Бурков В. - Механизмы обмена в экономике переходного периода
ИНСТИТУТ ПРОБЛЕМ УПРАВЛЕНИЯ

Введение
Современная Российская экономика характеризуется рядом специфических параметров: либеральные цены, децентрализованная системы распределения ресурсов, реформа банковской системы, массовая приватизация, нестабильная среда и условия функционирования предприятий, нестабильное законодательство и налогообложение. Привычные экономические связи нарушены, а новые создаются медленно.
Одной из основных проблем сегодняшней экономики является проблема неплатежей, которая практически обесценивает результаты приватизации, делает бессмысленным механизм банкротства, парализует цивилизованную работу арбитражных судов, замораживает инвестиции.
Одной из задач корпоративного управления в крупных и средних российских компаниях является адаптация структуры управления к моделям и методам ведения бизнеса. Технология идентификации, описания и оптимизации бизнес процессов в компании является одним из инструментов внедрения системы корпоративного управления.
Бизнес процессы компании, построенной по принципу холдинга, состоящего из 10-50 родственных структур, могут радикально меняться после изменения незначительного числа параметров. Например, бизнес энергетического холдинга организован по дивизионному принципу с тремя основными группами подразделений: энергетика, товары, финансы.
При развитии кризиса неплатежей, диверсификации географии бизнеса, увеличения механизмов и способов оплаты за поставляемые энергоносители (бартер, зачет, вексель, переуступка долга и т.д.) - управление такой компанией приобретает еще как минимум два измерения: бизнес процессы реализуются в различных подразделениях в зависимости от способа оплаты, появляются региональные дочерние компании. При таком условии более выгодным становится организация бизнеса по типу матричной или проектноуправляемой компании.
Для создания и внедрения в практику корпоративного управления крупных компаний системы корпоративных стандартов необходимо провести глубокий анализ бизнеса и отдельных бизнес процессов. Разработка корпоративного стандарта управления должно учитывать следующие параметры бизнес процессов:
- Эффективность и прибыльность всей схемы, а не отдельной сделки
- Ликвидность или скорость оборачиваемости капитала
- Организация управления и контроля на уровне отдельных проектов и целых программ
- Делегирование полномочий и координация на всех уровнях компании: между отделами и департаментами, между управлениями и дивизионами, между отдельными компаниями холдинга
- Учет факторов риска, срыва определенных сделок в схеме, классификация рисков
- Стимулирование менеджеров и исполнителей проекта, партнеров по проекту
- Планирование, управление и оптимизация финансовых потоков в схеме
- Координация каждой конкретной схемы с корпоративной политикой, контроль соблюдения корпоративных интересов
- Система генерации новых схем и проектов, конкурентного подбора партнеров по бизнесу, выбора приоритетных направлений развития.
Сегодня предприятия получили достаточную хозяйственную самостоятельность. Подавляющее их большинство свободно в принятии решений по объему и структуре производства, инвестиций, установлении цены на свою продукцию, зарплаты и т.д.
Но структурный распад единого промышленного комплекса, нарушение горизонтальных и вертикальных хозяйственных связей привели к значительным трудностям со снабжением и сбытом, падению объема производства. Катастрофический рост взаимных неоплаченных долгов предприятий привел к так называемому кризису неплатежей.
Характерной чертой многих предприятий сегодня является примерное равенство между дебиторской задолженностью по неоплаченным поставкам и кредиторской задолженностью за полученные товары или услуги при полном отсутствии свободных средств на продолжение производственного процесса. Структура цен в России крайне запутана: на один и тот же товар существует как минимум несколько цен: денежная, зачетная, отпускная завода в зависимости от формы оплаты и другие; цены на многие товары необоснованно завышены; разница между истинной рыночной ценой товара и его зачетной ценой порождает очередной виток неоплаченных задолженностей, неустоек по платежам, дутых прибылей.
Для предприятий, функционирующих в нормальной рыночной экономике, основной задачей является максимизация прибыли. В кризисных условиях эта задача отходит на второй план, уступая место задаче стабилизации финансового положения, поддержания платежеспособности или, попросту говоря, задаче выживания.
Причем, критериями оценки финансового положения являются отнюдь не уплата долгов и возврат кредитов, а своевременная выплата зарплаты и сохранение численности персонала.
По данным Российского экономического барометра цели, предопределяющие поведение российских предприятий в 1995 году, располагались следующим образом: обеспечение выпуска продукции, улучшение финансового положения и только затем получение прибыли. Поэтому одним из основных источников формирования оборотных средств предприятий выступает не прибыль в составе выручки от реализации продукции, не другие собственные или приравненные к ним средства, а банковский или товарный кредиты. Полученные со значительным временным сдвигом собственные средства уже не могут в полном объеме быть запущены в кругооборот, так как расходуются на погашение кредитных обязательств.
В это же время в Российской экономике появилось и прочно вошло в практику такое понятие, как товарный кредит.
В этих сложных условиях для предотвращения полной остановки производства предприятия применяют различные хозяйственные стратегии: в рамках договоров о совместной деятельности создаются различные давальческие схемы, широко распространена система многоступенчатого бартера, позволяющая решать проблемы снабжения без затраты денежных средств, система взаимозачетов, особенно при расчетах с государством (зачет долгов по налогам), и пенсионным фондом (зачет или реструктуризация долгов) и другое.
Давальческие схемы характерны и особенно эффективны для технологически взаимосвязанных предприятий, составляющих так называемые производственные цепочки. Например, хлопкоочистительный завод - прядильная фабрика - ткацкая фабрика - швейное производство. В таких цепочках, когда производство находится под угрозой остановки из-за отсутствия свободных средств и при наличии взаимных долгов, достаточно бывает одному предприятию взять кредит на оплату услуг смежников, чтобы вся цепочка пришла в движение.
Организатором производственного процесса в таких цепочках, как правило, выступает коммерческий посредник (оператор), способный оплатить исходное сырье или предоставить кредит. Причем, здесь возможны как чисто давальческие, так и смешанные схемы.
В чисто давальческих схемах фирма-оператор предоставляет каждому предприятию производственной цепочки необходимые для производства сырье и материалы в обмен на их готовую продукцию, которая является сырьем для следующего звена цепочки. Продукция последнего звена производственной цепочки является собственностью фирмы-оператора и реализуется ею на рынке. После этого производится окончательный расчет с предприятиями-производителями.
Расчет может производиться различными способами: наличными деньгами, частью готовой продукции, сырьем, акциями и т.д. В смешанных схемах снабжение сырьем осуществляется по-разному: некоторые предприятия приобретают сырье сами, используя полученный кредит, другие работают на давальческом сырье, третьи проводят бартерные операции, обменивая на сырье побочные продукты собственного производства и т.д. То есть организуется уже не цепочка, а сеть взаимосвязанных предприятий.
Фактически, сегодня в России денежная составляющая оборота - не более 10-15%, для крупных предприятий эта цифра не превышает 7%, если вообще происходит расчет за поставленную продукцию.
Рассмотрим, например, технологически взаимосвязанные предприятия в нефтяной или газовой отрасли: нефтедобывающие объединения -нефтеперерабатывающие заводы - конечные потребители. Здесь различные обменные схемы применяются особенно часто. Финансовый поток, который является встречным по отношению к нефтяному и протекает по обратной цепочке: конечные потребители - нефтеперерабатывающие заводы-нефтедобытчики, обрывается с самого начала, так как упирается в неплатежеспособность основных потребителей нефтепродуктов на внутреннем рынке, которыми являются военно-промышленный и агропромышленный комплексы, финансируемые из госбюджета. Отсутствие свободных средств на оплату сырья компенсируется созданием специфических взаиморасчетных и бартерных схем.
Например, нефтяники отгрузили нефть нефтеперерабатывающему заводу, в оплату за эту нефть получили нефтепродукты, которыми, в свою очередь, рассчитались с машиностроительным заводом за полученные от него бурильные установки, а машиностроительный завод сумел продать эти нефтепродукты по среднерыночным ценам. Деньги в явном виде появились здесь только на последнем этапе.
А вообще говоря, цепочка могла быть еще длиннее, если бы машиностроительный завод не нашел выхода на рынок и рассчитался бы со своими кредиторами полученными нефтепродуктами.
Организатором подобных обменных схем, как правило, выступает коммерческий посредник (фирма оператор), который зачастую берет на себя и риски, связанные с их реализацией. В настоящее время можно выделить различного типа обменные схемы, каждая из которых заслуживает отдельных исследований.
Так в чисто давальческих схемах фирма организатор предоставляет каждому предприятию производственной цепочки необходимые для производства ресурсы.
В чисто коммерческих обменных схемах фирма-организатор получает товар на реализацию, организует его транспортировку, хранение, сбыт и производит расчет с владельцем товара.
В чисто зачетных схемах предприятие-должник производит и реализует продукцию по указанию организации, которой оно должно. Например, Газпром, который имеет долги по налогам, отпускает газ электростанциям, которые снабжают школы, больницы и т.д.
Таким образом, государство производит списание долгов на соответствующую сумму. А для организации подобных схем привлекается фирма-оператор.
В схемах общего вида могут присутствовать все перечисленные элементы (давальческое сырье, товар на реализацию, зачет или реструктуризация долгов, оплата акциями и другими ценными бумагами и т.д.).
В работе дается постановка задачи построения обменной схемы, оптимальной с позиций фирмы-оператора. Рассматриваются методы решения различных задач оптимизации обменных схем.
Проводится теоретико-игровой анализ механизмов обмена, учитывающий тенденции занижения участниками обменных коэффициентов (обменный коэффициент определяет количество ресурса, которое участник согласен отдать в обмен на единицу требуемого ему ресурса).
Постановка задач оптимизации обменных схем
Представим модель обменной схемы в виде графа G(X, U), вершины Х которого соответствуют экономическим агентам (предприятия, организации, государство, другие государства, пенсионный фонд, банки и т.д.), а дуги U указывают на возможность передачи тех или иных ресурсов от одного агента другому. Примем, что в экономической системе имеются m видов ресурсов (финансовые, материальные, топливно-энергетические, информационные, а также различного рода льготы, долги и т.д.).
Обозначим через ai = (an, a^, ... , aim) - неотрицательный вектор ресурсов, имеющийся в распоряжении у i-го агента до обмена, а через fi(xi) - целевую функцию i-го агента. Обозначим далее ziq - вектор ресурсов, передаваемый i-ым агентом q-му,
yi = ^ziq - ^zqi - вектор, показывающий изменения количества ресурсов у
q q
i-го агента, xi = ai - yi - вектор ресурсов у i-го агента после обмена. Очевидно, xi 0 и, следовательно, yi ai, i = 1,n. Допустимым вариантом обмена будем называть совокупность неотрицательных векторов {ziq}, удовлетворяющих условиям
Уі =Zziq -Zzqi ai, i = ^ (1.1)
qq
fi(ai + Уі) fi(ai), i = 1,n. (L2)
Условие (1.1.2) требует, чтобы обмен был выгоден (неубыточен) для всех агентов, иначе они откажутся в нем участвовать. Если теперь ввести критерий оптимальности обмена, то мы получим задачу определения оптимального варианта обмена.
В качестве критерия оптимальности можно взять общесистемные критерии, такие как максимальное увеличение доходов всех агентов на одну и ту же величину или в одно и то же число раз. В первом случае задача оптимизации обменной схемы примет вид
fi(ai + Уі) efi(ai), 1 = 1,n.
max e
при ограничениях (1.1.1) и
(1.3)
f1(a1 + у; ) f1(a1 )+e, i = 1,n,
а во втором
max e
при ограничениях (1.1.1) и
(1.4)
Общесистемные критерии применяются в том случае, когда организатором обменной схемы выступает государство, заинтересованное в росте доходов всех экономических агентов, а также в случае, когда обменная схема применяется внутри корпорации или объединения предприятий. В случае, когда организатором обменной схемы выступает отдельная фирма, получающая определенный процент от прироста доходов агентов, в качестве критерия оптимальности естественно принять суммарный доход всех агентов:
Ф=Z f1 (a1+У1).
(1.5)
1=1
Наконец, если организатором обменной схемы является фирма, которая сама участвует в этой схеме, то критерий оптимальности может отражать ее интерес, то есть максимизацию дохода фирмы-оператора.
Процедура получения варианта обмена при заданном графе возможных обменов и заданных векторах ресурсов у агентов называется механизмом обмена.
Важным требованием к механизму обмена является условие прогрессивности. Суть его в том, что при изменении количества ресурсов, предъявляемых агентами к обмену, вообще говоря, изменяется и вариант обмена.
Условие прогрессивности требует, чтобы при увеличении количества ресурсов, предъявляемых каким-либо агентом, новый вариант обмена был бы более (не менее) выгоден агенту, чем прежний вариант (при меньшем количестве предъявленных ресурсов). Это условие достаточно естественно, так как в противном случае агент будет скрывать часть ресурсов, что может снизить эффективность обмена в целом, а то и сделать его невозможным.
Пример. Обменная схема включает всего двух агентов.
Первый агент имеет продукт 1 в количестве ai = 10 ед., а второй - продукт 2 в количестве а2 = 10 ед. Функции дохода агентов имеют вид
fi = Xi + 2x2,
f2 = 4xi + X2.
Фирма оператор заинтересована в максимизации суммарного дохода агентов, получая определенный процент от прироста дохода. Очевидное решение - передать первый продукт в количестве 10 ед. второму агенту, а второй продукт, также в количестве 10 ед. - первому агенту.
Доход первого агента вырастает до 20 ед., а доход второго - до 40 ед.
Заметим, однако, что если бы первый агент предъявил для обмена не 10, а 5 ед., то оптимальный вариант обмена состоял бы также в передаче всего предъявленного ресурса от одного агента другому. Однако, в этом случае доход первого агента составил бы 25 ед. (10 ед. второго продукта и оставшиеся 5 ед. первого продукта), а доход второго агента - только 20 ед.
Аналогично может поступить второй агент. В итоге проигрывают и оба агента и фирма-оператор.
Задача построения прогрессивных механизмов обмена является достаточно сложной. Для рассмотренной выше линейной модели она решена в [1]. Мы не будем останавливаться более детально на описанной модели обменной схемы. Она была предложена в работах [1,3].
Хотя эта модель математически выглядит достаточно элегантно и привлекательно, она практически мало применима. Можно, конечно, представить себе некоторый центр (фирма-оператор), где собирается информация о целевых функциях агентов, об имеющихся у них ресурсах и решается задача определения оптимального варианта обмена. Однако, в рыночной экономике такая ситуация не реальна. В лучшем случае она реальна на корпоративном уровне.
В практике обменные схемы работают на основе обменных коэффициентов, которые показывают, какое количество одного ресурса агент согласен обменять на единицу другого (если в качестве единицы измерения ресурса выступают деньги, то обменные коэффициенты называются дисконтом). Безусловно, обменные коэффициенты связаны с целевыми функциями участников обмена. Чтобы показать эту связь, рассмотрим линейные целевые функции агентов:
m
fi=Ё -
j=i
Очевидно, что если i-ый агент отдает j-ый ресурс в обмен на единицу q-го, то он должен отдать не более
ГіЧ
Xij =
rj
единиц j-го ресурса. Таким образом, максимальный обменный коэффициент, при котором i-ый агент не проигрывает при обмене, равен
Г
ki = iq
kqj = ,
ГУ
то есть за единицу q-го ресурса i-ый агент должен отдать не более kiqj единиц j-го ресурса. Фактически агенты могут определить минимальные обменные коэффициенты и для нелинейных зависимостей функций дохода от количества ресурсов.
Естественно, что предъявляемые агентами коэффициенты обмена выше минимальной величины, поскольку агенты ожидают увеличения своего дохода в результате обмена.
Итак, примем, что заданы коэффициенты обмена для всех агентов, смысл которых в том, что агенты согласны участвовать в обменной схеме на этих условиях. Коэффициенты обмена по-прежнему будем обозначать через {k1qj}.
Граф, отражающий возможные обмены агентов и совокупность обменных коэффициентов составляют модель обменной схемы, которая исследуется в данной работе.
Рассмотрим сначала ситуацию, в которой каждый агент имеет ресурс только одного типа (кстати, на практике это довольно типичная ситуация). В этом случае для построения модели достаточно каждой дуге (1, j), соединяющей агента 1 с агентом j, приписать длину kj равную обменному коэффициенту соответствующей операции обмена, а именно, показывающую, сколько единиц своего ресурса агент согласен обменять на единицу ресурса 1-го агента.
Для построения модели в случае, если агенты могут иметь ресурс нескольких типов, поступим следующим образом. Пусть агент имеет ресурсы г различных типов.
Представим этого агента как г агентов, каждый из которых имеет ресурс только одного типа (этих г агентов будем называть элементами). В графе возможных обменов вершины, соответствующие одному агенту, между собой не связаны.
Поскольку нас интересуют обменные схемы с позиций фирмы-оператора, то, принимая, что фирма-оператор имеет номер n, представим ее в модели в виде двух элементов - 0 и n. При этом элемент 0 является входом обменной схемы и соответствует началу обменного процесса, когда фирма-оператор передает свой ресурс какому-либо элементу. Элемент n является выходом обменной схемы и соответствует окончанию обменного процесса, когда фирма оператор получает ресурс от какого-либо элемента системы.
Обменные коэффициенты k01 определим как количество ресурса, которое элемент 1 согласен отдать за единицу стоимости ресурса фирмы-оператора, а обменные коэффициенты k1n определим как стоимость единицы ресурса, получаемого фирмой-оператором от элемента 1. Получим модель обменных схем в виде сети возможных обменов (сеть ВО).
Пример 1. Пусть имеются три агента, первый из которых является фирмой-оператором. Данные об агентах приведены в таблице 1.
| Таблица 1. |
|
Тип |
Количество |
Обменные коэфс |
жциенты |
| агента |
ресурса |
ресурса |
1 |
2 |
3 |
| 1 |
1 |
5 |
1 |
2,5 |
2 |
| 3 |
6 |
| 2 |
2 |
18 |
1 |
|
2 |
| 3 |
2 |
8 |
2 |
|
|
|
| 3 |
9 |
3 |
|
|
|
|
Из таблицы видно, что первый агент имеет ресурсы первого и третьего вида в количестве 5 и 6 единиц соответственно, второй - только второго вида, а третий - второго и третьего вида в количестве 8 и 9 единиц соответственно. Поскольку первый агент имеет два вида ресурсов и является оператором, то его представляем в виде четырех вершин, - начальной 0, конечной 6 и двух вершин, соответствующих первому и второму виду ресурсов (вершины 1 и 2). Третьего агента представим в виде двух вершин - 4 и 5, а второго в виде одной вершины - 3. Окончательно получаем сеть ВО, содержащую семь вершин. Сеть возможных обменов изображена на рис. 1 (нижние числа в вершинах соответствуют количеству ресурса у соответствующего элемента, а числа у дуг равны обменным коэффициентам). В дальнейшем число Ц у дуги будем называть усилением дуги, а произведение усилений дуг пути будем называть усилением пути.
Рассмотрим подробнее, как определить усиление дуг на основе таблицы 1. Усиления дуг (0,1) и (0,2) равны 1, так как вершины 0, 1 и 2 соответствуют оператору, и дуги (0,1) или (0,2) просто отражают факт, что в обмене участвует ресурс первого вида (дуга (0,1)) или второго (дуга (0,2)). Усиления дуг (3,6), (4,6) и (5,6) равны доходу на единицу ресурса, получаемого оператором от соответствующего элемента. Поэтому, усиление дуги (3,6) равно 2,5, так как из таблицы 1 следует, что доход на единицу ресурса

второго вида равен 2,5. Аналогично для усиления дуги (4,6), поскольку от элемента 4 оператор также получает ресурс второго вида. Усиление дуги (5,6) равно 2, так как элемент 5 имеет ресурс третьего вида. Усиления остальных дуг (i,j) равны, как уже отмечалось выше, количеству ресурса, которое элемент j согласен отдать за единицу ресурса элемента i. Так, усиление дуги (1,5) равно 3, так как элемент 5 (третий агент), согласен отдать 3 единицы ресурса третьего вида за единицу ресурса первого вида (элемент 1). При таком определении усилений дуг усиление К(т) любого пути m, соединяющего вход 0 с выходом 6 будет равно доходу оператора на единицу своих затрат.
Возьмем, например, путь (0,1,5,3,6), имеющий усиление 7,5. Какое количество ресурса первого вида оператор может реализовать по соответствующей обменной схеме? Нетрудно проверить, что максимальное количество равно 3, поскольку при этом элемент 5 должен отдать 3 - 3 = 9, то есть весь имеющийся у него ресурс. В результате работы по обменной схеме m оператор получает доход 7,5 - 3 = 22,5 и маргинальную прибыль МП = 22,5 - 3 = 19,5. Задача фирмы-оператора заключается в том, чтобы определить обменную схему, дающую максимальную маргинальную прибыль. В нашем примере эту задачу можно решить на основе простого перебора всех путей, соединяющих вход с выходом, так как их всего пять:
mi = (0,1,5,3,6), МП = 19,5; m2 = (0,1,5, 6), МП2 = 3 - 5 = 15; m3 = (0,1,4,6), МПз = 4 - 4 = 16; т4 = (0,1,3,6), МП4 = 5 - 1,5 = 7,5; т5 = (0,2,3,6), МП5 = 6 - 4 = 24.
В данном случае оптимальной является обменная схема, соответствующая пути m5, согласно которой оператор отдает ресурс третьего вида (на сумму 6 единиц) агенту 2 (элемент 3), который в обмен дает оператору 12 единиц своего ресурса второго вида. Учитывая, что доход от единицы второго вида ресурса у оператора составляет 2,5 единицы, он получает от 12 единиц ресурса второго вида доход 2,5 - 12 = 30, а маргинальная прибыль составляет при этом 30 - 6 = 24 единицы.
Методы решения задач определения оптимальных обменных схем по критериям маргинальной прибыли и дохода будут рассмотрены далее. А здесь мы обсудим ряд требований к этим методам в системах поддержки принятия решений. Для того, чтобы система поддержки принятия решений была действительно полезной помощницей для лица, принимающего решение (ЛПР), несущего ответственность за его последствия или для лица, формирующего решения (ЛФР), аргументировано обосновывающего эти решения перед ЛПР, эта система должна удовлетворять ряду требований. Следуя [5], выделим основные требования к человеко-машиным системам принятия решений:
1. Использование информации в содержательных категориях.
2. Итерационный характер процедуры, удобство корректировки данных и перестройки модели.
3. Отсутствие исключенных решений.
4. Возможность получения тестового решения.
5. Сходимость процедуры к наиболее предпочтительному решению за приемлемое число итераций.
6. Контролируемость процедуры со стороны ЛПР:
a) содержательная интерпретируемость моделей;
b) содержательная интерпретируемость алгоритмов;
c) регулируемая степень автоматизации.
Особенно выделим пункты 1 и 6. Лицо, принимающее или формирующее решение, должно получать от системы поддержки принятия решений рекомендации на понятном ему содержательном языке. Более того, ЛПР или ЛФР должен понимать логику, заключенную в алгоритме решения задачи и при необходимости проконтролировать этапы решения. Так, например, задачу определения оптимальной обменной схемы, как будет показано ниже, можно сформулировать в виде некоторой задачи линейного или комбинаторного программирования, для которых существуют стандартные программные средства.
Методы решения задач оптимизации обменных схем
Однако, непонимание логики, заложенной в методы решения, отсутствие возможности проконтролировать и обосновать способ получения результата, а значит и сам результат, ведет к недоверию со стороны ЛПР и ЛФР к рекомендациям компьютерной программы и, как следствие, к отказу от услуг такой системы поддержки принятия решений. На интерпретируемость предлагаемых методов в содержательных категориях мы будем обращать особое внимание.
Методы решения задач оптимизации обменных схем
В предыдущей главе была рассмотрена задача оптимизации обменных схем. В работе [3] эта задача сведена к определению оптимальной циркуляции в графе с усилениями в дугах или к определению оптимального потока на сети с усилениями в дугах. Однако, полученная в результате решения этой задачи обменная схема может не удовлетворять ряду требований, которые не учтены в формальной постановке.
Чтобы разобраться в сути этих дополнительных требований, рассмотрим простой пример.
Пример 2.1. Рассмотрим сеть ВО из четырех вершин (рис. 2).
Вершины 0 и 3 соответствуют фирме-оператору, числа у дуг равны обменным коэффициентам, нижние числа в вершинах равны количеству ресурса, имеющегося у соответствующего элемента.

Задача определения оптимального потока с усилением в дугах в данном случае имеет вид: определить (xij 0, (i, j) е U}, где U - множество дуг сети, максимизирующие
Ф = Х01 - Х02 + 2xi3 + X23
(2.1)
19
при ограничениях
Х13 + Х12 = 2x21 + 1,6x01 Х21 + Х23 = Х02 + 2X12
Оптимальное решение этой задачи имеет вид
Х12 = 4, Х21 = 8, Х13 = 12,
остальные Ху = 0 со значением целевой функции Ф0 = 24 (это маргинальная прибыль фирмы оператора).
Для того, чтобы убедиться, что это решение является оптимальным, рассмотрим двойственную задачу: определить u1, u2, v0 0, v1 0, v2 0,
минимизирующие:
F = 10v0 + 16v1 + 8v2 (2.3)
при ограничениях:
v0 - 1,6u1 -1 v0 - U2 -1
u1 + v1 - 2u2 0
u2 + v2 - 2u1 0
Оптимальное решение двойственной задачи имеет вид:
u1 = %; u2 = 1; v0 = 0; v1 = 11/8; v2 = У со значением целевой функции F = 24.
Совпадение значений целевых функций доказывает оптимальность обоих решений.
Рассмотрим содержательный смысл полученного решения. Так как Х01 = Х02 = 0, то фирма-оператор не тратит свой ресурс, получая при этом
весьма ощутимый доход! Фактически фирма-оператор выступает посредником между фирмой 1 и фирмой 2, организуя обмен ресурсами между ними (оптимальная схема обмена показана на рис 2 толстыми дугами). Такие схемы обмена (не включающие ресурс фирмы оператора) будем называть спекулятивными. Несмотря на всю привлекательность спекулятивных схем для оператора, они относятся к схемам обмена с повышенным риском.
Действительно, достаточно велика вероятность того, что фирмы 1 и 2 просто договорятся между собой напрямую, минуя посредника (фирму-оператора) еще в процессе переговоров. Поэтому спекулятивные схемы обмена следует рассматривать отдельно.
Гораздо большей надежностью (меньшим риском) обладают так называемые продуктовые схемы обмена, в которых обменная схема представляет собой последовательную цепочку фирм, каждая из которых (включая фирму-оператора) получает какой-либо ресурс в обмен на свой. Продуктовым схемам обмена соответствует простой путь в сети, соединяющий вершину 0 с вершиной 3, то есть путь, каждая вершина которого проходится только один раз. Для нашего примера таких путей четыре:
mi = (0,1,2,3) m2 = (0,i,3) тз = (0,2,i,3) т4 = (0, 2,3).
Нетрудно проверить, что оптимальным является путь (0,1,3) и соответствующий поток x01 = 10, x13 = 16, который обеспечивает чистый доход Ф1 = 22, что на 2 единицы меньше, чем в спекулятивной схеме.
Наконец, возможны смешанные схемы обмена, включающие одновременно и продуктовые и спекулятивные схемы. Так, если бы фирма 1 имела ресурс в количестве 24 единицы, то оптимальная схема обмена был бы следующей: x01 = 5, x12 = 4, x21 = 8, x13 = 20 (остальные Xij = 0), что дает чистый доход Ф2 = 40.
В данной схеме объединены продуктовая схема (0,1,3) и спекулятивная (1,2,1,3). Высокий риск спекулятивной схемы может привести к тому, что фактически будет реализована продуктовая схема (0,1,3), что дает оператору чистый доход F3 = 11, что меньше чем в оптимальной продуктовой схеме.
Рассмотренный выше пример показывает, что продуктовые и спекулятивные схемы следует рассматривать отдельно.
Построение оптимальных продуктовых схем обмена
Как было показано выше, задача поиска оптимальной продуктовой схемы обмена сводится к задаче определения простого пути в сети ВО, соединяющего начальную вершину сети 0 (вход) с конечной n (выход) и дающего оператору максимальную маргинальную прибыль. Покажем, что эта задача является в общем случае NP-трудной комбинаторной задачей, решение которой требует перебора всех простых путей [4]. Для этого примем, что ограниченным является только ресурс оператора, а остальные элементы имеют неограниченное количество ресурса. В этом случае, очевидно, оптимальной продуктовой схеме обмена соответствует простой путь в сети, имеющий максимальное произведение обменных коэффициентов дуг пути (это произведение будем называть усилением пути).
Заметим, что для выгод-ности обменной схемы усиление соответствующего ей пути должно быть больше единицы. Определим длины дуг сети %j = *n kij.
В этом случае длина любого пути m будет равна L(m) = 9n K(m) = I V где
i,jem
K(m) - усиление пути m.
Таким образом, задача поиска простого пути с максимальным усилением эквивалентна задаче поиска пути максимальной длины. Как известно, эта задача эффективно решается, если в сети отсутствуют контуры положительной длины. В противном случае эффективных точных методов ее решения не существует.
В частности, если все обменные коэффициенты больше 1, а значит длины всех дуг положительны, граф ВО является полным графом и для любой тройки вершин i, j, k имеет место %j + j - ik, то задача эквивалентна задаче коммивояжера, которая является NP-трудной [4]. Отсюда следует, что в общем случае для выбора оптимальной продуктовой схемы обмена необходимо применять либо алгоритмы перебора, либо эвристические алгоритмы.
В случае если сеть ВО не имеет контуров с усилением больше 1 (а значит контуров отрицательной длины), существуют эффективные алгоритмы определения путей с максимальным усилением. Предлагаемый метод решения задачи состоит из двух этапов.
На первом этапе строится сеть, не имеющая контуров с усилением больше 1 или просто сеть без контуров, эквивалентная исходной сети. Эквивалентность понимается в том смысле, что каждому простому пути исходной сети соответствует простой путь в новой сети (возможно, не один) и наоборот, каждому простому пути новой сети соответствует один и только один простой путь в исходной сети.
На втором этапе определяется оптимальный простой путь в новой сети.
Рассмотрим сначала второй этап. Имеется сеть без контуров с усилением больше 1. Требуется определить простой путь в этой сети и допустимый поток по этому пути с максимальной величиной маргинальной прибыли.
Сначала рассмотрим алгоритм определения пути с максимальным усилением.
Описание алгоритма
1 шаг. Помечаем вершину 0 индексом u0 = 1, а все остальные вершины индексом u1 = 0, i = 1, n.
к-й шаг. Пусть uk-1- индекс вершины i на (k-1) шаге, i = 1,n. Помечаем вершину i индексом
uk = maxuk-1 ¦ kji, (3.1)
jeUi
где Ui - множество дуг, заходящих в вершину i.
За конечное число шагов индексы всех вершин установятся, то есть не будут меняться при следующих шагах (доказательство этого факта мы дадим ниже). Обозначим через Фі установившиеся индексы вершин, i = 1,n.
В этом случае величина Фп равна максимальному усилению. Для определения пути, имеющего максимальное усиление, применяем метод обратного хода, как это делается в алгоритмах определения экстремальных путей в сетях [6]. А именно, определяем вершину іь такую что (ii,n)eU (U - множество дуг сети) и
Ф = Ф. ¦ k.
n ii i,n
Далее, определяем вершину і2, такую что (i2,i1)eU и
Ф. = Ф. ¦ k- ¦
ii i2 i2,il ’
и т.д. Эта процедура за конечное число шагов p приведет к вершине ip = 0. Покажем, что полученный простой путь р0 = (0, ip-1, ip-2, ... , i1, n) имеет максимальное усиление.
Теорема 1. Полученный методом обратного хода путь определяет оптимальную продуктовую схему обмена по критерию маргинальной рентабельности, а сама маргинальная рентабельность равна индексу конечной вершины n минус 1, то есть (Фп - 1).
Доказательство. Для любой дуги (i, j) имеет место Фj kijФi. Поэтому для усиления K(m) любого пути m, соединяющего вход с выходом сети, имеем
K(m) Фп.
Отсюда следует, что если найдется путь р0, такой что K(m0) = Фп, то этот путь имеет максимальное усиление. Но именно такой путь получается методом обратного хода. Далее, маргинальная рентабельность
МР = K(m)x - x = K(m) -1, x0
где x0 - количество продукта, отдаваемое фирмой-оператором. Теорема доказана.
Нас, однако, интересует путь, для которого соответствующая продуктовая схема обмена имеет максимальную прибыль. Определим максимальный поток x(m0) по пути р0 (величиной потока в сети с усилениями в дугах будем считать поток, выходящий из начальной вершины). Имеем
x(mo) = .
i*n Ф.
Пусть минимум достигается в вершине q0. Эту вершину будем называть насыщенной. Тогда имеет место:
Теорема 2. Путь m0 определяет оптимальную схему обмена по критерию маргинальной прибыли среди всех путей, проходящих через насыщенную вершину.
Доказательство. Для всех путей, проходящих через вершину q0, поток из вершины q0 не превышает aqo. Поскольку Ф равно максимальному усилению среди всех путей, соединяющих начальную вершину с вершиной q0, то минимальное количество ресурса, отдаваемое оператором не менее
q0
x(m0) =
aq
q0
Далее, так как Фп/Ф^ равно максимальному усилению среди всех путей, соединяющих вершину q с конечной вершиной п, то оператор не может получить доход больше, чем
Ф
- ¦ aq .
Ф q0 q0
Окончательно получаем, что маргинальная прибыль оператора составляет
МП(т0) = Ф п ¦ x(m 0) - x(m) = (Ф п -),
^0
и эта прибыль максимальна на множестве обменных схем, включающих элемент q0. Теорема доказана.
Исключим вершину q0 и определим путь с максимальным усилением для оставшейся сети. Пусть это путь его усиление K(mi) и насыщенная вершина q1. Соответствующая маргинальная прибыль равна
МПі = Фу (K(mi) -1)
и она максимальна среди всех путей, проходящих через вершину qi и не проходящих через вершину q0. Удаляем вершину q1 и снова определяем путь с максимальным усилением в оставшейся сети, и т.д.
Процедура заканчивается, если насыщенной окажется вершина 0 или когда после удаления очередной вершины qm в сети не останется ни одного пути, соединяющего вход с выходом. Оптимальный путь по критерию маргинальной прибыли это путь щ, такой что

Пример 2. Рассмотрим сеть, изображенную на рис. 3 (числа у дуг равны обменным коэффициентам, числа внизу в вершинах равны количеству ресурса, имеющегося у соответствующего элемента).

Насыщенная вершина q0 = 4. Величина маргинальной прибыли составит
МПо = 2(12 - 1) = 22.
2 шаг. Удаляем насыщенную вершину 4 и определяем путь с максимальным усилением в оставшейся сети (рис.4).

Это путь m = (0,2,3,1,5) с усилением K1 = 10. Определяем допустимый поток по этому пути
x(m0 = хо2 = min (3; 10A,; /2) = 2,5.
Насыщенная вершина q1 = 3, величина маргинальной прибыли
МП1 = (10 - 1)2,5 = 22,5.
3 шаг. Удаляем насыщенную вершину 3 и определяем путь с максимальным усилением в оставшейся сети (рис.5).

Это путь m2 = (0,1,5) с усилением K2 = 7,5. Определяем допустимый поток по этому пути
x(m2) = X01 = min (3; 6/u) = 3.
Насыщенная вершина q2 = 0, величина маргинальной прибыли
МП = 3(7,5 - 1) = 19,5.
Так как насыщенной оказалась входная вершина, процедура закончена. Сравнивая МП0, МП1 и МП2 видим, что оптимальным по критерию маргинальной прибыли является путь m = (0,2,3,1,5) с величиной маргинальной прибыли МП1 = 22,5.
Х0(Щ)) = Х02 = min (3, /
20/ .24 /4,
V12) = 2.
Преобразование произвольной сети к сети без контуров
Для того, чтобы применить описанный выше алгоритм к произвольной сети, необходимо преобразовать ее к сети без контуров с усилением больше
1. Однако, это достаточно сложная задача. В этом параграфе рассматривается более простая задача построения сети без контуров, такой что любому простому пути исходной сети соответствует один или несколько путей в преобразованной сети и наоборот, любому пути преобразованной сети соответствует один и только один простой путь исходной сети.
В основе алгоритма лежит процедура правильной нумерации вершин графа без контуров. Дадим описание этой процедуры.
1 шаг. Исключаем вершину 0 и все исходящие из нее дуги.
2 шаг. В полученной сети ищем вершину без заходящих дуг и исключаем ее вместе с исходящими дугами. Эта вершина получает номер 1.
Далее процедура повторяется, то есть мы снова находим вершину без заходящих дуг, присваиваем ей очередной номер, исключаем и т.д.
Очевидно, что если в сети имеются контуры, то на каком-либо шаге процедуры мы не найдем ни одной вершины без заходящих дуг. В этом случае находим все вершины из множества оставшихся, в которые заходят дуги, исходящие из уже исключенных вершин.
Рассматриваем каждую из этих вершин. Пусть, например, это вершина j. Тогда исключаем все дуги, заходящие в вершину j, и продолжаем процедуру правильной нумерации для оставшейся сети и т.д.
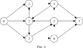
Пример 3. На рис. 6 приведена сеть ВО, состоящая из восьми вершин.
Если исключить вершину 0 вместе с дугами (0,1), (0,2), (0,3), то легко убедиться, что в оставшейся сети нет ни одной вершины без заходящих дуг. Поэтому рассматриваем три варианта: удаление вершины 1, вершины 2 и вершины 3, поскольку в каждую из них идет дуга из вершины 0.

1. Исключаем вершину 1 со всеми инцидентными ей дугами. Оставшаяся сеть также не имеет ни одной вершины без заходящих дуг.
Рассматриваем вершину 4 (это единственная вершина, в которую заходит дуга из исключенных вершин).
Исключаем вершину 4 с инцидентными дугами. Оставшаяся сеть опять не имеет вершин без заходящих дуг.
Рассматриваем вершины 2 и 7. Вершина 7 является конечной, и поэтому для нее процедура закончена. Исключаем вершину 2 со всеми инцидентными дугами.
Оставшаяся сеть не имеет контуров.
Окончательно ветвь с дугой (0,1) имеет вид, изображенный на рис. 7 (числа внизу указывают правильную нумерацию вершин).

2. Исключаем вершину 2 с инцидентными дугами. Получили сеть без контуров, допускающую правильную нумерацию, изображенную на рис.
8 (правильная нумерация вершины 2 равна 7, так как последний номер вершин сети на рис. 7 равен 6).

3. Удаляем вершину 3 с инцидентными дугами, помечая ее номером 13. Вершина 6 оставшейся сети не имеет заходящих дуг.
Помечаем ее номером 14 и исключаем вместе с исходящими дугами. Теперь вершина 5 не имеет заходящих дуг.
Помечаем ее номером 15 и исключаем вместе с исходящими дугами. В оставшейся сети нет ни одной вершины без заходящих дуг.
Рассматриваем две вершины, в которые заходят дуги из исключенных вершин. Это вершины 2 и 4. Рассматриваем вершину 2. Помечаем вершину 2 номером 16 и исключаем вместе с инцидентными дугами.
Оставшаяся сеть не имеет контуров. Помечаем вершины 1 и 4 соответственно номерами 17 и 18.
Рассматриваем вершину 4, помечая ее номером 19. Поскольку из вершины 4 в оставшейся сети в вершину 7 идет только один путь (точнее дуга (4,7)), то процедура закончена. Помечаем вершину 7 номером 20.
Эта сеть приведена на рис. 9.
Окончательный вид преобразованной сети приведен на рис. 10.

Число вершин сети увеличилось почти в три раза. Зато теперь мы можем применить алгоритм решения задачи, описанный в параграфе 3, который особенно эффективен для случая правильной нумерации сети.
Рассмотрим еще один пример.
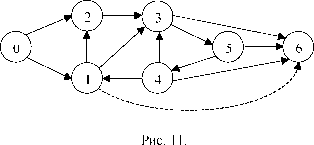
Пример 4. Рассмотрим сеть, приведенную на рис. 11.

Действуя согласно описанному алгоритму, мы рассматриваем две подсети. Одна начинается с дуги (0,1), а другая - с дуги (0,2).
Рассмотрим дугу (0,1), помечая вершину 1 номером 1. Исключая вершину 1, помечаем вершину 2 номером 2. В оставшейся сети нет ни одной вершины без заходящих дуг. Исключая вершину 3 получаем сеть без контуров.
Наконец, рассматривая дугу (0,2)и исключая вершину 2, а затем 3, мы получаем требуемую сеть без контуров, показанную на рис.12.
Заметим, что в данном случае подсеть с дугой (0,2) можно было бы исключить, проведя дугу (0,2) в подсети с начальной дугой (0,1) (эта дуга показана пунктиром на рис. 12). При этом мы получаем преобразованную сеть с тем же числом вершин.
Однако, если бы в исходной сети была дуга (1,6) (показанная пунктиром на рис. 11), то такое преобразование уже не допустимо.

Вообще, проблема построения сети без контуров, эквивалентной исходной и имеющей минимальное число вершин является гораздо более сложной.
Оптимизация обменных схем по доходу
Выше мы рассмотрели задачу определения обменной схемы по критерию маргинальной прибыли.
Довольно часто в качестве критерия оптимальности выступает не маргинальная прибыль, а доход, получаемый оператором при реализации обменной схемы, то есть величина Д = K(m)-x(m). Например, если фирма оператор получила за свою продукцию или услуги от заказчика не деньги, а какую-либо продукцию, векселя или зачеты, то ее основная задача -реализовать уже полученный ресурс с максимальным доходом. Опишем алгоритм построения обменной схемы, оптимальной по критерию дохода.
Предполагаем, что вершины преобразованной сети ВО имеют правильную нумерацию.
0 шаг. Присваиваем входной вершине индекс uo = ao.
q-й шаг. Присваиваем вершине k индекс
uq = min
aq;n?qxuJkjq
(5.1)
(максимум, очевидно, берется по тем j, для которых существует дуга (j,q)). Индекс вершины n будет равен максимальному доходу оператора.
Для обоснования алгоритма покажем, что индекс вершины j ф n равен максимальному количеству ресурса, который можно получить от j-го элемента. Докажем этот факт по индукции.
Для выходной вершины j = 0 это очевидно. Пусть этот факт имеет место для всех вершин j q. Докажем, что это справедливо и для вершины q. Действительно, величина kjquj определяет максимальное количество ресурса, которое отдает элемент q, получив от элемента j ресурс в количестве uj, а значит выражение (5.1) определяет максимальное количество ресурса, которое может отдать элемент q, то есть существует обменная схема, в которой элемент q отдает uq единиц ресурса, и не существует обменной схемы, в которой элемент q отдает ресурса больше, чем Uq. Теперь очевидно, что максимальный доход оператора будет равен
maxUjkjn = un.
Пример 5. Рассмотрим сеть ВО, показанную на рисунке 13.

Индексы вершин указаны в квадратных скобках. Максимальный доход равен 48.
Для того, чтобы определить оптимальную обменную схему, модифицируем алгоритм обратного хода, описанный в параграфе 2 для задачи определения пути с максимальным усилением. А именно, начиная с вершины n определяем дугу (i,n), такую что
Un Uikin.
Далее находим дугу (i2,i1), такую что
maxUik-- = u; k;;
ii1 i ii1 i2 i2i1
и т.д., пока на очередном шаге k мы не получим дугу (0,ik). Путь (0,ik,ik-1, ... ,i2,i1,n) и определит искомую оптимальную обменную схему. В нашем примере
u5 = u4k45 = 48 maxuiki4 = u1k14 = 32.
i4
Следовательно, искомый оптимальный путь m0 = (0,1,4,5), поток по этому пути x0 = x01 = 3.
Учет риска
Риск является весьма существенным фактором, который следует учитывать при выборе обменной схемы. Как правило, риск обменной схемы зависит от рисков отдельных операций, входящих в схему.
Качественно риск операции является оценкой фирмой-оператором степени опасности того, что эта операция на осуществится (продукция не будет поставлена, зачет не будет произведен, курс бумаг упадет и т.д.).
Риск операции зависит от многих факторов, которые зачастую трудно оценить. Поэтому, на практике применяют дискретные шкалы для измерения риска. Наиболее принята дискретная трехоценочная шкала - низкий риск, средний риск, высокий риск.
Низкий риск, как правило, характерен для операций с уже проверенными, надежными партнерами, в достаточно стабильной (прогнозируемой) экономической ситуации (по крайней мере, на период реализации обменной схемы). Средний риск характерен для операций с новыми партнерами (но имеющими хорошую репутацию) в достаточно стабильной экономической ситуации, либо с проверенными , надежными партнерами хотя и в неустойчивой экономической ситуации.
Наконец, высокий риск характерен для операций с новыми партнерами в неустойчивой экономической ситуации.
Конечно, степень риска зависит и от применяемых механизмов перераспределения риска (страхование риска) а также от имеющихся рычагов влияния на участников сделок (гарантии государства, банков и т.д.). В первую очередь нас, безусловно, интересуют обменные схемы, включающие операции с низким риском.
Однако, если такие обменные схемы недостаточно эффективны, то имеет смысл рассмотреть более рисковые обменные схемы, включающие одну или две операции со средним риском, обращая особое внимание на среднерисковые операции и разрабатывая специальные компенсационные меры (меры снижения риска).
Наконец, допустимо включение в обменную схему операции с высоким риском, если такая схема имеет высокую эффективность. Безусловно, в этом случае высокорисковая операция особо контролируется, и обязательно прорабатывается система компенсационных мер.
Рассмотрим методы определения оптимальных обменных схем в случае, если допускаются среднерисковые и высокорисковые операции (не более одной). Если число таких операций (со средним или высоким риском) мало, то проще всего задачу решить методом перебора. А именно, включаем в сеть ВО операцию повышенного риска (среднего или высокого) и определяем оптимальную обменную схему. Затем исключаем эту операцию, включаем другую и т.д., пока не рассмотрим все операции повышенного риска.
Сравнивая полученные схемы по критерию маргинальной прибыли или дохода, определяем оптимальную схему.
При большом числе операций повышенного риска метод перебора становится достаточно трудоемким. В этом случае целесообразно разработать алгоритмы, не требующие перебора всех операций с повышенным риском.
Опишем один такой алгоритм для задачи выбора оптимальной обменной схемы по критерию дохода.
Алгоритм двойной индексации
Обозначим Uq - множество (возможно, пустое) дуг, соответствующих операциям с низким риском, заходящих в вершину q; Vq - множество (возможно, пустое) операций с повышенным риском, заходящих в вершину q.
0 шаг. Присваиваем входной вершине индекс uo = Vo = ao.
1 шаг. Если дуга (0,1) е Ui (операция с низким риском), то присваиваем вершине 1 индексы
u1 = min(a1; a0k01) и v1 = 0.
Если дуга (0,1) е Vi (операция повышенного риска), то присваиваем вершине 1 индексы
ui = 0 и vi = min(ao; aokoi).
q-й шаг. Пусть получены индексы ui, vi, i q-Присваиваем вершине q индексы
uq = min
aq; max Uikiq
q (i,q)eUq i iq
(6.1)
(6.2)
vq = min
max V:kin; max цк-
у(i,q)eUq q (i,q)eVq q j
aq;max
n-й шаг. Присваиваем вершине n индекс
max U:kin; max U:kin; max V:kin;
(i,q)eUn i in (i,q)eVn i in (i,q)eUn i in
(6.3)
un = max
Если какое-либо множество является пустым, то соответствующий максимум в (6.1) - (6.3) равен 0 по определению.
Докажем, что индекс un определяет максимальный доход фирмы-оператора среди всех обменных схем, включающих не более одной операции с повышенным риском. Как и ранее, доказательство проведем по индукции.
Предварительно введем определение i-части обменной схемы.
Определение. i-частью обменной схемы, включающей элемент i, называется начальная часть схемы, которой соответствует путь в сети ВО, соединяющий вход 0 с вершиной i.
Заметим, что для любой допустимой обменной схемы, включающей элемент i, ее i-часть может либо не иметь ни одной операции повышенного риска, либо иметь только одну такую операцию. Соответственно, i-часть, не имеющую операций повышенного риска, будем называть i-частью низкого риска, а имеющую - повышенного риска.
Докажем сначала, что индекс ui 0 (i ф n) равен количеству ресурса, такому что участвуя в любой схеме с i-частью низкого риска элемент i отдает не более ui единиц ресурса, и существует i-часть низкого риска, в которой элемент i отдает ровно Иі единиц ресурса.
Практическая реализация обменных схем
Рассмотрим более гибкий механизм обмена, в котором ресурс оператора распределяется прямопропорциональна величинам si = (cisi-1)a, где а 1, то есть
(9.10)
Ij
j=1
Достоинством гибких механизмов обмена является распределение ресурса между несколькими обменными схемами, что существенно уменьшает риск. В ряде случаев механизм (9.10) более эффективен, чем конкурсный механизм.
Пример 13. Пусть m = 9, с = 1, ki = 13, k = 3, i = 2,9, R = 28.
Для конкурсного механизма, очевидно, победителем будет первый агент, сообщая оценку немного больше чем 3. Пусть сообщения могут быть только целыми числами. Тогда для победы в конкурсе первый агент должен сообщить s1 = 4. Прибыль оператора составит
По = (si - 1)28 = 84.
Рассмотрим гибкий механизм обмена (9.10) при a = 1. Каждый агент будет выбирать оценку si из условия максимума своей прибыли, которая равна
1 1 /VI
X (sj-1)
j=1
(9.11)
П i = (ki-.
Для облегчения вычислений предположим, что агенты не учитывают влияния своей оценки на знаменатель. Это предположение носит название гипотезы слабого влияния, и оно действительно имеет место при достаточно большом числе агентов [2].
При гипотезе слабого влияния максимум (9.11) легко находится и он равен si = ^(ki + 1) или s1 = 7, si = 2, i = 2,9. Прибыль оператора в данном случае составит
П0 = (7 - 1)-12 + 8-(2 - 1) -2 = 88 84,
То есть гибкий механизм обмена при меньшем риске обеспечивает большую прибыль, чем конкурсный механизм!
Интересно рассмотреть механизм (9.11) при a = 2. В этом случае оптимальные оценки агентов будут равны
2k +1
2kL+1
3
= 9,
2.
s1
si =
Соответственно,
64 - 28
x1 =-
1 64 + 8 -1
прибыль оператора составит
3
8’
1 - 28 72
i = 2,9,
25, xi
По = 8-25 + 1-8-3/8 = 203 !
Таким образом, гибкие механизмы обмена могут быть гораздо эффективнее конкурсных механизмов. К сожалению, задача определения оптимального механизма обмена при использовании нескольких обменных схем не решена.
Так, при увеличении а эффективность рассмотренной гибкой обменной схемы растет, если справедлива гипотеза слабого влияния. Однако, при больших а предположение о слабом влиянии уже не имеет места и задача анализа становится сложнее.
По-видимому, существует оптимальная величина а. Эта проблема требует дальнейших исследований.
. Практическая реализация обменных схем
Рассмотрим три примера обменных схем, действующих на практике. Пример 14. Данные об агентах и обменных коэффициентах приведены в таблице 6.
| Таблица 6. |
| Компания |
Ресурс |
Узел
графа |
Обменные коэффициенты |
| 0 |
1 |
2 |
3 |
4 |
5 |
| |
Деньги |
0 |
1 |
2 |
2 |
2 |
2 |
2 |
| Фирма-оператор |
Газ |
1 |
0.5 |
1 |
1.25 |
|
1.11 |
|
| Украина |
Тепловозы |
2 |
0.5 |
|
1 |
1.25 |
|
|
| Казахстан |
Уголь |
3 |
0.5 |
|
|
1 |
1.11 |
1.25 |
| Челябэнерго |
Электро
энергия |
4 |
0.5 |
|
|
0.9 |
1 |
1.43 |
Газодобывающая
компания |
Долги |
5 |
0.5 |
1 |
|
|
|
1 |
|
Коэффициент kij - где i - номер строки, j - номер столбца определяет цену ресурса из строки i в единицах ресурса из столбца j. ki0 - цена ресурса из строки i в деньгах по отношению к его номинальной стоимости, или стоимости, как говорят, из стандартного прайс-листа. В данном примере при оплате деньгами за газ (строка 1) - достаточно оплатить половину его цены из прайс-листа (столбец 0). Тогда как при оплате за газ электроэнергией (столбец 4) - цена газа выше его номинальной на 11%.
Если значение kij - непустое, то это означает, что продукцию из строки i можно продать и получить в оплату продукцию из столбца j, однако если значение kji - пустое, то это означает, что продукцию из строки j в обратную сторону нельзя продать и получить в оплату продукцию из столбца i. Например, k23 = 1.25 - говорит о том, что Украина может поставить Казахстан тепловозы и получить за них в оплату уголь, причем цена на тепловозы может превышать номинальную на 25%. Однако, k32 - пустое и это означает, что Казахстан не может продать свой уголь в Украину и
получить в оплату за него тепловозы, поскольку Украинской стороне в данном случае уголь не нужен.
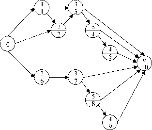
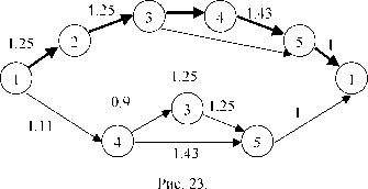
Граф ВО, соответствующий таблице 6 приведен на рис.22.

Приведенная сеть без контуров показана на рис. 23 (в данном случае мы не меняем нумерацию вершин сети на правильную для того, чтобы была яснее связь путей сети (рис 23) с путями графа ВО).

Путь mi = (1, 2, 3, 4, 5, 1) обеспечивает коэффициент усиления Кі = 1.25 - 1.25 - 1.11 - 1.43 - 1 = 2.48 и является искомым путем с максимальным усилением в данном графе. Для примера, путь m2 = (1, 2, 3, 5, 1) обеспечивает коэффициент усиления К2 = 1.95 и является вторым по рентабельности в рассматриваемой схеме.
Пример 15. Данные об агентах и обменных коэффициентах приведены в таблице 7. Граф, соответствующий таблице 7 приведен на рис. 24.
| Таблица 7. |
| Компания |
Ресурс |
Узел
графа |
Обменные коэффициенты |
| 0 |
1 |
2 |
3 |
4 |
5 |
6 |
Фирма-
оператор |
Деньги |
0 |
1 |
|
2 |
|
|
2 |
1.11 |
Потребитель
зерна |
Деньги |
1 |
1 |
1 |
|
|
|
|
|
Гос.
предприятие |
Федер.
Зачет |
2 |
|
|
1 |
1 |
|
0.8 |
|
| Газпром |
Газ |
3 |
|
|
|
1 |
1.05 |
|
0.95 |
Филиал
Газпрома |
Долги |
4 |
|
|
|
|
1 |
1.11 |
|
| ГРЭС |
Электри
чество |
5 |
|
|
|
|
|
1 |
0.95 |
| Элеваторы |
Зерно |
6 |
|
0.9 |
1.43 |
|
|
|
1 |
|

Приведенная сеть без контуров выглядит так, как показано на рис. 25.

Путь mi = ( 0, 2, 3, 4, 5, 6, 1, 0) обеспечивает коэффициент усиления Кі = 2 - 1 - 1.05 - 1.11 - 0.95 - 0.9 - 1 = 1.99 и является путем с максимальным усилением в данном графе. Близкие к нему пути m2 = ( 0, 5, 6, 1, 0) и m3 = ( 0, 2, 3, 6, 1, 0) обеспечивают коэффициент усиления К2 = К3 = 1.71 и являются вторыми по рентабельности в рассматриваемой схеме.
Пример 16.
| Таблица 8. |
| Компания |
Ресурс |
Объем |
Узел
графа |
Обменные коэффициенты |
| 0 |
1 |
2 |
3 |
4 |
| Фирма-оператор |
Газ |
Неогр. |
0 |
1 |
|
1.11 |
1 |
0.90 |
| Газпром |
Газ |
Неогр. |
2 |
1 |
1 |
|
|
1 |
Минэнергетики
Украины |
Федер. Зачет Укр. |
50 |
3 |
|
|
1 |
|
|
| Укр. производитель продукции |
Оборонная
продукция |
200 |
4 |
|
|
|
1 |
1.11 |
| Росс. потребитель продукции |
Федер. Зачет России |
100 |
5 |
1.11 |
1 |
|
|
1 |
|
Представим таблицу 8 сразу в приведенном виде без контуров (рис. 26).

Путь mi = ( 0, 2, 3, 4, 1, 0) обеспечивает максимальный коэффициент усиления К1 = 1.54 в данном графе. Путь m2 = ( 0, 3, 4, 1, 0) обеспечивает коэффициент усиления К2 = 1.11 и является вторым по рентабельности в рассматриваемой схеме.
Однако в данном случае существовали лимиты на возможный объем ресурса в узлах: 4 - 50 единиц в денежном выражении, 3 - 200 единиц, 4 -100 единиц. Поэтому на практике были реализованы две схемы. Первая m1 на величину 45 единиц и с доходностью К1 = 1.54 и вторая m2 на величину 27 единиц и с доходностью К1 = 1.11. При этом в узле 3 осталось неизрасходованными продукции на 111 единиц. Общий доход от сделки составил Д = 1.54 - 45 + 1.11 - 27 = 99, т.е. общая доходность схемы уменьшилась до величины К* = 99 / (45+27) = 1.38, вместо максимально возможной К1 = 1.54.
Заключение
Приведенные в работе модели и методы построения обменных схем позволяют определять циклы обмена, оптимальные по критерию прибыли или дохода с учетом риска.
Безусловно, многие проблемы, связанные с построением обменных схем, требуют дальнейших исследований. В первую очередь это задача построения оптимальных обменных сетей, объединяющих несколько обменных цепочек.
Эта задача после преобразования графа ВО к сети без контуров сводится к построению оптимального потока в сети с усилениями на дугах [3].
Много нерешенных проблем связано с теоретико-игровым анализом обменных схем. Так, не известен оптимальный механизм обмена в обменной схеме с несколькими элементами (не известно даже, существует ли оптимальный механизм честной игры).
Интересно также рассмотреть другие содержательные постановки, связанные с обменом, например, согласование интересов различных политических группировок, федеральных и региональных властей и др.
Литература
1. Бурков В.Н., Кацнелъсон М.Б., Мамиконов А.Г. Прогрессивные механизмы обмена. - АиТ, 1983, 1, стр.
140-149.
2. Бурков В. Н., Кондратьев В.В. Мехканизмы функционирования организационных систем. - М.: Наука, 1981.
3. Кацнелъсон М.Б. Перераспределение ресурсов. - М.: Наука, 1985.
4. Теория расписаний и вычислительные машины. Под редакцией Э.Г.
Коффмана. - М.: Наука, 1984.
5. Тренев В. Н. Методы и механизмы реализации распределенных процедур формирования управленческих решений при реформировании предприятий. (Препринт) - Институт проблем управления, 1998.
Управление риском
Соответственно, индекс vi 0 (i ф n) равен количеству ресурса, такому что, участвуя в любой схеме с i-частью повышенного риска, элемент i отдает не более vi единиц ресурса, и существует i-часть повышенного риска, участвуя в которой элемент i отдает ровно vi единиц ресурса.
Для вершины i = 0 это очевидно (и0 = v0 = ao). Предположим, что этот факт имеет место для всех j q. Докажем его для вершины q ф n. Очевидно, что все q-части низкого риска должны заканчиваться дугами (i,q) е Uq.
Но тогда выражение (6.1) определяет максимальное количество ресурса (не более), которое отдает элемент q, участвуя в обменных схемах с q-частью низкого риска. Очевидно, что, если uq 0, то существует q-часть низкого риска, участвуя в которой элемент q отдает ровно uq единиц ресурса. Далее, все q-части повышенного риска состоят либо из i-части низкого риска и дуги (i,q) е Vq, либо из i-части повышенного риска и дуги (i,q) е иФВ обоих случаях выражение (6.2) определяет количество ресурса, не более которого отдает элемент q, участвуя в обменных схемах с q-частями повышенного риска.
Столь же очевидно, что существует q-часть повышенного риска, участвуя в которой элемент q согласен отдать ровно vq единиц ресурса. Если теперь проанализировать выражение (6.3), то по аналогии с предыдущим анализом нетрудно показать, что любая обменная схема может состоять либо из i-части низкого риска и операции (i,n) низкого риска (первое выражение в квадратных скобках), либо из i-части низкого риска и операции (i,n) повышенного риска (второе выражение в квадратных скобках), либо из i-части повышенного риска и операции (i,n) низкого риска (третье выражение в квадратных скобках).
Следовательно, un определяет максимальный доход оператора. Для определения оптимальной обменной схемы применяем алгоритм обратного хода по аналогии с алгоритмом из параграфа 5.
Пример 6. Рассмотрим сеть из примера 5, в которой все операции с обменными коэффициентами выше 2 и операция (4,5)имеют повышенный риск (эти операции изображены на рис. 14 жирными дугами).
0 шаг. uo = 4.
1 шаг. u1 = min (10, u0k01) = 8;
v1 = 0.
2 шаг. u2 = min (10, u1k12) = 10;
V1 = min (10, ufe) = 10.
3 шаг. u3 = 0;
V3 = min (18, ufe U2k23) = 18.
4 шаг. U4 = min (24, u2k24) = 15;
v4 = min (24, max (u1k14, v3k34)) = 24.
5 шаг. u5 = max (u1k15, U4k45, v3k35) = 40.
Оптимальный путь, очевидно,
m = (0, 1, 5).
Заметим, что описанный алгоритм можно обобщить на случаи, когда допускается более одной операции повышенного риска. Достаточно ввести не 2 индекса в вершине, а (m+1), где m - число операций повышенного риска, которое допускается в обменной схеме.
Управление риском
Выше уже отмечалось, что риск операций можно уменьшить, применяя различные компенсационные меры, то есть риском можно управлять. Безусловно, снижение риска требует затрат, уменьшающих доход от обменной схемы.
Рассмотрим задачу выбора оптимальной обменной схемы (по критерию дохода) с учетом затрат на снижение риска до требуемого (приемлемого) уровня.
Обозначим через затраты на снижение риска операции (i,j) до приемлемого уровня. Тогда доход оператора от реализации обменной схемы m будет равен
д = K(m)-x(m) - R(m),
где R(m) = I Гіі - суммарные затраты на снижение риска. Ограничим число
(i,j)em
операций повышенного риска (выше, чем приемлемый риск) в обменной схеме. Обозначим это число через m. Для случая m = 1 опишем алгоритм множественной индексации, обобщающий алгоритм двойной индексации, описанный в параграфе 6. Идею алгоритма поясняет рис.15.

Индекс ui определяет максимальное количество ресурса, которое может отдать элемент і, участвуя в обменных схемах с і-частью низкого риска. Индексы Vij(Sij) определяют максимальное количество ресурса, которое может отдать элемент i, участвуя в обменных схемах с i-частью повышенного риска с затратами на снижение риска равными Sj При этом ?п vi2 vi3 и, соответственно, sii si2 si3.
Зная индексы вершин 1, 2, 3 можно определить индекс вершины 4. Действительно,
u4 = min[a4; max(u1k14; u3k34)],
V41 = min[a4; max(u2k24; vnkM; V31k34)].
Предположим, что v41 = v11k14. Тогда s41 = s11. Далее определяем
V42 = min[a4; max(u2k24; V12k14; V31k34)].
Предположим, что v42 = u2k24 v41. Тогда, если r24 s11, то помечаем вершину 4 вторым индексом v42, s42 = r24. Действуем таким образом, пока не проверим все допустимые комбинации индексов вершин 1, 2, 3.
Пример 7. Рассмотрим сеть ВО из примера 6. Затраты на снижение риска до приемлемого уровня для операций с повышенным риском указаны в круглых скобках у соответствующих дуг (см. рис. 16).

0 шаг. uo = 4.
1 шаг. u1 = min (10, 4-2) = 8;
2 шаг. u2 = min (10, 8-12) = 10;
v21 = min (10, 4-3) = 10.
Так как v21 = u2, то индекс v21 не присваиваем.
3 шаг. u3 = 0;
v3 = min (18, max (4-6; 10-3)) = 18, s3i = 2.
В данном случае s31 = 2, так как обе 3-части (0,1,2,3) и (0,3) обеспечивают количество ресурса больше 18. Поэтому выбираем 3-часть с меньшими затратами на снижение риска.
4 шаг. u4 = min (24, 10-1,5) = 15;
v41 = min (24, max (8-4, 18-1)) = 24.
В данном случае s41 = r14 = 3, так как 4-часть (0, 1, 2, 3, 4) не обеспечивает количество ресурса 24, хотя и имеет меньшие затраты на снижение риска. v42 = min (24, 18-1) = 18, s42 = 2.
5 шаг. Окончательно имеем:
u5 = max (8-5-8, 15-2-2, 18-2-2) = 34.
Этот максимум обеспечивает обменная схема (0, 1, 2, 3, 5).
Этот алгоритм можно обобщить и на случай m 1. Однако система множественной индексации становится при этом излишне громоздкой.
Рассмотрим метод ветвей и границ для решения задачи управления риском. Обозначим через Q множество операций с повышенным риском и определим s = min rij. Примем, что затраты на снижение риска равны s для
(i,jQ J
всех операций множества Q и решим задачу выбора оптимальной по критерию дохода обменной схемы для этого случая. При одинаковых затратах на снижение риска задача решается методом множественной индексации, описанным в параграфе 6 (при небольшой его модификации, учитывающей затраты s при индексации конечной вершины n). Очевидно, что полученное решение дает оценку сверху для исходной задачи. Определяем в полученной обменной схеме операцию с повышенным риском и максимальными затратами на его снижение и рассматриваем два подмножества обменных схем.
В первом подмножестве эта операция присутствует в сети ВО, а во втором - нет. Сравнивая оценки сверху для обоих подмножеств, выбираем подмножество с большей оценкой и т.д., согласно схеме ветвей и границ. Дадим иллюстрацию метода ветвей и границ на сети ВО из примера 7.
Пример 8. Определяем s = min г;і= 2.
(iJQ i
1 шаг. Решаем задачу алгоритмом двойной индексации, рис.
17.

Поясним получение индекса u5 = 38. В алгоритме двойной индексации этот индекс был равен 40.
Вычитая затраты s = 2 на снижение риска операции (1,5), получаем 38. Фактические затраты на снижение риска операции (1,5) равны 8. Поэтому фактический доход равен 32.
2 шаг. Рассматриваем сеть ВО без операции (1,5) (рис.
18).

Поясним получение индекса u5 = 34. Это индекс определяется выражением
u5 = max (u4k45 - s; v3k35-s) = 36 - 2 = 34.
Оптимальная схема (0,1,2,3,5) включает операцию (2,3) повышенного риска с затратами г23 = 2 на снижение риска до приемлемого. Так как г23 = s/го полученное решение является оптимальным на множестве всех схем.
Спекулятивные обменные схемы
Спекулятивными обменными схемами называются схемы, в которых оператор выступает чистым посредником и организатором всей цепочки обменов и, в отличие от продуктовой обменной схемы, сам не имеет ресурса, участвующего в обмене. В принципе, спекулятивная обменная схема может превратиться в продуктовую, если в качестве оператора выступит один из агентов схемы, владеющий ресурсом.
Это и определяет повышенный риск спекулятивных обменных схем. Действительно, как только информация о схеме станет известна участникам (или хотя бы одному участнику), посредник (фирма-оператор) может выпасть из цепочки, и его место займет участник, реально участвующий в обмене. Такой риск превращения спекулятивной обменной схемы в продуктовую особенно велик в случае, если спекулятивная схема используется регулярно.
Наибольшие шансы занять место оператора, безусловно, имеет участник, получающий ресурс от оператора. Этого участника будем называть псевдо-оператором.
Если в задаче определения продуктовой обменной схемы требуется найти контур обмена, включающий оператора, то в задаче определения спекулятивной обменной схемы требуется найти контур обмена, не включающий оператора, а затем определить место разрыва этого контура, куда и включается посредник (фирма-оператор).
Рассмотрим сначала вторую задачу. Пусть определен контур (1,2, ... ,n,1), соответствующий замкнутому продуктовому циклу обмена с усилением контура K(m) 1. Подключение посредника-оператора к этому контуру означает разрыв контура в некоторой дуге (i, i+1) (если i = n, то n+1 = 1 по определению) и включение посредника в этот разрыв. Если обозначить оператора номером 0, то спекулятивную схему обмена можно представить в виде пути (0,i+1, ... ,n,1, ... ,i,0').
Обменный коэффициент k0,i+1 = ky+ь а обменный коэффициент kij0' = 1. Пусть допустимый поток по пути m равен x0ji+i = x(m). Тогда оператор отдает участнику (i+1) ресурс в количестве x(m), получая этот ресурс от псевдо-оператора i в количестве K(m)x(m). Доход оператора составит
До = Ci x(m)[K(m) - 1], (8.1)
где ci - доход оператора на единицу i-го ресурса. Поскольку x(m) зависит от места разрыва, то возникает задача определения места разрыва, для которого доход оператора максимален.
Обозначим Qij - усиление пути из вершины i в вершину j (Qy = K(m) по определению). Если место включения оператора в обменную схему определяется дугой, исходящей из вершины i, то максимальный поток, соответствующий количеству ресурса i-го элемента, получаемого следующим по контуру элементом через посредника-оператора, будет определяться выражением
aj
x; = min. (8.2)
j Qu
Доход оператора от организации спекулятивной обменной схемы m составит, согласно (8.1)
Д(т) = cxi(K(m) - 1).
Таким образом, оптимальное место включения оператора в схему определяется псевдо-оператором i, для которого cixi максимальна. Определить такой элемент проще всего путем перебора всех вершин контура
m.
Пример 9. Рассмотрим контур m = (1,2,3,4,5,1) из пяти вершин, данные об усилениях дуг kj ограничениях на ресурс ai и удельных доходах ci которого приведены в таблице 2. В таблице указано усиление дуги, заходящей в соответствующую вершину. Определим усиление путей Qij:
Q12 = k12 = 1; Q13 = k12'k23 = 3; Q14 = k12'k23'k34 = 6;
Q15 = k12'k23'k34'k45 = 3; Q11 = K(m) = .
Таблица 2.
| вершины |
1 |
2 |
3 |
4 |
5 |
| |
4 |
1 |
3 |
2 |
0,5 |
| Hi |
12 |
10 |
20 |
16 |
6 |
| Ci |
2 |
2 |
1,5 |
1 |
3 |
Остальные Qij определяются аналогично. Значения Qij приведены в таблице 3.
Таблица 3.
\j
i |
1 |
2 |
3 |
4 |
5 |
| 1 |
12 |
1 |
3 |
6 |
3 |
| 2 |
12 |
12 |
3 |
6 |
3 |
| 3 |
4 |
4 |
12 |
2 |
1 |
| 4 |
2 |
2 |
6 |
12 |
0,5 |
| 5 |
4 |
4 |
12 |
24 |
12 |
Согласно выражению (8.2) вычисляем:
_ ¦ /12/ . 10/ .20/ . 16/ ,6/\ -і .
x1 - min ( / 12; Л, / 3; /б, /3) - 1;
„ _ /12/ .10/ . 20/.16/.6/Ч 5/.
x2 - тіП ( /12, /12; /3; /6, /3) - /6,
12 10 20 16 6 2 x3 - min ( /4; /4; /12; /2; /1) - 1 /3;
12 10 20 16 6 1 x4 - min ( /2; /2; /6; /12; /0,5) - 1 /3;
псевдо-оператора 3 в количестве х3 = 5/3. В результате цепочки обмена (0, 4, 5, 1, 2, 3, 0) оператор получает от псевдо-оператора 3 ресурс в количестве 5/3 - 12 = 20.
Отдавая 5/3 единиц элементу 4, оператор имеет доход (20 - 5/3) -3/2 = 27,5.
Рассмотрим теперь первую задачу, то есть задачу выбора оптимального контура обмена. Ее решение сводится к перебору возможных псевдооператоров, для каждого из которых решается задача определения обменной схемы по критерию прибыли.
Рассмотрим метод решения на примере.
Пример 10. Рассмотрим сеть ВО, приведенную на рис.
19.

Выберем в качестве псевдо-оператора участника 1 и решим для него задачу определения обменной схемы, оптимальной по критерию прибыли. Эквивалентная сеть без контуров для случая псевдо-оператора 1 приведена на рис.
20.

Путь с максимальным усилением m = (1,2,3,4,5,1), К = 6, поток по
нему
Хі = min (5/6; 7/і; 6/2; 8/з; 10/з) = 5/6В данном случае, в отличие от продуктовой схемы, следует учитывать ограничения на количество ресурса, которое может отдать псевдо-оператор, поскольку он отдает ресурс K1x1 реальному оператору.
Прибыль псевдо-оператора (точнее псевдо-прибыль, поскольку реально псевдо-оператор оставляет себе ресурс, полученный от участника 5, но его это устраивает, поскольку условия обмена выполнены)
П = Х1(К1 - 1) = 5/6-5 = 4‘/6.
Удаляя насыщенную вершину 4, получаем всего один путь m2 = (1,2, 5,1) с усилением К2 = 3, потоком х2 = 5/3 и прибылью 5/3-2 = 31/3.
Таким образом, оптимальный путь это путь m1. Определим для этого пути оптимальное место включения оператора. Величины коэффициентов Qij приведены в таблице 4.
Таблица 4.
\j
i |
1 |
2 |
3 |
4 |
5 |
| 1 |
6 |
1 |
2 |
3 |
3 |
| 2 |
6 |
6 |
2 |
3 |
3 |
| 3 |
3 |
3 |
6 |
1,5 |
1,5 |
| 4 |
2 |
2 |
4 |
6 |
1 |
| 5 |
2 |
2 |
4 |
6 |
6 |
Имеем:
Х1 = min (5/6
7/ - 6/ - 8/ - 10/) = 5/ - /1; '2; /3; /3) /6;
х2 = ШІП (5/6; 7/6; 6/2; 8/3; 10/з) " 5/6;
хз = min (5/з; 7/3; 6/6; 8/і,5; 10/і.5) = 1;
х = min (5/2; 7/2; 6/„; 8/б; 10/і) = 11/2; х5 = min (5/2; 7/2; %; 8/б; 10/б) = 1‘А
Примем с1 = 1, с2 = 1,5, с3 = 2, с4 = 3, с5 = 4. В этом случае maxcixi = c5x5 = 6.
i
Оптимальным для оператора является выбор в качестве псевдо-оператора участника 5. Его доход при этом составит Д0 = 6(6-1) = 30. Поскольку мы определили еще один контур m2 = (1,2, 5,1), то имеет смысл найти оптимальное место включения оператора и для этого контура. Величины Qij для него приведены в таблице 5.
Таблица 5.
\ j
i |
1 |
2 |
5 |
| 1 |
3 |
1 |
1,5 |
| 2 |
3 |
3 |
1,5 |
| 5 |
2 |
2 |
3 |
Имеем:
х1 = min (5/з; 7/і; 10/2) = 5/з; х2 = min (5/3; 7/3; 10/1,5) = 5/3; х5 = min (5/2; 7/2; 10/3) = 5/2.
Доход оператора Д0 = с5х5 (3-1) = 20.
Очевидно, что выбор в качестве псевдо-оператора участника 5 и обменной схемы (5,1,2,3,4,5) обеспечивает оператору больший доход, чем при обменной схеме (5,1,2,5). Осталось проверить последний контур m = (2,3,4).
Сразу определим оптимальное место включения оператора. Не повторяя вычислений, приведем значения xi:
х2 = 7/9; х3 = 2/3; х4 = 8/9;
шахе;х; = c4x4 = %.
i
Доход оператора До = 8/з (9-1) = 211/з.
Таким образом, оптимальной является спекулятивная обменная схема
то = (0,1,2,3,4,5,0'),
в которой оператор отдает участнику 1 ресурс псевдо-оператора в количестве 1,5, получая от псевдо-оператора этот ресурс в количестве9 единиц. Доход оператора составляет 4(9-1,5) = 30.
Методы учета и управления риском в спекулятивных обменных схемах аналогичны методам, рассмотренным при анализе продуктовых схем. Поэтому мы не будем их здесь рассматривать.
Теоретико-игровой анализ обменных схем
В этом параграфе мы рассмотрим проблемы, связанные с активным поведением участников обменной схемы. В первую очередь, активность участников проявляется в стремлении занизить величину обменного коэффициента при заключении договора об участии в обменной схеме, то есть в стремлении получить требуемый ресурс в обмен за меньшее количество своего ресурса.
Нас будут интересовать механизмы взаимоотношений оператора с потенциальными участниками обменной схемы, которые побуждают их к сообщению достоверной (истинной) оценки обменного коэффициента или, по крайней мере, уменьшают тенденцию завышения оценок. Рассмотрим сначала, с одной стороны, самый простой случай взаимодействия оператора с одним участником обменной схемы, а с другой - самый сложный, поскольку это случай монопольного (единственного) агента, который может диктовать свои условия. Вспомним, что обменные коэффициенты отражают относительную ценность получаемого и отдаваемого ресурсов и представим интересы оператора и агента в виде линейных целевых функций:
(9.1)
(9.2)
jo = Х2 - СХі, Фі = kxi- Х2,
где x1 - количество ресурса, отдаваемое оператором, х2 - количество ресурса, отдаваемое агентом, с - ценность для оператора ресурса агента относительно своего ресурса, k - ценность для агента своего ресурса относительно ресурса оператора.
Примем, что оператору известна величина с, а относительно k он знает только область [a,b] возможных значений. Представим механизм взаимодействия (переговоров) оператора с агентом следующим образом. Агент сообщает оператору оценку se [a,b] коэффициента k. Оператор определяет количество ресурса x1(s), которое он отдает агенту и количество
ресурса x2(s), которое он получает от агента. Зависимости [xi(s), x2(s)] назовем механизмом обмена. Механизм обмена выбирается оператором и сообщается им агенту до начала переговоров. Основное требование к механизму обмена состоит в том, что он должен обеспечивать агенту неотрицательный доход (точнее маргинальную прибыль), в противном случае агент откажется участвовать в обменной схеме.
Примем далее, что ресурс оператора ограничен величиной R, а ресурс агента неограничен.
Задача заключается в том, чтобы определить механизм обмена, который гарантированно обеспечивает оператору максимальный относительный доход. Будем предполагать, что а с. В противном случае, при х = а, складывая ф0 и фь получаем
Фо + Фі = (а - c)xi 0.
Учитывая, что должно быть ф0 0, ф1 0, получаем противоречие, то есть обмен не состоится.
Чтобы определить относительный доход оператора заметим, что максимальный доход оператора при обменном коэффициенте k равен (k - c)R. Действительно, из условия kx1 - x2 0 получаем, что kx1 x2. Поэтому
x2 - сx1 (k - c)x1
и достигает максимума при x1 = R. Гарантированный относительный доход определяется выражением
x2 - cxt (k - c)x1
Q = min
k
(9.3)
Одна из центральных теорем теории активных систем гласит, что в системе центр - активный элемент (центр это оператор, определяющий механизм обмена, а активный элемент это агент, сообщающий оценку обменного коэффициента) всегда существует оптимальный механизм обмена, который является механизмом честной игры [2]. Механизмы честной игры являются неманипулируемыми механизмами, то есть создают 56 заинтересованность у агентов в сообщении достоверной (истинной) оценки обменного коэффициента k. Для того, чтобы определить механизм честной игры, нужно задать в области возможных значений x = (xb x2) некоторое множество X. Это множество оператор сообщает агенту и гарантирует ему, что обмен (xi, x2) будет обеспечивать максимум целевой функции агента на множестве X. Понятно, что поскольку изменить множество X агент не может, то для максимизации своего дохода ему достаточно сообщить истинное значение обменного коэффициента k. Таким образом, задача определения оптимального механизма обмена свелась к определению оптимального множества X. Решим эту задачу, предполагая, что оценки s обменного коэффициента k могут принимать целочисленные значения от a до b. Обозначим ao = a, ai = a + i, i = 1,m, am = b. Идею построения оптимального множества X поясняет рис. 21. Заметим, что максимум целевой функции агента j1 = aix1 - x2 - в т. xi, поскольку угловой коэффициент отрезка прямой [xi-1, xi] равен ai (рис.
21).

Эффективность обмена Хі = (zi, yi) определяется выражением
Уі - czi
а гарантированная эффективность
(a - c )r’
(9.4)
m = min m ¦.
0im i
(9.5)
Задача свелась к определению точек излома zi5 i = 1,m -1. Нетрудно показать, что максимум гарантированной эффективности достигается в случае, если все mi будут равны между собой. Из этого факта получаем последовательно:
a0z0 = a1z0 -
z0 =
a0z0 cz0 = Z0 = 1
(a0 - c )R R R
Далее по аналогии
a1Z1 - І1= a2Z2 - І2, z1 = 1 -
a1Z1 I1 CZ1 Z1 I1
(a1 - c )R R (a1 - c)R
В общем случае i m-1
Zi = ^i+1 - ^i,
(9.6)
R (ai - c )R
Для i = m имеем
..= amR -1 m - cR = 1 -/ \ 1
(9.7)
(am - c)R (am - c)R'
Из полученной системы уравнений определяем 1i как функцию m. Обозначим pi = 1 + 1. Последовательно получаем
ai - c
ii = mR,
(9.8)
li = mR[1 + Pi-1 + Pi-1 Pi-2 + ¦¦¦ + pi-1 pi-2- pi], i = 2,m-1.
Из последнего уравнения (9.7) имеем
= (1 -m)R
Pm - 1
Окончательно определяем
m
(9.9)
1 + (Pm - 1)(1 + Pm-1 + Pm-1Pm-2 +¦¦¦ + Pm-1Pm-2 ¦¦¦ P1 ) ’ Пример 11. Пусть m = 1, ао = 4, а1 = 5, с = 3, R = 30. Имеем P1 = 3/2,
1 = 2_
Pm = 3 ;
11 = Rm = 20; z0 = 11 = 20.
Итак, при сообщении оценки a0 = 4 агент получает 20 единиц ресурса от оператора, отдавая взамен 80 единиц своего ресурса. Сообщая a1 = 5, агент получает 30 единиц ресурса от оператора, отдавая взамен 150 - 20 = 130 единиц своего ресурса. Покажем, что манипулируя информацией, агент ничего не выигрывает.
Действительно, если истинный коэффициент обмена равен a1 = 5, а агент занижает оценку и сообщает s = 4, то он получает 20 единиц ресурса в обмен на 80 единиц своего ресурса. Его доход составит
Д1 = 5-20 - 80 = 20,
то есть ровно столько же, сколько он получает, сообщая истинную оценку. Заметим, что применяя простой механизм обмена, ориентированный на минимальное значение обменного коэффициента k = a0 = 4, оператор гарантированно получает доход 4^30 - 3^30 = 30 единиц, независимо от истинного значения обменного коэффициента.
В полученном оптимальном механизме обмена оператор получает меньший доход - 20 единиц, если коэффициент обмена равен а0 = 4 и больший доход - 60 единиц, если a1 = 5. Средний доход для оптимального механизма больше.
Пример 12. Пусть m = 2, ао = 4, а1 = 5, а2 = 6, с = 3, R = 30. Имеем p1 =
3/2, р2 = 4/3,
1 6
1 + )э(і + К) 11
zo = І1 = mR = 6'30/
16,4;
11
І2 = mR(1 + р1) =' зо = 41,
11'2
11
z1 = 12 - 11 =24,6.
В данном случае при минимальной оценке а0 = 4 оператор предлагает к обмену 16,4 единиц ресурса, при средней оценке а1 = 5 - предлагает 24,6 единиц ресурса, а при максимальной - 30 единиц. Гарантированная относительная эффективность по сравнению с предыдущим примером уменьшилась (6/11 2/3), что естественно, поскольку увеличилась
неопределенность информации у оператора. Однако, средний доход составляет около 52 единиц, что существенно выше гарантированного дохода, равного 30 единицам.
Перейдем к исследованию случая нескольких участников обменной схемы. Отметим сразу, что задача поиска оптимального механизма обмена в случае многих участников в настоящее время не решена. Неизвестно даже, существует ли оптимальный механизм честной игры.
Если искать оптимальный механизм на множестве механизмов честной игры, то эту задачу можно свести к задаче линейного программирования большой размерности. Так, даже в случае двух участников, каждый из которых может иметь два значения обменного коэффициента, мы получаем задачу линейного программирования с двадцатью переменными.
К тому же трудно объяснить содержательно оператору (ЛПР), что полученное оптимальное решение действительно является лучшим способом действия и убедить его действовать таким образом. Поэтому задача поиска простых и понятных механизмов обмена, обеспечивающих достаточную эффективность обменной схемы, требует дальнейших исследований.
В заключение рассмотрим кратко механизм выбора обменных схем, когда их несколько. По-прежнему считаем, что количество ресурсов у всех участников, кроме оператора, не ограничено.
Итак, пусть имеются m агентов, каждому из которых нужен ресурс оператора. Таким образом, мы имеем m возможных обменных схем, каждая из которых включает оператора и одного из участников. Обозначим ki -обменный коэффициент i-го агента, ci - доход оператора от единицы ресурса i-го агента. Тогда прибыль оператора на единицу стоимости ресурса, отдаваемого i-му агенту, составит (ciki - 1) = pi.
Пусть p1 p2 - - - pm.
Первое, что приходит в голову в данном случае, это организовать конкурс между агентами на участие в обменной схеме. Естественно, что побеждает агент, предложивший обменный коэффициент si, такой что величина (cisi - 1) максимальна. Из теории конкурсных механизмов известно, что в данном случае побеждает первый агент, сообщая оценку s1, такую что p1 = (c1s1 - 1) близка (немного больше) к p2 = (c2k2 - 1) [2].
Очевидно, что если pi p2, то эффективность такого механизма будет невелика.
Биржевой анализ: Фундаментальный анализ - Инструменты - Методы