями уравнений (8.А.9) являются функции
иі = (Ті, T2)
Tsin 7 = 1,2.....
Вектор решения задачи q можно выразить как
? = д,- exp(wjt)uj.
і
Упомянутое стационарное состояние (а, в/a) асимптотически устойчиво, если для всех i собственные значения w
i, удовлетворяют неравенству Re(w
i) < 0. Если для некоторого i имеет место Re (w) > 0, то решение неустойчиво. В случае Re(w
i) = 0 при условии собственного значения нечетной кратности имеет место
явление бифуркации. Нетрудно получить следующее характеристическое уравнение задачи:
Wj + (vj - pj) + а
20 — VjPj = О,
где
2 « '2 2 Рі =
а +ГЯ
¦2 2
Ч = Р ~ 1 ~ JP«
Решение характеристического уравнения дает


Отсюда легко получить условия устойчивости. Нас интересует поведение системы в условиях неустойчивости. Обсудим случай действительного w. При vpj — а
2 в > 0 или
2R
2
/3 > 1 + а
2 ~ +
©2 ©2j
27T
2
J
2TT
201 _ 2
D2 /(j /!
(8.АЛО)
Я
2
характеристическое уравнение имеет один положительный корень. На рис. 8.15 приведена кривая в как функция от j. С ростом в первый участок неустойчивости возникает при в = в
с, соответствуя целому j
c, ближайшему к минимуму (и*, в *), где

Из рисунка видно, что первая точка бифуркации в
с лежит в окрестности минимума в* граничной кривой устойчивости (в общем случае в
с не равно в ).
Определим условия, при которых собственное значение W
j имеет двойное вырождение. Поскольку в является функцией j , все, что нам нужно — это записать уравнение в виде (j
2 -

•2 2 -2
Ji )(j
2 — J2) = 0, где j
j и j
2 — два положительных целых числа. В частности, если мы
примем j
j = j
c < и*, то с необходимостью получим j
2 = j
c + 1. Можно установить, что это условие удовлетворяется, если
Чтобы записать явный вид решений, бифурцирующих от критической точки во разложим оператор L в сумму
( 0-/З
с
L
= U
+ iL-L^L,
+ {_
№_

А)
где L
c — оператор, вычисленный в критической точке первой бифуркации. Можно показать, что L
c является параболическим оператором, который допускает единственный нулевой собственный вектор u„ (а = j
c), или же имеет собственные значения с отрицательными действительными частями.
Подставляя Эu/dt = 0, мы можем записать (8.А.4) в виде
&? - (-%), А(в))т, (8.Л.12)
 |
|
Рис. 8.15. Диаграмма линейной устойчивости с бифуркацией стационарных решений. |
где h(q) положим
2 2
(fi-pc)qi+2aqi q2+P qi /а+ q
x q2- Чтобы найти решение,

где n — малый параметр разложения, и q = (q1,q2)
T. Подставляя (8.А.13) в (8.А.12) и приравнивая затем одинаковые степени n, получим уравнение
L
cq
k = (~а
к,а
к)
т, к = 0,1,..., (8.А.14)
удовлетворяющее условию q = о (к = 0,1,...) на границе. Первые несколько коэффициентов а
к имеют вид О- о = 0,
“1 = Piq° + + 2
а
«2 = ftg? + (Vi + ^ + 2aq°j q\ + 2+ ^ + g
2°) (g?)
2.
(8. А. 15)
Согласно альтернативе Фредгольма (см. Йосс и Джозеф, 1980), нам известно, что вектор q
k является решением уравнения (8.А.14) при условии, что правая часть (8.А.14) ортогональна
нулевому собственному вектору сопряженного оператора L
c , где
t _ / Qid
2/dr
2+0
c-l -0с
ht ~ { а
2 ?
2д
2/дг
2 - а
2
Уравнение (8.А.14) мы можем решить. Можно показать (Николис и Пригожий, 1977), что альтернатива Фредгольма имеет место, если в нашей задаче
я
jdr*
k{q
k-
m) SU). ^ = 0, (8-А.16)
о
где 0 < m <; к = 1,... Из (8.А.16) видим, что решение зависит от того, четно или нечетно число
Іс-
Условия (8.А.16) вместе с (8.А.15) позволяют определить коэффициенты въ Из второго соотношения в (8.А.13) определяется параметр n как функция разности b - b
c. Таким образом, мы можем найти q как функцию в - в
с- Далее мы будем предполагать, что первые несколько членов в
к мы рассчитали.
С учетом этих результатов может быть доказана следующая теорема (см. Николис и Пригожий, 1977).
Теорема 8.А.1.
i) Пусть j
c четно. В окрестности особой точки в
с новые бифуркационные решения будут
асимптотически устойчивы в суперкритической области в > в
с > 0). Однако при в
2
< 0 субкритические ветви неустойчивы.
ii) Пусть j
c нечетно. Тогда в окрестности вс бифуркационное решение определено для в
по обе стороны от в
с- Новое бифуркационное решение устойчиво на суперкритической ветви, когда в > во и неустойчиво на субкритической ветви, когда
в < во
На рис. 8.16 дана иллюстрация случая (i) теоремы, а на рис. 8.17 — случая (ii).
Следует заметить, что наиболее важным свойством диссипатив-ных структур, полученных при описанных выше бифуркациях, является их асимметричный характер. Когда определенное критическое значение Д параметра в превышено, самое симметричное из решений перестает быть устойчивым, и система переходит к решению с меньшей пространственной симметрией. В предыдущем
 |
|
Рис. 8.16. Бифуркационная диаграмма для четного jc: а) суперкритическая ветвь, b) субкритическая ветвь. |
 |
|
Рис. 8.17. Бифуркационная диаграмма для нечетного jc. |
примере, когда j
c четно, система имеет априорно равные вероятности развиваться в сторону обоих решений по ту сторону перехода, который зависит от начальных условий.
Другим интересным аспектом бифуркационного анализа является трактовка размера системы R как бифуркационного параметра. Интересно рассмотреть влияние характерной длины на образование диссипативных структур при постепенном изменении формы или


образом, как и предыдущую. Введя r = r/R, мы получим новый вид уравнений (8. А. 4)
f = «-(л+і)*+*?+І^,
f 0<Г-<1.
Таким образом, изменение R можно рассматривать как изменение диффузионных коэффициентов нашей задачи. Мы можем получить диаграмму линейной устойчивости стационарного решения (рис. 8.18), аналогичную диаграмме на рис. 8.15, где т — произвольное целое число, характеризующее граничные условия.
Как показали Николис и Пригожий (1977), в этой модели также наблюдаются многократные бифуркации. На рис. 8.19 представлен типичный случай таких бифуркаций.
9 Принцип подчинения Хакена и масштаб времени в экономическом анализе
... Фактически мы ставим вопрос о понимании, и это всегда оказывается задачей о задаче, т. е., вообще говоря, проблемой более высокого уровня.
Карл Р. Поппер
Основная цель данной книги — исследование поведения нелинейных неустойчивых динамических экономических систем. Особенно интересует нас поведение системы вблизи критической точки. На предыдущих примерах мы показали, что когда из-за малого изменения параметров теряется линейная устойчивость, в характере поведения системы уже происходят разительные перемены и возникает хаотичность. Что же касается анализа нелинейных явлений, то он требует использования очень сложных методов, в особенности когда задача характеризуется большой размерностью фазового пространства. Потому было бы желательно разработать такие методы, которые сводили бы задачу высокой размерности к более низкой. В случае, когда система близка к точке, где теряется линейная устойчивость, ее поведение обусловлено гораздо меньшим числом степеней свободы, и для исключения части переменных можно использовать принцип подчинения Хакена. Схожие идеи мы можем найти также в теореме о центральном многообразии, хотя принцип подчинения является более общим. В этой главе нас будет интересовать также роль скоростей установления экономических переменных и шкалы времени при изучении экономических явлений.
9.1 Принцип подчинения Хакена
В этом разделе мы объясним принцип подчинения Хакена, который является одним из основополагающих методов в синергетике. Рассмотрим сперва простой пример, данный Хакеном (1977). Пусть динамическая система состоит из двух уравнений
fix
- -r
lX - axy,
^ = _r
2y+ /?x
2, (9.1.2)
где r
2 > 0. Очевидно, что, не будь уравнения (9.1.1), решение уравнения
(9.1.2) затухало бы. Потребуем r
2 >> r
1. В этом случае мы можем приближенно решить уравнение (9.1.2), положив dy/dt = 0, что приведет к
(9.1.3)
0х
2
Говорят, что система (9.1.2) подчинена системе (9.1.1). Подставляя (9.1.3) в (9.1.1), получим
(9.1.4)
dx а/Зх
3
— = -
Гіх--
dt г
2
Легко видеть, что в зависимости от того, будет r
1 > 0 или r
1 < 0, в уравнении dx/dt = 0 возникают два совершенно различных типа решения.
В определенном смысле переменная x описывает степень «упорядоченности» сложной системы. Хакен называет x «параметром порядка». Только что продемонстрированная техника исключения быстро убывающих переменных носит название принципа подчинения (адиабатической аппроксимации) Хакена. Обоснование этого метода было проведено в работе Хакена (1983)
22.
Для обобщения предыдущей системы рассмотрим
-^ =-г&і + gi(x
lt.. .,хп), і=1,...,п. (9.1.5)
Индексы в уравнениях расположены таким образом, что переменные образуют две различные группы, при этом номера i = 1,..., m относятся к модам со слабым затуханием амплитуды, которые могут быть неустойчивы (т. е. r
i может быть неположительным), а номера i = т + 1,..., n относятся к устойчивым модам. Функции g
i являются нелинейными функциями своих аргументов.
Следует заметить, что описываемая процедура может быть применена к нелинейной системе общего вида
= Ы(х), і = 1,
dzi dt
22Значительно раньше этот результат был получен в работах А. Н. Тихонова (см., например, Тихонов А. Н. «О зависимости решений дифференциальных уравнений от малого параметра», Математич. сборник, 1948, т. 22(64), вып. 2, с. 193-204 и ряд последующих работ). В отечественной литературе он известен как теорема Тихонова (см. об этом, например, Васильева А. Б., Бутузов В. Ф.і Асимптотические методы в теории сингулярных возмущений, M.: Высшая школа, 1990, 208 с.). — Прим. ред.
потому что после соответствующего преобразования систему всегда можно записать локально в «стандартной» форме (9.1.5).
Если в (9.1.5) предположить, что r, (i = 1,..., m) очень малы, а r
s(> 0, s = m + 1,...,n) конечны, то можно применить принцип «адиабатического приближения», положив dx/dt = 0. В этом случае мы должны следить, чтобы I x
s I были много меньше, чем \х,\. Таким образом, из последних (п — m) уравнений в (9.1.5) мы можем определить x
s (s = m + 1,..., п) как функции х,. Поведение системы аппроксимируется уравнениями
dxj
= -ГіХі +д’(хи.. ,,гД і = 1,.,т. (9.1.6)
Решение этих уравнений определяет, будет ли возможно ненулевое поведение системы. По аналогии можно сказать, что моды x
i (i = 1, ..., m) играют роль параметров порядка, от которых зависят другие моды.
Так как во многих приложениях встречаются одна или несколько неустойчивых мод, мы можем значительно понизить размерность задачи. Поскольку все затухающие моды копируют поведение параметров порядка, поведение всей системы определяется поведением очень малого числа переменных (параметров порядка). Таким образом, даже очень сложные системы могут быть сведены к очень простым. Более того, если в уравнениях относительно параметров порядка возникают бифуркации, сложность бифуркационного анализа значительно снижается.
На практике мы часто имеем дело с иерархической структурой, в которой константы убывания могут быть сгруппированы так, что
j-t
1)
г(
2)
г(3)
В этом случае можно применить процедуру сначала к переменным группы r
(1), оставляя в системе другие переменные, затем к переменным группы r , и т. д.
На основании вышесказанного видно, что принцип подчинения позволяет значительно уменьшить число степеней свободы изучаемой системы. Кроме того, в книге Хакена (1977, разд. 12.4) можно найти интересный пример связи между хаосом и принципом подчинения. Взяв в качестве примера уравнения Лоренца, Хакен показывает, что хаотическое движение может возникнуть, когда принцип подчинения перестает работать, и устойчивая прежде мода, которая не остается долее подчиненной, дестабилизируется. Принцип подчинения применим также к стохастическим и дискретным системам. В приложении к этой главе мы приведем пример использования принципа к стохастическим уравнениям.
С экономической точки зрения принцип означает, что мы можем найти небольшое количество (совокупных или преобразованных) переменных, которые определяют динамику всей экономической системы в окрестности особой точки, т. е. остальные экономические переменные будут зависимы от них. Таким образом, основное применение метода в экономическом анализе — это оправдание законности редукции задач, сформулированных в фазовых пространствах высокой и бесконечной размерности, к задачам размерности один или два. Анализ таких низкоразмерных задач часто связан с бифуркациями для простых собственных значений, и метод бифуркаций, применявшийся в предыдущих главах, становится приложим к задачам высокой размерности.
Следует заметить, что имеются и некоторые другие математические методы понижения размерности задач. Например, метод Ляпунова-Шмидта применяется для декомпозиции пространства решений и уравнений на конечномерную и бесконечномерную части. При этом уравнение, соответствующее бесконечномерной части может быть разрешено, а оставшаяся конечномерная задача сохраняет всю информацию о бифуркациях (см. Чу и Хейл, 1982)
23. Йосс и Джозеф (1980) применили теорему о неявной функции для обоснования прямого последовательного вычисления решений в виде степенных рядов разложения по амплитудам с использованием альтернативы Фредгольма. Этот метод представляет собой экономичный способ определения качественных свойств бифуркационных решений и их непосредственного вычисления. Мы пользовались бифуркационным методом Йосса и Джозефа в гл. 5. Чтобы понизить размерность задачи, мы можем воспользоваться также теоремой о центральном многообразии (см. ниже). Этот метод основывается на том факте, что решения притягиваются к центральному многообразию, которое суть конечномерно. Следует подчеркнуть, что выбор метода зависит от характеристик данной конкретной задачи.
9.2 Теорема о центральном многообразии
Принцип подчинения Хакена дает эффективный метод понижения размерности динамической системы. Здесь мы ознакомимся; как для этой цели может быть использована теорема о центральном многообразии. Данная теорема оказывается полезной в целом ряде прикладных задач.
Как было показано в гл. 3, линейная часть уравнения
23См. также Вайнберг М. М., Треногий В. А. Теория ветвлений решений нелинейных уравнений, М.: Наука, 1969, 528 с., Ниренберг Л., Лекции по нелинейному функциональному анализу, М.: Мир, 1977, 232 с. — Прим. ред.
локально определяет качественное поведение траекторий системы при условии, что все действительные части собственных значений в точке x = 0 отличны от нуля. Другими словами, если линейная часть не имеет собственных значений, лежащих на мнимой оси, то в окрестности положения равновесия система ведет себя так же, как линейная. Этот результат наводит на мысль, что любые существенно нелинейные явления в системе (сложные равновесия, предельные циклы, эффекты гистерезиса) в большой степени связаны с чисто мнимыми собственными значениями. Это предположение оправдано, по крайней мере, в том, что касается условий устойчивости.
Рассмотрим систему дифференциальных уравнений
% = Ax + f{x,y),
(9.2.1)
= By+g(x,y)
t
где x е R
n, у е R
m, а А и В — постоянные квадратные матрицы. Мы предполагаем, что собственные значения матрицы А всегда имеют нулевую действительную часть, а матрицы В — отрицательную, функции f и g принадлежат классу точке равновесия 0 обращаются в нуль вместе со своими первыми производными.
Определение 9.2.1. (Инвариантное многообразие.) Множество S е R
n+m является инвариантным многообразием для системы (9.2.1), если для любого решения (x(t), y(t)), начальные данные (x(0), y(0)) которого принадлежат S, существует некоторое Т > 0, такое, что x(t), y(t)) е S для всех t е [0, Т].
Определение 9.2.2. (Центральное многообразие.) Инвариантное многообразие S = {(х, h(x))\ 1x1 < 8} для системы (9.2.1) является центральным, если h(0) = 0, Dh(0) = 0, где D — оператор дифференцирования.
Теорема 9.2.1. Для системы (9.2.1) существует центральное многообразие класса С*. Поток на этом многообразии задается системой размерности n
du
— = Аи + f(u,h(u)). (9.2.2)
Теорема 9.2.2.
i) Предположим, что нулевое решение системы (9.2.2) устойчиво. Тогда, если (x(t), y(t)) является решением системы (9.2.1)
с достаточно малыми начальными (x(0), >’(0)), то существует решение системы
(9.2.2), такое, что для t > О
*(*) = «(*) + гі(*)і
Jf(t) = h{u{t)) + r
2{*),
где r
1 и r
2 при t ^ да со экспоненциально стремятся к нулю. В частности, если нулевое решение (9.2.2) асимптотически устойчиво, то асимптотически устойчивым будет и нулевое решение (9.2.1).
ii) Предположим, что нулевое решение системы (9.2.2) неустойчиво. Тогда будет неустойчивым и нулевое решение системы (9.2.1).
Если мы подставим y(t) = h(x(t)) во второе уравнение (9.2.1) и затем, используя первое уравнение, исключим dx/dt, то получим
Dh{x) [Ах + / (i, ft(;r))] = Bh(x) + g(x,h (i(f))). (9.2.3)
Это уравнение, совместно с h(0) = 0 и Dh(0) = 0, образует систему для нахождения центрального многообразия. Хотя мы можем и не суметь точно найти h из этих уравнений, мы можем найти его приближенно. Положим
N{j)(x) = Dj{x)[Ax + f {x,j(x))}~ Bj(x) ~g(x,j(x)), (9.2.4)
для функций j : R
n ^ R
m из класса С
1 в окрестности 0 е R
n. Из (9.2.3) следует ЖЛ) = 0. ’
 |
|
24 |
Для иллюстрации применения этой теоремы рассмотрим систему дифференциальных уравнений

24См. также Марсден, Мак-Кракен (1984),Гл. 2; Арнольд (1978), (ссылка в разд. 3.2).—Прим. ред.
где А, В, f и g обозначают то же, что и в (9.2.1). Пусть (x, у) = 0 — особая точка при малых г. Стоит упомянуть, что наши рассуждения применимы и в общем случае dz/dt = f(z,r), где z — переменная размерности (m+n), а r— параметр размерности q. Мы можем потребовать, чтобы z = 0 была бы особой точкой для малых г, такой, что оператор Df(0,0) имел бы n собственных значений, действительные части которых равны нулю, и т собственных значений с отрицательными действительными частями. Этот общий случай всегда можно привести к (9.2.5). Для малых возмущений r (от нуля) такие системы «близки к критическим». Признано, что важным шагом в анализе асимптотического поведения малых решений вблизи особой точки является редукция системы размерности (п + т) к системе размерности n путем исключения части переменных, предположительно экспоненциально убывающих со временем, соответствующих т собственным значением с отрицательными действительными частями. Методы теории возмущений, основанные на выборе шкалы времени, обеспечивают один из способов редукции такого рода. Сейчас мы покажем, что теорема о центральном многообразии дает точный и универсальный метод для редукции системы, «близкой к критической».
По теореме 9.2.1 система (9.2.5) обладает центральным многообразием у = h(x, r), Ixl < r
1, Irl < r
2 класса С . Согласно теореме 9.2.2, поведение малых решений системы (9.2.5) определяется редуцированной системой

Наконец, из (9.2.4) следует, что система для определения h имеет вид
D
xh(x, г) [Ах + /{*, А(х, г), г)] = ЗЦх, г) + д[х,},(
Х) r)
j г)_ *(0,00 = 0, Дс*(0,0) = 0, D
rh(fi, 0) = О,
и мы можем использовать теорему 9.2.3 для аппроксимации решения.
Пытаясь решить (9.2.6), мы можем опустить уравнение dr/dt = 0 и снова считать r просто параметром.-Однако, применяя теорему 9.2.2, мы должны проверять устойчивость нулевого равновесия системы (9.2.6), потому что в этой системе уравнение dr/dt = 0 может оказывать на устойчивость существенное влияние. Например решение и = 0 уравнения
неустойчиво для любого r, не равного нулю, в то время как решение (и, г) = (0,0) системы
 |
9 Ч
Г U — U , |
на самом деле устойчиво. Примеры применения теоремы о центральном многообразии можно найти в работах Карра (1981), Kappa и Манкастера (1983) и Касти (1985).
9.3 Сингулярные возмущения
Динамическая система содержит определенное число параметров, возникающих в уравнениях как явно, так и неявно. Некоторые из таких параметров могут быть малыми. В этом случае в уравнении можно пренебречь теми членами, которые их содержат, и получить хорошую аппроксимацию решения задачи. Ряд примеров показывает, что иногда и этот подход годится. Даже когда мы не можем не учитывать члены с малым параметром, оказывается возможным получить приближенное решение, используя тот факт, что параметр мал. Этот раздел посвящен некоторым (асимптотическим) методам построения таких приближений.
Приложения асимптотического анализа тесно связаны с возмущениями или малыми изменениями условий математических задач. Это может быть добавление дополнительных членов в уравнениях или изменение одного из параметров задачи. Пусть е будет мерой величины возмущения. В соответствии с тем, будет решение возмущенной задачи близко к соответствующему решению невозмущенной или нет, определяют понятия регулярного и сингулярного возмущений.
Определение 9.3.1 Пусть х (е) удовлетворяет возмущенной задаче Р (е) (где Р (е) будет обычно состоять из системы дифференциальных уравнений в пространственно-временной области Q и некоторых начальных и граничных условий относительно х). Тогда возмущение регулярно, если х — непрерывная функция относительно е в точке е = 0, т. е. если ііи(е) — и(0)іі ^ 0 при е ^0, где и(е) — это решение, а іі • іі — соответствующая норма. В противном случае возмущение сингулярно.
Заметим, что возмущение может быть регулярно по отношению к одной норме и сингулярно по отношению к другой. Решения регулярно возмущенной задачи зачастую представимо как степенной ряд по е. Асимптотическое разложение х(е) при е ^0 можно искать в виде асимптотической последовательности {е
п}.
Этот раздел посвящен рассмотрению только сингулярных возмущений. Такие задачи возникают, когда одна из переменных может изменяться гораздо быстрее остальных. В этом смысле анализ возмущений представляется весьма существенным для экономики, так как скорости установления экономических переменных часто сильно различаются.
Для иллюстрации проблемы рассмотрим односекторную модель экономического роста
e^ = f(p,k),
(9.3.1)
^=ЗІР, к),
где p — заработная плата, к — величина капитала на душу населения, а f и g — величины порядка 0(1), т. е. они не малы, но и не велики для произвольно взятых значений p и к, е — малый параметр. Установление p происходит значительно быстрее, чем к. Именно это и предполагается в неоклассической теории роста, где, как только задается капитал и (полная) занятость, всегда определены заработные платы и цены.
Легко заметить сингулярную природу подобной задачи. Из теоремы Пикара нам известно: система имеет решение в окрестности t = 0, если f и g удовлетворяют условию Липшица по р и к. Однако если начальные значения не удовлетворяют условию f(p
0, к
0) = 0, невозмущенная система (е = 0), очевидно, не имеет решения. Более того, можно показать, что при подходящих условиях быстрой переменной всегда можно пренебречь, за исключением короткого начального периода времени.
Следует сказать, что в прикладной математике под одним названием метода возмущений известно несколько методов (см., например, Кеворкян и Коул, 1981, Бриттон, 1986). Приведем пример применения одного из них — метода усреднения — к уравнению Ван дер Поля. Пример взят из работы Бриттона (1986).
Рассмотрим уравнение Ван дер Поля
~е(1-*’)§ + * = О, (9.3.2)
где е — малый параметр, ах — скалярная переменная. Эта модель часто эксплуатируется в качестве примера сингулярного возмущения, так как это одно из простейших дифференциальных уравнений второго порядка, обладающее типичным поведением — осцилляциями и, что особенно интересно для нас, предельными циклами.
Когда е = 0, уравнение имеет решение
(9.3.3)
х = аехр(іі) + аехр(—if),
так что
dx
— = iaexp(if) — iaexp(—if),
dt
где а — комплексная константа. Результатом присутствия нелинейного члена в уравнении Ван дер Поля будет изменение а со временем. Мы определим зависящую от времени функцию a (/) через функцию x(t) при помощи уравнений
i(f) exp(if) + a(f) ехр(—if),
(9.3.4)
(9.3.5)
где х удовлетворяет уравнению Ван дер Поля и начальным условиям. Потребуем, чтобы правая часть (9.3.5) была производной правой части (9.3.4). Это то же самое, что потребовать
, , da , „ da
exp (if)— + exp(-if) — = 0. (9.3.6)
^ = ia(f) exp(if) — ia(f) exp(—it),
dt
Дифференцируя (9.3.5), получим
i— + a ) exp(—if).
d
2x
dt
dt
2 V dt
Требование к х удовлетворить (9.3.2) приводит к
— = -[1 — a
2 exp(2if) — 2aa — a
2 ехр(—2if)][a — <іехр(—2іі)]. (9.3.7)
Здесь мы использовали соотношение (9.3.6). Это явное дифференциальное уравнение относительно функции а, определенной в (9.3.3). Отсюда видно, что а медленно меняется со временем, т. е. da/dt имеет порядок малости О(е). Следовательно, периодическая функция а и ее производные остаются постоянными с точностью до первого порядка за период п. Взяв среднее от (9.3.7) за этот период, мы получим
 |
|
Использование того факта, что а и da/dt остаются примерно постоянными в течение периода, приводит к соотношению |
(9.3.8)
da 1 п
Л
=2
И(1'
Н)'
которое выполняется приближенно. Этот результат корректен с точностью до членов порядка 0(e). Полагаяу = ІаІ
2, будем иметь
~ - еу(1 - у). (9.3.9)
Очевидно, что у =1 соответствует решению, являющемуся предельным циклом. Если начальное условие у(0) не равно 1, мы можем представить у в форме
2/(0) ехр(і)
1 - у(0)[1 - ехр(і)]'
Видно, что при t ^ да имеем у ^ 1. Другими словами, предельный цикл устойчив.
На этом примере становится понятно, что для анализа нелинейных уравнений метод усреднения может быть очень эффективен. Этот метод также применим для системы с осциллирующей реакцией

где при некоторых условиях возникает бифуркация Хопфа. Уравнение Ван дер Поля — частный случай такой системы. Более того, нетрудно заметить, что в этой форме могут быть записаны и некоторые экономические модели, приведенные в гл. 5. Таким образом, мы имеем еще один метод анализа регулярных экономических осцилляции.
Другим классом методов возмущения, полезных при анализе осцилляторных обыкновенных дифференциальных уравнений и уравнений реакции-диффузии, является метод двух временных масштабов. Он схож с методом усреднения в том отношении, что амплитуда и фаза переменной считаются медленно меняющимися функциями времени, но подход, развиваемый в нем, совершенно иной.
Для объяснения сути этого метода рассмотрим простую динамическую систему

где е достаточно мало. Для значения е = 0 существует осциллирующее решение. Вспомнив теорему Хопфа о бифуркациях, мы понимаем, что при малых е система может иметь замкнутые орбиты. Задача состоит в том, чтобы исследовать поведение системы, используя методы возмущений, а не теорию бифуркаций. Перепишем сначала (9.3.10) в виде
d'x „ dx „ , ,
dt
2
«Регулярное» разложение возмущения в форме
x(t\ е) = аг
0(і) + ?х\(t) +
-г^ + 2е— + х = 0. (9.3.11)
дает
|
которое на первый взгляд кажется неограниченным при t . Однако точное решение задается формулой |
 |
где g(t, е) = t(1 — е
2)
1/2. В предположении малости е t точное решение согласуется с регулярным разложением, что означает, что рассматриваемое время не должно быть очень большим. Отметим, что x является периодической функцией в медленном масштабе g(t, е), но модулирована на е t.
Это наводит на мысль одновременно рассмотреть две шкалы времени — быструю и медленную. Определим
Ті = Ct — (е + + е
3Сз + .. .)t,
То = Wt = (1 + ?Wi + Е
21X32 + ...)<¦
Для рассмотренного выше примера T
1 введено для переменной е t, а Т
0 — для g(t, е). Далее положим x(t; е) = х-(Т
0, T
1;e) и будем искать асимптотическое разложение решения в форме

Этот метод известен как метод двух временных масштабов или метод двух времен. В работе Бриттона (1986) этот метод применялся к уравнению Ван дер Поля и привел к тем же результатам, что и метод усреднения.
9.4 Связь быстрых и медленных переменных в экономическом анализе
Одним из предметов серьезного обсуждения в экономической динамике является вопрос о скоростях установления, которые характеризуют времена достижения переменными равновесия. Фактически применение этого понятия связано со шкалой времени, которую мы должны использовать для изучения явления.
В различных экономических теориях скорости установления одних и тех же экономических переменных могут быть весьма разными. Зачастую мы обнаруживаем, что предметом разногласий экономистов является вопрос именно о том, какая из переменных является быстро устанавливающейся. Например, в экономической теории Кейнса уровень заработной платы является величиной фиксированной, в то время как в неоклассической модели (см. Занг, 1990Ь) предполагается, что это быстро устанавливающаяся переменная — как только задаются производительность труда и величина капитала, заработная плата определяется в результате конкуренции и быстро устанавливается. В кейнсианской экономике считается, что заработная плата приближается к своему равновесному значению с очень медленной скоростью.
Скорость установления переменной определяется многими факторами. К примеру, до настоящего времени предполагалось, что значительную роль в регулировании зарплаты играют профсоюзы. На скорость установления может также оказывать влияние общественное устройство страны. Так, если мы изучаем экономическое развитие в Китае периода Культурной революции
25, разумно считать все цены и зарплаты установившимися. Однако, если мы рассматриваем текущие там сегодня экономические процессы, это предположение неприемлемо, потому что в процессе реформ мы сталкиваемся с инфляцией, и в целом заработная плата вообще не устанавливается.
Скорость установления экономических переменных тесно связана с экономическим строем в стране. Изменение структуры в экономике (т. е. переход «от капитализма к социализму» или «от социализма к капитализму») всегда вызывают изменения в скоростях установления переменных. С точки зрения «чистой» экономики все экономические системы в мире являются смешанными в том смысле, что нет стран с чисто плановой экономикой или с идеально конкурентной, хотя «степень перемешивания» для разных стран разная (очень интересным может оказаться изучение взаимосвязи между степенью перемешивания и экономическим развитием). Установление цен в идеально конкурентной экономике происходит быстрее, чем в плановой. Ясное осознание подобной разницы очень важно для понимания различий экономических механизмов.
В общем случае экономическую динамику с различными скоростями установления можно описать следующим образом: dx{ ¦
-df
= s3fi(
x)> *
= 7 = 0,1,...,та п > 771, (9.4.1)
где Хі — компоненты вектора экономических переменных, монетарных, количественных или технологических. Функции /-предполагаются
25См. сноску в разд. 9.5. — Прим. перев.
непрерывно дифференцируемыми. Параметр s является мерой скорости установления экономических переменных. Для простоты будем считать, что этот параметр принимает достаточно малые значения. Таким образом, переменные могут быть классифицированы по различным уровням (группам) согласно их скоростям установления. В последующих разделах будет говориться о том, что такая классификация имеет большое значение в экономическом анализе, потому что некоторыми переменными разумно пренебречь. Нетрудно заметить, что применение принципа подчинения Хакена или теоремы о центральном многообразии позволяет сводить такие задачи к задачам меньшей размерности.
Скорости установления экономических переменных по-разному трактуются экономистами. Например, динамика Вальраса, в общем случае может быть описана уравнениями
ж),
^=g(p,k,z), (9.4.2)
= sh(p,k,z),
где к обозначает количественные переменные, такие, как величина капитала и занятость, p — монетарные: уровень зарплаты и цены, г— технологические, a s — малый параметр. Здесь х, р и г — векторы. Мы не будем говорить об этих функциях более подробно, так как нас интересует здесь только вопрос о том, как трактуются скорости установления переменных в экономических теориях.
В вальрасовой экономической динамике количественные переменные считаются быстрыми по сравнению с ценами. Обмен имеет место до тех пор, пока подсистема цен не достигнет равновесия. Технологические изменения редко принимаются во внимание, так как считаются очень малыми.
Подстановка в (9.4.2) значения s = 0 приводит к
f(k,p, z) - О,
iff-= g(p,k,z), (9.4.3)
= sh(p,k,z).
Из (9.4.3) мы видим, что г
0(= г(0)) постоянна в течение всего рассматриваемого периода времени. Технология — это инвариант, и в экономическом анализе ее можно трактовать как постоянный параметр. Используя теорему о неявной функции, мы можем найти условия, при которых возможно из f(k, р) = 0 явно выразить k = f*(p). Подставляя это выражение в уравнение динамики цен, получим
^=s{p,f*{p))=9*{p). (9.4.4)
Так что вся динамическая система обусловливается изменением монетарных переменных.
Очевидно, что наша редукция не вполне аккуратна, поскольку мы уже знаем, что она не проходит в случае неустойчивой системы. Но в наши намерения входит лишь показать несколько математических методов исследования динамических систем. Для устойчивой же системы при соответствующих условиях редукцию можно считать правильной.
Другие экономические теории также могут быть охарактеризованы с помощью скорости установления переменных. Следует подчеркнуть, что классификация, которая будет здесь приведена, не представляется полной. Однако она дает новый путь анализа экономических теорий.
Динамика Маршалла может быть в общем виде описана системой
Ж
= f(
k>P’
z)>
jg = s-
1g(p,!t,z)
l (9.4.5)
=
sh(P,
z)-
В этой системе динамика определяется изменениями количественных переменных, в то время как технология остается постоянной, а монетарные переменные становятся функциями количественных.
Взаимосвязь переменных в динамике Шумпетера может быть записана как
Ж =f(k,P,z),
^=9ІР,к,г), (9.4.6)
jf =
яА(Р*
В этой системе количественные и монетарные переменные устанавливаются быстрее по сравнению с технологическими. Однако технология может изменяться в рассматриваемый период времени. Очевидно, что это подразумевает возможную неустойчивость системы, ибо если s даже очень мало, изменения в технологии могут далеко увести систему от траектории без технологических изменений.
Динамика Кейнса, по крайней мере на коротком промежутке времени, может быть описана системой
t = /<*•?¦* >•
^ = sg{p, к. z), (9-4-7)
—
s MPi
z)-
Монетарное приближение, т. е. модель Тобина, может быть описана как § = f(k,P
:z),
%=9{РМ, (9-4-8)
"jf ;= s'h{p, к, г),
где в работах разных авторов i— это либо 0, либо 1 (см. Занг, 1990b).
Сходным образом задается и стандартная неоклассическая модель роста
^ = f{k,p> г)>
^ = s~
lg(p
tk,z), (9.4.9)
Tjf =
sifl (P’
k>
z)<
где у разных авторов i либо 0, либо 1 (см. Занг, 1990b).
Я помню, как-то раз, при обсуждении скоростей установления экономических переменных я спросил специалиста по математической экономике (и, должен сказать, довольно известного специалиста) о том, что он думает о скоростях в динамиках Маршалла и Вальраса (его работы связаны с этой темой). Он дал мне очень определенный ответ: это не научный вопрос, вам лучше задать его Председателю Китая. В то время я был молод, и, конечно, ответ такого известного человека сильно удивил меня. Сейчас же мне кажется, что значение слова «научный» зависит от знаний говорящего.
9.5 Масштаб времени в экономическом анализе
Между шкалой времени и скоростью установления экономических переменных существует взаимосвязь. Например, было показано, что если рассматриваемый период времени недостаточно продолжителен, то заработную плату разумно считать фиксированной, тогда как если он велик, то более подходящим может оказаться неоклассическое приближение. Для описания связи между шкалой времени и скоростью установления давайте рассмотрим следующую систему:
(9.5.1)
і = /(*> У), У = sg{x,y),
в которой х — это вектор быстрых переменных, у — вектор медленных переменных, f и g — непрерывные функции, a s — мера скорости установления. Предполагается, что параметр s достаточно мал. Характеристики скоростей установления переменных в различных экономических системах уже рассматривались нами ранее.
Если изучение ограничено коротким промежутком времени, то у можно считать константой. Если же рассматривается поведение системы на продолжительном интервале, проведем замену переменно t*=st, после которой система примет вид
' (9.5.2)
У — 9\
хіУ)і
где точка означает производную по t*. При условии некоторых ограничений на f и g (см., например, Гу, Нефедов и ?'Молли, 1989, ?'Молли, 1988) почти всюду имеет место f(x, у) = 0. Подставляя х = f* во второе уравнение, получим одно уравнение

Таким образом, переменные х в динамической системе не проявляются. Как только значения у определены, значения х определяются функцией f*(y).
Из этого примера видно, что когда рассматриваемый промежуток времени очень мал, медленные переменные в экономическом анализе могут трактоваться как константы; если период времени очень велик, быстрые переменные могут быть представлены как функции медленных, и, таким образом, быстрые переменные будут неявно присутствовать в уравнениях динамики. Следует подчеркнуть, что конкретный вид функции f(x, у) в динамике быстрых переменных оказывает влияние на редуцированную систему относительно медленных переменных. Это происходит именно из-за того, что на достаточно большом промежутке времени быстрые переменные «управляются» медленными. То есть, как только медленные переменные изменятся, быстрые переменные «почувствуют» новое положение равновесия очень быстро.
Как было сказано в работе автора (Занг, 1989), понятие шкалы времени играет центральную роль в любом изучении экономического роста и развития. В зависимости от длительности рассмотрения подходы к описанию продолжительных и коротких эволюционных процессов могут быть совершенно разными. В течение периода одного года, если система устойчива, может оказаться достаточным рассмотрение динамики цен, заработных плат, потребления и так далее. Однако на большом промежутке времени экзогенными переменными становятся технология и институциональные системы. Продолжительность периода изучения оказывает влияние на выбор экзогенных и эндогенных параметров в динамической системе. К примеру, несмотря на то, что при кратковременном анализе будет правильным рассматривать технологии как параметр, если мы решаем экономические задачи на большом промежутке времени, то должны будем учитывать взаимодействие между технологией и экономическими переменными. Можно сказать, что в этом случае перед нами не столько задача оптимизации (рациональности), сколько задача обучения. Фактически получается, что если мы хотим понять реальную эволюцию экономики на больших временах, мы должны сузить наше рассмотрение. А ведь изменяема не одна только технология, но и общественные институты.
В качестве примера того, как временной масштаб может повлиять на результаты экономического анализа, рассмотрим взаимосвязь процесса экономического развития и общественного устройства. Рассмотрение проведем на примере экономики Китая.
Одним из наиболее остро дискутируемых вопросов сегодня в Китае является вопрос о степени открытости страны «западным» технологиям и культуре. Для количественного описания политических процессов введем параметр «открытости», обозначив его через у. Хотя в определении понятия скорости «открывания» есть доля неопределенности, сам факт наличия взаимосвязи между политикой и экономическим развитием вполне можно предположить. Чтобы проиллюстрировать эту концепцию, представим себе следующую динамику:

і = f{x, у),
У = s(x,y,t)[g(x,y,t) - у],
где х — вектор экономических переменных, f и g — непрерывные функции своих переменных. Другие страны экзогенны по отношению к нашей системе. Конечно, это зависит от того, как велика в мире роль Китая. Первое уравнение означает, что экономические переменные зависят от степени открытости страны. С технологической и экономической точек зрения китайцам выгодно, чтобы страна была «частично» открыта, хотя она сталкивается при этом с новыми трудностями развития. Второе уравнение описывает поведение правительства. Функция g — это «уровень наиболее целесообразной открытости» страны, который зависит от х, у и t. С экономической точки зрения функциональная форма g не может быть определена однозначно, на нее сложным образом могут влиять очень многие факторы. Функция s(x, у, t) — скорость установления. Если s равно нулю, политика открытости не будет подвержена изменениям. Этот случай можно было наблюдать в период Культурной революции
26. Если s очень велико, правительство быстро принимает оптимальное решение.
В случае если изучаемый период очень короток и система устойчива, политикой открытости можно пренебречь без какого-либо влияния на качественные выводы экономического анализа. Однако если мы хотим провести анализ долговременных эволюционных процессов экономического развития, мы должны учитывать этот фактор.
Введение «открытости» может изменить характеристики чисто экономических систем, в которых у является фиксированной величиной. Например, это может серьезно повлиять на устойчивость:
если мы имеем большую по величине функцию s, система может оказаться дестабилизированной, если мы «закрываем» страну, можем заработать устойчивость общества, хотя и ценой обнищания людей.
Чтобы получить возможность воспользоваться аппаратом теории динамических систем, нужно каким-либо подходящим образом конкретизировать вид функций f и д. Однако если при этом не затрагивать общественного устройства (институтов общества), дальнейший анализ лишается всякого смысла.
Временной масштаб в экономическом моделировании — сложная тема, требующая для своего осмысления детального философского обсуждения. То, что неверно в малых масштабах времени, может оказаться верным в больших, и наоборот. Соотношение между дальним и ближним горизонтом столь же важно, как и соотношение между совокупными и локальными переменными, как соотношение между целым и его частями.
Наконец, нужно подчеркнуть, что справедливость редукции системы
Периоде 1966 по 1976 гг. в новейшей истории Китая, совпадает с последним десятилетием правления Мао Цзе Дуна (Председателя Китая). «Культурная революция» — официальный курс, объявленный на XI Пленуме компартии Китая в августе 1966 г., преследовал четыре основные цели: обновление руководства страны, чистку состава компартии, приобретение китайской молодежью «революционного опыта» и изменение внутренней политики, в частности, в области образования, здравоохранения и культуры (меньшей элитарности). Период был отмечен плачевным состоянием
экономики, политической и экономической изоляцией Китая, массовыми репрессиями и насилием.
С 1978 г. в Китае был принят курс на модернизацию экономики, расширение внешнеэкономических связей, широкое привлечение иностранного капитала. — Прим. перев.
темы (9.5.2) к виду (9.5.3) зависит от свойств самой системы. Например, если система неустойчива, то это весьма осложняет анализ, так как ее поведение будет очень чувствительно к малым сдвигам параметров.
9.6 Динамика человека. Попытка осмысления
Взаимодействие множества элементарных факторов (таких, как властолюбие или алчность) плюс изменчивость окружающей среды делают человеческую жизнь хаотичной. Однако, на взгляд рационалиста, и в хаосе есть свой порядок.
Прежде чем я написал этот раздел, долгое время меня занимал вот какой вопрос. С одной стороны, человеческая жизнь чрезвычайно сложна для осмысления. К примеру, один и тот же феномен — любовь — был описан миллион раз, и можно ожидать, что новые истории о ней же будут появляться вновь и вновь без всякого ограничения. С другой стороны, для описания человеческого бытия мы имеем лишь несколько ключевых слов (переменных). Внимательно приглядевшись, мы обнаружим, что сложность поведения берет начало во взаимодействии этих ключевых элементов плюс вариации окружающей среды. Вопрос состоит в том, каким именно образом столь широкое разнообразие человеческого поведения может вытекать из взаимодействия этих нескольких элементов. Почему человеческое поведение так сложно, хотя нам хорошо известно, что это поведение управляется лишь несколькими факторами? Есть ли какой-нибудь детерминированный механизм, объясняющий поведение человека? Есть ли порядок в хаосе? Синергетическая экономика может дать некоторые наметки к ответам на эти вопросы.
Попробуем обсудить поведение человека в изменчивой окружающей среде — задачу, которую можно отнести скорее к области психологии. Однако ее понимание необходимо и в экономическом анализе. Нужно сказать, что в наши намерения не входит дать исчерпывающий анализ проблемы. Мы приведем лишь ряд идей, имеющих целью обозначить другие потенциальные области приложения концепций, на которых построена эта книга.
Предположим, что человек (с заданной наследственностью) характеризуется несколькими элементарными «переменными», такими, как отношение к деньгам (или материальным ценностям), к (сексуальной) любви, дружбе и труду (трудовая этика). Эти переменные очень медленны в сравнении с «бихевиористскими» — «поведенческими» — переменными, такими, например, как потребление или выбор досуга. Пусть эти медленные переменные обозначены вектором х. Для экономиста не столь уж необходимо как-либо точно измерять эти величины, поскольку в экономическом анализе они считаются постоянными. Однако философы (и, быть может, художники) обычно имеют дело с изменениями именно таких медленных параметров.
Экономисты в своем анализе в качестве переменных выбирают набор предметов потребления, распределение времени, заработную плату, выбор места жительства и качества жилья и так далее, т. е. быстро меняющиеся переменные. Мы обозначим эти быстрые переменные вектором у. Следует заметить, что в большинстве случаев такие быстрые переменные измеримы, т. е. могут быть предметом научного анализа. Конечно, некоторые из этих переменных — например, распределение времени, — могут оказаться медленными (или даже постоянными). Классификация скоростей установления зависит от характеристик индивидуума и окружения.
Предположим, что динамическое поведение человека в общем виде может быть описано уравнениями
|
|
(9.6.1) |
dy
-$ = з{*,иЛ |
(9.6.2) |
где s — малый параметр, а f и g — подходящие непрерывные функции.
Функции f и g явно зависят от времени, потому что внешние условия изменчивы. Мы можем получить эти уравнения на основе различных механизмов. Например, в предположении рациональности поведение индивидуума может быть описано как задача теории оптимального управления, решения которой удовлетворяют уравнениям (9.6.1) и (9.6.2).
Предположим для простоты, что окружающая среда инвариантна в течение периода времени изучения, т. е. функции f и g не зависят от времени. Очевидно, что экономистов мало заботит уравнение (9.6.1), тогда как философы приводят множество доводов, утверждая, что экономисты «не правы», изучая только уравнение (9.6.2) без учета (9.6.1).
Так как параметр s очень мал, мы видим, что дискуссия о скорости установления и временном масштабе из предыдущего раздела полностью переносится на уравнения (9.6.1) и (9.6.2). В краткосрочном анализе достаточно исследовать поведение (9.6.2) и пренебречь уравнением (9.6.1), тогда как в долговременном масштабе «бихевиористские переменные» у управляются переменными отношений х, так что оказывается достаточно исследовать динамику х. Если система устойчива, мы видим, что краткосрочный анализ экономиста и долговременное исследование философа имеют основания считаться справедливыми, поскольку между долгосрочным и краткосрочным анализом человеческого поведения имеет место детерминированное соотношение. То есть в кратковременном масштабе вполне приемлемо рассматривать переменные «отношений» как постоянные величины, а в долговременном можно пренебречь переменными «поведения».
Если система неустойчива, проблема становится весьма тонкой. Например, даже в рамках кратковременного анализа мы не можем эффективно рассматривать переменные x как константы, поскольку даже если s достаточно мало, динамическое поведение системы может разительно отличаться от поведения системы с нулевым s.
В заключение этого раздела я хотел бы привести цитату из Юма (1748): «Честолюбие, жадность, самолюбие, тщеславие, дружелюбие, великодушие, патриотизм — эти чувства, смешанные в различных пропорциях и распределенные в обществе, от начала мира были и все еще остаются мотивом всех действий и источником всех предприятий, которые когда-либо наблюдались в человеческом сообществе».
Приложение: Принцип подчинения для стохастических дифференциальных уравнений
В этом приложении мы обсудим, как применяется принцип подчинения к стохастическим дифференциальным уравнениям. Общий метод был дан Хакеном (1983) и Гардинером (1983). Поскольку проблема очень сложна, нам хотелось бы привести два простых примера, чтобы продемонстрировать хотя бы основные моменты. Примеры взяты из книги Гардинера (1983, гл. 6).
Как сказано выше, часто случается так, что динамическая система описывается стохастическими дифференциальными уравнениями, которые имеют широкий разброс времен отклика и поведение которых в очень коротком масштабе не представляет никакого интереса. Теперь посмотрим, как к этому типу уравнений можно применить принцип подчинения.
Рассмотрим уравнение Ланжевена, описывающее поведение «броуновской частицы»
dx _ ,,
Ж ~
4
(9.А.1)
тШ = ~
Ь? + (
2 kbT)
L'
3h{t),
где T— абсолютная температура, k — постоянная Больцмана, m — масса частицы, и h (t) представляет собой воздействие внешних ударов с нулевым средним. Рассмотрим ситуацию, когда фрикционный коэффициент b не мал, а масса т очень мала.
Соответствующее уравнение Фоккера-Планка для функции распределения
p(x,v,t) имеет вид
др _ д(?р) д(?рЬ/т) , кЬТ д
2р ,
Л ,
Bt- ~дГ
+ ~д^~
+ ^д?-
(9-
А-
2)
Введя функцию распределения по координатер*(х, і) как
ОО
P*(x,t) = J p(x,v,t)dv,
— оо
и положив m ^ 0, мы получим уравнение Фоккера-Планка дляp*(x, t)
(Э.А.З)
др* _ кТд
2Р ді Ь дх
2
Это стандартное уравнение в частных производных, которое легко решается с учетом соответствующих начальных и граничных условий.
Таким образом, мы исключили из уравнения быструю переменную ?, относительно которой предполагается быстрая сходимость к величине
v(t) = (2kT/b/
2h(t).
Видим, что большой коэффициент b в этом выражении приводит к тому, что переменная и будет стремиться к величине, которая совпадает с величиной, соответствующей случаю постоянства медленной переменной х. Поэтому быстрая переменная эффективно подчиняется медленной.
В качестве другого примера рассмотрим детерминированное уравнение из разд. 9.1 ’ ’
dr
Ж ~ -
г1
х~<*ху, (9.1.1)
^ = -г
2у + рх
2. (9.1.2)
Там мы показали, как к этой системе можно' применить принцип подчинения. Стохастический вариант этой системы задается уравнениями
dx - (rjх 4 axy)dt 4 CdWi (t), (9.А.4)
где С и D — константы, a W\(i) и W
2(t) взаимно независимы. Если коэффициент r
2 достаточно велик, мы можем заменить у стационарным решением уравнения (9.А.5), выраженным через х, и получить

Уравнение Фоккера-Планка для (9.А.4) и (9.А.5) имеет вид
42 д(г
2у ¦
вх
2
д{гіх + аху) , 1^2
д_ ,
Тх
+ 2
е' дх
1 +
др
ді
Р,
(9.А,б)
ду
где p определяется как
р = ргоЬ(х,у,ф
0,уоД),
р(зр, у, toko, Уа, to) = 6 (х ~ хо,у - уо).
(9.А.7)
Так же, как в разд. 9.1, мы хотим избавиться от у. Введем

(9.A.8)
Для фиксированного x величина г имеет нулевое среднее. В терминах переменной г мы можем записать уравнение Фоккера-Планка
как
^ = (L4 + L°
2 + L
aa)p, (9.А.9)
где

Для того чтобы при r
2^0 выражение
dx
dt |  |
составляло правильную предельную форму, должно существовать такое А, что ав/г
2 = т\А. Чтобы этот предел был различим, он не должен утонуть в шуме, так что при г\—К) мы должны также иметь С
1 = Ъ\В. Тогда
д(х + Ах
3)
1
ді
+Вдт?
при гі —> 0.
гі
Для того чтобы L не зависело от r\, мы потребуем, чтобы r
2 не зависело от r
1.
Следовательно, равенство ав/г
2 = г
1А означает, что а/3 должно быть
пропорционально r
1. Гардинер рассматривает различные возможности.
Во-первых, случай тихого подчинения (в терминах Гардинера): а = агВ этом случае I
0 не зависит от г
ь тогда как I
0 и I
0 пропорциональны r
1. Можно
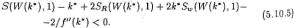
показать, что обычная процедура исключения приводит к уравнению
д
2 '
+ Вд?\
Р'
др*
&t
д(х + Ах
3 дх
где р*(х, t) — распределение по координате. Это соответствует адиабатическому исключению у, игнорированию флуктуации у и простой подстановке детерминированного значения в уравнение относительно х, Гардинер назвал этот случай «тихим подчинением», поскольку у подчинено х и не вносит вклад в шум в уравнение относительно х.
В случае «шумного подчинения», когда а и b пропорциональны r
11/2, ot^ar\
12, p=br\
/2, ар — r
2A,
|
распределение вероятности задается уравнением |
 |
Этот случай назван «шумным подчинением», поскольку в окончательном уравнении подчиненная переменная зашумляет медленную переменную наложением аддитивного шума.
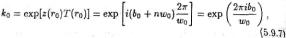
Экономика: Знания - Циклы - Макроэкономика