Энциклопедия торговых стратегий
Здесь собрана информация, необходимая каждому трейдеру, желающему повысить свою квалификацию. Описывается много известных методик, а также предлагает новые способы получения прибыли на рынке и преимущества в торговле. Рекомендации по улучшенным методам контроля риска, показаны рискованные и потенциально убыточные методики, способные привести к разорению. Освещены даже самые основы: как приобретать и представлять информацию, как вести тестирование систем на исторических данных с помощью симуляторов, как безопасно проводить оптимизацию и как оценивать результаты всестороннего статистического анализа. Показаны преимущества хорошей механической торговой системы над другими торговыми методами.
Для всех трейдеров, за исключением немногих, системная торговля дает лучшие результаты, чем интуитивная торговля. Торговля по интуиции включает субъективные решения, которые часто бывают пристрастными и ведут к убыткам. Аффект, неуверенность, жадность и страх легко вытесняют знание и разум в роли ведущей торговлю силы. Кроме того, очень трудно протестировать торговый метод, где отсутствуют жесткие правила принятия решений. С другой стороны, системная торговля объективна. В ней нет места эмоциям. При помощи запрограммированной логики и представлений механические системы следуют действиям трейдера. Самое лучшее в них — возможность простого тестирования: плохую систему можно отбросить или скорректировать, а хорошую — улучшить.
Чтобы считаться полными, механические торговые системы должны иметь методики входа и выхода. Методика входа должна определять подходящие моменты для входа в рынок, когда высока вероятность сделок с высоким соотношением риска и прибыли. Методика выхода должна защищать от излишних потерь капитала при неудачной сделке или развороте рынка, а также эффективно фиксировать прибыль при благоприятном движении рынка.
Виды данных
Исторические ценовые данные по фьючерсным рынкам поставляются как для индивидуальных контрактов, так и для непрерывных фьючерсов. Данные по индивидуальным контрактам — это ценовая история отдельных фьючерсных контрактов. На фьючерсных рынках в каждый момент времени могут проходить торги по нескольким контрактам. Большинство спекулянтов на бирже торгует контрактами на ближайший месяц — наиболее ликвидными и близкими к исполнению, но еще не прошедшими дату первого уведомления. Когда каждый из контрактов приближается к истечению или проходит дата первого уведомления, трейдер переносит любую открытую позицию в следующий контракт. Следовательно, использование индивидуальных контрактов может значительно усложнить тесты. Следует учитывать не только сделки, создаваемые системой, но и переводы позиций и выбор соответствующих контрактов.
Для упрощения системы и тестирования были изобретены непрерывные фьючерсы, состоящие из индивидуальных контрактов, связанных в непрерывную последовательность. При истечении старого контракта и открытии нового производится несложная обработка данных, закрывающая ценовые разрывы между двумя контрактами. Простая обратная настройка, видимо, является самым осмысленным и популярным методом закрытия разрывов (Schwager, 1992). Она проводится с помощью вычитания из ценовых данных постоянного числа, что позволяет сохранить все линейные отношения (изменения цены со временем, уровни волатильности, торговые диапазоны). Моделирование торговой активности, проводимое с использованием обратной настройки, зачастую требует только коррекции стоимости переноса позиции при обработке полученных результатов. После этой коррекции полученные при моделировании данные будут идентичны показателям, которые были бы получены при использовании индивидуальных контрактов. Впрочем, поскольку торговые решения зависят от абсолютных ценовых уровней, процентных или других соотношений цен, то для проведения тестов будут необходимы дополнительные серии данных (помимо постоянных контрактов с обратной настройкой).
Данные о ценах на конец дня как для индивидуальных, так и для постоянных контрактов представляют собой серию дневных котировок. Каждая котировка, каждый день или точка данных обычно включают семь показателей: дата, цена открытия, максимальная цена, минимальная цена, цена закрытия, объем и открытый интерес. Объем и открытый интерес обычно не сообщаются до закрытия следующего дня. Поэтому при тестировании торговых методов, основанных только на исторических значениях этих показателей, можно получить великолепную, но совершенно неработоспособную систему! Цены открытия и закрытия (или расчетная цена), максимальная и минимальная цены публикуются каждый день вскоре после закрытия рынка.
Внутридневные ценовые данные состоят из последовательности баров, каждый их которых отражает фиксированный временной интервал, или из индивидуальных тиков. Показатели точки данных включают дату, время, цену открытия, максимальную цену, минимальную цену, цену закрытия и тиковый объем. Тиковый объем отличается от объема дневных торгов: для внутридневных данных — это количество тиков, происходящих в пределах бара, вне зависимости от количества контрактов или сделок в каждом из этих тиков. Для индивидуальных тиков сообщается только дата, время и цена, но не объем. Внутридневные тиковые данные могут быть легко конвертированы в данные с фиксированным временным интервалом при помощи доступных программ, которые часто предоставляются поставщиком данных без дополнительной оплаты.
Кроме данных о ценах товаров, существуют другие ценные данные.
Например, долговременные данные об активности солнечных пятен, полученные из Бельгийской Королевской Обсерватории, использованные в главах о влиянии Солнца и Луны. Изменения температуры и осадков оказывают влияние на рынок сельскохозяйственных продуктов. Различные данные из самых разных областей экономики — от уровня инфляции до цен на жилье — могут помочь в успешной торговле на товарной бирже. Не забывайте просматривать сводки, отражающие настроения участников рынка, такие как обзоры Взгляды Трейдеров (Commitment of Traders), опросы, отражающие преобладание бычьих или медвежьих настроений, соотношения опционов пут и колл. Кроме того, при тестировании систем можно использовать и нечисленные данные — например, новости в прессе. Поиск необычных данных часто открывает интересные и выгодные возможности — зачастую, чем более необычны и труднодоступны данные, тем они ценнее!
Ограничения и фильтры
Ограничение торговли только длинными позициями значительно улучшило эффективность систем пробоя волатильности в пределах выборки. За пределами выборки данное ограничение принесло лишь небольшое улучшение результатов. Системы пробоя работают лучше в длинных позициях, чем в коротких. Использование фильтра ADX несколько улучшило эффективность в пределах выборки и было бесполезным вне ее.
Ограничение торговли рынком валют дало ухудшение в пределах выборки, но огромное преимущество вне выборки. Преимущество было настолько большим, что модель дала прибыль вне выборки в отличие от всех других испытанных комбинаций! Рынок валют не попал под влияние глобальных изменений, происходящих на других рынках и разрушивших работу простых систем пробоев. Возможно, это связано с тем, что рынки валют имеют колоссальный объем и приводятся в движение мощными фундаментальными процессами. Уменьшение эффективности систем в пределах выборки можно объяснить уменьшением числа рынков, используемых в работе.
Анализ по рынкам
Для каждого рынка по всем тестам усреднялась общая прибыль и годовой доход. Полученные значения были в общем неудивительны — положительные значения получены как в пределах, так и вне пределов выборки для немецкой марки, швейцарского франка, иены и канадского доллара, а также для сырой нефти и мазута. Торговля корзиной из шести валют, трех нефтепродуктов или того и другого вместе была бы прибыльной. Хотя больше ни одна группа рынков не продемонстрировала постоянной прибыльности, это отмечено для некоторых индивидуальных рынков — кофе, живых свиней и леса.
Рынки S&P 500, NYFE, золота, кукурузы и пшеницы давали положительные результаты вне выборки при убытках в ее пределах. Прибыльность рынков индексов может быть объяснена сильными трендами, возникшими вне пределов выборки. Положительные результаты в пределах выборки при убытках вне ее были отмечены на многих рынках, в том числе на рынках казначейских облигаций и банкнот, палладия, откормленного скота, свиной грудинки, сои, соевой муки, соевого масла, овса, апельсинового сока и хлопка. Рынки казначейских векселей, серебра, платины, живого скота, какао и сахара были убыточны и на выборке, и вне ее. Наличие корреляции в 0,15 между общим доходом в пределах выборки и вне ее пределов свидетельствует о том, что рынки, дававшие прибыль во время оптимизации, скорее всего, будут выгодными и вне пределов выборки.
Заключение
Ни один метод (за исключением ограничения модели валютным рынком) не увеличил эффективность в достаточной степени для преодоления затрат на сделки вне пределов выборки. Конечно, ряд сочетаний методов не был испытан. Например, ограничение длинными позициями не испытывалось с системой пробоя ММ/ММ, которая лучше работала вне пределов выборки. Возможно, эти вариации торговых систем были бы эффективны. В обоих образцах данных все модели показывали ухудшение результатов со временем, которое нельзя отнести на счет избыточной оптимизации. Модели, основанные на пробое, в настоящее время не работают, хотя были эффективны ранее. Это соответствует предположению, что прибыльных трендов становится все меньше — по мнению многих трейдеров, рынки становятся зашумленными и противодействуют трендам, что затрудняет работу вышеописанных методов, следующих за трендом.
Не удивительно, что лучше всего работают направленные против тренда входы по лимитным приказам.
В общем, простые системы пробоя следуют предначертанному шаблону и не работают достаточно хорошо на современных высокоэффективных рынках. Впрочем, при верном сочетании разновидности модели, основанной на пробое, метода входа и рынка можно получить как минимум умеренные прибыли. Существует множество вариантов моделей на основе пробоев, много трендовых фильтров помимо ADX и много дополнительных способов для улучшения следующих за трендами моделей, которые здесь не рассматривались. Надеемся, что нам все же удалось дать хороший обзор популярных методик, основанных на пробое, и надежный фундамент для ваших самостоятельных исследований.
Работа с программой Adobe InDesign
Что мы узнали?
• При возможности следует использовать лимитный приказ для входа в рынок. Рынки шумны и обычно дают возможность войти по предпочтительной цене; это самое важное улучшение, повышающее эффективность системы. Управление расходами на сделки за счет лимитных приказов может сильно изменить эффективность модели. Даже несложный лимитный приказ вроде использованных в этих тестах сможет значительно улучшить результаты. Более сложная стратегия лимитных приказов может, несомненно, дать весьма значительные преимущества торговой системе такого рода.
• Сконцентрируйтесь на уровнях поддержки и сопротивления, основных аксиомах технического анализа, которые вряд ли будут расторгованы. Модели на пробое максимального максимума/минимального минимума в тестах работали лучше остальных, несмотря на нестабильные результаты. Избегайте популярных систем на основе волатильности, если только в них нет особых ухищрений, позволяющих удержаться на плаву, несмотря на широкое использование.
• Выбирайте рынки с сильными и частыми трендами для торговли с помощью систем следования за трендами. Для этих целей традиционно хороши валютные рынки. По данным наших тестов, также подходят рынки кофе и нефтепродуктов.
Не полагайтесь для определения наличия трендов на индикаторы типа ADX.
• Для закрытия открытых позиций используйте продвинутые стратегии выхода. Как будет показано в разд. III, существуют методы значительно более выгодные, чем наш стандартный выход. Хороший выход способен значительно улучшить эффективность торговой системы.
Модели, основанные на скользящих средних
Скользящие средние включены в многие программные пакеты по техническому анализу и являются темой множества публикаций. Они настолько популярны, что в 1998 г. пять из двенадцати выпусков Technical Analysis of Stocks and Commodities содержали посвященные им статьи. В газетах часто публикуются графики 50- дневных скользящих средних биржевых товаров и 20- дневных скользящих средних цен на фьючерсы.
Что такое скользящее среднее?
Чтобы понять идею скользящих средних, для начала необходимо обсудить временные ряды, т.е. последовательности данных, расположенных в хронологическом порядке. Например, такими данными являются ежедневные цены закрытия каких- либо акций. Они образуют последовательность точек данных, или баров, следующих друг за другом во времени. Во временном ряду серии выборка из нескольких последовательных точек данных может быть названа временным окном. Если точки данных (например, цены закрытия) в данном временном окне сложить и сумму разделить на количество этих точек данных, то получится среднее. Скользящее среднее получается тогда, когда этот процесс повторяется снова и снова при смещении временного окна вперед, точка за точкой по ряду данных. Средние, полученные таким образом, образуют новый временной ряд, новый набор упорядоченных во времени значений. Эта серия называется скользящей средней временного ряда (в данном случае — скользящее среднее цен закрытия). Этот вид скользящих средних известен как простое скользящее среднее, поскольку рассчитывается как простое арифметическое среднее точек данных, что присваивает каждой точке один и тот же удельный вес.
Зачем нужны скользящие средние
Скользящие средние используются для снижения нежелательного шума во временных рядах, чтобы поведение рынка, лежащее в основе процесса ценообразования, стало более понятным и заметным. Скользящее среднее обеспечивает сглаживание данных. Как метод сглаживания скользящее среднее является примитивным фильтром низких частот, т.е. пропускает низкочастотную активность, отфильтровывая высокочастотные процессы. На графике высокочастотные процессы выглядят как быстрые вертикальные колебания, т.е. как шум, а низкочастотные — как более плавные тренды или волны. Элерс (Ehlers, 1989) рассматривал взаимосвязь скользящих средних и фильтров низких частот. Он разработал уравнения и, сравнивая различные фильтры со скользящими средними по их полезности, пришел к выводу, что скользящие средние могут быть использованы для фильтрации любых данных, а не только ценовых.
Проблема запаздывания
Помимо способности снижать зашумленность временных рядов скользящие средние обладают преимуществами понятности, простоты и многофункциональности. При этом, как и любой мощный метод фильтрации данных или сглаживания в реальном времени, они имеют недостаток — запаздывание. Хотя сглаженные данные чище и, следовательно, более подходят для анализа, возникает запаздывание между данными в исходной серии и в сглаженной серии данных. Такое запаздывание может представлять проблему при необходимости быстрой реакции на события, как это бывает важно для трейдеров.
В некоторых случаях запаздывание — не проблема, например, когда скользящее среднее одного временного ряда используется для прогнозирования другого, т.е. исходный ряд достаточно обгоняет прогнозируемый, чтобы компенсировать запаздывание. Такие модели возникают, например, при прогнозировании влияния солнечных процессов и сезонных событий. Кроме того, запаздывание может быть неопасным в моделях, где линия цен пересекает скользящее среднее — фактически цена и должна обгонять среднее, чтобы такая система работала. Запаздывание более проблематично в моделях, где для принятия решений используются точки разворота графика скользящего среднего или его наклон. В таких случаях запаздывание означает отсроченный ответ, что, скорее всего, приведет к невыгодным сделкам.
Существует огромное разнообразие адаптивных скользящих средних и других сложных методов сглаживания, разработанных в целях минимизации запаздывания. Одна из таких методик основывается на стандартных способах предсказания временных серий. По Маллой (Mulloy, 1994) используется линейная рекурсивная схема с множественными скользящими средними. Когда уровень движения на рынке достаточен для отключения фильтра, запаздывание исчезает; впрочем, фильтры имеют тенденцию недостаточно сглаживать данные и работают заметно хуже, когда рынок отклоняется от настроек этих фильтров. Чанд (Chande, 1992) применил нелинейный подход и разработал скользящее среднее, которое адаптируется к рынку на основе волатильности. Иногда запаздывание можно уменьшить или устранить путем сочетания нескольких скользящих средних, образующих полосовой фильтр. Подобные полосовые фильтры могут иметь практически нулевое запаздывание при сигнале с периодичностью, примерно равной середине полосы пропускания; сглаженный сигнал может совпадать с исходным зашумленным, если активность процесса циклична и частота (период) этой циклической активности близка к максимальной частоте, пропускаемой фильтром.
Виды скользящих средних
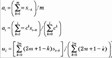
Все скользящие средние, от простых до сложных, сглаживают временные ряды с использованием некоторого усредняющего процесса. Отличия состоят в том, какой удельный вес присваивается каждой из точек данных и насколько хорошо адаптируется формула к изменению условий. Различия между видами скользящих средних объясняются разными подходами к проблеме снижения запаздывания и увеличения чувствительности. Наиболее популярные скользящие средние (см. формулы ниже) — это простое скользящее среднее, экспоненциальное скользящее среднее и треугольное скользящее среднее с передним взвешиванием. Менее распространено адаптивное скользящее среднее Чанда (1992).
Простое скользящее среднее Экспоненциальное скользящее среднее Треугольное скользящее среднее с передним взвешиванием
В этих формулах а обозначает скользящее среднее для точки данных г, si — точку данных номер г в последовательности, т — период скользящего среднего и с (обычно приравненное к 2/(т+ 1)) — коэффициент, указывающий эффективный период экспоненциального скользящего среднего.
Уравнения показывают, что скользящие средние различаются по методу определения удельного веса точек данных. Экспоненциальные средние присваивают больший удельный вес более новым данным, а вес старых уменьшается экспоненциально. Треугольное среднее также придает больший удельный вес новым данным, но вес старых данных снижается линейно по направлению к более старым; в TradeStation и многих других источниках это ошибочно названо взвешенным скользящим средним.
Адаптивные скользящие средние были разработаны для ускорения реакции на изменения. Целью было получение скользящего среднего, которое могло бы адаптироваться к текущему поведению рынка, так же как система шумоподавления Dolby адаптируется к уровню звука в аудиосигнале: сглаживание усиливается, когда на рынке имеет место в основном шумовая активность и мало выраженного движения (в периоды затишья шум фильтруется сильнее), и снижается в периоды значительной активности рынка, увеличивая тем самым реакцию. Существует несколько видов адаптивных скользящих средних. Одно из наиболее эффективных разработано Марком Джуриком (www.jurikres.com). Еще одно, разработанное Чандом, названо VIDYA (Variable Index Dynamic Moving Average).
Рекурсивный алгоритм экспоненциального скользящего среднего выглядит так: для каждой точки данных коэффициент (с), определяющий эффективную длину скользящего среднего (m), умножается на значение данной точки данных и к результату прибавляется разность 1,0 — с, умноженная на текущее значение скользящего среднего, что и дает новое значение. Коэффициент с приравнивается к 2,0/(m+1), где т— период скользящей средней. Чанд в 1992 г. модифицировал данный алгоритм. В его модели значение коэффициента с не является константой, а зависит от текущей волатильности рынка — громкости рынка, выраженной в виде стандартного отклонения цен за некоторое количество последних точек данных. Поскольку стандартное отклонение сильно варьируется на разных рынках и показатель волатильности должен быть относительным, Чанд предложил делить наблюдаемое стандартное отклонение для каждой точки на среднее значение стандартного отклонения для всех точек в имеющемся образце данных. Для каждого бара коэффициент 2,0/(m + 1)) рассчитывается заново, умножаясь на относительную волатильность, таким образом получается скользящее среднее с периодом, динамически подстраивающимся под активность рынка.
Мы использовали адаптивное скользящее среднее, основанное на VIDYA, не требующее фиксированных поправок для стандартных отклонений (в виде стандартного отклонения, усредненного по всему образцу данных). Поскольку поведение рынков может очень сильно меняться со временем, а изменения волатильности при этом никак не связаны с адаптацией скользящего среднего, идея фиксированной нормализации не выглядит обоснованной. Вместо использованного Чандом стандартного отклонения, деленного на постоянный коэффициент, мы применили отношение двух показателей волатильности — краткосрочного и долгосрочного. Относительная волатильность, требуемая для коррекции с и, следовательно, для коррекции периода адаптивного скользящего среднего, получалась методом деления краткосрочного показателя волатильности на долгосрочный. Показатели волатильности представляли собой скользящие средние квадратов разностей между соседними точками данных. Более короткий показатель использовал период р (подстраиваемый параметр), а период длинного скользящего среднего равнялся 4р. Если долгосрочная волатильность равна краткосрочной (т.е. их отношение равно единице), то адаптивное скользящее среднее ведет себя идентично стандартному экспоненциальному скользящему среднему с периодом m; при этом эффективный период экспоненциального скользящего среднего плавно снижается при увеличении соотношения волатильностей и возрастает при его уменьшении.
Виды моделей с входом, основанным на скользящем среднем
Модель с входом, основанным на скользящем среднем, генерирует сигналы входа на основе просты соотношений между скользящим средним и ценой или между двумя скользящими средними. Существуют модели и следующие за трендом, и идущие против тренда. Наиболее популярные модели следуют за трендом и отстают от рынка. С другой стороны, модели, идущие против тренда, предсказывают развороты и по крайней мере совпадают с событиями на рынке. Это не означает, что следующие за рынком модели работают хуже противотрендовых; надежные входы в тренд, пусть даже и с запаздыванием, лучше и, в общем, выгоднее, чем попытки предсказывать развороты, которые только изредка происходят в ожидаемый момент. Поскольку мы вынуждены использовать стандартные выходы и поскольку в реальной торговле любой серьезный трейдер будет использовать защитные остановки и управление капиталом, мы не будем тестировать простые модели скользящих средних, постоянно присутствующие на рынке. Впрочем, при использовании быстрых скользящих средних сигналы разворота позиции возникают раньше, чем стандартный выход закрывает сделки.
Следующие за трендом входы на основе скользящих средних могут генерироваться различными способами. Одна из простых моделей основана на пересечении скользящих средних; трейдер покупает, когда цены поднимаются выше скользящего среднего, и продает, когда цены опускаются ниже его. Вместо ожидания пересечения линии среднего и цен можно использовать быстрое среднее и его пересечение медленным: сигнал на покупку возникает, когда быстрое среднее поднимется выше медленного, сигнал на продажу — когда опускается ниже. Сглаживание исходных рядов данных за счет использования скользящих средних снижает количество ложных пересечений и, следовательно, уменьшает частоту убыточных сигналов.
Скользящие средние могут также использоваться для получения сигналов входа в противотрендовых системах. Биржевые цены часто реагируют на линию скользящего среднего примерно так, как на уровни поддержки и сопротивления, на чем и основывается модель входа. Согласно ее правилам, покупают, когда цены опускаются до скользящей средней или пересекают ее сверху, и продают, когда они поднимаются до нее или пересекают снизу. Предполагается, что цены отскакивают от уровня скользящего среднего, меняя направление движения. Входы против тренда также можно производить на основе стандартного пересечения, но в обратном направлении. Когда цена опускается ниже линии скользящей средней, открывают длинную позицию, а когда цена поднимается выше линии скользящей средней, открывают короткую позицию. Такой обратный подход часто оправдывается в торговле, поскольку, как правило, бывает выгодно продавать после сильного роста цен и покупать, когда цены чрезмерно быстро падают. Поскольку скользящие средние отстают от рынка, к моменту получения сигнала рынок может как раз находиться в начале обратного движения.
Использование скользящих средних для получения сигналов, идущих против рынка в модели, основанной на уровнях поддержки и сопротивления, не является чем- то новым. Александер (Alexander, 1993) обсуждал использование отката до уровня поддержки после пересечения скользящего среднего как вариант организации входа. Тилли (Tilley, 1998) описывал систему на уровнях поддержки/сопротивления для торговли взаимными фондами. Суини (Sweeney, 1998) описывал применение скользящих средних цен закрытия для вычисления внутридневных уровней поддержки и сопротивления.
Временные масштабы данных
Данные могут использоваться в своих естественных временных рамках или пересчитываться в другой масштаб. В зависимости от используемого масштаба при торговле и особенностей торговой системы могут потребоваться тиковые, 5- и 20- минутные, часовые, недельные, двухнедельные, месячные, квартальные и даже годовые данные. Обычно источник данных имеет естественные временные ограничения; для внутридневных данных — это тик. Тик не является постоянной единицей времени: иногда тики бывают очень частыми, иногда спорадическими с длинными интервалами между ними. День — естественная единица шкалы для дневных данных. Для некоторых других данных естественный масштаб может быть двухмесячным, как, например, для сводок обзоров Взгляды Трейдеров, или квартальным, как бывает с отчетами о прибыли компаний.
Хотя от длинных временных периодов нельзя перейти к коротким (нельзя создать отсутствующие данные), обратный переход легко достижим при соответствующей обработке. Например, несложно создать серию 1- минутных штрихов на основе тиков. Конверсия обычно проводится автоматически при использовании аналитических программ или графических пакетов, а также при помощи особых утилит, часто предоставляемых поставщиком данных. Если данные скачиваются из Интернета по протоколу ftp или при помощи стандартного броузера, может потребоваться небольшая дополнительная программа или скрипт для перевода скачиваемых данных в желаемый формат и сохранения в приемлемом для других программ формате.
Какой временной масштаб лучше? Это зависит от трейдера. Для тех, кто предпочитает быструю обратную связь, частые сделки, близкие защитные остановки и ежедневную фиксацию прибыли, идеальный выбор — внутридневной масштаб. Чем больше сделок, тем быстрее трейдер учится и выбирает наиболее приемлемые для него торговые методы. Кроме того, при ежедневном закрытии всех позиций вечером трейдер может полностью избежать риска изменений рынка за ночь. Еще одна полезная характеристика краткосрочной торговли — возможность использовать близкие защитные остановки, снижая убытки при неудачных сделках. В конце концов любители статистикибудут очарованы представительными выборками данных, содержащими сотни тысяч показателей и тысячи сделок, которые легко накопить при использовании коротких временных масштабов. Большие выборки снижают риск подгонки системы под прошлые данные, дают более стабильные статистические результаты и увеличивают вероятность того, что прогностические модели будут работать в будущем так, как работали в прошлом.
Недостатками краткосрочных временных масштабов являются необходимость получения данных в реальном времени, накопления исторических тиковых данных, применения высокопроизводительной аппаратуры с огромным объемом памяти, использования специальных программ и большое количество времени на занятия собственно торговлей. Необходимость в производительном компьютере с большим объемом памяти возникает по двум причинам: (1) при тестировании системы будут использоваться колоссальные объемы данных; (2) программы, управляющие системой, ведущие сбор данных и строящие графики, должны работать в реальном времени, не пропуская ни одного тика. И база исторических данных, и программы, способные справиться с такими объемами, необходимы для разработки и тестирования систем. Реальная работа требует поступления данных в реальном времени, и хотя сейчас мощные компьютеры вполне доступны по цене, специализированные программы и банки исторических тиковых данных недешевы. Оплата данных в реальном времени — также заметный и постоянный расход.
С другой стороны, стоимость данных и затраты времени на торговлю минимальны для работающих на дневных и более длительных временных масштабах. Для большинства финансовых инструментов в Интернете доступны бесплатные данные, программы также скорее всего будут дешевле, и торговля потребует меньше времени: систему можно запускать после закрытия рынков и передавать брокеру приказы до открытия рынков утром.
Таким образом, на торговлю можно тратить около 15 минут в день, оставляя больше времени на разработку системы и, естественно, на отдых.
Еще одно преимущество больших временных масштабов — возможность вести торговлюна большом количестве рынков. Поскольку не на многих рынках уровень ликвидности и волатильности достаточен для дневной торговли, а человек не способен успевать делать все сразу, внутридневной трейдер может осуществлять диверсификацию только с помощью нескольких торговых систем на одном рынке. Трейдер, работающий по данным на конец дня, имеет более широкий выбор рынков и больше свободного времени, что дает ему возможность работать на нескольких рынках одновременно. Распределение капитала — замечательный способ снижения риска и повышения прибылей. Кроме того, длительные временные масштабы позволяют получать большие прибыли при следовании за сильными, продолжительными трендами; такие прибыли могут превратить позицию $50 000 в миллион менее чем за год. В конце концов среднеи долгосрочный трейдер может найти больше внешних параметров, имеющих потенциальные прогностические качества.
Впрочем, длительные временные масштабы не лишены недостатков.
Трейдер должен мириться с запоздалой реакцией на текущие ценовые изменения, с далекими защитными остановками, с риском ночных изменений. Удерживание непрерывных позиций — психологическая нагрузка, способная довести до бессонницы. При работе системы, основанной на дневных, недельных или месячных данных, могут возникнуть проблемы статистической достоверности. Одним из способов обойти проблемы малых выборок данных является работа с портфелями, а не с индивидуальными позициями.
Какой временной масштаб лучше? Это зависит от вас, трейдера! На разнообразных временных масштабах возможна выгодная торговля. Надеемся, эта дискуссия пояснила ряд проблем и вариантов выбора.
Характеристики входов, основанных на скользящих средних
Вход на основе скользящих средних, следующих за трендом, в принципе подобен пробою; такие входы интуитивно понятны и, несомненно, обеспечат вход в любой крупный тренд, а также просты в исполнении даже в обычной программе обработки таблиц. Но, как и большинство следующих за трендом методов, такие входы отстают от рынка, и вход в любое движение начинается поздно. Быстрые скользящие средние могут снизить запаздывание, но при этом сделают торговлю более пилообразной.
Стратегия противотрендовых входов на основе скользящих средних открывает позицию тогда, когда другие выходят из рынка. Это означает лучшее исполнение приказов, лучшие входные цены и большие потенциальные прибыли без запаздывания — но только в том случае, если вход не произошел слишком рано, до того как рынок действительно развернулся.
При работе с противотрендовой моделью требуется хорошая стратегия ограничения риска; нельзя ждать, пока система выдаст сигнал в противоположном направлении. Некоторые модели, идущие против тренда, могут иметь сильную логическую основу; например, если они используют понятия поддержки и сопротивления.
Приказы, используемые для осуществления входов
Входы, основанные на скользящих средних, могут быть осуществлены с помощью стоп- приказов, лимитных приказов или рыночных приказов.
Хотя возможны более удачные сочетания, в принципе с любой моделью может работать любой тип приказов. Иногда приказ может быть частью сигнала входа. Простая система, основанная на пересечении средних, может использовать стоп- приказ на ожидаемом завтрашнем уровне скользящего среднего. Во избежание исполнения нескольких приказов при случайных скачках внутридневной цены на следующий день ставится только стоп- приказ на покупку или на продажу, а не оба вместе. Если закрытие было выше скользящей средней, ставится стоп- приказ на продажу, а если ниже, то на покупку.
Приказы, используемые для входов, имеют свои достоинства и недостатки. Рыночный приказ никогда не пропустит сигнала, поданного на вход. Стоп- приказ никогда не пропустит важного тренда (если система следует за трендом). Вход всегда будет произведен, когда движение цен подтверждает его выгодность — но за счет проскальзывания и неоптимальных цен входа. Лимитный приказ обеспечит лучшую цену и снизит расходы на сделку, но в ожидании отката цен можно пропустить важные тренды. В противотрендовой модели лимитный приказ может при случае ухудшить входную цену — поскольку приказ отдается по фиксированной цене, а не по цене, которую дает отрицательное проскальзывание, возникающее при движении рынка против сделки в момент входа.
Методология тестирования
Во всех нижеследующих тестах использован стандартный портфель. Количество контрактов при покупке или продаже при входе на любом рынке в любое время подбиралось так, чтобы приблизительно соответствовать долларовой волатильности двух контрактов S&P 500 на конец 1998 г.
Использованы стандартные выходы. Все тесты проведены с использованием C- Trader toolkit. Для того чтобы была возможность сравнить результаты, использованы портфели, стратегии выхода и платформа тестирования, идентичные использованным ранее. Тесты разделены на следующие за трендом и идущие против тренда. Они проводились на основе скрипта, содержащего инструкции для установки параметров, проведения оптимизации и генерации результатов для каждого сочетания видов скользящих средних, моделей и входных приказов.
Приведенный ниже код более сложен, чем код для пробоев; вместо разных последовательностей для комбинаций скользящих средних, правил входа и приказов использован один цикл, в котором параметры управляют выбором элементов системы. Этот метод необходим при генетическом развитии систем. Хотя здесь, собственно, нет генетических алгоритмов, подобные методы будут использованы в следующих главах. Этот код содержит параметры для управления элементами модели, упрощая обработку всех возможных комбинаций в систематическом виде.
static void Model (float *parms, float *dt, float *opn, float *hi, float *lo, float *cls, float *vol, float *oi, float *dlrv, int nb, TRDSIM &ts, float *eqcls) {
// Данные для тестирования всех моделей скользящих средних.
// File = xlOmodOl.c
// parms — набор [1..MAXPRM] параметров
// dt — набор [l..nb] дат в формате ГГММДД
// орn — набор [l..nb] цен открытия
// hi — набор [1..nb] максимальных цен
// 1о — набор [1..nb] минимальных цен
// cls — набор [l..nb] цен закрытия
// vol — набор [l..nb] значений обьема
// oi — набор [1..nb] значений открытого интереса
/ / dlrv — набор [1..nb] значений среднего долларовой волатильности
/ / nb — количество дней в наборе данных
// ts — ссылка на класс торгового симулятора
// eqcls — набор [1..nb] уровней капитала при закрытых позициях
// объявляем локальные переменные
static int rc, cb, ncontracts, maxhold, fastmalen,slowmalen;
static int modeltype, ordertype, avgtype, signal;
static float mmstp, ptlim, stpprice, limprice, tmp;
static float exitatr[MAXBAR+1] ;
static float fastma[MAXBAR+1] , slowma[MAXBAR+1] ;
// копируем параметры в локальные переменные для более удобного обращения
fastmalen = parms[1]; // период для быстрой скользящей средней
slowmalen = parms[2]; // период для медленной скользящей средней
modeltype - parms[5]; // тип модели входа
avgtype = parms[6]; // тип скользящего среднего
ordertype = parms[7]; // тип входного приказа
maxhold = 10; // максимальный период удержания позиции
ptlim = 4; // целевая прибыль в единицах волатильности
mmstp = 1; // защитная остановка в единицах волатильности
// пропускать неверные комбинации параметров
if(fastmalen >= slowmalen) {
set_vector(eqcls, 1, nb, 0.0);
return;
}
// делаем вычисления по всему ряду данных, используя векторизацию
AvgTrueRangeS(exitatr, hi, lo, cls, 50, nb); // средний истинный
// диапазон для выхода
switch(avgtype) { // выбираем тип скользящей средней
case 1: // простые скользящие средние
Averages{fastma, cls, fastmalen, nb);
Averages(slowma, cls, slowmalen, nb);
break;
case 2: // экспоненциальные скользящие средние
XAverageS(fastma, cls, fastmalen, nb);
XAverageS(slowma, cls, slowmalen, nb);
break;
case 3: // треугольные скользящие средние с передним взвешиванием
FWTAverageS(fastma, cls, fastmalen, nb};
FWTAverageS(slowma, cls, slowmalen, nb);
break;
case 4: // VIDYA- адаптивные скользящие средние
VIAverageS(fastma, cls, fastmalen, 10, nb) ;
VIAverageS(slowma, cls, slowmalen, 10, nb) ;
break;
default: nrerror("Invalid moving average selected");
} ;
// проходим через дни, чтобы смоделировать реальную торговлю
for(cb =1; cb < = nb; cb++) {
//не входим в сделки до начала периода выборки
// ...так же, как установка MaxBarsBack в Trade Station
if (dt[cb] < IS_DATE} { eqcls [cb] = 0.0; continue;)
// выполняем все ожидающие приказы и подсчитываем капитал по закрытым
// сделкам
гс = ts.update (opn [cb] , hi [cb] , lo [cb] , cls [cb] , cb) ;
if (rc = 0) nrerror("Trade buffer overflow");
eqcls[cb] = ts.currentequity(EQ_C1OSETOTAL);
// подсчитываем количество контрактов для сделки
/ / ... мы хотим торговать эквивалентом долларовой волатильности
// ... 2 новых контрактов S&P- 500 от 12/31/98
ncontracts = RoundToInteger(5673.0 / dlrv[cb]);
if(ncontracts < 1) ncontracts = 1;
// избегаем установки приказов на день, когда остановлены торги
if (hi[cb+1] == lo [cb+1]) continue;
// генерировать входные сигналы, цены стоп- и лимитных приказов,
// используя модель входа определенной скользящей средней
#define CrossesAbove(a,b, с) {а[с]>=b[с] && a [c- 1]
#define CrossesBelow(a,b,c) {a[c]=b[c- 1])
#define TurnsUp(a,c) {a [c]>=a[c- l] && a [c- 1]
#define TurnsDn(a,c) {a[c]=a[c- 2] )
signal=0;
switch(modeltype) {
case 1: // классическая следующая за трендом модель, основанная на
// пересечении
if (CrossesAbove(fastma, slowma, cb)) signal = 1;
else if (CrossesBelow(fastma, slowma, cb)) signal = - 1;
limprice = 0.5 * (hi [cb] + lo [cb]);
stpprice = cls [cb] +0.5 * signal * exitatr[cb] ;
break;
case 2: // следующая за трендом модель, основанная на наклоне
if (TurnsUp(fastma, cb)) signal = 1;
else if(TurnsDn{fastma, cb)) signal = - 1;
limprice = 0.5 * (hi[cb] + lo [cb]};
stpprice = cls[cb] +0.5 * signal * exitatr[cb];
break;
case 3: // противотрендовая модель
if(CrossesAbove(fastma, slowma, cb)) signal = - 1 ;
else if(CrossesBelow(fastma, slowma, cb)) signal = 1;
limprice = 0.5* (hi[cb] + lo[cb]);
stpprice = cls[cb] + 0.5 * signal * exitatr[cb];
break;
case 4: // противотрендовая модель, основанная на поддержке
// и сопротивлении
if(slowma[cb] > slowma[cb- 1]
&& CrossesBelow(fastma, slowma, cb) ) signal = 1;
else if(slowma[cb] < slowma[cb- 1]
&& CrossesAbove(fastma, slowma, cb)) signal = - 1;
limprice = 0.5 * (hi[cb] + lo[cb]);
stpprice = cls[cb] +0.5 * signal * exitatr[cb];
break;
default: nrerror("Invalid model selected"};
}
#undef CrossesAbove
#undef CrossesBelow
#undef TurnsUp
#tundef TurnsDn
// входим в сделку, используя опеределенный тип приказа
if(ts.position() <= 0 && signal == 1) {
switch (ordertype) { // выбираем желаемый тип приказа
case 1: ts.buyopen('1' , ncontracts); break;
case 2: ts.buylimit('2', limprice, ncontracts); break;
case 3: ts.buystop('3' , stpprice, ncontracts); break;
default: nrerror("Invalid buy order selected");
}
}
else if(ts.position)) >= 0 && signal == - 1) (
switch (ordertype) ( // выбираем желаемый тип приказа
case 1: ts.sellopen{'4', ncontracts); break;
case 2: ts.selllimit('5', limprice, ncontracts); break;
case 3: ts.sellstop('6', stpprice, ncontracts); break;
default: nrerror("Invalid sell order selected");
}
)
// симулятор использует стандартную стратегию выхода
tmp = exitatr[cb];
ts.stdexitcls('X', ptlim*tmp, mmstp*tmp, maxhold);
} // обрабатываем следующий день
}
В этом коде содержатся три сегмента. Первый сегмент рассчитывает скользящие средние. Параметр avgtype выбирает вид среднего: 1 — простое, 2 — экспоненциальное, 3 — треугольное с передним взвешиванием, 4 — модифицированное VIDYA. Даже если в коде использовано всего одно среднее, рассчитываются два одинаковых, чтобы сделать выбор вида скользящего среднего независимым от модели. Также рассчитывается средний истинный диапазон, значение которого требуется для установки защитных остановок и целевых прибылей в стратегии стандартных выходов. Два дополнительных параметра — fastmalen и slowmalen — указывают период быстрой и медленной скользящих средних. Значения скользящих средних сохраняются в векторах fastma и stowma.
Следующий блок использует выбранную модель для получения сигналов выхода, цен для стоп- приказов и цен для лимитных приказов. Сначала определяются простые соотношения значений (CrossesAbove, CrossesBelow, Turnsllp и TurnsDown). В зависимости от mode/type одна из 4 видов моделей скользящих средних генерирует сигнал. Переменная modeltype принимает следующие значения: 1 — классическая, следующая за трендом модель пересечения двух скользящих средних; 2 — следующая за трендом модель, основанная на наклоне; 3 — противотрендовая модель, основанная на пересечении и 4 — противотрендовая модель на основе поддержки/сопротивления. В классической модели, основанной на пересечении скользящих средних, трейдер открывает длинную позицию, если быстрое среднее поднимается выше медленного, и короткую, если быстрое среднее опускается ниже медленного. Эта модель также может содержать сравнение скользящего среднего и цены в случае, когда период быстрого среднего приравнен к единице. При использовании основанной на наклоне модели, следующей за трендом, трейдер покупает, когда скользящее среднее после снижения стало расти, и продает в обратной ситуации. Эта модель требует только медленного скользящего среднего. Противотрендовая модель представляет собой обратную версию следующей за трендом классической модели пересечения: трейдер покупает, когда быстрое среднее (или собственно цена) опускается ниже медленного, и продает, когда оно поднимется выше. Такая модель — мечта для приверженцев теории противоположного мнения: она работает строго противоположно системе следования за трендом. Последняя модель — грубая система на основе поддержки/сопротивления, где ожидается, что цены будут отскакивать от линии скользящего среднего, как от уровней поддержки/сопротивления. Правила почти идентичны противотрендовой системе пересечения за тем исключением, что медленное среднее должно двигаться в направлении входа. Если медленное скользящее среднее стремится вверх, а цены (или быстрое среднее) падают сверху до его уровня или ниже, то дается сигнал на покупку; в противном случае дается сигнал на продажу. Дополнительное правило тренда обеспечивает защиту от немедленного разворота позиции после соприкосновения или пересечения средних. Без этого ограничения быстрый пробой с последующимразворотом вызвал бы два входа — желаемый вход против тренда и второй при пересечении средней во время отката цен. Контроль тренда позволяет входить только при движении в одном направлении: пересечение и отскок при повышающемся тренде приводят к открытию длинной позиции, а при понижающемся тренде — к открытию короткой.
В последней части кода параметр ordertype определяет вид приказа: 1 — рыночный приказ при открытии; 2 — лимитный приказ; 3 — стоп- приказ. Генерация приказа на покупку или продажу либо отсутствие приказа определяется тем, какой сигнал был сгенерирован предыдущим блоком программы; эта информация содержится в переменной signal: 1 — покупка; —1 — продажа (открытие короткой позиции); 0 — нет приказа.
Уровень цены лимитного приказа (limprice) рассчитывается как сумма максимума и минимума текущего дня, деленная на два. Поскольку многие из моделей не имеют естественного уровня цены для установки входных стоп- приказов, используется стандартный стоп. Его цена (stpprice) получается таким образом: берется цена закрытия предыдущего дня и к ней прибавляется (при сигнале для длинной позиции) или от нее отнимается (при сигнале для короткой позиции) средний истинный интервал за последние 50 дней, умноженный на 0,50; т.е. рынок должен сместиться как минимум на половину среднего дневного движения в направлении желаемого входа, чтобы этот вход имел место. Такой стоп- приказ как бы добавляет методику пробоя к скользящим средним — рынок должен пробить некоторую границу, чтобы сработал вход. Поскольку тестов проводилось множество, мы приводим только наиболее интересные результаты статистического анализа.
Информатика для юристов и экономистовТесты моделей, следующих за трендом
Эта группа включает модели, построенные по принципу следования за трендом, с использованием скользящих средних. Модели различаются видом скользящих средних, правилами генерации сигналов и видами приказов, обеспечивающих вход. Использовались следующие виды скользящих средних: простые, экспоненциальные, треугольные с передним взвешиванием и модифицированные VIDYA. Исследованы системы простого пересечения цены и средней, пересечения двух скользящих средних, а также модели со входами на основе наклона графика скользящей средней. В качестве входов использовались лимитные, рыночные и стоп- приказы.
Первые 12 тестов проведены на моделях, основанных на пересечении.
Оптимизация состояла в прогонке периода быстрого скользящего среднего от 1 до 5 с шагом 1 и периода медленного скользящего среднего от 5 до 50 с шагом 5. Разумеется, период медленного среднего был всегда длиннее периода короткого. Проводилась оптимизация с лобовым подходом.
Целью была максимизация соотношения риска/прибыли или, что то же самое, минимизация вероятности случайного происхождения прибылей.
В тестах 13 — 24 испытывались модели, основанные на наклоне. В них оптимизация состояла в прогонке периода первого (т.е. единственного) скользящего среднего от 3 до 40 с шагом 1. Как и в тестах 1 — 12, максимизировалось соотношение риска/прибыли. Оптимизация проводилась только на данных в пределах выборки.
Табл. 6- 1 и 6- 2 показывают прибыль или убыток по каждому из компонентов портфеля для каждого из тестов в пределах выборки (табл. 6- 1) и вне пределов выборки (табл. 6- 2). В столбце SYM указан рынок, первая строка — номер теста. Такое представление данных дает достаточно подробную информацию о прибыльности или убыточности рынков отдельных товаров; одно тире (—) означает умеренный убыток со сделки, т.е. $2000 — 4000. Два тире ( ) означают значительные убытки, т.е. более $4000. Аналогично, один плюс ( + ) означает умеренную прибыль, т.е. $1000 — 2000, а два плюса (+ +) — крупную прибыль, более $2000. Пустая ячейка означает убыток размером до $1999 или прибыль от 0 до $1000.
В табл. 6- 3 для всего портфеля приведены показатели прибыли в процентах годовых (ДОХ %) и среднего результата сделки ($СДЕЛ), распределенные по видам скользящих средних, моделей, входных приказов и выборке данных. Два правых столбца и четыре нижние строки — усредненные значения. В последней строке приведены данные, усредненные для всех сочетаний моделей и средних. Данные в правом столбце усреднены для всех видов приказов.
Ни одна из следующих за трендом моделей по портфелю в целом не была прибыльной. Более подробное исследование показывает, что для моделей, основанных на пересечении, использование лимитных приказов приводило к резкому улучшению в пределах выборки. По сравнению с входами при открытии или по стоп- приказу использование лимитного приказа снижало средний убыток почти вдвое. Вне пределов выборки улучшение было не столь выражено, но все же значительно. То же самое отмечалось и для показателя ДОХ %: наименьшие убытки были получены при использовании лимитного приказа. Для моделей, основанных на наклоне, лимитный приказ работал наилучшим образом вне пределов выборки. Прибыль была несколько лучше при использовании стоп- приказа (поскольку значения прибыли в процентах годовых при оценке убыточных систем, естественно, искажаются) и хуже при входе по цене открытия. В пределах выборки лучше всего работал стоп- приказ, но с минимальным преимуществом.
В пределах выборки по показателю средней прибыли со сделки наилучшие результаты дали системы на основе простого скользящего среднего, наихудшие — на основе адаптивного скользящего среднего. Другие два варианта скользящих средних дали промежуточные результаты, причем экспоненциальное среднее работало лучше в моделях на основе пересечения, а треугольное с передним взвешиванием — в моделях на основе наклона. Из всех моделей на основе пересечения по показателю ДОХ% также лучше всего работали простые скользящие средние. В общем, модели на основе пересечения работали так же или немного лучше, чем модели на основе наклона, возможно, ввиду их более быстрой реакции на рыночные изменения. Вне пределов выборки простое скользящее среднее было однозначно лучшим для моделей, основанных на пересечении, а треугольное с передним взвешиванием — лучшим для моделей, основанных на наклоне. По показателю ДОХ% экспоненциальное скользящее среднее, видимо, было лучшим для моделей, основанных на пересечении, а треугольное с передним взвешиванием — опять- таки лучшим для моделей, основанных на наклоне.
При рассмотрении отдельных тестов обнаруживается, что вне пределов выборки наилучшие показатели имела модель, испытанная в тесте 21 : основанная на наклоне, использующая треугольное скользящее среднее с передним взвешиванием и вход по стоп- приказу. Результаты вне пределов выборки для моделей на треугольном скользящем среднем с передним взвешиванием были, в общем, лучше при всех видах приказов. Видимо, между различными факторами во всех тестах присутствовали сильные взаимосвязи, например для моделей с пересечением в пределах выборки вход по рыночному приказу при открытии следующего дня всегда был наихудшим, вход по стоп- приказу давал средние результаты и вход по лимитному приказу был всегда наилучшим вне зависимости от вида использованного скользящего среднего.
Вне пределов выборки результаты были менее закономерны. При использовании простого скользящего среднего результаты были более всего близки к полученным в пределах выборки; при использовании экспоненциального среднего лимитные приказы работали хуже всего, а стопприказы лучше всего; рыночные приказы давали средние результаты. Вне пределов выборки при использовании треугольного скользящего среднего с передним взвешиванием стоп- приказы были самыми худшими, а лимитные приказы — наиболее эффективными. Таким образом, существует взаимодействие между скользящимсредним, входом и временем.
Модели, основанные на наклоне, всегда плохо работали при рыночном приказе; лимитные и стоп- приказы давали близкие результаты: в двух случаях был предпочтителен лимитный приказ (при простых скользящих средних и адаптивных скользящих средних) и в двух случаях — стоп- приказ (при экспоненциальных и треугольных скользящих средних). Как и ранее, вне пределов выборки отмечалось большее разнообразие результатов.
Для простых скользящих средних лучше всего работали лимитные приказы, а хуже всего стоп- приказы. При использовании экспоненциальных средних наблюдалась отмеченная ранее типичная картина: рыночный приказ работает хуже всех, лимитный приказ — лучше всех, а стопприказ дает средние результаты. Как уже было сказано, треугольное скользящее среднее в сочетании со стоп- приказом работало очень необычно.
Для адаптивного скользящего среднего наилучшим был лимитный приказ, наихудшим — стоп- приказ, а рыночный приказ при открытии следующего дня работал немного лучше стоп- приказа.
В целом эти модели были убыточными на большинстве рынков. Только рынок иены и свиной грудинки был прибыльным как в пределах, так и вне пределов выборки; в пределах выборки никакие другие рынки не были прибыльными. Вне выборки небольшая прибыль была получена на рынках мазута, бензина, палладия, живых свиней, соевой муки, пшеницы и кофе. Высокая прибыль на рынке кофе как в пределах, так и вне выборки может быть, скорее всего, объяснена крупным повышением цен в то время, связанным с засухой. На основе индивидуальных моделей больше всего выгодных сочетаний было найдено для рынков живых свиней, японской иены, свиной грудинки, кофе и леса. Для рынка овса не удалось найти ни одной прибыльной модели.
По показателям прибыли, усредненной для всех моделей и скользящих средних, хуже всего работали входы по рыночному приказу на открытии. Входы по лимитному или стоп- приказу работали примерно одинаково, с некоторым преимуществом лимитного приказа, особенно в начале выборки. Следует отметить, что при рассмотрении графиков изменения капитала убыточных систем возникает искажение в оценке эффективности системы (в нашем анализе мы обращали внимание на показатель средней прибыли сделки, на соотношение риска/прибыли, годовой или общей доходности именно по этим соображениям). Это искажение затрагивает количество проведенных сделок: убыточная система, которая проводит меньше сделок, будет выглядеть по ряду показателей лучше, чем убыточная система, которая проводит много сделок, даже если лучшая система теряет больше на каждой сделке. Сильные убытки при входе с помощью рыночного приказа могут быть не связаны с тем, что приказ сам по себе плох, — ситуация может попросту отражать тот факт, что при использовании этого приказа система проводит больше сделок, чем при использовании лимитного или стоп- приказа.
На рис. 6- 1 изображены графики изменения капитала для всех восьми сочетаний моделей и скользящих средних. Графики усреднены по видам приказов. Рис. 6- 1 показывает, как со временем происходит изменение систем. Большинство систем понесли самые тяжелые убытки в период с конца 1988 г. до начала 1995 г. Как видите, время лучшей эффективности — до 1988 г., в последние годы эффективность систем была средней. На графике 3 отражены результаты модели пересечения простых скользящих средних — ярко выраженное изменение с течением времени делает эту кривую примером, на котором четко видны все три периода — первоначальные прибыли, сильные убытки и небольшая прибыль в конце. Очевидно, что системы, основанные на пересечении (кривые 1—4), несли гораздо меньшие убытки, чем модели, основанные на наклоне (кривые 5 — 8), хотя это вызвано большим количеством сделок, а не большим убытком в каждой сделке.
Что мы узнали?
При построении модели входа пытайтесь продуктивно комбинировать противотрендовый элемент с элементом следования за трендом. Это может быть осуществлено множеством способов, например покупкой на краткосрочном противотрендовом движении, когда развивается долгосрочный тренд; входом при пробое, когда развивается противотрендовое движение, или применением трендового фильтра в противотрендовой модели.
• Если возможно, используйте приказы, которые понижают транзакционные затраты, например лимитный приказ для входа. Однако в этом случае требуется гибкий подход. Определенные системы могут работать лучше при использовании других типов приказов: например, если требуется элемент следования за трендом, следует использовать стоп- приказ.
Будьте готовы к неожиданностям. Мы полагали, что для моделей, основанных на наклонах, адаптивное скользящее среднее, имеющее более быстрый отклик, будет обеспечивать лучшие результаты. На самом деле система с адаптивным средним оказалась одной из худших.
• Даже несмотря на то, что традиционные индикаторы, используемые стандартным образом, обычно приводят к неудаче (например, такие старые системы, как пробои волатильности), классические концепции поддержки/сопротивления могут быть весьма выгодными. Пробои уровней поддержки/сопротивления проявляют себя лучше, чем, например, пробои волатильности. Аналогично, модели скользящего среднего, использующие концепцию поддержки/сопротивления, работают лучше прочих. Реализация метода поддержки/сопротивления была рудиментарной, тем не менее в самых удачных сочетаниях она дает одни из лучших результатов. Вероятно, дальнейшая разработка данного метода сможет значительно повысить эффективность основанных на нем торговых систем. Хотя метод поддержки/сопротивления широко известен на протяжении многих лет, его дальнейшее развитие может оказаться достаточно сложным. Основной задачей здесь можно назвать поиск автоматизированного механического метода поиска текущих уровней поддержки/сопротивления.
Результаты тестов систем, основанных на скользящих средних и пробоях, показывают, что при использовании моделей следования за трендом лимитный приказ всегда улучшает характеристики; для противотрендовых моделей огромное преимущество иногда дает стоп- приказ. Эта тенденция может быть результатом того, что у моделей следования за трендом уже есть элемент обнаружения тренда: добавление еще одного обнаруживающего или проверяющего элемента (такого, как вход по стоп- приказу) является избыточным; однако добавление лимитного приказа вносит в систему противотрендовый элемент и обеспечивает более выгодный вход, повышая, тем самым, эффективность. В случае с противотрендовыми моделями добавление элемента подтверждения тренда придает системе новое качество и, следовательно, улучшает результаты. Иногда это настолько выгодно, что компенсирует менее благоприятные цены входа, чем при использовании стоп- приказов.
Для таких рынков, как рынок казначейских облигаций, японской йены, немецкой марки, швейцарского франка, неэтилированного бензина, кофе, апельсинового сока и свиной грудинки, можно найти высокоприбыльные комбинации типов модели и приказа.
На рис. 6- 2 представлены графики изменения капитала для различных комбинаций моделей и скользящего среднего. Капитал каждой системы был усреднен по типу приказа. Лучшими двумя моделями были модель поддержки/сопротивления на основе треугольного скользящего среднего с передним взвешиванием и модель поддержки/сопротивления на основе простого скользящего среднего. Эти модели работали значительно лучше, чем любые из противотрендовых моделей, основанных на пересечении. Можно выделить три временных периода, в каждом из которых эти модели вели себя по- разному: от начала выборки до октября 1987 г., с октября 1987 г. по июнь 1991 г. и с июня 1991 г. по декабрь 1998 г.
Наихудшие результаты были получены в течение последнего периода.
Графики изменения капитала, представленные на рис. 6- 2, показывают, что противотрендовые модели лучше работали в прошлом, в то время как модели следования за трендом лучше работали в последнее время. В пределах выборки стоп- приказ оказался наилучшим видом входного приказа для каждой комбинации модели и скользящего среднего. Вне пределов выборки стоп- приказ был наихудшим для трех комбинаций модели и скользящего среднего из шести (по двум комбинациям не было сделок, поэтому они не рассматривались). Рыночный приказ по цене открытия следующего дня оказался наихудшим во всех случаях, за исключением двух. Стоп- приказ, как правило, был лучше лимитного приказа в пределах выборки. Однако вне выборки лимитный приказ был немного лучше стоп- приказа.
Заключение
В общем, модели следования за трендом в тестах с 1 по 24 работали лучше, чем противотрендовые модели в тестах с 25 по 48, за некоторыми исключениями, рассмотренными выше.
Лучшие модели, несомненно, сочетают в себе как противотрендовые элементы, так и элементы следования за трендом. Например, покупка при откате рынка с использованием лимитного приказа после пробоя скользящего среднего обеспечивает лучшие результаты, чем другие комбинации. Противотрендовые модели, основанные на скользящих средних и имеющие элемент следования за трендом (например, стоп- приказ), также показывают наилучшие результаты. Чистые противотрендовые модели и модели следования за трендом значительно им уступают. Более того, добавление трендового фильтра к системе следования за трендом не дает преимуществ, но может увеличивать затраты при входе. С другой стороны, комбинация противотрендовых моделей с трендовым фильтром ADX может повысить эффективность системы. Хотя фильтр ADX не имеет
Входы на основе осцилляторов
Осцилляторы популярны у трейдеров, использующих технические системы, в течение многих лет. Статьи, посвященные осцилляторам, нередко появляются в таких журналах, как Technical Analysis of Stocks and Commodities и Futures. Описанию осцилляторов посвящено множество книг по техническому анализу.
Наиболее широко применяются в классическом виде и различных вариантах осциллятор Аппеля (1990) — осциллятор схождения- расхождения скользящих средних (так называемый MACD) и гистограмма MACD (MACD- H). Кроме того, популярны стохастический осциллятор Лэйна и индекс относительной силы Вильямса (RSI). В литературе упоминается множество их вариантов. Также следует упомянуть индекс товарных каналов Ламберта (CCI), индекс случайного блуждания, который тоже можно считать осциллятором, и осциллятор Геда,а на основе регрессионных каналов (1997). В этой главе будут рассмотрены в первую очередь три самых известных осциллятора — MACD, стохастический и RSI.
Что такое осциллятор?
Осциллятор — это индикатор, обычно основанный на ценах и имеющий тенденцию колебаться или осциллировать в некоторых фиксированных или достаточно жестко ограниченных пределах. Осцилляторы характеризуются нормализацией диапазона и удалением долговременных трендов уровня цен — информация извлекается осцилляторами из таких эфемерных показателей, как импульс и перенапряжение. Импульс — это состояние, когда цены мощно 'двигаются в данном направлении. Перенапряжение — это состояние избыточно высоких или низких цен (перекупленность и перепроданность), когда цены готовы резко вернуться на более разумный уровень.
Виды осцилляторов
Существуют два главных вида осцилляторов. Один из них — линейные полосовые фильтры, анализирующие частоту колебаний. К этому классу относятся MACD и MACD- H. Другой класс приводит к некоторой нормализованной шкале какой- либо аспект поведения цен (к этому классу относятся RSI, стохастический осциллятор и CCI); в отличие от первой категории эти осцилляторы не являются, по сути, линейными фильтрами с определенным фазовым и частотным алгоритмом. Оба вида осцилляторов реагируют на импульс цен и циклические движения, при этом снижая роль трендов и игнорируя долговременные сдвиги; в общем, построенные ими графики имеют ломаный, колеблющийся вид.
Осциллятор MACD (осциллятор схождения/расхождения скользящих средних) и его гистограмма MACD- H работают как грубые полосовые фильтры, удаляя тренды и сдвиги, а также высокочастотный шум. При этом анализируются волны или циклы с частотой, близкой к середине полосы пропускания. MACD сглаживает данные, подобно скользящему среднему, в некоторой степени удаляет тренды, выделяет циклы и иногда не запаздывает по отношению к рынку. Хорошим источником по этому осциллятору можно считать работу Элерса (Ehlers,1989).
MACD рассчитывается путем вычитания скользящего среднего с длинным периодом из скользящего среднего с более коротким периодом. В принципе можно использовать любые виды средних или фильтров низких частот (в классическом MACD использованы экспоненциальные скользящие средние). Ряд вариантов MACD построен на более сложных средних, например VIDYA (рассмотрено в главе о скользящих средних), а также на треугольных средних. Помимо собственно MACD используется гистограмма — разность MACD и его скользящего среднего. Во многих случаях скользящее среднее MACD называется сигнальной линией.
Стохастический осциллятор часто еще называют индикатором перекупленности/перепроданности. Согласно Лупо (Lupo, 1994), стохастичёский- осциллятор определяет положение последнего рыночного действия по отношению к минимальной и максимальной цене за последние n дней. В этом отношении стохастический осциллятор измеряет импульс цены, он показывает, стремится ли рынок к новому максимуму или минимуму или находится где- то посередине.
К стохастическим относится ряд родственных индикаторов: Быстрый %К, Медленный %К (также называемый Быстрым %D) и Медленный %D.
Быстрый %К измеряет в процентах расположение последней цены закрытия относительно максимального максимума и минимального минимума за последние n дней, где n — длина заданного периода индикатора.
Медленный %К, он же Быстрый %D, рассчитывается аналогично Быстрому %К, за тем исключением, что числитель и знаменатель формулы для Быстрого %К предварительно усредняются за последние 3 дня. Медленный % D — просто скользящее среднее Медленного %К с периодом 3 дня. Его иногда используют как сигнальную линию, подобно тому, как скользящее среднее MACD используют как сигнальную линию для MACD.
Известно много вариантов стохастического осциллятора; например, Блау (Blau) в 1993 г. описывал вариант с двойным сглаживанием. Уравнения для классического стохастического осциллятора Лэйна опубликованы в статье Мейбаха (Meibahr, 1992). Ниже приведена одна из версий этих уравнений:
A(i) = Максимум из H( i ) , H(i - 1 ) , ... Н(1 - n + 1)
B(i) = Минимум из L ( i ) , L(i - 1), ... L(1 - n + 1)
D(i) = [A(i) + A(i - 1) + A(i - 2)]/3
E(i) = [B(i) + B(i - 1) + B(i - 2)]/3
F(i) = [C( i ) +C( i - 1) + C(i- 2)]/3
Быстрый %К для i- го дня = 100 X [C(i) - B(i)]/[A(i) - B(i ) ]
Медленный %K = Быстрый %D = 100 X [F(i) - E(i)]/[D(i) - E(i)]
Медленный %D = простое скользящее среднее Медленного %К
с периодом 3 дня
В этих уравнениях i означает номер торгового дня,
H(i) — максимум дня i,
L(i) — минимум дня i,
C(i) — цену закрытия дня i.
Все остальные переменные — производные серии данных, необходимые для расчета различных стохастических осцилляторов. Как видно из уравнений, стохастические осцилляторы выделяют относительное положение цены закрытия в пределах, установленных недавними максимумами и минимумами: высокие значения (до 100) возникают, когда цена закрытия близка к высшим значениям недавних цен, низкие (до 0) — когда цена закрытия близка к низшим.
Индекс относительной силы (RSI) — еще один популярный осциллятор, который оценивает по процентной шкале относительное движение вверх или вниз. Классический RSI использует экспоненциальные скользящие средние, отдельно рассчитанные для движения вверх и вниз. Их сумма и дает процент общего движения. Один из вариантов использует для вычисления простые скользящие средние. Формула классического RSI приведена ниже:
U(i) = Максимум из 0, C(i) - C(i - 1)
D(i) = Максимум из 0, C(i - 1) - C(i)
АU(i) = [(n - 1) X АU(i - 1) + U(i)]/n
AD(i) = [(n - 1) X AD(i - 1) + D(i)]/n
RSI(i) = 100 X AU(i)/AU(i) + AD(i)]
Период индикатора обозначен как n,
движение вверх — U,
движение вниз — D,
среднее движение вверх — AU,
среднее движение вниз — AD.
Номер торгового дня обозначен буквой i. Обычно рассчитывается RSI с периодом 14 дней (n = 14). У Стара (Star, 1993) можно найти подробное обсуждение этого индикатора.
Кроме того, существует индекс товарных каналов, или CCI, рассмотренный в работе Девиса (Davies, 1993). Этот осциллятор подобен стохастическому с усиленным акцентом на статистику: вместо оценки последней цены закрытия в рамках недавних максимумов и минимумов он оценивает ее относительно границ, определяемых медианой и средним отклонением цены за последнее время. Хотя далее этот осциллятор не будет рассматриваться, для заинтересованных читателей мы приводим его определение:
Х(i) = H(i) + L(i) + C(i)
A(i) = Простое скользящее среднее от X(i) с периодом n дней
D(i) = Среднее от [Х(i - k) - A(i)] для k от 0 до n - 1
CCI(v) = [Х(i) - A(i)]/[0,015 X D(i)]
В уравнениях индекса товарных каналов X — так называемая медианная цена,
А — скользящее среднее
X, D — среднее абсолютное отклонение,
n — период индикатора,
i — номер торгового дня.
На рис.7- 1 изображен график S&P 500, к которому приложены графики трех наиболее популярных осцилляторов с прилагающимися к ним сигнальными линиями, медленными версиями и т.п. На графике стохастического осциллятора также изображены фиксированные пороги на уровнях 80 и 20, для RSI эти пороги традиционно помещают на уровнях 70 и 30. Рисунок показывает графики осцилляторов и их реакцию на изменения цен, а также иллюстрирует метод расхождения, о котором речь пойдет ниже.
Получение сигналов входа при помощи осцилляторов
Существуют различные способы применения осцилляторов для получения торговых сигналов. В этой главе будут рассмотрены три из них.
Один метод состоит в том, чтобы использовать осциллятор как индикатор перекупленности/перепроданности. Покупка происходит, если значение осциллятора опускается ниже некоторого порога в зону перепроданности и затем возвращается обратно. Продажа происходит, если осциллятор поднимается выше порога перекупленности и затем опускается обратно. Существуют традиционные пороги, используемые с разными осцилляторами.
Также осциллятор (вернее, его скользящее среднее) может служить сигнальной линией, и, если осциллятор пересекает свое среднее вверх или вниз, подаются соответствующие сигналы. Эти сигналы могут использоваться одновременно для входа и выхода, а также только для входа со стандартным выходом.
Еще один известный метод — поиск расхождений осциллятора и цены, описанный МакХортером (McWhorter, 1994). Расхождение получается тогда, когда цены образуют новый минимум (ниже предыдущих минимумов) , а осциллятор — более высокий минимум (выше предыдущих минимумов). Такое расхождение дает сигнал к покупке. В противоположной ситуации, когда цены образуют новый максимум, а осциллятору не удается достичь предыдущего максимума, что является признаком потери ценового импульса, генерируется сигнал к продаже. Расхождение иногда легко увидать глазами, но для программы с простыми правилами найти его почти всегда затруднительно. Механическая генерация сигналов на основе расхождения требует алгоритма распознавания образов, что усложняет систему и, следовательно, затрудняет ее тестирование. Впрочем, получать такие сигналы можно, хорошим примером служит программа Divergengine от Ruggiero Associates. Пример расхождения можно увидеть на рис. 7- 1.
В использовании осцилляторов для получения сигналов существует ряд принципиальных моментов, например сглаживание данных и своевременность входов. Например, MACD иногда обеспечивает сглаживание данных в реальном времени, что позволяет получать лучшие результаты, чем при использовании моделей, основанных на скользящих средних, где пики и провалы на графике значительно запаздывают по сравнению с ценами, а поздние входы снижают эффективность. MACD, со своей стороны, при совпадении собственного периода с циклической активностью рынка обеспечивает примерное совпадение пиков и провалов и сглаживание графика, что также позволяет избежать характерных для скользящих средних многочисленных сделок, вызванных шумом, и повысить прибыль за счет своевременности сделок.
Помимо MACD, другие осцилляторы также, как правило, не отстают или даже опережают цены. По рассмотренным ниже причинам обгоняющие или одновременные индикаторы вовсе не обязательно дают большие прибыли, чем запаздывающие скользящие средние — своевременность сигналов не обязательно означает их прибыльность. Проблема в том, что даже при наличии некоторых абсолютно точных сигналов, осцилляторы будут генерировать множество ложных. В условиях сильного тренда многие из ожидаемых разворотов никогда не происходят, и система входит в рынок в неверном направлении. Таким образом, за счет точности теряется надежность. Что важнее — поздний, но надежный вход или ранний, но менее надежный — вопрос отдельного эмпирического исследования. В принципе эта проблема возникает при использовании любого прогностического метода — чем больше задержка, тем точнее (и бесполезнее) прогноз и, чем больше опережение, тем он полезнее (и ошибочнее). Эта логика напоминает принцип неопределенности Гейзенберга.
В качестве примера получения сигналов входа рассмотрим стохастический осциллятор: простая модель производит покупку, если значение осциллятора падает ниже традиционного порога перепроданности на уровне 20 и затем поднимается. Продажа производится, когда значение осциллятора поднимается выше традиционного порога перекупленности на уровне 80 и затем снова опускается. Поскольку при таких торговых правилах сигнал на закрытие текущей позиции вряд ли появится скоро, требуется вводить независимый критерий выхода. Трейдеры также ищут модель, называемую стохастический крюк: осциллятор достигает минимума, немного поднимается, а затем образует еще один минимум на более высоком уровне. Как только определяется второй минимум, подается сигнал на покупку. Когда эта же модель встречается в перевернутом виде, производится продажа.
Как и в случае с пробоями и скользящим средними, для осуществления входов могут быть использованы различные приказы, а именно рыночный приказ по цене открытия, лимитный приказ и стоп- приказ. Преимущества и недостатки этих входов уже обсуждались в двух предыдущих главах.
Характеристики входов на основе осцилляторов
Основанные на осцилляторах входы обладают преимуществами опережения или совпадения по времени с поведением цены, следовательно, они пригодны для входов, направленных против тренда, и теоретически могут обеспечивать высокий процент выгодных сделок. Осцилляторы обычно работают наилучшим образом на циклических или не подверженных трендам рынках. На этих рынках осцилляторы указывают на максимум или минимум еще до начала движения цен. Таким образом, проскальзывание минимально или даже отрицательно, и переоценка позиции становится положительной уже при очень малом движении цены. В таких случаях легко получить солидную прибыль даже при неоптимальной стратегии выхода. Считается, что на рынках тренды присутствуют всего около 30% времени; по нашим данным, на многих рынках — еще реже. При использовании соответствующих фильтров для избежания осцилляторных входов во время сильного тренда, видимо, можно создать замечательную модель входа. Такое фильтрование — прямая противоположность тому, которое используют при тестировании систем, основанных на пробоях, когда необходимым условием было наличие трендов, а не их отсутствие.
Основная слабость простых осцилляторных входов в том, что они малоэффективны при длительных трендах и часто выдают множество ложных сигналов разворота. Некоторые осцилляторы легко застревают на крайних значениях, например стохастический нередко имеет значение 100 очень долго, если на рынке происходит сильное направленное движение. Кроме того, большинство осцилляторных моделей не регистрирует тренды, в отличие от систем на скользящих средних и пробоях, которые не пропустят практически ни одного значимого тренда. Многие трейдеры говорят, что тренд — твой друг, что большая часть доходов возникает после большой волны и что прибыль от такого крупного успеха покрывает частые и мелкие убытки, свойственные для следующих за трендом систем. Поскольку осцилляторные входы направлены против тренда, настроены на мелкие движения рынка, особое значение имеет хорошая стратегия выходов для снижения урона, который возникнет при движении тренда против сделок.
Методика тестирования
Все приведенные ниже тесты были осуществлены с помощью осцилляторных моделей на портфеле разнообразных ценных бумаг. Можно ли получать прибыльные сделки с осцилляторными моделями? Как они работают во времени — ухудшается или улучшается их функционирование за последние годы? Целью нашего тестирования был ответ на эти
вопросы.
Во всех тестах использовался стандартный выход, описанный в предыдущих главах. Правила входов будут рассмотрены параллельно с кодом модели и отдельными тестами. Сделки закрывались при поступлении приказа на вход в обратном направлении или при исполнении стандартного выхода. Платформа тестирования тоже была стандартной.
За последние годы мы закодировали на языке C++ ряд осцилляторов, описанных в Technical Analysis of Stocks and Commodities и в ряде других источников. В этой главе мы сравниваем работу версий C++ осцилляторов MACD, RSI и стохастического с их версиями в TradeStation.
В большинстве случаев результаты идеально совпадали, но в одном случае, а именно для Медленного %К, результат разительно отличался. Разбор кода показал, что TradeStation рассчитывает Медленный %К как экспоненциальное скользящее среднее от Быстрого %К. В нашем же коде отдельно рассчитываются простые скользящие средние с периодом 3 дня для числителя и знаменателя формулы Быстрого %К. Согласно уравнениям, приведенным Мейбахом (Meibahr, 1992) и другими источниками, правильной является наша версия на C++. Если читатели захотят повторить наши расчеты в TradeStation и обнаружат расхождения, мы настоятельно рекомендуем проверить функции индикаторов TradeStation.
Кроме того, при попытке закодировать правильную версию Медленного %К для TradeStation на EasyLanguage мы неожиданно обнаружили, что TradeStation без предупреждения может выдать неверные результаты, если одна пользовательская функция вызывает другую. Когда мы изменили код так, чтобы рассчитывалась промежуточная переменная (чтобы избежать совместных вызовов), были получены правильные результаты. В этих тестах использовалась версия TradeStation 4.02 от 29 июля 1996 г.
Нижеследующий код включает большинство использованных в тестах моделей входов на основе осцилляторов. Реальный расчет осцилляторов достигается путем вызова внешних функций.
static void Model (float *parms, float *dt, float *opn, float *hi, float *lo, float *cls, float *vol, float *oi, float *dlrv, int nb, TRDSIM &ts, float *eqcls) (
// Выполнение тестирования моделей на осцилляторах
// File = xllmodOl.c
// parms - набор [1.. MAXPRM] параметров
// dt - набор [l..nb] дат в формате ГГММДД
// орn - набор [l..nb] цен открытия
// hi — набор [l..nb] максимальных цен
// 1о - набор [1..пЬ] минимальных цен
// cls — набор [l..nb] цен закрытия
// vol - набор [l..nb] значений обьема
// oi — набор [l..nb] значений открытого интереса
// dlrv — набор [l..nb] средних долларовой волатильности
// nb — количество дней в наборе данных
// ts — ссылка на класс торгового симулятора
// eqcls — набор [l..nb] уровней капитала при закрытых позициях
// объявляем локальные переменные
static int rc, cb, ncontracts, maxhold, len1, len2, len3;
static int modeltype, ordertype, osctype, signal, i, j, k;
static float mmstp, ptlim, stpprice, limprice, tmp;
static float exitatr[MAXBAR+1];
static float sigline[MAXBAR+1], oscline[MAXBAR+1];
static float upperband[MAXBAR+1] , lowerband [MAXBAR+1] ;
// копируем параметры в локальные переменные для удобного обращения
lenl = parms[l]; // более короткий для первого параметра длины
1еn2 = parms[2] ; // более длинный для второго параметра длины
1епЗ = parms[3]; // длина теста дивергенции
modeltype = parms[7]; // тип осцилляторной модели входа
osctype - parms[8]; // тип осциллятора
ordertype = parms[9]; // тип входного приказа
maxhold =10; // период максимального удержания позиции
ptlim =4; // целевая прибыль в единицах волатильности
mmstp =1; // защитная остановка в единицах волатильности
// пропускаем неправильные комбинации параметров,
if ( (osctype==4 && len1>=len2) ) (
set_vector(eqcls, 1, nb, 0.0);
return;
}
// выполняем вычисления для всех данных, используя процедуры быстрой обработки
// массивов
AvgTrueRangeS{exitatr,hi,lo,cls,50,nb); // средний истинный диапазон для выхода
switch(osctype} { // выбираем осциллятор
case 1: // классические быстрые стохастики
StochOsc(oscline,hi,lo,cls,1,len1,nb); //Быстрый %К
MovAvg(sigline, oscline, 1, 3, nb); //Быстрый %D
set_vector(upperband, 1, nb, 80.0); //верхняя граница
set_vector(lowerband, 1, nb, 20.0); //пробой нижней границы
break;
case 2: // классические медленные стохастики
StochOsc(oscline,hi,lo,cls,2,lenl,nb); //Медленный %К
MovAvg(sigline, oscline, 1, 3, nb); //Медленный %D
set_vector(upperband, 1, nb, 80.0); //верхняя граница
set_vector(lowerband, 1, nb, 20.0); //пробой нижней границы
break;
case 3: // классический RSI
RsiOsc(oscline, cls, 1, lenl, nb); //RSI
MovAvgtsigline, oscline, 1, 3, nb) ; //3- дневное ПСС
set_vector(upperband, 1, nb, 70.0); //верхняя граница
set_vector(lowerband, 1, nb, 30.0); //пробой нижней границы
break;
case 4 : // классический MACD
MacdOsc(oscline,cls,1,lenl,len2,nb); //классический MACD
MovAvg(sigline, oscline, 2, 9, nb) ; //9- дневное ЭСС
for{i=l; i<=nb; i++}
lowerband[i]=1.5*fabs(oscline[i] ) ; //пороги
MovAvg(upperband,lowerband,1,120,nb); //как долгосрочная
for{i=l; i<=nb; i++} //отклонение от среднего
lowerband[i]= - upperband[i]; //полосы
break;
default: nrerror("Invalid moving average selected");
};
// проходим через штрихи (дни), чтобы смоделировать реальную торговлю
for{cb = 1; cb <= nb; cb++} {
// не открываем позиций до начала периода выборки
// ... то же самое, что и установка MaxBarsBack в TradeStation
if(dt[cb] < IS_DATE) { egcls[cb] = 0.0; continue; )
// выполняем ожидающие приказы и считаем накопленный капитал
rс = ts.update{opn[cb], hi[cb], lo[cb], cls[cb], cb);
if(rc = 0) nrerror("Trade buffer overflow"};
eqcls[cb] = ts.currentequity(EQ_CLOSETOTAL);
// считаем количество контрактов для позиции
//... мы хотим торговать эквивалентом долларовой волатильности
//... 2 новых контрактов S&P- 500 от 12/31/98
ncontracts = RoundToInteger(5673.0 / dlrvfcbj);
if(ncontracts < 1) ncontracts = 1;
// избегаем устанавливать приказы на дни с ограниченной торговлей
if(hi[cb+l] == lo[cb+l]) continue;
// генерируем входные сигналы, цены стоп- и лимитных приказов,
// используя определенную модель входа на осцилляторах
#define CrossesAbove (a,b,c) (а[с]>=b[с] && а[с- 1]
#define CrossesBelow(a,b, с) (a[c]=b [с- 1] )
#define TurnsUp(a,c) (а[с]>=а[с- 1] && а[с- 1]<а[с- 2])
#define TurnsDn(a,c) (a[c]=а [с- 2] )
signal=0;
switch (modeltype) {
case 1: // модель перекупленности- перепроданности
if(CrossesAbove(oscline, lowerband, cb)}
signal = 1;
else if(CrossesBelow(oscline, upperband, cb))
signal = - 1;
limprice = 0.5 * (hi [cb] + lo [cb] ) ;
stpprice = cls[cb] +0.5 * signal * exitatr[cb];
break;
case 2: // модель сигнальной линии
if(CrossesAbove(oscline, sigline, cb))
signal = 1;
else if(CrossesBelow(oscline, sigline, cb))
signal = - 1;
limprice = 0.5 * (hi [cb] + lo[cb]) ;
stpprice = cls[cb] + 0.5 * signal * exitatr[cb];
break;
case 3: // модель дивергенции
i = LowestBar(cls, len3, cb) ;
j = LowestBar(oscline, len3, cb);
if(i < cb && i > cb- 6 && j > cb- len3+l && i- j > 4
&& TurnsUp(oscline, cb)) signal = 1;
else {
i = HighestBar(cls, len3, cb} ;
j = HighestBar(oscline, len3, cb);
if(i < cb && i > cb- 6 && j > cb- len3+l && i- j > 4
&& TurnsDn(oscline, cb)) signal = - 1;
)
limprice = 0.5 * (hi[cb] + lo[cb]);
stpprice = cls[cb] + 0.5 * signal * exitatr[cb];
break;
default: nrerror("Invalid model selected");
)
#undef CrossesAbove
#undef CrossesBelow
#undef TurnsUp
#undef TurnsDn
// входим в сделку, используя определенный тип приказа
if (ts.position() <= 0 && signal == 1) {
switch(ordertype) { // выбираем нужный вид приказа
case 1: ts.buyopen('1', ncontracts); break;
case 2: ts.buylimit('2', limprice, ncontracts); break;
case 3: ts.buystop('3', stpprice, ncontracts); break;
default: nrerror("Invalid buy order selected");
}
}
else if(ts.position1) >= 0 && signal == - 1) {
switch(ordertype) { // выбираем желаемый тип приказа
case 1: ts.sellopen('4', ncontracts); break;
case 2: ts.selllimit('5', limprice, ncontracts); break;
case 3: ts.sellstop('6', stpprice, ncontracts); break;
default; nrerror("Invalid sell order selected");
}
}
// симулятор использует стандартную стратегию выхода
tmp = exitatr[cb];
ts.stdexitcls ('Х', ptlim*tmp, nmstp*tmp, maxhold) ;
} // обрабатываем следующий день
]
Логика кода весьма напоминает программу, использованную для тестирования скользящих средних. Сначала копируется ряд параметров в местные переменные для простоты ссылок и считывания дальнейшим кодом. Затем проверяется наличие непригодных сочетаний параметров, например для MACD (osctype = 4) длина короткого скользящего среднего должна быть меньше, чем длинного, иначе тест будет пропущен. В следующем крупном блоке osctype выбирает вид рассчитываемого осциллятора (1 — быстрый стохастический, 2 — медленный стохастический, 3 — классический RSI, 4 — классический MACD) . Осциллятор oscline затем рассчитывается в виде ряда данных или вектора, генерируются дополнительные кривые, связанные с ним, например сигнальная линия sigline или медленная версия осциллятора. Верхний (upperband) и нижний (lowerband) пороги либо рассчитываются, либо задаются. Для стохастического осциллятора используются стандартные пороги 80 и 20, для RSI — пороги на уровне 70 и 30. Хотя MACD как таковой не имеет порогов, пороги для него устанавливаются на уровне плюс- минус полтора стандартных отклонения от нуля. Затем начинается процесс перебора данных, день за днем.
В цикле перебора данных представляют интерес два главных блока — первый генерирует сигналы покупки и продажи, а также цены для лимитного и стоп- приказов, используемых выбранной моделью.
Параметр mode/type выбирает модель:
1 — модель перекупленности/перепроданности,
2 — модель сигнальной линии,
3 — модель на расхождении.
При этом используется один из вышеперечисленных осцилляторов, выбранный параметром osctype.
Последний блок производит вход в рынок согласно выбранному значению параметра ordertype:
1 — для входа по цене открытия,
2 — по лимитному приказу,
3 — по стоп- приказу.
Затем симулятор использует стандартную модель выхода для закрытия сделок.
Точные логические основания для входа будут обсуждаться ниже в контексте индивидуальных тестов, что не требует от читателя понимания или обращения к коду.
Результаты тестов
Проводилось тестирование трех осцилляторных моделей входа: на основе понятия перекупленности/перепроданности (осцилляторы RSI и стохастический), на основе взаимодействия осциллятора с сигнальной линией (стохастический осциллятор и MACD) и на основе расхождения (статистический осциллятор, RSI и MACD). Все индивидуальные комбинации были исследованы с входами по цене открытия, по лимитному приказу и по стоп- приказу. Сравнение результатов всех трех видов входов приведено ниже в данной главе.
Табл. 7- 1 и 7- 2 содержат результаты каждого из 21 тестов. Данные распределены по торгуемым финансовым инструментам, по моделям, показавшим прибыль и убыток в пределах выборки (табл. 7- 1) и вне пределов выборки (табл. 7- 2). Первый столбец (SYM) — это символ рассматриваемого рынка, первая строка — номер теста. Степень прибыльности и убыточности рынков для каждой модели указана следующим образом: один минус (—) означает убыток в $2000 — 4000, два минуса (- - ) — убыток более $4000; один плюс ( + ) означает прибыль $1000 — 2000, два плюса (++) — прибыль более $2000; пустая ячейка означает прибыль до $ 1000 или убыток до $1999 со сделки.
Тестирование моделей, основанных на понятии перекупленности/перепроданности
Входы генерировались, когда осциллятор пересекал верхний порог вниз или нижний порог вверх. Эти модели являются противотрендовыми. Когда осциллятор указывает на импульс цен, направленный вниз, производится покупка. В противоположном случае производится продажа. В тестах от 1 до 6 использовались стохастический осциллятор и RSI, поскольку для них существуют стандартные пороги, часто применяемые вышеописанным способом.
Тесты 1—3. Стохастические модели на основе понятия перекупленности/перепроданности.
Эти тесты оценивают работу модели с входом по цене открытия (тест 1), по лимитному приказу (тест 2) и по стоп- приказу (тест 3). Использован оригинальный Быстрый %К по Лэйну, период — от 5 до 25 с шагом 1. Наилучшие значения для тестов 1, 2 и 3 составили 25, 20 и 16 соответственно. Для стохастического осциллятора традиционные пороговые значения составляют 20 (нижнее) и 80 (верхнее). В целом эти модели несли тяжелые убытки как в пределах, так и вне выборки (табл. 7- 3). Как и в предыдущих тестах, вход по лимитному приказу был наилучшим (т.е. имел минимальный убыток со сделки). Процент прибыльных сделок (37% в пределах, 36% вне пределов сделки) также был максимальным при использовании этого входа. Вход по стоп- приказу дал промежуточные результаты, по цене открытия — наихудшие. Торговая стратегия работала достаточно плохо в обеих выборках и на всех рынках. Вне пределов выборки небольшие прибыли были получены на рынке британского фунта и апельсинового сока со всеми видами входов, а при входе по стоп- приказу — на рынке леса, соевых бобов и живых свиней; отмечались еще некоторые неупорядоченные мелкие прибыли. В общем, эта модель принадлежит к числу худших из тестировавшихся.
Тесты 4—6. Модели RSI на основе понятия перекупленности/перепроданности.
Эта модель оценивалась с входом по цене открытия (тест 4), по лимитному приказу (тест 5) и по стоп- приказу (тест 6). Рассчитывался оригинальный RSI по Вильямсу, период — от 5 до 25 с шагом 1. Наилучшее значение для всех тестов составило 25. Использованы традиционные пороговые значения: 30 (нижнее) и 70 (верхнее). Модель работала еще хуже, чем стохастическая, процент прибыльных сделок в общем случае колебался от 26 до 37%. Средний убыток в сделке достигал $7000. Общая прибыль была лучше, чем в тесте стохастического осциллятора, и, поскольку было совершено меньше сделок, хотя убыток на сделку был больше, общий убыток оказался меньше. Модель не нашла какого- либо слабого места рынка, которое можно было бы использовать для получения прибыли. Лучше всего работал вход по лимитному приказу, прочие — примерно одинаково. Прибыль получена на значительно большем количестве отдельных рынков, особенно в тесте 5, где при входе по лимитному приказу прибыльными были в пределах выборки казначейские облигации, золото, серебро, платина, скот, овес и кофе; вне пределов выборки — золото, серебро, платина, скот и овес. Кроме того, вне пределов выборки прибыль удалось получить на рынках NYFE, британского фунта, мазута, кукурузы, сахара, апельсинового сока и леса.
Тесты моделей на основе сигнальной линии
В принципе, это модели, основанные на пересечении цены и скользящего среднего, с тем отличием, что ценовой ряд заменяется значениями осциллятора. В таком случае скользящее среднее называется сигнальной линией. Когда осциллятор опускается ниже сигнальной линии, открывают короткую позицию, когда поднимается выше, открывают длинную позицию.
Осцилляторы имеют меньшее запаздывание, чем скользящие средние, и менее зашумлены, чем собственно цены. Поэтому при использовании данной торговой системы можно надеяться на получение более своевременных и надежных сигналов. В тестах 7- 12 использованы стохастический осциллятор и MACD. Медленный %К обычно имеет сильно выраженное циклическое поведение, что делает его пригодным для входов на основе сигнальной линии. График MACD обычно строится с сигнальной линией, даже когда пересечения не рассматриваются как критерий входа.
Тесты 7—9. Модели на основе стохастического осциллятора с сигнальной линией.
Эта модель оценивалась с входом по цене открытия (тест 7), по лимитному приказу (тест 8) и по стоп- приказу (тест 9). Рассчитывался оригинальный Медленный %К по Лэйну, поскольку в предварительном тестировании Быстрый %К приводил к избыточному числу сделок, вызванных высоким уровнем шума. Сигнальная линия представляла собой простое скользящее среднее Медленного %К с периодом 3 дня. Период осциллятора — от 5 до 25 с шагом 1. Наилучшие значения для тестов 7, 8 и 9 составили 15, 14 и 11 соответственно. В целом модель несла тяжелые убытки в расчете на одну сделку. Ввиду большого количества сделок убытки были астрономическими. Вход по лимитному приказу был наилучшим (т.е. имел минимальный убыток в сделке и максимальный процент прибыльных сделок). Хуже всего работал вход по цене открытия. Эта модель положительно реагирует на использование стоп- приказов. Возможно, это связано с тем, что они действуют подобно фильтрам трендов: если обнаружено движение против тренда, прежде, чем сработает вход, разворот рынка должен подтвердиться. Входы по стоп- приказу также работали лучше в системах на пересечении скользящих средних. В общем, только на двух рынках была получена прибыль в пределах выборки, вне пределов — несколько мелких прибылей на других рынках; на рынке кофе удалось получить более $2000 в сделке.
Тесты 10—12. Модели MACD на основе сигнальной линии.
Эта модель оценивалась с входом по цене открытия (тест 10), по лимитному приказу (тест 11) и по стоп- приказу (тест 12). Рассчитывался классический MACD с использованием экспоненциальных скользящих средних. Период короткого скользящего среднего прогонялся от 3 до 15 с шагом 2, период длинного скользящего среднего — от 10 до 40 с шагом 5. Скользящее среднее, служащее сигнальной линией, имело традиционный фиксированный период, равный 9. В общем, этот осциллятор работал лучше, чем какой- либо из испытанных до сих пор. В пределах выборки лучшим был вход по лимитному приказу, худшим — по цене открытия. Вне пределов выборки вход по стоп- приказу давал максимальный (из полученных до сих пор) процент прибыльных сделок (40%) и минимальный средний убыток в сделке. В пределах выборки только рынок леса давал ощутимую прибыль при входе по лимитному приказу. При входе по стоп- приказу в пределах выборки были прибыльны также рынки живых свиней, свиной грудинки, кофе и сахара. Из них вне пределов выборки остались прибыльными лес, живые свиньи, свиная грудинка и кофе. Многие рынки, убыточные в пределах выборки, дали прибыль вне ее. Положительные результаты по максимальному количеству рынков были получены при использовании входа по стоп- приказу.
Тесты моделей, основанных на расхождении
Тесты 13 — 21 рассматривают расхождения графиков цены и стохастического осциллятора, RSI и MACD. Расхождение — это концепция, используемая техническими трейдерами для описания явления, легко заметного на графике, но трудно поддающегося алгоритмическому определению и анализу. Примеры расхождения изображены на рис. 7- 1. Расхождение появляется, когда рынок образует провал, более низкий, чем провал или пара провалов, образованных в это время осциллятором, указывая, таким образом, на покупку. Сигнал к продаже возникает в противоположной ситуации. Поскольку формы волн могут быть самыми разными, определение расхождений — нетривиальная задача. Хотя наш алгоритм устроен элементарно и далек от совершенства, при исследовании графиков он дает достаточно надежные результаты, чтобы сулить о качестве основанных на расхождении систем.
Мы будем обсуждать только сигналы покупки, поскольку сигналы продажи представляют собой их точную противоположность. Логика алгоритма такова: в течение обозреваемого исторического периода (1епЗ) находят дни с минимальным значением в ценовой серии и в значениях осциллятора. Затем проверяют ряд условий: во- первых, минимум ценового ряда не должен приходиться на текущий день (т.е. должно начаться повышение), но попадать в пределы прошлых шести дней (т.е. этот провал должен быть близок к текущему моменту). Минимум в ценовой последовательности должен иметь место не менее чем через четыре дня в последовательности значений осциллятора (глубочайший провал осциллятора должен опережать глубочайший провал цен). Еще одно условие состоит в том, чтобы минимальное значение осциллятора не приходилось на первый день в обозреваемом периоде (т.е. должен быть сформирован минимум). Лучше, чтобы осциллятор был в самом начале обратного движения (что определяет второй провал как сигнал к покупке). Если все условия выполнены, то расхождение налицо и отдается приказ на покупку. Если приказ на покупку не отдан, то подобным же образом производится поиск расходящихся пиков, и при их обнаружении и соответствии подобным критериям отдается приказ на продажу. Такая методика достаточно хорошо находит расхождения на графиках. За исключением вида входов, единственное различие в тестах с 13 по 21 — это используемый вид осциллятора.
Тесты 13—15. Модели расхождения цены и стохастического осциллятора.
Со стандартными входами использовался Быстрый %К. Оптимизация состояла в прогонке периода стохастического осциллятора от 5 до 25 с шагом 1 и обозреваемого периода расхождения от 15 до 25 с шагом 5. Лучшие параметры для периода и длины составили 20 и 15 для входа по цене открытия, 24 и 15 для входа по лимитному приказу и 25 и 15 для входа по стоп- приказу. Как в пределах, так и вне пределов выборки эффективность этой модели была в числе худших; в пределах выборки несколько лучше работал вход по лимитному приказу, вне пределов — вход по стоп- приказу. В пределах выборки при использовании всех видов входов прибыль была получена на рынках неэтилированного бензина, соевых бобов и соевой муки; при входе по лимитному приказу также были прибыльны рынки золота и свиной грудинки. Вне пределов выборки неэтилированный бензин был прибыльным со всеми видами входов, соевые бобы — при входах по цене открытия и по стоп- приказу. Вне пределов выборки прибыль была получена на большем количестве рынков, причем наилучших результатов удалось достичь при использовании входа по стопприказу. Такое явление, несомненно, показывает, что оптимизация не оказывала влияния на результаты, а также то, что на рынках в последние годы произошли изменения, повысившие эффективность использования подобных моделей. Это может быть объяснено снижением числа трендов и более неровным характером торговли на многих рынках.
Тесты 16—18. Модели расхождения цены и RSI. Оптимизация состояла в прогонке периода RSI от 5 до 25 с шагом 1 и обозреваемого периода расхождения от 15 до 25 с шагом 5. В общем, результаты были плохими. В пределах выборки наименее убыточным был вход по стоп- приказу, за ним следовал вход по лимитному приказу. Поскольку RSI — один из излюбленных индикаторов, используемых при поисках расхождения, такие плохие результаты достойны особого внимания. Мазут приносил прибыли со всеми видами входов, неэтилированный бензин был весьма прибылен при входе по цене открытия и по стоп- приказу, сырая нефть — при входе по лимитному приказу и по стоп- приказу. В пределах выборки со всеми входами были прибыльны соевые бобы, с входом по стоп- приказу неплохо работали апельсиновый сок, кукуруза, соевое масло и свиная грудинка. Вне пределов выборки рынок нефтепродуктов не приносил устойчивых прибылей, а соевые бобы оставались прибыльными со всеми видами входов; апельсиновый сок и соевое масло по- прежнему приносили прибыль при входе по стоп- приказу.
Тесты 19—21. Модели расхождения цены и MACD. Период короткого скользящего среднего прогонялся от 3 до 15 с шагом 2; период длинного скользящего среднего — от 10 до 40 с шагом 5; обозреваемый период расхождения — от 15 до 25 с шагом 5. Исследовались только те наборы параметров, где период длинного скользящего среднего был значительно больше, чем период короткого.
Наконец- то модели, которые работают, принося положительную прибыль и в пределах, и вне пределов выборки! При входе по цене открытия торговля была прибыльной в обоих образцах данных. В пределах выборки средняя сделка приносила $1393, прибыльными были 45% сделок, а вероятность случайности результатов была всего 8,7% (после коррекции 99,9%). И длинные, и короткие позиции были прибыльными. Несмотря на низкую статистическую достоверность в пределах выборки, вне ее пределов прибыли продолжались: с учетом проскальзывания и комиссионных средняя прибыль в сделке составила $140 при 38% прибыльных сделок (только короткие позиции были прибыльны).
Вход по лимитному приказу в пределах выборки работал несколько хуже, но вне пределов выборки — значительно лучше. На рис. 7- 2 изображен график изменения капитала для теста с входом по лимитному приказу. В пределах выборки средняя прибыль в сделке составила $1250 при 47% прибыльных сделок (максимальное из полученных значений); прибыльными были и длинные, и короткие позиции, причем вероятность случайности прибылей составила 13,1% (после коррекции 99,9%). Вне пределов выборки модель приносила в среднем $985 в сделке, была прибыльной в 44% сделок, а вероятность случайности прибыли составляла всего 27,7%. В пределах выборки вход по стоп- приказу давал максимальную среднюю прибыль в сделке, но вел к минимальному количеству сделок, из которых прибыльными были только короткие. Вне пределов выборки система терпела средний убыток размером в $589 в сделке, причем прибыльными были только короткие позиции. Вне зависимости от вида входов эта модель совершала сравнительно немного сделок.
Анализ отдельных рынков (табл. 7- 1 и 7- 2) подтверждает потенциал этих моделей. В пределах выборки больше рынков приносили прибыль, в обоих образцах данных по всем трем видам входов выгодны были рынки сырой нефти и кофе, многие рынки были прибыльными с двумя видами входов (например, мазут, живой скот, соевые бобы, соевая мука и лес).
Заключение
Вход по лимитному приказу обычно работает лучше всего при использовании моделей на основе пробоев и скользящих средних. Возможно, это связано с тем, что он минимизирует транзакционные расходы. Вход по стоп- приказу также иногда повышает эффективность, что зависит от его взаимодействия с моделью входа. Для некоторых осцилляторных систем, например для прибыльной системы на MACD, предпочтителен вход по стоп- приказу, так как этот тип приказа является фильтром трендов.
Существует взаимодействие между определенными осцилляторами и моделями. Модели на расхождении, например, хорошо работали с MACD, но отвратительно с RSI. Такие результаты показывают, что следует тестировать все сочетания модели и индикатора, поскольку возможны комбинации, работающие гораздо эффективнее других.
Поставщики и источники данных
Сегодня существует множество источников для получения данных. Данные можно получать от поставщиков за отдельную плату, скачивать с различных бирж, получать из различных баз данных, доступных в Интернете и на компакт- дисках.
Поставщики, взимающие дополнительную плату, такие как Tick Data и Pinnacle, данные которых широко использовались в работе над книгой, могут снабжать трейдеров достаточно чистыми данными в удобном для использования формате. Они также предлагают удобные службы обновления и, по крайней мере Pinnacle, обеспечивают автоматическую коррекцию ошибок, что облегчает хранение надежной большой базы данных.
Среди известных поставщиков данных на конец дня с товарных бирж можно отметить Pinnacle Data Corporation (800- 724- 4903), Prophet Financial Systems (650- 322- 4183), Commodities Systems Incorporated (CSI, 800- 274- 4727) и Technical Tools (800- 231- 8005). Внутридневные исторические данные, необходимые для тестирования систем, можно приобрести у Tick Data (800- 822- 8425) и Genesis Financial Data Services (800- 621- 2628). Трейдерам, ведущим дневную торговлю, следует также обратить внимание на Data Transmission Network (DTN, 800- 485- 4000), Data Broadcasting Corporation (DBC, 800- 367- 4670), Bonneville Market Information (BMI, 800- 532- 3400) и FutureSource- Bridge (800- 621- 2628); эти поставщики предлагают быстрые котировки в реальном времени, необходимые для успешной дневной торговли. Данные о других источниках котировок можно найти у Мэрдера (Marder, 1999), сравнительный обзор поставщиков данных на конец дня естьуНайта (Knight, 1999).
Данные не обязательно покупать у коммерческих поставщиков. Иногда их можно получить непосредственно с места событий — различные биржи порой поставляют данные потребителям напрямую. Данные по опционам можно найти в Интернете на сайте Чикагской торговой биржи (СВОТ). Когда вводится новый контракт, биржа публикует всю актуальную информацию по данному контракту. В некоторых случаях это — единственный способ получить доступ к данным быстро и дешево.
В конце концов необъятное количество баз данных может быть найдено в Интернете с помощью броузера или ftp- клиента. Сейчас практически все доступно в онлайне: например, министерства финансов поддерживают базы данных по экономическим показателям и индикаторам циклов деловой активности. NASA — замечательный источник для всевозможных солнечных и астрономических данных. Национальный центр климатических данных (NCDC) и Национальный центр геофизических данных (NGDC) предлагают данные о погоде и геофизические показатели. Для любителя путешествовать по Сети найдется необъятное изобилие данных в самых разнообразных форматах. Здесь, впрочем, лежит другая проблема — для поиска нужен некоторый уровень умения и, возможно, навыки в программировании и написании скриптов, а также много времени на поиск, переформатирование и очистку данных. Поскольку время — деньги, лучше всего положиться на поставщика данных с хорошей репутацией для приобретения основных котировок и использовать Интернет и другие источники для получения более экзотических и труднодоступных данных.
Дополнительные источники данных также включают базы, доступные в библиотеках и на компакт- дисках. ProQuest и другие профессиональные базы с возможностью получения полного текстового содержания часто бывают доступны в общественных библиотеках, так что данные можно скопировать на принесенную с собой дискету. Не забывайте о периодических изданиях, таких как Investor's Business Daily, Barton's и The Wall Street Journal; они могут быть замечательными источниками некоторых видов информации и во многих библиотеках доступны в виде микрофильмов.
Наиболее удобно хранить данные в ASCII- текстовом формате. Этот формат легко конвертируется и читается разнообразными приложениями — от текстовых редакторов до программ построения графиков.
Что мы узнали?
Для получения наилучших результатов требуется применять вход по лимитному приказу. Впрочем, следует также протестировать вариант со стоп- приказом, поскольку иногда он работает лучше.
При тестировании моделей, где применимы различные индикаторы, следует проверить несколько индикаторов в поисках оптимального.
Пытайтесь алгоритмизировать идеи, обычно используемые субъективно и бессистемно. Иногда это может быть чрезвычайно сложным, потребует применения методов нечеткой логики или нейронных сетей, а также других специализированных методов.
Сезонность
Представьте себе, что завтра — 7 июня 1997 г. И перед вами стоит вопрос: торговать или нет? Если вы будете торговать, то входить надо будет по открытию и выходить по закрытию. Вам также необходимо решить, как войти в рынок. Открыть длинную или короткую позицию? В качестве части процесса принятия решения Вы исследуете поведение рынка в каждое 7 июня за несколько последних лет (например, за 10). Вы заносите в таблицу следующие данные: количество дней с датой 7 июня, когда проводились торги, среднее изменение цены с открытия до закрытия и процент времени, когда рынок поднимался или падал. Предположим, за последние 10 лет было 8 случаев, когда рынок был открыт и проводились торги. Из этих случаев, допустим, рынок закрылся выше открытия 6 раз (75%), и среднее изменение цены равнялось 2,50 (правдоподобная цифра для S&P 500). На основе этой информации вы размещаете торговый приказ на покупку завтра по открытию и выход по закрытию. Завтрашним вечером вы повторяете процедуру для 8 июня, на следующий вечер для 9 июня и т.д. Это одна из форм сезонной торговли. Сделаете ли Вы таким образом Вашу торговлю прибыльной? Будет ли Ваша торговля хоть немного лучше случайной? Вот вопросы, которые возникают при обсуждении сезонной торговли и на которые эта глава пытается ответить.
Операционная система Windows -Пособие для начинающихЧто такое сезонность?
Термин сезонность используется трейдерами по- разному. Некоторые рассматривают сезонность как явление, строго связанное с четырьмя временами года: например, увеличение спроса на мазут для систем отопления зимой и на бензин летом. Другие допускают более широкую трактовку, которая учитывает погодные условия и предвыборные ситуации.
Годами многочисленные статьи в научных журналах демонстрировали, что акции наиболее быстро растут в первых числах каждого месяца.
Предпринимались обсуждения так называемого эффекта января, согласно которому акции имеют тенденцию к росту в январе. Ганнула (Hannula, 1991) использовал сезонные циклы в своей собственной торговле, предоставляя в качестве примера график цены акций EXABYTE с отмеченными сильными сезонными проявлениями. Он также обсуждал другое явление, иногда наблюдаемое в связи с сезонными моделями, при котором максимумы и минимумы меняются местами. Эту картину мы также наблюдали, и она, возможно, может заслуживать исследования. Другие факторы, которые влияют на различные рынки, возникают в определенные календарные даты и, следовательно, должны вызывать сезонные эффекты. Например, заполнение налоговых деклараций повторяется из года в год в одно и то же время. Легендарный трейдер Ганн явно учитывал ежегодно повторяющиеся особенности в своей торговле. В курсе домашнего обучения по проблемам сезонности Бернстейн (Bernstein, 1995) советует открывать позиции при достижении существенных минимумов и максимумов, а также в случае, когда имеет место существенное движение цены в течение ряда лет. Этот подход, как и подход Ганнулы, может привести к включению в рассмотрение сделок, продолжительностью от нескольких недель до нескольких месяцев.
В 1990 г. мы первыми опубликовали Диаграмму Календарных Эффектов — набор таблиц и график, которые показывают связь поведения индекса S&P с текущей календарной датой. Диаграмма показывает общий восходящий тренд с января по сентябрь, а затем медленное падение до 24 октября. Затем рынок, как правило, достигает своего дна, после чего резко растет до конца года. При более детальном рассмотрении видно, что резкий рост цен случаетсяна протяжении большей части января, первой половины апреля и первой половины июля. Пик достигается 8 октября, после чего следует резкое падение вплоть до минимума 24 октября.
При подготовке таблиц и диаграмм для этой публикации все экстремальные изменения цен были ограничены на уровне ア2% для предотвращения их чрезмерного влияния на результаты. Следовательно, сезонное понижение цен в октябре и другие упомянутые явления не могут объясняться одиночными событиями определенных лет, например кризисом 1987 г.
Некоторые даты отличаются чрезвычайно стабильно повторяющимися ценовыми моделями. Например, если вход в рынок осуществлялся по закрытию 14 апреля, а выход — днем позже, в более чем 90% случаев можно было получить определенную прибыль. Вход 6 мая с выходом на день позже давал в результате прибыль в 100% случаев, как и вход 13 июля с продажей на следующий день. Рынок падал в 90% случаев с 18 по 19 октября и в 89% случаев с 16 до 17 октября. Хотя кризис 1987 г. привел к значительно большему, чем обычно, падению цен, наличие спада на момент кризиса совсем не было неожиданным. Чтобы попытаться уловить высокую вероятность кратковременных движений рынка, можно использовать Диаграмму Календарных Эффектов для открытия позиций продолжительностью в один или два дня. Например, такая методология могла бы побудить трейдера открыть короткую позицию 16 октября и выйти из рынка 19 октября, получив колоссальную прибыль на обвале рынка 1987 г. Данные, представленные в этой публикации, могли бы также помочь сохранять позиции в течение периодов значительных подъемов и спадов.
Были и другие исследования, указывающие на наличие ярко выраженных сезонных эффектов на рынке, которые могут быть использованы для прибыльной торговли. Проведенные нами исследования (Katz, McCormick, апрель 1997) показали, что кратковременное сезонное поведение может быть использовано для торговли индексом S&P 500. Система использовала пересечение быстрых скользящих средних, которые вычислялись на основе ценовых прогнозов, проведенных с помощью сезонной методологии. В связи с тем, что ожидаемые цены могут вычисляться, по крайней мере, на год вперед, запаздывание пересечения скользящего среднего легко компенсировалось смещением, что дало системе возможность производить сделки на пересечениях, происходящих через несколько дней после факта. Сделки, выполняемые системой, обычно длятся 7 — 8 дней — весьма краткосрочная модель сезонной торговли. Система оказалась прибыльной: она заработала $329 900 на S&P 500 с 3 января 1986 г. по 8 ноября 1996 г. Тест не учитывал затраты на осуществление сделок, но, если вычесть общие комиссионные ($15) и затраты на проскальзывание (по $75 на сделку), все равно полученная прибыль составит $298 310 (понижение около 10%). Доход за весь период— 732%. Если предположить, что торговля осуществлялась фиксированным количеством контрактов, это дает в среднем более 70% годовых при условии отсутствия реинвестирования прибыли. Была осуществлена 351 сделка, 60% которых были выигрышными. Прибыльными были как длинные, так и короткие позиции. Средняя сделка приносила $939 — неплохо для простой сезонно- ориентированной торговой системы. Подобные открытия позволяют предположить наличие на рынке сильных сезонных тенденций, которыми могут воспользоваться трейдеры. Таким образом, исследования в этой области вполне оправданы.
Для наших текущих целей сезонность определяется как циклический или повторяющийся феномен, жестко привязанный к календарю. Этот термин используется в широком смысле для обозначения особенностей поведения рынка, привязанных к времени года или к конкретным датам, включая годовщины критических событий (например, обвал 16 октября 1987 г.). Короче говоря, сезонность определена как календарно- зависимый циклический феномен. При этом очевидно, что, хотя все сезонные проявления являются циклическими, не все циклы являются сезонными.
Формирование сезонных входов
Существует большое количество способов определения времени входа с использованием сезонных ритмов. Проанализируем два основных подхода: импульс цены и пересечение. Для вычисления импульса цены подсчитывается ряд ценовых изменений и используется центрированное сглаживание (сглаживание, которое не вносит никаких задержек или сдвигов фазы; в данном случае используется центрированное треугольное скользящее среднее). Каждое изменение (или разница) в ряду ценовых изменений нормируется и делится на 50- дневный средний истинный диапазон. Для каждого торгового дня определяется календарная дата. Примеры одинаковых календарных дат ищутся в прошлом. Для каждого такого момента рассматривается ценовой импульс, величина которого усредняется для каждой календарной даты. Усредненный импульс помещается в ряд сезонных импульсов для текущей даты. Ряд сезонных импульсов определяет ожидаемую скорость изменения цен в заданный момент времени. Основанием для этого служит история движения цен в указанный день в разные годы. Значение сезонного импульса для некоторой календарной даты определяется только событиями однолетней или большей давности.
Вот почему возможно использование центрированного скользящего среднего и других методик, заглядывающих вперед во времени относительно рассматриваемого дня. Когда сезонный импульс пересекает сверху некий положительный порог, происходит покупка. Когда импульс пересекает снизу некий отрицательный порог, происходит продажа. Покупка или продажа могут осуществляться по одному из трех стандартных приказов; по открытию, лимитному приказу или стоп- приказу. Входы могут также быть получены путем вычисления ценовых различий, их нормировки, применения процедуры интегрирования или суммирования рядов (для получения варианта псевдоценовых рядов, основанных на всех имеющихся примерах каждой календарной даты) и последующего использования модели пересечения скользящих средних. Поскольку значение сезонного импульса для каждой календарной даты в ряду определяется только по торговым дням, относящимся к предыдущему или более отдаленным годам, задержка системы пересечения скользящих средних может быть компенсирована простой экстраполяцией на несколько дней вперед.
Оба описанных выше метода по природе адаптивны, т.е. не требуют точной информации о дате размещения ордера на продажу или покупку.
Адаптивные свойства вышеупомянутых методов важны, поскольку разные рынки по- разному реагируют на сезонные влияния, что понятно логически и подтверждается предыдущими исследованиями.
В этом исследовании также тестировались несколько правил, использующих подтверждения и инверсии для поиска вариантов, работающих лучше основной модели. Подтверждение означает, что для поддержки генерируемого моделью сигнала используются дополнительные данные. Например, представьте, что модель генерирует сигнал на покупку для данного торгового дня. Если все идет так, как ожидается, то ко времени покупки рынок будет близок к минимуму. Если же рынок в это время образует вершину, то достоверность сигнала находится под сомнением, поскольку рынок не следует типичному сезонному поведению. При существовании таких видимых противоречий было бы полезно иметь дополнительные критерии для принятия решения. Модель на основе пересечения с подтверждением использует принцип пересечения с дополнительным правилом, которое должно выполняться для срабатывания сигнала: например, если подается сигнал на покупку, то показатель Медленного %К должен быть менее 25%, что означает близость рынка к минимуму за последнее время. Соответственно, если подается сигнал на продажу, то Медленный %К должен быть выше 75%, означая близость рынка к максимуму за последнее время, соответственно ожидаемому циклическому поведению. Модель на принципе подтверждения и инверсии добавляет еще один элемент: если основная модель подает сигнал на покупку, а в это время рынок по показателю Медленного %К близок к максимуму (более 75%), то считается, что произошел разворот, и вместо приказа на покупку отдается сигнал на продажу. Если система подает сигнал на продажу, а рынок близок к минимуму (Медленный %К менее 25%), то отдается приказ на покупку.
Характеристики сезонных входов
Представьте систему, основанную на простом пересечении скользящих средних. Такая система обычно хорошо улавливает тренды, но отстает от рынка и подвержена пилообразным скачкам. Если использовать более длинные скользящие средние, то можно избежать скачков за счет увеличения запаздывания системы. Теперь добавим к системе сезонность — применим следующие за трендом скользящие средние не к ценам, а к ряду данных, отображающему сезонные приливы и отливы рынка. Затем рассчитаем сезонный ряд данных так, чтобы сезонный эффект прогнозировался на несколько дней вперед — достаточно, чтобы избавиться от запаздывания! Таким образом, будет создана система без запаздывания (несмотря на использование медленных, сглаженных скользящих средних), которая следует за сезонными трендами. Способность таким образом избавляться от запаздывания связана с одной из характеристик сезонных систем — предсказуемостью сезонных моделей. Другими словами, сезонные модели прогнозируют рынок, а не просто реагируют на него.
Следовательно, сезонные модели позволяют определить точки разворота до их реального возникновения и могут быть использованы в качестве основы противотрендовых торговых систем. Более того, прогнозы делаются задолго до событий, что позволяет достичь высокой степени сглаживания, предупреждающего или, по крайней мере, смягчающего множество ложных сигналов, характерных для менее сглаженных систем.
Еще одна полезная характеристика сезонных моделей — возможность определить дату сделки на дни, месяцы и даже годы вперед, что, несомненно, полезно.
Сезонность не лишена отрицательных сторон. Степень предсказуемости любого конкретного рынка при помощи модели может быть низкой. Прибыль или вероятность прибыльности средней сделки также может быть невысокой. Если происходит разворот, не предусмотренный в торговой системе, можно понести тяжелые убытки, поскольку система может привести к входам точно по максимальной цене или к выходам точно по минимальной.
Степень полезности и достоверности прогнозов сезонных моделей, а также вероятность возникновения непредсказуемых разворотов и необходимость их учитывать будут темами нашего эмпирического исследования.
Виды приказов, используемых для осуществления сезонных входов
Входы, основанные на сезонных сигналах, могут реализовываться тремя способами: при помощи стоп- приказов, лимитных или рыночных приказов. Поиск наиболее подходящего для данной модели входа является одной из важных задач разработчика торговых систем.
Приказы, обеспечивающие вход в рынок, имеют свои достоинства и недостатки. Преимущество рыночного приказа в том, что ни один сигнал на вход не будет пропущен. Стоп- приказ гарантирует, что в системах следования за трендом ни один значительный тренд не будет пропущен, а в противотрендовых системах полезным может отказаться то, что ни один приказ не будет выполнен без подтверждения движения рынка в благоприятном направлении. Недостатками являются увеличенное проскальзывание и менее оптимальные цены входа. Лимитный приказ обеспечивает оптимальную цену и минимальные расходы на сделку, но при ожидании отката до цены лимитного приказа можно пропустить важные тренды, а при торговле против тренда использование лимитного приказа приведет к менее выгодным ценам входа. Вход будет выполнен по цене лимитного приказа, а не по цене, определенной отрицательным проскальзыванием, которое иногда возникает при движении рынка против сделки на момент входа.
Методология тестирования
Для тестирования методов сезонных входов использованы данные с 1 августа 1985 г. по 31 декабря 1994 г. (оптимизационная выборка) и с 1 января 1995 г. по 1 февраля 1999 г. (период вне пределов выборки). Для исследования сезонности выборка размером около 10 лет является недостаточно протяженной. При обсуждении сезонных сигналов упоминалась практика расчета сезонного импульса (или же среднего поведения цен) на основе данных за предыдущие годы. Ввиду небольшого размера выборки расчеты будут основываться не только на прошедших, но и на будущих годах. Для этого используется специальная методика — так называемый подход складного ножа.
Метод перебирает целевые даты, перемещаясь вдоль временного ряда.
Если при усреднении сезонных эффектов использовать только соответствующие календарные даты прошлых лет, то для точек, приходящихся на начало выборки, таких данных очень мало или вообще нет. Поскольку для получения приемлемого сезонного среднего требуется не менее 6 лет, то для большей части периода выборки (всего 10 лет) расчет будет невозможен. Следовательно, данных для оптимизации важных параметров или анализа эффективности работы модели в пределах выборки явно недостаточно. Хорошо известный статистический метод складного ножа помогает решить проблему с недостатком данных.
Представьте, что рассчитывается сезонное поведение начиная с 1 июня 1987 г. Если использовать только данные из пределов выборки, то пришлось бы ограничиться данными за 1986 и 1985 гг. При использовании метода складного ножа в расчет можно включать даты не только из прошлого, но и из относительного будущего, т.е. с 1988 г. по 1994 г. Если год, для которого значение целевой даты рассчитывается (1987), удалить из пределов выборки, то сезонное поведение можно будет рассчитывать на основе 9 лет данных, а этого вполне достаточно. Подобная процедура оправданна, поскольку данные, исследуемые для получения прогноза, не зависят от прогнозируемых данных. Данные, используемые для получения прогнозов, отстоят от целевой даты не менее чем на год — следовательно, они не загрязнены текущим состоянием рынка. Этот метод позволяет значительно увеличить размер выборки, не снижая количество степеней свободы.
Для оценки влияния сезонных факторов вне пределов выборки были использованы все прошедшие годы. Например, для получения данных, соответствующих 14 января 1999 г., был использован метод всех прошедших лет: в анализ были включены данные с 1998 г. по 1985 г. Таким образом, ни один из расчетов вне пределов выборки не основывается на данных из будущего или настоящего времени.
Все тесты, следующие ниже, проведены с использованием сезонных входов на основе разнообразного портфеля рынков. Использованы стандартные выходы, как и в других исследованиях моделей в этой книге.
Позиции закрываются при срабатывании стандартного выхода или при получении сигнала на вход в противоположном направлении. Использована стандартная платформа тестирования. Ниже приведен код для тестирования сезонной торговли.
void SeasonalAvg (float *a, float *v, float *dt, int mode,
int m, int n) {
// Подсчитывает сезонное среднее для каждой календарной даты,
// основанное на предыдущих и (в некоторых случаях) на последующих
// годах. Работает на всех сериях данных.
// а — вне: значений [1..n] сезонных средних
// v — в: оригинальных сериях данных [1..n]
// dt — в: сериях [1..n] соответствующих дат
// mode — в: методе анализа:
// 1 = складной нож в пределах выборки, все
последние годы вне выборки
// 2 = фиксированный период анализа, выраженный в
// годах
// m — в: дата (режим = 1) или период анализа (режим = 2)
// n — в: число дней во всех рядах данных
static int i, j, cnt;
static unsigned long k;
static float sum, sdate;
if(mode == 1) { // режим складного ножа
for(i = 1; i <= n; i++) { // для каждой текущей даты
sum = 0.0; cnt = 0;
for{j = 1; j < 100; j++) { // двигаемся назад к
sdate = f(int)dt[i] - 10000 * j); // исходной дате
if (sdate < dt[3]) break; // переход к началу
k = max(0, (int){i- 260.893*j)); // приблизительный индекс
hunt(dt, n, sdate, &k) ; // находим точный индекс
if(sdate > dt[k]) k++;
if(sdate = dt[k]) continue;
cnt++; sum += v[k]; // накапливаем среднее
)
for(j = 1; j < 100; j++) { // двигаемся вперед
sdate = ((int)dt[i] + 10000 * j); //к исходной дате
if(sdate > m) break; // избегаем данных вне выборки
k = min(n, (int)(i+260.893*j); // приблизительный индекс
hunt(dt, n, sdate, &k); // находим точный индекс
if(sdate > dt[k]) k++;
if(sdate = dt[k]) continue;
cnt++; sum += v[k]; // накапливаем среднюю
}
a[i] = sum / (cnt + l.OE- 20); // заканчиваем среднюю
} // следующая текущая дата
}
else if(mode == 2) { // режим фиксированного периода
// анализа
for {i = 1; i <= n; i++) { // для каждой текущей даты
sum = 0.0; cnt = 0;
for(j = 1; j < 100; j++) ( // идем вперед
if(cnt >= m) break; // достаточность лет для теста
sdate = ((int)dt[i] - 10000 * j); // исходная дата
if (sdate < dt[3]) break; // идем к началу
k = max(0, (int)(i- 260.893*j)); // приблизительный индекс
hunt(dt, n, sdate, &k) ; // находим точный индекс
if(sdate > dt[k]) k++;
if(sdate = dt[k]) continue;
cnt++; sum += v[k]; // накапливаем среднюю
}
for(j = 1; j < 100; j++) ( // идем вперед
if (cnt >= m) break; // достаточность лет для теста
sdate = ((int)dt[i] + 10000 * j); // исходная дата
k = min(n, (int)(i+26Q.893*j)); // приблизительный индекс
hunt(dt, n, sdate, &k); // находим точный индекс
if(sdate > dt[k]) k++;
if(sdate = dt[k]) continue;
cnt++; sum += v[k]; // накапливаем среднюю
}
a[i] = sum / cnt; // заканчиваем среднюю
} // следующая текущая дата
}
static void Model (float *parms, float *dt, float *opn, float *hi,
float *lo, float *cls, float *vol, float *oi, float *dlrv, int nb,
TRDSIM &ts, float *eqcls) {
// Использование моделей, основанных на факторе сезонности.
// File = x12mod01.c
// parms — набор [1..MAXPRM] параметров
// dt - набор [l..nb] дат в формате ГГММДД
// орn — набор [1..nb] цен открытия
// hi - набор [l..nb] максимальных цен
// 1о — набор [1..nb] минимальных цен
// cls - набор [l..nb] цен закрытия
// vol — набор [1..nb] значений объема
// oi — набор [1..nb] значений открытого интереса
// dlrv — набор [1..nb] средних долларовой волатильности
// nb - количество торговых дней в наборе данных
// ts — ссылка на класс торгового симулятора
// eqcls — набор [1..nb] уровней капитала при закрытых позициях
// объявляем локальные переменные
static int rc, cb, neontracts, maxhold, ordertype, signal;
static int avglen, disp, k, modeltype, rnatype;
static float mmstp, ptlim, stpprice, limprice, tmp, thresh;
static float exitatr[MAXBAR+1];
static float savg[MAXBAR+1] , pchg[MAXBAR+1] , stoch[MAXBAR+1] ;
static float ma1[MAXBAR+1] , ma2 [MAXBAR+1] ;
// копируем параметры в локальные функции для удобного обращения
avglen = parms[1]; // длина скользящей средней
disp - parms[2]; // фактор смещения
thresh = parms[3]; // пороги для импульсных моделей
matype = parms[7]; // тип скользящей:
// 1=простое скользящее среднее
// 2- экспоненциальное
// 3=треугольное с передним взвешиванием
// 4- треугольное
// 5=простое центрованное
// 6 =экспоненциальное центрированное
// 7 =треугольное центрированное
modeltype = parms[8]; // тип модели:
// 1- импульс
// 2- пересечение
// 3=пересечение с подтверждением
// 4=пересечение с подтверждением и инверсией
ordertype = parms[9]; // вход: 1- на открытии, 2- по лимитному приказу,
// 3 - по стоп - приказу
maxhold = 10; // период максимального удержания позиции
рt1irn = 4 ; // целевая прибыль в единицах волатильности
mmstp = 1; // защитная остановка в единицах волатильности
// выполняем вычисления для всех данных, используя процедуры быстрой
// обработки массивов
AvgTrueRangeS(exitatr,hi,lo, cls, 50, nb) ; // средний истинный диапазон для
// выхода
pchg[l] = 0.0;
for(cb =2; cb <= nb; cb++) {
tmp = cls[cb] - cls[cb- l]; // изменение цены
tmp = tmp / exitatr[cb]; // нормирование
pchg[cb] = clip(tmp, - 2.0,2.0); // клиппинг
}
switch(modeltype) {
case 1 // данные для импульсной модели
SeasonalAvg(savg,pchg,dt,1,OOS_DATE,nb); // сезонности
MovAvg{savg,savg,matype,avglen,nb); // сглаживание
// скользящей
for(cb = 1; cb <= nb; cb++)
rna2 [cb] = fabs (savg [cb] } ;
MovAvg(mal, ma2, 1, 100, nb}; // среднее отклонение
break;
case 2: case 3: case 4: // данные для модели пересечения
SeasonalAvg(savg,pchg,dt,1,OOS_DATE,nb); // сезонности
for(cb =2; cb <= nb; cb++)
savg [cb] = savg[cb- l] ; // объединение
MovAvg{mal,savg,matype,avglen,nb); // сглаживание среднего
MovAvg(ma2,rnal,matype,avglen,nb) ; // пересечение средней
if(modeltype ==3 modeltype == 4) // стохастический
// осциллятор
StochOsc(stoch,hi,lo,cls,1,9 , nb) ; // 9- дневный Быстрый %К;
break;
default: nrerror{"TRAPSMOD: invalid modeltype");
}
// проходим через торговые дни, чтобы смоделировать реальную торговлю
for(cb = 1; cb <= nb; cb++) {
// не открываем позиций в периоде подсчета
// ... то же самое, что установка MaxBarsBack в TradeStation
if(dt[cb] < IS_DATE) { eqcls[cb] = 0.0; continue; }
// выполняем ожидающие приказы и считаем кумулятивный капитал
rc = ts.update (opn [cb] , hi [cb] , lo [cb] , cls [cb] , cb) ;
if(rc = 0) nrerror("Trade buffer overflow");
eqcls [cb] = ts.currentequity(EQ_CLOSETOTAL) ;
// не входим в сделки в последние 30 дней внутри выборки
// оставляем место в массивах для будущих сезонностей
if(cb > nb- 30) continue;
// считаем количество контрактов для позиции
// ... мы хотим торговать эквивалентом долларовой волатильности
// ... двух новых контрактов на S&P- 500 от 12/31/98
neontracts = RoundToInteger{5673 . О / dlrv[cb]) ;
if(ncontracts < 1) ncontracts = 1;
// избегаем устанавливать приказы на дни с ограниченной торговлей
if(hi[cb+l] == lo[cb+l]) continue;
// генерировать входные сигналы, цены стоп- и лимитных приказов
// для всех моделей сезонного входа
signal = 0;
switch{modeltype) {
case 1: // основная модель входа на основе порогов импульса
k = cb + disp;
tmp = thresh * mal[k];
if(savg[k] > tmp && savg [k- 1] <= tmp)
signal = 1;
else if (savg [k] < - tmp && savg[k- 1] >= - tmp)
signal = - 1;
break;
case 2: // основная модель входа на пересечении
k = cb + disp;
if(CrossesAbove(mal, ma2, k)) signal = 1;
else if{CrossesBelow(mal, ma2, k)} signal = - 1;
break;
case 3: // пересечение с подтверждением
k = cb + disp;
if(CrossesAbove(mal, ma2, k)) {
if(stoch[cb] < 25.0) signal = 1;
}
else if(CrossesBelow(mal, ma2, k)) (
if(stoch[cb] > 75.0) signal = - 1;
}
break;
case 4: // пересечение с подтверждением и инверсией
k = cb + disp;
if(CrossesAbove(mal, ma2, k)) (
if(stoch[cb] < 25.0) signal = 1;
else if(stoch[cb] > 75.0) signal = - 1;
}
else if(CrossesBelow(mal, ma2, k)) {
if(stoch[cb] > 75.0) signal = - 1;
else if(stoch[cb] < 25.0) signal = 1;
)
break;
default: nrerror("TRAPSMOD: invalid modeltype");
}
limprice = 0.5 * (hi[cb] + lo[cb]);
stpprice = cls[cb] + 0.5 * signal * exitatr[cb] ;
// входим в сделку, используя определенный тип приказа
if (ts.position)) <= 0 && signal == 1) (
switch(ordertype) { // выбираем желаемый тип приказа
case 1: ts.buyopen('1', ncontracts) ; break;
case 2: ts.buylimit('2', limprice, ncontracts); break;
case 3: ts.buystop('3' , stpprice, ncontracts); break;
default: nrerror("Invalid buy order selected");
}
}
else if (ts.position1) >= 0 &&. signal == - 1) (
switch(ordertype) { // выбираем желаемый тип приказа
case 1: ts.sellopen('4', ncontracts); break;
case 2: ts.selllimit('5', limprice, ncontracts); break;
case 3: ts.sellstop('6' , stpprice, ncontracts); break;
default: nrerror("Invalid sell order selected");
}
}
// симулятор использует стандартную стратегию выхода
tmp = exitatr[cb];
ts.stdexitcls('X', ptlim*tmp, mmstp*tmp, maxhold);
} // обрабатываем следующий день
)
Определив локальные переменные и векторы, первый блок программы копирует различные параметры в соответствующие переменные для более удобного и понятного обращения к ним. Параметры описаны в ссылках, размещенных в коде.
Следующий блок проводит все расчеты на полной серии данных. Средний истинный интервал для 50 дней рассчитывается и сохраняется в векторе (exitatr). Впоследствии он будет использоваться для размещения защитных остановок управления капиталом и целевых уровней прибыли в стандартизованной стратегии выхода. Средний истинный интервал в этом векторе (или в ряду данных) также используется для нормализации возникающих в ходе работы программы изменений цен.
После вычисления среднего истинного интервала рассчитываются нормализованные и обрезанные изменения цен. Каждая точка в ряду данных pchg отражает изменение цены между ценами закрытия текущего и предшествующего дней. Изменения цены затем нормализуются путем деления их на средний истинный интервал и обрезаются для снижения влияния экстремальных перепадов цены (статистических выбросов). Нормализация необходима, поскольку волатильность рынков меняется со временем иногда очень сильно. Например, сейчас индекс S&P 500 в 5 и более раз дороже, чем 15 лет назад. Очевидно, что и средняя дневная волатильность изменилась соответствующим образом. Если бы изменения цены не подвергались нормализации и не представлялись в единицах текущей волатильности, сравнение сезонных явлений за разные годы было бы искаженным. Годы, когда волатильность была выше, давали бы больший вклад, чем годы с низкой волатильностью. В случае S&P 500 последние годы полностью доминировали бы при проведении усреднения, а при нормализованном представлении каждый год вносит почти одинаковый вклад. Срезание выбросов проводится на уровне — 2 и + 2 средних истинных интервала, чтобы удалять случайные и аномальные значения, не искажая общую оценку.
Опция выбора modeltype определяет, какие операции проводятся далее. Значение 1 выбирает основную импульсную модель. Сезонные показатели рассчитываются для обрезанных и нормализованных изменений цен, причем в пределах выборки используется метод складного ножа, а вне пределов выборки — метод всех прошедших лет. Эти операции обеспечиваются вызовом функции SeasonalAvg. Временной ряд сезонных показателей затем сглаживается скользящим средним (вид среднего устанавливается параметром matype, а длина— параметром avglen). Затем рассчитывается временной ряд средних абсолютных отклонений сезонных импульсов. Этот ряд представляет собой простое скользящее среднее с периодом 100 дней от ряда абсолютных значений сезонных импульсов, которое затем используется в дальнейших расчетах уровней порогов. Значения modeltype 2, 3 и 4 представляют собой вариации моделей, основанных на пересечении. Сезонные показатели рассчитываются, и показатель изменения цены для каждого дня интегрируется (вычисляется бегущая сумма), в результате образуется новый ряд, ведущий себя подобно ценовому ряду. Эта синтезированная серия отображает движение цен на основе типичного поведения рынка в предшествующие и, возможно, в будущие годы. Затем рассчитываются два скользящих средних: та! (скользящее среднее интегрированного сезонного ряда типа matype с периодом avglen) и та2 (сигнальная линия для определения момента пересечения, представляет собой скользящее среднее ma1 с теми же параметрами matype и avglen). Если же выбран modeltype 3 или 4, то проводятся дополнительные расчеты для моделей с подтверждением и/или инверсией; в данном случае рассчитывается значение Быстрого %К с периодом 9 дней, которое затем сохраняется в векторе stoch.
Следующий блок кода включает цикл, последовательно перебирающий все торговые дни в ряду данных, — такой же цикл, как и во всех предыдущих главах, посвященных стратегиям входа. Первые его строки обеспечивают обновление симулятора, рассчитывают количество контрактов в сделке и пропускают дни с ограниченной торговлей. Следующие строки генерируют сигналы входа для моделей, основанных на сезонных факторах. В зависимости от значения параметра modeltype используется один из четырех подходов.
Modeltype 1 представляет базовую модель, основанную на пороге ценового импульса. Порог рассчитывается как произведение множителя, определяющего относительную величину порога (thresh) на среднее абсолютное отклонение сезонного импульса за прошлые 100 дней. Сигнал к покупке генерируется, если сумма сезонного импульса (savg) и параметра смещения (disp) поднимается выше уровня порога. Если данная сумма опускается ниже величины, равной значению порога со знаком минус, подается сигнал на продажу. Иными словами, если для данного дня плюс- минус несколько дней (disp) предсказывается достаточно сильный сезонный импульс цен, то торговля ведется в направлении ожидаемого движения.
Modeltype 2 представляет базовую модель пересечения и использует скользящие средние интегрированных сезонных показателей текущего дня плюс фактор смещения. Если первое скользящее среднее поднимается выше второго, генерируется сигнал к покупке. В противоположном случае генерируется сигнал к продаже. Фактор смещения позволяет модели искать моменты пересечения, которые произойдут в будущем через несколько дней. Таким образом, преодолевается запаздывание, свойственное скользящим средним. Поскольку сезонные средние основываются на исторических данных, отстоящих от текущей даты не менее чем на один год, вполне приемлемо прогнозировать на несколько дней вперед.
Modeltype 3 представляет собой ту же модель на основе пересечения, но с добавлением подтверждения. Подтверждение обеспечивается проверкой стохастического осциллятора ценового ряда, определяющей, совпадает ли его динамика с ожидаемым поведением на основе сезонных факторов.
Modeltype 4 использует модель, основанную на пересечении с добавлением подтверждения и инверсии. При использовании modeltype 4 сигнал к покупке подается, если первое скользящее среднее пересекает второе снизу вверх. При этом значение стохастического осциллятора должно быть не менее 25. Если же при верхнем пересечении стохастический показатель превышает уровень 75, то модель подает сигнал к продаже исходя из предположения, что произошла инверсия. Если первое скользящее среднее ниже второго, и нормальная сезонная модель подтверждается значением стохастического осциллятора, превышающим уровень 75, генерируется сигнал к продаже. Если в этом случае показатель составит менее 25, предполагается инверсия и отдается сигнал к покупке.
В свою очередь цена лимитного приказа (limprice) устанавливается на уровне середины ценового диапазона текущего дня. Цена входного стопприказа (stpprice) устанавливается на уровне закрытия текущего дня плюс (для покупки) или минус (для продажи) половина среднего истинного диапазона последних 50 дней. Остальные блоки кода идентичны приводившимся в предыдущих главах: они обеспечивают размещение приказов указанного вида (ordertype) и стандартные выходы.
Результаты тестов
Проводились тесты двух основанных на сезонных явлениях моделей входа: модели на пересечении (с подтверждением и инверсией и без них) и модели, основанной на ценовом импульсе. Каждая модель исследовалась с тремя видами обычных входных приказов: вход по цене открытия, по лимитному и стоп- приказу.
В табл. 8- 1 и 8- 2 показаны результаты тестирования этих моделей по отдельным рынкам в пределах выборки (табл. 8- 1) и вне пределов выборки (табл. 8- 2). В первом столбце указаны обозначения рынка. Последняя колонка показывает, сколько прибыльных тестов было получено для данного рынка. Цифры в верхней строке указывают номер теста, последняя строка — на скольких рынках данная модель была прибыльной. Эти данные достаточно подробно показывают степень прибыльности системы:
один минус (—) означает умеренные средние убытки в сделке ($2000 — 4000), два минуса ( ) — крупные убытки (более $4000). Один плюс (+) означает умеренную прибыль ($1000 — 2000), два плюса (+ +) означают крупную прибыль — более $2000 в сделке. Пустая ячейка обозначает прибыль до $ 1000 или убыток до $ 1999. (Названия рынков и их символы соответствуют обозначениям табл. II- 1; часть II, введение.)
Тесты базовой модели, основанной на пересечении
Интегрированный временной ряд ценоподобных сезонных показателей сглаживался с помощью простого скользящего среднего ma1 с периодом avglen. На его основе строилось второе среднее та2. Сигнал к покупке генерировался, когда та! пересекала снизу вверх та2. Сигнал к продаже генерировался, когда ma 1 пересекала сверху вниз та2. В целом это та же модель, основанная на пересечении скользящих средних, но в ней используются не собственно цены, а прогнозируемые сезонные временные ряды.
Вход обеспечивается рыночным приказом по цене открытия (тест 1), лимитным приказом (тест 2) или стоп- приказом (тест 3).
Оптимизация в этих тестах состояла в прогонке параметра периода скользящего среднего avglen от 5 до 20 с шагом 5 и также в прогонке параметра смещения (disp) от 0 до 20 с шагом 1. С использованием входа по цене открытия по показателю соотношения риска/прибыли в пределах выборки оптимальными были значения периода скользящего среднего 20 и смещения 5. При входе по лимитному приказу оптимален был период 20 и смещение 8, при входе по остановке период 20 и смещение 6. Модель, видимо, лучше работала с длинными скользящими средними (с сильным сглаживанием) , и для входов по лимитному приказу требовались немного более ранние сигналы по сравнению с входами по рыночному и стоп- приказу.
В пределах выборки не было получено ни одного положительного результата при использовании и длинных, и коротких позиций, хотя средний убыток в сделке был гораздо меньше, чем во многих тестах из предыдущих глав. Лучше всего работали стоп- приказы, немного хуже — лимитные приказы, а хуже всего — рыночные приказы по цене открытия. Для стоп- приказов и лимитных приказов при ограничении только длинными позициями торговля была выгодной. Во всех случаях наилучший период скользящих средних составлял 20 дней, а оптимальное значение смещения изменялось для разных типов приказов. При использовании входа по цене открытия оптимальное смещение равнялось 5 дням, при входе по лимитному приказу — 8 дням, а по стоп- приказу — 6 дням. Это вполне осмысленно, поскольку лимитные приказы отдаются раньше, чем рыночные приказы по открытию (так как для выполнениялимитного приказа требуется некоторое время).
Вне пределов выборки результаты показали подобное же распределение относительной эффективности по показателям средней прибыли со сделки ($СДЕЛ); использование приказов по остановке давало прибыль в $576 со сделки, что соответствует доходности 8,3% годовых. Это немного, но, тем не менее, это реальный положительный результат на недавних данных вне пределов выборки. При использовании входов по стоп- приказу торговля, ограниченная только длинными позициями, была выгодной и в пределах, и вне пределов выборки, а торговля короткими позициями была убыточной в обоих случаях. Это соответствует результатам многих ранее проводившихся тестов. Для всех видов приказов и всех выборок процент прибыльных сделок составлял от 40 до 43%.
Интересно отметить, что даже в убыточных вариантах потери капитала были значительно меньше, чем встречавшиеся в разнообразных предыдущих тестах.
При использовании рыночного входа по цене открытия капитал снижался до ноября 1988 г. До июля 1989 г. было восстановлено около 50% потерь, образуя U- образную модель со вторым пиком в районе ноября 1990 г. Затем наблюдалось довольно быстрое снижение до ноября 1992 г., после чего — более медленное падение капитала на протяжении всего остатка выборки и первой трети периода вне выборки. Это снижение закончилось в апреле 1996 г., и с тех пор до конца периода вне выборки капитал возрастал.
При использовании входа по лимитному приказу капитал почти не изменился до января 1987 г., очень резко вырос до пика в мае 1987 г. и затем падал до ноября 1992 г. С этого времени до июля 1994 г. наблюдался резкий подъем, после чего наблюдались беспорядочные изменения без явного тренда.
Использование входных стоп- приказов обеспечивало стабильный и сильный рост капитала до июня 1988 г., а затем наблюдалось падение до конца периода выборки и в течение первой трети периода вне выборки. Минимум был достигнут в декабре 1995 г., а с тех пор и до февраля 1999 г. (конец данных) отмечен резкий подъем.
При сравнении результатов различных рынков видно, что наиболее результативным был рынок неэтилированного бензина, где наблюдались устойчивые значительные прибыли и в пределах, и вне пределов выборки. С этой моделью также хорошо сочетался рынок палладия: входы по открытию и по лимитному приказу давали прибыль и в пределах, и вне пределов выборки, а вход по стоп- приказу был весьма прибылен в пределах выборки и нейтрален вне нее. Кроме этого, хорошим сезонным рынком оказался рынок живых свиней, прибыльный в пределах выборки для всех видов приказов. Вне выборки на этом рынке были прибыльны входы по лимитному приказу и стоп- приказу. Хорошо соответствовал сезонной модели рынок кофе: все три вида приказов давали прибыль в пределах выборки, входы по открытию и по стоп- приказу дали значительную прибыль вне пределов выборки. Кроме того, неплохо работала система и на рынке хлопка: вход по стоп- приказу обеспечил высокую прибыль и в пределах, и вне пределов выборки, и ни один вид приказов не принес значительных убытков в обеих выборках данных. То, что рынок неэтилированного бензина хорошо работал с данной моделью, неудивительно. Достаточно странно, что рынок мазута, потребность в котором сильно зависит от времени года, был прибыльным только с использованием входов по лимитному приказу в обеих выборках данных. На рынке кофе также существуют выраженные сезонные модели, связанные, например, с заморозками, которые повреждают плантации, вызывают дефицит и повышают цены. При этом, как ни странно, в пределах выборки рынки пшеницы были малоприбыльны,за исключением миннесотской пшеницы с использованием входа по лимитному приказу. Вне пределов выборки в группе пшениц наблюдалось больше прибылей. Например, вход по лимитному приказу обеспечивал прибыль на всех трех рынках пшеницы, а вход по стоп- приказу — только на канзасском рынке. Ряд других рынков также принес прибыли для некоторых видов приказов в пределах или вне пределов выборки. По сравнению со скромными результатами большинства моделей, исследовавшихся в предыдущих главах, общее количество прибыльных результатов на различных рынках в разные периоды времени не может не произвести благоприятного впечатления.
Кроме этого, интересно отметить расхождение между поведением сезонных моделей в этом исследовании и в наших собственных тестах S&P 500 более раннего периода (Katz, McCormick, апрель 1997). Различия, скорее всего, объясняются разной настройкой процедуры оптимизации.
В ранних тестах проводилась настройка на торговлю только индексом S&P 500, а в более поздних — целым портфелем финансовых инструментов. По сравнению с другими рынками сезонные явления на рынке S&P 500 имеют гораздо более высокую частоту и, следовательно, требуют использования скользящих средних со значительно меньшим периодом.
Кроме того, ранние тесты не использовали отдельных выходов для того, чтобы была возможность захватывать сезонные тренды длиной в несколько недель. В данных тестах стандартный выход закрывает сделку спустя не более чем 10 дней — скорее всего, эффективность всех рынков, а не только S&P 500, увеличилась бы при замене стандартного выхода на выход, способный удерживать позицию при продолжительных трендах.
Симуляторы
Ни один настоящий трейдер не будет вести торговлю с реальным счетом и рисковать настоящими деньгами без предварительной проверки на бумаге. Торговый симулятор — это программа или компонент программы, позволяющий моделировать на исторических данных поведение торгового счета, управляемого заданными пользователем правилами. Правила сведены в небольшую программу, которая автоматизирует процесс виртуальной торговли на значительной выборке исторических данных. Таким образом, торговый симулятор позволяет трейдеру понять, как система могла бы работать при торговле с настоящим счетом. Смысл торгового симулятора в том, что он позволяет проводить эффективное тестирование системы (виртуальную торговлю) на исторических данных для определения, будет ли система работать, и если да, то насколько хорошо.
Тестирование базовой модели, основанной на ценовом импульсе
Для модели, основанной на импульсе, проводилось сглаживание неинтегрированного сезонного временного ряда изменений цены при помощи центрированного простого скользящего среднего с периодом avglen. Центрированное СС не дает запаздывания, поскольку относительно текущего дня этот метод усредняет одинаковое количество прошлых и будущих точек данных. Использование этого метода оправдано для сезонных моделей, в которых оценка сезонного влияния на определенную дату основывается на данных старше одного года. Для этого сглаженного ряда сезонных изменений цены рассчитывается ряд средних абсолютных отклонений. Для этого рассчитывалось абсолютное отклонение для каждого дня.
Затем ряд абсолютных отклонений усреднялся с помощью скользящего среднего с периодом 100 дней. Сигнал на покупку генерировался, если значение сезонного импульса данного дня плюс смещение (disp) превышало некое пороговое значение (thresh), умноженное на среднее абсолютное отклонение сезонного импульса. Сигнал на продажу генерировался, если сезонный импульс с учетом смещения был меньше произведения порогового множителя (thresh) и среднего абсолютного отклонения, взятого со знаком минус. Входы выполнялись при помощи различных приказов: в тесте 4 — вход по открытию, в тесте 5 — вход по лимитному приказу, в тесте 6 — по стоп- приказу.
Оптимизировался период скользящего среднего, смещение и порог.
Период прогонялся от 5 до 15 с шагом 5; смешение от 1 до 10 с шагом 1; порог от 1,5 до 2,5 с шагом 0,5. Наилучшая эффективность в пределах выборки отмечена при периоде 15, пороге 2,5 и смещении 2 вне зависимости от вида приказа. Для входа по открытию и по стоп- приказу было предпочтительно смещение 2, для входа по лимитному приказу — смещение 1. В соответствии с этим ожиданиями значения смещения были гораздо меньше, чем в модели, основанной на пересечении, в которой за счет смещения необходимо было компенсировать запаздывание скользящих средних.
В общем, результаты были гораздо хуже, чем у сезонной модели на пересечении средних. В пределах выборки только входы по стоп- приказу были прибыльными. Вне пределов выборки ни один вид входов не дал положительных результатов. Средние убыткив сделке были весьма значительными, и, как ни странно, длинные позиции работали хуже, чем короткие. Это противоречит общей картине более высокой эффективности длинных сделок.
При входе по рыночному приказу по цене открытия и по лимитному приказу капитал снижался с начала выборки до конца периода вне выборки. При использовании входа по лимитному приказу падение капитала было более плавным. При использовании входов по стоп- приказу график изменения капитала колебался в горизонтальном диапазоне до мая 1990 г. Затем начался резкий рост капитала, продолжавшийся до сентября 1990 г. С тех пор и почти до конца данных капитал медленно падал.
После апреля 1997 г. капитал практически перестал изменяться.
Модель получила прибыль при торговле казначейскими облигациями, 10- летними казначейскими бумагами, иеной, сырой нефтью, мазутом, неэтилированным бензином, живыми свиньями и кофе в пределах и вне пределов выборки. Например, казначейские облигации и 10- летние бумаги были весьма прибыльны на обеих выборках при использовании входов по лимитному приказу или стоп- приказу. Рынок иены был наиболее прибылен с использованием входов по стоп- приказу, но приносил доход и с другими приказами, равно как и сырая нефть. Рынки мазута и неэтилированного бензина были высокоприбыльны в обеих выборках при использовании входов по открытию и по стоп- приказу, но не входов по лимитному приказу. На рынке живых свиней максимальные прибыли во всех периодах отмечены при использовании входа по открытию или по стопприказу. Этот рынок был постоянно прибыльным для всех видов приказов, как и рынок кофе, где наиболее устойчивая и высокая прибыль обеспечивалась входом по стоп- приказу. В большинстве случаев на рынках пшеницы модель была убыточной.
В пределах выборки 15 рынков были в той или иной степени прибыльными при использовании стоп- приказа, 13 рынков — при входе по открытию и 9 рынков — при входе по лимитному приказу. Вне пределов выборки эти значения составили соответственно 15, 16 и 16.
Хотя модель, основанная на ценовом импульсе работала хуже на целом портфеле, она показала отличные результаты на большем количестве отдельных рынков,чем модель, основанная на пересечении.
Испытания модели, основанной на пересечении с подтверждением
Эти модели идентичны описанным выше основным моделям на пересечении, за исключением того, что решение о входе принимается только в том случае, когда сезонное поведение рынка подтверждается соответствующим значением стохастического Быстрого %К. Если пересечение свидетельствует о благоприятном моменте для покупки, покупка осуществляется только при значении Быстрого %К менее 25%. Это означает, что для генерации сигнала к покупке рынок должен находиться в состоянии снижения или быть вблизи сезонного минимума для покупки. Таким же образом продажа осуществляется, если значение Быстрого %К более 75%, что указывает на близость рынка к максимуму. Как и в других тестах, использованы стандартные выходы. В тесте 7 вход осуществлялся по открытию, в тесте 8 — по лимитному приказу, а в тесте 9 — по стоп- приказу.
Оптимизация для этих тестов стояла в прогонке периода скользящего среднего avglen от 5 до 20 с шагом 5 (Р1) и смещения disp от 0 до 20 с шагом 1 (Р2). Для рыночного входа по открытию оптимальные значения составляли 15 для периода скользящего среднего и 7 для смещения. Для входа по лимитному приказу оптимальные значения составляли 15 для периода скользящего среднего и 6 для смещения. Для входа по стоп- приказу оптимальные значения составляли 20 для периода скользящего среднего и 9 для смещения.
При рассмотрении результатов каждой сделки использование подтверждения Быстрым %К ухудшило эффективность работы системы как в пределах, так и вне пределов выборки при использовании входов по открытию и по лимитному приказу; в обоих случаях потери были значительными. При переходе на стоп- приказы в обеих выборках отмечена небольшая прибыль. В пределах выборки средняя сделка принесла доход $846, вне пределов выборки $1677. В пределах выборки 41% сделок был выгодным, годовая доходность составила 5,8%. Статистическая значимость этого результата низка, но по крайней мере результат нельзя назвать явно случайным. И длинные, и короткие позиции были прибыльны. Вне пределов выборки 44% сделок были прибыльными, годовая доходность составила 19,6%. Вероятность того, что результаты не являются случайными, составила 77%. По- прежнему выгоднымибыли и длинные, и короткие сделки. По сравнению с другими системами количество сделок было относительно низким — всего 292 в пределах и 121 вне пределов выборки. В общем, модель снова оказалась прибыльной — сезонный принцип, видимо, все- таки может служить основанием для заключения сделок.
График изменения капитала для рыночного входа по цене открытия показывает постепенное снижение до мая 1989 г., затем горизонтальный участок до августа 1993 г. Далее до конца выборки и большую часть времени вне выборки капитал падал. График изменения капитала для входа по лимитному приказу выглядит подобным образом, но падение капитала шло более плавно. График для входа по стоп- приказу выглядит принципиально иначе: капитал быстро падал до мая 1987 г., затем рос с ускорением до июня 1995 г. (начало периода вне выборки) и с тех пор практически не изменялся. Максимальные прибыли были достигнуты между июнем 1990 г. и маем 1991 г., маем и сентябрем 1993 г. и между январем и июнем 1995 г.
Последний из периодов прибыли находится вне пределов выборки.
По сравнению с двумя предыдущими моделями постоянная прибыль для всех видов приказов отмечена на меньшем количестве рынков. Прибыль при всех трех видах входов как в пределах, так и вне пределов выборки отмечена только на рынке леса. На рынке неэтилированного бензина все входы были прибыльны в пределах выборки, а входы по открытию и стоп- приказу были высокоприбыльны вне пределов выборки. На рынках кофе и какао получена прибыль при всех видах входов в пределах выборки, но только при входе по стоп- приказу вне выборки. При использовании входа по стоп- приказу как в пределах, так и вне пределов выборки рынки NYFE, серебра, палладия, сырой нефти, леса и кофе были высокоприбыльными. Как и ранее, рынки пшеницы были убыточными. Таким образом, показатели этой модели достаточно постоянны для успешного применения с использованием входа по стоп- приказу на избранных рынках.
Тесты модели, основанной на пересечении с подтверждением и инверсией
Эта модель представляет собой аналог предыдущей, но с проведением дополнительных сделок в участках, где были возможны инверсии. Например, если пересечение средних давало сигнал на покупку, но Быстрый %К был выше уровня 75%, то подавался сигнал на продажу. В основе идеи лежало предположение о возможном обращении обычного сезонного цикла. Подобным же образом, если пересечение указывало на продажу, но Быстрый %К был менее 25%, то подавался сигнал на покупку. Эти сигналы выполнялись дополнительно к сигналам системы, основанной на пересечении с подтверждением. В тесте 10 использовался вход по цене открытия, в тесте И — вход по лимитному приказу, в тесте 12 — вход по стоп- приказу.
Оптимизация для этих тестов состояла в прогонке периода скользящего среднего avglen от 5 до 20 с шагом 5 (Р1) и смещения disp от 0 до 20 с шагом 1 (Р2). Для входа по открытию оптимальные значения составляли 15 для периода скользящего среднего и 2 для смещения. Для входа по лимиту оптимальные значения составляли 20 для периода скользящего среднего и 4 для смещения. Для входа по стоп- приказу оптимальные значения составляли 20 для периода скользящего среднего и 9 для смещения.
При рассмотрении входа по цене открытия график изменения капитала постоянно и плавно снижался от начала к концу всего набора данных. Для входа по лимитному приказу график изменения капитала также снижался, хотя общее падение капитала для этого вида приказа было почти в два раза меньше. График изменения капитала для входа по стопприказу снижался до мая 1987 г., затем до августа 1993 г. капитал практически не изменялся. С августа 1993 г. по июнь 1995 г. капитал резко вырос, а затем постепенно снижался до конца рассматриваемого периода.
Добавление инверсии оказало разрушительное влияние на эффективность модели. Очевидно, наблюдаемые сезонные явления редко сопровождаются инверсиями.
Добавление инверсионных сигналов катастрофически ухудшило эффективность системы по показателю средней прибыли в сделке при всех видах входов. Во всех сочетаниях выборки данных и вида входа наблюдались убытки, за исключением очень маленькой прибыли при входе по стопприказу вне пределов выборки. Ни на одном рынке не отмечалось устойчивых прибылей для различных входов, хотя отдельные прибыльные сочетания все же были. Например, вход по стоп- приказу на рынках NYFE и 10- летних казначейских бумаг был очень прибыльным и в пределах, и вне пределов выборки. Тот же эффект наблюдался на рынках платины и серебра. В пределах выборки с входом по стоп- приказу очень прибыльным был рынок сои, но вне пределов выборки прибыль этого рынка была минимальной. Во всех сочетаниях видов приказов и выборок данных на рынках пшеницы прибыль была нулевой или наблюдались убытки.
Обзор результатов
Результаты всех тестов объединены в одной таблице и представлены на двух графиках для обозрения. В табл. 8- 3 приведены показатели эффективности, распределенные по выборке данных, виду входа и модели. Результаты каждой модели приводятся в двух строках: в первой —доходность в процентах годовых, во второй — средняя прибыль или убыток в сделке в долларах. Два правых столбца содержат усредненные значения для всех видов входа в пределах и вне пределов выборки. Последние строки содержат усредненные значения для всех моделей по видам приказов.
Из трех видов приказов, обеспечивающих вход в рынок, лучшим был, несомненно, вход по стоп- приказу. Вход по лимитному приказу и вход по цене открытия показали примерно одинаковые результаты, но их эффективность была гораздо ниже. Использование стоп- приказа обеспечило положительные результаты как в пределах, так и вне пределов выборки.
При сравнении моделей по различным видам входов очевидно, что в пределах выборки эффективность была максимальной для модели пересечения с подтверждением и наихудшей для модели пересечения с подтверждением и инверсией. Вне пределов выборки наиболее эффективной была базовая модель, основанная на пересечении, наихудшей — опять- таки модель на пересечении с подтверждением и инверсией.
Как можно видеть, в пределах и вне пределов выборки наилучшая эффективность достигается при сочетании входа по стоп- приказу с моделью, основанной на пересечении с подтверждением.
В предшествующих главах испытывались различные виды моделей входа, причем обычно наилучшим был вход по лимитному приказу. В случае сезонных моделей повышение эффективности при использовании входа по стоп- приказу носит драматический характер, несмотря на большие расходы на сделку. Ранее казалось, что принципы противотрендовой торговли могут действовать лучше в сочетании с какими- либо следующими за трендом или подтверждающими элементами, например с входом по стоп- приказу. В случае с сезонными моделями это подтверждение, получаемое в результате срабатывания стоп- приказов, является даже более важным, чем получаемое от показателей вроде Быстрого %К. Другими словами, если на основании сезонной модели следует ожидать повышения цен, подтверждение этого должно быть получено до заключения сделки.
В общем, создается впечатление, что сезонные явления действительно оказывают воздействие на рынок, что доказано неуступающей или превосходящей другие модели эффективностью сезонной системы с входом по стоп- приказу. Эта модель была одной из немногих прибыльных.
Влияние сезонных явлений на рынки, очевидно, является достаточно сильным, что оправдывает проведение дальнейших исследований подобных моделей.
Было бы интересно исследовать сезонные модели, ограничившись рынками, где была показана их максимальная эффективность, или же рынками, где по фундаментальным причинам следует ожидать ярко выраженных сезонных эффектов. Исходя из имеющихся данных, можно заключить с достаточным основанием, что некоторые рынки в высшей степени подвержены сезонным явлениям. В свое время, ограничив использование моделей, основанных на пробое, только рынками валют, мы получили замечательные результаты — возможно, нечто подобное произойдет при ограничении сезонных моделей соответствующими рынками.
При рассмотрении всех тестов и подсчете количества достоверных значительных прибылей создается впечатление о тех рынках, которые пригодны для ведения торговли с помощью различных сезонных моделей. Среди всех тестов в пределах и вне пределов выборки наилучшие результаты наблюдалась на рынке кофе. Следовательно, на рынке кофе можно эффективно применять сезонные модели, что неудивительно — дефицит и цены на рынке кофе в огромной степени подвержены влиянию погодных условий. На рынке кофе 11 из 12 тестов в пределах выборки и 8 из 12 тестов вне пределов выборки были прибыльными. На рынке неэтилированного бензина прибыльными были 8 тестов в пределах выборки и 11 вне пределов выборки. На рынке сырой нефти прибыльными были 8 тестов в пределах выборки, но только 4 вне пределов выборки. Много хороших результатов было также отмечено на рынке живых свиней.
На рис. 8- 1 изображен рост капитала для различных приказов, обеспечивающих вход в рынок. Результаты были усреднены по видам моделей. Как видно, лучше всего работал вход по стоп- приказу, средние результаты показал вход по лимитному приказу, а хуже всего работал рыночный вход по цене открытия.

Рисунок 8- 1. Рост капитала в зависимости от вида входов.
На рис. 8- 2 показан график изменения капитала для различных моделей. Капитал системы был усреднен по видам входов. Модель с пересечением и подтверждением была наиболее эффективной, особенно на данных вне пределов выборки. Начало для базовой модели, основанной на пересечении, было еще лучшим, но эффективность постоянно снижалась
с 1990 г. Однако, возможно, тренд капитала этой модели развернулся наверх после 1995 г., тогда как все прочие модели в это время теряли капитал (в усреднении по видам приказов).

Рисунок 8- 2. Рост капитала в зависимости от вида модели
Заключение
Исследования сезонных явлений показали, что на рынках существуют значимые сезонные процессы. На основе данных за соответствующие календарные даты прошлых лет можно делать заключения о поведении рынка в ближайшем будущем. Информация за эту же дату или близкие даты прошлых лет полезна для принятия решений, для прогнозирования будущих событий. Хотя сезонные явления недостаточны для оказания влияния на целый портфель ценных бумаг и сырьевых фьючерсов, тем не менее на их основе удается окупить транзакционные расходы и получить некоторую прибыль. В то же время на отдельных рынках даже простейшие модели могут быть весьма прибыльными, иными словами, сезонные явления производят впечатление реальных и пригодных источников информации. В определенное время года на рынке наблюдаются приливы и отливы, которые могут эффективно использоваться моделями, подобными испытанным в данной главе.
Как было показано, сезонные явления заслуживают серьезного внимания. Если приведенные простые модели будут улучшены специфическими эффективными выходами из рынка, можно ожидать впечатляющих результатов.
Что мы узнали?
Повторяющиеся сезонные модели, видимо, имеют реальную прогностическую ценность и однозначно заслуживают дальнейшего исследования.
Полезность сезонных моделей зависит от рынка, причем некоторые рынки особенно подходят для сезонной торговли.
Торговля на группе особо чувствительных рынков может быть чрезвычайно прибыльна.
Для получения наилучших результатов исходные сезонные данные желательно сочетать с той или иной формой подтверждения или обнаружения трендов. Использование дополнительной информации может повысить эффективность простой сезонной модели.
Лунные и солнечные ритмы
В предыдущей главе сезонные явления были определены как повторяющиеся феномены, связанные с календарной датой. Сезонные явления включают факторы положения Земли на орбите и наклона земной оси относительно Солнца, сочетание которых повторяется раз в год. Другие связанные с календарем ритмы образованы движением Луны, с ее повторяющимися фазами, а также активностью солнечных пятен. В этой главе снова будут подвергаться анализу рыночные циклы, на которые оказывают влияние внешние силы, на это раз — взаимоотношения поведения рынка и солнечных/лунных ритмов.
Безумие или закономерность?
Обсуждение вопросов влияния планет наводит на мысли о том, что многие называют астрологической чепухой. Но было бы неоправданно априорно отрицать возможное влияние солнечных, лунных и других эффектов только потому, что астрология бессмысленна и в словаре определяется как лженаука, претендующая на предсказание будущего путем изучения предположительного влияния Солнца, Луны и звезд на человеческое поведение. Подобные поверья часто основываются на отсутствии информации. Но что же реально известно о так называемой астрологии, особенно в форме влияния солнечных и планетных эффектов на земные события?
Ученые продемонстрировали наличие корреляции между положением планет и чертами личности. В одном исследовании (Mayo, White и Eysenck, 1978), опубликованном в Journal of Social Psychology, пытались доказать, что интровертные и экстравертные черты характера определяются знаком зодиака, т.е. месяцем рождения. Тестирование использовало данные 2324 лиц и показало, что лица, рожденные под знаками Овна, Близнецов, Льва, Весов, Стрельца и Водолея имели большую вероятность экстравертного поведения, а рожденные под знаком Тельца, Рака, Девы, Скорпиона, Козерога и Рыб — интровертного. Результаты стабильно подтверждали гипотезу, так же как и в других подобных исследованиях (Gauquelin, Gauhquelin и Eysenck, 1979).
Также известно, что гравитационное поле Луны оказывает влияние на водные, литосферные и атмосферные приливы на Земле. Известно, что Луна управляет временем размножения коралловых полипов, закрытием раковин устриц, преимущественным совершением некоторых преступлений и возбуждением лиц, страдающих лунатизмом. Более того, известно, что во время полнолуния у женщин чаще происходит овуляция, а также чаще начинаются роды.
При наличии таких данных уже нетрудно представить влияние лунных циклов на поведение рынка. Еще Ларри Вильяме (Larry Williams, 1979) обнаружил, что цены на серебро, пшеницу, кукурузу и соевое масло повышаются в полнолуние и падают в новолуние!
Как известно каждому радиолюбителю, так называемые солнечные пятна оказывают сильное воздействие на дальнюю радиосвязь. На поверхности Солнца наблюдаются темные участки, по одной из теорийвызываемые неравномерным гравитационным воздействием планет на приливные ритмы Солнца. Другая теория объясняет их движением магнитных полюсов Солнца, но в любом случае период высокой активности солнечных пятен влияет на распространение радиоволн — коротковолновые радиосигналы, которые обычно распространяются только в пределах прямой видимости, отражаются от ионосферы и могут распространяться на тысячи миль. Многие могли заметить это явление по телевидению: поверх сигнала местной телестанции накладывается сигнал далекого передатчика. С другой стороны, в периоды низкой солнечной активности дальнее распространение коротких волн становится маловероятным, и для дальней радиосвязи требуются волны гораздо большей длины.
Активность солнечных пятен и солнечные вспышки также коррелируют с магнитными бурями на Земле, способными нарушать работу чувствительной электроники и даже выводить из строя энергосети. Магнитная буря, вызванная солнечными выбросами в марте 1989 г., привела к остановке работы гидроэлектростанции, питавшей часть Монреаля и Квебека, на девять часов (Space Science Institute, 1996).
Некоторые ученые считают, что изменения солнечной активности могут быть причиной крупных изменений земного климата, например Малого Ледникового Периода в 1600- х годах, начавшегося после 100 лет сниженной солнечной активности (Center for Solar and Space Research, 1997).
Что же касается торговли, то Эдвард Р. Дьюи (Edward R. Dewey), основавший Фонд Изучения Циклов в 1940 г., полагал, что существует связь между солнечными пятнами и промышленным производством, возможно, вызванная влиянием на климат. В связи с этим он пытался исследовать корреляцию солнечной активности и цен на сельскохозяйственные продукты.
Наш собственный интерес к солнечным пятнам достиг пика тогда, когда мы обнаружили, что в 1987 г. только в течение трех дней количество пятен (показатель солнечной активности) превышало 100— и это были дни черного понедельника — 15 и 16 октября! Путем простых вычислений можно убедиться в том, что вероятность случайного совпадения в данном случае не превышает 1%.
Ниже мы рассмотрим влияние на торговлю лунных циклов в разделе Лунные циклы и солнечных пятен в разделе Солнечные пятна и активность рынка.
Лунные циклы и торговля
В предыдущем исследовании (Katz, McCormick, июнь 1997) мы обнаружили, что при помощи лунных циклов можно прибыльно вести торговлю на рынке NYFE. С 1990 г. по 1997 г. простая система на основе лунных циклов принесла $75 550 прибыли. Из 170 сделок 60% были прибыльными. Средняя прибыль в сделке составила $444,41, а общая прибыль — 365% (не в годовом исчислении). Длинные позиции были прибыльнее, чем короткие (520% по сравнению с —37%). Сигналы зачастую предсказывали точки разворота с точностью до дня. Также прибыльно работала система и на рынке серебра. Сигналы точно соответствовали максимальным и минимальным значениям. И длинные, и короткие позиции были прибыльными. Всего за этот период времени на рынке серебра было получено 190% прибыли. Даже на рынке пшеницы длинные и короткие сделки были прибыльными и принесли 242% прибыли. Несомненно, для системы, использующей только один параметр (количество дней с новолуния или полнолуния) и совершающей много сделок, такие результаты впечатляют и, скорее всего, достаточно устойчивы.
Наши результаты подстегнули дальнейшие исследования явлений, связанных с лунным циклом. Здесь будут рассматриваться фазы луны, т.е. полнолуние, первая четверть, последняя четверть, новолуние и все промежуточные фазы. Можно ли на основе фазы луны предсказать максимум или минимум рынка? Образуются ли максимумы или минимумы в полнолуние или за пять дней до него, или же в новолуние? Поскольку лунные циклы поразному влияют на различные рынки, мы используем адаптивный подход так, как это было сделано при исследовании сезонных явлений.
Сигналы входа на основе лунного цикла
Получать сигналы входа на основе лунного ритма можно различными способами. В тестах использованы два метода — метод ценового импульса и метод пересечения. Для расчета импульса рассчитывается временной ряд изменений цены и проводится центрированное сглаживание (не вызывающее задержек или фазовых сдвигов). Для нормализации каждое изменение цены в сглаженном ряду делится на средний истинный интервал последних 50 дней. Для каждого дня определяется фаза луны. Затем ищется максимально возможное число прошлых точек данных с такой же фазой луны и рассчитывается импульс цен для этих дней. Среднее значение этих импульсов становится значением в ряду лунных импульсов, т.е. последовательности, отражающей ожидаемую скорость изменения цены (импульс) на данный момент на основании предыдущих дней с той же фазой луны. Каждое число в ряду лунных импульсов основывается на событиях не менее чем 27- дневной давности, поэтому центрированное сглаживание и другие методы прогнозирования относительно данного дня могут быть обоснованно использованы. Вход в рынок производится, когда значение импульса превышает положительный порог (подается сигнал на покупку) или опускается ниже отрицательного порога (подается сигнал на продажу). Покупка или продажа могут осуществляться, как и ранее, по цене открытия, по лимитному приказу или по стоп- приказу. Расчет импульса и генерация входов организованы подобно сезонной модели, но вместо соответствующей даты в прошлые годы рассматривают дни с той же фазой луны в предыдущие месяцы.
Входы также могут рассчитываться путем вычисления, нормализации и интегрирования разностей цен так, чтобы получилась псевдоценовая последовательность, основанная на днях с соответствующей фазой луны.
Затем к этой последовательности применяется модель, основанная на пересечении скользящих средних. Поскольку значение каждой точки в таком ряду определяется только данными, датированными не менее чем 27 днями назад, то запаздывание скользящего среднего может быть скомпенсировано смещением на несколько дней вперед.
Оба метода являются адаптивнымив том отношении, что не требуется какой- либо специфической информации о той фазе луны, когда требуется размещать приказ на покупку или продажу. Адаптивность важна, поскольку различные рынки по- разному реагируют на фазу луны, в чем мы убедились, проводя наши предыдущие исследования. Оба метода отличаются от использованных в прошлых исследованиях, где сделки заключались за фиксированное число дней до или после новолуния или полнолуния.
Также испытывалось несколько правил для использования подтверждений и инверсий в попытках улучшить эффективность базовой модели.
Пример подтверждения состоит в следующем: если подается сигнал на покупку, то уровень цен на рынке должен быть близок к минимуму; если же в этот момент цены близки к максимуму, то сигнал является подозрительным, т.е. указывает на поведение рынка, не соответствующее исследуемой лунной или сезонной модели. Система с использованием пересечения с подтверждением применяет такое дополнительное правило, которое должно выполняться как условие подачи приказа на основе сигнала. Если система дает сигнал на покупку, то показатель Медленного %К при этом должен быть ниже 25%, т.е. рынок должен находиться в состоянии, близком к минимуму за последнее время. Соответственно, если система дает сигнал на продажу, то Медленный %К должен быть выше 75%, чтобы считать поведение рынка соответствующим лунной модели. Модель с подтверждением и инверсией также вводит правило инверсии приказа: если подается сигнал на покупку в то время как рынок близок к максимуму (Медленный %К выше 75%), то считается, что произошла инверсия лунной модели, и отдается сигнал на продажу. Если сигнал на продажу подается в момент, когда рынок близок к минимуму, то система отдает приказ на покупку.
Характеристики входов, используемых в моделях на лунном цикле, подобны входам сезонных моделей: входы в рынок делаются на основе прогнозирования и, следовательно, пригодны для торговли против тренда. Как и любые прогностические входы, они могут не совпадать с поведением рынка. Как и в случае с сезонными явлениями, могут происходить инверсии ритма или цикла.
Виды симуляторов
Существуют два главных вида торговых стимуляторов. Одни из них — интегрированные, простые в применении программные приложения, которые обеспечивают некоторые функции исторического анализа и тестирования помимо сбора данных и построения графиков. Другой вид — специализированные компоненты программ или библиотеки классов, которые могут включаться в создаваемые пользователем программы для обеспечения функций тестирования и оценки систем. Компоненты программ и библиотеки классов обеспечивают открытость архитектуры, продвинутые возможности и высокую производительность, но требуют умения программировать. Для работы с ними необходимы дополнительные элементы — графика, создание отчетов, управление данными. Интегрированные пакеты, хотя обычно менее производительны, гораздо доступнее для начинающего пользователя.
Методология тестирования лунных моделей
Все тесты проводились с использованием входов по сигналам лунной модели для торговли портфелем различных финансовых инструментов.
Можно ли получить прибыль, используя лунную модель? Как результативность подобных моделей будет изменяться со временем? Как изменились их результаты за последние годы? Для того чтобы ответить на эти вопросы, и было проведено тестирование.
Применены стандартные выходы, правила входов будут рассмотрены при обсуждении отдельных тестов. Позиции закрываются при подаче сигнала на вход в противоположном направлении либо при срабатывании стандартного выхода. В приведенном ниже коде описана модель входа на основе лунных циклов.
int LunarEventDates (int n) {
// подсчитывает дату лунной фазы, начиная
// с января 1900.
// n - ввод: номер фазы луны
// 0,4,8... новолуния
// 1,5,9... луна в первом квартале
// 2,6,10... полнолуние
/ / 3,7,11... луна во втором квартале
//возвращает - вывод: дата события по юлианскому календарю
static long ndate;
static float timzon = - 5.0 / 24.0; // восточное стандартное время
static float fгас;
flmoon {n >> 2, n & 3, &ndate, &frac);
frac = 24.0 * {frac + timzon);
if(fгас < 0.0) { // корректировка времени
ndate—;
frac += 24.0;
)
if(frac > 12.0) (ndate++; frac - = 12.0;)
else frac += 12.0;
return ndate; // юлианская дата события
}
int LunarEquivDate (int date, int n) (
// рассчитываем дату предыдущего n- го (n < 0) или
// будущего (n > 0) случая фазы луны, равной
// сегодняшней фазе
// date - ввод: текущая дата в формате ГГГММДД
// n - ввод: лунные циклы назад{- ) или вперед (+)
// return - вывод: дату предыдущего или будущего цикла в формате ГГГММДД
static long nstar, ndatel, ndate2, curdate, ntarg, nans;
static int mm, dd, yyyy;
curdate = julday((date/100)%100, date%10O, 1900+date/lOOOO);
while(curdate >= ndate2) {ndatel = LunarEventDates(++nstar); ndate2 = LunarEventDates(nstar + 1) ;}
while(curdate < ndatel) {ndatel - LunarEventDates{—nstar); ndate2 = LunarEventDates(nstar + 1);}
if(curdate < ndatel curdate >= ndate2
abs(ndate2 - ndatel - 7) > 2)
nrerror("LunarEquivDate: calculation error");
nans = LunarEventDates(nstar +4 * n);
nans += (curdate - ndatel);
caldatfnans, &mm, &dd, &yyyy) ;
return 10000*(yyyy- 1900) + 100*mm + dd;
}
void LunarAvg (float *a, float *v, float *dt, int mode, int m, int n) {
// Подсчитываем лунное (в зависимости от даты и фазы) скользящее среднее
// для каждого дня, основанное на предыдущих днях и (в некоторых случаях)
// на последующих днях с эквивалентной лунной фазой.
// Работаем на всех имеющихся данных.
//а - вывод: значения [1..n] лунного среднего
//v - ввод: исходный ценовой ряд данных [1..n]
// dt - ввод: соответствующие [1..n] данные
// mode - ввод: метод анализа:
// 1 = складной нож IS, все прошлые циклы 008
// 2 - фиксированный период в лунных циклах
//m - ввод: дата (для режима - 1) или период анализа (для режима = 2)
// n - ввод: количество дней во всех рядах
static int i, j, cnt;
static unsigned long k;
static float sum, sdate, tiny=l.OE- 20;
if(mode == 1) { // режим складного ножа
for(i = 1; i <= n; i++} { // для каждого текущего дня
sum = 0.0; cnt = 0;
for(j = 2; j < 1000; j++) { // двигаемся назад
sdate - LunarEquivDate {dt[i] , - j ) ; //к исходной дате
if(sdate < dt[3]) break; // переход к началу
hunt(dt, n, sdate, &k) ; // находим индекс
if (sdate > dt[k]) k++;
cnt++; sum += v[k] ; // накапливаем среднюю
}
for(j = 2; j < 1000; j ++) { // двигаемся вперед
sdate = LunarEquivDate {dt[i], j); //к исходной дате
if(sdate > m) break; // избегаем данных oos
hunt(dt, n, sdate, &k); // находим индекс
if(sdate > dt[k]) k++;
cnt++; sum +- v[k]; // накапливаем среднюю
}
a[i] = sum / (cnt + tiny); // заканчиваем среднюю
) // следующий день
}
else if(mode == 2) { // режим фиксированного периода анализа
for(i = 1; i <= n; i ++) { // для каждого текущего дня
sum =0.0; cnt = 0;
for(j =2;j<1000;j++) { // двигаемся назад
if(cnt >= m) break; // выполняем достаточные условия
sdate = LunarEquivDate(dt[i] , - j); // исходная дата
if (sdate < dt[3]) break; // идем к началу
hunt(dt, n, sdate, &k); // находим индекс
if{sdate > dt[k]} k++;
cnt++; sum +- v[k]; // накапливаем среднюю
}
for(j = 2; - j < 1000; j++) { // двигаемся вперед
if (cnt >= m) break; // выполняем достаточные условия
sdate = LunarEquivDate(dt[i] , j ) // исходная дата
hunt(dt, n, sdate, &k) ; // находим индекс
if (sdate > dt[k]} k++;
cnt++; sum += v[k]; // накапливаем среднюю
}
a[i] = sum / (cnt + tiny) // заканчиваем среднюю
} // следующий день
}
}
static void Model (float *parms, float *dt, float *opn, float *hi,
float *lo, float *cls, float *vol, float *oi, float *dlrv, int nb,
TRDSIM &ts, float *eqcls) {
// Выполняем разнообразные торговые модели на лунных циклах.
// file = xl3modOl.c
// parms — набор [1..MAXPRM] параметров
// dt — набор [l..nb] дат в формате ГГММДД
// орn — набор [1..nb] цен открытия
// hi - набор [l..nb] максимальных цен
// 1о — набор [1..nb] минимальных цен
// cls — набор [l..nb] цен закрытия
// vol - набор [l..nb] значений объема
// oi — набор [1..nb] значений открытого интереса
// dlrv — набор [1..nb] средних долларовых волатильностей
/ / nb — количество дней в наборе данных
// ts — ссылка на класс торгового симулятора
// eqcls — набор [1..nb] уровней капитала по ценам закрытия
// объявляем локальные переменные
static int rc, cb, ncontracts, maxhold, ordertype, signal;
static int avglen, disp, k, modeltype, matype, mktindx;
static float mmstp, ptlim, stpprice, limprice, tmp, thresh;
static float exitatr[MAXBAR+1] , savg[MAXBAR+1] ;
static float mal[MAXBAR+1], ma2[MAXBAR+1], stoch[MAXBAR+1];
static float *exitatrtab[MAXMKT+1], *savgtab[MAXMKT+1] ;
//копируем параметры в локальные переменные
avglen = parms[1]; // период скользящей средней
disp = parms[2]; // множитель смещения
thresh = parms[3]; // порог для импульсных моделей
matype = parms[7]; // тип средней:
// 1=простое скользящее среднее
// 2=экспоненциальное
// 3=треугольное с переднем взвешиванием
// 4=треугольное
// 5=простое центрованное
// 6=экспоненциальное центрованное
// 7=треугольное центрованное
modeltype = parms[8]; // тип модели:
// 1=импульс
// 2=пересечение
// 3- пересечение с подтверждением
// 4=пересечение с подтверждением и инверсией
ordertype = parms[9]; // вход: 1=на открытии, 2=по лимитному приказу,
// 3 =по стоп- приказу
maxhold = 10; // период максимального удержания позиции
ptlim = 4; // целевая прибыль в единицах волатильности
mmstp = 1; // защитная остановка в единицах волатильности
// Выполняем вычисления по всему объему данных, которые не подвержены
// воздействию каких- либо параметров. Выполняется один раз для каждого
// рынка, результаты сохраняются в таблицах для повторного использования.
// Таким образом, значительно снижается время выполнения программы.
mktindx = ts.modelf) ; // индекс рынка
if (exitatrtab[mktindx] == NOLL) { // размещен?
exitatrtab[mktindx] = vector(1, nb); // таблица exitatr
savgtab[mktindx] = vector{1, nb); // таблица savg
AvgTrueRangeS(exitatrtab[mktindx],
hi, lo, cls, 50, nb); //50- дневный средний истинный
// диапазон
float *pchg = vector(1, nb); // вспомогательный вектор
pchg[l] = 0.0;
for(cb =2; cb < = nb; cb++) {
tmp = cls [cb] - els [cb- 1]; // изменение цены
tmp /= exitatrtab[mktindx] [cb]; // нормирование
pchg [cb] = clip(tmp, - 2.0, 2.0); // обрезание
}
LunarAvg(savgtab[mktindx],
pchg, dt, 2, 60, nb); // лунная сезонность
free_vector(pchg, 1, nb);
printf {"Mkt: %d\n", mktindx}; // показывать прогресс
}
// выполняем вычисления для всех данных
memcpy(exitatr, exitatrtab[mktindx] , sizeof (float)*nb);
memcpy(savg, savgtab[mktindx], sizeof(float)*nb);
switch(modeltype) {
case 1: // данные для импульсной модели
MovAvg{savg,savg,matype,avglen,nb) ; // сглаживающее среднее
for(cb = 1; cb <= nb; cb++)
ma2 [cb] = fabs(savg[cb]} ;
MovAvg (mal, ma2, 1, 100, nb) ; // среднее отклонение
break;
case 2: case 3: case 4: // данные для моделей пересечения
for(cb = 2; cb <= nb; cb++)
savg[cb] += savg [cb- 1]; // интеграция
MovAvg(mal,savg,matype,avglen,nb); // сглаж. средн.
MovAvg(ma2,mal,matype,avglen,nb}; // пересеч. средн.
if (modeltype == 3 modeltype == 4) // стохастический осц.
StochOsc(stoch,hi,lo,cls,1,9,nb); // 9- дневный Быстрый %К
break;
default: nrerror("TRAPSMOD: invalid modeltype");
}
// проходим через дни, чтобы смоделировать реальную торговлю
for(cb = I; cb <= nb; cb++) {
// не открываем позиций до периода выборки
// ... то же самое, что установка MaxBarsBack в TradeStation
if(dt[cb] < IS_DATE) { egcls[cb] = 0.0; continue; }
// выполняем ожидающие приказы и считаем кумулятивный капитал
rc = ts.update(opn[cb], hi[cb], lo [cb], cls[cb], cb) ;
if (rc = 0) nrerror("Trade buffer overflow");
eqcls[cb] = ts.currentequity{EQ_CLOSETOTAL);
/ / не проводим сделок в последние 3 0 дней выборки.
// для того, чтобы оставить место в массивах для будущих сезонностей
if(cb > nb- 30) continue;
// считаем количество контрактов для позиции
// ... мы хотим торговать эквивалентом долларовой волатильности
// ... 2 новых контрактов на S&P- 500 от 12/31/98
neontracts = RoundToInteger(5673.О / dlrv[cb]};
if(ncontracts < 1) ncontracts = 1;
// избегаем устанавливать приказы на дни с ограниченной торговлей
if(hi[cb+1] == lo[cb+1]) continue;
// генерируем входные сигналы, цены стоп- и лимитных приказов
// для всех моделей
signal = 0 ;
switch(modeltype) {
case 1: // основная модель входа на основе импульса с порогом
k = cb + disp;
tmp = thresh * mal[k] ;
if(savg[k] > tmp && savg[k- l] <= tmp)
signal = 1;
else if(savg[k] < - tmp && savg[k- l] >= - tmp)
signal = - 1;
break;
case 2 : // основная модель пересечения
k = cb + disp;
if (CrossesAbove (mal, ma2 , k) } signal = 1 ;
else if (CrossesBelow{mal, ma2, k)} signal = - 1;
break;
case 3: // пересечение с подтверждением
k = cb + disp;
if(CrossesAbove{mal, ma2, k)) {
if(stoch[cb] < 25.0) signal = 1;
}
else if {CrossesBelow(mal, ma2, k)) {
if(stoch[cb] > 75.0} signal = - 1;
}
break;
case 4 : // пересечение с подтверждением и инверсией
k = cb + disp;
if{CrossesAbove(mal, ma2, k)) {
if (stoch[cb] < 25.0) signal = 1;
else if{stoch[cb] > 75.0} signal = - 1;
}
else if (CrossesBelow (rnal, ma2 , k) } {
if (stoch[cb] > 75.0) signal = - 1;
else if (stoch[cb] < 25.0} signal = 1;
}
break;
)
limprice = 0.5 * (hi [cb] + lo [cb] ) ;
stpprice = cls[cb] + 0.5 * signal * exitatr[cb] ;
// входим в сделку, используя определенный тип приказа
if (ts.position{) <= 0 && signal == 1) {
switch(ordertype) { // select desired order type
case 1: ts .buyopen ('1' , ncontracts) ; break;
case 2: ts.buylimit('2', limprice, ncontracts); break;
case 3: ts.buystop('3', stpprice, ncontracts); break;
default: nrerror{"Invalid buy order selected");
}
}
else if (ts.position{) >= 0 && signal == - 1) {
switch(ordertype) { // выбираем нужный вид приказа
case 1: ts.sellopen('4', ncontracts); break;
case 2: ts.selllimit('5', limprice, ncontracts); break;
case 3: ts.sellstop(6', stpprice, ncontracts); break;
default: nrerror{"Invalid sell order selected");
}
}
// симулятор использует стандартную стратегию выхода
tmp = exitatr[cb];
ts.stdexitcls('X', ptlim*tmp, mmstp*tmp, maxhold);
} // обрабатываем следующий день
}
Собственно коду предшествует ряд функций, необходимых для расчета лунных циклов на любом рынке с адаптивным подходом. Функция Model следует стандартным принципам: после объявления параметры копируются в местные переменные для простоты обращения. Комментарии указывают, что контролируют параметры. В следующем блоке рассчитывается средний истинный интервал за 50 дней (exitatrtab), используемый в выходах и при нормализации, а также лунные сезонные последовательности (savgtab) — прогнозируемые изменения цены для каждого дня. Эти ряды рассчитываются один раз для каждого рынка и заносятся в таблицы; это допустимо, поскольку при повторных вызовах Model в последующих тестах никакие важные параметры не изменяются. Второй блок рассчитывает специфические для моделей временные последовательности, необходимые для получения сигналов входа.
Если modeltype = 1, используется простая импульсная модель;
если modeltype = 2, то модель на основе пересечения;
если modeltype = 3, то модель на основе пересечения с подтверждением,
и если modeltype = 4, то модель на основе пересечения с подтверждением и инверсией.
Среди возможных серий есть такие варианты, как сглаженная последовательность лунных импульсов, интегрированные импульсы (ценоподобный ряд), скользящие средние для моделей на пересечении и Медленный %К для подтверждений и инверсий. В зависимости от modeltype могут приобретать значение некоторые другие параметры. Один из них, avglen, управляет периодом всех скользящих средних: в моделина основе импульса он управляет длиной центрированного треугольного скользящего среднего, а в моделях на пересечении — длиной необходимых там средних.
Другой параметр, disp, выставляет смещение, т.е. степень сдвига вперед для компенсации запаздывания скользящих средних. Параметр thresh означает величину порога, используемого в импульсной модели для длинных и коротких позиций (короткие используют отрицательное значение thresh).
Переменная matype управляет видом скользящего среднего:
1 — простое,
2 — экспоненциальное,
6 — центрированное экспоненциальное,
7 — центрированное треугольное; существуют и другие виды средних, не использованные в анализе.
После расчета всех рядов данных запускается цикл, который перебирает рыночные цены день за днем для моделирования торговли. Этот цикл содержит код для обновления симулятора, определения количества контрактов, избежания дней с ограниченной торговлей и т.п. В следующем блоке, расположенном внутри блока перебора текущих дней, происходит генерация сигналов входа. Правила определяются параметром modeltype.
Последний блок управляет отдачей соответствующих приказов согласно параметру ordertype:
1 — вход по цене открытия,
2 — по лимитному приказу,
3 — по стоп- приказу.
Тестирование базовой модели, основанной на пересечении
Скользящее среднее mat рассчитывалось на основе интегрированной ценоподобной лунной серии. На его основе рассчитывалось второе скользящее среднее та2. Для тестирования использовались следующие правила: сигнал на покупку генерируется, когда mat поднимается выше та2.
Сигнал на продажу генерируется, когда та! опускается ниже та2. Эта модель практически совпадает с моделью пересечения скользящих средних, описанной в предыдущих главах. Их единственное отличие состоит в том, что в данном случае используются лунные ряды данных, а не непосредственно цены. Входы производились по цене открытия (тест 1), по лимитному приказу (тест 2) и по стоп- приказу (тест 3).
Оптимизация состояла в прогонке периода скользящих средних avglen от 5 до 15 с шагом 5 и смещения disp от 0 до 15 с шагом 1. Для входа по цене открытия наилучшая эффективность по показателю риска/прибыли в пределах выборки была достигнута при периоде скользящих средних 15 и смещении 8; для входа по лимитному приказу — при периоде 15 и смещении 6; для входа по стоп- приказу— при периоде 15 и смещении 12.
Ни один из тестов ни в одной из выборок не принес прибылей. Наилучшая эффективность (т.е. наименьшие убытки) были обнаружены при входе по лимитному приказу, средние результаты были показаны при входе по стоп- приказу, а максимальные убытки — при входе по цене открытия. При использовании входа по лимитному приказу 43% из 1759 сделок были прибыльными. Вне выборки вход по лимитному приказу дал минимальный средний убыток со сделки, а вход по стоп- приказу — максимальный убыток.- В общем, система на целом портфеле работала плохо, относительная эффективность длинных и коротких сделок носила неустойчивый характер. В пределах выборки длинные позиции часто были более убыточны, чем короткие, в отличие от исследовавшихся ранее моделей.
Капитал постоянно снижался на протяжении всего ряда данных при использовании входа по цене открытия. При входе по лимитному приказу капитал поднимался до сентября 1989 г. Затем наблюдались снижение до июля 1992 г., слабый подъем до февраля 1994 г. и новое падение до июля 1998 г., после чего наметился подъем. При использовании же входа по стопприказу отмечалось медленное снижение капитала на протяжении всего периода тестирования.
В пределах выборки количество рынков, прибыльных при использовании входа по открытию, лимитному и стоп- приказу, составило 15, 8 и 7 соответственно. Вне пределов выборки больше всего рынков (17) принесли прибыль при использовании входа по лимитному приказу, 16 — при входе по цене открытия и 14 — при использовании стоп- приказа. Вне пределов выборки было больше прибыльных комбинаций рынков и видов входов, т.е. можно предположить, что в последнее время большее количество рынков испытывает воздействие лунных циклов. В пределах выборки только рынки немецкой марки и сырой нефти были прибыльными при использовании всех трех видов приказов. Вне пределов выборки рынок немецкой марки был высокоприбыльным при использовании всех трех видов приказов; на рынке сырой нефти при использовании входа по стоп- приказу отмечены небольшие убытки. Рынок казначейских облигаций был высокоприбылен в обеих выборках данных при входе лимитному приказу. На рынке свиной грудинки в обеих выборках при входах по цене открытия и по лимитному приказу получена прибыль. Учитывая только вход по лимитному приказу, в обеих выборках данных прибыльными были рынки немецкой марки, швейцарского франка, иены, платины, палладия, сахара и хлопка.
Тестирование базовой импульсной модели
Для сглаживания неинтегрированного лунного ряда ценовых изменений использовалось центрированное скользящее среднее. При этом не возникало запаздывания, поскольку центрированное скользящее среднее для данного дня учитывает одинаковое количество предшествующих и последующих точек данных. Такое сглаживание применимо, поскольку оценка лунных циклов основывается на данных минимум двухмесячной давности. Для сглаженного ряда изменений цены строился ряд средних абсолютных отклонений и вычислялось простое скользящее среднее с периодом 100 дней для получения желаемого результата. Приказ на покупку отдавался, когда импульс на данный день с добавлением смещения disp превышал произведение порогового множителя thresh на среднее абсолютное отклонение лунного импульса. Приказ на продажу отдавался, когда значение импульса с добавлением смещения disp было меньше той же самой величины, взятой со знаком минус. Входы осуществлялись по цене открытия (тест 4), по лимитному приказу (тест 5) и по стоп- приказу (тест 6).
Оптимизация состояла в прогонке периода скользящих средних от 5 до 15 с шагом 5, смещения от 1 до 10с шагом 1 и порогового значения от 1,5 до 2,5 с шагом 0,5. Наилучшие результаты были достигнуты при значениях периода, смещения и порога 10, 10 и 2 для входа по цене открытия и 15, 9 и 1,5 для входа по лимитному и стоп- приказу.
В общем, результаты были хуже, чем для модели, основанной на пересечении. В обеих выборках данных для всех видов входов отмечены значительные убытки, подобно картине, обнаруженной при исследовании импульсных моделей сезонных явлений. Длинные позиции показали большую эффективность, чем короткие.
При входе по цене открытия капитал снижался плавно и непрерывно с некоторым замедлением скорости снижения со временем. При входе по лимитному приказу снижение капитала было постоянным, при входе по стоп- приказу капитал резко падал с начала выборки до августа 1988 г., а затем плавно снижался.
В пределах выборки некоторую прибыль удалось получить на рынках S&P 500, NYFE, немецкой марки и швейцарского франка. Вне пределов выборки S&P 500 и NYFE не принесли ни прибылей, ни убытков, в то время как рынок немецкой марки был очень прибылен при входе по цене открытия, а швейцарского франка — при входе по лимитному приказу и по стоп- приказу. Как и в случае с моделью на основе пересечения, имелись и другие прибыльные сочетания рынков и приказов.
Тестирование модели на основе пересечения с подтверждением
Эта модель идентична базовой модели на основе пересечения, но в ней входы производятся после подтверждения сигнала стохастическим осциллятором — Быстрым %К. Если лунный цикл давал сигнал к покупке, то приказ отдавался только в том случае, когда Быстрый %К был менее 25%. Это означает, что перед покупкой рынок должен был находиться в состоянии минимума или близком к нему. Подобным же образом сигнал на продажу принимался к исполнению только в тех случаях, когда Быстрый %К был выше 75%, т.е. рынок был близок к максимуму. Входы осуществлялись по цене открытия, по лимитному приказу и по стоп- приказу (тесты с 7 по 9 соответственно).
Оптимизация состояла в прогонке периода скользящих средних avglen от 3 до 15с шагом 3, а смещения disp — от 0 до 15с шагом 1. Наилучшие результаты были достигнуты при значениях периода и смещения 15 и 12 соответственно (вход по цене открытия и по лимитному приказу), а также при значении периода 12 и смещения 5 для входа по стоп- приказу.
В пределах выборки результаты были несколько лучше, чем для базовой модели, основанной на пересечении: при использовании входа по стоп приказу модель с подтверждением принесла среднюю прибыль в сделке $234. Вне пределов выборки, впрочем, средний убыток в сделке был больше, чем для двух предыдущих моделей при любом виде входов. Вход по стоп- приказу был наилучшим и давал наименьшие убытки. Эта система также не была выгодна при работе с целым портфелем: графики изменения капитала для всех трех видов входов показывали только убытки.
В пределах выборки на рынках иены, мазута, соевых бобов и соевой муки была получена прибыль для всех трех видов приказов; вне пределов выборки на этих рынках были только убытки или в лучшем случае неприбыльная торговля. При торговле на рынке канзасской пшеницы при входе по цене открытия и по лимитному приказу были получены устойчивые прибыли, а при использования стоп- приказа — убытки. При использовании стоп- приказа прибыльными были рынки британского фунта, швейцарского франка, канадского доллара, евродоллара и свиной грудинки. Поскольку во всем портфеле количество сделок на большинстве рынков было очень маленьким, полученные результаты вряд ли заслуживают доверия.
Тестирование модели на основе пересечения с подтверждением и инверсией
Эта модель подобна предыдущей модели с подтверждением. Их разница состоит в том, что в моменты возможного разворота рынка проводятся дополнительные сделки. Если пересечение скользящих средних генерировало сигнал на покупку, но показатель Быстрого %К был более 75% (т.е. рынок был близок к максимуму), отдавался приказ на продажу, а не на покупку. Подобным же образом, если пересечение давало сигнал к продаже, но рынок был близок к минимуму, генерировался приказ к покупке. Эти сигналы подавались в дополнение к стандартным сигналам, подаваемым основанной на пересечении базовой моделью. Входы осуществлялись по цене открытия (тест 10), по лимитному приказу (тест И) и по стоп- приказу (тест 12).
Оптимизация состояла в прогонке периода скользящих средних avglen от 3 до 15 с шагом 3, смещения disp от 0 до 15 с шагом 1. Наилучшие результаты были достигнуты при значениях периода и смещения 15 и 12 соответственно для входа по цене открытия, для входа по лимитному приказу — при периоде 15 и смещении 8, а для входа по стоп- приказу — при периоде 12 и смещении 15.
Модель несла тяжелые убытки при всех сочетаниях выборок данных и входов. Как и в случае с сезонными моделями, инверсии не улучшили эффективность, и график изменения капитала являет собой удручающее зрелище.
В пределах выборки рынок NYFE был прибыльным при всех входах, но рынок S&P 500 давал убытки для двух видов входов и нулевую прибыль для третьего. Рынок швейцарского франка также был прибыльным в пределах выборки для всех трех входов; вне пределов выборки он принес значительную прибыль при входе по цене открытия, но в других случаях был убыточен. В общем, в результатах разных выборок наблюдается высокая неустойчивость.
Обзор результатов
При сравнении всех моделей становится очевидно, что вход по стоп- приказу был наиболее эффективен и в пределах, и вне пределов выборки.
Наихудшие результаты были показаны при использовании входа по цене открытия (в пределах выборки) и входа по лимитному приказу (вне пределов выборки). Вне пределов выборки лучше всего работала базовая модель на основе пересечения и хуже всего — модель с пересечением и подтверждением.
Отмечено много сильных взаимосвязей между выборкой, моделью и видом входа. Некоторые из результатов вызваны ограниченным количеством сделок. Оптимальные сочетания моделей и приказов для сезонных систем, в общем, давали лучшие и более устойчивые результаты, чем лунные модели.
Измерение и контроль температуры в сети MicroLANЗаключение
В отношении целых портфелей модели, основанные на лунных ритмах, показывают менее убедительные результаты, чем сезонные модели. Низкая эффективность лунных моделей противоречит нашим прошлым данным (Katz, McCormick, июнь 1997). Различия могут быть объяснены двумя факторами: моделями входа и выхода. В данных тестах модели были оптимизированы на целом портфеле, что может быть неуместно в отношении лунного ритма (использовавшаяся ранее модель входила на рынок через определенное число дней после полнолуния). Методы, использованные в этой главе, были изменены по сравнению с более ранними подходами, поскольку пришлось проводить оптимизацию, используя одинаковые параметры для различных рынков. При использовании старой модели пришлось бы входить в рынок в фиксированный день после полнолуния или новолуния вне зависимости от рынка. Это было бы неправильно, так как, согласно нашему первому исследованию, лунные циклы по- разному влияют на различные рынки. Таким образом, пришлось придать модели самоадаптивность, т.е. способность выбирать время для входа на основе анализа предыдущих лунных циклов.
Другая возможная причина противоречивых результатов может состоять во взаимодействии между видами входов и выходов. Лунные и, возможно, сезонные модели имеют свойство находить пригодные для торговли максимумы и минимумы, но лишь в определенном проценте случаев. Такие системы хорошо работают с близко расставленными защитными остановками, которые быстро останавливают убытки, если предсказание не оправдывается, но позволяют прибыли накапливаться, если рынок движется в предсказанном направлении.
В общем, лунные модели работали плохо, но на некоторых рынках обнаруживались многообещающие и устойчивые результаты, тем более впечатляющие, что модель не подвергалась специальной адаптации к отдельным рынкам. Это позволяет предположить, что при использовании специализированных выходов можно получить замечательные результаты. Так, в нашем первом исследовании лунная модель хорошо работала на рынке серебра, но сейчас рынок серебра был малочувствителен к циклам. При торговле портфелем лунные модели были убыточны, но на каждой сделке они теряли гораздо меньше, чем, например, большинство осцилляторных моделей и моделей на основе скользящих средних.
Солнечная активность и торговля
Предыдущее исследование (Katz, McCormick, сентябрь 1997) было посвящено влиянию солнечных пятен на рынки S&P 500 и пшеницы. В пределах выборки простая модель на основе солнечной активности заработала $64 000 на рынке S&P 500 с 1984 г. по 1992 г. Было совершено 67 сделок, 31% из них были прибыльными. Средняя прибыльная сделка принесла $5304,76 — гораздо больше, чем было потеряно в средней убыточной сделке ( — $1030,43). Средняя прибыль в сделке составила $955,22. Это соответствует общей доходности 561% (не в годовом исчислении). Прибыль принесли и длинные, и короткие позиции, но прибыль, полученная в коротких позициях, была значительно больше. Это указывает на связь необычной солнечной активности с обвалами на рынке. Высокая эффективность коротких позиций особенно важна, поскольку рынок в рассматриваемый период находился в состоянии повышательного тренда. Эффективность системы не снизилась и вне пределов выборки. С 1993 г. по 1996 г. модель заработала 265%, проведя всего 23 сделки, причем прибыльными были 30% сделок. Средняя прибыль в сделке составила $891,30. Результаты на рынке пшеницы также были хороши в обеих выборках данных — в пределах выборки 57% из 84 сделок были прибыльны, средняя прибыль в сделке составила $203,27, а общая прибыль — 859%. Вне пределов выборки было проведено 29 сделок, причем 55% из них принесли прибыль. Средняя прибыль в сделке составила $260,78, а общая прибыль — 406%.
Наши первоначальные исследования говорят о том, что данная тема является весьма перспективной. В приведенных ниже тестах исследуется влияние солнечной активности на стандартный портфель. Для генерации входов использованы ежедневные данные о количестве солнечных пятен с 1985 г. по 1999 г., полученные в Бельгийской Королевской Обсерватории.
Программирование симулятора
Вне зависимости от устройства (интегрированный или основанный на компонентах симулятор) в него должна быть введена логика системы, используемой пользователем. Язык программирования может быть или многоцелевым языком программирования, как C++ или FORTRAN, или собственным языком скриптов программы. Без содействия формального языка невозможно выразить торговые правила системы с достаточной для симуляции точностью. Необходимость в программировании того или иного вида не следует рассматривать как неизбежное зло — пользователь может приобрести много опыта, поскольку программирование заставляет выражать свои идеи упорядочение и целенаправленно.
В качестве примера программирования логики торговой системы рассмотрим TradeStation, популярный интегрированный пакет от Omega Research, содержащий интерпретатор для собственного языка программирования, называемого Easy Language, обеспечивающий проведение тестов на исторических данных. Easy Language — собственный язык фирмы, основанный на Pascal (многоцелевом языке программирования). Как выглядит простая торговая система, запрограммированная на Easy Language? В качестве примера предлагаем код для системы простого пересечения скользящей средней:
{Простая система пересечения скользящей средней в Easy Language}
Inputs: Len(4); {параметр длины скользящей средней)
If {Close > Average{Close, Len)) And
{Close[1] <= Average(Close, Len)[1]} Then
Buy ("A") 1 Contract At Market; {покупает на открытии следующего дня}
If (Close <= Average(Close, Len)) And
(Close[1] > Average{Close, Len}[1]) Then
Sell ("B") 1 Contract At Market; {продает на открытии следующего дня}
Эта система открывает длинную позицию (один контракт) при открытии на следующий день, когда цена закрытия пересекает скользящую среднюю вверх, и короткую позицию (один контракт), когда цена закрытия пересекает скользящую среднюю вниз. Каждому приказу присваивается имя или идентификатор: А — на покупку, В — на продажу. Длина скользящей средней (Len) может задаваться пользователем или оптимизироваться программой.
Ниже та же система, запрограммированная на языке C++ с помощью набора инструментов C- Trader от Scientific Consultant Services, в состав которого входит торговый симулятор C++:
//простая система пересечения скользящих средних в C++
len = parms[l]; // параметр длины скользящей средней
if (cls [cb] > Average(cls, len, cb} &&
cls [cb- 1] <= Average(cls, len, cb- 1))
ts.buyopen ('A', 1); // покупает на открытии следующего дня
if (cls[cb] <= Average(cls, len, cb) &&
cls [cb- 1] > Average(cls, len, cb- 1))
ts.sellopen ('B', 1); // продает на открытии следующего дня
За исключением синтаксиса и обозначений, различия в применении C++ и EasyLanguage невелики. Наиболее важны сноски на текущий бар (cb) и на данный симулируемый торговый счет или ссылку на класс симулятора (ts) в версии на C++. Так, на C++ можно использовать любое количество симулируемых счетов; это важно при работе с портфелями и метасистемами (системами, управляющими счетами другой системы) и при разработке моделей, включающих скрытую адаптацию с движением вперед.
Входы, основанные на солнечной активности
Существует много способов получать сигналы входа на основе солнечной активности. Ниже описан метод пробоя, где в качестве исходных данных использованы не цены, а количество солнечных пятен. Правила таковы: если текущее количество солнечных пятен выше, чем текущий максимальный порог, и количество пятен за несколько (1b2) прошлых дней было ниже соответствующих порогов, то подается сигнал на продажу или покупку в зависимости от предыдущей реакции рынка на пробой порога.
Если текущее количество пятен ниже текущего нижнего порога, а за несколько (1b2) предыдущих дней оно было выше соответствующего порога, то опять- таки подается сигнал на продажу или покупку в зависимости от предыдущей реакции рынка на пробой предела. Сигналы исполняются не мгновенно, а только спустя некоторое количество дней (disp). Пороги определяются следующим образом: верхний порог для данного дня — это максимальное количество пятен за некоторое количество предшествующих дней (1b1), а низший порог — минимальное количество пятен за такое же количество дней. Предыдущее поведение рынка означает положение рынка вблизи максимума или минимума ценового диапазона, который наблюдался в течение некоторого времени после пробоя. Если данное направление солнечных пробоев исторически ассоциируется с минимумами рынка, то подается сигнал на покупку, в обратном случае — на продажу.
Как и лунные циклы, или сезонные явления, входы на основе солнечной активности основываются на предположении, что поведение рынка находится под влиянием неких внешних факторов и что независимая внешняя переменная имеет предсказательную ценность. Система, построенная на таком принципе, предсказывает поведение рынка, а не реагирует на него. Как и в случае любого предсказания, его точность может быть различной. Сделки, заключенные на основе неверных предсказаний, могут быть разрушительными, даже если многие сделки, основанные на удачных предсказаниях, принесли прибыль. Данные системы прогностичны по своей природе, и это их свойство позволяет вести торговлю против тренда, что обеспечивает лучшее выполнение приказов,меньшее проскальзывание и лучший контроль над риском, если использовать оптимальные защитные остановки (здесь это не использовано ввиду необходимости придерживаться стандартных выходов).
Код для системы солнечных тестов подобен коду лунных тестов и здесь не приводится.
Результаты тестирования солнечных моделей
Проводилось исследование эффективности модели, основанной на солнечных циклах с использованием входов по цене открытия (тест 1), по лимитному приказу (тест 2) и по стоп- приказу (тест 3). Параметр 1b1 прогонялся от 25 до 40 с шагом 5, параметр 1b2 — от 10 до 15с шагом 5 и смещение (disp) — от 0 до 2 с шагом 1. При входе по цене открытия наилучшая эффективность была достигнута при 1b1 = 35, 1b2 = 15 и смещении 2. При входе по лимитному приказу наилучшая эффективность была достигнута при 1b1 = 40,1b2 = 15 и смещении 0. При входе по стоп- приказу наилучшая эффективность была достигнута при 1b1 = 35,1b2 = 15 и смещении 2.
В табл. 9- 4 изображена эффективность системы на различных рынках в пределах и вне пределов выборки. В столбцах и строках данные расположены таким же образом, как и в табл. 9- 2 и 9- 3.
Солнечная модель работала примерно так же, как и лунная. В пределах выборки лучше всего работал вход по стоп- приказу; наихудшим был вход по цене открытия (— $1631 со сделки), несколько лучше был вход по лимитному приказу ( — $1519), особенно в случае ограничения только длинными позициями. Лучшим был вход по стоп- приказу, приносивший убыток всего в $52 со сделки; если бы не транзакционные расходы, этот вход в пределах выборки был бы прибыльным.
Модель включала параметр смещения. Наилучшим значением смещения для входа по лимитному приказу был 0, что резонно для входа, требующего быстрого реагирования на солнечный сигнал, чтобы войти до того, как рынок развернется. При использовании входа по стоп- сигналу оптимальным было смещение 2: чтобы сработал стоп- сигнал, запускающий вход, необходимо некоторое движение рынка. Когда смещение отклонялось всего на один- два дня от оптимума, средние убытки в сделке возрастали с $52 до $2000. Это указывает на связь между временем рыночных событий и солнечной активности — в противном случае столь небольшие изменения смещения не приводили бы к таким значительным изменениям эффективности торговой системы.
При использовании входа по стоп- приказу в пределах выборки был достигнут высокий процент выгодных сделок, и длинные позиции принесли прибыль. Вне пределов выборки вход по стоп- приказу опять- таки был наилучшим, но средняя сделка приносила значительный убыток — $1329.
График изменения капитала был построен только для входа по стоп- приказу, поскольку другие входы работали слишком плохо для рассмотрения. Капитал очень быстро возрастал до июня 1988 г., затем практически не менялся до октября 1990 г., после чего резко падал до июня 1994 г., а затем колебался с тенденцией к понижению.
Интересно, что подтвердились некоторые наши предыдущие данные (Katz, McCormick, сентябрь 1997). При использовании входа по стоп- приказу (наилучшего при торговле целым портфелем) рынок S&P 500 был очень прибыльным и в пределах, и вне пределов выборки. Средняя сделка приносила прибыль $4991 в пределах выборки, с годовой прибылью 20,4%; t- критерий показывает, что вероятность подлинности этого эффекта и потенциальной устойчивости прибыли превышает 80%. Прибыльными были и короткие, и длинные позиции. В пределах выборки было проведено 37 сделок (40% прибыльных). Вне пределов выборки и длинные, и короткие позиции были прибыльны; удивительно, что прибыльными были короткие позиции, так как в течение большей части этого периода времени рынок находился в состоянии повышательного тренда. Вне пределов выборки годовая прибыль составляла 39,5% (вероятность подлинности данного результата равна 80%); было проведено 11 сделок (45% прибыльных) со средней прибылью $5640. Подобные результаты нельзя не считать выдающимися.
Подтвердилось наблюдение, что после солнечных вспышек могут происходить резкие снижения цен. При использовании входа по стопприказу прибыль в пределах и вне пределов выборки также была получена на рынках миннесотской пшеницы, соевых бобов и хлопка. На рынке миннесотской пшеницы в пределах выборки годовая прибыль составила 13,5%, опять- таки с вероятностью подлинности результатов, превышающей 80%. Вне пределов выборки данные показатели составили 30,5 и 85% соответственно. Интересно, что рынки мазута и сырой нефти в пределах выборки были высокоприбыльны, но вне пределов выборки принесли умеренные убытки. Несколько других рынков были выгодными, но без устойчивых связей между рынком, частью выборки и использовавшимся входом.
Заключение
Подобно сезонным явлениям и фазам луны, солнечная активность, видимо, оказывает реальное влияние на ряд рынков, особенно на S&P 500 и миннесотскую пшеницу. Как и в случае с лунными циклами, это влияние недостаточно сильно или постоянно, чтобы служить основным элементом в системе портфельной торговли, но как компонент системы, включающей другие факторы, солнечная активность заслуживает внимания. Мы подозреваем, что солнечные явления не влияют на рынок напрямую, но запускают события, которые ждут своего часа или же синхронизируют уже существующие циклы рыночной активности, имеющие близкую периодичность. Например, если цены на рынке сильно завышены и нестабильны, как это было с S&P 500 в октябре 1987 г., для запуска неизбежного обвала вполне достаточно могло быть и солнечной вспышки.
Что мы узнали?
Лунные и солнечные явления могут иметь реальное влияние на фьючерсные рынки. В случае с солнечными явлениями такое влияние на рынок S&P 500 подтверждено. В отношении лунных явлений влияние явно ощутимо, хотя и не столь постоянно.
Астрономические явления, вероятно, стоит включать в состав сложных торговых систем, например использовать как одни из входов в нейронной сети.
Модели, основанные на подобных явлениях, нуждаются в тщательной подгонке к отдельным рынкам. В пользу этого вывода говорит то, что на индивидуальных рынках системы показывали лучшие результаты, чем при торговле портфелем.
Как другие противо трендовые модели, астрономические модели нуждаются в стратегии выходов с близко расположенными защитными остановками. Если остановка расположена верно, то в благоприятной ситуации она не срабатывает, позволяя позиции накапливать прибыль, а когда прогноз оказывается неверным, остановка быстро закрывает сделку, снижая убытки. Использование близких защитных остановок также может объяснить более высокую эффективность торговли в нашем первом исследовании (Katz, McCormick, июнь, сентябрь 1997).
• Учитывая высокую вероятность влияния солнечных и лунных циклов на ряд рынков, стоит обратить внимание на некоторые планетарные ритмы, в том числе на конфигурации и явления, рассматривающиеся сейчас только астрологией.
Методы входа влияют на модели. Например, вход по лимитному приказу не всегда приносит хорошие результаты, а вход по стоп- приказу порой улучшает эффективность. Причина этого может лежать в том, что стоп- приказ вводит элемент подтверждения начала тренда перед сделкой, что может оказаться важным для прогностической противо трендовой стратегии.
Входы на основе циклов
Цикл— это ритмическое колебание, имеющее определимую частоту (0,1 цикла в день, например) или же, по- другому, периодичность (10 дней на цикл, например). В предыдущих двух главах рассматривались циклические по природе явления. Эти процессы имели внешнюю по отношению к рынку природу и известную, если не фиксированную периодичность. Сезонные явления, например, вызваны сменой времен года, и, следовательно, привязаны к внешней действующей силе. Таким образом, все сезонные явления цикличны, но не все цикличные явления сезонны.
В этой главе будут рассматриваться циклы, существующие исключительно в ценовых данных и не обязательно имеющие какие- либо внешние причины. Некоторые из таких циклов могут объясняться еще неизвестными влияниями, другие могут происходить из резонансных колебаний рынков. Какова бы ни была причина, при рассмотрении практически любого графика можно обнаружить циклические явления. В старину трейдеры использовали для поиска регулярных максимумов и минимумов инструмент в форме гребня, который прикладывали к графику. Сейчас применяются компьютерные программы, позволяющие легко наблюдать и анализировать циклы. В отношении механического обнаружения и анализа циклов наиболее используемой техникой является спектральный анализ на основе метода максимальной энтропии (MESA).
Обнаружение циклов с использованием MESA
В настоящее время предлагается не меньше трех крупных программных пакетов для трейдеров с возможностью применения метода максимальной энтропии для анализа рыночных циклов. Это Cycle Trader от Bresset, MESA от Ehlers (800- 633- 6372) и TradeCycles (Scientific Consultant Services, 516- 696- 3333 и Ruggiero Associates, 800- 211- 9785). Такой анализ используется многими специалистами, например Ружжиеро (Ruggiero, октябрь 1996) сообщает, что адаптивные системы на основе пробоя работают лучше при использовании метода максимальной энтропии (MEM) при анализе циклов, чем без него.
Максимальная энтропия — изящный и эффективный метод определения циклической активности в ряду данных. Особая сила этого метода лежит в его способности определять выраженные спектральные черты в ограниченном объеме данных, что полезно при анализе рыночных циклов. Метод хорошо изучен, и его приложения доведены до высокой степени совершенства в отношении адекватной подготовки и обработки данных, требуемой при использовании подобных алгоритмов.
Однако существует ряд проблем, связанных с методом максимальной энтропии, как, впрочем, и с другими математическими методами определения циклов. Например, метод MEM капризен; он может быть чувствителен к небольшим колебаниям данных или к таким параметрам, как период обзора. Кроме того, для применения метода максимальной энтропии требуется не только компенсировать влияние трендов или дифференцировать ценовые данные, но и пропускать их через фильтр низких частот для сглаживания. На необработанных, зашумленных данных алгоритм работает плохо. После пропускания данных через фильтр возникает ряд проблем, в частности запаздывание и фазовые сдвиги по сравнению с исходными данными. Следовательно, экстраполяция обнаруженных циклов может быть неверной в отношении времени и фазы, если не использовать дополнительные методы анализа.
Обнаружение циклов при помощи групп фильтров
Мы потратили много времени на поиск другого метода обнаружения и извлечения полезной информации о циклах. Помимо избежания проблем, связанных с методом максимальной энтропии, мы также хотели использовать принципиально новый метод: при работе на рынке новые методы порой имеют преимущество просто потому, что отличаются от методов других трейдеров. Одним из таких подходов является использование групп специально разработанных полосовых фильтров. Этот метод известен из электроники, где группы фильтров часто применяются для спектрального анализа. Использование группы фильтров позволяет подбирать ширину пропускания и другие характеристики фильтра, а также накладывать друг на друга различные фильтры в составе группы. Этот метод позволяет получить быстрый и адаптивный ответ на рыночную ситуацию.
В проведенном нами исследовании рыночных циклов при помощи групп фильтров (Katz, McCormick, май 1997) с 3 января 1990 г. по 1 ноября 1996 г. разработанная нами модель (на принципе покупки на минимумах и продажи на максимумах) вела торговлю на рынке S&P 500 и принесла $114 950 прибыли. Было проведено 204 сделки, из них 50% прибыльных.
Общая прибыль составила 651%. И длинные, и короткие позиции имели примерно равную доходность и процент выгодных сделок. Различные параметры модели подверглись оптимизации, но почти все значения параметров вели к прибыльным результатам. Использованные на рынке S&P500 параметры были без изменений применены для торговли на рынке казначейских облигаций и принесли 254% прибыли. Учитывая относительную простоту использованных фильтров, эти результаты весьма обнадеживают.
В этом исследовании ставилась цель разработать систему фильтров с нулевым запаздыванием. Фильтры были аналогичны резонаторам или настроенным цепям, которые позволяют проходить сигналам определенной частоты, при этом останавливая сигналы с другими частотами. Чтобы понять идею использования фильтров, представьте себе поток ценовых данных рынка как аналог колебаний напряжения, возникающих в радиоантенне. Этот поток содержит шум, а также модулированные сигналы от радиостанций. Когда приемник настраивают на диапазон,меняют частоту резонанса или центральную частоту полосы пропускания фильтра. На многих частотах слышен только шум. Это означает, что в отсутствие сигнала в приемной системе не возникает резонанса. На других частотах встречается слабый сигнал, а когда находят частоту, соответствующую резонансной, то передача становится четко слышна; это связано с тем, что резонансная частота или центральная частота фильтра соответствует частоте сигналов, передаваемых мощной радиостанцией. Что будет слышно в любой из точек диапазона, зависит от наличия резонанса. Если резонанса между улавливаемыми антенной волнами и внутренней частотой колебаний радиоприемника нет, слышен только случайный шум. Если приемник настроен на данную частоту и поступает сильный сигнал, то происходит согласованное возбуждение электрических цепей. Таким образом, приемник является резонансным фильтром, который вращением ручки настройки настраивается на различные частоты. Когда приемник получает сигнал с частотой, более или менее соответствующей частоте пропускания, он издает звук (после демодуляции сигнала). В рыночных данных трейдеры также пытаются искать сильные сигналы— сигналы выраженного рыночного цикла.
Рассматривая далее идею резонанса, давайте представим камертон с резонансной частотой 440 Гц (т.е. 440 циклов в секунду). Этот камертон стоит в одном помещении с генератором аудиосигналов, подключенным к громкоговорителю. Будем постепенно повышать частоту сигнала генератора, приближаясь к частоте резонанса камертона. Чем ближе частота сигнала, тем больше энергии камертон захватывает из колебаний, вызванных громкоговорителем. Рано или поздно он начнет испускать собственный тон, резонируя с выходом генератора. Когда достигается точная частота колебаний камертона — 440 Гц, он звучит точно в унисон с громкоговорителем — корреляция абсолютна. Когда частота звука начинает отдаляться от резонансной в ту или иную сторону, камертон все еще вибрирует, но уже не так синхронно, и возникает фазовый сдвиг. При удалении частоты сигнала от резонансной камертон отвечает все слабее и слабее. Если подобных камертонов (резонаторов или фильтров) много и каждый настроен на свою частоту, то таким образом можно улавливать много резонансных частот или (в применении к рынку) циклов. Данный фильтр будет очень сильно резонировать на частоте своего цикла, а другие, не настроенные на эту частоту, будут молчать.
Циклы на рынке можно толковать таким же образом — как звуковые сигналы с изменяющейся частотой. Обнаружение рыночных циклов можно попытаться осуществить при помощи такого набора фильтров, полосы пропускания которых перекрываются, но достаточно разнесены, чтобы обнаружить частоту циклической активности, доминирующую на рынке в любой момент. Некоторые из этих фильтров будут резонировать под действием текущей циклической активности. В фильтрах, настроенных на другие частоты/периоды активности рынка, резонанса не возникнет.
Когда на вход фильтра приходит сигнал, соответствующий его частоте, происходит резонанс, подобный резонансу камертона. При этом сигнал на выходе фильтра не имеет фазового сдвига и запаздывания по отношению к входному сигналу. Кроме того, сигнал на выходе будет близок к идеальной форме синусоиды и удобен для принятия торговых решений.
Использованная в наших прошлых исследованиях группа фильтров была основана на полосовых фильтрах Баттеруорта, код для которых весьма сложен, но, тем не менее, приведен целиком на языке Easy Language для TradeStation.
Фильтры Баттеруорта
Фильтры Баттеруорта достаточно просты для понимания. Фильтр Баттеруорта для низких частот подобен скользящему среднему; он сглаживает высокочастотный сигнал (или шум) и пропускает низкочастотные колебания (т.е. колебания с длинным периодом). Если у экспоненциального скользящего среднего отсечка составляет 6 дБ на октаву (т.е. выход с частотой выше отсечки снижается вдвое при двойном снижении периода сигнала), то у четырех полюсного фильтра Баттеруорта (использованного в нашей работе от мая 1997 г.) снижение составляет 18 дБ на октаву (выход с частотой выше отсечки снижается в 8 раз при уменьшении периода сигнала вдвое). Такое резкое снижение ненужного высокочастотного сигнала имеет свою цену: при этом возрастает запаздывание и возникают искажающие фазовые сдвиги.
Фильтр Баттеруорта для высоких частот подобен осциллятору, основанному на разности скользящих средних (например, X— МА(Х), где X — входящий сигнал, а МА(Х) — его скользящее среднее). Оба процесса обеспечивают ослабление низкочастотных сигналов (например, трендов), пропуская высокочастотный сигнал без изменений. Фильтр Баттеруорта обеспечивает более сильное сглаживание, чем осциллятор скользящего среднего (18 дБ против б дБ на октаву). И осциллятор, и высокочастотный фильтр вызывают сдвиг вперед, а не запаздывание, но при этом возникают искажающие высокочастотные шумы и фазовые сдвиги.
Если соединить высокочастотный и низкочастотный фильтры, подав выход первого на вход второго, получится полосовой фильтр, блокирующий частоты выше и ниже желаемой. Сигнал с частотой (или периодом), соответствующим центру полосы пропускания, будет пропущен без искажений (с минимальным сглаживанием) и без запаздывания. Фазовые сдвиги высокочастотного компонента (смещение вперед) и низкочастотного (запаздывание) компенсируют друг друга, как и в случае с вибрирующим камертоном или с осциллятором MACD, который на самом деле является примитивным полосовым фильтром на основе скользящих средних. Сглаживание, обеспечиваемое осциллятором MACD, как и в случае со скользящими средними, невелико по сравнению со сглаживанием фильтров Баттеруорта. Поскольку фильтр пропускает только небольшую часть спектра, выходной сигнал очень сглажен и близок к синусоиде. Более того, поскольку запаздывание и смещение вперед компенсируют друг друга, сигнал не запаздывает. Можно ли назвать такой фильтр идеальным осциллятором? Можно, но с одним условием: использовать только фильтр с центральной частотой, соответствующей частоте рыночных циклических процессов.
Выход должным образом настроенного фильтра должен быть синхронным с циклической активностью рынка в текущий момент. Такой выход будет очень сильно сглаженным; на его основе можно будет принимать решения с минимальным риском пилообразной торговли, что можно применить для получения сигналов торговой системы. Кроме того, если использовать фильтр, настроенный на несколько более высокую частоту, чем фильтр с максимальным резонансом, то выход фильтра будет слегка опережать сигнал, будучи в некоторой степени прогностическим.
Проблема с полосовыми фильтрами Баттеруорта состоит в том, что при смещении частоты сигнала от центральной частоты фильтра возникают огромные фазовые сдвиги, которые могут полностью разрушить генерируемые таким фильтром торговые сигналы.
Волновые фильтры
Фильтры Баттеруорта нельзя назвать единственными оптимальными фильтрами для анализа рыночных циклов. Недостатки фильтров Баттеруорта включают довольно низкую скорость принятия решений, не всегда достаточную для реальной торговли, а также проблемы с измерением мгновенной амплитуды данного цикла. Как было указано ранее, фильтры Баттеруорта могут вносить сильные фазовые искажения. Альтернативой им могут быть волновые фильтры.
Теория групп фильтров недавно стала гораздо сложнее с появлением теории малых волн. На практическом уровне эта теория позволяет конструировать весьма изящные цифровые фильтры с большим числом полезных свойств. Использованные в нижеприведенных тестах фильтры основаны с рядом допущений на волнах Мореле. В принципе волны Мореле ведут себя подобно локализованным преобразованиям Фурье. Они захватывают информацию о циклической активности в данный момент времени, причем влияние других точек данных на результат очень быстро убывает при удалении этих точек от текущей. В отличие от фильтров Баттеруорта волны Мореле имеют максимальную временную локализацию для данного уровня избирательности (степени сглаживания). Это очень важно для фильтров, настроенных на поиск потенциально выгодных циклов на основе максимально свежих данных. Кроме того, использованные в тестах фильтры имеют преимущество очень высокой фазовой устойчивости, что принципиально важно при работе с циклами различной длины для определения моментов рыночных событий. Такие высокоуровневые фильтры могут быть использованы в составе групп, согласно методике, подобной описанной в нашей работе от мая 1997 г.
Волновые фильтры, использованные в тестах, подобны квадратичным зеркальным фильтрам, которые имеют два выхода. Один выход по фазе в точности соответствует любому рыночному сигналу, имеющему частоту, равную центральной частоте полосы пропускания. Второй выход сдвинут по фазе ровно на 90ー, т.е. его пики и провалы соответствуют нулевым значениям первого выхода, и наоборот. В математическом смысле эти выходы ортогональны. Используя их для вычисления мгновенной амплитуды циклической активности (на частоте настройки фильтра), достаточно взять сумму квадратов двух выходов, а затем извлечь из нее квадратный корень. Для определения силы циклического процесса не требуется искать максимумы и минимумы в фильтрованном сигнале и измерять их амплитуды. Кроме того, нет необходимости использовать экзотические методы, вроде расчета корреляции между фильтрованным сигналом и ценами в пределах примерно одного цикла, как мы делали в 1997 г. Если один из фильтров в составе группы обнаружит сильный цикл, то пара выходов этого фильтра может подавать сигнал торговой системе в любой желаемой фазе этого цикла.
На рис. 10- 1 изображен отклик фильтра на циклический процесс с постоянной амплитудой и возрастающим периодом. Центральная частота фильтра соответствует периоду 12. Вторая линия сверху изображает выходной сигнал фильтра с совпадающей фазой. Очевидно, что когда период входящего сигнала приближается к центру полосы пропускания, амплитуда выходного сигнала фильтра возрастает, достигая в центре полосы максимального значения. Когда период сигнала начинает превышать значение полосы пропускания, амплитуда на выходе падает. Вблизи центрального значения полосы пропускания выходной сигнал практически

Рисунок 10- 1. Обработка сигнала квадратичным зеркальным волновым фильтром.
полностью совпадает с входящим. Третья линия (выход с фазой, смещенной на 90ー) показывает такую же последовательность изменения амплитуды, за исключением фазового сдвига. Вблизи центрального значения полосы пропускания выходной сигнал смещен точно на 90ー. Последняя, четвертая линия, изображает мгновенную мощность по данным двух предыдущих. Эта линия показывает амплитуду циклической активности на частоте, соответствующей середине полосы пропускания. На графике максимум наблюдается при периоде 13, а не в центре полосы пропускания фильтра (12), причиной этому — небольшое искажение, возникающее изза быстрого изменения периода исходного сигнала. Поскольку фильтр использует данные нескольких циклов, возникает искаженный общий результат. Тем не менее, очевидно, что на основе такого фильтра можно организовать выгодную торговлю. Масштаб оси Y не имеет значения и выбран просто для представления сигналов на разных линиях в пределах одного графика.
На рис. 10- 2 изображена частота (или же период) и фазовый ответ фильтра. В этом случае середина полосы пропускания фильтра установлена на периоде 20. Кривая относительной мощности изображает мощность выходного сигнала при изменяющейся частоте входного сигнала, амплитуда которого постоянна. Фильтр пропускает сигнал максимально при частоте, соответствующей середине полосы пропускания, а при удалении от нее в обе стороны выходная мощность быстро и плавно снижается. В кривой нет вторичных пиков, и мощность выходного сигнала при значительной разнице частот падает до нуля. Фильтр никак не реагирует на появление трендов, что весьма полезно для трейдеров. Такой фильтр способен работать с данными, не очищенными от трендов и не подвергнутыми дополнительной переработке. Фазовый ответ фильтра также демонстрирует полезные характеристики. На большей части спектра ответ находится в пределах ア 90ー.
На центральной частоте фазового сдвига нет, т.е. выходной сигнал в точности синхронизован с входным, что может обеспечить идеальные входы в рынок. Как и в случае с мощностью, кривая фазового ответа плавная и гладкая — любой ученый или инженер высоко оценил бы эффективность такого фильтра. При построении подобного графика для фильтров Баттеруорта в 1997 г. результаты были гораздо менее удовлетворительными, особенно в отношении фазового ответа и задержки. При незначительном изменении периода сигнала возникали большие сдвиги по фазе, что в реальном применении разрушило бы любые попытки использовать такой фильтр для осмысленных входов в рынок.
На рис. 10- 3 изображен импульсный ответ обоих выходов волнового фильтра — совпадающего по фазе с входным сигналом и ортогонального.
Эти кривые напоминают почти идеальные экспоненциально затухающие синусоиды или косинусоиды. Впрочем, затухание не совсем экспоненциально, и относительные амплитуды пиков подвергаются незаметным подстройкам для избежания влияния трендов.

Рисунок 10- 2. Частота и фаза выходного сигнала квадратичного зеркального волнового фильтра.

В дополнение к данным, представленным на графиках, были проведены другие тесты с использованием плазмод. Плазмодой называют набор данных, подобранных так, чтобы содержать предполагаемые в реальных данных характеристики. Идея состоит в проверке того, насколько алгоритм или модель может обнаружить и проанализировать эти характеристики. Хорошая торговая система на основе циклов должна проявлять высокую эффективность на синтетической серии данных, состоящей из большого количества шума и изредка встроенных циклов. Фильтры, описанные в следующих тестах, работали в такой ситуации очень хорошо.
Получение циклических торговых сигналов входа с использованием групп фильтров
Одним из способов получения сигналов входа является использование серии фильтров, настроенных на различные частоты или периоды, которые целиком перекрывают весь диапазон анализируемых частот. Если в одном из этих фильтров возникает сильный резонанс при отсутствии активности в других, можно предположить наличие на рынке сильного цикла. На основе поведения выходов фильтров определяются ожидаемые моменты возникновения ценовых минимумов (сигнал к покупке) и максимумов (сигнал к продаже). Поскольку наиболее сильно реагирующий фильтр не должен вызывать запаздывания и фазовых сдвигов, при его должной работе и реально существующих циклах на рынке можно получать чрезвычайно своевременные сигналы. Один из традиционных способов использования циклов на рынке — это попытка продавать по циклическим максимумам и покупать по циклическим минимумам. Получаемая от групп фильтров или других источников информация может также дополнять другие системы или адаптировать индикаторы к текущему состоянию рынка. Пример того, как метод обнаружения периода доминирующего цикла и соотношения сигнал/шум включается в другую торговую систему, можно найти у Ружжиеро (Ruggiero, 1997).
Выходные данные симулятора
Все хорошие торговые симуляторы создают выходные данные, содержащие разнообразную информацию о поведении моделируемого счета.
Можно ожидать получения данных по чистой прибыли, количеству прибыльных и убыточных сделок, максимальным падениям капитала и прочим характеристикам системы даже при использовании самых простых симуляторов. Более продвинутые программы предлагают отчеты по максимальному росту капитала, среднему благоприятному и неблагоприятному движению рынка, статистическим оценкам и т.д. и т.п., не говоря уже о детальном анализе индивидуальных сделок. Высокоуровневые симуляторы могут также включать какие- либо показатели соотношения прибыли и риска, например годовое соотношение риска/прибыли (ARRR) или отношение Шарпа — важный показатель, широко используемый для сравнения эффективности различных портфелей, систем или фондов (Sharpe, 1994).
Выходные данные торгового симулятора обычно представляются пользователю в виде одного или нескольких отчетов. Два основных вида отчетов представляют собой обзор эффективности и детальный отчет по каждой сделке. Информация, содержащаяся в этих отчетах, может помочь трейдеру оценить торговый стиль системы и определить, годится ли она для реальной торговли.
Возможно формирование и других видов отчетов, которые могут включать разнообразную информацию, генерируемую программами, как правило, в виде электронных таблиц. Почти все таблицы и графики в этой книге были построены именно так: выходные данные симулятора переносились в Excel, где обрабатывались и форматировались для представления в законченном виде.
Характеристики циклических входов
Исследуемые ниже циклические входы (нацеленные на продажу по максимуму и покупку по минимуму) имеют ряд важных характеристик: высокий процент прибыльных сделок, низкое проскальзывание, способность захватывать максимально возможную часть каждого движения рынка — одним словом, мечта трейдера. Это справедливо только при условии, что на рынке действительно существуют предсказуемые циклы, которые можно обнаружить и, что еще важнее, экстраполировать имеющимися методами. Считается, что на рынках примерно 70% времени присутствует циклическая активность. Даже если четкие циклы, ведущие к выгодным сделкам, возникают гораздо реже, использование близких защитных остановок позволяет сводить к минимуму потери от неудачных сделок. Главный недостаток циклических входов состоит в том, что ввиду широкого распространения весьма мощных алгоритмов анализа циклов, например метода максимальной энтропии, рынки изменили свою природу и стали менее уязвимыми для подобных методов. Предсказуемые циклы обнаруживаются и нивелируются настолько быстро, что их исследования зачастую теряют смысл. Поскольку описываемые циклические входы по природе своей направлены против циклов, то при отсутствии продолжения циклов (т.е. при продолжении тренда) трейдер понесет потери, если не будут применены эффективные методы управления капиталом (защитные остановки). Пригодность к реальной работе сложных методик анализа циклов и будет рассмотрена в наших тестах.
Методология тестирования
Во всех тестах циклических моделей входа используется стандартный портфель из 36 рынков. Количество контрактов для покупки или продажи на каждом рынке подбиралось для соответствия долларовой волатильности двух контрактов S&P 500 на конец 1998 г. Использован стандартный выход: защитная остановка закрывает любую позицию, убытки которой превышают одну единицу волатильности. Кроме того, лимитный приказ закрывает позиции, прибыль которых превышает четыре единицы волатильности, а рыночный приказ по цене закрытия закрывает позиции, не закрытые предыдущими выходами в течение 10 дней. Правила входов рассмотрены в обсуждении модели и индивидуальных тестов. Все тесты проведены при помощи стандартного C- Trader toolkit. Ниже приведен код модели, основанный на волновом фильтре со стандартной стратегией выходов:
static void Model (float *parms, float *dt, float *opn, float *hi, float *lo, float *cls, float *vol, float *oi, float *dlrv, int nb, TRDSIM &ts, float *eqcls) {
// Модели группы волновых фильтров
// File = x14mod01.c
// parms — набор [1..MAXPRM] параметров
// dt - набор [l..nb] дат в формате ГГММДД
// орn — набор [1..nb] цен открытия
// hi — набор [1..nb] максимальных цен
// 1о - набор [l..nb] минимальных цен
// cls — набор [1..nb] цен закрытия
// vol — набор [1..nb] значений объема
// oi — набор [1..nb] значений открытого интереса
// dlrv - набор [l..nb] средних долларовой волатильности
/ / nb — количество точек в наборе данных
// ts - ссылка на класс торгового стимулятора
// eqcls - набор [l..nb] уровней капитала по ценам закрытия
// объявляем локальные переменные
static int rc, cb, ncontracts, maxhold, ordertype, signal;
static int disp, k, modeltype, fcount, goodcycle, domperndx;
static float mmstp, ptlim, stpprice, limprice, tmp;
static float width, oldwidth, lper, sper, per, ratio;
static float exitatr[MAXBAR+1], **inphase, **inquad, **power;
static float peakpower, phase, peaknoise, domperiod;
static float buyphase, sellphase, phaseb, oldphase, oldphaseb;
static WAVFILT filter[20];
// копируем параметры в локальные переменные для удобного обращения
width = parms[l]; // ширина полосы пропускания фильтра (0.05 .. 0.20}
disp= parms[2]; // временное смещение в градусах
modeltype = parms[8]; // модель: 1=торговать развороты циклов
ordertype = parms[9]; // вход: 1=на открытии, 2=по лимитному приказу,
// 3=по стоп- приказу
maxhold = 10; // период максимального удержания позиции
ptlim = 4; // целевая прибыль в единицах волатильности
mmstp = 1; // защитная остановка в единицах волатильности
// Создаем искусственный набор цен закрытия в
// форме синусоиды. Это плазмода для проведения тестов.
// Модель должна хорошо торговать на данном наборе цен.
// #define USESIMEWAVE
#ifdef USESINEWAVE
per = 3.0;
ratio = exp (log (30.0/3.0) / (nb - 1));
sper=0.0;
for (cb = 1; cb <= nb; cb++) (
sper += 2.0 * PI * (1.0 / per);
cls[cb] = sin(sper);
per *= ratio;
}
#endif
// инициализируем группу равноотстоящих волновых фильтров
// заново инициализируем, если параметр ширины полосы изменился
if(width != oldwidth) {
lper ==30.0; // фильтр длинных периодов
sper = 3.О ; // фильтр коротких периодов
fcount =20; // число фильтров в группе
ratio = exp (log (lper / sper) / (fcount - 1) ) ;
per = sper;
for(k = 1; k <= fcount; k++) (
filter[k- 1].build_kernel(per, width);
per *= ratio;
}
oldwidth = width;
}
// рассчитываем выходы фильтров и откорректированный спектр мощности
// если матрицы (таблицы) пустые, то присваиваем им значения
if(inphase == NULL) inphase = matrix(l,fcount,1,MAXBAR);
if(inquad == NULL) inquad = matrix(1,fcount,l.MAXBAR);
if(power == NULL) power = matrix(1,fcount,1.MAXBAR);
for(k = 1 ; k <= fcount; k++) {
filter[k- 1] .apply (cls, inphase[k] , inquad[k], nb);
for(cb = 1; cb <= nb; cb++)
power [k] [cb] = (inphase [k] [cb] * inphase [k] [cb] +
inquad [k] [cb] * inquad [k] [cb] )
/ filter[k- 1].period();
}
// сохраняем спектральный анализ выборки в файл
// эта процедура проводится для отладки
// #define WRITESAMPLE
#ifdef WRITESAMPLE
FILE *fil = fopen("test.dat", "wt");
for(cb = nb- 1200; cb < nb; cb++) {
domperndx = 0 ;
peakpower = - 1.0;
for(k = 1; k <= fcount; k++) (
if(power[k][cb] > peakpower) {
peakpower = power[k] [cb] ;
domperndx = k;
} )
phase = (180.0 / PI) * atan2 (inquad [domperndx] [cb] ,
inphase[domperndx] [cb]);
for(k = 1; k <= fcount; k++) (
if (power [k] [cb] > 0.90 * peakpower)
fprintf(fil, " **");
else if (power[k][cb] > 0.75 * peakpower)
fprintf(fil, " ++");
else if (power[k][cb] > 0.5 * peakpower)
fprintf(fil, " + ");
else
fprintf(fil, " ");
)
fprintf(fil, "%4d %7d %7d %7d %8.1f\n",
(int)filter[domperndx- 1].period(),
(int)(inphase[domperndx] [cb]),
(int)(inquad[domperndx] [cb]),
(int)phase, cls [cb]);
}
fclose(fil);
exit(0);
#endif
// используется для отладки сигналов
// #define SIGNALDEBUG
#ifdef SIGNALDEBUG
FILE *fil = fopen("testsig.dat" , "wt");
#endif
// выполняем вычисления для всех данных
AvgTrueRangeS(exitatr,hi,lo,cls,50,nb) ; // средний истинный диапазон для
// выхода
switch (modeltype) [
case 1:
// Ничего не делайте! Место для будущего кода,
break ;
default: nrerror ("Invalid model type");
)
// проходим через дни, чтобы смоделировать реальную торговлю
for(cb = 1; cb <= nb; cb++) {
// не открываем позиций до начала периода выборки
// ... то же самое, что установка MaxBarsBack в TradeStation
if(dt[cb] < IS_DATE) 1 egcls[cb] = 0.0; continue; )
// выполняем ожидающие приказыи сохраняем значение капитала
rc = ts.update (opn [cb] , hi [cb] , lo [cb] , cls [cb] , cb) ;
if(rc != 0) nrerror{"Trade buffer overflow");
eqcls[cb] = ts.currentequity(EQ_CLOSETOTAL);
//не торгуем в последние 30 дней выборки
// оставляем место в массивах для будущих данных
if(cb > nb- 30) continue;
// считаем количество контрактов для позиции
// ... мы хотим торговать эквивалентом долларовой волатильности
// ... 2 новых контрактов на S&P- 500 от 12/31/98
ncontracts = RoundToInteger(5673 . О / dlrv[cb] ) ;
if (ncontracts < 1) ncontracts = 1;
// избегаем устанавливать приказы на дни с ограниченной торговлей
if(hi[cb+1] == lo[cb+1]} continue;
// генерировать входные сигналы, цены стоп- и лимитных приказов
signal = 0;
switch (modeltype) {
case 1:
// ищем хороший цикл для торговли
domperndx = 0;
peakpower = - 1.0;
for(k = 1; k <= fcount; k++) {
if(power[k][cb] > peakpower) {
peakpower = power[k][cb];
domperndx = k;
}
goodcycle = FALSE;
if(domperndx > 3 && domperndx < fcount- 1) {
peaknoise = 0.0;
for(k = 1; k <= fcount; k++) {
if (abs(k - domperndx) > 2) {
if (power[k] [cb] > peaknoise)
peaknoise - power[k] [cb] ;
}
if(peakpower > 1.5 * peaknoise) goodcycle = TRUE;
}
// генерируем торговые сигналы
if (goodcycle) {
domperiod = filter [domperndx- 1] .period() ;
phase = (180.0 / PI) *
atan2(inquad[domperndx] [cb],
inphase[domperndx] [cb]);
oldphase = (180.0 / PI) *
atan2(inquad[domperndx] [cb- 1],
inphase[domperndx] [cb- 1] );
phaseb - (phase<0.0) ? (360.0+phase) : phase;
oldphaseb = (oldphase<0.0)
? (360.0+oldphase) : oldphase;
sellphase = 0.0 - (disp + 180.0 / domperiod);
buyphase = 180.0 + sellphase;
if (phaseb > buyphase && oldphaseb <- buyphase)
signal = 1; // сигнал на покупку
if (phase > sellphase && oldphase <= sellphase)
signal = - 1; // сигнал на продажу
}
break; }
limprice = 0.5 * (hi [cb] + lo [cb] ) ;
stpprice = cls[cb] + 0.5 * signal * exitatr[cb];
// печатаем отладочную информацию
#ifdef SIGNALDEBUG
fprintf(fil, "%8d %8.1f %8d %8d %8d %8d\n",
cb, cls[cb], signal,
(int)filter[domperndx- 1].period(),
(int)peakpower, {int)peaknoise);
#endif
// входим в сделку, используя определенный тип приказа
if(ts.position() <= 0 && signal == 1) (
switch(ordertype) { // выбираем нужный вид приказа
case 1: ts.buyopen('1', ncontracts); break;
case 2: ts.buylimit ('2', limprice, ncontracts); break;
case 3: ts.buystop('3', stpprice, ncontracts); break;
default: nrerror("Invalid buy order selected");
}
else if (ts.position() >= 0 && signal == - 1) {
switch(ordertype} { // выбираем нужный вид приказа
case 1: ts.sellopen('4', ncontracts); break;
case 2: ts.selllimit('5', limprice, ncontracts); break;
case 3: ts.sellstop('6', stpprice, ncontracts); break;
default: nrerror("Invalid sell order selected");
}
// симулятор использует стандартную стратегию выхода
tmp = exitatr[cb];
ts.stdexitcls('X', ptlim*tmp, mmstp*tmp, maxhold);
} // обрабатываем следующий день
// закрываем, если в режиме отладки
#ifdef SIGNALDEBUG
fclose(fil);
exit(0);
#endif
}
Вышеприведенный код описывает тестируемую модель. Первый важный блок кода, принципиальный для циклической модели, инициализирует индивидуальные фильтры, составляющие группу фильтров. Этот код работает только при первом проходе или при изменении параметра, влияющего на инициализацию группы фильтров, например параметра width.
Если важные параметры остаются без изменений, не имеет смысла перезапускать фильтры при каждом вызове функции Model.
Следующий блок применяет к входящему сигналу каждый из фильтров в составе группы. В этом блоке отведены два массива для хранения выходного сигнала группы фильтров. Первый массив хранит выход с совпадающей фазой inphase, а второй — ортогональный выход inquad. Входной сигнал представляет исходные цены закрытия. Поскольку фильтры математически оптимальны и рассчитаны на удаление трендов, предварительная обработка данных становится излишней в отличие от менее продвинутых методик анализа. Каждая строка в массиве представляет собой выход отдельного фильтра с данной частотой или периодом, каждая колонка представляет собой торговый день. Центральные частоты или периоды фильтров расположены на равных расстояниях на логарифмической шкале, т.е. соотношение между центральной частотой данного и следующего фильтра постоянно. Селективность полосы пропускания (width) — единственный настраиваемый параметр в расчете группы фильтров, и это значение может подбираться путем оптимизации.
Затем запускается обычный цикл перебора точек данных, и генерируются собственно торговые сигналы. Сначала проверяется наличие чистого, пригодного для торговли цикла. Для этого определяется мощность при периоде, имеющем максимальный резонанс с текущей активностью рынка (peakpower). Также оценивается период, на котором наблюдается максимальная мощность. Если период не попадает на одно из крайних значений рассматриваемого диапазона (диапазон составляет от 3 до 30 дней), то потенциально цикл может быть пригоден для торговли. Затем проверяется максимальная мощность на расстоянии не менее 2 полос пропускания фильтра от периода пика (peaknoise). Если отношение peakpower/peaknoise составляет 1,5 или более, то выполняется второе условие пригодности цикла. На основе пары выходов определяется фазовый угол цикла. Затем код проверяет фазовый угол на соответствие максимуму или минимуму цены. Кроме того, в эту оценку вводится небольшое значение смещения (disp). Оно работает подобно смещению в предыдущих моделях, хотя здесь относится к фазовому углу, а не к количеству точек данных. Между фазовым углом и количеством точек данных существует прямая зависимость: период цикла, умноженный на фазовый угол в градусах и разделенный затем на 360, дает количество точек данных, соответствующее фазовому углу. Если фаза после смещения такова, что через некоторое количество градусов до или после текущего дня можно ожидать минимума, отдается приказ на покупку. Если фаза такова, что можно ожидать максимума, отдается приказ на продажу. Затем, как обычно, рассчитываются цены для лимитного и стоп- приказов. При поступлении сигналов система исполняет требуемые приказы.
Другие блоки вышеприведенного кода здесь не обсуждаются, поскольку связаны с отладкой и тестированием программы. Их предназначение описано в комментариях к коду.
Результаты тестирования
Тестировалась только одна модель с входами по цене открытия (тест 1), по лимитному приказу (тест 2) и стоп- приказу (тест 3). Правила были простыми: покупать на предсказанных минимумах и продавать на предсказанных максимумах. Выходы производились при поступлении сигнала к открытию противоположной позиции или при срабатывании стандартного выхода. Эта простая торговая система сначала испытывалась на искусственных ценовых данных, созданных путем добавления шума к идеальной синусоиде с периодом от 4 до 20 дней. На этих данных были получены сигналы покупки и продажи, идеально совпадающие с максимумами и минимумами. Такое совпадение показывает, что при наличии реальных циклов система способна обнаруживать их с высокой точностью и использовать в торговле.
В табл. 10- 1 приведены лучшие показатели, полученные для данных, находящихся в пределах выборки, а также эффективность портфеля на данных в пределах и вне пределов выборки. В таблице: ВЫБ. — вид выборки данных (В — в пределах, ВНЕ — вне пределов выборки); ДОХ% — доходность в процентах годовых; Р/ПРИБ — соотношение риска/прибыли в годовом исчислении; ВЕР — ассоциированная вероятность статистической достоверности; СДЕЛ — число сделок на всех рынках в составе портфеля; ПРИБ% — процент прибыльных сделок; $СДЕЛ — средняя прибыль/убыток со сделки; ДНИ — средняя длительность сделки в днях; ПРИБДЛ — общая прибыль от длинных позиций в тысячах долларов; ПРИБКР — общая прибыль от коротких позиций в тысячах долларов. Оптимизировались два параметра. Первый (Р1) определяет ширину полосы пропускания для каждого фильтра в составе группы. Второй (Р2) отображает фазовое смещение в градусах. Во всех случаях параметры прогонялись в пределах выборки для ширины полосы пропускания от 0,05 до 0,2 с шагом 0,05 и для фазового сдвига от —20 до +20ー с шагом 10ー. Показаны только оптимальные решения.
Интересно отметить, что в общем циклическая модель имела достаточно низкую эффективность. По показателю прибыли со сделки эта модель превосходила многие рассмотренные ранее, но сильно уступала лучшим из них. В пределах выборки убыток со сделки оставил $ 1329 при входе по цене открытия,$1037 при входе по лимитному приказу и $1245 при входе по стоп- приказу. Вход по лимитному приказу обеспечил максимальный процент прибыльных сделок и минимальный средний убыток. Длинные позиции были слабо прибыльными при входе по цене открытия, более прибыльны при входе по лимитному приказу и убыточны при входе по стоп- приказу. Вне пределов выборки входы по лимитному приказу и цене открытия работали хуже, чем в пределах выборки. Средний убыток в сделке составил $3741 при входе по цене открытия и $3551 при входе по лимитному приказу. Доля прибыльных сделок также снизилась до 34%.
Эффективность циклической модели вне пределов выборки была одной из худших среди всех моделей, что нельзя отнести на счет избыточной оптимизации: при других параметрах убытки были еще больше. При использовании входа по стоп- приказу эффективность вне пределов выборки не ухудшалась, средний убыток ($944) в сделке был близок к убытку в пределах выборки. Однако, несмотря на то что применение входа по стоп- приказу предотвратило падение эффективности, отмеченное при других видах входа, очевидно, что на новых данных система все равно убыточна.
Ухудшение эффективности системы за последние годы было по сравнению с другими моделями неожиданно сильным. Одним из возможных объяснений можно считать широкое распространение в последние годы сложных циклических торговых систем. Кроме того, может сказаться влияние того, что крупные торговые фирмы широко используют сложные методы, включая описанные волновые, в исследованиях, формирующих их торговую политику. Таким образом, в последнее время становится все меньше возможностей использовать в торговле циклические свойства рынков.
В табл. 10- 2 показано поведение модели с различными входами на различных рынках в пределах и вне пределов выборки. В первом столбце приведено обозначение рынка, средний и правый столбцы — количество прибыльных тестов для данного рынка. Цифры в первой строке показывают вид входа: 01 — по цене открытия, 02 — по лимитному приказу и 03 — по стоп- приказу. Последняя строка показывает, на скольких рынках данная модель была выгодной. Степень прибыльности и убыточности рынков для каждой модели указана следующим образом: один минус (—) означает убыток в $2000 — 4000; два минуса ( ) — убыток более $4000; один плюс ( + ) означает прибыль от $1000 до $2000; два плюса (+ +) — прибыль более $2000; пустая ячейка означает прибыль до $1000 или убыток до $1999 в сделке. (Названия рынков и их символы соответствуют обозначениям табл. II- 1; часть II, введение.)

Только 10- летние казначейские бумаги и хлопок показали значительную прибыль в пределах выборки при использовании всех трех видов приказов, вне выборки эффективность этих рынков была ничтожной. На рынке S&P 500, где по нашим собственным данным присутствуют выраженные и пригодные для торговли циклы, в пределах выборки были получены значительные прибыли при входе по цене открытия или по лимитному приказу. Вне пределов выборки этот рынок также был высокоприбыльным при входе по лимитному приказу и по стоп- приказу и менее прибыльным при входе по цене открытия. Интересно, что на рынке NYFE, где в пределах выборки отмечена значительная прибыль при входах по цене открытия и по лимитному приказу, вне пределов выборки во всех случаях отмечались только убытки. Отмечено несколько других прибыльных сочетаний как в пределах, так и вне пределов выборки, но выраженной взаимосвязи между ними обнаружить не удалось. Возможно, рынки, обладавшие циклическими свойствами в прошлом (в пределах выборки), потеряли их к настоящему времени (вне пределов выборки), и наоборот. По крайней мере, рынок S&P 500 вел себя согласно данным нашего прошлого исследования и постоянно давал прибыль даже с такой грубой моделью.
Рис. 10- 4 изображает график изменения капитала при торговле портфелем для входа по цене открытия. Капитал медленно понижался примерно до августа 1992 г., после чего падение стало постоянным и быстрым.
Заключение
В статье, опубликованной в мае 1997 г., мы утверждали, что метод групп фильтров имеет потенциал мощной и эффективной торговой стратегии. Порой он работал невероятно успешно и был почти нечувствителен к значительным изменениям своих параметров, порой работал плохо — возможно, из- за неумелого программирования. Тогда исследовался рынок S&P 500, приносивший прибыли и в нынешнем исследовании.
Результаты этого исследования удручают, тем более что теоретическая основа фильтров стала изящнее. Возможно, при использовании для анализа циклов других методов, например метода максимальной энтропии, результат был бы лучше, а возможно, и нет. Подробные же разочарования постигали и других трейдеров, пытавшихся использовать различные идеи для циклической торговли с простым принципом продажи по максимуму и покупки по минимуму. Возможно, циклы слишком уж очевидны и обнаружимы практически любым способом, что приводит к эксплуатации цикла всеми участниками рынка. В последнее время, с распространением программ для анализа циклов, это кажется наиболее вероятным. Мы считаем, что не стоит отказываться от концепции циклической торговли, но использовать обнаруженные циклы более сложными способами можно в сочетании с другими критериями входов, например можно открывать позицию только при совпадении циклического максимума с сезонной точкой разворота.
По нашему опыту, в случае успешной реализации циклическая торговая система дает весьма точные сигналы входа. Тем не менее убыточные сделки циклической системы могут привести к катастрофическим результатам. Такой вывод можно сделать по графику S&P 500: зачастую 4 — 5 раз подряд сделки заключаются в точном совпадении с максимумами и минимумами рынка, а порой позиция открывается именно там, где не следует.
С использованием правильной стратегии выходов такая система может быть чрезвычайно выгодной — убытки должны пресекаться в корне, но при правильном прогнозе позиции нужно удерживать подольше. Высокая точность прогнозов в тех случаях, когда они верны, и очень близко расположенная защитная остановка могли бы содействовать достижению цели. Когда система улавливает точный момент максимума или минимума, рынок немедленно начинает движение в благоприятном направлении, почти без обратных движений, и защитная остановка не срабатывает.
Когда модель ошибается, остановка срабатывает почти мгновенно, сводя убыток к минимуму. Поскольку у стандартных выходов защитная остановка располагалась достаточно далеко, преимущества циклической системы могли остаться нереализованными.
Что мы узнали?
• Теоретически солидные, изящные и привлекательные модели не обязательно хорошо работают на реальном рынке.
• Исключение: рынок S&P 500 был прибылен и в предыдущем, и в настоящем исследовании.
Если модель работает, то работает очень выгодно. Как было сказано ранее при исследовании поведения S&P 500 и других рынков, можно легко и быстро обнаружить последовательности сигналов, точно предсказывающих максимумы и минимумы.
• Следовательно, необходимы специализированные выходы, рассчитанные на систему, которая при срабатывании весьма точна, но в случае ошибки приводит к большим убыткам.
Видимо, рынок со временем стал менее уязвим в отношении циклических моделей, как это было с моделями, основанными на пробоях. Очевидные, явные циклы исчезают раньше, чем большинство трейдеров успевает получить в них прибыль.
Следовательно, все, что слишком гладко и привлекательно в теории, вряд ли приведет к успеху в реальной торговле.
Нейронные сети
Технология нейронных сетей, одного из видов искусственного интеллекта (AI), возникла на основе подражания процессам обработки информации и принятия решений, происходящих в живых организмах. Целью было моделирование поведения нервной ткани живых систем при помощи компьютерных структур, организованных из программно симулируемых нейронов и нейронных связей (синапсов). Исследования нейронных сетей на теоретическом уровне начались в 1940- х годах. Когда компьютерная технология стала достаточно мощной для реализации подобных исследований, работа началась всерьез. Во второй половине 1980- х годов системы на основе нейронных сетей стали представлять интерес для биржевой общественности. К 1989 г. ряд разработчиков уже предлагали пакеты для создания инструментов на нейронных сетях. Scientific Consultant Services разработал коммерческую систему NexTurn для прогнозирования индекса S&P 500. Интерес достиг пика в начале 1990- х годов, появились новые программы, но по причинам, о которых будет сказано ниже, к настоящему времени первоначальное увлечение финансовой общественности нейронными сетями прошло.
Поскольку мы не собираемся представлять в этой книге полный курс по нейронным сетям, эта глава будет содержать краткий обзор, содержащий основное для понимания принципов работы. Те, кто заинтересуется предметом, могут обратить внимание на материалы в книгах Virtual
Trading (Ledermanand Klein, 1995) и Computerized Trading (Jurik, 1999), где также имеется подробная информация о разработке систем на основе нейронных сетей, а также на ряд статей в Technical Analysis of Stocks and Commodities (Katz, апрель 1996, Katz and McCormick, ноябрь 1996 и 1997). Также следует обратить внимание на книгу Neural Networks in Finance and Investing (Trippi and Turban, 1993).
Что такое нейронные сети?
Нейронные сети представляют собой, в сущности, некие блоки со способностью к самообучению и распознаванию образов, классификации и прогнозированию. Они особо привлекательны для трейдеров, поскольку сети могут справляться и с оценками вероятности в неоднозначных ситуациях, и с моделями нечеткой логики, т.е. с моделями, легко определимыми на вид, но с трудом поддающимися алгоритмизации в виде точных правил. Потенциально, нейронные сети могут обнаруживать любые присутствующие в исходных данных повторяющиеся модели. Сети также могут интегрировать большие объемы информации, не захлебываясь в деталях, и могут адаптироваться к изменениям рынков и их условий.
Существует большое разнообразие нейронных сетей, отличающихся своей архитектурой, т.е. способом связи виртуальных нейронов, деталями их поведения (обработкой сигнала или функциями передачи) и процессом обучения. Существуют различные виды архитектур сетей представляющих интерес для трейдеров, например сети Коонена и сети с квантованием обучающего вектора (LVQ), различные сети с адаптивным резонансом и периодические сети. В этой главе будет рассмотрена наиболее популярная и полезная во многих отношениях архитектура, а именно нейронная сеть с прямой связью.
Как было сказано выше, сети различаются по методу обучения. Разработчики системы играют роль учителя, снабжая сеть примерами для обучения. Некоторые сети обучаются под контролем, некоторые без контроля. Обучение под контролем имеет место, когда сеть обучают давать правильные ответы, показывая ей примеры правильных решений; для каждого набора входов целью сети является обеспечение правильного выхода. Обучение без контроля состоит в том, что сеть организует введенные данные так, как считает нужным, на основе найденных в них внутренних закономерностей. Вне зависимости от формы обучения основная проблема состоит в поиске соответствующих данных и придании им формы учебных примеров, фактов, которые выделяют важные модели для эффективного и направленного обучения сети, во избежание формирования заблуждений. Предварительная подготовка данных— само по себе искусство.
Собственно процесс обучения обычно включает некоторый механизм обновления удельных весов или важности разных связей между нейронами в ответ на подаваемые учебные примеры. При использовании в архитектуре прямых связей часто используют обратное распространение — наиболее быструю форму оптимизации. Также эффективны генетические алгоритмы, которые требуют большого количества расчетов и времени, но обычно дают лучшие окончательные результаты.
Нейронные сети с прямой связью
Сеть с прямой связью состоит из слоев нейронов. Первый слой, входной, получает информацию или вводы извне. Этот слой состоит из независимых переменных, например значении цен или индикаторов, на которых основывается система в последующих заключениях или прогнозах. Этот слой имеет множество связей со следующим, называемым скрытым слоем, поскольку он не имеет связей с внешним миром. Выходы этого слоя подаются на следующий слой, который может быть также скрытым (если это так, то процесс повторяется) или выходным слоем. Каждый из нейронов выходного слоя выдает сигнал, основанный на прогнозах, классификациях или решениях, сделанных сетью. Сети обычно определяются по количеству нейронов в каждом слое; например сеть 10- 3- 1 состоит из 10 нейронов во входном, 3 в скрытом и 1 в выходном слое. Сети бывают различного размера — от нескольких нейронов до тысяч и от всего трех слоев до десятков; сложность зависит от размаха решаемой задачи. Практически всегда бывает достаточно трех- четырех слоев.
Нейронные сети с прямой связью (аналоги использованной в этой главе) включают особую форму нелинейной множественной регрессии. Сеть берет ряд входных переменных и использует их для прогнозирования цели задания, как и при регрессии. В стандартной множественной линейной регрессии, например, если ставится задача предсказать уровень холестерола (зависимая переменная) на основе потребления жиров и физической нагрузки (независимые входные переменные), то данные будут моделироваться следующим образом: прогнозируемый уровень холестерола = а + b х потребление жиров + с X нагрузку, где значения a, b и с будут определяться статистической процедурой. Будет производиться поиск множества решений задачи, которое может быть линией, плоскостью или гиперплоскостью (в зависимости от количества переменных) согласно правилу наименьших квадратов. В вышеприведенной задаче все решения находятся на плоскости: ось х представляет потребление жиров, ось у—физическую нагрузку, высота плоскости в каждой точке (х, у) представляет собой прогнозируемый уровень холестерола.
При использовании технологии нейронных сетей двумерная плоскость или n- мерная гиперплоскость множественной линейной регрессии заменяется гладкой n- мерной изогнутой поверхностью с пиками и провалами, хребтами и оврагами. Например, нам требуется найти оптимальное решение для набора переменных, и задача будет сводиться к построению многомерной карты. В нейронной сети решение достигается при помощи нейронов — взаимосвязанных нелинейных элементов, связи которых сбалансированы так, чтобы подгонять поверхность подданные. Алгоритм обучения производит регулировку весов связей для получения максимально вписывающейся в исходные данные конфигурации поверхности. Как и в случае со стандартной множественной регрессией, где коэффициенты регрессии необходимы для определения наклона гиперповерхности, для нейронной модели требуются параметры (в виде весов связей), чтобы обеспечить наилучшее совпадение построенной поверхности, всех ее возвышений и впадин, с входными данными.
Нейронные сети в торговле
Нейронные сети были наиболее популярны в конце 80 — начале 90- х годов, после чего медовый месяц завершился. Что же произошло? В общем, наступило разочарование среди трейдеров, надеявшихся, что новые технологии чудесным образом обеспечат им превосходство с минимальными затратами усилий. Разработчики использовали для обучения недостаточно подготовленные исходные данные, надеясь на открытия, которые должна была сделать сама сеть. Это был наивный подход. Успех на рынке никогда не бывает таким простым и доступным для всех. Этот подход был не только неэффективен в отношении разработки сетей, но и привел к тому, что сети широко распространились. В результате любая попытка систем уловить выгодные движения рынка сводилась к нулю ввиду изменившейся природы рынка, который быстро адаптировался к новым методам торговли. Во всем обвинили саму технологию и отбросили ее, не задумавшись о неправильном подходе к ее применению. Для получения успешных результатов был необходим более осмысленный и изощренный подход.
Большинство попыток разработать прогностические модели на основе нейронных сетей, простые или усложненные, были сконцентрированы на отдельных рынках. Проблема с отдельными рынками состоит в том, что количество точек данных для обучения сети весьма ограничено и ведет к переоптимизации, что, особенно в сочетании с не слишком хорошо подготовленными данными, ведет к провалу при торговле. В этой главе нейронные сети будут обучаться на основе целого портфеля ценных бумаг, валют и фьючерсов, что позволит использовать для избежания подгонки десятки тысяч точек данных — приличное количество для маленькой или средней нейронной сети. Возможно, таким образом удастся заставить работать достаточно прямолинейный алгоритм прогнозирования рынка. Фактически, такая сеть сможет служить универсальным прогностическим средством, т.е. после обучения на целом портфеле она сможет прогнозировать в отдельности каждый из рынков.
Прогнозирование с помощью нейронных сетей
Нейронные сети будут разрабатываться с целью прогнозирования: ( I ) куда уйдет рынок в ближайшем будущем и (2) будет ли завтрашняя цена открытия представлять собой точку разворота. Для первого случая будет сооружаться сеть, прогнозирующая обращенный во времени стохастический осциллятор, а именно обращенный Медленный %К. Это, в общем, стандартный осциллятор, но рассчитываемый с обратным отсчетом времени. Такой осциллятор отражает текущее положение цены закрытия по отношению к нескольким последующим дням. Несомненно, предсказание значения такого индикатора было бы полезно для трейдера: зная, что сегодняшняя цена закрытия и, вероятно, завтрашняя цена закрытия лежат внизу ценового диапазона нескольких следующих дней, можно предполагать, что это хорошая ситуация для покупки, и наоборот, если сегодняшняя цена открытия лежит вблизи максимума ближайшего будущего, время поразмыслить о продаже. Во втором случае представим моделирование ситуации с завтрашним открытием — будет ли эта цена максимумом или минимумом? Для решения этой задачи будут обучены две нейронные сети: одна на определение минимума в завтрашней цене открытия, другая на определение максимума. Возможность предсказать максимум или минимум на завтрашней цене открытия также полезно для трейдера, решающего, входить ли в рынок и какую позицию занимать—длинную или короткую. Целью этого исследования будет получение таких прогнозов в отношении любого рынка, где используется модель.
Входы на основе нейронной сети
Мы будем обучать три нейронные сети, дающие три модели входа. Две из них будут настроены на поиск точек разворота: одна будет определять минимумы, другая — максимумы. Если модель, определяющая минимум, покажет, что вероятность минимума на завтрашней цене открытия выше некоторого порога, то будет отдан приказ на покупку. Если модель, определяющая максимум, покажет, что вероятность максимума на завтрашней цене открытия выше некоторого другого порога, то будет отдан приказ на продажу. Ни одна из этих моделей не будет отдавать приказы при каких- либо других условиях. Таким образом, стратегия проста и основана только на предсказанных минимумах и максимумах. Если вероятность определения максимумов и минимумов будет выше случайной, то торговля будет прибыльной. Система обнаружения не должна быть идеальной, пусть вероятность правильного сигнала будет выше 50% — этого будет достаточно, чтобы преодолеть транзакционные затраты.
Для модели, использующей обращенный во времени Медленный %К, будет использоваться подобная стратегия. Если прогноз показывает, что обращенный во времени Медленный %К имеет вероятность быть ниже установленного порога, будет отдан приказ на покупку; это значит, что рынок находится вблизи минимума некоторого будущего ценового диапазона и можно быстро получить прибыль. Таким же образом, если прогнозируемое значение обращенного Медленного %К высоко и превышает некоторый верхний порог, будет отдан приказ на продажу.
Эти входы, как и многие другие, рассмотренные в предыдущих главах, являются прогностическими — они предсказывают рынок, а не следуют за ним. Они подходят для торговли против тренда и при точном предсказании могут резко снизить проскальзывание, обеспечить своевременное выполнение приказов, поскольку трейдер будет покупать, когда другие продают, и наоборот. Хорошая прогностическая модель — Святой Грааль торговли, который дает возможность продавать вблизи максимума и покупать вблизи минимума. Однако при неточной работе все преимущества прогностической модели будут перевешены расходами на неудачные сделки.
Модель на обращенном во времени Медленном %К
Первый шаг в разработке нейронной сети с прогностическими функциями — это подготовка обучающего набора фактов, т.е. выборки данных, содержащей примеры для обучения сети, а также для оценки некоторых статистических показателей. В данном случае набор фактов генерируется на основе данных из пределов выборки по всем рынкам в составе портфеля: таким образом, набор фактов будет велик — 88 092 точки данных. Этот набор генерируется только для обучения, но не для тестирования по причинам, которые будут пояснены далее.
Для получения набора фактов под данную модель сперва следует произвести расчеты целевого показателя — обращенного во времени Медленного %К. Каждый факт затем записывается в файл при проходе через все точки данных для всех рынков в составе портфеля. Для каждого торгового дня процесс создания факта начинается с расчета входных переменных. Это делается путем расчета разности между парой цен и делением результата на квадратный корень количества дней, лежащих между этими двумя ценами. Квадратичная поправка используется, поскольку в случайном рынке стандартное отклонение между двумя днями примерно пропорционально квадратному корню от количества дней между ними.
Эта поправка сделает вклад каждой разницы цен в факт примерно равным. В этом эксперименте в каждом факте содержится 18 изменений цены, рассчитанных с квадратичной поправкой. Эти 18 значений будут служить как 18 входов нейронной сети после дополнительной обработки.
Пары цен (использованные при расчете изменений) выбираются с возрастающим расстоянием между ценами, т.е. чем дальше во времени, тем расстояние между точками данных больше. Первые несколько пар перед текущим днем берутся с расстоянием в один день, т.е. цена предыдущего дня вычитается из цены текущего и т.д. После нескольких таких пар шаг изменяется до 2 дней, затем до 4,8 и т.д. Точная расстановка включена в код программы в виде таблицы. Смысл этого состоит в получении максимально точной информации о новейших процессах. Чем дальше во времени от текущего дня находятся данные, тем больше вероятность того, что только долговременные процессы будут иметь значение, следовательно, можно обойтись меньшим разрешением. Такая выборка дней должна обеспечивать достаточное разрешение для регистрации циклов и других явлений с периодом от 1 — 2 до 50 дней и более. Такой подход принят в соответствии с рекомендацией Марка Джурика (jurikres.com).
Собрав для будущего факта 18 скорректированных квадратным корнем разностей для входов, мы используем процедуру нормализации. Целью нормализации является удаление информации, заложенной в амплитуде, при сохранении формы волны. При обращении с 18 переменными входа как с вектором, нормализация состоит в масштабировании вектора в единицы длины. Расчеты включают возведение каждого элемента вектора в квадрат, сложение квадратов, вычисление квадратного корня и затем деление каждого элемента на полученное число. Так получаются переменные входа для нейронной сети — фактически, программа нейронной сети в дальнейшем еще раз будет масштабировать эти входы, приводя их значения к уровням, допустимым для входных нейронов.
Для каждого факта целью (т.е. зависимой переменной регрессии) является попросту значение обращенного во времени Медленного %К. Входные переменные и цель для каждого факта выдаются в простом ASCII- формате в виде файла, который может анализироваться качественным пакетом для разработки нейронных сетей.
Полученный набор фактов используется для обучения сети прогнозированию обращенного во времени Медленного %К, т.е. относительного положения сегодняшней цены закрытия и, предположительно, завтрашней цены открытия по отношению к диапазону цен за последующие 10 дней (обращенный во времени Медленный %К с периодом 10 дней).
Следующий шаг разработки нейронного прогностического устройства — реальная тренировка нескольких сетей на полученном наборе фактов. Обучают серию нейронных сетей различного размера, причем метод отбора наиболее хорошо обученной и устроенной сети не состоит, как можно было бы подумать, в проверке ее эффективности на данных вне пределов выборки. Вместо этого проводится коррекция коэффициентов корреляции (показателей прогностических способностей каждой сети), причем коэффициент коррекции зависит от размера выборки данных и количества параметров (связей между нейронами) в исследуемой сети. При этом используется то же уравнение, что и при коррекции множественных корреляций, получаемых при многовариантной регрессии (см. главу о статистике и оптимизации). Чем больше и сложнее сеть, тем сильнее будут скорректированы (в меньшую сторону) коэффициенты корреляции. Этот подход помогает оценить степень излишней подгонки системы под исходные данные. Чтобы большая сеть превзошла маленькую, она должна давать значительно больший коэффициент корреляции.
Этот метод позволяет выбирать лучшие сети без обычного обращения к данным вне пределов выборки. Все сети проходят полное обучение, т.е. не делается попыток скомпенсировать снижение степеней свободы меньшим обучением сети.
Наилучшие сети, отобранные на основе скорректированных корреляций, затем тестируются с настоящей моделью входа, стандартизованным выходом на всех рынках как в пределах, так и вне пределов выборки.
Как было сказано выше, излишне подогнанные сети должны иметь очень низкие значения корреляции после проведения ее коррекции. Большое количество фактов в наборе (88 092) должно помочь избежать вредного влияния подгонки для сетей умеренного размера.
Основы операционных систем тут
Код модели обращенного Медленного %К
static void PrepareNeurallnputs (float *var, float *cls, int cb) {
// Преобразование исходных цен закрытия
// во входную информацию для нейронной сети.
// var - вывод: массив [1..18] переменных для нейросети
// cls - ввод: массив [1..] цен закрытия
// cb - ввод: индекс текущего дня
static pbars[] = { 0, 0,1,2,3,4,5,6,8,10,12,16,20,24,32,34,
40,48,64,96 };
static float pfac[19], amp;
static int notfirstpass, k;
// инициализируем таблицу фактора корректировки разницы
if(notfirstpass == FALSE) (
for(k = 1; k <= 18; k++)
pfac [k] = 1.0 / sqrt (pbars [k+1] - pbars[k]);
notfirstpass = TRUE;
}
// считаем откорректированные ценовые разницы и квадраты амплитуды
amp = 0.0;
for (k = 1; k <= 18; k++) (
var [k] = pfac [k] *
(cls[cb - pbars[k]] - cls (cb - pbars[k+1] ]);
amp += var [k] * var [k] ;
}
// нормирование вектора ценовых разниц к единице амплитуды
amp = 1.0 / sqrt(amp);
for(k = 1; k <= 18; k++)
var[k] = amp * var[k];
}
static void Model (float *parms, float *dt, float *opn, float *hi, float *lo, float *cls, float *vol, float *oi, float *dlrv, int nb, TRDSIM its, float *eqcls) (
// Выполняет простую торговую модель на нейросетях. Она
// торгует с помощью предсказания обратного Медленного %К.
// File = xl5modOl.c
// parms - набор [1..MAXPRM] параметров
// dt — набор [1..nb] дат в формате ГГММДД
// орn - набор [l..nb] цен открытия
// hi — набор [l..nb] максимальных цен
// 1о — набор [l..nb] минимальных цен
// cls - набор [l..nbj цен закрытия
// vol — набор [l..nb] значений объема
// oi — набор [l..nb] значений открытого интереса
// dlrv - набор [1..пЬ] средних долларовой волатильности
// nb — количество дней в наборе данных
// ts — ссылка на класс торгового симулятора
// eqcls — набор [l..nb] уровней капитала при закрытых позициях
//объявляем локальные переменные
static int rc, cb, ncontracts, maxhold, ordertype;
static int mode, signal, factcount, k, netnum;
static FILE *fil;
static NEURALNET *nnet; static char netname [20];
static float thresh, netout, var[19];
static float mmstp, ptlim, stpprice, limprice, tmp;
static float exitatr[MAXBAR+1], revstoch[MAXBAR+1];
// копируем параметры в локальные переменные для удобного обращения
thresh = parms[l]; // порог выходных значений для сети
netnum = parms[2]; // число нейросети
mode = parms[6] ; // обучение (режим=1) или тест (режим=2)
ordertype = parms[9]; // тип входного приказа
maxhold = 10; // период максимального удержания позиции
ptlim = 4; // целевая прибыль в единицах волатильности
mmstp = 1; // защитная остановка в единицах волатильности
//выполняем вычисления по всему объему данных с помощью векторных процедур
AvgTrueRangeS(exitatr,hi,lo,cls,50,nb); // средний истинный диапазон для
// выхода
RevStochOsc(revstoch,hi,lo,cls,2,10,nb); // обратный Медленный %К
// готовим набор фактов для обучения нейросети
if(mode == 1) { // режим подготовки
// фактов (р6=1)
// открываем выходной файл и записываем N- TRAIN в файл
// заголовок перед обработкой первого рынка
if(strcmp(ts.symbol(), "SP") == 0) (
fil = fopen("yl5fac01.dat", "wt");
fprintf(fil, "%d\n%d\n", (int)18, (int)l);
factcount = 0;
}
// записываем действительные факты в файл
// делаем для каждого рынка в портфеле
for(cb = 1; cb <= nb; cb++) (
if(dt[cb] < ISJATE) continue; // период анализа
if(dt[cb+10] > OOS_DATE) break; // игнорируем данные вне пределов выборки
fprintf(fil, "%6d", ++factcount) ; // номер факта
PrepareNeurallnputs(var, cls, cb) ;
for(k = 1; k <= 18; k++)
fprintf(fil, "%7.3f", var[k]); // входные значения
fprintf(fil, "%7.3f\n",revstoch[cb] ); // цель
if((cb % 1000) == 1)
printf("CB = %d\n", cb); // информация о прогрессе
}
// закрываем выходной файл и выходим после обработки последнего рынка
if(strcmp(ts.symbol(), "LB") == 0) (
fclose(fil);
exit(0);
}
}
// моделируем торговлю с обученной нейросетью
if(mode == 2) { // режим торгового симулятора (рб=2)
// загружаем обученную сеть перед обработкой первого рынка
if (strcmp(ts.symbol(), "SP") == 0) (
sprintf(netname, "/nets/nn%d.net", netnum);
nnet = ntlload(netname) ;
if(nnet == NOLL) nrerror(ntlerrm(ntlerrc()));
}
// проходим через дни, чтобы смоделировать реальную торговлю
for(cb = 1; cb <= nb; cb++) {
// не открываем позиций до начала периода выборки
// ... то же самое, что установка MaxBarsBack в TradeStation
if(dt[cb] < IS_DATE) ( eqcls[cb] = 0.0; continue; }
// выполняем ожидающие приказы и сохраняем значения капитала
rc = ts.update(opn[cb], hi[cb], lo[cb], cls[cb], cb) ;
if(rc != 0) nrerror("Trade buffer overflow");
egcls[cb] = ts.currentequity(EQ_CLOSETOTAL);
// считаем количество контрактов для позиции
// ... мы хотим торговать эквивалентом долларовой волатильности
// ... 2 новых контрактов на S&P- 500 от 12/31/98
ncontracts = RoundToInteger(5673 .0 / dlrv[cb]);
if(ncontracts < 1) ncontracts = 1;
// избегаем устанавливать приказы на дни с ограниченной торговлей
if(hi[cb+l] == lo[cb+l]) continue;
// генерируем входные сигналы, цены стоп- и лимитных приказов,
// используя обученную нейросеть
signal=О;
PrepareNeurallnputs(var, cls, cb) ;
ntlset_inputv(nnet, &var[l]); // принимаем входные параметры сети
ntlfire (nnet); // запускаем сеть
netout = ntlget_output(nnet, 0); // получаем выходные данные
if(netout > thresh) signal = - 1; // сигнал на продажу
if(netout < (100 - thresh))
signal = 1; // сигнал на покупку
limprice = 0.5 * (hi [cb] + lo [cb] ) ;
stpprice = cls[cb] +0.5 * signal * exitatr[cb];
// входим в сделку, используя определенный тип приказа
if(ts.position() <= 0 && signal == 1) (
switch(ordertype) { // выбираем нужный вид приказа
case 1: ts.buyopen('1', ncontracts); break;
case 2: ts.buylimit{'2 ' , limprice, ncontracts); break;
case 3: ts.buystop('3', stpprice, ncontracts); break;
default: nrerror("Invalid buy order selected");
}
)
else if(ts.position() >= 0 && signal == - 1) (
switch(ordertype} { // выбираем нужный вид приказа
case 1: ts.sellopen('4', ncontracts); break;
case 2: ts.selllimit('5', limprice, ncontracts); break;
case 3: ts.sellstop('6', stpprice, ncontracts); break;
default: nrerror("Invalid sell order selected");
}
}
// симулятор использует стандартную стратегию выхода
tmp = exitatr[cb];
ts.stdexitcls('X', ptlim*tmp, mmstp*tmp, maxhold);
} // обрабатываем следующий день
// выгружаем обученную сеть после обработки последнего рынка
if(strcmp(ts.symbol(),"LB") == 0) ntldisp(nnet) ;
}
}
Код включает две функции — обычную функцию Model, реализующая торговую модель, и процедуру подготовки входов нейронной сети PrepareNeurallnputs. Процедура, которая подготавливает входы, требует для работы индекса текущего дня (cb) и серии цен закрытия (cls).
Функция PrepareNeurallnputs при наличии индекса текущего дня и серии цен закрытия рассчитывает для данного факта все входы, необходимые нейронной сети. В списке параметр pbars указывает на относительный по сравнению с текущим (приравненным к нулю) номер дня из прошлых данных, используемый для вычисления вышеописанных разностей цен. Первый блок кода после объявления переменных запускает таблицу факторов подстройки цен. Таблица запускается на первом проходе функции и содержит квадратные корни количества дней между каждой из пар цен, используемых для расчета разностей. Следующий блок кода рассчитывает скорректированные разности, а также суммы их квадратов, т.е. квадрат амплитуды или длину результирующего вектора.
Код, реализующий торговую модель, основан на наших обычных принципах. После объявления переменных ряд параметров копируется в локальные переменные для простоты ссылок. Затем рассчитываются средний истинный интервал, используемый для стандартного выхода, и обращенный во времени Медленный %К с периодом 10 дней.
Один из параметров (mode) выбирает режим работы кода. Mode = 1 запускает код для подготовки факта; файл открывается, заголовок (состоящий из числа входов — 18 и числа целей — 1) записывается, и счет фактов начинается с нуля. Это производится только при открытии первого из рынков в составе портфеля. Файл остается открытым все время дальнейшей обработки, вплоть до конца обработки последнего символа в портфеле. После заголовка в файл записываются факты. Все данные до начала периода выборки и после окончания периода вне выборки игнорируются. Используются только данные в пределах выборки. Каждый факт, записанный в файл, состоит из номера факта, 18 переменных входов, рассчитанных процедурой PrepareNeurallnputs, и цели (значения обращенного во времени Медленного %К). Пользователю сообщается информация о продвижении работы.
Если mode выбирается равным 2, то нейронная сеть, обученная на вышеописанномфайле с фактами, используется для генерации торговых входов. Первый блок кода открывает и загружает нужную сеть до начала расчетов по первому рынку. После выполнения стандартных функций обновления симулятора, расчета количества контрактов, избежания дней с остановленной торговлей и т.п. запускается блок, генерирующий сигналы входа и выхода. Функция PrepareNeurallnputs вызывается для получения входных данных, соответствующих текущему дню. Сеть обрабатывает эти данные, и на основании ее выхода генерируются сигналы на вход в рынок.
Правила генерации сигналов таковы: если на выходе нейронной сети значение превышает порог thresh, то подается сигнал на продажу — сеть предсказывает высокое значение обращенного во времени Медленного %К, т.е. текущая цена закрытия, возможно, близка к максимуму на ближайшее будущее. Если на выходе сети значение составляет менее 100 — thresh, то подается сигнал на покупку. Например, если thresh установлен на уровне 80, то любой предсказанный Медленный %К более 80 будет вызывать сигнал на продажу, а любой Медленный %К менее 20 — сигнал на покупку.
Кроме того, встроены еще два блока, обеспечивающие отдачу собственно приказа на вход в рынок и работу стандартизированного выхода.
Эти блоки подобны использованным в предыдущих главах.
Методология тестирования модели на основе обращенного Медленного %К
Модель выполняется со значением mode — 1 для получения набора фактов. Набор фактов загружается в N- TRAIN — набор для разработки нейронных сетей Scientific Consultant Services (516- 696- 3333), масштабируется и перетасовывается, как это необходимо при разработке нейронной сети. Затем обучается набор сетей, начиная с маленькой и кончая весьма большой; в основном это простые 3- слойные сети. Также обучаются две 4- слойные сети. Все сети тренируются до максимальной конвергентности и затем полируются для удаления мелких отклонений или сдвигов.
Процесс полировки обеспечивается снижением интенсивности обучения до очень низкой и еще примерно 50 прогонами после этого.
В табл. 11- 1 приводится информация о всех сетях, обучавшихся для этой модели, с коэффициентами корреляции и другими показателями. В таблице указаны название файла, содержащего сеть, размер — число слоев и число нейронов в каждом из слоев, число связей в сети, оптимизированных при обучении (подобно количеству коэффициентов регрессии при множественной регрессии и их связи с излишней подгонкой под исторические данные), и корреляция — множественная корреляция выхода сети с его целевым значением. Скорректированные на излишнюю подгонку под входные данные значения корреляции занимают два столбца: в левом — коррекция исходя из обучения на наборе в 40 000 точек данных, в правом — исходя из 13 000 точек. Последние строки содержат реальное количество точек данных, а также их количество, предполагаемое при расчете коррекции.
Количество точек данных, использованное при расчете коррекции коэффициентов корреляции, меньше, чем реальное их количество в наборе для обучения. Причина в повторяемости фактов, а именно в том, что факт, основанный на некоторой точке данных, с большой вероятностью будет весьма подобен факту, основанному на соседней точке. Из- за этого эффективное число точек данных в отношении статистически независимой информации будет уступать реальному. Мы использовали два разных прореживания данных, представленных в двух столбцах. Процесс коррекции корреляций подобен процессу коррекции вероятностей множественных тестов при оптимизации: при прогонке параметра через ряд значений полученные результаты для соседних значений, скорее всего, будут подобны, что снижает эффективное количество тестов по сравнению с реальным.
Результаты обучения для модели обращенного во времени Медленного %К
Как следует из табл. 11- 1, значения некорректированной корреляции неуклонно возрастали с увеличением сети в отношении количества связей. Если же провести коррекцию коэффициентов корреляции, то для эффективной выборки величиной 13 000 точек картина драматически меняется: наиболее эффективными оказываются малые 3- слойные сети с 6 нейронами в среднем слое и наименьшая из двух 4- слойных сетей. При более умеренной коррекции ожидаемая прогностическая способность оказалась наибольшей для двух 4- слойных сетей, как видно из множественных корреляций результата с целью.
При более консервативной оценке (с меньшей эффективной выборкой и, следовательно, с большей коррекцией коэффициентов корреляции) на основе данных табл. 11 - 1 для работы в модели было выбрано две сети — сеть 18- 6- 1 (rm2.net) и сеть 18- 14- 4- 1 (nn8.net). Они были признаны лучшими из сетей, способными потенциально эффективно работать вне пределов выборки. Для теста модели входа в рынок программа прогонялась со значением mode = 2; как обычно, тестировались все входы — по цене открытия, по лимитному приказу и по стоп- приказу.
Модели на основе точки разворота
Для работы таких моделей требуются два дополнительных набора фактов, идентичных фактам для обращенного во времени Медленного %К во всем, кроме целевого параметра. Цель первого набора равна 1, что обозначает нижнюю точку разворота (минимум), когда завтрашняя цена открытия ниже цен трех предыдущих и десяти последующих дней. Если это условие не выполняется, то значение цели приравнивается к 0. Целью второго набора является 1, т.е. максимум, являющийся точкой разворота в случае, если завтрашняя цена открытия выше цен трех предыдущих и десяти последующих дней. Если это условие не выполняется, то значение цели приравнивается к 0. Если считать, что на рынке присутствуют устойчивые модели, то нейронная сеть должна иметь способность усваивать их и предсказывать положение завтрашней цены открытия.
В отличие от набора фактов для обращенного во времени Медленного %К в этих наборах факты генерируются только в тех случаях, когда завтрашняя цена открытия имеет вероятность стать точкой разворота. Например, если завтрашняя цена открытия выше сегодняшней цены открытия, то, согласно предыдущим правилам, завтрашнее открытие уже не может считаться точкой разворота, что бы ни случилось в дальнейшем.
Зачем заставлять сеть делать прогнозы, когда нет никакой неопределенности? Прогнозирование производится только в случаях, когда завтрашняя цена открытия может составить точку разворота, и факты генерируются только для таких случаев.
Обработка вводов, использование статистики и другие аспекты методологии тестирования для моделей, основанных на точке разворота, идентичны используемым для модели на обращенном во времени Медленном %К. Обе модели в принципе идентичны, различаются только цели предсказания и, следовательно, цели для обучения нейронных сетей. Кроме того, ввиду отличия прогнозов различаются правила получения сигналов входа на их основе.
Выходы обученных сетей представляют вероятности (от 0 до 1) присутствия максимума или минимума. Два набора правил для двух моделей генерации сигналов входа таковы: для первой модели — если прогноз минимума выше некоего порога, следует покупать; для второй модели — если прогноз максимума выше некоторого порога, следует продавать. Для обеих моделей порог представляет собой доверительный уровень для заключения о будущем максимуме или минимуме рынка, которое делает нейронная сеть перед отдачей приказа.
// запись фактов в файл
for(cb = 1; cb <= nb; cb++) {
if(dt[cb] < IS_DATE) continue; // период анализа
if(dt [cb+10] > OOS_DATE) break; // игнорируем данные вне пределов
// выборки
if(opn[cb+l] >= Lowest (opn, 3, cb)}
continue; // пропускаем эти факты
fprintf(fil, "%6d", ++factcount); // номер факта
PrepareNeurallnputs{var, els, cb) ;
for(k = 1; k <= 18; k++)
fprintf(fil, "%7.3f", var[k] ); // стандартные входные данные
if(opn[cb+l] < Lowest {opn, 9, cb+10))
netout = 1.0; else netout =0.0; // считаем цель
fprintf(fil, "%6.1f\n", netout); // цель
if{(cb % 500) == 1)
printf("CB = %d\n", cb); // информация о прогрессе
}
// генерируем входные сигналы, цены лимитных приказов и стоп- приказов
signal=0;
if(opn[cb+1] < Lowest (opn, 3, cb)) { // пускаем только эти
PrepareNeurallnputs(var, cls, cb) ; // обрабатываем данные
ntlset_inputv{nnet, &var[l]); // передаем в сеть входные данные
ntlfire (nnet); // запускаем тест
netout = ntlget_output(nnet, 0); // получаем выходные данные
netout *= 100.О; // переводим в проценты
if(netout > thresh) signal = 1; // сигнал на покупку
}
limprice = 0.5 * (hi[cb] + lo [cb]);
stpprice = cls [cb] +0.5 * signal * exitatr[cb] ;
Поскольку код для модели, прогнозирующей минимумы, почти идентичен коду модели на основе обращенного во времени Медленного %К, выше приведены только два измененных блока. В первом блоке обращенный Медленный %К не используется, а вместо этого рассчитывается цель — серия нулей или единиц, указывающая на наличие (1) или отсутствие (0) минимумов. При записи фактов вместо значения Медленного %К записываются значения цели. Во втором блоке вводятся правила для сравнения выхода нейронной сети с соответствующим порогом и генерации собственно сигналов входа в рынок. В обоих блоках включен код, препятствующий записи фактов и использованию прогнозирования в случае, когда завтрашняя цена открытия не может образовать минимум согласно правилам. В коде ниже приведены аналогичные правила прогнозирования максимумов.

if(dt[cb+10] > OOS_DATE) break; / / игнорируем данные вне пределов
// выборки
if(opn[cb+l] <= Highest(opn, 3, cb))
continue; // пропускаем эти факты
fprintf{fil, "%6d", ++factcount); // номер факта
PrepareNeurallnputs(var, cls, cb) ;
for (k = 1; k <= 18; k++)
fprintf(fil, "%7.3f", var[k]); // стандартные входные значения
if{opn[cb+l] > Highest(opn, 9, cb+10))
netout = 1.0; else netout =0.0; // считаем цель
fprintf(fil, "%6.1f\n", netout); // цель
if({cb % 500) == 1)
printf("CB = %d\n", cb); // информация о прогрессе
}
// генерируем входные сигналы, цены лимитных приказов и стоп- приказов
signal=0;
if(opn[cb+l] > Highest(opn, 3, cb)) { // запускаем только эти
PrepareNeurallnputs{var, cls, cb) ; // обрабатываем данные
ntlset_inputv(nnet, &var[l]); // передаем в сеть входные значения
ntlfire (nnet); // запускаем сеть
netout = ntlget_output(nnet, 0); // получаем выходные значения
netout *= 100.О; // переводим в проценты
if(netout > thresh) signal = - 1; // сигнал на продажу
}
limprice = 0.5 * (hi[cb] + lo[cb]);
stpprice = cls[cb] + 0.5 * signal * exitatr[cb];
Информатика -взгляд 2Методология тестирования модели, основанной на точке разворота
Методология идентична использованной для модели на обращенном во времени Медленном %К. Набор фактов генерируется, загружается в
N- TRAIN, масштабируется и перетасовывается. Набор сетей по 3 — 4 слоя нейронов обучается до максимальной сходимости и полируется. Рассчитываются статистические показатели, такие как скорректированная на избыточную подгонку корреляция.
Результаты торговли для модели, основанной на обращенном Медленном %К
Две выбранные нейронные сети с максимальной вероятностью устойчивой работы вне пределов выборки (согласно их скорректированным корреляциям) были исследованы в отношении их торговой эффективности.
Первая сеть была 3- слойной (18- 6- 1 нейронов), вторая 4- слойной (18- 14- 4- 1 нейронов).
Результаты для сети 18- 6- 1.
В пределах выборки, как и ожидалось, результаты были великолепными. Средняя сделка приносила более $6000 прибыли при всех видах входов, годовая прибыль составляла от 192,9% (вход по цене открытия, тест 1) до 134,6% (вход по стоп- приказу, тест 3).
Такие результаты были получены на основе подгонки под данные сложной модели из 114 свободных параметров. Стоит ли за этим что- то, кроме излишней подгонки? Видимо, да. При использовании входа по стоп- приказу вне пределов выборки удалось получить некоторую прибыль — средняя сделка принесла $362. Хотя вне пределов выборки другие виды входов были убыточными, эти убытки были меньше, чем наблюдавшиеся при тестировании других систем в предыдущих главах: при входе по цене открытия убытки составляли только $233 в сделке, а при входе по лимитному приказу (тест 2) — $331. Как это случалось и с другими моделями, вход по стоп- приказу работал лучше,чем вход по лимитному приказу. Вне пределов выборки система была прибыльна со всеми видами входов при торговле только длинными позициями. Короткие позиции были убыточны со всеми видами входов.
Эффективность системы в пределах выборки была потрясающей для всех видов входов и на всех рынках с несколькими исключениями. Наихудшей была эффективность на рынке евродоллара, видимо, ввиду свойственных этому рынку высоких транзакционных расходов. Слабо работала система на рынках серебра, соевого масла, казначейских облигаций и векселей, канадского доллара, британского фунта, золота и какао. Видимо, особенности этих рынков затрудняют нейросети, поскольку остальные рынки были высокоприбыльными. Многие из этих рынков также работали плохо с другими моделями.
Вне пределов выборки торговля была успешной для всех видов приказов на рынках казначейских облигаций (неприбыльных в пределах выборки), немецкой марки, швейцарского франка, иены, неэтилированного бензина, золота (также неприбыльного в пределах выборки), палладия и кофе. Многие другие рынки также были прибыльны с двумя или тремя видами входов. При использовании входа по стоп- приказу (наилучшего в целом) значительную прибыль приносили даже рынки S&P 500 и NYFE, а также живого скота, соевых бобов, соевой муки и овса.
На рис. 11- 1 изображен график изменения капитала для модели на основе прогнозирования обращенного во времени Медленного %К с входом по стоп- приказу. Как видно, капитал увеличивается в пределах выборки и в течение половины периода вне выборки, после чего начинается медленное снижение.
Результаты для сети 18- 14- 4- 1.
Эта сеть в пределах выборки работала значительно лучше, чем вне ее пределов. В пределах выборки прибыль варьировалась от 328,9% в год (при входе по стоп- приказу, тест 6) до 534,7% (вход по цене открытия, тест 4). Во всех случаях средняя Прибыль в сделке

Рисунок 11- 1. График изменения капитала для модели, основанной на обращенном во времени Медленном %К, нейронная сеть 18- 6- 1, вход по стоп- приказу.
превышала $6000. Как обычно, длинные позиции были прибыльнее коротких. Вне пределов выборки все виды входов были убыточны, но, как и в предыдущем наборе тестов, эти убытки были меньше, чем характерные для торговых систем, описанных в других главах, т.е. ближе к $1000, чем к $2000. Эта сеть также проводила гораздо больше сделок, чем предыдущая, причем лучше всего работал вход по лимитному приказу (тест 5). Убытки длинных позиций были меньше, чем коротких, за исключением входа по стоп- приказу, где убыток коротких позиций был сравнительно небольшим. Повышенная эффективность в пределах выборки и резкое падение эффективности за ее пределами — четкий признак избыточной подгонки под данные, которой достигла большая сеть с 320 параметрами, подстроившись под особенности учебного набора данных, но потеряв эффективность вне выборки.
В пределах выборки практически все рынки были прибыльны со всеми видами входов за тремя исключениями: серебро, канадский доллар и какао. Эти рынки в целом трудно поддаются любой системе. Вне пределов выборки система была прибыльна со всеми видами входов на ряде рынков: немецкой марки, канадского доллара, сырой нефти, мазута, палладия, откормленного скота, живого скота и леса. По крайней мере с одним из видов входов работали прибыльно еще несколько рынков.
График изменения капитала показывал постоянный рост вплоть до конца периода выборки, откуда начиналось плавное снижение, что характерно для поведения пере оптимизированной системы. Для выборки из 88 092 фактов такая нейронная сеть, возможно, была слишком большой.
Результаты торговли для модели, основанной на нижней точке разворота
Две выбранные нейронные сети с максимальной вероятностью устойчивой работы вне пределов выборки (согласно их скорректированным корреляциям) были исследованы в отношении их торговой эффективности.
Ниже рассмотрена эффективность большей (18- 20- 6- 1) и меньшей из них (18- 10- 1).
Результаты для сети 18- 10- 1.
В пределах выборки эта сеть работала чрезвычайно прибыльно, что при такой степени подгонки неудивительно. Вне пределов выборки и эта система относилась к числу сильно убыточных. Для всех трех видов входов (по цене открытия, по лимитному приказу и по стоп- приказу — тесты 7, 8 и 9 соответственно) средний убыток в сделке составил около $2000, что типично для многих рассмотренных ранее убыточных моделей. Убытки были тем более примечательны, что модель вела торговлю только длинными позициями, обычно более выгодными, чем короткие.
В пределах выборки только четыре рынка не были высокоприбыльными: британский фунт, серебро, живой скот и кукуруза. Рынок серебра, как известно, вызывал проблемы у всех испытанных моделей. Вне пределов выборки сеть приносила прибыль при всех видах входов на рынках S&P 500, иены, сырой нефти, неэтилированного бензина, палладия, соевых бобов и соевого масла. По крайней мере с одним из видов входов работали прибыльно еще несколько рынков. График изменения капитала показывал постоянный рост вплоть до конца периода выборки, откуда начиналось постоянное снижение.
Результаты для сети 18- 20- 6- 1.
Эти данные получены в тестах 10, 11 и 12 (вход по цене открытия, по лимитному приказу и стоп- приказу соответственно) . Эффективность этой сети в пределах выборки взлетела до невероятного уровня. При входе по цене открытия годовая прибыль составила 768%, причем 83% из 699 сделок были прибыльны. Средняя прибыль в сделке составила $18 588. Как ни странно, при большем размере этой сети и, следовательно, большей возможности подгонки под данные ее эффективность вне пределов выборки по показателю средней прибыли в сделке превосходила меньшую по размерам сеть, особенно в случае входа по стоп- приказу, где убыток составил всего $518.
Все рынки в пределах выборки без исключения были прибыльными с использованием любых входов. Вне пределов выборкисо всеми видами входов прибыльными были рынки S&P 500, британского фунта, платины, палладия, соевой муки, пшеницы, канзасской пшеницы, миннесотской пшеницы и леса.
Результаты торговли для модели, основанной на верхней точке разворота
Две выбранные нейронные сети с максимальной вероятностью устойчивой работы вне пределов выборки (согласно их скорректированным корреляциям) были исследованы в отношении их торговой эффективности. Ниже рассмотрена эффективность большей (18- 20- 6- 1) и меньшей из них (18- 10- 1).
Результаты для сети 18- 10- 1.
Как обычно, в пределах выборки эта сеть была чрезвычайно прибыльной. Вне пределов выборки прибыль была получена с использованием двух видов входных приказов — по цене открытия (тест 13) и по лимитному приказу (тест 14). При использовании входа по стоп- приказу (тест 15) были получены умеренные убытки. Это неожиданно, учитывая то, что короткие позиции обычно бывали менее прибыльными, чем длинные.
Разбор отдельных рынков показывает, что в пределах выборки только рынки канадского доллара, откормленного скота, соевого масла, пшеницы и какао не были прибыльны со всеми тремя видами входов. Вне пределов выборки при использовании всех трех входов значительные прибыли были получены на рынках немецкой марки, иены, сырой нефти, мазута, откормленного скота, живого скота и кукурузы. Прибыльность рынков иены, сырой нефти и до некоторой степени кукурузы соответствовала хорошей работе на этих рынках модели нижней точки разворота. Вне пределов выборки эти рынки работали прибыльно с обеими моделями точек разворота (нижней и верхней).
График изменения капитала (рис. 11- 2 для входа по цене открытия) показывает резкий рост капитала до августа 1993 г., а затем более медленный подъем в течение всего остального периода выборки и двух третей периода вне выборки. После этого начинается плавное снижение.
Результаты для сети 18- 20- 6- 1.
Как и ожидалось, эта сеть, наибольшая из двух выбранных, показала самую высокую эффективность в пределах выборки. Вне пределов выборки эта сеть работала со всеми видами входов отвратительно (тесты 16, 17и 18 — вход по цене открытия, по лимитному приказу и стоп- приказу соответственно). Наименее убыточные результаты были получены при использовании входа по стоп- приказу.
В пределах выборки только рынки серебра, пшеницы, сахара и апельсинового сока не приносили прибыли со всеми тремя видами входов. Вне пределов выборки только рынок какао был прибылен со всеми тремя входами. Как ни странно, все рынки металлов показывали высокие прибыли при входе по цене открытия и по лимитному приказу вне пределов выборки, равно как и рынки откормленного скота, какао и хлопка.
Анализ капитала портфеля показывает невероятно гладкую и устойчивую прибыль в пределах выборки и убытки вне пределов выборки для всех видов входов.
Обзор результатов
В табл. 11- 5 и 11- 6 приведены результаты работы всех моделей, основанных на нейронных сетях на различных рынках. В первом столбце указано обозначение рынка, средний и правый столбцы содержат количество выгодных тестов для данного рынка. Цифры в первой строке указывают на номер теста. Последняя строка показывает, на скольких рынках данная модель была выгодной. Степень прибыльности и убыточности рынков для каждой модели указана следующим образом: один минус (—) означает убыток в $2000 — 4000, два минуса ( ) — убыток более $4000; один плюс (+) означает прибыль от $1000 до $2000, два плюса (+ +) — прибыль более $2000; пустая ячейка означает прибыль до $1000 или убыток не более $1999 со сделки. (Названия рынков и их символы соответствуют обозначениям табл. II- 1; часть II, введение.) В пределах выборки все виды входов

Рисунок 11- 2. График изменения капитала для модели, основанной на обращенном Медленном %К, нейронная сеть 18- 10- 1, вход по цене открытия.
со всеми моделями давали огромные прибыли (табл. 11- 7). При усреднении по всем моделям лучше всего работали входы по цене открытия и по лимитному приказу, а хуже всего вход по стоп- приказу, но разница была очень небольшой. В пределах выборки наибольшая средняя прибыль в сделке отмечена для больших сетей на принципе максимальной и минимальной точек разворота. Вне пределов выборки лучше всего работал вход по стоп- приказу. В общем, лучше всего при усреднении по входам работали модель на обращенном во времени Медленном %К и модель на верхней точке разворота.
Заключение
При первой попытке применить для анализа индивидуальных рынков нейронную сеть (Katz, McCormick, ноябрь 1996) мы пришли к выводу о полной бесполезности такого подхода. Поведение некоторых из проведенных сейчас тестов вне пределов выборки немного обнадеживает по сравнению с нашим опытом исследования простых нейронных сетей.
Эти результаты, почти несомненно, обусловлены большим количеством точек данных в обучающем наборе, включающем все рынки в составе портфеля, а не какой- либо один рынок. В общем, чем больше выборка, используемая для обучения (или оптимизации), тем больше вероятность сохранения положительной эффективности вне ее пределов. Увеличить размер выборки можно, используя более старые данные, что вполне возможно для ряда включенных в наше исследование рынков. Кроме того, можно ввести в портфель дополнительные рынки, что, возможно, представляет собой оптимальный способ улучшения обучающего набора.
Принцип оптимизации состоит в том, что вероятность устойчивых результатов повышается со снижением количества параметров модели. Учитывая в чем- то положительные результаты некоторых из тестов, возможно, имеет смысл продолжать исследования с более усложненными моделями. Как вариант можно было бы улучшить предварительную обработку данных в смысле уменьшения общего числа вводов без потери важной прогностической информации — это может сделать систему очень прибыльной. При меньшем количестве вводов в сети будет меньше связей для оценки, следовательно, подгонка под кривую — важная проблема, судя по результатам и уровням усадки, — будет представлять меньшую угрозу.
Что мы узнали?
При выполнении некоторых условий нейронные сети могут использоваться в системной торговле. Критическим моментом для избежания вредной подгонки под исторические данные (в противоположность полезной оптимизации) является достижение адекватного соотношения размера выборки данных и количества свободных параметров сети.
• Подгонка под исторические данные является значительной проблемой при использовании нейронных сетей. Следует обращать внимание на любой метод, способный уменьшить общее количество свободных параметров без потери важной информации, например тщательную предварительную обработку и сжатие информации.
Для обучения нейронных сетей необходимо использовать выборки большого размера. Поэтому обучение на целом портфеле финансовых инструментов приводит к лучшим результатам, чем обучение на отдельных рынках, несмотря на потерю рыночной специфики. Один из возможных подходов — расширять количество рынков в портфеле и, по возможности, объем обучающей выборки данных. Доведя это до предела, возможно, имеет смысл обучать сеть на сотнях рынков разнообразных товаров, валют и ценных бумаг в попытке создать универсальную систему прогнозирования цен. Если в таком всемирном пространстве рынков существуют прогностически полезные модели, то такая попытка, вероятно, действительно будет оправданной.
Некоторые из рынков работают плохо даже в пределах выборки, другие удерживают прибыльность вне ее пределов, как это случалось с некоторыми моделями в предшествующих главах.
Одни рынки, следовательно, больше подходят для применения определенных методов, чем другие. Поиск подходящих рынков на основе эффективности вне пределов выборки может стать полезным подходом при разработке и использовании торговых систем на основе нейронных сетей.
Генетические алгоритмы
Основываясь на моделях, используемых в биологии и экономике, математик и психолог Джон Холланд (John Holland) разработал алгоритм генетической оптимизации. Алгоритм впервые был опубликован в книге Холланда Адаптация в естественных и искусственных системах (J. Holland, Adaptation in Natural and Artificial Systems, 1975). Генетические алгоритмы (ГА) впервые стали применяться в компьютерных дисциплинах в начале 1990- х годов (Yuret and de la Maza, 1994). Торговое сообщество впервые обратило на них внимание около 1993г., когда появилось несколько статей (Burke, 1993; Katz and McCormick, 1994; Oliver, 1994) и компьютерных программ. С тех пор несколько фирм добавили генетическое обучение в свои программные пакеты, а у некоторых есть даже программы генетической оптимизации профессионального уровня.
В торговом обществе ГА никогда не пользовались таким успехом, как нейронные сети. Популярность этой технологии никогда не росла из- за самой ее природы. Среднему человеку трудно понять генетический алгоритм и более чем сложно применять его правильно. Однако, по нашему мнению, ГА могут быть крайне выгодны для проектировщиков торговых систем.
В данной книге представлен общий обзор ГА и их применения в торговле. Читателям, заинтересованным в детальном изучении этого предмета, следует прочитать книгу Девиса (Davis, 1991), а также нашу главу в книге Virtual Trading (Katz, McCormick, 1995a, 1995b) и наши статьи (Katz, McCormick, июль/август 1994, декабрь 1996, январь 1997, февраль 1997).
Что такое генетические алгоритмы?
Генетический алгоритм решает проблему, используя процесс, подобный биологическому развитию. Он работает как рекомбинация и мутация генетических последовательностей. Рекомбинация и мутация — генетические операторы, т.е. они управляют генами. Ген — это последовательность кодов (генотипов), которая содержит всю информацию, необходимую для того, чтобы создать функциональный организм с определенными характеристиками (генотипом). Хромосома — последовательность генов. В случае генетической оптимизации, используемой для решения задач, связанных с торговлей, последовательность кодов обычно принимает форму ряда чисел.
При моделировании эволюционного процесса ГА участвует в отборе и сопряжении членов из популяции (хромосом). Сопряжение — это процесс, содержащий скрещивание и мутацию. При скрещивании элементы, которые включают гены различных хромосом (члены популяции или решения), комбинируются, чтобы создавать новые хромосомы. Мутацией называют возникновение случайных изменений в этих элементах. Это обеспечивает дополнительное изменение в наборах создаваемых хромосом. Как и в процессе биологического отбора (где менее пригодные члены популяции оставляют меньше потомства), менее пригодные решения удаляются. При этом более пригодные решения размножаются, создавая другое поколение решений, которое может содержать несколько лучшие решения, чем предыдущие. Процесс рекомбинации, случайной мутации и отбора является чрезвычайно мощным механизмом решения задач.
Развитие моделей входа, основанных на правилах
Что бы произошло, если ГА позволяли искать не просто лучшие параметры (именно так чаще всего используют ГА), но и лучшие правила? В этой главе приводится результат использования ГА для развития законченной модели входа путем поиска оптимальных правил и параметров для этих правил. Несмотря на сложность, эта методология оказалась эффективной в нашем первом исследовании (Katz, McCormick, февраль 1997).
Как можно использовать ГА для поиска наилучших торговых правил?
Доморощенный ГА просто жонглирует числами. Необходимо найти способ нумерации различных наборов правил. Этого можно достичь многими способами. Простой и эффективный метод включает в себя построение набора шаблонов правил. Шаблон правила — это частичное описание правила с оставленными пробелами, которые необходимо заполнить. Например, если некоторые из правил предыдущих глав рассмотреть как шаблоны правил, то пробелами будут значения периодов усреднения, порогов и других параметров. Шаблоны правил, определенные таким образом, несложно пронумеровать, поставив в соответствие каждому шаблону набор чисел. Первое число в наборе используется как индекс в таблице шаблонов правил. Оставшиеся числа набора используются для заполнения пробелов в шаблоне, в результате чего мы получаем четко определенное правило. Приведенный ниже компьютерный код содержит функцию C++ (Rules), которая производит нумерацию шаблонов; она будет описана позже. Хотя в данном исследовании использовался язык C++, данный метод также можно реализовать в TradeStation с помощью программы TS- EVOLVE, созданной Scientific Consultant Services (516- 696- 3333).
Термин генетический поиск означает использование ГА для поиска самых лучших решений, т.е. имеющих максимальную функцию пригодности. Как правило, набор потенциальных решений, в котором ведется поиск, достигает огромных размеров. В данном приложении мы хотим использовать эволюционный процесс, чтобы выявить набор чисел (генотипов), которые соответствуют основанным на правилах моделям входов (фенотипам) с максимальной функцией пригодности (или торговой эффективности). Иными словами, мы собираемся заняться селективным выращиванием методов входа, основанных на правилах! Вместо того чтобы начинать с конкретного принципа, на котором основывается модель (сезонность, пробой) , в данном случае для начала возьмем набор идей, которые могут способствовать созданию выгодного метода входа. Вместо того чтобы последовательно проверять ценность этих подходов, будет сделано нечто необычное: генетическому процессу эволюции представится возможность создать наилучшую модель входа из набора необработанных идей.
ГА будут искать в чрезвычайно большом множестве решений наилучшую модель входа, которая может быть получена для определенных данных и шаблонов правил. Количество правил для каждой модели будет ограничено во избежание подгонки под исторические данные. Данная задача сводится к поиску оптимальных наборов чисел. Без использования ГА такой массированный поиск решений был бы практически невозможен и неразумен в любом смысле. Конечно, вместо ГА всегда можно осуществить лобовую оптимизацию — особенно, если вы располагаете несколькими тысячелетиями на проведение этой работы. В качестве другой альтернативы можно воспользоваться эмпирическим поиском оптимальных правил, т.е. попытаться найти наилучшие правила с помощью наблюдений, однако этот подход не обязательно позволит максимизировать такую сложную функцию, как соотношение риск/прибыль. ГА обеспечивают эффективный способ выполнения очень больших поисков, особенно когда нет простых эвристических методов решения данной задачи.
Эволюционный поиск модели входа
В данном примере популяция моделей входа с тремя правилами была получена с помощью генетического оптимизатора OptEvolve, написанного на С ++ (Scientific Consultants Services, 516- 696- 3333). Каждый ген соответствует блоку из четырех чисел и шаблону правила — таким образом создается соответствие наборов чисел и наборов правил. Каждая хромосома содержит три гена и состоит из 12 чисел: первые четыре числа соответствуют первому гену (или правилу), следующие четыре соответствуют второму гену (или правилу), а последние четыре соответствуют третьему гену (или правилу). ГА должен знать размер гена, чтобы не разрушить важные гены при выполнении скрещивания. Скрещивание должно произойти только на границах генов (блоков из четырех чисел). В настоящем примере это будет достигнуто путем приравнивания размера гена, который является параметром генетического оптимизатора, к четырем. Как упомянуто, каждый ген составлен из четырех чисел. Первое число является индексом в таблице возможных шаблонов правил. Например, если это число 1, то выбирается шаблон сравнения цен, в котором различие между двумя ценами закрытия сравнивается с некоторым порогом (см. код). Остальные три числа в гене соответствуют значению порога и двум анализируемым периодам для сравниваемых цен. Если первое число из блока 4 чисел равно 2, то будет выбран шаблон сравнения цены и скользящего среднего. В этом случае два из оставшихся трех чисел контролировали бы период скользящего среднего и направление сравнения (должна ли цена быть выше или ниже скользящего среднего). Вообще, если первое число в блоке из четырех чисел равно n, тогда используется шаблон для правила n, а любые требуемые параметры определены оставшимися тремя числами в блоке из четырех чисел. Эта схема кодирования облегчает поддержание расширяемой базы данных для шаблонов правил. Каждый из трех блоков четырех чисел связан с соответствующим правилом. Модель входа, состоящая из трех правил, соответствует любой хромосоме, состоящей из 12 чисел.
Эффективность симулятора
Торговые симуляторы могут сильно различаться по таким показателям, как мощность, емкость и скорость. Скорость важна при выполнении многих тестов или проведении сложных оптимизаций, например генетических.
Скорость также важна при разработке систем для портфельной торговли или при использовании длинных внутридневных серий данных с тысячами сделок и сотнями тысяч числовых данных. В некоторых случаях от скорости симулятора зависит сама возможность проведения анализа: ряд задач требует поистине огромного объема расчетов, недоступного для медленных программ. Емкость симуляторов определяет ограничения объема задач (количество баров данных, которое может загружаться или объем кода самой системы). Мощность симулятора — показатель, определяющий, как сложные тесты и задания могут выполняться на базах данных цен товаров или на целых портфелях, что важно для серьезной профессиональной торговли. Достаточно мощный симулятор требуется, например, для использования многих торговых моделей, приведенных в этой книге.
Шаблоны правил
Первый шаблон правила (case l в функции Rules) определяет сравнение между двумя ценами и порогом: правило принимает значение ИСТИНА (TRUE), если цена закрытия 1b1 дней назад больше, чем некоторый пороговый фактор (thr) плюс цена закрытия 1b2 дней назад. В остальных случаях правило принимает значение ЛОЖЬ (FALSE). Неизвестные (1b1, 1b2 и thr) оставлены пустыми для будущего использования при реализации программы. Этот шаблон был включен, потому что тот вид правил, которые он представляет, был полезен в предыдущих исследованиях.
Второй шаблон правила (case 2) включает простые скользящие средние, которые часто используются для определения тренда. Обычно считается, что рынок будет двигаться вверх, если цена выше ее скользящего среднего, и опускаться вниз, если цена ниже ее скользящего среднего. В шаблоне присутствуют только два неизвестных: первый (per) контролирует число дней в скользящем среднем и второй (v4) контролирует направление сравнения (выше или ниже).
Третий шаблон правила (case 3) идентичен второму (case 2), за исключением того, что вместо простого скользящего среднего используется экспоненциальное .
Было много рассуждений относительно важности данных по суммарной величине открытых позиций на рынке (открытому интересу). Лэрри Виллиамс (Larry Williams, 1979) упомянул, что снижение открытого интереса в течение периодов застоя цен указывает на потенциал для сильного подъема. Сокращение открытого интереса может быть интерпретировано как снижение количества обращающихся на рынке контрактов, создавая условия, когда спрос на контракты может перевесить предложение.
Четвертый шаблон правила (case 4) просто вычисляет процентное снижение открытого интереса за период от 1Ь1 дней назад до 1 дня назад (открытый интерес, как правило, не публикуется для текущего дня) и сравнивает эту величину с порогом (thr). Если снижение больше, чем порог, то правило принимает значение ИСТИНА. В остальных случаях оно принимает значение ЛОЖЬ. Порог и период (1b1) — неизвестные, которые будут использованы при реализации программы.
Пятый шаблон правила (case 5) подобен четвертому шаблону, но рассчитывает повышение, а не падение открытого интереса. Если происходит увеличение, большее чем пороговое значение, то правило возвращает значение ИСТИНА. Другие ситуации соответствуют значению ЛОЖЬ.
Шестой шаблон правила (case 6) может называться условием нового максимума. Шаблон запрашивает, отмечен ли 1b1- дневный новый максимум за период последних 1b2 дней. К примеру, правило может звучать так: Если достигнут новый 50- дневный максимум в пределах последних 10 дней, то правило принимает значение ИСТИНА, в других случаях — ЛОЖЬ. Это правило пытается найти простое условие пробоя, учитывая пробои, которые произошли несколько дней назад (возможно, сопровождаемые откатами к предыдущим уровням сопротивления, ставшими уровнями поддержки, что расценивается другим правилом как хорошая точка входа). В данном правиле есть два пробела, которые необходимо будет заполнить при проведении расчетов: 1b1 и 1b2.
Седьмой шаблон правила (case 7) идентичен шестому, за исключением того, что определяются новые минимумы, а не новые максимумы.
Восьмой шаблон правила (case 8) исследует индекс среднего направленного движения относительно двух порогов (thr1 и thr2). Этот индикатор является мерой наличия тренда, как обсуждалось в главе, посвященной пробоям. Если среднее направленное движение (ADX) выше нижнего порога и ниже верхнего порога, то правило возвращает значение ИСТИНА. В других случаях правило возвращает значение ЛОЖЬ.
Девятый шаблон правила (case 9) выполняет сравнение порогов со значением стохастического осциллятора, аналогично шаблону 8.
Десятый шаблон правила (case 10) оценивает направление наклона осциллятора MACD. Длины (1b1 и 1b2) двух скользящих средних, которые составляют MACD, и направление наклона (v4) необходимы для выбора значения ИСТИНА или ЛОЖЬ и определены как параметры.
Методология тестирования
Ниже приводятся шаги, необходимые для эволюционного создания модели входа, основанной на шаблонах правил, используемых в этом исследовании:
1. Выберите произвольную хромосому с 12 элементами. Она представляет собой потенциальное решение (случайное и, вероятно, не очень хорошее).
2. Поставьте в соответствие каждому параметру правил определенное число, чтобы получить три полностью определенных правила (одно для каждого гена), и определите значение ИСТИНА/ЛОЖЬ для всех дней во временном ряду.
3. Обработайте ценовые данные день за днем. Если в данный день все три правила возвращают значение ИСТИНА и если нет текущей длинной (или короткий) позиции, то модель получает рыночный приказ на покупку (или продажу) при завтрашнем открытии.
4. Если имеется позиция, используйте стандартную стратегию выхода для осуществления выхода.
5. Оцените торговую эффективность потенциального решения. Для этого определите пригодность решения как соотношение риск/прибыль в годовом выражении — величина, которая фактически является значением {- критерия.
6.. Сообщите генетическому оптимизатору, насколько пригодно (в вышеупомянутом смысле) потенциальное решение (хромосома) . Это позволит генетическому оптимизатору обновить популяцию хромосом.
7. Если решение отвечает определенным критериям, то следует сгенерировать сводку эффективности системы и другую информацию и сохранить эти данные в файле для последующего рассмотрения.
8. Повторять вышеупомянутые шаги снова и снова до тех пор, пока не пройдет достаточное число поколений.
Так как вышеупомянутые шаги повторяются, решения или поколения, созданные генетическим оптимизатором, в среднем становятся лучше и лучше. Большое количество отдельных эффективных решений появится в течение эволюционного процесса. Большинство решений будет записано в файле, созданном в ходе неоднократного выполнения первых семи вычислительных шагов. Ниже будет рассмотрен код, написанный на C++, который осуществляет вышеупомянутые шаги.
Из- за природы правил, вероятно, будет различным поведение моделей при открытии длинных и коротких позиций. В связи с этиммодели входа для длинных позиций найдены и проверены отдельно от моделей входа для коротких позиций. Эффективность модели оценивается на всем портфеле. Цель состоит в том, чтобы найти набор правил, которые обеспечивают наилучшую эффективность торговли всем портфелем финансовых инструментов. Процедура, используемая здесь, отличается от наших более ранних исследований (Katz, McCormick, февраль 1997), где поиск оптимальных правил проводился на каждом рынке в отдельности - — подход, в большей степени подверженный эффектам вредной подгонки под исторические данные. Напомним вывод, полученный в отношении нескольких моделей, которые были первоначально оптимизированы на индивидуальных инструментах: при использовании одной модели для всех рынков без оптимизации или настройки под отдельный рынок эффективность данной модели может существенно понизиться. В нижеследующих тестах использовалась стандартная платформа C++, стандартные приказы входа и стратегия выхода.
static int EventPresent (int *es, int m, int cb) {
// Используется функцией Rules для облегчения кодирования
int i ;
for(i=cb- m+l; i<=cb; i++)
if(es[i]) return TRUE;
return FALSE ;
}
static void Rules (float *opn, float *hi, float *lo, float *cls, float *vol, float *oi, float *atr, int nb, int vl, float v2, float v3, float v4, int *ans) {
// Процедура определяет шаблоны правил, используемых
// в генетическом процессе эволюции модели, основанной на правилах.
// opn, hi, lo, cls — стандартные ценовые данные [l..nb]
// vol, oi — объем и открытый интерес [l..nb]
// nb — количество дней
// vl, v2, v3, v4 — селектор правил и параметры
// ans — выходные ценовые данные [l..nb]
// локальные макрофункции
#define LinearScale(х,a,b) ( (х)* ( {b}- (а))/1000.0+(а) )
#define BiasedPosScale(х,а) (0 . 000001*(х)*(х)*{а})
#define Compare{a,b,dir) (((dir)> = 0)?((a)>(b) }: (fa)<(b)))
// локальные переменные
static int lbl, lb2, per, cb, maxlb=100;
static float thr, fac, thr2, thrl, tmp, tiny=l.ОЕ- 20;
static int IsNewHigh[MAXBAR+l], IsNewLow[MAXBAR+l];
static float Serl[MAXBAR+1] ;
// шаблоны правил
switch(vl} { // выбираем правило
case 1: // сравнение изменения цены с порогом
lb1 = (int)BiasedPosScale(v2, 50.0);
lb2 = (int)BiasedPosScale(v3, 50.0);
fac = LinearScale(v4, - 2.5, 2.5) * sqrt(abs(lbl - I b 2 ) > ;
for(cb- maxlb; cb<=nb; cb++) {
thr = fac * atr [cb];
ans[cb] = cls[cb- lbl] - cls[cb- lb2] > thr;
]
break;
case 2: // сравнение цены с простым скользящим средним
per = 2 + (int)BiasedPosScale(v2, 48.0);
Averages(Serl, cls, per, nb) ;
for(cb=maxlb; cb<=nb; cb++)
ans[cb] = Compare(cls[cb], Serl[cb], V4- 500.0);
break;
case 3: // сравнение цены с экспоненциальным скользящим средним
per = 2 + (int)BiasedPosScale(v2, 48.0);
XAverageS(Serl, cls, per, nb) ;
for(cb- maxlb; cb<=nb; cb++)
ans[cb] = Compare(cls[cb], Serl[cb], V4- 500.0);
break;
case 4: // сравнение падения открытого интереса с пороговым значением
1b1 = 2 + (int)BiasedPosScale (v2, 48.0);
thr = LinearScale(v3, 0.01, 0.50);
for{cb=maxlb; cb<=nb; cb++) {
tmp = (oi[cb- lbl] - oi[cb- l]) / (oi [cb- lbl] + tiny);
ans [cb] = tmp > thr;
]
break;
case 5: // сравнение увеличения открытого интереса с пороговым значением
1b1 = 2 + (int) BiasedPosScale(v2, 48.0);
thr = LinearScale(v3, 0.01, 0.99);
for(cb=maxlb; cb<=nb; cb++) {
tmp = (oi [cb- 1] - oi[cb- lblj) / (oi [cb- lbl] + tiny) ;
ans [cb] = tmp > thr;
}
break;
case 6: // недавние новые максимумы
1bl = 2 + (int)BiasedPosScale(v2, 48.0);
1b2 = 1 + (int)BiasedPosScale(v3, 8.0);
for(cb=lbl+3; cb<=nb; cb++)
IsNewHigh[cb] = hi [cb] > Highest(hi, 1b1, cb- 1);
for(cb- maxlb; cb<=nb; cb++)
ans[cb] = EventPresent(IsNewHigh, 1b2, cb) ;
break;
case 7: // недавние новые минимумы
1bl = 2 + (int)BiasedPosScale(v2, 48.0);
1b2 = 1 + (int)BiasedPosScale(v3, 8.0);
for(cb=lbl+3; cb<=nb; cb++)
IsNewLow[cb] = lo[cb] < Lowest(lo, 1b1, cb- 1) ;
for(cb=maxlb; cb<=nb; cb++)
ans[cb] = EventPresent(IsNewLow, 1b2, cb);
break;
case 8: // среднее направленное движение
thrl = LinearScale(v2, 5.0, 50.0);
thr2 = thrl + LinearScale(v3, 5.0, 20.0);
AvgDirMov{hi, lo, cls, nb, 14, Serl);
for(cb=maxlb; cb<=nb; cb++)
ans [cb] = (Serl[cb] > thrl && Serl [cb] < thr2)
&& Compare (Serl[cb] , Serl[cb- l], v4- 500.0);
break;
case 9: // Медленный %К
thr = LinearScale(v2, 5.0, 95.0);
fac = LinearScale(v3, 1.0, 20.0);
thrl = thr - fac;
thr2 = thr + fac;
StochOsc(Serl, hi, lo, cls, 2, 10, nb) ;
for(cb=maxlb; cb<=nb; cb++)
ans [cb] = (Serl[cb) > thrl && Serl [cb] < thr2)
&& Compare(Serl[cb], Serl[cb- 1], V4- 500.0);
break ;
case 10: // направление наклона MACD
lb1 = 2 + (int)BiasedPosScale(v2, 18.0);
lb2 = lbl + 1 + (int)BiasedPosScale(v3, 48.0);
MacdOsc(Serl, cls, 1, lbl, lb2, nb) ;
for(cb=maxlb; cb<=nb; cb++)
ans[cb] = Compare(Serl[cb], Serl[cb- 2], v4- 500.0),•
break;
default:
nrerror("Undefined rule template selected");
break;
]
// первые maxlb элементов результата должны иметь значение ЛОЖЬ
memset (&ans [1] , 0, sizeof(*ans) * maxlb);
#undef BiasedPosScale
#undef LinearScale
}
static void Model (float *parms, float *dt, float *opn, float *hi, float *lo, float *cls, float *vol, float *oi, float *dlrv, int nb, TRDSIM &ts, float *eqcls) {
// Генетическая эволюция модели входа, основанной на правилах.
// File = xl6modOl.c
// parms — набор [1..MAXPRM] параметров
// dt — набор [1..nb] дат в формате ГГММДД
// орn - набор [l..nb] цен открытия
// hi — набор [l..nb] максимальных цен
// 1о — набор [l..nb] минимальных цен
// cls - набор [l..nb] цен закрытия
// vol — набор [l..nb] значений объема
// oi - набор [l..nb] значений открытого интереса
// dlrv — набор [l..nb] средней долларовой волатильности
// nb — количество дней в наборе данных
// ts — ссылка на класс торгового симулятора
// eqcls — набор [l..nb] уровней капитала при закрытых позициях
// описываем локальные переменные
static int rc, cb, ncontracts, maxhold, ordertype, signal;
static int disp, k, modeltype;
static float mmstp, ptlim, stpprice, limprice, tmp;
static float exitatr[MAXBAR+1] ;
static int rulel[MAXBAR+1], rule2[MAXBAR+1], rule3[MAXBAR+1];
// копируем параметры в локальные переменные для более удобного обращения к ним
modeltype = parms[14]; // модель: 1=длинная позиция, 2=короткая
ordertype = parms[15]; // вход: 1=на открытии, 2=по лимитному приказу,
// 3=по стоп- приказу
maxhold =10; // максимальный период удержания позиции
ptlim = 4; // целевая прибыль в единицах волатильности
mmstp = 1; // защитная остановка в единицах волатильности
// выполнение расчетов для всей ценовой информации
AvgTrueRangeS(exitatr,hi,lo,cls,50,nb); // средний истинный диапазон для
// выхода
switch(modeltype) {
case 1: case 2: // для моделей открытия длинных и коротких позиций
// для каждого дня отдельно оценить три правила
Rules (opn, hi, lo, cls, vol, oi, exitatr, nb,
parms[1], parms[2], parms[3], parms[4], rulel);
Rules (opn, hi, lo, cls, vol, oi, exitatr, nb,
parms[5] , parms[6] , parms[7] , parms[8] , rule2);
Rules (opn, hi, lo, cls, vol, oi, exitatr, nb,
parms[9] , parms[10] , parms[11] , parms[12] , rule3};
break;
default: nrerror("Invalid model type");
/ проходим через дни, чтобы моделировать настоящую торговлю
or(cb = 1; cb <= nb; cb++) {
// не открываем позиций до начала периода выборки
//... то же самое, что установка MaxBarsBack в TradeStation
if(dt[cb] < IS_DATE) { eqcls[cb] = 0.0; continue; }
// выполняем все ожидающие приказы и сохраняем значение капитала по
// закрытию
rс = ts.update(opn[cb] , hi[cb], lo [cb], cls[cb], cb};
if(rc != 0) nrerror("Trade buffer overflow");
eqcls[cb] = ts.currentequity {EQ__CLOSETOTAL};
// подсчитываем количество контрактов для торговли
// ... мы хотим торговать долларовым эквивалентом волатильности
// ... 2 новых контрактов S&P- 500 на 12/31/98
ncontracts - RoundToInteger(5673.О / dlrv[cb] ) ;
if(ncontracts < 1) ncontracts = 1;
// избегаем устанавливать приказы на дни с ограниченной торговлей
if(hi[cb+l] == lo[cb+l]) continue;
// генерируем входные сигналы, цены стоп- и лимитных приказов
signal = 0;
switch(modeltype) {
case 1: // только длинные позиции
if(rulel[cb] && rule2 [cb] && rule3[cb]) signal = 1;
break;
case 2: // только короткие позиции
if(rulel[cb] && rule2 [cb] && rule3[cb]} signal = - 1;
break;
]
limprice = 0.5 * (hi[cb] + lo [cb]);
stpprice = cls[cb] + 0.5 * signal * exitatr[cb] ;
// открываем позицию, используя определенные типы приказов
if(ts.position(} <= 0 && signal == 1} {
switch(ordertype) { // выбираем нужный тип приказа
case 1: ts.buyopen('1', ncontracts); break;
case 2: ts.buylimit('2', limprice, ncontracts); break;
case 3: ts.buystop('3' , stpprice, ncontracts); break;
default: nrerror("Invalid buy order selected");
}
}
else if(ts.position)) >= 0 && signal == - 1) {
switch(ordertype) { // выбираем нужный тип приказа
case 1: ts.sellopen('4', ncontracts); break;
case 2: ts.selllimit('5', limprice, ncontracts); break;
case 3: ts.sellstop('6', stpprice, ncontracts); break;
default: nrerror{"Invalid sell order selected");
}
}
// симулятор использует стандартную стратегию выхода
tmp = exitatr[cb];
ts.stdexitcls('X', ptlim*tmp, mmstp*tmp, maxhold);
] // обрабатываем следующий день
]
C++ код описывает шаблоны правил и стратегию торговой системы.
Шаблоны правил определяются с помощью функции Rules. Аргументы v1, v2, v3 и v4 (четыре числа, которые содержит каждый ген) несут всю информацию, требуемую для реализации шаблонов правил. Аргумент v1 используется для выбора требуемого шаблона правила из 10 доступных; аргументы v2, v3 и v4 используются для определения требуемых параметров каждого правила (направления сравнения, периоды скользящих средних и т.д.). Затем правило оценивается на всех днях, и оценки (1 для ИСТИНА, 0 для ЛОЖЬ) помещаются в вектор cms, возвращающий результаты функции.
Макрос BiasedPosScale (x, а) используется для создания соответствия между целыми числами от 0 до 1000 и непрерывным диапазоном от 0 до а.
Макрос используется, чтобы вычислить периоды обратного обзора для определения ценовых экстремумов и периоды скользящих средних v2, v3 или v4, значения которых получены из генетического алгоритма и пронумерованы целыми числами от 0 до 1000. Соответствие между номерами от 1 до 1000 и числами из диапазона от 0 до а нелинейно — оно устроено так, чтобы можно было более детально исследовать меньшие значения параметров. Например, предположим, что период скользящего среднего изменяется от 2 до 100 дней. Необходимо с одинаковой точностью производить выбор лучшего решения между периодами 2, 3 и 4 и периодами 30, 50 и 90. Точность поиска должна быть выше для маленьких чисел. Это связано с тем, что изменение периода скользящего среднего от 2 до 5 дней сильнее повлияет на результаты торговли, чем изменение от 50 до 60.
Макрос LinearScale (x, а, b) выполняет линейную адресацию целочисленного диапазона 0 ... 1000 к диапазону а ... . Макрос обычно используется при вычислении порогов или отклонений. В коде шаблона правила все параметры вычислены внутри функции Rules, а не внутри ГА. Генетическии алгоритм имеет инструкцию генерировать числа в диапазоне от 0 до 1000, за исключением элементов хромосом 1, 5 и 9, которые являются первыми числами в каждом гене и используются в качестве селекторов шаблонов правил. Масштабирование проводится внутри функции Rules, так как шаблоны для различных видов правил имеют различные диапазоны изменения параметров и контрольных значений.
Процесс эволюции торговых систем начинается со случайного выбора значений хромосомы. Генетический оптимизатор выбирает два члена популяции и спаривает их (исходя из определения скрещивания, нормы мутации и размера гена). Затем полученное потомство возвращается как потенциальное решение. Когда компоненту ГА сообщают об эффективности полученного решения, он сравнивает ее с наименее пригодным членом популяции. Если пригодность потомства больше, чем у наименее пригодного члена, то ГА заменяет наименее пригодный член решения полученным потомством. Этот процесс повторяется в течение нескольких поколений и осуществляется с помощью программной оболочки (не приведенной в данной книге), которая, в свою очередь, делает повторные запросы к функции Model для моделирования торговли и оценки пригодности системы.
Код функции Model почти идентичен используемому в более ранних главах. До цикла индексации дней, в котором генерируются приказы для торговли, функция Rules вызывается три раза (один раз для каждого гена), и результаты помещаются во временные ряды rule1, rule2 и ruleЗ. При этом также подсчитывается средний истинный диапазон за последние 50 дней, поскольку это необходимо для стандартного выхода и оценки правил. Внутри цикла оценивание правил производится для текущего дня (rulel[cb], rule2[cb], rule3[cb]), и если все оценки возвращают значение ИСТИНА, то генерируется сигнал на покупку (или продажу, если исследуются входы в короткую позицию). Входы запрограммированы стандартным способом для каждого из трех тестируемых приказов. В эволюционном процессе используются только данные из выборки.
Выходные данные, полученные от программной оболочки, позволяют выбрать желаемое решение, которое можно использовать в торговле отдельно или в группе моделей. Решения могут быть легко сформулированы как понятные правила для оценки их физического смысла и использования их в качестве элементов других систем.
Результаты тестов
Были выполнены шесть тестов. Эволюционный процесс использовался для поиска оптимальных правил входа в длинные и короткие позиции с каждым из трех приказов для входа: по цене открытия, стоп- приказу и лимитному приказу. Во всех случаях было создано 2500 поколений генетической обработки. Задача вычисления всех решений и сохранения их в файлы потребовала всего несколько часов на быстром Pentium, что демонстрирует практическую пригодность этого метода. Для каждого теста генетический процесс произвел табличный файл (GFiles от 1 до 6), состоящий из строк, соответствующих каждому из поколений. Таким образом, каждая строка представляет определенное решение. Большинство ранних решений были мало пригодными для торговли, но качество решений улучшалось с появлением новых поколений, что характерно для ГА. Каждая строка содержит информацию относительно эффективности отдельного решения — набора параметров, который представляет ген, содержащийся в полной хромосоме.
Были выбраны лучшие решения для входа в длинную и короткую позицию по цене открытия. Эти решения использовались для проведения шести тестов, результаты которых приведены ниже. В частности, было протестировано решение, которое обеспечивало лучший вход в длинную позицию по цене открытия, и его эффективность была оценена обычным способом на обеих выборках. То же самое решение было проверено и оценено с входом по стоп- приказу и лимитному приказу. Такая же процедура была проведена для коротких позиций: было определено лучшее решение для входа в короткую позицию по цене открытия. Затем решение было проверено на обеих выборках с каждым из двух типов приказов. Мы не отбирали отдельное оптимальное решение для каждого типа приказа, потому что такие действия не позволят сравнить эффективность различных видов приказов. Например, оптимальный вход по цене открытия может давать модель пробоя, в то время как оптимальный вход по стоп- приказу может наблюдаться при использовании противотрендовой модели ценового импульса. Эти модели никак не связаны друг с другом, и их результаты ничего не говорят об общей эффективности различных видов приказов. Поэтому мы сначала искали наилучшую модель с рыночным приказом по цене открытия, а затем тестировали найденную модель с другими видами приказов. Поскольку модель остается неизменной, этот подход позволяет делать значимые сравнения различных типов приказов.
Решения для входов в длинную позицию
Табл. 12- 1 представляет торговые результаты 20 лучших решений для входов в длинные позиции по цене открытия (GFile 1). Каждая строка представляет различную торговую модель. Параметры не указываются, но представлены номера поколений (НОМЕР), вероятность или статистическая значимость (ВЕР, десятичный знак опущен, но подразумевается), средняя прибыль в долларах за сделку ($СДЕЛ), общее количество сделок (СДЕЛ), фактор прибыли (Ф.ПРИБ), доходность в процентах годовых (ДОХ%) и чистая прибыль или убыток (П/У).
Эффективность большинства из этих моделей, по меньшей мере, впечатляет. Лучшие модели имеют статистическую значимость выше 0,00007, что означает, что эти решения имеют очень высокую вероятность прибыльной торговли в будущем. Многие решения заработали более 50% годовых. В некоторых случаях прибыли достигли значительно более высоких уровней. Хотя лимитный приказ дал много наилучших решений, остальные приказы также показали много хороших, если не великолепных результатов. Как и в предыдущих исследованиях, ГА превосходно обнаруживает многие пригодные для торговли модели.
Решения для входов в короткие позиции
Табл. 12- 2 представляет маленькую часть файла GFfile 4, в котором представлены найденные модели входов в короткие позиции по цене открытия.
Как и в тесте 1, представлены 20 наилучших решений (отобранных по статистической значимости или соотношению риск/прибыль). И в этом случае налицо много хороших решений. Однако они уже не столь впечатляют, как решения для длинных позиций. Модели, приведенные в табл. 12- 2, обладают меньшей статистической значимостью и доходностью. Другое отличие состоит в том, что в большинстве случаев количество сделок было очень маленьким; оценки моделей основываются на редких событиях. Несмотря на все это, эволюционный процесс нашел много прибыльных наборов правил для входов в короткие позиции.
Результаты тестирования для стандартного портфеля
Лучшее решение, показанное в табл. 12- 1 (длинные позиции), и лучшее решение из табл. 12- 2 (короткие позиции) были протестированы со всеми тремя видами приказов. Тесты с 1 по 3 представляют лучшую модель для длинных позиций с входом по цене открытия, протестированную с входом по цене открытия, лимитному приказу и стоп- приказу соответственно. Тесты с 4 по 6 представляют лучшую модель для коротких позиций со всеми тремя видами приказов. Табл. 12- 3 содержит результаты лучших моделей с входом по цене открытия. Результаты приведены для длинных и коротких позиций на данных в пределах выборки и вне ее со всеми видами входных приказов.
В таблице: ВЫБ— вид выборки данных (В— в пределах, ВНЕ— вне пределов выборки); ДОХ% — доходность в процентах годовых; Р/ПРИБ — соотношение риска/прибыли в годовом исчислении; ВЕР — ассоциированная вероятность статистической достоверности; СДЕЛ — число сделок на всех рынках в составе портфеля; ПРИБ% — процент прибыльных сделок; $СДЕЛ— средняя прибыль/убыток со сделки; ДНИ— средняя длительность сделки в днях; ПРИБДЛ — общая прибыль от длинных позиций в тысячах долларов; ПРИБКР— общая прибыль от коротких позиций в тысячах долларов.
Тесты 1—3. Тестирование модели входа в длинные позиции с входами по цене открытия, по лимитному приказу и стоп- приказу.
Как видно из табл. 12- 3, модель, полученная с помощью эволюционного процесса, была прибыльна при всех трех типах приказов как в выборке (как и ожидалось, учитывая мощь ГА), так и вне ее. В выборке вообще не было прибыли меньше 42% (в годовом исчислении) для любого вида приказа. Все значения средней прибыли в сделке были больше чем $14 000, и ни одна система не имела меньше 60% прибыльных сделок! Вне выборки результаты были довольно разнообразны. С входами по цене открытия или по лимитному приказу система по- прежнему показывала выдающиеся результаты: средняя прибыль в сделке была выше $10 000, а доходность — выше 60% годовых. Со стоп- приказом модель работала не так хорошо: доходность не превысила 11%, а средняя сделка принесла всего $4246. Единственным внушающим беспокойство аспектом результатов является малое количество сделок. Например, в пределах выборки с входом на открытии было произведено только 43 сделки за 10- летний период для портфеля из 36 товаров. Вне выборки было только 17 сделок в течение 5- летнего периода; частота торговли была постоянна и составляла около 4 сделок в год.
По- видимому, правила обнаруживали необычные (но пригодные для торговли) рыночные события; подобную модель можно назвать моделью для торговли в нетипичных случаях. Эта модель не так бесполезна, как может показаться на первый взгляд. Ассортимент систем, каждая их которых торгует при различных редких событиях, может давать превосходную прибыль. При работе с системой такого типа рекомендуется торговля как портфелем систем, так и портфелем финансовых инструментов.
Однако небольшое количество сделок может поставитьпод сомнение статистическую значимость полученных результатов. Данная задача, вероятно, может быть решена при использовании более сложного способа обработки больших комбинаций правил.
Тесты 4—6. Тестирование модели входа в короткие позиции с входом по цене открытия, по лимитному приказу и стоп- приказу. Во всех случаях эффективность лучшей модели для коротких позиций, протестированной на трех видах приказов, была хуже, чем результаты моделей для длинных позиций в пределах выборки. Вне выборки результаты знаменательно ухудшились, и были отмечены убытки. В отличие от модели для длинных позиций эта модель не прошла проверку на торговлю вне пределов выборки. Однако стоит отметить, что если бы мы торговали с помощью модели как для длинных, так и для коротких позиций одновременно, то на данных вне пределов выборки прибыль от длинных позиций значительно перевесила бы потери от коротких. Полная система была бы выгодна. То, что модели торговли для длинных позиций работают лучше, чем для коротких, было не один раз отмечено в предыдущих главах этой книги. Возможно, этот факт связан с присутствием в стандартном портфеле нескольких рынков, которые находились в бычьем тренде в течение долгого времени. Вероятно, причиной повышенной эффективности длинных позиций являются отличия в реакции товарных рынков на избыточное предложение и нехватку товара.
Результаты тестирования для каждого рынка
Табл. 12- 4 содержит результаты по рынкам для лучших моделей как для длинных, так и для коротких позиций, протестированных на оптимизационных и проверочных выборках, с использованием трех видов приказов для входа в рынок. Пустые ячейки в этой таблице отражают отсутствие сделок. Первая колонка содержит обозначения изучаемых рынков.
Центральная и правые колонки содержат количество прибыльных тестов для данного рынка. Числа в первой строке представляют идентификаторы тестов: 01, 02 и 03 означают тесты для длинных позиций с входом на открытии, по лимитному приказу и стоп- приказу соответственно; 04, 05 и 06 представляют соответствующие тесты для коротких позиций. Последняя строка содержит количество рынков, на которых данная модель была прибыльна. Данные в этой таблице представляют относительно детальную информацию о том, какие рынки прибыльны, а какие нет, для каждой конкретной модели: один минус (—) указывает на умеренный средний убыток в сделке — от $2000 до $4000; два минуса ( ) представляют большую среднюю потерю в сделке — $4000 или больше; один плюс (+) означает умеренную среднюю прибыль в сделке — от $1000 до $2000; два плюса (+ +) указывают на большую среднюю прибыль в сделке — $2000 или больше; а пустая ячейка соответствует убытку до $1999 или прибыли в пределах $1000. (Названия рынков и их символы соответствуют обозначениям табл. II- 1; часть II, введение.) Тесты 1—3. Тестирование модели входа в длинные позиции с входом по цене открытия, по лимитному приказу и стоп- приказу.
Табл. 12- 4 указывает, что в пределах выборки модель была весьма прибыльна для NYFE (но не для S&P 500), для британского фунта, немецкой марки, японской йены, палладия, для большинства рынков пшеницы, канзасской пшеницы, какао, леса и сырой нефти (если не учитывать покупку по цене открытия). Вне выборки на NYFE не было сделок, британский фунт и немецкая марка продолжали оставаться весьма прибыльными для всех типов приказов. Многие рынки, прибыльные в пределах выборки, вне ее пределов не заключали сделок. Некоторые рынки, которые не участвовали в торговле в пределах выборки, были успешны вне выборки (особенно неэтилированный бензин, серебро и кофе). Это указывает на то, что модель продолжала работать хорошо, причем не только на другом периоде времени, но и на другом наборе рынков.
Тесты 4—6. Тестирование модели входа в короткие позиции с входами по цене открытия, по лимитному приказу и стоп- приказу.
В пределах выборки казначейские векселя, немецкая марка, швейцарский франк, канадский доллар, свиная грудинка, овес, канзасская пшеница, апельсиновый сок и лес показали устойчивую прибыль. Британский фунт и немецкая марка также принесли прибыль вне выборки. Швейцарский франк был прибыльным вне выборки, но только с лимитным приказом. Другие рынки либо не были задействованы в торговле, либо были убыточны. Вне выборки NYFE показал прибыль при всех типах приказов (будучи убыточным в пределах выборки).
Рис. 12- 1 изображает рост капитала при торговле портфелем для длинных позиций с входом по цене открытия. Как видно из графика, наблю-

Рисунок 12- 1. Рост капитала при торговле портфелем (длинные позиции, вход по цене открытия).
дался устойчивый рост капитала. Ступенчатая форма графика связана с небольшим количеством сделок.
Время от времени весьма выгодная сделка являлась причиной внезапного ступенчатого роста капитала. Линия наименьших квадратов, вписанная в график изменения капитала, показывает последовательный рост в обеих выборках, с небольшим перевесом в ранние годы. Рост капитала при торговле портфелем для длинных позиций с входом по лимитному приказу, который помогает контролировать транзакционные издержки, представлен на рис. 12- 2. И здесь наблюдается аналогичное ступенчатое изменение капитала. Однако на этом графике не видно замедления роста в последние годы — линия, вписанная методом наименьших квадратов, почти прямая. Эффективность вне выборки была почти идентична эффективности в пределах выборки.
Рис. 12- 3 показывает рост капитала при торговле портфелем с помощью наилучшей модели для коротких позиций с входом по цене открытия. Здесь также присутствует подобный ступенчатый эффект. Однако, за исключением сильного роста капитала в период с августа 1989 г. по июнь 1993 г., капитал системы практически не менялся.

Рисунок 12- 2. Рост капитала при торговле портфелем (длинные позиции, вход по лимитному приказу).
Правила протестированных решений
Правила для открытия длинных позиций.
Хромосома, представившая лучшее решение для входов в длинные позиции по цене открытия, содержит три гена. Каждый ген был составлен из четырех чисел и связан с определенным правилом.
Ген 1 состоял из чисел 4, 850, 65 и 653, что означает правило снижения открытого интереса (case 4), анализируемый период 34 и порог 0,042 соответственно. Последнее число (653) не было использовано, потому что данное правило содержит только два параметра. Таким образом, данное правило возвращает значение ИСТИНА, если открытый интерес снизился по меньшей мере на 4,2% за последние 34 дня. Другими словами, разность открытого интереса 34 дня назад и открытого интереса 1 день назад, поделенная на открытый интерес 34 дня назад, должна быть больше чем 0,042.
Ген 2 состоит из чисел 1, 256, 530 и 709. Первое число (1) соответствует простому правилу ценового сравнения (case 1). Смысл других чисел гена состоит в том, что правило возвращает значение ИСТИНА, когда цена зак-

Рисунок 12- 3. Рост капитала при торговле портфелем (короткие позиции, вход по цене открытия).
рытия 3 дня назад превышает цену закрытия 14 дней назад на величину среднего истинного диапазона, умноженного на 3,46.
Ген 3 состоит из чисел 5, 940, 47 и 610. Шаблон правила 5 (case 5) соответствует правилу повышения открытого интереса. Полная реализация этого правила показывает, что правило возвращает значение ИСТИНА, если открытый интерес рынка увеличился по крайней мере на 5,6% за последние 44 дня.
Если условия для всех трех правил, определяемые генами 1, 2 и 3, выполняются на данный день, то модель генерирует сигнал к покупке.
Интересно, что два правила используют открытый интерес — переменную, которую обычно не рассматривают во многих популярных торговых методах. Также примечательно, что два объединенных правила открытого интереса почти противоречат друг другу: текущий открытый интерес должен быть больше, чем открытый интерес 44 дня назад, но меньше, чем открытый интерес 34 дня назад. Модель напоминает систему следования за трендом, поскольку последний открытый интерес должен быть больше, чем открытый интерес за некоторую предыдущую дату. Однако остается время для маленького отката, т.е. увеличение открытого интереса должно произойти 3 дня назад, а не в текущий день. Это не тот набор правил, который легко обнаружить обычным способом без помощи генетического алгоритма.
Правила для входа в короткие позиции.
Подобный анализ также можно провести для коротких позиций. Числа 5, 890, 391 и 532 (ген 1); 5, 705, 760 и 956 (ген 2) и 10, 163,999 и 196 (ген 3) соответствуют хромосоме, которая представила лучшее решение для входа в короткую позицию по цене открытия. Два указанных гена соответствуют правилам, связанным с открытым интересом, и один — с осциллятором MACD. Первое правило открытого интереса утверждает, что открытый интерес 1 день назад должен быть по крайней мере на 38% больше, чем открытый интерес 38 дней назад. Второе правило открытого интереса утверждает, что открытый интерес 1 день назад должен быть по крайней мере на 75% больше, чем открытый интерес 25 дней назад. Третье правило утверждает, что наклон MACD (период короткого скользящего среднего = 2, а период длинного скользящего среднего = 50) должен быть направлен вниз, предполагая наличие нисходящего тренда. Если были выполнены условия для всех трех правил, указанных этими тремя генами, то подается сигнал на продажу.
Повторюсь, эти правила было бы не так легко обнаружить, если разрабатывать торговую модель в более традиционной манере.
Заключение
Как и в нашем раннем исследовании, использование ГА для поиска торговых правил помогло найти весьма убедительные модели входа. Результаты впечатляют, несмотря на такие проблемы, как малое число сделок во многих решениях. Этот подход, несомненно, может служить в качестве основания для дальнейших усилий в разработке системы. В данном исследовании была использована лишь маленькая база шаблонов правил, включающая простейшие элементы (ценовые сравнения, скользящие средние и осцилляторы). Несомненно, намного лучшие результаты могли быть получены при использовании более сложного и полного набора шаблонов в качестве зерна для генетической мельницы.
Руководство командой разработчиков программного обеспеченияСкорость
Наиболее важный фактор, влияющий на скорость работы системы, — природа используемого языка: скриптовый или программный, т.е. определе-

Рисунок 2- 1. Гистограмма неблагоприятных движений.
ние, является ли программа скриптом или используется в интерпретаторе. Современные компиляторы языков общего назначения, таких как C++, FORTRAN и Pascal/Delphi, переводят написанную пользователем программу в высокоэффективный машинный код, пригодный для прямого исполнения процессором; это делает пакеты с использованием таких языков и компиляторов весьма быстрыми. С другой стороны, собственные интерпретируемые языки, такие как Visual Basic for Applications и Easy Language, должны переводиться и подаваться в процессор построчно при исполнении сложного, насыщенного циклами исходного кода. Каков же возможный выигрыш в скорости для компилируемого языка по сравнению с интерпретируемым? Мы слышали о системах, которые после перевода с собственного языка на C++ стали работать в 50 раз быстрее!
Что мы узнали?
Длинные позиции, как правило, работают лучше, чем короткие, на рынках, составляющих наш стандартный портфель, с большинством исследованных моделей. Следовательно, заслуживают большего внимания усилия, направленные на развитие системы, в которой делается акцент на длинные позиции.
Генетические алгоритмы представляются эффективным средством обнаружения нестандартных торговых систем, которые практически невозможно разработать общепринятыми методами.
При правильном использовании ГА избыточная оптимизация (подгонка под исторические данные) не является серьезной проблемой, несмотря на оптимизационную мощь генетических алгоритмов.
Ограничения количества и сложности правил в любом решении представляются ключевым элементом в контроле над демоном подгонки под исторические данные.
• Генетическая эволюция правил имеет большое преимущество, связанное с тем, что полученные правила могут быть переведены на простой язык и понятны. В отличие от нейросетевых систем торговые правила, созданные с помощью ГА, не скрыты в непостижимом черном ящике.
Использование генетики описанным выше способом помогает создать большое количество отдельных прибыльных решений, которые затем можно объединить в портфеле, торгующем несколькими моделями.
Исследование выходов. Введение
В части II в центре внимания был выбор времени входа в рынок. Была исследована степень эффективности различных методологий при ответе на следующий всеобъемлющий вопрос: когда, где и как входить в рынок.
Были проведены исследования самых разнообразных торговых подходов: от рыночных циклов до активности солнечных пятен, от простейших торговых правил до продвинутых генетических алгоритмов и нейронных сетей. Для того чтобы сделать достаточно справедливое сравнение методов входа, во всех тестах преднамеренно использовалась простая стандартная стратегия выхода из рынка. В сделках использовалась фиксированная защитная остановка, выход по лимитному приказу при достижении целевой прибыли, а также выход по рыночному приказу по истечении определенного количества дней. В части III в центре внимания будет находиться проблема выхода из рынка. Мы постараемся восполнить недостаток интереса к стратегиям выхода в литературе, посвященной биржевой торговле.
Важность стратегии выхода
Во многих случаях хороший выход более значим, чем хороший вход. Основное различие состоит в том, что при ожидании хорошей возможности входа в рынок нет никакого риска. Если пропущена одна возможность входа, то всегда придет другая — активная модель торговли должна обеспечивать много подобных возможностей. Однако, пропустив оптимальный выход, мы подвергаемся рыночному риску. Прозевав выход, мы рискуем получить большие убытки и даже подвергнуться неприятной процедуре принудительного закрытия нашей позиции по наихудшим ценам! Известны случаи потери всей прибыли, полученной за несколько лет успешной торговли, благодаря тому, что используемая стратегия выхода не включала хорошую защитную остановку! Не стоит ждать следующую возможность входа в противоположном направлении, чтобы выйти из плохой позиции. Чрезмерная осторожность, приводящая к выходам без должных оснований, также вызовет опустошение вашего счета, хотя и не столь быстрое. Дело в том, что любая торговля невозможна без убытков, пусть и небольших. Для того чтобы их компенсировать, необходимо полностью использовать потенциал прибыльных позиций. Преждевременные выходы из удачных позиций лишают нас значительной части прибыли и отдают во власть неизбежных мелких (а иногда и крупных) убытков. Хорошая стратегия выхода, прежде всего, строго контролирует убытки, но при этом не жертвует многими потенциально прибыльными позициями.
Насколько важна стратегия выхода? Если риск четко контролируется путем быстрого избавления от убыточных сделок, и это сделано таким образом, что большинство прибыльных сделок не прекращается слишком рано, то в результате можно получить прибыль при использовании проигрышной системы! Иначе говоря, если прерывать убыточные сделки и оставлять прибыльные, то в итоге будет получена прибыль. Надежная стратегия выхода может сделать хорошую систему еще более выгодной, сокращая временные падения капитала. Во время неизбежных убыточных периодов хорошая стратегия, включающая надежные методы контроля над риском, помогает трейдеру подготовиться к началу нового периода успешной торговли.
Цели хорошей стратегии выхода
Существуют две цели, которые пытается достичь хорошая стратегия выхода. Первая и наиболее важная цель состоит в строгом контроле убытков.
Стратегия выхода должна диктовать, как и когда закрывать неудачную позицию, чтобы предотвратить существенную эрозию торгового капитала.
Эту цель часто называют управлением капиталом и реализуют с помощью защитных остановок (защитные остановки управления капиталом). Вторая цель хорошей стратегии выхода состоит в том, чтобы находиться в прибыльной позиции до ее полной зрелости. Стратегия выхода должна не только определять оптимальные моменты для фиксации убытков, но и помогать при выходе с прибылью. Вообще не желательно выходить из сделки преждевременно, извлекая только маленькую прибыль из рынка. Если торговля идет благоприятно, необходимо находиться в сделке как можно долго и извлекать из нее максимальную прибыль. Это особенно важно, если система не позволяет многократные входы в продолжительные тренды.
Тренд — ваш друг, и если можно оставаться в сильном тренде до его завершения, то полученная существенная прибыль может более чем компенсировать многие маленькие убытки. Фиксация прибыли часто осуществляется с помощью следящих остановок, уровней целевой прибыли и приказов, основанных на рыночной волатильности или времени удержания позиции. Полная стратегия выхода координирует использование разнообразных типов выходов, ограничивая риск и фиксируя прибыль.
Виды выходов, используемых в стратегии выхода
Существует огромное множество видов выхода. В стандартной стратегии выхода были использованы только три вида выхода в простой неизменной манере. Фиксированный выход управления капиталом осуществлялся с помощью стоп- приказа: если рынок сместился против открытой позиции более чем на определенную величину, то позиция закрывается с ограниченным убытком. Выход при достижении целевой прибыли осуществлялся с помощью лимитного приказа: при смещении цены на указанную величину в благоприятном направлении производится выход с известной прибылью. И наконец, если позиция удерживалась в течение указанного количества дней, она закрывалась с помощью рыночного приказа. Существует множество других типов выхода, не используемых в стандартной стратегии выхода: следящие выходы, критические пороговые выходы, выходы, основанные на волатильности, и сигнальные выходы.
Следящий выход обычно осуществляется с помощью стоп- приказа и поэтому часто называется следящим стопам. Этот вид выхода используют, когда рынок движется в благоприятном направлении для сделки. Следящий стоп перемещается вверх или вниз вместе с рынком для того, чтобы при изменении направления движения рынка зафиксировать некоторую часть текущей прибыли. Если рынок разворачивается против сделки, то срабатывает следящий стоп, и позиция закрывается, сохранив часть прибыли. Критический пороговый выход закрывает позицию, когда рынок достигает или пересекает теоретический барьер (например, линию тренда, уровень поддержки или сопротивления, уровень коррекции Фибоначчи или линию Ганна), преодоление которого говорит о необходимости изменить текущую интерпретацию состояния рынка. Критические пороговые выходы могут быть осуществлены при помощи лимитных или стоп- приказов в зависимости от того, является ли позиция длинной или короткой, и в зависимости от направления пересечения барьерного уровня. Если рыночная волатильность (которая является мерой риска) внезапно возрастает, то следует закрыть позицию, применив выход, основанный на волатильности. Наконец, сигнальный выход основан на ожидаемом развороте направления рынка: длинная позиция закрывается из- за того, что система дает сигнал для открытия короткой позиции, или из- за генерации сигнала специального индикатора. Многие выходы, основанные на распознавании моделей, являются сигнальными выходами.
Выходы управления капиталом
Каждая стратегия выхода должна содержать выход управления капиталом. Выход управления капиталом осуществляется с использованием стоп- приказа. Поэтому он часто называется защитной остановкой. Такая защитная остановка закрывает позицию после неблагоприятного движения рынка (движение против сделки) или по указанной цене ниже (в случае длинной позиции), или выше (в случае короткой позиции) цены входа в сделку. Защитная остановка обыкновенно остается на одном месте в течение всего времени удержания позиции. Ее цель состоит в ограничении риска некоторой максимально допустимой величиной. Конечно, потенциальный риск может быть больше, чем ожидаемый. К примеру, рынок может испытать большой разрыв между ценой закрытия вечером и ценой открытия на следующее утро. Торговля без защитной остановки подобна полету в шатком старом самолете без парашюта.
Вопрос заключается не в том, нужны ли защитные остановки — разумеется, они просто необходимы. Основная задача состоит в нахождении оптимального положения защитной остановки. Есть много способов решить, где размещать защитные остановки. Самое простое размещение связано с максимальной суммой денег, которой трейдер готов рисковать в данной сделке (денежная защитная остановка). Например, если на S&P 500 открыта позиция и трейдер не желает рисковать более чем $1500, то он использует защитную остановку в размере $1500. Если рынок движется против сделки дальше, чем на $1500 (три пункта на S&P), то защитная остановка срабатывает, и позиция закрывается. На волатильных рынках и в волатильные периоды следует оставлять больше пространства для движения, т.е. избегать слишком близких к рынку защитных остановок, чтобы не закрыть потенциально прибыльные позиции с убытками.
Хороший способ установления защитной остановки основывается на ценовом барьере, таком как линия тренда или уровень поддержки/сопротивления. В таких случаях защитная остановка работает как критический пороговый выход. Например, если на S&P 500 есть множество трендов и линий поддержки около 936,00 и длинная позиция на 937,00 была только что открыта, то стоит рассмотреть размещение защитной остановки немного ниже 936,00, например на 935,50. Установка защитной остановки на уровне 935 логична, поскольку пробой линии поддержки предполагает, что тенденция изменилась и не следует оставаться в длинной позиции по S&P 500. В этом примере мы рискуем только $750, что существенно меньше чем $1500 — риск при использовании защитной остановки, основанной на денежной сумме допустимого риска. Более экономная защитная остановка может часто устанавливаться рядом с важными уровнями поддержки/сопротивления, чем при использовании денежной защитной остановки.
Из вышесказанного становится ясно, что установка защитной остановки является компромиссом. Хорошо иметь очень тесную защитную остановку, поскольку тогда убытки будут очень маленькими и относительно безболезненными. Однако чем ближе защитная остановка к цене открытия позиции, тем сильнее возрастает вероятность закрытия позиции, даже если рынок в конечном счете пойдет в благоприятном направлении.
Например, если установлена защитная остановка в размере $50, то почти все сделки на S&P 500 независимо от метода входа будут остановлены с маленькими убытками. При сужении защитной остановки процент прибыльных сделок уменьшается. Слишком тесная защитная остановка приносит в жертву большинство потенциально прибыльных сделок. С другой стороны, если защитная остановка расположена слишком далеко от цены входа в рынок, то убытки от неудачных сделок могут привести к потере всей ранее полученной прибыли. Секрет состоит в том, чтобы найти такую защитную остановку, которая эффективно проконтролирует убытки без принесения в жертву слишком многих потенциально прибыльных сделок.
Следящие выходы
Следящий выход обычно осуществляется с помощью так называемой следящей остановки. Цель этого вида выхода состоит в том, чтобы при движении рынка в неблагоприятном направлении зафиксировать часть прибыли или обеспечивать защиту, которая является более плотной, чем первоначальная защитная остановка. Если открыта длинная позиция на S&P 500 и имеется текущая незафиксированная прибыль, то было бы желательно сохранить часть этой прибыли в случае, если рынок развернется. Именно для этого используется следящая остановка. Если установлена защитная остановка в размере $1500, и рынок сместился против позиции больше чем на $1500, то позиция закрывается с убытком в $1500. Однако, если рынок сместился на $1000 в направлении позиции, было бы разумно подвинуть старую защитную остановку поближе к текущей рыночной цене, например на уровне прибыли, равной $500. Теперь, если рынок разворачивается, и достигается защитная остановка, то сделка будет закрыта с прибылью в $500, а не с убытком в $1500! При движении рынка в благоприятном направлении, следящая остановка может быть смещена вверх (или вниз — для короткой позиции). Она и называется следящей остановкой, потому что следит за текущей ситуацией на рынке и защищает основную часть возрастающей текущей прибыли.
Хорошая следящая остановка может одновременно использоваться в качестве адаптивного выхода управления капиталом и выхода, фиксирующего прибыль! В любом случае она эффективна как часть общей стратегии выхода. Следящие остановки и защитные остановки управления капиталом работают рука об руку. Хорошие трейдеры часто используют и то и другое, начиная с защитной остановки для управления капиталом и затем перемещая эту защитную остановку вместе с движением рынка.
Как только позиция переходит в прибыльную область, защитная остановка становится следящей. Не беспокойтесь о том, что сводите с ума брокера, часто перемещая остановки, чтобы заставить их следовать за рынком.
Если торговля ведется достаточно активно и комиссионные поддерживаются на должном уровне, брокер не должен нервничать при нескольких корректировках стоп- приказов. Напротив, разумный брокер будет доволен, понимая, что клиент, правильно и эффективно использующий выходы управления капиталом и следящие остановки, с большой вероятностью выживет как активный, создающий комиссию трейдер.
Как определяется размещение следящей остановки? Многие принципы, обсуждавшиеся в отношении выходов управления капиталом, применяются и к следящим остановкам. Остановка может быть установлена на определенном расстоянии от максимальной (или минимальной, в случае короткой позиции) рыночной цены, достигнутой во время сделки. Остановка может быть связана с текущей рыночной волатильностью. Наклонная линия поддержки/сопротивления, типа линии тренда или Ганна, также может использоваться, если она присутствует в области, достаточно близкой к текущему рыночному состоянию. Кроме того, можно использовать и фиксированные уровни поддержки/сопротивления: защитная остановка может повышаться от барьера к барьеру вместе с движением рынка в благоприятном направлении сделки.
Выходы при достижении целевой прибыли
Выход при достижении целевой прибыли обычно осуществляется с помощью лимитного приказа, закрывающего позицию, если рынок переместился на указанную величину в благоприятном для сделки направлении.
Лимитный приказ, осуществляющий выход при достижении целевой прибыли, может либо быть фиксированным, подобно защитной остановке для управления капиталом, либо перемещаться вслед за ценой, как следящая защитная остановка. Фиксированная целевая прибыль может быть основана либо на волатильности, либо на простой долларовой сумме. Например, если целевая прибыль в размере $500 установлена для длинной позиции на S&P 500, то размещают лимитный приказ на продажу, закрывающий позицию при движении цены на $500 в пользу сделки. Подобный приказ поможет быстро зафиксировать прибыль.
Существуют свои преимущества и недостатки в использовании выхода по целевой прибыли. Одно из преимуществ состоит в том, что при использовании выходов по целевой прибыли может быть достигнут высокий процент прибыльных сделок, в то время как проскальзывание устранено или даже направлено на пользу трейдера. Главный недостаток выхода по целевой прибыли состоит в том, что он может послужить причиной преждевременного выхода с маленькой прибылью из больших продолжительных движений, особенно если методы входа не обеспечивают многократные входы в продолжающиеся тренды. При прочих равных условиях, чем ближе целевая прибыль к цене входа, тем больше шансов на то, что она будет достигнута, и, следовательно, тем выше процент прибыльных сделок. Однако, чем ближе целевая прибыль, тем меньше прибыль от сделки. Например, если была установлена целевая прибыль в размере $50 для сделки на S&P 500, а защитная остановка для управления капиталом находится далеко (например, на $5000), больше чем 95% всех сделок будут прибыльными! Однако при таких обстоятельствах прибыльные сделки принесут маленькую прибыль, которая будет обязательно уничтожена убытком в размере $5000, а также комиссионными. С другой стороны, если целевая прибыль очень велика, она будет фиксироваться очень редко. Так же как и с выходами по стоп- приказам, в данном случае имеет место компромисс: уровень целевой прибыли должен быть помещен достаточно близко, чтобы была польза от увеличения количества прибыльных сделок и сокращения проскальзывания, но в то же время он не должен располагаться слишком близко, снижая среднюю прибыль в сделке.
Стратегия выхода не обязательно должна включать в себя выход по целевой прибыли. Некоторые методы, подобные следящей остановке, могут использоваться для завершения сделки с прибылью. Эти методы выгодны тем, что они позволяют оставаться в рынке при очень больших благоприятных движениях цены. При тех же самых условиях, но с использованием выхода по целевой прибыли, сделка будет закрыта задолго до завершения тренда, не получив основной части потенциальной прибыли.
Мы предпочитаем системы, которые имеют высокий процент прибыльных сделок. Целевая прибыль может увеличивать этот процент. Если используется модель, способная повторно входить в действующие тренды, то выходы по целевой прибыли могут быть весьма эффективны. Действительно, преимущества и недостатки зависят от природы используемой системы, а также от личных предпочтений.
Мы экспериментировали с одним из видов целевой прибыли, который можно назвать сжимающейся целью. Этот метод создан для закрытия вялых безжизненных сделок, которые будут не в состоянии инициализировать другие типы выходов. Сначала целевая прибыль устанавливается очень далеко от рынка. Затем лимитный приказ постепенно передвигается к рыночным ценам и, наконец, достигает той области, где естественная волатильность рынка вызовет его срабатывание и поможет получить небольшую прибыль без проскальзывания.
Выходы, основанные на времени удержания позиции
Выходы, основанные на времени, включают выход по рыночному приказу после того, как с момента открытия позиции пройдет определенное время. Если рынок за указанное время значительно не сдвинулся, чтобы сработал выход по целевой прибыли или другой вид выхода, то сделка, вероятно, бесперспективна и напрасно отвлекает ресурсы. Очевидно, что гипотеза, вызвавшая открытие данной позиции, не оправдалась. Поэтому сделка должна быть закрыта для поиска следующей возможности.
Выходы, основанные на волатильности
Выходы, основанные на волатильности, связаны с распознаванием того, что уровень фактического или потенциального риска возрастает из- за быстрого повышения рыночной волатильности. При таких обстоятельствах желательно закрыть позиции и ограничить риск. Например, когда после значительного тренда волатильность внезапно увеличивается при большом объеме, может произойти пробой максимума. Почему бы не распродать длинные позиции, когда все участники рынка яростно покупают? Это позволит избежать внезапной коррекции и получить очень хорошие цены при продаже, учитывая то, что проскальзывание будет направлено в вашу сторону!
Другой точкой выхода, основанной на волатильности, может быть дата, которая предполагает высокую степень риска, например годовщины основных рыночных крахов. Если после закрытия длинных позиций рынок продолжит восходящий тренд, то можно будет снова купить проданные активы. Однако если произойдет глубокий спад, то длинная позиция может быть возобновлена по намного лучшей цене! Что еще свидетельствует о моменте повышенного риска? Если какойлибо индикатор предполагает, что тенденция может полностью измениться, следует выйти из рынка и избежать потенциального разворота. Если система пробоя стала причиной открытия длинной позиции в S&P 500 за несколько дней до полнолуния, а лунные исследования показали, что рынок часто обваливается при полной луне, то имеет смысл закрыть позицию для избежания потенциальной волатильности. Также помните о том, что вся позиция не должна закрываться целиком единовременно. Можно закрыть часть позиции — этот метод поможет трейдеру сгладить график изменения капитала.
Емкость
Если скорость в основном зависит от работы с языком (интерпретируемым или компилируемым), то емкость главным образом от используемого 16- или 32- битного программного обеспечения. Старые 16- битные программы часто зависят от предела в 64 кбайт, т.е. практически для тестирования системы может быть загружено не более 15 000 баров данных (около 4 дней тиковых или 7 недель 5- минутных данных S&P 500). Кроме того, если у системы код большого объема, будьте готовы получить сообщение, что программа с ней не может справиться. Современные продукты, написанные на FORTRAN или C++, работают с соответствующими компиляторами, что позволяет, например, загрузить для тестирования всю историю тиков S&P 500 с появления индекса в 1983 г., если, конечно, у компьютера достаточно памяти. Кроме того, практически нет ограничений на количество сделок, принимаемых системой, или на сложность и размер самой системы. Все современные компиляторы для FORTRAN, C++, Pascal/Delphi — полностью 32- битные программы, работающие под 32- битными операционными системами, такими как Windows 95, Windows NT или LINUX/ UNIX. Любой симулятор, работающий на основе таких компиляторов, способен работать с огромными объемами данных без труда. Поскольку большинство программных пакетов постоянно совершенствуется, проблема емкости становится все менее и менее принципиальной.
Барьерные выходы
Барьерный выход включается, когда рынок соприкасается или пересекает некоторый барьер, такой как уровень поддержки или сопротивления, линии тренда или уровень коррекции Фибоначчи. Барьерные выходы — лучшие выходы: они представляют теоретические барьеры, за пределами которых интерпретация рыночного действия должна быть пересмотрена, и часто позволяют устанавливать очень близкие защитные остановки, поразительно сокращая убытки неудачных сделок. Фокус в том, чтобы найти хороший барьер в подходящем месте. Например, защитная остановка управления капиталом может служить как барьерный выход, когда она установлена на уровне поддержки или сопротивления, если таковой уровень существует достаточно близко к цене входа, чтобы сдержать потенциальный убыток в приемлемых пределах. Следящий выход также может быть барьерным выходом, если он основан на линии тренда.
Сигнальные выходы
Сигнальные выходы происходят, когда система дает сигнал, противоречащий текущей позиции, и позиция закрывается по этой причине. Система, генерирующая сигнал выхода, может и не совпадать с системой, генерирующей сигналы входа. Фактически, система выхода не должна быть столь же надежна, как используемая для входа в сделки! Входы должны быть консервативны. Должны быть отобраны только лучшие возможности, даже если это означает потерю многих потенциальных точек входа. С другой стороны, выходы могут быть либеральны. Важно не упустить любых разворотов трендов, допуская некоторое количество ложных сигналов. Пропущенный вход — только одна упущенная возможность из многих. Пропущенный выход, однако, может легко привести к уменьшению счета! Выходы, основанные на распознавании моделей, пересечении скользящих средних и расхождениях — сигнальные выходы.
Принципиальные моменты при выходе из рынка
При попытке выйти из рынка возникает множество проблем, которые необходимо принять во внимание. Например, защитные остановки могут заканчиваться плохим исполнением и существенными транзакционными издержками из- за таких факторов, как охота и проскальзывание.
Лимитные приказы могут быть просто не выполнены. Существуют также компромиссы, которые стоит рассмотреть; например тесные защитные остановки могут сдержать убытки, но в то же время погубить потенциально прибыльные сделки и увеличить количество убыточных сделок.
Далекие от рыночных цен защитные остановки позволяют развиваться прибыльным сделкам, но приводят к большим убыткам в случае неудачных сделок. Короче говоря, существуют аспекты выходов, связанные с размещением приказов и взаимодействием с рыночными реалиями.
«Охота» на стоп-приказы
Иногда размещение тесных защитных остановок может приводить к неприятным результатам. Биржевые трейдеры могут пытаться охотиться на стоп- приказы, чтобы заработать несколько тиков. Другими словами, биржевые трейдеры могут преднамеренно вынуждать рынок достигать областей скопления стоп- приказов для их исполнения. Когда стоп- приказы устранены таким образом, разместивший их трейдер обычно получает убыток. Как этого можно избежать? Разместите у брокера катастрофическую защитную остановку, т.е. далекую остановку, призванную спасти вас в случае биржевого краха или отсутствия связи с вашим брокером. Катастрофическая остановка размещается достаточно далеко от рынка, для того чтобы быть вне досягаемости озорства профессиональных трейдеров. Никто не будет рад срабатыванию этой защитной остановки, но по крайней мере она не позволит вам потерять все деньги при возникновении экстремальной ситуации. Близкая защитная остановка будет размещена только у вас, в торговой системе на вашем компьютере: когда эта остановка будет достигнута, компьютер покажет сообщение и издаст звуковые сигналы. Услышав их, вы сможете немедленно позвонить брокеру и выйти из сделки. При таком подходе можно благополучно и без риска использовать тесные защитные остановки, которые не будут предметом охоты.
Компромиссы, связанные с защитными остановками
При использовании тесных защитных остановок улучшается контроль риска, но много прибыльных сделок может быть потеряно, что приведет к снижению прибыли. Каждому бы понравилось использовать защитные остановки размером в $100 для S&P 500, потому что потери при убыточных сделках были бы довольно маленькие. Однако большинство систем при этом будет проигрывать 95% времени! Некоторые системы позволяют использовать тесные остановки, благодаря специфической реакции на точку открытия позиции. Такие системы дают разумный процент прибыльных сделок и обладают терпимостью к тесным защитным остановкам. Эти системы часто основаны на поддержке и сопротивлении или других барьерных моделях. Многие системы, напротив, не работают с тесными защитными остановками. Тем не менее всегда есть компромисс между тесными защитными остановками для контроля над риском и удержанием потенциально прибыльных позиций. Просторные защитные остановки не будут жертвовать прибыльными сделками, но приведут к большим убыткам в случае неудачных сделок. Оптимальное расположение защитной остановки зависит от природы торговой системы и свойств используемого рынка.
Проскальзывание
Проскальзывание — это количество рыночного движения с момента размещения торгового приказа (в случае стопа — с момента его срабатывания) до момента его исполнения. Эту величину легко выразить в долларах. В случае стоп- приказов скорость движения рынка против сделки влияет на величину суммы, потерянной благодаря проскальзыванию. Чем быстрее движется рынок в момент срабатывания стоп- приказа, тем больше будет убыток, связанный с проскальзыванием. Если бы была установлена защитная остановка в размере $500 для S&P 500 и рынок начал быстро двигаться против сделки, могло легко произойти проскальзывание в размере $200 или $300, заканчивающееся убытком в $700 или $800, вместо $500 ожидаемых. Если бы рынок перемещался более медленно, тогда проскальзывание могло бы отнять только $25 или $50 с результирующим убытком $525 или $550. Проскальзывание существует во всех сделках, которые включают рыночные или стоп- приказы. Однако в некоторых сделках оно может быть выгодно трейдеру. Лимитные приказы (например, продавать по $х или по лучшей цене) не подвержены проскальзыванию, но такие приказы не закроют позицию в критической ситуации.
Торговля по методу противоположного мнения
Если возможно, выходите из длинных позиций, когда большинство трейдеров покупает, и закрывайте короткие позиции, когда все стремятся продать. Такое поведение будет облегчать быстрое закрытие сделки по превосходной цене, причем проскальзывание будет благоприятным для вашей позиции. Выходы по целевой прибыли обычно осуществляются в подобных ситуациях. Некоторые выходы, основанные на волатильности, также работают по этому принципу. Например, продажа при пробое максимума — это продажа в яростно покупающий рынок! Поговорка покупайте на слухах, продавайте на новостях также рекомендует преимущества продажи, когда большинство трейдеров покупает. Конечно, не все выходы в стратегии могут использовать торговые преимущества метода противоположного мнения.
Заключение
Полная стратегия выхода координирует одновременное использование разнообразных типов выхода для достижения задач эффективного управления капиталом и фиксации прибыли. Каждый трейдер должен использовать некоторые виды катастрофических и защитных остановок управления капиталом. Также желательно использовать следящие остановки для защиты текущей прибыли, когда рынок двигается в благоприятном направлении для сделки. Выход, основанный на волатильности, полезен для закрытия позиций прежде, чем будет задействована защитная остановка — выход из рынка, все еще двигающегося в благоприятном направлении или по крайней мере не против сделки, что означает быстрый выход с меньшим проскальзыванием.
Тестирование стратегий выхода
В следующих нескольких главах описаны результаты тестов большого количества стратегий выхода. В противоположность методам входа, которые могут тестироваться по отдельности, отдельное изучение выходов не имеет смысла. Необходимо исследовать всю стратегию выхода целиком — это связано с тем, что для завершения сделки необходимо срабатывание какого- либо выхода. Если вход не сработал, можно ждать следующей возможности для входа, которая обязательно рано или поздно появится. В случае выходов длительное ожидание может подвергнуть трейдера значительному, даже неограниченному риску. Рассмотрим, например, стратегию выхода, состоящую из одной защитной остановки управления капиталом.
Что выгоднее — использовать очень широкую остановку или разместить ее как можно ближе к текущей рыночной цене? Если остановка не сработает, то качество такой торговой системы нельзя будет оценить, так как система не завершит ни одной сделки. Широкая остановка при условии движения рынка в направлении позиции может привести к удержанию позиции в течение многих лет. Очевидно, что результаты такого теста не будут иметь никого смысла. Этот пример показывает, что выходы должны тестироваться в составе целой стратегии, такой как комбинация защитной остановки и лимитного приказа.
По указанным выше причинам все тесты, приведенные в гл. 13, используют стандартную стратегию выхода (и ее модификации), которая применялась при изучении входов. В гл. 14 и 15 мы приводим результаты тестов нескольких стратегий выхода, существенно отличающихся от стандартной. В гл. 14 будут рассмотрены более эффективные защитные и следящие остановки, которые управляют рисками, не жертвуя большим количеством удачных позиций. В гл. 15 в стратегию выхода добавляются новые компоненты, к примеру сигнальные выходы. Для сравнения результатов этих стратегий необходима некая точка отсчета, в качестве которой выступает стандартная стратегия выхода.
Стандартные входы для тестирования выходов
При исследовании входов было необходимо использовать некий стандартный неизменный метод выхода. Для сравнения различных выходов мы будем использовать несколько необычный стандартный метод входа, а именно модель случайного входа. Входы будут производиться в случайные моменты времени и в случайных направлениях. Как и в предыдущих главах, мы будем торговать эквивалентом долларовой волатильности двух контрактов на S&P 500 в конце 1998 г. Во избежание чрезмерной усложненности тестов все входы будут осуществляться по цене открытия. Если вход произведен по цене открытия, то можно выходить из рынка по внутридневным ценам, не создавая путаницы при моделировании торговли.
Как и в предыдущих главах, при тестировании будут использованы стандартный портфель и тестовая платформа.
Мощность
Различия в мощности симуляторов главным образом зависят от языка программирования. Для начала рассмотрим язык, но не в аспекте скорости компилируемых и интерпретируемых языков, а в аспекте его возможностей. Можно ли изящно и обстоятельно запрограммировать самую сложную торговую идею? Как правило, примитивные языки не дают всех возможностей, необходимых для кодирования наиболее сложных торговых стратегий. К сожалению, наиболее мощные языки сложнее всего изучать. Но если человеку удалось овладеть таким языком, как C++, возможным становится практически все. Ваш текстовый процессор, программа работы с таблицами, броузер и сама операционная система, скорее всего, были исходно написаны на C++ или его предшественнике — Си. Такие языки, как C++ и Object Pascal (основа Borland Delphi), расширяемы и могут легко быть приведены в соответствие с требованиями разработки торговых систем с помощью использования библиотек и дополнительных компонентов. Языки Visual Basic и Easy Language, хотя и не обладают мощностью многоцелевых объектно- ориентированных языков вроде C++ и Object Pascal, более легки в изучении и имеют большинство необходимых возможностей. Гораздо слабее и не вполне достаточны для разработчика продвинутых систем макроязыки, встроенные в ряд популярных программ построения графиков, например MetaStock. Как правило, чем мощнее используемый язык, тем мощнее симулятор.
Вопросы оформления также влияют на мощность симулятора, особенно важна модульность и расширяемость. Симуляторы, использующие C++ или Delphi (Object Pascal) как основной язык, чрезвычайно расширяемы и модульны, поскольку таковы сами языки, спроектированные снизу вверх. Библиотеки классов позволяют определять новые типы данных и операторов. Компоненты могут обеспечивать функции в готовых блоках, например управление базами данных или построение графиков. Даже старинные библиотеки, такие как Numerical Algorithms Group Library, International Mathematics and Statistics Library и Numerical Recipes Library, могут обеспечить самые разнообразные потребности. Модули, называемые User Functions могут быть написаны на Easy Language, а функции, написанные на других языках (включая C++), могут быть вызваны, если они записаны в виде DLL (динамической библиотеки ссылок). Макроязыки, с другой стороны, не столь гибки, что сильно лимитируетих эффективность для разработки продвинутых систем. С нашей точки зрения, возможность использования модулей, написанных на другом языке, абсолютно необходима: у разных языков разные акценты, и даже при использовании мощного языка вроде C++ имеет порой смысл обратиться к модулям, созданным на другом языке, например таком, как Prolog (язык, разработанный для написания экспертных систем).
Еще одно важное свойство симуляторов, не связанное с языками программирования, — способность симулятора работать не только с индивидуальными финансовыми инструментами, но и с портфелями. Многие продукты не имеют возможности выполнять оптимизацию целых портфелей, хотя порой это достижимо при помощи дополнительных модулей. С другой стороны, хорошо организованный симулятор, как правило, позволяет моделировать торговлю портфелем различных финансовых инструментов.
Модель случайного входа
Для получения случайных входов используется генератор псевдослучайных чисел (ГПСЧ), который определяет моменты и направления открытия позиций. Этот подход использован по многим причинам. Во- первых, необходимо наличие однородной стандартной модели входа. Различные модели входа имеют свои внутренние свойства, которые могут повлиять на работу выходов. К примеру, если система точно предсказывает момент разворота рынка для продажи по максимуму и покупки по минимуму, то с этой системой можно использовать очень тесную защитную остановку, которая нисколько не ухудшит качество данной системы. Однако для большинства типичных входов применение такой остановки приведет к полному провалу системы. Поэтому следует использовать входы, свойственные плохим моделям, чтобы оценить, насколько применение данной стратегии выхода способно улучшить их работу.
Во- вторых, случайный метод обеспечит генерацию множества плохих входов, без которых любое исследование выходов было бы неполным. В конце концов суть любой стратегии выхода состоит в том, чтобы вовремя закрывать плохие позиции, не позволяя им наносить существенные удары по капиталу трейдера, и не закрывать слишком рано выгодные позиции. Это соответствует популярному мнению, которое гласит, что если убытки своевременно пресекаются, то прибыли не заставят себя долго ждать при использовании любой системы. Наши исследования признаны проверить справедливость этой аксиомы.
И наконец, данный метод генерации входов позволяет иметь достаточно большое фиксированное количество сделок. Выборка содержит разнообразные сделки — множество неудачных и немного прибыльных (благодаря случаю). В этих обстоятельствах общая эффективность системы будет зависеть исключительно от стратегии выходов.
Генерация случайных входов.
Модель случайного входа генерирует последовательность чисел (состоящую из + 1, 0 и — 1). Каждое число соответствует определенному торговому дню и приводит к открытию позиций определенного направления:
+1 — длинная позиция,
— 1 — короткая позиция,
0 — нет входа.
К примеру, модель случайного входа генерирует число — 1 для 20 октября 1997 г. Это означает, что система в этот день откроет короткую позицию.
ГПСЧ, используемый для реализации модели случайного входа, совпадает с генератором rап2, описанным в работе Пресса и др. Численные методы на языке С (Press et al. Numerical Recipes in С, 1992). Период данного ГПСЧ превышает 2Х1018, что гораздо лучше большинства стандартных генераторов случайных чисел, являющихся частью языков программирования. Каждому торговому дню ставится в соответствие случайное число, находящееся в интервале от 0 до 1. Если это число меньше, чем 0,025, то открывается короткая позиция. Вероятность открытия короткой позиции составляет 0,025, т.е. сигнал к продаже в среднем возникает каждые 40 дней. Длинная позиция открывается, если случайное число превышает 0,975. Частота открытия длинных позиций — один раз в 40 дней. Иными словами, торговые сигналы генерируются каждые 20 дней. Цены лимитного приказа и стоп- приказа вычисляются стандартным образом.
Стандартная стратегия выхода
Стандартная стратегия выхода (ССВ) использовалась при тестировании всех методов входа. В основном она применяет защитную остановку, фиксацию прибыли по лимитному приказу и рыночный приказ для выхода после определенного количества времени. Исследование ССВ обеспечивает базис, при сравнении с которым могут быть оценены более сложные стратегии выхода (изучаемые в следующих двух главах). ССВ исследуется с помощью случайной техники входа, обсуждаемой во введении к части III.
Что такое стандартная стратегия выхода?
Хотя стандартная стратегия выхода является простейшей и минимальной, она включает элементы, которые являются обязательными для любой стратегии выхода: фиксацию прибыли, контроль риска и ограничение времени нахождения в рынке. Аспект фиксации прибыли в ССВ реализован посредством лимитного приказа для прибыльных позиций, который закрывает сделку, когда она становится достаточно прибыльной. Аспект контроля над риском в ССВ выполняется посредством простой защитной остановки, которая закрывает убыточную позицию с ограниченным убытком. Ограничение времени в рынке достигнуто рыночным приказом, генерируемым после прохождения некоторого количества времени. Он закрывает сделку, которая не достигла ни защитной остановки, ни целевой прибыли.
Характеристики стандартного выхода
Стандартный выход является простейшим, используемым при тестировании различных стратегий входа. Совсем не обязательно, что это очень хороший выход. В отличие от оптимальной стратегии выхода стандартный выход не способен находиться в продолжительных тенденциях до их завершения. Кроме того, незафиксированная прибыль может превратиться в убыток. Причина состоит в том, что ССВ не способна защитить какую- либо часть текущей прибыли открытой позиции. Почти очевидно, что хорошая стратегия выхода должна иметь метод защиты текущей прибыли. Кто же хочет видеть, как существенная прибыль быстро исчезает, по скольку рынок полностью меняет курс? Установленный временной лимит также вносит вклад в неспособность ССВ держаться в продолжительных движениях, но это было бы желательно при испытании стратегий входа. Наконец, ССВ не умеет выходить из вялотекущих сделок по лучшей возможной цене, как это можно сделать, например, с помощью сжимающейся целевой прибыли.
Положительным моментом является то, что ССВ имеет основы, необходимые для любой стратегии выхода. При помощи защитной остановки
ССВ имеет средства выхода из плохой сделки с ограниченным убытком.
Лимитный приказ или целевая прибыль позволяет ССВ закрывать сделки, которые стали в значительной степени прибыльными. Используя выход по ограничению времени, ССВ может выйти из застойной сделки. Эти три особенности делают стандартный выход определенно лучшим, чем случайный выход или простой выход после фиксированного числа дней.
Цель тестирования ССВ
Главная причина тестирования ССВ состоит в том, чтобы сделать возможным сравнение этой и других тестируемых стратегий выхода. ССВ будет служить хорошей отправной точкой в исследованиях выходов. Кроме того, ССВ будет протестирована со случайным входом, обеспечивая базис для сравнения с различными реальными входами (протестированными в части II). Поэтому тесты в этой главе обеспечивают .систему координат для предыдущих и последующих глав. Дополнительная причина проведения данных тестов — определение того, насколько исключительное использование цен закрытия при выполнении ССВ ухудшило ее работу. В приведенных ниже тестах ограничение ценами закрытия будет снято, что должно улучшить общую эффективность ССВ.
Будут проведены четыре теста. Первые три теста исследуют ССВ в той форме, которая использовалась в предыдущих главах: т.е. будут использоваться входы по цене открытия, по стоп- и лимитному приказу, а выходы будут осуществляться только по ценам закрытия. Четвертый тест исследует разновидность ССВ с возможностью выходов по стоп- и лимитным приказам внутри дня; вход в этом тесте будет производиться только по цене открытия, для того чтобы избежать упомянутой в предыдущей главе путаницы.
Полное руководство по Citrix MetaFrame XPТесты исходной ССВ
Для проверки исходной ССВ используется метод случайного входа (описанный во введении к части III). В качестве выходов используются обычные стандартные выходы (только по цене закрытия). ССВ содержит следующие правила: Если на закрытии рынок находится ниже цены входа на величину, равную произведению некоторого множителя (параметр защитной остановки) на размер среднего истинного диапазона последних 50 дней, тогда срабатывает защитная остановка. Если цена закрытия больше цены входа на величину, равную произведению некоторого множителя (параметр целевой прибыли) на размер среднего истинного диапазона, тогда срабатывает лимитный приказ, фиксирующий целевую прибыль.
Эти правила сформулированы для длинных позиций с выходом по цене закрытия. Для коротких позиций пороги размещаются наоборот, т.е. защитная остановка помещается выше цены входа, а лимитный приказ — ниже. Если после 10 дней не достигнута ни защитная остановка, ни целевая прибыль, то сделку останавливают рыночным приказом по цене закрытия. Приведенный ниже код выполняет данные правила выхода и случайные входы. Тестируются три типа входных приказов (по цене открытия, по лимитному и стоп- приказу). Используется стандартный портфель и стандартная тестовая программная платформа.
static void Model (float *parms, float *dt, float *opn, float *hi, float *lo, float *cls, float *vol, float *oi, float *dlrv, int nb, TRDSIM &ts, float *eqcls) {
// Определение модели случайного входа и стандартной стратегии выхода
// File = xl9mod01.c
// parms — набор [1..MAXPRM] параметров
// dt - набор [l..nb] дат в формате ГГММДД
// орn — набор [1. .nbl цен открытия
// hi — набор [1..nb] максимальных цен
// 1о - набор [1. .nb] минимальных цен
// cls - набор [l..nb] цен закрытия
// vol — набор [1..nb] значений объема
// oi - набор [l..nb] значений открытого интереса
// dlrv — набор [1..nb] значений среднего долларовой волатильности
/ / nb — количество дней в наборе данных
// ts — ссылка на класс торгового симулятора
// eqcls — набор [1..nb] уровней капитала по ценам закрытия
//объявляем локальные переменные
static int rc, cb, neontracts, maxhold, ordertype, signal;
static float mmstp, ptlim, stpprice, limprice, tmp;
static float exitatr[MAXBAR+1], rnum;
static int ranseed;
static long iseed;
// копируем параметры в локальные переменные для более удобного обращения
ranseed = parms[8]; // инициируем генератор случайных чисел
ordertype = parms[9]; // вход: 1=по цене открытия, 2=по лимитному
// приказу, 3 =по стоп - приказу
maxhold = 10; // максимальный период удержания позиции
ptlim = 4; // целевая прибыль в единицах волатильности
mmstp = 1; // защитная остановка в единицах волатильности
// делаем вычисления по всем данным
AvgTrueRangeS{exitatr,hi,lo,cls,50,nb); // средний истинный диапазон для
// выхода
// запускаем генератор случайных чисел
// ... отдельный запуск для каждого инструмента
iseed = - {ranseed + 10 * ts.model());
rnum = ran2 (&iseed) ;
// проходим через дни, чтобы смоделировать реальную торговлю
for(cb = 1; cb <= nb; cb++} {
//не открываем позиции до начала периода выборки
// ...то же самое, что и установка MaxBarsBack в TradeStation
if(dt[cb] < IS_DATE) { eqcls[cb] = 0.0; continue; }
// выполняем все ожидающие приказы и сохраняем капитал по цене закрытия
rc = ts.update{opn [cb] , hi [cb] , lo [cb], cls [cb] , cb) ;
if(rc != 0) nrerror("Trade buffer overflow");
eqcls[cb] = ts.currentequity(EQ_CLOSETOTAL);
// подсчитываем количество контрактов для сделки
// ... мы хотим торговать эквивалентом долларовой волатильности
// ... 2 новых контрактов на S&P- 500 от 12/31/98
ncontracts = RoundToInteger(5673.0 / dlrv[cb]};
if{ncontracts < 1) ncontracts = 1;
// избегаем установки приказов на день с ограниченной торговлей
if{hi[cb+1] == lo [cb+1]) continue;
// генерировать входные сигналы, цены стоп- и лимитных приказов
signal = 0;
rnum = ran2(&iseed); // случайное число 0...1
if(rnum < 0.025) signal = - 1; // случайный короткий вход
else if(rnum > 0.975) signal = 1; // случайный длинный вход
limprice = 0.5 * (hi[cb] + lo [cb]);
stpprice = cls[cb] + 0.5 * signal * exitatr[cb];
// входим в сделку, используя определенный тип приказа
if (ts.position{) <= 0 && signal ==1) {
switch(ordertype) { // выбираем желаемый тип приказа
case 1: ts.buyopen('1', ncontracts); break;
case 2: ts.buylimit{'2', limprice, ncontracts}; break;
case 3: ts.buystop('3', stpprice, ncont}racts); break;
default: nrerror("Invalid buy order selected");
}
}
else if (ts.position() >= 0 && signal == - 1) {
switch(ordertype) { //выбираем желаемый тип приказа
case 1: ts.sellopen{'4', ncontracts); break;
case 2: ts.selllimit('5', limprice, ncontracts); break;
case 3: ts.sellstop('6', stpprice, ncontracts); break;
default: nrerror("Invalid sell order selected"};
}
}
// симулятор использует стандартную стратегию выхода
tmp = exitatr[cb];
ts.stdexitcls {'X' , ptlim* tmp, mmstp* tmp, maxhold) ;
} // обрабатывать следующий день
}
Тестирование модифицированной ССВ
Следующий тест использует модифицированную стандартную стратегию выходов (МССВ). Системе придан больший реализм за счет того, что защитная остановка управления капиталом и лимит целевой прибыли срабатывают не только по цене закрытия, но и по внутридневным ценам.
Чтобы избежать неоднозначных ситуаций (срабатывания нескольких приказов в один торговый день), все входы будут производиться только по цене открытия. Таким образом, можно экспериментировать с широким разнообразием стратегий выхода. В остальном правила выхода идентичны использованным ранее и сводятся к следующему: после входа устанавливаются выходная защитная остановка выше (для коротких) или ниже (для длинных позиций) цены входа и выходной лимитный приказ выше (для длинных) или ниже (для коротких позиций) цены входа. Остановка смещена от цены входа на величину произведения некоторого множителя (параметр остановки по управлению капиталом) и размера среднего истинного диапазона. Лимитный приказ смещен от цены входа на величину произведения другого множителя (параметра целевой прибыли) и среднего истинного диапазона. Система производит выход по цене закрытия по истечении 10 дней, если ни защитная остановка, ни целевая прибыль не закрывают сделку ранее. Используется средний истинный диапазон с периодом 50 баров. Ниже приведен код, обеспечивающий случайные входы и модифицированные стандартные выходы.
static void Model (float *parms/ float *dt, float *opn, float *hi, float *lo, float *cls, float *vol, float *oi, float *dlrv, int nb, TRDSIM &ts, float *eqcls) {
// Выполняет случайные входы с модифицированными выходами
// File = x19mod02.c
// parms — набор [1..MAXPRM] параметров
// dt — набор [l..nb] дат в формате ГГММДД
// орn — набор [1..nb] цен открытия
// hi — набор [1..nb] максимальных цен
// 1о — набор [1..nb] минимальных цен
// cls — набор [1..nb] цен закрытия
// vol — набор [1..nb] значений объема
// oi — набор [1..nb] значений открытого интереса
// dlrv — набор [1..nb] средних значений долларовой волатильности
// nb — количество баров в наборе данных
// ts — ссылка на класс торгового симулятора
// eqcls — набор [1..nb] значений капитала по ценам закрытия
// объявляем локальные переменные
static int rc, cb, ncontracts, maxhold, signal, ranseed;
static float mmstp, ptlim, limprice, stpprice;
static int entryposted, entrybar;
static float exitatr[MAXBAR+1] , rnum, entryprice;
static long iseed;
// копируем параметры в локальные переменные для удобного обращения
ranseed = parms[8] ; // используется для генерации случайной
// последовательности
maxhold = 10; // период максимального удержания позиции
ptlim =4.0; // целевая прибыль в единицах среднего истинного
// диапазона
mmstp =1.0; // защитная остановка в единицах среднего
// истинного диапазона
// выполняем вычисления для всех данных
AvgTrueRangeS(exitatr,hi,lo,cls,50,nb); // средний истинный диапазон для
// выхода
// запускаем генератор случайных чисел
// ... используем разные случайные последовательности для каждого рынка
// ... ts.model() возвращает индекс рынка (SP=1, YX=2, ...)
iseed = - (ranseed + 10 * ts.model());
rnum = ran2 (Stiseed) ;
// проходим через дни, чтобы смоделировать реальную торговлю
for(cb = 1; cb <= nb; cb++) (
//не открываем позиций до начала периода выборки
// ... то же самое, что установка MaxBarsBack в TradeStation
if(dt[cb] < IS_DATE) { eqcls[cb] = 0.0; continue; )
// выполняем ожидающие приказы и считаем кумулятивный капитал
rc = ts.update(opn[cb], hi[cb], lo[cb], cls[cb], cb) ;
if{rc != 0) nrerror{"Trade buffer overflow");
eqcls[cb] = ts.currentequity(EQ_CLOSETOTAL);
// считаем количество контрактов для позиции
// ... мы хотим торговать эквивалентом долларовой волатильности
// ... 2 новых контрактов на S&P- 500 от 12/31/98
ncontracts = RoundToInteger(5673.О / dlrv[cb]);
if (ncontracts < 1) ncontracts = 1;
// избегаем устанавливать приказы на дни с ограниченной торговлей
if(hi[cb+l] == lo[cb+l]) continue;
// генерируем "стандартные" случайные входные сигналы
signal = 0;
rnum = ran2(&iseed); // случайное число между 0 и 1
if(rnum < 0.025) signal = - 1; // случайный короткий вход
else if(rnum > 0.975) signal = 1; // случайный длинный вход
// входить в сделки по цене открытия
entryposted = 0;
if{ts.position() <= 0 && signal =- 1} {
ts.buyopen('1' , ncontracts);
entryposted = 1;
entryprice = opn[cb+l];
entrybar = cb + 1;
}
else if (ts.position)) >= 0 && signal == - 1) {
ts.sellopen('2', ncontracts);
entryposted = - 1;
entryprice = opn[cb+l];
entrybar = cb + 1;
}
// выходить из сделок, используя модифицированный стандартный выход
if(entryposted > 0) (
// инициализация и выходы для длинных позиций на каждый день
limprice = entryprice + ptlim * exitatr[cb];
stpprice - entryprice - mmstp * exitatr[cb];
ts.exitlonglimit('A', limprice);
ts.exitlongstop('B', stpprice);
]
else if(entryposted < 0) {
// инициализация и выходы для коротких позиций на каждый день
limprice = entryprice - ptlim * exitatr[cb];
stpprice = entryprice + mmstp * exitatr[cb];
ts.exitshortlimit('C' , limprice) ;
ts.exitshortstop('D' , stpprice);
}
else {
// выходы после дня входа
if(ts.position() > 0) ( // длинные позиции
ts.exitlonglimit{'F' , limprice) ;
ts.exitlongstop('G' , stpprice);
if(cb- entrybar >= maxhold) ts.exitlongclose('E')
}
else if (ts.position)) < 0) { // короткие позиции
ts.exitshortlimit{'I' , limprice) ;
ts.exitshortstop('J' , stpprice) ;
if(cb- entrybar >= maxhold} ts.exitshortclose{'H');
}
}
)// обрабатываем следующий день
}
Это код идентичен предыдущему за исключением изменений в стратегии выхода. Система входит на рынок по случайному сигналу, как описывалось ранее, но покупка и продажа производятся только по цене открытия. Кроме того, сохраняется информация о входе, т.е. записывается, отдавался ли приказ на вход (длинная, короткая позиция или никакой) в данном торговом дне (entryposted); по какой цене (entryprice) производился вход, если он был, и в какой день имел место вход (entrybar). Эти данные необходимы для расчета выходов, которые производятся после входа. Если на следующий день отдается приказ войти в рынок (т.е. занять длинную либо короткую позицию по цене открытия следующего дня), то для этого дня также рассчитываются целевая прибыль и защитная остановка. Для длинных позиций защитная остановка устанавливается на некотором уровне (цена входа минус произведение среднего истинного диапазона и некоторого параметра), а лимитный приказ целевой прибыли — на уровне цены входа плюс произведение среднего истинного диапазона и другого параметра. Если в данный день отдается приказ к открытию короткой позиции по цене открытия следующего дня, то также размещаются приказы закрытия данной короткой позиции (лимитный приказ целевой прибыли или защитная остановка). Для длинных позиций расчет производится подобным же образом, но в обратном направлении. Если данный день не используется для входа, то проводится проверка для определения наличия существующей позиции после закрытия дня. Если позиция существует, то размещаются два (а возможно, три) приказа: защитная остановка и целевая прибыль, вычисленные в день открытия данной позиции, и, если позиция открыта более чем maxhold дней, отдается приказ на выход по цене закрытия.
Заключение
Результаты однозначно показывают, что многие из стратегий входа, испытанных в предыдущих главах, были ничем не лучше случайных входов, а порой и хуже. Кроме того, показано, что стандартная стратегия выхода далеко не оптимальна. Модифицированная стратегия, всего- навсего позволяющая выходить из рынка по внутридневным ценам (а не только по ценам закрытия), работала гораздо лучше и даже смогла обеспечить некоторую прибыль в длинных позициях. Стратегия МССВ остается минималистской, но, тем не менее, показывает, что именно хорошая стратегия выходов является ключом к успешной торговле. Если данные этого и предыдущих исследований верны, то можно найти стратегию выходов, способную реально получать значительную прибыль на основе случайных входов, по крайней мере на некоторых рынках. Такая стратегия подтвердит сказанное многими великими трейдерами: опытный трейдер, умело управляющий капиталом, может получить прибыль даже с плохой системой, а новичок, не имеющий опыта управления капиталом, потеряет деньги даже при использовании великолепной системы. Под системой здесь имеется в виду модель входа. Во всех последующих тестах в этой книге будет использоваться модифицированная стратегия выхода вместо оригинальной ССВ.
Надежность симуляторов
Разные торговые симуляторы имеют разную степень надежности и достоверности. Не существует компьютерных программ, полностью гарантированных от ошибок, даже если ее производитель — знаменитая фирма мирового уровня. Кроме того, проблемы возникают при принятии решений в состоянии неустойчивого равновесия — когда в пределах одного и того же бара возникают условия для исполнения различных приказов. Некоторые из этих состояний, например так называемый прыгающий тик (Ruggiero, 1998), могут привести к тому, что система будет казаться лучшей на свете, в то время, как, по сути, она сможет разорить любого. Считается предпочтительным, чтобы симулятор выбирал худший вариант развития событий в неоднозначных ситуациях; таким образом, при начале реальной торговли вероятность приятных сюрпризов будет выше, чем неприятных. Все это сводится к тому, что при выборе симулятора следует выбирать хорошо проверенный, с историей надежной работы и четким описанием того, как программа трактует неоднозначные состояния. Кроме того, обязательно изучите недостатки симулятора и способы их обходить.
Что мы узнали?
Хорошая стратегия выходов чрезвычайно важна. Она может обеспечить прибыль даже при использовании случайных входов! Представьте, чего можно с ней добиться, применяя продвинутую систему входов, основанную на реальных рыночных явлениях.
Даже небольшие изменения стратегии выходов могут привести к большой разнице в результатах, как и было показано выше.
При сочетании с неоптимальной ССВ многие из стратегий входа, описанных в этой книге, производят впечатление работающих не лучше, чем случайные входы, а некоторые гораздо хуже! Конечно, некоторые модели все же работали гораздо лучше, чем модель на основе случайного входа.
Улучшения стандартной системы выхода
Продолжая наши попытки улучшить стандартную стратегию до разработки хорошего выхода, исследуем ряд модификаций. В предыдущей главе было показано, что стратегия выхода может оказать значительное влияние на общее функционирование торговой системы. Для того чтобы приблизиться к уровню стратегий выхода, рассматриваемых в этой и последующих главах, исходная стандартная стратегия выхода (ССВ) была модифицирована до состояния МССВ: было отменено ограничение на выход только по цене закрытия. Поскольку входы системы ограничены входами по цене открытия, ограничивать выходы становится необязательным. В предыдущих главах входы производились с помощью различных приказов, и ограничение выходов было необходимо во избежание неоднозначных результатов. Стратегия МССВ представляет минимальную базовую конфигурацию, обладающую некоторой устойчивостью и сравнимую с исходной. В этой главе будут рассматриваться различные модификации МССВ, предпринимаемые в поисках лучшей торговой стратегии.
Назначение тестов
При создании исходной ССВ (а также при последующей модификации с использованием лимитных приказов целевой прибыли и защитных остановок внутри дня) расположение защитной остановки и целевой прибыли было произвольно и жестко установлено. Для длинных входов защитная установка управления капиталом располагалась на уровне одного среднего истинного диапазона ниже цены входа, а целевая прибыль — на уровне четырех средних истинных диапазонов выше цены входа. Для коротких входов расположение было обратным. Мы пытались разместить защитную установку достаточно близко к цене входа для максимально быстрого прекращения убыточных сделок, а целевую прибыль — достаточно далеко, чтобы не терять прибыль благоприятных сделок. Первый из нижеприведенных тестов исследует влияние защитной остановки и целевой прибыли при подстройке этих произвольно выбранных значений.
Второй набор тестов изучает возможность замены фиксированной защитной установки в МССВ на подвижную. Минимальная конфигурация МССВ не обладает привлекательными чертами — в частности, для трейдера желательно получить хотя бы минимальную прибыль со сделки,
а не ждать, пока она станет убыточной. Такая фиксация прибыли может быть обеспечена следящей защитной остановкой: вместо размещения защитной остановки на некотором расстоянии от цены входа остановка перемещается вместе с ценой в направлении открытой позиции, когда сделка становится выгодной. Когда цены движутся в благоприятном направлении, вместе с ними движется и уровень защитной остановки, защищая часть потенциальной прибыли. Если рынок разворачивается, то сделка будет закрыта не с убытком (как было бы при фиксированной защитной остановке), а с прибылью, если следящая защитная остановка вошла в прибыльную ценовую область. Существует ряд стратегий размещения и перемещения уровня защитной остановки, предназначенных для избежания убыточного закрытия прибыльных сделок и фиксации максимальной части нереализованных прибылей, которые и будут исследоваться во втором наборе тестов.
В стратегиях ССВ и МССВ целевая прибыль реализовывалась в виде лимитного приказа на выход, размещенного на фиксированном уровне.
В третьем наборе тестов фиксированный уровень целевой прибыли, подобно защитной остановке ранее, был заменен на нечто более динамическое. Было бы желательно сделать уровень целевой прибыли движущимся в сторону текущей цены, особенно в случае затянувшихся сделок на летаргических рынках. Это позволило бы выхолить из сделки по хорошей цене, возможно, даже с некоторой прибылью, и при отсутствии сильного благоприятного движения. Выход из рынка на случайных шумовых пиках более выгоден, чем простой выход по истечении некоторого времени или ожидание срабатывания защитной остановки. В то же время желательно не потерять потенциальный доход благодаря неоптимальному уровню целевой прибыли. Слишком близко расположенная целевая прибыль может обеспечить высокий процент прибыльных сделок, но значительно снизить прибыль каждой из них, что может сделать стратегию в целом убыточной. Было бы желательно применять мобильную целевую прибыль, т.е. в начале сделок или при благоприятном устойчивом движении рынка размещать ее подальше от рыночной цены, не соглашаясь на минимальную прибыль. Если же сделка затягивается при отсутствии большой текущей прибыли или поведение рынка неблагоприятно, то целевая прибыль может смещаться к текущей цене, позволяя закрыть сделку с максимально возможной прибылью до разворота рынка. Ниже будут исследоваться различные модификации размещения целевой прибыли.
Кроме того, будет испытан в различных модификациях выход по ограничению времени, исходя из того соображения, что при динамической
защитной остановке и целевой прибыли ограничение времени не столь необходимо. Застойные позиции будут закрываться максимально быстро другими способами, но будут держаться как можно дольше при благоприятном движении рынка. Суть в том, чтобы не фиксировать прибыль только из- за того, что истек чрезмерно короткий лимит времени.
Тестирование модели с фиксированной защитной остановкой и целевой прибылью
В стратегии МССВ величины защитной остановки и целевой прибыли были фиксированы на достаточно произвольном и, возможно, неоптимальном уровне. Что произойдет, если протестировать ряд значений этих параметров в поисках оптимального сочетания?
В данном тесте положение защитной установки управления капиталом прогоняется от 0,5 до 3,5 с шагом 0,5. Целевая прибыль прогоняется от 0,5 до 5 с шагом 0,5. Под защитной остановкой и целевой прибылью понимается произведение указанного числа на средний истинный диапазон определенного количества последних торговых дней.
float *lo, float *cls, float *vol, float *oi, float *dlrv, int nb, TRDSIM &ts, float *eqcls) {
// Выполняет случайные входы с вариациями
// модифицированного стандартного выхода. Эта модель тестирует
// МСС, используя вариации в параметрах.
// File = x20mod01.c
// parms — набор [1..MAXPRM] параметров
// dt — набор [l..nb] дат в формате ГГММДД
// орn - набор [l..nb] цен открытия
// hi - набор [l..nb] максимальных цен
// 1о — набор [ 1..nb] минимальных цен
// cls - набор [l..nb] цен закрытия
// vol — набор [1..nb] значений объема
// oi — набор [1..nb] значений открытого интереса
// dlrv — набор [1..nb] средних долларовой волатильности
// nb — количество дней в наборе данных
// ts — ссылка на класс торгового симулятора
// eqcls - набор [l..nb] уровней капитала по ценам закрытия
// объявляем локальные переменные
static int rc, cb, neontracts, maxhold, signal, ranseed;
static float mmstp, ptlim, lirnprice, stpprice;
static int entryposted, entrybar;
static float exitatr[MAXBAR+1] , rnum, entryprice;
static long iseed;
// копируем параметры в локальные переменные для удобного обращения
ptlim = parms[1]; // целевая прибыль в единицах среднего истинного
// диапазона
mmstp = parms[2]; // защитная остановка в единицах среднего истинного
// диапазона
maxhold = parms[3]; // период максимального удержания позиции
ranseed = parms[8]; // используется для инициализации случайной
// последовательности
// выполняем вычисления по всему объему данных
AvgTrueRangeS(exitatr,hi,lo,cls,50,nb); // средний истинный диапазон для
// выхода
// очищаем генератор случайных чисел
// ... используем различную случайную последовательность для каждого
//инструмента
// ... ts.model() возвращает индекс рынка (SP=1, YX- 2, ...)
iseed = - (ranseed + 10 * ts.model());
rnum = ran2(&iseed);
// проходим через дни, чтобы смоделировать реальную торговлю
for(cb = 1; cb <= nb; cb++) (
// не открываем позиций до начала периода выборки
// ... то же самое, что установка MaxBarsBack в TradeStation
if(dt[cb] < IS_DATE) { eqcls[cb] = 0.0; continue; }
// выполняем ожидающие приказы и считаем кумулятивный капитал
rc = ts.update(opn[cb], hi[cb], lo[cb], cls[cb], cb) ;
if(rc != 0) nrerror("Trade buffer overflow");
eqcls[cb] = ts.currentequity(EQ_CLOSETOTAL);
// считаем количество контрактов для позиции
// ... мы хотим торговать эквивалентом долларовой волатильности
// ... 2 новых контрактов на S&P- 500 от 12/31/98
ncontracts = RoundToInteger(5673.0 / dlrv[cb]);
if(ncontracts < 1) ncontracts - 1;
// избегаем устанавливать приказы на дни с ограниченной торговлей
if(hi[cb+l] == lo[cb+l]) continue;
// генерировать "стандартные" случайные сигналы входа
signal = 0;
rnurn = ran2(&iseed) ;
if(rnum < 0.025) signal = - 1; // случайный короткий вход
else if (rnum > 0.975) signal = 1; // случайный длинный вход
// входим в сделки по цене открытия
entryposted = 0;
if(ts.position!) <= 0 && signal == 1) (
ts.buyopen('1' , ncontracts};
entryposted = 1;
entryprice = opn[cb+l];
entrybar = cb + 1;
}
else if(ts.position)) >= 0 && signal == - 1) {
ts.sellopen('2' , ncontracts) ;
entryposted = - 1;
entryprice = opn[cb+l];
entrybar = cb + 1
}
// выходим из сделок, используя модифицированный стандартный выход
if(entryposted > 0) {
// инициализация и выходы для длинных позиций в день входа
limprice = entryprice + ptlim * exitatr[cb];
stpprice = entryprice - mmstp * exitatr[cb];
ts.exitlonglimit{'A' , limprice);
ts.exitlongstop('B', stpprice);
}
else if(entryposted < 0) {
// инициализация и выходы для коротких позиций в день входа
limprice = entryprice - ptlim * exitatr[cb];
stpprice = entryprice + mmstp * exitatr[cb];
ts.exitshortlimit('С' , limprice);
ts.exitshortstop('D' , stpprice);
}
else {
// выходы после дня входа
if (ts- position{) > 0) { // длинные позиции
ts.exitlonglimit('F' , limprice);
ts.exitlongstop('G', stpprice);
if(cb- entrybar >= maxhold) ts.exitlongclose('E');
}
else if(ts.position() < 0) ( // короткие позиции
ts.exitshortlimit('I' , limprice);
ts.exitshortstop('J' , stpprice);
if(cb- entrybar >= maxhold) ts.exitshortclose('H') ;
}
}
} // обрабатываем следующий день
)
В коде использован стандартный случайный вход по цене открытия и модифицированный стандартный выход. Правила выхода следующие: лимитный приказ на выход размещается на уровне некоторого количества средних истинных диапазонов выше (для длинных) или ниже (для коротких позиций) цены входа. Данное количество доверительных интервалов определяется параметром ptlim. Кроме лимитного приказа целевой прибыли, размещается защитная остановка на уровне некоторого количества средних доверительных интервалов ниже (для длинных) или выше (для коротких позиций) цены входа. Данное количество доверительных интервалов определяется параметром mmstp. Максимальное время удержания позиции определяется параметром maxhold. Если сделки не были закрыты ранее по достижении целевой прибыли или защитной остановки, то они закроются по истечении maxhold дней (в этом тесте, как и во всех предшествовавших, фиксированное значение maxhold равно 10).
В табл. 14- 1 приведены годовые соотношения риска/прибыли (Р/ПРИБ), процент прибыльных сделок (ПРИБ%) и средняя прибыль или убыток со сделки ($СДЕЛ) для каждой из комбинаций значений лимита и защитной остановки. В столбце справа приведены средние значения СРЕД для каждого из значений лимита целевой прибыли, в нижней строке — средние значения СРЕД для каждого из значений защитной остановки.
Из полученных результатов можно сделать целый ряд выводов. Чем ближе целевая прибыль к цене входа, тем выше процент прибыльных сделок. Близко расположенная целевая прибыль с большей вероятностью достигается и закрывает позицию с некоторой прибылью. При этом повышенный процент прибыльных сделок недостаточен для преодоления отрицательного эффекта потери потенциальной прибыли. Более удаленные целевые прибыли работали лучше, и в большинстве случаев оптимальное расположение целевой прибыли составило от 1 до 2 средних истинных диапазонов от цены входа. При удалении защитных остановок от цены входа процент прибыльных сделок возрастал, но другие показатели ухудшались, при приближении — процент прибыльных сделок падал вместе с другими показателями.
Наилучшая общая эффективность по показателям годового соотношения риска/прибыли и средней прибыли сделки была достигнута при целевой прибыли 4,5 и защитной остановке 1,5. При удалении от оптимальных значений возрастало отношение риск/прибыль, равно как и средний убыток в сделке. Между размещением целевой прибыли и защитной установки не было особо выраженной связи. Значения, оптимальные для одного параметра, при изменении другого менялись незначительно. Почти так же хорошо работало сочетание целевой прибыли 1,5 и защитной остановки 4 — была получена несколько большая средняя прибыль в сделке и несколько худшее соотношение риска/прибыли. Интересно, что произвольно заданные значения оказались весьма близкими к оптимальным (занимая соседние ячейки в табл. 14- 1). Впрочем, оптимальные значения обеспечили на 6% больше прибыльных сделок, чем произвольно заданные целевая прибыль 4 и защитная остановка 1.
Для оптимальных параметров процент прибыльных сделок составил 39%. При поиске максимального значения обнаружилось, что параметр целевой прибыли 0,5 обеспечивает 69% прибыльных сделок, но со значительно худшими показателями риска/прибыли и средней прибыли со сделки. Это однозначно показывает важность удержания потенциально прибыльных позиций.
Ни одна из комбинаций не принесла прибыли — чего и следовало ожидать от минималистской стратегии выходов со случайными входами. Впрочем, полученные результаты при различных сочетаниях параметров вполне пригодны для сравнения.
Заключение
Потенциальной прибылью нельзя жертвовать даже во имя достижения большого процента выгодных сделок, поскольку в конечном счете это приведет к худшей результативности торговой системы. Кроме того, видимо, существует оптимальный уровень расположения защитной остановки — слишком удаленная остановка повышает процент прибыльных сделок, но одновременно повышает общие убытки. Слишком близкая остановка уменьшает убытки с каждой сделки, но сильно снижает количество прибыльных сделок в целом, опять- таки ухудшая общий результат. Оптимальные значения обеспечивают умеренный процент прибыльных сделок и высокую эффективность. В данном случае оптимальное расположение защитной остановки было на уровне полутора средних истинных диапазонов от цены входа. С другими системами входа оптимальное расположение может быть гораздо более близким.
Тестирование динамических защитных остановок
В этой группе тестов мы заменим фиксированную защитную остановку МССВ на динамическую, предположительно более эффективную. Целью является фиксация основной части потенциальной прибыли, избегая при этом превращения потенциально выгодных сделок в убыточные, как это может иметь место в случае слишком близко расположенной фиксированной остановки.
Существует много способов перемещать защитную остановку так, чтобы ее уровень следовал за рынком, фиксируя часть возникающей в течение сделки прибыли. Один из популярных методов состоит в размещении остановки на уровне минимального минимума за несколько предыдущих дней (для длинных позиций). Затем остановка может перемещаться вверх (но не вниз). Для коротких позиций защитная остановка размещается на уровне максимального максимума за несколько предыдущих дней и может двигаться только вниз, но не вверх. Этот простой метод испытывается в первом тесте.
Второй тест динамической защитной остановки похож на методику подгонки фиксированной защитной остановки в МССВ. Уровень смещается вверх (для длинных позиций) или вниз (для коротких позиций) от текущей цены на некоторое количество средних истинных диапазонов. В отличие от фиксированной защитной остановки, использованной в МССВ, в данном случае защитная остановка перемещается в зависимости от текущей рыночной цены. Смещение может происходить только в одну сторону — вверх для длинных позиций, вниз для коротких. Целью является поддержание одинакового статистического расстояния между наилучшей ценой, достигнутой во время удержания позиции, и защитной остановкой. Защитная остановка для длинных позиций рассчитывается следующим образом: (1) Из цены входа вычитается параметр mmstp, умноженный на средний истинный диапазон. Результат будет уровнем защитной остановки для следующего дня. (2) На следующей день из текущей цены вычитается другой параметр stpa, умноженный на средний истинный диапазон. (3) Если цена защитной остановки, полученная на шаге 2, выше ценового уровня текущей защитной остановки, то текущее значение защитной остановки заменяется вычисленным. (4) Стадии 2 и 3 повторяются для каждого последующего дня. При расчете защитной остановки для короткой позиции произведение среднего истинного диапазона на параметр (mmstp или stpa.} прибавляется к рыночной цене, и уровень защитной остановки опускается вниз.
В третьем тесте использован более сложный подход. Для длинных позиций, как обычно, защитная остановка задается на уровне некоторого количества средних истинных диапазонов ниже цены входа в рынок. Затем остановка смещается вверх на величину, зависящую от того, насколько текущая цена выше текущего уровня защитной остановки. Для коротких позиций уровень остановки задается выше цены входа и опускается в зависимости от того, насколько текущая цена ниже его. В принципе этот метод основывается на варианте смещенного экспоненциального скользящего среднего (ЭСС), за тем исключением, что величина скользящего среднего инициализируется отдельным условием при входе в сделку и может изменяться только в одном направлении (так как защитная остановка может двигаться только в направлении рыночной цены). Защитная остановка для длинных позиций рассчитывается нижеследующим образом: (I) Начальное значение в день входа в рынок задается вычитанием из цены входа произведения параметра mmstp и среднего истинного диапазона. (2) На следующий день от максимальной цены отнимается произведение параметра stpa и среднего истинного диапазона; затем вычитается текущее значение защитной остановки и результат умножается на параметр stpb. (3) Если результат шага 2 больше нуля, добавляем его к текущему значению защитной остановки, если нет, то уровень не изменяется.
(4) Повторяем шаги 2 и 3 для каждого последующего дня. При вычислении защитной остановки для коротких позиций произведения среднего истинного диапазона на параметры прибавляются к рыночной цене. К уровню защитной остановки прибавляются только отрицательные поправки.
static void Model (float *parms, float *dt, float *opn, float *hi, float *lo, float *cls, float *vol, float *oi, float *dlrv, int nb, TRDSIM &ts, float *eqcls) {
// Выполняет тесты случайных входов для стратегии выхода
// с "динамическими" защитными остановками.
// File = x20mod02.c
// parms — набор [1..MAXPRM] параметров
// dt - набор [l..nb] дат в формате ГГММДД
// орn — набор [1..nb] цен открытия
// hi — набор [1..nb] максимальных цен
// 1о — набор [1..nb] минимальныхцен
// cls — набор [1..nb] цен закрытия
// vol — набор [1..nb] значений объема
// oi — набор [1..nb] значений открытого интереса
// dlrv — набор [1..nb] средних долларовой волатильности
/ / nb — количество дней в наборе данных
/ / ts — ссылка на класс торгового симулятора
// eqcls — набор [1..nb] уровней капитала по ценам закрытия
// объявляем локальные переменные
static int rc, cb, ncontracts, maxhold, signal, ranseed;
static float stpa, stpb, mmstp, ptlim, limprice, stpprice;
static int entryposted, entrybar, model type;
static float exitatr[MAXBAR+1] , rnum, entryprice, tmp, atr;
static long iseed;
Код подобен представленному в предыдущих главах. Изменился лишь порядок генерации сигналов для входа. Входные сигналы теперь создаются с помощью генератора псевдослучайных чисел (ГПСЧ). Перед входом в цикл, который проходит через дни для моделирования процесса торговли, ГПСЧ инициализируется с уникальным начальным значением.
Начальное значение инициализации определено номером рынка и параметром (ranseed). При изменении данного параметра генерируется абсолютно другая последовательность случайных входов. Точные значения инициализации не важны, так как для каждой инициализации создается уникальный ряд из- за чрезвычайно большого периода ГПСЧ. Используемый ГПСЧ описан как гап2 в вышеупомянутой работе Numerical Recipes in С (1992). Период для ГПСЧ больше, чем 2Х1018. Этот ГПСЧ намного лучше стандартных генераторов, включенных в языки программирования. Внутри цикла, там, где фактически имеет место торговля, сигналы генерируются, основываясь на случайных числах. Шаги очень просты. На каждом дне от ГПСЧ получается равномерно распределенное случайное число между 0 и 1. Если случайное число меньше 0,025, то генерируется сигнал для входа в короткую позицию. Вероятность получения короткого сигнала в любой день равна 0,025, т.е. короткий сигнал должен генерироваться в среднем каждые 40 дней. Если случайное число превышает 0,975, то подается сигнал для открытия длинной позиции; частота этих сигналов такая же — один сигнал каждые 40 дней. Другими словами, в среднем торговые сигналы генерируются каждые 20 дней. Цены лимитного приказа и стоп- приказа рассчитываются обычным способом. Обычным способом размещаются приказы и определяются выходы.
Для проведения трех испытаний используются следующие шаги: на данных внутри выборки для каждого типа входного приказа генерируются и участвуют в торговле 10 различных серий случайных входов. Лучшие из этих последовательностей затем проверяются на данных вне выборки.
Процесс подобен оптимизации параметра в реальной системе. Изменяясь от 1 до 10, параметр выбирает различные ряды случайных входов для каждого значения.
// копируем параметры в локальные переменные для удобного обращения
mmstp = parms[1]; // используется для начальный защитной остановки
stpa - parms[2]; // дополнительный параметр защитной остановки
stpb = parms[3]; // дополнительный параметр защитной остановки
ptlim = parms[6]; // целевая прибыль в единицах среднего истинного
// диапазона
modeltype = parms[7]; // тип используемой динамической защитной
// остановки
maxhold = parms[8]; // период максимального удержания позиции
ranseed = parms[9]; // используется для инициализации случайной
// последовательности
// выполняем вычисления по всему объему данных
AvgTrueRangeS{exitatr,hi,lo,cls,50,nb); // средний истинный диапазон
// для выхода
// очищаем генератор случайных чисел
// ... используем различные случайные последовательности для каждого рынка
// ... ts.model() возвращает индекс рынка (SP=1, YX- 2, ...)
iseed = - {ranseed + 10 * ts.model());
rnum = ran2(&iseed);
// проходим через дни, чтобы смоделировать реальную торговлю
for(cb = 1; cb <= nb; cb++) {
// не открываем позиций до начала периода выборки
// ... то же самое, что установка MaxBarsBack в TradeStation
if(dt[cb] < IS_DATE) { eqcls[cb] = 0.0; continue; }
// выполняем ожидающие приказы и считаем кумулятивный капитал
rc = ts .update (opn [cb] , hi [cb] , lo [cb] , cls [cb] , cb) ;
if(rc !- 0) nrerror{"Trade buffer overflow");
eqcls[cb] = ts.currentequity(EQ_CLOSETOTAL);
// считаем количество контрактов для позиции
// ... мы хотим торговать эквивалентом долларовой волатильности
// ... 2 новых контрактов на S&P- 500 от 12/31/98
ncontracts = RoundToInteger(5673.О / dlrv[cb]);
if (ncontracts < 1) ncontracts = 1;
// избегаем устанавливать приказы на дни с ограниченной торговлей
if (hi[cb+1] == lo[cb+1]} continue;
// генерировать "стандартные" случайные сигналы входа
signal = 0;
rnum = ran2(&iseed);
if(rnum < 0,025) signal = - 1 // случайный короткий вход
else if(rnum > 0.975) signal = 1 // случайный длинный вход
// входим в сделки по цене открытия
entryposted = 0;
if (ts.position() < = 0 && signal == 1) {
ts.buyopen{'1' , ncontracts) ;
entryposted - 1;
entryprice = opn[cb+1];
entrybar = cb + 1;
}
else if(ts.position{} >= 0 && signal == - 1) {
ts.sellopen{'2', ncontracts};
entryposted = - 1;
entryprice = opn[cb+1];
entrybar = cb + 1;
}
// выходим из сделок, используя стандартный выход с улучшенными
// защитными остановками
atr = exitatr[cb];
if (entryposted > 0) {
// инициализация и выходы для длинных позиций в день входа
switch(modeltype) {
case 1:
limprice = entryprice + ptlim * atr;
stpprice = min (Lowest (lo, 2, cb),
entryprice - mmstp * atr);
break;
case 2:
case 3:
limprice = entryprice + ptlim * atr;
stpprice = entryprice - mmstp * atr;
break;
default: nrerror("Invalid modeltype");
}
ts.exitlonglimit('A' , limprice} ;
ts.exitlongstop('B' , stpprice) ;
}
else if (entryposted < 0) {
// инициализация и выходы для коротких позиций в день входа
switch(model type) {
case 1:
limprice = entryprice - ptlim * atr;
stpprice = max (Highest(hi, 2, cb),
entryprice + mmstp * atr);
break;
case 2:
case 3:
limprice = entryprice - ptlim * atr;
stpprice - entryprice + mmstp * atr;
break;
default: nrerror{"Invalid modeltype" ) ;
}
ts.exitshortlimit('C' , limprice) ;
ts.exitshortstop('D' , stpprice);
}
else {
// выходы после дня входа
if(ts.position() > 0) { // длинные позиции
switch{modeltype) {
case 1:
stpprice - max(stpprice, Lowest(lo,2,cb));
break;
case 2:
stpprice = max(stpprice, cls [cb]- stpa*atr);
break;
case 3:
tmp = (hi [cb] - stpa * atr) - stpprice;
if{tmp > 0.0) stpprice += stpb * tmp;
break;
}
ts.exitlonglimit('F' , limprice);
ts.exitlongstop('G' , stpprice);
if (cb- entrybar >= maxhold) ts.exitlongclose('E' } ;
}
else if (ts.position(} < 0) { // короткиепозиции
switch(modeltype) {
case 1:
stpprice = min(stpprice, Highest(hi,2,cb}) ;
break;
case 2:
stpprice = min (stpprice, cls [cb]+stpa*atr);
break;
сазеЗ:
tmp = {lo[cb] + stpa * atr) - stpprice;
if(tmp < 0.0) stpprice += stpb * tmp;
break;
}
ts.exitshortlimit('I' , limprice) ;
ts.exitshortstop('J' , stpprice);
if(cb- entrybar >= maxhold) ts.exitshortclose('H') ;
}
}
} // обрабатываем следующий день
}
Вышеприведенный код реализует МССВ с заменой фиксированной защитной остановки на одну из трех динамических методик. Вид защитной остановки выбирается параметром modeltype, и в зависимости от вида выбранной остановки программа оптимизирует значения еще трех дополнительных параметров. Для остановки на основе максимального максимума/минимального минимума за два последних дня (ММ/ММ) параметр mmstp — это количество средних истинных диапазонов (не обязательно целое число), прибавляемых или отнимаемых от цены входа для получения защитной остановки для входного дня. Защитная остановка входного дня устанавливается на уровне цены входа или минимального минимума за два последних дня плюс или минус указанное количество средних истинных диапазонов (выбирается уровень, более удаленный от текущей рыночной цены). Для двух других остановок (на основе среднего истинного диапазона и ЭСС) уровень защитной остановки входного дня инициализируется стандартным образом, т.е. цена входа минус (для длинной позиции) или плюс (для короткой позиции) произведение mmstp на средний истинный диапазон.
Затем в каждом торговом дне производится коррекция уровня защитной остановки. Вид коррекции зависит от выбранного параметром modeltype типа. Для остановки на основе ММ/ММ рассчитывается максимальный максимум или минимальный минимум в зависимости от вида открытой позиции (короткая или длинная). Если результат ближе к рыночной цене, чем текущий уровень защитной остановки, то он используется в качестве новой защитной остановки. В другой модели средний истинный диапазон умножается на второй параметр stpa. Результат вычитается (для длинной позиции) или прибавляется (для короткой) к текущей цене закрытия. Если результат ближе к текущей цене, чем текущий уровень защитной остановки, то он заменяет уровень защитной остановки, приближая его, таким образом, к текущей рыночной цене. Для третьего типа остановки (на основе ЭСС) средний истинный диапазон умножается на второй параметр stpa. Результат вычитается (для длинной позиции) или прибавляется (для короткой) к текущей цене закрытия для получения сдвига. Эта разность заносится в переменную tmp. Уровень защитной остановки обновляется в последующие дни путем прибавления imp, умноженной на другой параметр (коэффициент коррекции stpb) к текущей защитной остановке. Это, впрочем, производится только в том случае, если коррекция сместит уровень защитной остановки ближе к текущей цене. Расчеты подобны методике получения экспоненциального скользящего среднего (ЭСС) — с той разницей, что при расчете собственно ЭСС было бы возможно смещение уровня защитной остановки в обе стороны и не использовался бы предварительный сдвиг. В этой модели stpb определяет эффективный период экспоненциального скользящего среднего, которое может изменяться только в одном направлении — к текущей рыночной цене.
Тестирование защитной остановки на основе максимального максимума/минимального минимума
В этом тесте (modeltype = I) параметр начальной защитной остановки (НАЧСТП) управляет максимальной близостью уровня остановки к цене в первый день. Он прогоняется от 0,5 до 3,5 с шагом 0,5.
Каждая строка в табл. 14- 2 представляет данные об эффективности каждого из значений НАЧСТП в пределах выборки. В последней строке указана эффективность лучшего из найденных значений вне пределов выборки. Таблица имеет те же обозначения, что и другие таблицы оптимизации в этой книге (МПАД означает максимальное падение капитала в тысячах долларов).
Судя по результатам, эта защитная остановка постоянно располагалась слишком близко, на что указывает сниженный по сравнению с основной стратегией МССВ процент прибыльных сделок. В предыдущем тесте наилучшее решение (при mmstp 1,5, ptlim 4,5) давало 39% прибыльных сделок, при соотношении риска/прибыли —1,46 и приносило средний убыток в сделке $1581. В этом тесте лучшее решение давало только 28% прибыльных сделок в пределах и 29% вне пределов выборки. Многие потенциально прибыльные сделки (в том числе сделки, которые были бы прибыльны с оптимальной фиксированной защитной остановкой МССВ) были превращены в малоубыточные. Близость расположения этой защитной остановки также подтверждается небольшой средней длительностью сделки (4 дня) по сравнению с обычными 6 — 8 днями.
Среднее соотношение риска/прибыли ( — 2,52 в пределах и —2,38 вне выборки) и средний убыток в сделке ($1864 в пределах и $1818 вне пределов выборки) также были значительно хуже, чем при оптимальной фиксированной защитной остановке. Метод ММ/ММ с периодом 2 дня однозначно малоэффективен, и ему следует предпочесть фиксированную остановку, найденную с помощью оптимизации, как это было сделано ранее (табл. 14- 1).
Тестирование динамической защитной остановки на основе среднего истинного диапазона
В этой модели два параметра, представленные в коде как mmstp и sfpa, служили множителями среднего истинного диапазона при размещении защитной остановки на входном и на последующих днях соответственно.
В табл. 14- 3 показана прогонка параметров для входного дня (ПЕРВЫЙ) и последующих дней (ПОСЛЕД) от 0,5 до 3,5 с шагом 0,5.
Как и в предыдущих тестах защитных остановок, влияние параметров на эффективность было постепенным и мало зависело друг от друга.
По показателю соотношения риска/прибыли наилучшие результаты достигаются при значении параметра первого дня, равного 2, и параметров последующих дней, равных 2 или 2,5. Наилучшим сочетанием значений является 2 для первого дня и 2,5 для последующих, когда соотношение риска/прибыли минимально и убыток со сделки также минимален. Модель работала чуть лучше, чем оптимальная фиксированная защитная остановка, соотношение риска/прибыли составило — 1,40 по сравнению с — 1,46. Процент прибыльных сделок был также выше (42% против 39%).
Как и в табл. 14- 1, жирным шрифтом выделено лучшее решение.
Тестирование целевой прибыли
На этой основе удалось получить лучшую из пока обнаруженных стратегий размещения защитной остановки при исходном параметре 2,5, сдвиге СИДС = 1 и коэффициенте адаптации КОЭФФ = 0,30. В оригинальном тесте модифицированного ЭСС (табл. 14- 4) был использован оптимальный фиксированный уровень целевой прибыли, сейчас же на его место поставлен динамический лимитный приказ — уровень целевой прибыли, который изначально установлен далеко от рыночной цены, но приближается к ней со временем. Идея состоит в том, чтобы обеспечить выход из застойных сделок на пике шумовой активности цены, при этом не жертвуя прибылью потенциально выгодных позиций в первые дни их жизни. Использованный подход очень напоминает методику получения динамической защитной остановки на основе экспоненциального скользящего среднего. Здесь скользящее среднее инициализируется необычным образом: скользящей сумме присваивается значение рыночной цены плюс (для длинных) или минус (для коротких позиций) произведение среднего истинного диапазона и параметра ptlim. Таким образом, скользящее среднее начинается, как и при вычислении защитной остановки. Точно таким же образом уровень целевой прибыли корректируется в каждый последующий день: расстояние между текущей ценой целевой прибыли и текущей ценой закрытия умножается на параметр ptga. Результат затем вычитается из текущей цены целевой прибыли, приближая ее к рыночной цене. В отличие от защитной остановки целевая прибыль может перемещаться в обоих направлениях, хотя это и маловероятно — если позиция открыта уже достаточно долго, то лимитный приказ прервет сделку при любом сильном благоприятном движении цены. Второй параметр ptga управляет периодом скользящего среднего, т.е. скоростью приближения целевой прибыли к рыночной цене. Правила, в общем, идентичны вышеприведенному тесту защитной остановки на модифицированном ЭСС, но относятся к уровню целевой прибыли.
// Выходим из сделок, используя стандартный выход с улучшенными защитными
// остановками и целевой прибылью
atr = exitatr[cb];
if(entryposted > 0) {
// инициализация и выходы для длинных позиций на каждый день
switch (modeltype) {
case 1:
limprice = entryprice + ptlira * atr;
stpprice = min (Lowest(lo, 2, cb),
entryprice = mmstp * atr);
break;
case 2:
case 3:
case 4:
limprice = entryprice + ptlim * atr;
stpprice = entryprice - mmstp * atr;
break;
default: nrerror("Invalid modeltype") ;
}
ts.exitlonglimit('A', limprice};
ts.exitlongstop('B', stpprice);
}
else if(entryposted < 0) {
// инициализация и выходы для коротких позиций на каждый день
switch(modeltype) {
case 1:
limprice = entryprice - ptlim * atr;
stpprice = max (Highest(hi, 2, cb)
entryprice + mmstp * atr) ;
break;
case 2:
case 3:
case 4:
limprice = entryprice - ptlim * atr;
stpprice = entryprice + mmstp * atr;
break;
default: nrerror("Invalid modeltype");
}
ts.exitshortlimit('C' , limprice);
ts.exitshortstop('D' , stpprice);
}
else {
// выходы после дня входа
if(ts.position() > 0} { // длинные позиции
switch(modeltype) {
case 1:
stpprice = max(stpprice, Lowest(lo,2, cb) ) ;
break,
case 2:
stpprice = max(stpprice,els[cb]- stpa*atr);
break;
case 3:
tmp = (hi[cb] - stpa * atr) - stpprice;
if(tmp > 0.0) stpprice += stpb * tmp;
break;
case 4:
tmp = (hi [cb] - stpa * atr) - stpprice;
if(tmp > 0.0) stpprice += stpb * tmp;
limprice = limprice - ptga*(limprice- cls[cb] ) ,
break;
}
ts.exitlonglimit('F' , limprice) ;
ts.exitlongstop ('G' , stpprice};
if (cb- entrybar >= maxhold) ts.exitlongclose('E' } ;
}
else if{ts.position() < 0) { // короткие позиции
switch (modeltype) [
case 1:
stpprice = min(stpprice, Highest(hi,2,cb) ) ;
break;
Приведенный выше фрагмент кода показывает реализацию динамического лимитного приказа целевой прибыли совместно с экспоненциальной защитной остановкой согласно табл. 14- 4.
В табл. 14- 5 приведена информация об эффективности торговли портфелем как функции значений исходной целевой прибыли (ptlim в коде, ИЦП в таблице) и коэффициента скорости адаптации (ptga в коде, КОЭФФ в таблице). Первый параметр, управлявший расположением целевой прибыли относительно цены входа (в единицах среднего истинного диапазона), прогонялся от 2 до 6 с шагом 0,5. Коэффициент скорости адаптации прогонялся от 0,05 до 0,4 с шагом 0,05. Лучшее из сочетаний показало эффективность, превосходящую результат, полученный при использовании фиксированной целевой прибыли (соотношение риска/прибыли —1,32, процент прибыльных сделок не изменился — 37%, средний убыток со сделки — $1325). Эта модель также была не слишком чувствительна к изменениям параметров. Результаты показывают, что с целевыми прибылями следует быть осторожным: они имеют тенденцию преждевременно закрывать сделки с высоким потенциалом прибыли. Как видно из табл. 14- 5, при более близком размещении целевой прибыли процент прибыльных сделок резко возрастал (больше сделок достигало лимитного приказа целевой прибыли и закрывалось с маленькой прибылью) . При этом соотношение риска/прибыли и средние показатели ухудшались, показывая, что увеличение процента выгодных сделок не может скомпенсировать потери потенциальных прибылей, вызванные слишком близким расположением целевой прибыли. Иногда лучше не иметь никакой целевой прибыли — при этом по крайней мере вы не пропустите важные благоприятные движения рынка. То же справедливо и в отношении коэффициента адаптации — уровни целевой прибыли, слишком быстро приближавшиеся к рыночной цене, преждевременно закрывают хорошие позиции.
Выбор правильного симулятора
Если вы серьезно хотите заниматься разработкой продвинутых торговых систем, торговать сильно диверсифицированными портфелями, проводить тестирование индивидуальных контрактов или опционов, вам нужно собраться с силами для изучения программирования — вам нужен симулятор, созданный с помощью языков программирования общего назначения, таких как C++ или Object Pascal. Такие симуляторы имеют открытую архитектуру, позволяющую использовать множество дополнений и библиотек: библиотеки по техническому анализу, например от FM Labs (609- 261- 7357) и Scientific Consultant Services (516- 696- 3333); библиотеки общих числовых алгоритмов, например от Numerical Recipes (800- 8727423), Numerical Algorithms Group (NAG) (44- 1865- 511- 245) и International Mathematics and Statistics Library (IMSL), в которых хорошо освещена статистика, линейная алгебра, спектральный анализ, дифференциальные уравнения и другие математические приложения. Продвинутые симуляторы с использованием общих языков программирования также доступны целому миру компонентов и графических средств управления, покрывающих все аспекты от сложного построения графиков и представления данных до продвинутого управления базами данных, и при этом совместимы с C++ Builder и Delphi, а также с Visual Basic и Visual C++. Если же вам нужно нечто менее трудоемкое, выбирайте полные интегрированные решения. Убедитесь, что язык симулятора позволяет использовать процедуры, вызываемые по необходимости из DLL. Остерегайтесь продуктов, нацеленных в основном на построение графиков и с ограниченными возможностями программирования, если вы собираетесь разрабатывать, тестировать на исторических данных и использовать в торговле механические торговые системы, значительно отличающиеся от традиционных индикаторов.
Сравнение результатов наилучшей стратегии выхода на различных рынках
В табл. 14- 7 приводится эффективность лучшей стратегии выхода (с экспоненциальной защитной остановкой, динамической целевой прибылью и расширенным до 30 дней ограничением времени) на различных рынках.
Представлены результаты как в пределах, так и вне пределов выборки.
В обеих выборках данных рынок NYFE был прибылен в длинной позиции. И в пределах, и вне пределов выборки получены значительные прибыли на рынке откормленного скота — в пределах выборки для длинных и коротких позиций, вне выборки — только для коротких позиций. И в длинных, и в коротких позициях как в пределах, так и вне пределов выборки был прибылен рынок живых свиней. Рынки немецкой марки и иены были прибыльны в пределах выборки только в длинных позициях, вне пределов выборки эти рынки были убыточны. Исключением была небольшая прибыль в коротких позициях на рынке иены, недостаточная для покрытия убытков длинных позиций. Длинные позиции на рынке леса были высоко прибыльными в пределах выборки, но вне пределов выборки прибыль была незначительной. Наиболее эффективными были рынки откормленного скота и живых свиней, на которых была получена реальная прибыль даже несмотря на случайные входы. В пределах выборки на рынке откормленного скота получена годовая прибыль 10,9%, а на рынке живых свиней 15,5%. Вне пределов выборки прибыль составила 43,1 и 31,9% соответственно. Результаты вне пределов выборки были выше, но это может быть вызвано меньшим объемом данных и меньшим количеством сделок, проведенных вне выборки.
Заключение
Выходы имеют принципиальное значение. За счет улучшения элементов управления риском и целевых прибылей можно улучшить соотношение риска/прибыли торговой системы и уменьшить ее убытки. Впрочем, полученные в вышеприведенных тестах достижения не столь высоки, как можно было ожидать. Например, хотя на двух наиболее прибыльных рынках при использовании случайного входа получена прибыль, торговля портфелем в целом была убыточной, что расходится с нашим предыдущим опытом (Katz, McCormick, март, апрель 1998), когда прибыль при случайных входах была получена на рынке S&P 500. Тогда выходы настраивались под используемый рынок, а не имели одинаковые параметры для всех рынков в составе портфеля. Эта разница может объяснить несовпадение результатов. В общем, при индивидуальной настройке компонентов системы к данному рынку можно достичь более высоких результатов, но за счет риска избыточной оптимизации и подгонки под исторические данные. Также следует отметить, что эти тесты проводились с весьма жесткими транзакционными расходами, в то время как, например, на рынке S&P 500 комиссионные относительно типичной долларовой волатильности почти незаметны, и роль играет только проскальзывание. На других рынках для получения соответствующей долларовой волатильности приходится торговать большим количеством контрактов, что делает комиссионные важным фактором расхода. В предыдущих исследованиях расходы на сделки игнорировались или задавались минимальными, поскольку таков был исследуемый рынок S&P 500, что также могло повлиять на разницу в результатах.
При сравнении стандартной стратегии выхода, использованной при изучении моделей входа (средний убыток составлял $2243 со сделки, стандартное отклонение $304), с лучшей из разработанных стратегий выхода (убыток со сделки $1236, т.е. на 44% ниже), нельзя не отметить улучшения, при том что многие из наиболее эффективных (пусть и неприбыльных) моделей входа, несомненно, принесли бы прибыль при сочетании с наилучшей стратегией выхода.
Что мы узнали?
* Выходы имеют важное значение для общей эффективности.
Попытки улучшения выходов в этой главе обеспечили снижение средних убытков в сделке более чем на $1000 по сравнению со стандартным выходом, использованным при исследовании входов.
* Как и в случае с входами, поиск хорошего выхода подобен поиску крошечного островка неэффективности в море эффективного рынка. Хотя такие острова есть, найти их непросто.
Сочетание выходов с искусственным интеллектом
В этой главе будет исследоваться модифицированная стратегия стандартного выхода (МССВ) в сочетании с элементами, основанными на нейронных сетях и генетических алгоритмах. В гл. 11 для генерации сигналов входа были разработаны системы прогнозирования на основе нейронных сетей. Один из этих нейронных индикаторов (сеть на обращенном во времени Медленном %К) пытался предсказывать положение завтрашней цены относительно диапазона цен на следующие несколько дней. Эту сеть можно использовать совместно со стратегией выхода; если в длинной позиции сеть указывает, что рынок близок к максимуму следующих нескольких дней, то имеет смысл выйти из позиции, пока рынок не начал падать.
Если в короткой позиции сеть показывает, что цены будут расти, то также следует выходить из позиции, не дожидаясь убытков при реальном движении рынка.
Первый тест из приведенных ниже исследует поведение нейронной сети, прогнозирующей обращенный во времени Медленный %К в сочетании с модифицированной стратегией выхода. Нейронная сеть, генерирующая собственный сигнальный выход, не может быть применена отдельно от других стратегий выхода, поскольку она не всегда будет подавать сигнал на закрытие позиции. Сеть создана для генерации сигналов входа, т.е. она подает сигнал, когда есть вероятность, что рынок поведет себя определенным образом. При этом отсутствие сигнала не означает, что на рынке не может произойти чего- то важного. Когда мы занимаем позицию на рынке, то в какой- то момент из нее придется выходить, причем выход нельзя отложить до того времени, когда будет предсказано значимое событие. В этом случае МССВ гарантирует, что любая сделка будет иметь защитную остановку управления капиталом и ограничение времени, обеспечивающие выход. Нейронная сеть может обеспечить улучшение данной стратегии, иногда предсказывая разворот рынка против занятой позиции. Таким образом, часть убыточных сделок может превратиться в прибыльные.
Второй набор тестов (для длинных и коротких позиций) использует генетический алгоритм для разработки правил генерации сигнала выхода. Правила используются подобно нейронной сети, т.е. создают дополнительные к МССВ сигналы выхода в моменты, когда вероятен разворот рынка. Шаблоны правил и методология генерации идентичны использованным для генерации входов в гл. 12. Эти дополнительные выходы, как можно надеяться, улучшат эффективность системы за счет выхода с прибылью из некоторых потенциально убыточных сделок и ограничения убытков в других сделках.
С помощью вышеописанных методов могут быть разработаны более сложные выходы, не рассмотренные в данной главе. Например, нейронную сеть можно использовать для генерации не только собственно выходов, но и для определения уровней защитных лимитных остановок. Для этого же можно применить генетические алгоритмы.
Нейронные сети хорошо себя зарекомендовали как прогностический инструмент для получения сигналов входа. В пределах выборки прибыль была невероятной, вне пределов выборки — гораздо выше прибыли случайных входов (хотя торговля портфелем в целом была убыточной). Таким образом, была продемонстрирована реальная прогностическая ценность. Использование подобных прогнозов для того, чтобы закрывать позиции до разворота рынка, должно повысить эффективность торговли, даже если это коснется весьма небольшого количества сделок. То же самое относится и к правилам, полученным генетическими методами. При этом не следует ожидать чудесного роста эффективности, поскольку в любом случае система будет генерировать немного дополнительных сигналов выхода, которые будут влиять на считанные сделки, возможно, в положительную сторону. Таким образом, общее улучшение будет невелико. Поскольку для нижеприведенных тестов правила разрабатываются заново, то, возможно, будет обнаружено больше случаев эффективного применения сигналов выхода, чем было обнаружено для сигналов входа.
Методология тестирования нейронного компонента стратегии выходов
Мы используем наибольшую из двух лучших нейронных сетей, обученных прогнозированию обращенного во времени Медленного %К. Предварительная обработка и логика принятия решений идентичны использованным в гл. 11. Используется сеть 18- 14- 4- 1 (18 нейронов в первом слое, 14 в первом промежуточном, 4 во втором промежуточном и 1 на выходе).
Параллельно используется МССВ. В дополнение к условиям выходов МССВ вводится условие: если прогнозируемое значение обращенного во времени Медленного %К выше некоего порога, т.е. положение рынка относительно ценового диапазона ближайшего будущего высоко, то система выходит из длинной позиции. Подобным же образом, если прогноз показывает, что рыночная цена находится вблизи нижней границы диапазона цен ближайшего будущего, то система выходит из любой корот-
static void Model (float *parms, float *dt, float *opn, float *hi, float *lo, float *cls, float *vol, float *oi, float *dlrv, int nb, TRDSIM &ts, float *eqcls) {
// Выполняет случайные входы с модифицированным стандартным выходом,
// улучшенным с помощью "сигнального выхода", основанного
// на нейропредсказателе для обратного Медленного %К.
// File = x21mod01.c
// parms - набор [1..MAXPRM] параметров
// dt - набор [l..nb] дат в формате ГГММДД
// орn - набор [1..nb] цен открытия
// hi - набор [1..nb] максимальных цен
// 1о - набор [l..nb] минимальных цен
// cls - набор [1..nb] цен закрытия
// vol - набор [l..nb] значений объема
// oi - набор [1..nb] значений открытого интереса
// dlrv - набор [l..nb] средних долларовой волатильности
// nb - количество дней в наборе данных
// ts - ссылка на класс торгового симулятора
// eqcls - набор [1..nb] уровней капитала по ценам закрытия
// объявляем локальные переменные
static int rc, cb, neontracts, maxhold, signal, ranseed;
static float mmstp, ptlim, limprice, stpprice, entryprice;
static int entryposted, entrybar;
static float exitatr[MAXBAR+1] , prd[KAXBAR+1] , rnum, thresh;
static long iseed;
// копируем параметры в локальные переменные для удобного обращения
thresh = parms[1]; // порог выходных значений нейронной сети
ranseed = parms[2]; // используется для инициализации случайной
// последовательности
maxhold = 10; // период максимального удержания позиции
ptlim =4.5; // целевая прибыль в единицах среднего истинного
// диапазона
mmstp = 1.5; // защитная остановка в единицах среднего истинного
// диапазона
// выполняем вычисления по всему объему данных
AvgTrueRangeS(exitatr,hi,lo,cls,50,nb); // средний истинный
// диапазон для выхода
NeuralForecast(prd, cls, nb) ; // прогнозы
// запускаем генератор случайных чисел
// ... используем различные случайные последовательности для каждого рынка
// ... ts.model() возвращает индекс рынка (SP- 1, YX- 2, ...)
iseed = - (ranseed + 10 * ts.model{)};
rnum = ran2(&iseed);
// проходим через дни, чтобы смоделировать реальную торговлю
for(cb = 1; cb <= nb; cb++) (
// не открываем позиций до начала периода выборки
// ... то же самое, что установка MaxBarsBack в TradeStation
if(dt[cb] < IS_DATE) { eqcls[cb] = О.Э; continue; ]
// выполняем ожидающие приказы и считаем кумулятивный капитал
rc = ts.update (opn [cb] , hi [cb] , lo [cb] , cls [cb] , cb) ;
if(rc != 0) nrerror("Trade buffer overflow");
кой позиции. Выходы, запускаемые сигналами нейронной сети, произво-
дятся по цене закрытия соответствующего дня.
eqcls[cb] = ts.currentequity(EQ_CLOSETOTAL);
// считаем количество контрактов для позиции
// ... мы хотим торговать эквивалентом долларовой волатильности
// ... 2 новых контрактов на S&P- 500 от 12/31/98
ncontracts = RoundToInteger(5673.О / dlrv[cb]);
if(ncontracts < 1) ncontracts = 1;
// избегаем устанавливать приказы на дни с ограниченной торговлей
if(hi[cb+l] == lo[cb+l]) continue;
// генерируем "стандартные" случайные сигналы входа
signal = 0;
rnum = ran2(siseed);
if (rnum < 0.025) signal = - 1; // случайный короткий вход
else if (rnum > 0.975) signal = 1; // случайный длинный вход
// входим в сделки по цене открытия
entryposted = 0;
if(ts.position() <= 0 && signal == 1) (
ts.buyopen('l', ncontracts);
entryposted = - 1;
entryprice = opn[cb+l];
entrybar = cb + 1;
}
else if (ts.position)) >= 0 && signal == - 1) (
ts.sellopen('2', ncontracts);
entryposted = - 1;
entryprice = opn[cb+l];
entrybar = cb + 1;
)
// выходим из сделок, используя модифицированный стандартный выход
// вместе с нейросетевым выходом
if(entryposted > 0) (
// инициализация и выходы для длинных позиций в день входа
limprice = entryprice + ptlim * exitatr[cb];
stpprice = entryprice - iranstp * exitatr[cb] ;
ts.exitlonglimit('A', limprice);
ts.exitlongstop('В', stpprice);
if(prd[cb] > thresh) ts.exitlongclose('C' ) ;
)
else if(entryposted < 0) {
// инициализация и выходы для коротких позиций в день входа
limprice = entryprice - ptlim * exitatr[cb);
stpprice = entryprice + mmstp * exitatr[cb];
ts.exitshortlimit('D' , limprice);
ts.exitshortstop('E' , stpprice);
if(prd[cb] < 100.0- thresh) ts.exitshortclose('F') ;
}
else [
// выходы после дня входа
if(ts.position() > 0} { // длинные позиции
ts.exitlonglimit('G' , limprice);
ts.exitlongstop('H', stpprice);
if(cb- entrybar >= maxhold
prd[cb] > thresh) ts.exitlongclose('I');
}
else if (ts.position() < 0) { // короткие позиции
ts.exitshortlimit('J' , limprice);
ts.exitshortstop('K' , stpprice);
if (cb- entrybar >= maxhold
prd[cb] < 100.0- thresh) ts.exitshortclose('L') ;
}
}
} // обрабатываем следующий день
)
Вышеприведенный фрагмент кода описывает логику стратегии выходов. Параметры ptlim и mmstp имеют значения 4,5 и 1,5 соответственно, поскольку эти значения давали лучшую эффективность при торговле портфелем (см. табл. 14- 1 в гл. 14). Параметр thresh, т.е. значение порога для выходов на основе нейронного прогноза, подвергается оптимизации. Логика дополнительного выхода видна в блоке if, где сравниваются порог и прогноз, выданный сетью. Если условие выполняется, то по цене закрытия дня отдается приказ на выход из сделки. Параметр thresh прогоняется от 50 до 80 с шагом 2.
Результаты базовой системы
В табл. 15- 1 приведены результаты работы МССВ. Порог был установлен достаточно высоко, чтобы сеть не генерировала никаких выходов. Эта таблица идентична табл. 14- 1 при оптимальных значениях фиксированной защитной остановки и целевой прибыли. В таблице: ВЫБ — асть образца данных (В — в пределах, ВНЕ — вне пределов выборки); ПРИБДЛ — общая прибыль длинных сделок, в тысячах долларов; ПРИБКР — общая прибыль коротких сделок, в тысячах долларов; Ф.ПРИБ — фактор прибыли; ДОХ % — прибыль в процентах годовых; Р/ПРИБ — годовое соотношение риска/прибыли; ВЕР — ассоциированная вероятность статистической достоверности; СДЕЛ — число сделок на всех рынках в составе портфеля; ПРИБ% — процент прибыльных сделок; $СДЕЛ — средняя прибыль/убыток со сделки; ДНИ — средняя длительность сделки в днях.
Между эффективностью системы в пределах и вне пределов выборки существует очевидная взаимосвязь. Средняя сделка принесла убыток $1581 в пределах и $1580 вне пределов выборки; процент прибыльных сделок на обеих выборках составил 39%. Соотношения риск/прибыль составили —1,46 в пределах и —1,45 вне пределов выборки.
Результаты торговли портфелем с нейронным выходом
Табл. 15- 2 представляет собой стандартную таблицу результатов оптимизации. В ней приведены результаты торговли портфелем финансовых инструментов для всех значений порога, а также результаты решения, которое было оптимальным в пределах выборки, полученные на данных вне выборки.
В пределах выборки было получено улучшение общих результатов за счет применения дополнительного нейронного выхода. Средняя прибыль в сделке достаточно медленно изменялась при изменениях значения порога. Наилучшее значение порога составило 54, средняя сделка при этом приносила убыток в $832. Процент прибыльных сделок составил 41%, годовое соотношение риска/прибыли —0,87. Таким образом, внедрение нейронного выхода значительно повысило эффективность торговли по сравнению с результатами, приведенными в табл. 15- 1. Вне пределов выборки, впрочем, улучшения не наблюдалось: эффективность не особо отличалась от работы базовой МССВ. Когда исследовалась работа нейронных сетей для генерации входов, эффективность при переходе на данные вне пределов выборки падала весьма резко — видимо, нечто подобное произошло и в этом тесте, где в качестве элемента стратегии выходов использовалась та же нейронная сеть.
Методология тестирования генетического компонента выходов
Поскольку практически очевидна необходимость отдельных наборов правил для длинных и коротких позиций, мы провели два теста. В первом тесте система генерирует случайные входы в длинные позиции (сигналы к открытию коротких позиций игнорируются), а для выходов применяется МССВ, а также отдельные правила, которые разрабатываются генетическим алгоритмом. Во втором тесте все входы в длинные позиции игнорируются, открываются только короткие позиции. Делается попытка разработать правила, хорошо работающие в качестве дополнения к МССВ для коротких сделок.
static void Model {float *parms, float *dt, float *opn, float *hi, float *lo, float *cls, float *vol, float *oi, float *dlrv, int nb, TRDSIM &ts, float *eqcls) {
// Выполняет случайные входы с модифицированным стандартным выходом
// и с дополнительным генетически развитым "сигнальным выходом"
// File = x21mod01.c
// parms - набор [1..MAXPRM] параметров
// dt - набор [1..nb] дат в формате ГГММДД
// орn - набор [ 1..nb] цен открытия
// hi - набор [1..nb] максимальных цен
// lo - набор [l..nb] минимальных цен
// cls — набор [l..nb] цен закрытия
// vol - набор [l..nb] значений объема
// oi - набор [l..nb] значений открытого интереса
// dlrv — набор [l..nb] средних долларовой волатильности
// nb - количество дней в наборе данных
// ts — ссылка на класс торгового симулятора
// eqcls — набор [l..nb] уровней капитала по ценам закрытия
// объявляем локальные переменные
static int rc, cb, ncontracts, maxhold, signal, ranseed;
static float iranstp, ptlim, limprice, stpprice, entryprice;
static int entryposted, entrybar, exitsignal, modeltype;
static int rulel[MAXBAR+1], rule2[MAXBAR+1], rule3[MAXBAR+1];
static float exitatr[MAXBAR+1], rnum, thresh;
static long iseed;
// копируем параметры в локальные переменные для удобного обращения
ranseed = parms[14]; // используется для инициализации случайной
// последовательности
modeltype = parms[15]; // 1=длинные позиции, 2=короткие позиции
maxhold = 10; // период максимального удержания позиции
ptlim =4.5; // целевая прибыль в единицах среднего истинного диапазона
mmstp = 1.5; // защитная остановка в единицах среднего истинного диапазона
// выполняем вычисления по всему объему данных, включая правила
AvgTrueRangeS{exitatr,hi,lo,cls,50,nb); // средний истинный диапазон для
/ / выхода
Rules{opn, hi, lo, cls, vol, oi, exitatr, nb,
parms [1] , parms[2], parms[3], parms [4] , rulel);
Rules (opn, hi, lo, cls, vol, oi, exitatr, nb,
parms[5], parms[6], parms[7], parms[8], rule2);
Rules (opn, hi, lo, cls, vol, oi, exitatr, nb,
parms[9], parms[10], parms[11], parms[12], rule3);
// запускаем генератор случайных чисел
// ... используем различные случайные последовательности для каждого рынка
// ... ts.model() возвращает индекс рынка (SP=1, YX=2, ...)
iseed = - (ranseed + 10 * ts.model());
rnum = ran2(&iseed);
// проходим через дни, чтобы смоделировать реальную торговлю
for(cb = 1; cb <= nb; cb++) (
// не открываем позиций до начала периода выборки
// ... то же самое, что установка MaxBarsBack в TradeStation
if(dt[cb] < IS_DATE) ( eqcls[cb] = 0.0; continue; ]
// выполняем ожидающие приказы и считаем кумулятивный капитал
rc = ts.update(opn[cb], hi[cb], lo[cb], cls[cb),cb);
if(rc != 0) nrerror("Trade buffer overflow");
eqcls[cb] = ts.currenteguity(EQ_CLOSETOTAL);
// считаем количество контрактов для позиции
// ... мы хотим торговать эквивалентом долларовой волатильности
// ... 2 новых контрактов на S&P- 500 от 12/31/98
ncontracts = RoundToInteger(5673.0 / dlrv[cb]);
if(ncontracts < 1) ncontracts = 1;
// избегаем устанавливать приказы на дни с ограниченной торговлей
if(hi[cb+l] == lo[cb+l]) continue;
// генерируем "стандартные" случайные сигналы входа
signal = 0;
rnum = ran2 (Stiseed) ;
if (rnum < 0.025 &&
modeltype == 2) signal = - 1; // случайный короткий вход
else if (rnum > 0.975 &&
modeltype == 1) signal = 1; // случайный длинный вход
// входим в сделки по цене открытия
entryposted = 0;
if(ts.position() <= 0 && signal == 1) (
ts.buyopen('1', ncontracts);
entryposted = 1;
entryprice = opn[cb+l];
entrybar = cb + 1;
}
else if(ts.position() >= 0 && signal == - 1) {
ts.sellopen('2', ncontracts);
entryposted = - 1;
entryprice = opn[cb+l] ;
entrybar = cb + 1;
}
// выходим из сделок, используя модифицированный стандартный выход
// вместе с нейросетевым выходом
exitsignal = rulel[cb] && rule2[cb] && rule3[cb];
if(entryposted > 0} {
// инициализация и выходы для длинных позиций в день входа
limprice = entryprice + ptlim * exitatr[cb];
stpprice = entryprice - mmstp * exitatr[cb];
ts.exitlonglimit{'A' , limprice);
ts.exitlongstop('B', stpprice);
if(exitsignal) ts.exitlongclose('C') ;
}
else if{entryposted < 0) {
// инициализация и выходы для коротких позиций в день входа
limprice = entryprice - ptlim * exitatr[cb];
stpprice = entryprice + mmstp * exitatr[cb) ,•
ts.exitshortlimit('D', limprice);
ts.exitshortstop('E' , stpprice);
if(exitsignal) ts.exitshortclose('F') ;
}
else (
// выходы после дня входа
if(ts.position()> 0) [ // длинные позиции
ts.exitlonglimit('G' , limprice) ;
ts.exitlongstop('H', stpprice);
if(cb- entrybar >= maxhold)
exitsignal) ts.exitlongclose('I') ;
}
else if(ts.position() < 0) [ // короткие позиции
ts.exitshortlimit('J' , limprice);
ts.exitshortstop('K' , stpprice);
if(cb- entrybar >= maxhold
exitsignal) ts.exitshortclose('L');
}
)
} // обрабатываем следующий день
}
Вышеприведенный код демонстрирует логику как входов, так и выходов. Параметр modeltype управляет выбором длинных или коротких позиций для тестирования. Параметры ptlim и mmstp задают соответственно целевую прибыль и защитную остановку; они фиксированы на тех же уровнях, что и в предыдущем тесте нейронной сети. Каждое из трех правил рассчитывается как серия значений ИСТИНА/ЛОЖЬ, и если все три принимают значение ИСТИНА, то подается сигнал на выход exitsig. В текст программы добавлен оператор if, который подает сигнал на выход по цене закрытия, если (if) все три правила дают значение ИСТИНА (exitsig = ИСТИНА). Эволюция правил для длинных и коротких позиций проводилась аналогично эволюции правил для входов, описанной в гл. 12. Использовались 12 хромосом с тремя генами- правилами каждая. Для получения правил выхода из длинных и коротких позиций проводится эволюция 2500 поколений с использованием OptEvolve. Затем для тестирования в пределах и вне пределов выборки отбирались по 10 лучших длинных и коротких решений.
Симуляторы, использованные в этой книге
Мы предпочитаем использовать симуляторы, основанные на практике современного объектно- ориентированного программирования. Одна из причин такого выбора состоит в том, что объектное ориентирование упрощает создание нужного количества моделируемых счетов, каким бы оно ни было. Это в особенности полезно при моделировании торговой системы, управляющей целым портфелем товаров или акций, как это сделано в большинстве тестов в данной книге. Объектно- ориентированные симуляторы также хороши для построения адаптивных самооптимизирующихся систем, в которых иногда требуется использовать внутреннее моделирование. Кроме того, такие программы позволяют достаточно просто создавать метасистемы (системы, принимающие решения на основе графиков изменения капитала других систем). Например, метасистемами можно считать модели распределения активов, поскольку они динамически меняют распределение средств между отдельными торговыми системами или счетами. Хороший объектно- ориентированный симулятор может генерировать графики изменения капитала портфелей и другую информацию для создания и тестирования на исторических данных систем распределения активов, работающих на основе множественных торговых систем. Из этих соображений, а также в силу привычки большинство тестов в этой книге проведены с использованием C- Trader tookit. Для того чтобы почерпнуть полезные знания из этой книги, не требуются познания в C++ и программировании. Логика любой системы или элемента системы будет подробно рассматриваться в тексте.
10 лучших решений с базовой стратегией выхода
В табл. 15- 4 приведены 10 лучших значений для длинных и коротких позиций. Обозначения в таблице: НОМЕР— номер решения, ВЕР— вероятность статистической достоверности (в этих числах пропущена, но предполагается десятичная точка), $СДЕЛ — средняя прибыль/убыток со сделки, СДЕЛ — общее количество проведенных сделок, Ф.ПРИБ — фактор прибыли, ДОХ% — доходность в процентах годовых.
Лучшее из решений для длинных позиций было обнаружено в 845 поколении эволюционного процесса, а для коротких — в 1253 поколении. В отличие от теста моделей входа ни одно из генетически полученных решений не обеспечило прибыли, но, согласно табл. 15- 5, сочетание генетических сигналов с базовой стратегией выходов привело к явному улучшению результатов.
Правила, соответствующие хромосомам из табл. 15- 4, звучат следующим образом.
Правила для выхода из длинной позиции: если цена закрытия текущего дня выше экспоненциального скользящего среднего (ЭСС) цен закрытия с периодом 12 дней, но ниже ЭСС с периодом 49 дней и текущий день представляет собой новый шестидневный максимум, то из длинной позиции следует выходить. Правила, таким образом, ищут ситуацию, где на фоне долгосрочного падающего тренда наблюдается кратковременный рост цен, достигший своего максимума и готовый завершиться, после чего должно возобновиться падение — весьма подходящий момент для выхода из длинной позиции.
Правила для короткой позиции гласят, что выходить следует в случае, когда цена закрытия текущего дня выше 16- дневного ЭСС и 22- дневного простого скользящего среднего цен закрытия, а индикатор конвергенции/дивергенции скользящих средних (MACD) падает. Данный MACD использует ЭСС с периодом 6 дней для быстрого компонента и ЭСС с периодом 10 дней для медленного компонента. Таким образом, система выходит в тех случаях, когда после сглаживания рынок все еще производит впечатление падающего, но последняя цена закрытия пробивает вверх два скользящих средних, что может быть признаком начала нового повышающегося тренда.
Результаты выходов по описанным правилам для длинных и коротких позиций
В табл. 15- 5 приведены результаты торговли с помощью 10 лучших решений (длинные и короткие позиции), использующих МССВ и генетически разработанные сигналы выхода. Входы в рынок были случайными. В таблице отдельно показаны результаты длинных и коротких позиций. Данные также разбиты по номеру теста и по виду выборки. Символы В и ВНЕ означают результаты тестов на данных в пределах выборки и вне пределов выборки соответственно. СТАНД означает тест с использованием только МССВ, ГЕН — тест МССВ в сочетании с генетически разработанными правилами.
В длинных позициях в пределах выборки добавление правил значительно снизило средний убыток в сделке — с $688 до $324. Процент прибыльных сделок повысился с 41 до 43%. Годовое соотношение риска/прибыли улучшилось с —0,35 до —0,17. Вне пределов выборки эффект генетически разработанных сигналов выхода сохранился, хотя и в меньшей степени. Средний убыток в сделке снизился с $1135 до $990. Процент прибыльных сделок повысился с 39 до 41 %.Соотношение риска/прибыли улучшилось с —0,61 до —0,60. В общем, добавление генетически разработанных правил к стандартной стратегии выходов себя оправдало. В отличие от нейронных сигналов выхода эффект сохранился вне пределов выборки, т.е. подгонка под исторические данные и избыточная оптимизация не имели решающего значения.
В коротких позициях как в пределах, так и вне пределов выборки отмечен подобный положительный эффект. В пределах выборки добавление генетически разработанного сигнала выхода снизило средний убыток в сделке с $2084 до $1645. Процент прибыльных сделок не изменился.
Как ни странно, годовое соотношение риска/прибыли ухудшилось с —1,09 до — 1,15. Вне пределов выборки средний убыток в сделке значительно уменьшился: с $1890 до $1058. Процент прибыльных сделок вырос с 38 до 40%, а годовое соотношение риска/прибыли улучшилось с —1,02 до —0,73. Как и ранее, добавление генетически найденного правила выхода к системе МССВ доказало свою эффективность и вне пределов выборки.
Microsoft FoxPro. Краткое руководство по управлению для WindowsЭффективность длинных позиций на различных рынках
В табл. 15- 6 приведена информация о работе системы МССВ совместно с генетически разработанными правилами выхода из длинных позиций на различных рынках. Как в пределах, так и вне пределов выборки были выгодны несколько рынков: NYFE, сырой нефти, неэтилированного бензина и живых свиней. Другие рынки были прибыльными в пределах выборки и убыточными вне пределов выборки, или наоборот. Взаимосвязь между результатами торговли в пределах и вне пределов выборки была низкой.
Эффективность коротких позиций на различных рынках
В табл. 15- 7 приведены результаты выходов из коротких позиций, произведенных на основе МССВ и правил выхода, разработанных с помощью генетических алгоритмов. Здесь связь между эффективностью в пределах и вне пределов выборки была более выраженной. Особенно примечательна прибыль в обеих выборках, полученная на рынке иены. Также были прибыльны рынки сырой нефти, неэтилированного бензина, откормленного скота, живых свиней, соевой муки и кофе.
Заключение
Вышеприведенные тесты продемонстрировали ряд важных фактов. Во первых, нейронные сети вне пределов выборки продемонстрировали меньшую устойчивость, чем генетически разработанные правила. Это, несомненно, связано с большим числом параметров в нейронной сети по сравнению с моделями на основе правил. Иными словами, нейронные сети страдали от избыточной подгонки под исторические данные. Кроме того, было показано, что добавление сложного сигнала выхода, будь то нейронная сеть или набор правил, полученных с помощью генетической эволюции, может значительно улучшить стратегию выходов. При использовании более устойчивых генетических правил полученные преимущества сохранились и при работе вне пределов выборки.
Нейронная сеть и шаблоны правил были изначально предназначены для работы в системах входов и проявили себя достаточно хорошо при генерации редких сигналов входа. В стратегии выходов были бы предпочтительны правила, генерирующие сигналы значительно чаще. Существует обоснованное мнение, что набор шаблонов правил, специально предназначенный для разработки сигналов выхода, был бы гораздо более эффективен. То же самое относится и к нейронным сетям.
Что мы узнали?
Избыточная подгонка под исторические данные вредна не только при создании входов, но также и выходов.
Сложные технологии, включая генетические алгоритмы, могут быть эффективно использованы для улучшения стратегий выхода.
Даже грубые попытки улучшения выходов, подобные приведенным здесь, могут улучшить среднюю прибыль в сделке на сотни долларов.
Заключение
Мы прошли долгий путь с начала изучения стратегий входов и выходов.
Иногда дорога была тяжелой и безрадостной, иногда удивительной и полной надежд. Как всегда после долгого пути, хочется собраться с мыслями и ответить на вопросы: Что же мы узнали? и Как это можно применить?. Ответом на первый вопрос может служить детальное рассмотрение наших результатов: начиная с открытий, сделанных при анализе поведения портфеля на целых классах моделей, и переходя к специфическим комбинациям моделей и приказов, к отдельным рынкам и оптимальным методам торговли на них.
Исследованный в данной книге материал можно уподобить виду с самолета, летящего в темноте: с большой высоты видны только темные пространства (классы моделей, приносящих убытки) и светлые пятна (классы моделей, работающих хорошо или по крайней мере лучше, чем генератор случайных сделок). С этой высоты видна эффективность моделей относительно всего портфеля торгуемых рынков.
Затем самолет снижается. Становится видно больше деталей — видно, что самые яркие скопления образованы источниками света с разной яркостью (сочетаниями моделей и приказов с различной эффективностью). В темных пространствах также попадаются маленькие изолированные точки света (удачные комбинации моделей и приказов на фоне массы убыточных). На этом уровне видны также участки, находящиеся в полутьме (сочетания моделей и приказов, приносящих убытки, но работающих лучше, чем модель случайных сделок, что дает надежду на улучшение в сочетании с качественными правилами выхода).
В конце концов приближается посадка. Можно заглянуть в светлые точки и увидеть их внутреннюю структуру, т.е. отдельные рынки, где лучше всего работают данные комбинации моделей и приказов. Теперь обратимся ко второму вопросу: как это можно применить. Очевидно, что путем определения устойчиво прибыльных (в пределах и вне пределов выборки) сочетаний моделей, приказов и рынков можно создать хорошую стратегию торговли портфелем. К этому моменту будет ясно, что в течение полета мы увидели и узнали достаточно много для того, чтобы создать эффективный портфель торговых систем и финансовых инструментов. В качестве иллюстрации такой портфель будет создан и протестирован со стандартной стратегией выхода.
Крупный план (1)
Мы полностью исследовали каждый из классов моделей входа (т.е. все следующие за трендом модели на основе скользящих средних, все модели на основе пробоев, все малые нейронные сети). Все тесты по каждой из этих групп усреднялись для данных в пределах и вне пределов выборки.
С большим отрывом лидировала генетическая модель: только она давала устойчивую прибыль в усреднении по всем тестам ($3271).
За ней по показателям усредненных результатов следовали малые нейронные сети. Нейронные сети разделяются на крупные и малые, поскольку для крупных сетей проблема подгонки под исторические данные представляет огромную сложность. В тестах каждая модель испытывалась с одной крупной и одной малой сетью. Вне пределов выборки малые нейронные сети в среднем приносили убыток в $860 со сделки. Это, несомненно, лучше, чем результат модели случайных входов, когда убытки составляли в среднем более $2000 при стандартном отклонении около $400.
Далее в порядке убывания эффективности следуют сезонные модели.
В среднем все тесты сезонных моделей приводили к потере $966 со сделки.
Затем следуют три вида моделей на основе скользящих средних (на пересечении, угле наклона и поддержке/сопротивлении). В среднем в сделке они приносили убыток в $ 1500 — это вполне сравнимо с убытком $2100, ожидаемым от чисто случайных входов. Иными словами, модели на основе скользящих средних были лишь немного лучше случайных входов.
Эффективность всех прочих моделей была близкой к случайной, а модели на основе циклов, как оказалось, работали даже хуже случайных входов.
В пределах выборки прибыльными были генетические модели ($12 533 в средней сделке), все нейронные сети ($8940 — мелкие и $13 082 — крупные) и все модели на основе пробоев ($1537). Вне пределов выборки прибыльными остались только генетические модели, нейронные сети работали лучше случайных входов (хотя из- за подгонки под исторические данные их показатели заметно ухудшились), а эффективность моделей пробоев упала до случайного уровня (вредная оптимизация не может быть единственной причиной такого результата).
Далее в пределах выборки в порядке убывания эффективности следуют модели поддержки/сопротивления на основе скользящих средних (средний убыток $300 в сделке) и сезонные модели (средний убыток $671).
Затем следовали лунные и солнечные модели (средний убыток $1076 и $1067 соответственно). Модели на основе скользящих средних приносили убыток от $1300 до $1700. Модели на основе осцилляторов и циклов приводили к убыткам более $2000 со сделки, что не лучше, чем результат генератора случайных входов.
Интересно, что вне пределов выборки сохранили эффективность генетическая модель и малые нейронные сети. Такие модели чрезвычайно
способны к подгонке под исторические данные и часто проваливаются в тестах вне выборки и при реальной торговле. Кроме того, некоторый торговый потенциал был проявлен редко исследуемыми сезонными моделями. При этом наиболее популярные методики (скользящие средние, осцилляторы, циклы) были среди худших как в пределах, так и вне выборки. Примечательно, что модели на основе пробоев в среднем хорошо работали в прошлом, но теперь их эффективность снизилась до уровня модели случайных входов.
В табл. С- 1 приведена прибыль в процентах годовых (первая строка для каждой комбинации модели и приказа) и средняя прибыль в сделке (вторая строка), полученные при использовании стандартной стратегии выхода. Приведенные данные относятся к эффективности торговли портфелем в целом. Описания моделей (левый столбец) соответствуют использовавшимся в этой книге. Последние шесть строк в таблице служат основой для сравнения различных моделей между собой. Они получены при использовании случайных входов и базовой стратегии выходов.
СредДОХ % означает среднюю доходность в процентах годовых на основе нескольких последовательностей случайных входов; СтОтклДОХ% — стандартное отклонение доходности. Сред $СДЕЛ — средняя прибыль/убыток в сделке на основе нескольких последовательностей случайных входов и СтОткл $СДЕЛ — стандартное отклонение средней прибыли в сделке.
Модели на основе пробоя были уникальны тем, что приносили прибыль в пределах выборки при почти всех сочетаниях модели и приказа.
За исключением пробоев волатильности, эти модели работали гораздо лучше случайных входов, хотя и были убыточны вне пределов выборки — убытокбыл менее $1000, иногда менее $300 (средний убыток модели случайных входов составил около $2000). Иными словами, системы на основе пробоев в целом были лучше случайных входов. Но вне пределов выборки они работали гораздо хуже, чем случайные входы. Средний убыток в сделке превышал $5000, как будто поведение рынка было специально настроено на затруднение работы этих систем.
Модели на основе скользящих средних, следующие за трендом (модели пересечения и угла наклона), в пределах выборки работали немного лучше случайных входов — убытки были достаточно серьезными, но почти всегда менее $2000. Ни одна из систем не была достаточно эффективной, и вне пределов выборки картина, в общем, не изменилась, несмотря на большую волатильность результатов: большинство сочетаний работали лучше, чем случайные входы, но все- таки приносили убытки.
Крупный план (2)
Противо трендовые модели на основе скользящих средних работали менее стабильно, чем модели следования за трендом. Многие из них демонстрировали меньшие убытки или даже некоторую прибыль в пределах выборки. Вне пределов выборки наблюдалась аналогичная картина, особенно в отношении модели на основе поддержки/сопротивления скользящих средних.
За исключением модели расхождения MACD, все осцилляторы приносили большие убытки. Почти всегда они работали хуже, чем случайные входы как в пределах, так и вне пределов выборки. Самой худшей была модель перекупленности/перепроданности RSI. В обеих частях выборки данных убытки при ее использовании были огромными, гораздо больше, чем ожидаемые убытки случайных входов.
С другой стороны, сезонные модели были однозначно лучше случайного входа. Хотя только одна из них дала реальную прибыль и в пределах, и вне пределов выборки, две из них были прибыльны вне пределов выборки, а убыток еще нескольких был гораздо меньше, чем ожидаемый убыток модели случайных входов.
Результаты простейшей лунной модели были неоднозначными. В пределах выборки большинство тестов показали убыток, который, тем не менее, был лучше ожидаемого убытка случайных входов. При этом модель на пресечении лунных средних была однозначно лучше случайного входа как в пределах, так и вне пределов выборки.
Хотя солнечные модели в пределах выборки работали лучше случайного входа, вне пределов выборки результаты были неоднородными и изменчивыми. Это также относится к моделям на основе циклов.
Впрочем, циклические модели при входе по лимитному приказу или по цене открытия в последние годы работали гораздо хуже, чем случайные входы. Как и в случае с моделями на основе пробоя, оптимизация здесь не играет роли; значимый уровень подгонки под исторические данные был обнаружен только в генетических моделях и нейронных сетях. Из- за огромного размера образца данных оптимизация одного двух параметров, необходимых для большинства моделей (за исключением генетической и нейронной сети) давала минимальный эффект вредной подгонки.
Как ни странно, модели на основе нейронных сетей довольно часто показывали неплохие (лучше случайных) результаты вне пределов выборки. В пределах выборки, естественно, эффективность нейросетей была потрясающей. Мы проводили коррекцию коэффициента корреляции, но и после коррекции корреляция оставалась значимой, сохраняя вне пределов выборки ощутимую реальную прогностическую ценность.
Результаты правил, разработанных с помощью генетических алгоритмов, были самыми лучшими. Великолепная эффективность, полученная в пределах выборки, сохранялась в длинных позициях и на данных вне выборки.
Обобщение
Многие из моделей были описаны как значительно превосходящие случайные входы. Эти модели могли бы стать прибыльными в сочетании с улучшенной стратегией выходов. В части III книги стало очевидно, что при использовании случайного входа хорошая стратегия выхода способна повысить прибыль (или снизить убытки) примерно на $1000 в средней сделке. Это означает, что при хорошем выходе модели, терпевшие убытки в несколько сот долларов, могут стать прибыльными.
Как было сказано выше, путь был долгим, порой трудным и обескураживающим. Но при этом взгляд с высоты сумел обнаружить много потенциально прибыльных моделей входа. Кроме того, было обнаружено немало сюрпризов: так, несмотря на ужасную репутацию и опасную тенденцию к подгонке под исторические данные, наилучшими вне пределов обучающей или эволюционной выборки оказались именно нейронные сети и генетические модели. Другим сюрпризом оказалось то, что некоторые из наиболее популярных торговых подходов — например, пересечения скользящих средних и стратегии на основе осцилляторов — оказались в числе наихудших всего с несколькими исключениями. Примечательны были также результаты исследования циклических моделей, от которых ожидали хорошей, если не идеальной работы на основе их теоретического изящества. Но, возможно, ввиду их популярности, даже при солидной математической реализации эффективность этих моделей была низкой.
Оптимизаторы и оптимизация
Прекрасно разрабатывать торговые системы, не задумываясь об оптимизации. Но в реальности создание надежной системы — путь проб и ошибок, на котором какие- либо формы оптимизации неизбежны. Оптимизатор присутствует всегда — если не на поверхности, то в глубине процесса.
Оптимизатор как таковой — это программа или алгоритм, пытающийся найти лучшее из возможных решений задачи; оптимизация — процесс поиска, подбора этого решения. Оптимизатор может быть отдельной программой, возможно, выполненной в виде класса C++, объекта Delphi или функции ActiveX. Мощные продвинутые оптимизаторы часто создаются в виде компонентов, встраиваемых в программы, которые будет разрабатывать пользователь. Менее сложные оптимизаторы, например встречаемые в программах построения графиков высокого уровня, — обычно простые алгоритмы, занимающие несколько строчек программного кода.
Поскольку любое решение, приводящее к оптимизации, является оптимизатором, оптимизация не обязательно связывается с компьютерами — оптимизатором может быть и человек, занятый решением задачи!
Надо сказать, что человеческий мозг — одна из наилучших эвристических систем на земле!
Светлые точки
Проводилось исследование эффективности торговли целым портфелем для каждого из трех видов приказов на вход (вход по цене открытия, по лимитному и стоп- приказу). Эффективность в пределах и вне пределов выборки оценивалась по отдельности.
Наилучшая эффективность вне пределов выборки была показана генетическими моделями в длинных позициях. Вход по цене открытия был особенно прибылен (прибыль в процентах годовых — 64,2% в пределах и 41,0% вне пределов выборки). Эта модель была прибыльна также при входе по лимитному приказу и по стоп- приказу, принося высокие средние прибыли в сделке. Однако данная модель генерировала сделки очень редко (что можно исправить более сложными версиями подобных моделей).
В порядке убывания эффективности вне пределов выборки следующей была комбинация модели пересечения сезонных средних с подтверждением при входе по стоп- приказу. Подобно длинным позициям генетической модели, она была прибыльна и в пределах, и вне пределов выборки: в пределах выборки средняя прибыль в сделке составила $846 при доходности 7,4%; вне пределов выборки средняя прибыль в сделке $1677 при доходности 9,5%. Другие сезонные модели также работали хорошо.
Вне пределов выборки простая сезонная модель на основе пересечения также была прибыльной.
Затем идет модель на основе точки разворота под управлением нейронной сети 16- 10- 1в коротких позициях. Эта модель давала прибыль везде и со всеми входами: вне пределов выборки при входе по цене открытия модель показала доходность 9,3% годовых, причем средняя сделка принесла $580 прибыли; в пределах выборки данные показатели составили 35,2% и $8448 соответственно.
Далее, модель на обращенном во времени Медленном %К также показывала прибыль, особенно со входом по стоп- приказу. Вне пределов выборки доходность составила 6,1%, а средняя прибыль в сделке $362. В пределах выборки эти показатели равнялись 22,5% и $6764 соответственно.
Обратите внимание на значительное ухудшение результатов при переходе к данным вне пределов выборки: хотя это свидетельствует о подгонке под исторические данные, система осталась прибыльной и вне выборки, и, таким образом, она может использоваться в реальной торговле.
Еще одна модель, прибыльная на обеих выборках данных, — это модель расхождения MACD, особенно при входе по лимитному приказу. Вне выборки ее доходность составила 6,1% при средней прибыли в сделке, равной $985. В пределах выборки эти показатели составили 6,7% и $1250 соответственно.
И наконец, среди моделей, показавших прибыль как в пределах, так и вне пределов выборки, следует упомянуть модель поддержки/сопротивления на основе простых скользящих средних с входом по стоп- приказу: вне выборки ее годовая доходность составила 6,4% при средней прибыли в сделке $482. В пределах выборки эти показатели составили 5,8% и $227 соответственно.
Почти все оставшиеся модели приносили убытки вне выборки, а многие — даже в пределах выборки. Единственным исключением была модель на основе пробоев волатильности, ограниченная валютными рынками, которая работала весьма хорошо (в пределах выборки — 12,4% в год, $3977 со сделки, вне пределов выборки — 8,5% и $2106 соответственно).
Обобщение
Несмотря на то что большинство остальных сочетаний моделей и входов были убыточны вне пределов выборки, во многих случаях убыток был меньше, чем ожидаемый убыток системы случайных входов.
Видимо, существует ряд моделей, далеких от идеала и требующих дальнейшей разработки, но способных в пределах выборки давать прибыль, сохраняя вне выборки приемлемые статистические показатели.
Светлые точки вблизи
До этого момента мы обсуждали только работу моделей, тестируемых на целом портфеле. При тестировании было сделано множество замечаний, касающихся особенностей работы той или иной системы на определенных рынках. Зачастую отмечалось, что данная модель, видимо, работает на этих рынках хорошо, а другие модели на них же — плохо. Нет сомнений, что путем подбора лучших сочетаний моделей и рынков можно создать портфель систем для торговли портфелем рынков. При изложении результатов тестов в данной книге были отмечены хорошие сочетания рынков и моделей без дополнительной оптимизации параметров.
Портфель формировался на основе статистической значимости в пределах выборки. Целью был поиск оптимального сочетания модели и входа для каждого из рынков в составе портфеля. Если для данного рынка потенциально подходило несколько моделей, то лишние отбрасывались по признакам сложности (чем сложнее модель, тем меньше к ней доверие), плохой работы с целым портфелем и подобных факторов. Специфические комбинации, отобранные в результате, включают весь спектр различных осцилляторов, скользящих средних, лунных и солнечных моделей, сезонных моделей и нейронных сетей; не включены только генетические алгоритмы, поскольку в наших тестах генетические системы совершали очень редкие сделки. При этом на рынках, хорошо работавших в пределах выборки, система обычно вообще не торговала вне выборки — прибыль вне выборки была получена на совершенно других рынках. Это не означает, что поведение системы вне пределов выборки было плохим — просто, если рынок был прибылен в одной части, то в другой почти не использовался. Малое количество сделок, характерное для генетической модели, было обусловлено специфическими свойствами данного набора правил и способов их сочетания в сигналах покупки и продажи.
При некоторых изменениях наборов правил, особенно в количестве используемых правил и их сочетаний, можно в корне изменить настройку алгоритмов на редкие события.
Для некоторых рынков иногда невозможно было найти предпочтительную модель. В таких случаях подбиралась модель, плохо работавшая на рынке в целом, но приносившаяприбыль на одном- двух трудных рынках. Например, модель перекупленности/перепроданности RSI с входом по лимитному приказу на портфеле работала плохо, но на рынках золота и серебра — приемлемо (в пределах выборки годовая доходность 27,3 и 3,9%, а средняя сделка — $9446 и $4164 по золоту и серебру соответственно) . Вне пределов выборки доходность в процентах годовых составила 23,6% (золото) и 51,7% (серебро), средние прибыли в сделках — $12 194 и $24 890 соответственно.
Одна из крупных нейронных сетей, которые, по- видимому, были переоптимизированы, была протестирована на трех рынках пшеницы, где ни одна другая модель не давала статистически значимых результатов. При этом крупная нейронная сеть, предсказывающая точки разворота и торгующая только длинными позициями с входом по лимитному приказу, дала статистически значимые результаты на каждом из рынков пшениц (более 40% годовой прибыли и более $15 000 со средней сделки в пределах выборки). Как ни странно, несмотря на большой размер сети и опасность вредной подгонки под исторические данные, вне пределов выборки модель показала доходность 24% и в среднем заработала $5000 на каждом из рынков пшеницы.
Циклическая модель, едва ли работавшая на каком- либо рынке, успешно торговала S&P 500, показав годовую доходность 15,3% при средней прибыли в сделке $4613 в пределах выборки. Вне пределов выборки эта модель показала доходность 21,4% годовых при средней прибыли в сделке $4698. Следует отметить, что по данным нашего прошлого исследования (Katz, McCormick, май 1997), циклическая модель весьма успешно работает на рынке S&P 500.

Рисунок С- 1. График изменения капитала для множественного портфеля систем и рынков.
Когда для каждого рынка было найдено хорошее сочетание модели и входа, мы провели анализ эффективности рынков в пределах и вне пределов выборки. Был построен график изменения капитала, покрывающий оба периода (рис. С- 1).
Мы были удивлены, обнаружив, что вне пределов выборки торговля портфелем систем и рынков принесла прибыль в размере 625% годовых!
Так как сочетания рынков и моделей подбирались по их статистической значимости в пределах выборки, то полученная доходность 544% годовых в пределах выборки была в некоторой степени ожидаемой. Тем не менее вероятность получения такой прибыли в пределах выборки составляет всего- навсего 1 из 3 000 000 000 000 000 000, т.е. 3 X1018. Даже если проводить объемную оптимизацию с десятками тысяч тестов, то результат будет все равно статистически чрезвычайно достоверен. Вне пределов выборки вероятность случайно получить такое соотношение риска/прибыли или годовой доход равна 1 к 40 миллионам — здесь даже после коррекции на широчайшую оптимизацию статистическая достоверность результата будет чрезвычайно велика. На самом деле вне пределов выборки оптимизация не проводилась. В пределах выборки все системы оптимизировались на целом портфеле. Параметры моделей ни разу не подвергались коррекции для работы на выбранных специфических рынках, и использовалась только стандартная стратегия выходов. Использование лучших из стратегий выходов, описанных в части III, могло бы очень значительно улучшить эффективность в целом.
Таким образом, несмотря на то что большинство систем не работают и большинство тестов показывают убытки, достаточно обширный поиск может привести к созданию стратегии торговли портфелем, способной без всякого преувеличения дать звездные результаты.
Что делают оптимизаторы
Оптимизаторы существуют для поиска лучшего возможного решения задачи. Что под этим понимается? Прежде чем ответить на этот вопрос, давайте сначала проясним, что же является решением. В торговле на бирже под решением понимается некий набор правил торговли и, возможно, системных параметров.
У всех торговых систем есть не менее двух правил (правило входа и правило выхода), и у большинства имеется один или несколько параметров. Правила содержат логику системы и обычно имеют вид команд типа если- то на языке, на котором написана торговая система. Параметры определяют поведение описанной в правилах логики; они могут включать длины скользящих средних, важности связей в нейронной сети, пороги сравнений, уровни защитных остановок и цели фиксации прибыли и т.д.
Простая система пересечения скользящей средней, использованная как пример в предыдущей главе, имеет два правила: одно — для приказа на покупку, другое — для приказа на продажу. У нее также был один параметр — длина скользящего среднего. Правила и параметры полностью определяют систему и ее поведение. Для получения лучшего эффекта от торговой системы может потребоваться изменение параметров и формулировок правил.
Нет сомнения, что одни сочетания правил и параметров, которые определяют системы, работают хорошо, а другие — плохо; т.е. решения бывают разного качества. Хорошее качество модели или решения, измеренное относительно некоего стандарта, называется пригодностью. Противоположность пригодности, т.е. показатель неадекватности решения, называется расходом.
На практике пригодность определяется функцией пригодности — блоком программы, который рассчитывает показатель относительной привлекательности решения. Функция может быть запрограммирована для определения пригодности именно так, как пожелает трейдер: например, пригодность можно определять как общую прибыль за вычетом максимального падения капитала. Функция расходов устроена аналогично, но чем выше ее значение, тем хуже работает система. Сумма квадратов ошибок, часто вычисляемая при использовании систем с нейронными сетями или линейной регрессией, может служить примером функции расходов.
Теперь можно определить наилучшее возможное решение задачи: это решение, имеющее максимальную пригодность или минимальный расход. Оптимизаторы пытаются найти лучшее решение проблемы с помощью поиска максимума функции пригодности или минимума функции расхода.
Лучшее возможное решение задачи может быть найдено разнообразными способами. В некоторых случаях задача может быть решена простым методом проб и ошибок, особенно если поиск решения не полностью автоматизирован, а проводится вручную. В других случаях могут потребоваться сложные процедуры и алгоритмы. Например, симуляция процесса эволюции (в генетическом оптимизаторе) — очень мощный метод поиска качественных решений для сложных задач. В некоторых случаях лучшее решение — аналитическая (вычислительная) процедура, например метод сопряженных градиентов. Аналитическая оптимизация — эффективный подход для задач с гладкими (дифференцируемыми) функциями пригодности, например задач, встречающихся при обучении нейронных сетей или разработке множественных моделей линейной регрессии.
Как используются оптимизаторы
Оптимизаторы — замечательные инструменты, применимые множеством способов. Они помогают определить форму самолетов, сконструировать автомобили и даже выбрать маршрут доставки почты. Трейдеры в некоторых случаях используют оптимизаторы для определения комбинаций правил, ведущих к выгодной торговле. Во втором разделе мы покажем, как генетический оптимизатор может создавать выгодные модели для правил входа. Чаще всего трейдеры обращаются к оптимизаторам для поиска наиболее подходящих параметров системы; практически любые оптимизаторы, за исключением разве что аналитических, могут привлекаться для этой цели. Различные виды оптимизаторов, включая мощные генетические алгоритмы, полезны для обучения систем с нейронными сетями или нечеткой логикой. Должным образом подобранные стратегии оптимизации позволяют решать проблемы распределения активов. Иногда кажется, что единственный предел применения оптимизаторов — фантазия пользователя, но в этом кроется опасность: мощность и привлекательность инструмента часто приводят к злоупотреблению оптимизацией. Далее рассмотрим правильное и ошибочное применение оптимизаторов.
Сигналы входа на основе лунного
Энциклопедия стратегий Глава 2 Входы на основе циклов
Виды оптимизаторов
Существует много видов оптимизаторов, каждый со своими преимуществами и недостатками, сильными и слабыми сторонами. Оптимизаторы можно классифицировать по таким критериям, как автоматический или ручной, простой или сложный, специальный или общего назначения, аналитический или стохастический. Все оптимизаторы, вне зависимости от вида, эффективности и надежности, ведут поиск лучшего из многих потенциальных решений формально поставленной задачи.
Скрытые оптимизаторы
Бывает, что нельзя кликнуть мышкой на кнопку с надписью Оптимизировать. Нет команды, которую можно было бы отдать программе — да нет ни самой программы, ни компьютера вообще. Значит ли это, что оптимизации не происходит? Нет. Даже при отсутствии видимого оптимизатора и признаков оптимизации процесс идет сам по себе — это называется скрытой оптимизацией. Все происходит таким образом: трейдер испытывает набор правил, основанный на некоторых идеях, касающихся рынка. Результаты системы неудовлетворительны, и трейдер перерабатывает идеи, меняет правила и снова тестирует систему, получая лучший результат. Повторив свои действия несколько раз, он получает систему, которой можно доверить реальную торговлю. Можно ли считать эту систему оптимизированной? Поскольку никакие правила или параметры не подвергались модификации с помощью компьютерных программ, кажется, что трейдер с успехом разработал неоптимизированную систему. Но при этом испытывалось более одного варианта параметров, что привело к выбору оптимального решения — следовательно, система все- таки была оптимизирована! Любая форма решения задачи, где рассматриваются множественные варианты, из которых выбирается один, де- факто может считаться оптимизацией. Мозг трейдера, использующий мысленные алгоритмы решения задач, например эвристические алгоритмы проб и ошибок, является мощнейшим оптимизатором. Это означает, что оптимизация присутствует всегда и всегда работает; другого выхода просто не существует!
Оптимизаторы с лобовым подходом
Оптимизатор с лобовым подходом определяет оптимальное решение путем систематического перебора всех потенциальных вариантов, т.е. сочетаний правил, параметров или того и другого вместе. Поскольку требуется проверить все варианты, оптимизация может быть чрезвычайно медленной, и, тем медленнее она идет, чем больше комбинаций подлежит рассмотрению. Таким образом, оптимизация с лобовым подходом подвержена действию правил комбинаторного взрыва. Насколько же медленна оптимизация с лобовым подходом? Рассмотрим случай, когда у нас есть четыре параметра и каждый из них может принимать одно из 50 значений. Лобовая оптимизация потребует перебрать в тестах 504 (около б миллионов) сочетаний параметров для поиска одного идеального; если (как, например, характерно для TradeStation) каждый тест займет 1,62 с, то весь процесс займет около 4 месяцев. Этот подход не очень практичен, особенно при большом количестве параметров и их значений, а также в том случае, если, кроме оптимизации, у вас есть и другие интересы в этой жизни. Тем не менее оптимизация с лобовым подходом полезна и эффективна; при правильном использовании она всегда находит самый лучший вариант, так что лобовой подход предпочтителен для задач, где количество комбинаций можно перебрать за несколько минут, а не за месяцы и годы.
Для оптимизации с лобовым подходом не требуется длинных программ, обычно используются простые циклы. Параметры изменяются от начального до конечного значения с определенным шагом при помощи оператора For loop (С, C++, Бейсик, Pascal/Delphi) или Do loop (FORTRAN). Оптимизатор с лобовым подходом для двух параметров, написанный на современном диалекте Бейсика, может выглядеть примерно так:
BestFitness = - 1.0E30
For Parml = Parm1Start To Parm1Stop By Parm1lncr
For Parm2 = Parm2Start To Parm2Stop2 By Parm2Incr
RunSystem (Parm1, Parm2, GlobalData)
CurrentFitness = CalcFitness (GlobalData)
WriteProgressLine (GlobalData)
If CurrentFitness > BestFitness Then
CurrentFitness = BestFitness
BestParm1 = Parm1
BestParm2 = Parm2
End If
Next Parm2
Next Parm1
Поскольку оптимизаторы с лобовым подходом концептуально просты и легки в программировании, их часто встраивают в более продвинутые программные пакеты для трейдеров.
Как пример практической оптимизации с лобовым подходом рассмотрим систему, основанную на пересечении двух скользящих средних, реализованную при помощи TradeStation.
Система оптимизировалась по показателю общей прибыли (это единственный показатель, который TradeStation может оптимизировать без дополнительных модулей). Ниже приведен код для торговой системы на двух скользящих средних:
{ Система пересечения двух скользящих средних в Easy Language }
Inputs: LenA(4), LenB(l0);
If (Average(Close, LenA) > Average(Close, LenB)) And
(Average(Close, LenA)[1] <= Average(Close, LenB)[1] ) Then
Buy ("A") 1 Contract at Market;
If (Average(Close, LenA) <= Average (Close, LenB)) And
(Average(Close, LenA)[1] > Average (Close, LenB)[1]) Then
Sell ("B") 1 Contract at Market;
Система была оптимизирована изменением периода первой скользящей средней (LenA) от 2 до 10 с шагом в 2. Период второй скользящей средней (LenB) оптимизировался от 2 до 50 с тем же шагом. Шаг был принят более 1, чтобы испытывалось менее 200 сочетаний параметров (TradeStation может хранить данные не более чем о 200 оптимизационных тестах). Поскольку были исследованы не все возможные сочетания параметров, оптимизация не была проведена идеально; лучшее значение могло оказаться пропущенным при поиске. Таким образом, оптимизация проходила в 125 тестов, что заняло 3 мин. 24 с времени для обработки данных за 5 лет исторических данных на конец дня на компьютере с процессором Intel 486 частотой 66 МГц. Полученные результаты были загружены в таблицу Excel и сортировались по общей прибыли. В табл. 3- 1 приведены различные показатели эффективности для 25 лучших вариантов.
В таблице: LENA означает период короткой скользящей средней, LENB — период длинной скользящей средней, ЧИСТ. — чистую прибыль, Д.ПРИБ, — чистую прибыль для длинных позиций, К.ПРИБ. — чистую прибыль для коротких позиций, Ф.ПРИБ. — фактор прибыли, ДОХ — общую (не годовую) доходность счета, МаксПК — максимальное падение капитала, СДЕЛ — общее количество совершенных сделок, ПРИБ % — процент прибыльных сделок.
Поскольку оптимизация — проблема поиска и нахождения решений, то порой найденные решения оказываются неожиданными, как случилось и в данном примере. Привычная трейдерская мудрость гласит:
Тренд— твой друг. При этом если вторая скользящая средняя имеет период меньше первого, то наиболее выгодные сделки в табл. 1- 3 совершены против тренда.
Оптимизация под управлением пользователя
Оптимизация под управлением пользователя ведется при сотрудничестве человека и программы. Как и при оптимизации с лобовым подходом, происходит испытание различных вариантов в поисках оптимального решения, но если в первом случае ведется всеобъемлющий поиск во всем множестве вариантов, оптимизация под управлением пользователя ведется, как выборочная охота, только в некоторых участках пространства решений. Замысел в том, что при вмешательстве человека процесс оптимизации способен быстро обнаружить оптимальные значения, не отвлекаясь на обследование каждого тупика.
При оптимизации под управлением пользователя применяются те же самые инструменты, что и при оптимизации с лобовым подходом. Вместо единственной оптимизации по всем возможным наборам параметров проводится несколько частичных оптимизаций, каждая из которых состоит всего из нескольких тестов. Например, в каждой оптимизации будет изменяться только один параметр, или же все параметры будут протестированы с большим шагом, создавая грубую сетку результатов. После каждой частичной оптимизации результаты анализируются, и затем проводится следующая частичная оптимизация. Таким образом, процесс приводит к обнаружению желаемого решения.
Достичь успеха в оптимизации под управлением пользователя можно только при наличии серьезных знаний и опыта в проведении подобных исследований. При соответствующем навыке и опыте оптимизация под управлением пользователя может быть чрезвычайно эффективной и гораздо более быстрой, чем оптимизация с лобовым подходом. Скорость и эффективность — результат сочетания расчетов с разумом: зоны, где высока вероятность успеха, можно исследовать тщательно, а зоны без потенциальных результатов можно отсеять, сэкономив время.
Оптимизация под управлением пользователя наиболее уместна, если другими методами уже установлены приблизительные значения, если проблема знакома или хорошо понятна или если требуется оптимизировать небольшое количество параметров. Оптимизация под управлением пользователя — замечательный способ отшлифовать имеющееся решение, а также полезный способ определения чувствительности имеющихся моделей к изменениям правил и параметров.
Генетические оптимизаторы
Представьте себе нечто, способное решить все проблемы, связанные с созданием человека — нечто, представляющее собой вершину всех методов оптимизации и решения задач. Что это такое? Известный процесс эволюции. Генетические оптимизаторы пытаются использовать часть этой невероятной способности к решению задач при помощи грубой симуляции эволюционного процесса. По параметрам общей эффективности и размаха решаемых программ никакой многоцелевой оптимизатор не превосходит хорошо написанный генетический оптимизатор.
Генетические оптимизаторы являются стохастическими в том смысле, что они используют в работе случайные числа. Может показаться невероятным, что бросание кубиков помогает решать задачи, но при правильном подходе это так! Кроме случайности генетические оптимизаторы используют отбор и комбинирование. Продуманная интеграция случая, отбора и комбинации — причина успешной работы генетических оптимизаторов. Полное обсуждение генетических алгоритмов, служащих основой для генетических оптимизаторов, приведено во втором разделе книги.
Генетические оптимизаторы могут иметь множество ценных характеристик, например скорость (особенно при наличии риска комбинаторного взрыва). Генетический оптимизатор работает на несколько порядков быстрее, чем оптимизатор с лобовым подходом, особенно при наличии множества правил или значений параметров. Это происходит потому, что, как и при оптимизации под управлением пользователя, идет фокусировка на важных участках пространства решений, а тупики пропускаются. В противоположность оптимизации под управлением пользователя селективный поиск достигается без вмешательства человека.
Генетические оптимизаторы могут быстро решать сложные задачи и более устойчивы, чем другие подходы, к эффектам локальных максимумов или (минимумов) на поверхности значений функции пригодности (или затрат). Вычислительные методы плохи тем, что всегда ведут к ближайшей вершине или впадине, не обращая внимания на более высокие вершины или впадины, которые могут существовать в других местах. При этом хороший генетический оптимизатор часто находит лучшее глобальное решение — великолепный результат при сложной форме поверхности.
Еще одна характеристика генетической оптимизации — то, что она хорошо работает на поверхностях с разрывами, плоскими участками и другими сложными неупорядоченными формами. Генетический метод делит это преимущество с другими неаналитическими методами — лобовым подходом, управлением пользователем и пр. При помощи генетического оптимизатора можно найти решения, максимизирующие такие показатели, как чистая прибыль, доходность, отношение Шарпа и подобные, для которых поверхность функции пригодности имеет сложную форму, с трудом поддающуюся анализу. Это не означает, что такой оптимизатор не применяется для задач с простыми поверхностями — уступая в скорости вычислительным методам, генетический оптимизатор защищен от влияния ловушек локальных экстремумов.
В общем, генетические оптимизаторы — предпочтительные методики для систем с множеством правил или параметров; они особенно полезны, если необходимо найти глобальное решение или работать с весьма сложными (прерывистыми и недифференцируемыми) функциями пригодности или расходов. Хотя специализированные оптимизаторы могут обгонять генетические на избранных задачах, для многоцелевой оптимизации генетический метод — один из самых мощных доступных инструментов.
На что похож генетический оптимизатор в работе? Мы перевели на C++ код для системы с пересечением скользящих средних, упоминавшейся ранее, чтобы при помощи C- Trader toolkit решать задачу оптимизации двух параметров — LenA и LenB. LenA, период первой скользящей средней, исследовался при значениях от 2 до 50, так же как и LenB — период второй скользящей средней. Оптимизация велась по показателю общей прибыли, чтобы можно было напрямую сравнивать результаты с полученными ранее методом оптимизации с лобовым подходом. Ниже приведен код для системы пересечения скользящих средних, написанный на C++:
static void Model (float *parms, float *dt, float *opn, float *hi, float *lo, float *cls, float *vol, float *oi, int nb, TRDSIM &ts, float *eqcls) {
// Выполнение тестирования всех моделей скользящих средних,
// используя следующие аргументы:
// parms — набор [1..MAXPRM] параметров
// dt - набор [l..nb] дат в формате ГГММДД
// орn — набор [1..nb] цен открытия
// hi - набор [l..nb] максимальных цен
// 1о — набор [1..nb] минимальных цен
// cls - набор [1..nb] цен закрытия
// vol — набор [1..nb] значений объема
// oi — набор [1..nb] значений открытого интереса
// nb - количество дней в наборе данных
// ts — ссылка на класс торгового симулятора
// eqcls — набор [1..nb] уровней капитала по ценам закрытия
//объявляем локальные переменные и макрофункции
static int cb, LenA, LenB;
static float MavgA[MAXBAR+1] , MavgB[MAXBAR+1] ;
#define CrossesAbove(a,b) ( (a[cb]>=b[cb])&&{a[cb- l]
#tdefine CrossesBelow(a,b) ((a[cb]=b[cb- l]))
//очищаем счет и снимаем неисполненные приказы
ts.clear{);
//считаем скользящие средние, используя серии (наборы} функций
LenA = parms[1];
LenB = parms[2];
Averages(MavgA, cls, LenA, nb);//Первая скользящая средняя
Averages(MavgB, cls, LenB, nb);//Вторая скользящая средняя
//проходим через дни, чтобы моделировать реальную торговлю
for (cb = 1; cb <= nb; cb++) {
//не открываем позиций в прошлом периоде
if(dt[cb] < 910302) { eqcls[cb] = 0.0; continue; }
//выполняем ожидающие ордера и считаем кумулятивный капитал
ts.update(opn[cb], hi[cb], lo [cb], cls [cb], cb) ;
eqcls [cb] = ts.currentequity(EQ_CLOSETOTAL);
//правило торговой системы пересечения двух скользящих средних
if (CrossesAbove(MavgA, MavgB)) ts.buyopen('A', 1);
if (CrossesBelow(MavgA, MavgB)) ts.sellopen('B', 1);
Для поиска оптимальных параметров путем оптимизации с лобовым подходом потребовалось бы провести 2041 тест, т.е. около 56 минут работы TradeStation согласно опыту прошлого тестирования небольшой выборки. Генетический оптимизатор справился с заданием за минуту. Кроме того, генетический оптимизатор был остановлен после проведения всего лишь 133 тестов, что должно значительно ухудшить его результат.
Данные генетического оптимизатора приведены в табл. 3- 2, где Р1 — период первой скользящей средней, Р2 — период второй скользящей средней, ЧИСТ. — чистая прибыль, Д.ЧИСТ, — чистая прибыль для длинных позиций, К.ЧИСТ. — чистая прибыль для коротких позиций, Ф.ПРИБ — фактор прибыли, ДОХ % — доходность в процентах годовых, МаксПК — максимальное падение капитала, СДЕЛ — количество совершенных системой сделок, ПРИБ% — процент выгодных сделок, Сред.рез. — прибыль или убыток от средней сделки и ПРИГ. — пригодность решения (в данном случае — просто общая прибыль). Как и в случае с данными лобовой оптимизации в табл. 3- 1, генетические данные были рассортированы по эффективности (общей прибыли) и показаны только 25 лучших.
Сравнение результатов генетической оптимизации и оптимизации с лобовым подходом (табл. 3- 1 и 3- 2 соответственно) показывает, что генетический оптимизатор обнаружил решение, для которого общая прибыль была выше ($172,725 против $145,125). Это неудивительно, поскольку исследовалось большое поле вариантов и скорость оптимизации не была ограничена последовательными шагами. Удивительно скорее то, что решение было обнаружено так быстро, несмотря на прерванный преждевременно эволюционный процесс. Подобные результаты демонстрируют невероятную мощь генетической оптимизации.
Оптимизация моделированием отжига
Оптимизаторы, основанные на моделировании отжига, воспроизводят термодинамический процесс замерзания жидкостей и отжига металлов.
При высокой температуре атомы в жидкости или расплавленном металле быстро перемещаются случайным образом. При медленном остывании они располагаются в упорядоченную кристаллическую структуру, представляющую минимальное энергетическое состояние системы. При программном моделировании этот термодинамический процесс успешно решает крупномасштабные задачи оптимизации.
Как и генетическая оптимизация, моделирование отжига — очень мощная стохастическая методика, основанная на естественном явлении, которое может находить глобально оптимальные решения и работать с неупорядоченными функциями эффективности. Моделирование отжига эффективно решает комбинаторные проблемы, включая известную задачу о коммивояжере или проблему оптимального расположения миллионов элементов современных интегральных микросхем, например компьютерных процессоров. Методы, основанные на моделировании отжига, не следует ограничивать комбинаторной оптимизацией; они могут быть легко применены для оптимизации параметров с реальными значениями. Следовательно, оптимизаторы, основанные на моделировании отжига, применимы к широчайшему кругу задач, включая задачи, интересующие трейдеров.
Поскольку генетические оптимизаторы столь эффективны, мы не столкнулись с необходимостью широко исследовать оптимизаторы, основанные на моделировании отжига. Кроме того, поступали сообщения, что во многих случаях алгоритмы отжига уступают генетическим, таким образом, не было необходимости давать примеры метода моделирования отжига и рассматривать его далее.
Аналитические оптимизаторы
Анализ (в смысле математический или комплексный анализ) является расширением классического исчисления. Аналитические оптимизаторы используют наработанные методы, в особенности методы дифференциального исчисления и исследования аналитических функций для решения практических задач. В некоторых случаях анализ дает прямой (без перебора вариантов) ответ на задачу оптимизации. Так происходит при использовании множественной регрессии, где решение находится с помощью нескольких матричных вычислений. Целью множественной регрессии является подбор таких весов регрессии, при которых минимизируется сумма квадратов ошибок. В других случаях требуется перебор вариантов, например невозможно определить напрямую веса связей в нейронной сети, их требуется оценивать при помощи алгоритма обратного распространения.
Многие методы перебора данных, используемые для решения многовариантных проблем оптимизации, применяют в том или ином виде метод сопряженных градиентов (максимальной крутизны). В общем виде оптимизация методом сопряженных градиентов ведется следующим образом. Некоторым образом выбирается точка на поверхности функции пригодности. Вектор градиента поверхности в данной точке оценивается с помощью дифференцирования функции пригодности по каждому из параметров. Полученный градиент указывает направление максимального роста функции пригодности в n- мерном пространстве параметров. В направлении градиента делаются шаги до тех пор, пока функция пригодности не перестанет расти. Затем расчет градиента повторяется, движение начинается в новом направлении, и так раз за разом, пока не будет достигнута вершина, т.е. точка с нулевым градиентом.
Для применения оптимизации по методу сопряженных градиентов необходимо разработать правила определения размеров каждого шага, а также правила корректировки направления, задаваемого градиентом. Примитивные версии исходят из того, что существует поверхность функции пригодности (приближаемая сходящимися степенными рядами), где имеются холмы, по которым следует подниматься. Более продвинутые версии идут далее, исходя из того, что функция пригодности может быть неплохо приближена квадратичной формой. Если функция пригодности соответствует этому предположению, то найти решение можно гораздо быстрее. Впрочем, если поверхность функции пригодности имеет сильно изрезанную форму с впадинами и выступами неправильных очертаний, квадратичные формы часто не могут дать хорошего приближения. В таких случаях сложные методы могут вовсе не находить решения или по крайней мере работать гораздо медленнее.
Тем не менее низкая скорость оптимизации не является главным препятствием на пути аналитика. Гораздо сложнее справиться с так называемой проблемой локальных решений. Почти все аналитические методы, будь они простыми или сложными, легко попадаются в ловушку локальных максимумов; при наличии множества впадин и выступов на поверхности они не могут найти наилучшее глобальное решение. Метод наименьших квадратов, моделирование нейронными сетями дают поверхности функции пригодности неправильной формы с большим количеством локальных экстремумов. Данные поверхности чрезвычайно сложны для стандартных аналитических методов, таких как метод сопряженных градиентов или алгоритм обратного распространения, применяемый в нейронных сетях. Впрочем, местные максимумы можно обойти, соединив аналитический метод с генетическим. Для поверхностей, которые можно исследовать аналитическими методами, такой двойной алгоритм может оказаться наилучшим решением; он позволит быстро и с большой точностью найти глобальные оптимумы.
Некоторые поверхности функции пригодности просто не поддаются аналитической оптимизации; как правило, это поверхности, имеющие плоские участки или разрывы в областях, где следует искать решение. Плоскости не имеют градиентов, следовательно, нельзя выбрать направление для движения. В точках разрыва также нельзя определить градиент и направление движения. Даже если метод и не использует градиенты напрямую, эта информация все равно потребуется алгоритму оптимизации. К несчастью, многие функции пригодности, важныедля трейдеров, — включая все функции, связанные с общей прибылью, максимальными падениями капитала, долей выгодных сделок, отношением риска/прибыли и подобными показателями — страдают наличием плоскостей и разрывов. Следовательно, их нельзя исследовать методами аналитической оптимизации.
Хотя обсуждение было в основном посвящено максимизации функции пригодности, все вышесказанное применимо и к минимизации расходов. Любая техника максимизации может быть применена для минимизации, и наоборот: умножьте функцию пригодности на — 1 для получения эквивалентной функции расходов; умножьте функцию расходов на - 1, и получится функция пригодности. Если вам нравится алгоритм минимизации, но нужно применять максимизацию; можно использовать этот фокус вместо перекодировки алгоритма оптимизации.
Линейное программирование
Методы линейного программирования разработаны для проблем оптимизации, затрагивающих линейные функции пригодности или расходов с линейными ограничениями параметров или входных переменных. Линейное программирование обычно используется для решения задач по распределению активов. В мире трейдинга одно из возможных применений линейного программирования состоит в поиске оптимального размещения денежных средств в различные финансовые инструменты для получения максимальной прибыли. Если оптимизировать прибыль с учетом возможного риска, то применять линейные методы нельзя. Прибыль с поправкой на риск не является линейной функцией весов различных инвестиций в общем портфеле, здесь требуются другие методы, к примеру генетические алгоритмы.
Линейные модели редко бывают полезны при разработке торговых систем и упоминаются здесь исключительно в ознакомительных целях.
Как потерпеть неудачу при оптимизации
Большинство трейдеров не стремится к проигрышу — по крайней мере осознанно. Знание причин неудачи помогает ее избежать. Потерпеть неудачу при использовании оптимизатора очень просто, если соблюдать следующие правила. Во- первых, используйте маленькие (и поэтому непредставительные) выборки данных для тестирования. Во- вторых, убедитесь, что у системы много правил и параметров для оптимизации. Для любого исторического периода несложно получить отличный результат при наличии большого количества параметров в системе. Кроме того, проводите все тесты на одном образце данных. Ни в коем случае не проверяйте ваши результаты на данных, расположенных вне пределов исходной выборки. И наконец, избегайте статистических заключений. Следуя эти правилам, вы обязательно потеряете деньги, применив оптимизированную систему в реальной торговле.
Чем будет вызвана неудача? В большинстве случаев система будет работать великолепно при тестировании, но плохо при реальной торговле. Специалисты по разработке нейронных сетей называют это слабой генерализацией; трейдеры знакомы с этим явлением по частым опустошениям денежного счета у брокера. Одно из последствий такого неудачного исхода — распространенное заблуждение о вреде оптимизации вообще. На самом же деле оптимизаторы не опасны, и не каждой оптимизации следует бояться. Опасна только неправильная оптимизация — как это бывает при попытках оптимизировать множество параметров на маленькой выборке данных, без проведения тестов за пределами выборки или статистического подтверждения — просто плохая практика, по ряду причин приводящая к разорительным результатам.
Небольшие выборки
Рассмотрим влияние на оптимизацию мелких выборок. Небольшие выборки рыночных данных вряд ли будут представительными для того рынка, который призваны охарактеризовать; следовательно, они будут заметно отличаться от других выборок данного рынка. Оптимизатор, запущенный с маленькой выборкой данных, верой и правдой будет искать лучшее решение и найдет его. Но лучшее решение для пробного образца может оказаться разрушительным для реальной торговли. Неудача произойдет не потому, что оптимизация получила неверное решение, а потому, что она получила решение некорректно поставленной задачи.
Оптимизация неадекватных выборок также часто дает ответы, представляющие собой чисто математические артефакты. Когда количество точек с данными стремится к количеству настраиваемых параметров, большинство моделей (торговых, регрессионных или других) найдут идеальное решение для любого набора случайных данных. Здесь действует тот же принцип, который гласит, что линия (модель с двумя параметрами) может быть проведена через любые две точки, но не всегда может быть проведена через три произвольные точки. В статистике это известно как принцип степеней свободы; степеней свободы столько, на сколько общее количество точек данных в выборке превышает то количество точек, в которые всегда можно идеально вписать оптимизируемую модель благодаря подгонке параметров. Даже когда данных достаточно много для того, чтобы избежать полностью артефактного решения, некоторая часть пригодности модели, тем не менее, может быть обусловлена артефактами как побочным продуктом процесса оптимизации.
Для моделей множественной регрессии существует формула, показывающая, насколько уменьшится коэффициент корреляции (показатель пригодности модели), если удалить артефактную составляющую. Формула коррекции, определяющая связь между количеством параметров (коэффициентов регрессии), подвергающихся оптимизации, размером выборки и снижением уровня кажущейся пригодности при испытании на другой выборке, представлена в виде формулы, написанной на языке FORTRAN:
RC = SQRT ( 1. - ( (N - 1. ) / (N - Р) ) * (1. - R**2) )
В этом уравнении N означает количество точек данных, Р — количество параметров модели, R — коэффициент множественной корреляции, определенный на выборке данных процедурой оптимизации, RC — скорректированный коэффициент. Обратная формула, показывающая увеличение корреляции, вызванное оптимизацией (R), в зависимости от подлинной корреляции (RC) выглядит следующим образом:
R = SQRT ( 1. - ( (N - Р) / (N - 1.) ) * (1. - RC**2) )
Эти формулы справедливы только для линейной регрессии. Тем не менее их можно использовать для оценки качества генерализации, проводимой полностью обученной нейронной сетью (т.е. частным случаем нелинейной регрессии). При работе с нейронными сетями Р будет означать общее количество весов связей в модели. Кроме того, убедитесь, что этими формулами используются простые корреляции; если нейронная сеть или регрессионная программа возвращает квадраты корреляций, следует извлечь квадратный корень.
Что такое полностью механическая торговая система?
Одна из проблем, с которой столкнулся Кац в ранней работе, состояла в том, что его система давала только сигналы входа, оставляя решение о выходе на усмотрение трейдера. Следовательно, данная система не была полностью механической. Полностью механическая торговая система, которая может тестироваться и применяться совершенно объективным образом без вмешательства человека, должна содержать точные правила и для входов, и для выходов из рынка.
Чтобы быть действительно полной, система должна давать следующую информацию:
1. Когда, как и по какой цене входить в рынок.
2. Когда, как и по какой цене выходить из рынка с убытком.
3. Когда, как и по какой цене выходить из рынка с прибылью.
Сигналы входа механической торговой системы могут быть простыми, например однозначный сигнал покупки или продажи при открытии торгов на следующий день. Можно использовать лимитный приказ или стоп- приказ на определенном ценовом уровне на следующий день. Кроме того, возможны очень сложные приказы, исполняемые в отдельные периоды времени при соответствии некоторым условиям: например, стоп- приказ на покупку или продажу, если на рынке при открытии образуется разрыв указанной величины.
Выходы торговой системы также могут основываться на приказах различных типов — от простых до очень сложных. Выход из убыточной сделки часто достигается с помощью защитной остановки, которая прекращает сделку до того, как будет нанесен серьезный убыток. Эта остановка, представляющая собой стоп- приказ для избежания неконтролируемых потерь, выполняет одну из функций, для которых создаются стратегии выхода в составе системы: функцию контроля риска. Выход с прибылью может достигаться несколькими способами, в том числе и использованием целей прибыли — лимитных приказов, расположенных так, что сделка заканчивается после некоторого движения рынка в пользу трейдера; следящих остановок, которые представляют собой стоп- приказы, необходимые для выхода с прибылью при начале противоположного движения рынка, и большого разнообразия других видов приказов и их сочетаний.
В ранних попытках Каца действовать на рынке единственными доступными сигналами были сообщения о возможном направлении рынка или точках разворота. Эти сигналы служили основой для приказов на покупку или продажу по текущей цене — а такие приказы часто не выполняются и дают большое проскальзывание. Хотя сами сигналы были часто весьма точны, они не улавливали каждую точку разворота, и Кац попросту не мог разворачивать позицию на основе каждого сигнала. Требовались отдельные правила выхода, поскольку программа Каца не давала сигналов для выхода, будучи не полностью механической моделью. Поскольку система не давала сигналов выхода, все выходы оставались субъективными, что и было одной из проблем торговли на тот момент. Кроме того, не удавалось достаточно эффективно оценить поведение системы на длительной выборке исторических данных, приходилось играть вслепую.
Без полностью механической торговой системы, т.е. системы, включающей выходы и входы, не говоря уже о качественном тестировании, невозможно оценивать такие показатели, как общая доходность, максимальное падение капитала, отношение Шарпа, трудно оценивать исторический график изменения капитала и исследовать ряд других важных характеристик системы (например, вероятность прибыли в будущем). Чтобы дать доступ к этим функциям, требовалась полная система, дающая сигналы на вход и на выход из рынка.
Большие наборы параметров
Излишне большой набор свободных параметров или правил влияет на попытку оптимизации так же, как и недостаточное количество точек данных. Когда количество элементов, подвергающихся оптимизации, повышается, пропорционально растет способность модели подгонять их под любые неоднородности тестовой выборки, а следовательно, увеличивается вклад артефактов в эффективность модели. Результат оптимизации большого количества параметров или правил будет хорошо работать на тестовых данных, но плохо на данных вне выборки и в реальной торговле.
Важно учитывать не общее количество параметров оптимизации, а отношение количества этих параметров к объему данных. Здесь также эвристически достоверна описанная выше формула для малых выборок:
она показывает, как соотношение числа точек данных и параметров системы влияет на результат. При наличии избыточного количества параметров решение, полученное в результате оптимизации, будет оптимальным только для тестовой выборки данных.
Отсутствие подтверждения
Один из лучших способов попасть в беду — не проверить результаты при помощи тестов на данных, взятых вне оптимизационной выборки. Без такого подтверждения ошибочные решения, вызванные недостаточной выборкой или избытком параметров, не говоря уж о менее ясных причинах, будут не замечены вовремя. Торговая система, дающая на некотором образце данных высокие результаты, будет применена к реальной торговле, и в результате вы понесете тяжелые убытки. Трейдер, разрабатывающий системы без проверки на данных вне выборки, похож на пилота, управляющего неизвестной ему моделью самолета с завязанными глазами.
Как достичь успеха при оптимизации
Во избежании провала и для увеличения вероятности успеха при оптимизации следует предпринять четыре шага. Во- первых, оптимизировать систему на максимально доступном представительном образце данных и использовать для анализа большое число виртуальных сделок. Во- вторых, использовать небольшое количество параметров (особенно с учетом размера выборки данных). В- третьих, провести тестирование на данных вне выборки, т.е. на данных, которые вы не использовали при оптимизации и, более того, не видели в глаза. В- четвертых, стоит провести оценку статистической значимости результатов.
Большие представительные выборки
Как было сказано выше, неудача часто возникает благодаря некорректности задачи, поставленной перед оптимизатором. Следовательно, успех вероятен в случае нахождения правильного решения корректной задачи.
Можно заключить, что торговые модели следует оптимизировать на данных из ближайшего будущего. К сожалению, авторам книги неизвестен способ получения таких данных.
Поскольку будущее еще не наступило, нельзя дать оптимизатору ту задачу, которую предстоит решать системе в процессе реальной торговли. Следовательно, требуется дать оптимизатору задание, решение которого было бы применимо к реальной торговле с максимальной степенью приближенности. Один из способов достичь этого состоит в том, чтобы использовать данные из прошлого, включающие характеристики, которых можно ожидать в будущем, т.е. бычьи и медвежьи периоды, периоды с трендами и без них и даже обвалы цен. Кроме того, данные должны быть максимально свежими для отражения текущих процессов на рынке. Такую выборку можно считать представительной.
Помимо репрезентативности выборка должна быть достаточно велика. Большие выборки снижают вероятность возникновения артефактов или случайных результатов системы при оптимизации. Эффективность торговой системы, оптимизированной на большой выборке, не будет сильно отличаться от ее эффективности в реальной торговле.
Впрочем, иногда приходится делать выбор между размером выборки и степенью ее репрезентативности. Увеличение размера выборки приводит к использованию старых ценовых данных, значимость которых для представления современного состояния рынка весьма сомнительна. В некоторых случаях существует четкая грань, за которой данные теряют значимость. Например, фьючерсы на индекс S&P 500 начали обращение на рынке в 1983 г., что оказало структурное влияние на рынок в целом.
Это наблюдение становится менее важным при работе с внутридневной ценовой историей, где за относительно короткий период времени можно собрать данные о десятках и сотнях тысяч баров, не углубляясь в прошлое слишком далеко.
В конце напоминаем, что при проведении оптимизаций и тестов следует учитывать количество сделок, проведенных системой. Как и объем выборок данных, количество сделок для достоверности должно быть значительным. Если система совершает всего несколько сделок, то, несмотря на количество точек данных в выборке, результат может оказаться следствием случайностей или артефактов!
Минимум правил и параметров
Для достижения успеха следует ограничивать число оптимизируемых правил и параметров, особенно при работе на небольших выборках данных. Чем меньше правил и параметров, тем больше вероятность устойчивой эффективности решений как на материале выборки, так и за ее пределами. Хотя при работе с несколькими тысячами сделок (1 год S&P 500 содержит примерно 100 000 одноминутных баров) можно оптимизировать несколько десятков параметров, при использовании данных на конец дня за несколько лет даже два- три параметра могут оказаться излишними. Если данная модель требует оптимизации многих параметров, то следует приложить усилия к сбору колоссального объема данных. Легендарный Ганн, как говорят, собрал данные по цене на пшеницу за тысячу лет. При невозможности использовать большие объемы данных следует проводить оптимизацию системы на портфеле нескольких финансовых инструментов с использованием одних и тех же правил и параметров на всех рынках — эта методика широко использована в данной книге.
Подтверждение результатов
После оптимизации правил и параметров торговой системы и получения хорошей эффективности на выборке данных важно так или иначе подтвердить эффективность этой системы, прежде чем рисковать реальными деньгами. Подтверждение дает трейдеру еще один шанс отказаться от неудачного решения. От систем, которые не подтвердили себя, следует отказываться, а использовать лишь подтвержденные. Подтверждение — критический шаг на дороге к успеху при оптимизации и при любом методе совершенствования работы торговой системы.
Для гарантии успеха любое решение следует подтверждать тестами на данных вне выборки или статистическим анализом, но предпочтительно — обоими методами. Отбросьте любое решение, которое не будет прибыльным в тесте на данных, не входящих в первоначальную выборку, — при реальной торговле оно, скорей всего, провалится. Рассчитывайте статистическую значимость всех тестов — и в пределах выборки данных, и вне ее. Оценка статистической значимости показывает вероятность того, что пригодность системы на выборке данных соответствует ее пригодности в других условиях, включая реальную торговлю. Статистический анализ работает по принципу распределения вероятностей прибылей в сделках, совершаемых системой. Используйте только статистические методы, скорректированные для множественных тестов, когда анализируете результаты тестов в пределах выборки. Тесты вне пределов выборки следует оценивать стандартными, некорректированными методами. Подобные отчеты приводились в главе, посвященной симуляторам. Займитесь изучением статистики; это улучшит ваши трейдерские качества.
Некоторые советуют проверять модель на чувствительность к малым изменениям параметров. Модель, которая мало чувствительна к таким изменениям, считается высоконадежной. Не обращайте на подобные заявления слишком много внимания. Фактически, устойчивость к изменению параметров не может служить показателем надежности системы.
Многие чрезвычайно надежные модели весьма чувствительны к изменениям некоторых параметров. Единственно достоверный показатель надежности системы — статистика, в особенности результаты тестов на данных вне пределов выборки.
Язык программирования Форт
Альтернативы традиционной оптимизации
Существуют два альтернативных традиционной оптимизации подхода — это оптимизация с прогонкой вперед и самоадаптивные системы. Обе эти методики имеют то преимущество, что практически все тестирование проводится вне (пределов выборки. Оцените результативность системы, проведите несколько статистических тестов, постройте график изменения капитала — и система готова к торговле. Все чисто и математически безукоризненно. Про коррекцию коэффициентов корреляции, множественные тесты, чрезмерную подгонку системы под ценовые данные и другие проблемы можно просто забыть. Более того, с современной компьютерной техникой модели с прогонкой вперед и самоадаптивные модели становятся практичными и даже несложными.
Принцип оптимизации, или тестирования с прогонкой вперед, состоит в эмуляции шагов, действительно производимых системой, требующей периодической оптимизации. Метод работает следующим образом. Оптимизируйте систему на точках данных от 1 до М. Затем проведите виртуальную торговлю в точках данных от М + 1 до М + К. Повторно оптимизируйте систему на точках от К + 1 до К + М. Затем промоделируйте торговлю в точках от (К + М) + 1 до (К + М) + К. Пройдите таким образом через всю выборку данных. Как следует из примера, сначала оптимизируется система, потом моделируется торговля. Через некоторое время система снова оптимизируется, и торговля возобновляется. Эта последовательность гарантирует, что торговля всегда происходит на данных, более поздних, чем данные, использовавшиеся для оптимизации. Практически, все сделки происходят на данных вне пределов выборки. При тестировании с прогонкой вперед М — окно оптимизации (или исторического обзора), а К— интервал повторной оптимизации.
Самоадаптивные системы работают подобным образом, но в этом случае оптимизация или адаптивный процесс — часть системы, а не тестовой программы. Как только поступает новая точка данных, самоадаптивная система обновляет свое внутреннее состояние (правила или параметры) и затем принимает решение относительно следующей точки данных. При поступлении следующих данных выполняются принятые решения, и процесс повторяется. Внутренние изменения, при помощи которых система изучает рынок и адаптируется к нему, могут происходить не в каждой точке, а, например, в некоторые фиксированные моменты времени.
Трейдер, планирующий использовать самоадаптивные системы, должен иметь мощную, основанную на компонентах платформу с использованием развитого языка программирования (C++, Object Pascal или Visual Basic) с возможностью доступа к библиотекам и компонентам третьих производителей. Эти компоненты рассчитаны на встраивание в создаваемые пользователем программы, включая специальные программы адаптивных систем. Чем больше компонентов доступно, тем меньше работы:
как минимум трейдер, пытающийся использовать самоадаптивные системы, должен иметь доступ к генетическому оптимизатору и симулятору, которые могут быть легко встроены в модель. Адаптивные системы будут рассмотрены в следующих главах, показывая, как этот метод работает на практике.
Несомненно, что системы с прогонкой вперед и самоадаптивные системы приобретут большую популярность в будущем с ростом эффективности рынков и сложности работы на них, а также с расширением доступности для рядовых трейдеров коммерческого программного обеспечения на их основе.
Инструменты и информация для оптимизации
Аэродинамика, электроника, химия, биохимия, планирование и бизнес — это только некоторые из областей, где используется оптимизация. Поскольку оптимизация важна для такого количества приложений, в этом направлении ведется множество исследований, создано множество инструментов и накоплено много информации. Где же можно найти эту информацию? Какие существуют доступные продукты и инструменты?
Оптимизаторы с лобовым подходом обычно встроены в программные пакеты, нацеленные на другие задачи, и редко доступны по отдельности.
В мире программ для трейдинга такие оптимизаторы встроены в TradeStation и SuperCharts фирмы Omega Research (800- 292- 3453), Excalibur фирмы Futures Truth (828- 697- 0273) и MetaStock фирмы Equis International (800- 882- 3040). Если вы пишете собственные программы, при помощи несложного программирования написать алгоритм лобовой оптимизации можно безо всяких дополнительных библиотек. Программы и алгоритмы для оптимизации с лобовым подходом также полезны при проведении оптимизации под управлением пользователя.
Хотя иногда генетические оптимизаторы бывают встроены в специализированные программы, они чаще встречаются в виде компонентов или библиотек классов, дополнений к различным пакетам или самостоятельных исследовательских инструментов. Примером библиотеки классов с учетом компонентного использования может служить OptEvolve, генетический оптимизатор на C++ фирмы Scientific Consultant Services (516- 6963333): этот многоцелевой генетический оптимизатор использует несколько алгоритмов, включая дифференциальную эволюцию, и продается в виде портативного кода на C++, пригодного для UNIX/LINUX, DOS и Windows.
TS- Evolve фирмы Ruggiero Associates (800- 211- 9785) дает пользователям TradeStation возможность провести полноценную генетическую оптимизацию. Evolver фирмы Palisade Corporation (800- 432- 7475) представляет собой многоцелевой генетический оптимизатор для таблиц MS Excel; с ним поставляется DLL- библиотека, которая может быть использована с любой программой на любом языке, способной вызывать функции DLL. Так, программа GENESIS, написанная Джоном Грефенштеттом (John Grefenstette) из Naval Research Laboratory, представляет собой самостоятельный инструмент для исследователей и доступна в виде исходных кодов. Хотя генетические оптимизаторы могут включаться в состав пакетов моделирования для химиков и в другие специализированные продукты, они до сих пор не включены как стандартный компонент в программные пакеты для трейдеров.
О генетических оптимизаторах существует достаточно много доступной информации. Генетические алгоритмы обсуждаются в ряде книг, журналов и изданий, на сайтах новостей в Интернете. Хороший анализ проблемы дан в книге Девиса Handbook of Genetic Algorithms (Davis, 1991). Прайсом и Стормом (Price и Storm, 1997) описан алгоритм для метода дифференциальной эволюции, который оказался чрезвычайно мощным инструментом для задач оптимизации с рациональными параметрами. Генетические алгоритмы сейчас являются темой многих научных изданий и конференций. Оживленные дискуссии ведутся на страницах ряда новостных сайтов в Интернете, из которых наиболее примечателен comp.ai.genetic.
Основы метода моделирования отжига приведены в книге Пресса и др.
Numerical Recipes for С (Press et al., 1992) вместе с функциями для написания оптимизаторов с этим алгоритмом для комбинаторных задач и задач с рациональными параметрами. Книга Мастерса Neural, Novel & Hybrid Algorithms for Time Series Prediction (Masters, 1995) также содержит рассмотрение задач моделирования отжига, причем коды представлены на CD- приложении к книге. Как и генетическая оптимизация, моделирование отжига также является темой многих научных исследований, докладов на конференциях, статей и дискуссий в Интернете.
Алгоритмы весьма сложных методов — сопряженных градиентов и переменной метрики — можно найти в исследованиях Пресса и др.
Numerical Recipes for С (Press et al., 1992) и Numerical Recipes (Press et al., 1986). Большой ассортимент процедур аналитической оптимизации содержится в уже упомянутом труде Мастерса Neural, Novel & Hybrid Algorithms for Time Series Prediction (Masters, 1995) и на прилагаемом к нему диске. Дополнительные процедуры для аналитической оптимизации доступны в составе библиотек IMSL и NAG (Visual Numerics и Numerical Algorithms Corp. соответственно) и в составе оптимизационного набора для MATLAB (многоцелевого математического пакета от Math Works, 508- 647- 7000, очень популярного в среде занимающихся финансовым планированием). Кроме того, в MS Excel встроен Solver — аналитический оптимизатор, основанный на методе Ньютона и сопряженных градиентах.
Как источник общей информации об оптимизации при разработке торговых систем можно порекомендовать книгу Роберта Пардо Design, Testing and Optimization of Trading Systems (Robert Pardo, 1992). Кроме прочего, в книге приведены примеры прибыльной оптимизации, избежания чрезмерной подгонки системы под ценовые данные и проведения тестов с прогонкой вперед.
Какой оптимизатор подходит вам?
Как минимум любому трейдеру следует иметь оптимизатор с возможностью проведения лобовой оптимизации и оптимизации под управлением пользователя. Если вы используете для разработки систем TradeStation или Excalibur, эти оптимизации вам уже доступны. С другой стороны, если вы используете Excel, Visual Basic, C++ или Delphi, вам придется разрабатывать собственный оптимизатор. Как показано выше, это достаточно просто, и для многих проблем лобовая оптимизация или оптимизация под управлением пользователя — лучший подход.
Если для разработки вашей системы требуются более продвинутые методы, хороший выбор — генетический оптимизатор. При помощи лобового подхода и генетического оптимизатора можно решить практически любую задачу. В нашей работе мы почти не используем других инструментов! Пользователям TradeStation придется по вкусу TS- Evolve, предлагаемый Ruggiero Associates. Evolver фирмы Palisade Corporation хорош для пользователей Excel и Visual Basic. При разработке систем на C++ или Delphi выбирайте C++ Genetic Optimizer, предлагаемый Scientific Consultant Services, Inc. Генетический оптимизатор — наиболее универсальный инструмент среди оптимизаторов: даже задачи, более эффективно решаемые другими методами, могут быть медленно, но верно решены хорошим генетическим алгоритмом.
А если вы все же хотите испытать аналитическую оптимизацию или симуляцию отжига, мы рекомендуем воспользоваться книгой Пресса и др. Numerical Recipes in С (Press et al., 1992) и вышеупомянутым трудом Мастерса (Masters, 1995) как источниками и информации, и кодов.
Пользователи Excel могут попробовать также встроенный Solver.
Статистика
Многие разработчики торговых систем не оценивают статистическую значимость результатов оптимизации. Это достаточно неприятно, учитывая, что статистика принципиально важна при оценке поведения торговых систем. Как, например, можно судить о причине успеха системы — реален ли он или основан на артефакте либо на удачной выборке данных? Задумайтесь об этом, ведь следующая выборка может быть не очередным тестом, а реальной торговлей. Если поведение системы определялось случаем, можно быстро лишиться капитала. Нужно найти ответ на следующий очень важный вопрос: высокая эффективность системы вызвана обнаружением по- настоящему оптимальных параметров или является результатом подгонки под исторические данные? Мы встречали много разработчиков систем, которые отказываются от любой оптимизации вообще по причине иррационального страха подгонки, не зная, что статистический анализ помогает бороться с этой опасностью. В общем, статистика может помочь трейдеру оценить вероятность того, что система в будущем будет работать так же прибыльно, как и в прошлом. В этой книге мы представили результаты статистического анализа везде, где это, по нашему мнению, полезно и уместно.
Среди методов статистического анализа, наиболее полезных трейдеру, можно назвать проверку по критерию Стьюдента, корреляционный анализ и некоторые виды непараметрического статистического анализа.
Проверка по критерию Стьюдента необходима в тех случаях, когда надо определить вероятность того, что среднее или сумма некоторого ряда независимых значений (полученных из выборки) больше или меньше некоторого числа или находится в некоторых пределах от него. Например, проверка по критерию Стьюдента может вскрыть вероятность того, что общая прибыль ряда сделок (каждая с индивидуальными показателями прибыли/убытка) может превысить некоторый порог в результате простой случайности. Эти критерии также полезны для выбора периодичности данных, например при вычислении дневного или месячного дохода за период в несколько лет. Кроме того, проверка по критерию Стьюдента помогает установить границы производительности системыв будущем (если предположить, что на рынке не ожидается структурных изменений), что позволит заявить, например, следующее: вероятность того, что в будущем средняя прибыль составит от х до у, более 95%
Корреляционный анализ помогает определить степень взаимосвязи двух различных переменных. При использовании для принятия решений он также помогает определить, являются ли связи статистически значимыми или просто случайными. С помощью таких методов можно определить доверительные интервалы границ реальной корреляции, т.е. корреляции по выборке данных за некоторый период времени. Корреляционная статистика важна при поиске переменных, которых можно использовать как прогностические показатели, например, в нейронной сети или в системе уравнений регрессии.
Корреляционный анализ и непараметрические статистические методы (критерий наличия чередующихся полос в ряду данных) полезны при оценке зависимости значений ряда данных от предыдущих значений в ряду (серийной корреляции). Например, действительно ли выгодные сделки следуют в виде полос или групп, между которыми сплошные убытки? Критерии наличия полос позволяют определить, что же на самом деле происходит. Если в системе есть серийная корреляция, ее можно использовать для перенастройки системы. Например, если в системе выражены периоды прибылей и убытков, можно разработать метасистему, которая будет проводить сделку за сделкой, пока есть прибыли, и прекращать торговлю после первой убыточной сделки, уходя в виртуальную торговлю до наступления новой прибыльной полосы. Если полосы реально существуют, то подобная стратегия может значительно улучшить поведение системы.
Какие входы и выходы считать оптимальными?
Предположим, что у нас имеется механическая торговая система, которая имеет модель входа, дающую приказы на вход, и модель выхода, дающую приказы на выход (включая необходимые защитные остановки). Как оценить результаты работы системы и определить, какой приказ хорош, а какой плох?
Обратите внимание, что мы говорим о приказах на выход и вход, а не о сигналах. Почему? Потому, что сигналы слишком неопределенны. Означает ли сигнал на покупку, что следует покупать при открытии следующего дня или покупать с использованием стоп- или лимит- приказа ? И если да, то по какой цене? Если поступает сигнал на выход из длинной позиции, когда должен производиться выход — при закрытии, при достижении определенной цены или, может быть, по защитной остановке? Каждый из таких приказов будет иметь различные последствия в конечном результате. Таким образом, для определения работоспособности метода входа или выхода нужно, чтобы он давал не общие сигналы, а в определенные моменты времени давал специфические приказы. Полностью определенный приказ на вход или выход может быть легко проверен на качество или эффективность.
В широком смысле слова хороший приказ на вход — это такой приказ, с которым трейдер входит на рынок с относительно низким риском и высокой вероятностью потенциальной прибыли. Раем для трейдера была бы система, которая давала бы приказы на покупку и продажу по экстремальным ценам при каждом развороте. Даже если бы выходы не приносили большой прибыли, ни одна из сделок не имела бы более одного- двух тиков неблагоприятного движения (максимальных нереализованных убытков за сделку), и в любом случае вход в рынок достигался бы по лучшей из доступных цен. В несовершенном реальном мире, впрочем, входы никогда не будут настолько хороши, но они могут быть достаточно хороши, чтобы при приемлемой эффективности выходов неблагоприятное движение удерживалось на низком уровне и соотношение риска/прибыли было удовлетворительным.
Что составляет эффективный выход? Эффективный выход должен защищать капитал трейдера от неблагоприятной рыночной ситуации.
Важно защитить капитал от размытия убыточными сделками, но при этом не обрывать слишком рано потенциально прибыльные сделки, превращая их в малоубыточные. Идеальный выход должен удерживать позицию для получения значительной прибыли от любого крупного движения, т.е. оседлать волну и держаться на ней до нужного момента. Впрочем, удержаться на гребне волны — не самое главное, если стратегия выхода сочетается с формулой входа, позволяющей вернуться в протяженный тренд или другое крупное движение рынка.
В реальности практически невозможно и, несомненно, необоснованно обсуждать входы и выходы по отдельности. Для тестирования торговой системы должны использоваться и входы, и выходы, чтобы осуществлялись полные циклы. Как можно получить завершенные сделки для оценки эффективности, если из рынка не выходить? Методы входа и выхода необходимы для системы, которую можно тестировать. Однако следует иметь ряд стратегий входа и проверить их вне зависимости от выходов и таким же образом испытать ряд стратегий выхода вне зависимости от входа. В общем желательно изменять как можно меньше параметров за раз и измерять эффект этих манипуляций, при этом игнорируя или не трогая другие показатели. Разве не в этом состоит научный подход, хорошо себя зарекомендовавший в других отраслях? Но можно ли достичь такой изоляции и контроля в исследовании входов и выходов по отдельности?
Зачем нужен статистический анализ при оценке торговых систем?
Очень важно определить, действительно ли наблюдаемые прибыли реальны (т.е. основаны не на артефактах тестирования) и какова вероятность, что система будет давать подобные прибыли в будущем при реальной торговле. Хотя тестирование на данных вне пределов выборки может до некоторой степени показать, выдержит ли система испытание более новыми данными, при помощи статистики можно получить дополнительную информацию. Статистика позволяет определить, случаен ли результат или он основан на реальных достоинствах системы. Статистические расчеты могут быть использованы для обнаружения подгонки под исторические данные, т.е. могут определить, является ли наблюдаемая эффективность модели реальной или же она — результат подгонки.
Следует отметить, что в статистике, как правило, делаются некоторые теоретические предположения относительно образцов данных и выборок, к которым можно адекватно применять статистические методы. При работе с торговыми системами эти правила частично приходится нарушать, причем некоторые нарушения правил не имеют никакой практической ценнности, тогда как более важные правила часто удается обойти без компромисса. При использовании дополнительного анализа порой удается обойти или скомпенсировать даже весьма тяжелые несоответствия данных требованиям статистического анализа. В общем, мы полностью отдаем себе отчет в существовании такой проблемы и продолжим ее обсуждение после подробного рассмотрения основ рассматриваемого вопроса.
Выборка
Для статистики, а следовательно, и для нашего понимания, фундаментальным является понятие выборки — извлечения образца данных из некоей обширной, абстрактно определимой популяции. Основная идея статистического анализа состоит в том, чтобы использовать выборку для получения заключения о популяции данных. При работе с торговыми моделями под популяцией обычно понимается вся совокупность данных (прошлых, настоящих и будущих) для определенного рыночного инструмента (например, все 5- минутные штрихи на все фьючерсы S&P 500), все сделки (прошлые, настоящие и будущие), совершенные данной системой или по данному инструменту, а также все прибыли — годовые, месячные и даже дневные. Например, все квартальные прибыли IBM — пример популяции данных. Выборка может представлять собой специфические исторические данные, используемые при разработке или тестировании системы, данные о проведенных сделках или о месячной прибыли, принесенной этими сделками.
При создании торговой системы разработчик обычно определяет выборку данных из моделируемой популяции. Например, чтобы разработать систему для торговли S&P 500 на основе гипотезы: Если вчерашняя цена закрытия выше, чем цена закрытия три дня назад, то завтра рынок будет подниматься, разработчик берет выборку цен на конец дня по S&P 500, простирающуюся назад, например, на 5 лет. Остается надеяться, что выборка репрезентативна, т.е. отражает реальное типичное поведение рынка, и в будущем (или на другом, неизвестном образце данных) система будет работать не хуже, чем на использованном при разработке образце.
Чтобы подтвердить или опровергнуть результаты оптимизации, разработчики системы проводят тестирование на одном или нескольких периодах вне выборки, т.е. на образцах данных, не использовавшихся для разработки или оптимизации системы. Например, в нашем случае разработчик использует данные с 1991 г. по 1995 г. для разработки и настройки системы и резервирует данные за 1996 г. для тестирования вне пределов выборки. Очень рекомендуется заранее зарезервировать один или несколько периодов для подобного исследования.
Одна из проблем с выборкой образцов из популяций финансовых данных заключается в сложной и переменчивой природе объекта: завтрашний рынок может быть не похож на сегодняшний. Иногда эти изменения заметны, и их причины могут быть легко определены. Например, поведение индекса S&P резко изменилось в 1983 г. в результате введения фьючерсов и опционов на этот индекс. В таких случаях можно расценить изменение, как событие, создавшее две отдельные популяции: S&P до и после 1983 г. Выборка, взятая из более раннего периода, не будет репрезентативна для более позднего, поскольку она взята из другой популяции! Конечно, это экстремальный случай. Гораздо чаще структурные изменения рынка возникают ввиду слабых влияний, которые порой невозможно определить, особенно заранее. В некоторых случаях рынок может остаться принципиально тем же, но фазы процессов, которые на нем проходят, могут быть различными; неосмотрительно взятая выборка может принадлежать к другой фазе и быть репрезентативна только для нее, но не для рынка в целом.
Как же можно определить, действительно ли выборка, использованная для тестирования, относится к тому же периоду, что и данные, на которых будет идти торговля? Если не прыгать в машину времени и не тестировать будущее, то не существует достоверного способа определить, не случится ли завтра на рынке ломающая системы метаморфоза. Множественные тесты вне пределов выборки могут дать некоторую гарантию устойчивости системы, поскольку они подтвердят, что система, по крайней мере в нескольких периодах, работала более или менее стабильно. При наличии репрезентативной выборки можно сделать статистически достоверные выводы о той популяции, из которой выбраны образцы данных. Статистика не может определить будущие фундаментальные изменения рынка.
Оптимизация и подгонка под исторические данные
Еще один аспект разработки торговых систем состоит в оптимизации, т.е. улучшении эффективности систем при помощи подбора таких значений параметров, при которых система дает наилучший результат на выборке данных. Если система не работает при тестировании на данных вне пределов выборки или на реальном рынке, говорят, что при оптимизации имела место подгонка под исторические данные. Впрочем, подгонка бывает полезной и вредной. Полезная подгонка — это случай, когда модель подогнана под всю популяцию (т.е. под достаточно большую и представительную) и при этом отражает все достоверные характеристики реальной популяции в системе. Подгонка вредна, если система соответствует только некоторым случайным характеристикам, не обязательно отражающим свойства всей популяции.
Разработчики недаром боятся вредной подгонки, т.е. ситуации, когда параметры, оптимизированные на данной выборке, не работают на популяции в целом. Если выборка была небольшой или не представительной, вероятнее всего, система будет работать хорошо на данной выборке и из рук вон плохо на другой или, что еще опаснее, приведет к потере денег в реальной торговле. Чем больше выборка данных, тем меньше эта опасность: вероятность вредной подгонки снижается, а полезной — возрастает. Все рассматриваемые методы статистики отражают это явление, даже специально предназначенные для оптимизации. Достоверно известно, что чем больше параметров подвергается оптимизации, тем больше вероятность того, что высокие результаты системы будут достигнуты чисто случайным сочетанием. Если же результаты статистического анализа удовлетворительны, и тест основывался на достаточно большой выборке данных, то вероятность случайного результата снижается, и даже полученный при оптимизации множества параметров результат вполне может быть реальным и значимым.
Некоторые возражают, что размер не имеет значения, т.е. размер выборки и количество проведенных сделок не имеют ничего общего с риском избыточной оптимизации, и что большая выборка не снимает угрозы вредной подгонки под исторические данные. Это неверно и математически, и интуитивно. Никто не стал бы больше доверять системе, которая провела 3 — 4 сделки за десятилетний период, чем системе, которая провела более тысячи достаточно прибыльных сделок. Представьте себе модель линейной регрессии, в которой прямую линию подгоняют к ряду точек. Если точек всего две, то вне зависимости от их положения линию всегда можно подогнать идеально. Если точек три, то дело усложняется.
Если же точек действительно много, то проблема становится еще сложнее, если только расположение точек не содержит некоего реального линейного распределения.
Пример с линейной регрессией показывает, что вредная подгонка затрудняется с ростом объема данных. Сравните две торговые системы: одна провела 2 сделки с прибылью $100 в каждой и стандартным отклонением $100; другая — 1000 сделок с такими же средним и стандартным отклонениями. При статистической оценке система, проведшая 1000 сделок, будет гораздо статистически значимее, чем система, проведшая 2 сделки.
В моделях множественной линейной регрессии при увеличении количества параметров регрессии (бета- весов) по отношению к размеру выборки увеличивается степень вредной подгонки и уменьшается достоверность результатов модели. Другими словами, чем выше степень подгонки под исторические данные, тем сложнее добиться статистической значимости. Исключением является случай, когда повышение результативности модели, вызванное подгонкой, компенсирует потерю значимости при добавлении параметров. Оценка степени ожидаемого снижения корреляции при использовании данных вне выборки может производиться напрямую, исходя из объема данных и количества параметров: корреляция снижается с увеличением числа параметров и увеличивается с ростом объема данных. В общем, существуют достоверные математические доказательства того, что вероятность вредной подгонки повышается, если количество оптимизируемых параметров велико по отношению к объему используемой выборки данных. Фактически, когда n (размер выборки) стремится к бесконечности, вероятность того, что подгонка параметров будет непредставительной для данной популяции, стремится к нулю. Чем больше параметров оптимизируется, тем большая требуется выборка данных. На языке статистики это звучит так: оптимизируемые параметры используют доступные степени свободы.
Все это ведет к заключению, что чем больше выборка, тем более вероятность того, что найденные параметры системы будут представительным отражением характеристик рынка в целом. Маленькая выборка, скорее всего, будет непредставительной: ее кривые вряд ли будут соответствовать долговременным, устойчивым характеристикам рынка. Любая модель, построенная с использованием маленькой выборки, может быть эффективной только по чистой случайности. Будет ли подгонка полезной или вредной, во многом зависит от отражения в ней случайных ценовых движений или реальных рыночных процессов, что, в свою очередь, зависит от представительности выборки. Статистика полезна, поскольку позволяет принять в расчет при оценке системы степень подгонки.
При работе с нейронными сетями опасения относительно излишнего обучения, или генерализации, соответствуют опасениям относительно излишней подгонки под исторические данные. Если выборка достаточно объемиста и представительна, повышается вероятность отражения в найденных оптимальных параметрах реальных характеристик рынка, что полезно для реальной работы системы. Если же выборка мала, модель практически гарантированно будет настроена на особенности выборки, но никак не на особенности рынка в целом. Для нейронных сетей успех генерализации означает то же, что для других систем, — устойчивость в будущем и так же сильно зависит от размеров выборки, использованной для обучения сети. Чем больше выборка или чем меньше количество весов связей (т.е. параметров), тем выше вероятность удачной генерализации. Это также можно доказать математически путем разбора несложных примеров.
Как и в случае с регрессией, при разработке нейронной сети можно произвести оценку коррекции коэффициента корреляции (т.е. показателя, обратного генерализации). Фактически, нейронная сеть представляет собой систему уравнений множественной регрессии, хотя и нелинейных, и корреляция выходныхзначений сети может рассматриваться как множественный коэффициент корреляции. Множественная корреляция между выходными и целевыми значениями может быть скорректирована для прогнозирования поведения системы на данных вне выборки. Такая скорректированная множественная корреляция должна постоянно использоваться для определения того, является ли эффективность нейронной сети случайной или она вызвана обнаружением реальной закономерности в ценовом поведении рынка. Формула коррекции коэффициента множественной корреляции приведена ниже:
RC = SQRT (1.0 - ( (N - 1.0) / (N - Р) ) * (1.0 - R*R) )
Формула приведена в стиле языка FORTRAN.
Здесь SORT означает квадратный корень;
N — количество точек данных или фактов в случае нейронной сети;
Р— количество коэффициентов регрессии или (в случае нейронной сети) весов связей;
R — некорректированную множественную корреляцию;
RC — скорректированную корреляцию.
Хотя эта формула строго приложима только к линейной множественной регрессии (для которой, собственно, и разрабатывалась), она неплохо работает с нейронными сетями и может быть использована для того, чтобы оценить, какая часть эффективности системы обусловлена вредной подгонкой на данном образце. Эта формула описывает связь между размером выборки, количеством параметров и снижением эффективности результатов. Статистическая коррекция, рассчитываемая по данной формуле, будет использована в главе о входах систем на нейронных сетях.
Размер выборки и репрезентативность
Хотя из статистических соображений разработчику следует искать самые большие из возможных выборки данных, при работе с финансовыми рынками между размером и представительностью образца существуют неоднозначные связи. Большие выборки означают, что данные уходят назад, в такие периоды времени, когда рынок был фундаментально иным — вспомните S&P 500 в 1983 г.! Это означает, что в некоторых случаях больший образец данных может быть менее представительным или включать смесь из нескольких различных популяций данных! Следовательно, нельзя забывать, что хотя цель — максимальный размер выборки, столь же важно, чтобы данные отображали тот рынок, который система должна прогнозировать.
Статистическая оценка системы
Разобравшись с некоторыми основными положениями, рассмотрим применение статистики при разработке и оценке торговых систем. Примеры, приведенные ниже, основаны на системе, которая была оптимизирована на некоторой выборке данных и затем тестировалась вне пределов выборки. Оценка на данных вне пределов выборки будет рассмотрена перед оценкой на основе выборки, поскольку ее статистический анализ проще (и аналогичен анализу неоптимизированной системы), в
DefineDLLFunc:"SCSIWA.DLL",LONG,"SA_MoonPhaseDate",LONG,LONG;
Inputs: Ll(0);
Vars: FullMoonDate(O) , NewMoonDate(0) , Trend(O);
{ Функция возвращает дату следующей полной или новой луны )
FullMoonDate = SA_MoonPhaseDate (Date[5], 2);
NewMoonDate = SA_MoonPhaseDate (Date[5], 0) ;
Value1 = 0;
If (Date < FullMoonDate) And (Date Tomorrow >= FullMoonDate)
Then Valuel = 1; (Полная луна сегодня вечером или завтра)
Value2 = 0;
If (Date < NewMoonDate) And (Date Tomorrow >= NewMoonDate)
Then Value2 = 1; {Новая луна сегодня вечером или завтра]
If Valuel[L1] > 0 Then Buy At Market;
If Value2[L1] > 0 Then Sell At Market;
Пример 1: Оценка теста вне пределов выборки
Оценка оптимизированной системы на данных, взятых вне пределов выборки и ни разу не использованных при оптимизации, аналогична оценке неоптимизированной системы. В обоих случаях проводится один тест без подстройки параметров. В табл. 4- 1 показано применение статистики для оценки неоптимизированной системы. Там приведены результаты проверки на данных вне пределов выборки совместно с рядом статистических показателей. Помните, что в этом тесте использованы свежие данные, которые не применялись как основа для настройки параметров системы.
Параметры торговой модели уже были определены. Образец данных для оценки вне пределов выборки охватывает период с 1.01.1995 г. По 1.01.1997 г.; модель тестировалась на этих данных и совершала смоделированные сделки. Было проведено 47 сделок. Этот набор сделок можно считать выборкой сделок, т.е. частью популяции смоделированных сделок, которые система совершила бы по данным правилам в прошлом или будущем. Здесь возникает вопрос по поводу оценки показателя средней прибыли в сделке — могло ли данное значение быть достигнуто за счет чистой случайности? Чтобы найти ответ, потребуется статистическая оценка системы.
Чтобы начать оценку системы, для начала нужно рассчитать среднее в выборке для n сделок. Среднее здесь будет просто суммой прибылей/убытков, поделенной на n (в данном случае 47). Среднее составило $974,47 нем не требуются поправки на оптимизацию или множественные тесты. Система представляет собой модель торговли индексом S&P 500, основанную на лунном цикле, и была опубликована нами ранее (Katz, McCormick, июнь 1997).
Стандартное отклонение (изменчивость показателей прибылей/убытков) рассчитывается после этого вычитанием среднего из каждого результата, что дает 47 (n) отклонений. Каждое из значений отклонения возводится в квадрат, все квадраты складываются, сумма квадратов делится на n — 1 (в данном случае 46), квадратный корень от результата и будет стандартным отклонением выборки. На основе стандартного отклонения выборки вычисляется ожидаемое стандартное отклонение прибыли в сделке: стандартное отклонение (в данном случае $6091,10) делится на квадратный корень из n. В нашем случае ожидаемое стандартное отклонение составляет $888,48.
Чтобы определить вероятность случайного происхождения наблюдаемой прибыли, проводится простая проверка по критерию Стьюдента.
Поскольку прибыльность выборки сравнивается с нулевой прибыльностью, из среднего, вычисленного выше, вычитается ноль, и результат делится на стандартное отклонение выборки для получения значения критерия t , в данном случае— 1,0968. В конце концов оценивается вероятность получения столь большого t по чистой случайности. Для этого рас-
Рисунок 4- 1. функция и плотность распределения вероятностей для сделок в пределах выборки.
считывается функция распределения t для данных показателей с количеством степеней свободы, равным n— 1 (или 46).
Программа работы с таблицами Microsoft Excel имеет функцию вычисления вероятностей на основе t- распределения. В сборнике Numerical Recipes in С приведены неполные бета- функции, при помощи которых очень легко рассчитывать вероятности, основанные на различных критериях распределения, включая критерий Стьюдента. Функция распределения Стьюдента дает показатели вероятности случайного происхождения результатов системы. Поскольку в данном случае этот показатель был мал, вряд ли причиной эффективности системы была подгонка под случайные характеристики выборки. Чем меньше этот показатель, тем меньше вероятность того, что эффективность системы обусловлена случаем.
В данном случае показатель был равен 0,1392, т.е. при испытании на независимых данных неэффективная система показала бы столь же высокую, как и в тесте, прибыль только в 14% случаев.
Хотя проверка по критерию Стьюдента в этом случае рассчитывалась для прибылей/убытков, она могла быть с равным успехом применена, например, к выборке дневных прибылей. Дневные прибыли именно так использовались в тестах, описанных в последующих главах. Фактически, соотношение риска/прибыли, выраженное в процентах годовых, упоминаемое во многих таблицах и примерах представляет собой t- статистику дневных прибылей.
Кроме того, оценивался доверительный интервал вероятности выигрышной сделки. К примеру, из 47 сделок было 16 выигрышей, т.е. процент прибыльных сделок был равен 0,3404. При помощи особой обратной функции биноминального распределения мы рассчитали верхний и нижний 99%- ные пределы. Вероятность того, что процент прибыльных сделок системы в целом составит от 0,1702 до 0,5319 составляет 99%. В Excel для вычисления доверительных интервалов можно использовать функцию CRITBINOM.
Различные статистические показатели и вероятности, описанные выше, должны предоставить разработчику системы важную информацию о поведении торговой модели в случае, если соответствуют реальности предположения о нормальном распределении и независимости данных в выборке. Впрочем, чаще всего заключения, основанные на проверке по критерию Стьюдента и других статистических показателях, нарушаются; рыночные данные заметно отклоняются от нормального распределения, и сделки оказываются зависимыми друг от друга. Кроме того, выборка данных может быть непредставительной. Означает ли это, что все вышеописанное не имеет смысла? Рассмотрим примеры.
Что, если распределение не соответствует нормальному?
При проведении проверки по критерию Стьюдента исходят из предположения, что данные соответствуют нормальному распределению. В реальности распределение показателей прибылей и убытков торговой системы таким не бывает, особенно при наличии защитных остановок и целевых прибылей, как показано на рис. 4- 1. Дело в том, что прибыль выше, чем целевая, возникает редко. Фактически большинство прибыльных сделок будут иметь прибыль, близкую к целевой. С другой стороны, кое- какие сделки закроются с убытком, соответствующим уровню защитной остановки, а между ними будут разбросаны другие сделки, с прибылью, зависящей от методики выхода. Следовательно, это будет совсем непохоже на колоколо образную кривую, которая описывает нормальное распределение. Это составляет нарушение правил, лежащих в основе проверки по критерию Стьюдента. Впрочем, в данном случае спасает так называемая центральная предельная теорема: с ростом числа точек данных в выборке распределение стремится к нормальному. Если размер выборки составит 10, то ошибки будут небольшими; если же их будет 20 — 30, ошибки будут иметь исчезающе малое значение для статистических заключений. Следовательно, многие виды статистического анализа можно с уверенностью применять при адекватном размере выборки, например при n = 47 и выше, не опасаясь за достоверность заключений.
Что, если существует серийная зависимость? Более серьезным нарушением, способным сделать неправомочным вышеописанное применение проверки по критерию Стьюдента, является серийная зависимость — случай, когда данные в выборке не являются независимыми друг от друга. Сделки совершаются в виде временного ряда. Последовательность сделок, совершенных в течение некоторого периода времени, нельзя назвать случайной выборкой — подлинно случайная выборка состояла бы, например, из 100 сделок, выбранных случайным образом из всей популяции данных — от начала рынка (например, 1983 г. для S&P 500) до отдаленного будущего. Такая выборка не только была бы защищена от серийной зависимости, но и являлась бы более представительной для популяции.
Однако при разработке торговых систем выборка сделок обычно производится на ограниченном временном отрезке; следовательно, может наблюдаться корреляция каждой сделки с соседними, что сделает данные зависимыми.
Практический эффект этого явления состоит в уменьшении размеров выборки. Если между данными существует серийная зависимость, то, делая статистические выводы, следует считать, что выборка в два или в четыре раза меньше реального количества точек данных. Вдобавок определить достоверным образом степень зависимости данных невозможно, можно только сделать грубую оценку — например, рассчитав серийную корреляцию точки данных с предшествующей и предыдущей точками.
Рассчитывается корреляция прибыли/убытка сделки i и прибыли/убытка сделок i + 1 и i — 1. В данном случае серийная корреляция составила 0,2120. Это немного, но предпочтительным было бы меньшее значение.
Можно также рассчитать связанный t- критерий для статистической значимости значения корреляции. В данном случае выясняется, что если бы в популяции действительно не было серьезной зависимости, то такой уровень корреляции наблюдался бы только в 16% тестов.
Серийная зависимость — серьезная проблема. Если она высока, то для борьбы с ней надо считать выборку меньшей, чем она есть на самом деле.
Другой вариант — выбрать случайным образом данные для тестирования из различных участков за длительный период времени. Это также повысит представительность выборки в отношении всей популяции.
Что, если изменится рынок? При разработке торговых систем возможно нарушение третьего положения t- критерия, и его невозможно предугадать или компенсировать. Причина этого нарушения в том, что популяция, из которой взят образец данных для тестирования или разработки, может отличаться от популяции, данные из которой будут использоваться в будущих сделках. Рынок может подвергаться структурным или иным изменениям. Как говорилось, популяция данных S&P 500 до 1983 г. принципиально отличается от последующих данных, когда началась торговля опционами и фьючерсами. Подобные события могут разрушить любой метод оценки системы. Как бы ни проводилось тестирование, при изменении рынка до начала реальной торговли окажется, что система разрабатывалась и тестировалась на одном рынке, а работать будет на другом.
Естественно, модель разваливается на части. Даже самая лучшая модель будет уничтожена изменением рынка.
Тем не менее большинство рынков постоянно меняются. Несмотря на этот суровый факт, использование статистики в оценке системы остается принципиально важным, поскольку если рынок не изменится вскоре после начала работы системы или же изменения рынка недостаточны, чтобы оказать глубокое влияние, то статистически возможно произвести достаточно достоверную оценку ожидаемых вероятностей и прибылей системы.
Пример 2: Оценка тестов на данных в пределах выборки
Каким образом можно оценивать систему, которая подвергалась подгонке параметров (т.е. оптимизации) по некоторой выборке данных? Трейдеры часто оптимизируют системы для улучшения результатов. В данном аспекте применение статистики особенно важно, поскольку позволяет анализировать результаты, компенсируя этим большое количество тестовых прогонов во время оптимизации. В табл. 4- 2 приведены показатели прибыли/убытка и различные статистические показатели для тестов в пределах выборки (т.е. на данных, использовавшихся для оптимизации системы). Система подвергалась оптимизации на данных за период с 1.01.1990г. по 1.02.1995г.
Большая часть статистики в табл. 4- 2 идентична показателями табл. 4- 1 из примера 1. Добавлены два дополнительных показателя — Количество тестов оптимизации и Скорректировано по оптимизации. Первый показатель — просто количество различных комбинаций параметров, т.е. число испытаний системы по выборке данных с различными параметрами. Поскольку первый параметр системы на лунном цикле, L1, принимал значения от 1 до 20 с шагом в 1, было проведено 20 тестов и соответственно получено 20 значений t- критерия.
Количество тестов, использованных для коррекции вероятности (значимости) по лучшему показателю t- критерия, определяется следующим образом: от 1 отнимается статистическая значимость лучшего теста, результат возводится в степень m (где т— число прогонок тестов). Затем этот результат вычитается из единицы. Это показывает вероятность обнаружения в т тестах (в данном случае т = 20) по крайней мере одного значения t- критерия, как минимум не уступающего действительно обнаруженному в данном решении. Некорректированная вероятность случайного происхождения результатов составляет менее 2% — весьма впечатляющий показатель. После коррекции по множественным тестам (оптимизации) картина в корне меняется. Результаты с такой прибыльностью системы могли быть достигнуты чисто случайно в 31% случаев! Впрочем, все не так плохо. Настройка была крайне консервативной и исходила из полной независимости тестов друг от друга. На самом же деле между тестами будет идти значительная серийная корреляция, поскольку в большинстве традиционных систем небольшие изменения параметров вызывают небольшие изменения результатов. Это в точности напоминает серийную зависимость в выборках данных: эффективный размер снижается, если снижается эффективное количество проведенных тестов. Поскольку многие из тестов коррелируют друг с другом, 20 проведенных соответствуют 5—10 реальным независимым тестам. Учитывая серийную зависимость между тестами, вероятность с поправкой на оптимизацию составит около 0,15, а не 0,3104. Поскольку природа и точная величина серийной зависимости тестов неизвестны, менее консервативное заключение об оптимизации не может быть рассчитано напрямую, а только может быть примерно оценено.
В некоторых случаях, например в моделях множественной регрессии, существуют точные математические формулы для расчета статистических параметров с учетом процесса подгонки (оптимизации), что делает излишними поправки на оптимизацию.
Трактовка статистических показателей
В примере 1 представлен тест с проверкой системы, в примере 2 — оптимизация на данных из выборки. При обсуждении результатов мы возвращаемся к естественному порядку проведения тестов, т.е. сначала оптимизация, а потом проверка.
Результаты оптимизации.
В табл. 4- 2 показаны результаты анализа данных из выборки. За 5 лет периода оптимизации система провела 118 сделок (n = 118), средняя сделка дала прибыль в $740,97, и сделки были весьма различными: стандартное отклонение выборки составило около $3811. Таким образом, во многих сделках убытки составляли тысячи долларов, в других такого же масштаба достигали прибыли. Степень прибыльности легко оценить по столбцу Прибыль/Убыток, в котором встречается немало убытков в $2500 (на этом уровне активировалась защитная остановка) и значительное количество прибылей, многие более $5000, а некоторые даже более $10 000. Ожидаемое стандартное отклонение средней прибыли в сделке показывает, что если бы такие расчеты многократно проводились на схожих выборках, то среднее колебалось бы в пределах десяти процентов, и многие выборки показывали бы среднюю прибыльность в размере $740
Т- критерий для наилучшего решения составил 2,1118 при статистической значимости 0,0184. Это весьма впечатляющий результат. Если бы тест проводился только один раз (без оптимизации), то вероятность случайно достичь такого значения была бы около 2%, что позволяет заключить, что система с большой вероятностью находит скрытую неэффективность рынка и имеет шанс на успех в реальной торговле. Впрочем, не забывайте: исследовались лучшие 20 наборов параметров. Если скорректировать статистическую значимость, то значение составит около 0,31, что вовсе не так хорошо — эффективность вполне может оказаться случайной. Следовательно, система имеет некоторые шансы на выживание в реальной торговле, однако в ее провале не будет ничего удивительного.
Серийная корреляция между сделками составляла всего 0,0479 при значимости 0,6083 — в данном контексте немного. Эти показатели говорят, что значительной серийной корреляции между сделками не наблюдалось, и вышеприведенный статистический анализ, скорее всего, справедлив. За время проведения теста было 58 прибыльных сделок,т.е. доля прибыльных сделок составила около 49%. Верхняя граница 99%- ного доверительного интервала количества прибыльных сделок составила около 61%, а нижняя — около 37%. Это означает, что доля прибыльных сделок в популяции данных с вероятностью 99% попала бы в интервал от 37 до 61%.
Фактически коррекция по оптимизации должна была бы расширить доверительный интервал; но мы этого не делали, поскольку не особенно интересовались показателем доли прибыльных сделок.
Результаты проверки.
В табл. 4- 1 содержатся данные и статистические заключения по тестированию модели на данных вне выборки. Поскольку все параметры уже определены при оптимизации и проводился всего один тест, мы не рассматривали ни оптимизацию, ни ее последствия. За период с 1.01.1995 г. по 1.01.1997 г. система привела 47 сделок, средняя сделка дала прибыль в $974, что выше, чем в выборке, использованной для оптимизации! Видимо, эффективность системы сохранилась.
Стандартное отклонение выборки составило более $6000, почти вдвое больше, чем в пределах выборки, по которой проводилась оптимизация.
Следовательно, стандартное отклонение средней прибыли в сделке было около $890, что составляет немалую ошибку. С учетом небольшого размера выборки это приводит к снижению значения t- критерия по сравнению с полученным при оптимизации и к меньшей статистической значимости — около 14%. Эти результаты не слишком плохи, но и не слишком хороши: вероятность нахождения скрытой неэффективности рынка составляет более 80%. Но при этом серийная корреляция в тесте была значительно выше (ее вероятность составила 0,1572). Это означает, что такой серийной корреляции чисто случайно можно достичь лишь в 16% случаев, даже если никакой реальной корреляции в данных нет. Следовательно, и t- критерий прибыли/убытка, скорее всего, переоценил статистическую значимость до некоторой степени (вероятно, на 20 — 30%). Если размер выборки был бы меньше, то значение t составило бы около 0,18 вместо полученного 0,1392. Доверительный интервал для процента прибыльных сделок в популяции находился в пределах от 17 до приблизительно 53%.
В общем, оценка показывает, что система, вероятно, сможет работать в будущем, но без особой уверенности в успехе. Учитывая, что в одном тесте вероятность случайности прибылей составила 31%, в другом, независимом, — 14% (с коррекцией на оптимизацию 18%), шанс того, что средняя сделка будет выгодной и система в будущем сможет работать, остается неплохим.
Другие статистические методы и их использование
Этот раздел посвящен исключительно знакомству читателя с другими статистическими методами. Тем, кто желает серьезно заниматься разработкой и тестированием торговых систем, мы настоятельно рекомендуем обратить внимание на посвященную данным методам литературу.
Системы, полученные генетическими методами
Мы разрабатываем множество систем с использованием генетических алгоритмов. Популярной функцией пригодности системы (степени достижения желаемого результата) является общая прибыль системы. Но при этом общая прибыль не является лучшим из критериев качества системы! Система, которая использует только крупные обвалы рынка S&P 500, например, даст очень высокую общую прибыль и очень высокий процент прибыльных сделок, но кто может с уверенностью утверждать, что такая система полезна в практической торговле? Если система провела всего 2 — 3 сделки за 10 лет, чисто интуитивно нельзя ожидать ее стабильной работы в будущем или быть уверенным, что система вообще сможет совершать сделки. Частично проблема в том, что общая прибыль никак не учитывает количество сделок и их изменчивость.
Альтернативными показателями пригодности, лишенными некоторых недостатков общей прибыли, являются t- критерий и связанная с ним вероятность. При использовании t- критерия как функции пригодности (вместо простого поиска наиболее выгодного решения) смысл генетического развития систем состоит в создании систем с максимальной вероятностью прибылей в будущем или, что то же самое, с минимальной вероятностью прибылей, обусловленных случайностью или подгонкой под исторические данные. Этот подход работает весьма хорошо; t- критерий учитывает прибыль, размер выборки данных и количество совершенных сделок. Хотя все факторы важны, все же, чем больше сделок совершает система, тем выше t- показатель и больше вероятность устойчивости в будущем. Таким же образом, системы, которые дают более стабильные сделки с минимальным разбросом, будут иметь лучший t- показатель и предпочтительнее систем, где разброс сделок велик. T- критерий включает в себя многие из параметров, определяющих качество торговой модели, и сводит их в одно число, для оптимизации которого можно применить генетический алгоритм.
Научный подход к разработке систем
Эта книга предназначена для систематического и подробного анализа индивидуальных компонентов, составляющих полную торговую систему. Мы предлагаем научное исследование входов, выходов и других элементов торговой системы. Основная сущность научного подхода в этом аспекте такова:
1. Объект исследования, в данном случае торговая система или ее составляющие, должен быть доступен для прямого или опосредованного наблюдения предпочтительно без зависимости от субъективных суждений, что в некоторых случаях легко достижимо при помощи соответствующих программ тестирования полностью механических торговых систем.
2. Требуется упорядоченная методика оценки поведения исследуемых показателей, т.е. в случае торговых систем — тестирование на длительных выборках исторических данных совместно с использованием статистической обработки данных для оценки способности системы эффективно действовать в будущем и на других выборках данных.
3. Требуется метод ограничения объема вычислений, состоящий в фиксации большинства параметров при концентрации внимания на эффектах, возникающих от изменения одного- двух критических параметров в каждом тесте.
Структура этой книги во многом отражает научный подход. Системы разделены на модели входов и выходов, для их исследования обсуждаются и применяются стандартизованные методы, образуя отдельные разделы по входам и выходам. Проводятся объективные исследования и статистическая обработка данных. Результаты представлены последовательным образом, позволяющим проводить прямые сравнения. Для ученого, исследователя в любой отрасли в этом нет ничего нового.
Для многих трейдеров может оказаться сюрпризом, что они, подобно исследователям, также имеют работающий научный подход! Книги для трейдеров часто упоминают торговлю на бумаге или историческое обратное тестирование, а также приводят результаты, основанные на этих методах. Впрочем, эта книга будет более последовательна в применении научного подхода к успешной торговле на рынках. Например, немногие из книг, упоминающих историческое тестирование торговых систем, основывают заключения на статистическом анализе вероятности будущих прибылей и статистическом подтверждении достоверности результатов тестов. Эта книга включает подробное пособие по применению статистики для оценки эффективности торговых систем.
Также следует отметить, что немногие авторы проводят тестирование выходов и выходов независимо друг от друга. Существует ряд интересных способов, позволяющих проводить тестирование изолированных компонентов системы. Один из них — использование набора стандартных стратегий входа и выхода, которые остаются фиксированными, в то время как данный вход, выход или другой компонент меняется. Например, при изучении моделей входа используется стандартизованная модель выхода без изменений для различных входов и их модификаций, и таким же образом для изучения выходов будет использоваться стандартизованная модель входа. Для трейдера будет немалым шоком использование для исследования входов генератора случайных чисел, спонтанно открывающего длинные и короткие позиции на различных рынках! Большинство трейдеров впали бы в панику от одной мысли о модели, основанной на выпадении кубиков, но на самом деле такие входы великолепны для жесткого тестирования стратегий выхода. Стратегия, способная выжать прибыль из случайных сделок, как ни странно, вполне может быть разработана, по крайней мере для индекса S&P 500 (Katz and McCormick, March, 1998, April, 1998).
Испытания следует проводить так, чтобы разные методы входа и выхода можно было осмысленно сравнивать.
В общем, основные элементы научного подхода включают:
1. Изолированные исследования различных элементов системы.
2. Использование стандартных методик, позволяющих проводить достоверные сравнения
3. Статистическую оценку результатов.
Множественная регрессия
Еще одна часто применяемая методика — множественная регрессия. Рассмотрим анализ сравнения рынков; цель этого исследования в том, чтобы обнаружить на других рынках показатели поведения, которые указывали бы на текущее поведение данного рынка. Проведение различных регрессий — подходящий метод для анализа таких потенциальных связей; более того, существуют замечательные методы для тестирования и установки доверительных интервалов корреляций и весов регрессии (бетачисел), генерируемых при анализе. Ввиду ограниченности объема главы, рекомендуем обратить внимание на книгу Майерса (Meyers, 1986) — хорошее пособие по основам множественной регрессии.
Метод Монте-Карло
Есть еще один уникальный метод статистического анализа, который известен под названием метода Монте- Карло. Он состоит в проведении множественных тестов на искусственных данных, сконструированных так, чтобы обладать свойствами выборок, извлеченных из случайной популяции. За исключением случайности, эти данные настроены так, чтобы иметь основные характеристики популяции, из которой брались реальные образцы и относительно которой требуется сделать заключение. Это весьма мощный инструмент; красота моделирования по методу Монте Карло состоит в том, что его можно провести, не нарушая основных положений статистического анализа (например, обеспечить нормальное распределение), что позволит избежать необоснованных выводов.
Тестирование вне пределов выборки
Еще один способ оценки системы — проводить тестирование вне пределов выборки. Несколько временных периодов резервируются для тестирования модели, которая была разработана и оптимизирована на данных из другого периода. Тестирование вне пределов выборки помогает понять, как ведет себя модель на данных, которые не использовались при ее разработке и оптимизации. Мы настоятельно рекомендуем применять этот метод. В приведенных выше примерах рассматривались тесты систем на оптимизационных выборках и вне их пределов. При тестировании вне пределов выборки не требуются коррекции статистики или процесса оптимизации. Тесты вне пределов выборки и тесты на нескольких выборках также могут дать информацию об изменении поведения рынка с течением времени.
Тестирование с прогонкой вперед
При тестировании с прогонкой вперед система оптимизируется на данных за несколько лет, затем моделируется торговля за следующий год.
Потом система повторно оптимизируется на данных за несколько лет, со сдвигом окна оптимизации вперед, включая год ведения торговли, и процесс повторяется раз за разом, прогоняя систему через популяцию данных. Хотя этот метод требует огромного количества вычислений, он чрезвычайно полезен для изучения и тестирования торговых систем. Его основное преимущество в том, что он совмещает оптимизацию и проведение тестов вне пределов выборки. Все вышеописанные статистические методы, например проверка по критерию Стьюдента, могут быть использованы на тестах с прогонкой вперед просто и доступно, без необходимости вносить поправки на оптимизацию. Кроме того, тесты будут весьма правдоподобно моделировать процесс, происходящий в реальной торговле, — сначала ведется оптимизация, а затем система ведет торговлю на ранее неизвестных данных и время от времени повторно оптимизируется. Продвинутые разработчики встраивают процесс оптимизации в систему, создавая то, что можно назвать адаптивной торговой моделью. В работе Мейерса (Meyers, 1997) подробно рассмотрен процесс тестирования с прогонкой вперед.
Шифрование и секретность в Linux
тут
Заключение
В процессе разработки торговых систем статистика помогает трейдеру быстро отбрасывать модели, эффективность которых может быть объяснена случайным совпадением, излишней подгонкой под исторические данные или несоответствующим размером образца данных. Если статистический анализ показывает, что вероятность случайной эффективности модели очень низка, то трейдер может использовать модель в реальной торговле с большей уверенностью.
Существует множество статистических методов, применимых к торговле на финансовых рынках. Главное в них — попытка сделать вывод о всей популяции данных на основе выбранных из нее образцов.
Не забывайте, что при использовании статистических методов на данных, с которыми работают трейдеры, не будут выполняться некоторые требования статистического анализа. Некоторые из этих нарушений не очень серьезны; благодаря центральной предельной теореме в большинстве случаев можно нормально анализировать даже данные, не соответствующие нормальному распределению. Другие, более серьезные нарушения, например наличие серийной корреляции, должны учитываться, но для оценки поправок вероятности на этот случай существуют специальные методы. Суть в том, что лучше работать с информацией, зная, что некоторые положения нарушены, чем работать вслепую.
Данная глава была написана для того, чтобы в общих чертах познакомить читателя с наиболее часто используемыми статистическими методами. Для более подробного изучения статистики мы советуем обратиться к специальным пособиям.
Введение
В этом разделе будут систематически рассмотрены различные методы входов. Мы сравним качество входов, обеспечиваемое разными методами.
Хороший вход важен, поскольку он снижает риск и увеличивает вероятность прибыльности сделки. Хотя порой можно получить прибыль даже при плохом входе (с достаточно хорошим выходом), хороший вход позволяет удачно открыть позицию, заложив фундамент будущей прибыли.
Что является хорошим входом?
Хороший вход— это такой вход, который начинает сделку в точке с низким потенциальным риском и высокой потенциальной прибылью. Точка с низким риском — это точка, где величина возможного неблагоприятного движения перед поворотом рынка в пользу трейдера невелика. Входы, при которых неблагоприятное движение минимально, весьма желательны, поскольку они позволяют устанавливать очень близкие защитные остановки, минимизируя, таким образом, риск. Хороший вход должен также с большой вероятностью сопровождаться благоприятным движением рынка вскоре после входа. Сделки, долго ожидающие благоприятного движения рынка, попросту оттягивают на себя деньги, которые можно применить в других местах; такие сделки не только увеличивают общий риск портфеля, но и расходуют часть маржи, не позволяя открыть другие, более эффективные позиции. Идеальный вход состоял бы в покупке по минимальной цене и продаже по максимальной. Естественно, такие входы едва ли случаются в реальном мире и совсем не обязательны для успешной торговли. Для успешной торговли всего- навсего достаточно, чтобы входы в сочетании с разумными выходами образовывали торговую систему с хорошими характеристиками общей эффективности.
Приказы, используемые во входах
Входы могут выполняться при помощи различных приказов, включая стоп- приказы, лимитные приказы и рыночные приказы.
Стоп-приказы
Стоп- приказ входит в рынок, который уже движется в направлении сделки. Сигнал на продажу или покупку возникает, когда рынок поднимается выше ценового уровня приказа на покупку или падает ниже цены приказа на продажу; это способствует применению стоп- приказов в моделях входа, основанных на следовании за трендом. Хорошая черта стоп- приказа в том, что рынок на момент входа должен двигаться в благоприятном направлении. Поэтому сам по себе приказ выполняет функцию фильтра, подтверждая сигналы, полученные от модели входа. Если данный вход хорош, то движение рынка быстро сделает сделку прибыльной, едва ли с каким- то неблагоприятным движением вообще.
С другой стороны, если вход, выполненный по стоп- приказу, неудачен, он может сопровождаться значительной отрицательной переоценкой позиции, особенно при быстрых движениях рынка, и покупка будет проведена по завышенной цене, а продажа — по заниженной. Представьте, что цены быстро движутся в благоприятном направлении: покупка или продажа в такой ситуации подобна прыжку на разгоняющийся поезд и имеет большую вероятность привести к значительному проскальзыванию.
Проскальзывание представляет собой разницу между ценой, на которой стоп- приказ установлен, и ценой, по которой он в реальности выполняется. Поскольку проскальзывание снижает прибыль от сделки, оно весьма нежелательно. Самая неприятная возможная ситуация — когда приказ выполняется далеко за уровнем стоп- приказа: тогда, когда рынок уже начинает обратное движение!
Лимитные приказы
В противоположность стоп- приказу лимитный приказ обеспечивает вход тогда, когда рынок движется против сделки. Лимитный приказ — это приказ продавать или покупать по указанной цене. Чтобы приказ на покупку был выполнен, рынок должен опуститься ниже лимитной цены; чтобы приказ на продажу был выполнен, он должен подняться выше лимитной цены. По крайней мере во внутридневной торговле продажа и покупка происходят против тренда. Основными недостатками лимитного приказа являются его противопоставление тренду и то, что рынок может никогда не достичь установленных лимитных цен. Впрочем, при работе с прогностическими контртрендовыми моделями входа это может не быть недостатком. Преимущества лимитного приказа в отсутствии проскальзывания и в том, что вход происходит по заранее известной хорошей цене.
Материалы и методы, необходимые для научного подхода
Прежде чем применять научный подход к изучению рынков, следует рассмотреть ряд факторов. Во- первых, требуется целая вселенная достоверных данных для исторического тестирования и статистического анализа.
Поскольку эта книга концентрируется на товарных биржах, в основе использованы данные по ценам на конец дня, поставляемые Pinnacle Data Corporation, которые включают сельскохозяйственные продукты, металлы, энергетические ресурсы, облигации, валюты и рыночные индексы. В книге не рассматривается внутридневная торговля, хотя это — одна из основных областей наших интересов, которая, возможно, станет темой следующей книги. Помимо стандартных ценовых данных исследование влияния различных внешних факторов на рынок может потребовать весьма необычных данных. Например, данные об активности солнечных пятен (солнечное излучение влияет на ряд рынков, в частности на сельскохозяйственный) получены от Бельгийской Королевской Обсерватории.
Мало иметь огромное количество данных — необходимо моделирование одного или нескольких торговых счетов для проведения тестов. Для этого требуется торговый симулятор, т.е. пакет программ для создания счетов и ведения торговли на компьютере. Наиболее широко использовался торговый симулятор от Scientific Consultant Services, написанный на языке C+ +, рассчитанный на работу с портфелями акций и хорошо известный авторам. Кроме того, разнообразные возможности тестирования и построения графиков заложены в такие программы, как TradeStation фирмы Omega Research или SystemWriter Plus. Мы использовали в нашем анализе не только эти программы, но и MS Excel, которой пользуются очень многие.
Еще один важный момент — оптимизация параметров моделей. При проведении тестов часто необходимо настраивать параметры некоторых компонентов (например, модели входа, выхода или их частей), чтобы обнаружить наилучший набор параметров и/или увидеть, как поведение модели меняется со сменой параметров. Возможно проведение нескольких видов оптимизации параметров модели. При ручной оптимизации пользователь задает параметр, который будет варьироваться, и пределы его изменения; причем пользователь может одновременно управлять двумя или более параметрами, получая результаты в виде таблицы, показывающий влияние значений параметров на показатели системы. Другой метод — лобовая оптимизация, существующая в нескольких разновидностях: наиболее часто — это прогонка каждого из параметров через все возможные значения. Если параметров много и их границы широки, прогонка может растянуться на годы. При этом лобовая оптимизация может быть вполне приемлема при малом количестве параметров и узких пределах их значений. Другие методы лобовой оптимизации не столь полны и не всегда способны найти оптимальный набор параметров, но работают гораздо быстрее. Последний из методов, используемый для мощной оптимизации (а в неумелых руках — для подгонки параметров под выигрыш в прошлом), — это генетические алгоритмы. Подходящий генетический алгоритм может быстро обнаружить хороший ответ (пусть даже не общий оптимум) даже из большого числа параметров с широкими пределами значений. Генетический оптимизатор — важный инструмент в арсенале разработчика торговых систем, но использоваться он должен осторожно, поскольку существует возможность подгонки, т.е. получения набора параметров, подогнанного под исторические данные, который имеет небольшую ценность для торговли в будущем. В данной книге приведены методики статистической оценки результатов, тесты за пределами выборки и методики, фокусирующиеся на анализе целых портфелей, которые обеспечивают защиту от подгонки вне зависимости от используемого метода оптимизации.
Рыночные приказы
Рыночный приказ — это простой приказ на продажу или покупку по текущей рыночной цене. Основная положительная черта рыночного приказа состоит в том, что он будет выполнен вскоре после размещения; некоторые биржи требуют выполнения рыночных приказов в течение максимум нескольких минут. Стоп- или лимитные приказы, с другой стороны, могут ждать долгое время, пока активность рынка не вызовет их срабатывания. Другое преимущество — гарантированное выполнение: после размещения рыночного приказа вход обязательно будет достигнут. Недостатком является возможность проскальзывания, но в отличие от стоп- приказа проскальзывание может идти как против сделки, так и в ее пользу в зависимости от движения рынка и задержки с выполнением.
Выбор подходящих приказов
При выборе вида приказа для входа нужно учитывать не только достоинства и недостатки разных видов приказов, но и природу модели, которая дает сигналы входа, и теорию поведения рынка, на которой основана модель.
Если модель входа предсказывает поворотные точки в недалеком будущем, наиболее уместны будут лимитные приказы, особенно если модель входа дает указания о цене, при которой произойдет разворот. Если модель содержит указание цены, как это бывает в моделях, основанных на стандартных уровнях коррекции рынка, то вход по лимитному приказу (с близкой защитной остановкой) — однозначно верное решение; рынок, скорее всего, оттолкнется от стандартного уровня коррекции, и лимитный приказ обеспечит вход на уровне разворота или поблизости, что приведет к сделке, которая или быстро принесет прибыль (если рынок отскочил от критического уровня, как ожидалось), или будет закрыта с минимальными убытками.
Если модель входа требует некоего подтверждения движения рынка в верном направлении, лучшим выбором будет стоп- приказ. Например, систему, основанную на пробоях, естественно сочетать с входом на стопприказах. Если рынок движется в благоприятном направлении и проходит некий ключевой уровень (на котором поставлен входной стоп- приказ), вход произойдет автоматически, и позиция поймает все последующие движения. Если же пробоя не произойдет, то стоп- приказ не будет активирован, и позиция не будет открыта. В данном случае входной приказ фактически становится частью системы.
Рыночные приказы наиболее полезны, когда модель входа указывает только на время и когда стоимость подтверждения входа по стоп- приказу (проскальзывание и задержки) слишком высока по отношению к ожидаемой прибыли. Рыночный приказ также уместен, когда временные рамки, устанавливаемые системой, критичны. В некоторых случаях будет иметь смысл установить стоп- или лимитный приказ и затем, если приказ не будет выполнен за некоторой период времени, заменить его на рыночный.
При разработке любой модели входа часто полезно рассмотреть различные входные приказы, чтобы выбрать наиболее управляемый и эффективный. Первоначальная модель входа, скорее всего, потребует изменений, чтобы сделать такие тесты возможными, но результат может оказаться стоящим усилий. Примеры различных систем входа, тестированных с тремя типами приказов (вход при открытии, при достижении уровней лимитного или стоп- приказа), будут приведены ниже.
Методы входа, рассмотренные в этой книге
Эта часть книги рассматривает методы входа в рынок. Как известно, существует бесчисленное множество таких методов — следующие за трендом и противотрендовые, основанные на ценовых данных и опирающиеся на внешние по отношению к рынку явления, традиционные и экзотические, простейшие и чрезвычайно сложные. К сожалению, недостаток места заставляет нас сузить круг и рассматривать только часть возможностей. Мы постараемся пояснить популярные методы, используемые часто и на протяжении долгого времени (некоторые — десятилетиями), но мало поддержанные объективными доказательствами. Мы будем систематически тестировать эти модели для проверки их эффективности. Мы также попытались расширить наши исследования моделей входа, вызвавшие интерес у читателей (в основном, читателей журнала Technical Analysis of Stocks and Commodities).
Пробои и скользящие средние
Традиционные, следующие за трендом модели, использующие пробои и скользящие средние, рассмотрены в гл. 5 и 6 соответственно. Входы при пробое просты и интуитивно привлекательны: покупка производится, когда цена пробивает верхнюю границу некоторого ценового диапазона.
Продажа или открытие короткой позиции производится, когда рынок пробивает нижний порог или границу. Таким образом, входы при пробое обеспечивают трейдеру участие в любом крупном движении рынка или тренде. Входы, основанные на следовании за трендом, а именно на пробое, лежат в основе многих популярных систем. Модели, основанные на пробое, отличаются друг от друга главным образом тем, как определяются границы ценовых диапазонов и как организован вход в рынок.
Подобно пробоям, скользящие средние привлекательны в своей простоте и чрезвычайно популярны среди технических трейдеров. Входы могут генерироваться с использованием скользящих средних различным образом: в рынок можно входить, когда цена пересекает скользящую среднюю вверх; когда быстрая средняя пересекает медленную; когда наклон скользящей средней меняет направление или когда цены взаимодействуют со скользящей средней, как с уровнями поддержки/сопротивления.
Кроме того, разнообразия добавляет существование простых, экспоненциальных, взвешенных и многих других скользящих средних. Поскольку модели входа часто используют те или иные варианты пробоев или скользящих средних, эти методы важно рассмотреть в подробностях.
Осцилляторы
Осцилляторы — это индикаторы, которые дают квазициклические колебания в некоторых пределах. Они весьма популярны у трейдеров и включены в большинство пакетов построения графиков. Модели входа, основанные на осцилляторах, так же как и модели пробоев и скользящих средних, по природе своей внутренние, т.е. не требуют ничего, кроме рыночных данных, и достаточно просты в создании. При этом модели пробоев и скользящих средних часто генерируют запаздывающие сигналы, поскольку они реагируют на поведение рынка, а не предсказывают его.
Основная особенность осцилляторов состоит в том, что они предсказывают изменения цены путем идентификации поворотных точек и пытаются войти в рынок до начала его движения, а не после. В связи с этим большинство осцилляторных систем являются противотрендовыми.
Сигнал к входу обычно возникает при расхождении между движением графика осциллятора и цены. Расхождение наблюдается, когда цены достигают нового минимума, а осциллятор при этом не опускается ниже своих предыдущих минимумов, что является сигналом к покупке; или же цены образуют новый максимум, а осциллятор не достигает своего предыдущего максимума, что служит сигналом к продаже или к открытию короткой позиции.
Еще одним способом генерировать входы является сигнальная линия.
Она рассчитывается как скользящая средняя осциллятора. Трейдер покупает, когда осциллятор пересекает сигнальную линию вверх, и открывает короткую позицию, когда он пересекает линию вниз. Хотя осцилляторы обычно используются в противотрендовых системах для торговли внутри ограниченного ценового диапазона, иногда их применяют и для следования за трендом: длинные или короткие позиции можно занимать, когда стохастический осциллятор превышает уровень 80 или опускается ниже 20. Модели, основанные на таких классических осцилляторах, как стохастический осциллятор Лэйна, RSI Вильямса и MACD Аппеля, рассмотрены в гл. 7.
Сезонность
Гл. 8 рассматривает сезонность, которую каждый трейдер понимает посвоему. В нашем понимании сезонность определяется как циклические или повторные явления, которые устойчиво связаны с календарем, а именно рыночные явления, на которые влияет дата или время года. Поскольку природа таких систем прогностическая (сигналы получаются за недели, месяцы и даже годы вперед), эти модели по своей природе противотрендовые. Из многих способов определения наилучшего времени входа в рынок с использованием сезонных ритмов мы рассмотрим два основных — скорость изменения цены и пересечение. Кроме того, будут исследованы некоторые дополнительные правила, в частности правила подтверждения исходных сигналов.
Лунные и солнечные явления
Влияют ли на рынок лунные и солнечные явления? Можно ли создать модель, основанную на изменениях цен под таким влиянием? Роль Луны в создании приливов неоспорима. Фазы луны коррелируют с осадками и некоторыми биологическими ритмами, они влияют на время посадки растений в сельском хозяйстве. Солнечные явления — вспышки и пятна — также влияют на различные события на Земле. В периоды высокой солнечной активности возможны магнитные бури, способные повлиять на энергосистемы, вызывая серьезные перебои с электроэнергией. Не так уж невероятно представить, что солнечные и лунные явления влияют на рынки, но как можно использовать эти влияния для создания прогностических входов против тренда?
Рассмотрим лунный цикл. Несложно создать модель, которая входила бы в рынок на определенный день до или после новолуния или полнолуния. То же самое применимо и к солнечной активности: вход может активироваться, когда количество солнечных пятен поднимается или опускается выше некоторого значения. Можно рассчитывать скользящие средние солнечной активности и их пересечения для управления входами. Лунные циклы, солнечные пятна и другие планетарные явления могут иметь реальное, хотя и небольшое влияние на рынки, и это влияние может приносить прибыль при использовании должным образом сконструированной модели входа. Действительно ли лунные и солнечные явления оказывают такое влияние на рынок, что проницательный трейдер мог бы извлечь из них прибыль, — вопрос для эмпирического исследования (см. гл. 9).
Циклы и ритмы
В гл. 10 исследуются циклы и ритмы как метод определения момента входа в рынок. Идея использования циклов на рынке в основе проста: экстраполируйте наблюдаемые циклы в будущее и попытайтесь покупать на минимумах циклов и продавать в короткой позиции на максимумах. Если циклы достаточно устойчивы и четко определены, то подобная система будет работать с большой прибылью. Если нет, то результаты входов будут плохими.
Очень долгое время трейдеры занимались визуальным анализом циклов при помощи графиков, которые строились вручную на бумаге, а в последнее время — с помощью компьютерных программ. Хотя циклы можно анализировать визуально, в программах не так сложно реализовать алгоритмы определения и анализа циклов. В анализе циклов полезны разнообразные алгоритмы — от подсчета баров между максимумом и минимумом до быстрых преобразований Фурье (FFT) и спектрального анализа методом максимальной энтропии (MESA). Правильное использование таких алгоритмов — уже нешуточная задача, но на основе надежных программ для анализа циклов можно строить объективные циклические модели входа и тестировать их на исторических данных.
Природа рыночных циклов весьма разнообразна. Некоторые циклы вызываются внешними по отношению к рынку причинами, природными или общественными. Сезонные ритмы, эффекты праздников и циклы, связанные с периодическим событиями (например, с президентскими выборами или опубликованием экономических отчетов), относятся к экзогенным (внешним). Их лучше анализировать методами, принимающими во внимание время действия влияющих факторов. Другие циклы эндогенны — их внешние движущие причины неясны, и для анализа не требуется ничего, кроме рыночных данных. Пример эндогенного цикла наблюдается порой в котировках S&P 500 трехдневного цикла или в 8- минутных тиковых данных этого же символа. Программы, основанные на частотных фильтрах (Katz, McCormic, май 1997) и на методе максимальной энтропии (например, MESA96 и TradeCycles), хороши для поиска эндогенных циклов.
Мы уже обсуждали экзогенные сезонные циклы, а также лунные и солнечные ритмы. В гл. 10 исследуются эндогенные циклы при помощи специализированного волнового фильтра.
Нейронные сети
Как обсуждается в гл. 11, нейронные сети — это специальная технология искусственного интеллекта (AI), возникшая из попыток эмуляции информационных процессов, происходящих в живых организмах. Нейронные сети — это компоненты, которые способны к обучению и полезны при построении моделей, классификации и прогнозировании. Они могут работать с оценками вероятности в неопределенных ситуациях и с нечеткими моделями, т.е. с заметными глазом, но с трудом определимыми с помощью четких правил. Сети могут использоваться для прямого обнаружения точек разворота или предсказания изменений цен. Их также можно использовать для критического обзора сигналов, полученных от других моделей. Кроме того, технологии нейронных сетей могут помогать интегрировать информацию от эндогенных (например, прошлые цены) и экзогенных источников (личные мнения, сезонные данные, влияние других рынков). Нейронные сети могут быть обучены определять визуально различимые модели на графиках и служить в качестве блоков распознавания моделей в составе систем, основанных на традиционных правилах (Katz, McCormic, ноябрь 1997).
Правила входа, полученные генетическими методами
В гл. 12 приведено исследование Каца и МакКормик (Katz, McCormic, декабрь 1996), демонстрирующее, что при помощи генетической эволюции можно создавать стабильные и прибыльные модели входа, основанные на правилах. Процесс состоит в составлении набора шаблонов правил и применении генетического алгоритма для их сочетания в целях создания выгодных входов. Эта методика позволяет обнаружить удивительные сочетания правил, включающие и эндогенные, и экзогенные переменные, традиционные индикаторы и даже нетрадиционные (например, нейронные) элементы для образования мощных правил входов. Эволюционное построение моделей — один из самых передовых, продвинутых и необычных методов, доступных для разработчика торговых систем.
Введение
Для объективной оценки поведения механических торговых систем требуются различные аналитические инструменты и данные.
Для моделирования поведения некоторого метода входа или выхода требуется проведение тестов с использованием этого метода на данных о прошлом поведении рынка. Следовательно, для начала требуются чистые, надежные исторические данные.
При наличии данных нужна программа для моделирования торгового счета. Такие программы позволяют давать различные торговые приказы и должны эмулировать торговлю с реального счета за интересующий нас исторический период. Такие программы называются торговыми симуляторами.
Модель (будь то модель входа, выхода или полная система) может иметь ряд параметров, которые необходимо настраивать для достижения наилучшей отдачи от системы и ее элементов, или ряд опций, которые можно включать или отключать. Для определения оптимальной конфигурации системы используется оптимизатор, и его надо выбрать среди разнообразия существующих видов оптимизаторов.
Моделирование и оптимизация дают огромное количество результатов. Система может провести сотни тысяч тестов, каждый со своим показателем прибыли/убытков, максимального благоприятного и неблагоприятного движения. Кроме того, будут построены графики изменения общего капитала, соотношения риска/прибыли, доходности и других показателей моделируемого торгового счета. Необходим подход к оценке значимости этих результатов. Является ли высокая доходность результатом излишней оптимизации? Может ли система быть прибыльной чисто случайно или дело в достоверной торговой стратегии? Если система обоснованна, будет ли она столь же успешна в будущем при реальной торговле, как и в прошлом? Ответы на такие вопросы достижимы при помощи статистических методов.
В следующих главах будут рассмотрены данные, симуляторы, оптимизаторы и статистика. Эти понятия будут использоваться в дальнейшем при исследовании методов входа и выхода и при попытке объединить входы и выходы в полную торговую систему.
Стандартизованные выходы
Чтобы исследовать входы по отдельности и иметь возможность сравнивать различные стратегии входов, важно создать стандартизованный выход, применяемый во всех тестах; это один из аспектов научного метода, который уже рассматривался выше. Научный метод основан на попытке удерживать все, кроме изучаемого параметра, неизменным для получения надежной информации о предмете изучения.
Стандартизованный выход, используемый для изучения моделей входа в последующих главах, включает в себя три функции, необходимые для моделей выхода: выход с прибылью, когда рынок движется в пользу трейдера достаточно долгое время; выход с ограниченным убытком, если рынок идет против, и выход из застойного рынка спустя некоторое время для сохранения маржи и снижения неэффективных вложений. Стандартный выход реализуется при помощи комбинации стоп- приказа, лимитного приказа и рыночного приказа.
Стоп- приказ и лимитный приказ устанавливаются при входе в сделку. Если один из этих приказов выполняется в течение данного интервала времени, сделка завершена, оставшийся приказ отменяется, и дополнительные приказы не размещаются. Если после некоторого определенного интервала ни стоп- приказ, ни лимитный приказ не выполняются, они отменяются, и выполняется рыночный приказ для немедленного выхода из сделки. Стоп- приказ, называемый также приказом управления капиталом, служит для закрытия убыточной позиции с приемлемо малым убытком. Снятие прибыли достигается лимитным приказом и соответствует понятию целевой прибыли. Позиции, находящиеся без движения в каком- либо направлении, закрываются рыночным приказом. Более сложные стратегии выходов описаны в части III Исследование выходов, где стандартизованными будут входы.
Приказ управления капиталом и лимитный приказ, фиксирующий целевую прибыль, рассчитываются на основе единиц волатильности, а не фиксированных сумм в долларах, чтобы результаты были достаточно достоверными и стабильными на различных рынках в разные периоды времени. Стоп в $1000 в наше время будет считаться близким при торговле S&P 500, но достаточно далеким на рынке фьючерсов на пшеницу.
Нельзя использовать защитные остановки в фиксированных суммах при сравнении различных рынков и периодов времени, а единицы волатильности, подобно стандартным отклонениям, обеспечивают единую шкалу оценок. Защитная остановка, расположенная на данном количестве единиц волатильности от текущей цены, будет иметь постоянную вероятность срабатывания за данный период времени вне зависимости от рынка. Использование стандартизованных показателей позволяет проводить значимые сравнения рынков и исторических периодов.
Стандартизация долларовой волатильности
Если выходы должны быть одинаковыми при тестировании различных моделей входов, то риск и прибыль в единицах долларовой волатильности также следует стандартизировать для различных рынков и периодов времени. Это достигается путем изменения количества торгуемых контрактов. Стандартизация потенциала прибыли и риска важна для возможности сравнения эффективности различных методов входа на разных рынках в разное время. Стандартизация принципиальна для моделирования портфельной торговли, где каждый рынок должен вкладывать в эффективность всего портфеля примерно одинаковую часть. Проблема стандартизации долларовой волатильности состоит в том, что движение одних рынков в долларах за единицу времени бывает гораздо больше, чем других. Большинство трейдеров осознают, что объемы рынков сильно варьируются, что отражается на различных депозитных требованиях, а также на долларовой волатильности. Например, фьючерсный контракт на индекс S&P 500 считается крупным, а контракт на пшеницу — мелким; нужно продать или купить много контрактов на пшеницу, чтобы получить долларовую волатильность одного контракта S&P 500. В табл. II- 1 показаны с разбивкой на годы и рынки волатильность одного контракта и количество контрактов, которые надо было бы купить или продать, чтобы уравновесить долларовую волатильность 10 новых контрактов S&P 500 на конец 1998 г.
Для данного исследования средняя дневная волатильность рассчитывается как 200- дневное скользящее среднее абсолютной величины разности между данной и предыдущей ценами закрытия. Средняя дневная волатильность затем умножается на цену одного пункта в долларах, что и дает желаемую долларовую волатильность. Цена пункта в долларах может быть получена делением долларовой цены тика (минимального движения рынка) на размер тика (как десятичное число). Для новых контрактов S&P 500 это означает $250 за пункт (цена тика/размер тика = $25/0,10). Для получения количества контрактов на определенном рынке, которое должно было быть куплено или продано для того, чтобы получить волатильность, равную 10 новым контрактам S&P 500 на 12.31.1998 г., долларовую волатильность S&P 500 делят на долларовую волатильность этого рынка, результат умножают на 10 и округляют до целого.
Все модели в этой книге исходят из того, что в торговле всегда задействована одинаковая волатильность. Реинвестиции прибыли не происходит; размер сделок не растет с размером торгового счета. Следовательно, графики изменения капитала отражают прибыль от практически неизменных с точки зрения риска вложений. Эта модель постоянных вложений позволяет обойти серьезные проблемы, возникающие при моделировании систем с реинвестицией прибыли на фьючерсном рынке, где используется маржинальное кредитование. Моделируя рынки, основанные на маржинальном кредитовании, довольно сложно определить доходность, разве что в абсолютных долларовых значениях или по отношению к марже либо к риску; простые соотношения использовать не удается.
Кроме того, капитал такой системы может порой становиться отрицательным, что не позволяет вычислять логарифмы и еще более запутывает смысл соотношений. Если же используются постоянные вложения (по отношению к долларовой волатильности), месячная прибыль в долларах будет одинаково значима для различных рынков в течение всего периода; t- критерии, выраженные в стандартизованной прибыли, будут достоверны (достоверное соотношение риска/прибыли, используемое для оценки эффективности в дальнейших тестах, представляет собой фактически масштабированный t- критерий), и будет очевидно, когда система улучшается, а когда ухудшается с течением времени, даже если в некоторых точках капитал будет отрицательным. Использование модели фиксированных вложений соответствует подходам, изложенным в других книгах по фьючерсной торговле. Однако мы реализовали эту идею более строго, поддерживая постоянный риск, а не торговлю постоянным количеством контрактов. Это не означает, что всегда нужно торговать портфелем с постоянной долларовой волатильностью. Стратегия оптимального /и другие стратегии реинвестирования улучшают общую прибыль, но при этом они значительно усложняют интерпретацию результатов моделирования.
В любом случае подобные стратегии проще тестировать постфактум, используя данные о сделках и капитале, полученные при моделировании с фиксированными вложениями.
Портфель и платформа для стандартного тестирования
Стандартный портфель фьючерсных рынков используется для тестов всех методик, описанных в данном разделе. Назначение стандартного портфеля состоит в том же, что и принцип стандартизации выходов или долларовой волатильности. Стандартный портфель обеспечивает сравнимость, постоянство и достоверность данных. Все ценовые данные были получены от Pinnacle Data в виде непрерывных фьючерсов, связанных и скорректированных по методу Швагера (Schwager, 1992). Стандартный портфель состоит из следующих рынков (см. также табл. II- 1): фондовые индексы (S&P 500, NYFE), рынки процентных ставок (Т- облигации, 90дневные Т- векселя, 10- летние казначейские бумаги), валюты (британский фунт, немецкая марка, швейцарский франк, японская иена, канадский доллар, евродоллар), энергетические и нефтяные рынки (сырая нефть, мазут, бензин), металлы (золото, серебро, платина, палладий), скот (откормленный скот, живой скот, живые свиньи, свиная грудинка), традиционные сельскохозяйственные продукты (соевые бобы, соевая мука, соевое масло, кукуруза, овес, пшеница) и прочие товары (кофе, какао, сахар, апельсиновый сок, хлопок, лес). Выбор рынков был нацелен на высокое разнообразие и хорошее равновесие их видов. Хотя фондовый рынок, процентные ставки, металлы, энергоносители, скот и зерновые рынки были представлены, некоторые рынки (например, индекс Nikkei и природный газ), которые могли бы улучшить баланс портфеля, не были включены ввиду отсутствия достаточных исторических данных. В последующих главах модели входа испытываются и на полном портфеле, и на его индивидуальных компонентах. Поскольку хорошая система должна приносить прибыль на разнообразных рынках с использованием одних и тех же параметров, система не оптимизировалась для индивидуальных рынков, но только для портфеля в целом. При доступном количестве данных оптимизация для конкретного рынка могла привести к избыточной подгонке под исторические данные.
Если не указано иначе, в качестве выборки данных использован период с августа 1985 г. по 31 декабря 1994 г. Данные периода с 1 января 1995 г. по 1 февраля 1999 г. зарезервированы для тестов вне пределов выборки. Количество контрактов в сделках скорректировано для получения стандартной долларовой волатильности на всех рынках во все периоды времени; таким образом, каждый рынок и период сравним с другими и дает примерно одинаковый вклад в общий портфель в терминах потенциального риска и прибыли. Все тесты используют одинаковые стандартизованные выходы для достоверного сравнения между собой различных моделей входа.
Модели, основанные на пробоях
Модель, основанная на пробое, входит в рынок тогда, когда цены пересекают верхний порог или границу некоторого ценового диапазона, и выходит из рынка, когда они опускаются ниже нижнего порога или границы. Модели входа, основанные на пробоях, могут быть и простыми, и весьма сложными, причем основные различия заключаются в определении уровней порогов и интервалов, а также в методе выполнения входа.
Виды пробоев
Модели, основанные на пробоях, популярны и многообразны. Одна из самых старых моделей, используемых чартистами, — простой пробой
линии тренда. На графике строится нисходящая линия тренда, которая служит верхней границей. Когда цены поднимаются выше ее, открывается длинная позиция. Если же рынок опустился ниже восходящей линии тренда, следует открыть короткую позицию. Линии поддержки и сопротивления, построенные при помощи углов Ганна или чисел Фибоначчи, также могут служить граничными линиями для пробоев.
Исторически за моделями пробоя трендовых линий следовали модели пробоя каналов, которые основываются на линиях поддержки и сопротивления, вычисленных по прошлым максимумам и минимумам. Трейдер покупает, когда цены поднимаются выше максимума последних n штрихов (верхняя граница канала) и продает, когда цены опускаются ниже минимума последних n баров (нижняя граница канала). Системы на пробое канала легко программируются и нравятся трейдерам, которые избегают усложненных субъективных моделей, наподобие углов Ганна.
Более новыми и сложными являются модели пробоя волатильности, где точки, пересечение которых вызывает сигнал, основаны на границах волатильности. Границы волатильности располагаются на некотором расстоянии от текущей цены (например, последней цены закрытия), причем расстояние определяется текущей волатильностью рынка: когда волатильность растет, границы отодвигаются дальше от текущей цены; когда она падает, границы сужаются. В основе лежит статистическая идея: если рынок движется в данном направлении сильнее, чем ожидается от нормального колебательного движения (что и отражается в волатильности) , то, возможно, присутствует влияние некоей силы, т.е. реального тренда. Многие из систем, продававшихся в конце 80- х годов по $3000, использовали варианты пробоя волатильности.
Модели, основанные на пробое, также отличаются методом входа в рынок. Вход может иметь место при открытии или закрытии, что требует простого рыночного приказа. Внутридневной вход достигается при помощи стоп- приказов на граничных уровнях. Более сложный метод позволяет продавать или покупать на границе, т.е. пытаться войти в рынок, когда после пробоя границы цены ненадолго возвращаются к ней. Этот метод позволяет избегать как входа по лучшей цене, так и значительных отрицательных переоценок позиции.
Характеристики пробоев
Понятие пробоя интуитивно привлекательно. Чтобы попасть из одной точки в другую, рыночная цена должна пройти через все промежуточные значения: большие движения всегда начинаются с малых. Системы, основанные на пробое, входят в рынок при малых движениях, когда рынок достигает одного из промежуточных значений. Модели, основанные на пробое, следуют тенденции рынка. Еще одно положительное качество этих моделей в том, что следование рынку быстро делает сделки прибыльными. Иногда можно установить очень близкие защитные остановки — такой подход можно протестировать только на внутридневных данных тикового уровня. Смысл в том, чтобы войти при пробое с очень близкой защитной остановкой, ожидая, что движение пробоя сместит цену достаточно далеко, чтобы защитная остановка не реагировала на нормальные мелкие колебания рынка. Затем предполагается быстро выйти, зафиксировав прибыль или сместив защитную остановку до безубыточного уровня. Но удастся ли зафиксировать прибыль до разворота ценового движения — зависит от природы рынка и силы движения, вызвавшего пробой уровня.
При этом пробои, как и другие модели, следующие за трендом, имеют тенденцию входить в рынок с запаздыванием — нередко так поздно, что движение уже окончилось. Кроме того, позиция может быть открыта на небольшом движении цены, не позволяющем получить прибыль. Поскольку системы, основанные на пробое, следуют за трендом, они подвержены значительным проскальзываниям. Впрочем, с точки зрения теории стабильная и хорошо спроектированная система рано или поздно поймает реальное движение рынка, которое скомпенсирует частые (но мелкие) убытки. Однако многие трейдеры утверждают, что сейчас, при широкой доступности высокопроизводительных компьютеров, простые методы, основанные на пробое, уже не работают достаточно хорошо. В то время как системы разрабатывались, тестировались и вводились в действие, рынки достаточно быстро адаптировались к системам пробоя, что привело к значительному снижению эффективности данных систем. В результате ценовой шум вблизи границ, где размещаются стоп- приказы систем, основанных на пробоях, заставляет срабатывать эти системы излишне часто. Это особенно заметно на активных волатильных рынках, таких как S&P 500 или Т- облигации. Кроме того, легко попасть в ситуацию с большим (относительно размера средней сделки) проскальзыванием при попытке применять методы пробоя при внутридневной торговле; для более длительных периодов пробои могут быть вполне приемлемы.
Хорошо сконструированная модель на основе пробоя пытается обойти проблему шума с максимальной эффективностью. Это может достигаться установкой порога на уровнях, вряд ли достижимых случайной, не обозначающей тренда активностью рынка, — таких, которые, скорее всего, будут достигнуты, если на рынке сформируется значительный и потенциально выгодный тренд. Если пороги установлены слишком близко к текущим ценам, будет наблюдаться большое количество фальшивых сигналов, что приведет к пилообразной торговле — ценовой шум будет запускать приказы то в одном, то в другом направлении. Поскольку такие движения не представляют собой реальных трендов с длительным периодом, прибыль будет минимальной, а комиссия и проскальзывания нанесут тяжелый удар по капиталу трейдера. Если границы разнесены слишком широко, далеко от текущей цены, то система будет заключать слишком мало сделок и входить в рынок слишком поздно при любом важном движении. Если же границы установлены верно (на основе линий тренда, порогов волатильности или уровней поддержки/сопротивления), то теоретически система, основанная на моделях пробоя, может быть весьма эффективной: частые мелкие убытки, вызванные отсутствием продолжения тренда или ценовым шумом, должны компенсироваться значительными прибылями при крупных движениях рынка.
Для снижения количества ложных сигналов и уменьшения пилообразности торговли системы на основе пробоя иногда соединяются с индикаторами, например с индексом направленного движения (Welles Wilder, 1978), которые предположительно определяют наличие или отсутствие трендов на рынке. Если тренда нет, то сигналы входа, создаваемые системой, игнорируются; если тренд есть, они принимаются к исполнению. Если бы популярные индикаторы тренда действительно работали, то любой трейдер, применявший их в сочетании с прорывом или другой моделью, следующей за трендом, разбогател бы: система входила бы только в значительные тренды, ведя торговлю гладко и стабильно. Проблема в том, что индикаторы или не функционируют достаточно точно, или не успевают среагировать достаточно быстро, отставая от рынка и делая работу системы не идеальной.
Тестирование моделей, основанных на пробое
В этой главе будут проведены тесты нескольких систем, основанных на пробое и работающих с разными портфелями различных бумаг, для сравнения их эффективности. Насколько хорошо они работают? Да и работают ли? Теоретически модели на пробое наилучшим образом подходят для торговли на рынках с устойчивыми трендами, таких как рынки forex. При должном использовании фильтров они могут работать и на других рынках. Некоторые ответы на эти вопросы будут приведены в нашем исследовании. Во всех тестах использовались стандартные портфель и стратегия выхода (см. введение к части II).
Входы на пробое канала
Первые тесты рассматривают различные варианты входов на основе пробоя ценового канала. Сначала мы исследуем модели, основанные только на ценах закрытия, а также модели, где используются пробои уровней максимального максимума или минимального минимума. В этих моделях границы ценового канала соответствует понятию уровней поддержки/сопротивления.
Пробои на основе цен закрытия
Тест 1. Система на основе пробоя канала. Используются только цены закрытия; вход по рыночной цене при открытии биржи на следующий день и стоимость сделок (комиссия, проскальзывание) не учитываются.
Правила системы таковы: Если текущая позиция короткая или нейтральная, а рынок поднимается выше максимальной цены закрытия за последние n дней, то при завтрашнем открытии следует покупать, или же, соответственно, Если текущая позиция длинная или нейтральная, а рынок опускается ниже минимальной цены закрытия за последние n дней, то при завтрашнем открытии следует продавать (открывать короткую позицию). У этой системы только один параметр — период n, количество анализируемых дней. Количество контрактов для покупки или продажи (ncontracts) было выбрано таким, чтобы для данного рынка сохранялась долларовая волатильность, примерно соответствующая двум новым контрактам S&P 500 на конец 1998 г.
Выходы производятся, когда случается пробой в направлении, противоположном текущей открытой позиции, или срабатывает стандартный выход (например, защитная остановка, целевая прибыль или выход по рыночной цене, если позиция была открыта дольше указанного количества дней). Защитная остановка определяется как входная цена плюс (для коротких) или минус (для длинных позиций) параметр mmstp, величина которого линейно зависит от размеров среднего истинного ценового диапазона последних 50 дней. Границы целевой прибыли представляют собой входную цену плюс (для длинных) или минус (для коротких позиций) еще один параметр — ptlim, также связанный с величиной среднего истинного диапазона последних 50 дней. Выход при закрытии (вид рыночного приказа) представляет собой приказ, который отдается, если позиция удерживалась определенное количество дней (maxhold). Все выходные приказы исполняются только при закрытии; это ограничение позволяет избежать исполнения приказа при случайном внутридневном движении цены. Если бы выходы осуществлялись внутри ценового бара (дня), то существовала бы возможность отдать несколько приказов в одном баре.
Моделирование такой ситуации невозможно, поскольку движение цен в пределаходного бара неизвестно, и, следовательно, порядок исполнения отданных приказов оказывается неопределенным.
Средний истинный диапазон (мера волатильности) рассчитывается как среднее значение истинного диапазона за несколько предыдущих дней (в данном случае 50 дней). Истинный диапазон представляет собой наибольшую из следующих трех величин: разность между максимальной и минимальной ценами за день, разность между максимумом и ценой закрытия предыдущего дня и разность между ценой закрытия предыдущего дня и минимальной ценой текущего дня.
Ниже приводится компьютерный код на C++ для системы пробоя канала по ценам закрытия со стандартной стратегией выхода. При расчете количества контрактов сплит S&P 500 отдельно не учитывался. Новый контракт считается идентичным предыдущему. Моделирование, тем не менее, корректно, если считать, что трейдер (а не симулятор) продает или покупает два новых контракта вместо одного старого: симулятор настроен так, что он продает вдвое меньше новых контрактов, чем следовало бы, но считает их размер удвоенным. На фьючерсных рынках иногда имеет место административная остановка торгов (запрет на дальнейший рост или падение цены), вызванная чрезмерным изменением цены, превышающим максимально допустимое изменение, установленное правилами данной торговой площадки. Наша программа определяет эти дни проверкой диапазона: нулевой диапазон (максимум равен минимуму) позволяет предположить малую ликвидность и, возможно, остановленные торги.
Хотя эта схема не идеальна, при ее использовании в моделировании получаются результаты, похожие на реальную торговлю. Сбор точной информации о днях с ограниченной торговлей со всех бирж — задача практически непосильная, поэтому мы использовали метод нулевого диапазона.
Код позволяет проводить повторный вход в рынок при возникновении новых максимумов или минимумов.
// Выполнение тестирования модели
// parms - набор [1..MAXPRM] параметров
// dt — набор [1..nb] дат в формате ГГММДД
// орn — набор [1..nb] цен открытия
// hi — набор [l..nb] максимальных цен
// 1о — набор [1..nb] минимальных цен
// cls — набор [l..nb] цен закрытия
// vol — набор [l..nb] значений объема
// oi — набор [l..nb] значений открытого интереса
// dlrv — набор [1..nb] средних долларовой волатильности
// nb — количество дней в наборе данных
// ts — ссылка на класс торгового симулятора
// eqcls — набор [l..nb] уровней капитала при закрытых позициях
//объявляем локальные переменные static int cb, n, neontracts, maxhold; static float mmstp, ptlim, atr;
// копируем параметры в локальные переменные для удобного обращения
n = parms [1]; // параметр ширины канала
maxhold = 10; // период максимального удержания позиции
ptlim = 4.О; // целевая прибыль в единицах волатильности
mmstp = 1.0; // защитная остановка в единицах волатильности
// file - x09mod01.c
// только для этого теста выставляем транзакционные издержки равными нулю ts.commission(0.0); ts.slippage (0.0);
// проходим через бары (дни}, чтобы смоделировать реальную торговлю for(cb = 1; cb <= nb- 1; cb++) [
//не открываем позиций до начала выборки
//... то же самое, что установка MaxBarsBack в TradeStation if(dt[cb] < IS_DATE) { eqcls[cb] = 0.0; continue; }
// выполняем ожидающие приказы и считаем кумулятивный капитал ts.update(opn[cb] , hi[cb], lo [cb] , cls [cb], cb) ; eqcls [cb] = ts.currentequity{EQ_CLOSETOTAL);
// считаем количество контрактов для позиции
//... мы хотим торговать эквивалентом долларовой волатильности
//... равным 2 новым контрактам S&P- 500 от 12/31/98 ncontracts = RoundToInteger(5673.0 / dlrv[cb]) ; if (ncontracts < 1) ncontracts = 1;
// избегаем устанавливать приказы на дни с ограниченной торговлей if(hi[cb+1] == lo[cb+1]} continue;
// file = x09mod01.c
// пробой канала но основе цены закрытия с входом на завтрашнем открытии if (cls [cb]>Highest(cls,n,cb- l) && ts.position {) < = 0) { ts.buyopen('1' , ncontracts) ;}
else if (cls [cb]
=0) {ts . sellopen ('2 ', ncontracts) ;}
// симулятор использует стандартную стратегию выхода atr = AvgTrueRange(hi, lo, cls, 50, cb} ; ts.stdexitcls('X', ptlim*atr, mmstp*atr, maxhold);
] // обрабатываем следующий день
Этот код был скомпилирован и связан с оболочкой и библиотеками для разработчика; в TradeStation это называется верификацией системы. При помощи команд оболочки проводилась оптимизация параметра n с лобовым подходом. Лучшее по показателями риска/прибыли решение проверялось на данных, взятых вне пределов выборки. Оптимизация состояла в прогонке параметра n через значения от 5 до 100 с шагом в 5. Параметр защитной остановки mmstp был установлен на уровне 1 (т.е. одной единицы волатильности или среднего истинного диапазона), параметр целевой прибыли ptlim — на уровне 4 (4 единицы), а максимальный период удержания позиции maxdays был равен 10 дням. Эти значения использовались для стандартных параметров выхода во всех тестах методик входа, если не указано иначе. Чтобы осознать масштаб целевой прибыли и защитных остановок, укажем, что фьючерсы S&P 500 на конец 1998 г. имели средний истинный диапазон 17,83 пункта, или около $4457 за один новый контракт. Для первого теста комиссия и проскальзывание приняты равными нулю.
Для такой простой системы результаты были неожиданно хороши: годовая прибыль составила 76%. Все параметры n были прибыльными, в отношении риска/прибыли оптимальное значение составило 80 дней. Т- тест дневной прибыли (по соотношению риска/прибыли) показывает, что вероятность случайной эффективности составляет менее одной тысячной, а после коррекций на оптимизацию — менее одной сотой. Как и следовало ожидать по таким показателям, в тесте вне пределов выборки система также была прибыльной. Длинные позиции (покупки) принесли больше прибыли, чем короткие (продажи), возможно, в связи с ложными сигналами с короткой стороны, вызванными постоянным снижением цены при приближении срока истечения контрактов. Другое объяснение состоит в том, что цены на товары обычно более подвержены влиянию кризисов и дефицита, чем избытка. Как и при использовании других систем, основанных на пробое, процент прибыльных сделок был невелик (43%), причем крупные прибыли от редких удачных сделок компенсировали частые мелкие убытки. Хотя некоторым психологически трудно воспринимать систему, которая терпит убыток за убытком в ожидании большой прибыли, ожидание того стоит.
Капиталпортфеля при использовании оптимального для выборки параметра n стабильно рос как в пределах выборки данных, так и вне его; избыточная оптимизация здесь не представляла проблемы. График изменения капитала показывает некоторое снижение эффективности системы со временем. Впрочем, система, основанная на простом пробое канала, все еще может извлекать из рынка неплохую прибыль. Или нет? Учтите, что тест 1 проводился без учета расходов на сделки. В следующем тесте учтены комиссионные и проскальзывание.
Тест 2. Система на основе пробоя канала. Используются только цены закрытия; вход по рыночной цене при открытии биржи на следующий день, комиссия и проскальзывание учитываются.
Этот тест проведен точно так же, как и предыдущий, за исключением учета проскальзывания (3 тика) и комиссионных ($15 за цикл сделки). Хотя эта модель работала успешно без учета расходов на сделки, на практике она с треском провалилась. Даже лучшее в выборке решение принесло только убытки, и, как и следовало ожидать, вне пределов выборки система также работала с убытком. Почему же относительно небольшие комиссионные и проскальзывание приводят к разрушению производительности системы, которая без них зарабатывает тысячи долларов на средней прибыльной сделке? Потому что на многих рынках сделки включают множественные контракты, а комиссионные и проскальзывания влияют на каждый контракт по отдельности. В данном случае опять именно длинные сделки приносили наибольшую прибыль. Модель была умеренно доходной в 1980х годах, но потом стала убыточной. Учитывая прибыльные результаты прошлого теста, можно предположить, что модель постепенно перестала окупать расходы на совершение сделок. Когда простые компьютеризованные системы пробоев вошли в моду в конце 1980- х годов, возможно, именно они с течением времени изменили природу рынков, что привело к падению эффективности данных систем.
В табл. 5- 1 приведены результаты портфеля для системы, основанной на пробое канала. Результаты распределены по разным рынкам для различных выборок данных (названия рынков и их символы соответствуют обозначениям табл. II- 1; часть II, введение): ПРИБДЛ — общая прибыль длинных позиций в тысячах долларов; ПРИБКР— общая прибыль коротких позиций в тысячах долларов; ДОХ% — прибыль в процентах годовых; ВЕР — статистическая достоверность; $СДЕЛ — средняя прибыль/убыток в сделке.
Методы следования за трендом, такие как системы пробоев, предположительно хорошо работают на валютных рынках. Данный тест подтверждает это предположение: положительная прибыль на нескольких рынках валют была получена и в пределах выборки данных, и вне ее. На многих рынках (нефть и нефтепродукты, кофе, лес) также отмечена положительная прибыль. Прибыльное поведение индексов (S&P 500 и NYFE), видимо, обусловлено сильным бычьим рынком 1990- х годов. На каждом рынке в год проводилось около 10 сделок. Процент прибыльных сделок был подобен наблюдавшемуся в первом тесте (около 40%).
Тест 3. Система на основе пробоя цены закрытия, вход по лимитному приказу на следующий день, расходы на сделки учитываются.
Для улучшения эффективности модели путем контроля над проскальзыванием и получения входов по более выгодной цене мы использовали лимитный приказ для входа на следующий день по указанной или более выгодной цене. Полагая, что рынок скорректирует по крайней мере половину ценового диапазона дня, в который был произведен пробой (cb), перед тем как продолжить дальнейшее движение, мы размещаем лимитный приказ (limprice) на уровне середины этого диапазона. Поскольку большая часть кода остается неизменной, приведем только наиболее сильно изменившиеся участки:
// file = x09mod03.c
// пробой канала на основе только цен закрытия с входом на следующий день,
// используя лимитный приказ limprice = 0.5 * (hi[cb] + lo [cb]);
if (cls[cb]>Highest(cls,n,cb- l) && ts.position{)<=0) {ts.buylimit('1' , limprice, ncontracts);
)
else if (cls[cb]=0) {ts.selllimit('2', limprice, ncontracts);
)
// симулятор использует стандартную стратегию выхода atr = AvgTrueRange{hi, lo, cls, 50, cb} ;
ts.stdexitcls ('X', ptlim*atr, mmstp*atr, maxhold);
Вход производится по лимитному приказу в пределах бара. Если бы использовались целевая прибыль и защитная остановка в пределах бара, то возникли бы проблемы. Помещение многих приказов внутри одного бара может сделать моделирование недостоверным: последовательность выполнения этих приказов невозможно отследить по данным на конец дня, а повлиять на результат они могут серьезно. Поэтому стандартный выход основан на приказах, использующих только цены закрытия.
Как и ранее, параметр n (количество дней для усреднения) оптимизировался от 5 до 100 с шагом 5, и выбиралось лучшее решение по соотношению риска/прибыли (и t- вероятности). Комиссионные, проскальзывание, параметры выхода и возможность снова войти в продолжающийся тренд, хотя и с запаздыванием, остались неизменными.
При оптимальном n = 80 (как и тесте 1) эта модель давала около 33% прибыли в год в пределах выборки. Вероятность случайности этих показателей была 5% без коррекции и 61% после коррекции на 21 тесте оптимизации. Хотя в пределах выборки система была выгодной, статистические данные показывают, что в будущем возможен провал; в самом деле, на данных вне пределов выборки система была убыточной. Как и в тестах 1 и 2, сделки длившиеся 7 и более баров, были прибыльнее, чем короткие. Процент прибыльных сделок составил 42%. Хотя вход с использованием лимитного приказа не снял отрицательного влияния комиссии и проскальзывания, тем не менее эффективность улучшилась. Лимитный приказ не особенно уменьшил количество сделок и не привел к пропуску выгодных трендов; обычно после пробоев рынок возвращался обратно, позволяя входить по более выгодной цене. То, что такая произвольная и, почти наверняка, неоптимальная методика смогла улучшить эффективность системы, весьма обнадеживает. График изменения капитала также показывает, что подобная система когда- то работала хорошо, но теперь бесполезна.
Из табл. 5- 2 видно, что прибыльные результаты были получены на рынке нефти как в пределах, так и вне пределов выборки, что соответствует данным предыдущих тестов. Рынок кофе также был прибыльным в обоих случаях. В пределах выборки фьючерсы на S&P 500 также принесли прибыль.
VBA для тех кто любит думатьДанные
В области торговли на товарной бирже нельзя сделать заключение о работоспособности или непригодности того или иного метода или системы без качественных данных для тестов и симуляций. Для разработки выгодной торговой системы трейдеру могут потребоваться несколько видов данных; как минимум необходимы исторические ценовые данные по интересующим видам товаров.
Пробои максимального максимума/минимального минимума
Интересно, можно ли снизить количество пилообразных сделок, увеличить процент прибыльных сделок и улучшить эффективность системы пробоя, если расположить границы торгового диапазона дальше от текущей цены? Более жесткие условия размещения уровней пробоя можно легко получить, если заменить использованные в прошлой модели максимальную и минимальную цену закрытия на максимальный максимум и минимальный минимум. Таким образом, пороги пробоя будут соответствовать традиционным уровням поддержки/сопротивления: пробой происходит тогда, когда рынок пробивает предыдущее максимальное или минимальное значение. Кроме того, чтобы отфильтровать ложные пробои, можно ввести условие, согласно которому рынок должен закрываться за пределами границ, а не просто пересекать их в какой- то из точек внутри штриха. Система также может быть улучшена с помощью использования стоп- приказа для входа и снижения расходов на сделку за счет входа по лимитному приказу при откате.
Тест 4. Система пробоя ММ/ММ по ценам закрытая с входом по цене открытия следующего дня.
Эта система, основанная на пробое, покупает на открытии следующего дня, если закрытие текущего дня происходит по цене выше максимального максимума за последние n дней, и продает на открытии следующего дня, если сегодняшнее закрытие происходит по цене ниже минимального минимума за последние n дней. Количество дней n — единственный параметр модели. Красота этой модели, помимо простоты, в том, что ни один важный тренд не будет пропущен, и уже после сегодняшнего закрытия будет известно о сделках, предпринимаемых завтра.
// file = x09mod04.c
// пробой канала MM/MM с входом на следующий день по цене открытия
if (cls [cb]>Highest(hi,n,cb- l) && ts.position{)<=0) {ts.buyopen('1' , ncontracts);}
else if (cls[cb]=0) {ts.sellopen{'2 ' , ncontracts};)
// симулятор использует стандартную стратегию выхода
atr = AvgTrueRange(hi, lo, cls, 50, cb) ; ts.stdexitcls ('X', ptlim*atr, mmstp*atr, maxhold);
Значения n тестировались в пределах от 5 до 100 с шагом 5. В пределах выборки модель была прибыльной только при 4 значениях. Лучшим было значение 85, при котором годовая прибыль составила всего 1,2%. При таких результатах и статистических данных неудивительно, что вне пределов выборки убытки составили 15,9% в год. Прибыльные сделки отмечались в 39% случаев, более длительные сделки были прибыльнее коротких в пределах выборки. Как и при предыдущем моделировании, система на ММ/ММ наилучшим образом работала на рынках валют, нефтепродуктов и кофе, а хуже всего на рынках металлов, скота и зерна. Анализ гра- фика изменения капитала показывает, что эффективность модели никогда не была хорошей, а сейчас вообще в катастрофическом состоянии.
Результаты, в общем, были несколько лучше, чем при пробое по ценам закрытия с таким же входом при открытии, но они явно недостаточны, чтобы преодолеть расходы на сделки. В модели, работающей по данным закрытия, лимитный приказ ограничивал расходы на ложные пробои и тем самым улучшал эффективность. Поскольку при пробоях на ММ/ММ из- за более строгих порогов расходы больше, использование входа по лимитному приказу может значительно улучшить эффективность. Использование входа по лимитному приказу позволяет избежать резкого всплеска волатильности, как правило, сопровождающего момент пробоя. Впрочем, более опытные трейдеры, несомненно, смягчат эффект стоп- приказов, расставленных новичками, и загонят цены назад.
Хорошо установленный лимитный приказ позволит войти по хорошей цене, используя этот откат. Если пробой представляет собой начало тренда, рынок, скорее всего, продолжит движение, что даст в конце концов прибыльную сделку; если же нет, то хорошая цена входа даст меньший убыток. Даже хотя система пробоя ММ/ММ на данном этапе кажется лишь немного лучшей, чем система пробоя цены закрытия, окончательное решение еще не достигнуто; при помощи лимитного приказа можно получить значительное улучшение эффективности.
В этом обсуждении как индикатор эффективности используется доходность в процентах годовых; соотношению риск/прибыль не придается особого значения, хотя t- критерий рассчитывается на его основе. Доходность и соотношение риск/прибыль тесно связаны друг с другом. Они почти идентичны и взаимозаменяемы как показатели эффективности модели, а поскольку показатель доходности проще и привычнее для большинства трейдеров, то мы применяем именно его.
Тест 5. Система пробоя ММ/ММ по ценам закрытия с входом по лимитному приказу при открытии следующего дня.
Для системы, основанной на пробое канала по ценам закрытия, использование для входа лимитного приказа может значительно улучшить эффективность. Возможно, того же удастся достичь и в системе пробоя ММ/ММ. Для сохранения сравнимых результатов цена лимитного приказа установлена на середине бара, в котором имеет место пробой.
// file = x09mod05.c
// пробой канала MM/MM с входом на следующий день по лимитному приказу
limprice = 0.5 * (hi [cb] + lo [cb] ) ;
if (сls[cb]>Highest(hi,n,cb- l) && ts.position()< = 0) {
ts.buylimit('1' , limprice, ncontracts);
)
else if (cls [cb]=0) (
ts.sellimit('2', limprice, ncontracts);
)
// симулятор использует стандартную стратегию выхода
atr = AvgTrueRange(hi, lo, cls, 50, cb) ;
ts.stdexitcls('X', ptlim*atr, mmstp*atr, maxhold) ;
Параметр n прогонялся через те же значения, что и в предыдущих тестах. Все значения давали положительные результаты, лучшие получены при n = 85 (прибыль 36,2% в год); вероятность случайной прибыли — менее 2% при коррекции на оптимизацию 33%. В пределах выборки длинные позиции были прибыльнее коротких. Как ни странно, вне пределов выборки короткие сделки приносили небольшую прибыль, а длинные были убыточны! При прибыли в —2,3% эффективность вне пределов выборки была плохой, но лучше, чем у других систем. В пределах выборки было 43% прибыльных сделок, а средняя прибыль составила $1558; вне пределов выборки был 41% прибыльных сделок, средний убыток составил $912.
График изменения капитала, приведенный на рис. 5- 1, казалось бы, противоречит тому, что вне пределов выборки получен отрицательный результат, но в это время наблюдался повышательный тренд, как и во второй части выборки. Кажущееся противоречие вызвано пиком в начале теста на данных вне выборки. В любом случае система на пробое ММ/ММ с входом по лимитному приказу (и при стандартном выходе) не подходит для торговли после июня 1988 г. — прибыль была слишком низкой по сравнению с риском, представленным колебаниями капитала относительно линии тренда, вычисленной методом минимальных квадратов.
Все рынки валют и нефтепродуктов дали положительный результат в пределах выборки. Вне выборки были отмечены хорошие результаты для швейцарского франка, канадского доллара и немецкой марки, а также для сырой нефти и мазута; евродоллар, британский фунт и бензин дали небольшие убытки, кофе — прибыль в обоих случаях.
Тест 6. Система пробоя ММ/ММ по ценам закрытия с входом по стоп- приказу на следующий день.
Эта модель покупает по стоп- приказу при пробое уровня сопротивления, определяемого недавними максимумами, и продает по стоп- приказу при пробое уровня сопротивления, определяемого недавними минимумами. Поскольку пробой определяется самим стоп- приказом, максимальный максимум и минимальный минимум рассчитываются для всех баров, включая текущий. Относительное положение закрытия и порогов пробоя используется для исключении множественных приказов в пределах бара. Если закрытие ближе к верхнему порогу, ставится стоп- приказ на покупку; если ближе к нижнему порогу, ставится стоп- приказ на продажу. Оба приказа никогда не ставятся вместе. Используя пробой ММ/ММ со стоп- приказами, удается достичь более быстрого реагирования на сигналы пробоя; системе не нужно ждать следующего бара после поступления сигнала, чтобы войти в рынок. Таким образом, вход осуществляется раньше. При такой стратегии входа ни одно значительное движение рынка не будет пропущено, как это может случиться с лимитным приказом, ожидающим отката, которого может и не быть. Впрочем, у такого входа есть значительный недостаток: невыгодная цена открытия позиции. При покупке по стопприказу во время движения рынка высока вероятность того, что вход будет достигнут по цене пробоя, а не отката.
Параметр n оптимизировался как обычно; лучшее значение в пределах выборки — 95; прибыльные значения — от 65 до 100. Годовая прибыль составила 8,7%. Это лучше, чем в тесте 4, но хуже, чем в тесте 5. Большая чувствительность системы дала некоторые преимущества, но не столь большие, как ожидание коррекции для входа по более выгодной цене.
Процент выгодных сделок составлял 41%, и средняя сделка приносила $430 прибыли. Вне пределов выборки система работала гораздо хуже, как и следовало ожидать при низкой прибыли и плохих статистических показателях в пределах выборки. Модель теряла в среднем $798 на сделке, прибыльных сделок было около 37%. Большая часть прибылей достигнута до июня 1988 г., а убытки были постоянными с января 1992 г.
Все валютные рынки, кроме евродоллара, принесли прибыль за период выборки. На рынках иены, немецкой марки и канадского доллара система получила доходность от 30 до 50%. Также получена умеренная прибыль на рынках нефтепродуктов. Прибыль на рынке кофе составила 21,2% в пределах выборки и 61,8% вне ее пределов. Кроме того, выгодной была в обоих случаях торговля лесом.
Входы на пробое волатильности
Три следующих теста исследуют модели, основанные на пробое волатильности, в которых производится покупка при подъеме цен выше верхней границы волатильности или открытие короткой позиции, когда они опускаются ниже нижней границы волатильности. Когда волатильность растет, границы расширяются; когда она падает, они сужаются. Точка равновесия, относительно которой строятся границы, может быть последней ценой закрытия, скользящей средней или каким- либо другим показателем текущей цены.
Тест 7. Пробой волатильности с входом на открытии следующего дня.
Эта модель покупает при открытии следующего дня, если сегодняшнее закрытие превышает верхнюю границу волатильности, и открывает короткую позицию, когда цена падает ниже нижней границы. Для определения верхней границы волатильности к текущей цене (или ее скользящей средней) следует прибавить ширину среднего истинного диапазона, умноженную на значение параметра bw. Ширина среднего истинного диапазона рассчитывается за последние atrlen дней. Для расчета нижней границы волатильности из текущей цены вычитают ширину среднего истинного диапазона, умноженную на bw. Показателем цены служит malen — экспоненциальное скользящее среднее цен закрытия. Если длина скользящего среднего malen равна единице, то этот показатель становится равен цене закрытия торгового дня, когда имеет место пробой.
Поскольку модель на пробое волатильности имеет три параметра, для данного теста был использован метод генетической оптимизации. При помощи генетической оптимизации множитель величины среднего истинного диапазона bw- подбирался в пределах 1,5 — 4,5 с шагом 0,1; период среднего истинного диапазона atrlen тестировался в пределах от 5 до 50 с шагом 1; период скользящей средней malen подбирался в пределах от 1 до 25 с шагом 1. Генетическая оптимизация поводилась в объеме 100 генераций. Как и во всех предшествующих тестах, велся поиск максимального соотношения риска/прибыли (или, что то же самое, минимальной вероятности случайности прибыли).
Лучшая эффективность в пределах выборки была достигнута при множителе среднего истинного диапазона 3,8, периоде скользящего среднего 5 и периоде среднего истинного диапазона 20. При этих параметрах годовая прибыль составила 27,4%. Вероятность случайности прибыли — соответственно 5,6% (после коррекции для 100 тестов— 99,7%). Практически каждая из исследованных комбинаций давала прибыли в длинных позициях и убытки в коротких. Средняя сделка для лучшего набора параметров длилась 6 дней и дала прибыль в $4675. За период оптимизации было проведено всего 240 сделок, из них около 45% были прибыльными. По сравнению с предыдущими тестами меньшее количество и больший процент прибыльных сделок объясняются тем, что границы пробоя были расположены дальше от текущего уровня цен. Средняя сделка вне пределов выборки принесла $7371 убытков, и только 25% из 122 сделок были выгодными. Убытки длинных и коротких позиций были примерно одинаковы.
Почти вся прибыль была получена за периоды с августа 1987 г. по декабрь 1988 г. и с декабря 1992 г. по август 1993 г. Снижение капитала отмечалось с октября 1985 г. по июль 1986 г., с августа 1989 г. по май 1992 г. И с мая 1995 г. по декабрь 1998 г.
Излишняя оптимизация могла повлиять на ухудшение эффективности вне пределов выборки. В то же время, учитывая количество параметров и комбинаций, испытанных в этом тесте, хорошая модель должна была бы дать большую прибыль в пределах выборки и лучшие статистические показатели, способные выдержать коррекцию на множественную оптимизацию без полной потери значимости. Другими словами, в данном случае избыточная оптимизация была не самым страшным: несмотря на оптимизацию, эта модель давала плохие результаты при недопустимо малом количестве сделок. Как и другие, эта модель просто, видимо, лучше работала в прошлом.
Как и ранее, валютные рынки были в основном прибыльными. Как ни странно, нефтепродукты в данном случае были сильно убыточными. Кофе и лес хорошо работали в пределах выборки, но вне пределов выборки были убыточны в отличие от предыдущих тестов. Не исключено, что некоторые из этих результатов объясняются ограниченным числом сделок, проведенных системой.
Тест 8. Пробой волатильности с использованием входа по лимитному приказу.
Эта модель пытается открыть длинную позицию на следующий день после пробоя с помощью лимитного приказа в случае, если цена закрытия торгового дня была выше, чем текущей уровень цен плюс ширина среднего истинного диапазона. Текущая цена определяется экспоненциальным скользящим средним с периодом malen, рассчитанным по ценам закрытия. Множитель ширины среднего истинного диапазона обозначается как bw, а количество дней, по которым производится расчет среднего истинного диапазона, обозначено как atrlen. Цена для лимитного приказа, размещаемого на следующий день, приравнивается к средней цене торгового дня, когда произошел пробой. Оптимизация проводилась так же, как и в тесте 7.
Для всех сочетаний параметров длинные позиции были выгоднее (или хотя бы менее убыточными), чем короткие. Лучшая эффективность в пределах выборки была достигнута при параметре bw, равном 3,7, периоде скользящего среднего 22 и периоде среднего истинного диапазона atrlen 41: при этих параметрах годовая прибыль составила 48,3%. Вероятность случайности прибыли составила менее 0,02% (после коррекции для 100 тестов— менее 13%). В пределах выборки проведено 1244 сделки.
Средняя длительность сделки составила 7 дней. Система провела 45% прибыльных сделок со средней прибылью в сделке $3616. И длинные, и короткие позиции были прибыльными.
При таких статистических данных можно было бы ожидать прибыльной работы вне пределов выборки, но этого не случилось. Вне пределов выборки модель несла тяжелые потери. Капитал рос с начала выборки до августа 1990 г., медленно дрейфовал до мая 1992 г., заметно вырос к июню 1995 г., а затем снижался. Эти результаты показывают главным образом снижение способности простых моделей пробоя приносить стабильную прибыль в течение долгого времени.
Все валютные рынки были прибыльными как в пределах выборки, так и вне ее, за исключением британского фунта и канадского доллара. Это показывает эффективность подобных систем на трендовых рынках. Как ни странно, рынки валют с максимальной прибылью в пределах выборки не обязательно были самыми прибыльными вне ее пределов. Это показывает, как важно вести торговлю корзиной валют, не отбирая инструменты по результатам исторических данных, если используется система, основанная на пробое. Хотя эта модель плохо работала на рынке нефтепродуктов, на рынке кофе и леса результаты были ошеломительными (более 65% и более 29% соответственно и в пределах, и вне выборки).
Тест 9. Пробой волатильности с использованием входа по стоп- приказу.
Эта модель входит в рынок сразу же после точки пробоя при помощи стоп- приказа, включенного в модель входа. Преимущество модели в том, что вход производится немедленно; недостаток же состоит в том, что вход может быть достигнут не по самой выгодной цене, как в случае лимитного приказа, поскольку происходит исполнение множества стоп- приказов, расставленных на общеизвестных уровнях поддержки сопротивления. Во избежание множественных приказов в пределах бара использован стоп- приказ на основе последней цены закрытия, как и в тесте 6. Модель со стоп- приказом на пробое волатильности производит покупку, когда цены поднимаются выше верхней границы волатильности, и открывает короткую позицию, когда они опускаются ниже нижней границы волатильности.
Оптимальные значения для трех параметров модели исследовались с помощью генетического оптимизатора, встроенного в C- Trader toolkit, предлагаемый Scientific Consultant Services, Inc. Минимальное соотношение риска/прибыли было достигнуто при множителе ширины среднего истинного диапазона 8,3, периоде скользящего среднего 11 и периоде среднего истинного диапазона atrlen 21; при этих параметрах годовая прибыль составила всего 11,6%. В пределах выборки проведено 1465 сделкок. Средняя длительность сделки — 6 дней. Система провела 40% прибыльных сделок со средней прибылью в сделке, равной $931. Только длинные позиции были прибыльными во всех комбинациях параметров.
Вне пределов выборки и длинные, и короткие позиции были убыточными. Из 610 сделок только 29% были прибыльными. График изменения капитала и другие результаты тестов показывают, что ухудшение вне пределов выборки было гораздо сильнее, чем у других моделей, основанных на пробое волатильности, использующих лимитные или даже рыночные приказы.
Может ли избыточная оптимизация объяснить быстрое ухудшение результатов вне пределов выборки? Нет. Оптимизация может заставить изначально плохую системупоказать хорошие результаты в пределах выборки. При этом эффективность системы вне выборки не изменится.
Оптимизация часто меняет таким образом модели, которым не хватает реальной достоверности и которые во многом случайны. Чем мощнее реальная модель, тем лучше она будет работать после оптимизации. Как и в предыдущих примерах, эффекты подгонки под исторические данные — не единственная причина провала; эффективность снизилась задолго до окончания периода выборки. Ухудшение эффективности в данном случае можно приписать как излишней оптимизации, так и продолжающемуся росту эффективности рынка.
Модель в пределах выборки была выгодна при работе с британским фунтом, немецкой маркой, швейцарским франком и иеной; вне выборки все рынки, кроме британского фунта, дали положительные результаты.
Если бы велась торговля всеми валютами, кроме евродолларов и канадского доллара, то в обеих выборках была бы получена солидная прибыль; евродоллар понес большие убытки ввиду проскальзывания и входа по неоптимальной цене стоп- приказа. Дело в том, что долларовая волатильность рынка евродоллара низка, поэтому требуется торговать большим количеством контрактов, что повышает расходы на сделку. Мазут принес прибыль, но на остальных рынках нефтепродуктов система получила убытки. Ухудшение результатов вне пределов выборки в некоторых случаях по сравнению с входом по лимитному приказу показывает, что с помощью стоп- приказа достаточно сложно войти в рынок по приемлемой цене.
Вариации системы пробоя волатильности
Улучшится ли эффективность, если ограничить модели пробоя только длинными позициями? А если вести торговлю только на рынке склонных к трендам валют? Можно ли использовать индикатор трендов, чтобы избежать пилообразной торговли? Что будет, если не входить повторно в существующие (и, возможно, уже завершающиеся) тренды? Последний вопрос анализировался в отдельном тесте, результаты которого мы не приводим — они были настолько плохи, что никакого дополнительного исследования не проводилось. Остальные три вопроса будут рассмотрены ниже.
Только длинные позиции
В предыдущих тестах почти во всех случаях длинные позиции работали лучше, чем короткие. Что если попробовать применить одну из рассмотренных моделей для торговли только длинными позициями?
Тест 10. Пробой волатильности с входом по лимитному приказу; только длинные позиции.
Лучшая из исследованных моделей (тест 8) была модифицирована для работы только с длинными позициями. Оптимизация параметров проводилась генетическим алгоритмом. При помощи генетической оптимизации множитель ширины среднего истинного диапазона bw подбирался в пределах 1,5 — 4,5 с шагом 0,1; период среднего истинного диапазона atrlen прогонялся от 5 до 50 с шагом в 1; период скользящей средней malen подбирался в пределах 1 — 25 с шагом 1. Генетическая оптимизация проводилась в объеме 100 поколений.
Лучшая эффективность в пределах выборки была достигнута при множителе ширины среднего истинного диапазона 2,6, периоде скользящего среднего 15 и периоде среднего истинного диапазона 18. При этих параметрах годовая прибыль составила 53,0% и соотношение риска/прибыли 1,17 (р < 0,0002, р < 0,02 после коррекции). В пределах выборки проведено 1263 сделки длительностью в среднем 7 дней с прибылью в среднем $4100 с учетом проскальзывания и комиссионных; 48% сделок были прибыльны. Даже при неоптимальных значениях параметров удавалось получать прибыль — худшие параметры дали 15,5% прибыли!
Вне пределов выборки, несмотря на высокую статистическую достоверность и устойчивость модели (по результатам проверки на данных из выборки различных вариантов), модель была крайне неэффективна. Всего 35% сделок были прибыльными, а убытки составили 14,6% в год. Это нельзя объяснить простой подгонкой, так как в пределах выборки все комбинации были прибыльными. Неоптимальные параметры привели бы к уменьшенной, но все равно эффективной работе. Дополнительные тесты показали, что ни один набор параметров не мог сделать систему выгодной вне пределов выборки! Это исключает оптимизацию как причину неэффективной работы — видимо, на рынке за последние годы произошли изменения, влияющие на способность моделей, основанных на пробое волатильности, давать прибыль даже при работе только с длинными позициями. График изменения капитала показывает, что основная часть прибыли была получена до июня 1988 г. Остальные периоды как оптимизации, так и проверки показывали только ухудшение.
Как и ранее, в обеих выборках хорошо работали валютные рынки.
Средняя сделка на валютном рынке приносила $5591 дохода в пределах выборки и $1723 за ее пределами. Корзина нефтепродуктов также давала прибыль в обоих случаях, равно как и кофе.
Увы, эта система непригодна для использования в настоящее время, хотя в прошлом на ней можно было бы сделать состояние; впрочем, для некоторых рынков — валют, нефтепродуктов и кофе — в ней еще есть некоторый потенциал.
Только валютный рынок
Считается, что на валютных рынках наблюдаются сильные тренды, что делает их идеальными для систем следования за трендами, основанных на пробоях. Это убеждение вроде бы подтверждается вышеприведенными тестами, включая тест 10. В тесте 11 мы ограничиваем модель валютными рынками.
Тест 11. Пробой волатильности с входом по лимитному приказу; только валютные рынки.
Модель идентична прошлой, за тем исключением, что вместо ограничения длинными позициями введено ограничение рынками валют. Оптимизация не проводилась ввиду малого количества рынков и, соответственно, данных; вместо этого использованы лучшие параметры теста 8.
Это первый тест, где система, основанная на пробое, дала явно прибыльные результаты в обеих выборках с учетом реальных расходов на сделки! В пределах выборки прибыль системы составила 36,2% в год, вне — 17,7%, что тоже неплохо. В пределах выборки проведено 268 сделок, из них 48% прибыльных со средней прибылью $3977. Вне пределов выборки проведено 102 сделки, из них 43% прибыльных, средняя прибыль— $2106.
График изменения капитала на рис. 5- 2 подтверждает высокую эффективность системы. Почти вся прибыль сделана в пяти рывках, длившихся несколько месяцев каждый. Эта модель потенциально пригодна для торговли, особенно если заменить стандартный выход на более эффективный.
Фильтр трендов ADX
Одна из проблем при использовании пробоев состоит в том, что существует тенденция к крайне пилообразной торговле в тех случаях, если система регистрирует пробой, а реального тренда за этим не следует. Одно из возможных решений состоит в использовании индикатора трендов для фильтрации сигналов о пробоях. Многие трейдеры используют популярный индикатор трендов ADX. Тест 12, например, исследует прибыльность индикатора ADX по Уайлдеру.
Тест 12. Пробой волатильности с входом по лимитному приказу и фильтром трендов.
Использована та же модель, что и в тестах 10—11; вместо ограничения длинными позициями или валютными рынками добавлен фильтр сигналов на наличие трендов по методу ADX или усредненного направленного движения (Wilder, 1978). Возможно, отсеивание рынков, где нет тренда, пилообразной торговли и затяжных сделок несколько улучшит результаты системы. ADX использован для фильтрации пробоев согласно исследованиям Уайта (White, 1993). Тренд считается существующим в том случае, если ADX, рассчитанный по последним 18 дням, достигает нового шестидневного максимума. Входы производятся только при наличии тренда.
// file = x09mod12.c
// модель, основанная на пробое волатильности, с входом по лимитному приказ
// и 18- дневный фильтр тренда ADX
band_width = bw * atr[cb- l];
center_price = xmavg[cb- 1];
upper_band = center_price + band_width;
lower_band = center_price - band_width;
limprice = 0.5 * (hi [cb] + lo[cb]);
trending = adx[cb] > Highest(adx, 6, cb- 1);
if(trending && cls[cb] > upper_band &&
ts.position() <= 0) {
ts. buylimit('1', limprice, ncontracts);
}
else if (trending && cls[cb] < lower_band &&
ts.position() >= 0) {
ts. selllimit('2', limprice, ncontracts);
}
// симулятор использует стандартную стратегию выхода
tmp = exitatr[cb];
ts.stdexitcls('X', ptlim*tmp, mmstp*tmp, maxhold);
Как и в предыдущих тестах, использовалась генетическая оптимизация параметров. Все 100 комбинаций, кроме одной, были прибыльными в пределах выборки; 88 дали прибыль более 20%. Это демонстрирует устойчивость системы к изменению параметров. Наилучшие результаты были следующими: множитель ширины среднего истинного диапазона — 2,6; период скользящей средней — 8; период среднего истинного диапазона — 34. При этих параметрах в пределах выборки прибыль составила 68,3%, вероятность случайности результатов менее 0,0005 (0,035 после оптимизации) . Совершено 872 сделки, из них 47% прибыльных. Средняя сделка принесла прибыль около $4500. Вне пределов выборки система понесла $2415 убытков и только 36% из 373 сделок были прибыльными. Прибыль составила — 20,9% — один из худших результатов вне выборки. Очевидно, в прошлом ADX был более полезен, чем в недавнее время.
Большинство рынков валют, мазут, кофе, лес и 10- летние казначейские бумаги были прибыльными и вне пределов выборки. S&P 500, пшеница и золото были прибыльны вне пределов выборки, но убыточны в пределах выборки. Устойчивая прибыльность валют, нефтепродуктов и кофе соответствует наблюдавшейся ранее.
Анализ и обобщения
В табл. 5- 3 приведены результаты тестов различных моделей, основанных на пробоях, — по выборке и виду приказа (Р/ПРИБ — годовое соотношение риска/прибыли, ДОХ — доходность в процентах годовых, $СДЕЛ — прибыль или убыток от средней сделки).
Виды пробоев
лучшим образом работали системы на пробое волатильности. Пробои ММ/ММ показали средние результаты, а пробои цен закрытия работали хуже всего; это отмечалось при использовании всех трех видов приказов.
Вне пределов выборки (1995— 1998) модели на пробое ММ/ММ продолжали работать несколько лучше, чем пробои цен закрытия, но модели на пробое волатильности работали гораздо хуже. По описанным ранее причинам объяснить ухудшение показателей систем, основанных на волатильности, в последние годы только оптимизацией нельзя — возможно, это произошло из- за популярности метода в недавнем прошлом. Впрочем, в последние годы даже лучшие из моделей, основанных на пробое, работают плохо.
При разбивке по моделям на графиках изменения капитала наблюдаются три ярко выраженных периода. С августа 1985 г. по июнь 1988 г. Все модели были почти одинаково прибыльны. С июня 1988 г. по июль 1994 г.
модели на пробоях цен закрытия и ММ/ММ практически не приносили прибыли. Модель пробоя волатильности резко улучшила свои показатели в августе 1992 г. — июле 1994 г. С июля 1994 г. по декабрь 1998 г. Модели на ММ/ММ и ценах закрытия работали с некоторым убытком, причем некоторое преимущество было у моделей пробоев ММ/ММ. Капитал моделей, основанных на пробоях волатильности, за этот период значительно снизился.
Приказы для входа в рынок
Как в пределах выборки, так и вне ее на всех моделях наилучшим образом работал лимитный приказ. Рыночные приказы и стоп- приказы были малоэффективны. Преимущества лимитного приказа, несомненно, связаны с тем, что он обеспечивает вхождение в рынок по более выгодной цене. В тестах 1 и 2 видно колоссальное влияние входов по неоптимальной цене и расходов на сделки (комиссия и проскальзывание). Как ни странно, лимитный приказ хорошо работал с методиками следования за трендом, к которым относятся модели пробоя. Можно было бы ожидать, что многие хорошие тренды будут пропущены при ожидании входа с помощью лимитного приказа. Однако откат рынка (даже после достоверных пробоев) происходит достаточно часто, что позволяет с помощью лимитных приказов добиться входа по предпочтительной цене и не пропускать прибыльных трендов.
Те же три периода, обнаруженные при исследовании видов пробоев, обнаруживаются и при рассмотрении тестов, распределенных по виду приказов. Для лимитных приказов и стоп- приказов отмечена значительная прибыль с августа 1985 г. по июнь 1988 г. С использованием стоп- приказа капитал возрастал медленнее. Для входов по стоп- приказу и рыночному приказу прибыль была нестабильной и снижающейся с июня 1988 г.
по июль 1994 г., в то время как лимитный приказ был умеренно прибыльным. С июля 1994 г. по декабрь 1998 г. рыночные приказы стали несколько менее эффективными, стоп- приказы сильно снизили прибыльность, эффективность лимитных приказов была непостоянной. В первом периоде стоп- приказы работали лучше среднего, а в третьем — гораздо хуже среднего; эффективность стоп- приказов ухудшалась со временем быстрее, чем эффективность других приказов. Во всех периодах времени лучше всего работали лимитные приказы.
Объединив рассмотрение графиков изменения капитала по различным типам моделей и приказов, мы увидим, что большая часть прибылей была получена в первом периоде, занимавшем менее трети выборки данных. К концу этого периода было накоплено более 70% всего капитала. Во втором периоде отмечался некоторый дрейф капитала, а в третьем — падение, вначале медленное, а с июля 1997 г. все более быстрое.
Взаимодействие
Наиболее сильным, видимо, является взаимодействие между временем и видом пробоев. Наиболее выражено было взаимодействие пробоев волатильности (по сравнению с другими типам пробоев) и времени (в пределах выборки по сравнению с данными вне выборки). Пробои волатильности сначала работали лучше других типов пробоев, а затем стали давать наихудшие результаты. Система на пробое волатильности со стоп- приказом за последние годы ухудшилась сильнее, чем система с лимитным приказом, возможно, ввиду широкого использования стоп- приказов в моделях, следующих за трендом. Кроме того, система пробоев ММ/ММ иногда предпочтительнее работала со стоп- приказом в отличие от моделей на волатильности.
[an error occurred while processing this directive]