Аскар Акаев - Переходная экономика глазами физика
В этой книге предложена математическая модель процессов преобразований в переходной экономике - распада централизованной планово командной экономики, зарождения новой популяции индивидуальных частных предпринимателей, фермерских и крестьянских хозяйств, малых предприятий. Разработанный математический аппарат может служить для краткосрочного и среднесрочного прогноза. Результаты многолетних исследований автора в этом направлении применительно к экономическим реформам в Кыргызстане и составили основное содержание этой книги.
Предисловие
В настоящей книге описываются первые итоги перехода к рынку в Кыргызстане, плоды приватизации и экономической свободы, достигнутые спустя всего несколько лет после начала радикальных экономических реформ в 1993 году, но уже достаточные для того, чтобы сделать выводы, сопоставить с первоначальным замыслом и наметить пути дальнейшего развития.
С начала реформ в постсоциалистических странах прошло ровно десять лет, если за точку отсчета переходного периода взять 1989 год, когда в Польше была принята радикальная программа реформ, началом реализации которой стал январь 1990 года.
Учитывая опыт реформ в странах Восточной Европы, мы в Кыргызстане с самого начала ставили перед собой четкую цель -осуществить переход от плана к рынку, а не модернизировать социалистическую экономику. Наша цель состояла в преобразовании государственных предприятий в частные и акционерные путем широкомасштабной приватизации. Возникновение элементов гражданского общества и частной инициативы, основанной на интересах отдельных граждан, было главной целью начального этапа перехода от централизованной плановой экономики к свободной рыночной экономике. Поэтому, прежде всего, были приняты законы, которые способствовали свободе слова и печати, становлению политических партий и общественных движений, защиты прав человека, развитию частной инициативы и частного предпринимательства, а также свободным выборам.
Мы считали, что программа реформ должна проводиться исключительно демократическими методами при поддержке всего населения, путем широкого обсуждения в парламенте, в общенародных дискуссиях и объединения людей вокруг согласованной программы реформ. Это сыграло важную роль особенно в деле выработки и реализации земельной реформы, а также проведении массовой приватизации.
Мы также с самого начала считали, что государство должно проявить максимальную активность в формировании рыночной среды, создании институтов рыночной экономики, благоприятных социально-экономических условий для бурного развития частного предпринимательства, учитывая традиционную
неприспособленность коренного населения страны к рынку, отсутствие правовой среды.
Все это было первоначальным замыслом. Как он воплотился в жизни? Обо всем этом, но по порядку.
В 1989 году, когда в бывших социалистических странах Восточной Европы начались радикальные реформы, в моей жизни произошло важное событие - я был избран народным депутатом СССР на первых в стране альтернативных выборах. В то время я работал президентом Академии наук Кыргызской ССР и сам активно занимался научными исследованиями в области оптических методов записи, хранения и обработки информации с использованием лазеров. Уже на первом съезде народных депутатов СССР я был избран членом Верховного Совета СССР и стал работать в Москве в Комитете по экономическим реформам Верховного Совета. Среди членов Комитета были такие известные экономисты, как академик О.Богомолов и член-корреспондент академии П.Бунич, которые оказали на меня большое влияние. Поскольку как на заседаниях Комитета, так и Верховного Совета основные дискуссии велись по проблемам, связанным с преодолениями кризиса в экономике, ее реформированием и переводом на рыночные рельсы, то передо мной стала задача изучения основ рыночной экономики. Именно в 1989-1990 гг. я прочитал замечательные труды великих экономистов Й. Шумпетера [1], Ф.Хайека [2,3], Дж.Кейнса [4], Л.Эрхарда [5,6], М.Фридмена [7] и утвердился во мнении, что выход из тупика, в который попала социалистическая экономика, один-единственный - путь радикальных реформ по либерализации экономики на основе рыночных механизмов. Вскоре мне представилась совершенно неожиданная возможность претворения реформ в практической жизни - в конце 1990 г. я был избран первым Президентом Кыргызстана. Судьба мне даровала уникальный шанс провести эксперимент по переходу на рыночную экономику в Кыргызстане. Но об этом позже. Вернусь к изучению экономической науки.
Наибольшее впечатление на меня оказали, безусловно, труды Й.Шумпетера. Можно сказать, что я стал «шумпетерианцом». Через все замечательные работы Й.Шумпетера красной строкой проходит утверждение о том, что в современных условиях главной движущей силой развития экономики является свободное предпринимательство. Он, можно сказать, воспел предпринимательство, возвел его в ранг определяющих факторов производства наряду с трудом и капиталом.
Труды Ф.Хайека, написанные в острополемическом, увлекательном духе, убедили меня в том, что социалистический путь развития государственной экономики обречен на полный провал. Он весьма аргументированно и убедительно доказал превосходство рыночной системы ведения хозяйства над централизованной командно-плановой экономикой. Особенно важными в учении Ф.Хайека для меня были его выводы о решающей роли экономической свободы, свободы ценообразования, свободы вообще. Ф.Хайек утверждает и доказывает, что всякий отказ от экономической свободы, от рыночного ценообразования неумолимо ведет к диктатуре и к экономическому рабству. Поэтому он настойчиво призывал политиков к предоставлению максимально возможной свободы действий производителям, предпринимателям, торговцам и минимизировать государственное воздействие на экономику.
Изучая труды Дж. Кейнса я с удивлением обнаружил, что кейнсианские модели очень хорошо описывают экономику распада -распада централизованной планово-командной экономики, хотя основная идея Кейнса заключается в том, что активная финансовая политика государства, стимулирующая совокупный спрос в экономике, способна резко уменьшить безработицу и способствовать быстрому экономическому подъему в кризисные периоды. Пользуясь кейнсианской моделью мультипликатора в форме Филлипса, я смог получить уравнение распада централизованной планово-командной экономики. Я много размышлял над тем как этот неизбежный распад социалистической экономики трансформировать в «созидательное разрушение» по Шумпетеру.
Читая работы М.Фридмена - отца современной теории монетаризма, я впервые разобрался в подлинной роли денег, о влиянии денежной массы на цены и инфляцию, а также в целом на ход экономических процессов. Позже я стал твердым сторонником позиции М.Фридмена, согласно которой в долговременные периоды крупные изменения экономической жизни связаны, прежде всего, с денежной массой, динамикой ее роста. Главный рецепт монетаристов сводится к управлению экономикой, прежде всего, за счет контроля над денежной массой со стороны государства, ограничения эмиссии денег и сбалансирования государственного бюджета. Однако монетаристы также считают, что государство должно как можно меньше и осторожнее вмешиваться в рыночные отношения.
Когда я читаю споры о том, какое из этих учений лучше подходит на переходном этапе, мне они кажутся беспредметными, особенно когда противопоставляют монетаризм и кейнсианство, монетаризм и институционализм. В любой экономической политике переходного периода все эти учения в той или иной мере используются как обязательные компоненты. Все дело в акцентах, приоритетах и последовательности. Для меня, например, их приоритетность выглядела с самого начала в следующей последовательности: неолиберализм Хайека и Шумпетера,
институционализм, монетаризм Фридмена, кейнсианство. Конечно данная последовательность выстроена применительно к переходной экономике.
С особенным вниманием я изучал теорию и практику «социального рыночного хозяйства» по работам Л. Эрхарда - одного из разработчиков теории, а также успешно претворившего ее на практике в качестве министра экономики Германии в послевоенные годы. Л. Эрхард блестяще продемонстрировал плодотворность идей неолиберализма применительно к экономическим системам, переходящим на рыночные рельсы. Убежден, что именно концепция «социального рыночного хозяйства», разработанная немецкими неолибералами, наиболее подходит для преобразования социалистической экономики в рыночную. Не скрою, что именно эта концепция легла в основу радикальных рыночных реформ в экономике Кыргызстана, которые проводились в 1992-1999 годах.
Добавлю, что в 1989-1991 годах у меня были частые встречи и беседы с двумя выдающимися российскими учеными, академиками А.Яковлевым и С.Шаталиным. Они сыграли огромную роль в моем становлении, как либерального демократа.
Позже, став Президентом Кыргызской Республики, я имел уникальную возможность весьма плодотворных встреч и бесед с такими выдающимися авторитетами в области экономики и финансов, как директор-распорядитель МВФ г-н Мишель Камдессю, его заместитель проф.Стенли Фишер, Президент Всемирного Банка г-н Джеймс Вульфенсон, Президент Всемирного Экономического Форума проф.Клаус Шваб, Президент Азиатского Банка г-н Т.Чино, Президент ЕБРР, доктор Х.Келер. В разное время моими советниками работали видные международные эксперты -профессора Дж. Сакс (США), Т.Канэда (Япония), А.Ослунд (Швеция), М.Домбровский (Польша) и доктор Д.Кейзер из Швейцарии. Они окончательно сформировали мои позиции в вопросах экономических преобразований. Выдающийся вклад в разработку и создание законодательной основы рыночной экономики в Кыргызстане внес мой советник профессор Л.Левитин, ныне проживающий в Германии.
В процессе практической реализации реформ мы широко использовали бесценный опыт, накопленный за десятилетие в КНР [8], а также свежий опыт реформ в странах Восточной Европы, в особенности опыт стран Вышеградской группы - Польши, Чехословакии и Венгрии, которые опережали наши на 3-4 года [9,10].
В итоге изучения современной экономической теории в 1989-1991 годах я сформулировал для себя семь постулатов, которых я неукоснительно придерживался в разработке и проведении экономической политики преобразований.
Во-первых, всемерное развитие частного
предпринимательства, как в городах, так и на селе.
Во-вторых, деколлективизация сельского хозяйства и переход к фермерским и крестьянским хозяйствам.
В-третьих, предоставление максимальной экономической свободы предприятиям, наряду с децентрализацией принятия решений.
В-четвертых, широкая приватизация предприятий с целью радикального изменения отношений собственности, расширения частного сектора в экономике и стимулирования конкуренции.
В-пятых, создание крепкой денежной единицы и стабильно функционирующей банковской системы.
В-шестых, создание и активное совершенствование законодательной базы нарождающейся рыночной экономики и ее институциональное обеспечение.
В-седьмых, всемерное ограничение вмешательства государства в процессы принятия экономических решений хозяйствующими субъектами.
Восьмым особым постулатом для меня был выбор социального курса - курса на строительство социального государства; государства, которое стремилось не только к свободному обществу, но и справедливому, делая его лучше и для тех, кто растерялся или оказался менее удачливым на переходном этапе; государства, которое расширяло борьбу с бедностью, поскольку одним из последствий перехода к рынку является увеличение числа бедных; государства, которое имеет надежную адресную систему социальной защиты для тех, кто действительно не может создать достойную жизнь без дополнительной помощи.
Начало реформ в Кыргызстане пришлось на 1991 год. Поскольку тогда мы еще находились в составе СССР, то о радикальных реформах не могло быть и речи. Все, что было возможно в той ситуации - это максимально способствовать развитию нарождающегося частного предпринимательства и начать создавать единоличные фермерские и крестьянские хозяйства на селе.
Поскольку мы имели весьма ограниченные возможности для финансирования предпринимательской деятельности, упор был сделан на то, чтобы снять многочисленные ограничения, которые не давали подняться и встать на твердые ноги предпринимателям. Мы предприняли решительные меры, чтобы расчистить существовавшие барьеры и ограничения и создали благоприятные условия, в которых и родилась первая мощная предпринимательская волна 1991-1994 годов. Эта кампания содействия предпринимательству проводилась под лозунгом «Не мешать предпринимательству» и дала хорошие результаты, так что многие предприниматели и сегодня испытывают чувства ностальгии по тем годам.
В сельском хозяйстве, весной 1991 года, мы дали старт новому фермерскому движению и свободным крестьянским хозяйствам, которым выделялись небольшие участки земли или пастбища, неиспользуемые государственными предприятиями - колхозами и совхозами, так называемые - неудобья. Тем не менее, активность была необычайная. Мы также, на свой страх и риск, расформировали несколько нерентабельных, почти обанкротившихся колхозов и совхозов и раздали землю, скот, сельскохозяйственную технику и другое материальное имущество членам колхозов и работникам совхозов, предоставив им полную свободу выбора форм организации и ведения хозяйства. Так в Кыргызстане появились первые тысячи фермерских и крестьянских хозяйств. В России говорят: «цыплят по осени считают». Осень 1991 года принесла хорошие результаты. Большинство фермерских и крестьянских хозяйств получили хороший урожай, многие начали строить новые дома, другие покупали новую технику и оборудование для строительства перерабатывающих цехов. Узнав об этом успешном опыте фермеризации сельского хозяйства в октябре 1991 г., Кыргызстан, специально для ознакомления с фермерскими хозяйствами, посетил Президент СССР М.С.Горбачев. Он остался очень доволен увиденным и затем не раз приводил Кыргызстан в качестве примера успешного начала реформ в аграрном секторе. Кыргызстан сохранил это лидерство в реформировании сельского хозяйства по СНГ и в 1998 г. на общенародном референдуме первым закрепил частную собственность на землю.
В 1992 г., вслед за правительством Е.Гайдара в России, мы в Кыргызстане также осуществили либерализацию цен. Либерализация цен и торговли дали мощный импульс для движения к рыночной экономике. Эффект свободных цен и свободной торговли трудно переоценить. Однако ценовой шок сопровождался огромными инфляционными всплесками, переходящими в гиперинфляцию. Три ценовые волны глобального масштаба прошли одна за другой по СНГ: в 1992 г. - около 30 раз; в 1993 г. - 10 раз; в 1994 г. - около 3 раз. Инфляция к концу 1992 г. составила 1259 %.
В мае 1993 г. мы первыми среди стран СНГ провели радикальную денежную реформу с введением национальной валюты - сома, что окончательно освободило путь для формирования подлинного рыночного экономического порядка в Кыргызстане.
Денежная реформа позволила снять опасный «навес» огромной рублевой денежной массы и успешно обуздать гиперинфляцию. Это был год пика инфляции для Кыргызстана - 1365,6 %. Инфляция уже через год составила 187,2 процента, а в 1995 г,- 131,9 %. Кыргызстан получил крепкую национальную валюту - сом.
Денежная реформа 1993 года была центральной частью стабилизационной программы, начатой при поддержке МВФ. Причем Кыргызстан был первой страной в мире, получившей кредит для системных преобразований в новой форме заимствования, созданной для поддержки реформ в странах бывшего социалистического лагеря.
Процесс организованной массовой приватизации начался с мая 1994 года, хотя «спонтанная приватизация» шла активно уже с 1990г. В результате массовой приватизации большинство граждан Кыргызстана стали владельцами собственности в виде акций приватизированных предприятий. Кыргызская модель массовой приватизации разрабатывалась по образцу чехословацкой, только вместо ваучеров использовались купоны. Особую роль в успехе этого процесса сыграли специализированные инвестиционные фонды (СИФ), которые аккумулировали купоны граждан для обмена их на акции, посредством участия на купонных аукционах. Программа массовой приватизации была успешно завершена в 1998г.
Главным результатом массовой приватизации явилось формирование значительного негосударственного сектора, многообразия форм собственности. Поэтому основная цель следующего этапа состоит в создании реальной конкурентной среды в экономике. Хорошие основы для этого были созданы в результате реализации проекта PESAC в 1994-1996 годах, который финансировался Всемирным банком. В рамках проекта PESAC была осуществлена показательная приватизация и структурная перестройка 27 крупных промышленных предприятий, многие из которых стали рентабельными и конкурентоспособными на рынках СНГ, а ряд были ликвидированы и на их основе появились новые средние и малые предприятия. После введения национальной валюты - сома в 1993 г. шло непрерывное совершенствование инструментов денежно-кредитной политики. Решающую роль в этом процессе сыграл проект FINS АС по реорганизации финансового и банковского секторов и развития конкуренции, реализованный в 1996-1998 годах при поддержке Всемирного Банка. В рамках данного проекта ряд бывших государственных банков были ликвидированы, а другие рекапитализированы, начали свою работу ряд новых частных банков. В результате успешного выполнения проекта FINSAC Кыргызстан сегодня имеет достаточно надежно функционирующую банковскую систему, включающую более 20 коммерческих банков. Осуществлен переход на международные стандарты бухгалтерского учета. Однако создание сильной банковской системы, способной мобилизовать все финансовые средства, включая сбережения населения и эффективно их перераспределять в целях экономического роста, задача ближайшего будущего.
В 1996 году в Кыргызстане был введен в действие самый прогрессивный в СНГ Налоговый кодекс, что явилось значительным шагом в налоговой политике. Новый Налоговый кодекс стал прочной основой для стабильной налоговой политики и эффективного налогового администрирования. В нем удалось реализовать основные принципы, нацеленные на учет открытости нового экономического порядка Кыргызстана и его рыночную ориентацию. Благодаря реформе налоговой системы, в последние годы удалось стабилизировать сбор налогов и обеспечить надежное поступление доходов в бюджет, что, несомненно, будет способствовать снижению дефицита бюджета.
Успешно идут реформы в социальной сфере Кыргызстана: реформы в системе образования и здравоохранения, реформа пенсионной системы, создание надежной и эффективной системы социальной защиты по специальным программам, поддерживаемым Азиатским Банком Развития и Всемирным Банком. Все эти программы координируются комплексной программой по Устойчивому Человеческому Развитию, принятой под эгидой и при содействии ПРООН.
Суммируя можно утверждать, что в Кыргызстане сегодня успешно завершен первый этап социально-экономических преобразований. В результате созданы основы рыночной экономики, надежные предпосылки для устойчивого экономического роста и человеческого развития в начале XXI века. Конечно, впереди предстоит огромная кропотливая и созидательная работа по «тонкой настройке» уже активно функционирующих рыночных механизмов в экономике, чтобы укрепить и усилить элементы самоорганизации.
В успешной реализации первого этапа радикальных реформ в Кыргызской Республике в 1993-1999 годах решающую роль сыграла щедрая техническая и финансовая помощь международных финансовых организаций - МВФ, Всемирного Банка, Азиатского Банка Развития, ЕБРР, КЕС, Исламского Банка Развития, а также стран доноров - США, Японии, Германии, Швейцарии, Дании и других. Важно отметить, что финансовая помощь реформам в Кыргызстане представлялась исключительно на льготных условиях и долгосрочной основе.
Читатель, взявший в руки эту книгу, вполне естественно задаст себе вопрос: «А что еще нового можно сказать об экономике переходного периода?». Действительно, о реформах в постсоциалистических странах написано так много книг и статей, что вряд ли можно что-то новое добавить. В указанных трудах достаточно полно исследованы и описаны формы и методы проведения реформ, их темпы и последовательность. Кроме того, в многочисленных программах разработанных международными финансовыми организациями - МВФ, ВМБ, АБР, ЕБРР, КЕС весьма детально представлены технологии реформ с распределенными по времени критериями оценки промежуточных и окончательных результатов. Мы в Кыргызстане, также как и в других странах использовали их с большим или меньшим успехом.
Меня же, как физика, всегда интересовали закономерности протекания самих экономических процессов, математические уравнения и формулы, описывающие эти закономерности. Это и процесс распада централизованной планово-командной экономики, это и процессы зарождения новой популяции индивидуальных частных предпринимателей, фермерских и крестьянских хозяйств, малых предприятий, а также другие характерные явления переходной экономики. Результаты многолетних исследований автора в этом направлении и составили основное содержание данной книги. Она представляет, насколько мне известно, первую попытку создания математических основ анализа процессов преобразований в переходной экономике. Конечно, разработанный математический аппарат может служить для краткосрочного (или среднесрочного) прогноза, что и был выполнен для Кыргызстана на период с 2000 по 2005 годы.
Литература к предисловию:
1. Шумпетер И. Теория экономического развития. - М.: Прогресс, 1982 - 454 с.
2. Хайек Ф.А. Дорога к рабству. -М.: Экономика, 1992 - 176 с.
3. Хайек Ф.А. Пагубная самонадеянность. Ошибки социализма. Пер.с англ. - М.: Изд-во «Новости», 1992 - 304 с.
4. Кейнс Дж.М. Общая теория занятости, процента и денег. Антология экономической классики. - М.: «ЭконоВ», «Ключ», 1993 - 486 с.
5. Эрхард Л. Благосостояние для всех. Пер. с нем. - М.: 1991.
6. Эрхард Л. Полвека размышлений. Речи и статьи. Пер. с нем. - М.: Руссико: Ордынка, 1993 г. - 608 с.
7. Фридмен М. Количественная теория денег. Пер. с англ. - М.: «Эльф пресс», 1996 - 131 с.
8. КНР: на путях реформ (теория и практика). - М.: Наука, 1989 -343 с.
9. Шаванс Б. Экономические реформы в Восточной Европе (50-90 годы). Пер.с франц. -М.: «Текст-мастер», 1994 - 130 с.
Ю.Крегель Я., Мацнер Э., Грабер Г. Рыночный шок. Пер.с англ. -Вена, Австрийская Академия наук, 1992 - 170 с.
Глава первая. Макроэкономика распада плановой экономики
Системы сегодняшнего кризиса позволяют провести аналогию с состоянием экономики в 1930 г. с почти единственным отличием: великая постсоциалистическая депрессия 90-х годов сопровождается инфляцией.
Бернар Шаванс
Распад СССР в 1991 году и открытие экономик новых независимых государств (ННГ) - бывших союзных республик, привели к развалу сложившейся межхозяйственной кооперации, потере конкурентоспособности большинства экспортируемых ранее товаров и соответственно падению их производства.
Экономический кризис 90-х годов в России и ННГ явился логичным продолжением экономической политики советского государства в предшествовавших десятилетиях. Кризис назревал с закономерной неизбежностью. В основе кризиса лежало сокращение экономического потенциала СССР, происходившее вследствие постоянного снижения эффективности использования капитала. В конце 80-х годов эффективность использования капитала в СССР в 2-3 раза была ниже чем в США и странах Западной Европы, т.е. в СССР по существу была затратная экономика. В результате, постепенно капитал перестал обеспечивать сначала расширенное производство, а затем и простое, в итоге началась деградация системы в целом. Глубокий экономический кризис переживаемый странами СНГ - это следствие великой постсоциалистической депрессии.
Что было характерно для планово-командной экономики?
При централизованном планировании потоков сырья, полуфабрикатов, комплектующих деталей и готовой продукции достигалась цель максимизации роста производства. Достижение максимального роста производства было основано на полном государственном владении собственностью. Система централизованного планирования жертвовала эффективностью при размещении имеющихся ресурсов в пользу быстрого экономического роста.
В основании системы централизованного планирования лежало весьма значительное искажение ценовой структуры. Цены в этой системе выполняли только учетную роль и не использовались для принятия решений.
Плановая экономика - это также экономика, специально созданная, чтобы функционировать без денег в их истинном понимании; они также играли в сфере материального производства лишь учетную роль. Поэтому плановая экономика не реагирует на макроэкономическое денежное ужесточение так, как это происходит в рыночной экономике.
Система централизованного планирования оказалась неспособной к внедрению инноваций в экономике и, в первую очередь, научно-технических достижений в производственную сферу, а также поддержанию высокой производительности труда.
Таким образом, переход от централизованно планируемой экономики к рыночной означает качественное изменение экономической системы, поскольку он связан с разрушением системной структуры. Становление и развитие новой экономической системы, основанной на рыночных механизмах, процесс длительный, в то время как распад старой системы может произойти за относительно короткий срок, как это будет показано ниже в данной главе. В действительности, динамики развития частного сектора, значительно меняющейся от одной страны СНГ к другой, оказалось недостаточной для того, чтобы только с его помощью провести быстрый системный переход.
В переходном процессе можно выделить пять фаз:
1. Фаза распада (начальная) плановой экономики,
сопровождаемая переходом в хаотическое состояние.
2. Фаза преимущественно хаотического состояния системы.
3. Фаза упорядочения и стабилизации системы по новым
рыночным законам и правилам.
4. Фаза перехода от стабилизации к экономическому росту.
5. Фаза устойчивого развития.
Разумеется, что указанные фазы частично перекрывают друг
друга.
Состояние экономики Кыргызстана на этапе первых четырех фаз перехода хорошо иллюстрируется графиками, представленными на рис. 1.1 и на рис. 1.2 в сравнении со странами СНГ. Как видно из рис. 1.2 спад в экономике Кыргызстана был более стремительным, чем в среднем по СНГ, особенно в промышленном секторе. Однако за счет решительной и радикальной реформы, особенно в аграрном секторе, экономика Кыргызстана раньше других преодолела кризис и начала подъем.
Итак, рассмотрим математическое описание начальной фазы переходного процесса - фазы распада плановой экономики.
Данная фаза характеризуется быстрым уменьшением объемов капиталовложений, как независимых, так и индуцированных.
Прежде всего, резко упал объем независимых капитальных вложений из-за потери ежегодных централизованных субсидий,
 |
|
Рис. 1.1. Индексы основных экономических показателей в среднем по Кыргызской Республике (1991=100) |
 |
|
Рис. 1.2. Индексы основных экономических показателей в среднем по странам СНГ и Кыргызской Республике (1991=100) |
объемом порядка 10-12 % ВВП, которые направлялись на развитие инфраструктуры и базовых отраслей экономики (энергетика, дороги, системы ирригации).
Во-вторых, либерализация цен в России, осуществленная в начале 1992 года, привела к резкому удорожанию энергоносителей, сырья, полуфабрикатов и комплектующих изделий, которые в основном (на 90 %) обеспечивались из Российской Федерации, что привело, в свою очередь, к резкому удорожанию себестоимости производства, прежде всего, в промышленном секторе. Все это косвенно проявилось в дополнительном снижении капиталовложений еще примерно на 20 % ВВП. Предприятия вскоре остались практически без оборотного капитала.
Поскольку выпуск продукции неуклонно падал, то и объемы чистых капитальных вложений неуклонно уменьшались.
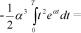
Хорошо известно, что макроэкономические динамические модели, основанные на теории Кейнса, описываются через «мультипликатор» и «акселератор». Причем динамические модели рассматриваются в реальном выражении. Изящная обобщенная теория мультипликатора и акселератора и их практические применения в ясной и доступной форме изложены в замечательной книге Р.Аллена [11], которой мы и будем руководствоваться в данной главе. Для нашего случая наиболее подходит принцип акселерации, связывающий индуцированные капиталовложения с изменениями выпуска продукции.
В непрерывной форме без запаздываний выражение акселератора представляется соотношением [1.1]:

где —Y(t) - скорость потока выпуска продукции, dt
/(О - поток индуцированных капиталовложений.
В линейной форме акселератор запишется в виде:
(и)
at
где ? - коэффициент инвестиций, показывающий мощность акселератора; v=const.
Акселератор в указанной выше форме указывает на потенциальную скорость изменения капиталовложений. Фактическая же скорость изменения инвестиций будет запаздывать, причем, если скорость реакции обозначить х, то временная постоянная запаздывания Т=1/х.
В дискретной модели Самуэльсона-Хикса, где дана наиболее полная формулировка взаимодействия мультипликатора и акселератора, основная предпосылка заключается в осуществлении планов потребления, а не сбережений, что характерно для переходного периода. При наличии запаздываний в функциях ожидаемого потребления и сбережений это оставляет достаточно простора для непредвиденных сбережений. Затем налагается условие, что в ходе действия модели осуществляются планы капиталовложений, так что ожидаемые инвестиции равны общей величине фактических сбережений и капиталовложений.
Филлипс рассматривает спрос и предложение отдельно. Планы потребления и капиталовложений, включающие запаздывания, в сумме образуют совокупный спрос, а предложение с дальнейшим запаздыванием приспосабливается к спросу. Из-за наличия запаздывания предложения центр тяжести лежит на непредвиденных капиталовложениях.
Хикс, в приложении модели мультипликатора-акселератора к теории экономического цикла, допускал выключения действия акселератора при спаде. Особенно, когда спад приближается к нижнему пределу, акселератор совсем выключается из действия вследствие излишка производственных мощностей.
Еще одно замечание. На переходном этапе отсрочка капиталовложений может быть в большей степени правилом, чем исключением. Период для принятия решения о капиталовложениях может быть длительным, а запаздывания фактических инвестиционных затрат - еще большими.
В модели Филлипса независимые расходы А на предметы потребления и на капитальные блага рассматриваются вместе как заданные. Спрос на предметы потребления может отставать во времени от определяющего его уровня дохода, т.е. решение о потреблении может зависеть и от прежнего уровня дохода (то, что мы и наблюдали на переходном этапе). И что еще важнее, спрос на инвестиционные блага, т.е. момент принятия решения об инвестировании, может отставать во времени от изменения выпуска продукции, вызвавшего их. Напротив, предложение предметов потребления и инвестиционных благ может реагировать на изменение спроса с совершенно другими различными между собой запаздываниями. Даже и при отсутствии запаздываний предметов потребления (именно такую предпосылку вводит для удобства Филлипс) сохраняются все же два запаздывания: спрос на капиталовложения реагирует с запаздыванием на изменение выпуска продукции, а предложение их запаздывает при изменении спроса.
Воспользуемся принципом акселерации для описания процесса распада плановой экономики.
Распад СССР и открытие экономик союзных республик привели к цепной реакции разрыва хозяйственных связей и межхозяйственной кооперации, традиционно установившихся в силу централизованного планирования. Началось разрушение традиционных рынков сбыта товаров. Этому способствовали распад действующих механизмов платежей, возникновение таможенных барьеров, введение национальных валют. Если в Советском Союзе в товарообмен между союзными республиками был вовлечен 21 % ВВП страны, то в 1998 году товарообмен между странами СНГ составил всего 6 % от ВВП по СНГ. Все это повлекло за собой сокращение производства в отраслях, традиционно производящих конечную продукцию.
Начался невиданный по масштабам спад производства, началась великая постсоветская экономическая депрессия, которая еще не преодолена.
Одним из негативных тенденций этой депрессии в экономике в 90-е годы стало резкое сокращение инвестиционной деятельности. Такая ситуация стала результатом ряда факторов, и прежде всего, резкого сокращения сбережений, которые являются основным внутренним источником финансирования инвестиций, а также отсутствия у предприятий средств для инвестирования. Финансовая политика на переходном этапе также оказалась более благоприятной для инвестирования средств в финансовые инструменты, например, в государственные ценные бумаги, нежели в реальный сектор экономики.
Поэтому выпуск продукции в первые годы обеспечивался в основном за счет уменьшения запасов оборотного капитала (а не наличного капитала), которые не восстанавливались. Доля изменения запасов материальных оборотных средств в ВВП в среднем по странам СНГ, по данным статистики СНГ снизилась с 10,5 % ВВП в 1991 г. до 2,5 % в 1997 г. А доля запасов материальных оборотных средств в ВВП в 1991 г. была весьма высокой и объяснялась тем, что в преддверии ожидаемого значительного повышения цен у предприятий были накоплены большие запасы сырья, полуфабрикатов и готовой продукции.
Продолжалось также изменение отраслевой структуры капиталовложений. Значительно сократилась доля капиталовложений в сельское хозяйство: с 20 % в 1991 г. до 0,4-1,4% в 1997 г. В легкой и пищевой промышленности с 10 % до 2 %. Таким образом, спад производства в реальном секторе экономики привел к соответствующему сжатию инвестиций. Причем запаздывание было пренебрежимо малым. Поэтому, для описания динамики инвестиций можно воспользоваться акселератором без запаздывания в линейной форме (1.1), то есть:
/(0 = ?%(0. (12)
at
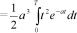
При наличии соответствующим образом подобранного мультипликатора движения продукции, теперь можно получить динамику доходов Y.
Наиболее подходящим для рассматриваемого случая является динамический мультипликатор Филлипса с непрерывным запаздыванием по показательной функции [1.1]. В модели Филлипса запаздывание спроса отсутствует. Планируемое потребление описывается линейной зависимостью: C=cY, а независимые расходы - А. Тогда общий спрос без запаздываний будет представлен соотношением
Z=C+A=cY+A=(l-s)Y+A, (1.3)
где С - предельная склонность к потреблению,
s= (1-С) - предельная склонность к сбережению.
Обратимся теперь к предложению. Здесь реакция выпуска продукции Y на спрос Z имеет непрерывное запаздывание по показательной функции. Положим, что скорость реакции будет X, а постоянная запаздывания Т=1/Л . Тогда получим:
at
Данное уравнение описывает изменение выпуска продукции во времени. Подставив Z из (1.3) в (1.4), получаем уравнение
dt
Решение соответствующего однородного уравнения
имеет следующий вид:
где у о у(О).
Уравнение (1.6) и его решение (1.7) широко известны как уравнение и закон радиоактивного распада. Следовательно, распад командной экономики также происходит по этому
неконтролируемому закону, можно только замедлить процесс распада также как это делается в случае радиоактивного распада.
Поскольку А - заданные заранее независимые расходы на капиталовложения и включает независимые расходы на личное потребление, то можно записать:
A=I(t)+A
c, (1.8)
где А
с - независимые расходы на личное потребление (в нашем случае это минимальные расходы на личное потребление, независящие от уровня дохода).
Конкретную форму временной зависимости I(t) в нашем случае можно установить с помощью акселератора (1.2) и решения (1.7) однородного уравнения (1.6), которое, как известно, описывает движение выпуска продукции к равновесному [1.1].
Следовательно
I(t)=vy
0e(1.9)
Далее
А=?у
0е~
ы+А
с. (1.10)
Вводя A
0=A(t=0), получаем окончательное выражение
A(t)=(Ao-A
c)e~^+A
c, (1.11)
где А о - уровень независимых инвестиций в начальный момент распада.
Учитывая зависимость (1.11) из уравнения (1.5) получаем окончательную форму уравнения спада производства:
— +AsY=A(Ao-A
c)e~
Ast+AA
c (1.12)
dt
при Y(t=0)=Y
0.
Решение уравнения (1.12) имеет вид [1.2]
Y=C
0e~
Ast +А (A
0-A
c)te~
bt + А. , (1.13)
s
где С
0- постоянная интегрирования.
Учитывая, что Y(t=0)=Y
0, получаем
Y
0=C
0+— или Co=Y
0-У (1.14)
S S
Следовательно, подставляя (1.14) в (1.13), получаем решение в окончательной форме
Y=(Y
0- ^)е~
ы+Х (A
0-A
c)tе~
ы + ^ (1.15)
или
Предельная склонность к сбережению и потреблению
в 1991-1998 гг.
A~A
Y
+Я
-Ast
-Ast
У=ІГ=(1~)
te
sY
Y
r
sY n
|
|
1991 |
1992 |
1993 |
1994 |
1995 |
1996 |
1997 |
1998 |
Коэффициент
сбережения |
0,173 |
0,035 |
0,011 |
0,016 |
0,009 |
0,006 |
0,024 |
0,019 |
Коэффициент
потребления |
0,827 |
0,965 |
0,989 |
0,984 |
0,991 |
0,994 |
0,976 |
0,981 |
|
|
Предельная склонность к сбережению S = 0,173 и приходится на 1991 г. Предельная склонность к сбережению С = 0,994 и приходится на 1996 г. |
или
A,> Ac Asl/e sY
n sY
n
y=[i-
(1.16)
sY
r
Для того, чтобы представить кривую спада производства (1.16) необходимо рассчитать параметры А , s, А
с, А
0 применительно к 1991 году. Параметр А , характеризующий скорость запаздывания предложения, был оценен как А =4. Предельная склонность к сбережению в начале 90-х годов наблюдалась в 1991 году и составила ,? = 0,173 (см.табл. 1.1). Однако более верную оценку можно получить подсчитав ,? как норму накопления по данным таблицы 1.2, через отношение валового накопления основного капитала к ВВП в рыночных ценах. Тогда получаем, что ,? = 0,16. Поскольку А
с - независимые расходы на личное потребление, учитывая, что доля независимых доходов населения в ВВП в 1991 году составляла 16,3 % ВВП, а коэффициент независимого потребления населения был равен 0,16, перемножая их получаем А
с= 0,163 х 0,16 = 0,026 (см.табл. 1.3). Что же касается А
0 -
ИСПОЛЬЗОВАНИЕ ВАЛОВОГО ВНУТРЕННЕГО ПРОДУКТА (в текущих ценах; млн.еомов)
|
|
1990 |
1991 |
1992 |
1993 |
1994 |
1995 |
1996 |
|
Расходы на конечное потребление |
41,2 |
79,5 |
682,7 |
5139,3 |
11693,9 |
15265,1 |
|
|
в том числе: |
|
домашних хозяйств |
29,1 |
56,6 |
501,9 |
3897,8 |
9066,1 |
11761,7 |
|
|
государственного управления |
10,7 |
20,2 |
158,4 |
1086,2 |
2272,2 |
3154,4 |
|
|
из них: |
|
на индивидуальные товары и услуги |
5,0 |
п,з |
90,4 |
545,6 |
1217,8 |
1781,6 |
|
|
на коллективные услуги |
5,7 |
8,9 |
68,0 |
540,6 |
1054,4 |
11372,8 |
|
|
некоммерческих организаций, |
1,4 |
2,7 |
22,4 |
155,3 |
355,6 |
349,0 |
|
|
обслуживающих домашние хозяйства |
|
Валовое накопление |
10,3 |
14,2 |
147,7 |
624,7 |
1083,3 |
2961,1 |
|
|
в том числе: |
|
валовое накопление основного капитала |
9,4 |
14,7 |
105,8 |
701,8 |
1450,7 |
3290,0 |
|
|
изменение запасов материальных |
0,4 |
-1,9 |
39,6 |
-89,8 |
-409,4 |
-376,8 |
|
|
оборотных средств |
|
чистое приобретение ценностей |
0,5 |
1,4 |
2,3 |
12,7 |
42,0 |
47,9 |
|
|
Сальдо экспорта и импорта товаров и |
-8,7 |
-1,2 |
-89,1 |
-409,3 |
-758,0 |
-2081,1 |
|
|
услуг |
|
Валовой внутренний продукт в |
42,8 |
92,5 |
741,3 |
5354,7 |
12019,2 |
16145,1 |
22468 |
|
рыночных ценах
Источник: СНГ |
|
Независимые расходы на личное потребление и создание основного капитала |
|
|
1990 |
1991 |
1992 |
1993 |
1994 |
1995 |
1996 |
1997 |
1998 |
|
Доля оплаты труда в денежных доходах населения,% |
69,6 |
54,5 |
60,8 |
45,8 |
41,5 |
42,7 |
39 |
36 |
35,4 |
|
Доля пенсий, пособий, стипендий в денежных доходах населения, % |
14,3 |
19,9 |
27,3 |
19,1 |
12,8 |
18,3 |
17,8 |
13,4 |
12,8 |
|
Доля независимых доходов населения в денежных доходах, % |
16,1 |
25,6 |
11.9 |
35,1 |
45,7 |
39 |
43,2 |
50,6 |
51,8 |
|
Независимые доходы населения, в % к ВВП |
11,2 |
16,3 |
4,7 |
17 |
29,3 |
25,4 |
25,1 |
31,1 |
36,2 |
|
Личное потребление в % к ВВП |
71,2 |
64,1 |
70,7 |
75,7 |
78,4 |
75 |
82,1 |
68,9 |
94,5 |
|
Коэффициент независимого потребления населения |
0,11 |
0,16 |
0,08 |
0,27 |
0,36 |
0,29 |
0,35 |
0,35 |
0,49 |
|
Капитальные затраты на создание основного капитала в % к ВВП |
23,1 |
17,5 |
14,6 |
13,3 |
12,4 |
20,7 |
22,6 |
12,6 |
11 |
|
Коэффициент независимых расходов на создание основного капитала |
0,35 |
0,34 |
0,23 |
0,40 |
0,48 |
0,50 |
0,58 |
0,47 |
0,60 |
|
независимых капиталовложений, включающих А
с, то поскольку капитальные затраты на создание основного капитала были равны 17,5 % ВВП, а коэффициент независимых расходов на создание основного капитала - 0,34, получаем: А
0 - А
с = 0,175 х 0,34 = 0,06 [см.табл. 1.3]. Здесь: A
C=A/Y
0, A
0=A
(y
/Y
0 . Верность данной оценки подтверждается также данными табл. 1.4.
Итак Я = 4; s = 0,16; А
с = 0,026; А
0 -А
с = 0,06.
Подставляя полученные числовые значения параметров в формулы (1.9) и (1.16) получаем кривые спада инвестиций (рис.1.3) и производства (рис. 1.4). Большое расхождение фактической и теоретической кривых инвестиций в 1995-1997 годах связано с большими частными капиталовложениями в строительство крупнейшего золотодобывающего комбината «Кумтор» со стороны канадской фирмы «Камеко», что не учитывалось в математической модели. Что же касается расхождения фактической и теоретической кривых спада производства на рис. 1.4, оно означает растущий вклад в ВВП новых экономических субъектов: частного
предпринимательства, новых малых и средних предприятий, акционерных компаний, фермерских и крестьянских хозяйств на селе. Исследование и описание последнего будет дано в главе 4. Итак, мы видим, что спад производства в переходной экономике -это закономерный процесс. Страны богатые сырьевыми ресурсами (нефтью, газом и т.п.) могут замедлить этот процесс, поддерживая высокий уровень капиталовложений. Однако это отрицательно скажется на структурных преобразованиях, на развитии частного сектора - локомотива развития рыночной экономики.
Независимые инвестиции в основной капитал
|
|
1991 |
1992 |
1993 |
1994 |
1995 |
1996 |
1997 |
1998 |
|
Независимые инвестиции в основной капитал, млн. сомов |
5,7 |
59,7 |
435,6 |
742,7 |
802,1 |
1143,4 |
986,6 |
1740 |
|
в % к ВВП |
6,2 |
8 |
8,1 |
6,2 |
5 |
4,9 |
3,2 |
5,1 |
|
|
Примечание: Независимые инвестиции включают инвестиции только за счет средств предприятий и организаций, а также населения. |
 |
|
Рис. 1.3. Индексы инвестиций |
 |
|
Рис 1.4. Индексы ВВП |
Литература к первой главе
1Л. Аллен Р. Математическая экономия. Пер.с англ. - М.: Издательство иностранной литературы, 1963 - 667 с.
1.2. Зайцев В.Ф., Полянин А.Д. Справочник по линейным обыкновенным дифференциальным уравнениям. -М.: «Факториал», 1997-304 с.
Глава вторая. Принципы формирования рыночной экономики
Мы должны как можно больше использовать стихийные силы общества и как можно меньше прибегать к принуждению.
Фридрих фон Хайек
Распад Советского Союза сопровождался разрушением институциональной базы социалистической команднораспределительной плановой экономики. Если придерживаться терминологии профессора Б.Шаванса [2.1], то следует сказать, что одновременно рушились оба столпа фундамента этой базы -однопартийность режима власти и господство государственной собственности. Необходимо отметить, что толчком для начала постсоциалистической системной трансформации несомненно послужила «горбачевская перестройка» в СССР.
Получив в декабре 1991 г. независимость и суверенитет, бывшие республики Советского Союза и новые независимые государства (ННГ) далее развивались по различным траекториям трансформации, что было обусловлено стартовыми социально-экономическими условиями, национальными особенностями и политическими целями и убеждениями лидеров.
Кыргызстан избрал путь подлинных демократических преобразований и радикальных рыночных реформ с целью перехода от планово-командной экономики к свободной рыночной экономике.
Перед нами стояла задача создания жизнеспособного национального рыночного хозяйства и обеспечения занятости населения.
Какие шаги необходимо было предпринять, чтобы ускорить выход из состояния хаоса и переход к рыночной экономике?
В первые годы, как среди политиков, так и экономистов превалировало ошибочное мнение, что рынок образуется спонтанно, стихийно само собой, если только устранить центральное планирование, разрушить административно-командную систему и ввести частную собственность.
В процессе перехода уже многим стало ясно, что рынок необходимо формировать целенаправленными мерами, как институционального характера, так и специальными стимулами, не полагаясь только на стихийные и спонтанные силы. Это и создание благоприятных социально-экономических условий внутри страны и положительного имиджа в международном аспекте. Только активная политика, направленная на успешное формирование и функционирование рыночных механизмов могла позволить преобразовать действующую планово-командную экономику в демократию свободного рынка. Мы исходили из этого принципа, реализуя его «шаг за шагом» во всех основных направлениях реформ, причем, чтобы каждый шаг приносил уверенность в успехе реформ, укреплял надежду на достижение позитивных результатов.
Задача состояла в том, чтобы сформировать такую социально-экономическую среду, которая бы способствовала реформам. Это потребовало реализации обширной программы законотворческой работы по созданию правовой основы, что во многом способствовала возникновению рыночного мышления, правовой среды для развития частного предпринимательства.
Мы придавали огромное значение тому, чтобы люди чувствовали, что командно-административное управление заменяется правовыми нормами. Поэтому придавалось много усилий, чтобы принять законы, регулирующие отношения собственности, контракты, банкротство, конкуренцию, а также обеспечению их исполнения.
Люди должны были играть активную и конструктивную роль в трансформации. Поэтому особое внимание уделялось тому, чтобы довести суть и цели реформ до широких слоев населения.
В отсутствие целенаправленных действий, способствующих образованию рынков, а также их создателей, результатом может быть всего-навсего спад производства и снижение общего уровня жизни, что и произошло в странах СНГ.
Аргумент, обычно приводимый в пользу частных рынков, состоит в том, что рынок автоматически обеспечивает эффективность, причем при очень низких издержках, поскольку цель достигается в результате индивидуальных действий на основе индивидуальной информации. Таким образом, свободный рынок представляет собой высокоэффективную саморегулирующуюся информационную систему.
Государство не обладает настолько полной информацией, оно не способно ни получить ее при столь малых издержках, ни отреагировать на нее столь же оперативно и действенно, как свободный рынок.
Именно рыночные силы обеспечивают как потребителей, так и производителей стимулом к экономически эффективным действиям.
Согласно неоклассической теории, для того, чтобы рыночная экономика действовала хорошо необходимы частная собственность и конкуренция. Важно было стимулировать частный интерес, частное предпринимательство. Поэтому приватизация рассматривалась нами как средство для достижения главных целей реформ - создание полнокровного частного сектора, усиления конкуренции и формирования рыночной структуры.
Конечно, приватизация предприятий в условиях разрушения плановой системы материально-технического снабжения и отсутствия системы рыночных отношений не могла дать производственный эффект, ибо ставила производственные предприятия в условия выживания, что естественно привело к резкому падению производства. Однако осуществление приватизации на ранней стадии все же имело преимущества, связанные с изменением отношений собственности и дало толчок бурному развитию торгово-посреднических фирм, которые начали активно плести паутину рыночных связей.
Приватизация вызвала бурный процесс зарождения частного предпринимательства, появления тысяч малых предприятий в городах, а также фермерских и крестьянских хозяйств на селе.
Мы старались дать максимальную свободу новым экономическим агентам. Необходимо было создать условия для самоорганизации новых форм хозяйствования, их свободного и стихийного развития в рамках принятых законов.
Рональд Коуз, лауреат Нобелевской премии 1991 года четко показал, что рынок должен создаваться. Создание рынка - это чисто предпринимательская задача. Идеальные творцы рынка - это посредники, которые, опираясь на финансовую поддержку коммерческих банков, устанавливают связи между
сельскохозяйственными и промышленными производителями и конечными потребителями, создавая сеть рыночных отношений. Для выполнения своих функций посредник нуждается в соответствующей правовой среде, законах, которые позволяют ему заключать различные контракты, а также регулируют и обеспечивают их выполнение.
В планово-командной экономике ключевую роль в сфере производства играл Госснаб (Госкомитет по материально-техническому снабжению), который обеспечивал централизованное распределение сырьевых ресурсов и готовой продукции, обеспечивая тем самым и выполнение плана производства. Именно он обеспечивал устойчивую связь между предприятиями, а также сферой производства и розничной торговлей.
Упразднение Госснаба привело к обвальному разрушению традиционных налаженных десятилетиями производственных связей между производителями и поставщиками, а также производителей с розничной торговлей.
Поэтому стояла задача целенаправленного создания сложной системы рыночных отношений, путем создания сети оптовых рынков и торговых агентств. Параллельно шел стихийный процесс формирования сети торгово-посреднических фирм, решающих ту же задачу. Мы максимально поощряли этот процесс, путем щедрого кредитования через коммерческие банки, понимая, что первый путь - медленный.
Чтобы финансовую систему также привести в соответствие с рыночной экономикой предстояло осуществить трансформацию действующей банковской системы в двухуровневую: Государственный Банк был преобразован в Национальный Банк Кыргызской Республики (НБКР), а все остальные - в коммерческие банки. Перед НБКР стояла задача установления жесткого контроля над денежной эмиссией, чтобы уровень был бы достаточен для обеспечения положительных реальных процентных ставок.
Подобно тому, как приватизация должна приводить к образованию новой частной собственности для увеличения богатства, преобразование финансовой системы призвано содействовать созданию новых активов, соответствующих этой новой собственности.
Только сильная и устойчивая финансовая система, обеспечивающая наиболее эффективное использование сбережений населения, может стать мотором новой рыночной зарождающейся экономики.
Это также вызвано необходимостью свести к минимуму непосредственное участие правительства в распределении ресурсов, что всегда связано с коррупцией.
Поскольку первоочередной задачей экономической деятельности является производство товаров и услуг, финансовые рынки должны представлять собой средство для достижения этой главной цели.
На этапе формирования рынка очень важную роль сыграла финансовая помощь международных финансовых организаций -МВФ, ВМБ, АБР, ЕБРР, а также стран-доноров - США, Японии, Германии, Швейцарии, Дании, Нидерландов и других, которые предоставили средства для поддержания национальной валюты, критической закупки для развития инфраструктуры и поддержки социальной сферы, преобразования приватизированных предприятий.
Нужно было также следить все время за социальными последствиями реформ и направлять все усилия на социальную поддержку граждан. Поэтому мы были вынуждены все годы реформ более 50% государственных расходов направлять на финансирование социальной сферы, чтобы поддерживать жизненный уровень людей на приемлемой границе.
Капиталовложения в социальную сферу - здравоохранение, образование и культуру, которые мало зависят от импорта, позволили поддерживать совокупный спрос, избежать перенапряжения платежного баланса и обеспечить большее общественное согласие и народную поддержку экономическим реформам. Что касается поддержки таких отраслей как транспорт, энергетика, требующие импорта запчастей и оборудования, мы широко пользовались кредитами стран доноров и ВМБ для «критического закупа».
_2.1. Приватизация
Урок, который извлекло большинство стран мира в конце XX века, заключается в том, что сильный частный сектор необходим для благосостояния народов, а приватизация является важным инструментом для достижения этой цели.
Недаром лауреат Нобелевской премии Милтон Фридмен провозгласил лозунг: «Для успеха реформ нужна приватизация, приватизация и еще раз приватизация!»
В Кыргызстане в 1991-1998 годах была проведена широкомасштабная приватизация государственной собственности.
Массовая приватизация была начата в мае 1994 года, как только были установлены цели и рамки. Правовая база создавалась по ходу приватизации.
Приватизация мелких государственных и кооперативных предприятий, особенно в сфере розничной торговли, общественного питания и предоставления различных услуг прошла весьма быстро и успешно. Уже к началу 1996 года в этой сфере было приватизировано 95 % всех объектов.
К концу 1998 года число приватизированных предприятий и объектов достигло 7492 (без аграрного сектора), что составило около 75% всех предприятий и объектов бывшего государственного сектора.
В результате процесса массовой приватизации в 1994-1998 годах почти четверть населения Кыргызстана стали акционерами, то есть владельцами собственности в виде акций приватизированных предприятий.
Важную роль в успехе этого процесса сыграли специализированные инвестиционные фонды (СИФ), аккумулирующие купоны граждан для обмена их на акции, посредством участия на купонных аукционах. Купонная приватизация была успешно завершена в 1997 году. Другим путем обмена купонов на акции было прямое участие на купонных аукционах в аукционных центрах.
Приватизация государственных предприятий оказалась центральным звеном программы структурных преобразований. Все средние и крупные предприятия были частично приватизированы через программу купонных аукционов, а большинство предприятий были полностью приватизированы путем последующих денежных аукционов. Многие из приватизированных предприятий требуют коренной реконструкции, чтобы они стали прозрачными в финансовом отношении, чтобы у них появились привлекательные бизнес-планы с реальными перспективами выхода на рынок и чтобы инвестиции попали на благоприятную хорошо подготовленную почву. Что же касается приватизации базовых отраслей экономики, таких как телекоммуникация, энергетика, к ней мы приступили только в 1999 году, имея детальную программу, одобренную парламентом в соответствии с новым усовершенствованным законодательством. Они будут приватизированы в течение ряда ближайших лет на индивидуальной основе стратегическими инвесторами.
В результате приватизации появилось большое число частных малых и средних предприятий, которое сопровождалось распространением акционерных обществ, компаний с ограниченной ответственностью, совместных предприятий с участием иностранных партнеров, индивидуальных предприятий, а также предприятий теневого сектора.
Экономисты ожидали, как справедливо пишет профессор Б.Шаванс [2.1], что процесс трансформации отношений собственности будет иметь своим результатом выход экономики из тени. Но, наоборот, теневая экономика с каждым годом расширяет свои масштабы, изменилась только ее природа: при социализме люди обращались к теневой экономике, чтобы компенсировать провалы системы, а в условиях переходной экономики они уходят в подполье, чтобы избежать уплаты налогов и выиграть в конкурентной борьбе у бизнесменов, которые честно уплачивают налоги. В Кыргызстане размер теневой экономики оценивается примерно в 16 % от ВВП.
Процесс приватизации привел к формированию смешанной экономики, характеризующейся разнообразием форм собственности на капитал и отношений «собственник - управляющий», от частных до государственных. На многих преобразованных предприятиях и сегодня нет четких прав собственности. Сегодня требуется инвентаризация всей собственности и внедрение четкой системы прав частной собственности.
Профессор Б.Шаванс [2.1] справедливо утверждает, что трансформация собственности в странах с переходной экономикой -эволюционный процесс. Поэтому осуществление приватизационных программ не означает завершения данного процесса. Напротив, продолжается активное постприватизационное перераспределение собственности. Важно направить этот процесс в нужное русло, укрепляющее новую структуру собственности и ведущее к росту числа эффективных собственников.
Поведение большинства приватизированных предприятий изменилось незначительно. Они не стали работать более эффективно. Результаты деятельности приватизированных предприятий показали, что приватизация сама по себе не решает проблемы повышения эффективности предприятия. Этот вывод вполне согласуется с предположением неоклассической экономической теории о том, что связь между формой собственности и результатами деятельности незначительна. Эффективность в большей мере определяется рыночной структурой и развитостью конкуренции. Поэтому главными целями приватизации должны быть изменение отношений собственности, формирование рыночной структуры и усиление конкуренции.
Итак, масштабная программа приватизации государственной собственности, проведенная в Кыргызстане в 1992-1998 годах, сыграла свою решающую роль в становлении частного сектора экономики. Частный сектор формировался как за счет приватизации предприятий государственного сектора, так и за счет роста новых предприятий. Сегодня, на начало 2000 года, частный сектор в экономике страны по объему производства уже составляет около 85% ВВП. Программа приватизации с самого начала предусматривала дифференцированный подход к предприятиям разных отраслей, как по темпам приватизации, так и путям ее осуществления.
Вполне естественно, что приватизация весьма быстрыми темпами и более успешно проходила в таких отраслях, как сфера услуг и торговля, в легкой промышленности и строительстве, где легче двигаться к частной собственности и где уже имело место значительное участие предпринимателей в текущих делах предприятий.
Быстрая массовая приватизация позволила также резко ограничить неформальную приватизацию, получившую название «номенклатурной прихватизации». Разгосударствление и приватизация крупных предприятий осуществлялась по специально разработанным схемам для успешной адаптации к рыночным условиям, а в особенности - трансформации в частные предприятия. Для решения этой проблемы требовалась поддержка государства, поскольку эти предприятия имели большую задолженность, как кредиторскую, так и дебиторскую, социальные объекты, требующие дополнительных расходов. Прежде всего, необходимо было провести структурную перестройку этих предприятий, позволяющую им функционировать на коммерческих принципах.
Например, для преобразования 27 крупных машиностроительных заводов, электротехнических предприятий, а также угольных шахт была разработана и осуществлена в 1994-1996 годах специальная программа PESAC (программа приватизации и реформы промышленного сектора), которая финансировалась Всемирным Банком. Результаты были успешными: одни предприятия подверглись разукрупнению, другие были реабилитированы, третьи перешли к выпуску новых конкурентных товаров и услуг.
Стало очевидным, что приватизация сама по себе не решает всех проблем. Требуется дальнейшая работа с преобразованными предприятиями, чтобы превратить их в активных участников рыночного хозяйства. Для Кыргызстана было большим упущением, что ценный опыт постприватизационного преобразования в свое время не удалось распространить на большинство крупных и средних предприятий. Это несомненно снизило производственный эффект от приватизации.
Опыт преобразований в Восточной Германии [2.2] говорит о том, что процесс трансформации длится на промышленных предприятиях как минимум три-четыре года. Причем, вероятность успеха составляет меньше 50%. Также отмечается, что для успеха требуется создание популяции новых, в первую очередь, средних и малых предприятий.
Реструктуризация промышленных предприятий с целью повышения их эффективности и конкурентоспособности оказалась одной из наиболее трудных и «неподъемных» задач переходного процесса, как об этом справедливо пишет профессор Дж.Стиглиц [2.3]. Он совершенно правильно указал на то, что одна из важных форм реструктуризации путем децентрализации процесса принятия решений не была должным образом использована. Поэтому те, кто обладал властью на предприятиях, так называемые «красные директора», стремились всеми силами и сохранили неизменной структуру предприятия, чтобы сохранить свою власть и привилегии. Передача прав и ответственности - труднейшая часть процесса не была должным образом регламентирована своевременно. Это было большим упущением.
Естественно, что процесс децентрализации мог послужить хорошей школой обучения и адаптации к рыночным условиям для молодых менеджеров среднего звена.
Одним из важнейших компонентов перехода к рынку, вызванных к жизни приватизацией, стало появление новых коммерческих предприятий в результате создания благоприятных условий и соответствующей правовой базы. Процедура создания новых предприятий была максимально упрощена.
В итоге частный сектор в 1992-1997 годах переживал сильный рост, смягчая воздействие депрессии на экономику. В сельском хозяйстве Кыргызстана еще в начале 1991 года успешно стартовала земельная реформа, целью которой была деколлективизация колхозов и совхозов и предоставление каждому крестьянину, а также всем сельским жителям, определенного земельного участка с правом пользования, которое после Конституционного референдума 1998 года трансформировалось в право частной собственности. Одновременно были приватизированы весь скот и сельхозтехника.
В 1996 году коллективные и частные хозяйства уже имели одинаковую посевную площадь сельскохозяйственных культур, соответственно 600 и 593тыс. Гекторов. Однако крестьянские, фермерские и личные хозяйства по сравнению с коллективными и государственными хозяйствами производили больше зерна на 18,7тыс.т., картофеля - в 13 раз, овощей - в 11 раз, молока - в 13 раз, шерсти - в 8 раз. Объем валовой продукции сельского хозяйства в личных, фермерских и крестьянских хозяйствах в 1996г. составил 80% всей продукции аграрного сектора.
На 1 июля 1996 года было создано 28 тыс. крестьянских и фермерских хозяйств, в которых трудилось 474,2 тыс. человек при активной части населения в 1 млн. 600 тыс. человек. На одно крестьянское и фермерское хозяйство в среднем приходилось 12 гектаров пашни и 29 гектаров пастбищ.
В ходе проведения земельной реформы, мы пришли к созданию рынка права пользования землей, на основе которой в ближайшие годы будет создан полноценный рынок земли.
Как известно, именно мелкие предприниматели обеспечивают укрепление рыночных отношений, основанных на демократии и частной собственности, а по своему экономическому положению и условиям жизни они близки к большей части населения и составляют основу среднего класса, являются гарантом социальной и политической стабильности.
Для того, чтобы предпринимательство было успешным, должны сформироваться определенные навыки, каковых у кыргызстанцев, а особенно, у кыргызов - коренного населения, никогда не было. Были также ограничены возможности предоставления средств для предпринимательской деятельности.
Предпринимательство и банкротство (вхождение в бизнес и выход из него) являются взаимосвязанными процессами сопровождающими экономические преобразования, а банкротство является важнейшей частью механизма рыночной экономики. Нам только предстояло создать механизм банкротства, поскольку он полностью отсутствовал в социалистической экономике.
Предпринимательская инициатива, возникшая на базе действующих государственных предприятий, сыграла важную роль в создании малых предприятий на основе части основного капитала и квалифицированной рабочей силы, децентрализации управления.
Великий экономист Йозеф Шумпетер утверждает [2.4]: число предпринимателей растет периодически и появление «целых роев» предпринимателей является единственной причиной периодов подъема. Им также были сформулированы условия, при которых могут появляться новые предприниматели.
Подъем возникает в результате того, что в новые предприятия вкладывается больше капитала, и что исходящий оттуда импульс распространяется через рынки сырья, труда, оборудования и т.д.
Й.Шумпетер считает, что новое, как правило, не вырастает из старого, а появляется рядом со старым, вытесняет его и изменяет все отношения таким образом, что возникает необходимость в специфическом процессе размещения.
Именно массовым появлением новых комбинаций предпринимательства объясняются основные черты периода подъема. Оно объясняет, почему рост капиталовложений является самым первым симптомом начинающегося подъема. Этим объясняется также и массовое появление новой покупательной способности, а тем самым и характерный для периодов подъема рост цен, увеличение заработной платы, сокращение безработицы, повышение уровня процента.
Опираясь на утверждение о том, что предприниматели появляются не непрерывно, а сразу большим числом, Й.Шумпетер изложил свою теорию экономических кризисов [2.4].
Почему экономика развивается не плавно, а рывками? Это происходит исключительно потому, что новые комбинации осуществляются не через равные промежутки времени; как правило, новые комбинации появляются - если это вообще происходит - в большом числе. Если бы новые предприятия появлялись независимо друг от друга, то не было бы никакого подъема и никакой депрессии как особых, характерных, регулярно повторяющихся явлений, справедливо считает Й.Шумпетер.
Один из важных выводов теории Й. Шумпетера заключается в следующем: подъем кончается, а депрессия наступает по истечении того времени, которое должно пройти до появления на рынке продукции новых предприятий. А новый подъем следует за депрессией, когда закончен процесс поглощения новых товаров.
Существо периодической депрессии Й. Шумпетер определил как борьбу народного хозяйства за новое равновесие, приведенное в соответствие с новыми условиями, изменившимися в результате нарушения хода экономического процесса. Следовательно, депрессия продолжается до тех пор, пока в первом приближении не будет достигнуто такое равновесие.
Данный вывод говорит о важности макроэкономической стабилизации как необходимого условия подъема, о чем пойдет речь в следующей главе.
Й. Шумпетер считал, что кризисы являются поворотной точкой экономического развития и при этом важно использовать их для нового поступательного развития экономики.
Итак, предприниматели появляются не непрерывно, а сразу большим числом, т.е. их появление не распределяется равномерно по времени! Исключительно потому, что появление одного или нескольких предпринимателей облегчает и способствует появлению других, т.е. срабатывает механизм «цепной реакции». Это доказано в главе 4 при исследовании динамики развития предпринимательского движения.
Именно массовое появление предпринимателей служит единственной причиной явления «подъем», поскольку оказывает на народное хозяйство влияние, качественно отличное от влияния их непрерывного, равномерно распределенного во времени появления.
22. Создание нового экономического порядка
Я с самого начала был сторонником германских неолибералов, разработчиков концепции социального рыночного хозяйства профессоров Альфреда Мюллера-Армака, Александера Рюстова, Вильгельма Репке и Людвига Эрхарда. Широко известно, что именно Людвиг Эрхард блестяще воплотил концепцию «социального рыночного хозяйства» в политическую действительность, доказав, что эта концепция наилучшим образом подходит для успешного перехода от командно-распределительной экономики к свободной рыночной экономике. Более того, экономические преобразования, основанные на концепции социального рыночного хозяйства и умело осуществленные Людвигом Эрхардом в чрезвычайно трудные и кризисные послевоенные годы дали замечательные результаты, получившие справедливую оценку «германского чуда» [2.5]. О том, как проходило осуществление радикальной перестройки социально-экономической жизни Германии на рельсы социального рыночного хозяйства, лучше всех написал сам Л. Эрхард в книге «Благосостояние для всех» [2.6].
Основная суть модели «социального рыночного хозяйства», методы его формирования и принципы ее действия в общедоступной и ясной форме изложены в книге профессора Хайнца Ламперта «Социальная рыночная экономика» [2.7].
Германские неолибералы считали, что формирование порядка в экономике и обществе представляет собой законотворческую задачу и что перед государством стоит цель постоянно и бдительно работать над тем, чтобы рыночный порядок сохранялся и улучшался [2.7]. Основную задачу государства они видели в осознанном формировании, основанного на свободе, однако одновременно социально ориентированного общественного, экономического и социального порядка.
Социальное рыночное хозяйство рассматривалось авторами концепции как «третий путь», пролегающий между необузданным рыночным капитализмом и тоталитарной административно-командной экономикой, как путь, ведущий к свободному, экономически эффективному, стабильному порядку в обществе и экономике [2.7]. Именно сочетание таких важнейших целей, как экономическая свобода и социальная справедливость, отражается в понятии «социальное рыночное хозяйство». Оно, прежде всего, олицетворяет хозяйственную свободу и лишь затем утверждает социальную защищенность и социальную справедливость. Это означает, что рыночное хозяйство должно ограничиваться там, где оно привело бы к социально нежелательным результатам или же результаты свободного рыночного хозяйствования должны корректироваться, если они не являются достаточно социальными. Таким образом, модель социального рыночного хозяйства позволяет сформировать общество, построенное на частной собственности, частной инициативе, свободной конкуренции и действенной системе социальной защиты.
Необходимо особо отметить, что формирование нового экономического или социального порядка начинается с, так называемой, упорядочивающей идеи или упорядочивающей концепции, которая уже затем, в процессе преобразований, закрепляется в правовом порядке в виде конституционных норм, законов или нормативных актов правительства [2.7].
Поскольку рыночная экономика с системой свободных рынков, характеризующихся свободным ценообразованием и свободной конкуренцией товаропроизводителей, не сможет возникнуть за исторически короткий срок в результате самостоятельного развития, ее необходимо целенаправленно формировать.
Л. Эрхард считал, что освобождение экономики от «государственного диктата» вовсе не означает самоустранения государства от регулирования экономическими процессами, а напротив государство может и должно заниматься макроэкономическим регулированием методами финансовой, кредитной, таможенной, валютной, налоговой политики, но не мелочной опекой над производством [2.6].
Начиная социально-экономические реформы в Кыргызстане в 1990 году, мы сформулировали конечную цель в создании социальной рыночной экономики с активным участием государства в регулировании макроэкономической и социальной политики.
Именно государство на переходном этапе должно заботиться о формировании, развитии и эффективном функционировании рыночных механизмов.
Социальная политика должна быть ориентирована на усиление начальных, стартовых позиций граждан - получить хорошее образование, профессию, обзавестись собственностью и достичь достаточного уровня материального благосостояния.
Естественно, что размер сферы социального обеспечения по мере повышения благосостояния граждан должен сокращаться. Объектами социальной опеки со стороны государства должны оставаться только бедные слои общества, нуждающиеся в поддержке и не имеющие возможности обеспечить себе прожиточный минимум. Это принцип эффективной организации системы социального обеспечения: чем богаче общество, тем меньше в нем получателей социальной помощи от государства. Поэтому средние и зажиточные слои населения должны автоматически лишаться права на всякого рода пособия и другие социальные выплаты со стороны государства.
Социальная политика никоим образом не должна стать благотворительностью, поощряющей иждивенческие настроения или еще хуже, плодящей иждивенцев, воспитанных в уверенности, что кто-то всегда должен заботиться о них. Людвиг Эрхард по этому поводу писал, что «от людей воспитанных в таких условиях нельзя требовать, чтобы они выявили в необходимой мере такие качества, как жизненная сила, инициатива, стремление к достижениям в производительности и другие лучшие качества, столь судьбоносные в жизни и будущности нации».
Таковы основные принципы концепции «социального рыночного хозяйства».
2,3, К рыночному порядку - через хаос
Природа устроена так, что переход от одного качественно устойчивого состояния, которое принято называть порядком, к другому порядку осуществляется через хаос.
Лауреат Нобелевской премии И.Пригожин [2.8] открыл возможность спонтанного возникновения порядка и организации из беспорядка и хаоса в результате процесса самоорганизации. Он рассматривал процессы формирования структур в открытых системах, т.е. системах, обменивающихся веществом и энергией с окружающей средой. Он показал, что причины и общие закономерности самоорганизации содержатся в термодинамике необратимых процессов, или, как ее часто называют, неравновесной термодинамике [2.8].
Изучением общих закономерностей процессов самоорганизации в системах различной природы занимается новая дисциплина, которая получила название «синергетика». Уже получило широкое признание и большое развитие новое направление в экономике - «синергетическая экономика» [2.9], которая позволяет исследовать экономические процессы в динамике.
Самоорганизация и хаос, или в более общем смысле - порядок и беспорядок - это основные структурные характеристики материи. Противоборствующий характер тенденций к порядку и беспорядку хорошо известен. Эволюция живой и неживой природы дает нам яркое свидетельство вездесущности процессов организации и дезорганизации.
Величайшей заслугой неравновесной термодинамики является осознание того факта, что неравновесность может быть причиной порядка. Оказалось, что необратимые процессы в открытых системах могут приводить к возникновению нового типа динамических состояний материи - диссипативных самоорганизующихся систем. При этом источником нововведений в системе, т.е. источником структурной эволюции, являются флуктуации, «запускающие» механизм неустойчивости, который, в свою очередь, приводит к формированию новой пространственно-временной структуры.
Рассмотрим процесс переходной экономики, как переход из одного экономического порядка в другой через хаотическое состояние, опираясь на идеи и результаты И.Пригожина [2.8].
По Пригожину все сложные системы содержат подсистемы, которые непрестанно флуктуируют. Иногда отдельная флуктуация или комбинация флуктуаций может стать (в результате положительной обратной связи) настолько сильной, что существовавшая прежде организация не выдерживает и разрушается. В этот переломный момент, называемый особой точкой или точкой бифуркации, принципиально невозможно предсказать, в каком направлении будет происходить дальнейшее развитие: станет ли состояние системы хаотическим или она перейдет на новый, более дифференцированный и более высокий уровень упорядоченности или организации, который называют диссипативной структурой.
Именно так произошло разрушение советской экономики. Поэтому так важно было немедленно разработать и реализовать целостную программу макроэкономической стабилизации, которая позволила бы направить переходный процесс в созидательное русло, чтобы обеспечить переход на новый более высокий уровень экономической организации, именуемый рыночным порядком.
Рождение диссипативных структур, т.е. высоких уровней организации тесно связано с открытостью системы и случайностью. Именно случайность подталкивает то, что остается от системы в результате разрушения на новый путь развития, а после того как этот путь выбран, вновь выступает в силу детерминизм.
Плановая экономика была разрушена и стала открытой экономической системой в результате либерализации цен, либерализации внешней и внутренней торговли. Вторая часть приведенного выше факта из переходного состояния неравновесной системы, применительно к переходной экономике, говорит о чрезвычайной важности элементов случайности для рождения новых экономических агентов - предпринимателей, частных мелких и малых предприятий, которые и образуют основу, стержень новой рыночной экономики. В этом свете совершенно по новому понимаешь великого экономиста Ф.Хайека, неустанно призывавшего к максимальному использованию «стихийных рыночных сил». Мы часто губим рождение новых предприятий, путем подавления элементов случайности, стихийных сил через жесткие бюрократические рамки административного регулирования предпринимательства. Поэтому в первые годы реформ мы выдвинули и широко внедряли в сознание государственных чиновников лозунг: «Не мешать развитию предпринимательства!»
В русле вышесказанного крайне важно обеспечить на этапе макроэкономической стабилизации инкубационный период, когда надо дать полную возможность развиваться рыночным субъектам в условиях свободы. Всякие ограничения должны быть исключительно рыночными, но не административными. Здесь необходимо обеспечить эволюционное развитие. Не случайно большой популярностью пользуется девиз проведения экономической политики по принципу «laissez faire», что означает «пусть все идет само собой, естественным образом, без принуждения».
Недаром великий экономист, лауреат Нобелевской премии Фридрих фон Хайек всю жизнь неустанно проповедовал экономическую свободу. Он также придерживался концепции «спонтанного порядка» (эволюционной природы рынка). В своей книге [2.10] фон Хайек утверждает, что всякий отказ от экономической свободы, от рыночного ценообразования ведет к диктатуре и к экономическому рабству.
Но кто же подталкивает экономических субъектов на новый путь развития? На этот вопрос ответ дал Й. Шумпетер: «инноваторы!» Именно инновационная деятельность и есть «несреднее поведение», аналогичное возникающему в неравновесных условиях. Таким образом, вдали от равновесия, в сильно неравновесных условиях под действием «инноваторов» -предпринимателей и начинается переход от хаоса к новому рыночному экономическому порядку.
Й.Шумпетер в своих экономических исследованиях приходит к выводу, что в современных условиях главной движущей силой развития экономики является свободное предпринимательство. Именно Й.Шумпетер возвел предпринимательство в ранг определяющих факторов производства наряду с землей, трудом и капиталом.
В случае неравновесных процессов именно случайные флуктуации определяют глобальный исход эволюции системы. Вместо того чтобы оставаться малыми поправками к средним значениям, флуктуации существенно изменяют средние значения. Ситуацию, возникающую после такого воздействия флуктуации на систему, И.Пригожин назвал специальным термином - «порядком через флуктуацию».
Взаимодействие же системы с внешним миром, ее погружение в неравновесные условия становится исходным пунктом в формировании новых динамических состояний диссипативных структур. Поэтому очень важно, чтобы в переходной экономике с самого начала была обеспечена открытость для международной торговли, т.е. проведение либерализации внешней торговли. Открытость для Кыргызстана - это жизненная необходимость. В сложных системах, где отдельные индивиды вступают между собой в многочисленные и разнообразные взаимодействия, связь между различными частями системы имеет стабилизирующее влияние. Между устойчивостью, обеспечиваемой этой связью, и неустойчивостью из-за флуктуаций имеется конкуренция. От исхода этой конкуренции зависит порог устойчивости. В этой связи говорят о структурной устойчивости. Речь идет о реакции заданной системы на введение новых единиц, способных размножаться и приводить к возникновению новой сети реакций между ее компонентами. Новая сеть реакций начинает конкурировать со старым способом функционирования системы. Если система структурно устойчива относительно вторжения новых единиц, то новый режим функционирования не устанавливается, а сами новые единицы («инноваторы»), погибают. Но если структурные флуктуации успешно «приживаются», то вся система перестраивается на новый режим функционирования.
В переходной экономике для того, чтобы разорвать связи, обеспечивающие структурную устойчивость и способствовать успешной приживаемости «инноваторов» осуществляется специальная программа реструктуризации путем проведения масштабной приватизации. Именно в этом заключается основная роль приватизации, а не в немедленном подъеме производства, как ошибочно полагают многие экономисты. Приватизация должна способствовать появлению новых собственников, новых предприятий, бурному росту числа предпринимателей.
Характерно, что великий физик Л.Больцман подошел к решению проблемы физической эволюции не на уровне индивидуальных траекторий, а на уровне ансамбля молекул. Л.Больцман избрал подход, адекватный тому, что великий Ч.Дарвин совершил в биологии, убедительно доказав: движущая сила биологической эволюции - естественный отбор - может быть определена не для отдельной особи, а лишь для популяции. Следовательно, естественный отбор - понятие статистическое.
Результаты, полученные Л.Больцманом, оказались совершенно аналогичны результатам теории цепей Маркова, представляющего специальный класс случайных процессов. Отличительная особенность марковских процессов состоит в следующем: вероятности переходов однозначно определены и не зависят от предыстории системы.
Точно также обстоит дело с исследованием эволюции в переходной экономике. Движущей силой эволюции и в данном случае является отбор, в основе которого лежит свободная конкуренция. Она также может быть определена для популяции предпринимателей или новых предприятий, а не индивидуального предпринимателя или предприятия. Статистика в этом случае основывается на теории цепей Маркова, что показано в четвертой главе.
2.4. Институциональные изменения для функционирования
рыночной экономики
Институты - это «правила игры» в обществе или, выражаясь более формально, созданные человеком ограничительные рамки, которые организуют взаимоотношения между людьми. Институты уменьшают неопределенность, структурируя повседневную жизнь. Институты - это разработанные людьми формальные (законы, конституции) и неформальные (договоры и добровольно принятые кодексы поведения) ограничения, а также факторы принуждения, структурирующие их взаимодействие.
Институты влияют на экономический процесс тем, что оказывают воздействие на издержки обмена и производства. Наряду с применяемой технологией они определяют трансакционные и трансформационные (производственные) издержки, которые в совокупности составляют общие издержки производства. Трансакционные издержки - это все издержки, которые не относятся непосредственно к физическому процессу производства благ. Они включают издержки, возникающие в процессе переговоров о коммерческой сделке, ее заключения и контроля за ходом ее выполнения. Поэтому одной из важнейших задач государства является такое совершенствование социально-экономического механизма, при котором трансакционные издержки участников рыночного обмена были бы минимальны.
Таким образом, вместе с применяемой технологией институты определяют величину трансакционных и трансформационных издержек и, следовательно, определяет рентабельность и привлекательность той или иной экономической деятельности.
Создатель фундаментальной теории институциональной экономики лауреат Нобелевской премии Дуглас Норт показал, что организационные факторы - экономические, идеологические, политические и социальные - играют более важную роль, чем технические, поскольку ведут к изменению институтов, которые, в свою очередь, оказывают существенное влияние на развитие экономики [2.11]. Неоклассическая теория, по мнению Д.Норта, не раскрывает проблему взаимной обусловленности
институциональных изменений и экономического роста.
Трансакционные издержки представляют собой ключевой пункт новой институциональной теории. По мнению Д.Норта, все издержки производства в рамках неоклассической традиции сводятся к трансформационным издержкам, а условия максимизации прибыли - к задаче минимизации трансформационных издержек.
Отсюда вытекает возможность на основе предпосылки о технологической эффективности использовать производственные функции для объяснения поведения фирмы в различных структурах для определения условий общего экономического равновесия.
Так как точкой отсчета для интеграции категории трансакционных издержек в экономическую теорию является неоклассическая модель - модель совершенной конкуренции, предполагающая Парето-оптимальность размещения ресурсов в условиях равновесия, то ослабление данной предпосылки позволяет говорить о нарушении принципа технологической, а, следовательно, и аллокативной эффективности. С этой точки зрения трансакционные издержки могут рассматриваться как препятствие к полной реализации взаимных выгод торговли и принципа сравнительного преимущества, обеспечению устойчивого экономического роста.
Институты связывают прошлое с настоящим и будущим.
Предпосылками экономического развития западноевропейских стран, в свое время, явились экономические стимулы, основанные на индивидуальных правах собственности. Ключом к экономическому росту сегодня является эффективная организация экономики.
Эффективная экономическая организация означает создание такой кооперации между людьми, которая позволяет экономическим системам извлекать выгоду из торговли. Именно развитие институтов, создающих благоприятную среду для совместного решения сложных проблем обмена, обеспечивает экономический рост.
Дуглас Норт пришел к важнейшему выводу о том, что если законы могут быть изменены в течение короткого времени, то неформальные нормы меняются постепенно. Но именно такие нормы создают легитимную основу для действия законов, а революционные изменения последних часто приводят к результатам, отличающимся от ожидаемых.
Отсюда следует, что для успешного осуществления реформ необходимо изменение институциональной системы. Институциональные реформы должны быть одним из главных приоритетов на этапе переходной экономики, хотя институты требуют постоянного и непрерывного совершенствования. Модификация норм поведения, поддерживающих и легитимизирующих новые законы, является длительным процессом и при отсутствии такого побудительного механизма государственное устройство не может быть стабильным. Этим объясняется и чрезвычайная важность активного формирования законодательной базы рыночной экономики.
Государству принадлежит важная и непреходящая роль в создании и сохранении условий, необходимых для функционирования рыночной экономики. Сюда относится система законодательства, четко оговоренные права собственности, исполняемые контракты и развитие корпоративного права. Именно активная институциональная реформа сможет направить стихийно развивающийся процесс в нужное русло.
Бедность в странах «третьего мира» царит потому, что институциональные ограничения в этих странах вознаграждают такие политические и экономические решения, которые не благоприятствуют продуктивной деятельности.
Только в последнее десятилетие в бывших социалистических странах пришли к пониманию, что именно базовая институциональная система этих стран явилась главной причиной
плохого функционирования экономики и поэтому пытаются перестроить институциональную систему, с целью создания новых стимулов, которые должны заставить предприятия вступить на путь роста продуктивности.
Дуглас Норт показал, что самым важным источником институциональных изменений являются фундаментальные изменения в соотношении цен.
Поэтому либерализация цен в 1992 году в России и других странах СНГ способствовала «высвобождению» денежных трансакционных издержек. Столкнувшись с резким ростом трансакций, предприятия стали принимать попытки снизить их посредством неплатежей, а впоследствии и заместить меньшими издержками в форме взаимозачетов. У предприятий появилась возможность выбора между приобретением ресурсов либо на открытом рынке, либо посредством натурального обмена. Однако натурализация обмена росла ускоренными темпами, что привело к практически полной демонетизации реального сектора экономики и резкому снижению налоговых поступлений в бюджет.
Механизм развития бартера был схож с механизмом роста неплатежей между предприятиями: бартер также как и неплатежи, прежде всего, выступал как средство поддержания производства в условиях несовершенного рынка. Отрицательной стороной бартеризации экономики считается общее снижение экономической эффективности. Саму традицию натуральных обменов в советской экономике можно рассматривать как историческую предпосылку последующего распространения бартера. Потом уже бартер стал саморазвивающимся явлением и превратился в систему.
Рыночные институты пока развиты слабо. Это относится, прежде всего, к частной собственности (в особенности на землю и недра и их рыночный оборот) и «эффективным собственникам», независимой судебной системе, которая призвана защищать права собственности и контракты, к конкуренции и кредитным учреждениям, т.е. к фундаментальным институтам рынка.
Переход к устойчивому росту невозможен без существенного углубления институциональных реформ. Речь должна идти о втором этапе реформ по комплексному развитию рыночных институтов.
Низкая дисциплина «контрактов» порождает специфически посткоммунистический вид трансакционных издержек дополнительные затраты и усилия экономических агентов, связанные с необходимостью самостоятельно, а не при помощи государства защищать свои права и интересы.
Со всей остротой назрела необходимость проведения новой арбитражно-судебной реформы, направленной на неукоснительное исполнение норм хозяйственного законодательства, защиту интересов добросовестных предпринимателей, в том числе и от бюрократических посягательств.
В этой связи была проделана большая работа по созданию судебной системы, способной применять законы прозрачным и предсказуемым образом по всей стране. Судебным органам были выделены дополнительные средства, судебные процедуры были упорядочены, а судьи и другие специалисты в области юриспруденции при поддержке международных финансовых организаций начали регулярно и систематически обучаться практике применения конкретных законов и нормативных документов, регулирующих рыночные отношения, отношения собственности, дисциплину исполнения контрактов.
Наряду с «контрактами» фундаментальными институтами рыночной системы, которые нуждаются в дальнейшем развитии, являются частная собственность и конкуренция. От состояния этих институтов зависит эффективность рынка как особого способа организации экономической деятельности.
Однако там, где прошла приватизация, чаще возникала квазичастная собственность - смешение прав собственности различных субъектов. До тех пор пока права собственности на предприятиях не будут четко определены, нельзя рассчитывать на приток производственных инвестиций, модернизацию промышленности.
В связи со всем вышесказанным, с самого начала, нами осуществлялась энергичная и широкомасштабная программа по обновлению и совершенствованию законодательства и модернизации судебной системы. Были приняты основные экономические законы, включая Налоговый Кодекс, Гражданский Кодекс, Земельный Кодекс, закон о государственных закупках, закон об иностранных инвестициях, закон о залоге, закон о банкротстве, законы о банках и банковской деятельности. Большая работа была проделана в отношении усовершенствования законодательства по страхованию, рынку ценных бумаг, инвестиционным фондам, лизингу, земле и горнодобывающей деятельности.
Литература к главе второй:
2.1. Шаванс Б. Эволюционный путь от социализма. - М.: Вопросы экономики, 2999, № 6.
2.2. Альбах X. Цветущие ландшафты? (к исследованию трансформационных процессов) - М., Вопросы экономики, 1999, №6.
2.3. Дж.Стиглиц. Куда ведут реформы (к десятилетию начала переходных процессов). - Вопросы экономики, 1999, № 7.
2.4. Шумпетер Й. Теория экономического развития. - М.: Прогресс, 1982 - 454 с.
2.5. Зарицкий Б.Е. Людвиг Эрхард: секреты «экономического чуда» - М.: Изд-во БЕК, 1997 - 298 с.
2.6. Эрхард Л. Благосостояние для всех. Пер с нем. М., 1991.
2.7. Ламперт X. Социальная рыночная экономика. Германский путь. - М.: «Дело ЛТД», 1994 - 224 с.
2.8. Пригожин И., Стенгерс И. Порядок из хаоса. - М.: Прогресс, 1986
2.9. Занг В.Б. Синергетическая экономика. - М.: Мир, 1999 -
335 с.
2.10. Хайек Ф.А. - Дорога к рабству. - М.: Экономика, 1982 -
176 с.
2.11. Норт Дуглас. Институты, институциональные изменения и функционирование экономики. - М.: 1997, Фонд экономической книги «Начала».
Глава третья. Стратегия реформ в переходной экономике
Для прогресса экономики важнейшим является не столько рост, как в большей степени изменения и инновации, приводящие к замене старого новым.
Йозеф Шумпетер
Попытки централизации управления производством и распределения всех ресурсов в соответствии с государственным планом, предпринятые Советским Союзом и другими социалистическими странами в двадцатом столетии, потерпели полный провал, что стало очевидным уже в 80-е годы.
В 90-е годы большинство социалистических стран отказалось от системы централизованного планирования и приступило к децентрализации экономики на основе широкого распространения частной собственности. Поэтому главной целью реформ стала разработка и реализация успешной программы перехода от плана к рынку.
К началу переходного периода отсутствовал опыт полномасштабной рыночной трансформации и разработчики реформ обратились к общим принципам перехода, выработанным в ходе структурных реформ в развивающихся странах в 70-х и 80-х годах, особенно в странах Латинской Америки, а также успешному опыту модернизации социализма и экономических реформ Китая в этот же период.
Начиная с 1989 года в социалистических странах Центральной и Восточной Европы начали активно осуществляться программы преобразований планово-командной экономики в свободную, рыночную. Конечно, программы преобразований, принятые в каждой стране имели свои достоинства и недостатки. Вскоре после начала перехода стало также очевидным, что процесс преобразований будет сопровождаться тяготами и лишениями для большинства граждан, снижением их жизненного уровня.
Именно следствием отсутствия эффективных программ реформирования действующей экономики явилось быстрое падение производства, усиление неравномерности в распределении доходов, резкое увеличение безработицы. В результате всего этого существенно снизился уровень жизни рядовых граждан.
Программы реформирования планово-командной экономики, которые успешно использовались в начале 90-х годов в странах Восточной Европы - Польше, Чехословакии и Венгрии, включали в себя как обязательные компоненты следующие основные меры:
1) либерализация экономики посредством устранения контроля над ценами и предоставления свободы предприятиям;
2) макроэкономическая стабилизация;
3) приватизация государственной собственности;
4) предоставление крестьянам права собственности или пользования земельными участками;
5) формирование правовой и институциональной основы рыночной экономики;
6) создание новой системы социальной защиты.
Основной проблемой для правящей политической элиты стал выбор темпов и последовательности реформ - стратегии действий в каждом из перечисленных направлений.
Дискуссия о темпах реформ велась преимущественно вокруг двух путей перехода:
1) быстрые и радикальные реформы;
2) частичные преобразования и постепенное их углубление.
В первом случае речь шла о быстрой либерализации цен и торговли, а также проведении целенаправленной неотложной программы стабилизации, призванной обеспечить устойчивые цены. Требовалось также быстрое создание условий для появления новых частных предприятий.
Реформы же в таким направлениях, как создание правовой и институциональной основы рыночной экономики, включая формирование рыночной финансовой системы, а также сети социальной защиты, адаптированной к рыночным условиям, по природе своей происходят медленно и занимают многие годы и даже десятилетия.
В настоящей главе мы рассмотрим стратегию реформ, принятую в Кыргызстане в следующих важнейших направлениях перехода: либерализация, стабилизация и создание сети социальной защиты, как важнейшего фактора экономического роста и устойчивого человеческого развития. Стратегия действий в проведении приватизации и земельной реформы, а также формировании правовой и институциональной базы была подробно изложена в предыдущей второй главе.
В 1990-1991 годах Польша подала пример успешной быстрой либерализации и последующей стабилизации экономики, наряду с энергичной приватизацией, которая была названа «шоковой терапией» экономики. В январе 1991 года по этому пути пошла и Чехословакия. Опыт Польши убедил, что оптимальным решением проблемы преодоления глубокого экономического кризиса с огромными дефицитами и диспропорциями является быстрое и радикальное изменение экономической системы.
«Шоковая терапия», которая проводилась в Польше по плану министра финансов Л.Бальцеровича, быстро привела к финансовой стабилизации: резкому сокращению темпов инфляции,
значительному уменьшению дефицита, а также стабильному обменному курсу валюты. Исчезли товарный дефицит и очереди, в которых простаивало население. Магазины наполнились товарами. Все это подготовило хорошую почву для дальнейшего продвижения реформ, в особенности для успешного проведения широкомасштабной приватизации и структурных преобразований в экономике.
Но не только скорость осуществления основной фазы перехода играет роль, но и момент запуска реформ. Фактор времени и экономически и политически играет очень важную роль. Страны, которые в начале радикальной реформы запоздали по каким-то причинам, в конце концов, также добились успеха, но уже в более сложных и тяжелых условиях. Например, Грузия под руководством Президента Э.А.Шеварднадзе в последние годы добилась больших успехов, наверстывая упущенный шанс в начале 90-х годов.
В 1992 году Россия первой среди стран СНГ сняла государственный контроль над ценами, начав либерализацию экономики в целом. Вслед за Россией, в числе первых стран, вставших на путь радикальной реформы экономики, был и Кыргызстан.
Начало радикальной экономической реформы в 1992 году в России было событием исключительной важности для новых независимых государств (ННГ).
Огромная заслуга Президента Российской Федерации Ельцина Б.Н. заключалась в том, что он собрал самую лучшую команду специалистов во главе с Е.Гайдаром и доверил ей проведение новой экономической политики. Президент Ельцин Б.Н. проявил себя как решительный политический руководитель и обнаружил глубокое понимание сути необходимых радикальных преобразований.
Однако действия Российского правительства не были последовательны. В начале 1992 года правительством был предложен большой пакет программ, основу которых составляли либерализация цен и финансовая стабилизация. Несмотря на острую критику программ со стороны общественности и противостояние съезда народных депутатов, Президент Ельцин Б.Н. добился реализации первого этапа радикальной реформы до лета 1992 года. Во второй половине 1992 года реформы практически не проводились. Уже в мае 1992 года правительство Е.Гайдара под давлением консервативного парламента смягчило денежную политику, а в августе председатель Центробанка России В.Геращенко посредством взаимозачета долгов окончательно сорвал усилия по финансовой стабилизации. Таким образом, уже с августа 1992 года практические меры по стабилизации экономики прекратились, начался безудержный рост денежной массы, а инфляция вновь возросла до 30 % в месяц. Поэтому в декабре 1992 года Россия уже стояла на пороге гиперинфляции. В начале 1993 года министр финансов Борис Федоров довольно много сделал, чтобы сдержать инфляцию. К концу 1993 года Россия уже стояла на пороге макроэкономической стабилизации.
Если первые попытки стабилизации были неуспешны или они предпринимались недостаточно быстро, создается инфляционная инерция - то, с чем столкнулась Россия в 1992-1993 годах, Украина - в 1995-1996 годах. Потом надо было ждать год-полтора, пока более жесткая фискальная денежная политика даст ожидаемый результат.
Вместе с тем проявились и негативные стороны «шоковой терапии»: более глубокий спад производства, большая безработица и сокращение реальной заработной платы. Однако это компенсировалось тем, что время спада было самым коротким, а рост рыночного сектора - самым быстрым.
Дело в том, что «шоковая терапия» требовала проведения жесткой денежно-кредитной политики. При переходе к рыночным отношениям при жестких бюджетных ограничениях, после открытия экономики большая часть старых производственных структур, особенно в обрабатывающей отрасли промышленности, приходит в упадок, приводя к общему сокращению производства.
Одновременно благодаря экономической свободе и приватизации возникает новый, более эффективный рыночный сектор экономики, который сразу получает доступ к ресурсам старого сектора. Это и новые предприятия, и старые, вовлеченные в процесс приватизации и нашедшие эффективных собственников, проведших реструктуризацию. Главное то, что они оказались конкурентоспособными в новых условиях, начали наращивать производство и создавать положительную добавленную стоимость.
Таким образом, время было критической величиной для принятия решения политическими лидерами ННГ. Но политические лидеры в основном не были склонны к риску и, как правило, не готовы рисковать своей карьерой ради «шоковой терапии». Оказавшись лицом к лицу с необходимостью радикальных реформ, они, тем не менее, стремились перевести ее в плоскость малых поэтапных решений, небольших отклонений от статус-кво, «покупая» тем самым возможность политического долгожительства.
Отец польской «шоковой терапии» Л.Бальцерович справедливо назвал начальный этап переходного периода -периодам «экстраординарной политики», имея в виду ситуацию, когда политические деятели имеют огромный политический капитал, а избиратели готовы мириться с радикальными экономическими мерами. В этом он усмотрел аргумент в пользу осуществления резких, радикальных перемен именно в самом начале реформ. Далее наступают тяжкие будни нормальной политики, которые и составляют основу стабильного демократичного правления. Поэтому и дальнейшее развитие экономики должно пойти последовательно и целенаправленно. Бывает и так, что общество готово к кардинальным переменам и настаивает на необходимости радикальных реформ, ведя за собой политических лидеров. В СНГ, после такого шокового удара каким был распад Советского Союза, трагических межэтнических конфликтов и особенно неудач с Горбачевской перестройкой в экономике, ситуация конечно была другой.
Однако на постсоветском пространстве в 1992 году единственным приемлемым вариантом оставалось проведение радикальных и комплексных реформ, поскольку в 1991 году Советский Союз имел бюджет с дефицитом в 28% ВВП и неизбежно назревал взрыв цен.
Возможно, исключение составляли Узбекистан и Туркменистан - значительная доля экономики которых приходится на экспорт природных ресурсов: нефти и газа, нефтепродуктов, а также хлопка. В этих странах сокращение производства было минимальным, поскольку на энергоносители держался достаточно стабильный спрос, а цены на нефтепродукты, газ и хлопок поднялись до уровня мировых.
Поэтому неудивительно, что эти страны избрали второй путь перехода, названный «эволюционным».
При эволюционном варианте реформ спад в старом секторе протекает медленнее, но и развитие нового сектора тормозится. Период спада просто затягивается. В целом интегральная величина потерь оказывается намного больше. Альтернативы поднять производство, кроме как на основе роста нового сектора нет, ибо иначе ресурсов, как правило, не достает на одновременное поддержание старого сектора и на подпитку нового сектора.
Спор о двух путях перехода к рыночной экономике - шоковой терапии и эволюционному продвижению - завершился в пользу шоковой терапии. Именно быстрые и комплексные реформы привели к практическому успеху и показали свою ценность и эффективность в сравнении с частичными и постепенными, что и было убедительно показано в ряде фундаментальных исследований [3.1.-3.7].
Либерализация, стабилизация и экономический рост тесно связаны между собой. Это закономерность, которая наблюдалась во всех странах действительно идущих к рынку; она была исследована в уже указанных работах [3.1-3.7].
Либерализация экономики включает в себя отпуск цен на волю рынка, предоставление свободы предприятиям и смягчения внешнеторгового режима.
Либерализация цен стала важнейшим импульсом для развития рыночных реформ. Можно утверждать, что реформы пошли именно с момента широкомасштабной либерализации цен. Более того, освобождение цен было непременным условием для движения к рыночной экономике. Либерализация цен стала краеугольным камнем модели реформ в переходной экономике.
Либерализация внешней торговли почти всегда была важнейшим слагаемым успеха структурных реформ.
Основной чертой рыночной экономики является свободное предпринимательство. В рыночной экономике человек должен иметь право создавать, управлять, извлекать прибыль с частного предприятия. Они должны иметь возможность свободно назначать цены и добровольно заключать контракты. Свобода предприятий крайне важна для функционирования рынка.
Либерализация важна тем, что заставляет предприятия ориентироваться на потребительский спрос и получение прибыли в условиях конкуренции, а самое главное - обеспечивает соответствие относительных цен истинному соотношению спроса и предложения. Свободный рынок обрабатывает информацию гораздо лучше плановой системы, а в условиях свободной торговли товарами и услугами эффективно работает основной механизм ценообразования - «невидимая рука» по Адаму Смиту.
Таким образом, только широкомасштабная и одномоментная либерализация экономики позволяет энергично развиваться свободной торговле, сфере услуг, финансовому сектору, частному предпринимательству и новым предприятиям - основным компонентам и движущим силам рыночной экономики. Это особенно ярко проявилось в опыте реформ стран Восточной и Центральной Европы [3.6].
Однако негативным следствием либерализации экономики и, в первую очередь, либерализации цен явился всплеск инфляции как результат выхода наружу подавленной инфляции, т.е. наличия огромного «денежного навеса». В постсоветских странах, вкупе с эмиссией денег для финансирования огромного бюджетного дефицита, либерализация цен привела к гиперинфляции, обесценившей все сбережения.
В условиях высокой инфляции и большого макроэкономического дисбаланса свободные цены не могут играть роль надежных рыночных сигналов. Поэтому неотложной задачей является стабилизация экономики.
Стабилизация экономики включает в себя подавление инфляции, как первый необходимый шаг, а также преодоление диспропорций в народном хозяйстве и во внешнеэкономической сфере. Опыт разных развивающихся стран, как с рыночной, так и переходной экономикой показывает, что если уровень инфляции превышает критическое значение, равное приблизительно 40 процентам в год, рост экономики резко замедляется. Поэтому стабилизация является неотъемлемой частью программы реформ. Рост в экономике, как правило, начинается лишь после того как удается подавить инфляцию до достаточно низких значений, порядка 35% годовых [3.3-3.4]. Таким образом, стабилизация является необходимым условием для возобновления экономического роста.
Стабилизация достигается через ограничение денежной массы в обращении и сбалансирование государственного бюджета.
Итак, либерализация экономики непременно должна сопровождаться решительными мерами по стабилизации. Иначе переходный процесс может потерять темп и застопориться, что, в свою очередь, может спровоцировать ситуацию длительной нестабильности в обществе.
Таким образом, либерализация и стабилизация, как два неразрывно связанных между собой комплекса реформ, должны были осуществляться в самом начале реформ. Вообще, суть первой фазы переходного процесса, как предлагали радикальные реформаторы - авторы «шоковой терапии» и как подтвердила практика реформ, состоит, прежде всего, в широкомасштабной либерализации экономики, с последующим достижением стабилизации, а также в запуске приватизации.
В долгосрочном аспекте чрезвычайную важность имеют институциональные преобразования - установление четких прав собственности и создание рыночной правовой и финансовой инфраструктуры. Однако изменения в этой сфере по природе своей происходят медленно и требуют неустанной и кропотливой работы. Переход же к рыночной экономике нельзя считать завершенным до тех пор, пока не будет создана надежная институциональная база.
Успех реформ зависел также от административного потенциала и от возможности управления политическими аспектами реформ. Поэтому уже на начальных этапах реформ требовалось проведение административной реформы для реорганизации государственного аппарата.
Важно знать какова была ситуация в экономике постсоветских стран перед началом рыночных реформ или выражаясь математическим языком - каковы были начальные условия?
Прогрессирующее ухудшение показателей экономического роста в Советском Союзе наблюдалось уже с середины 70-х годов и продолжалось до конца 80-х годов. С момента распада СССР во всех ННГ имело место значительное сокращение объема производства. Снижение реального ВВП стран СНГ в 1991 году составило 10%, а в 1992-1993 годах - в среднем около одной трети и в 1994 году последовало дальнейшее значительное сокращение. Необходимо подчеркнуть, что все это имело место практически до начала запуска стабилизационных программ.
Спад производства в СНГ был неизбежным по ряду причин:
1) дезинтеграции единого народного хозяйства и как следствие разрыва традиционных хозяйственных и экономических связей;
2) резкого спада объемов торговли между ННГ;
3) структурных диспропорций, порожденных
централизованным планированием;
4) изменения структуры спроса в результате либерализации рынка;
5) уменьшения капиталовложений.
Только повышение цен на энергоносители до мирового уровня, как показали эксперты МВФ [3.7], привело к ухудшению условий торговли примерно на 23% в 1992 году и дальнейшее ухудшение более чем на 10% - в 1993-1994 годах. Исходя из объемов товарооборота в 1990 году по оценкам экспертов привело к снижению ВВП в среднем на 13%!
Для таких стран, как Кыргызстан, являвшихся импортерами энергоносителей, это означало еще более резкое ухудшение условий торговли и соответственно, заметное и необратимо снижение реальных доходов.
Кроме того, Кыргызстан, как и другие ИНГ Средней Азии, получал ежегодные безвозмездные субсидии (трансферты) из союзного бюджета - порядка 10-12% ВВП. Другая скрытая форма субсидий была заложена в относительно низких, по сравнению с мировыми, ценах на энергоносители. В целом общий объем субсидий, как прямых, так и косвенных, составлял порядка 20% ВВП. С распадом СССР, начиная с 1992 года, все эти субсидии также прекратились.
Одним словом, если учесть, что в 1991 году бюджетный дефицит СССР составлял 28% ВВП, то в 1992-й год Кыргызстан фактических входил с бюджетом урезанным наполовину, т.е. на 50%!
Резкое сокращение объемов производства в сочетании с высокой инфляцией и растущей дифференциацией доходов населения, привело к значительному обнищанию большей части населения.
Поэтому для решения проблемы незащищенных слоев населения требовалась эффективная социальная политика, направленная на смягчение последствий рыночных преобразований для бедных слоев населения и меры, способствующие устойчивому человеческому развитию. Как утверждал великий Кейнс: «Выход из депрессии возможен только при сильной социальной политике».
Суммируя все выше сказанное, экономическую ситуацию в Кыргызстане перед началом реформ, аналогично большинству стран СНГ, можно было охарактеризовать высокими темпами инфляции, сопровождавшимися резким спадом производства и большой безработицей. Такое состояние экономики великий экономист профессор П.Самуэльсон назвал «стагфляцией». Таким образом, Кыргызстан вступал в переходный процесс в условиях стагфляционного кризиса, который является наиболее трудным для преодоления. В Кыргызстане в 1992 году мы избрали путь быстрых и комплексных реформ, которые, несомненно, привели к успеху. Этому способствовали также решительная и радикальная перестройка политической системы на демократический лад.
Суть стратегии реформ в Кыргызстане заключалась в том, чтобы энергично проводить структурные преобразования в экономике, но при этом максимально компенсировать для населения тяготы быстрых реформ посредством увеличения доли социальных расходов в ВВП. В 1992-1997 годах социальные расходы возросли с 36% до 51% ВВП. Именно это обеспечивало социальный консенсус и поддержку реформ.
Для того чтобы эффективно использовать эти средства требовалось создать новую адресную систему социальной защиты, чтобы обеспечить менее болезненную адаптацию к рынку для наиболее нуждающихся слоев населения. Именно с этой целью совместно с Всемирным Банком был разработан и успешно реализован в 1995-1998 годах проект новой «сети социальной защиты». Основные усилия также были направлены на ограничение масштабов бедности, на борьбу с бедностью. С этой целью с привлечением видных международных экспертов, под эгидой ПРООН была разработана первая в СНГ программа по «Устойчивому человеческому развитию», которая реализуется с конца 1996 года при финансировании стран-доноров. Свой ощутимый вклад в дело борьбы с бедностью вносит также национальная программа «Аракет» («Действие»),
Реформы в здравоохранении и образовании позволили сохранить доступность к их услугам всех граждан независимо от уровня их дохода. Проект реформирования здравоохранения был поддержан Всемирным Банком, а в системе образования Азиатским Банком развития.
Если сказать одним словом: наш выбор состоял в формировании социально-ориентированной рыночной экономики. Таковы были составляющие успешного перехода от плана к рынку в Кыргызстане в 1992-1997 годах. Практика реформ убедительно показала, что для успеха реформ требуется решительная последовательная и неотступная политика радикальных преобразований. В тех странах, где проводилась такая политика, возобновление экономического роста обычно наступало через три года после целенаправленного проведения стабилизационных мер [3.3, 3.4, 3.6]. В тех же странах, где ограничивались эпизодическими мерами, наблюдалась затяжная инфляция и дальнейшее углубление кризиса, что явилось причиной возврата к жизни в отдельных странах командно-административного управления.
В Кыргызстане возобновление экономического роста наступило в точности с «расписанием стабилизация-рост» в 1996 году, поскольку действенная программа макроэкономической стабилизации была начата в мае 1993 года при поддержке МВФ, наряду с введением национальной валюты - сома. Причем рост ВВП был значительным — 7,1%!
3.1. Либерализация и инфляция
Радикальные экономические преобразования в Кыргызстане были начаты в 1992 году с одномоментной либерализации цен и отмены государственных субсидий и контроля над ценами, что позволило быстро привести структуру внутренних цен в соответствие с условиями свободных внутренних и внешних рынков. Этому содействовало одновременное открытие внутренних рынков для конкуренции с импортными товарами, которые стали завозиться «челноками», сыгравшими большую роль в создании рынка в Кыргызстане.
Либерализация цен и торговли ознаменовала переход к свободным рыночным ценам и тарифам, формирующимся под влиянием спроса и предложения на средства производства, потребительские товары, услуги и труд. Цены были отпущены почти на все товары производственного назначения, кроме цен на энергоносители и транспортных тарифов, на все потребительские товары, кроме хлебобулочных изделий, а также отдельных видов коммунальных услуг.
Либерализация цен показала подлинную стоимость всех вещей, степень деформированности экономики в целом и отдельно каждой ее отрасли.
Либерализация цен сбила избыточный спрос и повлекла за собой увеличение производства товаров, пользующихся спросом. Возросло не только количество товаров, но и улучшились их качество и ассортимент. Также улучшилась ситуация за счет большей доступности качественных импортных товаров. Дефициты стали быстро исчезать, а полки магазинов стали наполняться невиданными ранее товарами. Определяющим в развитии торговли в Кыргызстане, начиная с 1992 года, стал неформальный рынок (торговля на вещевых, смешанных и продовольственных рынках), который с момента либерализации стал развиваться более динамично по сравнению с организованной торговой сетью.
Люди поверили в способность рынка распределять товары.
Постепенно дерегулирование стало нормой. К концу 1993 года регулирование осталось только в следующих секторах - энергетике и коммунальном обслуживании.
Либерализация также предполагала отмену системы государственного заказа и поставок, ликвидации государственных производственных и торговых монополий, что было осуществлено уже на второй фазе переходного процесса.
Важнейшим условием создания эффективного и конкурентоспособного производственного сектора, а также предоставления широкого выбора потребителям является либерализация внешней торговли, услуг и операций. Соответствующие меры включали смягчение тарифных ограничений, введение свободного доступа к иностранной валюте, обеспечение прав прямых иностранных инвесторов.
Процесс либерализации внешней торговли был завершен в 1994 году, введением единых низких тарифов на импорт.
В настоящее время в Кыргызстане один из наиболее либеральных режимов внешней торговли в развивающемся мире. Сегодня осуществляется свободная торговля с большей частью стран СНГ и тарифная ставка на импорт из стран дальнего зарубежья составляет 10% почти на все товары. Это низкая ставка. Тарифный и нетарифный контроль на экспорт полностью исключен.
В странах СНГ обсуждался также альтернативный вариант либерализации - поэтапная либерализация, которая была принята отдельными странами для реализации на практике.
Поэтапная либерализация, предусматривающая серию единовременных повышений цен, имеет больше негативных свойств, тогда как ее преимущества в смысле большей мягкости и гуманности на деле оказываются нереализуемыми. Если часть цен свободна, а часть регулируется, то неизбежно возникают условия для злоупотреблений и диспропорций. Это также способствовало перекачке огромных средств из госпредприятий в частный сектор.
Уже осенью 1990 года процесс повышения цен в СССР практически вышел из-под контроля и стал стихийным. Поэтому в условиях конца 1991 года общая либерализация цен была наиболее оптимальным и единственно возможным решением, что и сделало российское правительство во главе с Егором Гайдаром в начале 1992 года.
Одним из главных следствий либерализации цен в странах СНГ стала ликвидация огромного «денежного навеса», накопленного в предшествующие годы. «Денежный навес» исчез в течение нескольких месяцев. Правда цена также оказалась немалой: произошел одномоментный ценовой скачок. По оценкам специалистов произошло сразу тридцатикратное повышение розничных цен.
Таким образом, вслед за либерализацией цен в странах СНГ сразу последовал начальный взлет инфляции, измеряемый 1672 процентами. В дальнейшем высокая инфляция, подпитываемая огромным дефицитом бюджета, приняла затяжной характер, временами переходя в гиперинфляцию (инфляция превышающая 50-процентный уровень в течение, по крайней мере, одного месяца).
На начальном этапе реформ, в 1992-1993 годах страны СНГ находились в единой российской рублевой зоне, которая порождала безответственную денежно-кредитную политику и не обеспечивала необходимого механизма взаимных расчетов. Общей рублевой зоне изначально была присуща инфляционная тенденция, что было вызвано стремлением каждой страны поживиться за счет других. Поэтому центральные банки республик соревновались в осуществлении большей кредитной эмиссии. Объем денежной эмиссии в России в 1992-1993 годах превысил 16% ВВП! Впоследствии объем денежной эмиссии в странах, проводивших решительные и эффективные меры по стабилизации, стабилизировался на нормальном уровне - порядка 1,5% ВВП. Уже в 1992 году осуществление скоординированной денежно-кредитной политики на всем пространстве СНГ стало невозможным. В середине 1992 года Центробанк России упразднил систему автоматических безналичных расчетов между банковскими вкладами в России и ННГ. Перестал работать платежный механизм. Начался бартер в межреспубликанской торговле.
Мы, в Кыргызстане, уже в начале 1992 года пришли к убеждению, что, находясь в общей рублевой зоне, не сможем использовать решающей роли денег и кредита в деле макроэкономической стабилизации экономики, в формировании рыночной экономики, поэтому сразу приступили к подготовке денежной реформы. Только введение национальной валюты давало возможность проведения независимой целенаправленной финансовой политики, направленной на скорую стабилизацию, на обуздание инфляции.
Остановимся подробнее на причинах и механизмах запуска затяжного инфляционного кризиса, который переживали все страны СНГ в 1992-1996 годах.
Хорошо известно, что инфляционный кризис всегда связан с ростом бюджетного дефицита, финансируемого при помощи денежной эмиссии [3.3]. В 1992-1993 годах почти все страны СНГ имели огромные бюджетные дефициты, которые пытались финансировать, как уже выше сказано, за счет щедрых кредитов центробанков, поскольку переходный процесс в странах СНГ сопровождался резким сокращением налоговых и прочих поступлений в государственную казну. Денежная эмиссия в эти годы практически сравнялась с общей величиной доходных поступлений в госказну. Инфляция, поощряемая чрезмерным ростом денежной массы, фактически явилась скрытым налогом, так как приводила к уменьшению реальной стоимости денежных средств населения.
Высокая инфляция последовала за ростом денежной массы по всей рублевой зоне с отставанием всего в четыре месяца. В странах СНГ в 1992-1994 годах в целом наблюдалась ярко выраженная связь между средними темпами инфляции и скоростью прироста денежной массы. В отдельные промежутки времени наблюдалось резкое расхождение между ними, что проявлялось в повышении скорости обращения денег и сокращении реальных денежных остатков [3.7]. Причиной последнего явления служат процессы бегства от денег, избавления от них. В Кыргызстане наблюдалось увеличение скорости обращения денег почти в три раза в экстремальных ситуациях. Этот дополнительный инфляционный фактор, по действию более значительный в экстремальных случаях, чем эмиссия денег, - приводил к ускорению темпов в инфляции.
Начиная со второй половины 1992 года, в странах СНГ начал стремительно падать спрос на деньги в реальном выражении, что вызвало дальнейший рост инфляции. Всплеск инфляции в 1992 году во многом был связан с резкой девальвацией российского рубля, который обесценился за год почти в десять раз!
Итак, в 1992 году первоначальный взлет инфляции был вызван либерализацией цен и высвобождением «денежного навеса», накопленного в предыдущие годы. Деньги, находящиеся в обращении и в банках превысили ценность товаров и услуг, которые могли приобрести предприятия и население, а образовавшийся излишек денежной массы буквально захлестнул рынок, вызвав резкий рост цен. В дальнейшем высокая инфляция поддерживалась большими масштабами денежной эмиссии, выпускавшейся для решения острейших бюджетных проблем, а точнее для покрытия дефицита бюджета.
После того как многие страны СНГ в ходе реализации программ стабилизации сократили объемы денежной эмиссии, размеры инфляции стали определяться ростом издержек производства. Решающим для Кыргызстана было влияние экзогенных факторов, в особенности резкое повышение цен на импорт энергоносителей, а также многих видов сырья и комплектующих деталей. Так в 1992-1993 годах имело место десятикратное увеличение цен на энергоносители, причем большая часть роста цен пришлась на второе полугодие 1993 года. Именно эти повышения внешних цен существенно повлияли на повышение скорости обращения денег. Воздействие внутренних источников повышения издержек также было значительным. В 1992 году продолжался неконтролируемый рост заработной платы на государственных предприятиях промышленного сектора, а также в других сферах экономики.
В последние годы, в особенности в 1998-1999 годах, в Кыргызстане внутренний инфляционный процесс носит структурный характер. Серьезным препятствием для снижения инфляции на данном этапе стала незавершенность реформы цен. Цены на электроэнергию, теплоснабжение и ряд других коммунальных услуг, также как и во многих странах с переходной экономикой, до сих пор не поднялись до уровня рыночных. Колебания валютного курса также вызывают инфляционные колебания.
Выше мы описали причины, запускающие механизмы ускорения темпов инфляции. Возникают вопросы: почему инфляции придается такое большое значение? Каковы последствия умеренной и высокой инфляции? Что делать с инфляцией?
Экономическая практика XX столетия дала исчерпывающие ответы на эти вопросы. Умеренная или ползучая инфляция - до 10 процентов годовых, считается позитивным явлением, так как сопровождается ростом деловой активности. Высокая инфляция означает рост цен в пределах 5-50% в месяц и непременно сопровождается спадом производства и ростом безработицы. Поэтому с высокой инфляцией необходимо решительно бороться, чтобы подавить ее до умеренных темпов.
Здесь весьма поучительно обратиться к мнению классика современной экономики. Дж.Кейнс [3.8] выделял истинную и умеренную инфляцию. Об умеренной инфляции он говорил применительно к ситуации неполной занятости, когда увеличение совокупности спроса приводит, главным образом, к росту производства, инвестиций и занятости, т.е. оказывает воздействие на реальную экономику, которое отрицали неоклассики.
Истинная инфляция наступает, когда экономика проходит так называемые «критические точки». После этого наступает момент, когда увеличение спроса приводит только к росту цен и не оказывает влияния на реальные переменные. Это - ситуация полной занятости всех факторов, и только в ней, с точки зрения Кейнса, пригодна классическая теория инфляции, получившая название монетаристской теории. Дж.Кейнс сформулировал количественную теорию денег следующим образом: «Пока имеется неполная занятость факторов производства, степень их использования будет изменяться в той же пропорции, что и количество денег; если же налицо полная их занятость, то цены будут изменяться в той же пропорции, что и количество денег» [3.8].
Практика стран с переходной экономикой подтверждает правоту великого Кейнса. Истинная инфляция имеет на практике исключительно негативные последствия. Приведем пять основных негативных последствий истинной инфляции [3.1, 3.2, 3.9, 3,10]:
1. В условиях высокой инфляции деньги утрачивают основную функцию - единицы счета. Учет и отслеживание экономической деятельности посредством денег как единого измерителя становятся невозможными. Счета предприятий перестают отражать реальные объемы их производства. Начинается процесс бартеризации экономики.
2. Высокая инфляция порождает недоверие к национальной валюте и приводит к долларизации экономики, обесцениванию национальной валюты, поскольку инфляция отрицательно влияет на заимствование и кредитование, если не разрешить хождение инвалюты.
3. Инфляция «съедает» личные сбережения и приводит к значительному росту неопределенности. Первый фактор наносит серьезный ущерб внутренним инвестициям, а второй вредит иностранным капиталовложениям, препятствуя тем самым экономическому росту.
Инфляция обесценивает не только деньги, но и капитал, а также различные фонды предприятий, затрудняя тем самым нормальный воспроизводственный процесс.
4. Бюджету также наносится ущерб. Из-за временных лагов в сборе налогов инфляция приводит к резкому снижению налоговых поступлений, что дестабилизирует бюджет и еще больше подстегивает инфляцию.
5. Инфляция дестабилизирует ценностную структуру и крайне негативно отражается на всех перераспределительных процессах. Реальная заработная плата в госсекторе падает, подрываются стимулы к труду, начинает процветать коррупция. Общая нестабильность и неопределенность приводит к нарушению координации экономической деятельности.
Природа истинной инфляции такова, что преодолев относительно невысокий порог, она, как правило, стремительно ускоряется, превращаясь в галопирующую (от 20 до 200% годовых) или высокую инфляцию (5-50% в месяц), иногда переходя в гиперинфляцию (50% в месяц и выше), что в конечном итоге порождает негативные последствия, которые могут стать катастрофическими. Природа инфляции настолько сложна [3.9], а причины ее подстегивающие, настолько разнородны, что пытаться управлять ею - дело крайне рискованное.
В ряде стран СНГ придерживались мнения о том, что переходные экономики обладают существенными отличиями от рыночных и ввиду такой специфики можно использовать метод «дозированной инфляции» порядка 100% годовых для повышения платежеспособного спроса и оживления деловой активности, путем предоставления предприятиям относительно дешевого кредита. В тех странах, где применялся этот метод, кризис оказался более продолжительным, а принцип «дозированной инфляции» несостоятельным.
Таким образом, истинная инфляция - это зло для экономики и общества, а высокая инфляция - истинное зло!
Поэтому на вопрос: «Что делать с истинной инфляцией?», может быть только один ответ: «Принять все меры для скорейшего подавления!». В заглавии одной книги я прочитал прекрасный лозунг на эту тему: «Смерть инфляции!». Лучше сказать трудно.
3,2, Макроэкономическая стабилизация
Макроэкономическая стабилизация чрезвычайно важна для посткоммунистических экономических преобразований. Она важна постольку, поскольку создает основу для необходимой перестройки всей старой системы производства и распределения, предпосылки для структурных преобразований и последующего увеличения капиталовложений, ведущих к возобновлению экономического роста.
Ключевым вопросом стабилизации было и остается снижение инфляции. Опыт развивающихся стран Латинской Америки, Азии и
Африки с рыночной экономикой [3.3], а также постсоциалистических стран с переходной экономикой [3.4] убедительно показал, что при годовом уровне инфляции свыше 40% рост экономики практически прекращается. С другой стороны, снижение темпов инфляции ниже 40 процентов годовых, как правило, способствовало ускорению экономического роста. В работе [3.11] было показано, что закономерность эта действует в странах, представляющих все существующие группы - в индустриальных, развивающихся, странах энергоэкспортерах, странах с переходной экономикой, в странах с высоким и низким уровнем развития, в странах с крупным и незначительным экономическим потенциалом!
Таким образом, было установлено, что существует критический пороговый уровень годовой инфляции, при превышении которого прекращается экономический рост и начинается спад. Этот пороговый уровень оценивался путем эмпирических исследований [3.3, 3.4, 3.11] и было показано, что он располагается в пределах 35-50 процентов годовых. Следовательно, снижение инфляции до уровня ниже порогового значения 40% (общепринятое на сегодня среднее значение критического уровня) является необходимым условием возобновления экономического роста, хотя и недостаточным.
Взаимосвязь стабилизации и роста для стран с переходной экономикой была детально изучена и исследована в работе [3.4]. Авторы этой работы провели простой эконометрический анализ с целью выявления характера воздействия инфляции, а также основных факторов, определяющих темпы роста в краткосрочном периоде. Данный анализ привел авторов к следующим важным выводам:
1. Инфляция подавляется до критического уровня уже в год начала осуществления программы стабилизации, а затем продолжает медленно снижаться.
2. Вслед за стабилизацией начинается оживление в экономике, и через два года показатели экономического роста становятся положительными.
3. Низкий бюджетный дефицит обуславливает более низкую инфляцию и более высокие темпы роста.
4. В странах, проводивших более глубокие реформы, в частности структурные преобразования, темпы роста были выше.
5. Стабильный обменный курс национальной валюты является эффективным инструментом подавления инфляции и соответственно достижения экономического роста.
Борьба с высокой инфляцией наиболее успешно осуществляется «шоковой терапией», которая обычно предполагает резкое сокращение бюджетного дефицита, путем уменьшения расходов правительства. С другой стороны требуется прекратить оплачивать дефицит бюджета за счет кредитов Национального Банка Кыргызской Республики (НБКР).
В 1992-1993 годах, когда в России и других странах СНГ запускались программы стабилизации, самым важным был фактор времени: как сам момент запуска программы, так и скорость ее осуществления. Опыт лидеров среди стран Восточной и Центральной Европы, проведших к этому времени макроэкономическую стабилизацию показал, что только быстрые и неотложные меры принесли успех начальным реформам [3.5].
Дело в том, что характерная черта социалистической экономики - аномально высокая государственная нагрузка на экономику. Это обстоятельство послужило общим источником бюджетного кризиса, который с разной степенью остроты поразил на этапе стабилизации все страны Восточной и Центральной Европы, а также ННГ на постсоветском пространстве. Поэтому стабилизация осложнялась значительным бюджетным дефицитом, вызванным тем, что налоговые поступления сокращались гораздо быстрее, чем спад ВВП, а расходы сокращались намного медленнее. Что же касается тенденции сокращения налоговых поступлений в условиях высокой инфляции - это хорошо изученный экономический феномен, известный как эффект Оливьера-Танзи [3.5]. Длительная высокая инфляция формирует «мягкую» финансовую среду, в которой отсутствует эффективно работающий механизм, обеспечивающий точное выполнение финансовых обязательств; массовой формой ухода от налогов становятся взаимные неплатежи.
В результате в странах, избравших путь «мягкого» вхождения в рынок и прошедших через период длительной и высокой инфляции, государственные расходы приходится сокращать до уровней значительно более низких, чем в странах, осуществивших стратегию быстрой дезинфляции.
В Кыргызстане, осуществившем самую быструю дезинфляцию в СНГ, как отметил Е.Гайдар в своей работе [3.5], были наименьшие масштабы сокращения государственных расходов.
Радикальные реформы и быстрая дезинфляция обеспечивают значительно большую свободу финансового маневра, позволяя стабилизировать на относительно высоком уровне бюджетных расходов и увеличить тем самым финансирование социальных программ. В Кыргызстане, мы сделали все, чтобы извлечь максимум выгоды из этой ситуации. Именно благодаря этому обстоятельству в Кыргызстане удалось поддерживать расходы на социальную сферу на уровне более 50% всей расходной части бюджета в течение 1994-1999 годов.
Приведем здесь ряд важных выводов, к которым пришел Е.Гайдар в результате глубокого изучения вопросов стабилизации на постсоциалистическом пространстве [3.5]:
1 .Необходимой предпосылкой выхода из
постсоциалистического кризиса является денежная стабилизация, снижение темпов инфляции до уровней, совместимых с экономическим ростом. От национальных элит зависит выбор времени дезинфляции, но отказаться от нее они не могут.
2. Отсрочка денежной стабилизации прокладывает дорогу длительному периоду экстремально высокой инфляции. В течение этого периода падают доля денег в экономике и доля доходов бюджета в ВВП.
3. Когда политические элиты осознают, что откладывать стабилизацию далее нельзя, сокращать государственные расходы приходится наиболее резко, до существенно более низкого уровня, чем в странах, осуществивших быструю дезинфляцию. Острый бюджетный кризис, совпадающий по времени с реализацией программы денежной стабилизации, становится неизбежной расплатой за предшествующую «мягкую» денежную политику.
4. В странах, осуществивших быструю дезинфляцию, адаптация к постсоциалистической реальности оказывается более мягкой, но совокупные государственные расходы стабилизируются на необычайно высоком для рыночных экономик уровне. В странах, где период инфляции оказался растянутым, вынужденное резкое сокращение социальных расходов является непосредственным следствием избранного пути реформ. Адаптация общества к постсоциалистическим условиям здесь носит более жесткий, социально-конфликтный характер, сокращение государственной нагрузки на экономику более радикально.
5. Отсрочка в урегулировании бюджетного кризиса на основе реалистичного пересмотра бюджетных обязательств приводит к последствиям, сходным с теми, которые характерны для медленной дезинфляции. Государственные расходы и обязательства приходится приспосабливать к еще более низкому уровню доходов.
Осмысливая эти выводы Е.Гайдара невольно приходить к мысли, что старое правило «время-деньги» сегодня заменяется на другое: «Каждый следующий промежуток времени стоит дороже, чем предыдущий!».
Итак, возникает вопрос: «Как подавить инфляцию?». Как утверждает лауреат Нобелевской премии выдающийся экономист Милтон Фридмен: «Инфляция везде и всегда - явление денежное». Инфляция - это недуг денежной системы. Ее высокие темпы указывают на то, что по той или иной причине правительство выпустило из своих рук контроль над количеством денег в обращении [3.9].
Таким образом, причиной возникновения инфляции является чрезмерное увеличение денежной массы. Рост денежной массы в свою очередь влечет за собой рост цен, который происходит примерно пропорционально увеличению денежной эмиссии, как это показал М.Фридмен. Этот вывод распространяется не только на страны с рыночной экономикой, но также и на страны с переходной экономикой. Об этом свидетельствуют статистические исследования, проведенные А.Илларионовым [3.12], которые показывают, что в переходной экономике, также как и в рыночной, два денежных фактора - денежная эмиссия и скорость ее обращения - на 96-98% обуславливают динамику инфляции, причем на денежную массу приходится 94 процента и только 3-4% на скорость обращения денег. Было также показано, что влияние динамики реального производства на темпы инфляции крайне мало - менее 0,5 процента.
Именно так обстояло дело в России и странах СНГ в 1992 году. Необходимость стабилизации требовала ограничительной денежной политики. Оптимальным решением для всех было бы ограничение денежной массы, способствующее стабилизации. Однако каждая республики стремилась выпустить больше кредитов, чем было необходимо для общего блага, и это подгоняло рубль к гиперинфляции.
Находясь в рублевой зоне, мы не могли проводить одновременно с либерализацией макроэкономическую стабилизацию. Этим объясняется тот факт, что программа стабилизации в Кыргызстане была начата только после введения национальной валюты в мае 1993 года. Синхронизация этих двух важнейших мер, к сожалению, была невозможна, что привело к затяжной высокой инфляции в 1992-1994 годах.
В 1992 году, находясь в рублевой зоне, мы в Кыргызстане пытались проводить экономическую политику, направленную на стабилизацию:
- путем значительного сокращения субсидий предприятиям ( с 10% ВВП до 2% ВВП);
- ужесточением кредитной политики, через повышение процентной ставки;
-сдерживанием неоправданного роста заработной платы, с помощью налоговых мер, препятствующих росту фондов заработной платы.
Либерализация внешней торговли и использование конкуренции со стороны импортных товаров в качестве способа для сдерживания цен на отечественные товары также дало определенные подвижные результаты. Однако все эти меры не дали ощутимых результатов по сдерживанию инфляции. Обуздать инфляцию не удалось.
Был только один, но ответственный путь - путь денежной реформы. Она была разработана и тщательно готовилась в течение всего 1992 года и первом квартале 1993 года. Реформа прошла успешно: 10 мая 1993 года Кыргызстан ввел свою национальную валюту первой среди стран СНГ. Реформа готовилась к марту, но парламент принял это историческое решение в мае при повторном рассмотрении.
С самого начала денежной реформы мы заботились, чтобы исключить любые ограничения в проведении валютных операций, обеспечить конвертируемость национальной валюты, по крайней мере, внутри страны по текущим операциям и счетам операций с капиталом.
Денежная реформа окончательно освободила путь для формирования рыночного экономического порядка в Кыргызстане. Введение национальной валюты стало первым шагом в проведении Кыргызстаном самостоятельной экономической политики.
Решение о введении национальной валюты сома, явилось стратегически важным и смелым шагом в дальнейшем продвижении радикальных рыночных реформ. Это решение далось нелегко и не сразу получило понимание и поддержку населения страны. Но вскоре национальная валюта стала символом независимости.
Мы открыто и честно сказали народу и парламенту, что предстоящая радикальная денежная реформа с введением национальной валюты неизбежно приведет к определенным издержкам и вызовет недовольство значительной части населения. Однако если этого не сделать вовремя, то негативные последствия гиперинфляции для экономики будут просто губительны. Без стабильной национальной валюты любые попытки обуздать галопирующую инфляцию и оздоровить экономику обречены на провал.
Вскоре после этого произошла валютная реформа в России (июля 1993 года) и попытки по сохранению зоны общей валюты были оставлены всеми ННГ. Осенью 1993 года рублевая зона окончательно развалилась.
Переход к национальной валюте сому вначале также сопровождался высокими темпами инфляции и понижением обменного курса, но затем положение стабилизировалось, и необходимое ужесточение финансовой политики быстро привело к укреплению курса сома.
Девальвация сома в 1993 году составила 93,7% при инфляции в 1366% годовых. Сильная девальвация в 1993 и 1994 годах объясняется внутренними причинами и, в первую очередь, фактом первоначального недостатка доверия к национальной валюте, как со стороны населения, так и предприятий. В 1995 году уже наблюдался рост доверия к сому, увеличение спроса на него как на средство сохранения стоимости, в связи с чем скорость обращения денежной массы снизилась с 7,9 оборотов в начале года до 6,7 в конце года.
Для Кыргызстана, как для развивающейся страны, испытывавшей глубокий кризис в сфере реального производства и трудности во внешнеторговой сфере, из трех возможных режимов обменных курсов, наиболее предпочтительным явился гибкий плавающий обменный курс, который вполне себя оправдал.
Очевидно, что фиксированный обменный курс не годился из-за отсутствия торгового партнера, могущего дать соответствующую монетарную связь. Главные торговые партнеры Кыргызстана -Россия, Казахстан и Узбекистан, тогда не имели твердой валюты.
Было ясно, что введение национальной валюты дает возможность проведения эффективной самостоятельной финансовой политики и улучшит макроэкономическое положение лишь в том случае, если оно будет сопровождаться хорошо продуманными мерами фискальной и денежно-кредитной политики.
В разработке программы таких мер решающую роль сыграли эксперты МВФ. Для реализации этой программы со стороны МВФ также был предоставлен кредит под названием «стэнд-бай».
В результате жесткой денежно-кредитной и бюджетной политики, проводившейся правительством Кыргызстана в 1993-1994 годах в рамках программы «стэнд-бай», месячные темпы инфляции упали до однозначных цифр, уже с апреля 1994 года среднемесячная инфляция составляла всего 3%! А стабилизация инфляции до уровня ниже 4% в месяц является необходимым условием возобновления роста. Как видно из таблицы 3.1, заимствованной из отчета МВФ [3.7], Кыргызстан наряду со странами Балтии и Молдовой, добился значительных успехов в деле стабилизации и обуздания инфляции.
Следует отметить, что большая часть прироста темпа инфляции 1993 года приходится на период, когда республика находилась в рублевой зоне.
Страны Балтии, Россия и другие государства бывшего Советского Союза. Инфляция потребительских цен
1 (в процентах)
|
|
1992 |
1993 |
Оценка на 1994 год |
Г одовые темпы2 І?кв.1994 г |
|
Эстония |
1069 |
89 |
48 |
18 |
|
Латвия |
951 |
109 |
36 |
24 |
|
Литва |
1020 |
410 |
72 |
49 |
|
Молдова |
1157 |
689 |
245 |
51 |
|
Кыргызская Республика |
855 |
1209 |
277 |
59 |
|
Таджикистан |
1157 |
2195 |
1500 |
158 |
|
Армения |
825 |
3732 |
5169 |
240 |
|
Россия |
1353 |
896 |
302 |
388 |
|
Казахстан |
1516 |
1662 |
1880 |
422 |
|
Узбекистан |
645 |
534 |
723 |
454 |
|
Туркменистан |
493 |
2102 |
2397 |
2062 |
|
Азербайджан |
1747 |
1047 |
1493 |
2262 |
|
Беларусь |
969 |
1188 |
2220 |
2791 |
|
Украина |
1210 |
4735 |
891 |
5312 |
|
Грузия |
913 |
3126 |
18264 |
8479 |
Источники: данные, предоставленные официальными органами соответствующих стран; оценки сотрудников МВФ.
вреднее увеличение в процентах по сравнению с предыдущим годом. Порядок стран соответствует годовым темпам инфляции в IV квартале 1994 года.
2Годовые темпы инфляции, рассчитанные на основе данных за IV квартал 1994 года, для всех стран, кроме Армении, Азербайджана и Грузии, где использовались данные за три месяца по ноябрь 1994 года включительно.
В конце 1993 года инфляция во многих странах СНГ возросла в силу экзогенного увеличения цен на импорт энергоносителей. Инфляция естественно реагировала на изменения в денежно-кредитной политике с некоторым запаздыванием, особенно в тех странах, где скорость обращения денег была изменчива. В Кыргызстане инфляция в течение трех кварталов значительно опережала скорость роста широкого показателя денежной массы, что сопровождалось ярко выраженным увеличением скорости обращения денег (см.табл.3.2, заимствованную из [3.13]). Следует отметить, что большинство проводившихся мер по стабилизации приводило к успеху в виде снижения инфляции лишь через один-два квартала после замедления роста денежной массы [3.7]. Что же касается увеличения скорости обращения денег, эту скорость впоследствии удавалось снизить до прежнего уровня в тех странах, где была установлена и сохранена положительная процентная ставка по денежным активам в национальной валюте и созданы другие условия, способствующие укреплению доверия к валюте [3.7].
Таким образом, опыт реализации стабилизационных программ, осуществлявшихся при поддержке МВФ, показывает, что успешная борьба с инфляцией должна включать в себя не только замедление денежной и кредитной эмиссии, но и установление положительных реальных процентных ставок, способствующих стабилизации обменного курса и возобновлению спроса на деньги. При этих условиях темпы инфляции точно следовали за скоростью роста денежной массы, но с определенным запаздыванием.
В итоге реализации стабилизационных программ произошло резкое сжатие денежной массы, а реальный объем денежной массы в ННГ снизился в среднем в десять раз! (см.табл.3.3 из [3.7]). Это как раз тот объем денег, который отвечает потребностям оборота при
|
Скорость обращения денег (раз) |
|
|
1985г |
1986г |
1987г |
1988г |
1989г |
1990г |
1991г |
1992г |
1993г. |
1994г. |
1995г. |
Страны с
переходной
экономикой
БЫВШИЙ
СОВЕТСКИЙ
СОЮЗ |
|
|
|
|
|
|
|
|
|
|
|
|
Россия |
1 9 |
1 8 |
1 6 |
1 5 |
1 4 |
1 4 |
1 6 |
3 2 |
66 |
72 |
8 1 |
|
Азербайджан |
2 6 |
24 |
2 3 |
20 |
1 8 |
1 5 |
1 5 |
4 2 |
3 8 |
66 |
15 5 |
|
Апмения |
1 2 |
1 1 |
1 0 |
09 |
09 |
0 8 |
1 1 |
2 8 |
2 5 |
13 9 |
18 8 |
|
Белоруссия |
2 7 |
26 |
24 |
2 3 |
22 |
2 0 |
2 2 |
4 9 |
5 1 |
5 1 |
96 |
|
Грузия |
5 1 |
4 5 |
4 1 |
3 7 |
3 3 |
2 8 |
2 1 |
3 2 |
100 |
60 |
26 2 |
|
Казахстан |
2 9 |
2 7 |
2 3 |
2 3 |
22 |
2 1 |
1 7 |
4 7 |
5 9 |
14 1 |
11 6 |
|
Киргизия |
6.8 |
6..2 |
5.9 |
5.7 |
5.7 |
5.2 |
6.6 |
12.2 |
13.4 |
10.7 |
7.4 |
|
Латвия |
1 9 |
1 8 |
1 7 |
1 6 |
1 6 |
1 7 |
2 1 |
5 7 |
4 1 |
3 5 |
3 8 |
|
Литва |
2 9 |
29 |
2 8 |
26 |
2 5 |
2 2 |
3 7 |
5 0 |
44 |
4 1 |
4 7 |
|
Молдавия |
4 3 |
4 3 |
3 9 |
3 6 |
3 6 |
3 5 |
2 2 |
4 1 |
9 5 |
10 3 |
7 5 |
|
Таджикистан |
1 9 |
1 8 |
1 6 |
1 Б |
1 4 |
1 3 |
24 |
3 2 |
22 |
3 2 |
100 |
|
Туркменистан |
4 1 |
3 9 |
3 6 |
3 4 |
3 0 |
2 8 |
2 3 |
5 5 |
8 0 |
11 6 |
13 0 |
|
Узбекистан |
1 7 |
1 6 |
1 4 |
1 4 |
1 2 |
1 1 |
1 2 |
2 3 |
3 4 |
46 |
99 |
|
Украина |
1 9 |
1 8 |
1 6 |
1 5 |
1 4 |
1 3 |
1 5 |
3 6 |
5 9 |
6 5 |
10 5 |
|
Эстония |
1 0 |
1 0 |
09 |
0 8 |
0 8 |
0 7 |
1 1 |
4 5 |
4 5 |
42 |
44 |
|
Страны Балтии, Россия и другие государства бывшего СССР. Реальный объем денежной массы в национальных валютах
1
(среднее за 1988 год = 100)
|
|
1990 |
1991 |
1992 |
1993 |
1994
(оценка) |
|
Страны Балтии |
|
Эстония |
|
136,0 |
23,2 |
26,6 |
26,4 |
|
Латвия |
|
155,6 |
34,8 |
27,2 |
34,4 |
|
Литва |
|
109,7 |
21,8 |
11,7 |
15,0 |
|
Закавказье |
|
Армения |
|
109,9 |
23,5 |
10,3 |
1,4 |
|
Азербайджан |
|
152,1 |
50,9 |
42,0 |
14,2 |
|
Грузия |
|
129,3 |
31,4 |
17,6 |
з,з |
|
Средняя Азия |
|
Казахстан |
|
137,7 |
26,7 |
17,8 |
4,3 |
|
І Кыргызская Республика |
|
129,3 |
36,2 |
17,2 |
7,4 1 |
|
Таджикистан |
|
108,8 |
33,4 |
29,1 |
13,1 |
|
Туркменистан |
|
140,5 |
91.7 |
129,1 |
16,1 |
|
Узбекистан |
|
129,7 |
55,0 |
65,3 |
|
|
Другие страны |
|
Беларусь |
|
121,0 |
32,5 |
28,2 |
12,7 |
|
Молдова |
|
154,8 |
32,0 |
19,6 |
12,8 |
|
Россия |
|
152,4 |
39,6 |
28,7 |
24,2 |
|
Украина |
|
129,0 |
43,4 |
26,2 |
12,3 |
|
Среднее (невзвешенное) |
134,6 |
133,1 |
38,4 |
33,1 |
14,1 |
Источники: данные, предоставленные официальными органами соответствующих стран; оценки сотрудников МВФ. Среднегодовой уровень реальных остатков.
установившемся в результате стабилизации макроэкономическом равновесии. Соответственно также снизился коэффициент монетизации экономики в этих странах (см. табл.3.4 [3.13]). Поскольку коэффициент монетизации отражает спрос на реальные денежные остатки, который в первую очередь определяется степенью доверия к национальной валюте, снижение коэффициента монетизации говорит, прежде всего, об уровне доверия к своей валюте. Значения коэффициента монетизации для каждой страны и каждого периода индивидуальны, как это видно из табл.3.4, как индивидуальны и величина спроса на национальную валюту. Общая закономерность состоит в следующем: высокоинфляционным экономикам, как правило, соответствуют более низкие показатели коэффициента монетизации и более высокие показатели скорости денежного обращения, в то время как для низкоинфляционных экономик характерны относительно высокие показатели коэффициента монетизации и относительно низкие скорости денежного обращения. Этот важный вывод делается в работе [3.13].
Низкий коэффициент монетизации экономики обусловливает широкое распространение различного рода денежных заменителей: бартера, низкокачественных суррогатов денег, долларового наличного оборота и т.п., служащих прекрасными средствами для ухода от уплаты налогов. Однако коэффициент монетизации нельзя быстро увеличить. Это должно обеспечиваться неинфляционным добавлением ликвидности в экономику.
Уточненные данные коэффициента монетизации экономики Кыргызстана в период проведения активных реформ по стабилизации и структурных преобразований (1993-1998 годы) представлены в таблице 3.5 и графически на рис.3.1. Интересно
|
Коэффициент монетизации (в %) |
|
|
1985г. |
1986г |
1987г |
1988г |
1989г |
1990г |
1991 г. |
1992г |
1993г |
1994г |
1995г |
Страны с
переходной
экономикой
БЫВШИЙ
СОВЕТСКИЙ
СОЮЗ |
|
|
|
|
|
|
|
|
|
|
|
|
Россия |
53,6 |
56,6 |
61,6 |
66,3 |
70,83 |
73,2 |
61,2 |
31,0 |
15,0 |
14,0 |
12.3 |
|
Азербайджан |
38,1 |
42,5 |
44,4 |
50,8 |
54,7 |
67,5 |
68,3 |
23,8 |
26,4 |
15,0 |
6.5. |
|
Армения |
84,3 |
56,6 |
61,6 |
66,3 |
70,8 |
73,2 |
61,2 |
31,0 |
15,0 |
14,0 |
12,3 |
|
Белоруссия |
37,1 |
38,7 |
40,9 |
44,2 |
46,1 |
51,0 |
45,9 |
20,5 |
20,5 |
19,6 |
10,4 |
|
Грузия |
19,6 |
22,3 |
24,6 |
26,8 |
30,3 |
36,0 |
48,0 |
31,0 |
10,0 |
16,7 |
3,8 |
|
Казахстан |
34,8 |
36,8 |
39,6 |
42,6 |
45,1 |
48,2 |
60,5 |
21,1 |
16,9 |
7,1 |
8,6 |
|
Киргизия |
14,7 |
16,0 |
16,8 |
17,4 |
17,5 |
19,1 |
15,2 |
8,2 |
7,4 |
9,3 |
13,5 |
|
Латвия |
53,9 |
55,6 |
58,8 |
62,2 |
62,9 |
60,2 |
48,7 |
17,5 |
24,4 |
28,4 |
26,4 |
|
Литва |
33,9 |
34,4 |
36,3 |
38,1 |
40,0 |
44,6 |
27,1 |
20,2 |
22,8 |
24,2 |
21,1 |
|
Молдавия |
23,4 |
23,5 |
25,4 |
28,0 |
27,6 |
28,8 |
45,6 |
24,3 |
10,5 |
9,7 |
13,3 |
|
Таджикистан |
53,9 |
57,0 |
61,5 |
66,1 |
70,0 |
77,1 |
42,3 |
31,3 |
45,7 |
31,2 |
10,0 |
|
Туркменистан |
24,2 |
25,6 |
27,6 |
29,7 |
32,9 |
35,4 |
43,6 |
18,1 |
12,5 |
8,6 |
7,7 |
|
Узбекистан |
57,9 |
62,8 |
69,8 |
73,9 |
80,7 |
89,5 |
85,0 |
42,6 |
29,8 |
21,6 |
ю,і |
|
Украина |
53,4 |
57,0 |
60,8 |
66,5 |
' 70,0 |
76,7 |
67,8 |
'27,7 |
17,1 |
15,3 |
9,5 |
|
Эстония |
100,6 |
102,4 |
111,6 |
119,8 |
125,7 |
139,5 |
90,5 |
22,1 |
22,1 |
23,9 |
22,8 |
|
Коэффициент монетизации ВВП
(денежный агрегат М2 в процентах к ВВП)
Таблица 3.5 |
|
|
1993 |
1994 |
1995 |
1996 |
1997 |
1998 |
|
Коэффициент монетизации |
13,2 |
12,9 |
17,1 |
14,3 |
13,7 |
14,5 |
Справочно:
ВВП (млн. сомов)
М2 (млн. сомов) |
5354,7
706,4 |
12019,2
1545,1 |
16145,1
2754,0 |
23399,3
3340,8 |
30685,7
4188,2 |
33890,2
4910,0 |
|
 |
|
Рис.3.1. Коэффициент монетизации ВВП (в процентах) |
Индекс потребительских цен
(в процентах к декабрю предыдущего года) |
 |
|
Рис.3.2 |
отметить, что коэффициент монетизации стабилизируется на уровне советского периода.
Итак, монетаристская денежная политика, направленная на сдерживание прироста денежной массы после введения в мае 1993 года национальной валюты сома, позволила обуздать инфляцию и снизила ее до уровня в 32% годовых уже к началу 1996 года (см. табл.3.6.и рис.3.2).
Вследствие этого в 1995-1996 годах наметились первые признаки стабилизации экономики, выразившиеся в замедлении темпов снижения, которые уже в 1996 году перешли в значительный рост ВВП (7,1%). Необходимо особо отметить, что спад производства в предыдущие годы никак не был связан с проводившейся стратегией стабилизации и реформ.
Поддержание достигнутого в результате стабилизации макроэкономического равновесия - это наиболее ответственная и важнейшая задача, требующая мер как денежно-кредитной, так и налогово-бюджетной политики и представляющая особую сложность в условиях продолжающегося спада производства. Макроэкономическое равновесие ассоциируется с устойчивостью, поэтому стремление удержать систему в равновесии выглядит вполне естественным. Что касается жесткой ограничительной денежно-кредитной политики - она должна быть продолжена в целях недопущения дестабилизации. Ключевым пунктом монетаристской стратегии является установление со стороны национального банка определенного темпа прироста денежной массы, которого он придерживается (см.рис.3.3). Более того, отец современной школы «монетаристов» Милтон Фридмен считает, что экономическая политика в первую очередь должна быть направлена на ограничение и стабилизацию денежной массы [3.9].
Инфляция в СНГ
(динамика уровней розничных/потребительских цен на конец года в %)
|
|
1989 |
1990 |
1991 |
1992 |
1993 |
1994 |
1995 |
1996 |
1997 |
1998
Оценка |
1999
Прогн |
|
Азербайджан |
- |
- |
126 |
1395 |
1294 |
1788 |
84,5 |
6,5 |
0,3 |
-7,6 |
2 |
|
Апмения |
_ |
_ |
25 |
1341 |
10896 |
1885 |
31 9 |
, -5,8 |
21 8 |
-1 3 |
8 |
|
Белап?сь |
_ |
_ |
93 |
1559 |
1996 |
1960 |
244 |
39,3 |
63 4 |
181 7 |
155 |
|
Гп?зия |
0,9 |
4 8 |
131 |
11769 |
7487 9 |
6474 4 |
57 4 |
14.3 |
7 2 |
10 7 |
9 5 |
|
Казахстан |
|
104 6 |
136 8 |
2984 1 |
2169 |
1160 |
60 4 |
28,6 |
11 3 |
1 9 |
196 |
|
Кыргызстан |
_ |
_ |
170 |
1259 |
1363 |
95 7 |
31 9 |
35 |
14 7 |
18 3 |
40 |
|
Молдова |
_ |
_ |
151 |
2198 |
837 |
116 |
23 8 |
15,1 |
11 2 |
18 2 |
30 |
|
Россия |
_ |
_ |
161 |
2506 1 |
840 |
204 4 |
128 6 |
21,8 |
10 9 |
84 5 |
45 |
|
Т аджикистан |
_ |
_ |
204 |
1364 |
7343 7 |
1 1 |
2133 3 |
40,5 |
163 6 |
2 7 |
55 |
|
Туркменистан |
- |
- |
155 |
644 |
9750 |
1328 |
1262 |
446 |
21,5 |
19.8 |
40 |
|
Узбекистан |
_ |
_ |
169 |
910 |
885 |
1281 |
117 |
64 |
50 |
26 |
42 |
|
Украина |
- |
- |
161 |
2730 |
10155 |
; 401 |
181 |
39,7 |
ю,і |
20 |
17 |
Содружество
Независимых
Государств |
|
|
|
|
|
|
|
|
|
|
|
|
Срединное значение1 |
|
|
153 |
1379,5 |
2082,5 |
1220,5 |
100,8 |
31,8 |
13 |
18,3 |
35 |
|
Средняя величина 1 |
|
|
140,2 |
1672,3 |
4584,7 |
1391,2 |
363 |
63 |
32,2 |
31,2 |
38,6 |
Примечания
Данные за 1989 -1997 гг представляют собой самые последние официальные оценки достигнутых показателей согласно публикациям госведомств, МВФ, Всемирного банка, ОЭСР. ПланЭкон и Международного финансового института. Данные за 1998 г являются предварительными и в основном официальными оценками правительств. Данные за 1999 г являются прогнозами ЕБРР.
'Срединное значение представляет собой усредненное значение всех показателей темпов инфляции, расположенных в порядке величины. Среднее значение (невзвешенное среднее) имеет тенденцию к превышению срединного значения из-за всплесков показателей, вызванных крайне высокими темпами инфляции в отдельных странах.
Источник: Процесс перехода и экономические показатели стран СНГ, - ЕБРР, Лондон, ноябрь 1999г.
|
Динамика денежной массы М2 (в млн. сомов) |
 |
|
Рис.3.3 |
Сторонники монетаризма считают, что основной причиной роста денежной массы является увеличение бюджетных расходов и дефицит бюджета [3.1-3.3]. Для переходных экономик это также справедливо [3.4]. Поэтому первостепенное значение должно придаваться сокращению государственных расходов и в целом бюджетного дефицита. Однако эта задача осложняется налоговобюджетным кризисом, характерным для переходных экономик. Но, несмотря на это, бюджетный дефицит в 1996-1997 годах удерживался на уровне 5,4-5,2% ВВП по сравнению с более чем 11,5% ВВП в 1995 году, благодаря ограничению расходов, совершенствованию налоговой системы и реформе бюджетного процесса. В 1998 году дефицит был снижен уже до 3% ВВП.
Особенно необходимо остерегаться дефицита бюджета в период подъема экономики. Великий Дж.Кейнс рекомендовал использовать дефицит бюджета при низкой конъюнктуре, чтобы
противодействовать безработице, но в то же время иметь активное сальдо при высокой конъюнктуре, чтобы противодействовать инфляции.
Переходная экономика - это экономика смешанного типа, обладающая асимметричным характером:
- государственный сектор - это эпицентр кризиса, его составляют крупные предприятия, в основном промышленные; их реконструкция затруднена из-за сокращения инвестиций, имеет высокую задолженность, отток капитала;
-частный сектор (новые фирмы, а также приватизированные предприятия) переживает рост, смягчающий воздействие депрессии на экономику, но он еще не в состоянии компенсировать спад производства в госсекторе; абсолютное большинство их действует в сфере услуг, торговли и строительстве.
Объем производства упал быстрее всего в госсекторе, откуда поступала основная часть налогов, что было лишь незначительно скомпенсировано возросшей активностью частного сектора, где налоговые изъятия пока еще не столь эффективны.
В этом состояло одно из проявлений двойственности смешанной экономики: кризис налоговой системы зависит от падения производства в госсекторе, но он по-прежнему облагается высокими налогами, так как обеспечивает значительную часть бюджетных поступлений, что еще больше ухудшает его состояние.
Государственные расходы, наоборот, снижались существенно медленнее. В результате социальные расходы сократились именно тогда, когда потребность в социальной защите напротив резко возросла. Отправной точкой в решении этого важнейшего вопроса является концепция адресности как в выплатах социальных пособий
по бедности, безработице, так и предоставлении медицинских услуг, профессиональной подготовке специалистов.
Наиболее значительным достижением в переломный период было снижение уровня государственных расходов с 27,8% ВВП в 1995 году до 20,5% ВВП в 1997 году (см. рис.3.4). Это снижение расходов было достигнуто главным образом за счет уменьшения потребительских дотаций, субсидий и займов государственным предприятиям. Со снижением расходов стало возможным контролировать дефицит бюджета. Большая часть дефицита бюджета покрывается за счет внешних источников, главным образом на льготных условиях. Поэтому задача сокращения государственных расходов - одна из важнейших. Государство призвано финансировать только производство тех благ, которые потребляются всем обществом, а не его отдельными группами.
Самый важный фактор, который необходимо было учитывать на начальном этапе реформ - это фискальная стабилизация. Здесь также обсуждались два подхода: надо ли ставить повышение собираемости налогов как главную задачу или целесообразно достижение макроэкономической стабилизации при умеренном уровне дефицита бюджета, но более жесткой денежной политике и финансировании бюджетного дефицита за счет внешней финансовой помощи. Мы, в Кыргызстане, избрали второй путь - ограничения дефицита путем сокращения расходов и покрытия за счет льготных займов МВФ. При этом мы постоянно работали над улучшением сбора налогов, добиваясь фискальной стабильности. Это оказалось верным тактическим ходом, поскольку достаточную собираемость налогов удалось окончательно наладить только в 1997 году, после введения нового Налогового Кодекса в 1996 году.
 |
|
Рис.3.4. Общие расходы государственного бюджета (в процентах к ВВП) |
Таким образом, для макроэкономической стабилизации необходимо поддерживать разумный баланс государственного бюджета и жесткой кредитно-денежной политики. В дальнейшем именно постепенное укрепление бюджета позволяет поддерживать макроэкономическое равновесие.
3,3 Инфляция и экономический рост
В предыдущем параграфе мы говорили о том, что экономический рост следует только вслед за стабилизацией, т.е. подавлением инфляции ниже критического порога в 35% годовых, установленного рядом авторов на основе эконометрических исследований [3.3, 3.4, 3.11]. В указанных работах также была сформулирована основная закономерность, характеризующая взаимосвязь инфляции и экономического роста: чем ниже в стране темпы инфляции, тем, как правило, выше темпы экономического роста и наоборот, чем выше темпы инфляции, тем ниже темпы экономического роста. Эмпирический анализ данной закономерности на основе обширных международных сопоставлений был дан А.Илларионовым в работе [3.11]. Он показал, что наиболее сильная зависимость между инфляцией и экономическим ростом наблюдается при анализе относительно коротких 5-6 летних периодов, которая ослабевает при переходе к более длительным периодам.
А.Илларионов пришел к следующим основным выводам:
1. При темпах инфляции, не превышающих 35% в год, темпы экономического роста при прочих равных условиях имеют тенденцию принимать положительные значения.
2. В интервале среднегодовых темпов инфляции от 35% до 100% экономический рост становится весьма неустойчивым с заметной тенденцией принимать отрицательные значения или, говоря языком математики, - с большой вероятностью.
3. При превышении темпами инфляции 100-процентного годового рубежа, темпы экономического роста становятся устойчиво отрицательными или, говоря языком теории вероятности, -вероятным событием.
Показано также, что при среднегодовых темпах инфляции <3,2% обеспечиваются максимальные темпы экономического роста.
Все эти выводы иллюстрируются графиком, представленным на рис.3.5 [3.11].
Ниже дается качественный математический анализ этой важной закономерности. Опишем ее с помощью дифференциального уравнения. Введем обозначения: р - темпы инфляции; q - темпы прироста реального производства (ВВП). Можно предположить, что
Темпы инфляции и темпы экономического роста в 1986—1996 гг.
(скользящая средняя по 10 странам) |
 |
|
Рис. 3.5 |
q-^qi и q-^О при »+оо, т.е. q-q^O, причем q-qi>0. Установлено также, что при повышении темпов инфляции отрицательная зависимость экономического роста от нее усиливается опережающим образом [3.11], что можно представить множителем q+qi, который возрастает по абсолютной величине: q qi —>2q/ при»+оо. Таким образом, можно записать следующее дифференциальное уравнение:
ЯР ^ (q-q,)(q q,) q2-q; (3.1)
ар
Это дифференциальное уравнение является частным случаем более общего нелинейного дифференциального уравнения [3.14 -№1.2.4, с.24]:
у
х =у
2 +aA-a(a+A)th
2 (Ах). (3.2)
Частное решение этого уравнения имеет вид:
уо =ath(Ax) , где thx=——
е~—. (3.3)
е
х +е
х
Если в дифференциальном уравнении (3.2) принять а=-Л, то получим:
?
Л Г-Я
2, (3.4),
а частное решение (3.3) примет вид:
у о -Alh(/Lx). (3.5)
Следовательно, частное решение дифференциального уравнения (3.1) можно записать:
q q,lh(q,p) q,lh(-q,p). (3.6)
Это следует из свойства: lh(-x) -lh(x).
Уравнение (3.1) и его частное решение (3.6) естественно не решают задачу определения критических значений темпов
инфляции, но хорошо описывают поведение кривой зависимости инфляции - экономический рост. Если известно критическое значение темпов инфляции - р
кр, то уравнение кривой указанной зависимости может быть записано в виде:
q =qi thf-qj (р-р
кр)]. (3.7)
Графическая иллюстрация формулы (3.7) представлена на рис.3.6.
Приведенные выше выводы А.Илларионова наводят на мысль о том, что при нарастающем повышении темпов инфляции экономический рост постепенно замедляется и переходит к отрицательным значениям при более высоком критическом значении темпов инфляции р', равном 100% годовых. При
дезинфляции переход к положительным значениям экономического роста осуществляется при низком критическом значении темпов инфляцииpfj, равном 35% в год. Это иллюстрируется на рис.3.7.
Таким образом, процесс инфляции и последующей дезинфляции напоминает гистерезисную петлю, наподобие петли
 |
|
Рис.3.6 |

Рис. 3.7
гистерезиса перемагничивания ферромагнитных материалов. При реализации программы дезинфляции необходимо затратить значительные финансовые средства, величина которых пропорциональна площади петли гистерезиса S (см. рис.3.7). Объем финансовых потерь при переходе инфляция-дезинфляция может быть оценен исходя из основного денежного уравнения:
MV=PQ, (3.8)
где М - номинальная денежная масса; V - скорость обращения денег; Р - уровень цен; Q - реальный ВВП.
Объем финансовых потерь можно оценить следующим образом:
А(М?) =
(Рк?-
р^
х^о-Яі)
xP q (3.9)
100 100
где P
0wQo- значения до начала роста инфляции.
Если принять эмпирические значения, найденные А.Илларионовым [3.11], то оценочная формула (3.10) дает:
А (М?) = 0,65x0,1x0,78P
0Q
0 = 0,05P
0Q
0. (3.10)
Следовательно, общие финансовые потери в процессе инфляции - дезинфляции составляют порядка 5% ВВП. Это минимальное значение потерь при успешной и быстрой дезинфляции. Если процесс стабилизации откладывается или затягивается, то объем потерь, конечно, будет гораздо больше.
Соответствующая петля гистерезиса представлена на рис. 3.8 и 3.9, соответственно в логарифмической шкале и относительных координатах.
Как видно из рисунков 3.8 и.3.9, в промежутке между критическими точками р ” ’ и pfj большую роль играют случайные
факторы. Это еще раз подтверждает вывод о том, что для того,
?i=0,7
ф=0,67
созф=0,784
 |
а
2
о
ц
к
С
-?-
X
S
2
ф
Рис. 3.8 |
ю
п
н
Э
о
га
2
2
¦&
 |
Темпы инфляции, в отн.ед. |
Г)
cJ
Я
Он
чтобы начать экономический рост, необходимой предпосылкой является снижение инфляции ниже критической точки pfj = 35%.
Приведенный выше анализ также показывает, что новое внутреннее равновесие в экономической системе рождается с огромными издержками времени и ресурсов, что еще раз убеждает в необходимости постоянно принимать меры по поддержанию макроэкономического равновесия.
3.4. От стабилизации к экономическому росту
Как только достигается макроэкономическое равновесие и начнется прекращение спада производства необходимо задействовать меры по обеспечению экономического роста.
Каким образом обеспечивается подъем в условиях макроэкономической стабилизации? Необходимо осуществление целостной программы, предназначенной для создания жизнеспособной рыночной экономики с акцентом на ограничение инфляционных запросов. Необходимо создание благоприятных условий для подъема реальной экономики, роста производства в приоритетных отраслях. Необходимо стимулировать производство продукции, выдерживающей конкуренцию на внешних рынках. Необходима реализация промышленной политики развития, направленной на селективную поддержку экспортоориентированных и импортозамещающих производств. Государство должно инвестировать в потенциально конкурентоспособные производства, чтобы успешно адаптировать их к рынку. Необходимо стимулировать структурную перестройку производства, путем установления и поддержки «точек роста» в приоритетных отраслях экономики, разукрупнения предприятий, качественного улучшения системы управления. Многие традиционные отрасли, такие как легкая и текстильная промышленность, пищевая и другие, при ориентации на верно выбранные рынки, за счет использования исключительности местных сырьевых ресурсов либо внедрения новых технологий могут стать такими «точками роста». Необходимо также предусматривать меры по расширению рыночных институтов и контрактной системы для финансирования расширенного производства.
При всем этом важно сохранять стабильность уровня цен, достигнутых в результате макроэкономической стабилизации, что делает стабильными отношения между продавцами и покупателями. Поэтому необходима также эффективная система контрольно-регулирующих мер, сдерживающих рост инфляции, допускающих управление курсами валют и процентными ставками. Все это позволит управлять рыночными силами, а умение управлять рынком - это путь к успеху. Следовательно, крайне важным является постоянное поддержание макроэкономического равновесия.
Центральным пунктом в числе мер, перечисленных для подъема экономики после стабилизации, являются меры по структурным преобразованиям. Только целенаправленные и энергичные структурные реформы способны обеспечить устойчивый экономический рост. Великий экономист Й.Шумпетер по этому поводу писал: «До возобновления своего поступательного движения экономика нуждается в восстановлении, а ее система стоимостей - в перестройке. И развитие, которое затем возобновляется - это новое развитие, а не просто продолжение прежнего. Новое развитие порождается иными условиями и отчасти другими людьми». Эти замечания вдвойне важны для переходной экономики. Поэтому государство обязано инвестировать в структурные преобразования. Активное продвижение приватизации после успешной либерализации и стабилизации дает хорошие результаты в этом направлении, способствуя быстрым структурным преобразованиям, появлению новых частных предприятий и эффективных собственников.
Поскольку все меры по подъему экономики требуют значительных объемов финансирования, основной мерой успеха на этой стадии является рост чистых инвестиций. Стабильный экономический рост, как правило, связан с высокими уровнями сбережений и инвестиций. В условиях переходной экономики в Кыргызстане скорость накопления капитала и эффективность капиталовложений оказались крайне низкими для быстрого экономического подъема, что иллюстрируется данными таблицы 3.7, заимствованными из отчета [3.7]. Данные таблицы показывают, что Кыргызстан намного уступает в этом отношении другим ННГ. Известно, что в периоды бурного развития экономики сбережения составляют не менее 25% ВВП, а инвестиции - 30%. Итак, перед началом стабилизации и подъема экономики, средние темпы роста сбережений и инвестиций в ИНГ составляли 20%, тогда как в Кыргызстане - только 6%, что было крайне недостаточно для подъема экономики.
Поскольку собственных средств за счет внутренних накоплений было недостаточно для того, чтобы изменить структуру производства и качество товаров, а также обеспечить конвертируемость валюты, необходимо было привлекать кредиты международных финансовых организаций и стран доноров на
Страны Балтии, Россия и другие государства бывшего СССР. Валовой объем капиталовложений
1
(в процентах ВВП)
|
|
1990 |
1991 |
1992 |
1993 |
1994(оценка) |
Страны Балтии
Эстония |
19,0 |
13,6 |
15,9 |
24,8 |
33,9 |
|
Латвия |
|
|
27,0 |
13,0 |
21,0 |
|
Литва |
38,0 |
34,33 |
22,2 |
16.0 |
18,0 |
Закавказье
Армения |
23,3 |
20,7 |
10,0 |
10,0 |
|
|
Азербайджан |
25,0 |
22,3 |
20,8 |
21,0 |
|
|
Г рузия |
32,5 |
38,6 |
30,0 |
33,8 |
|
Сие дня я Азия
Казахстан |
33,3 |
32,9 |
26,9 |
18,0 |
|
|
Кыргызская Республика |
8,5 |
3,5 |
4,5 |
5,9 |
|
Таджикистан
Туркменистан |
|
54,4 |
57,5 |
|
|
|
Узбекистан |
26,6 |
18,8 |
24,9 |
20,0 |
|
Другие страны
Беларусь |
32,5 |
36,1 |
32,0 |
29,7 |
|
|
Молдова |
|
|
57,6 |
36,8 |
|
|
Россия |
31,6 |
39,1 |
34,9 |
26,8 |
27,0 |
|
Украина |
23,0 |
25,7 |
27,8 |
23,5 |
|
|
Среднее (невзвешенное) |
26,1 |
25,5 |
22,5 |
20,7 |
|
Источники: данные, предоставленные официальными органами соответствующих стран; оценки сотрудников МВФ.
'Если не указано иное, цифры включают изменения товарно-материальных запасов.
2 Цифры не включают накопления товарно-материальных запасов.
льготных условиях. Так как для экономики Кыргызстана еще с советской эпохи был характерен дефицит платежного баланса, который значительно возрос в переходный период, требовалась компенсация за счет иностранной помощи. Конвертируемость же валюты играет ключевую роль в привлечении иностранных капиталов, а без притока прямых иностранных инвестиций невозможно использование новых технологий и «ноу-хау», которые необходимы для оживления и подъема производства.
У Кыргызстана для развития экономики был единственный путь - мобилизовать ресурсы с помощью международных финансовых организаций и стран доноров.
Мы с самого начала осознанно пошли на разработку среднесрочной программы реформ в социально-экономической сфере совместно с МВФ, ВМБ, АБРР и странами-донорами, чтобы обеспечить доверие и эффективное сотрудничество. Обязательные условия МВФ, на которых предоставляются займы и кредиты со стороны МВФ, ВМБ, АБР и странами-донорами, были скорректированы с учетом специфики, в которых проходили реформы в Кыргызстане. Со всей ответственностью можно утверждать, что они не мешали успешному проведению реформ, а напротив помогали, поскольку дисциплинировали наше правительство, стимулировали поиск разумных и эффективных решений для рационального использования предоставляемых кредитов. Поэтому, после успешной реализации монетарной программы «стэнд-бай» уже в середине 1994 года было подписано соглашение о кредитах в рамках механизма расширенного финансирования структурной перестройки - ЕСАФ. Кыргызстан был первым среди стран СНГ, получивший финансовую поддержку МВФ в рамках ECAF и приступивший к осуществлению программы структурной перестройки. Основной целью программы макроэкономической стабилизации и структурной перестройки в 1994-1997 годах было создание экономических условий, способствующих устойчивому росту на основе расширяющегося динамичного частного сектора. Это дало толчок к успешному привлечению кредитов других международных организаций и стран-доноров, которые были эффективны, поскольку поступали синхронно с программой стабилизации и роста.
Заслуга международных финансовых организаций (МВФ, ВМБ, АБР, ЕБРР, ИБР и др.), а также стран-доноров в гарантированном и льготном обеспечении средствами, необходимыми для успешной реализации выбранного правильного курса экономических преобразований в переходный период может быть оценена только как исключительно выдающаяся.
Внешняя помощь в первые годы в основном была направлена на поддержку бюджета и платежного баланса, стабилизацию национальной валюты, укреплению международных валютных резервов, закупку критического импорта. В последние годы внешняя помощь имеет уже инвестиционный характер. Инвестиционная помощь, представленная в виде льготных займов и грантов, в значительной мере способствовала реабилитации и развитию энергетики и инфраструктуры, реконструкции транспортных коммуникаций, техническому переоснащению объектов здравоохранения и образования.
В 1991-1998 годах фактически получено внешней помощи в объеме 1 млрд. 82 млн. долларов США. Из этой суммы 59% направлены на реализацию инвестиционных проектов, а остальные 41% - на программную помощь, идущую на поддержку бюджета и платежного баланса, стабилизацию национальной валюты и укреплению международных валютных резервов.
Одной из важнейших задач в этот период для нас была работа по разъяснению политики реформ для широких слоев населения, чтобы обеспечить доверие людей и их поддержку реформам. Иной ключевой элемент перехода в этот период - институциональные реформы, т.е. приведение в действие основных законов и инструментов рыночной экономики. Здесь главными были три аспекта: утверждение новых прав собственности; установление и соблюдение юридических правил и договорных обязательств; способность правительства эффективно предоставлять услуги.
Все вышеперечисленные аспекты и меры по обеспечению подъема экономики и укреплению рыночных отношений вошли в качестве основных составляющих среднесрочной программы структурной перестройки экономики на 1994-1997 годы, финансирование которой осуществлялось международными финансовыми организациями с участием стран-доноров. Программа была в целом реализована успешно. Последовательная политика либерализации способствовала скорейшему оздоровлению экономики, создавая условия для роста частного предпринимательства и бурного развития сферы услуг. Кыргызстан, по мнению экспертов Всемирного Банка [3.6], уже к началу 1996 года стал страной высокой степени рыночных преобразований, высокой степени либерализации экономики среди стран с переходной экономикой, наряду с такими странами как Словения, Хорватия, Словакия, Литва и Латвия, уступая только Польше, Чехии, Венгрии и Эстонии. Благодаря созданию самого либерального режима внутренней и внешней торговли среди стран СНГ, Кыргызстан стал первой страной из числа ННГ наряду с
Латвией, принятой в 1998 году во Всемирную торговую организацию (ВТО).
Радикальные и последовательные реформы, проведенные в Кыргызстане в 1992-1997 годах, дали сравнительно хорошие экономические результаты среди стран СНГ к концу 1998 года, когда начались реформы второго поколения (см.табл.3.8 и 3.9). Данные таблицы представлены в виде графиков на рис.3.10-3.12, которые наглядно и убедительно демонстрируют успехи реформ в Кыргызстане в сравнении со средними показателями по странам СНГ, а также с экономическими показателями Молдовы. Молдова для сравнения была взята по двум причинам. Во-первых, Кыргызстан и Молдова - равновеликие страны с примерно равной численностью населения и примерно одинаковой структурой экономики. Правда, в Молдове был передовой и мощный, образцовый по меркам СССР, агропромышленный комплекс. Во-вторых, как в Кыргызстане, так и в Молдове реформы проводились параллельно по одной и той же модели при финансовой поддержке МВФ, Всемирного Банка и стран-доноров. Результативность реформ в Кыргызстане особенно выделяется в аграрном секторе (см.рис.3.12), где были проведены наиболее решительные и глубокие преобразования. И все это несмотря на гораздо более высокий уровень капиталовложений в Молдове (см.табл.3.7). Это свидетельствует о том, что капиталовложения без структурных преобразований не дают много эффекта.
Одним из нежелательных изменений в структуре использования ВВП в эти годы явилось резкое снижение доли инвестиций, что затрудняло процесс оживления экономики. Однако уже в 1996 году наметилось оживление инвестиционного процесса, связанного как с притоком прямых иностранных инвестиций, так и
Рост ВВП в реальном выражении в странах СНГ
Таблица 3.8 |
|
|
1989 |
1990 |
1991 |
1992 |
1993 |
1994 |
1995 |
1996 |
1997 |
1998 |
1999 |
Оценка ВВП в реальном выражении в 1998 г. |
|
Азербайджан |
-4,4 |
-11,7 |
-0,7 |
-22,6 |
-23,1 |
-19,7 |
-11,8 |
1,3 |
5,8 |
ю,і |
3,7 |
44 |
|
Армения |
14,2 |
-7,4 |
-17,1 |
-52,6 |
-14,8 |
5,4 |
6,9 |
5,8 |
зд |
7,2 |
4 |
41 |
|
Беларусь |
8 |
-3 |
-1,2 |
-9,6 |
-7,6 |
-12,6 |
-10,4 |
2,8 |
10,4 |
8,3 |
1,5 |
78 |
|
Грузия |
-4,8 |
-12.4 |
:20,6 |
-44,8 |
-25,4 |
-П,4 |
2,4 |
10,5 |
11 |
2,9 |
3 |
33 |
|
Казахстан |
-0,4 |
-0,4 |
-13 |
-2,9 |
-9,2 |
-12,6 |
-8,2 |
0.5 |
2 |
-2,5 |
-1,7 |
61 |
|
Кыргызстан |
4 |
3 |
-5 |
-19 |
-16 |
-20 |
-5,4 |
7,1 |
9,9 |
1.8 |
0 |
60 |
|
Молдова |
8,5 |
-2,4 |
-17.5 |
-29,1 |
-1,2 |
-31,2 |
-3 |
-8 |
1,3 |
-8,6 |
-5 |
32 |
|
Россия |
- |
-4 |
-5 |
-14,5 |
-8,7 |
-12,7 |
-4,1 |
-3,5 |
0,8 |
-4,6 |
0 |
55 |
|
Таджикистан |
-2,9 |
-1,6 |
-7,1 |
-29 |
-11 |
-18,9 |
-12,5 |
-4,4 |
1,7 |
5,3 |
5 |
42 |
|
Туркменистан |
-6,9 |
2 |
-4,7 |
-5,3 |
-10 |
-18,8 |
-8,2 |
-8 |
-26,1 |
4,2 |
17 |
44 |
|
Узбекистан |
3,7 |
1,6 |
-0,5 |
-ИД |
-2,3 |
-4,2 |
-0,9 |
1,6 |
2,4 |
з,з |
3 |
90 |
|
Украина |
4 |
-3,4 |
-11,6 |
-13,7 |
-14,2 |
-23 |
-12,2 |
-10 |
-3,2 |
-1,7 |
-2,5 |
37 |
Содружество
Независимых
Государств |
0,6 |
-3,7 |
-6 |
-14,2 |
-9,3 |
-13,8 |
-5,2 |
-3,5 |
0,9 |
-3,5 |
0 |
53 |
|
Источник: Процесс перехода и экономические показатели стран СНГ. - ЕБРР, ноябрь 1999г.
 |
|
Рис.3.10.Индексы физического объема ВВП (Кыргызстан, СНГ в среднем и Молдова). |
Индексы основных экономических показателей в среднем по СНГ, Кыргызстану и Молдове
(в процентах к 1991г.) |
|
|
1992 |
1993 |
1994 |
1995 |
1996 |
1997 |
1998 |
|
Валовой внутренний |
|
|
|
|
|
|
|
|
Кыргызская Республика |
86 |
73 |
58 |
55 |
59 |
65 |
66 |
|
Молдова |
71 |
70 |
49 |
48 |
44 |
45 |
41 |
|
СНГ |
86 |
78 |
67 |
63 |
61 |
62 |
60 |
|
Общий объем
Пцомышленной пиод?кции
|
56 |
40 |
33 |
36 |
54 |
58 |
|
73 |
53 |
51 |
47 |
47 |
42 |
|
72 |
56 |
52 |
50 |
52 |
50 |
|
85 |
70 |
68 |
79 |
88 |
92 |
|
92 |
69 |
71 |
62 |
69 |
63 |
|
91 |
78 |
73 |
69 |
70 |
64 |
|
45 |
43 |
40 |
41 |
45 |
49 |
|
40 |
23 |
22 |
21 |
20 |
18 |
|
81 |
78 |
71 |
70 |
74 |
73 |
|
60 |
32 |
58 |
69 |
67 |
43 |
|
41 |
20 |
17 |
16 |
14 |
14 |
|
55 |
42 |
36 |
30 |
29 |
28 |
|
19 |
9 |
8 |
10 |
10 |
10 |
|
24 |
17 |
12 |
11 |
12 |
10 |
|
52 |
37 |
31 |
26 |
24 |
22 |
Валовая продукция
сельского хозяйства (хозяйства всех категорий)
Розничный товарооборот
Инвестиции в основной капитал
Перевозки грузов всеми видами транспорта
Торгующие организации ' Оценка
Источник:Межгосударственный статистический комитет СНГ
 |
|
Рис.3.11.Индексы объема продукции промышленности (Кыргызстан, СНГ в среднем и Молдова). |
 |
|
Рис.3.12. Индексы объема продукции сельского хозяйства (Кыргызстан, СНГ в среднем и Молдова). |
поступлением финансовых ресурсов международных финансовых организаций на реализацию государственных инвестиционных проектов.
Программа государственных инвестиций на 1996-2000 годы, которая финансируется исключительно за счет льготных кредитов Всемирного Банка, АБРР, ЕБРР и ИБР, а также стран-доноров -Японии, Германии, Швейцарии и др., выглядит следующим образом:
|
Таблица 3.10 |
|
Год |
1996 |
1997 |
1998 |
1999 |
2000 |
|
Уровень (в % к ВВП) |
3,5 |
6 |
9,8 |
13,5 |
13,7 |
|
Как видно из данной таблицы, Кыргызстан, благодаря международной помощи покрывает тот объем ежегодных субсидий, который он получал из Москвы в советский период на цели развития.
Для сравнения отметим, что ежегодные внутренние капиталовложения в 1995-1997 годах составили около 4,5% ВВП, что крайне недостаточно для оживления экономики. Если учесть, что Кыргызстану для устойчивого экономического роста с ежегодным темпом в 7-8% необходимы инвестиции в экономику в объеме 25% ВВП и более, то становится очевидным насколько важно благоприятствование притоку прямых иностранных инвестиций. Их ежегодный объем должен составить порядка 10% ВВП!
Итак уже в 1995 году наметился подъем в экономике, который перешел в заметный экономический рост в 1996 году - 7,1% роста реального ВВП и 9,9% в 1997 году! (см.рис.3.10). Потребительский рынок быстро насытился товарными ресурсами, что наряду с ростом реальных доходов населения обеспечивало рост реальных объемов розничного товарооборота. В 1996 году насыщенность торговли потребительскими товарами в среднем составляла 90-95%, продовольственными - 95%. Причем определяющим в развитии торговли в Кыргызстане стал неформальный рынок, который с самого начала развивался гораздо более динамично по сравнению с организованной торговой сетью. К концу реализации программы начала улучшаться занятость населения. Впервые за годы экономического спада в 1996 году наметилась тенденция к увеличению численности занятых в экономике, а уже в 1997 году безработица значительно сократилась (см. рис.3.13) и составила около 3%, что находится в пределах естественного уровня безработицы. Численность официально зарегистрированных безработных к экономически активному населению в пиковый период 1996 года составила около 5 процентов.
Наиболее трудную задачу на этом этапе представляла структурное преобразование в промышленном секторе, являвшемся эпицентром кризисных явлений. Она была затруднена также отсутствием или недостатком инвестиций. Однако масштабная программа приватизации сыграла свою роль, и в этом секторе также началась структурная перестройка.
Глубочайший и затяжной промышленный кризис, наряду с разрывом традиционных хозяйственных связей, был также обусловлен резким ростом издержек (повышение цен на энергоносители, комплектующие изделия, сырье, снижение производительности труда). Все это привело к значительному
|
СПРОС И ПРЕДЛОЖЕНИЕ РАБОЧЕЙ СИЛЫ (на конец месяца, тысяч человек) DEMAND AND SUPPLY OF LABOUR FORCE |
 |
численность незанятых, обратившихся в службы занятости
number of seeking work applied to employment offices
'численность безработных, зарегистрированных в службах занятости
number of unemployed registered at employment offices
потребность предприятий в работниках, заявленная в службы занятости
demand of enterprises in employees reported to employment offices |
Рис. 3.13
ослаблению конкурентоспособности экспортных производств и сокращению производства товаров, росту инфляции.
Следствием стало увеличение импорта и ухудшение платежного баланса. Сбалансированность спроса и предложения на рынке товаров была достигнута огромной ценой, за счет высокой доли импорта порядка 60% розничного товарооборота при пороговом значении в 30%, согласно международного опыта. Поэтому одной из главных задач к концу программы в 1997 году являлось улучшение платежного баланса.
Инфляция в 1995-1996 годах также держалась на критическом уровне, соответственно 32 и 35%. Следовательно, второй важнейшей задачей было дальнейшее снижение инфляции, чтобы способствовать дальнейшему экономическому росту.
В 1995-1996 годах ухудшилось также положение на рынке труда (см.рис.3.13), которое было следствием структурных преобразований в экономике («структурная» безработица) и ограничения спроса («кейнсианская»).
Попытка решить одну из этих проблем приводила к обострению другой. Например, снижение дефицита бюджета привело к уменьшению инвестиций, что в свою очередь сдерживало рост производства и способствовало увеличению безработицы. Снижение дефицита бюджета осуществлялось, прежде всего, путем сокращения государственных расходов, поскольку мы были вынуждены сохранять высокий уровень социальных расходов, это привело к падению инвестиций. Таким образом, рестриктивная политика, проводившаяся последние годы способствовала дальнейшему спаду производства и повышению безработицы.
Поскольку одновременно не представлялось возможным дальнейшее снижение дефицита бюджета, то была поставлена задача его стабилизации на достигнутом уровне.
Поэтому в 1997 году мы начали переориентацию бюджета от потребления к сбережениям в труднейших условиях, путем сохранения достигнутого уровня дефицита бюджета, чтобы стимулировать рост производства и занятости. Чтобы такая политика экспансии дала позитивные результаты необходимо было повысить конкурентоспособность отечественных товаров для чего мы осознанно не препятствовали крупной девальвации сома, которая произошла в октябре-ноябре 1996 года, что удешевило сом более чем на 30%. Параллельно мы приняли новый Налоговый Кодекс и снизили также налоговое бремя. Началась перестройка налоговой системы. Новый Налоговый Кодекс открыл благоприятные условия для развития частного сектора, а также повысил эффективность налогообложения. В нем, в целом удалось реализовать ключевые моменты, нацеленные на эффективное изменение действующей системы налогообложения. Он учитывает открытость экономики Кыргызстана и ее рыночную ориентацию.
Наиболее значительным шагом стал переход к косвенному налогообложению. Это в русле общемировой тенденции, поскольку налоги на потребление предпочтительнее налогов на доходы, а налоги на доходы, - в свою очередь, налогов на продуктивное богатство. Обычно взимание косвенных налогов с производства или продаж гораздо проще, чем прямых налогов с доходов и состояния. Сделан также переход к мировой практике взимания НДС по принципу страны назначения, а не страны происхождения. Теперь идет создание адекватной системы администрирования налогов, новой технологии сбора налогов и обучения налоговых инспекторов этой технологии.
В переходной экономике потребительские налоги наиболее эффективны и обеспечивают наибольший доход государственному бюджету. Тем не менее, необходимо обеспечить сбалансированность косвенных и прямых налогов.
Международная статистика говорит о том, что в странах с монетаристской ориентацией, как правило, доля налогов в валовом доходе фирм колеблется от 25% до 35%. В соответствии с новым Налоговым Кодексом эта доля в Кыргызстане в среднем не превышает 28%, что позволяет развиваться экономической деятельности.
Введение в Кыргызстане 1 июля 1996 года в действие указанного Налогового Кодекса явилось значительным шагом в проведении надежной и стабильной налоговой политики.
Таким образом, новая экономическая политика, принятая в 1996-1997 годах была основана на рациональном сочетании рестриктивных и экспансионистских мер или монетаристского и кейнсианского подходов. Мы начали тормозить рост потребления и одновременно стимулировать инвестиции, улучшать платежный баланс и продолжать решительную борьбу с инфляцией, чтобы конечный эффект сказался позитивно на производстве и занятости.
Совершенствование инструментов денежно-кредитной политики совпала с успешной реформой финансового сектора, которая способствовала повышению доверия общественности к банковскому сектору. В рамках этой реформы был успешно осуществлен проект структурной перестройки финансового сектора (FINS АС), предусматривающий реорганизацию финансового и банковского секторов и развития конкуренции (1996-1997 гг.). Были ликвидированы два оставшихся государственных банка и рекапитализированы два других бывших государственных банка, начал свою деятельность ряд новых частных банков, в том числе с участием иностранного капитала. В процессе реализации проекта были введены пруденциальные нормы для всей банковской системы, соответствующие международным стандартам. Это и успешный переход на международные стандарты бухгалтерского учета (с 1 апреля 1997 года) и введение требований по адекватности капитала и другие нормативы. Были приняты новые законы, касающиеся деятельности финансово-кредитных учреждений.
Все это в значительной мере способствовало устойчивому функционированию банковской системы в последующие годы.
Осенью 1996 года (сентябрь-декабрь) произошла первая крупная девальвация национальной валюты - сома, с обесценением номинального обменного курса сома к доллару более чем на 30 процентов.
Девальвация сома осенью 1996 года понизила издержки отечественных товаропроизводителей и повысила конкурентоспособность их продукции на рынках наших главных торговых партнеров. Что должно было привести к увеличению объемов экспорта, уменьшению объемов импорта, а значит и к улучшению платежного баланса, к росту сбережений. Действительно уже в 1997 году дефицит счета текущих операций снизился с 25% ВВП в 1996 году до 11% ВВП.
Для того чтобы девальвация могла реально улучшить платежный баланс, необходимо, чтобы объемы экспорта значительно выросли, а объемы импорта сдержать путем конкурентоспособного импортозамещения. Именно на эти цели и были направлены инвестиции, чтобы стимулировать конкурентоспособные экспорториентированные производства и импортозамещающие.
Для того чтобы позитивные следствия девальвации распространялись на ближайшую перспективу необходимо вести решительную борьбу с инфляцией, путем ужесточения бюджетной политики, антимонопольных мер. Все это должно дать увеличение прироста при подавленной инфляции.
Следующим шагом, но уже в 1998 году было сокращение бюджетного дефицита при сдерживании инфляции.
Поскольку для успешного развития рыночной экономики ключевую роль играет стабильность обменного курса национальной валюты, то вновь необходимо было принять меры по поддержанию нового обменного курса сома, что удавалось в течение всего 1997 года и первой половины 1998 года (см.рис.3.14).
В 1997 году национальная валюта по сравнению с предыдущими годами была наиболее устойчивой. За этот год кыргызский сом обесценился всего на 4,04 процента! Это минимальное годовое значение падения курса сома за весь период, начиная с момента его введения. Официальные международные валовые резервы (золото-валютные резервы) были увеличены с 1,8 месяцев импорта в 1996 году (129 млн. долларов США) до 2,7 месяцев импорта (до 186 млн. долларов США) в 1997 году. Однако финансовый кризис в России в августе 1998 года вызвал, в свою очередь, обвал национальных валют в ряде стран СНГ, в том числе и в Кыргызстане, который удалось стабилизировать только к середине 1999 года. Темпы роста ВВП замедлились до 1,8%.
Наступает также момент, когда надо менять денежную политику. С 1993 года рост бюджетного дефицита покрывался за счет внешних и банковских займов. С 1995 года незначительная доля займов бралась у граждан и предприятий через рынок ценных бумаг. В 1997 году здесь ситуация коренным образом изменилась.
Отличительной чертой 1997 года стало увеличение на 6 процентных пункта (с 2,6% в 1996 году до 8,7% в 1997 году) доли финансирования дефицита бюджета за счет государственных ценных бумаг и казначейских обязательств (ГКВ и ГКО), что свидетельствовало о развитии рыночных механизмов финансирования государственного бюджета. С 1998 года в Кыргызстане прекращено финансирование дефицита бюджета за счет кредитов НБКР (см. рис.3.15).
Развитие финансового рынка, создание условий для успешного эффективного его функционирования, позволит все более
Номинальный обменный курс и темпы его роста
(на среднемесячной основе)
30,0

50
а
а
а»
а
а»
а
а
а»
О
а
а
а»
а'
о
са,
-10,0
д
со со ю ю
S § g к
о
со со ю ю
s g
S К о
со со ю ю
3 3 g к
о
со со ю ю
3 §
g д
о
со со ю ю
S 3
g д
о
¦Обменный курс---Темп роста (в%)
Рис.3.14

12
11
10
9
8
7
6
5
4
3
2
1
0
с
CQ
CQ
? внешнее финансирование
? внутреннее финансирование (с указанием доли в общем финансировании)
Рис.3.15. Источники финансирования дефицита государственного бюджета
 |
|
Рис.3.16. Структура денежных доходов населения |
и более наращивать долю займов вне банковской системы, чтобы резко уменьшить влияние одного из главных источников инфляции.
Платежный баланс также все последние годы поддерживался главным образом за счет внешней помощи. Продолжающийся приток капитала для финансирования операций текущего счета привел к растущему бремени внешнего долга страны, который в основном состоит из льготных и долгосрочных кредитов.
Неизбежным компонентом переходного этапа стало углубление дифференциации заработков, доходов и благосостояния людей и связанный с этим рост уровня бедности, поскольку значительная часть населения медленнее адаптировалась к новым рынкам.
В этих условиях самое главное состояло в обеспечении экономического роста и занятости. Только так можно было стабилизировать масштабы бедности. Действительно, дифференциация доходов в результате снижения инфляции и с началом экономического роста также стала стабилизироваться: квинтильный коэффициент, показывающий соотношение доходов 20% самых богатых к 20% самых бедных с 1991 года по 1994 год подскочил с 2,8 до 8,6 раз, но уже в 1996 году стабилизировался на уровне примерно 8 раз (см.табл.3.11).
В 1992-1995 годах в большинстве стран СНГ значительно снизилась доля оплаты труда в ВВП и соответственно выросла доля (в среднем на 14%) валовой прибыли и валовых смешанных доходов. В определенной мере снижение доли оплаты труда связано с процессом перехода населения в сектор мелкого частного предпринимательства. В Кыргызстане этот процесс также активно развивался, что хорошо видно из графика структуры денежных доходов населения, представленного на рис.3.16. В странах, где
Распределение общего объема денежных доходов населения
(в процентах)
|
|
1991 |
1992 |
1993 |
1994 |
1995 |
1996 |
1997 |
|
Денежные доходы - всего |
100,00 |
100,00 |
100,00 |
100,00 |
100,00 |
100,00 |
100,00 |
в том числе по 20- процентным группам населения:
пецвая 1с наименьшими доходами) |
1 1 43 |
10 65 |
7 03 |
5 30 |
6 09 |
5 67 |
5 60 |
|
втопая |
15 31 |
14 94 |
1 1 86 |
10 70 |
10 93 |
10 56 |
10 30 |
|
третья |
18.98 |
18,43 |
16,81 |
15.70 |
15.96 |
15,40 |
15.20 |
|
четвертая |
22.73 |
22.92 |
23,80 |
22.90 |
22.95 |
22.76 |
22.60 |
|
пятая 1с наибольшими лохолами) |
31 53 |
33 06 |
40 49 |
45 50 |
44 07 |
45 61 |
46 30 |
Соотношение доходов 20% населения наиболее обеспеченных к
20% населения наименее обеспеченных слоев, в палах |
2,8 |
зд |
5,8 |
8,6 |
7,2 |
8,0 |
8,3 |
|
Коэффициент концентрации доходов (индекс Джини) |
0,200 |
0,240 |
0,341 |
0,398 |
0,378 |
0,396 |
0,404 |
|
Доля населения, находящегося ниже черты бедности2 |
|
|
45,0 |
|
57,3 |
51,9 |
51,0 |
|
крайней черты бедности |
|
|
30,0 |
|
29,0 |
19,1 |
14,8 |
|
'Оценка
2Рассчитано по методикам, предложенным Всемирным Банком. |
мелкое предпринимательство не получило большого развития, происходит перераспределение доходов от основной массы населения к ограниченному кругу экономических субъектов, в руках которых концентрируется основная масса финансового и промышленного капитала.
В решающей степени устойчивость экономике придает социальная стабильность в обществе, которая становится условием экономического прогресса, т.е. формирование социально устойчивого общества.
Поэтому один из ключевых вопросов переходной экономики -создание основ социальной гарантированности общества, социально ориентированной экономики.
В связи с этим было обращено особое внимание на совершенствование адресности, эффективности и надежности важнейших видов социальной помощи, чтобы обеспечить получение наиболее уязвимыми группами по меньшей мере 60% социальных выплат. Это означало бы, что 60% социальных выплат приходилось на квинтиль (20 процентов населения) с наиболее низким уровнем благосостояния согласно обследования домашних хозяйств. Причем на социальную сферу в эти годы направлялось 50-60% всех расходов государственного бюджета (см.табл.3.12): на образование, здравоохранение, социальное страхование и социальное обеспечение.
Кроме того ряд крупных и множество мелких инвестиционных и грантовых международных проектов было также направлено на поддержание и улучшение социальной сферы, чтобы обеспечить предоставление базовых социальных услуг сельскому населению, восстановлению и укреплению социальной инфраструктуры в сельских районах (учреждения образования и здравоохранения).
Таблица 3.12
Структура расходов государственного бюджета Кыргызской Республики
(в процентах) |
|
|
1992 |
1993 |
1994 |
1995 |
1996 |
1997 |
|
Общие расходы |
100.0 |
100.0 |
100.0 |
100.0 |
100.0 |
100.0 |
|
Госуд.услуги общего |
1.6 |
3.1 |
3.7 |
7.4 |
11.1 |
12.4 |
|
назначения |
|
|
|
|
|
|
|
Образование |
16.1 |
18,5 |
26.0 |
23.1 |
23.5 |
22.0 |
|
Здравоохранение |
9.2 |
11.2 |
14.9 |
13.6 |
14.1 |
13.1 |
|
Соцстрахование и |
11.0 |
9.7 |
13.2 |
19.9 |
17.0 |
15.8 . |
|
соцобеспечение |
|
|
|
|
|
|
|
Прочие расходы |
62.1 |
57.5 |
42.2 |
36.0 |
34.3 |
36.7 |
|
Также были приняты меры по расширению участия местных общин в предоставлении и финансировании социальных услуг путем укрепления органов местного самоуправления и расширения их прав.
Главными социальными целями Кыргызстана в годы реформ
стали:
- снижение уровня безработицы;
- снижение уровня бедности;
- расширение социальной помощи и поддержки пожилым людям, пенсионерам.
При выборе варианта пенсионной реформы мы также учитывали ситуацию в республике и избрали стратегию постепенного перехода, когда старая и новая пенсионные системы сосуществуют. Параллельно с процессом наращивания активов накопительной системы происходит снижение ставок отчислений в распределительную систему. Постепенная реформа в отличие от радикального варианта не ложится тяжелым бременем на госбюджет. Кроме того, она не ущемляет интересы наименее обеспеченных групп населения.
Введение частного пенсионного обеспечения и медицинского страхования должны осуществляться только постепенно по мере создания необходимой правовой, финансовой и регулятивной инфраструктуры. Поэтому на переходном этапе важно сохранить роль государственного социального обеспечения.
В связи с этим, с 1996 года реформирование системы пенсионного обеспечения началось с создания единой самоуправляемой системы государственного социального страхования, охватывающей социальным страхованием все работающее население, обеспечивающей достаточный сбор страховых взносов и финансирование всех страховых фондов: пенсионного, занятости (пособие по безработице), медицинского страхования (на оплату больничных и оздоровления). Насколько трудна данная задача можно судить по изменению соотношения плательщиков страховых взносов и получателей пенсии, оно снизилось в два раза за период с 1991 по 1997 год: с 3:1 до 1,5:1! Поэтому особенно важную роль в успешном продвижении пенсионной реформы сегодня играют льготные кредиты Всемирного Банка и АБРР, а также поддержка японского правительства в рамках финансирования проекта «Реформа социального сектора» (SOSАС).
С 1996 года также началось создание новой пенсионной системы, непосредственно увязывающей размер пенсии с реальным уровнем трудового дохода работника через персонифицированный учет. На конец 1999 года из 1,6 млн. занятых граждан Кыргызстана охвачены 1 млн. 200 тыс. человек, а страховые взносы платят около 900 тыс.человек.
Таким образом, в результате выполнения программы структурных преобразований в 1994-1997 годах удалось добиться главной цели - экономического роста, при поддержании темпов инфляции ниже критического значения. Вследствие этого было также остановлено падение жизненного уровня населения.
В этот же период началось развитие современной коммуникационной инфраструктуры. Завершен первый телекоммуникационный проект. Начата реконструкция стратегической автомобильной дороги Бишкек-Ош, связывающей север и юг Кыргызстана. Начата реконструкция центрального аэропорта «Манас», который превратится в один из лучших международных воздушных портов Центральной Азии и станет важным транзитным пунктом на пути авиалиний из стран Европы в страны Юго-Восточной Азии. Проект реконструкции автомобильной дороги Бишкек-Ош является началом долгосрочной программы развития сети международных дорог, которая будет способствовать успешной интеграции Кыргызстана в мировую экономику, поскольку она дает выход в Китай и далее Пакистан.
Подводя итоги настоящей главы, сформулируем основные меры, требующиеся для поддержания макроэкономической стабильности и устойчивого роста:
1. Сдерживание среднегодовых темпов инфляции на уровне, не превышающем критического значения в 35% (лучше если менее 10%), путем установления контроля над денежным предложением, при его умеренном росте.
2. Достижение сбалансированности государственного бюджета.
3. Поддержание уравновешенного платежного баланса при соответствующем балансе текущих платежей.
4. Формирование необходимой инфраструктуры рынка (правовой, банковской, биржевой и т.п.)
5. Поддержание высоких темпов экономического роста, на уровне не менее 5% реального ВВП в год.
6. Справедливое распределение доходов и собственности.
7. Обеспечение доступности для широких слоев населения основных видов социальных услуг.
Литература к третьей главе:
3.1. Сакс Джеффри. Рыночная экономика и Россия: Пер.с англ. -М.: «Экономика», 1994 - 331 с.
3.2. Ослунд Андерс. Россия: рождение рыночной экономики: Пер.с англ. - М.: «Республика», 1996 - 430 с.
3.3. Бруно М. Глубокие кризисы и реформа. - Вопросы экономики, 1997, № 2, с.4-29.
3.4. Фишер С., Сахан Р., Вег К.А. Стабилизация и рост в переходных экономиках: первые уроки. - Вопросы экономики, 1997, №5, с. 19-39.
3.5. Гайдар Е. «Детские болезни» постсоциализма. - Вопросы экономики, 1997, № 4, с.4-25.
3.6. От плана к рынку. - Отчет о мировом развитии, Вашингтон, 1996 г. Всемирный Банк.
3.7. Актуальные проблемы и опыт экономической политики в странах Балтии, России и других государствах бывшего Советского Союза. - Международный Валютный Фонд, вып. № 133, под ред. Даниела Ситрина и Ашока Лахири, Вашингтон, 1995 г.
3.8. Кейнс Дж. Общая теория занятости, процента и денег. -М.: Антология экономической классики, «Эконов» - «Ключ», 1993 г. -298 с.
3.9. Фридмен М. Если бы деньги заговорили... - М., Дело, 1998 г, - 157 с.
3.10. Малкина М.Ю. Инфляция: теория и практика, история и современность. - Нижний Новгород, Изд-во ННГУ, 1998 г. - 201 с.
3.11. Илларионов А. Инфляция и экономический рост. -Вопросы экономики, 1997, № 8, с.91.
3.12. Илларионов А. Закономерности мировой инфляции. -Вопросы экономики, 1997 г., № 2, с.30.
3.13. Илларионов А. Теория «денежного дефицита» как отражение платежного кризиса в российской экономике. - Вопросы экономики, 1996 г., № 12, с.40.
3.14. Зайцев В.Ф., Полянин А.Д. Справочник по нелинейным обыкновенным дифференциальным уравнениям. - М. «Факториал», 1997.
Глава четвертая. Динамика развития частного сектора в переходной экономике
Развитие процессов в современном мире происходит в основном по экспоненте. Однако лишь в математике показательная функция стремится к бесконечности, В реальной жизни для этой зависимости характерно или резкое падение, или постепенное сближение к пределу.
Деннис Габор
В этих словах выдающегося английского физика, изобретателя голографии, лауреата Нобелевской премии Д.Габора заключен глубочайший смысл. В первой главе настоящей книги мы показали, что распад плановой экономики происходит по схеме схожей на механизм цепной реакции, а спад производства при этом происходит по экспоненте. В настоящей главе мы покажем что функции, описывающие рождение и развитие новых экономических субъектов (индивидуальных предпринимателей, фермерских и крестьянских хозяйств, малых и средних предприятий частного сектора), также являются показательными функциями. Но прежде мы изложим необходимый математический аппарат из теории вероятностей, поскольку в главе второй мы показали, что процессы зарождения и развития новых экономических субъектов являются спонтанными, стихийными. В параграфе 2.3 было высказано предположение, что статистика для популяции предпринимателей или новых предприятий основывается на теории цепей Маркова, являющейся одним из важных разделов теории вероятности [4.1].
4.1. Законы Эрланга
Начнем с рассмотрения широко известного простейшего закона распределения Пуассона [4.1].
Дискретная случайная величина X называется распределенной по закону Пуассона, если ее возможные значения 0,1,2,...т, ..., а вероятность события {X т} выражается формулой
Р
т=Р{Х=т} = ^-е~
а, (т=0,1,2,...) (4.1)
т\
где а>0.
Распределение Пуассона зависит от одного параметра а. Для случайной величины распределенной по закону Пуассона: M[X]=D[X]=a, где М - математическое ожидание, I) - дисперсия случайной величины X.
Распределением Пуассона можно пользоваться приближенно, если производится большое число независимых опытов, в каждом из которых событие Э происходит с малой вероятностью.
Этому требованию как раз и отвечает процесс появления предпринимателей и новых предприятий в ходе перехода от плана к рынку.
Пуассоновскому закону распределения подчиняется также количество точек, попадающих в заданную область пространства (одномерного, двумерного или трехмерного), если случайное расположение точек в этом пространстве удовлетворяет некоторым ограничениям.
Одномерный вариант встречается при рассмотрении «потоков событий». Потоком событий называется последовательность однородных событий, наступающих одно за другим в случайные моменты времени. Примером такого потока событий может служить появление предпринимателей или новых предприятий.
Среднее число событий Л, приходящихся на единицу времени, называется интенсивностью потока. Величина Л может быть как постоянной, так и переменной: Л = Л (I).
Поток событий называется потоком без последействия, если вероятность попадания того или иного числа событий на какой-то участок времени не зависит от того, сколько событий попало на любой другой непересекающийся с ним участок.
Поток событий называется ординарным, если вероятность появления на элементарном участке At двух или более событий пренебрежимо мала по сравнению с вероятностью появления одного события.
Ординарный поток событий без последействия называется пуассоновским. Если события образуют пуассоновский поток, то число X событий, попадающих на любой участок времени (t
0,to
+ г), распределено по закону Пуассона [4.1]:
а
т
Р = —е~
а т\
где а - математическое ожидание числа точек, попадающих на участок:
t
0+T
а = \A(t)dt, где Я (I) - интенсивность потока.
*о
Если A=const, пуассоновский поток называется стационарным пуассоновским потоком или простейшим. В этом случае число событий, попадающих на любой участок времени длины т, распределено по закону Пуассона с а=Ат.
Таким образом, поток называется простейшим, если он стационарен, ординарен и не имеет последействия. Условия отсутствия последействия -наиболее существенное для простейшего потока - означает, что события происходят независимо друг от друга.
Простейший поток играет среди потоков событий особую роль, до некоторой степени аналогичную роли нормального закона среди других законов распределения, поскольку при суммировании большого числа независимых случайных величин, подчиненных практически любым законам распределения, получается величина, приближенно распределенная по нормальному закону. Аналогично при суммировании (взаимном наложении) большого числа ординарных, стационарных потоков с практически любым последействием, получается поток, сколь угодно близкий к простейшему. При увеличении числа слагаемых последействие в суммарном потоке, даже если оно значительно в отдельных потоках, должно постепенно слабеть.
Процесс рождения популяции предпринимателей или новых предпринимателей таким образом можно рассматривать как простейший пуассоновский поток.
Для простейшего пуассоновского потока вероятность того, что за время г произойдет ровно т событий, равна
Р
т(т) = (4.2)
т\
В частности, вероятность того, что участок окажется пустым (не произойдет ни одного события, т.е. т=0), будет
Ро(т) = е(4.3)
Рассмотрим случай, когда Я 1(1). Один важный закон распределения представляет показательный закон распределения. Плотность распределения по данному закону:
f(t)=Me~r (4.4)
Для этого случая имеем:
т, = М[Т] = — и D
t= \ или а, —.
ЯЛ" Л
По существу это закон распределения длины промежутка между соседними событиями в простейшем потоке.
Данный результат можно трактовать так: если имеется простейший поток событий с интенсивностью Л, то интервал времени Т между произвольными двумя соседними событиями имеет показательное распределение с параметром Л. Поэтому, суммируя интервалы между событиями, получаем число событий.
Имеется одно замечательное свойство показательного закона: если промежуток времени, распределенный по показательному закону, уже длился некоторое время г, то это никак не влияет на закон распределения оставшейся части промежутка; он будет таким же, как и закон распределения всего промежутка времени Т. Можно показать, что показательный закон - единственный, обладающий таким свойством. Оно представляет собой, в сущности, другую формулировку для «отсутствия последействия», которое является основным свойством простейшего потока.
Показательным законом хорошо описываются те случаи, когда плотность распределения времени обслуживания по тем или иным причинам убывает при возрастании аргумента t. С такой ситуацией мы встречаемся при рассмотрении процесса развития предпринимательства: со временем обязательно возникают
различные барьеры, тормозящие этот процесс, пока правительства не принимают прорывных решений. Именно этим объясняется то, что предприниматели появляются «роем», как об этом писал Й. Шумпетер.
Ординарный поток событий называется потоком Пальма или потоком с ограниченным последействием, если интервалы времени Ті, Т
2, ... между последовательными событиями представляют собой независимые, одинаково распределенные случайные величины. Поток Пальма стационарен, но имеет ограниченное последействие.
Потоки Пальма часто получаются в виде выходных потоков систем массового обслуживания. Если на какую-то систему поступает какой-то поток заявок, то он этой системой разделяется на два: поток обслуженных и поток необслуженных заявок. Это напоминает процесс преобразования предприятий в процессе приватизации: поток частных предприятий и поток
акционированных обществ и т.п.
Наиболее интересным и важным примером потоков с ограниченным последействием являются потоки Эрланга. Они образуются «просеиванием» простейшего потока.
Потоком Эрланга к-го порядка называется поток событий, получающийся «прореживанием» простейшего потока, когда сохраняется каждая k+1-я точка в потоке, а все промежуточные выбрасываются. Например, если в простейшем потоке сохраняется каждая вторая точка, то образуется поток Эрланга первого порядка. Поток Эрланга второго порядка получится, если сохранить в простейшем потоке каждую третью точку, а две промежуточные выбросить. Интервал времени между двумя соседними событиями в потоке Эрланга к-го порядка представляет сумму к независимых случайных величин Т
1,Т
2,...,Т
к, имеющих показательное распределение с параметром Я, т.е.
к-\
т='Е
т.¦
/'= 1
Закон распределения случайной величины Т называется законом Эрланга к-то порядка и имеет плотность [4.1]:
М) = (при г>°)- И»
(к)\
Математическое ожидание, дисперсия и среднее квадратическое отклонение случайной величины Т соответственно равны:
?ш
1
к +1
ІГ’’
(4.6)
Законы распределения (4.5) были впервые получены выдающимся датским ученым А. Эрлангом, одним из первых исследователей и создателей теории массового обслуживания (ТМО). А. Эрланг пришел к этим законам, исследуя практические задачи ТМО (в 1909-1922 гг.), возникшие в начале XX века в связи с проблемами организации телефонных сетей.
Допущения о пуассоновском характере потока событий и о показательном распределении промежутков времени между событиями ценны тем, что позволяют на практике применить мощный аппарат марковских случайных процессов [4.1].
Процесс, протекающий в физической системе, называется марковским или процессом без последействия, если для каждого момента времени вероятность любого состояния системы в будущем зависит только от состояния в настоящем, т.е. в момент t
0 и не зависит от того, каким образом система пришла в это состояние.
В теории марковских случайных процессов особую роль играет показательное распределение. В стационарном марковском процессе время, в течение которого система остается в каком-либо состоянии, распределено всегда по показательному закону.
С течением времени в такой системе устанавливается предельный стационарный режим, в ходе которого она переходит из одного состояния в другое состояние, но вероятности состояний уже не меняются. В этом предельном режиме каждая финальная вероятность может быть использована как среднее относительное время пребывания системы в данном состоянии.
Система, для которой существуют финальные вероятности, называется эргодической, а соответствующий случайный процесс -эргодическим. Это имеет место, когда все потоки, переводящие систему из одного состояния в другое, являются простейшими. Процессы, ведущие к рыночному равновесию, как раз и являются эргодическими.
Марковские процессы могут быть не только с дискретным числом состояний, но и непрерывными. Простейший поток событий является частным случаем марковского случайного процесса с дискретными состояниями. Поскольку мы имеем дело с процессами рождения, выживания и развития новых экономических субъектов -индивидуальных предпринимателей, фермерских и крестьянских хозяйств, малых и средних предприятий, которые являются простейшими потоками событий, нам достаточно ограничиться законами распределения описывающими простейшие потоки. Этими законами являются законы Эрланга, приведенные выше (4.5).
В нашем исследовании, мы имеем дело с и-ым предпринимателем, который выжил в условиях жесткой конкуренции и нашел свою нишу на рынке, или т-ым фермерским хозяйством, которое сумело наладить прибыльное сельскохозяйственное производство, или А'-ым малым предприятием, сумевшим организовать рентабельное производство товаров, пользующихся спросом на рынке. Ясно, что распределение подобных субъектов описывается законом Эрланга соответствующего порядка. Поэтому законы Эрланга можно назвать законами выживания новых экономических субъектов. Как мы увидим в последующих параграфах процессы выживания и развития предпринимателей, фермерских и крестьянских хозяйств, малых и средних предприятий достаточно хорошо описываются законами Эрланга.
4,2.Приватизация и изменение отношений собственности
В Кыргызстане к концу 1998 года число приватизированных предприятий бывшего государственного сектора составило 7,5 тысячи из примерно 10 тысяч предприятий (за исключением аграрного сектора). Динамика преобразованных в результате приватизации предприятий представлена в цифровых значениях в таблице 4.1 и иллюстрируется графически на рис.4.1. В то же время число предприятий, остававшихся в государственной форме собственности стремительно уменьшалось, что хорошо видно из данных таблицы 4.2 и графиков, представленных на рис.4.2. Из таблицы 4.2. видно, что в 1991 году предприятия государственной формы собственности производили 45% ВВП Кыргызстана, а к концу 1998 года - уже всего около 3,5% ВВП. А преобразованные предприятия к этому моменту производили, как видно из таблицы 4.1, всего около 20% ВВП. Динамика развития предприятий частной формы собственности, включая как приватизированные предприятия частной формы собственности, так и вновь созданные частные предприятия, представлена в таблице 4.3 и графической форме на рис.4.3. Из таблицы 4.3 видно, что все предприятия частной формы собственности к концу 1998 года производили около 28% ВВП. Несмотря на стремительный рост частного сектора предприятий, мы видим, что он пока не в состоянии компенсировать спад
|
|
1991 |
1992 |
1993 |
1994 |
1995 |
1996 |
1997 |
1998 |
|
Количество предприятий |
1228 |
3337 |
5408 |
6110 |
6813 |
7140 |
7317 |
7492 |
|
Численность работающих (включая наемных работников), тыс. человек |
41,7 |
ПО |
213 |
239 |
219,9 |
202,5 |
191,1 |
208 |
|
Основные фонды, млн. сомов |
0,9 |
16,7 |
215,9 |
361 |
1894,5 |
8811,6 |
10949,5 |
- |
Объем валовой добавленной стоимости,
млн. сомов |
2,3 |
76,4 |
663,6 |
2610,7 |
3508,2 |
5291,7 |
6875,5 |
6760,8 |
|
Доля предприятий в ВВП, в % |
2,5 |
10,3 |
12,4 |
21,7 |
21,7 |
22,6 |
22,4 |
19,9 |
|
ВДС в расчете на 1 работающего, сомов |
55,1 |
694,5 |
3115,5 |
10923,4 |
15953,6 |
26131,8 |
35422,5 |
32503,9 |
|
ВДС в расчете на 1 сом основных фондов, |
2,5 |
4,6 |
зд |
7,2 |
1,9 |
0,6 |
0,6 |
_ |
|
|
сомов |
|
Численность работающих, тыс. человек |
 |
|
Доля в ВВП, в % |
 |
|
Предприятия государственной формы собственности |
|
|
1991 |
1992 |
1993 |
1994 |
1995 |
1996 |
1997 |
1998 |
|
Количество предприятий |
6794 |
6756 |
4862 |
3947 |
2076 |
1548 |
1438 |
1071 |
|
Численность работающих (включая наемных работников), тыс. человек |
586,2 |
581 |
423 |
343,4 |
1786 |
133,2 |
125,3 |
101,7 |
|
Основные фонды, млн. сомов |
25,3 |
81,4 |
1587 |
1425,3 |
2120,7 |
35439,5 |
36237,6 |
- |
|
Объем валовой добавленной стоимости, млн. сомов |
42,2 |
336,5 |
1784,9 |
2157,1 |
2174 |
2410 |
2363,1 |
1457,3 |
|
Доля предприятии в ВВП, в % ВДС |
45,6 |
45,4 |
33,3 |
17,9 |
13,5 |
10,3 |
7,7 |
3,4 |
|
в расчете на 1 работающего, сомов |
72 |
579,2 |
4219,6 |
6281,6 |
12172,4 |
18093,1 |
18859,5 |
14329,4 |
|
ВДС в расчете на 1 сом основных фондов, сомов |
1,7 |
4Д |
1,1 |
1,5 |
1 |
ОД |
ОД |
- |
|
Фондовооруженнсть, сомов |
106,6 |
132,6 |
140 |
173,7 |
320,9 |
543,6 |
715 |
- |
|
|
Численность работающих, тыс. человек |
 |
Предприятия частной формы собственности
1991
Количество предприятий
Численность работающих (включая наемных работников), тыс. человек
Основные фонды, млн. сомов
Объем валовой добавленной стоимости, млн. сомов
Доля предприятий в ВВП, в %
ВДС в расчете на 1 работающего, сом
ВДС в расчете на 1 сом основных фондов, сомов
Фондовооруженность, сомов |
1992 1993 1994
|
1995 |
1996 |
1997 |
1998 |
5853
362,9 |
5605
229,8 |
8004
325,6 |
8484
347,8 |
3243,4
3487,3 |
18220
5077,6 |
30997,5
8530,6 |
9591,1 |
21,6
9609,5 |
21,7
22095,7 |
27,8
26199,6 |
28,3
27576,5 |
|
1,1 |
о,з |
о,з |
- |
|
241,4 |
493 |
439,5 |
|
|
406 |
500 |
3443 |
5165 |
|
19,8 |
23 |
158,4 |
437,5 |
|
23,5 |
88,7 |
312,3 |
2751,3 |
|
2,4 |
28,9 |
487,3 |
1694,7 |
|
2,6 |
3,9 |
9Д |
14,1 |
|
121,2 |
1256,5 |
3076,4 |
3873,6 |
|
ОД |
0,3 |
1,6 |
0,6 |
|
1035 |
1617,4 |
217,8 |
189,5 |
|
|
|
Численность работающих, тыс. человек |
 |
|
Доля в ВВП, в % |
 |
производства в государственном секторе экономики, хотя намного смягчил воздействие депрессии.
В 1991 году Кыргызстан приступил к проведению земельной и аграрной реформы путем расформирования колхозов и совхозов и обеспечения справедливого распределения земли в пользование членам этих хозяйств и всем сельским жителям - учителям, врачам, госслужащим - на основе 99-летней аренды. Впоследствии был введен рынок права пользования земельными участками. Остальное имущество (овцы, скот, техника и т.п.) были приватизированы в частную собственность или передано в собственность кооперативов, там, где крестьяне предпочитали такую форму хозяйствования. К началу 1999 года в Кыргызстане уже создано около 50 тыс. жизнеспособных фермерских и крестьянских хозяйств, в которых занято около 800 тыс. человек.
Приватизация, таким образом, привела к глубоким изменениям структуры экономических субъектов, вследствие радикального изменения отношений собственности. Большинство предприятий государственной формы собственности было преобразовано в акционерные общества и предприятия частной формы собственности. Появились новые частные мелкие и малые предприятия. В сельском хозяйстве главенствующее положение сегодня заняли независимые фермерские и крестьянские хозяйства. Все эти огромные изменения хорошо иллюстрируются графиками, представленными на рис.4.4. Эти графики показывают динамичный рост фермерских и крестьянских хозяйств, предприятий новых форм собственности (акционерных обществ и частной собственности). Некоторый рост коллективных предприятий сельского хозяйства вызван образованием множества мелких кооперативных крестьянских хозяйств в ходе расформирования крупных совхозов и

 |
|
Рис.4.4 |
колхозов, которые имеют переходный характер. Хорошо видно как шел перелив трудовых ресурсов из государственного сектора в частный сектор новой экономики. Вместе с тем, видно также, что эти процессы сопровождались спадом производства.
Опишем процесс преобразования предприятий в акционерные общества и предприятия частной формы собственности при помощи законов распределения Эрланга (4.5).
Уже в 1992 году, начиная приватизацию, мы наметили среднесрочную программу на 1992-1998 годы, которая была реализована в три этапа: на первом этапе (1992-1993 гг.), в основном, решалась задача расгосударствления (денационализация) и «малая приватизация» мелких предприятий в сфере торговли и услуг; на втором этапе (1994-1995 гг.) была принята законодательная база и началась массовая (купонная) приватизация; на третьем этапе (1996-1998 гг.) шло завершение массовой приватизации, денационализация и преобразование крупных государственных предприятий - монополистов и холдингов.
Важно отметить, что, начиная среднесрочную программу приватизации, мы ставили своей целью преобразовать каждое второе предприятие в акционерное общество, а каждое третье - в предприятие с частной собственностью. Следовательно, к концу 1998 года должно было быть преобразовано около 83% всех предприятий государственного сектора. Однако как видно из таблицы 4.1 цель не была достигнута в полной мере: на практике удалось преобразовать около 75% предприятий, что следует считать весьма удовлетворительным результатом, так как было преобразовано 95% намеченного плана.
Поскольку каждое второе предприятие преобразуется в акционерное общество (АО), распределение АО по годам описывается законом Эрланга ого порядка:
fi(t) = Я
2 te-\ (4.7)
Распределение частных предприятий, образующихся в процессе приватизации (каждое третье) будет описано законом Эрланга второго порядка:
f
2(t) = Іл’г?*. (4.8)
Введем для удобства следующие обозначения:
Ш - сТе- ; т - (4.9).
Учитывая, что в 1992-1998 годах было преобразовано 95% предприятий, подлежащих разгосударствлению и приватизации в соответствии со среднесрочной программой, можно записать следующие формулы, дающие динамику роста преобразованных предприятий:
F/0 = )М)Л ; FJt) = \f'№ . (4.9)
О о
Вычислим, прежде всего, параметры с и а. Для этого воспользуемся результатами среднесрочной программы приватизации на конец 1998 года, приведенными выше. Из (4.9) получаем уравнения:
)/Л<У» = 0,95 и )/,(і)А=0,95, (4.10)
о о
где t=0 означает начало 1991 года, а Т=8, поскольку конечный результат берется на конец 1998 года.
Вычислим интегралы (4.10) [4.2]:
т т т
\f
c(t)dt с
2 \te~
c,dt = введем замену с у = у
2 [te
Adt =
0 0 0
{ у
2 е
:Л/ ---— ]}I [e
yt(yt-l)]
T0 = е
:Л(уТ-1) 1 вновь вводя с -у
У Г
= -е
сТ(сТ+1)+1 = 1-(сТ+1)е
сТ=0,95.
Обозначив сТ=А
с, окончательно получаем уравнение для определения параметра А
с:
А
с+1 =0,05е
А?. (4.11)
|
введем замену а а |  |
 |
Г 21 2
---^ + —
а а а |
\f.rn
_
1 Л 3 „at
—а е
е
аТ [(аТ)
2-2 аТ+2] + -V — =1-
2 а
^ е
аТ [(ссТ)
2-2аТ+ 2] = \снова переходя к а -а =
=;_І е~
аТ [(аТ)
2+2аТ+2] = 0,95.
Обозначив аТ=А
а, окончательно получаем уравнение для определения параметра А
а:
Л
а3+2Я
а+2 = 0,1е*° . (4.12)
Количество преобразованных предприятий N в любой момент времени между t=0 и t=T можно записать исходя из формул (4.9):
N
c(t) =m
c \f
c(t)di = м
с с
2 \te~
c,dt = m
c[l-(ct+l)e'
ct], (4.13)
0 0
где с=А(/Т, Т=8 и тп
с=5000 ;
N
a(t) = m
a [/ (t)dt=—m а
3 ft
2e~
atdt =m
a{l~— [a
2t
2+2at+2] e~
at}, (4.14) 0
2 0
2
где a A
a 1, T=8 и m
a=3333.
Здесь коэффициенты m
c и m
a взяты исходя из того, что из всех Ютыс. предприятий государственного сектора Кыргызстана
половина (5 тыс. предприятий) была акционирована, а треть (3333) -преобразована в предприятия частной собственности.
Таким образом, можно записать следующие формулы для распределения акционированных и частных предприятий:
п
с= m
cc
2t e
ct, где с А
с Т, Т=8 и т
с=5000 ; (4.15)
«
0=І«?Л?“, где а=Х/Т, Т-8 и т
а-3333. (4.16).
Эти распределения показаны в графической форме на рис.4.5 и 4.6 соответственно, с иллюстрацией графического нахождения параметров Х
с и Х
а из уравнений (4.11) и (4.12). Мы не смогли сравнить теоретические кривые распределения с фактическими, поскольку в процессе преобразования предприятий велась только статистика общего числа предприятий в нарастающем порядке и не регистрировалось временное распределение. Поэтому у нас будет возможность сравнить только окончательный результат с данными таблицы 4.1.
Итак, общее количество преобразованных предприятий N
ac, исходя из формул (4.13) и 4.14), будет выражено формулой:
N
ac = m
c[l-(ct+l)e
ct]+ т
а[1-^ (a
2t
2+2at+2) e~
at], (4.17)
Данная формула представлена в графической форме на рис.4.7, где также приводится для сравнения график фактического числа преобразованных предприятий из рис.4.1, который совмещен с теоретической кривой путем смещения на один год, поскольку мы приняли t=0 - за начало 1991 года. Мы видим прекрасное совпадение, что убеждает в правильности моделей, основанных на законах Эрланга.
|
nc(t) |
 |
|
Рис.4.5. Распределение акционированных предприятий |
 |
|
Рис.4.6. Распределение частных предприятий |
 |
-Nac
—•— Ыфакт |
Рис.4.7. Преобразованные предприятия бывшего госсектора 4,3, Динамика развития фермерских и крестьянских хозяйств
Наиболее динамичное зарождение и развитие частного сектора в экономике Кыргызстана, особенно в первые годы реформ, безусловно, наблюдалось в сельском хозяйстве.
Все данные о росте числа крестьянских и фермерских хозяйств, численности работающих в этом новом аграрном секторе, об объемах валовой добавленной стоимости, среднем размере хозяйств и наличии сельхозугодий представлены в таблице 4.4, а также иллюстрируются графически на рис.4.8. Более детальный анализ роста количества крестьянских и фермерских хозяйств (см.рис.4.9), а также динамики изменения числа хозяйств по годам (см.рис.4.10) показывает весьма неравномерный, скачкообразный характер развития процесса рождения и становления крестьянских
Крестьянские, фермерские хозяйства
|
|
1991 |
1992 |
1993 |
1994 |
1995 |
1996 |
1997 |
1998 |
|
Количество хозяйств |
4567 |
8695 |
15810 |
21264 |
23180 |
31078 |
38724 |
49277 |
|
Численность работающих (включая наемных работников), тыс. человек |
15,8 |
34,0 |
76,9 |
139,5 |
432,1 |
570,6 |
672,0 |
797,3 |
|
Основные фонды, млн. сомов |
0,6 |
1,3 |
139,9 |
205,7 |
391,0 |
3441,7 |
4004,4 |
- |
|
Объем валовой добавленной стоимости, млн. сомов |
- |
5,8 |
107,1 |
301,6 |
1012,3 |
2687,6 |
3768,1 |
4198,4 |
|
Доля предприятий в ВВП, в % |
- |
0,8 |
2,0 |
2,5 |
6,3 |
11,8 |
11,7 |
12,4 |
|
Валовая добавленная стоимость на 1 работающего, сомов |
- |
170,6 |
1392,7 |
2162,0 |
2342,7 |
4710,1 |
5607,3 |
5265,8 |
|
Валовая добавленная стоимость в расчете на 1 сом основных фондов, сомов |
|
4,5 |
0,8 |
1,5 |
2,6 |
0,8 |
0,9 |
|
|
Средний размер хозяйства, человек |
4 |
5 |
5 |
7 |
19 |
18 |
17 |
16 |
|
Наличие сельхозугодий на 1 крестьянское, фермерское хозяйство (земли), в гектарах |
3.0 |
15,7 |
14,9 |
9,1 |
16,9 |
17,5 |
15,8 |
13,4 |
|
Фондовооруженность, сомов* |
38 |
38 |
40 |
32 |
20 |
22 |
22 |
|
|
|
* Здесь и далее фондовооруженность в сопоставимых ценах |
|
Количество хозяйств |
 |
|
Численность работающих, тыс. человек |
 |
|
Доля предприятий в ВВП, % |
 |
|
Рис.4.8. Крестьянские, фермерские хозяйства |
Количество крестьянских, фермерских хозяйств
(на конец периода)

60000 т
50000
40000
30000

20000
10000
1991 1992 1993 I кв. II кв. Ill кв. 1994 I кв. II кв. Ill кв. 1995 I кв.
Рис.4.9 |
И кв. Ill кв. 1996 I кв. II кв. Ill кв. 1997 I кв. II кв. Ill кв. 1998 |
|
ия количества крестьянских, фермерских хозяйств по годам |
 |
фермерских хозяйств. Это связано с тем, что сами реформы продвигались ежегодными сильными импульсами со стороны государства, иначе земельная реформа грозила затухнуть, как это случилось в ряде стран СНГ. Но нашим девизом в Кыргызстане были: «Никогда не останавливаться на полпути!» Поэтому каждый раз, когда мы видели, что реформы на селе буксуют, мы делали еще один смелый шаг для продвижения реформы.
Попробуем оценить оптимальное количество фермерских и крестьянских хозяйств для Кыргызстана. Всего трудоспособного населения в Кыргызстане около 1 млн.700 тыс. человек. Поскольку в сельской местности проживает около 65% всего населения, соответственно трудоспособное сельское население составляет 1,1 млн. человек. Из таблицы 4.4 следует, что средний размер фермерских и крестьянских хозяйств стабилизируется и сегодня составляет 16 человек. Следовательно, для Кыргызстана оптимальным является примерно 70 тыс. крестьянских и фермерских хозяйств (1,1 млн.: 16 = 70000).
На 1 января 1999 года, как видно из таблицы 4.4, состоялось около 50 тыс. фермерских и крестьянских хозяйств (в дальнейшем, сокращенно - ФКХ) или 70% от потенциально возможного числа ФКХ.
Важно отметить, что как показывает статистика применительно к Кыргызстану, состоялось и выжило каждое второе ФКХ. Следовательно, рост числа ФКХ можно описать законом Эрланга второго порядка.
Итак, в реальном случае, когда состоялось каждое второе ФКХ, распределение ФКХ может быть представлено законом Эрланга первого порядка:
n
f=tfte
xt. (4.18)
|
Для вычисления значения параметра X имеем уравнение: |
\nf(t)dt = 0,7 или \Xrie hdt 0,7.
0 0 |
(4.19) |
|
Отсюда получаем уравнение |
|
|
А/+1 = 0,3 в Xj. |
(4.20) |
|
Итак: |
|
2, -ipt
rif = nijip te v , |
(4.21) |
|
где mf 70000, cp = Af/T, T=8 . |
|
|
Nf= mf{l-((pt+1) e(pt}. |
(4.22) |
|
Динамика роста числа ФКХ по данной формуле представлена в виде кривой роста ФКХ на рис.4.11, где для сравнения также приводится график фактического роста числа ФКХ, взятый из рис.4.8. На том же рисунке дано графическое нахождение параметра Af из уравнения (4.20). Опять мы видим прекрасное совпадение теоретической кривой роста числа ФКХ с графиком фактического роста.
Необходимо также рассмотреть идеальный случай, когда
каждое зарегистрированное ФКХ состоялось. В этом случае распределение ФКХ опишется законом Эрланга первого порядка. Поэтому имеем:
n’
f * /иг
іг (4.23)
или ri
f =m'
f(p'e~‘
p,t. (4.24)
В этом случае можно предположить, например что
реализовалось бы за прошедшие годы 95% потенциального числа ФКХ, т.е. - 66,5 тыс. ФКХ.
Отсюда получаем уравнения для определения ф:
1 -e^f = 0,95 или e
Xf =0,05 (р'= А/8.
181
 |
|
Рис.4.11. Число фермерских и крестьянских хозяйств |

Рис4.12. Число фермерских и крестьянских хозяйств при благоприятных условиях
Для определения числа ФКХ имеем формулу:
N
f mj/l-e^
1/, (4.25)
где nif = т '
f = 70000.
Кривая роста числа ФКХ в самых благоприятных условиях, в соответствии с формулой (4.25), представлена на рис.4.12.
Рассмотрим также более интересный вариант, когда наиболее благоприятные условия создаются, начиная с 2000 года. Этому будет способствовать введение частной собственности на землю и введение земельного рынка. Тогда, до конца 1999 года рост числа ФКХ будет описываться формулой (4.22), а с 2000 года формулой (4.25), которая теперь уже запишется в виде:
Данным результатом мы воспользуемся при рассмотрении прогнозов в последующих главах.
Определим постоянные параметры ти ф. Учитывая, что
потенциально можно рассчитывать на образование еще порядка 15 тысяч ФКХ в течение последующих 1-2 лет, поскольку в реальных условиях 90-х годов ежегодно в среднем появлялось около 6 тыс. жизнеспособных ФКХ. Примем также, что за первый год образуется 80% жизнеспособных ФКХ от потенциального количества, т.е. порядка 12 тыс. Таким образом можно записать уравнения:
 |
]У<??,М0)л =
t=\0 |
m'
f =15000.
fn'
fdt = m'
f jtp’e ^
{t W)dt = m'
f 1 - e
<p = 0,8m'
f.
Отсюда получаем:
m'f =15000; e~
v' =0,2 .
Итак, рост ФКХ можно записать формулой:
Nf /10)-10-J0)/xm
f{l-(p l)e
(plJ 1(1-10)xm( [1-е
?(М0)], (4.27)
где /гу =70тыс.; m= 15тыс. ; e~
<p' =0,2 .
Здесь введена единичная функция: l(t) = 0, t<0; l(t) =1 ,t>0.
Формула (4.27) может показать роль ускорения земельной реформы для экономического роста в 2000-м и последующем годах при создании благоприятных условий для развития ФКХ.
44. Динамика развития индивидуального частного
предпринимательства
Статистика показывает, что в Кыргызстане каждый второй из официально зарегистрированных индивидуальных частных предпринимателей выжил и более или менее успешно работает на рынке, получая прибыль. Следовательно, распределение индивидуальных частных предпринимателей (в дальнейшем, сокращенно - ИЧП) по числу выживаемости можно записать законом Эрланга первого порядка:
fid) A
2te
?J . (4.28)
Данные о реально действующих ИЧП представлены в таблице 4.5. Как видно из таблицы 4.5 к началу 1999 года в Кыргызстане действовало около 90 тыс. ИЧП (было зарегистрировано свыше 176 тыс. ИЧП) и они вносили вклад в ВВП, равный 9 процентам. Динамика роста действующих ИЧП также иллюстрируется графиками, представленными на рис.4.13. Вклад ИЧП в ВВП подвергался резким изменениям в зависимости от изменений налоговой политики в отношении ИЧП. График, иллюстрирующий долю ИЧП в ВВП, показывает высокую чувствительность предпринимательства к изменениям в налоговой политике.
Доля ИЧП в Кыргызстане сегодня составляет около 5% занятого трудового населения, что значительно ниже, чем требуется в странах с преобладанием сельского хозяйства и с развивающейся экономикой. Например, в странах южной Европы она достигала 18%, а в Греции даже 27%. Международный опыт показывает, что в странах с аналогичной для Кыргызстана структурой экономики, число ИЧП составляет, как правило, около 20% от общего числа занятых трудовых ресурсов.
|
Индивидуальное частное предпринимательство |
|
|
1991 |
1992 |
1993 |
1994 |
1995 |
1996 |
1997 |
1998 |
Количество физических лиц,
Тыс. человек |
7,7 |
10,5 |
26,7 |
41,8 |
42,4 |
63,2 |
77,1 |
89,7 |
Валовая добавленная
Стоимость, млн. сомов |
М |
13,2 |
261,4 |
446,6 |
785,9 |
1232,9 |
2169,2 |
2984,7 |
|
Доля предприятий в ВВЦ в Л/о |
1,5 |
1,8 |
4,9 |
4Д |
8,8 |
6,5 |
9,5 |
8,8 |
Валовая добавленная
стоимость в расчете на 1
физическое лицо, сомов |
181,8 |
1257,1 |
9790,3 |
10684,2 |
18535,4 |
19507,9 |
28134,9 |
33274 |
|
Число физических лиц, занятых индивидуальной предпринимательской деятельностью
|
Доля в ВВП, % |
 |
|
Рис.4.13. Индивидуальное частное предпринимательство |
Учитывая приведенные данные, можно записать следующее уравнение:
JЛ(t)dt = j, где Т=8, (4.29)
из которого можно определить значение параметра Я .
Введем обозначение для функции распределения ИЧП через f
q. Тогда имеем f
q=q
2te
qt, что после подстановки в (4.29) дает уравнение:
l-(qT+l) e
qT или qT+1 =^e
qT .
Принимая qT=A
q, получим окончательное уравнение для определения параметра A
q.
А
ч+1 =
Ъ-е
ц, где A
q=qT; Т=8. (4.30)
Интегральное распределение запишется следующей
формулой:
F
q(t) = )f,m = l-(qt+1) е-" . (4.31)
о
Чтобы перейти к распределению числа ИЧП необходимо найти масштабирующий коэффициент m
q, который можно оценить как потенциально возможное число ИЧП на уровне 20% занятых трудовых ресурсов. Нетрудно подсчитать, что m
q= 360 тыс.
Таким образом, формулы распределения и общего числа ИЧП могут быть записаны следующим образом:
а) n
q = m/
q = m
qq
2t e
qt;
б) N
q = m
qF
q = m
q[l-(qt+1) e
qt] . (4.32)
Формула (4.326), описывающая динамику числа ИЧП,
представлена в виде кривой роста ИЧП на рис.4.14. На том же рисунке для сравнения приводится также график роста фактического
|
|
|
|
|
Q0000 |
|
|
|
|
|
|
|
|
|
80000 |
|
|
|
|
|
|
|
|
|
70000 |
|
|
|
|
|
|
|
|
|
80000 |
|
|
|
|
|
|
|
|
|
-Nq
—•—Ыфакт |
|
|
ЧОООО |
|
|
|
|
|
|
|
|
|
/10000 |
|
|
|
|
|
|
|
|
|
80000 |
|
|
|
|
|
|
|
|
99 |
|
?0000 |
|
|
|
|
|
|
|
|
|
10000 |
|
|
|
|
|
|
|
|
|
о |
|
|
|
|
|
|
|
|
|
1991 1992 1993 1994 19 |
95 19 |
96 19 |
97 19 |
98 19 |
Рис4.14. Число индивидуальных частных предпринимателей
числа ИЧП, взятая из рис.4.13. Как видим, наблюдается прекрасное совпадение, которое улучшается с увеличением времени t, как и должно быть для случайных процессов. На рис.4.14 также представлено графическое решение уравнения (4.30).
Рассмотрим также самый благоприятный климат для развития ИЧП, когда каждое зарегистрированное ИЧП выживает и успешно работает на рынках. В этом случае функция распределения ИЧП описывается законом Эрланга нулевого порядка:
f(t)=Ae
M.
Следовательно, распределение числа ИЧП можно записать формулой:
п\ = m
qq
le~
q>t , (4.33)
где верхний индекс і означает идеальные условия для развития
ИЧП.
Уравнение для q
l будет весьма простым и определяется стандартным образом:
e~
Xq = 0,5 , где Л'
д = q* Т. (4.34)
Что же касается динамики общего числа ИЧП в благоприятных условиях, интегрируя (4.33) получаем:
N’
q = m
q (l-e~
qt) , m
q = 360 тыс. (4.35)
Динамика роста числа ИЧП в благоприятных условиях иллюстрируется на рис.4.15.
Если считать, что наиболее благоприятные условия создаются с 2000 года, когда до конца 1999 года рост числа ИЧП будет описываться формулой (4.326), а с 2000 года формулой (4.35), которое запишется следующим образом:
N\ = m'
q[l-e-
qiit-
10)у. (4.36)
|
оппппп |
|
|
1ЯПППП |
|
|
|
|
|
|
|
|
|
|
18ПППП |
|
|
|
|
|
|
|
|
|
14ПППП |
|
|
|
|
|
|
|
|
|
19ПППП |
|
|
|
|
|
|
|
|
-Nqi
—•— Ыфакт
99 |
|
mnnnn |
|
|
|
|
|
|
|
|
|
8ПППП |
|
|
|
|
|
|
|
|
|
fiOOOO |
|
|
|
|
|
|
|
|
|
4.ПППП |
|
|
|
|
|
|
|
|
|
9ПППП |
|
|
|
|
|
|
|
|
|
n |
|
|
|
|
|
|
|
|
|
19 |
91 1992 19 |
93 19 |
94 19 |
95 19 |
96 19 |
97 19 |
98 19 |
Рис.4.15. Число индивидуальных частных предпринимателей в благоприятных условиях
Определим постоянные параметры в последней формуле. Поскольку потенциально можно рассчитывать на появление порядка 260 тыс. ИЧП в течение последующих 10 лет, так как в реальных условиях 1991-1998 годов ежегодно в среднем появлялось порядка 11 тыс. ИЧП. Следовательно, в благоприятных условиях ежегодно можно рассчитывать на появление 22 тыс. ИЧП. Примем также, что за первые 10 лет появится 85% потенциально возможного числа ИЧП (как раз 220 тыс. ИЧП). Таким образом, для нахождения параметров q
l, m’
q получим уравнение:
Г=20
\ridt = т\
J Ч ‘J
f=10
-с/ 10
= 0,85m'
q = 220 тыс.
1-е
Отсюда получаем m’
q =260тыс. и е
Aq = 0,15, A
q q
l xlO.
Окончательно, динамику общего числа ИЧП можно записать формулой:
АД = /l(l)-l(l-10)/xm
q/l-(ql l)e
qtj 1(1-10) т\[1- е
ч'"
Un/, (4.37)
где л^ЗбОтыс., q из уравнения (4.30)
m'
q =260тыс., q‘ = A
q10, e~
Aq = 0,15 .
Звездочка (*) означает, что рассматривается прогноз.
4,5, Динамика развития малых предприятий
В реформировании экономики Кыргызстана малые предприятия взяли на себя главную роль создателя почвы для новой рыночной системы хозяйствования. Доминирующий сегодня в экономике Кыргызстана частный сектор зарождался именно в сфере малого бизнеса. К сожалению, в последние годы наблюдается существенное замедление темпов роста числа малых предприятий. Мы здесь говорим преимущественно о малых предприятиях, поскольку средние предприятия в частном секторе малочисленны и еще не играют заметной роли.
Данные, характеризующие развитие малых предприятий в Кыргызстане представлены в таблице 4.6., а также иллюстрируются графиками на рис 4.16. Феноменальный рост числа малых предприятий (в дальнейшем сокращенно - МП) в 1992 году объясняется бурным ростом торгово-посреднического малого предпринимательства. Либерализация внешней торговли и снятие запретов на частную торговлю внутри страны создали благоприятные условия для любой торговой деятельности. Падение потребительского платежеспособного спроса торговое малое
|
Малые предприятия |
|
|
1991 |
1992 |
1993 |
1994 |
1995 |
1996 |
1997 |
1998 |
Количество предприятий -
зарегистрированных |
X |
X |
15135 |
15480 |
19150 |
20761 |
21296 |
20292 |
|
действующих |
2269 |
5089 |
5942 |
5984 |
5433 |
6458 |
7500 |
7549 |
Численность работающих (включая наемных работников),
тыс. человек |
65,7 |
134,4 |
104,5 |
86,7 |
91,4 |
70,7 |
59,6 |
76,5 |
Объем валовой добавленной
стоимости млн. сомов |
|
23,2 |
221,9 |
501,5 |
1422,5 |
1509,2 |
2937,9 |
3408,7 |
|
Доля предприятии в ВВП, в Ло |
- |
зд |
4,2 |
4Д |
8,8 |
6,5 |
9,5 |
10,1 |
Средний размер предприятия,
человек |
29 |
26 |
18 |
165 |
17 |
11 |
10 |
10 |
|
|
Количество малых предприятий |
 |
|
Численность работающих, тыс. человек |
 |
|
Доля в ВВП, в % |
 |
|
Рис.4.16. Малые предприятия |
предпринимательство активно компенсировало импортом товаров невысокого качества, но относительно дешевых.
Но уже к началу 1995 года оказались практически исчерпанными ниши и возможности сверхприбыльной торговопосреднической деятельности. Такая ситуация привела к тому, что многие малые предприятия диверсифицировались и началась, вполне закономерно, новая тенденция, новый этап качественных изменений в динамике и структуре малого предпринимательства, сопровождавшийся значительным сокращением прироста числа МП. Малый бизнес в основном сосредоточен в сфере розничной торговли, строительства, переработки сельскохозяйственной продукции, т.е. в отраслях с низкой капиталоемкостью. Его доля в промышленности пока незначительна. Проблема сегодня состоит в том, чтобы стимулировать производственную деятельность с сфере малого бизнеса.
Как видно из таблицы 4.6, из числа всех зарегистрированных МП реально функционировал только каждый третий. Следовательно, распределение МП описывается законом Эрланга второго порядка:
W = UVe*. (438)
Приведем соображения необходимые для определения параметра Я. Обычно, в странах аналогичных Кыргызстану с развивающейся экономикой, вклад частных предприятий малого бизнеса в общую занятость составляет примерно 15-20%, а вклад в ВВП порядка 18%. В развитых странах эта доля гораздо выше, например, в Германии около 40% занятых работают в частных МП, а если брать частные и государственные, то в Германии в них задействовано около 75% всего занятого населения. В Кыргызстане к началу 1999 года в МП было задействовано около 5% занятого населения. Поэтому, рассматривая потенциально возможным вовлечение 20% занятого населения в сферу малого бизнеса, получаем уравнение для определения параметра Л :
)f
3(t)dt = -Л
3 Tjt
2e~
Atdt =-, Т=8. (4.39)
Вводя обозначение f
3(t)=f
b=^b
3t
2e
bt и вычисляя интеграл (4.39), получим уравнение:
Л
ь +2 Л
ь+2 = —е
Аь, где Л
ь=ЬТ. (4.40)
2
Запишем интегральное распределение МП:
F
b(t)= )/
ь0)Ф = 1-\[(Ы)
1+2Ы+2]е
ы. (4.41)
0 2
Из таблицы 4.6. также следует, что в среднем размер МП в Кыргызстане стабилизировался и насчитывает 10 человек. Если потенциальное количество занятых в сфере малого бизнеса возьмем на среднем уровне в 18% всего занятого населения страны, то это составит примерно 300 тыс. человек. Таким образом, получаем оценку потенциально возможного числа МП в Кыргызстане приблизительно равным 30 тыс. МП. Итак, m
b = ЗОтыс.
В результате, распределение числа МП и рост общего числа МП будут представлены формулами:
а) п
ь = m
bf
b ^ m
hb
3t
2e
ht;
б) N
b = m
bF
b =т
ь{1-^[(Ы)
2+2Ы+2]е
ы} . (4.42)
Кривая роста общего числа действующих МП, описываемая формулой (4.42 б), представлена на рис.4.17. Из рисунка видно, что теоретическая кривая на начальных этапах вплоть до 1996г. сильно


¦ Nb Ыфакт
Рис.4.17. Число малых предприятий
расходится с графиком фактического роста действующих МП, что и ожидалось. Феноменальный рост числа МП на начальном этапе реформ и его причины были разъяснены в начале настоящего параграфа. Следует ожидать, что этот рост МП был близок к идеальному в самых благоприятных условиях, которые фактически имели место для развития МП в 1992-1995 годах.
Итак, рассмотрим наиболее благоприятный случай для развития МП, когда каждое зарегистрированное МП выживает, оказывается конкурентоспособным и функционирует на рынке. В этом случае функция распределения МП описывается законом Эрланга нулевого порядка:
f(t) = /1 С
яг.
Следовательно, распределение числа МП описывается законом:
N
bl =m
blb
l e~
b\ (4.43)
где индекс і означает идеальные условия. Учитывая, что число зарегистрированных МП (см. таблицу 4.6) составило уже % потенциального количества МП, получаем следующее уравнение для Ь':
|
1-е Э или |
е-ъ'Т=0,25. |
(4.44) |
|
Итак, Nb = ть[1- |
е~ъ‘1], mb = ЗОтыс. |
(4.45) |
|
Кривая роста |
общего числа |
действующих МП |
благоприятных условиях (4.45) представлена на рис.4.18, где для сравнения приводится график фактического развития МП. Видно, что на начальном этапе реформ в 1992-1993 годах рост числа МП был близок к развитию в идеальных условиях, что и наблюдалось на практике.
 |
-Nbi
—•—Мфакт |
Рис.4.18. Число малых предприятий в благоприятных условиях
Рассмотрим также наиболее интересный вариант, когда благоприятные условия для развития малых и средних предприятий создаются, начиная с 2000 года. Тогда до начала 2000 года рост числа действующих МП будет описываться формулой (4.42 б), а с 2000 года формулой (4.45), которая запишется в виде:
N
b‘ =m
bl [1-е~
ь‘^
т]. (4.46)
Определим постоянные параметры т
ь1 и Ь‘ . Поскольку потенциально можно рассчитывать на появление порядка 20-22 тыс. МП (около 8 тыс. МП уже действует, а потенциально возможное количество МП было оценено как 30 тыс. МП) в течение последующих 6-7 лет, поскольку в реальных условиях 1991-1998 годов ежегодно в среднем появлялось и функционировало порядка 1 тысячи МП. Поэтому в благоприятных условиях для рождения,
выживания и функционирования МП их число должно быть в среднем порядка 3 тыс. МП в год. Допустим, что 95% МП возникают и начинают действовать в течение последующих 7 лет. Тогда для нахождения параметров т
ь1 и Ь‘ получаем уравнение:
—Ъ 7
\n\dt = т'
ъ
= 0,95 ml
*=10
Поскольку ть = 22тыс., то е~
1Ъ' = 0,05. (4.47)
Отсюда находим численное значение Ь’. В итоге получаем формулу, описывающую динамику роста числа МП за 2000 годом:
N
b //(t)-l(t-10)]хт
ъ{1 -1 21 (Ы)
2 2Ы 2/е
,п} 1(1-10) хпц [1 -е
(, І°7.
(4.48)
Здесь: л?/,=30тыс., Ъ - корень уравнения (4.40); т
ь' = 22тыс ., Ь’ - корень уравнения (4.47).
Данная формула будет использована в следующей главе для прогноза экономического развития за 2000 годом.
Литература к главе четвертой:
4.1. Вентцель Е.С. Теория вероятностей - М.: Высшая школа, 1998.-576 с.
4.2. Двайт Г.Б. Таблицы интегралов и другие математические формулы. - М.: Изд-во «Наука», 1966. - 228 с.
Глава пятая. Математическая модель роста в переходной экономике
Глава пятая. Математическая модель роста в переходной экономике
Всякая экономическая теория есть, прежде всего, описание некоторых экономических структур. Из этого описания и из гипотез, его сопровождающих, теория выводит «законы», которые необходимо проверить на практике путем сравнения показателей, исчисленных на их основе, с данными, которые можно наблюдать в действительности.
Лионель Столерю
Под экономическим ростом обычно понимают увеличение реального дохода в экономике (ВВП, ВНП или национальный доход), а также рост реального выпуска в расчете на душу населения.
Для описания динамики экономического развития широко используются кейнсианские модели роста [5.1-5.2]. Стратегической переменной, с помощью которой можно управлять экономическим ростом являются инвестиции. Кейнсианской моделью роста в форме Филлипса [5.1] мы воспользовались в первой главе для описания экономического спада, связанного с распадом плановой экономики, и получили хорошие результаты.
Однако большинство современных моделей роста исходит из того, что увеличение реального объема выпуска происходит, прежде всего, под влиянием основных факторов производства - труда (L) и капитала (К) [5.2]. Существует также третий, мощный фактор производства - это научно-технический прогресс, который может одновременно воздействовать на капитал и труд.
В своей неоклассической модели роста лауреат Нобелевской премии Р.Солау использовал производственную функцию Кобба-
Дугласа, предполагая постоянную отдачу от масштаба, постоянную норму выбытия, отсутствие инвестиционных лагов, убывающую предельную производительность капитала [5.2].
Уровень запаса капитала, при котором инвестиции равны выбытию, называется равновесным (устойчивым) уровнем фондовооруженности труда и обозначается А:* (к К L фондовооруженность). При достижении А:* экономика находится в состоянии долгосрочного равновесия.
Производственная функция F широко используется при описании экономики в крупных агрегатах [5.2]. Производственная функция задает зависимость национального дохода Y от стоимости основных фондов К (капитала) и от используемых трудовых ресурсов L:
Y (t)=F[K(t),L(t)]. (5.1)
Наиболее широко используемый вариант производственной функции - это функция Кобба-Дугласа [5.2-5.3]:
Y= yK
sL
!'
s, где у и 0<8<1 - константы. (5.2)
Для производственной функции (5.2) эластичность замещения равна единице: основные фонды и трудовые ресурсы в одинаковой мере замещают друг друга.
Если ввести понятие фондовооруженности труда к=К L, то функция (5.2) преобразуется в формулу:
Y=yk
s L. (5.3)
Важны также следующие понятия: фондоотдача Z YK; производительность труда у YL [5.2].
Таблица 5.1 показывает, что в рассматриваемый нами период фондовооруженность в экономике Кыргызстана была достаточно стабильной. Это позволяет нам в дальнейшем анализе воспользоваться функцией Кобба-Дугласа в простейшем виде (5.3).
Теперь, пользуясь результатами главы первой и главы четвертой, мы можем записать формулы, описывающие вклад в ВВП каждой из участвующих экономических субъектов: государственных предприятий (описывается формулой спада); преобразованных предприятий; фермерских и крестьянских хозяйств; индивидуальных предпринимателей; малых предприятий.
1. Вклад государственных предприятий (см. (1.16)):
е Ast
г^
е J
c = fl
(5.4)
-Ast
1--
Уг
¦s'К,
sY
n
2. Вклад преобразованных предприятий (см.(4.17) и (5.3)):
ycurYcuLZNac =ГІ {m
c[l-(ct+l)e
ct]+m
a[l~ (a
2t
2+2at+2) e
at]}, (5.5)
где r*
ac=YacLZ; т
с=5000; т
а=3333.
3. Вклад фермерских и крестьянских хозяйств (см.(4.22), (4.25) и (5.3)):
а) У/ =y
fL у N
f = г/L J т/1-(,\Ы+1)е**}; б )У/ = Г/Ь У Nf = Г/LJ т}{1-е*‘ }; (5.6)
где Ьу=1б; пу 70000; пу 70000; индекс і указывает на
благоприятный случай развития фермерских и крестьянских хозяйств.
4. Вклад индивидуальных предпринимателей (см. (4.32 б), (4.35) и (5.3)):
а) y
q = y
qN
q = y
qm
q{l -(qt+1) e
qt} ;
Фондовооруженность, в ценах 1990 г.
Таблица 5.1 |
|
|
1990 |
1991 |
1992 |
1993 |
1994 |
1995 |
1996 |
1997 |
|
Среднегодовая стоимость основных фондов, млн. сомов |
116,3 |
116,0 |
115,0 |
116,5 |
116,6 |
117,3 |
114,2 |
106,0 |
|
Численность работающих, тыс. человек |
1749,9 |
1754,1 |
1835,3 |
1680,6 |
1645,4 |
1641,7 |
1651,5 |
1689,3 |
|
Фондовооруженность, сомов |
66,5 |
66,1 |
62,6 |
69,3 |
70,9 |
71,5 |
69,1 |
62,7 |
|
Примечание: среднегодовая стоимость основных фондов рассчитана оценочно в целом по экономике, в ценах 1990г.
Для расчета среднегодовой стоимости основных фондов в сопоставимых ценах за основу взяты основные фонды и их ввод в фактических ценах 1990г. Через индекс валового накопления основного капитала к базисному году получен ввод основных фондов за 1991-1997гг.в ценах 1990г. Отношением ввода основных фондов в текущих ценах к сопоставимым получен дефлятор ввода основных фондов. Распространив дефлятор ввода основных фондов на их выбытие, получаем выбытие основных фондов в ценах 1990г. Используя базу 1990г. с учетом ввода и выбытия основных фондов за каждый год, получим основные фонды на начало и конец каждого года в ценах 1990г. и рассчитываем среднегодовую стоимость основных фондов.
В настоящее время основные фонды учитываются только в текущих ценах и пересчитать их в сопоставимых ценах по формам собственности и группам предприятий не представляется возможным. Вышеуказанную методику будет корректно применять только в целом по республике.
6)jV = y
qNq = y
qm
ql{l-e~
q,t } , (5.7)
где m
q = m
q = 360000.
5. Вклад малых предприятий (см. (4.42 б), (4.45) и (5.3)):
а) уъ Уь Оу N
h y
b Ly m
h{l-^[b
2t
2 2bt 2/ e
ht} ;
б) УЪ = Уь LуNb = Уь Lу ть{1-е~
ь‘}, (5.8)
где L у =10; т
ь = т
ь1 =30000.
Все коэффициенты у (у*
ас, у/, y
q, уь) были определены методом
наименьших квадратов[5.3.] с использованием данных фактического вклада каждого вида экономических субъектов (см. таблицы 4.1, 4.4, 4.5, 4.6) в ВВП. Причем использовались только последние три точки, поскольку статистика первых лет была не очень надежной. Для приближения методом наименьших квадратов была также привлечена производная в последней точке таблицы с учетом закона убывающей производительности [5.2], которая означает, что с течением времени сближаются как ординаты, так и производные. Производные в конечной точке вычислялись численным дифференцированием с использованием интерполяции в тех же трех последних точках таблицы. Результаты приближения теоретических кривых роста (5.5-5.8) к фактическим данным по описанной схеме методом наименьших квадратов представлены на рисунках 5.1-5.4. На всех рисунках мы видим довольно хорошее приближение.
Далее была реализована следующая программа расчетов с использованием формул (5.4-5.8):
1. Реальный случай, когда
У = Уг+Уас+yj+yq+yb. (5.9)
25
20
15
10
5 |
|
|
1991 1992 1993 1994 1995 1996 1997 1998 1999 |
¦ Yac Уасф
|
Рис.5.1. Вклад преобразованных предприятий |
 |
 |
|
Рис.5.3. Вклад индивидуальных предпринимателей |


2. Ускорение приватизации, рассматриваемое в реальном случае путем изменения значений Т ( Т=2; 4; 6 и 8, т.е. случаи осуществления приватизации за два, четыре, шесть и восемь лет);
3. Фермерские и крестьянские хозяйства развиваются в благоприятных условиях
У = Уг+Уас+У/ +у
д+уь. (5.10)
4. Индивидуальные предприниматели в благоприятных условиях
У = Уг+Уас+yj+yq +УЪ (5.11)
5. Малые предприятия в благоприятных условиях
У = Уг+Уас+yj+yq+yb. (5.12)
6. Благоприятный климат в целом для частного сектора
У = Уг+Уас+У/+Уд+УЬ. (5.13)
Все рассмотренные случаи были рассчитаны на компьютере и соответствующие кривые роста представлены на рис.5.5-5.10.
Как видно из рис5.5 теоретическая кривая роста достаточно хорошо описывает график фактического роста ВВП на всем промежутке с 1991 по 1999 года. Теоретическая кривая продолжена до 2005 года и дает представление о дальнейшем развитии экономики при сохранении нынешних условий для частного сектора. Как известно из теории [5.3], если базовый промежуток для оценки параметров имеет продолжительность Т лет, то экстраполяционные расчеты надежны не более чем на Т/3 лет вперед. В нашем случае Т=8 лет , следовательно надежный прогноз по теоретическим кривым возможен до 2002 года. Из рис.5.5 также следует, что если в ближайшие годы сохранится нынешняя ситуация, то уровень производства 1991 года будет достигнут только ближе к 2005 году.
 |
|
Рис.5.5. Реальный случай |
На рис.5.6 даны кривые роста при ускорении приватизации. Как видно, скорость приватизации важна только в том смысле, что смягчает спад, но не влияет на среднерыночный характер экономического роста.
Большее благоприятствование развитию фермерских и крестьянских хозяйств также способствует смягчению спада, но не оказывает существенное влияние на среднесрочный характер экономического роста (см.рис.5.7). Это говорит о том, что необходимы срочные меры по созданию торгово-закупочных кооперативов, сервисных центров по предоставлению семян, техники и консультационных услуг, а также специализированных кредитных учреждений. Без этого невозможен дальнейший интенсивный рост сельскохозяйственного производства, как это и следует из рассмотрения рис. 5.7.
|
Ускорение приватизации |
 |
—Т=8 —Т=6 Т=4 |
Т=2
Рис.5.6
 |
|
Рис.5.7. Фермерские хозяйства в благоприятных условиях |
 |
|
Рис.5.8. Индивидуальные предприниматели в благоприятных условиях |
 |
|
Рис.5.9. Малые предприятия в благоприятных условиях |

Создание благоприятных условий для индивидуального предпринимательства, как видно из рассмотрения рис. 5.8, существенно влияет на экономический рост в среднесрочном плане. В этом случае Кыргызстан мог бы рассчитывать на достижение уровня производства 1991 года уже в 2002 году.
Еще больший эффект дает создание благоприятных условий для развития малых предприятий. Как видно из рис.5.9, в этом случае уровень производства 1991 года мог быть достигнут уже в 2000 году и люди могли бы почувствовать реальное улучшение жизненного уровня.
Наконец, в случае, когда созданы благоприятные условия для развития в целом всего частного сектора (см. рис.5.10), Кыргызстан мог бы превзойти уровень производства 1991 года уже в 1997 году! Вот какова цена благоприятствования развитию частного сектора в переходной экономике.
В заключение рассмотрим реально возможный случай, когда благоприятные условия для развития частного сектора будут созданы с 2000 года. В этом случае в формулах (5.10-5.13) в качестве У[, Уд, Уъ используются выражения y
fLjN} , y
qN
q, у, Lу N,' , где N},
Ng, Nb определяются соответственно формулами (4.27), (4.37) и (4.48), описывающими реальный рост числа фермерских и крестьянских хозяйств, индивидуальных предпринимателей и малых предприятий до начала 2000 года и дальнейшее их развитие в наиболее благоприятных условиях. Выполнив соответствующие расчеты на компьютере, получаем кривые экономического роста за 2000 годом, которые представлены на рис.5.11-5.14. Как видно из этих рисунков, создание благоприятных условий для развития частного сектора в целом, а в особенности для малых предприятий,
 |
|
Рис.5.11. Фермерские хозяйства в благоприятных условиях с 2000 года |
 |
|
Рис.5.12. Индивидуальные предприниматели в благоприятных условиях с 2000 года |
 |
|
Рис.5.13. Малые предприятия в благоприятных условиях с 2000 года |
 |
|
Рис.5.14. Благоприятный климат для частного сектора с 2000 года |
ПРОГНОЗ ТЕМПОВ РОСТА ВВП
(при создании благоприятных условий с 2000 года) |
|
№ |
|
2001 |
2002 |
2003 |
2004 |
2005 |
|
1 |
Реальный случай |
5,67 |
6,08 |
5,39 |
4,8 |
4,07 |
|
2 |
Фермерские хозяйства в благоприятных условиях |
8,69 |
5,68 |
4,71 |
4,29 |
3,61 |
|
3 |
Индивидуальные предприниматели в благоприятных условиях |
9,82 |
8,6 |
6,76 |
5,64 |
4,59 |
|
4 |
Малые предприятия в благоприятных условиях |
16,12 |
10,74 |
6,86 |
4,77 |
3,32 |
|
5 |
Благоприятный климат для частного сектора |
23,3 |
12,36 |
7,36 |
5,08 |
3,46 |
|
резко ускоряет экономический рост. В таблице 5.2 приведены соответствующие темпы экономического роста по годам.
Литература к главе пятой:
5.1. Аллен Р. Математическая экономия. Пер.с англ. - М.: Изд-во иностранной литературы, 1963. - 667 с.
5.2. Стол ерю Л. Равновесие и экономический рост. Пер. с франц. -М.: «Статистика», 1974. -471 с.
5.3. Замков О.О., Толстопятенко А.В., Черемных Ю.Н. Математические методы в экономике. - М.: Изд-во «ДИС». 1977. -365 с.
Глава шестая. Стратегия 2000 года для Кыргызской Республики
Искусство управлять государством наивысшее из всех искусств.
Демокрит
Свобода, демократия и уважение основных прав человека -вот те главные принципы, которые обеспечат устойчивое развитие Кыргызстана в XXI веке.
Общество, наполненное страхом, становится неспособным к реформам и тем самым к обустройству своего будущего. Страх парализует дух изобретательства, волю к самостоятельности и надежду на преодоление трудностей. Поэтому очень важно углубление понимания принципов демократии среди населения страны.
Новый этап развития Кыргызстана на пороге XXI века требует, чтобы мы обратили внимание, в первую очередь, радикальной реформе государственного управления, ускоренному развитию частного сектора в экономике, децентрализации и укреплению местного самоуправления, развитию гражданского общества.
Кыргызстан со времени обретения независимости в 1991 году проводил широкомасштабные, радикальные экономические реформы и всегда был на передовой линии в принятии необходимого законодательства по либерализации экономики. Вместе с тем, несмотря на создание сравнительно более либерального режима, развитие предпринимательства, иностранные инвестиции и внешняя торговля продолжают тормозиться излишними бюрократическими и нормативными процедурами, а также ограниченной административной и правовой возможностями.
Поэтому, главная проблема Кыргызстана сегодня состоит в необходимости срочного реформирования системы государственного управления с целью создания благоприятных условий для развития предпринимательства, малого и среднего бизнеса, что, в свою очередь, необходимо для обеспечения высоких и устойчивых темпов экономического роста.
Во всех странах мира предприниматели, независимо от масштабов их деятельности - это главная движущая сила экономических реформ, генерирующая и увеличивающая национальное богатство, за счет своей частной инициативы и заинтересованности. По сути, они являются двигателями экономического развития.
Поэтому мы должны стремиться к формированию благоприятной предпринимательской среды, включающей в себя законодательную, инфраструктурную, инвестиционную, регистрационно-разрешительную среду, в которой оперирует частное предпринимательство. Важно, чтобы эта среда стала максимально благоприятной в регионе, тогда мы сможем привлечь и внешние инвестиции.
До сих пор серьезным сдерживающим фактором развития предпринимательства остается жесткая бюрократизация всех взаимоотношений государства с предпринимателями.
Государство должно стать партнером для предпринимателей, оказывать ему активную помощь в развитии бизнеса, и это является нашей самой важной задачей, особенно в условиях переходного периода. Уверен, мы находимся в преддверии нового этапа качественного скачка в предпринимательстве и здесь очень важна роль государства, перед которым стоит задача способствовать новой волне предпринимательства, чтобы на гребне этой волны добиться решающего успеха в подъеме экономики.
Вопрос этот имеет не только экономическое значение, но и политическое, поскольку предприниматели образуют средний класс общества.
Великий философ древности Аристотель в своем трактате о политическом устройстве подчеркивал, что как богатые, так и бедные стремятся к крайностям, разрывают государство на куски, и только средний класс может блюсти интересы всего общества. «Ясно, что наилучшее политическое устройство достигается через людей среднего положения» - пишет он. Аристотель утверждал: «Целью государства должно стать превращение всех граждан «в средних»».
Аграрный сектор будет занимать доминирующую позицию в ближайшие годы в экономике Кыргызстана по ряду причин: во-первых, при сравнительно небольших инвестициях дает более значительное увеличение занятости, импортозамещения и экспорта; во-вторых, удобная географическая позиция страны для сбыта продукции; в-третьих, наличие весьма квалифицированной и при этом относительно дешевой рабочей силы. Однако дальнейший рост производства в аграрном секторе требует логического завершения земельной реформы и запуска рынка земли.
В Кыргызстане в результате всенародного референдума 17 октября 1998 года решен главный вопрос в современных условиях -вопрос о частной собственности на землю.
Крестьяне получили защищенную Конституцией земельную собственность и право свободного распоряжения землей. Это придает им новое - второе дыхание.
Вся история развития человечества свидетельствует о том, что вопрос о земле и совершенствовании земельных отношений всегда был, есть и остается одной из основных проблем любого государства, любого общественно-политического строя.
Именно введение института частной собственности на землю стало для Кыргызстана рубежом необратимого курса на дальнейшее развитие демократии и рыночных отношений в экономике.
С введением частной собственности на землю земельноаграрная реформа вступает в новый этап - этап консолидации и завершения. Теперь необходимо создать основу для надежно функционирующего рынка земли в сельских районах.
Мы будем решать задачу ускоренного развития земельного рынка. Уже внесены поправки к Земельному Кодексу, которые обеспечивают преобразование права землепользования в имущественное право, которое может использоваться в качестве основы для залогового обеспечения. Приняты Закон о регистрации земли, закон об ипотеке. Поэтому сегодня необходимо ускорить реальный процесс регистрации земельных участков и запуска рынка земли.
В бывшем СССР Кыргызстан был одной из самых бедных республик и одновременно - одной из самых экономически зависимых от центра. И только благодаря политической воле и приверженности к быстрым и радикальным реформам, а также широкомасштабной поддержке международных финансовых организаций и стран-доноров, Кыргызстан смог успешно пройти первый этап перехода от плана к рынку. Конечно, глубокий экономический спад в переходный период не мог не сказаться на уровне жизни населения. Произошла резкая дифференциация населения по доходам, увеличилась доля бедных и появились наиболее бедные слои населения. Критический уровень бедности в Кыргызстане наблюдается среди 60% сельского населения и 40% горожан. Сегодня борьба с бедностью стала для Кыргызстана самой острой и приоритетной задачей.
Вслед за Всемирным саммитом по социальному развитию, который состоялся в Копенгагене в 1995 году, Кыргызстан первым из стран СНГ разработал национальную стратегию Устойчивого Человеческого развития (УЧР) при поддержке и непосредственном участии ПРООН и приступил к ее реализации в 1997 году.
Устойчивое человеческое развитие - это развитие в защиту бедных, женщин, занятости и окружающей среды. Преодоление бедности стало главным направлением УЧР в Кыргызстане на нынешнем этапе. Именно на решение этой задачи была направлена национальная программа «Аракет».
Основным ответом на проблему бедности и безработицы может быть только устойчивый экономический рост, в первую очередь через развитие села, частных фермерских и крестьянских хозяйств, а также всесторонней поддержки частного предпринимательства. Именно в этих целях в Кыргызстане получили широкое распространение инициативы международных организаций по созданию различных институтов микрокредитования, а также международных финансовых организаций по созданию коммерческих кредитно-сберегательных учреждений.
Доступ малоимущих слоев населения к основным социальным услугам также является критически важным для преодоления бедности. Поэтому необходимо реструктурировать государственные расходы в пользу бедных особенно в сфере образования и здравоохранения. Поскольку уровень образования является критическим фактором экономического развития, крайне важно сохранить имеющееся хорошее качество начального и среднего образования, коренным образом реформировать высшее образование. В области здравоохранения, в первую очередь, необходимо поддерживать и укреплять первичную медицинскую помощь, чтобы базовая первичная медицинская помощь была доступна по всей стране. Этому также способствует созданный в последние годы институт семейной медицины.
Как замечательно сказал Президент группы Всемирного Банка Джеймс Вульфенсон: «Бедность - это намного больше, чем только вопрос дохода. Бедным крайне нужно чувство благосостояния, что является душевным спокойствием, это и здоровье, общность, безопасность. Это также выбор, свобода и постоянный источник дохода». Мы должны ставить бедность на первый план - утверждает г-н Джеймс Вульфенсон.
Для того, чтобы соединить социальные и структурные аспекты развития с макроэкономическими и финансовыми так, чтобы установить более сбалансированный и эффективный подход, Президент Джеймс Вульфенсон предложил программу «Комплексная Основа Развития» (КОР), которая направлена на долгосрочное развитие, ориентированное на результаты, со страной у руля и в тесном партнерстве с широкой международной и местной общественностью. Причем центральной проблемой КОР является снижение бедности.
В 1998 году, когда мы объявили Национальную программу по преодолению бедности «Аракет», к ее реализации сразу же активно подключились десятки неправительственных организаций и многочисленные представители частного сектора. Эти общественные явления послужили ярким индикатором зрелости общества и явились неотвратимым сигналом к тому, чтобы широко привлечь людей к разработке и формулированию согласованной концепции будущего развития Кыргызстана. Такой концепцией мы выбрали Комплексную Основу Развития Кыргызской Республики, идея и каркас которой были предложены Президентом Всемирного банка г-ном Джеймсом Вульфенсоном. В результате активной позиции нашей страны по многим аспектам развития, а также благодаря большому доверию со стороны мирового сообщества Кыргызстан стал одной из десяти пилотных стран для разработки и внедрения идей Комплексной Основы Развития на 2001-2010 годы.
Выше мы отметили ключевые проблемы, требующие первоочередного разрешения для того, чтобы обеспечить устойчивый экономический рост и устойчивое человеческое развитие в Кыргызстане в начале XXI века. Таким образом, стратегия 2000 года для Кыргызской Республики выглядит следующим образом:
1. Реформа государственного управления;
2. Создание благоприятных условий для развития предпринимательства, малого и среднего бизнеса. Приватизация предприятий базовых отраслей экономики;
3. Ускорение регистрации земельных участков в частную собственность и запуска рынка земли;
4. Преодоление бедности путем активной реализации Национальной стратегии Устойчивого Человеческого Развития;
5. Разработка и осуществление программы «Комплексная основа развития Кыргызской Республики» на 2001-2010 годы.
Для постановки великих целей нет лучшего времени, чем начало нового века. Хорошо известно, что только великие цели рождают великие деяния.
Перечисленные выше главные задачи, которые стоят перед Кыргызстаном на данном этапе развития, кажутся земными, обычными. Но чем не велика цель: уменьшить бедность в Кыргызстане в два раза в течение следующих десяти лет! Или добиться максимального благоприятствования развитию предпринимательства, малого и среднего бизнеса в стране, что обеспечило бы высокие темпы экономического роста уже в ближайшие годы.
6.1. Реформа государственного управления
Кыргызстан совместно с ПРООН в 1999 году приступил к стратегической целевой программе по развитию государственного управления с упором на повышение его эффективности, структурные реформы и создание необходимого потенциала в ключевых ветвях законодательной, исполнительной и судебной власти. Программа включает в себя децентрализацию и развитие местного самоуправления, укрепление гражданского сообщества.
Отсутствие сильной и эффективной роли государства, как в центре, так и на местном уровне, а также действенных институциональных механизмов для проведения экономических реформ продолжают оставаться наиболее значительными препятствиями на пути экономических и социальных преобразований.
Первым шагом программы административной реформы является четкое определение новой роли государства на центральном и местном уровнях. Необходимо добиться функциональной ясности в системе государственного управления.
Должны быть выработаны меры по преодолению обособленности ключевых министерств и ведомств.
Кыргызстан уже осуществил определенную реформу государственного аппарата, в частности правительства, резко сократив численность министерств до уровня, являющегося обычным в странах с рыночной экономикой. В итоге бывшие отраслевые министерства, занимавшиеся управлением предприятиями, заменены функциональными министерствами, которые сегодня сосредоточили свою деятельность на регулировании.
Сегодня требуется не только дальнейшее сокращение количества государственных органов и их штатной численности, но, прежде всего, совершенствование персонала и улучшение внешнего контроля. Необходима регулярная аттестация госслужащих с целью проверки их профессиональных и моральных качеств. Кыргызстану, с существенными региональными различиями, очень важно развивать сильное региональное и местное самоуправление. Однако процесс децентрализации должен быть постепенным и контролируемым. В частности, коррупция пустила более глубокие корни на местном уровне, поэтому необходимо быть весьма осторожным при децентрализации функций, которые могут усугубить коррупцию на местах.
В начале нового столетия и нового этапа реформ, для Кыргызстана основополагающей задачей является пересмотр роли государства и реструктуризации различных ветвей власти.
Характер изменения роли и функции государства должны быть нацелены на создание благоприятных условий для рыночного роста, развития предпринимательства и обеспечивать удовлетворение потребностей общества путем развития и укрепления новых институциональных возможностей. Государственные органы, выполняющие функции, которые уже не свойственны демократическому развитию и рыночной экономике должны быть либо упразднены, либо значительно сокращены. Опыт многих стран мира показывает, что оптимальное количество министерств - 12-15. Значительные размеры аппарата управления, дублирование отдельных функций, отсутствие научной организации управления снижают эффективность деятельности органов исполнительной власти, являются благодатной почвой для процветания бюрократии.
Нам нужно высококвалифицированное, профессиональное и объединенное общенациональной идеей государственное чиновничество. Заслуга управленцев в современных экономических достижениях столь же велика, как и заслуга предпринимателей. Это несомненный факт.
Однако массивный бюрократический аппарат, который составляет основу нынешней исполнительной власти, со всеми его негативными традициями сдерживает эффективное проведение экономических преобразований, является тормозом на пути рыночных реформ, развития предпринимательства. Между степенью бюрократизации госвласти и степенью ее коррумпированности существует прямая связь. Поэтому должно быть осуществлено достаточно серьезное сокращение размеров государственного аппарата, чтобы дать возможность усовершенствовать оплату оставшемуся ключевому персоналу администрации.
Профессионализм госслужащих должен рассматриваться в качестве первоочередной задачи административной реформы. Инвентаризация каждого рабочего места в системе государственных органов, определение функций отдельных госслужащих и критериев оценки их деятельности, а также усиление стимулов являются источниками повышения эффективности государственного аппарата в целом. При наличии нынешних бюджетных реалий их нужно достичь путем значительных сокращений в государственной службе.
Обучение госслужащих, которое проводится в Академии управления, поддерживаемом международными институтами и донорами, должно быть направлено на профессионализм, повышение моральных и этических стандартов, введение в современный менеджмент и практику ведения дел.
Введение закона «Об этике поведения госслужащего», который находится на рассмотрении парламента, а также создание института независимого Омбудсмана по рассмотрению жалоб граждан на госслужащих также будут способствовать искоренению коррупции и укреплению моральных принципов.
Парламент в Кыргызстане играет все возрастающую роль в управлении делами государства. Однако до сих пор депутаты представляли индивидуальные или групповые интересы, а не партийные или избирательские. Поэтому отдельные депутаты могли блокировать принятие важных законодательных актов или, даже протолкнуть удобные им законы. В этом отношении предстоящие в феврале 2000 года выборы в парламент, в котором впервые участвуют многочисленные партии, должны способствовать качественному улучшению будущего парламента благодаря предсказуемой деятельности партийных фракций и партийной дисциплине.
Для утверждения принципа господства права, полнокровно функционирующего правового государства и эффективной рыночной экономики, жизненно важно иметь сильную судебную систему. С этой целью в последние годы осуществляется судебная реформа. Формированию профессионального корпуса судей, приверженных высоким моральным принципам, способствуют регулярные аттестации и обучение.
Особая роль в управлении обществом на переходном этапе должна принадлежать такому институту, как местное самоуправление. Самоорганизация общественной жизни на уровне местных сообществ и местных ассоциаций - вот одна из самых кардинальных задач нашего настоящего и нашего будущего, измеряемого, по моему убеждению, не одним десятком лет.
Мы первыми среди государств СНГ ввели новую форму местного самоуправления, отражающую наши культурные особенности и национальные традиции, и, вместе с тем, отвечающую мировым стандартам.
Наша цель - превратить местное сообщество Кыргызстана во всеохватывающую сеть свободных и сильных коопераций наших граждан. Именно местное сообщество - это та сеть общественных структур в Кыргызстане, которая способна верно выразить и индивидуальные, и общественные интересы, и общественную волю, а также наиболее естественным образом соединяет человека с государством. Это то социальное пространство нашей страны, где политические акции могут быть реально поддержаны и реально отвергнуты.
6,2, Благоприятствование предпринимательству, малому и среднему
бизнесу. Приватизация предприятий базовых отраслей экономики
Развитие предпринимательства, малого и среднего бизнеса будет основным источником создания рабочих мест на ближайшие годы. Основным правительственным учреждением, ответственным за развитие частного предпринимательства, малого и среднего бизнеса является Государственный фонд по поддержке малого и среднего бизнеса. Большую работу по оказанию консультационных услуг и техническому содействию оказывают ПРООН и GTZ (Немецкое общество по техническому сотрудничеству) через сеть бизнес-центров по всей республике. Сегодня бизнес-центры успешно помогают предпринимателям в создании новых предприятий.
Самым большим препятствием на пути к высоким темпам роста в Кыргызстане является неблагоприятная предпринимательская среда, как это было показано в двух предшествующих главах книги (главы 4-я и 5-я). Отсюда и малое количество хозяйствующих субъектов, особенно малых предприятий. Однако важно увеличить число предприятий, зарегистрированных в законном порядке и добиться, чтобы многие типы теневой деятельности стали законными.
Существовало три главных препятствия на макроуровне для развития предпринимательства малого и среднего бизнеса:
1) лицензирование; для осуществления предпринимательства необходимо было получить множество разрешений и лицензий в различных государственных органах;
2) налогообложение; тяжесть и сложность налоговой системы для предпринимательства;
3) многочисленные незаконные вмешательства в деловую активность со стороны государственных учреждений и чиновников.
В отношении всех этих препятствий сегодня принимаются решительные меры по их устранению. Так, в отношении лицензирования в январе 2000 года создан единый орган при правительстве, ответственный за регистрацию предприятий, а сами процедуры регистрации будут сведены до минимума, чтобы исключить злоупотребления в администрировании лицензирования. Отныне только один этот орган будет осуществлять регистрацию всех предприятий и выдавать патенты индивидуальным предпринимателям. Однако срочно необходимо упрощение и рационализация Налогового Кодекса в отношении всего малого и среднего бизнеса. Необходимо также принять меры, чтобы остановить незаконное вмешательство в дела предпринимателей со стороны государственных органов и чиновников.
Наличие благоприятной обстановки для роста частного предпринимательства представляется гораздо более важной предпосылкой для развития частного сектора, чем наличие щедрого финансирования, о чем свидетельствует опыт стран с переходной экономикой.
Упрощение процесса регистрации предприятий, упрощение налогообложения малых предприятий, сокращение количества лицензий будут способствовать созданию среды, благоприятной для предпринимательства.
Но еще многое предстоит сделать для упрощения бюрократии, с которой вынуждены сталкиваться предприниматели при управлении своими предприятиями.
Кыргызстан практически завершил работу над законами, регулирующими экономические правовые отношения и составляющими основу правовой базы для деятельности частного сектора. Правовая система Кыргызстана пользуется достаточно высоким доверием у предпринимателей.
В основе всех законов, регулирующих экономические правовые отношения, лежит Гражданский кодекс, который носит всеобъемлющий и превосходящий статус, в контексте юридической иерархии законов Кыргызской Республики.
Важность Гражданского кодекса трудно переоценить, поскольку он охватывает практически все формы экономических правовых отношений. Гражданский кодекс особенно силен в области контрактного права и является базой для хорошей контрактной практики. Гражданский кодекс Кыргызстана стал хорошей базой для экономического права - своеобразной экономической конституцией.
Сегодня необходимо принятие комплекса мер по эффективному применению и исполнению всех экономических законов. Сюда относится укрепление судебной системы, введение механизмов исполнения решений судов и эффективной аппеляционной системы. Особое внимание в Кыргызстане уделяется мероприятиям по профессиональной подготовке судей и других специалистов в области права. Так, с 1996 года при поддержке Агентства международного развития США начал осуществляться проект профессиональной подготовки в области экономического права. Главная цель проекта - подготовка национальных судей, юристов и прокуроров в вопросах нового экономического законодательства и связанных с ним гражданских и уголовных законов, принимаемых в рамках правовой реформы. В рамках данного проекта создается открытая информационная правовая система, путем формирования официальной компьютерной базы правовых данных при министерстве юстиции. Под эгидой Азиатского банка развития осуществляется также специальная программа подготовки судей арбитражных судов в области правовых и финансовых аспектов процедур банкротства.
Малые и средние предприятия (МСП) являются подлинной основой жизни стран с рыночной экономикой, как наиболее массовая, динамичная и гибкая форма деловой жизни. Малые предприятия придают хозяйству гибкость, мобильность, способность к быстрым структурным сдвигам и инновациям. Развитие МСП является решающим фактором в дальнейшем проведении экономических реформ.
Создавая новые рабочие места, производя необходимые обществу товары и услуги, выступая одновременно и потребителем различной продукции, малые предприятия занимают все более заметное место в экономике страны.
Рост и развитие активного сектора МСП является жизненно важным для переходного периода, поэтому многие международные финансовые организации, страны-доноры пытались поддерживать сектор МСП через кредитные линии и другие инициативы. ЕБРР внес значительный вклад, выделив специальную кредитную линию в 1996-1998 годах и поддержав 35 проектов на первом этапе через местные коммерческие банки.
В 2000 году начинается реализация новой кредитной линии ЕБРР с большим объемом кредитов. Данный проект выгоден как для частного сектора, так и банковского сектора.
Первая иностранная кредитная линия на поддержку малых и средних предприятий была открыта федеральным правительством Германии в 199_ году. Кредитный институт по восстановлению экономики Германии (KFW) по поручению федерального правительства Германии разработал и успешно реализовало программу поддержки инвестиций в МСП.
На эти цели направлен также проект Всемирного банка по поддержке частных предприятий, который начал работать с 1999 года. Цель данного проекта - развитие частного производственного сектора на местных сырьевых ресурсах путем долгосрочного и льготного кредитования экспорториентированной и импортозамещающей конкурентоспособной предпринимательской деятельности в республике. Проект также предусматривает техническое содействие и консультационные услуги, способствует развитию банковской системы.
Кроме того, ЕБРР и другие потенциальные доноры (DEG и KFW - Германия) проводят обсуждение с Фондом Ага Хана по экономическому развитию для создания нового банка, названного Кыргызским Индустриальным Кредитным банком, предназначенного для предоставления долгосрочного финансирования местным предпринимателям. Основной целью деятельности этого нового банка будет среднесрочное и долгосрочное кредитование на основе хорошей капитализации крупных предприятий Кыргызстана. В потенциале данный банк будет иметь мощные средства, которые необходимо эффективно использовать.
Однако наличие кредитных линий в поддержку МСП не умаляет значения и необходимости привлечения прямых иностранных инвестиций. Иностранные инвесторы обеспечивают предприятия не только стабильным финансированием, но и современными навыками управления, ноу-хау в области маркетинга, новыми технологиями и каналами доступа к международным рынкам и в этом их преимущество.
Именно результативность усилий страны в привлечении иностранных инвестиций в целом явится показателем качества управления ее макроэкономикой и благоприятности условий, обеспечивающих свободную конкуренцию, что имеет решающее значение в современных условиях глобального рынка, в которых все страны поставлены в положение конкурентов в области привлечения инвестиций.
Для привлечения прямых иностранных инвестиций крайне важно создание, прежде всего, как уже отмечалось выше, благоприятного правового и административного режима.
Только небольшому количеству предприятий удалось привлечь иностранных инвесторов, обладающих новыми технологиями, современными методами управления и доступом к мировым рынкам. Опыт предприятий и их интерес к привлечению инвестиций ограничены. Местные акционеры и управляющие предприятий боятся потерять контроль и неохотно раскрывают информацию о своих предприятиях, необходимую инвесторам для анализа проектных возможностей. Поэтому необходимо обеспечить финансовую прозрачность предприятий и усилить налоговые стимулы для инвестиций частного сектора.
Чрезвычайно важно включение инвестиционных стимулов в режим налогообложения для предприятий. Режим налогообложения должен стимулировать участие как иностранных, так и отечественных инвесторов в капитале кыргызских предприятий. Иностранные инвесторы способны обеспечить кыргызские предприятия современными методами управления, доступ на мировые рынки, а также стабильным финансированием.
Поскольку внутренний рынок Кыргызстана небольшой, экспорт товаров и услуг предлагает наибольшие возможности для иностранных инвесторов, при условии, что страна является привлекательным местом для инвестиций. Поэтому Кыргызстану крайне важно создать эффективную систему поддержки для экспортной деятельности, а также резко улучшить состояние инфраструктуры для экспортного производства.
Решающая поддержка экспорта товаров и услуг нужна для зарабатывания иностранной валюты, необходимой для улучшения текущего платежного баланса, стабилизации национальной валюты и обслуживания внешнего долга.
Для стимулирования инвестиций экспорта и занятости были созданы ряд свободных экономических зон. Бишкекская СЭЗ, расположенная в столице республики, сумела привлечь экспорториентированные инвестиции, благодаря близости к международному аэропорту «Манас», а также магистральным автомобильным дорогам.
Кыргызстан в 1999 году упростил визовой режим для того, чтобы привлечь иностранных инвесторов, бизнесменов и туристов. В частности, отменен в одностороннем порядке визовой режим для граждан развитых стран и стран, с которыми Кыргызстан поддерживает самые тесные экономические отношения.
Для привлечения прямых иностранных инвестиций крайне важно ускорить реструктуризацию предприятий. Масштабы же проведенной реструктуризации на большинстве приватизированных предприятий незначительны, тогда как реструктуризация предприятий является ключом к стабильному росту.
Главная цель реструктуризации состоит в том, чтобы повысить инвестиционную привлекательность предприятий за счет финансовой прозрачности, снижения издержек производства, ликвидации нерентабельных видов деятельности и создания эффективного механизма управления.
Главная цель кыргызской программы массовой приватизации заключалась в диверсификации владельцев предприятий. Предполагалось, что в конечном итоге, в результате продажи и покупки акций, появится достаточная концентрация собственности, которая бы позволила новым собственникам начать реструктуризацию предприятий. Однако в результате контроль над предприятиями в большинстве случаев оказался в руках прежних директоров, которые не заинтересованы и не желают проводить реструктуризацию.
Итак, предприятия сегодня не имеют четких прав собственности - основного стимула к повышению производительности и прибыльности в условиях рыночной экономики.
Незавершенность реформы отношений собственности сдерживает процесс становления «эффективных собственников».
Поскольку процесс трансформации собственности еще далек от завершения, потенциальные инвесторы ожидают надежного закрепления предприятий за новыми владельцами.
Действенный инструмент структурных преобразований -закрытие или перепрофилирование несостоятельных предприятий на основе процедуры банкротства - до сих пор не играет заметной роли.
Приватизация, таким образом, знаменует не завершение, а лишь начало процесса реорганизации собственности и пересмотра системы стимулов, действующих на предприятиях. Это начало длительного процесса реорганизации форм собственности в соответствии с требованиями рыночной экономики.
Рынки ценных бумаг (РЦБ), зарождающиеся в условиях переходной экономики вслед за приватизацией, могут служить важным инструментом ускорения и диверсификации владения предприятиями. Однако на сегодня рынки ценных бумаг Кыргызстана не сыграли существенной роли в ускорении изменения собственности предприятий, несмотря на то, что функционирующая биржа ценных бумаг вместе с депозитарием акций, механизмами клиринга и оплаты поддерживаются хорошим законодательством.
Особое внимание также было уделено организации и осуществлению корпоративного управления.
Создана Национальная комиссия по РЦБ, которая призвана обеспечить проведение активной государственной политики, направленной на ускоренное развитие самостоятельного РЦБ, который может стать мощным инструментом структурной перестройки и подъема экономики путем активизации привлечения инвестиционных ресурсов для ее развития. Созданы также законодательные гарантии соблюдения прав акционеров. Повышается уровень компетентности специалистов на РЦБ.
Положительные сдвиги в развитии вторичного РЦБ в 1995-1999 годах были связаны с деятельностью Кыргызской фондовой биржи (КФБ), где идут торги акциями акционерных компаний. С появлением КФБ появилась реальная возможность оценки стоимости ценных бумаг.
Сегодняшний фондовый рынок Кыргызстана представлен акциями приватизированных предприятий, банковскими ценными бумагами, государственными казначейскими векселями, а также акциями частных эмитентов.
Кыргызская фондовая биржа учреждена была как частная самостоятельная организация, причем и обустройство инфраструктуры идет успешно. Развитие рынка ценных бумаг началось с самого начала преобразования предприятий. Уже к началу 1999 года произведен для доступа на биржу листинг акций более 50 предприятий, из которых около половины уже активно обращаются. Институциональная основа для вторичного рынка акций создана, но торговля все еще недостаточно активна.
Для Кыргызстана, таким образом, важной задачей является не только дальнейшее укрепление банковской системы, но и усиление денежных потоков через рынок ценных бумаг. В этой связи, необходимо принять дополнительные меры по устранению факторов, сдерживающих развитие рынка ценных бумаг.
Необходимо расширить фондовый рынок и создать все условия для того, чтобы он способствовал успешному привлечению предприятиями промышленных фондов.
Важным условием расширения фондового рынка является наличие слоя инвесторов, вкладывающих средства в фондовый рынок. В республике сегодня существуют 16 инвестиционных фондов, в том числе один государственный пенсионный фонд, один частный пенсионный фонд. Все эти фонды могут сыграть важную роль как институциональные инвесторы, вкладывающие средства в фондовый рынок. Можно также ожидать увеличения активности торговли на бирже по мере начала торговли акциями крупных компаний, таких как Кыргызтелеком, Национальная авиакомпания, Кыргызэнергохолдинг и т.п., приватизация которых начинается в 2000 году.
После массовой приватизации появилось много предприятий, собственниками которых стали наши граждане. Для обеспечения наиболее эффективного использования всех активов таких предприятий, а также учета интересов акционеров начато внедрение корпоративного управления. В АО была введена двухуровневая система корпоративного управления: правление - как исполнительный орган и совет директоров - как контрольный орган.
Повышение уровня корпоративного управления, в центре которого отношения управляющих и собственников (акционеров) крайне важно, поскольку итогом должно стать доминирование эффективных собственников, повышение качества управления,
основной слабости нынешних кыргызских предприятий,
активизация структурных преобразований.
Кыргызстан при содействии АБР в числе первых из стран СНГ приступил к созданию условий для применения принципов корпоративного управления. Сегодня, можно сказать, что механизм корпоративного управления заработал, но предстоит большая работа по качественной стороне проблемы.
Международные стандарты бухгалтерского учета все еще не получили широкого распространения. Мягкие бюджетные ограничения в области отношений между предприятиями, слабая конкуренция и неразвитые финансовые рынки сдерживают становление эффективного корпоративного управления.
Одной из наших долгосрочных целей является создание в Кыргызстане устойчивой законодательной, институциональной и структурной корпоративной среды к 2001 году. Мы являемся первыми среди стран переходных экономик, внедряющими на государственном уровне принципы корпоративного управления и создавшими для этого государственный орган - Центр по корпоративному развитию. Внедрение корпоративного управления на предприятиях - это условие для создания новой культуры экономических взаимоотношений собственников, управляющих и трудового коллектива, а также реальная возможность защиты интересов граждан - держателей малых пакетов акций. Корпоративное управление также способствует установлению прозрачности и отчетности в работе предприятий для обеспечения доверия как внутренних, так и внешних инвесторов.
Сегодня на повестке для 2000 года стоит приватизация крупных предприятий базовых отраслей экономики республики.
Кыргызстан в настоящее время готовится к приватизации крупнейших предприятий базовых инфраструктурных отраслей, а также предприятий горнодобывающей и металлургической промышленности. В число этих компаний входят государственная компания по производству и распределению электроэнергии, телекоммуникационная компания и авиалинии. Очень важно отделение аэропорта Манас от авиалиний Кыргызстана и приватизация с целью улучшения его управления. Основные маркетинговые мероприятия направлены на привлечение международных стратегических инвесторов.
Приватизация указанных отраслей может принести много выгод одновременно: значительные средства в государственный бюджет, улучшение ситуации в платежном балансе, серьезное улучшение качества инфраструктурных услуг, улучшение платежной дисциплины в самих этих отраслях, улучшение инвестиционного рейтинга страны.
6,3, Регистрация земельных участков в частную собственность
и запуск рынка земли
Успешное преобразование сельского хозяйства является главной задачей, поскольку оно представляет собой стержень экономики Кыргызстана: доля сельскохозяйственного производства в ВВП составляет примерно 47%; занятость - 34% трудоспособного населения. Таким образом, устойчивый рост сельскохозяйственного производства имеет решающее значение для общего роста экономики страны и повышения уровня жизни малоимущих слоев населения.
Начиная с 1991 года земельная реформа и реструктуризация хозяйств находятся в центре программы экономических реформ, составляя острие реформ. При этом в центре внимания ставились задачи по созданию благоприятных условий для эффективного развития рынка, улучшению рентабельности сельскохозяйственных структур и обеспечению равных возможностей для развития всех типов сельскохозяйственных предприятий.
Программа земельно-аграрной реформы предоставляла членам колхозов и совхозов следующие варианты реорганизации с правом добровольного выбора структуры, которую они желали создать или участвовать:
1) разделение хозяйства на личные и крестьянские хозяйства;
2) разделение на личные и крестьянские хозяйства при добровольном объединении в ассоциации и кооперативы;
3) реорганизация части или целого хозяйства в акционерное предприятие;
4) объявление банкротства с аукционной продажей имущества другим производителям.
В первые годы земельно-аграрной реформы было гораздо труднее, поскольку мы брались за решение беспрецедентной задачи переустройства сложившихся социалистических земельных отношений.
Однако огромная тяга людей на селе, большинства крестьян к свободному самостоятельному труду, их глубокая вера в возможность получить землю в свою собственность, стойкость и терпение к временным трудностям и лишениям переходного периода, обеспечили продвижение земельной реформы. В результате проведенных аграрных преобразований, мы сегодня имеем целый класс свободных крестьян и фермеров. Отрадно, что самую сложную задачу - распределение земельных участков между крестьянами на местах сумели решить без каких-либо серьезных социальных потрясений, по справедливости.
Вначале процесс земельной реформы шел довольно быстро, но затем усилиями бывших председателей колхозов и директоров совхозов, которых в народе метко прозвали «красными помещиками», реформы были торпедированы и к концу 1993 года стала очевидной их обратимость.
Решающую роль сыграл Указ «Об активизации мер по осуществлению программы земельно-аграрной реформы» от 1994 года, которым все колхозы и совхозы в обязательном порядке должны были выделить своим членам, а также всем жителям хозяйства земельные доли, а работникам крупных обслуживающих сельхозпредприятий в целях их реорганизации в более мелкие структуры предоставлялись неземельные активы. Были установлены оптимальные размеры хозяйств. Распределение долей оформлялось выдачей Свидетельств на право пользования земельной долей.
В результате проведенных реформ в аграрном секторе удалось не только остановить обвальный спад, стабилизировать производство сельхозпродукции, но и начать стремительный рост, что позволило за короткое время полностью решить проблему обеспечения населения хлебом, мясом, молоком и другими основными продуктами питания.
Достигнутые рубежи в ходе проведения первого этапа земельно-аграрной реформы на селе значительно облегчают задачу дальнейшего решения земельных вопросов, ибо массового перераспределения земли уже не будет.
Частный сектор на селе должен стать положительным фактором устойчивого роста в аграрном секторе и надежной основой устойчивого экономического развития Кыргызстана.
В основе всех достижений современной цивилизации лежат полномасштабное право частной собственности и свободная экономическая деятельность.
Нам необходимо усилить работу по созданию юридической и институциональной базы для внедрения решения о частной собственности на землю.
В целях успешной реализации частной собственности на землю образована общегосударственная система регистрации земельных участков, как в сельских, так и в городских районах, которая обеспечит выдачу сертификатов на владение земельными участками частным фермерским и крестьянским хозяйствам.
Особенностью программы земельно-аграрной реформы в Кыргызстане явилось создание крупного резерва земельных угодий, первоначально в размере 50 процентов орошаемой пашни, которое затем было сокращено до 25% общей площади, в качестве Фонда перераспределения сельскохозяйственных земель. В перспективе предполагается земли Фонда продать с аукциона. По закону сегодня земли Фонда переданы в распоряжение местных органов управления, а доходы от них поступают в местные бюджеты и используются для целей финансирования социально-экономического развития.
Многие хозяйства коллективной формы все еще остаются в ведении управленческих структур советского типа, которые остались неизменными со времен старой командной экономики и имеют характерные недостатки. Сегодня эти коллективные хозяйства эволюционируют в сторону частных предприятий антрепренерского типа, а чаще распадаются на индивидуальные хозяйства.
В последние годы начали формироваться подлинные кооперативы по производству молока и молочных продуктов, в производстве сахара, что способствовало резкому росту производства фабричной сахарной свеклы. Государству необходимо всемерно содействовать развитию и укреплению такого кооперативного движения на селе. Ведь цель кооперации - это социальное благо объединяющихся в кооперативы людей через удовлетворение своих потребностей и отдельных предприятий с наименьшими затратами. Люди во всем мире кооперируются для того, чтобы с помощью своих паевых взносов обеспечить себе покупку более дешевых и качественных товаров (уйти от власти коммерсанта или крупного торгового монополиста, в т.ч. и государственного), либо обеспечить лучшие условия сбыта своей продукции, снабжения своего производства по прямым связям.
Основные задачи нового этапа земельно-аграрной реформы сводятся к следующему:
1) завершение государственной программы по распределению земельных долей и имущественных паев;
2) создание системы регистрации земельных участков и выдачи свидетельств на полные частные права землевладения;
3) введение в действие политики и порядка проведения земельных аукционов;
4) создание нормативно-правовой базы для развития земельного рынка;
5) кооперация в деле закупки, переработки и сбыта продукции, производимой индивидуальными хозяйствами.
Будет расширяться сеть Центров сельскохозяйственных консультаций и развития, они будут укрепляться на стабильной основе для обеспечения высоких профессиональных стандартов в деле оказания помощи фермерским и крестьянским хозяйствам по улучшению технологий растениеводства, включая использование качественных семян и удобрений, по повышению продуктивности животноводства, а также в получении кредитов и рекомендациями в области введения агробизнеса. Благодаря развитию консультационных услуг, в сельскохозяйственном секторе повысятся эффективность, профессионализм и прибыльность.
Начиная с 1996 года в Кыргызстане принимались активные меры по созданию специализированных учреждений по кредитованию производителей сельскохозяйственной продукции и продовольствия. Уже 1997 год ознаменовался началом деятельности Кыргызской сельскохозяйственной финансовой корпорации (КСФК) и созданием Финансовой компании по поддержке и развитию кредитных союзов в сельской местности.
Основной целью создания КСФК при финансовой и технической поддержке Всемирного банка была организация промежуточного звена для кредитования фермерских и крестьянских хозяйств и агроперерабатывающего сектора, которые в настоящее время не могут воспользоваться кредитами действующих коммерческих банков.
Кыргызская сельскохозяйственная финансовая корпорация осуществляет кредитование по следующим линиям:
1) финансирование агропромышленных предприятий малого и среднего бизнеса, связанных с торгово-закупочными операциями или с переработкой сельскохозяйственной продукции, направленное на обеспечение кредитом под оборотный капитал, новые инвестиции, модернизацию или расширение существующего оборудования для перерабатывающих предприятий;
2) финансирование средних и крупных фермерских и крестьянских хозяйств;
3) финансирование мелких фермерских и крестьянских хозяйств по упрощенной схеме, в основном с целью создания потребительских кооперативов;
4) микрофинансирование фермерских групп самопомощи, образующихся на добровольной основе и солидарной ответственности, направленное на снижение бедности.
КСФК использует при этом льготную кредитную линию Всемирного Банка.
КСФК считает сегодня приоритетными задачи расширения региональной сети, обеспечение высоких стандартов обслуживания клиентов, обеспечение доступности кредитных ресурсов для клиентов, нацеливание сети распределения на целевые группы, развитие новых финансовых услуг для целевых групп, включая предоставление рыночной информации.
Миссия КСФК: «Повышение эффективности и рентабельности сельскохозяйственного производства и улучшение уровня жизни сельского населения путем создания устойчивой системы предоставления финансовых услуг».
В среднесрочной перспективе КСФК должна создать в своем составе следующие институты:
- коммерческий сельскохозяйственный банк;
- финансовый институт микрокредитования;
- лизинговую компанию;
- страховую компанию.
Первые два вида деятельности уже получили существенное развитие и завоевали доверие фермерских и крестьянских хозяйств на селе. В 2000 году также КСФК намерена начать первые лизинговые операции по предоставлению сельскохозяйственной техники и оборудования.
Финансовая компания (ФК) была создана в 1997 году для осуществления проекта АБР по созданию кредитных союзов. Основной принцип, на котором зиждется работа кредитного союза -это самоуправление. Сами участники кредитных союзов должны обеспечивать возвратность по выданным кредитам, с тем, чтобы наиболее прибыльно использовать свои ресурсы. Для успешной работы кредитных союзов необходимо взаимное доверие и общая солидарность его участников. По мере развития системы кредитных союзов, многие из них неизбежно придут к тому, чтобы оказывать такую услугу, как сбережение средств граждан. Поскольку кредитные союзы работают с минимальными затратами, то только они в состоянии выжить в отдаленных районах республики.
ФК оказывает помощь и консультационные услуги при создании кредитных союзов (КС), проводит обучение ведению бухгалтерского учета и делопроизводства в кредитных союзах, предоставляет кредиты и осуществляет надзор.
В настоящее время в республике зарегистрировано 169 КС, суммарный капитал которых составил свыше 25 млн. сомов, а количество участников достигло 7 тыс.человек.
Кредитные союзы, мобилизующие сбережения населения и обеспечивающие своих членов кредитами, способны стать теми учреждениями, которые в будущем смогут оказывать самый широкий спектр банковских услуг в сельской местности.
Планируется, что по мере роста кредитных союзов и усовершенствования их деятельности будет происходить их объединение в региональные ассоциации, а Финансовая компания преобразуется в кооперативный банк, объединив капиталы союзов.
Сельскохозяйственная финансовая корпорация и кредитные союзы - это прообразы будущей надежной и разветвленной сети сельских банковских и кредитных учреждений.
Таким образом, на настоящем этапе большее развитие должно получить коммерческое кредитование с одновременным активным инвестированием в обучение фермеров и развитие сельской инфраструктуры.
Создание среднеобеспеченных слоев населения в сельской местности будет формироваться за счет объединения и специализации мелких производителей в форме специализированных кооперативов, которые будут способны успешно и эффективно осваивать полученные ими кредиты. Именно такие хозяйства среднего размера будут готовы к финансовым рискам и способны к использованию новых агротехнологий, обеспечивающих высокие урожаи.
В последние годы начаты проекты по развитию сельской инфраструктуры: снабжение чистой питьевой водой; реабилитация ирригационных систем; строительство дорог. Подобные проекты получат широкое распространение в ближайшие годы.
В 1999 году при поддержке Всемирного банка начат проект восстановления ирригационной системы, предусматривающий восстановление первоначальной мощности оросительно-дренажной системы, а также создание институциональной основы для долгосрочного и экономного управления водными ресурсами ирригационной системы.
6.4. Преодоление бедности путем реализации Национальной
стратегии Устойчивого Человеческого развития
В 1997 году Кыргызстан при поддержке ПРООН принял Национальную стратегию устойчивого человеческого развития (УЧР) и создал Совет по устойчивому человеческому развитию, который возглавляет Государственный секретарь.
Долгосрочный устойчивый экономический рост крайне важен для сокращения бедности и поддержания высокого уровня человеческого развития. Однако неравенство может увеличиться, если доходы более богатой части населения будут расти быстрее, чем доходы бедных слоев населения. УЧР не только должно приводить к экономическому росту, но также равному распределению благ. УЧР отдает приоритет бедным, особенно женщинам, которые являются наиболее уязвимыми, предоставляя им больше возможности для развития.
Наша стратегическая цель - строительство социального государства. Социальное государство прямо не названо в Конституции Кыргызской Республики, но его идея присутствует в целом ряде конституционных статей как смысл социальной политики и как цель экономической политики.
В Национальной стратегии УЧР мы заложили в качестве высших целей критерии социального благополучия и эффективности избранного курса реформ: качество жизни, включающее уровень реальной зарплаты, структуру потребления, состояние жилищной сферы, доступность медицинской помощи, продолжительность жизни населения, уровень образования, свободу информации, защищенность прав человека, личную безопасность, благополучие окружающей среды.
Главная цель и смысл стратегии УЧР заключается в том, что конечный результат должен выражаться в приросте человеческого капитала - самого главного и устойчивого условия успеха.
Важным приоритетом является создание эффективной системы социальной помощи. Поскольку сглаживание доходов осуществляется семейными пособиями и социальной помощью, они должны быть жестко адресными и сосредоточены исключительно на бедных семьях. Сглаживание доходов, помимо его явной моральной и политической значимости чрезвычайно важно для формирования человеческого капитала.
Важно также постоянно поддерживать и укреплять сеть социальной защиты (ССЗ) для наиболее уязвимых слоев населения. Эта ССЗ должна вызволять людей из ситуации обнищания и не позволять другим попадать в такое положение. ССЗ создана в 1996-1999 годах при финансировании Всемирного Банка.
Мы в Кыргызстане сумели сохранить социальную сферу как важнейший элемент нашей государственной политики и стремимся придать проводимым социальным реформам комплексный целостный характер и обеспечить им максимальную динамичность. Одновременно, шаг за шагом, мы адаптировали социальную сферу к рыночным условиям.
Особенностью современного периода, определяющей динамизм экономики, является акцент на массовом формировании творческой индивидуальности, способной к созданию инноваций и принятию инновационных решений в различных сферах деятельности, в том числе в малом и среднем бизнесе.
Улучшения качества жизни можно добиться путем расширения доступа и предоставления основного социального обслуживания уязвимым слоям населения и поддержки семей адресными пособиями.
Это осуществляется путем укрепления возможностей органов местного самоуправления в секторе образования и здравоохранения, а также предоставления основных услуг в образовании и медицине посредством реабилитации социальной инфраструктуры при финансовой поддержке Всемирного Банка, АБР и стран доноров.
Поддержание высоких стандартов начального и среднего образования должно быть вопросом первостепенной важности. Базовое образование является основой для формирования профессиональных навыков и знаний. Полуграмотная рабочая сила не может конкурировать на мировых рынках. Поэтому нужна срочная реформа системы профессионального обучения, чтобы молодежь могла конкурировать на быстро меняющемся рынке труда.
Реформа системы здравоохранения в Кыргызстане особенно активно осуществлялась, начиная с 1996 года, после принятия национальной программы «Манас» (1996-2006 гг.), разработанной при помощи ВОЗ и финансируемой Всемирным Банком, а также странами донорами. Основными итогами среднесрочной стратегии программы реформ «Манас» стали создание института семейной медицины, повсеместное внедрение обязательного медицинского страхования и укрепления потенциала первичного звена здравоохранения.
В Кыргызстане сегодня налажен постоянный мониторинг бедности, который осуществляется международными организациями и позволяет выявить основные причины бедности. Мониторинг показывает, что основное внимание должно быть уделено сельским жителям, поскольку уровень бедности на селе в два раза выше, чем уровень бедности в городе. Крайняя степень бедности в четыре раза выше в сельской местности. Так что бедность характерна для сельской местности.
Программы поддержки бедноты должны включать большое количество разнообразных возможностей для получения микродоходов для самых бедных слоев населения.
Микрокредиты представляют собой один из наиболее эффективных путей преодоления проблем с бедностью. В этом плане безусловно заслуживает уважения и поддержки деятельность FINCA (Американский фонд по содействию международному сообществу) в Кыргызстане. Международные эксперты отмечают, что проект микрокредитования FINCA в Кыргызстане является самым успешным по темпам развития и широте охвата беднейших слоев населения в истории этой организации. На сегодня FINCA имеет в республике 15615 клиентов, 5 областных организаций и штаб-квартиру в Бишкеке, которая была открыта в 1995 году.
Цель FINCA заключается в том, чтобы обеспечивать кредитом мелких предпринимателей и способствовать созданию сбережений и вкладов путем создания сберегательно-кредитных групп (СКГ), состоящих из 10-20 человек, объединившихся на добровольной основе. Служащие FINCA обучают и помогают СКГ вести счета, управлять наличностью, распределять и выдавать кредиты.
Со стороны FINCA с 1995 по 1999 годы было выдано микрокредитов на общую сумму более 13 млн.долларов США, причем возвратность составляет около 99,7%.
Осуществляется также ряд других проектов микрокредитования по поддержке частных инициатив в сельской местности, финансируемых Всемирным банком и правительством Швейцарии. Эти проекты направлены на создание консультативной службы для фермеров и сельских предпринимателей, системы оборотного фонда для финансовой поддержки местных предпринимателей в области переработки сельскохозяйственных продуктов, а также на оказание помощи в продвижении женских НПО по поддержке женщин в создании собственного дела.
ПРООН также играет существенную роль в осуществлении эффективной координации деятельности по микрокредитованию между различными международными и местными организациями. Примером координационной деятельности ПРООН в этой сфере является Национальный саммит по микрокредитованию, проведенный в 1998 году, который сыграл особую роль в обмене накопленным опытом и определении путей дальнейшего развития. ПРООН в сотрудничестве с международными донорскими организациями осуществляет проекты, которые обеспечивают доступ к относительно дешевым и долгосрочным сельскохозяйственным кредитам для ГСП (групп самопомощи).
Сегодня всего более 30 тыс.человек охвачено системой микрокредитования в целом по стране. Около 20 НПО предоставляют микрокредиты населению.
У Кыргызстана есть хорошая возможность держать в своих руках инициативу в плане развития микрокредитования путем качественного развития уже работающих проектов и внедрения новых перспективных проектов.
Целью программы микрокредитования является развитие регулируемого, официального финансового института, управляемого местными специалистами, предоставляющего финансовые услуги малообеспеченным слоем населения, не имеющим возможности доступа к коммерческим и банковским структурам. Микрокредиты способствуют достижению экономической независимости семей с низким доходом, оказавшихся в замкнутом цикле бедности, путем расширения возможностей увеличения дохода и самообеспечения занятости.
6,5, Разработка программы «Комплексная Основа Развития
Кыргызской Республики» на 2001-2010 годы
Выше мы уже отмечали, что Кыргызстан был выбран Всемирным банком в качестве одной из немногих в мире пилотных стран для разработки и осуществления программы «Комплексная Основа Развития» (КОР), предложенной Президентом Всемирного банка Джеймсом Вульфенсоном.
По моему глубокому убеждению, особая ценность Комплексной Основы Развития заключается в широком и согласованном подходе при ее разработке, когда будут сведены воедино усилия всех сторон - законодательной и исполнительной власти, гражданского общества, частного сектора и международных организаций развития. Стремления всех этих участников общественных процессов должны быть направлены на достижение общих целей - смягчение и снижение уровня бедности, а также создание в Кыргызстане устойчивой среды для гармоничного и стабильного развития общества.
Мы поставили перед собой задачу создать основу развития, в которой макроэкономические и финансовые аспекты будут рассматриваться только в совокупности со структурными, социальными и гуманитарными, создавая тем самым необходимый баланс. Я уверен, что только таким образом мы сможем нейтрализовать перекосы, возникающие из-за негативного, а порой даже разрушительного воздействия рыночного «фундаментализма».Для согласованности действий мы намерены использовать в качестве инструмента управления «Матрицу развития Вульфенсона». В эту Матрицу мы сведем вместе весь гармоничный набор целей, реализуемые и планируемые программы и проекты, которые будут определены на согласованной основе после широкого обсуждения всеми заинтересованными сторонами.
Краеугольными аспектами Комплексной Основы Развития, которые будут составлять основу для нашего поступательного и непрерывного движения вперед, являются следующие аспекты развития, олицетворяющиеся собой преломление идей г-на Дж.Вульфенсона через призму Кыргызстана:
Во-первых, это структурные аспекты развития работоспособная и честная государственная власть, действенная правовая и судебная система, стабильная и поднадзорная финансовая система, хорошо отлаженная система социальной защиты и эффективные социальные программы.
Во-вторых, это гуманитарные аспекты развития - доступное образование и качественные учебные заведения, здравоохранение.
В-третьих, это физические аспекты развития - качественная и достаточная питьевая и поливная вода, надежное обеспечение энергией, развитые дорожные, транспортные коммуникации и телекоммуникации, защита окружающей среды и сохранение культурных ценностей.
В-четвертых, это особые аспекты развития - секторальные стратегии для подъема сельских районов, развития городов и поддержки частного предпринимательского сектора, отдельные национальные стратегии, охватывающие развитие межэтнического и религиозного согласия, поддержку бедных регионов республики, борьбу с наркотическим трафиком, а также развитие регионального сотрудничества с нашими соседними странами. Эта концепция должна стать перспективной стратегией социально-экономического развития нашей республики на ближайшие 10 лет. Для качественной разработки концепции Комплексной Основы Развития Кыргызской Республики на ближайшие 10 лет и привлечения всех здоровых сил нашего общества к этому процессу, в нашей республике создана Консультативная группа во главе с Премьер-министром. Задача Консультативной группы - это собрать различные идеи, рекомендации и предложения всех сторон по аспектам развития Кыргызстана, обеспечить экспертный анализ и выработку единой, согласованной стратегии. Мы намерены широко освещать процессы выработки стратегии среди населения Кыргызстана, каждый гражданин нашей республики, даже житель самого отдаленного горного села будет просвещен, и будет иметь реальную возможность внести свой посильный вклад в выработку концепции.
Здесь я хотел бы остановиться подробнее только на трех вопросах, имеющих особое значение для разработки КОР для Кыргызстана: развитие инфраструктуры, туризма и доктрина «Дипломатия Шелкового Пути». Для горной и географически замкнутой страны жизненно важное значение имеет развитие всех видов инфраструктуры. Кыргызстан сумел привлечь крупные международные льготные кредиты для строительства автомобильной дороги Бишкек-Ош. Эта работа будет активно продолжена и в дальнейшем. Строительство этой уникальной высокогорной дороги протяженностью свыше 600 км и стоимостью более 300 млн. долларов США финансируют АБР и японское правительство. Эта стратегическая дорога, соединяющая северную и южную части Кыргызстана, разделенную высочайшими горными хребтами, станет главной транспортной артерией Кыргызстана и
будет играть ключевую роль в социально-экономическом развитии страны в XXI веке. Дорога также является частью исторического Великого шелкового пути, ведущего в Китай, Индию и Пакистан.
Хорошая воздушная связь крайне важна для развития внешней торговли, привлечения инвестиций и туризма. Сегодня Кыргызстан страдает от плохих воздушных сообщений. Завершение в 2000 году реконструкции международного аэропорта «Манас», которая осуществляется ведущими европейскими компаниями при финансировании правительства Японии, позволит Кыргызстану стать одним из ключевых транзитных пунктов для международных авиакомпаний на пути из Европы в страны Юго-Восточной Азии.
Благодаря успешной реализации проекта по созданию современной системы телекоммуникаций в 1995-1997 годах, Кыргызстан сегодня имеет первоклассную телекоммуникационную систему с наземной спутниковой станцией стандарта «А», открывшей прямые спутниковые каналы со следующими странами: Японией, Индией, Китаем, Великобританией, Германией, Россией, Белоруссией и через них с большинством стран мира. В настоящее время осуществляется модернизация телекоммуникационных сетей в отдаленных районах республики с повсеместным переходом на цифровые телефонные станции.
Туризм несомненно может стать наиболее важным фактором экономического развития в Кыргызстане. Туризм является надежным источником поступлений иностранной валюты, он также поможет в обеспечении занятости и доходов в отдаленных уголках страны. Правительство должно создать атмосферу поддержки кыргызским туристическим агентствам, которые проявляют хороший динамизм. У Кыргызстана есть хорошие возможности для развития горного приключенческого туризма, а также туризма по
Великому шелковому пути. Хорошие перспективы имеет туризм вокруг уникального озера Иссык-Куль. Этому могут помочь празднование 3000-летия города Ош и проведение международного Года гор в 2002 году.
Развитию туризма несомненно будет способствовать завершение строительства пятизвездочной гостиницы «Хайат Ридженси Бишкек» (Hyatt Regency Bishkek), которая откроется в 2000 году и станет первой гостиницей мирового класса в Кыргызстане.
Продолжение традиции Шелкового пути и возрождение Кыргызстана, как моста, центра торговых путей между Азией и Европой, является нашим стратегическим направлением интеграции в глобальную экономическую систему. Мы должны постараться стать узлом транзитных грузовых перевозок сухопутными и воздушными видами транспорта, средоточием по переработке сырья и полуфабрикатов - это будет нашим вкладом в развитие мировой экономики.
Кыргызстан был процветающей страной на древнем Великом шелковом пути. Кыргызстан был одним из важных торговых и культурных центров на шелковом пути. И сегодня мы, кыргызы, связываем свое экономическое и культурное возрождение с возрождением Великого шелкового пути. Именно возрождение Великого шелкового пути, по моему глубокому убеждению, позволит странам на древнем шелковом пути приобщиться к процессам глобализации, характерным для нашего времени. Учитывая все это, в свое время я выдвинул для Кыргызстана доктрину «Дипломатия Шелкового Пути».
Когда меня спрашивают: «Что побудило Вас выдвинуть доктрину «Дипломатии Шелкового Пути?», я с полной уверенностью отвечаю: «Осознание необходимости совместного поиска решений глобальных проблем, стоящих перед человечеством».
В канун 21 века мы становимся свидетелями перемен поистине глобального масштаба. Мир перестал быть двухполюсным, но и не стал одномерным. Снеся политические «стены» и «железные занавесы», мы открыли для себя новый мир, который по своему характеру становится еще более сложным и противоречивым.
На смену межблоковому противостоянию эпохи «холодной войны» пришли такие вызовы как нетерпимость, этнические и конфессиональные конфликты, наркотизм, международный терроризм.
В этих условиях велика потребность в концепциях и подходах, которые могли бы объединить страны и народы вокруг позитивных идей и ценностей, способствующих развитию международного диалога и сотрудничества. Каждая страна, вне зависимости от того большая она или нет, может и должна внести свой посильный вклад в это дело. Наша концепция «Дипломатия Великого Шелкового Пути» и является подобной попыткой.
В противовес «столкновениям цивилизаций» доктрина «Великого Шелкового Пути», по нашему мнению, может стать дипломатом мира в процессе возрождения и развития многоуровневого диалога между различными культурами и цивилизациями, странами и народами.
Великий шелковый путь на протяжении веков соединял три части света - Азию, Европу, Африку. Китайские письменные источники утверждают, что посол Ханьской Империи Чжан Цянь (второй век до нашей эры) первым преодолел горные перевалы самой восточной оконечности Ферганской долины, расположенной на стыке границ современных Кыргызстана, Узбекистана и Таджикистана. Интенсивное движение караванов способствовало оживлению экономической жизни регионов. С тех пор этот путь стал средством общения народов на огромных пространствах восточного полушария от Китая через Центральную Азию, Индию, Афганистан, Иран, Кавказ и Переднюю Азию - до Южной Европы и Северной Африки.
Великий шелковый путь не только сыграл большую роль в развитии экономических и культурных связей народов Центральной Азии, Китая, но и способствовал взаимному развитию и взаимообогащению цивилизаций, сблизив Восток с Западом.
Эпоха великих географических открытий, возникновение и развитие морских коммуникаций естественным образом уменьшили значение Великого шелкового пути как единственной коммуникации, соединяющей Восток и Запад. Однако необходимость и идея такой взаимосвязи остались в общественном сознании народов Евразийского континента.
Каким же должен стать возрожденный Великий шелковый
путь?
Великий шелковый путь сегодняшнего дня - это не только коммуникации, это в первую очередь духовная идея, соединяющая Восток и Запад. Ренессанс Великого шелкового пути в новых исторических условиях опровергает идеи, в которых порой искусственно противопоставлялись мировосприятие и
мироощущение Запада и Востока, как совершенно несопоставимые между собой.
К счастью, сегодня в умах и сердцах людей, населяющих регион Пути, превалируют идеи, имеющие общепланетарную значимость и масштаб. Вряд ли уместны сейчас слова великого английского писателя Редьярда Киплинга: «Запад есть Запад, а Восток есть Восток и они никогда не встретятся». Ведь тот же Киплинг дальше отмечает, что: «Но нет ни Запада, и Востока нет, если два сильных встретятся лицом к лицу на краю земли».
Велико значение возрожденного Великого шелкового пути и в деле установления и поддержания отношений между центрами политической жизни, крупными государствами Европы и Азии. В этой связи, Кыргызская Республика вместе со странами Центральной Азии решает проблемы и создает предпосылки для образования связующего моста дружбы и сотрудничества между всеми странами, которые входят в регион Великого шелкового пути от Португалии до Японии. Здесь Кыргызстан и Центрально-азиатский регион мог бы играть роль геоэкономического посредника между Западом и Востоком. Именно в этом контексте мы подходим к реализации проекта «ТРАСЕКА», предусматривающего создание транспортных коридоров между Центральной Азией и Западной Европой, проектов по прокладке автомобильных, железнодорожных и воздушных коммуникаций через территорию Кыргызстана, которые обеспечили бы более короткий путь из Европы в Азию.
Осуществление «Дипломатии Шелкового Пути» для Кыргызстана, как и для всех стран, которые находятся в регионе Великого шелкового пути, имеет долговременные благоприятные последствия.
Возрождение Великого шелкового пути на современном этапе позволяет создать необходимые условия для превращения региона в зону стабильности, безопасности, дружбы, сотрудничества и равноправного партнерства.
Великий шелковый путь современности создает благоприятные предпосылки для углубления международного сотрудничества в совместном решении глобальных проблем, с которыми столкнулось человечество на пороге третьего тысячелетия.
Расширение географии Великого шелкового пути позволит полнее использовать имеющиеся возможности и богатый потенциал по углублению международных торгово-экономических, культурногуманитарных, научно-технических, познавательно-туристических контактов между всеми странами и народами.
Для Кыргызстана интересы и задачи внешней политики состоят в том, чтобы в максимальной мере обеспечить укрепление международных гарантий независимости, суверенитета, экономической самостоятельности, территориальной целостности страны политико-дипломатическими средствами.
Для достижения поставленных целей и задач Кыргызстан преисполнен решимости и воли всемерно поощрять и развивать дружественные, добрососедские и партнерские отношения со всеми странами региона Великого Шелкового пути, последовательно и конкретно участвовать в процессах интеграции.
Проведение «Дипломатии Шелкового Пути» основано на таких принципах, как равноправное партнерство, дружба и сотрудничество, взаимозависимость и взаимовыгодность, долгосрочная перспектива.
Экономика: Знания - Циклы - Макроэкономика