Экономика предприятия


Складывающаяся в России рыночная система хозяйствования обусловливает необходимость переосмысления форм и методов ведения экономики предприятия. Очевидно, что они должны быть иными, чем ранее: многообразными по форме, быстро адаптирующимися к меняющейся обстановке и предполагающими предпринимательское поведение во взаимодействии одновременно со многими субъектами рыночной экономики. У предприятий постоянно возникают вопросы, требующие решения: как должна работать экономика предприятия; от чего зависит эффективность ее ведения; как работать с поставщиками и потребителями; в каких случаях необходима ориентация на оптовую торговлю и в каких - на розничную; как стимулировать высокопроизводительный труд; какие факторы определяют успех в конкурентной борьбе и т.д.
Поиск ответов на эти вопросы нередко происходит на основе так называемого метода проб и ошибок, что в нынешних условиях дорого обходится не только предприятию, но и обществу в целом. Основной причиной этого является не простое умение, а скорее, незнание руководителями форм и методов работы в условиях рыночной системы хозяйствования.
В то же время нельзя механически переносить на российскую почву опыт работы фирм развитых стран. Необходима его адаптация с учетом традиций и менталитета российских хозяйственников.
Предлагаемое вниманию читателей учебное пособие состоит из четырех разделов. Первый раздел посвящен раскрытию основ функционирования предприятия в современных условиях. Исходным стало рассмотрение содержания основной экономической проблемы.
Дана характеристика организационно-правовых форм предприятий, показано влияние рыночной и централизованно-плановой систем хозяйствования на деятельность предприятия.
Успешное ведение экономики предприятия во многом зависит от форм его ресурсного обеспечения и характера использования основного и оборотного капитала, рабочей силы. Этим вопросам посвящен второй раздел пособия.
Рациональность использования ресурсов сказывается на результатах деятельности предприятия. Поэтому в третьем разделе книги рассматриваются такие экономические категории, как издержки, доход, прибыль, рентабельность, цены, анализируются показатели оценки хозяйственной деятельности предприятия.
Успешное ведение экономики предприятия в условиях рыночных отношений предполагает использование предпринимательских подходов, в основе которых лежит поиск и реализация инноваций, нетривиальных решений поставленных задач. В этой связи в четвертом разделе учебного пособия рассмотрены сущность и виды предпринимательства, инновационная и инвестиционная деятельность предприятия, содержание и порядок составления бизнес-плана, основные аспекты коммерческого расчета, вопросы отношений предприятия и его работников.
При написании работы использованы материалы из книги "Финансы предприятий" под редакцией кандидата экономических наук Е.И. Бородиной (М.: ЮНИТИ, 1995).

Анализа финансовых результатов


К затратам на материальное поощрение относятся единовременные поощрения за выполнение особо важных производственных заданий, выплата премий за создание, освоение и внедрение новой техники, расходы на оказание материальной помощи рабочим и служащим, единовременные пособия ветеранам труда, уходящим на пенсию, надбавки к пенсиям, компенсация работникам удорожания стоимости питания в столовых, буфетах предприятия в связи с повышением цен и др.
Вся прибыль, остающаяся в распоряжении предприятия, подразделяется на две части. Первая увеличивает имущество предприятия и участвует в процессе накопления. Вторая характеризует долю прибыли, используемой на потребление.
При этом необязательно всю прибыль, направляемую на накопление, использовать полностью. Остаток прибыли, не использованной на увеличение имущества, имеет важное резервное значение и может быть в последующие годы направлен для покрытия возможных убытков, финансирования различных затрат.
Нераспределенная прибыль в широком смысле как прибыль, использованная на накопление, и нераспределенная прибыль прошлых лет свидетельствуют о финансовой устойчивости предприятия, о наличии источника для последующего развития.
Распределение и использование прибыли товариществ и акционерных обществ имеют свои особенности, обусловленные организационно-правовой формой этих предприятий.

11.4. Управление формированием прибыли

Достижение высоких результатов работы предприятия предполагает управление процессом формирования, распределения и использования прибыли. Управление включает анализ прибыли, ее планирование и постоянный поиск возможUостей увеличения прибыли.
Экономический анализ - важнейшая стадия работы, предшествующая планированию и прогнозированию финансовых ресурсов предприятия, эффективного их использования. Результаты анализа служат основой для принятия управленческих решений на уровне руководства предприятием и являются исходным материалом для работы финансовых менеджеров.
В задачи анализа финансовых результатов входят:
• оценка динамики показателей балансовой и чистой прибыли;
• изучение составных элементов формирования балансовой прибыли;
• выявление и измерение влияния факторов, воздействующих на прибыль;
• анализ показателей рентабельности;
• выявление и оценка резервов роста прибыли, способов их мобилизации.
Анализ динамики балансовой прибыли, темпов ее прироста в сопоставлении с динамикой величины и прироста чистой прибыли представляет значительный интерес. Результаты анализа могут свидетельствовать о снижении темпов прироста чистой прибыли по сравнению с балансовой и наоборот. Полезную информацию можно почерпнуть из анализа динамики доли чистой прибыли в балансовой.
Если доля чистой прибыли растет, это свидетельствует об оптимальной величине уплачиваемых налогов, заинтересованности предприятия в результатах работы и эффективном хозяйствовании.
Хорошие аналитические возможности заключены в таблице, составленной по данным о величине балансовой прибыли, ее составных частей (прибыль от реализации продукции, работ, услуг; прибыли от прочей реализации; сальдо финансовых результатов от внереализационных операций) за ряд лет.
Прибыль от реализации продукции, работ, услуг занимает наибольший удельный вес в структуре балансовой прибыли предприятия. Ее величина формируется под воздействием трех основных факторов: себестоимости продукции, объема реализации и уровня действующих цен на реализуемую продукцию. Важнейшим из них является себестоимость. Количественно в структуре цены она занимает значительный удельный вес, поэтому снижение себестоимости очень заметно сказывается на росте прибыли при прочих равных условиях.
Динамика показателя себестоимости продукции интересна и с другой точки зрения. Снижение затрат в масштабе народного хозяйства страны свидетельствует об уровне хозяйствования в целом и отражает положительные процессы в экономике.
На многих предприятиях существуют подразделения экономических служб, которые занимаются постатейным анализом себестоимости, изыскивают пути ее снижения. Но в значительной мере эта работа обесценивается инфляцией и ростом цен на исходное сырье и топливно-энергетические ресурсы. В условиях резкого роста цен и недостатка собственных оборотных средств у предприятий возможность прироста прибыли в результате снижения себестоимости исключена.
Увеличение объема реализации продукции в натуральном выражении при прочих равных условиях ведет к росту прибыли. Возрастающие объемы производства продукции, пользующейся спросом, могут достигаться с помощью капитальных вложений, что требует направления прибыли на покупку более производительного оборудования, освоение новых технологий, расширение производства. Этот путь сейчас для многих предприятий затруднен или почти невозможен по причине инфляции, роста цен и недоступности долгосрочного кредита.
Предприятия, располагающие средствами и возможностями для проведения капитальных вложений, реально увеличивают свою прибыль, если обеспечивают рентабельность инвестиций выше темпов инфляции.
Не требует капитальных затрат ускорение оборачиваемости оборотных средств, которое также ведет к росту объемов производства и реализации продукции. Однако инфляция достаточно быстро обесценивает оборотные средства, предприятиями на приобретение сырья и топливно-энергетических ресурсов направляется все большая их часть, неплатежи покупателей и требуемая предоплата отвлекают значительную часть средств из оборота покупателей. Причинами неплатежей являются не только недостаток оборотных средств и неустойчивое финансовое положение предприятий, но и низкая финансово-расчетная дисциплина, недостатки в работе банковской системы, неразвитость вексельного обращения.
В целом для предприятий России характерно снижение объемов производства в течение последних лет.
В этой ситуации, казалось бы, логично предположить резкое падение массы прибыли. Но статистические данные свидетельствуют об обратном. При росте затрат на производство продукции и снижении объемов ее выпуска прибыль растет вследствие постоянно повышающихся цен. Увеличение цены само по себе не является негативным фактором.
Оно вполне обосновано, если связано с повышением спроса на продукцию, улучшением технико-экономических параметров и потребительских свойств выпускаемой продукции.
Поскольку прибыль от реализации продукции занимает наибольший удельный вес в структуре балансовой прибыли, то анализ факторов, ее определяющих, имеет значение для выявления резервов роста всей балансовой прибыли.
При стабильных экономических условиях хозяйствования основной путь увеличения прибыли от реализации продукции состоит в снижении себестоимости в части материальных затрат. Особенно важно это для предприятий обрабатывающих отраслей (машиностроение и металлообработка, металлургическая, нефтехимическая и др.), на которых удельный вес стоимости сырья в себестоимости существенно выше, чем на аналогичных предприятиях развитых стран, значителен вес отходов. В частности, в машиностроении удельный вес металлоотходов в общем потреблении черных металлов на протяжении многих лет стабильно занимает более 20%, а удельный вес стружки в общем образовании металлоотходов - 45%.
Это свидетельствует и о применении морально устаревшего оборудования.
В добывающих отраслях прирост прибыли достаточно сложно обеспечить в результате снижения себестоимости добычи полезных ископаемых из-за естественно-природных причин. В основном это может достигаться вследствие увеличения объемов добычи.
В отраслях, ориентированных на конечного потребителя, решающее значение имеют объемы производства и реализации продукции, определяемые спросом, уровень себестоимости, но без ущерба для качества потребительских товаров.
На величину прибыли от реализации продукции влияют состав и размер нереализованных остатков на начало и конец отчетного периода. Значительная величина остатков приводит к неполному поступлению выручки и недополучению ожидаемой прибыли.
Остатки нереализованной продукции образуются по следующим причинам:
• часть готовой продукции закономерно оседает на складе в связи с необходимостью ее комплектации, упаковки, подготовки к отгрузке, накопления до размеров транспортной партии, выписки расчетных документов. Увеличение остатков готовой продукции на складе сверх нормативной величины должно быть предметом внимания финансовых служб предприятия: возможно, продукция не находит сбыта из-за разрыва хозяйственных связей или не пользуется спросом по другой причине.
Такое влияние на прибыль остатков готовой продукции на складе встречается часто на предприятиях, которые выпускают продукцию, имеющую натурально-вещественную форму. Выполненные работы и оказанные услуги в силу своей специфичной формы как товара не могут принимать вид остатков продукции на складе. То же относится и к продукции некоторых отраслей, например, электроэнергетики, транспорта, связи;
• часто остатки товаров отгруженных, срок оплаты которых не наступил, могут образовываться при применении определенных форм расчета за отгруженную продукцию. Полная предоплата отгружаемой продукции исключает образование таких остатков и практикуется многими предприятиями, но как форма расчетов имеет свои недостатки;



Базисная цена продукции или ресурса


Они определяются по формуле Цt = Цб It (5)
где Цt - прогнозируемая цена на конец t-го года реализация инвестиционного проекта;
Цб - базисная цена продукции или ресурса;
It - прогнозный коэффициент (индекс) изменения цен соответствующей продукции или соответствующих ресурсов на конец t-го года реализации инвестиционного проекта по отношению к моменту принятия базисной цены.
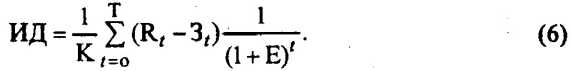
Индекс доходности (ИД) инвестиций представляет собой отношение сумм приведенного эффекта к величине инвестиций К:
Базисная цена продукции или ресурса

Если индекс доходности равен или больше единицы (ИД 1), то инвестиционный проект эффективен, а если меньше - неэффективен.
Внутренняя норма доходности (ВНД) инвестиций представляет собой ту норму дисконта Евн, при которой величина приведенного эффекта равна приведенным инвестиционным вложениям, т.е. Евн (ВНД) определяется из равенства
Базисная цена продукции или ресурса

Рассчитанная по этой формуле величина нормы доходности сравнивается с требуемой инвестором величиной дохода на капитал. Если ВНД равна или больше требуемой нормы доходности, то проект считается эффективным.
Окупаемость. Этот показатель важен с позиции знания времени возврата первоначальных вложений, т.е. окупятся ли инвестиции в течение срока их жизненного цикла? Окупаемость рассчитывается по следующей формуле:
Базисная цена продукции или ресурса
(8)

где Кок, - окупаемость, месяцы (годы);
С - чистые инвестиции, руб.;
Дсг - среднегодовой приток денежных средств от проекта, руб.
Вместе с тем с экономической точки зрения просто возврат вложенных средств неприемлем, поскольку инвестор должен зарабатывать прибыль на инвестированные средства. Из этого следует, что он должен получать прибыль в течение всего жизненного цикла инвестиций (оборудование, освоение нового проекта и т.д.) после наступления срока окупаемости.
Рассмотрим это на примере ввода одного из элементов (оборудование) автоматизированной линии по производству конфет. Стоимость данной установки 100 тыс. долл. Она одновременно является начальной уммой вложения. Жизненный цикл вводимого оборудования - шесть лет, прибыль на инвестиции - 20%. В этом случае возврат инвестиций в размере 100 тыс. долл. при ставке 20% и среднегодовом притоке денежных средств в 25 тыс. долл. выглядит следующим образом (табл.
11).

Таблица 11
Возврат инвестиций в объеме 100 тыс. долл. при ставке 20%

Годы

Инвестиции, начальная сумма

Прибыль 20%

Приток денежных средств от проекта

Конечная сумма

1-й

100000

20000

25000

85000

2-й

85000

17000

25000

68000

3-й

68000

11 600

25000

54600

4-й

54600

10920

25000

40520

5-й

40520

8 104

25000

23624

6-й

23624

4725

25000

3349


Из табл. 11 следует, что срок окупаемости составляет 4 года. Если проект на этом закончится, то вмененные издержки достигнут 40 520 долл.
Вместе с тем показатель окупаемости не является критерием доходности проекта, так как он не отражает жизненный цикл инвестиций. Поэтому на практике инвестиции рассматриваются в терминах доходности к первоначальному вложению и рассчитываются по формуле
Базисная цена продукции или ресурса


где Rи - доход на инвестиции, %;
Мн - прибыль после уплаты налогов, руб.;
К - инвестиции (начальные).
В оценке доходности инвестиций важно обращать внимание на изменение стоимости денег во времени, о чем уже говорилось выше. Для перевода денежных потоков в эквивалентные денежные суммы безотносительно времени их появления используют начисления по ставке сложного процента дисконтирования.
На практике инвестор из двух предложений по инвестированию предпочитает то, которое дает доход раньше, поскольку это позволяет ему снова инвестировать доход и зарабатывать прибыль.
В противном случае (имеется в виду ожидание более позднего срока получения дохода) он несет потери.
То же самое происходит и когда инвестор имеет возможность выбора между немедленным вложением средств или более поздним. По тем же причинам он выберет второй вариант, чтобы получить прибыль в течение времени отсрочки платежа. Из этого следует, что стоимость денег влияет на график их получения или вложения. ПVкажем это на простом примере: чтобы заработать 8%, вычисляем текущую дисконтированную стоимость, составляющую 1000 руб., которые будут получены через год:
Базисная цена продукции или ресурса


где Сд - текущая дисконтированная стоимость, руб.;
r - ставка процента.
Как видим, при доходе 8% получаемые через год 1000 руб. эквиваленты сегодняшним 925,9 руб., т.е. инвестированные сегодня 925,9 руб. через год дадут 1000 руб. Это означает, что инвестору выгодно заплатить сегодня 925,9 руб. за контракт, который принесет ему через год 1000 руб.
Чем длиннее период ожидания, тем меньше текущая дисконтированная стоимость денег, которые будут получены в будущем, потому что каждый дополнительный период ожидания увеличивает возможность заработать прибыль в течение данного срока.
Основная проблема, возникающая в связи с необходимостью осуществления инвестиций, состоит в выборе (при дефиците финансовых ресурсов) тех инвестиций, которые предположительно дадут желаемый уровень доходности при приемлемой степени риска.
Стоимость капитала, как правило, обусловливается его источником (собственный капитал, коммерческий кредит, долгосрочные обязательства), а также их спросом и предложением на рынке. Зная стоимость капитала из различных источников, можно определить средневзвешенную стоимость капитала предприятия (weiqhted cost of capital) и решить, как его использовать, путем сравнения стоимости капитала предприятия с различными ставками доходности.
Минимальная ставка доходности - это уровень, достаточный для компенсации риска от внедрения проекта и влияния издержек из-за упущенных возможностей.
Рассмотренные выше показатели, судя по практическому опыту, не могут стать единственной основой для принятия решения об инвестировании. Здесь важно учитывать и другие факторы, которые не всегда поддаются количественной оценке, а требуют содержательного анализа: общей складывающейся экономической конъюнктуры, конкурентной среды, способности менеджеров осуществлять инвестиции, организационных моментов и др. При осуществлении капитальных вложений прежде всего необходимо уяснить, что дает предприятию их реализация, а также определить возможные альтернативы данных вложений.
Американский ученый Э. Хелферт в работе "Техника финансового анализа" указывает: "Никакие существенные инвестиции не должны предприниматься до тех пор, пока анализ не даст ответ на первые два вопроса, представленные на дереве решений" (рис. 23).
Базисная цена продукции или ресурса

При определении эффективности инвестиционного проекта необходимо учитывать риски, связанные с его осуществлением.
В условиях рыночных отношений направление инвестиций в создание новых и модернизацию основных фондов связано с риском их осуществления. Возникновение рисков обу ловливается рядом обстоятельств:
• нестабильностью экономического законодательства и текущей экономической ситуации, нестабильностью условий инвестирования и использования прибыли;
• неопределенностью политической ситуации, риском, связанным с неблагоприятными социально-экономическими изменениями в стране, регионе;
• неполнотой или неточностью информации о динамике технико-экономических показателей, параметрах новой техники и технологии;
• колебаниями рыночной конъюнктуры, цен, валютных курсов и т.п.;
• неопределенностью природно-климатических условий, возможностью стихийных бедствий;
• неполнотой или неточностью информации о финансовом положении и деловой репутации предприятий-участников (возможность неплатежей, банкротств, срывов договорных обязательств).
Поэтому, осуществляя инвестиции, предприятия должны разработать организационно-экономический механизм реализации проекта, позволяющий снизить риск или уменьшить связанные с ним неблагоприятные последствия. Для этого необходимо:
• разработать сценарии, предусматривающие соответствующие действия участников при тех или иных изменениях в реализации проекта;
• предусмотреть механизмы стабилизации, обеспечивающие защиту интересов участников при неблагоприятном изменении условий реализации проекта, в том числе когда цели проекта будут достигнуты не полностью. В этих случаях нужно рассчитать варианты возможных действий участников и способы противодействия им. Это может быть, например, снижение риска за счет дополнительных затрат на создание резервов и запасов, совершенствование технологий, использование различных форм страхования, залог имущества. Создание такого механизма требует дополнительных затрат, которые следует учитывать при определении экономической эффективности проекта. В странах с рыночной экономикой для учета факторов риска используется так называемый метод устойчивости, состоящий из ряда сценариев наиболее вероятных вариантов реализации проекта или наиболее "опасных" ситуаций.
По каждому сценарию устанавливаются вероятностные доходы, потери и показатели эффективности.
Проект считается устойчивым и эффективным, если во всех установленных ситуациях интересы участников соблюдаются, а возможные неблагоприятные последствия устраняются за счет созданных запасов или возмещаются страховыми выплатами.
Степень устойчивости проекта по отношению к возможным изменениям условий реализации может быть охарактеризована показателями предельного уровня объемов производства, цен производимой продукции и т.д. Предельное значение параметров проекта для некоторого t-го года его реализации определяется как такое же значение данного параметра в t-м году, при котором чистая прибыль участника в этом году становится нулевой.
Одним из важных показателей этого типа является точка безубыточности, характеризующая объем продаж, при котором выручка от реализации продукции совпадает с издержками производства (см. тему 10). Точка безубыточности определяется по формуле
Базисная цена продукции или ресурса



где Ц - цена единицы продукции;
Иуп - условно-постоянные издержки;
Иупер - условно-переменные издержки.
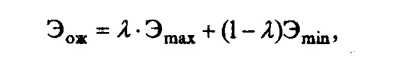
В общем случае расчет интегрального эффекта рекомендуется производить по следующей формуле*:
Базисная цена продукции или ресурса

где Эож - ожидаемый интегральный эффект проекта;
Эmax , Эmin - наибольшее и наименьшее из математических ожиданий интегрального эффекта по допустимым вероятным распределениям;
- специальный норматив для учета неопределенного эффекта (рекомендуется принимать на уровне 0,3).

* См.: Методические рекомендации по оценке эффективности инвестиционных проектов и их отбору для финансирования. - М., 1994. - С. 23-26.









Факторинг особенно выгоден для предприятий малого и среднего бизнеса


По истечении срока действия контракта арендатор может: • вернуть объект лизинга арендодателю;
• заключить новый контракт на аренду;
• выкупить объект лизинга по остаточной стоимости.
Операционный лизинг заключается на срок, меньший амортизационного периода имущества. После окончания контракта объект лизинга возвращается владельцу или вновь сдается в аренду.
Применение лизинга связано с отделением владения имущества от его использования.
Преимущества лизинга заключаются в том, что лизинг позволяет хозяйствующему субъекту получить основные фонды и начать их эксплуатацию, не отвлекая деньги из оборота. Как видим, лизинг -это эффективный способ финансирования для предприятий, не располагающих необходимыми средствами для капиталовложений в оснащение производства. Эта ситуация особенно характерна для малого бизнеса, как правило, имеющего ограниченные средства.
Важно и то, что основные фонды в течение всей сделки находятся на балансе лизинговой фирмы, а платежи ей относятся к текущим расходам хозяйствующего субъекта, т.е. включаются в себестоимость производимой продукции и соответственно уменьшают сумму прибыли, облагаемой налогом.
Факторинг можно определить как деятельность специализированного учреждения (факторинговой фирмы или факторингового отделения банка) по взысканию денежных средств с должников своего клиента (промышленной или торговой фирмы) и управлению его долговыми требованиями.
Факторинг особенно выгоден для предприятий малого и среднего бизнеса как форма финансирования, позволяющая руководству и сотрудникам сконцентрироваться на производственных проблемах и максимизации прибыли, ускоряющая получение большей части платежей, гарантирующая полное погашение задолженности и снижающая расходы по ведению счетов. Факторинг дает гарантию платежа и избавляет поставщиков от необходимости брать дополнительные и весьма дорогостоящие кредиты в банке. Все это благоприятно сказывается на финансовом положении предприятия.
Франчайзинг - это система продажи лицензий (франшиз) на технологию и товарный знак. Система франчайзинга позволяет широко использовать ресурсы крупных предприятий для финансирования малого бизнеса.
Покупка франшизы выгодна, поскольку риск сравнительно мал. Вкладывая деньги во франшизу, вы приобретаете жизнеспособное предприятие, которое уже долгое время работало успешно. Лицензиар (фирма, предоставляющая франшизу) может сдать в аренду основные фонды, предложить финансирование. Помимо предоставления финансовой и консультативной помощи лицензиар, как правило, обучает нового предпринимателя методам управления фирмой.
Многие лицензиары предлагают консультации по вопросам рекламы, налогов и другим проблемам бизнеса, а также по руководству повседневной деятельностью предприятия, работающего на основе франшизы.
Для финансирования крупными фирмами малых фирм-новаторов, занимающихся прежде всего вопросами нововведений, обычно используется венчурный (рисковый) капитал. Дело в том, что крупная фирма обычно неохотно идет первой на производство принципиально новой продукции. Последствия возможной неудачи для нее намного тяжелее, чем для небольшой фирмы.
Поэтому главным направлением участия крупной фирмы в исследованиях вероятного характера, связанных с разработкой и освоением принципиально новых товаров, становится осуществление так называемого рискового финансирования небольших фирм, специализирующихся на подобных разработках.
Как уже отмечалось ранее, для малых фирм характерны простота управления, широкий простор личной инициативы, возможность проведения гибкой научно-технической политики, активное привлечение к своей деятельности изобретателей. Многие из таких фирм вносят существенный вклад в инновационный процесс, разработку новой продукции, прогрессивных технологий.
Участие крупных фирм в рисковом финансировании обусловлено не только повышенной по сравнению с традиционными формами ведения НИОКР отдачей, но и их прямой экономической заинтересованностью. Дело в том, что независимые малые фирмы пользуются налоговыми и другими льготами, получают прямую финансовую поддержку в рамках правительственных программ стимулирования научно-технического прогресса. В результате всего этого рисковое финансирование в настоящее время во многих странах активно развивается.
Подобное сотрудничество крупных и малых фирм является взаимовыгодным, так как рисковое финансирование позволяет фирме-заемщику освоить новые рынки гораздо быстрее и с меньшими затратами, чем если бы она это осуществляла за счет собственных ресурсов предприятия.






Госрегулирование инвестиционной деятельностьи


Нововведение начинается с малого, но результаты его должны быть масштабными. Предприятием следует управлять таким образом, чтобы в нем создавалась атмосфера восприятия нового не как угрозы, а как благоприятной возможности. Сопротивления изменениям коренятся в страхе перед неизвестным. Каждый работник должен осознать, что нововведения - это лучшее средство сохранить и укрепить свое предприятие.
Более того, необходимо понять, что нововведения -это гарантия занятости и благополучия каждого работника. Организация инновационной деятельности на основе указанных принципов позволит предприятию продвинуться вперед и добиться успеха.

15.3. Инвестиционная деятельность предприятия

Прежде чем перейти к рассмотрению данного вопроса, необходимо подчеркнуть, что с переходом к рынку существенно расширилось понимание таких категорий, как "инвестиция" и "объекты инвестиционной деятельности". В соответствии с Законом "Об инвестиционной деятельности в РСФСР" от 26.06.91 г. в редакции Федерального закона от 19.06.95 г. № 89-ФЗ инвестициями являются денежные средства, целевые банковские вклады, паи, акции и другие ценные бумаги, технологии, машины, оборудование, лицензии, в том числе и на товарные знаки, кредиты либо другое имущество или имущественные права, интеллектуальные ценности, вкладываемые в объекты предпринимательской и других видов деятельности в целях получения прибыли (дохода) и достижения положительного социального эффекта.
Объектами инвестиционной деятельности являются вновь созданные и модернизируемые основные фонды и оборотные средства, ценные бумаги, целевые денежные вклады, научно-техническая продукция, другие объекты собственности, а также имущественные права и права на интеллектуальную собстJенность.
Из определений следует, что одни инвестиции направлены на увеличение собственного капитала (покупка акций и вложение пая с целью получения дивидендов, вклады на счета банков и покупка акций для получения по ним процентов), а другие - на расширение производственной базы путем покупки оборудования и земли, а также на капитальное строительство.
В данной теме мы рассматриваем пути решения проблем, связанных с инвестированием в создание и модернизацию основных фондов. Эта область наиболее сложна с позиции как обоснования необходимости осуществления капиталовложений, так и оценки их эффективности и привлечения необходимых финансовых ресурсов.
Создание и воспроизводство основных фондов может финансироваться за счет:
• собственных финансовых ресурсов и внутрихозяйственных резервов инвестора (прибыль, амортизационные отчисления, денежные накопления и сбережения граждан и юридических лиц, средства, выплачиваемые органами страхования в виде возмещения потерь от аварий, стихийных бедствий и др.);
• заемных финансовых средств инвесторов (банковские и бюджетные кредиты, облигационные займы и т.д.);
• привлеченных финансовых средств инвестора (средства, получаемые от продажи акций, паевые и иные взносы членов трудовых коллективов, граждан, юридических лиц);
• денежных средств, централизуемых объединениями (союзами) предприятий в установленном порядке;
• инвестиционных ассигнований из государственных бюджетов и внебюджетных фондов;
• иностранных инвестиций.
Инвестирование в создание и воспроизводство основных фондов осуществляются в форме капиталовложений путем строительства новых, расширения, реконструкции и технического перевооружения действующих промышленных предприятий и субъектов.
К новому строительству относится строительство предприятий, зданий, сооружений, осуществляемое на новых площадках и по специально разработанному проекту.
Расширение действующего предприятия представляет собой либо строительство последующих очередей дополнительных производственных комплексов и производств по новым проектам, либо строительство или расширение существующих цехов основного, вспомогательного и обслуживающего производств. Оно ведется, как правило, на территории действующего предприятия или на примыкающих площадях.
Реконструкция - это полное или частичное переоборудование или переустройство действующего предприятия с заменой морально устаревшего и физически изношенного оборудования путем механизации и автоматизации производства, устранения диспропорций в технологических звеньях и вспомогательных службах. При реконструкции допускается строительство новых цехов взамен старых.
Техническое перевооружение - комплекс мероприятий по повышению технического уровня отдельных производств в соответствии с современными требованиями путем внедрения новой техники и технологии, механизации и автоматизации производственных процессов, модернизации и замены устаревшего оборудования, улучшения организации и структуры производства. Оно направлено на повышение интенсификации производства, увеличение производственных мощностей, улучшение качества выпускаемой продукции.
Государственное регулирование инвестиционной деятельностью, т.е. инвестиционная политика, осуществляется в соответствии с государственными инвестиционными программами следующими путями:
• прямое управление государственными инвестициями;
• введение системы налогов с дифференцированными налоговыми ставками и льготами;
• предоставление финансовой помощи в виде дотаций, субсидий, бюджетных ссуд на развитие отдельных территорий, отраслей и производств;
• проведение соответствующей финансовой и кредитной политики, ценообразования (в том числе выпуск в обращение ценных бумаг), амортизационной политики;
• контроль за применением норм и стандартов, а также за соблюдением правил обязательной сертификации и т.д.
Государство в соответствии с законодательством, действующим на территории Российской Федерации, гарантирует защиту инвестиций, в том числе и иностранных, независимо от форм собственности. Инвестиции не могут быть безвозмездно национализированы или реквизированы.
Предприятие самостоятельно определяет объемы, направления, размеры и эффективность инвестиций. По своему усмотрению оно привлекает на договорной основе, преимущественно конкурентной (в том числе через торги подряда), физических и юридических лиц, необходимых ему для реализации инвестиций. В соответствии с Законом "Об инвестиционной деятельности в РСФСР" от 26.06.91 г. в редакции Федерального закона от 19.06.95 г. № 89-ФЗ правовым документом, регулирующим производственно-хозяйственные и другие взаимоотношения субъектов данной деятельности, является договор (контракт) между ними.
Выбор того или иного направления вложений определяется многими обстоятельствами. Важнейшими среди них являются следующие: инвестиционный климат в стране, состояние производственно-технической базы промышленных предприятий, кредитная политика, уровень развития воспроизводственной рыночной инфраструктуры и системы привлечения и освоения капиталовложений, система налогообложения, уровень развития законодательной базы в сфере инвестиционной деятельности.
Поскольку предприятия, как правило, не располагают достаточными финансовыми ресурсами для поддержания производства на уровне требований динамично развивающегося рынка, перед ними всегда возникает двуединая задача: с одной стороны, обосновать перед будущими инвесторами привлекательность и необходимость модернизации или ввода новых основных фондов, а с другой - доказать привлекательность осуществления инвестиционного проекта на основе оценки его эффективности. Решение этой задачи предполагает использование системы показателей, отражающих соотношение затрат и результатов применительно к интересам участников инвестиционного проекта:
• показатели предполагаемой доходности от вложения средств в проект, а также показатели коммерческой (финансовой) эффективности, учитывающие финансовые последствия от реализации проекта для его непосредственных участников;
• показатели экономической эффективности, учитывающие затраты и результаты, связанные с реализацией проекта;
• показатели социальных и экологических последствий, а также затрат, связанных с социальными мероприятиями и охраной окружающей среды.
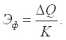
В условиях рыночных отношений важнейшим фактором экономического роста предприятия является увеличение объема производства на каждую затрачиваемую единицу материальных и финансовых ресурсов, т.е. повышение результативности работы предприятия. А достигается это за счет лучшего использования ресурсов предприятия (см. темы 6-9) и расширения его производственных возможностей на основе радикальных изменений в производственной базе (внедрение новой техники, техническое перевооружение и новое строительство). Последнее связано с капиталовложениями.
Непосредственным результатом капиталовложений в экономическом значении является ввод или модернизация (реконструкция) основных фондов, а конечным - прирост объемов производства. Поэтому экономическую эффективность сделанных капиталовложений Эф следует рассматривать как отношение прироста объемов производства ( Q) к объему капитальных вложений (К), вызвавших данный прирост:
Госрегулирование инвестиционной деятельностьи
(1)
Однако следует заметить, что между вложениями и получением эффекта от них лежит определенный промежуток времени. В теории его принято называть лагом запаздывания отдачи по отношению к капитальным вложениям.



Информация о кредитах и банковских операциях


К такой информации относятся сведения о новейших научно-технических разработках и изобретениях (ноу-хау), о финансовых операциях и платежеспособности предприятия, о структуре и персонале фирмы и т.д. Примерный перечень информации, которая нуждается в защите, приведен в табл. 12. Основанием для зачисления тех или иных сведений в разряд коммерческой тайны может служить анализ информации, на основе которого делаются выводы, что разглашение тех или иных сведений может нанести ущерб предприятию. После определения сведений, относящихся к коммерческой тайне, проводится комплекс мероприятий по ее защите.
Таблица 12
Информация, которая нуждается к защите


Промышленная информация

Коммерческая информация

Информация о научных изобретениях, патентах на стадии их разработки и оформления

Информация о кредитах и банковских операциях

Конструкторская документация (описания, схемы, чертежи проводимых НИОКР)

Сведения о контрактах (договорах, сделках)

Электронная система какого-либо устройства

Планы сбыта продукции

Программное обеспечение ЭВМ

Список клиентов

Рецепты изготовления блюд

Анализ конкурентоспособности

Процесс производства и др.

Система мероприятий по маркетингу
Деловая переписка
Зарплата сотрудников

При разработке мер защиты информации важно установить:
• какая информация нуждается в защите;
• кого она может интересовать;
• какие элементы информации наиболее ценные;
• каков "срок жизни" этих секретов;
• во что обойдется их защита.
Для организации надежной системы защиты информации необходимо иметь четкое представление о каналах ее утечки. Наиболее вероятные каналы утечки информации:
• персонал, имеющий доступ к информации;
• документы, содержащие эту информацию (все типы носителей информации);
• технические средства и системы обработки информации, в том числе линии связи, по которым она передается.







Исполнительные органы


Общество с ограниченной ответственностью представляет собой юридическое лицо, действует в соответствии с принятыми его участниками уставом и учредительным договором, имеет собственное наименование с обязательным указанием в нем организационно-правовой формы. Если в составе учредителей-участников товарищества есть юридические лица, они сохраняют свою самостоятельность и права юридических лиц.
Одним из преимуществ обществ с ограниченной ответственностью является относительно невысокий минимально допустимый размер уставного капитала. Это дает возможность начать собственное дело даже при малом стартовом капитале. Однако с точки зрения защиты интересов кредиторов, учитывая высокий уровень цен на товарно-материальные ценности, подобное преимущество способно обернуться недостатком.
В таких условиях при маленьком уставном капитале долги общества придется компенсировать исходя из наличного капитала фирмы путем пропорционального уменьшения выплат кредиторам.
Общества с ограниченной ответственностью создаются как объединения партнеров по делу, лиц и организаций, между которыми существует постоянный деловой контакт и имеет место взаимная заинтересованность в общем успехе. В этой связи общества с ограниченной ответственностью весьма подходят для организации семейных предприятий, фирм, объединяющих постоянно сотрудничающих предпринимателей.
Акционерные общества
Акционерным называется хозяйственное общество, уставный капитал которого делится на определенное число акций.
Участники открытого акционерного общества могут продавать или передавать свои акции без согласия других акционеров этого общества. В закрытом акционерном обществе акции распределяются только среди учредителей или иного заранее определенного круга лиц.
Главная особенность открытого акционерного общества состоит в том, что его имущественный и денежный капитал формируется путем открытой, свободной продажи своих акций. Однако при учреждении АО все его акции должны быть распределены среди учредителей.
Акции продаются либо на первичном рынке по нарицательной стоимости после их выпуска, либо на вторичном рынке посредством перепродажи по рыночным ценам. Акционерные общества открытого типа представляют одну из наиболее распространенных и цивилизованных современных форм организации коллективного бизнеса. Эта форма дает реальную возможность приобщиться к собственности предприятий миллионам рядовых граждан.
Акция удостоверяет тот факт, что ее владелец, акционер, внес определенный вклад в капитал акционерной компании. Она может быть предметом купли-продажи, дарения, залога. Кроме того, акция может приносить доход в виде доли прибыли, получаемой акционерным обществом, и дает право на участие в управлении.
В форме акционерных обществ могут существовать и крупные, и средние, и малые предприятия. Создание акционерных обществ обычно предполагает привлечение значительного числа участников. Открытое акционерное общество можно создать посредством преобразования общества с ограниченной ответственностью.
Как закрытые акционерные общества, так и акционерные общества открытого типа отвечают по его обязательствам, несут возможные убытки, рискуют в ограниченных пределах, не превышающих стоимости принадлежащего им пакета акций. В то же время само общество не отвечает по имущественным обязательствам отдельных акционеров, принятых ими частным образом.
Именно акционерное общество является единственным полновластным собственником принадлежащего ему имущественного комплекса, т.е. материально-вещественных, информационных и интеллектуальных ценностей. Акционеры являются собственниками только ценных бумаг, которые дают им право получения определенной доли дохода общества в виде процентов, именуемых дивидендами. В случае прекращения деятельности общества они вправе рассчитывать также на ликвидационную квоту - часть стоимости продаваемого имущества.
Прямого вещного права на собственную часть имущества акционерного предприятия акционер не имеет.
Таким образом, объекты права собственности акционеров и акционерного общества не совпадают. Для акционеров в качестве таких объектов выступает стоимость капитала акционерного общества в виде денежной стоимости своей доли, тогда как все общество обладает правом собственности на физическую, вещную сущность всех ценностей, принадлежащих ему. Акционер вправе распоряжаться сам своей акцией как ценной бумагой.
Имуществом же распоряжается только общество в лице его представительских органов управления.
Конечно, акционер способен влиять на использование имущественного комплекса и его деятельности в целом, участвуя в управлении. Такое право реализуется прежде всего благодаря тому, что обыкновенная акция (в отличие от привилегированной, дающей право на твердый процент дивидендов) предоставляет возможность голосовать на собраниях акционеров, избирать правление. При этом реализуется принцип "одна акция - один голос".
Оказать существенное влияние на ход событий возможно, только имея солидный пакет акций, лучше всего - контрольный.
Кооперативы и малые предприятия
Существующие в нашей стране производственные кооперативы по своей сущности и организационно-правовой основе фактически близки к обществам с ограниченной ответственностью. Действительно, имущество кооперативов формируется на долевой основе за счет взносов его членов, производимых в денежной и материальной формах. Источниками образования имущества служат также продукция кооператива и доходы, получаемые от ее реализации и иных видов деятельности. Высшим органом управления кооператива является общее собрание. Исполнительные органы представлены правлением, возглавляемым председателем.
Управленческие функции общего собрания и правления в кооперативах и обществах весьма сходны, близки также механизм создания и регистрации кооперативов и обществ, содержание уставов, регламентирующих их деятельность.
Наиболее значимые различия между кооперативами и обществами состоят в следующем:
• при управлении кооперативом, в ходе работы его высшего органа управления (общего собрания) каждый член кооператива имеет один голос независимо от размера его имущественного взноса. Решающие голоса в обществе с ограниченной ответственностью распределяются между его членами пропорционально внесенным паям;
• для кооперативов не устанавливается зависимость дохода его членов от величины паевых взносов. Индивидуальные заработки членов кооператива определяются их трудовым вкладом и размером той части валового дохода, которая направляется на оплату труда. В то же время доход членов общества с ограниченной ответственностью напрямую связан с их паевыми взносами;
• состав учредительных документов для кооператива и общества различен.
С начала проведения экономической реформы значительное распространение получил такой тип хозяйственных структур, как малое предприятие. Малые предприятия способны к высокому динамизму развития, самостоятельны в выборе стратегии развития и ее реализации, имеют упрощенную организационную структуру, обслуживаются относительно небольшим числом работников. В нашей стране они должны сыграть существенную роль в решении таких проблем, как демонополизация производства, развитие конкуренции, создание новых рабочих мест и обеспечение эффективной занятости населения, рациональное использование научно-технического потенциала,
создание конкурентоспособной продукции, ликвидация диспропорции на потребительском рынке.
Термин "малое" не характеризует правовую форму предприятия. Такой правовой формы, как "малое предприятие", просто не существует. "Малое" свидетельствует лишь о небольших размерах предприятия по численности работников, объему хозяйственного оборота или другим параметрам деятельности, устанавливаемым в законодательных актах и постановлениях правительства.
Малые предприятия могут создаваться в различных организационно-правовых формах: товариществ, обществ с ограниченной ответственностью, акционерных обществ, а также на основе любых форм собственности, включая смешанные. Выбор наиболее приемлемой организационно-правовой формы малого предприятия обычно осуществляется его учредителями - физическими и юридическими лицами.

4.2. Объединения предпринимателей

Крупномасштабному бизнесу свойственны формы организации, в основе которых лежит объединение предприятий, фирм в совокупные структуры. Это собирательные ассоциативные формы.
Рассмотрим отдельные типы ассоциативных организационных структур, наиболее распространенных в экономике развитых стран и пустивших корни в зарождающейся российской рыночной экономике.
Корпорация - это акционерное общество, объединяющее деятельность нескольких фирм для достижения их общих целей или защиты привилегий. Как юридическое лицо, корпорация несет ответственность по долгам и налогам за все входящие в нее предприятия и выступает в качестве самостоятельного субъекта предпринимательской деятельности. В США создаются специальные корпорации для небольшого бизнеса, именуемые S-корпорациями. Это относительно маломасштабные корпорации, пользующиеся такими же налоговыми льготами, как малые предприятия.
Существуют и крупномасштабные государственные корпорации.
Хозяйственные ассоциации - договорные объединения предприятий и организаций, создаваемые для совместного выполнения однородных функций и координации общей деятельности. Ассоциации относятся к одной из самых мягких форм объединений, минимально ограничивающих действия входящих в них членов ассоциации. Участники ассоциации обладают правом входить в любые другие ассоциации.
Концерны - форма договорных крупных объединений обычно монопольного типа, позволяющая использовать возможности крупномасштабного производства, комбинирования, кооперирования, благодаря наличию производственно-технологических связей. В России концерны создаются на базе крупных государственных предприятий и объединений. В них нашли частичное воплощение ликвидированные министерства производственной сферы.
Эти организационно-хозяйственные структуры благодаря масштабам концентрации капитала, производственным мощностям, широким возможностям диверсификации производства обладают определенной устойчивостью к колебаниям рыночной конъюнктуры, способны выгодно перераспределять инвестиционные ресурсы, концентрировать их на наиболее рентабельных, окупаемых направлениях. Возникновение концернов в странах с развитой рыночной экономикой исторически было обусловлено прежде всего концентрацией капитала, его перенакоплением у отдельных товаропроизводителей. Важнейшим признаком концернов стало единство собственности входящих в них фирм, предприятий, банков.
Таким образом, участники концернов взаимозависимы не по договору, а по существу экономических отношений.
Холдинговые компании (холдинг-компании) характеризуются тем, что они обладают контролем над другими компаниями либо за счет владения их акциями и денежным капиталом, либо в связи с правом назначать директоров подконтрольных компаний.
Механизм принятия решений в акционерных обществах позволяет холдингу влиять на хозяйственные, коммерческие решения предприятий, входящих в холдинговое объединение. Хотя эти предприятия остаются в правовом отношении самостоятельными, холдинг способен направлять их в русло интересов большой компании как большой целостной структуры. Помимо этого холдинг может осуществлять ряд функций, связанных с общей предпринимательской деятельностью.
В том случае, когда это обусловлено необходимостью и общей пользой, холдинг способен централизовать и перераспределять финансовые средства своих участников.
Консорциум - временное добровольное объединение предприятий, организаций, образуемое для решения конкретных задач и проблем, осуществления крупных инвестиционных, научно-технических, социальных, экологических проектов. В консорциум могут входить и крупные, и мелкие предприятия, желающие принять участие в осуществлении проектного или иного предпринимательского замысла, но не обладающие самостоятельными возможностями его осуществления. Консорциум представляет потенциально эффективный организационно-структурный способ временной интеграции кадров, мощностей, материальных и финансовых ресурсов.
Предприятия могут объединяться в консорциум во имя осуществления заманчивого, сулящего высокую прибыль проекта, но требующего для своей реализации крупных капиталовложений, отвлекаемых на длительный срок при высокой степени риска.






Эффективность использования предметов труда


В рассмотренном выше примере имеем: Д = 360 : 5 = 72 дням (иначе 360 • 40 : 200 = 72). Из приведенной формулы вытекает, что в нее включен еще один показатель, характеризующий скорость оборота оборотного капитала, - среднесуточный оборот капитала.
Эффективность использования предметов труда

Это позволяет определить продолжительность оборота в днях:
Эффективность использования предметов труда

а также определить величину коэффициента закрепления оборотных средств.
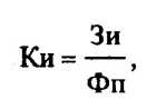
Этот коэффициент - величина, обратная коэффициенту оборачиваемости

Эффективность использования предметов труда


а его экономический смысл в том, что он характеризует сумму среднего остатка оборотных средств, приходящегося на 1 руб. выручки от реализации.
В рассмотренном примере Кз = 40 /200= 0,20. Эту величину можно интерпретировать следующим образом: на 1 руб. выручки от реализации продукции в среднем за рассматриваемый период приходилось 20 коп. стоимости запасов оборотных средств.
Эффект ускорения оборачиваемости оборотных средств выражается в высвобождении, уменьшении потребности в связи с улучшением их использования.
Эффективность использования предметов труда можно оценить показателем материалоемкости (ME) продукции, который определяется как отношение
Эффективность использования предметов труда

где М - затраты сырья, топлива, материалов, энергии и др.;
П - объем производства.
Обратный показатель называется материалоотдачей (МО) и рассчитывается по формуле
Эффективность использования предметов труда


Чем лучше используются сырье, материалы и другие материальные ресурсы, тем ниже материалоемкость и выше материалоотдача. Для снижения материалоемкости продукции необходимо улучшать использование предметов труда, сокращать отходы, не выпускать бракованных и низкокачественных изделий, не допускать потерь материальных ресурсов, использовать более дешевые заменители ресурсов, не снижающие качества продукции.
Оборотные средства после основных фондов занимают по своей величине второе место в общем объеме ресурсов, определяющих экономику предприятия. С позиции требований эффективного ведения экономики предприятия объем оборотных средств должен быть достаточным для производства продукции в ассортименте и количестве, запрашиваемом рынком, и в то же время минимальным, не ведущим к увеличению издержек производства за счет образования сверхнормативных запасов.
Достаточность оборотных средств устанавливается на основе нормирования расхода оборотных средств по каждому виду продукции, а также определения оптимального объема текущего складского и гарантийного (страхового) запаса, необходимого для обеспечения непрерывности производства.
На основе определения как общего количества товарно-материальных ценностей, так и каждого вида продукции рассчитывается необходимый объем оборотных средств. Особенность их определения состоит в том, что их величина зависит не только от объема оборотных фондов, но и от времени отвлечения денежных средств, необходимых для обеспечения непрерывности производства. Это достигается путем их нормирования.

8.3. Определение потребности в оборотных средствах

Эффективное использование оборотных средств во многом зависит от правильного определения потребности в оборотных средствах. До получения выручки от реализации продукции оборотные средства являются источником финансирования текущих производственных затрат предприятия. Период времени от момента потребления производственных запасов, их превращения в готовую продукцию до ее реализации может быть достаточно длительным. Поступление выручки от реализации продукции часто не совпадает со временем потребления материальных ресурсов.
Это предопределяет необходимость формирования оборотных средств в установленном размере*.

*См.: Финансы предприятий. -С. 99-105.

Для предприятия важно правильно определить оптимальную потребность в оборотных средствах, что позволит с минимальными издержками получать прибыль, запланированную при данном объеме производства. Занижение величины оборотных средств влечет за собой неустойчивое финансовое состояние, перебои в производственном процессе и, как следствие, снижение объема производства и прибыли. В свою очередь, завышение размера оборотных средств снижает возможности предприятия производить капитальные затраты по расширению производства.
Замораживание средств (собственных и заемных) в любом виде, будь то складские запасы готовой продукции или приостановленное производство, излишние сырье и материалы, обходится предприятию очень дорого, так как свободные денежные средства можно использовать более рационально для получения дополнительного дохода.
На предприятии определение потребности в оборотных средствах должно быть увязано со сметой затрат на производство и производственным планом предприятия. В нем следует обосновать выпуск конкретных видов продукции в нужном количестве и в определенные сроки.
Несмотря на нестабильность хозяйственных связей, ненадежность поставщиков, трудности приобретения качественного сырья и комплектующих изделий, в производственном плане должны быть отработаны вопросы, от которых зависят обеспечение производства и потребность в оборотных средствах. Задача значительно упрощается, если своевременно заключены хозяйственные договоры и определены все условия поставок (цены на товарно-материальные ценности, размеры поставляемых партий, условия и формы расчетов и др.). Если с поставщиками уже сложились хозяйственные связи, то условия и периодичность поставок товарно-материальных ценностей, их оплаты несложно учесть при расчете потребности в оборотных средствах.
Одновременно с определением круга поставщиков составляется полный перечень видов сырья, основных и вспомогательных материалов, топлива, малоценных и быстроизнашивающихся предметов, запасных частей, при необходимости предусматривается использование тары - покупной или собственного производства, разовой или оборотной (возвратной). В отдельной проработке нуждаются вопросы упаковки определенных видов продукции, так как она улучшает товарный вид продукции и требует дополнительных затрат.
В завершающей части производственного плана отражаются возможные производственные затраты по выпуску продукции, определяющие в сумме производственную себестоимость продукции. Именно величина производственных затрат лежит в основе определения потребности в оборотных средствах.
Рассмотренные позиции производственного плана необходимо прорабатывать не только на предстоящий период, но и на перспективу на два-три года с тем, чтобы оценить возможную динамику затрат на производство и изменение величины оборотных средств для образования производственных запасов и заделов незавершенного производства. Производственные запасы должны быть минимальными применительно к конкретным условиям снабжения и достаточными, чтобы обеспечить бесперебойную работу предприятия, т.е. оптимальными. Однако в перспективных расчетах, кроме этого, учитывается фактор роста цен.
Размер денежных средств, вложенных в незавершенное производство, во многом зависит от длительности производственного цикла, что определяется технологией производства продукции, ее технико-экономическими характеристиками и потребительными свойствами.
Определение величины оборотных средств, необходимых для образования запасов готовой продукции на складе, тесно связано с прогнозированием объемов реализации выпускаемой продукции. При достаточно глубокой проработке вопросов сбыта товаров накопление готовой продукции на складе может быть минимальным. Однако в любом случае необходимы прогнозы о предполагаемых продажах на ближайшие годы.
В противном случае выпущенная продукция осядет на складе и значительная часть денежных средств будет отвлечена из оборота, что может повлиять на устойчивость финансового состояния предприятия и привести к банкротству.
Организованная система сбыта продукции при условии ее качества, выпуск товаров по заказам потребителей, заранее определенный порядок отгрузки позволяют не накапливать готовую продукцию и размер оборотных средств по этой статье рассчитывать исходя из конкретной ситуации, учитывая характер отгрузки, необходимость комплектации и др.
На нормально работающем предприятии наибольший удельный вес занимают оборотные средства, обслуживающие процесс производства и начало реализации. Поэтому при планировании внимание уделяется в основном производственным запасам; незавершенному производству и готовой продукции на складе. Эта часть материальных оборотных средств должна быть объектом постоянного контроля со стороны финансовых служб предприятия.
Остальная часть оборотных средств имеет довольно разнородный характер и нуждается в неоднозначном подходе.
Нецелесообразно ограничивать или минимизировать размер товаров отгруженных, так как они являются результатом производственно-хозяйственной деятельности предприятия. Чем больше отгруженной продукции при условии ее своевременной оплаты, тем больше выручки поступит на расчетный счет. Однако на определенное время денежные средства выпадают из производственного процесса.
В таком случае их следует пополнять кредитом в размере производственной себестоимости товаров отгруженных, срок оплаты которых не наступил.
Отвлечение оборотных средств в товары отгруженные и сданные работы, не оплаченные заказчиками, товары на ответственном хранении у покупателей крайне нежелательно, но на практике имеет место.



Эксплуатация объекта и мониторинга экономических показателей


Для предприятия, функционирующего в условиях жесткой конкуренции, далеко не безразлична продолжительность такого запаздывания, и оно заинтересовано в его сокращении, причем это должно решаться еще на стадии обоснования выбора инвестиционного проекта. И в теории, и на практике существует определенная методика разработки инвестиционного проекта и его реализации по следующим этапам: формирование инвестиционного замысла (идеи); исследование условий реализации инвестиционного проекта; технико-экономическое обоснование (ТЭО) проекта; приобретение, аренда или отвод земельного участка; подготовка контрактной документации; осуществление строительно-монтажных работ, включая пуско-наладочные; эксплуатация объекта, мониторинг экономических показателей. Формирование инвестиционного замысла (идеи):
• рождение и предварительное обоснование замысла;
• инновационный, патентный и экологический анализ технического решения (объекта техники, ресурса, услуги);
• проверка необходимости выполнения сертификационных требований;
• предварительное согласование при необходимости с муниципальными и отраслевыми органами управления;
• подготовка информационного обеспечения.
Исследование условий реализации инвестиционного проекта:
• установление величины спроса на продукцию, намеченную к выпуску;
• оценка уровня базисных, текущих и прогнозных цен на продукцию (услуги);
• подготовка предложений по организационно-правовой форме реализации проекта и составу участников;
• оценка предполагаемого объема инвестиций;
• подготовка предварительных оценок по разделам ТЭО проекта, в частности оценка его эффективности;
• подготовка контрактной документации на выполнение проекта;
• подготовка инвестиционного предложения для потенциального инвестора.
Технико-экономическое обоснование проекта:
• проведение маркетингового исследования (спроса и предложения, сегментации рынка, цены), выработка маркетинговой стратегии и т.д.;
• подготовка программы выпуска продукции;
• разработка исходно-разрешительной документации;
• разработка технических решений (в том числе генерального плана, состава оборудования и технологических решений на основе анализа существующей и предлагаемой технологии состава оборудования, загрузки действующих производственных мощностей и площадей, предложений по закупке зарубежных технологий и оборудования, использования сырья и материалов, комплектующих изделий и энергоресурсов);
• инженерное обеспечение;
• составление плана мероприятий по охране окружающей среды и соблюдению безопасности;
• описание системы управления предприятием;
• описание организации строительства;
• сметно-финансовая документация (в том числе оценка издержек производства, расчет капитальных затрат, годовых поступлений от деятельности предприятия, потребности в оборотных средствах, оценка проектируемых и рекомендуемых источников финансирования проекта, расчет предполагаемых потребностей в иностранной валюте, выбор кредитов, оформление соглашений);
• оценка рисков, связанных с осуществлением проекта;
• установление сроков осуществления проектов;
• анализ бюджетной эффективности в случае использования бюджетных инвестиций;
• формулирование условий прекращения реализации проекта.
Желательно, чтобы ТЭО прошло вневедомственную экологическую и другие виды экспертиз.
Формирование контрактной документации - подготовка переговоров Y потенциальными инвесторами и тендерных торгов по реализации проекта.
Составление рабочей документации - подготовка проектно-сметной документации на стадии рабочих чертежей, определение изготовителей и поставщиков нестандартного технологического оборудования.
Осуществление строительных и монтажных работ - наладка оборудования, обучение персонала, выпуск пробной партии продукции.
Эксплуатация объекта и мониторинга экономических показателей:
• сертификация продукции;
• создание сбытовой сети (посредники, дилеры и т.д.);
• создание центров сервисного обслуживания;
• система текущего мониторинга экономических показателей (объем продаж и производства, издержки производства и реализации, качество продукции, доходность авансированного капитала, прибыль и т.д.).

15.4. Оценка эффективности инвестиционных проектов

Методология и методы оценки эффективности инвестированных проектов в Российской Федерации независимо от форм собственности определены в Методических рекомендациях по оценке эффективности инвестиционных проектов и их отбору для финансирования, утвержденных Госстроем России, Министерством экономики РФ, Министерством финансов РФ, Госкомпромом России 31 марта 1994 г. №7-12/47.
Согласно Методическим рекомендациям при оценке эффективности инвестиционных проектов определяются коммерческая (финансовая) эффективность, т.е. финансовые последствия от реализации проекта для его непосредственных участников, бюджетная эффективность - финансовые последствия от осуществления проекта для федерального, регионального и местного бюджетов и экономическая эффективность - затраты и результаты, связанные с реализацией проекта, выходящие за пределы прямых финансовых интересов участников инвестиционного проекта и допускающие стоимостное измерение. Основу оценки эффективности инвестиционных проектов составляют определение и соотнесение затрат и результатов их осуществления.
Все вышеназванные оценки рекомендуется производить с использованием следующих показателей: чистого дохода (интегрального эффекта); индекса доходности; внутренней нормы доходности; срока окупаемости инвестиций и других, отражающих интересы участников или специфику проекта.
Оценку эффективности инвестиционных проектов следует производить с учетом дисконтирования указанных показателей, т.е. путем приведения их к стоимости на момент сравнения. Это обусловливается тем, что денежные поступления и затраты осуществляются в различные временные периоды и, следовательно, имеют разное значение. Доход, полученный в более ранний период, имеет большую стоимость, чем полученный в более поздний период.
То же касается и затрат: произведенные в более ранний период, они имеют большую стоимость, чем произведенные позже.
Расчетные цены определяются путем умножения базисной цены на дефлятор, соответствующий индексу общей инфляции, т.е. индексу повышения среднего уровня цен в экономике, или на данный вид ресурса, продукции, услуг.
Прогнозные и расчетные цены используются на стадии ТЭО инвестиционных проектов. Одновременно в ТЭО расчеты осуществляются и в базисных отечественных, а при необходимости и в мировых ценах.
Расчетные цены используются для определения интегральных показателей эффективности в случаях, когда текущие значения затрат и результатов принимаются в прогнозных ценах. Это необходимо для обеспечения сравнимости результатов, получаемых при различных уровнях инфляции.
Базисные, прогнозные и расчетные цены могут выражаться в рублях или устойчивой иностранной валюте (доллары США, германские марки и др.).
В расчетах по оценке эффективности инвестиционных проектов целесообразно учитывать влияние изменения цен на продукцию и потребляемые ресурсы под воздействием изменения объема продаж (влияние удовлетворения спроса и предложения на рынке товаров и услуг).
Оценка эффективности инвестиционных проектов производится путем расчета ряда показателей:
Чистый дисконтированный доход (ЧДД), т.е. Эинт определяется как сумма текущих эффектов за весь расчетный период, приведенная к начальному шагу, или как превышение интегральных результатов над интегральными затратами и рассчитывается по формуле
Эксплуатация объекта и мониторинга экономических показателей

где rt - результаты, достигаемые на t-м шаге расчета;
Зt - затраты, осуществляемые на t-м шаге;
Т - временной период расчета;
Е - норма дисконта.
Временной период расчета принимается исходя из сроков реализации проекта, включая время создания предприятия (производства), его эксплуатации и ликвидации.
Если величина ЧДД инвестиционного проекта положительна, то он признается эффективным, т.е. обеспечивающим уровень инвестиционных вложений не меньший, чем принятая норма дисконта.
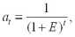
Приведение величин затрат и их результатов осуществляется путем умножения их на коэффициент дисконтирования (аt), определяемый для постоянной нормы дисконта Е по формуле
Эксплуатация объекта и мониторинга экономических показателей
(3)

где t – время от момента получения результата (произведения затрат) до момента сравнения, измеряемое в годах.
Норма дисконта Е - коэффициент доходности капитала (отношение величины дохода к капитальным вложениям), при которой другие инвесторы согласны вложить свои средства в создание проектов аналогичного профиля.
Если норма дисконта меняется во времени, то формула (3) выглядит следующим образом:
Эксплуатация объекта и мониторинга экономических показателей

где Еk - норма дисконта в k-м году;
t- учитываемый временной период, год.
При определении показателей экономической эффективности инвестиционных проектов могут использоваться базисные, мировые, прогнозные расчетные цены на продукцию и потребляемые ресурсы.
Базисные цены - это цены, сложившиеся на определенный момент времени. Они используются, как правило, на стадии технико-экономических исследований инвестиционных возможностей.
Прогнозные цены - цены на конец t-го года реализации инвестиционного проекта в соответствии с прогнозируемым индексом изменения цен на продукцию, ресурсы, услуги.



Коэффициенты долгосрочной платежеспособности


С этой целью используются разнообразные коэффициенты. 1. Коэффициенты текущей платежеспособности:
а) коэффициент покрытия = (ликвидные активы : краткосрочные обязательства). Используется для определения способности предприятия оплачивать текущую задолженность;
б) коэффициент ликвидности = (денежная наличность + ценные бумаги + счета к получению) : краткосрочные обязательства. Характеризует способность расплачиваться по счетам в кратчайший срок;
в) коэффициент среднего срока складирования = (число дней в году средний уровень запасов) : себестоимость реализованной продукции. Отражает средние сроки складирования материально-производственных запасов.
2. Коэффициенты рентабельности:
а) коэффициент чистой прибыли на 1 руб. реализации = чистая прибыль: общий объем продаж. Характеризует величину прибыли, приносимую каждым рублем, полученным от продажи продукции;
б) коэффициент оборачиваемости активов = общий объем продаж : средняя величина актива. Показывает, насколько эффективно используются активы для получения каждого рубля реализации;
в) коэффициент отдачи на вложенный капитал = чистая прибыль : средняя величина актива. Определяет рентабельность;
г) коэффициент отдачи собственного капитала = чистая прибыль : средняя величина акционерного капитала. Характеризует выгодность инвестиций;
д) коэффициент прибыли в расчете на одну акцию = чистая прибыль : число акций. Исчисляет доход, приносимый одной акцией.
3. Коэффициенты долгосрочной платежеспособности:
а) коэффициент отношения заемного капитала к собственному = заемный капитал : собственный капитал. Показывает степень финансовой самостоятельности;
б) коэффициент обеспеченности процентов по кредитам = (чистая прибыль до выплаты налогов + проценты по кредиту): проценты по кредиту. Характеризует степень защищенности кредиторов от недобросовестных плательщиков.
4. Коэффициенты, характеризующие положение на рынке:
а) коэффициент рыночной цены акции к доходам на одну акцию = рыночная цена одной акции : доход на одну акцию. Показывает, сколько вкладчик может заплатить за каждый рубль дохода;
б) коэффициент полученных дивидендов на одну акцию по рыночной цене = дивиденд на одну акцию : рыночная цена одной акции. Отражает отдачу на вложенный акционером капитал;
в) коэффициент рыночного капитала = изменение рыночной цены акции конкретной компании : среднее изменение цен всех котирующихся на рынке акций, %. Характеризует степень изменения конкретных цен в сравнении с ценами акций других предприятий.
Для установления путей повышения результативности работы предприятия используется система технико-экономических показателей, которые характеризуют технико-экономическое и организационное состояние производства на определенный момент времени. Они отражают уровень использования оборудования, степень механизации и автоматизации, прогрессивность технологических процессов, качество выпускаемой продукции, эффективность производства, квалификацию кадров, организацию производства и труда, производительность труда и др. Сложность использования вышеназванных показателей состоит в определении степени влияния каждого из них и всех вместе на уровень экономического состояния предприятия в целом.
В условиях рынка важное значение имеют показатели качества продукции или оказываемых услуг, так как качество продукции сильно влияет как на повышение конкурентоспособности товаров, так и на повышение продажной цены. Последнее увеличивает объем продаж, а следовательно, и рост прибыли.
Показатели качества различны для видов продукции разного потребительского назначения. Например, для продуктов питания главным показателем является содержание полезных веществ (белков, жиров, углеводов, витаминов и т.п.); для тканей, трикотажа и нетканых материалов - прочность окраски, степень усадки, прочность на разрыв; для швейных и трикотажных изделий - соответствие моде. Для оценки товаров длительного пользования применяются показатели экономичности, надежности, долговечности, степени учета требований технической эстетики.
В данном случае под экономичностью понимаются такие свойства продукции, которые дают экономию средств как в производстве изделия, так и в процессе его эксплуатации. Так, последнее поколение телевизоров отличается меньшими габаритами, весом, меньшим потреблением электроэнергии и т.д.
Вопросы для повторения
1. Какие издержки относятся к постоянным и переменным?
2. В чем состоит сущность предельных издержек производства?
3. Назовите основные направления снижения издержек производства.
4. Каким образом определяется прибыль от реализации продукции?
5. Назовите состав балансовой и чистой прибыли.
6. Какова цель управления формированием прибыли?
7. Что такое рентабельность?
8. Назовите источники финансовых ресурсов предприятия.
9. Что включает политика ценообразования?
10. Какими показателями оценивается деятельность предприятия?
11. С какой целью осуществляется анализ работы предприятия?
12. По каким показателям анализируется финансовое положение предприятия?



РАЗДЕЛ ЧЕТВЕРТЫЙ
УПРАВЛЕНИЕ ПРЕДПРИНИМАТЕЛЬСКОЙ ДЕЯТЕЛЬНОСТЬЮ ПРЕДПРИЯТИЯ






Норма оборотных средств по каждому виду материалов


Наличие таких статей, так же как и основная часть дебиторской задолженности, связано с нарушением взаимных обязательств предприятий, а для предприятия-поставщика означает сокращение выручки от реализации продукции. Предусмотреть заранее точный размер этой части оборотных средств достаточно сложно, но его можно сократить, если предприятия, реализующие продукцию, соблюдают договорные условия в полном объеме. Таким образом, при планировании оптимальной потребности в оборотных средствах во внимание принимаются денежные средства, которые авансируются для создания производственных запасов, заделов незавершенного производства и накопления готовой продукции на складе. Дня этого можно использовать три метода: аналитический, коэффициентный и метод прямого счета. Предприятие может применить любой из них, ориентируясь на свой опыт работы и Wринимая во внимание размеры предприятия, объем производственной программы, характер хозяйственных связей, постановку учета и квалификацию экономистов.
Аналитический и коэффициентный методы применимы на тех предприятиях, которые функционируют более года, в основном сформировали производственную программу и организовали производственный процесс, имеют статистические данные за прошлые периоды об изменении величины планируемой части оборотных средств и не располагают достаточным количеством квалифицированных экономистов для более детальной работы в области планирования оборотных средств.
Аналитический метод предполагает определение потребности в оборотных средствах в размере их среднефактических остатков с учетом роста объема производства. Чтобы не фиксировать недостатки прошлых периодов в организации оборотных средств, следует проанализировать фактические остатки производственных запасов в целях выявления ненужных, излишних, неликвидных, а также все стадии незавершенного производства для выявления резервов сокращения длительности производственного цикла, изучить причины накопления готовой продукции на складе и определить действительную потребность в оборотных средствах. При этом необходимо учесть конкретные условия работы предприятия в предстоящем году (например, изменение цен).
Данный метод применяется на тех предприятиях, где средства, вложенные в материальные ценности и затраты, занимают большой удельный вес в общей сумме оборотных средств.
При коэффициентном методе запасы и затраты подразделяются на зависящие непосредственно от изменения объемов производства (сырье, материалы, затраты на незавершенное производство, готовая продукция на складе) и не зависящие от него (запчасти, малоценные и быстроизнашивающиеся предметы, расходы будущих периодов). По первой группе потребность в оборотных средствах определяется исходя из их размера в базисном году и темпов роста производства продукции в предстоящем году. Если на предприятии анализируется оборачиваемость оборотных средств и изыскиваются возможности ее ускорения, то реальное ускорение оборачиваемости в планируемом году необходимо учесть при определении потребности в оборотных средствах.
По второй группе оборотных средств, не имеющей пропорциональной зависимости от роста объема производства, потребность планируется на уровне их среднефактических остатков за ряд лет.
При необходимости можно использовать аналитический и коэффициентный методы в сочетании. Сначала аналитическим методом определить потребность в оборотных средствах, зависящих от объема производства, а затем с помощью коэффициентного метода учесть изменение объема производства.
Метод прямого счета предусматривает обоснованный расчет запасов по каждому элементу оборотных средств с учетом всех изменений в уровне организационно-технического развития предприятия, транспортировке товарно-материальных ценностей, практике расчетов между предприятиями. Этот метод, будучи очень трудоемким, требует высокой квалификации экономистов, привлечения к нормированию работников многих служб предприятия (снабжения, юридической, сбыта продукции, производственного отдела, бухгалтерии и др.). Но это позволяет наиболее точно рассчитать потребность предприятия в оборотных средствах.
Метод прямого счета используется при организации нового предприятия и периодическом уточнении потребности в оборотных средствах действующих предприятий. Главным условием его использования является тщательная проработка вопросов снабжения и производственного плана предприятия. Важное значение имеет стабильность хозяйственных связей, так как периодичность и гарантированность снабжения лежат в основе расчета норм запаса.
Метод прямого счета предполагает нормирование оборотных средств, вложенных в запасы и затраты, готовую продукцию на складе. В общем виде его содержание можно представить следующим образом:
разработка норм запаса по отдельным важнейшим видам товарно-материальных ценностей всех элементов нормируемых оборотных средств;
определение нормативов в денежном выражении для каждого элемента оборотных средств и совокупной потребности предприятия в оборотных средствах.
Конкретные условия работы каждого предприятия существенно влияют на размер норм оборотных средств. К таким условиям можно отнести:
длительность производственного цикла;
периодичность запуска материалов в производство;
время подготовки материалов для производственного потребления;
отдаленность поставщиков от потребителей.
Норма оборотных средств есть не что иное, как количество дней, в течение которых оборотные средства отвлечены в материальные запасы, начиная с оплаты счета за материалы и кончая моментом их передачи в производство. Она включает в себя:
• транспортный запас, который определяется как разность между временем грузооборота и временем документооборота. (Документооборот - время на высылку расчетных документов и сдачу их в банк, время на обработку документов в банке, время почтового пробега документов.) На практике его величина определяется на основе фактических данных за предшествующий год;
• время на разгрузку, приемку и складскую обработку поступивших материалов определяется по факту;
• время на лабораторный анализ материалов берется на основе хронометража;
• время на подготовку материалов к производству. Это относится к тем материалам, которые не могут сразу идти в производство (древесина - сушка, зерно - обработка и т.п.);
• текущий складской запас. Он нужен для обеспечения непрерывности производственного процесса между двумя смежными поставками материалов;
• гарантированный (страховой) запас, необходимый на случай непредвиденных обстоятельств. Он устанавливается, как правило, в размере 50% текущего складского запаса.
Норма оборотных средств по каждому виду материалов получается сложением рассчитанных выше дней запаса. Но мы имеем только количество дней, на которое отвлекаются денежные средства. Поэтому чтобы получить норматив оборотных средств в деньгах, необходимо умножить полученную норму на среднесуточный расход данного вида материалов в рублях. Затем эти частные нормативы складываются.
Полученный общий норматив делится на суммарный среднесуточный расход. В результате этого действия определяется средняя норма оборотных средств по материалам. Аналогично нормируются оборотные средства, вложенные во вспомогательные материалы и топливо.
Норма оборотных средств по таре определяется раздельно по таре разовой и оборотной, покупной и собственного производства. Средняя норма устанавливается в рублях на 1000 руб. товарной продукции в оптовых ценах предприятия.
Далее рассчитываются нормы оборотных средств, вложенных в запасные части для ремонта, в малоценные и быстроизнашивающиеся предметы, нормативы по незавершенному производству и по расходам будущих периодов (освоение новой техники, продукции).
При определении нормы оборотных средств на готовую продукцию на складе учитывается время на подборку и подсортировку изделий по заказам, упаковку и маркировку продукции, накопление продукции до размера партии отгрузки, доставку на станцию.
Норматив оборотных средств исчисляется как произведение нормы оборотных средств в днях на среднесуточный выпуск товарной продукции по производственной себестоимости. Определяются также норма и норматив оборотных средств по товарам, уже отгруженным, но документы по которым еще не сданы в банк.
После всех произведенных выше расчетов исчисляется общий норматив оборотных средств по предприятию, представляющий собой сумму нормативов по отдельным (частным) элементам оборотных средств. По большинству элементов оборотных средств частный норматив определяется:
Н = Р Д,
где Н - норматив оборотных средств по конкретному элементу;
Р - однодневный расход. Он равен частному от деления соответствующих квартальных затрат на производство на 90 дней;
Д - норма запаса в днях для данного элемента оборотных средств.
Средняя норма оборотных средств по предприятию определяется делением общего норматива на однодневный выпуск товарной продукции по производственной себестоимости.
Различия в длительности производства продукции и обеспечении соответствующими материалами, задержки в оплате при ее продаже определяют неравномерность в использовании оборотных средств предприятия в части их величины.



Объектом распределения является балансовая прибыль предприятия.


По средствам, предоставляемым взаймы, предприятие получает доходы по условиям договора между кредитором и ссудозаемщиком. Доходы от сдачи имущества в аренду формируются из получаемой арендной платы, которую арендатор платит арендодателю.
В состав внереализационных прибылей (убытков) также входит сальдо полученных и уплаченных штрафов, пени, неустоек и других видов санкций (кроме санкций, уплачиваемых в бюджет и ряд внебюджетных фондов в соответствии с законодательством); другие доходы и расходы (убытки, потери).
К таким доходам относятся:
прибыль прошлых лет, выявленная в отчетном году (например, суммы, поступившие от поставщиков по перерасчетам за услуги и материальные ценности, полученные и израсходованные в прошлом году; суммы, полученные от покупателей, заказчиков по перерасчетам за реализованную в прошлом году продукцию и др.);
доходы от дооценки товаров;
поступление сумм в счет погашения дебиторской задолженности, списанной в прошлые годы в убыток;
положительные курсовые разницы по валютным счетам и операциям в иностранной валюте;
проценты, полученные по денежным средствам, числящимся на счетах предприятия.

К расходам и потерям относятся:
убытки по операциям прошлых лет, выявленные в отчетном году, от уценки товаров, списания безнадежной дебиторской задолженности;
недостачи материальных ценностей, выявленные при инвентаризации;
затраты по аннулированным производственным заказам и на производство, не давшее продукции, исключая потери, возмещаемые заказчиками (при этом вычитается стоимость используемых материальных ценностей);
отрицательные курсовые разницы по валютным счетам и операциям в иностранной валюте;
некомпенсируемые потери от стихийных бедствий с учетом затрат по предотвращению или ликвидации последствий стихийных бедствий (при этом исключается стоимость полученного металлолома, топлива, других материалов);
некомпенсируемые убытки в результате пожаров, аварий, других чрезвычайных событий, вызванных экстремальными ситуациями;
затраты на содержание законсервированных производственных мощностей и объектов, за исключением затрат, возмещаемых из других источников;
судебные издержки и арбитражные сборы и др. Схема формирования и распределения прибыли показана на рис. 16.
Объектом распределения является балансовая прибыль предприятия.

При рассмотрении прибыли как конечного финансового результата хозяйственной деятельности следует иметь в виду, что не вся получаемая прибыль остается предприятию, так как подвергается обложению налогом.
Облагаемая прибыль уменьшается на сумму прибыли от реализации произведенной сельскохозяйственной и охотохозяйственной продукции, а также от реализации произведенной и переработанной на данном предприятии сельскохозяйственной продукции собственного производства.
Облагаемая прибыль при фактически произведенных затратах и расходах за счет прибыли, остающейся в распоряжении предприятия, уменьшается также на суммы, направленные:
а) предприятиями отраслей сферы материального производства на финансирование капитальных вложений производственного назначения (в том числе в порядке долевого участия), а также на погашение кредитов банков, полученных и использованных на эти цели, включая проценты по кредитам;
б) предприятиями всех отраслей народного хозяйства на финансирование жилищного строительства (в том числе в порядке долевого участия), а также на погашение кредитов банков, полученных и использованных на эти цели, включая проценты по кредитам. Эта льгота предоставляется указанным предприятиям, осуществляющим развитие собственной производственной базы и жилищное строительство;
в) затраты предприятий на содержание находящихся у них на балансе объектов и учреждений здравоохранения, народного образования, культуры и спорта, детских дошкольных учреждений, детских лагерей отдыха, жилищного фонда.
С целью стимулирования НТП облагаемая прибыль уменьшается на суммы, направленные:
• научными организациями, прошедшими государственную аккредитацию, непосредственно на проведение и развитие научно-исследовательских и опытно-конструкторских работ в порядке и по перечню, которые устанавливаются Правительством РФ;
• предприятиями на проведение НИОКР, а также в Российский фонд технологического развития, но не более 10% суммы налогооблагаемой прибыли.
Оставшаяся после уплаты налогов часть представляет собой остаточную прибыль (или чистую прибыль), которая полностью поступает в распоряжение предприятия. Она направляется на оплату труда и материальное поощрение, на прирост оборотных средств, капитальных вложений, социальное развитие путем образования соответствующих фондов: развития науки и техники, социального развития, материального поощрения.
Таким образом, в условиях перехода к рынку и в его дальнейшем становлении прибыль является основным побудительным мотивом организации производственной и хозяйственно-коммерческой деятельности предприятия.

11.3. Распределение и использование прибыли предприятия

Объектом распределения является балансовая прибыль предприятия. Под ее распределением понимается направление прибыли в бюджет и по статьям использования на предприятии. Законодательно распределение прибыли регулируется в той ее части, которая поступает в бюджеты разных уровней в виде налогов и других обязательных платежей.
Определение направлений расходования прибыли, остающейся в распоряжении предприятия, структуры статей ее использования находится в компетенции предприятия.
Принципы распределения прибыли можно сформулировать следующим образом:
прибыль, получаемая предприятием в результате производственно-хозяйственной и финансовой деятельности, распределяется между государ твом и предприятием как хозяйствующим субъектом;
прибыль для государства поступает в соответствующие бюджеты в виде налогов и сборов, ставки которых не могут быть произвольно изменены. Состав и ставки налогов, порядок их исчисления и взносов в бюджет устанавливаются законодательно;
величина прибыли предприятия, оставшейся в его распоряжении после уплаты налогов, не должна снижать его заинтересованности в росте объема производства и улучшении результатов производственно-хозяйственной и финансовой деятельности;
прибыль, остающаяся в распоряжении предприятия, в первую очередь направляется на накопление, обеспечивающее его дальнейшее развитие, и только в остальной части - на потребление.
На предприятии распределению подлежит чистая прибыль, т.е. прибыль, оставшаяся в распоряжении предприятия после уплаты налогов и других обязательных платежей. Из нее взыскиваются санкции, уплачиваемые в бюджет и некоторые внебюджетные фонды.
Распределение чистой прибыли отражает процесс формирования фондов и резервов предприятия для финансирования потребностей производства и развития социальной сферы.
В современных условиях хозяйствования государство не устанавливает каких-либо нормативов распределения прибыли, но через порядок предоставления налоговых льгот стимулирует направление прибыли на капитальные вложения производственного и непроизводственного характера, на благотворительные цели, финансирование природоохранных мероприятий, расходов по содержанию объектов и учреждений социальной сферы и др. Законодательно ограничивается размер резервного фонда предприятий, регулируется порядок формирования резерва по сомнительным долгам.
Распределение чистой прибыли - одно из направлений внутрифирменного планирования, значение которого в условиях рыночной экономики возрастает. Порядок распределения и использования прибыли на предприятии фиксируется в уставе предприятия и определяется положением, которое разрабатывается соответствующими подразделениями экономических служб и утверждается руководящим органом предприятия. В соответствии с уставом предприятия могут составлять сметы расходов, финансируемых из прибыли, либо образовывать фонды специального назначения: фонды накопления (фонд развития производства или фонд производственного и научно-технического развития, фонд социального развития) и фонды потребления (фонд материального поощрения).
Смета расходов, финансируемых из прибыли, включает расходы на развитие производства, социальные нужды трудового коллектива, на материальное поощрение работников и благотворительные цели.
К расходам, связанным с развитием производства, относятся расходы на научно-исследовательские, проектные, конструкторские и технологические работы, финансирование разработки и освоения новых видов продукции и технологических процессов, затраты по совершенствованию технологии и организации производства, модернизации оборудования, затраты, связанные с техническим перевооружением и реконструкцией действующего производства, расширением предприятий. В эту же группу расходов включаются расходы по погашению долгосрочных ссуд банков и процентов по ним. Здесь же планируются затраты на проведение природоохранных мероприятий и др.
Взносы предприятий из прибыли в качестве вкладов учредителей в создание уставного капитала других предприятий, средства, перечисляемые союзам, ассоциациям, концернам, в состав которых входит предприятие, также считаются использованием прибыли на развитие.
Распределение прибыли на социальные нужды включает расходы по эксплуатации социально-бытовых объектов, находящихся на балансе предприятия, финансирование строительства объектов непроизводственного назначения, организации и развития подсобного сельского хозяйства, проведения оздоровительных, культурно-массовых мероприятий и т.п.



Оценка активов по текущей стоимости


Наиболее сложным по измерению оказывается показатель издержки производства, что связано прежде всего с его комплексным характером. В область его измерения входят расходы на сырье и материалы, топливо, рабочую силу, амортизацию и многое другое. Большие трудности при определении издержек производства вызывает подсчет амортизационных отчислений, сумма которых в среднем составляет от 1/3 до 1/2 величины условно-чистой продукции. Дело в том, что первоначальная стоимость зданий, сооружений и оборудования за продолжительный срок службы сильно меняется, и не только в сторону уменьшения. Так, например, стоимость сооружений может со временем даже возрасти против первоначального уровня.
Причиной изменения стоимости основных производственных фондов является, как известно, физическое и моральное старение. Последнее объясняется НТП и инфляцией, причем НТП вызывает как собственно моральное старение машин (появление более совершенного оборудования), так и потерю рынка сбыта, на который это оборудование первоначально должно было работать. Для того чтобы результаты этого отрицательно не сказались на финансовом положении предприятия, требуется увеличение размеров амортизационных отчислений.
Инфляция в отличие от НТП оказывает противоречивое воздействие на процесс начисления амортизационных сумм. С одной стороны, она увеличивает фактическую стоимость пассивных элементов основного капитала (зданий и сооружений), а следовательно, и их рыночную стоимость после их полного списания. Это позволяет руководству предприятия даже после их списания производить амортизационные отчисления. С другой стороны, при моральном старении активной части производственных фондов инфляция вызывает рост затрат на их замещение новыми.
Это уже требует увеличения амортизационных отчислений для ускоренного восстановления списанных элементов активной части основного капитала. В условиях рынка учет вышеназванных обстоятельств очень важен, так как игнорирование их может повлиять негативно на конкурентоспособность предприятия. На практике применяются два метода начисления амортизации.
Первый - на основе определения экономически обоснованного срока службы производственного оборудования (в пределах 10-12 лет) и ежегодного списания фиксированной суммы с первоначальной и остаточной стоимости фондов.
Второй - балансовый метод, основанный на ежегодном списании определенного процента от балансовой стоимости (т.е. от стоимости активов за вычетом суммы амортизации за прошедшие годы). Рост накладных расходов, связанных с необходимостью повышения конкурентоспособности, требует тщательной оценки всех активов предприятия. Стоимость активов определяется с учетом рыночной цены тех элементов капитала, которыми можно заменить выбывающие. Данный метод оценки не вызывает трудностей при определении текущей стоимости зданий и сооружений.
При определении текущей стоимости замещения активной части основного капитала (станки, оборудование и т.д.) получается наоборот. Они обусловлены разнообразием оборудования, как установленного, так и предлагаемого на рынке (иногда на рынке уже нет подобного оборудования, которое нужно заменить), а отсюда и вытекает трудность установления его текущей стоимости. Решение этого вопроса основывается на нахождении аналога оборудованию, подлежащему замене. При этом важно, чтобы аналог имел более высокую производительность, удельную мощность или меньшие эксплуатационные расходы по сравнению с оборудованием, подлежащим замене.
В этом случае следует, что стоимость реальных активов предприятия оценивается в зависимости от технико-экономических характеристик имеющихся на рынке аналогов.
Применение методов оценки активов предприятия по текущей стоимости является предпочтительным в периоды, когда наблюдаются высокие темпы инфляции, в капиталоемких отраслях промышленности и в других сферах экономики с высокой фондовооруженностью труда, где доля активов в себестоимости продукции относительно велика, и там, где старые фонды составляют значительную часть активов предприятия.
Оценка активов по текущей стоимости позволяет более точно учесть при подсчете величины прибыли расходы по содержанию и замене устаревшего оборудования. Этот метод оценки также позволяет более точно учесть структуру активов в разных сферах бизнеса, их отраслевую специфику, возможность определить размер дивидендов по акциям предприятия и, что важно, без ущерба для нужд перспективного развития производства. Недостатком является субъективизм в определении стоимости замещения активов.
При выборе стратегии инвестиционной политики предприятия, при поиске ответа на вопрос, куда вкладывать капитал, при оценке уровня конкурентоспособности и других необходимо использовать показатели, характеризующие эффективность использования различных производственных ресурсов.
Такими показателями являются объем полученной прибыли на вложенный капитал; доля валовой или условно-чистой прибыли в объеме продаж предприятия; доля условно-чистой продукции в объеме продаж; отношение величины условно-чистой продукции к расходам на заработную плату. При определении показателей объема полученной прибыли на вложенный капитал применяются два основных метода его расчета:
• на базе акционерного капитала;
• на так называемой экономической основе.
При первом вложенный капитал - знаменатель - представляет собой сумму акционерного капитала, финансовые резервы и нераспределенную прибыль предприятия, а величина полученной прибыли до налогообложения - числитель. При втором вложенный капитал включает, помимо акционерного капитала, сумму долгосрочных займов предприятия, нередко сумму краткосрочной задолженности и овердрафт, а прибыль представляет величину условно чистой прибыли.
В обоих случаях знаменатель дроби может быть выражен через сумму активов предприятия. В первом - это будет стоимость основного и оборотного капитала за вычетом всех видов заемных средств, во втором - внPмание сосредоточивается на оценке результатов хозяйственной деятельности предприятия в целом.
Этот показатель можно также использовать для сравнения работы одного предприятия с другим, но здесь следует иметь в виду, что предприятия должны быть с однородной структурой издержек производства и строением капитала. Например, в капиталоемких отраслях промышленности его уровень всегда будет намного ниже, чем в трудоемких.
Среди других показателей, получивших широкое распространение в условиях рынка, следует отметить:
1. Показатели эффективности производства.
2. Показатели структуры издержек производства.
К первой группе относятся такие показатели, как доля валовой или условно-чистой прибыли в объеме продаж предприятия; доля условно-чистой продукции в объеме продаж; отношение величины условно-чистой прибыли к издержкам на заработную плату.
Ко второй группе относятся: доля авансированного капитала и условно-чистой прибыли в объеме продаж предприятия; доля основного капитала в объеме продаж; доля запасов в общей стоимости потребляемых материалов и полуфабрикатов.
В условиях рынка чрезвычайно важно анализировать уровень издержек производства с позиции их уменьшения. Этот анализ производится как в отношении влияния техники и технологии, так и эффективности выбранной структуры их элементов. Сюда можно отнести множество показателей производительности: труда, капитала, энергии и др.; к структурным показателям - долю основного капитала в объеме продаж, долю запасов в общей стоимости потребляемых материалов и полуфабрикатов.
Систематический и всесторонний анализ деятельности предприятия позволит:
• быстро, качественно и профессионально оценивать результативность хозяйственной деятельности как предприятия в целом, так и его структурных подразделений;
• точно и своевременно находить и учитывать факторы, влияющие на получаемую прибыль по конкретным видам производимых товаров и предоставляемых услуг;
• определять затраты на производство (издержки производства) и тенденции их изменения, что необходимо для разработки ценовой политики предприятия;
• находить оптимальные пути решения проблем предприятия и получения прибыли в ближайшей и отдаленной перспективе.
При рассмотрении показателей важно отметить, что рыночные отношения предполагают, что в каждой сфере бизнеса должны быть свои показатели (часто нигде более не применяемые). Так, например, во многих отраслях пищевой промышленности (консервная, сахарная и др.) большое значение в деле снижения издержек производства имеют степень глубины переработки сырья, использование вторичного сырья и пр.
Важно усвоить, что нет и не может быть такого показателя хозяйственной деятельности, который годился бы на все случаи жизни. Для того чтобы развиваться в условиях острой конкуренции, руководитель (предприниматель) должен видеть, чувствовать результаты всех видов деятельности, а это означает, что необходимо формирование системы взаимосвязанных показателей, отражающих степень достижения целей, период и тип организации.

13.3. Анализ финансового положения предприятия

В условиях рынка чрезвычайно большое значение имеет знание финансового положения предприятия в каждый данный момент.



Организация предпринимательского управления


Правда, последнее не всегда означает что-то совершенно новое. Оно, как правило, основывается на уже известной потребительной стоимости (товаре или услуге), но, внедрив новую технологию, повысив отдачу на капиталовложения, предприниматель создает новый рынок и нового потребителя. Примером этого является сеть ресторанов Макдональдс, деятельность которых является чистым предпринимательством.
Мы здесь имеем положение, при котором спрос на эту продукцию вырос до такой степени, что образовалась особая "рыночная ниша". Добиться всего этого предприниматель может с помощью имеющегося "ресурса", в который он должен "вдохнуть" новую жизнь или найти новый ресурс, который поможет создать новые потребительские стоимости, приводящие в конечном итоге к так называемому созидательному разрушению. Дело в том, что любой ресурс становится полезным только тогда, когда человек отыщет его в природе и наделит его экономической ценностью, т.е. может получить из него или создать с его помощью новые товары или услуги.
Отсюда следует, что основным принципом теории динамического неравновесия является инновационность подхода, в результате осуществления которого создается новый ресурс, нарушающий принятый баланс.
Этот инновационный подход следует рассматривать как инновационный процесс, происходящий постоянно и целенаправленно в поиске изменений существующей практики как источника получения социальных и экономических благ.
Вместе с тем эти инновации чрезвычайно разнообразны, и каждая из них имеет свои конкретные причины, побудительные мотивы. Это обстоятельство вызывает необходимость классификации изменений, происходящих по тем или иным причинам.
В этой связи, по нашему мнению, довольно полную из всех имеющихся классификаций изменений предлагает американский ученый-экономист Питер Ф.Друкер. Он предлагает выделить семь источников инновационных изменений*:
• неожиданное событие (для предприятия или отрасли) - успех, неудача, внешнее событие;
• неконгруэнтность - несоответствие между реальностью, какова она есть на самом деле, и нашими представлениями о ней;
• нововведения, основанные на потребности процесса;
• внезапные изменения в структуре отрасли или рынка;
• демографические изменения;
• изменения в восприятиях, настроениях и ценностных установках;
• новые знания (как научные, так и ненаучные).

*См.: Друкер П.Ф. Рынок: как выйти в лидеры: Практика и принципы. - С. 48.

Все вышеназванные типы близки, порой даже трудно их различить. И вместе с тем анализ возникающих ситуаций при рассмотрении того или иного типа изменения позволяет установить характер инновационных решений.
Во всяком случае, всегда можно получить ответы на такие вопросы, как: "Что будет, если мы воспользуемся сложившимся изменением? Куда это может привести предприятие? Что нужно сделать, чтобы изменение превратить в источник развития?"
Вместе с тем из семи типов изменений наиболее важными являются третье и седьмое, так как они носят наиболее радикальный характер.
Изменение, вызываемое жизнью, представляет собой куда более важное значение, нежели два первых. Старая пословица гласит: "Необходимость есть мать изобретения". В данном случае изменение основывается на потребности практики, жизни. (Замена ручного набора в книгопечатании, сохранение свежести продуктов и др.) Вместе с тем реализация этого типа изменений предполагает необходимость понимания, что:
1. Недостаточно прочувствоват потребность, важно ее познать, разобраться в ее сути, иначе невозможно найти ее решение.
2. Не всегда возможно удовлетворить потребность, и в этом случае остается только решение какой-то ее части.
Во всяком случае при решении проблемы этого типа необходимо ответить на такие вопросы, как: "Понимаем ли мы, в чем, в каких изменениях нуждается процесс? Имеются ли в наличии необходимые знания или их нужно еще получить? Соответствуют ли наши решения привычкам, традициям и целевым ориентациям потенциальных потребителей?"
Наиболее существенные изменения, можно сказать радикальные, происходят на основе "новых знаний". Нововведения, основанные на новых знаниях (открытиях), как правило, трудноуправляемы. Это обусловливается рядом обстоятельств.
Прежде всего наблюдается, как правило, большой разрыв между появлением нового знания и его технологическим использованием, во-вторых, проходит много времени до того, как новая технология материализуется в новом продукте, процессе или услуге.
В этой связи нововведения, основанные на новых знаниях, требуют:
1. Тщательного анализа всех необходимых факторов.
2. Ясного понимания преследуемой цели, т.е. необходима четкая стратегическая ориентация.
3. Организации предпринимательского управления, поскольку здесь необходимы финансовая и управленческая гибкость и нацеленность на рынок.
Нововведение, основанное на новых знаниях, должно "созреть" и быть воспринятым обществом. Только в этом случае оно принесет успех.
Но есть нововведения, которые основываются порой не на новых знаниях, а на идеях. Этот вид нововведений в количественном отношении и по своим последствиям перекрывает все остальные виды нововведений. Его можно рассматривать восьмым в дополнение к приведенной классификации. Примером этого является появление застежек типа "молния", шариковых авторучек, баллончиков с аэрозолями, колец-открывалок на банках с пивом или прохладительными напитками и многое другое.
Предприниматели должны быть всегда нацелены на использование остроумных идей.
Но при их использовании наблюдается большая степень риска.
В целом, говоря об изменениях, основанных на новых и блестящих идеях, следует подчеркнуть, что при их реализации необходимо руководствоваться рядом принципов. К ним относятся:
все нововведения должны носить целенаправленный характер;
все они должны начинаться с анализа возможностей, и прежде всего анализируются источники инновационных возможностей;
установление восприимчивости рынком осуществляемых нововведений.
Нововведения должны быть простыми и направленными. Они должны быть направлены н решение только одной задачи. Простота и доступность - залог успеха.
Следуя этим принципам в своей практической деятельности, предприниматель может добиться хороших результатов в работе.
Но в этом случае возникает вопрос: чем же отличаются от предпринимательства по своему содержанию относительно устойчивые формы экономической деятельности (это, как правило, относится к организации работы предприятий, располагающих большими производственными и материальными фондами), которые в условиях рынка также стремятся к получению прибыли как экономической основы их развития? Это отличие состоит в том, что их деятельность (формы и методы) основывается на долгосрочных целях развития предприятия, а цели включают не только получение прибыли, но и увеличение или удержание доли рынка для сбыта своих товаров или оказания услуг, создание новых видов продуктов и услуг, радикальное улучшение качества выпускаемой продукции, постоянное обновление ассортимента и т.д.
Необходимость учета долгосрочных целей развития предприятия обусловливается тем, что их выполнение - проведение НИОКР, длительность изготовления, налаживание кооперации и т.д. - требует длительного времени. Кроме того, необходимо повышать эффективность использования дорогостоящего оборудования, что возможно только на долгосрочной основе. Но это, конечно, не означает, что обычная форма экономической деятельности не включает определенные элементы предпринимательской деятельности.
Напротив, такие черты предпринимательства, как мобильность и динамичность, стремление чутко улавливать конъюнктуру рынка и др., всегда рассматриваются в плане осуществления текущих тактических действий, направленных на успешную реализацию стратегических целей с учетом изменяющихся условий среды, в которой работают предприятия.
В то же время и предприниматель в своих действиях исходит из долгосрочного прогноза и даже, может быть, из установления долгосрочных целей (в данном случае в качестве долгосрочной цели, как правило, берется прибыль) своего развития, но ото не имеет определяющего значения для результатов его деятельности. Он исходит из необходимости получения результата в течение короткого периода, для него первостепенное значение приобретает, учитывая, что в его распоряжении небольшие финансовые и материальные средства, ускоренная оборачиваемость финансовых средств. Эта особенность предпринимательства предполагает установление соответствующей технологии его ведения.

14.2. Виды предпринимательства, их взаимосвязь и особенности участия в бизнесе

В отличие от устоявшихся форм экономической деятельности предпринимательство характеризуется тем, что предприниматель берется за все, за что потребитель готов сегодня заплатить деньги. Товары и услуги понимаются здесь в широком смысле слова: это могут быть здания и сооружения, жилье, имущество, потребительские и промышленные товары, информация, интеллектуальный продукт (идеи, открытия, патенты и т.п.), деньги, валюта, ценные бумаги и любые другие товары, работы и услуги. Но чтобы реализовать любой из указанных товаров, надо его иметь.



Прибыль на реализуемую продукцию


• часть товаров отгруженных не оплачена в срок покупателем. Непоступление выручки в этом случае практически не зависит от поставщика. К сожалению, эта ситуация стала типичной, объем неплатежей не уменьшается, но предприятию все же следует работать в направлении получения доходов - прекратить отгрузку покупателю, перевести его на аккредитивную форму расчетов, передать требования по взысканию неплатежей с покупателя банку, оформить коммерческий кредит;
• продукция отгружена и получена покупателем, но последний на законных основаниях отказался от ее оплаты. Наиболее вероятной причиной отказа может быть несоблюдение поставщиком условий договора поставки.
Резервом увеличения балансовой прибыли может быть прибыль, полученная от реализации основных фондов и иного имущества предприятия. Если раньше операции, связанные с выбытием основных фондов, не оказывали заметного влияния на финансовые результаты, то теперь, когда предприятия вправе распоряжаться своим имуществом, имеет смысл освободиться от излишнего и неустановленного оборудования, предварительно взвесив, что выгоднее - продать его или сдать в аренду. Другие операции, например безвозмездная передача основных средств предприятию, не относятся на балансовую прибыль, а возмещаются из чистой прибыли, предназначенной на накопление.
Финансовый результат от реализации иного имущества предприятия может быть и положительным, и отрицательным. Это зависит от состава и продажной цены реализуемых активов. Если речь идет о материальных активах, то следует исходить не столько из возможности получения прибыли, сколько из наличия запасов, которые из-за изменения экономической конъюнктуры, ассортимента выпускаемой продукции и по другим причинам оказываются ненужными или по величине превышают уровень, достаточный для запланированного выпуска продукции.
Эта работа является одним из направлений финансового менеджмента, т.е. управления финансами предприятия, и должна проводиться на основании анализа структуры материальных активов. Безусловно, лучше продать их по цене, превышающей учетную стоимость, но и в ином случае предприятие получит денежные средства, которые можно вовлечь в оборот.
Прибыль может быть получена от реализации нематериальных активов, имеющих спрос на рынке. Их продажная цена определяется способностью приносить доход. Для исчисления прибыли из продажной цены исключаются затраты, связанные с созданием или покупкой нематериальных активов с учетом расходов по их доведению до состояния, в котором они способны приносить доход.
Ценные бумаги приобретаются предприятием с разными целями. Поскольку они относятся к ликвидным средствам, то предприятие, быстро обратив их в деньги, может совершать платежи и расчеты, погашать обязательства. При покупке ценных бумаг важен их правильный выбор. Приобретать ценные бумаги можно лишь в том случае, если имеется обоснованная увереность в росте их курсовой стоимости, тогда их продажа даст положительный финансовый результат.
При падении курсовой стоимости реализовать эти бумаги почти невозможно, а при отсутствии доходов по ним такое вложение средств можно считать не активами, а убытками. Реализуя ценные бумаги, предприятие получает результат, который можно сравнить с номинальной стоимостью этих ценных бумаг.
В составе внереализационных операций наиболее доходными могут быть финансовые вложения. Важно, чтобы они осуществлялись не в ущерб основной деятельности предприятия. Конкретные направления и структура финансовых вложений должны быть результатом продуманной политики предприятия на основе достоверной оценки их эффективности. Непрофессиональный подход к этому вопросу может привести к потере средств, вложенных в уставный капитал других предприятий или совместную деятельность, в неликвидные ценные бумаги.
В настоящее время практически никакие доходы по финансовым активам не перекрывают уровня инфляции, поэтому для получения реальных доходов от финансовых вложений следует подходить к таким инвестициям очень взвешенно.
Относительно надежным способом финансовых вложений сейчас можно считать хранение денег на депозитном счете или приобретение депозитных сертификатов. В этом случае должны учитываться по меньшей мере два обстоятельства: темпы инфляции, если речь идет о приобретении сертификатов, и процентная ставка налога с полученных доходов. В первом случае доходы облагаются по общей ставке налога на прибыль, во втором - по ставке 15%, так как сертификаты относятся к ценным бумагам.
Важнейшим вопросом управления процессом формирования прибыли является планирование прибыли и других финансовых результатов с учетом выводов экономического анализа. Главной целью при планировании является максимизация доходов, что позволяет обеспечивать финансирование большего объема потребностей предприятия в его развитии. При этом важно исходить из величины чистой прибыли.
Задача максимизации чистой прибыли предприятия тесно связана с оптимизацией величины уплачиваемых налогов в рамках действующего законодательства, предотвращением непроизводительных выплат.
Планирование прибыли - составная часть финансового планирования и важный участок финансово-экономической работы на предприятии. Планирование прибыли производится раздельно по всем видам деятельности предприятия. Это не только облегчает планирование, но и имеет значение для предполагаемой величины налога на прибыль, так как некоторые виды деятельности не облагаются налогом на прибыль, а другие - облагаются по повышенным ставкам.
В процесYе разработки планов по прибыли важно не только учесть все факторы, влияющие на величину возможных финансовых результатов, но и, рассмотрев варианты производственной программы, выбрать обеспечивающий максимальную прибыль.
При относительно стабильных ценах и прогнозируемых условиях хозяйствования прибыль планируется на год в рамках текущего финансового плана. Сложившаяся ситуация крайне затрудняет годовое планирование, и предприятия могут составлять более или менее реальные планы по прибыли по кварталам. Поскольку с 1993 г. планирование прибыли "привязано" к расчету авансовых платежей по налогу на прибыль и порядку внесения их в бюджет, то составление квартальных планов становится необходимым.
Плательщики налога на прибыль заинтересованы в том, чтобы разница между заявленным ими размером авансовых платежей налога и фактическими платежами была минимальной. Однако более важной целью планирования прибыли является определение возможностей предприятия в финансировании своих потребностей.
Объектом планирования являются планируемые элементы балансовой прибыли, главным образом прибыль от реализации продукции, выполнения работ, оказания услуг. Основой для расчета является объем производственной программы, который базируется на заказах потребителей и хозяйственных договорах.
В наиболее общем виде прибыль - это разница между ценой и себестоимостью, но при расчете плановой величины прибыли необходимо уточнить объем продукции, от реализации которой ожидается эта прибыль. Следует отличать плановый размер прибыли в расчете на товарный выпуск от прибыли, планируемой на объем реализуемой продукции. Прибыль по товарному выпуску планируется на основе сметы затрат на производство и реализацию продукции, где определяется себестоимость товарного выпуска планируемого периода:
Птп =Цтп - Стп,
где Птп - прибыль по товарному выпуску планируемого периода;
Цтп – стоимость товарного выпуска планируемого периода в действующих ценах реализации (без налога на добавленную стоимость, акцизов, торговых и сбытовых скидок);
Стп - полная себестоимость товарной продукции планируемого периода (рассчитана в смете затрат на производство и реализацию продукции).
Прибыль на реализуемую продукцию рассчитывается иначе:
Прп = Врп – Срп,
где Прп - планируемая прибыль по продукции, подлежащей реализации в предстоящем периоде;
Врп - планируемая выручка от реализации продукции в действующих ценах (без налога на добавленную стоимость, акцизов, торговых и сбытовых скидок);
Срп - полная себестоимость реализуемой в предстоящем периоде продукции.
Исходя из того, что объем реализуемой продукции предстоящего планового периода в натуральном выражении определяется как сумма остатков нереализованной продукции на начало планируемого периода без остатков готовой продукции, которые не будут реализованы в конце этого периода, расчет плановой суммы от реализации продукции примет вид:
Прп =П01+ Птп –П02,
где Прп - прибыль от реализации продукции в планируемом периоде;
П01- прибыль в остатках продукции, не реализованной на начало планируемого периода;
Птп - прибыль по товарной продукции, планируемой к выпуску в предстоящем периоде;
П02- прибыль в остатках готовой продукции, которая не будет реализована в конце планируемого периода.
Именно такая методика расчета лежит в основе применения укрупненного прямого метода планирования прибыли, когда легко определить объем реализуемой продукции в ценах и по себестоимости.
Другая разновидность метода прямого счета - метод поассортиментного планирования прибыли. Прибыль определяется по каждой ассортиментной позиции, для чего необходимо располагать соответствующими данными.



Прибыль от реализации продукции


третий источник проистекает из инновационной деятельности предприятия. Его использование предполагает постоянное обновление выпускаемой продукции, обеспечение ее конкурентоспособности, рост объемов реализации и увеличение массы прибыли.
Конечным финансовым результатом хозяйственной деятельности предприятия является балансовая прибыль. Балансовая прибыль - это сумма прибылей (убытков) предприятия как от реализации продукции, так и доходов (убытков), не связанных с ее производством и реализацией. Под реализацией продукции понимается не только продажа произведенных товаров, имеющих натурально-вещественную форму, но и выполнение работ, оказание услуг. Балансовая прибыль как конечный финансовый результат выявляется на основании бухгалтерского учета всех хозяйственных операций предприятия и оценки статей баланса.
Использование термина "балансовая прибыль" связано с тем, что конечный финансовый результат работы предприятия отражается в его балансе, составляемом по итогам квартала, года.
Балансовая прибыль включает три укрупненных элемента: прибыль (убыток) от реализации продукции, выполнения работ, оказания услуг; прибыль (убыток) от реализации основных средств, их прочего выбытия, реализации иного имущества предприятия; финансовые результаты от внереализационных операций.
Прибыль от реализации продукции (работ, услуг) характеризует чистый доход, созданный на предприятии. Остальные элементы балансовой прибыли отражают в основном перераспределение ранее созданных доходов.
Рассмотрим подробно все составные части балансовой прибыли. Прибыль (убыток) от реализации продукции (работ, услуг) - это финансовый результат, полученный от основной деятельности предприятия, которая может осуществляться в любых видах, зафиксированных в его уставе и не запрещенных законом. Финансовый результат определяется раздельно по каждому виду деятельности предприятия, относящемуся к реализации продукции, выполнению работ, оказанию услуг.
Он равен разнице между выручкой от реализации продукции (работ, услуг) в действующих ценах и затратами на ее производство и реализацию.
Выручка принимается в расчет без налога на добавленную стоимость и акцизов, которые, являясь косвенными налогами, поступают в бюджет. Из выручки также исключается сумма наценок (скидок), поступающая торговым и снабженческо-сбытовым предприятиям, участвующим в сбыте продукции. Предприятия, экспортирующие продукцию, исключают и экспортные тарифы, направляемые в доход государства.
При этом денежные поступления, связанные с выбытием основных средств, материальных (оборотных) и нематериальных активов, продажная стоимость валютных ценностей, ценных бумаг не включаются в состав выручки.
Состав затрат на производство и реализацию продукции (работ, услуг), включаемых в себестоимость, регулируется законодательно. Затраты, образующие себестоимость, группируются по следующим элементам: материальные затраты, затраты на оплату труда, отчисления на социальные нужды, амортизация основных фондов и пр.
По реализации продукции, имеющей натурально-вещественную форму, расчет прибыли ведется исходя из выручки и полной себестоимости продукции, определяемых на объем реализуемой продукции. В натуральном выражении он включает остатки готовой продукции на начало отчетного периода, не реализованные в предшествующем периоде, и выпуск товарной продукции отчетного периода за минусом той части продукции, которая не может быть реализована в конце отчетного периода. Под периодом понимается квартал или год.
Состав остатков нереализованной продукции на начало и конец периода зависит от избранного предприятием метода учета выручки - по поступлении денег на расчетный счет (в кассу) предприятия или по отгрузке продукции, расчетные документы по которой предъявлены покупателю.
Прибыль от выполнения работ и оказания услуг рассчитывается аналогично прибыли от реализации продукции. Формирование выручки тесно связано с особенностями выполняемых работ и услуг и применяемыми формами расчетов.
Например, в строительных организациях выручка отражает стоимость законченных объектов строительства или работ, выполненных по договораT подряда и субподряда. Она определяется по документам, являющимся основанием для расчета между заказчиками и подрядчиками (субподрядчиками). Для определения прибыли используется фактическая себестоимость сданных работ. В торговле, снабженческих и сбытовых предприятиях выручка соответствует валовому доходу от продажи товаров (сумма наценок или скидок в процентах к стоимости реализуемых товаров).
Валовой доход исчисляется как разница между продажной и покупной стоимостью реализованных товаров. Для определения прибыли из него исключаются издержки обращения торговых, снабженческих, сбытовых организаций. На предприятиях транспорта и связи выручка отражает денежные средства за предоставляемые услуги по действующим тарифам.
В качестве себестоимости выступает показатель эксплуатационных расходов предприятий транспорта (связи) с учетом расходов по экспедиционным и погрузочно-разгрузочным работам.
Прибыль (убыток) от реализации основных средств, их прочего выбытия, реализации иного имущества предприятия - это финансовый результат, не связанный с основными видами деятельности предприятия. Он отражает прибыли (убытки) по прочей реализации, к которой относится продажа на сторону различных видов имущества, числящегося на балансе предприятия.
Предприятие самостоятельно распоряжается своим имуществом. Оно вправе списывать, продавать, ликвидировать, передавать в уставные фонды других предприятий здания, сооружения, оборудование, транспортные средства и другие основные фонды, материальные ценности, полученные в процессе сноса и разборки зданий, сооружений, продавать отдельные объекты, товарно-материальные ценности и другие виды имущества. Финансовый результат имеет место только при продаже перечисленных видов имущества, а также при прочем выбытии недоамортизированных объектов в некоторых случаях.
При реализации основных фондов финансовый результат определяется как разница между продажной ценой реализованных на сторону основных средств и их остаточной стоимостью с учетом понесенных расходов по реализации.
Под иным имуществом предприятия понимаются сырье, материалы, топливо, запчасти, нематериальные активы (патенты, лицензии, торговые марки, программные продукты для ЭВМ и т.д.), валютные ценности (иностранная валюта, ценные бумаги в иностранной валюте, драгоценные металлы и природные драгоценные камни, за исключением ювелирных и бытовых изделий и лома таких изделий), ценные бумаги. Разница между продажной ценой этих видов имущества предприятия и их балансовой стоимостью (с учетом понесенных в связи с этим расходов) составляет финансовый результат, влияющий на сумму балансовой прибыли.
Финансовые результаты от внереализационных операций - это прибыль (убыток) по операциям различного характера, не относящимся к основной деятельности предприятия и не связанным с реализацией продукции, основных средств, иного имущества предприятия, выполнением работ, оказанием услуг. Финансовый результат определяется как доходы (убытки) за минусом расходов по внереализационным операциям.
Перечень внереализационных прибылей (убытков) предприятия разнороден и довольно обширен. Значительный удельный вес могут составлять доходы от долгосрочных и краткосрочных финансовых вложений и доходы от сдачи имущества в аренду (они учитываются в составе внереализационных прибылей, если сдача имущества в аренду не является основной деятельностью предприятия).
Финансовые вложения означают такое размещение собственных средств предприятия в деятельность других предприятий, которое дает возможность получить доходы. Под долгосрочными финансовыми вложениями понимаются затраты предприятия по вкладу средств в уставный капитал других предприятий (товариществ, акционерных обществ, совместных, дочерних предприятий), приобретению акций и других ценных бумаг, предоставлению средств взаймы на срок более года. К формам краткосрочных финансовых вложений относятся приобретение краткосрочных казначейских обязательств, облигаций и других ценных бумаг, предоставление средств взаймы на срок менее года.
Денежные или другие имущественные средства участников договора о совместной деятельности без образования для этой цели юридического лица также считаются финансовыми вложениями - долгосрочными или краткосрочными в зависимости от срока действия договора, поэтому доходы от них также включаются в состав внереализационных доходов.
Доходы от долевого участия в уставном капитале другого предприятия представляют часть его чистой прибыли, которая поступает учредителю в заранее оговоренном размере или в виде дивидендов по акциям, пакетом которых владеет учредитель. Доходами от ценных бумаг являются проценты по облигациям, краткосрочным казначейским обязательствам, дивиденды по акциям. Предприятие имеет право на получение дохода по ценным бумагам акционерных обществ, если они приобретены не позднее чем за 30 дней до официально объявленной даты их выплаты.
По государственным ценным бумагам право и порядок получения доходов определяются условиями их выпуска и размещения.



Прогрессивный характер роста переменных издержек


Таблица 8
Прогрессивный характер роста переменных издержек


Производство, единиц (Q)

Переменные издержки, тыс. руб. (Иv)

Средние переменные издержки, руб. (Иvcp)

0

0

-

100

2000

20,00

200

4 500

22,50

300

7500

25,00

400

11000

27,50

500

15000

30,00

Таким образом, при управлении формированием издержек производства необходимо постоянно обращать внимание на характер их роста для того, чтобы своевременно принимать меры по их снижению.
В условиях конкуренции важно не только знать величину переменных издержек, но и объем общих. Иногда их называют валовыми издержками, состоящими из постоянных и переменных издержек.
Иo = Иc + иv,
где Иo - общие (валовые) издержки;
Иc - постоянные издержки;
иv - переменные издержки.
Прогрессивный характер роста переменных издержек





Знание общих (валовых) издержек позволяет судить о величине затрат, которые несет предприятие в результате осуществления производственно-хозяйственной деятельности (начиная с начальной стадии и до полного использования всего производственного потенциала), а также правильно формировать финансовую политику предприятия.
В силу того, что постоянные издержки неизменны на протяжении производственного цикла, общие издержки в своем развитии следуют за изменениями переменных издержек.
Графически это можно изобразить следующим образом (рис. 10).
Прогрессивный характер роста переменных издержек



Аналогичная закономерность проявляется и в движении общих издержек (Иоср) (рис. 11).
Прогрессивный характер роста переменных издержек

В данном случае на характер изменения средних общих издержек оказывают влияние не только средние переменные, но и средние постоянные, которые с увеличением объемов производства уменьшаются.
Из графика следует, что средние общие издержки с ростом объемов производства снижаются до определенного момента, а затем снова возрастают. Вместе с тем они не дают ответа, до каких пределов можно расширять производство, какие затраты понесет предприятие в случае производства последней единицы (при его расширении) или какова будет экономия в случае сокращения на эту последнюю единицу. Здесь требуется иной подход.

10.3. Определение предельных издержек производства

При формировании производственного плана предприятия важно установить характер увеличения объемов производства при добавлении дополнительных производственных переменных факторов к уже имеющимся фиксированным ресурсам (основные фонды) и как в этом случае будут складываться совокупные издержки производства и реализации.
Ответ на этот вопрос дает "закон убывающей отдачи", суть которого состоит в том, что, начиная с определенного момента, последовательное присоединение единиц переменного ресурса (например, труда) к неизменному фиксированному ресурсу (например, основным фондам) дает уменьшающийся добавочный, или предельный, продукт в расчете на каждую последующую единицу переменного ресурса. Проиллюстрируем это (табл. 9).
Таблица 9
Динамика показателей деятельности предприятия

Прогрессивный характер роста переменных издержек



На основе данных табл. 9 построим графики (рис. 12 и 13), где Q - объем производства, Qпр - предельный продукт труда на одного занятого и N - количество работников (затраты труда).
Прогрессивный характер роста переменных издержек


Из таблицы и графиков видно, что чем больше привлекается дополнительных работников, тем больше выпускается продукции. Вместе с тем каждый раз привлечение еще одного дополнительного работника дает неодинаковую прибавку к увеличению объема продукции (см. рис. 12). Эта прибавка представляет собой предельный продукт труда одного работника. Он рассчитывается путем простого вычитания рассматриваемого уровня производства из последующего увеличения объема производства.
В нашем примере предельный продукт на одного дополнительно привлекаемого работника увеличивается до второго работника, а затем начинает падать (см. рис.13).
Прогрессивный характер роста переменных издержек

Такой характер изменения роста предельного продукта объясняется снижением роста средней производительности труда на одного работника, он вызывается тем, что при росте численности основные фонды остаются неизменными.
Но снижение величины прироста объемов производства на каждого привлекаемого одного работника еще не свидетельствует о том, что надо прекратить производство. Решение этого вопроса зависит от того, увеличивается ли прибыль при найме еще одного работника. Если цена продукции на рынке неизменна, то предприятие получит доход в результате того, что оно имеет для продажи больше продуктов.
Но это при условии, что если величина дополнительных издержек, связанных с наймом дополнительного работника, будет меньше цены товара.
Допустим, что каждому дополнительно привлекаемому работнику устанавливается заработная плата в размере 1 тыс. руб. Предельная производительность первого рабочего, как следует из табл. 9, составляет 10 единиц. Следовательно, производимая продукция для предприятия в условиях найма первого рабочего обходится в 100 руб., при втором рабочем, предельная производительность которого равна 15, издержки составят уже 67 руб. Эти предельные издержки будут падать до тех пор, пока будет расти предельная производительность.
И уже при найме третьего, когда производительность падает, предельные издержки возрастут до 83 руб., с четырьмя рабочими они уже будут составлять 100 руб., с пятью - 125 руб.
Из приведенных данных следует, что себестоимость единицы продукции, произведенной с помощью привлечения дополнительной рабочей силы, снижается до определенного момента, а затем снова начинает расти. Падение или рост себестоимости каждой дополнительной единицы продукции называется предельной себестоимостью (рис. 14).
Прогрессивный характер роста переменных издержек



Концепция предельных издержек имеет большое практическое значение, поскольку показывает издержки, которые предприятию придется понести в случае увеличения производства на одну единицу, и одновременно - издержки, которые предприятие "сэкономит" в случае сокращения объема производства на эту последнюю единицу. Иными словами, она позволяет решить вопрос о том, производить ли предприятию на несколько единиц продукции больше или меньше. Предельные издержки отражают изменения в издержках, которые повлекут за собой увеличение или уменьшение объема производства.
Таким образом, издержки производства в условиях рыночных отношений следует рассматривать не просто как произведенные затраты на приобретение всего необходимого для производства продукции и ее изготовления, но и как установление лучшей возможности по их использованию, т.е. необходимо формировать такие издержки, которые дают наилучший результат.

10.4. Основные направления снижения издержек производства

Систематическое снижение издержек - основное средство повышения прибыльности функционирования фирмы. В условиях рыночной экономики, когда финансовая поддержка убыточных предприятий является не правилом, а исключением, как это было при административно-командной системе, исследование проблем уменьшения издержек производства, разработка рекомендаций в этой области - один из краеугольных камней всей экономической теории.
Можно выделить следующие основные направления снижения издержек производства во всех сферах национальной экономики:
использование достижений НТП;
совершенствование организации производства и труда;
государственное регулирование экономических процессов.
Прежде чем рассматривать основные направления экономии издержек, необходимо сделать одно существенное замечание. Дело в том, что сама деятельность предприятия по обеспечению экономии затрат в подавляющем большинстве случаев требует затрат труда, капитала и финансов. Затраты по экономии издержек тогда эффективны, когда рост полезного эффекта (в самых разнообразных формах) превысит затраты на обеспечение экономии. Естественно, что возможен и пограничный вариант, когда уменьшение издержек на производство изделия не изменяет его полезных свойств, но позволяет снизить цену в конкурентной борьбе.
В современных условиях типичным является не сохранение потребительских качеств, а экономия на издержках в расчете на единицу полезного эффекта или других важных для потребителя характеристик. На практике это часто принимает такие формы, как, например, снижение стоимости единицы производственной мощности металлообрабатывающего станка.
Реализация достижений НТП заключается, с одной стороны, в боле полном использовании производственных мощностей, сырья и материалов, в том числе и топливно-энергетических ресурсов, а с другой - в создании новых эффективных машин, оборудования, новых технологических процессов. Наиболее характерная черта НТП второй половины XX столетия - переход к принципиально новому технологическому способу производства. Его преимущество не только в более высокой экономической эффективности, но и в возможности производить качественно новые материальные блага, услуги, которые существенно изменяют весь уклад жизни, приоритеты жизненных ценностей.
Что касается совершенствования организации производства и труда, то этот процесс наряду с экономией на издержках за счет сокращения потерь практически во всех случаях обеспечивает повышение производительности труда, т.е. экономию затрат живого труда. На нынешнем этапе экономического развития экономия живого труда в сравнении с экономией общественного труда дает более весомые результаты, о чем свидетельствуют исследования экономического роста на основе использования производственной функции.
Совершенствование организации производства в настоящее время представлено двумя основными школами: американской и японской. Это многочисленные системы материально-технического обеспечения производства, его экономического стимулирования и т.п.*

* Об организации производства в Японии и США см.: Макмиллан Ч. Японская промышленная система.- М., 1988; Шомберг Я. Японские методы управления производством.- М., 1988; Уотермен Р. Фактор обновления.- М., 1988.

В снижении издержек производства значительная роль принадлежит государственным программам в области НТП и государственным стандартам. Наиболее ярким примером государственного вмешательства в этой области можно считать многочисленные государственные и частные научно-технические программы, создание которых обусловлено существенным возрастанием затрат на топливно-энергетическую составляющую издержек (вызванным нефтяным кризисом 70-х гг. в США и других развитых странах, национальные экономики которых потребляют большой объем нефти), благодаря им удалось в значительной степени компенсировать увеличение цен на нефть.






Производственное предпринимательство и его осуществление


Этот товар предприниматель делает сам или получает, а затем реализует. Исходя из этого предпринимательство можно разделить на производственное, коммерческое и финансовое. Каждая форма имеет свою специфику, особенности и, следовательно, свою технологию.
Будучи относительно самостоятельными видами предпринимательской деятельности, они пронизывают и дополняют друг друга, т.е. один вид деятельности может содержаться в другом. Производственное предпринимательство и технология его осуществления
К производственному предпринимательству относится деятельность, направленная на производство продукции, проведение работ и услуг, сбор, обработку и предоставление информации, создание духовных ценностей и т.п., подлежащих последующей реализации потребителям. Основным полем приложения его усилий являются производственные предприятия и учреждения, коммерческие, торговые заведения, фондовые и товарные биржи, банки, население.
Круг интересов производственного предпринимательства довольно разнообразен, и для его реализации требуются финансовые и материальные ресурсы, порой довольно значительные. Стремление получить как можно большую прибыль при меньшем риске предполагает осуществление соответствующей технологии ведения дела. Исходным элементом этой технологии является выбор основной области деятельности. Ее содержательная сторона определяется финансовыми ресурсами и личными склонностями предпринимателя.
Выбор вида деятельности предполагает проведение предварительного маркетинга, т.е. изучения, насколько предлагаемый товар или услуга необходимы потребителю, стабильны ли спрос на них, его величина и тенденции развития в будущем, каковы возможная продажная цена единицы товара, издержки его производства и реализации, предполагаемые объемы продаж.
Результатом производственно-предпринимательской деятельности является производство продукта, который требует своей реализации. Мероприятия по его реализации составляют третью стадию технологии предпринимательства. Реализация возможна: с помощью посредников -агентов, брокеров и т.п. или своими собственными силами. Это наиболее ответственная стадия технологии предпринимательства, от продуманности осуществления которой зависит успех всего начатого дела.
Усилия предпринимателя ще на второй стадии (установление величины финансовых средств, необходимых для ведения выбранной предпринимательской деятельности) должны быть сосредоточены на заключении сделки на поставку изготовляемого продукта до начала его производства и лучше всего на долгосрочной основе, что позволит снизить риск банкротства. На этой стадии технологии предприниматель внимательно следит за конъюнктурой, чтобы вовремя отреагировать на изменения, происходящие в спросе. Эта реакция находит свое выражение в индивидуализации производимого товара (услуг) и в установлении на него соответствующего уровня цены.
Поскольку на рынке появляются все новые и новые товары и услуги, то в предпринимательской деятельности в условиях недостатка финансовых средств чрезвычайно важно, чтобы товары не залеживались, чтобы высвобождающиеся финансовые средства вкладывались снова в дело, т.е. предприниматель должен стремиться к ускорению оборачиваемости денег. Считается, что сделка должна давать годовую прибыль не менее 20-22% затрат.
Ситуация заставляет предпринимателя держать в центре своего внимания каналы распределения товаров и услуг (оптовая и розничная сеть, дилеры, агенты и т.д.). Это и представляет собой четвертую стадию технологии. Дело в том, что в зависимости от выбранных каналов (форм) доведения товаров до потребителей в значительной степени определяется скорость оборота вложенных средств.
Коммерческое предпринимательство
Этот вид деятельности характеризуется тем, что суть его содержания составляют товарно-денежные отношения, торгово-обменные операции. Иначе, имеет место перепродажа товаров и услуг. В отличие от производственно-предпринимательской деятельности здесь нет необходимости обеспечения производственными ресурсами, связанными с выпуском продукции и др. В качестве исходной стадии технологии стоит выбор - что покупать, что перепродавать и где.
При решении этих вопросов прежде всего следует исходить из положения, что реализационная цена товара должна быть значительно выше закупочной цены; спрос на предлагаемый товар должен быть достаточным, чтобы реализовать его в намечаемом масштабе сделки. Но чтобы быть уверенным, что эти условия выполнимы, предприниматель должен провести тщательный маркетинг, направленный на анализ рынка ряда товаров и услуг и на выработку прогнозной оценки конъюнктуры рынка, т.е. какие товары и услуги будут пользоваться наибольшим спросом, каковы будут цены покупки и реализации. Эти шаги составят вторую стадию технологии.
Зная предварительную прогнозную оценку движения товаров и услуг, предприниматель вырабатывает для себя конкретный план действий (бизнес-план). В нем определяются мероприятия по проведению сделки купли-продажи, делаются расчеты цен по закупке и продаже товара, затрат и результатов. В нем также определяются необходимое количество работников, объем транспортных работ, проведение рекламной кампании, работ по оформлению коммерческих документов. В бизнес-плане также рассматриваются:
• закупка товаров для последующей продажи;
• получение услуг от сторонних организаций и их оплата;
• наем помещений и складов для хранения, торговых точек для реализации;
• формы реализации товара;
• обоснование получения кредитов или других заемных средств;
• выплата налогов и платежей государственным и местным финансовым органам.
Важно, чтобы многие мероприятия были увязаны по срокам и исполнителям. На основе бизнес-плана рекомендуется проводить укрупненные балансовые оценочные расчеты, на основании которых предприниматель может получить представление о выгодности или убыточности сделки.
Финансовое предпринимательство
Является разновидностью коммерческого предпринимательства, поскольку объектом его купли-продажи выступает специфический товар: деньги, валюта, ценные бумаги (акции, облигации, векселя, ваучеры и т.д.), т.е. происходит продажа одних ценных бумаг на другие по ценам, обеспечивающим получение прибыли.
С переходом к рыночным отношениям рынок денег, валюты и ценных бумаг становится реальностью, его участниками выступают коммерческие банки, фондовые биржи, предприятия, организации и физические лица-предприниматели. Поскольку финансовое предпринимательство - это разновидность коммерческого, то технология финансовой предпринимательской сделки аналогична технологии коммерческой сделки с той лишь разницей, что товаром являются финансовые активы. Предприниматель, вступающий в этот вид бизнеса, начинает свою деятельность с анализа рынка ценных бумаг и маркетинговой деятельности. Последняя связана с поиском и привлечением потенциальных покупателей денег, валюты и ценных бумаг.
Одновременно с этим он устанавливает источник получения денег, валюты и ценных бумаг. В данном случае первичным обладателем "финансового товара" может быть сам предприниматель (им ранее были накоплены деньги, валюта, ценные бумаги). Он выступает как бы в роли продавца или ростовщика, предоставляющего деньги, валюту и другое потребителю взаймы за определенную плату или под определенный процент.
Еще одной формой финансового предпринимательства является своеобразная эмиссия ценных бумаг, таких, как собственные акции, облигации, кредитные билеты, коммерческие ценные бумаги (денежные обязательсZва, векселя). Ценные бумаги предприниматель продает, размещает при определенных условиях и обязательствах в качестве "финансового товара". Эту форму предпринимательства ведут, как правило, предприятия, банки, а не отдельные предприниматели.
Наиболее распространенная форма - покупка ценных бумаг самим предпринимателем. Смысл ее состоит в том, что предприниматель покупает деньги, валюту, ценные бумаги за определенную сумму (Дф), а затем продает их другому покупателю за большую сумму (Дв) (разница между Дв и Дф дает доход).
Если у предпринимателя нет денег для покупки ценных бумаг, то он осуществляет покупку в кредит либо обращается в банк за кредитом (Дк).
Финансовое предпринимательство, как никакой другой вид предпринимательства, нуждается в наличии достоверной информации, в обеспечении вычислительной и организационной техникой. За все предприниматель должен платить. При проведении финансово-кредитной сделки он предоставляет потребителю свои деньги, валюту, ценные бумаги в долг (в кредит), а через определенное время получает большую сумму на определенный процент.
При этой сделке предприниматель должен особое внимание уделить проверке финансовой состоятельности покупателя, установить гаранта, который поручается за покупателя.
Считается, что финансовая сделка целесообразна, если при ее продолжительности сроком до одного года расчетная чистая прибыль составляет не менее 5% объема сделки (денежной выручки), а при долговременных сделках этот процент повышается до 10-15%.

14.3. Малые предприятия - важное условие развития национальной экономики

Предпринимательство, как указывалось ранее, является важнейшим фактором экономического развития предприятия.



Работа с увольняющимися


5. Какова стоимость обучения?
После завершения программы обучения предстоит оценить ее эффективность. Для этого можно провести опрос сотрудников и инструкторов, проанализировать их комментарии и впоследствии оценить качество работы сотрудника, прошедшего обучение.

9.4. Оценка исполнения работы. Текучесть кадров

Оценка исполнения - это заключение о выполнении работником его работы. Оно проявляется в официальном и систематическом оценивании начальством своих подчиненных. Многие менеджеры имеют субъективное мнение (часто меняющееся) о своих подчиненных.
Существует множество целей оценки исполнения, в числе которых могут быть: улучшение исполнения; сбор информации для принятия решений; способствование соблюдению стандартов; необходимость выступать основой для дифференцированной оплаты труда; сбор фактов для минимизации субъективности заключения; информирование о необходимых сторонах обучения и переподготовки; сбор данных для создания образа будущего исполнения; стимулирование отдельных лиц и группы в целом, направленное на соблюдение стандартов; усиление морального фактора; обеспечение основы для формирования новых стандартов и целей исполнения.
Главными методами оценки исполнения являются:
• ранжирование (менеджер ранжирует своих подчиненных в зависимости от их заслуг);
• балльная оценка (пятибалльная или нецифровая: плохо, ниже среднего, среднее, выше среднего, очень хорошо);
• шкала (обычно с пятью баллами) для оформления персональных характеристик;
• система сильных и слабых сторон, позволяющая руководителю отмечать качество работы своих подчиненных;
• беседы, в ходе которых подчиненный рассказывает о своих успехах и неудачах в оцениваемый период.
Понятие "текучесть рабочей силы" используется для описания движения рабочих и рассчитывается в виде индекса текучести рабочей силы, выражающего общее число увольнений в процентах к среднему числу занятых в течение года:

Тч(чистая текучесть)
Работа с увольняющимися


где ОЧУ - общее число увольнений в рассматриваемый период;
СЧЗ - среднее число занятых.
Так как некоторые увольнения неизбежны, а в некоторых случаях и желательны (при направлении на учебу), формула должна это учитывать и принимает следующий вид:
Работа с увольняющимися

где НУ - неизбежные увольнения.
Обычно рассчитываются годовые индексы, хотя иногда бывают и квартальные, позволяющие учитывать сезонные колебания.
На уровень текучести рабочей силы воздействует множество факторов, но в основном - род деятельности предприятия. Ежегодно публикуемая статистика по отраслям показывает, что, например, в гостиничном бизнесе этот показатель традиционно высок. По известным причинам текучесть женской рабочей силы значительно превышает мужскую.
Высокий уровень оборота рабочей силы может объясняться либо особенностями работы, либо неудачей кадровой политики. Существует ряд мер для исправления такого положения. Среди них следует выделить:
• использование неVбходимых процедур отбора работников;
• обеспечение выполнения менеджерами задач, связанных с кадрами;
• максимально широкое использование способностей работников;
• анализ качества работы сотрудников;
• анализ кадровой политики и зарплаты;
• совершенствование обучения;
• совершенствование коммуникаций;
• максимально возможное улучшение условий труда;
• усиление получения удовлетворения от работы.
Для руководства важно знать причины увольнения работников. Работа с увольняющимися включает следующие задачи:
получить информацию о том, чем неудовлетворены работники;
предоставить им необходимую информацию или услуги;
улучшить стимулирование работников;
повысить занятость на предприятии;
улучшить кадровую политику;
определить истинные причины увольнения.
Беседа должна проводиться в частном порядке с гарантией ее конфиденциальности. Результаты беседы могут выразиться в административных действиях по сокращению текучести кадров. Если беседу по каким-либо причинам провести невозможно, уместно послать уволившемуся анкету.
Причины увольнения подразделяются на: добровольное; по инициативе администрации.
Добровольно увольняющиеся работники чаще всего указывают на то, что они не удовлетворены характером работы, зарплатой или условиями, не видят перспектив роста и надеются устроиться на лучшее место.
Увольнение по инициативе администрации происходит из-за профессиональной непригодности (неэффективность работы, несовместимость с другими сотрудниками); дисциплинарных проступков (опоздания, невыполнение заданий); сокращения (истечение контракта, спад в отрасли).
Причины добровольного увольнения работников устранимы. Работу можно сделать более привлекательной, увеличить зарплату, улучшить условия, предоставить работникам возможности для продвижения по службе.
Влияние сокращения может быть минимизировано заключением с работниками других контрактов. Лишь спад в отрасли не может контролироваться менеджерами.
Добровольные увольнения, помимо финансовых потерь, имеют и другую серьезную опасность, так как они усугубляют плохую репутацию фирмы.

Вопросы для повторения
1. Что такое экономические ресурсы предприятия?
2. Какой капитал называется основным?
3. Что такое амортизационные отчисления?
4. Назовите показатели эффективности использования основного капитала.
5. В чем состоят сущность и назначение оборотного капитала?
6. Назовите основные стадии кругооборота оборотных средств.
7. Какие факторы определяют потребность в оборотных средствах?
8. С какой целью осуществляется управление запасами?
9. Назовите источники формирования оборотных средств.
10. Что представляет собой рынок труда?
11. Назовите основные действия по подбору кадров.
12. С какой целью осуществляется оценка работы кадров?

РАЗДЕЛ ТРЕТИЙ
ЭКОНОМИЧЕСКИЕ ПОКАЗАТЕЛИ РЕЗУЛЬТАТОВ ДЕЯТЕЛЬНОСТИ ПРЕДПРИЯТИЯ






Рассмотрим систему трехстороннего представления, или трипартизм.


Представляет интерес опыт стран Западной Европы и в части конкретных форм социального партнерства.
Хотя западноевропейские страны различаются по степени реализации принципов социального партнерства и конкретным формам его проявления, существуют и общие понятия. Рассмотрим систему трехстороннего представления, или трипартизм.
Длительную историю имеют идеи социального партнерства в Бельгии. К настоящему моменту сложилась стройная система трехсторонних органов. На уровне предприятия вопросы решаются преимущественно на двусторонней основе (предприниматель - профсоюзы).
На основе равного представительства всех трех сторон создается национальный совет по труду, являющийся консультативным органом правительства. Он же имеет право вести коллективные переговоры на общенациональном уровне.
Во Франции общенациональные трехсторонние органы отсутствуют, но периодически правительство проводит консультации на базе органов, обслуживающих рынок труда. На таких совещаниях стороны стараются достичь согласия относительно программ занятости, технологических изменений, миграции рабочей силы и по другим вопросам.
Особое внимание в системе социального партнерства следует уделить участию трудящихся в управлении производством. В странах Северного Совета (Финляндия, Швеция) участие работников в управлении производством осуществляется через органы сотрудничества, включающие равное число представителей работников и предпринимателей. Круг вопросов, решаемых с помощью этих органов, довольно широк.
Например, в Финляндии он охватывает следующие вопросы: продажа или приобретение оборудования, которое может существенным образом повлиять на характер труда работников; изменение методов и организации труда; прекращение деятельности предприятия или его части; рационализация производства, которая может привести к ухудшению положения с занятостью; увольнения или принудительные отпуска вследствие прекращения или сокращения заказов; порядок найма сотрудников; распространение внутризаводской информации; предоставление сотрудникам жилья и льгот в области питания.
Органы участия работников в управлении существуют и в Бельгии, так называемые советы по труду. Они наделены консультативными функциями и следят за выполнением на предприятии законоположений по трудовым и социальным вопросам. Предприниматель своих представителей просто назначает, а члены совета от работников избираются тайным голосованием сроком на 4 года.
Во Франции раз в 2 года избираются комитеты, представляющие трудящихся по всем вопросам жизни предприятия, включая занятость, профобучение, условия труда, внедрение новой техники и ее модернизацию. Они могут повлиять на инвестиционную политику, изменение структуры производства. Тот же комитет ведает социальной жизнью трудового коллектива, в том числе спортивными и культурными учреждениями, центрами досуга.
В Германии наряду с наблюдательными советами существуют советы предприятий - органы, обеспечивающие предоставление информации, организацию консультаций и участие трудящихся в принятии решений.
Такие советы рассматривают вопросы рабочего распорядка, режима работы, организации и оплаты труда, планирования персонала, охраны труда, введения новых технических средств, установок, технологий, распределения отпусков.
Принципы трехстороннего сотрудничества (трипартизма), в соответствии с которыми строится деятельность Международной организации труда (МОТ), начинают получать реальное воплощение и в России. В стране создается система, позволяющая решать социально-трудовые проблемы путем трехсторонних переговоров представителей основных заинтересованных сторон - трудящихся, предпринимателей и правительства. Можно считать, что формирование такой системы началось с образования в 1992 г. Российской трехсторонней комиссии по регулированию социально-трудовых отношений.
Основными целями комиссии являются: подготовка и заключение генерального соглашения между Правительством Российской Федерации, российскими объединениями профсоюзов и объединениями предпринимателей (работодателей); осуществление контроля за ходом выполнения генеральных соглашений, разрешение разногласий, возникших в ходе его выполнения; выявление причин возникновения конфликтных ситуаций в трудовых отношениях; урегулирование коллективных трудовых споров.
Таким образом, идеи социального партнерства имеют большой потенциал возможностей для сочетания интересов работодателей и работников. Дело за тем, чтобы эти идеи с учетом накопленного в развитых странах опыта были продуктивно реализованы на предприятиях России.

Вопросы для повторения

1. В чем состоит сущность предпринимательства?
2. Назовите формы и методы организации предпринимательской деятельности.
3. Назовите виды предпринимательства.
4. В чем состоит сущность инноваций?
5. Назовите показатели оценки эффективности инновационных проектов.
6. Какие виды планирования используются в рамках предприятия?
7. С какой целью составляется бизнес-план предприятия?
8. Назовите разделы бизнес-плана.
9. Что такое коммерческий расчет?
10. Какая информация представляет коммерческую тайну?
11. На каких принципах строятся взаимоотношения предприятия с его работниками?
12. В чем состоит основной смысл социального партнерства?



ЛИТЕРАТУРА

Гражданский кодекс Российской Федерации. – М., 1996. - Ч. I ,II.
Грибов В. Д. Основы бизнеса. - М.: Финансы и статистика, 2000.
Грузинов В.П. Экономика предприятия и предпринимательство: Учеб. пособие.-М.: Софит, 1994.
Грузинов В.П., Грибов В.Д. Экономика предприятия: Учеб. пособие. - М.: Финансы и статистика, 1999.
Друкер П.Ф. Рынок: как выйти в лидеры: Практика и принципы: Пер. с англ. - М.: Бук Чембэр Интернэшнл, 1992.
Курс экономической теории: Общие основы экономической теории, микроэкономика, макроэкономика, переходная экономика: Учеб. пособие / Под ред. А. В. Сидоровича.- М.: Изд-во МГУ: ДИС, 1997.
Современный бизнес: Учебник. В 2-х т.: Пер. с англ / Д.Дж Речмен,. М.Л. Мексон, К.Л. Боуви, Дж.В.
Tилл. - М.: Республика, 1995.
Финансы в управлении предприятием / Под ред. A.M. Ковалевой. - М.: Финансы и статистика, 1995.
Финансы предприятий / Под ред. Е.И. Бородиной. - М.: ЮНИТИ, 1995.
Шамхалов Ф.И. Новое российское предпринимательство / Под ред. А.И.
Архипова. - М.: Экономика, 1994.
Экономика и статистика фирм: Учебник / В.Е. Адамов. С.Д. Ильенкова.
Т.П. Сиротина и др.; Под ред. д-ра экон. наук, проф. С.Д.
Ильенковой. - М.: Финансы и статистика, 1995.
Экономика предприятия. Учебник / Под ред. В.П.
Грузинова. -М.: ЮНИТИ, 1998.
Якокка Л. Карьера менеджера: Пер. с англ. - М.: Прогресс, 1991.


СОДЕРЖАНИЕ

ВВЕДЕНИЕ 2
РАЗДЕЛ ПЕРВЫЙ 2
ЭКОНОМИЧЕСКИЕ ОСНОВЫ ФУНКЦИОНИРОВАНИЯ ПРЕДПРИЯТИЯ В УСЛОВИЯХ РЫНКА 2
ТЕМА 1. ПРЕДМЕТ И ЗНАЧЕНИЕ КУРСА 'ЭКОНОМИКА ПРЕДПРИЯТИЯ' 2
ТЕМА 2. ОСНОВНАЯ ЭКОНОМИЧЕСКАЯ ПРОБЛЕМА И РОЛЬ ПРЕДПРИЯТИЯ В ЕЕ РЕШЕНИИ 5
2.1. Содержание основной экономической проблемы и её реализация 5
2.2. Предприятие - важнейшее звено в решении основной экономической проблемы 6
2.3. Движущие мотивы развития экономики предприятия 7
ТЕМА 3. МЕТОДОЛОГИЧЕСКИЕ АСПЕКТЫ ФУНКЦИОНИРОВАНИЯ ПРЕДПРИЯТИЯ 7
ТЕМА 4. СОЦИАЛЬНО-ЭКОНОМИЧЕСКИЕ И ОРГАНИЗАЦИОННЫЕ ФОРМЫ ПРЕДПРИЯТИЙ, ИХ ОСОБЕННОСТИ 9
4.1. Организационные формы предприятий 9
4.2. Объединения предпринимателей 13
ТЕМА 5.СИСТЕМЫ ХОЗЯЙСТВОВАНИЯ И ИХ ВЛИЯНИЕ НА ФУНКЦИОНИРОВАНИЕ ПРЕДПРИЯТИЯ 14
5.1. Влияние рыночной и централизованно-плановой систем хозяйствования на деятельность предприятия 14
5.2. Особенности перехода к рынку в России 15
5.3. Государственное регулирование рыночной экономики 17
РАЗДЕЛ ВТОРОЙ 17
РЕСУРСЫ ПРЕДПРИЯТИЯ И ПОКАЗАТЕЛИ ИХ ИСПОЛЬЗОВАНИЯ 17
ТЕМА 6. ЭКОНОМИЧЕСКОЕ СОДЕРЖАНИЕ И СТРУКТУРА РЕСУРСНОГО ОБЕСПЕЧЕНИЯ ПРЕДПРИЯТИЯ 17
6.1. Экономические ресурсы предприятия 17
6.2. Ограниченность и взаимозаменяемость ресурсов 18
ТЕМА 7. ОСНОВНОЙ КАПИТАЛ И ОБЕСПЕЧЕННОСТЬ ИМ ПРЕДПРИЯТИЯ 20
7.1. Сущность и состав основного капитала 20
7.2. Учет и оценка основных фондов 20
7.3. Амортизационные отчисления 21
7.4. Эффективность использования основного капитала 22
ТЕМА 8.ОБЕСПЕЧЕННОСТЬ ПРЕДПРИЯТИЯ ОБОРОТНЫМ КАПИТАЛОМ 23
8.1. Сущность и структура оборотного капитала 23
8.2. Кругооборот оборотных средств 25
8.3. Определение потребности в оборотных средствах 28
8.4. Упавление запасами товарно-материальных ценностей 31
8.5. Источники формирования оборотных средств 34
ТЕМА 9.ОБЕСПЕЧЕНИЕ ПРЕДПРИЯТИЯ РАБОЧЕЙ СИЛОЙ 36
9.1. Сущность и значение фактора "рабочая сила" 36
9.2. Рынок труда и особенности его функционирования в России 38
9.3. Подбор и обучение кадров 39
9.4. Оценка исполнения работы. Текучесть кадров 40
РАЗДЕЛ ТРЕТИЙ 41
ЭКОНОМИЧЕСКИЕ ПОКАЗАТЕЛИ РЕЗУЛЬТАТОВ ДЕЯТЕЛЬНОСТИ ПРЕДПРИЯТИЯ 41
ТЕМА 10. ИЗДЕРЖКИ ПРЕДПРИЯТИЯ. ИХ СУЩНОСТЬ И СТРУКТУРА 41
10.1. Сущность и классификация издержек 41
10.2. Постоянные и переменные издержки производства 43
10.3. Определение предельных издержек производства 46
10.4. Основные направления снижения издержек производства 48
ТЕМА 11. ФОРМИРОВАНИЕ ФИНАНСОВЫХ РЕЗУЛЬТАТОВ ПРЕДПРИЯТИЯ 49
11.1.Доход предприятия, его сущность и значение 49
11.2. Прибыль как мера эффективности работы предприятия 50
11.3. Распределение и использование прибыли предприятия 55
11.4. Управление формированием прибыли 56
11.5. Рентабельность работы предприятия 60
11.6. Финансовое обеспечение предприятия 61
ТЕМА 12. ЦЕНОВАЯ ПОЛИТИКА ПРЕДПРИЯТИЯ И МЕТОДЫ ЕЕ РЕАЛИЗАЦИИ 63
12.1. Ценовая политика предприятия 64
12.2. Методы расчета цены 67
ТЕМА 13. ПОКАЗАТЕЛИ ОЦЕНКИ ХОЗЯЙСТВЕННОЙ ДЕЯТЕЛЬНОСТИ ПРЕДПРИЯТИЯ И ИХ АНАЛИЗ 68
13.1. Основные показатели оценки деятельности предприятия 69
13.2. Экономический анализ работы предприятия 70
13.3. Анализ финансового положения предприятия 73
РАЗДЕЛ ЧЕТВЕРТЫЙ 74
УПРАВЛЕНИЕ ПРЕДПРИНИМАТЕЛЬСКОЙ ДЕЯТЕЛЬНОСТЬЮ ПРЕДПРИЯТИЯ 74
ТЕМА 14.ПРЕДПРИНИМАТЕЛЬСТВО, ФОРМЫ И МЕТОДЫ ОРГАНИЗАЦИИ ПРЕДПРИНИМАТЕЛЬСКОЙ ДЕЯТЕЛЬНОСТИ 74
14.1. Сущность и основные черты предпринимательской деятельности 74
14.2. Виды предпринимательства, их взаимосвязь и особенности участия в бизнесе 78
14.3. Малые предприятия - важное условие развития национальной экономики 81
ТЕМА 15. ИННОВАЦИОННАЯ И ИНВЕСТИЦИОННАЯ ДЕЯТЕЛЬНОСТЬ ПРЕДПРИЯТИЯ 83
15.1. Стратегия деятельности 83
15.2. Роль инноваций в развитии предприятия 85
15.3. Инвестиционная деятельность предприятия 88
15.4. Оценка эффективности инвестиционных проектов 91
ТЕМА 16.ВНУТРИФИРМЕННОЕ ПЛАНИРОВАНИЕ В ПРЕДПРИНИМАТЕЛЬСТВЕ 96
16.1. Сущность и виды планирования 96
16.2. Бизнес-план - основа создания предприятия 98
ТЕМА 17.КОММЕРЧЕСКИЙ РАСЧЕТ ПРЕДПРИНИМАТЕЛЬСТВА 102
17.1. Основные принципы коммерческого расчета 102
17.2. Требования рынка к организации коммерческо-производственной работы на предприятии 103
17.3. Коммерческая тайна 104
ТЕМА 18. ПРЕДПРИЯТИЕ И РАБОТНИК 105
18.1. Трудовые отношения 105
18.2. Социальное партнерство 107






Рентгенограмма бизнеса.


При этом в конечном счете возможность обеспечения необходимого уровня составляющих конкурентоспособность элементов определяется такими базовыми производственными факторами, как технический уровень производства, уровень организации производства и управления. По существу, основа современной "философии успеха" заключается в подчинении интересов фирмы целям разработки, производства и сбыта конкурентоспособной продукции. На первый план ставится ориентация на долговременный успех и на потребителя. Безусловно, ориентация на потребителя выражает стремление фирмы обеспечить себе наиболее надежный путь к достижению и поддержанию высокой прибыли.
Финансовые результаты, например, многих японских компаний свидетельствуют, что именно эта философия в современных условиях ведет к обеспечению стабильного положения фирм на рынке, высокой рентабельности их деятельности. Поэтому руководители компаний рассматривают вопросы прибыльности с позиций качества, потребительских свойств продукции, конкурентоспособности.
Для анализа положения изделия на рынке, оценки перспектив его сбыта, выбора стратегии продаж используется концепция "жизненного цикла товара". Стратегия производства в зависимости от стадии жизненного цикла товара показана на рис. 22.
Одновременная работа с товарами, находящимися на различных стадиях жизненного цикла, под силу лишь крупным компаниям. Небольшие фирмы вынуждены идти по пути специализации, т.е. выбирают себе одно из следующих "амплуа":
• фирма-новатор, занимающаяся прежде всего вопросами нововведений;
•инжиниринговая фирма, разрабатывающая оригинальные модификации товара и его дизайн;
•узкоспециализированный изготовитель - чаще всего субпоставщик относительно несложных изделий массового выпуска;
• производитель традиционных изделий (услуг) высокого качества.
Рентгенограмма бизнеса.

Как показывает опыт, небольшие фирмы особенно активно действуют в производстве товаров, проходящих стадии формирования рынка и ухода с него. Дело в том, что крупная фирма обычно неохотно идет первой на производство принципиально новой продукции. Последствия возможной неудачи для нее намного тяжелее, чем для небольшой вновь образовавшейся фирмы. И если речь идет не о фундаментальных разработках в области технологии, а о доведении оригинальной идеи нового изделия до стадии материального воплощения, то это вполне под силу относительно небольшим фирмам-новаторам.
Именно они сегодня определяют инновационный процесс в развитых странах.
Таким образом, специализация малых фирм на работе с товарами, находящимися на конкретных стадиях жизненного цикла, порождается стремлением фирмы наиболее эффективно использовать свой потенциал и обеспечить конкурентоспособность товара на рынке.
Согласно закону о конкуренции в мире происходит объективный процесс повышения качества продукции (услуг) и снижения их удельной цены, отражающей отношение цены товара к его полезному эффекту. В условиях конкуренции никто никого не заставляет повышать качество продукции, кроме угрозы банкротства. В результате постоянно идет процесс "вымывания" с рынка некачественной продукции.
Движущей силой конкуренции является стимул к нововведениям. Именно на основе нововведений удается повышать качество продукции (услуг), улучшать полезный эффект товара, тем самым добиваться конкурентного преимущества данного товара. Таким образом, обеспечение конкурентоспособности товара требует новаторского, предпринимательского подхода, сутью которого являются поиск и реализация инноваций.
В этой связи интересно отметить, что один из классиков экономической теории А. Маршалл считал именно предпринимательство коренным свойством, главной чертой рыночной экономики. На самом деле конкуренция лишь создает ситуацию необходимости поиска конкурентных преимуществ фирмы и конкурентоспособности товара, побуждает совершенствовать весь процесс от производства до потребления. Но сами конкурентные преимущества обеспечиваются на основе реализации тех или иных инноваций, т.е. через предпринимательство, поскольку именно оно является реальным двигателем процесса.
Главной предпосылкой инновационной стратегии является моральное старение выпускаемой продукции и технологии. В связи с этим каждые три года на предприятиях следует проводить аттестацию выпускаемых изделий, технологий, оборудования и рабочих мест, анализировать рынок и каналы распределения товаров. Иными словами, должна проводиться рентгенограмма бизнеса.
Каковы же основополагающие принципы новаторской деятельности? П. Друкер считает, что нужно провести четкую линию между тем, что нужно делать, и тем, чего делать не следует.
Что нужно делать
1. Целенаправленная систематическая инновационная деятельность требует непрерывного анализа возможностей указанных выше (см. параграф 14.1) источников инноваций.
2. Инновация должна соответствовать нуждам, желаниям, привычкам людей, которые будут ею пользоваться. Следует задать себе вопрос: "Что должна отражать данная инновация, чтобы у будущих потребителей возникло желание ею пользоваться?"
3. Инновация должна быть простой и иметь точную цель. Величайшая похвала инновации звучит так: "Смотрите-ка, как все просто! Как я до этого не додумался?"
4. Внедрять инновации эффективнее, имея небольшие деньги и небольшое количество людей, ограниченный риск. В противном случае почти всегда не хватает времени и средств для многочисленных доработок, в которых нуждается инновация.
5. Эффективная инновация должна быть нацелена на лидерство на ограниченном рынке, в своей нише. Иначе она создает ситуацию, когда конкуренты вас опередят.
Чего не следует делать
1. Не умничайте. Инновациями будут пользоваться обычные люди, а при достижении крупных масштабов - и люди некомпетентные. Все чересчур сложное в конструкции или в эксплуатации почти наверняка обречено на неудачу.
2. Не разбрасывайтесь, не пытайтесь делать несколько вещей сразу. Инновация требует концентрации энергии. Необходимо, чтобы люди, над ней работающие, хорошо понимали друг друга.
3. Осуществляйте нововведения ради удовлетворения потребностей текущего времени. Если нововведение не найдет немедленного приложения, оно останется лишь идеей.
Инновация -это работа, требующая знаний, изобретательности, таланта. Подмечено, что новаторы в основном работают только в одной области. Например, Эдисон сосредоточил силы только на электричестве. Успешная инновация требует упорнейшей сосредоточенной работы.
Если вы к ней не готовы, не помогут ни знания, ни талант.
Чтобы преуспеть, необходимо использовать свои сильные стороны, люди должны увлечься инновацией всерьез.
Наконец, инновация означает изменения в экономике, промышленности, обществе, в поведении покупателей, производителей, работников. Поэтому она всегда должна ориентироваться на рынок, руководствоваться его потребностями.
Для осуществления предприятием инновационной деятельности, оно должно иметь такую структуру и такой настрой, которые способствовали бы созданию атмосферы предпринимательства, атмосферы восприятия нового как благоприятной возможности. При этом необходимо учесть ряд важных моментов.
Основной организационный принцип для инновации заключается в создании команды из лучших работников, освобожденных от текущей работы.
Как показывает опыт, все попытки превратить существующее подразделение в носителя инновационного проекта заканчиваются неудачей. Причем этот вывод касается как предприятий крупного, так и малого бизнеса. Дело в том, что поддержание производства в рабочем состоянии - уже большая задача для людей, этим занятых. Поэтому на создание нового у них практически не остается времени.
Как отмечает П. Друкер, существующие подразделения, в какой бы сфере они ни функционировали, в основном способны лишь расширять, модернизировать производство.
Предпринимательская и инновационная деятельность не обязательно должна проводиться на постоянной основе, тем более в малых предприятиях, где такая постановка дела зачастую невозможна. Однако необходимо назначить работника, персонально ответственного за успех инноваций. Он должен отвечать за своевременное выявление и замену устаревающей продукции, техники, технологии, за всесторонний анализ производственно-хозяйственной деятельности (рентгенограмму бизнеса), за разработку инновационных мероприятий.
Работник, ответственный за инновационную деятельность, должен быть лицом достаточно авторитетным на предприятии.
Необходимо оградить инновационное подразделение от непосильных нагрузок. Вложения в разработку инноваций не должны включаться в регулярно проводимый анализ отдачи от капиталовложений до тех пор, пока новые изделия (услуги) не утвердятся на рынке. В противном случае дело будет загублено.
Прибыль от реализации инновационного проекта существенно отличается от прибыли, получаемой за выпуск отлаженной продукции. На протяжении длительного времени новаторские начинания могут не давать ни прибыли, ни роста, а только потреблять ресурсы. Затем инновация в течение длительного времени должна быстро разрастаться и возвращать вложенные в ее разработку средства по меньшей мере в пятидесятикратном размере, иначе ее можно рассматривать как неудачную.



Скидки с цены.


Последняя в силу различий между предприятиями в фондовооруженности, фондоемкости, технического строения капитала отлична для каждой группы товаров, для каждой отрасли. Отсюда следует, что те предприятия, где издержки производства равны общественным издержкам или ниже, получают прибыль, а там, где выше, - теряют часть индивидуальной стоимости товара, произведенного на них, и в конечном итоге разоряются. Это означает, что величина издержек производства для предприятия является нижним пределом устанавливаемого уровня цены, ниже которого продажа продукции будет убыточна.
Верхним пределом устанавливаемой цены является рыночная цена, формирующаяся, с одной стороны, под воздействием спроса и предложения, а с другой - конкуренции со стороны производителей аналогичных товаров.
4. При анализе цены конкурента основное внимание должно быть обращено на систему скидок, которые он предоставляет. В мировой практике насчитывается около 20 видов скидок с цены.
Приведем основные из них:
• Скидки с прейскурантной и справочной цены.
• При покупке за наличные покупатель получает так называемую скидку "сконто". Например, формулировка "3/12, нетто 30" означает, что платеж должен быть произведен в течение 30 дней, но покупатель заплатит на 3% меньше, если он оплатит стоимость товара в течение 12 дней.
• Бонусные скидки за оборот даются постоянным покупателям в зависимости от оборота продаж.
• Прогрессивные скидки предоставляются покупателю за количество, объем покупки, серийность.
• Товарообменный зачет или скидка предоставляется за возврат старого, ранее купленного у данной фирмы товара.
• Экспортная скидка при продаже товара на экспорт.
• Функциональные скидки или скидки в сфере торговли предоставляются производителям службами товародвижения за выполнение определенных функций.
• Специальные скидки даются продавцом тем покупателям, в которых продавец более заинтересован.
• Скрытые скидки предоставляются покупатлю в виде бесплатных образцов.
Предоставляются также скрытые, конфиденциальные скидки, не подлежащие фиксированию в контрактах, а реализуемые на основе устной договоренности. Наценки встречаются реже. Они даются иногда за повышение качества товара. Все это, бесспорно, расширяет спектр применения различных тактик установления цен.
Например, для новых продуктов широко используется так называемая тактика "снятия сливок" ("price-skimming"). В данном случае расчет состоит в том, что существует достаточное количество покупателей, желающих платить большую цену за марку товара.
Широко применяется также так называемая тактика проникающего ценообразования (penetration), смысл которой состоит в том, чтобы генерировать первоначальный спрос путем установления низкой цены на вновь вводимый на рынок продукт. В последующем, когда товар будет признан на рынке, цена будет повышаться. Здесь надо иметь в виду, что применение этой тактики эффективно в случаях, когда адаптация потребителей к продукту происходит в относительно короткий период времени и когда отработаны каналы распределения. В противном случае это может привести к большим потерям. В конечном итоге уровень устанавливаемой цены по здравому смыслу должен находиться где-то в промежутке между низкой ценой (издержки производства), не приносящей прибыли, и теоретически высокой ценой, определяемой спросом (рыночная цена) без учета задач предприятия (рис.
19).


ВОЗМОЖНАЯ ЦЕНА

Минимальная цена (издержки производства)

Себестоимость продукции + наценка. Учет цены конкурента

Издержки производства +уникальные возможности товара

Максимальная цена

Рис. 19. Варианты цен


12.2. Методы расчета цены
При расчете возможной цены рекомендуется использовать следующие методы.
Расчет цены по методу "средние издержки плюс прибыль".
Основой расчета являются средние издержки производства плюс наценка. Последняя варьируется в широких пределах в зависимости от вида товара. Например, в США применяются наценки на табачные изделия - 20%, фотокамеры - 28%, книги - 34%, женские платья - 41%, в розничной бакалейной торговле наибольшие наценки делаются на кофе, консервированные молочные продукты и сахар, достаточно высокие - на замороженные продукты, желе и некоторые консервы. Наценки колеблются в широких пределах. Например, на те же самые замороженные пищевые продукты наценки составляют 13-53%.
Эта разница зависит от объема продаж, скорости оборачиваемости товарных запасов и др. Но самое главное - наценка должна учитывать особенности текущего спроса и конкуренции.
Расчет цены на основе анализа безубыточности и обеспечения целевой прибыли.
В данном случае предприятие стремится к установлению такой цены, которая обеспечит ему желаемый объем прибыли. Основой такого расчета является построение так называемого графика безубыточности (рис.20).
Скидки с цены.


Из графика следует, что при цене товара в 15 тыс. руб. (из расчета, что будет продана партия товара 800 единиц на сумму 12 млн руб.) безубыточность предприятия будет при продаже товаров 600 штук, а желаемая прибыль в 2 млн руб. будет при продаже 800 штук. Если же предприятие назначит цену за товар в 20 тыс. руб., то ему для получения желаемой прибыли не надо будет продавать так много товара. Однако следует иметь в виду, что при более высокой цене может быть положение, при котором товар не будет пользоваться спросом.
Установление цены на основе уникальности выпускаемого товара.
Здесь исходят не только из издержек производства, но и ценности товара для покупателя. Например, чашечка кофе с пирожным в магазине может стоить 10 руб., а в семейном ресторанчике - 15 руб. После проведения расчетов устанавливается окончательная цена на производимый товар. Рекомендуется также учитывать не только экономические, но и психологические факторы цены, такие, как престижность товара (дорогие автомобили "Роллс-Ройс", драгоценности и часы "Картье" и т.д.). Многие полагают, что цена должна выражаться нечетным числом.
Эта практика широко распространена в США. Например, считается, что цену за видеомагнитофон следует назначать не 300 долл., а 299. Тогда этот товар будет для многих психологически стоить не 300 долл., а 200.
Кроме того, при установлении цены следует учитывать реакцию на нее со стороны конкурентов и т.д.
И наконец, при установлении цены необходимо учитывать регулирующую роль государства в области ценообразования, налогов с доходов и многое другое. Она проявляется в установлении различных дотаций с целью стимулирования выпуска нужной продукции или с целью обеспечения социальной защищенности населения, установления особой формы налогообложения и т.п. Но государственное регулирование цен по-прежнему должно оставаться важнейшим условием в установлении хозяйственных связей между государством и предприятием на основе размещения госзаказов.
Дело в том, что эффективное функционирование госзаказа может быть только при условии учета общественно необходимых затрат, установления приблизительно равной напряженности в норме прибыли различных отраслей в условиях неодинаковой фондовооруженности.
При формировании цен следует проводить различие между ценами на товары производственного назначения и на товары широкого потребления и продукты питания. Поскольку во многих случаях товары производственного назначения изготавливаются для индивидуального покупателя, то цена является продуктом совместного решения изготовителя и покупателя.
Несколько иной подход наблюдается в определении уровня цен на товары широкого потребления и продукты питания. Здесь важная роль отводится определению величины спроса, формам доведения товара до потребителя (оптовая, розничная и другие формы продаж) и в зависимости от них устанавливается соответствующий уровень цен.







Социальное партнерство - интегральный элемент рыночных отношений.



18.2. Социальное партнерство

В настоящее время в развитых странах получает все большее распространение идея социального партнерства.
Социальное партнерство отражает исторически обусловленный компромисс интересов главных субъектов современных экономических процессов и выражает общественную необходимость социального мира как одного из основных условий политической стабильности и экономического прогресса. Это шаг к реализации прав трудящихся через сотрудничество и взаимные уступки двух основных социальных групп: работодателей и наемных работников. Идеология социального партнерства появилась как в результате теоретических изысканий, так и в ходе борьбы и многократных согласований интересов наемных работников, предпринимателей и государства. Обязательными условиями сотрудничества трех субъектов на всех уровнях являются добровольность, равноправие, ответственность, самоограничение и взаимные уступки в ходе переговоров между субъектами социального партнерства в рамках существующих законов.
Представители разных социальных групп должны выработать достаточно ясные требования и получить в рамках социального партнерства соответствующие полномочия снизу для переговоров.
Идеи социального сотрудничества в сфере труда и трудовых отношений, прежде всего в виде двухстороннего и трехстороннего сотрудничества, или по принятой терминологии бипартизма и трипартизма, были и остаются основой деятельности международной организации труда (МОТ), ее идеологической базой.
Бипартизм - это добровольное, основанное на независимости и равноправии сторон, тесное взаимодействие (диалог, консультации, переговоры) организаций трудящихся и предпринимателей в ходе создания и применения трудовых норм как национальных, так и международных, а также при разрешении трудовых споров. Если такое сотрудничество осуществляется с участием трех сторон: организаций трудящихся, предпринимателей и государственных властей, то оно именуется трипартизмом. Бипартизм и трипартизм - не только идеологическая концепция, но и закрепленная в международных правовых стандартах модель поведения участников коллективных трудовых отношений.
Она включает нормы о сотрудничестве между предпринимателями и трудящимися на уровне предприятия (Рекомендации № 94 и 129), нормы о консультациях и сотрудничестве между государственными властями и организациями предпринимателей и трудящихся в отраслевом и национальном масштабах (Рекомендация № 113) и нормы о трехсторонних консультациях для содействия применению международных трудовых норм (Конвенция № 144, Рекомендация № 152).
Социальное партнерство - интегральный элемент рыночных отношений. Партнерство в экономике следует рассматривать и как этическое понятие, и как организационный принцип. Многие проблемы современного общества, включая преодоление отрицательного влияния индустриализации и механизации, а также социальных изменений в национальном и международном плане, решаются легче, если стороны выступают в качестве партнеров, а не противоборствующих группировок, и ориентируются на кооперацию, а не на конфронтацию.
Партнерство означает признание различного рода социальных интересов отдельных общественных групп и предоставление им права участвовать в экономических и политических процессах, в формировании общественного мнения и в принятии решений. Партнерство предусматривает сотрудничество между работодателями, наемными работниками и государством. Оно служит выражением свободного мышления и поведения, которые исходят из признания нежелательности развития событий в форме классовой борьбы, как это было в прошлом.
К основным слагаемым социального партнерства следует отнести утверждение общечеловеческих ценностей в производстве и в других сферах общественного труда. Деформация и негативные явления в любой сфере общества сказываются на социальном самочувствии людей и, как следствие, проявляются в социальной сфере, ведь качественное состояние социальной сферы - наиболее надежный показатель жизнеспособности общества.
Социальное партнерство предполагает участие наемных работников в управлении. Принципиальное согласие на ведение переговоров со стороны трех главных субъектов (наемных работников, предпринимателей, правительства) сомнений не вызывает, иное дело - реальный состав субъектов и их представителей. Наемные работники в идеале должны быть представлены профсоюзами, выступающими с единой позиции.
Сплочение профдвижений в большинстве демократических стран шло непросто и заняло несколько десятилетий.
Ради налаживания эффективного социального партнерства государство должно пойти на серьезные самоограничения. Речь идет прежде всего о добровольном и узаконенном невмешательстве правительственных органов в коммерческо-административную самостоятельность государственных предприятий, а также в самостоятельность профессиональных организаций рабочих и служащих. Без такого самоограничения государства либо социальное партнерство будет носить формально-бюрократический характер, либо возникнут неконтролируемые очаги социальной напряженности.
Важным аспектом идеи социального партнерства является наличие гарантированной системы законодательства. И хотя западноевропейские страны различаются по степени реализации принципов социального партнерства и конкретным формам его проявления, рассмотрим правовые основы на примере Германии.
Трудовое право можно разделить на индивидуальное и коллективное.
Трудовые отношения между отдельным работником и работодателем осуществляются посредством индивидуального трудового права, которое, в .свою очередь, можно разделить на право трудового договора и право охраны труда. Трудовой договор, по сути, является служебным договором, где оговариваются обязанности работника и работодателя. Правовые основы трудового договора содержатся в 611 Гражданского кодекса законов ФРГ.
Право охраны труда предписывает общие правила для всех работников и особые правила для отдельных групп работников.
К общим правам можно отнести: порядок выплаты заработной платы, распорядок рабочего дня, закон о врачах на производстве, организацию рабочего места. Для отдельных групп работников существуют особые правила, такие, как закон о профобразовании, закон о труде молодежи, закон о надомном труде, закон охраны матерей, закон об инвалидах, закон охраны рабочего места.
Коллективное трудовое право рассматривает права между социальными партнерами. Его основой является свобода объединения в союзы. Под свободой объединения в союзы понимается право на объединение с целью формулирования трудовых и экономических условий.
К таким объединениям можно отнести профсоюзы и союзы работодателей. Следует заметить, что свобода объединения в союзы не может быть ограничена.
Коллективное трудовое право делится на две области: право тарифного договора и право заводской конституции.
Право тарифного договора регулирует права всех видов тарифных договоров. Различают следующие виды тарифных договоров:
1. Тарифный договор по заработной плате рабочих и служащих, определяющий размер оплаты и требования к отпуску. Заключается ежегодно.
2. Общий тарифный договор, определяющий условия для установления размера оплаты. Заключается на длительный промежуток времени.
3. Всеобщий тарифный договор, в котором определяются общие условия трудовых отношений. Заключается на несколько лет.
4. Союзный тарифный договор. Определяет отношения между двумя или более союзами работодателей или профсоюзов. Такой договор действует только в области сторон тарифного договора.
5. Тарифный договор фирмы заключается между работодателем и одним или более профсоюзами.
Для каждого тарифного договора должна быть установлена область применения. Она складывается из трех факторов: 1) пространственный (федеральная область, федеральная земля и т. д.); 2) специальный (металлоиндустрия, химическая промышленность); 3) личный (рабочий, служащий).
Действие тарифного договора законно только в том случае, если он заключен между сторонами, которые могут быть связаны тарифным договором, т. е. для членов союза работодателей и профсоюзов.
С помощью закона заводской конституции регулируются возможности сотрудничества работников. Этот закон действует для всех предприятий, где работает более 5 человек. Значительной частью закона о заводской конституции являются права сотрудничества и участия в руководстве для совета предприятия. Предметами этих прав являются:
1) социальные отношения, которые регулируют рабочее время, перерывы во время рабочего дня, оплату труда, правила выхода в отпуск, защиту от несчастных случаев, управление в социальных . службах, оценку труда, сдельные и премиальные ставки;
2) организация труда, которая определяет ход трудового процесса, организацию рабочего места, трудовую среду;
3) персональные дела. Сюда следует отнести планирование потребности в персонале, составление должностной инструкции, вопросы профессионального обучения;
4) экономические отношения, к которым относят производство и сбыт, программу инвестиций, рационализаторские проекты, методы труда, изменение производственной организации.
Закон об участии в руководстве регулирует право участия работников в наблюдательном (контрольном) совете предприятия с численностью персонала более чем 2000 работников.



Стоимость имущества определяется по балансу.



11.5. Рентабельность работы предприятия

В условиях рыночных отношений, характеризующихся своей динамичностью, приходится постоянно принимать неординарные решения, связанные с учетом финансового положения предприятия. К примеру, если темпы продаж предприятия падают, то уменьшится ли соответственно этому производство товаров или предприятие должно придерживаться прежних темпов развития, делая запас на будущее? Или если спрос на продукцию сильно и неожиданно увеличивается, то можно ли с существующих мощностей снять больше продукции?
Должно ли предприятие развивать новые технологии, требующие значительных капиталовложений, или ограничиться интенсификацией труда? Все это в конечном итоге связано с оценкой использования ресурсов предприятия.
Для оценки уровня эффективности работы предприятия получаемый результат (валовой доход, прибыль) сопоставляется с затратами или используемыми ресурсами. Соизмерение прибыли с затратами означает рентабельность или, точнее, норму рентабельности.
На практике используются два варианта измерения нормы рентабельности. Это отношение прибыли к текущим затратам - издержкам предприятия (себестоимости) или к авансированным вложениям (основным производственным фондам и оборотным средствам). Оба измерителя связаны между собой показателем скорости оборота авансированных вложений.

Стоимость имущества определяется по балансу.

где Р - прибыль;
Р'2, Р'2 - норма прибыли (первый и второй варианты);
Фа, Фз - фонды авансирования и фонды себестоимости.
Поскольку число оборотов
Стоимость имущества определяется по балансу.
то
Стоимость имущества определяется по балансу.
.
Норму рентабельности предприятия можно рассчитать по следующей формуле:
Стоимость имущества определяется по балансу.

где Ц - цена единицы продукции;
С - себестоимость продукции;
П - объем продукции;
Фо - стоимость основных производственных фондов;
Фоб - объем оборотных средств.

В практике работы предприятий применяется ряд показателей рентабельности.
1. Рентабельность продукции можно рассчитать по всей реализованной продукции и по отдельным ее видам. В первом случае она определяется как отношение прибыли от реализации продукции к затратам на ее производство и реализацию. Рентабельность всей реализованной продукции рассчитывается и как отношение прибыли от реализации товарной продукции к выручке от реализации продукции; по отношению балансовой прибыли к выручке от реализации продукции; по отношению чистой прибыли к выручке от реализации продукции.
Показатели рентабельности всей реализованной продукции дают представление об эффективности текущих затрат предприятия и доходности реализуемой продукции.
Во втором случае определяется рентабельность отдельных видов продукции. Она зависит от цены, по которой продукция реализуется потребителю, и себестоимости по данному ее виду.
2. Рентабельность производственных фондов рассчитывается как отношение балансовой прибыли к среднегодовой стоимости основных производственных фондов и материальных оборотных средств. Этот показатель можно рассчитать и по чистой прибыли.
3. Рентабельность вложений в предприятие определяется по стоимости имущества, имеющегося в его распоряжении. При расчете используются показатели балансовой и чистой прибыли. Стоимость имущества определяется по бухгалтерскому балансу.
Кроме прибыли при расчете рентабельности вложений можно использовать выручку от реализации продукции. Этот показатель характеризует уровень продаж на 1 руб. вложений в имущество предприятия.
Рентабельность собственных средств предприятия определяется отношением чистой прибыли к его собственным средствам, определяемым по балансу. Целесообразно рассчитать и отдачу долгосрочных финансовых вложений. Рентабельность долгосрочных финансовых вложений рассчитывается как отношение суммы доходов от ценных бумаг и долевого участия в других предприятиях к общему объему долгосрочных финансовых вложений.
Полученный результат интересно сравнить с рентабельностью производственных фондов. В ряде случаев он может быть выше, чем рентабельность производственных фондов.

11.6. Финансовое обеспечение предприятия

Различают два основных вида финансовых ресурсов, необходимых для деятельности предприятия, - долгосрочные финансовые средства в виде основных фондов (капитала) и краткосрочные (текущие) финансовые средства для каждого производственного цикла, т.е. до момента получения дохода от продажи готовой продукции.
При определении потребности в денежных ресурсах необходимо учитывать:
а) для какой цели требуются денежные средства и на какой период (краткосрочный или долгосрочный);
б) когда и сколько необходимо денежных средств;
в) можно ли изыскать необходимые средства в рамках предприятия или придется обращаться к другим источникам;
г) каковы будут затраты при уплате долгов.
Тщательно взвесив все варианты, выбираем наиболее приемлемый источник получения денежных средств.
Источники финансовых ресурсов делятся на собственные и заемные.
Первоначальное формирование финансовых ресурсов происходит в момент учреждения предприятия, когда образуется уставный фонд. Его источниками в зависимости от организационно-правовых форм хозяйствования выступают акционерный капитал, паевые взносы членов кооперативов, отраслевые финансовые ресурсы (при сохранении отраслевых структур), долгосрочный кредит, бюджетные средства. Величина уставного фонда показывает размер тех денежных средств (основных и оборотных), которые инвестированы в процесс производства.
Основным источником финансовых ресурсов на действующих предприятиях выступают прибыль (от основной и других видов деятельности) и амортизационные отчисления. Наряду с ними источниками финансовых ресурсов выступают: выручка от реализации выбывшего имущества, устойчивые пассивы, различные целевые поступления и др.
При недостатке собственных средств предприятие может обратиться за кредитом. В зависимости от того, на какое время берется кредит, различают краткосрочные (до года), среднесрочные (от года до трех лет) и долгосрочные кредиты (от трех до пяти лет).
Кредитование имеет две разновидности:
• кредитование деятельности хозяйствующего субъекта в форме прямой выдачи денежных ссуд (банковский кредит);
• кредитование как разновидность расчетов, т.е. расчетов с рассрочкой платежей (торговый кредит).
Для получения кредита заемщик подает в банк (т.е. кредитору) заявку и другие требующиеся документы. В заявке указываются цель получения кредита, сумма и срок, на который испрашивается кредит. Другие документы устанавливаются конкретным банком-кредитором.
К ним обязательно относятся учредительные документы, карточки с образцами подписей и печати, баланс.
Получив документы, банк-кредитор оценивает кредитоспособность и платежеспособность заемщика. Затем заключается кредитный договор, который содержит вид кредита, сумму и срок кредита, расчеты процентов и комиссионн х вознаграждений банка за его расходы, связанные с выдачей кредита, вид обеспечения кредита и форму передачи кредита заемщику.
Важным условием выдачи кредита является его обеспечение. Обеспечение кредита - это ценности, служащие для кредитора залогом полного и своевременного возврата должником полученной ссуды и уплаты процентов. Основными видами обеспечения кредита могут быть поручительство, гарантия, залог и страхование ответственности заемщика за непогашение кредита.
Поручителем или гарантом может являться любой хозяйствующий субъект (банк, предприятие, ассоциация и др.).
Банковский кредит выдается на конкретный срок под определенный кредитный процент. Кредит может выдаваться под долговое обязательство, именуемое векселем. Одна из форм банковского кредита состоит в том, что банк разрешает фирме расходовать деньги сверх суммы на ее расчетном счете.
Такой кредит называется овердрафтом, за него также уплачивается процент банку.
Следует отметить, что из-за высоких процентных ставок, действующих в настоящее время в России, пользование банковским кредитом для многих предприятий не представляется возможным. При острой необходимости в средствах пользуются в основном краткосрочным кредитом.
Торговый кредит, именуемый также коммерческим, заключается в том, что предприниматель приобретает товар с отсрочкой платежа. А это равносильно получению в долг от продавца товара суммы, равной стоимости товара. Предприниматель, приобретающий товар, обязуется согласно контракту, заключенному с поставщиком, вернуть ему стоимость полученного товара в определенный срок с выплатой процента за кредит, предоставленный в виде товара. Торговым кредитом пользуются преимущественно оптовые покупатели товара, хотя не исключается его использование и при продаже в розницу.
В этом случае принято говорить о покупке товаров с оплатой в рассрочку.
В условиях рыночной экономики получают развитие новые формы взаимоотношений предприятий и банков. Прежде всего имеются в виду лизинг, факторинг, франчайзинг.
Лизинг - форма долгосрочной аренды, связанная с передачей в пользование оборудования, транспортных средств и другого движимого и недвижимого имущества. Различают два вида лизинга: финансовый и операционный.
Финансовый лизинг предусматривает выплату арендатором в течение действия контракта сумм, покрывающих полную стоимость амортизации оборудования или большую ее часть, а также прибыли арендодателя.



Тема 10. ИЗДЕРЖКИ ПРЕДПРИЯТИЯ. ИХ СУЩНОСТЬ И СТРУКТУРА


9.1. Сущность и значение фактора "рабочая сила"

Рабочая сила, как трактуется в курсе экономической теории, -это совокупность физических и умственных способностей человека, его способность к труду. В условиях рыночных отношений "способность к труду" делает рабочую силу товаром. Но это не обычный товар.
Его отличие от других товаров состоит в том, что он, во-первых, создает стоимость больше, чем он стоит, во-вторых, без его привлечения невозможно осуществлять любое производство, в-третьих, от него во многом зависят степень (эффективность) использования основных и оборотных производственных фондов, экономика хозяйствования в целом.
Поэтому для предприятия с позиции ведения его экономики далеко не безразлично, как и на каких условиях должно происходить удовлетворение его потребностей в рабочей силе (пожизненный наем, как в Японии, или по мере необходимости и пр.), и как она должна использоваться в процессе производства товаров и услуг.
Обеспечение предприятия рабочей силой следует рассматривать с позиции экономики трудовых рыночных отношений, которые включают в себя многочисленные проблемы, решаемые в ходе этих отношений (рис. 5).
Тема 10. ИЗДЕРЖКИ ПРЕДПРИЯТИЯ. ИХ СУЩНОСТЬ И СТРУКТУРА

Каждая из вышеназванных сфер имеет свою специфику и степень влияния на экономику трудовых отношений. К примеру, соотношение занятости населения и безработицы влияет на характер предложения рабочей силы, а уровень социального партнерства во многом определяет результаты организации труда, его эффективность. Все это в конечном итоге предполагает разработку и проведение на каждом предприятии соответствующей кадровой политики. Основными ее направлениями должны стать: определение потребностей в рабочей силе как по количеству, так и по качеству, форм ее привлечения и дополнения, разработка мероприятий по улучшению ее использования.
Последняя относится как к повышению квалификации, так и к созданию условий для полного проявления стимулов к высокопроизводительному труду со стороны каждого работника. Кадровая политика должна строиться как с учетом формирования существующего рынка труда, так и специфики производства на самом предприятии. Критерием ее оценки должна стать эффективность экономики производства.
Проведение кадровой политики предполагает осуществление определенного учета работающих на предприятии. Работники предприятий подразделяются на списочный, промышленно-производственный персонал (ППП) и персонал непромышленных подразделений.
Списочный состав работников предприятия - это принятые на постоянную и временную работу, связанную с основной и неосновной деятельностью, на срок один день и более. Списочный состав включает: фактически работающих; находящихся в простое и отсутствующих по каким-либо причинам (служебные командировки), ежегодных дополнительных отпусках, не явившихся с разрешения администрации; выполняющих государственные и общественные обязанности; привлеченных на сельскохозяйственные работы (если за ними сохраняется заработная плата); не явившихся по болезни; находящихся в декретном отпуске, неоплачиваемом дополнительном отпуске по уходу за ребенком; учащихся ПТУ, находящихся на балансе предприятия; работающих неполный рабочий день или неделю; надомников. Показатель списочного состава работников определяется ежедневно по данным табельного учета.
Промышленно-производственный персонал (ППП) - занятые непосредственно в производственной деятельности и обслуживании производства: работники основных и вспомогательных цехов, аппарата заводоуправления, лабораторий, научно-исследовательских и опытно-конструкторских отделов, вычислительных центров и т.д.
К персоналу непромышленных подразделений относятся работники, занятые в жилищном, коммунальном и подсобном хозяйствах, здравпунктах, профилакториях, учебных заведениях и т.д.
В зависимости от характера выполняемых функций выделяются следующие категории промышленно-производственного персонала: рабочие (включая младший обслуживающий персонал и охрану) и служащие, в составе которых выделяют руководителей, специалистов, конторский, учетный и прочий персонал.
Руководители - работники, занимающие должности руководителей предприятия (директора, мастера, главные специалисты и др.).
Служащие - работники, осуществляющие подготовку и оформление документов, учет и контроль, хозяйственное обслуживание (агенты, кассиры, делопроизводители, секретари, статистики и др.).
Самая многочисленная и основная категория персонала - рабочие, которые непосредственно участвуют в производстве продукции, а также в ремонте и уходе за оборудованием, производят перемещение предметов труда, готовой продукции и т.д.

9.2. Рынок труда и особенности его функционирования в России

Рабочая сила, будучи товаром, реализует себя на рынке труда, представляющем собой социально-экономические отношения по поводу найма рабочей силы и ее использования между работодателем и рабочей силой. На рынке фиксируются ставки заработной платы и условия занятости. Все это происходит с учетом профессии, работы, занятости.
Занятость - это деятельность граждан, связанная с удовлетворением личных и общественных потребностей на основе получения ими заработка (трудовой доход).
Она имеет несколько видов, представленных на рис. 6.
Тема 10. ИЗДЕРЖКИ ПРЕДПРИЯТИЯ. ИХ СУЩНОСТЬ И СТРУКТУРА

Величина рынка труда определяется как трудовыми ресурсами *, так и масштабами развития производительных сил. Для любого товарного рынка присущи свои особенности. Характерной чертой рынка труда, отличающей его от любого товарного рынка, является то, что наем и использование рабочей силы происходят на основе добровольности как работника, так и работодателя и обеспечения социальных гарантий со стороны государства.

*Трудовые ресурсы - часть населения, занятая в народном хозяйстве или способная работать, но не работающая по тем или иным причинам (домохозяйки, учащиеся с отрывом от производства и др.). В состав трудовых ресурсов включаются: население в трудоспособном возрасте (мужчины 16-59 лет, женщины 16-54 лет), кроме неработающих инвалидов 1-й и 2-й групп и неработающих лиц, получающих пенсию на льготных условиях, фактически работающие подростки и пенсионеры.

Наем и использование рабочей силы в России регулируются Основами законодательства Союза ССР и Республик о занятости населения, от 15 января 1991 г. № 1905-1. Их исходным понятием является положение о том, что, с одной стороны, гражданам принадлежит исключительное право распоряжаться своими способностями к производительному и творческому труду, и отсюда занятость основывается на свободном волеизъявлении граждан, а с другой - возможностями получения трудящимися достойных условий занятости, труда и жизни.
Рынок труда, как и любой товарный рынок, основан на спросе и предложении. Спрос в данном случае выступает в форме потребности на занятие свободных рабочих мест и выполнения работ, а предложение - в наличии незанятой рабочей силы или желания изменить место работ. Спрос и предложение осуществляются в конкурентной борьбе между работниками за занятие того или иного рабочего места или выполнение работы и между работодателями за привлечение нужной рабочей силы как по своему количественному, так и качественному составу.

9.3. Подбор и обучение кадров

Для подбора кадров существует много методов: через друзей и родственников, путем объявлений в газетах, на радио и по телевидению, расклеивания объявлений, а также с помощью агентства по трудоустройству. С каждым кандидатом проводится подробное собеседование. Может также использоваться письменное тестирование.
В итоге выясняется пригодность для соответствующей должности и отбирается наиболее подходящий.
Условия, на которых принимается на работу подобранный работник, обычно излагаются в форме договора с указанием прав и обязанностей обеих сторон. Каждый сотрудник прежде, чем приступить к работе, должен расписаться в документе, содержащем все условия найма и работы в данной должности. Этот документ впоследствии может защитить и работника, и нанимателя от претензий в случае возникновения спора.
В процессе конкурса кандидатов выбор падает на наиболее квалифицированных и опытных специалистов. Однако трудно рассчитывать, что новички сразу поймут, например, организационную структуру предприятия или быстро освоят какое-то специальное оборудование. Да и работающим сотрудникам тоже необходимо обновлять свои знания в привязке к выполняемой работе. Отсюда возникает потребность в обучении кадров, которое позволяет решить следующие задачи:
• персонал больше узнает о своем предприятии;
• работники знакомятся с новыми разработками и видами техники;
• повышается удовлетворенность коллектива, поскольку люди чувствуют, что их ценят;
• в сочетании с эффективным стимулированием обучение помогает получить максимальную отдачу от персонала.
Обучение может проводиться в различных формах:
на рабочем месте;
короткие консультации в процессе работы;
организованные курсы обучения в течение какого-то времени;
краткосрочные курсы с отрывом от производства.

Следует продумать и такие вопросы:
1. Кто будет осуществлять обучение?
2. Кого необходимо обучать?
3. Где организовать обучение?
4. Какова продолжительность обучения?



Тема 11. ФОРМИРОВАНИЕ ФИНАНСОВЫХ РЕЗУЛЬТАТОВ ПРЕДПРИЯТИЯ


10.1. Сущность и классификация издержек

Количество товара, которое предприятие может предложить на рынке, зависит от уровня издержек (затрат) на его производство и цены, по которой товар будет продаваться на рынке.
Из этого следует, что знание издержек на производство и реализацию товара является одним из важнейших условий эффективного хозяйствования предприятия.
Издержки - это денежное выражение затрат производственных факторов, необходимых для осуществления предприятием своей производственной и коммерческой деятельности.
Они могут быть представлены в показателях себестоимости продукции, которая характеризует в денежном измерении все материальные затраты и затраты на оплату труда, которые необходимы для производства и реализации продукции.
В Положении о составе затрат по производству и реализации продукции (работ, услуг), включаемых в себестоимость продукции (работ, услуг) и о порядке формирования финансовых результатов, учитываемых при налогообложении прибыли, утвержденном постановлением Правительства Российской Федерации от 5 августа 1992 г. № 552, указывается: "Себестоимость продукции (работ, услуг) представляет собой стоимостную оценку используемых в процессе производства продукции (работ, услуг) природных ресурсов, сырья, материалов, топлива, энергии, основных фондов, трудовых ресурсов, а также других затрат на ее производство и реализацию". Приведенное определение себестоимости относится к производственным затратам и в принятой классификации составляет производственную (фабрично-заводскую), а с учетом затрат по реализации продукции - полную себестоимость промышленной продукции. Последняя складывается из затрат, связанных с использованием в процессе производства промышленной продукции основных фондов, сырья, материалов, топлива и энергии, труда, а также других затрат на ее производство и реализацию. В себестоимость продукции включаются:
затраты на подготовку и освоение производства;
затраты, непосредственно связанные с производством продукции, обусловленные технологией и организацией производства;
затраты на оплату труда;
затраты, связанные с использованием природного сырья;
затраты некапитального характера, связанные с совершенствованием технологии и организации производства, а также с улучшением качества продукции;
расходы, связанные с изобретательством, техническим усовершенствованием и рационализаторскими предложениями;
затраты по обслуживанию производственного процесса (текущий, средний и капитальный ремонт)*;
затраты по обеспечению нормальных условий труда и техники безопасности;
расходы, связанные с набором рабочей силы;
текущие расходы, связанные с содержанием и эксплуатацией фондов природоохранного назначения;
расходы, связанные с подготовкой и переподготовкой кадров;
расходы по транспортировке работников к месту работы и обратно;
выплаты, предусмотренные законодательством о труде (оплата отпусков, компенсаций и т.д.);
отчисления на государственное социальное страхование и пенсионное обеспечение, в государственный фонд занятости от затрат на оплату труда работников, занятых в производстве соответствующей продукции;
отчисления по страхованию имущества предприятия;
затраты на оплату процентов по краткосрочным ссудам банков, оплата услуг банков;
затраты по гарантийному обслуживанию;
расходы, связанные со сбытом продукции (упаковка, хранение, транспортировка);
затраты на воспроизводство основных производственных фондов (амортизация на полное восстановление);
износ (амортизация) по нематериальным активам;
потери от брака;
потери от простоев по внутрипроизводственным причинам.

* Затраты на проведение модернизации оборудования и реконструкцию объектов основных фондов не включаются.

Величина этих затрат зависит от цен на ресурсы, необходимые для производства товаров, а также от технологии их использования.
Цена, по которой приобретаются производственные ресурсы, не зависит от деятельности предприятия. Она определяется складывающимся спросом и предложением на ресурсы. Отсюда для предприятия чрезвычайно важен технологический аспект формирования издержек производства, определяющий, с одной стороны, количество привлекаемых производственных ресурсов, а с другой - качество их использования.
Причем предприятие должно использовать такие методы производства, которые были бы эффективными как с технологической, так и экономической точки зрения * и обеспечивали бы наименьшие издержки производства.

* Способ производства является технологически эффективным только в том случае, если обеспечивает достижение максимально возможного выпуска изделия при минимальном количестве привлечения производственных ресурсов. Экономическая эффективность этого способа достигается, когда минимизируется альтернативная стоимость используемых в процессе производства видов затрат.

В итоге экономические издержки - это плата поставщику, осуществляемая предприятием, или доходы поставщика ресурсов, обеспечиваемые предприятием, а также внутренние издержки на то, чтобы ресурсы были применены именно данным предприятием и для определенного варианта производства.
Различают внешние и внутренние издержки. Внешние - это оплата труда работников, топлива, комплектующих изделий, т.е. того, что не производит предприятие для создания данного изделия. В зависимости от специализации величина внешних издержек для производства одной и той же продукции колеблется.
Так, на сборочных заводах удельный вес внешних издержек больше.
Владелец собственного предприятия или магазина не платит самому себе заработную плату, не получает арендной платы за здание, в котором находится магазин. Если вкладывает денежные средства в торговлю, то не получает тех процентов, которые бы он имел, положив деньги в банк. Но владелец данного предприятия получает так называемую нормальную прибыль.
В противном случае он не будет заниматься этим делом. Эта прибыль составляет элемент издержек. Принято выделять чистую, или экономическую, прибыль, которая равна общей выручке за вычетом внешних и внутренних издержек, включая и нормальную прибыль.
В отличие от экономической бухгалтерская прибыль равна общей выручке минус внешние издержки.

10.2. Постоянные и переменные издержки производства

Различные виды ресурсов по-разному переносят свою стоимость на готовую продукцию. В соответствии с этим в теории и на практике различают постоянные и переменные издержки производства.
К постоянным издержкам производства относят затраты, величина которых не меняется с изменением объемов производства. Они должны быть оплачены, даже если предприятие не производит продукцию (отчисления на амортизацию, аренда зданий и оборудования, страховые взносы, оплата высшего управленческого персонала и т.д.).
Под переменными понимают издержки, общая величина которых находится в непосредственной зависимости от объемов производства и реализации, а также от их структуры при производстве и реализации нескольких видов продукции. Это затраты на сырье и материалы, топливо, энергию, транспортные услуги, большую часть трудовых ресурсов и т.д.
Из определения следует, что величины переменных издержек в конечном счете зависят не только от объемов производства, но и от экономии материальных и трудовых затрат в результате проводимой рационализации производства и труда. Воздействие последних приводит к тому, что переменные издержки с ростом объемов производства увеличиваются по-разному. На практике выделяют три возможных случая увеличения переменных издержек: пропорционально увеличению объемов производства, регрессивно, опережающими темпами в сравнении с ростом объемов производства.
Выявить степень влияния экономии материальных и трудовых ресурсов на характер изменения переменных издержек возможно только на основе исчисления средних переменных издержек на единицу продукции. Проиллюстрируем это на примерах, основанных на условных данных (табл. 6).
Таблица 6
Динамика переменных издержек


Производство, единица
(Q)

Переменные издержки, тыс. руб. (иv)

Средние переменные издержки, руб. (Иvcp)

0

0

-

100

2000

20,00

200

4000

20,00


1. Переменные издержки растут пропорционально увеличению объемов производства.
Перенесем данные таблицы на графики (рис. 7).
Тема 11. ФОРМИРОВАНИЕ ФИНАНСОВЫХ РЕЗУЛЬТАТОВ ПРЕДПРИЯТИЯ

Возрастание средних переменных издержек в расчете на единицу продукции на одну и ту же величину (20 руб.) объясняется отсутствием экономии ресурсов.
2. Переменные издержки растут меньшими темпами по сравнению с ростом производства (табл. 7, рис. 8).
Таблица 7
Регрессивный характер роста переменных издержек

Производство, единиц (Q)

Переменные издержки, тыс. руб. (иv)

Средние переменные
издержки, руб.(Иvcp)

0

0



100

2000

20,00

200

3000

15,00

300

3800

12,67

400

4500

11,25

500

5000

10,00

Как видно, средние переменные издержки в расчете на единицу продукции уменьшаются с ростом объемов производства, но при росте переменных издержек.
Тема 11. ФОРМИРОВАНИЕ ФИНАНСОВЫХ РЕЗУЛЬТАТОВ ПРЕДПРИЯТИЯ

3. Переменные издержки увеличиваются по сравнению с ростом объема производства более высокими темпами. Это обусловливается не только отсутствием какой бы то ни было рационализации производства, но и перерасходом материальных затрат и трудовых ресурсов, что выражается в росте затрат на единицу продукции (табл. 8, рис.
9).



Тема 12. ЦЕНОВАЯ ПОЛИТИКА ПРЕДПРИЯТИЯ И МЕТОДЫ ЕЕ РЕАЛИЗАЦИИ


* В данной теме использованы материалы книги "Финансы предприятий" / Под ред. Е.И. Бородиной. - М.: ЮНИТИ, 1995, гл. 3.


11.1. Доход предприятия, его сущность и значение

Прибыль как экономическая категория отражает чистый доход, созданный в сфере материального производства в процессе предпринимательской деятельности. Результатом соединения факторов производства (труда, капитала, природных ресурсов) и полезной производительной деятельности хозяйствующи субъектов является готовая продукция, которая становится товаром при условии ее реализации потребителю.
На стадии продажи выявляется стоимость товара, включающая стоимость прошлого овеществленного труда и живого труда. Стоимость живого труда отражает вновь созданную стоимость и распадается на две части. Первая представляет собой заработную плату работников, участвующих в производстве продукции. Ее величина определяется рядом факторов, обусловленных необходимостью воспроизводства рабочей силы. В этом смысле для предпринимателя она представляет часть издержек по производству продукции.
Вторая часть вновь созданной стоимости отражает чистый доход, который реализуется только в результате продажи продукции, что означает общественное признание ее полезности.
На уровне предприятия в условиях товарно-денежных отношений чистый доход принимает форму прибыли. На рынке товаров предприятия выступают как относительно обособленные товаропроизводители. Установив цену на продукцию, они реализуют ее потребителю, получая при этом денежную выручку, что не означает получение прибыли. Для выявления финансового результата необходимо сопоставить выручку с затратами на производство и реализацию, которые принимают форму себестоимости продукции. Когда выручка превышает себестоимость, финансовый результат свидетельствует о получении прибыли.
Предприниматель всегда ставит своей целью прибыль, но не всегда ее получает. Если выручка равна себестоимости, то удалось лишь возместить затраты на производство и реализацию продукции. При реализации без убытков отсутствует и прибыль как источник производственного, научно-технического и социального развития.
При затратах, превышающих выручку, предприятие получает убытки - отрицательный финансовый результат, что ставит его в достаточно сложное финансовое положение, не исключающее и банкротство.
Прибыль как важнейшая категория рыночных отношений выполняет определенные функции.
Во-первых, характеризует экономический эффект, полученный в результате деятельности предприятия. Но все аспекты деятельности предприятия с помощью прибыли оценить невозможно. Такого универсального показателя и не может быть.
Именно поэтому при анализе производственно-хозяйственной и финансовой деятельности предприятия используется система показателей.
Значение прибыли состоит в том, что она отражает конечный финансовый результат. Вместе с тем на величину прибыли, ее динамику воздействуют факторы, как зависящие, так и не зависящие от усилий предприятия. Практически вне сферы воздействия предприятия находятся конъюнктура рынка, уровень цен на потребляемые материально-сырьевые и топливно-энергетические ресурсы, нормы амортизационных отчислений.
В известной степени зависят от предприятия такие факторы, как уровень цен на реализуемую продукцию и заработная плата, уровень хозяйствования, компетентность руководства и менеджеров, конкурентоспособность продукции, организация производства и труда, его производительность, состояние и эффективность производственного и финансового планирования.
Перечисленные факторы влияют на прибыль не прямо, а через объем реализуемой продукции и себестоимость, поэтому для выяснения конечного финансового результата необходимо сопоставить стоимость объема реализуемой продукции и стоимость затрат и ресурсов, используемых в производстве.
Во-вторых, прибыль обладает стимулирующей функцией. Ее содержание состоит в том, что она одновременно является финансовым результатом и основным элементом финансовых ресурсов предприятия. Реальное обеспечение принципа самофинансирования определяется полученной прибылью.
Доля чистой прибыли, оставшейся в распоряжении предприятия после уплаты налогов и других обязательных платежей, должна быть достаточной для финансирования расширения производственной деятельности, научно-технического и социального развития предприятия, материального поощрения работников.
В-третьих, прибыль является одним из источников формирования бюджетов разных уровней. Она поступает в бюджеты в виде налогов и наряду с другими доходными поступлениями используется для финансирования удовлетворения совместных общественных потребностей, обеспечения выполнения государством своих функций, государственных инвестиционных, производственных, научно-технических и социальных программ.
В условиях рыночной экономики значение прибыли огромно. Стремление к ее получению ориентирует товаропроизводителей на увеличение объема производства продукции, нужной потребителю, снижение затрат на производство. При развитой конкуренции этим достигается не только цель предпринимательства, но и удовлетворение общественных потребностей. Для предпринимателя прибыль является сигналом, указывающим, где можно добиться наибольшего прироста стоимости, создает стимул для инвестирования в эти сферы. Свою роль играют и убытки.
Они высвечивают ошибки и просчеты в направлении средств, организации производства и сбыта продукции.
Экономическая нестабильность, монопольное положение товаропроизводителей искажают формирование прибыли как чистого дохода, приводят к стремлению получения доходов главным образом в результате повышения цен. Устранению инфляционного наполнения прибыли способствуют финансовое оздоровление экономики, развитие рыночных механизмов ценообразования, оптимальная система налогов. Эти задачи должно выполнять государство в ходе осуществления экономических реформ.
Рассматривая прибыль как экономическую категорию, мы говорим о ней абстрактно. Но при планировании и оценке хозяйственной и финансовой деятельности предприятия, распределении прибыли, оставшейся в распоряжении предприятия, используются конкретные показатели. Емким информативным показателем является балансовая прибыль.

11.2. Прибыль как мера эффективности работы предприятия

Прибыль (убыток) от реализации продукции (работ, услуг) определяется как разница между выручкой от реализации продукции (работ, услуг) без налога на добавленную стоимость и акцизами и затратами на производство и реализацию, включаемыми в себестоимость продукции (работ, услуг).
Из приведенного определения следует, что ее происхождение связано с получением валового дохода предприятием от реализации своей продукции (работ, услуг) по ценам, складывающимся на основе спроса и предложения. Валовой доход предприятия - выручка от реализации продукции (работ, услуг) за вычетом материальных затрат - представляет собой форму чистой продукции предприятия, включает в себя оплату труда и прибыль. Связь между ними показана на рис.
15.




Валовой доход

Материальные затраты

Оплата труда

Прибыль

Издержки производства (себестоимость)

Чистый доход

Объем реализации


Рис. 15. Себестоимость, валовой доход и прибыль предприятия

Трудовой коллектив заинтересован как в повышении оплаты труда, так и в росте прибыли, поскольку последняя в условиях конкуренции является источником не только выживания, но и расширения производства, а следовательно, и роста благосостояния работников предприятия, их жизненного уровня. Из этого также следует, что масса прибыли и валового дохода характеризует не что иное, как размер эффекта, получаемого в результате производственно-хозяйственной деятельности предприятия.
В условиях рыночных отношений предприятие должно стремиться если не к получению максимальной прибыли, то по крайней мере к тому объему прибыли, который позволял бы ему не только прочно удерживать свои позиции на рынке сбыта своих товаров и оказания услуг, но и обеспечивать динамичное развитие его производства в условиях конкуренции. В конечном итоге это предполагает знание источников формирования прибыли и нахождение методов по лучшему их использованию.
В условиях рыночных отношений, как свидетельствует мировая практика, имеются три основных источника получения прибыли:
первый источник образуется за счет монопольного положения предприятия по Jыпуску той или иной продукции или(и) уникальности продукта. Поддержание этого источника на относительно высоком уровне предполагает постоянное обновление продукта. Здесь следует учитывать такие противодействующие силы, как антимонопольная политика государства и растущая конкуренция со стороны других предприятий;
второй источник связан непосредственно с производственной и предпринимательской деятельностью. Практически он касается всех предприятий. Эффективность его использования зависит от знания конъюнктуры рынка и умения адаптировать развитие производства под эту постоянно меняющуюся конъюнктуру.
Здесь все сводится к проведению соответствующего маркетинга. Величина прибыли в данном случае зависит, во-первых, от правильности выбора производственной направленности предприятия по выпуску продукции (выбор продуктов, пользующихся стабильным и высоким спросом); во-вторых, от создания конкурентоспособных условий продажи своих товаров и оказания услуг (цена, сроки поставки, обслуживание покупателей; послепродажное обслуживание и т.д.); в-третьих, от объемов производства (чем больше объем производства, тем больше масса прибыли); в-четвертых, от структуры снижения издержек производства;



Тема 13. ПОКАЗАТЕЛИ ОЦЕНКИ ХОЗЯЙСТВЕННОЙ ДЕЯТЕЛЬНОСТИ ПРЕДПРИЯТИЯ И ИХ АНАЛИЗ


12.1. Ценовая политика предприятия

Цена на продукт является для предприятия не только важным фактором, определяющим его прибыль, но и условием успешной реализации товаров. Дело в том, что цена в данном случае, как тактическое средство, дает предприятию целый ряд преимуществ:
• во-первых, в отличие от большинства методов, применяемых по стимулированию спроса, использование цены не требует дополнительных денежных расходов, как это имеет место при проведении рекламных мероприятий, индивидуализации продукта, продвижении и т.д.;
• во-вторых, потребители находят для себя привлекательность товаров, выраженную в цене, легче, чем на основе рекламы, индивидуализации продукта и т.п.;
• в-третьих, наконец, даже когда такие методы стимулирования, как организация персональных продаж и рекламы, являются основными, цена может использоваться как мощное средство их поддержания.
В чем же проявляется воздействие цены на потребителя? Оно находит свое выражение в установлении соответствующего ее уровня. Речь идет о том, что устанавливаемый уровень цены должен отражать предпочтение покупателей, их предполагаемую выгоду, получаемую от покупки того или иного продукта.
Каким образом это достигается?
Один из путей подобного решения состоит в том, что необходимо рассматривать цену как одно из неотъемлемых свойств продукта наряду с потребительскими свойствами товара, его качеством и т.д. И в самом деле, если цена на товар устанавливается слишком высокая, то такой товар может быть не куплен, а если и куплен, то в меньшем объеме. На практике имеется целая серия ценовых стратегий:
• стратегия высоких цен ("снятие сливок" - "price-skimming") предусматривает продажу первоначально значительно выше издержек производства, а затем их понижения. Это относится к товарам-новинкам, защищенным патентами. Подобная стратегия возможна в условиях высокого уровня текущего спроса, восприятия высокой цены со стороны потребителя как свидетельство высокого качества товара и др.;
• стратегия низких цен, или стратегия "проникновения" на рынок. Это делается с целью стимулирования спроса (персональные компьютеры), что эффективно на рынках с большим объемом производства и высокой эластичностью спроса, когда покупатели резко реагируют на снижение цен и увеличивают спрос. Фирма за счет массового производства выдерживает низкий уровень цен;
• стратегия дифференцированных цен проявляется в установлении цен в сочетании со всевозможными скидками и надбавками к среднему уровню цен для различных рынков, их сегментов и покупателей;
• стратегия льготных цен направлена на работу с покупателями, в которых заинтересована фирма, предлагая им товар по льготной цене;
• стратегия гибких, эластичных цен. Цены устанавливаются в зависимости от возможностей покупателя, его покупательной силы;
• стратегия стабильных, стандартных, неизменных цен;
• стратегия неокругленных цен, при которой покупатель покупает товар не за $100, а за $99.99. В этом случае покупатель рассматривает эти цены как низкие или как доказательство тщательного подсчета и установления цены фирмой;
• стратегия цен массовых закупок;
• стратегия тесного увязывания уровня цен с качеством товара и др.
Прежде чем применять на практике ту или иную ценовую политику, надо повседневно следить за складывающимся уровнем це. Представление о динамике цен обычно формируется из рассмотрения цен фактических сделок; биржевых, цен аукционов и торгов; цен, приводимых в статистических справочниках, цен предложений крупных фирм, справочных цен.
Наиболее полное представление о складывающемся уровне цен дают фактические сделки и договоры. Эти цены могут рассматриваться как конкурентные цены при ведении переговоров.
Биржевые котировки служат хорошим ориентиром при торговле биржевыми товарами, они отражают фактические сделки на определенный период. При их анализе следует иметь в виду, что они подвержены влиянию экономической конъюнктуры.
Цены аукционов и торгов близки к котировкам бирж.
В статистических источниках, как правило, даются средние цены. Справочные цены публикуются в справочных изданиях, каталогах, журналах, газетах и т. д. При их рассмотрении следует иметь в виду, что они не отражают реальной картины, поскольку продавцы обычно предоставляют с них разнообразные скидки. Характерной чертой справочных цен является их стабильность во времени, они мало меняются при изменении конъюнктуры, тогда как скидки и надбавки чаще подвергаются пересмотру.
Контрактные цены - цены, по которым можно и продать товар, но чаще всего в результате переговоров покупателя и продавца происходит снижение цены, для чего в контрактной цене имеется небольшой резерв. Контрактная цена может быть твердая (фиксированная), устанавливаемая окончательно в момент подписания контракта, она может быть ценой с последующей фиксацией или в момент, определенный контрактом.
Подвижная цена - в случае изменения условий, оговоренных в контракте, она может быть пересмотрена.
Скользящая цена исчисляется в момент исполнения контракта путем пересмотра договорной, базисной цены с учетом изменения в издержках производства, происшедших в период исполнения контрактов.
Экспортная цена товара - на ее уровень влияет множество факторов: объем продаж, прибыльность сбыта на внешнем рынке, время и сроки продажи товара, его поставки, условия экономического, политического, правового и культурного развития страны-импортера. Она устанавливается на основе так называемых базисных условий, которые учитывают: стоимость самого товара, обязанности продавца по оплате расходов по транспортировке и страхованию товара (франкированию цены).
Международная торговая палата предусматривает различные базисные условия определения цены в контрактах. Наиболее распространенными условиями являются ФОБ (в цену включается только стоимость товара) и СИФ (продавец несет расходы на фрахтование транспортных средств и страхование).
В экономике предприятия исходным принципом ценообразования является возмещение затрат на производство и реализацию продукции, услуг, работ и получение прибыли в размере, достаточном для осуществления расширенного воспроизводства и выплаты соответствующих налогов государству и муниципальным органам и образования фонда потребления в объеме, обеспечивающем определенный стандарт жизни работников предприятия. Решение этой задачи происходит с помощью соответствующего установления уровня цен на продукцию, выпускаемую предприятием. Оно предполагает принятие во внимание многих факторов и обстоятельств, действующих порой противоречиво и неоднозначно.
В данном случае прибыль (m) есть функция цены (р), издержек производства (с) и количества проданных товаров (q): m = f(p - c)q.
При этом если складывающийся уровень издержек производства на продукцию, производимую предприятием, зависит в значительной степени от усилий самого предприятия, то формирование уровня цены и объема продаж во многом связано с конъюнктурой рынка. Поэтому стремление получить как можно большую прибыль объективно вызывает проведение на каждом предприятии своей собственной ценовой политики.
Из опыта работы американских компаний по установлению цен следует, что в основном они применяют следующую последовательность в разработке и расчете цен (рис. 17).


Постанов-ка задач по
ценообра-
зованию

Определение
Спроса


Оценка
издержек
производства

Анализ цен конкурентов


Выбор метода
Ценообразования

Установление
окончательной
цены


Рис. 17. Последовательность разработки и расчета цены


1. При постановке задачи по ценообразованию следует исходить из положения: какую роль предприятие отводит цене в своей коммерческой работе. Цена, как известно, выполняет ряд функций. Так, например, помимо того, что она является важнейшим фактором, определяющим величину прибыли (чем выше цена, тем больше прибыль), она рассматривается как средство стимулирования спроса.
Иными словами, на этом этапе происходят осмысление назначения цены, выработка ценовой политики предприятия, которая основывается, с одной стороны, на возможностях предприятия, а с другой -на выявленном спросе на его продукцию.
2. При определении спроса на товары, выпускаемые предприятием, необходимо обратить внимание на выяснение факторов, воздействующих на спрос. Дело в том, что на цену товара влияют количество производителей, предлагающих аналогичную продукцию, а также сила обычаев, привычки покупателей и т.д. То есть мы имеем дело с так называемым эластичным или неэластичным спросом (рис. 18). .
Тема 13. ПОКАЗАТЕЛИ ОЦЕНКИ ХОЗЯЙСТВЕННОЙ ДЕЯТЕЛЬНОСТИ ПРЕДПРИЯТИЯ И ИХ АНАЛИЗ


Из графиков следует, что при эластичном спросе даже при небольшом изменении цены спрос увеличивается больше, чем при неэластичном.
3. При оценке издержек производства на продукцию, выпускаемую предприятием, необходимо исходить из их сравнения со среднеотраслевыми издержками (себестоимостью) на аналогичную продукцию, которые рассчитываются как средневзвешенная величина индивидуальных затрат предприятий.
Такой подход обусловливается тем, что рыночная цена на одноименную продукцию отражает средние общественные издержки производства плюс средняя норма прибыли на эти товары.



Тема 14.ПРЕДПРИНИМАТЕЛЬСТВО, ФОРМЫ И МЕТОДЫ ОРГАНИЗАЦИИ ПРЕДПРИНИМАТЕЛЬСКОЙ ДЕЯТЕЛЬНОСТИ


13.1. Основные показатели оценки деятельности предприятия

В условиях рынка в осуществлении производственной, хозяйственной, коммерческой и других видов деятельности всегда имеется элемент риска. Он выражается в производстве изделия, которое может получить недостаточный спрос, в потере прибыли, банкротстве и т.д. Следовательно, стремление уменьшить степень риска требует проведения тщательных экономических расчетов результатов работы на всех участках производственно-хозяйственной и коммерческой деятельности предприятия, их анализа и оценки.
Их осуществление предполагает наличие соответствующих критериев оценки, экономических показателей и соответствующих методов расчета, учета и обобщения.
Многообразие свойств и признаков различных видов производственно-хозяйственной и коммерческой деятельности предприятия обусловливает и многообразие показателей. При этом проблема их использования состоит в том, что ни один из них не выполняет роль универсального показателя, по которому однозначно можно было бы судить об успехах или неудаче в бизнесе. Поэтому на практике всегда используют систему показателей, которые связаны между собой и оценивают или показывают различные стороны деятельности предприятия. Выделяют показатели индивидуальные, групповые (частные) и общие.
В зависимости от цели анализа показатели могут выражаться в форме абсолютных, относительных и средних величин. Каждый конкретный экономический показатель имеет качественную определенность (пространства, времени и количества). Число, лишенное хотя бы одной из двух определенностей, не является показателем.
Согласно установившейся практике под критерием понимается признак, позволяющий производить сравнительную оценку вариантов деятельности, расчетов, характеризующихся многими признаками.
Показатель - это тоже признак, но характеризующий какую-либо одну сторону явления, действия, их количественную или качественную характеристику (сторону) или степень выполнения определенной задачи. В нашей стране наукой и практикой была сформирована система экономических, финансовых и статистических показателей, разработаны методы их расчета и учета, но они были рассчитаны на централизованно-плановую систему хозяйствования. С переходом к рыночным отношениям эта система показателей как в части их расчета и учета, так и роли в обосновании решений претерпела и претерпевает определенные изменения.
Так, например, если в условиях плановой системы хозяйствования в оценке деятельности предприятия важную роль играли такие показатели, как выполнение плана, объем товарной продукции, объем валовой продукции, то в условиях рынка на первое место выдвигаются показатели: объем продаж, прибыль, рентабельность и целый ряд оптимизационных. Ориентировка производства на удовлетворение спроса резко усилила значение оценки различных вариантов удовлетворения спроса.
Все показатели, исходя из требований рынка, можно разделить на:
• оценочные, характеризующие достигнутый или возможный уровни развития или результатов той или иной деятельности;
• затратные, отражающие уровень затрат по осуществлению различных видов деятельности.
Такое деление весьма условно. Оно зависит от цели проводимого анализа. К примеру, показатель "издержки производства" в одном случае может рассматриваться как оценочный, характеризующий достигнутый уровень затрат труда, а в другом случае (при планировании) определяться как затратный, позволяющий установить количество затрат при оказании услуг.
То же можно сказать о значимости показателей. Это во многом зависит от характера (вида) деятельности. Например, показатель прибыли, несмотря на всю его важность, далеко не всех интересует в одинаковой степени: арендодателя (земли, зданий, оборудования и др.) больше интересует движение ликвидности в компании, а акционеров интересует не только размер дивидендов, но и курс акций, который зависит от темпов роста объема их продаж.
Из сложившейся практики следует, что наиболее важными оценочными показателями, которые получили широкое применение, являются:
• Общий объем продаж предприятия.
• Валовая прибыль.
• Условно чистая прибыль.
• Условно чистая продукция.
• Прибыль после уплаты процентов по займам и кредитам.
• Прибыль после уплаты налогов.
• Прибыль после выплаты всех дополнительных платежей.
• Ликвидность после осуществления новых капиталовложений в развитие производства.
• Ликвидность после уплаты дивидендов.
• Производительность системы (предприятия) в целом и ее отдельных элементов.

13.2. Экономический анализ рабоZы предприятия

В практической деятельности предприятия прежде всего ориентируются на объем продаж и получение прибыли. Общий объем продаж - стоимость товаров и услуг, реализованных потребителям, определяется как
Q = P N,
где Q - объем продаж, руб.;
Р - цена за единицу товара, руб.;
N - количество проданного товара, шт.
Проблема измерения этого показателя состоит в том, что он подвержен сильному влиянию инфляционных процессов. Поэтому очень важным является выбор периода, за который он подсчитывается (неделя, месяц, квартал, год). При выборе длительного периода его рассчитывают в неизменных ценах, а для нужд бухгалтерского учета и текущего планирования, наоборот, - в текущих ценах.
Этот показатель может применяться для различных сторон оценки деятельности предприятия. Например, в США по нему судят о степени значимости компаний на рынке, с этой целью ежегодно публикуется распределение 1000 крупнейших компаний США по объему продаж. В оптовой и розничной торговле, сбытовых подразделениях промышленных компаний по этому показателю строится стимулирование труда.
В условиях рынка основным результирующим показателем оценки хозяйственной деятельности предприятия является прибыль. Но как определить прибыль на вложенный капитал, т.е. прибыльность, рентабельность данного вида деятельности? Как известно, на размер прибыли влияет много факторов: объем продаж, ассортимент продукции, налогообложение и другие.
Возникает вопрос: о какой прибыли прежде всего идет речь - об условно-чистой или о валовой, прибыли после уплаты налогов или прибыли после уплаты процентов по займам и кредитам?
Валовая прибыль определяется как результат вычета из объема продаж (валового дохода) стоимости покупного сырья, материалов, полуфабрикатов и других элементов издержек производства. Этот показатель предпочтителен для отраслей, предприятий, в которых велика доля переменных издержек производства в общем составе затрат. Это обстоятельство предопределяет и то, что валовую прибыль желательно использовать для оценки в краткосрочном плане.
Дело в том, что там, где велика доля постоянных издержек по сравнению с переменными, размер прибыли определяется прежде всего уровнем организации производства, уровнем использования оборудования, он слабо подвержен воздействию колебания цен на сырье и незначительно зависит от экономии материальных затрат. Отсюда в отраслях пищевой и легкой промышленности он применим меньше, чем в капиталоемких. Основной сложностью в расчете этого показателя является определение уровня запасов и размеров незавершенного производства и степени их подвижности из-за инфляционных процессов.
Условно-чистая прибыль есть результат вычета накладных расходов и суммы амортизационных отчислений из валовой прибыли. Этот показатель практически применяется во всех видах бизнеса. Его оценочная стоимость связана со стремлением сокращения накладных расходов, поэтому по полученной условно-чистой прибыли, например, в США и западноевропейских компаниях устанавливаются размеры премий высшему руководящему персоналу.
Условно-чистая продукция представляет собой условно-чистую прибыль плюс расходы на заработную плату либо разницу между стоимостью объема продаж продукции, услуг и стоимостью затраченных на их производство ресурсов (покупные материалы, услуги, выплаты субподрядчикам, амортизационные отчисления, затраты на ремонт и т.д.). Как правило, при ее расчете применяются текущие цены, так как темпы и масштаб инфляции на ее рост не влияют. Основной проблемой ее исчисления являются определение уровня запаса и незавершенного производства и расчет суммы амортизационных отчислений.
Оставшиеся пять из перечисленных показателей ни по своему содержанию, ни по своему расчету каких-либо трудностей не вызывают. Стоит лишь несколько подробнее остановиться на показателях ликвидности, поскольку они в нашей практике существенного распространения не получили, но с введением аренды приобретают важное значение для арендодателей.
Указанный перечень оценочных показателей рассматривается в сочетании с такими показателями, как:
доля рынка сбыта, контролируемая фирмой, предприятием;
показатели качества продукции;
показатели уровня обслуживания потребителей;
показатели, касающиеся подготовки и переподготовки кадров.
Наиболее сложным по расчету является показатель качества, поэтому качество продукции в зависимости от ее назначения оценивается по проценту изделий (продуктов), возвращенных потребителями на гарантийное обслуживание, по количеству продуктов, возвращенных потребителями, в общем объеме продаж.



Тема 15. ИННОВАЦИОННАЯ И ИНВЕСТИЦИОННАЯ ДЕЯТЕЛЬНОСТЬ ПРЕДПРИЯТИЯ


14.1. Сущность и основные черты предпринимательской деятельности

Рыночные отношения порождают у многих граждан естественное стремление иметь "свое дело", с помощью которого они приумножат свою собственность. В конечном итоге это приводит к появлению особого вида деятельности - предпринимательства.
Предпринимательство является одной из наиболее активных форм экономической деятельности. Поведение людей, как известно, обостряется, когда они рискуют чем-то (имуществом, падением популярности, деньгами, положением и т.д.). Предприниматели не всегда знают, продадут ли они все свои товары и услуги и насколько выгодно. Они идут на риск: ведь такие же товары и услуги поступают на рынок и от других производителей.
Это как раз и создает условия для возникновения такой деятельности, которая выражается в вечном поиске улучшения своего положения в сравнении с существующим, всегда заставляет предпринимать что-то для того, чтобы процветать, развиваться.
Рассмотренные характеристики дают возможность выделить важнейшие отличительные черты предпринимательства.
Во-первых, это самостоятельность и экономическая свобода деятельности. Любой предприниматель независим в принятии решения по поводу организации собственного дела в любой экономической сфере (естественно, кроме запрещенной законом).
Во-вторых, деятельность предпринимателя связана с риском и неопределенностью успеха начатого дела. Поэтому такая деятельность предъявляет жесткие требования к личным качествам человека, занятого предпринимательством. Здесь важны и грамотность, и знания, и умения, и характер.
В-третьих, важнейшей отличительной чертой предпринимательской деятельности является опора на инновации. Это творчески-поисковая деятельность инициативных людей, которые согласно Й. Шумпетеру реформируют и революционизируют производство и другие сферы деятельности.
Инновационный характер предпринимательства может и должен проявляться во всех сферах деятельности, ибо в противном случае эту деятельность по всем критериям трудно причислить к истинно предпринимательской.
Именно творчески-поисковый инновационный характер предпринимательства, его нацеленность на достижение принципиально новых результатов отличают этот тип экономического поведения от репродуктивных (рутинных, шаблонных) типов эRономической деятельности.
Таким образом, научное понимание предпринимательства не сводится лишь к одной единственной функции - извлечение прибыли. Это многосложное понятие, многофункциональное явление.
Очевидно, что отмеченные выше важнейшие черты предпринимательства должны быть отражены в его определении. В этой связи рассмотрим определение предпринимательства, данное в Гражданском кодексе Российской Федерации, который устанавливает гражданские права и свободы, регулирует отношения между лицами, осуществляющими предпринимательскую деятельность.
В статье второй части первой Гражданского кодекса Российской Федерации определено, что "предпринимательской является самостоятельная, осуществляемая на свой риск деятельность, направленная на систематическое получение прибыли от пользования имуществом, выполнения работ или оказания услуг лицами, зарегистрированными в этом качестве в установленном законом порядке".
Как видим, в этом определении предпринимательства присутствуют две отличительные черты этой деятельности: самостоятельность и рисковость, однако ничего не сказано о третьей отличительной черте - что эта деятельность основана на инновациях. Иными словами, определение, данное в Гражданском кодексе Российской Федерации, не в полной мере характеризует сущность предпринимательской деятельности. В этой связи предлагается следующее определение.
Предпринимательство - это самостоятельная, творческая деятельность, направленная на поиск и реализацию инноваций для создания новых и совершенствования имеющихся продуктов (услуг) производств, организаций, осуществляемая на свой риск в целях получения прибыли.
Представляется, что данное определение более полно характеризует предпринимательскую деятельность, поскольку включает все три отличительные черты деятельности.
Предприниматель может заниматься любыми видами деятельности, они не запрещены законом, включая хозяйственно-производственную, торгово-закупочную, инновационную, консультационную и др., коммерческое посредничество, а также операции с ценными бумагами.
Указанные виды деятельности могут осуществляться непосредственно одним человеком или коллективом (партнеры) с применением наемного труда или без него, с образованием юридического лица или без него. Субъектами предпринимательства могут быть:
• граждане РФ и других государств, не ограниченные в установленном законом порядке в своей деятельности;
• граждане иностранных государств и лица без гражданства в пределах полномочий, установленных законом;
• объединения граждан (партнеры).
Статус предпринимателя приобретается только посредством государственной регистрации предприятия. В тех случаях, когда предпринимательская деятельность ведется без применения наемного труда, она регистрируется как индивидуальная трудовая деятельность, а с привлечением наемного труда - как предприятие.
Из этого следует, что предпринимательская деятельность осуществляется в двух формах:
• самим собственником средств производства на свой страх и риск и под свою имущественную ответственность (индивидуальная трудовая деятельность);
• руководителем предприятия от имени собственника.
Пределы распоряжения такой собственностью регулируются контрактом (договором), определяющим взаимные обязательства сторон. В этом договоре указываются ограничения прав в использовании имущества и проведении отдельных видов деятельности, порядок и условия финансовых взаимоотношений и материальной ответственности сторон, основания и условия расторжения договора.
Собственник имущества не имеет права вмешиваться в деятельность предпринимателя после заключения договора с управляющим (предпринимателем), за исключением случаев, предусмотренных договором, уставом предприятия и законом.
Предприниматель (руководитель) имеет право:
• привлекать на договорных началах и использовать финансовые средства, объекты интеллектуальной собственности, имущество и отдельные имущественные права граждан и юридических лиц;
• самостоятельно формировать производственную программу, выбирать поставщиков и потребителей своей продукции, устанавливать на нее цены в пределах, определенных законодательством РФ и договорами;
• осуществлять внешнеэкономическую деятельность;
• осуществлять административно- распорядительную деятельность по управлению предприятием;
• нанимать и увольнять работников от имени собственника предприятия.
По всем пунктам предприниматель обязан организовать деятельность в соответствии с законодательством РФ и заключенными им договорами и нести ответственность по закону за ненадлежащее исполнение заключенных договоров, нарушение прав собственности других субъектов, загрязнение окружающей среды, нарушение антимонопольного законодательства, несоблюдение безопасных условий труда, реализацию потребителям продукции, причиняющей вред здоровью.
Формула предпринимательства проста: получение максимальной прибыли при минимальном риске. Однако ее реализация осуществляется в условиях высокого уровня неопределенности в успехе дела. Эта неопределенность, с одной стороны, обусловливается рыночными отношениями (будут ли признаны на рынке предложения бизнесмена), а с другой - динамичностью изменения спроса и предложения. Отсюда важнейшими чертами предпринимательства являются риск, мобильность, динамичность предпринимательских действий (не опоздать, вовремя уловить изменяющийся спрос). Предприниматель, как говорят, не сидит на месте, он непрерывно ищет новое.
Чтобы выдержать конкуренцию, он непрерывно совершенствует Zехнологию своего производства, корректирует цену товара, его качество в соответствии с изменениями, происходящими в сфере его действия.
Французский экономист Ж.Б. Сей еще в 1800 г. заметил, что предприниматель перемещает экономические ресурсы из области низкой производительности и низких доходов в область более высокой производительности и прибыльности.
Вместе с тем предпринимательство, как и любой вид деятельности, должно иметь теоретические основы, объясняющие его сущность. Если исходить из назначения предпринимательской деятельности, а именно постоянного поиска нового, постоянного улучшения положения предприятия, то очевидно, что оно не может опираться только на классическую экономическую теорию, которая дает пути оптимизации того, что уже есть, т.е. оно концентрируется на вопросах извлечения максимальной прибыли из наличных ресурсов и достижения равновесия.
И в этой связи мы разделяем точку зрения американского ученого Питера Ф.Друкера* о том, что теоретической основой предпринимательской деятельности является экономическая теория динамического неравновесия.

* См.: Друкер П.Ф. Рынок: как выйти в лидеры: Практика и принципы: Пер. с англ.- М.: Бук Чембэр Интернэшнл, 1992. - С. 38.

Родоначальником этой теории был Й. Шумпетер, который в своей книге "Теория экономической динамики" (1911 г.) отказался от традиционной экономической теории и утверждал, что "нормой" здоровой экономики является не равновесие или оптимизация, а динамическое неравновесие, вызванное деятельностью новатора-предпринимателя, которая направлена на создание нового потребительского спроса, на получение чего-то иного, отличного от предыдущего, обеспечивающего качественно более полное удовлетворение потребностей.



Тема 16.ВНУТРИФИРМЕННОЕ ПЛАНИРОВАНИЕ В ПРЕДПРИНИМАТЕЛЬСТВЕ


15.1. Стратегия деятельности
Стратегия представляет собой обобщенную модель действий, необходимых для достижения поставленных целей.
Значение выработки стратегии, позволяющей фирме выживать в конкурентной борьбе в долгосрочной перспективе, чрезвычайно велико. В условиях жесткой конкуренции и быстроменяющейся ситуации на рынке очень важно не только концентрировать внимание на внутреннем состоянии дел фирмы, но и вырабатывать долгосрочную стратегию. В прошлом многие фирмы могли успешно функционировать, ежедневно решая внутренние проблемы, связанные с повышением эффективности использования ресурсов в текущей деятельности.
В настоящее время исключительно важна стратегия, обеспечивающая адаптацию фирмы к быстроменяющейся окружающей среде.
Например, стратегия японских фирм характеризуется следующим:
• ориентацией на постоянные изменения как во внешней среде, так и внутри фирмы;
• ориентацией на место в этой среде;
• отсутствием детерминированного курса;
• учетом и использованием всех возможностей для выживания и усилением своей роли в изменяющемся мире не только в текущий момент, но и на длительную перспективу;
• выделением в качестве основного фактора - интеллектуальный потенциал работников фирмы и постоянно развивающиеся технологии.
При данной стратегии, отличающейся гибкостью, способностью к адаптации, стремлением быть на гребне изменений, объективно сказывается потребность в умении отвоевывать свое место на рынке.
Единой стратегии не существует. Каждая фирма уникальна, поэтому и процесс выработки стратегии специфичен, так как зависит от позиции фирмы на рынке, динамики ее развития, потенциала, поведения конкурентов, характеристик производимого ею товара или оказываемых услуг, состояния экономики и др. В то же время есть основополагающие моменты, позволяющие выделить некоторые обобщенные принципы выработки стратегии бизнеса.
Выбор стратегии бизнеса осуществляет руководство фирмы на основе анализа ключевых факторов, характеризующих ее состояние и состояние портфеля продукции.
Из ключевых факторов прежде всего исследуются сильные стороны отрасли и сильные стороны фирмы, являющиеся зачастую решающими при выборе стратегии. Необходимо стремиться к максимальному использованию имеющихся возможностей. При этом важно искать пути развертывания бизнеса в новых отраслях, обладающих потенциальными задатками для роста.
Существенно влияют на выбор стратегии финансовые возможности фирмы. Такие шаги в поведении фирмы, как выход на неисследованные рынки, разработка нового продукта или переход в новую отрасль, требуют значительных финансовых затрат. Поэтому фирмы, имеющие большие финансовые ресурсы либо обладающие легким доступом к ним, находятся в гораздо лучшем положении для выбора вариантов стратегии.
Квалификация работников, так же как и финансовые ресурсы, играет значительную роль при выборе стратегии фирмы. Углубление и расширение квалификационного потенциала работников - важнейшее условие, обеспечивающее возможность перехода к новым производствам либо качественному технологическому обновлению существующего.
Большое влияние на выбор стратегии фирмы оказывает степень зависимости от внешней среды. Бывают такие ситуации, когда фирма настолько зависит от поставщиков или покупателей, что не вольна делать выбор стратегии исходя из возможного более полного использования своего потенциала. В этом случае внешняя зависимость играет более значительную роль в выборе стратегии фирмы, чем все остальные факторы.
Сильная внешняя зависимость может быть обусловлена также правовым регулированием поведения фирмы, например антимонопольным законодательством, социальными ограничениями, влиянием природной среды, политическими факторами и т.д.
Еще один ключевой фактор - интересы руководства фирмы. Например, руководство любит рисковать или, наоборот, оно стремится всеми способами избегать риска. Это может стать решающим фактором в выборе стратегии.
В другом случае руководство может взять курс на поглощение другой фирмы исходя только из того, что оно решило свести личные счеты или доказать что-то определенным лицам.
Обязательно должен приниматься во внимание временной фактор. Дело в том, что и возможности, и угроз для фирмы, и планируемые изменения всегда имеют определенные временные границы. При этом важно учитывать и календарное время, и продолжительность интервалов осуществления конкретных действий по реализации стратегии.
Часто успеха добивается та фирма, которая успешно управляет процессами во времени.
При анализе портфеля продукции, т.е. вариантов инвестиций, сравнивают долю фирмы или ее изделий на рынке с темпами роста всей хозяйственной деятельности. Здесь может быть использована матрица Бостонской консультативной группы (рис. 21), которая поможет при выборе той или иной стратегии.
Например, если изделие фирмы занимает большую долю рынка и имеет высокие темпы роста ("звезда"), фирма скорее всего будет придерживаться стратегии роста, и наоборот, если изделие занимает малую долю рынка и имеет низкие темпы роста ("собака"), фирма может выбрать стратегию сокращения.
Тема 16.ВНУТРИФИРМЕННОЕ ПЛАНИРОВАНИЕ В ПРЕДПРИНИМАТЕЛЬСТВЕ

С помощью анализа портфеля продукции могут быть сбалансированы такие важнейшие факторы бизнеса, как риск, поступление денег, обновление и отмирание определенных видов деятельности.
Заключительный этап выбора стратегии - ее оценка. Вся процедура в конечном счете сводится к одному: приведет ли выбранная стратегия к достижению поставленных целей. Затем проводится оценка стратегии по следующим направлениям:
а) соответствие выбранной стратегии состоянию и требованиям субъектов окружения. Проверяется то, насколько стратегия увязана с требованиями со стороны основных субъектов окружения, в какой степени учтены факторы динамики рынка и жизненного цикла продукта, приведет ли реализация стратегии к появлению новых конкурентных преимуществ и т.д.;
б) соответствие выбранной стратегии потенциалу и возможностям фирмы. В данном случае оценивается то, насколько выбранная стратегия соответствует возможностям персонала, финансовым ресурсам фирмы, позволяет ли существующая структура фирмы успешно реализовать стратегию, выверена ли программа реализации во времени и т.п.;
в) приемлемость риска, заложенная в стратегии. Оценка оправданности риска проверяется по трем направлениям: реалистичность предпосылок, заложенных в основу выбора стратегии; негативные последствия для фирмы, к которым может привести провал стратегии; оправданность при возможном положительном результате риска потерь от провала в реализации стратегии;
г) эффективность стратегии оценивается по следующим показателям:
экономический эффект - воздействие стратегии на массу и норму прибыли, чистой прибыли, срок окупаемости инвестиций, объем продаж на внутреннем и внешнем рынке;
социальный эффект - влияние на условия и привлекательность труда, развитие культуры и образования, качество жизни;
д) экологический эффект - воздействие на степень загрязнения окружающей среды, комплексность использования природных ресурсов;
е) технический (качественный) эффект - изменение уровня новизны, качества, конкурентоспособности продукции;
ж) системный (синергический) эффект - дополнительный доход от продажи и эксплуатации взаимодополняющих и сопряженных изделий, систем машин и т.п.
На основе проведенного анализа и оценки возможных вариантов принимается окончательное решение о выборе наиболее целесообразной стратегии.

15.2. Роль инноваций в развитии предприятия

Инновационная деятельность предприятия направлена прежде всего на повышение конкурентоспособности выпускаемой продукции (услуг).
Конкурентоспособность - это характеристика товара (услуги), отражающая его отличие от товара-конкурента как по степени соответствия конкретной потребности, так и по затратам на ее удовлетворение. Два элемента - потребительские свойства и цена - являются главными составляющими конкурентоспособности товара (услуги). Однако рыночные перспективы товаров связаны не только с качеством и издержками производства.
Причиной успеха или неудачи товара могут быть и другие (нетоварные) факторы, такие, как рекламная деятельность, престиж фирмы, предлагаемый уровень обслуживания.
И все же, как ни важны внепроизводственные аспекты деятельности фирм по обеспечению конкурентоспособности, основой являются качество и цена. Вместе с тем обслуживание на высшем уровне создает большую привлекательность. Исходя из этого формулу конкурентоспособности можно представить в следующем виде:

Конкурентоспособность = Качество + Цена + Обслуживание.

Управлять конкурентоспособностью - значит обеспечивать оптимальное соотношение названных составляющих, направлять основные усилия на решение следующих задач: повышение качества продукции, снижение издержек производства, повышение экономичности и уровня обслуживания.
Указанные составляющие конкурентоспособности являются многофакторными, и каждая из них может рассматриваться как сложный самостоятельный объект управления. В частности, на величину издержек производства влияют стоимость и качество сырья, топлива, электроэнергии, покупных полуфабрикатов и комплектующих изделий, квалификация и уровень заработной платы производственного персонала, производительность труда, издержки управления и т.д.



Тема 17.КОММЕРЧЕСКИЙ РАСЧЕТ ПРЕДПРИНИМАТЕЛЬСТВА


16.1. Сущность и виды планирования

Эффективность функционирования предприятия определяется многими обстоятельствами. Среди них: правильность установления "что, сколько, какого качества и к какому времени производить продукцию или оказывать услуги" с учетом спроса и предложения; выбор оптимальной технологии и организации производства; своевременное и рациональное ресурсное обеспечение; величина основного и оборотного капиталов; формы и методы реализации продукции и т.д.
В условиях рыночной системы хозяйствования диапазон использования этих факторов чрезвычайно большой. Поэтому каждое предприятие должно стремиться к их оптимальному сочетанию.
Это предполагает необходимость применения соответствующих форм и методов их внутренней увязки. Такой формой является планирование производственной и хозяйственной деятельности предприятия. Опыт многих преуспевающих компаний промышленных стран показывает, что в условиях рынка с его жесткой конкуренцией планирование хозяйственно-производственной деятельности является важнейшим условием их выживаемости, экономического роста и процветания.
Именно оно позволяет оптимально увязать имеющиеся возможности предприятия по выпуску продукции со сложившимися на рынке спросом и предложением.
Это вытекает из самой сущности планирования, проявляющейся в том, что:
• во-первых, оно имеет дело с выбором из множества возможных альтернатив развития предприятия в будущем;
• во-вторых, реализация выбранной альтернативы осуществляется на основе решений, принимаемых сегодня. Отсюда всегда существует вероятность ошибки;
• в-третьих, планирование есть непрерывный процесс принятия решений, в ходе которого устанавливаются и постоянно уточняются по времени цели и задачи развития предприятия (начиная с производства изделий, их реализации и кончая дальнейшим его развитием); определяются стратегия и политика по их достижению; разрабатываются детальные планы, в которых скоординировано выполнение показателей, отражающих различные стороны ведения экономики предприятия;
• в-четвертых, исходной предпосылкой планирования должен стать принцип, согласно которому функционирование предприятия должно быть рентабельно и обеспечивать денежные поступления и прибыль в объеме, удовлетворяющем заинтересованные в результатах работы предприятия группы лиц (собственников, учредителей, коллективов акционеров, государства и т.д.);
• в-пятых, в силу различий в самой сущности и характере проявления факторов производства и задач, вытекающих из отдельных направлений деятельности предприятия, планирование подразделяется на долгосрочное и краткосрочное. Так, например, приобретение оборудования и характер его использования, кадровая политика, определение ассортимента продукции и рынка сбыта требуют рассмотрения в долговременном плане. В то же время текущее обеспечение предприятия сырьем и материалами, плата за энергию, воду нуждаются в анализе в краткосрочном периоде.
На практике применяется стратегическое, долгосрочное, краткосрочное, а также текущее планирование.
Каждый из указанных видов планирования имеет свою методологию, формы и методы увязки и расчета показателей. Они являются предметом рассмотрения одной из ведущих отраслей знания экономической науки - "Прогнозирование и планирование экономической деятельности".
В пособии планирование рассмотрено только в части его роли и значения в деле развития предприятия в условиях рынка как средство, позволяющее найти наиболее эффективные пути увязки возможностей предприятия со спросом и предложением на товары и услуги, производимые им.
Стратегическое планирование - это видение предприятия в будущем, его места и роли в экономике и общественно-экономическом устройстве страны, а также основных путей и средств достижения этого нового состояния. Оно выражается не в плане с детально разработанными показателями, а в наброске, взгляде в будущее, сделанных на основе различных прогнозов (экономики, науки и техники, политики, демографии и т.д.). Период такого рассмотрения составляет 10-15 лет и обусловливается рядом причин и прежде всего тем, что за это время происходят, как правило, сменяемость основных фондов, кардинальные изменения в науке и технике, изменения вкусов населения в сторону новых видов продуктов и услуг и т.д.
Стратегическое планирование целиком и полностью является прерогативой высшего руководства предприятия.
На базе стратегического планирования осуществляется долгосрочное планирование на ближайшие 3-5 лет. В нем установки, сделанные в стратегическом планировании, как бы получают свое экономическое обоснование и уточнение с учетом тенденций развития хозяйственной ситуации на ближайшие 3-5 лет. Результатом долгосрочного планирования являются трех- и пятилетние планы развития предприятия по различным видам его деятельности (реализация, производство, затраты, финансы и т.д.).
На основе этих планов производится краткосрочное планирование. Его конкретным выражением являются планы развития с периодом от 1 до 3 лет. Их особенность состоит в том, что показатели ближайшего года корректируются ежеквартально, а показатели второго и третьего годов - каждые полгода или ежегодно.
В силу динамичности процессов, происходящих в хозяйственной и политической жизни страны, необходимо осуществлять текущее планирование сроком до 1 года. Его основой являются краткосрочные планы и текущие тенденции развития спроса и предложения. В нем показатели устанавливаются на год с разбивкой по кварталам.
Они также являются скользящими планами, т.е. на первые три месяца показатели устанавливаются жесткие, неизменные, а в последующие 9 месяцев подвергаются корректировке. В сравнении с краткосрочными планами они являются более детальными, особенно в области движения производства и запасов товарно-материальных ценностей, ценообразования, издержек производства и т.д. Фактически в них происходит увязка задач различных служб предприятия.
Но более тесная координация различных служб предприятия происходит путем календарного планирования с его периодом действия, как правило, 10 дней. Это программы движения продукта и всех факторов производства с указанием конкретных дат и служб, отвечающих за тот или иной вид деятельности.
Для вновь создаваемых предприятий или для осуществления каких-либо коммерческих проектов, получения ссуды или кредита следует составлять бизнес-планы, как это имеет место в странах с рыночной экономикой.

16.2. Бизнес-план - основа создания предприятия

Бизнес-план - это документ, в котором описываются все основные аспекты предпринимательской деятельности, анализируются главные проблемы, с которыми может столкнуться предприниматель, и определяются основные способы решения этих проблем.
Не стоит думать, что бизнес-план необходим только крупным предприятиям, организующим свое дело с размахом. Как показывает мировая практика, он нужен для всех форм и видов предпринимательства и прежде всего для того, чтобы тщательно проанализировать свои идеи, проверить их разумность, реалистичность и уменьшить тем самым риск неудачи. Кроме того, бизнес-план необходим для представления тем, у кого предприниматель собирается занять деньги или иное имущество на реализацию проекта, для подтверждения реалистичности задуманного дела и способности возвратить кредит, арендованное имущество.
В зависимости от конкретного характера и условий предстоящей деятельности - объема производства, вида продукции (услуги), ее новизны и т.п. - состав и структура бизнес-плана могут существенно различаться, но содержательная сторона должна быть одной и той же. Как правило, бизнес-план состоит из следующих разделов: описание продукта (услуги), оценка конкурентов, стратегия маркетинга, план производства, организационный, финансовый план.

Описание продукта (услуги)

Первый раздел любого бизнес-плана - это описание того продукта (услуги), который предприниматель собирается производить или предоставлять. В этом разделе необходимо ответить на следующие вопросы:
1. Какие потребности призван удовлетворять ваш продукт (услуга)?
2. Какой полезный эффект можно получить от вашего товара (услуги)?
3. Чем отличается ваш продукт (услуга) от товара конкурента?
Полезный эффект - это то, ради чего приобретается товар. Отличительные особенности товара - это то, что делает возможным получить полезный эффект. Однако не стоит уповать на исключительные достоинства товара. Лучше сделать упор на максимальное удовлетворение запросов рынка.
Покупателю совершенно безразличны такие важные с точки зрения производителя свойства товара, как трудоемкость, материалоемкость, энергоемкость их изготовления, технологичность изделий в производстве, многие важные особенности их конструкции. Два элемента - потребительные свойства товара и цена - являются определяющими для покупателя при совершении покупки и главными составляющими конкурентоспособности товара, отражающей его отличие от товара-конкурента.
В конечном итоге люди склонны покупать то, что им нравится, а не то, что им предлагают. Это всегда нужно помнить производителю товара (услуги). Очень важный и весьма часто упускаемый из виду момент - это наглядное изображение товара, или экземпляр изделия вашего производства, или свидетельство хотя бы одного клиента, которого полностью устроили оказанные вами услуги.



Тема 18. ПРЕДПРИЯТИЕ И РАБОТНИК


17.1. Основные принципы коммерческого расчета

В условиях рыночной экономики предприниматель достигает прибыльного ведения производства посредством коммерческого расчета (в нашей стране его называют хозяйственным расчетом). Этот метод ведения хозяйства предусматривает сопоставление в денежной форме произведенных затрат и полученных рыночных результатов хозяйственной деятельности. При этом организация экономики предприятий и объединений, выпускающих товары, строится в соответствии с определенной системой экономических принципов.
Что представляет собой каждый из этих принципов? Чтобы эффективно вести хозяйственную деятельность, предпXиятие прежде всего должно быть свободным от излишней опеки и обладать абсолютной или относительной предпринимательской самостоятельностью. Оно само авансирует собственные или заемные деньги на приобретение средств производства и оплату рабочей силы, само определяет, как рационально использовать производственные факторы, какие выпускать товары, как учитывать конъюнктуру рынка, спрос покупателей.
Предприятие самостоятельно реализует изготовленную им продукцию на рынке, получая при этом определенную сумму денег (ее называют суммой продаж или валовой выручкой). При сопоставлении полученного валового дохода с расходами сразу проявляется забота о том, как обеспечить самоокупаемость. Все авансированные на хозяйственную деятельность деньги должны полностью возмещаться за счет выручки от продажи товаров, чем обеспечивается безубыточность их изготовления. Но этого недостаточно.
Все предприниматели стремятся получить также прибыль - прирост первоначально авансированной на производство суммы денег. Иначе хозяйственная деятельность не имеет смысла.
Прибыль служит источником самофинансирования. Полученный доход используется для дальнейшего расширения и совершенствования производства, решения социальных проблем и иных целей.
Прибыль призвана материально заинтересовать хозяев предприятия и работников в улучшении результатов производства. Такие результаты зависят не только от производственной, но и от коммерческой деятельности.
Наконец, предприятие несет всю полноту экономической ответственности за конечные итоги работы. Она выражается в том, что собственники, хозяева предприятий в условиях рыночной экономики сами расплачиваются за допущенные ими убытки, невыполнение принятых обязательств и хозяйственных договоров с контрагентами.
Все свойственные коммерческому расчету организационно-экономические отношения нацелены на то, чтобы лучше реализовать собственность на вещественные факторы производства - получить от нее доход. В любом обществе такие отношения развивают инициативу и предприимчивость, благоприятствуют хозяйственному отношению к делу, что ведет к увеличению прибыли.

17.2. Требования рынка к организации коммерческо-производственной работы на предприятии

Развитие НТП в XX столетии (массовое производство) привело к насыщению рынка традиционными товарами, с одной стороны, и появлению не только новых потребностей, но и их динамичному изменению, с другой стороны. В условиях конкуренции между предприятиями это не только резко усилило проблему сбыта продукции, но и заставляет предприятия менять исходные позиции в ориентации своей производственной деятельности. Раньше исходной точкой в развитиP предприятия были наращивание выпуска продукции и организация работы по ее сбыту.
Производственные службы в своей деятельности исходили из увеличения объема выпускаемой продукции и повышения ее качества при одновременном снижении издержек производства. Их не волновал сбыт продукции, это было уделом различных сбытовых служб. Сегодня так работать нельзя.
Исходной позицией в определении "что и сколько производить и какого качества" стали выявление спроса потребителей, поиск рынков, на которые можно работать. Причем речь идет не просто об определении спроса (он и раньше учитывался, поскольку "что и сколько производить" определялось движением рыночных цен), а о выявлении неудовлетворенного желания потребителя (unmet desire) существующим на рынке предложением товаров и услуг. Поиск неудовлетворенного желания потребителя - это, к примеру, для американских компаний все равно, что поиск золотоносной жилы, разработка которой обеспечивает получение крупных прибылей. Именно этим объясняется постоянно сменяющаяся номенклатура товаров и услуг, предлагаемых на рынке.
По сути дела, появление каждого нового товара - результат реакции фирм на существующий и возникающий спрос со стороны населения, промышленности и правительственных органов. Для американских компаний "неудовлетворенное желание" равнозначно еще и неиспользованной возможности получить прибыль.
В качестве примера такого нового подхода можно привести американскую компанию "Джон Дир", которая входит в четверку крупнейших производителей сельскохозяйственной техники в стране и в первую сотню ведущих компаний США. На ее предприятиях работает более 43 тыс. рабочих и служащих, она имеет 20 заводов и разветвленную сбытовую сеть в форме оптовых баз, расположенных по 17 зонам страны. Исходя из оценок состояния перспектив рынка каждые три месяца в компании составляется краткосрочный план производства на последующие 12 месяцев, т.е. фирма постоянно имеет "скользящую" программу работы, которая составляется на основе выявления потребностей покупателя.
В основе формирования стратегии развития компании лежит принцип, согласно которому нужно думать прежде всего о возможности реализации продукции, а потом уже о возможности ее производства. Поэтому в компании в основу составления плана производства новой продукции кладутся прогноз емкости рынка данного товара и норма прибыли, которую надеется получить фирма при реализации этой продукции.
Другой аспект требований рынка к организации коммерческой работы состоит в том, что она должна строиться с учетом быстрого реагирования на динамично изменяющийся спрос. Это объясняется тем, что игнорирование этого фактора немедленно приведет к снижению конкурентоспособности товаров, производимых предприятием, а значит, к его вытеснению с рынка сбыта.
Третий аспект требований рынка к организации коммерческо-производственной деятельности состоит в том, что конкуренция за рынки сбыта заставляет по-новому подходить к решению проблемы обеспечения предприятия производственными ресурсами, необходимыми для производства товаров и оказания услуг. Наличие сверхнормативных производственных запасов ведет не просто к омертвлению материальных ценностей, а к отвлечению финансовых средств, а следовательно, и к снижению конкурентоспособности предприятия. Отсюда не случайно на многих зарубежных предприятиях это обеспечение происходит прямо "с колес". Так, например, производственный запас запчастей и комплектующих деталей на известной японской фирме "Тойота" рассчитан всего на два часа работы сборочного конвейера.
Все это заставляет по-новому взглянуть на содержание и характер развития таких видов деятельности предприятия, как производственная, экономическая, финансовая, коммерческая и т.д.
К примеру, одной из основных задач производственных служб является не просто создание условий по максимальному выпуску продукции (как это было при централизованно-плановой системе хозяйствования), а такое использование производственных возможностей предприятия, которое в максимальной степени соответствовало бы требованиям рынка по выпуску нужной ему по количеству, качеству и срокам продукции.
Но если технологический аспект эффективного использования производственных фондов является предметом заботы производственных служб, то экономическая сторона (обоснование выгодности развития производства тех или иных товаров, пользующихся спросом на рынке, обсчет издержек производства, определение объемов финансовых средств и источников их покрытия и т.д.) входит в перспективу финансовых служб. А вот в чем нуждается рынок (в каких товарах и услугах), выявление так называемого "неудовлетворенного" желания потребителя, установление форм и методов реализации товаров - это задача службы маркетинга.
Каждое предприятие стремится сформировать для себя в пределах рынка, скажем потребительских товаров, наилучшие условия сбыта своих товаров. Оно стремится осуществить реализацию планируемого объема товаров с минимальными затратами и наивысшей эффективностью. Достигается это путем проведения целого ряда мероприятий, которые включают изучение спроса, обслуживание покупателей, рекламу, сроки поставок, организацию сбыта и др.
Эти мероприятия сложны и осуществляются по-разному и в различных комбинациях. Это объясняется сложностью и противоречивостью рынка, с которым имеет дело предприятие.
Предпринимательский успех зависит от покупателя, т.е. от человека - существа сложного, непредсказуемого, которому очень трудно угодить. Поэтому маркетинговая служба на основе знаний психологии и социологии, науки о человеке должна выявлять его вкус, привычки и одновременно формировать эти вкусы. Это и есть формирование рынка, его приверженности к товарам и услугам, выпускаемым предприятием.

17.3. Коммерческая тайна

Коммерческая тайна - это сведения или информация, умышленное или неумышленное разглашение которых может привести прямо или косвенно предприятие или частное лицо к убыткам.



Тема 19. Трудовые отношения


18.1. Трудовые отношения

Трудовые отношения - это многоаспектная система взаимоотношений между государством и трудящимися, фирмами (корпорациями) и работниками, работодателями и работниками. Они фактически охватывают все социально-экономические отношения, возникающие в процессе подготовки к труду, в течение его осуществления и после прекращения трудовой деятельности. Они имеют большое значение для деятельности фирмы, так как от них зависят уровень производительности труда отдельных работников и трудового коллектива в целом, использование капитала, конкурентоспособность фирмы на рынке.
Трудовые отношения, включая рыночные и внерыночные факторы, воздействуют на конечную величину цены рабочей силы. Они касаются также проблем улучшения условий труда и жизни работающих, развития рабочей силы.
В связи с высокими темпами научно-технического прогресса, внедрением его результатов в производство непрерывно меняются условия труда и жизни работников, постоянно возникают новые потребности. В ближайшее десятилетие в России из всех проблем современного развития главнейшей станет трудовая мотивация, а важнейшим условием повышения качества продукции и производительности труда - рабочая сила с высокой степенью мотивации. Трудовая мотивация связана с внутренними побудительными мотивами человека.
Мотивацию нельзя диктовать, она развивается в определенной социальной среде, которая охватывает всю совокупность форм вознаграждения и условий труда, включаемых в социальное законодательство. Отсюда вытекает роль трудовых коллективов, профсоюзов и государства в развитии трудовых отношений.
Трудовой коллектив фирмы, определяя качество выпускаемой фирмой продукции и производительность труда, в значительной степени определяет ее положение на рынке. Так как основной задачей любой предпринимательской деятельности является получение прибыли, а зарплата входит в издержки производства, то возникает противоречие между целями работодателей и работников: работодатели стремятся снизить эти издержки, а работники - повысить заработную плату и получить социальные льготы, тем самым повышая издержки. Разрешение этого противоречия на определенный период достигается посредством заключения коллективных договоров и соглашений между трудовыми коллективами и их ассоциациями (профсоюзами и другими организациями), работодателями и их ассоциациями.
Правовой акт, регулирующий трудовые, социально-экономические и профессиональные отношения между работодателями и работниками на предприятии, в учреждении, организации, называется коллективным договором.
Обычно коллективный договор заключается на срок от одного года до трех лет и может действовать до тех пор, пока стороны не заключат новый или не изменят, дополнят действующий.
Порядок разработки и заключения договоров определяется Законом РФ "О коллективных договорах и соглашениях" от 11.03.92 г. № 2490-1 в редакции Федерального закона от 24.11.95 г. № 176-ФЗ и Федерального закона от 01.05.99 г. № 93-ФЗ.
В соответствии с вышеназванным Законом на федеральном уровне заключаются генеральные соглашения: между общероссийскими объединениями профсоюзов; иными уполномоченными работниками представительских органов; общероссийскими объединениями работодателей; Правительством Российской Федерации. В этих соглашениях, заключаемых на срок до трех лет, предусматриваются наряду с другими положения об оплате труда; о механизме ее регулирования исходя из роста цен, уровня инфляции; о доплатах компенсационного характера, минимальный размер которых предусмотрен законодательством.
На отраслевом и территориальном уровнях вопросы организации оплаты труда регулируются отраслевыми (тарифными) соглашениями и специальными соглашениями по регионам, заключаемыми: на отраслевом уровне между соответствующими профсоюзами, иными уполномоченными работниками представительских органов; объединениями работодателей; Министерством труда Российской Федерации. На республиканском (республик в составе Российской Федерации) уровне между республиканскими объединениями профсоюзов; иными уполномоченными работниками представительских органов; республиканскими объединениями работодателей; правительством республики в составе России. На территориальном уровне - между соответствующими профсоюзами; иными уполномоченными работниками представительских органов; работодателями (объединениями работодателей); органами исполнительной власти.
Соглашения заключаются на срок до трех лет. В них предусматриваются положения об оплате труда, механизме ее регулирования, о доплатах и другие вопросы.
Трудовые отношения между работником и работодателем строятся на основе трудового договора. Трудовой договор (контракт) в соответствии с КЗОТ РФ есть соглашение между трудящимся и предприятием, учреждением, организацией, по которому трудящийся обязуется выполнять работу по определенной специальности, квалификации или должности с подчинением внутреннему трудовому распорядку, а предприятие, учреждение, организация обязуются выплачивать трудящемуся заработную плату и обеспечивать условия труда, предусмотренные законодательством о труде, коллективным договором и соглашением сторон.
Трудовой договор лучше всего отвечает потребностям рыночных трудовых отношений, основанных на наемном труде.
Являясь основанием возникновения и существования во времени трудовых правоотношений, трудовой договор выполняет функцию их специфического регулятора. Он призван индивидуализировать трудовые правоотношения применительно к личности работника и конкретного работодателя. Именно посредством трудового договора осуществляется обычно включение гражданина-работника в трудовой коллектив организации.
С момента заключения трудового договора гражданин становится работником данной организации и на него полностью распространяются трудовое законодательство и действие локальных правовых актов нормативного характера, принятых в этой организации.
Содержание трудового договора в условиях рынка труда определяется взаимным согласием его сторон - работника и работодателя. Обычно оно касается: места работы с указанием структурного подразделения, в которое работник принимается на работу; наименования профессии или должности работника с указанием специальности, квалификации, т.е. трудовой функции; прав и обязанностей работника; прав и обязанностей работодателя, в том числе по обеспечению охраны труда; размера тарифной ставки или должностного оклада; доплат и надбавок, поощрительных выплат; режима рабочего времени; продолжительности ежегодного отпуска; условий повышения квалификации; льгот по социальному обслуживанию, социальному обеспечению, медицинскому страхованию. В трудовом договоре могут содержаться условия об установлении испытательного срока, о совмещении профессий, должностей, о неразглашении служебной, коммерческой тайны и иные условия, не ухудшающие положение работника по сравнению с законами и иными нормативными правовыми актами.
Учитывая неоднозначность и многообразие условий трудового договора, наука трудового права выделяет среди них две группы условий: необходимые и факультативные. Необходимые - это такие условия, которые обязательно должны содержаться в любом трудовом договоре. Отсутствие их свидетельствует об отсутствии самого трудового договора.
Факультативные же условия не являются обязательно присущими ему, они могут составлять, а могут и не составлять конкретное содержание трудового договора.
Трудовые договоры (контракты) заключаются: на неопределенный срок; на определенный срок не более пяти лет; на время выполнения определенной работы. Статья 17 КЗОТ устанавливает общее правило заключения трудового договора (контракта) на неопределенный срок, т.е. на постоянную работу. Срочный трудовой договор (контракт) заключается в случаях, когда трудовые отношения не могут быть установлены на неопределенный срок с учетом характера предстоящей работы или условий ее выполнения, или интересов работника.
Трудовой договор (контракт) заключается в письменной форме, составляется в двух экземплярах и подписывается сторонами.
Юридическое значение трудового договора не ограничивается только установлением конкретного трудового правоотношения. Он служит также основанием существования и развития трудового правоотношения: изменение сторонами условий трудового договора означает обычно переводы и перемещения по работе, т.е. изменение трудовых правоотношений, а расторжение трудового договора означает прекращение трудовых правоотношений.
Влияние государства на трудовые отношения осуществляется через законодательные и правительственные органы. Законодательная деятельность государства определяет минимальный уровень заработной платы, которую должен платить работодатель, лимитирует длительность рабочей недели, регулирует занятость, регламентирует использование труда женщин и молодежи.
С развитием интеграционных процессов все более усиливается необходимость регулирования трудовых отношений на межгосударственном уровне. "Хартия основных социальных прав рабочих ЕЭС", подписанная главами правительств стран-членов ЕЭС, является ярким тому подтверждением.



Тема 2. ОСНОВНАЯ ЭКОНОМИЧЕСКАЯ ПРОБЛЕМА И РОЛЬ ПРЕДПРИЯТИЯ В ЕЕ РЕШЕНИИ


До настоящего времени нет общепринятого толкования понятия "экономика предприятия". В ряде случаев исходя из семантики слова его связывают с хозяйствованием, в других - с системой экономических отношений по поводу результатов производства и т.д. Отсутствие такого определения затрудняет организацию работы по выбору форм хозяйствования, понимание логики его ведения, определение места и роли предприятия в реализации основной экономической проблемы: удовлетворение увеличивающихся потребностей в условиях дефицита ресурсов.
В толковании сущности "экономика предприятия" следует исходить прежде всего из установления места и роли предприятия в решении основной экономической проблемы.
В условиях рыночной системы хозяйствования предприятие объективно становится основным звеном в ее реализации. Дело в том, что оно не только производит продукцию, пользующуюся спросом на рынке, но и создает рабочие места, обеспечивая занятость населения, начисляет заработную плату и т.д.
Выплачивая федеральные и местные налоги, оно участвует в содержании государственных органов и поддержании социальных программ (образование и здравоохранение, культура и просвещение и т.д.).
Каждое предприятие самостоятельно принимает решение* в части того, что, сколько и как производить товаров (оказывать услуг), где и как их реализовывать и, наконец, как распределять полученный доход (фонды возмещения, оплаты труда, накопления). По всем этим вопросам оно принимает решения в соответствии со своими интересами, отвечая своим имуществом за ошибки или неправильно выбранные действия.

* В данном случае понимается, что решение принимает руководство предприятия.

Интересами предприятия являются обеспечение достаточно приемлемого уровня жизни (в форме заработной платы и удовлетворения ряда социальных благ) для своих работников, а также динамичное стабильное развитие производственной базы предприятия и выплаты соответствующих налогов.
Степень их удовлетворения зависит от результатов хозяйственной деятельности предприятия, включающих не просто получение дохода и прибыли от реализации продукции и услуг, но и объем применяемых производственных фондов (основные и оборотные производственные фонды) и совокупность других потребительных стоимостей (социальный сектор), накопленных предприятием на каждый данный момент времени со дня его развития.
Натурально-вещественный состав этих элементов в своей совокупности представляет не что иное, как экономику предприятия.
Экономика предприятия - это совокупность факторов производства (собственных и заемных), непроизводственых факторов (детские сады, профилактории и т.д.), фондов обращения, готовой продукции, денежных средств, находящихся на счетах предприятия в банке, ценных бумаг, нематериальных фондов собственности (патенты, лицензии и другое), доходов или прибыли, полученных в результате реализации продукции и оказания различных услуг.
Их стоимостная оценка характеризует уровень и масштабы развития экономики предприятия. Последнее зависит от многих факторов: от умения найти оптимальные пропорции между ресурсным обеспечением, количеством и качеством выпускаемой продукции, с одной стороны, и объемом продаж, доходов от ее реализации и прибылью, с другой стороны.
Характер и степень эффективности реализации этих факторов зависят от воздействия и учета внешних и внутренних условий развития предприятия. К внешним условиям относится рыночная система хозяйствования.
В конечном итоге, функционирование предприятий в условиях рынка предполагает поиск и разработку каждым из них собственного пути развития. Иными словами, чтобы не только удержаться, но и развиваться в рынке, предприятие должно улучшать состояние своей экономики: иметь всегда оптимальное соотношение между затратами и результатами производства; изыскивать новые формы приложения капитала, находить новые, более эффективные способы, доведения продукции до покупателя, проводить соответствующую товарную политику и т.д.
Это должно сочетаться с полным использованием внутренних факторов развития производства, которые по своему содержанию и назначению довольно многочисленны.
Условно их можно разделить на три группы:
1. Факторы ресурсного обеспечения производства. К ним относятся производственные факторы (здания, сооружения, оборудование, инструменты, земля, сырье и материалы, топливо, рабочая сила, информация и т.п.), т.е. все то, без чего немыслимо производство продукции и оказание услуг в количестве и качестве, требуемом рынком.
2. Факторы, обеспечивающие желаемый уровень экономического и технического развития предприятия (НТП, организация труда и производства, повышение квалификации, инновации и инвестиции и т.д.).
3. Факторы, обеспечивающие коммерческую эффективность производственно-хозяйственной деятельности предприятия (умение вести высокоэффективную коммерческую и снабженческую деятельность).
Какой-либо строго очерченной грани между этими группами нет. К примеру, большая часть средств производства является не только необходимым условием производства товаров и оказания услуг, но и определяет его технический уровень.
Вместе с тем по степени воздействия на производство они различны. Так, первая группа факторов опреLеляет ресурсы предприятия, его возможности, а степень реализации этих возможностей зависит от использования второй группы.
Несколько в стороне стоит третья группа факторов. Ее возникновение непосредственно связано с рыночными отношениями. Их реализация направлена на:
• обеспечение ритмичности производства путем определенной организации его обеспечения всеми необходимыми ресурсами для производства товаров в качестве и количестве, позволяющем удовлетворять требования рынка;
• снижение издержек производства или их удержание на определенном уровне посредством проведения эффективной коммерческой работы;
• получение прибыли в объеме, обеспечивающем техническое и экономическое развитие предприятия.
Это достигается путем проведения маркетинга товара. Их различная роль в производстве товаров и его развитии определяет специфику использования каждой группы факторов.
Особенность ресурсного обеспечения состоит в том, что оно по своей стоимости составляет более 90% имущества и денежных средств предприятия, а также переносит свою стоимость на готовый продукт либо по частям (основные фонды), либо полностью (предметы труда, рабочая сила). Отсюда и различные требования к их обеспечению. Например, основные фонды в силу их большой стоимости и продолжительности использования должны обладать высокой производительностью, экономичностью в использовании, универсальностью, надежностью в работе, а предметы труда по своему количественному и качественному составу - достаточными для производства необходимой продукции и в то же время минимальными, не ведущими к увеличению издержек производства за счет образования сверхнормативных запасов.
Но это только одна сторона вопроса, другая состоит в необходимости рационального использования наличных производственных ресурсов, что потребует прежде всего рассмотрения содержания таких экономических категорий, как себестоимость, прибыль, рентабельность, ценообразование в условиях рыночных отношений. Без них невозможно решение проблемы: что, сколько, как, в каком виде производить. Необходим постоянный контроль за складывающимся соотношением между доходами и затратами, связанными с изготовлением продукции и оказанием услуг.
В частности, в принятии решения "что и сколько производить?" большое значение имеет знание средних издержек производства на единицу продукции.
Но этого недостаточно. Чтобы решить, до каких пределов следует увеличивать масштабы производства, необходимо знание предельных издержек (себестоимости). Дело в том, что с ростом масштабов производства, вызванного дополнительным приобретением средств производства, себестоимость единицы продукции снижается.
Но это сниженPе не может быть беспредельным, наступает момент, когда она начинает расти. Это и есть предельная себестоимость. Иными словами, надо формировать такие издержки, которые дают наилучший результат.
На практике это означает получение как можно большей прибыли.
В условиях рыночных отношений, как свидетельствует мировая практика, имеются три основных источника получения прибыли:
первый - за счет монопольного положения предприятия по выпуску продукции;
второй - связан непосредственно с производственной и коммерческой деятельностью (подавляющее число предприятий). Величина прибыли в данном случае зависит от правильной производственной направленности (выбор продуктов, пользующихся высоким и стабильным спросом); от степени конкурентоспособности продукции (цена, сроки поставки, обслуживание и т.д.); объемов выпускаемой продукции и, наконец, от структуры снижения издержек производства;
третий - от инновационной деятельности.
Стремление предприятий к получению прибыли напрямую связано с системой налогов, которыми облагается прибыль предприятия, и их размером. Французский философ М.Монтескье по этому вопросу сказал: "Ничто не требует столько мудрости и ума, как определение той части, которую у подданных забирают, и той, которая у них остается". Иными словами, размер налога должен стимулировать предприятия к расширению производственной деятельности.
На величину прибыли влияет и характер формирования цен и их регулирование со стороны государства.
Эффективность функционирования предприятия и его экономический рост во многом зависят от совершенства управления и организации всех сторон его деятельности. Само по себе использование того или иного фактора вне связи с другими еще не означает, что будет обеспечено должное экономическое и техническое развитие предприятия. Нужна интеграция всех факторов. Эта функция принадлежит управлению производством в условиях рыночных отношений. Требования к управлению условно можно выразить так: знает - может -хочет - успевает.
Достаточно отсутствия одного из элементов, и система рушится.
Но чтобы выполнить эти требования, управление должно иметь свою собственную внутреннюю содержательную организацию.
Характерными чертами рыночных отношений является вовлечение в сферу их интересов не только крупного бизнеса, но и огромного количества предпринимателей, частных собственников, с одной стороны, и динамичность протекания хозяйственных процессов - с другой. Это и предопределило необходимость изучения коммерческой и предпринимательской деятельности, особенностей ее проявления в различных видах бизнеса, организации малых предприятий. Конечно, нет и нельзя найти единого рецепта на все случаи жизни и ответа на вопрос: как правильно хозяйствовать? Но вместе с тем мировая практика работы процветающих фирм и компаний выработала некоторые общие подходы по реализации эффективной хозяйственной деятельности.
В пособии указывается, что в деятельности фирм ответ на эти вопросы начинается с установления сильных и слабых сторон работы предприятия, исходящих из установленных целей и задач его развития.






Тема 3. МЕТОДОЛОГИЧЕСКИЕ АСПЕКТЫ ФУНКЦИОНИРОВАНИЯ ПРЕДПРИЯТИЯ


2.1. Содержание основной экономической проблемы и её реализация

Не все проблемы, встречающиеся в нашей жизни, экономического характера. Политические, биологические, социальные, культурные и философские задачи зачастую являются господствующими. Но в то же время они всегда будут иметь экономическое измерение, экономические последствия.
Если говорить о 80-90-х гг. XX в., то это проблемы, связанные с экологией и прогрессом, урбанизацией, инфляцией, безработицей, с ролью правительства и другие. Общество должно решать их для того, чтобы нормально функционировать, и вместе с тем определяющим для общества, для каждого из нас является удовлетворение постоянно растущих и расширяющихся потребностей. Примеров этому предостаточно... Еще К.Маркс отмечал: "...человек отличается от остальных животных безграничностью своих потребностей и их свойством к расширению..."*.
Достаточно сказать, что за первые три четверти нынешнего столетия потребление энергии увеличилось в 11 раз, нефти - более чем в 100 раз, стали - в 25 раз, алюминия - почти в 2000 раз и т.д.

*Маркс К„ Энгельс Ф. Соч.- Т. 11.- 4.2.- С. 133.

Но, стремясь к удовлетворению своих потребностей, общество все больше и больше сталкивается с нехваткой ресурсов, необходимых для производства материальных благ и услуг. Совокупные потребности общества всегда обгоняют возможности их удовлетворения, действует закон, как его назвал В.И. Ленин, "возвышения потребности" *. Это объясняется рядом обстоятельств: с одной стороны, невосполнимостью многих используемых ресурсов (нефть, уголь, руда), а с другой стороны, ограниченностью запасов или производства. К концу XX в., согласно прогнозам, мировое промышленное производство может возрасти в 1,5-2 раза, а это требует новых ресурсов.
Это ограничение, или, как иногда называют, дефицит ресурсов и рост потребностей, ставит перед человечеством вечно неизменную экономическую проблему: "как удовлетворить эти неограниченные потребности в условиях ограниченных ресурсов".

*Ленин В.И. Полн. собр. соч.-Т. 1.-С.
101.

О каких ресурсах мы говорим? Прежде всего о факторах производства, таких, как земля, рабочая сила, средства производства и предпринимательство. Остановимся на них более подробно.
1. Земля - это природные ресурсы и сама земля, которая очень ограничена как по своим размерам, так и возможностям ее использования. В экономической науке это понятие имеет более широкое значение, чем в повседневном использовании. Под ним чаще всего понимается щедрость природы, т.е. все ресурсы: от минералов, леса и до воздуха.
Во многих случаях эти ресурсы не находятся в свободном состоянии и могут быть получены в форме экстрактов.
Природные ресурсы подразделяются на восполнимые и невосполнимые. Для них характерны неравномерное размещение по территории и не всегда имеющаяся доступность их использования.
2. Рабочая сила включает в себя умственный и физический труд, который в результате прогресса человечества развивается в направлении замены физического труда умственным. Этот фактор, несмотря на безработицу, ограничен по своему профессиональному и интеллектуальному составу.
3. Орудия труда - это все то, с помощью чего производятся товары и услуги: производственные возможности, созданные людьми в форме оборудования, инструмента, зданий и т.д. Их особенность состоит в том, что они должны воспроизводиться в расширенном объеме, с тем, чтобы иметь возможность постоянно увеличивать производство товаров и услуг. Но это расширение нельзя понимать как просто количественное увеличение, скорее речь идет об увеличении производительности, степень которого зависит от богатства нации.
4. Предпринимательство - это особое внутреннее свойство, которым наделены не все люди. Оно связано с риском, умением вести хозяйство на основе постоянного поиска нового.
5. Капитал - это вложенный в дело, функционирующий источник в виде средств производства.
Дефицитность факторов производства трансформирует эту основную экономическую проблему в проблему осуществления серии выборов: что и сколько товаров и услуг производить? Как их распределять?
В данном случае цель выбора состоит в том, чтобы установить оптимальное соотношение между максимально возможным ассортиментом продукции и услуг, с одной стороны, и максимально возможным количеством, обеспечивающим требуемый стандарт жизни, с другой стороны.
В какой манере производить? Необходимость такого подхода обусловливается тем, что максимально возможное получение продукции и услуг зависит при прочих равных условиях (количество ресурсов, уровень их развития) от выбранной манеры и прогрессивности технологии, уровня организации производства (специализация, кооперация и комбинирование). Например, одни и те же потребности в одежде, обуви можно удовлетворять за счет естественных и искусственных материалов, электроэнергию получать, используя уголь, нефть и газ и т.д.
Как распределять произведенные товары и услуги? В данном случае выбор направлен на отыскание оптимальных пропорций между производственным накоплением и потреблением, которые вели бы к расширению производства и на их основе происходило бы дальнейшее повышение уровня жизни.
Из изложенного следует, что проблема выбора одинаково относится как к тому, "что будет произведено?", так и "как это будет сделано и распределено?" Причем цена этого выбора есть то, что должно быть пожертвовано для его осуществления. Величина этой жертвы -не что иное, как стоимость возможности его осуществления.
Иными словами, перед нами всегда стоит проблема выбора: чему отдать предпочтение, а от чего отказаться. Процесс выбора - решение производить, приобрести или отказаться от того или иного продукта -есть то, что в конечном итоге управляет экономической системой.

2.2. Предприятие - важнейшее звено в решении основной экономической проблемы

Решение основной экономической проблемы предполагает соответствующий набор организационных обустройств и институтов (структур), которые проявляются в наличии двух систем: народное хозяйство с его отраслями и предприятия.
На уровне народного хозяйства решение основной экономической проблемы состоит в повышении благосостояния всего народа посредством проведения структурных изменений в производстве, установления приоритетов в развитии отраслей, перераспределения материальных благ и создания общехозяйственных условий для динамичного развития экономики в будущем.
На уровне предприятия решение основной экономической проблемы протекает в форме создания конкретных продуктов и оказания услуг. На этом уровне хозяйственные процессы организуются в соответствии со спросом и предложением. Так, например, проблема выбора: что, в каких количествах и в какой манере производить, решается на каждом предприятии в соответствии с имеющимся на рынке спросом и возможностью получения прибыли в размерах, обеспечивающих предприятию экономический рост и жизненный стандарт его работников.
Предприятие, как экономическая система, является главным звеном, где происходит непосредственное решение основной экономической проблемы. Оно предоставляет рабочие места, выплачивает заработную плату, путем выплаты налогов участвует в осуществлении социальных программ. Создание продуктов и оказание услуг роисходит, как известно, посредством определенных технологических процессов, орудий труда, материалов, навыков людей и их знаний, основанных на разделении и кооперации труда.

2.3. Движущие мотивы развития экономики предприятия

В центре экономических интересов лежат экономические отношения между участниками производства по поводу распределения результатов производства.
Присвоение этих результатов выступает в форме пользования, распоряжения и владения*. Проявление каждого из них определяется отношениями собственности на средства производства. В соответствии с действующим законодательством в России существуют такие формы собственности, как производственная, акционерная, арендная, частная и личная.

* Пользование представляет экономическую возможность только потребления. Распоряжение - собственно использование или передача благ другим (аренда, заем и т.п.). Владение - длительное, не ограниченное сроком пользование факторами производства.
Это наиболее полная форма присвоения.

Указанные формы собственности отличаются степенью разделения пользования, владения и распоряжения средствами производства, т.е. степенью реального владения ими. Совокупность отношений собственности образует систему экономических отношений как в обществе, так и на предприятии. Именно они представляют собой движущие силы развития общества и предприятия.
Но их проявление на каждом из вышеназванных уровней различно как по форме, так и по содержанию.
На уровне народного хозяйства движущим мотивом становится увеличение национального богатства общества, являющегося основой роста жизненного уровня населения, экономического могущества страны и его общественного прогресса. В этом заинтересованы все участники общественного производства.
На уровне предприятия интересы проявляются в увеличении объема продаж и получении прибыли в таких размерах, которые бы обеспечивали экономический рост предприятия, с одной стороны, и жизненный стандарт работающих - с другой.
Вместе с тем заинтересованность работников предприятия в расширении продаж, росте прибыли проявляется по-разному. Это обусловлено местом и ролью отдельного работника в производстве (директор, руководящий состав, рабочий), а также отношением собственности к средствам производства (государственная, коллективная, частная), отсюда очень важным аспектом в достижении поставленных целей перед предприятием является гармонизация интересов работающих. В основе интересов, как известно, лежат потребности.
Они образуют целую иерархию, в основании которой лежат простейшие физиологические потребности.






Тема 4. СОЦИАЛЬНО-ЭКОНОМИЧЕСКИЕ И ОРГАНИЗАЦИОННЫЕ ФОРМЫ ПРЕДПРИЯТИЙ, ИХ ОСОБЕННОСТИ


Формы объединений предприятий

1.

На основе
горизонтального
комбинирования


Фирма объединяет предприятия, находящиеся на одной стадии производственного процесса, например сеть магазинов в сфере розничной
Торговли







2.

На основе вертикального
комбинирования




Фирма объединяет предприятия, находящиеся на различных стадиях производственного процесса, например, крупные сталелитейные фирмы объединяют предприятия по добыче и переработке железной руды и выплавке стали. Образуются комбинаты











3.

На основе
диверсификации
производства






Фирма объединяет предприятия многPх отраслей экономики. Создаются конгломераты. Например, американский конгломерат "ГГТ"
Помимо производства телефонного и телеграфного оборудования объединяет предприятия по производству хлебобулочных изделий,
Учебных материалов, эксплуатации отелей, предоставлению страховых услуг

















Предприятия можно классифицировать по различным количественным и качественным параметрам. Основными количественными параметрами выступают численность работников и годовой оборот капитала. В соответствии с критерием численности занятых выделяют:
малые предприятия, или малый бизнес (не более 99 человек);
средние предприятия, или средний бизнес (не более 499 человек);
крупные предприятия, или крупный бизнес (свыше 500 человек). Следует отметить, что именно МАЛЫЙ БИЗНЕС играет довольно значительную роль в экономике практически всех развитых стран, в нем занято до половины работающего населения. Термин "малое предприятие" характеризует лишь размеры фирмы, но не дает представления об организационно-правовой форме предприятия (малым может быть и частное, и государственное, и другое предприятие).
В чем преимущества малого бизнеса: прежде всего гибкость, высокая адаптивная способность к изменениям рыночной конъюнктуры. Многочисленный характер мелких фирм создает возможности для широкого развития конкуренции.
Значительный процент банкротств среди предприятий малого бизнеса позволяет держаться на плаву только тем, кто функционирует наиболее эффективно. Роль малого бизнеса в современной экономике весьма многообразна. Он как бы связывает экономику в единое целое и образует своего рода фундамент, на котором вырастают более сложные и высокие ее этажи.
Среди качественных параметров классификации предприятий можно назвать следующие:
тип собственности (частные или государственные);
характер и содержание деятельности;
объем и ассортимент выпускаемой продукции;
способы и методы ведения конкурентной борьбы;
способ вхождения в различные союзы и объединения;
организационно-правовые формы предпринимательской деятельности.
Если сравнить эти формы, то окажется, что в США, например, в 80-е гг. на частнопредпринимательские фирмы приходилось свыше 70% общего числа фирм и только 6-7% совокупного выпуска частных фирм, на партнерства - 9-10% общего числа и 4-5% выпуска, на корпорации соответственно - 18-20% и 88-90%.
Каждое предприятие в условиях рынка, как указывалось ранее, стремится производить те товары и услуги, которые дают наибольшую прибыль. В то же время в условиях рынка нет гарантии, что предприятие ее получит. Все это зависит от многих обстоятельств: правильного определения неудовлетворенных желаний покупателей и ориентации предприятия на их производство, уровня издержек производства, которые должны быть меньше, чем доходы, полученные от продажи своей продукции.
Последнее зависит от производительности системы, НТП, уровня организации производства и труда, степени конкуренции и т.д. Это требует от каждого предприятия поиска своего пути развития, системы организации, маркетинга, форм хозяйствования.






Тема 5.СИСТЕМЫ ХОЗЯЙСТВОВАНИЯ И ИХ ВЛИЯНИЕ НА ФУНКЦИОНИРОВАНИЕ ПРЕДПРИЯТИЯ


4.1. Организационные формы предприятий

Существующие и действующие в экономике предприятия достаточно разнообразны с точки зрения организационно-правового устройства, масштабности, профиля деятельности. Однако при всем кажущемся многообразии возможных видов они подразделяются на упорядоченные группы, типы, для которых выработаны вполне определенные нормы хозяйственного законодательства, регламентирующие их деятельность.
Предпринимательское право допускает существование целого спектра форм предприятий. Российское законодательство признает наряду с индивидуальным предпринимательством такие формы, как коммерческие организации в виде хозяйственных товариществ (полных и коммандитных), обществ (с ограниченной ответственностью, акционерных), производственных кооперативов, государственных и муниципальных предприятий.
Хозяйственные товарищества
Предпринимательская деятельность в своей индивидуальной форме обладает весьма ограниченными возможностями, распространяясь в основном на малый бизнес. Для более крупного предпринимательства приходится соединять усилия нескольких лиц, переходить к коллективному предпринимательству. Объединение участников предпринимательской деятельности, партнеров для совместного бизнеса называют товариществом. Участие партнеров в товариществе принято скреплять письменным соглашением, или договором.
В целях более тесного и прочного союза товарищество оформляется как предприятие. Товарищество позволяет соединить не только усилия, но и капиталы его участников.
Гражданский кодекс Российской Федерации (часть первая) рассматривает хозяйственные товарищества как одну из основных форм создания юридических лиц, являющихся коммерческими организациями. К коммерческим Кодекс относит организации, преследующие извлечение прибыли в качестве основной цели своей деятельности.
Лица, которые создают хозяйственное товарищество, именуются его учредителями. Каждый из них вносит определенный вклад в товарищество и становится его участником. Первоначальный вклад называют уставным, или складочным капиталом.
Участники хозяйственных товариществ вправе участвовать в управлении делами, получать информацию о деятельности товарищества, знакомиться с его документацией, принимать участие в распределении прибыли, получать при ликвидации товарищества часть имущества, оставшегося после расчетов с кредиторами, или денежный эквивалент стоимости.
В то же время участники хозяйственных товариществ несут ряд обязательств перед организациями, членами которых они являются. Участники обязаны выполнять требования учредительных документов, своевременно и полностью вносить предусмотренные взносы, вклады, сохранять коммерческую тайну, не разглашать конфиденциальные сведения. В состав имущества товариществ входят находящиеся во владении, пользовании и распоряжении товарищества основные средства (здания, сооружения, оборудование) и оборотные средства (запасы сырья, материалов, готовой продукции, незавершенное производство, другие товарно-материальные ценности), денежные средства, а также прочие ценности.
Товарищества, не обладающие статусом юридического лица, не являются самостоятельными субъектами в том смысле, что они не оформлены юридически как единая фирма со своим названием и уставом, обособленным имуществом. Это основанный на соглашении, договоре союз равных лиц. Каждое из этих лиц выступает не как работник фирмы, а как участник общего дела, отвечающий за его судьбу своей личной собственностью.
В зависимости от вида имущественной ответственности своих участников товарищества делятся на два основных типа: полное товарищество и товарищество на вере (коммандитное).
Полные товарищества
Полное товарищество создается для ведения его участниками (полными товарищами) предпринимательской деятельности на совместной основе в соответствии с заключенным между ними договором. Это добровольное объединение участников общего бизнеса на договорных началах.
Одной из характерных черт полного товарищества является высокая степень и мера имущественной ответственности его участников за выполнение принятых обязательств. В случае аварийной финансовой ситуации, когда у партнеров, объединившихся для ведения совместной предпринимательской деятельности, возникают долги, они отвечают по обязательствам не только имуществом, которое они внесли и объединили для предпринимательства, но и всем своим личным имуществом (и даже имуществом членов семьи, если оно не разделено в правовом отношении). Члены полного товарищества несут неограниченную солидарную ответственность по обязательствам товарищества, отвечая всем своим имуществом.
Что же касается объединенного имущества, предназначенного для ведения предпринимательской деятельности, то оно представляет общую долевую собственность, принадлежит всем участникам на паевой основе. То есть каждый участник полного товарищества имеет свою долю, свой пай, соответствующие его имущественному и денежному вкладам в товарищество. Доля отражает ту часть денежной стоимости имущества товарищества, которая принадлежит данному участнику.
Полное товарищество является юридическим лицом, самостоятельной фирмой, обладает набором прав, позволяющим ему выступать в качестве субъекта хозяйственной деятельности.
Так, оно может выступать в суде истцом и ответчиком. Под фирменным наименованием полное товарищество заносится в реестр собственников, оно вступает в договорные отношения с другими субъектами хозяйственной деятельности, взаимодействует при необходимости с органами государственной власти, берет на себя и выполняет определенные обязательства. Члены полных товариществ обязаны участвовать в управлении их делами и деятельностью.
Коммандитные товарищества
Промежуточная форма между полным товариществом, участники которого несут полную имущественную ответственность, и товариществом с ограниченной ответственностью получила название товарищества на вере. Такие товарищества называют также коммандитными.
Коммандитное товарищество, подобно полному товариществу, представляет собой объединение нескольких граждан и (или) юридических лиц на основании договора между ними в целях ведения совместной хозяйственной деятельности. Но принципиальное отличие коммандитного товарищества от полного состоит в том, что только часть его членов, именуемых полными товарищами (комплементариями), несет полную солидарную ответственность по обязательствам товарищества всем своим имуществом. Другая же часть в виде членов-вкладчиков (коммандитистов) несет ограниченную ответственность и отвечает по обязательствам только своим паевым вкладом в общество.
Деятельность коммандитных товариществ определяется в основном условиями учредительного договора. Участник товарищества обязан внести свой вклад в складочный капитал товарищества.
Как правило, в смешанном товариществе его полные товарищи несут всю полноту власти и представительства интересов общества, тогда как роль членов-вкладчиков ограничена финансовым участием в форме вклада, дающего им право на доходы.
Общество с ограниченной ответственностью
Главный признак, определивший название и составляющий одно из важнейших преимуществ общества с ограниченной ответственностью, состоит в том, что участники общества с ограниченной ответственностью несут ответственность по обязательствам, принятым на себя таким обществом, только в пределах своих вкладов в капитал общества. Именно в этом смысле ответственность общества ограничена. В то же время само общество как юридическое лицо отвечает перед редиторами по обязательствам всем своим имуществом.
В соответствии с Гражданским кодексом Российской Федерации (часть первая) обществом с ограниченной ответственностью считается учрежденная одним или несколькими лицами коммерческая организация с уставным капиталом, разделенным на доли, размеры которых определены учредительными документами. В качестве учредительных документов такого общества выступают устав и учредительный договор или только учредительный договор, если общество учреждается одним лицом.
Общество с ограниченной ответственностью представляет собой добровольное объединение граждан, юридических лиц, тех и других вместе с целью осуществления совместной хозяйственной деятельности путем первоначального образования уставного фонда только за счет вкладов учредителей, которые и образуют общество. Уставный капитал общества с ограниченной ответственностью не должен быть меньше законодательно установленной суммы.
Тот факт, что участники общества с ограниченной ответственностью (как и акционерных обществ) не отвечают по обязательствам компаний, безусловно, является большим достоинством. Действительно, в самом худшем случае член подобного общества может потерять только свой пай в капитале общества. Это означает, что предпринимательский риск для делового человека заранее ограничен определенной суммой.
Ограниченная ответственность предпринимателя - очень привлекательный фактор, ибо ни одно малое или среднее предприятие не застраховано от разорения в условиях той нестабильной экономической ситуации, в которой оказалась российская экономика в процессе ее перехода к рыночным отношениям.



Тема 6. ЭКОНОМИЧЕСКОЕ СОДЕРЖАНИЕ И СТРУКТУРА РЕСУРСНОГО ОБЕСПЕЧЕНИЯ ПРЕДПРИЯТИЯ


5.1. Влияние рыночной и централизованно-плановой систем хозяйствования на деятельность предприятия
В мире сложились две системы хозяйствования: централизованно-плановая и рыночная. Каждая из них характеризуется определенными признаками, чертами (табл. 2).
Таблица 2
Основные черты функционирования экономической системы

Условия

регулируемая рыночная система

централизованно-плановая система

индивидуализм
частная собственность
прибыль в качестве побудительного мотива производства
власть потребителя
свобода и конкуренция
свобода контракта
ограниченная роль правительства

господство государственной собственности
всеобщий контроль государства
побудительный мотив - выполнение плана
уравнительный принцип распределения


Как видно, в основе рыночной системы хозяйствования лежит индивидуализм (личность), и суть ее состоит в том, что группа, общество и правительство необходимы, но менее важны, чем самоопределение индивидуальности. Эта идея идет от древних греков, которые во главу угла ставили достоинство и уникальность личности. Она закреплена в конституциях развитых стран, согласно которым положение каждого гражданина в обществе определяется и зависит от его собственных усилий и предпринимательства.
Этот индивидуализм основывается на праве личности иметь частную собственность, являющуюся священной и незыблемой основой существования и развития рыночной системы хозяйствования. Это означает, что каждый гражданин имеет право приобретать, использовать, накапливать и распоряжаться вещами-ценностями (факторами производства), что в конечном итоге приводит к успеху, а следовательно, ведет к улучшению материального положения работающего.
Инициатива была бы сильно ограничена, если бы личность не могла владеть капиталом и накапливать его. Последнее является сердцевиной побуждения к такой деятельности, которая бы улучшала материальное положение личности. Люди используют свою частную собственность (факторы производств) для генерирования еще большей собственности. Они ее инвестируют, чтобы сделать прибыль.
Побуждение к инвестированию своей собственности лежит в возможности получить процент на нее. Получение прибыли становится движущим мотивом производства. В связи с этим можно слышать, что это порождает якобы производство таких товаров, которые не нужны обществу. Это далеко не так: уже то, что власть на рынке (право выбора) принадлежит потребителю, обусловливает производство только таких товаров, которые пользуются спросом с его стороны. В противном случае нет общественного признания товара, следовательно, нет и прибыли, а есть убыток, который влечет за собой разорение.
И в то же время при централизованно-плановой системе нет гарантий, что произведенные товары и услуги являются теми, которые нужны потребителям. Это подтверждают многочисленные случаи затоваривания.
Почему так происходит? Дело в том, что ключевая проблема плановой экономики - растущая сложность экономических процессов. Последняя проистекает из того, что, поскольку планирование осуществляется только из одного центра, его объектом является постоянно растущее многообразие общественного производства и потребления, то в условиях отсутствия инструментария, позволяющего учесть все это многообразие, оно не в состоянии правильно отразить реальную картину в централизованном плане.
В то же время в рыночной экономике фирмы и лица сами планируют свои действия, а следовательно, каждый индивидуум, отдельная фирма сталкиваются с уровнем сложности на много порядков ниже, чем центр при плановой экономике. Из этого следует, что они имеют большую реальную возможность осуществлять свои планы. Эту проблему можно охарактеризовать как закон, гласящий, что сложность процесса увеличивается на квадрат числа единиц, которые надлежит организовать.
Две рассматриваемые системы хозяйствования заинтересованы в решении основной экономической проблемы, но решают ее они по-разному (табл.3).
Из табл. 3 видно, что развитие предприятия в условиях централизованно-плановой системы хозяйствования следует за распределением ресурсов, в то время как при рыночной системе предприятия следуют за распределениями, которые происходят на рынке на основе спроса потребителей.
Опыт работы советской экономической системы в условиях централизованно-планового хозяйствования показал ее несостоятельность по многим вопросам хозяйственной жизни. Установление признаков, присущих развитию той или иной системы хозяйствования, является важным, но недостаточным для выбора направления действий предприятия. Необходимо знание закономерностей и особенностей развития систем, в которых работает предприятие.
Таблица 3
Методы решения основной экономической проблемы

Условия

централизованно-плановая система

Регулируемая рыночная система

1. Правительство осуществляет централизованное планирование производства

1. Индивидуальные потребители на основе права выбора определяют, что и сколько производить

2. Централизованное планирование определяет перечень и объем ресурсов, которые будут использоваться

2. Производитель определяет, какие ресурсы и сколько их будет задействовано в производстве на основе спроса на товары и услуги

3. Ресурсы используются для того,
чтобы достичь целей, поставленных планом
3. Ресурсы применяются в соответствии с решениями, сделанными индивидуальными потребителями на рынке, и для получения прибыли

4. Государственный план определяет:
что и сколько будет произведено
как будет произведено
как будет распределяться

4. Рынок определяет:
что и сколько будет произведено
как будет произведено
как будет распределяться


5.2. Особенности перехода к рынку в России

Переход к рынку и его функционирование в России имеют ряд особенностей.
1. Начало перехода к рынку происходило в стране, где государство сконцентрировало в своих руках огромные финансовые и материальные ресурсы, практически владело всеми средствами производства (более 90%), следовательно, отсутствовал такой важнейший признак рынка, как наличие обособленных, самостоятельных производителей (первый важнейший признак рынка).
2. Население страны в подавляющей массе ни по профессиональному, политическому, экономическому, общекультурному уровню еще и сегодня не готово к немедленному экономическому самоопределению. Право свободного выбора рода занятий, ориентируясь на свои желания и возможности: стать предпринимателем, наемным работником в государственных структурах, менеджером на акционерном предприятии или заниматься индивидуальной трудовой деятельностью не всегда подкреплено экономически. А ведь именно свобода выбора является основой личной свободы, фундаментом раскрытия творческого потенциала, столь необходимого для эффективного функционирования рынка.
3. В силу того, что была создана, по существу, затратная экономика, переход к рынку осуществлялся в условиях острейшего дефицита товаров и денежной инфляции. Отечественный потребительский рынок был практически полностью разрушен. По сути, преобладающими являлись натуральный обмен, необоснованное завышение цен и др.
4. На рынке, особенно на рынке средств производства, господствуют монополисты-производители. Это объясняется тем, что функционирование тоталитарной системы требовало узкой предметной специализации, что в конечном счете привело к тому, что наша промышленность представляет собой ряд технологически обособленных предприятий, которые зачастую являются единственными в стране производителями своей продукции. Список подобных предприятий-монополистов значителен. Сложившуюся до перехода к рынку ситуацию можно показать на примере выпуска продукции в машиностроении (табл.
4).
Таблица 4
Монополизация выпуска продукции в машиностроении


Наименование продукции

Количество предприятий

Доля монополизированного производства, %

Всего

Монопольное производство

Индивидуальная продукция

574

517

90

Серийная продукция

998

668

67

Комплектующие изделия и приборы

1031

720

80

Общемашиностроительная продукция

3403

2212

73


Как видно, доля монополизированного производства по ряду позиций достигала 80-90%.
5. Отсутствие соответствующей правовой системы для развития инфраструктуры рынка (банковская, кредитно-финансовая и налоговая системы, товарные и трудовые биржи). Существующие системы возникли стихийно и работают во многом на свой страх и риск.
Таким образом, формирование рыночных отношений в стране началось в условиях отсутствия многих элементов и признаков рынка. Поэтому первым шагом на пути перехода к рынку явилось создание условий для возникновения обособленных, самостоятельных производителей как важнейшего признака функционирования рыночных отношений. Данная проблема решается реформированием государственной формы собственности.
Этот процесс реализуется в двух направлениях: осуществление глубокой децентрализации управления собственностью и денационализация, или, иначе, приватизация (передача собственности трудовым коллективам, создание акционерных и арендных предприятий, кооперативов и продажа предприятий в частную собственность). Децентрализация в управлении предприятиями явилась исходным пунктом в решении проблемы реформирования государственной собственности. Дело в том, что форма собственности предполагает адекватную ей форму управления. И если для кооперативных, малых и частных предприятий реализация этого уровня представляется само собой разумеющейся, то для государственных - вызвала определенные трудности. Это объясняется рядом причин.
С одной стороны, сам "государственный" статус предприятия предполагает наличие определенной иерархической системы управления (как в части определения характера производственной деятельности, так и его материально-технического снабжения и сбыта продукции), а с другой - его функционирование в условиях рыночных отношений подразумевает предоставление полной экономической свободы. Последняя позволила бы предприятию в соответствии с рыночной конъюнктурой самостоятельно определять объемы и структуру производства, объем продаж, цены на свою продукцию, а также выбирать партнеров. Эти возможности для государственных предприятий отсутствовали.
Вот почему первым шагом в реформировании государственной собственности явилась децентрализация управления предприятиями.

5.3. Государственное регулирование рыночной экономики

Для решения важнейших экономических проблем - что, как и для кого производить - рынки выступают наиболее эффективной системой организации взаимосвязей. Однако и эта система способна функционировать лишь при наличии определенных условий, формируемых государством. К ним относятся:
законодательное определение прав собственности;
защита свободы индивидуального выбора людьми той или иной формы предпринимательской деятельности, разрешенной законом;
гарантия приоритетов личных интересов и экономической мотивации;
использование конкурентного механизма цен, прибылей и убытков;
ограничение монопольных тенденций в экономике.
Вмешательство государства в рыночную экономику необходимо также в тех случаях, когда имеют место так называемые провалы рынка, когда по различным причинам рыночная конкуренция и свободное ценообразование неуместны, не достигают цели или не дают удовлетворительного решения экономических и социальных проблем. Примером могут служить сферы совокупного социального иди муниципального потребления, где использование рыночных механизмов ограничивается государством: оборона, охрана общественного порядка, обслуживание крупных инфраструктурных комплексов и энергетических сетей, водоснабжения и т.п.
Рыночные механизмы неуместны также в сфере социальной защиты нетрудоспособных, безработных, многодетных и других групп населения. Составляемые государством социальные программы призваны обеспечить материальную помощь гражданам с низкими доходами; обеспечить бесплатное образование и медицинское обслуживание; предусмотреть разнообразные пособия многодетным семьям, безработным, инвалидам.
К "провалам" рынка относят и некоторые макроэкономические проблемы: общее равновесие национальной экономики; взлеты и падения промышленного цикла; занятость и инфляция. Особенностью рыночной организации экономики является то, что в определенных ситуациях она не способна обеспечить саморегулирование, возврат в нормальное состояние после слишком больших отклонений от него, равновесие всех элементов системы. Рыночные механизмы подчас не только не устраняют, напротив, даже усугубляют нежелательные явления в экономике.
Несовершенства рынка компенсируются соответствующими экономическими функциями государства, административным регулированием и налоговой политикой.
Вопросы для повторения
1. Что понимается под экономикой предприятия?
2. Назовите основные факторы развития производства.
3. В чем состоит основная экономическая проблема?
4. Какова роль предприятия в решении основной экономической проблемы?
5. Каковы движущие мотивы развития экономики предприятия?
6. Назовите организационные формы предприятия, предусмотренные Гражданским кодексом Российской Федерации.
7. В чем состоит принципиальное различие функционирования предприятия в условиях рыночной и централизованно-плановой систем?
8. Назовите особенности перехода к рынку в России.
9. Чем обусловлена необходимость государственного регулирования рыночной экономики?


РАЗДЕЛ ВТОРОЙ
РЕСУРСЫ ПРЕДПРИЯТИЯ И ПОКАЗАТЕЛИ ИХ ИСПОЛЬЗОВАНИЯ






Тема 7. ОСНОВНОЙ КАПИТАЛ И ОБЕСПЕЧЕННОСТЬ ИМ ПРЕДПРИЯТИЯ


6.1. Экономические ресурсы предприятия

Ресурсы - это факторы, используемые для производства экономических благ. Под экономическими ресурсами понимаются все природные, людские и произведенные человеком ресурсы, которые используются для производства товаров и услуг.
Все разнообразие ресурсов можно классифицировать в соответствии с различными подходами: 1) материальные ресурсы - земля, или сырьевые материалы, и капитал; 2) людские ресурсы - труд и предпринимательская деятельность.
К понятию "земля" относят все естественные ресурсы: пахотные земли, леса, месторождения полезных ископаемых, водные ресурсы (ресурсы рек, морей и океанов).
Понятие "капитал или инвестиционные ресурсы" охватывает все произведенные средства производства, используемые в производстве товаров и услуг и доставке их конечному потребителю (здания, сооружения, оборудование и т.п.). Процесс производства и накопления средств производства называется инвестированием.
Понятие "труд" обозначает все физические и умственные способности людей, применяемые в производстве товаров и услуг.
Под предпринимательской деятельностью, или предприимчивостью, понимается особый вид человеческих ресурсов, заключающийся в способности наиболее эффективно использовать все другие факторы производства.
Все экономические ресурсы, или факторы производства, обладают одним общим свойством: они редки или имеются в ограниченном количестве. Это означает, что ресурсов, как правило, меньше, чем необходимо для удовлетворения всех потребностей при данном уровне экономического развития; имеют определенный предел и пахотные земли, и полезные ископаемые, и средства производства, и рабочая сила (рабочее время). Вследствие редкости ресурсов объем производства ограничен.
Общественное производство не способно произвести, а следовательно, и потребить весь объем товаров и услуг, который общество хотело бы получить.
Производственно-экономическая деятельность любого предприятия начинается с формирования производственных ресурсов - в натуральной и денежной формах (табл. 5). Приведенные ресурсы различаются между собой как по назначению, так и по времени их использования.
Таблица 5
Производственные ресурсы предприятия
Тема 7. ОСНОВНОЙ КАПИТАЛ И ОБЕСПЕЧЕННОСТЬ ИМ ПРЕДПРИЯТИЯ




6.2. Ограниченность и взаимозаменяемость ресурсов

Поскольку ресурсы продаются и покупаются, они имеют цену. Будучи результатом взаимодействия спроса и предложения, цена отражает все особенности рынков ресурсов, как общие для всех видов, так и специфические для каждого из них.
Особенности рынков ресурсов обобщенно выражаются прежде всего в том, что в силу их ограниченности неизбежно ограничены и сам объем производства, и предложения ресурсов. Общество не в состоянии произвести, а значит, и потребить такой объем товаров и услуг, которым бы хотело располагать. В связи с этим спрос на них весьма устойчив, более того, для рынка ресурсов характерна его концентрация, которая делает типичным явление монопсонии (единственный покупатель) или олигополии (небольшое число покупателей).
Яркий пример - рынок труда в небольшом городе, где вполне реальна ситуация, когда единственным покупателем рабочей силы в данной отрасли выступает одна фирма.
Цена на экономические ресурсы складывается, как и на всяком другом рынке, под воздействием спроса и предложения. Предложение ресурсов отражает прямую связь между ценой на них и реально имеющимся объемом: в интересах владельцев ресурсов поставлять их по более высокой цене. Спрос же на ресурсы отражает обратную связь между ценой и объемом спроса: если цена повышается, фирма либо будет покупать меньше ресурсов, либо заменит их более дешевыми.
Рассмотрим особенности спроса на ресурсы.
1. Он является производным (зависимым) от спроса на готовую продукцию, изготовляемую с применением данных ресурсов. Следовательно, изменение первого прежде всего зависит от изменения второго.
2. Спрос на ресурсы зависит от производительности труда: ее рост вызывает увеличение спроса на экономические ресурсы.
3. Спрос на данные ресурсы связан с динамикой спроса на другие ресурсы, т.е. с измененим цены на замещающие ресурсы и на дополнительные ресурсы.
При введении в производство замещающих ресурсов фирма получает эффект двух видов. Первый - эффект замещения: замена одного ресурса другим изменяет цену и спрос (замещение труда капиталом ведет к падению спроса на труд и увеличению на капитал).
Второй - эффект объема производства: увеличение издержек на капитал вызывает падение объема производства и соответственно сокращение спроса на ресурсы (капитал). Эти эффекты действуют в противоположных направлениях.
Общий вывод - производный спрос на ресурсы возрастает, если: увеличивается спрос на продукт, повышается производительность труда в выпуске готовой продукции, падает или поднимается цена на замещающие ресурсы, снижается цена на дополнительные ресурсы. Отсюда следует, что эластичность спроса на ресурсы, т.е. реакция на изменение цен ресурсов, зависит от следующих факторов:
• эластичности спроса на готовую продукцию: чем она выше, тем эластичнее спрос на ресурсы (когда повышение цены на товар вызывает значительное падение спроса на него, потребность в ресурсах также снижается);
• заменяемости ресурсов: эластичность спроса на них высока, если в случае повышения цены существует возможность их замещения другими ресурсами или внедрения более совершенной технологии;
• доли ресурсов в общих издержках: если удельный вес ресурсов в общих издержках велик, а цена на ресурсы растет, то это приводит к падению спроса на них. Следовательно, чем выше доля ресурсов в общих издержках производства, тем выше эластичность спроса.
Особенности предложения ресурсов. Несмотря на ограниченность, они могут меняться под воздействием усилий людей, например, предложение земли можно увеличить путем проведения мелиоративных работ. В целом же предложение ресурсов зависит от закона редкости, ограниченности ресурсов (при этом следует помнить об относительном характере этой ограниченности: ресурсы ограничены по сравнению с потребностями производства в них для получения необходимых в данный момент экономических благ). Наименее эластично предложение земли - ее размеры довольно жестко фиксированы, а альтернативного, заменяющего ресурса не существует.
Это уникальное невоспроизводимое благо. Практически неэластично предложение полезных ископаемых, хотя их можно заменить другими ресурсами или открыть новые месторождения. Предложение других видов ресурсов более эластично и в большей степени зависит от экономической ситуации и экономической политики.






Тема 8.ОБЕСПЕЧЕННОСТЬ ПРЕДПРИЯТИЯ ОБОРОТНЫМ КАПИТАЛОМ


7.1. Сущность и состав основного капитала

Основной капитал - это денежная оценка основных фондов как материальных ценностей, имеющих длительный период функционирования. В этой связи фонды переносят свою стоимость на производимый продукт по частям. В соответствии с действующей классификацией в состав основных фондов входят объекты производственного и непроизводственного назначения. К первым относятся основные фонды промышленного, строительного, сельскохозяйственного назначения, автомобильного транспорта, связи, торговли и прочих видов деятельности материального производства.
Непроизводственные основные фонды предназначены для обслуживания нужд жилищно-коммунального хозяйства, здравоохранения, просвещения, культуры.
По натурально-вещественному признаку основные фонды подразделяются на здания, сооружения, передаточные устройства, машины и оборудование, транспортные средства, инструмент, производственный и хозяйственный инвентарь, рабочий скот, многолетние насаждения и др.
По степени участия в производственном процессе основные фонды делятся на активные и пассивные. Активная часть (машины, оборудование) непосредственно влияет на производство, количество и качество продукции (услуг). Пассивные элементы (здания, сооружения) создают необходимые условия для производственного процесса.
Основные производственные фонды предприятий совершают хозяйственный кругооборот, который состоит из следующих стадий: износ основных фондов, амортизация, накопление средств для полного восстановления основных фондов, их замена путем осуществления капитальных вложений.
Любые объекты основных фондов подвержены физическому и моральному износу, т.е. под влиянием физических сил, технических и экономических факторов они постепенно утрачивают свои свойства, приходят в негодность и не могут далее выполнять свои функции. Физический износ частично восстанавливается путем ремонта, реконструкции и модернизации основных фондов. Моральный износ проявляется в том, что устаревшие основные фонды по своей конструкции, производительности, экономичности, качеству выпускаемой продукции отстают от новейших образцов.
Поэтому периодически возникает необходимость замены основных фондов, особенно их активной части. При этом в современной экономике главным фактором, определяющим необходимость замены, является моральный износ.
Важный аспект в части реализации требований, предъявляемых к основным фондам, - создание оптового рынка оборудования, а также сети магазинов и бирж комиссионной торговли новой, списанной и подержанной техникой. Осуществление лизинговой формы торговли оборудованием, как показывает опыт работы зарубежных компаний, позволяет значительно снизить единовременные капиталовложения, а следовательно, создать благоприятные условия для быстрого становления и развития бизнеса. И вместе с тем высокая стоимость оборудования, инструментов и длительность отвлечения денежных средств в больших размерах вынуждают предприятия уделять больше внимания лучшему использованию основных фондов в процессе их эксплуатации.
Но это также требует выполнения ряда условий, прежде всего необходимости ведения четкого учета наличия и движения основных фондов на предприятии. Этот учет должен обеспечить знание общей величины основных фондов, их динамики, степени их влияния на уровень издержек производства и др.

7.2. Учет и оценка основных фондов

Учет основных фондов обусловливается не только необходимостью знания того, какими основными фондами и в каком объеме предприятие обладает, но и требованиями экономики производства. Это вызвано тем, что доля основных фондов в общем объеме средств, находящихся в распоряжении предприятия, достигает 70% и более. Следовательно, от того, как они используются, зависит развитие (состояние) его экономики.
Учет основных фондов производится в натуральной и денежной формах. С помощью натуральных показателей он осуществляется отдельно для каждой группы вышеприведенной классификации. Например, для зданий натуральными показателями являются: их число, общая и полезная площадь в м2; для рабочих машин - число единиц, вид и возраст и т.п.
Для более полной характеристики состояния средств труда следует проводить аттестацию каждого рабочего места, которая представляет собой комплексную оценку его соответствия нормативным требованиям и передовому опыту по таким направлениям, как технико-экономический уровень, условия труда и техника безопасности. Эта форма учета позволяет определить не только вещественную структуру основных фондов, но и их технический уровень, составить баланс оборудования и т.д.
Учет в денежной форме проводится для определения общей величины основных фондов, их динамики, структуры, расчета амортизационных отчислений, экономической эффективности капитальных вложений, т.е. того, без чего невозможно судить о состоянии экономики предприятия. Эти оценки делают по первоначальной, восстановительной, а также по остаточной стоимости (первоначальной стоимости с учетом износа).
Методы оценки основных фондов зависят от источников их поступления на предприятие. Так, первоначальная стоимость основных фондов, поступивших за счет капитальных вложений предприятия, включает фактические затраты на их сооружение или приобретение, расходы на доставку и установку, за исключением налога на добавленную стоимость и иных возмещаемых налогов (кроме случаев, предусмотренных законодательством РФ).
К таким случаям относится налог на приобретение транспортных средств, который включают в первоначальную стоимость транспортного средства; налог на добавленную стоимость по основным средствам, приобретаемым за счет бюджетных ассигнований, а также по законченным объектам капитального строительства, вводимым в эксплуатацию, независимо от источника финансирования относится на увеличение их первоначальной стоимости. Основные средства, поступившие от учредителей акционерного общества в счет их вкладов в уставный капитал, оцениваются по стоимости, определяемой соглашением сторон. Если основные средства, бывшие уже в эксплуатации, получены безвозмездно от других предприятий или в качестве субсидии правительственных органов, то они обычно оцениваются у получившего их предприятия по остаточной стоимости.
В современных условиях при высоком уровне инфляции, как никогда ранее, возникает необходимость периодической переоценки основных фондов и определения их восстановительной стоимости, соответствующей реальным экономическим обстоятельствам.
Регулярные переоценки основных фондов производятся начиная с 1992 г.
Положением по бухучету "Учет основных средств" ПБУ 6/97 организациям предоставлено право не чаще 1 раза в год (на начало отчетного года) переоценивать объекты основных средств по восстановительной стоимости путем индексации или прямого пересчета по документально подтвержденным рыночным ценам.

7.3. Амортизационные отчисления

Особенностью основных фондов является перенесение части их стоимости на стоимость готовой продукции. Это перенесение происходит таким образом, чтобы за период эксплуатации основных фондов произошло их возмещение. Возмещение основных фондов путем включения части их стоимости в затраты на выпуск продукции (себестоимость) или на выполненную работу называется амортизацией.
Она осуществляется с целью накопления денежных средств для последующего полного или частичного воспроизводства основных фондов.
В условиях рыночных отношений величина амортизационных отчислений оказывает существенное влияние на экономику предприятия. С одной стороны, слишком высокая доля отчислений увеличивает величину издержек производства, а следовательно, снижает конкурентоспособность продукции, уменьшает объем получаемой прибыли и поэтому сокращает диапазон возможностей предприятия по его экономическому уровню развития.
С другой стороны, заниженная доля отчислений удлиняет срок оборачиваемости средств, вложенных в приобретение основных фондов, а это ведет к их старению и, как следствие этого, снижению конкурентоспособности, потере своих позиций на рынке.
Таким образом, величина амортизационных отчислений является функцией многих переменных.
В амортизационной политике государства произошли существенные изменения, отвечающие требованиям сегодняшнего дня. Согласно Положению по бухгалтерскому учету "Учет основных средств" (ПБУ 6/97), утвержденному приказом Министерства финансов РФ от 03.09.97 г., предприятие получило право самостоятельно определять срок полезного использования приобретаемых основных фондов.
ПБУ 6/97 вводит следующие способы начисления амортизации:
• линейный;
• уменьшаемого остатка;
• списание стоимости по сумме чисел лет срока полезного использования;
• начисление амортизации пропорционально объему продукции (работ, услуг).
При линейном способе годовая сумма амортизации определяется по первоначальной стоимости объекта основных средств и норме амортизации, исчисленной исходя из срока полезного использования этого объекта.
При способе уменьшаемого остатка годовая сумма амортизационных отчислений определяется исходя из остаточной стоимости основных средств на начало отчетного года и нормы амортизационных отчислений, исчисленной на основе срока полезного использования объекта.
Таким образом, в первый год эксплуатации списывается относительно большая часть стоимости, далее темп списания замедляется.
При способе списания стоимости по сумме чисел лет срока полезного использования годовая сумма амортизационных отчислений определяется исходя из первоначальной стоимости объекта и годового соотношения, где в числителе - число лет, остающихся до конца срока службы объекта, а в знаменателе - сумма чисел лет срока службы объекта (сумма чисел лет срока службы, например, для пятилетнего срока = 1+2+3+4+5=15 лет).
При начислении амортизации пропорционально объему продукции исходят из натурального показателя объема продукции в отчетном периоде и соотношения первоначальной стоимости объекта и предполагаемого объема продукции за весь срок использования объекта.
ПБУ 6/97 определило право предприятий выбирать один из способов начисления амортизации и применять его по группе однородных объектов. Выбранные способы и состав каждой группы входят в учетную политику предприятия.
7.4. Эффективность использования основного капитала

Учет и оценка основных фондов позволяют судить об их количественной доле в общем составе элементов экономики предприятия. Суждение же о том, как хозяйствование этими фондами (качественная сторона) влияет на изменение его экономики и структуры, можно получить только из рассмотрения групп показателей.
Первая группа - показатели, позволяющие судить о степени использования основных фондов.
1. Показатель фондоотдачи (Фо), т.е. сколько приходится продукции в денежном выражении на 1000 руб. основных производственных фондов. Он определяется по следующей формуле:
Тема 8.ОБЕСПЕЧЕННОСТЬ ПРЕДПРИЯТИЯ ОБОРОТНЫМ КАПИТАЛОМ


где Оr - стоимость товарной или нормативно-чистой продукции, произведенной за год, руб.;
Фос - среднегодовая стоимость основных производственных фондов, руб.
2. Обратной величиной фондоотдачи является показатель фондоемкости продукции (Фе), которым характеризуется стоимость основных фондов, приходящихся на единицу продукции, руб.:
Тема 8.ОБЕСПЕЧЕННОСТЬ ПРЕДПРИЯТИЯ ОБОРОТНЫМ КАПИТАЛОМ


3. Коэффициент износа различных видов или групп основных фондов:

Тема 8.ОБЕСПЕЧЕННОСТЬ ПРЕДПРИЯТИЯ ОБОРОТНЫМ КАПИТАЛОМ


где Зи - стоимость износа тех же основных фондов, что и при расчете Ки;
Фп - первоначальная стоимость всех или отдельных видов, групп основных фондов.

Вторая группа - показатели, позволяющие судить и оценивать состав и структуру основных фондов.
1. Коэффициент обновления основных фондов:
Тема 8.ОБЕСПЕЧЕННОСТЬ ПРЕДПРИЯТИЯ ОБОРОТНЫМ КАПИТАЛОМ

где Фввед - стоимость вновь введенных основных фондов за определенный период;
Фкг - стоимость основных фондов на конец того же периода.

2. Коэффициент выбытия основных фондов:

Тема 8.ОБЕСПЕЧЕННОСТЬ ПРЕДПРИЯТИЯ ОБОРОТНЫМ КАПИТАЛОМ


где Фвыб - стоимость выбывающих основных фондов за определенный период;
Фнач - стоимость основных фондов на начало того же периода.

3. Коэффициент прироста основных фондов:
Тема 8.ОБЕСПЕЧЕННОСТЬ ПРЕДПРИЯТИЯ ОБОРОТНЫМ КАПИТАЛОМ


где Фввед - стоимость вновь введенных основных фондов за определенный период;
Фвыб - стоимость выбывших основных фондов за определенный период.

Рост показателя фондоотдачи и снижение фондоемкости продукции свидетельствуют об улучшении использования основных фондов и наоборот.
Для повышения эффективности использования основных фондов необходимо повышение степени их загрузки, особенно их активной части, обновление фондов (об этом можно судить по изменению вышеназванных коэффициентов), использование прогрессивного оборудования, современных технологий и квалифицированных работников.







Тема 9.ОБЕСПЕЧЕНИЕ ПРЕДПРИЯТИЯ РАБОЧЕЙ СИЛОЙ


8.1. Сущность и структура оборотного капитала

Материальной основой производства являются производственные фонды в виде средств труда. В процессе функционирования средства труда и предметы труда по-разному и в разной степени переносят свою стоимость на стоимость производимого продукта. Этим и обусловлено деление производственных фондов на основные и оборотные*.

*См.: Финансы предприятий / Под ред. Е.И. Бородином, - М.: ЮНИТИ, 1995. - С. 97, 98.

Оборотные производственные фонды по вещественному содержанию представляют собой предметы труда и орудия труда, учитываемые в составе малоценных и быстроизнашиващихся предметов. Эти фонды обслуживают сферу производства и полностью переносят свою стоимость на стоимость готовой продукции, изменяя первоначальную форму в процессе одного производственного цикла.
Фонды обращения хотя и не участвуют непосредственно в процессе производства, но необходимы для обеспечения единства производства и обращения. Характер и сфера их функционирования создают предпосылки для выделения их в самостоятельное понятие "фонды обращения".
Оборотные производственные фонды и фонды обращения, находясь в постоянном движении, обеспечивают бесперебойный кругооборот средств. При этом происходит постоянная и закономерная смена форм авансированной стоимости: из денежной она превращается в товарную, затем в производственную, снова в товарную и денежную. Таким образом возникает объективная необходимость авансирования средств для обеспечения непрерывного движения тех и других в целях создания необходимых производственных запасов, задела незавершенного производства, готовой продукции и условий для ее реализации.
Движение оборотных производственных фондов и фондов обращения носит одинаковый характер и составляет единый процесс. Это дает возможность объединить оборотные производственные фонды и фонды обращения в единое понятие - оборотные средства.
Оборотные средства - это совокупность денежных средств, авансированных для создания и использования оборотных производственных фондов и фондов обращения для обеспечения непрерывного процесса производства и реализации продукции (рис. 1).
Функция оборотных средств состоит в платежно-расчетном обслуживании кругооборота материальных ценностей на стадиях приобретения, производства и реализации. В этом случае движение оборотных производственных фондов в каждый момент времени отражает оборот материальных факторов воспроизводства, а движение оборотных средств - оборот денег, платежей.
На каждом конкретном предприятии величина оборотных средств, их состав и структура зависят от характера и сложности производства, длительности производственного цикла, стоимости сырья, условий его поставки, принятого порядка расчетов и т.п. В различных отраслях удельный вес оборотных фондов в составе производственных фондов предприятия неодинаков. Так, на предприятиях тяжелой промышленности он ниже, чем на предприятиях легкой промышленности.
Организация оборотных средств на предприятии включает определение потребности в оборотных средствах, их состава, структуры, источников формирования и их регулирование, управление использованием оборотных средств.
В зависимости от места в процессе кругооборота оборотные средства делятся на оборотные производственные фонды и фонды обращения, от источников формирования - на собственные и заемные.
При определении уставного фонда предприятие самостоятельно устанавливает плановый размер оборотных средств, необходимый для его производственной деятельности, в виде норматива. За счет собственных источников оборотные средства формируются в размере постоянных неснижающихся запасов и затрат, за счет заемных - при повышенной потребности в оборотных средствах. Потребность в последних колеблется в течение года вследствие сезонности производства, неравномерности поставок, несвоевременности поступления денег за отгруженную продукцию.
Тема 9.ОБЕСПЕЧЕНИЕ ПРЕДПРИЯТИЯ РАБОЧЕЙ СИЛОЙ



8.2. Кругооборот оборотных средств

Оборотные средства находятся в постоянном движении. На протяжении одного производственного цикла они совершают кругооборот, состоящий из трех стадий (меняя свою форму).
На первой стадии предприятия затрачивают денежные средства на оплату счетов за поставляемые предметы труда (оборотные фонды). На этой стадии оборотные средства из денежной формы переходят в товарную, а денежные средства - из сферы обращения в сферу производства.
На второй стадии приобретенные оборотные фонды переходят непосредственно в процесс производства и превращаются вначале в производственные запасы и полуфабрикаты, а после завершения производственного процесса - в готовую продукцию (товарная форма).
На третьей стадии готовая продукция реализуется, в результате чего оборотные фонды из сферы производства приходят в сферу обращения и снова принимают денежную форму. Эти средства направляются на приобретение новых предметов труда и вступают в новый кругооборот (Д-Т-П-Т-Д-Т-П-Т-Д)и т.д. Но это не означает, что оборотные средства последовательно переходят из одной стадии кругооборота в другую. Напротив, они одновременно находятся во всех трех стадиях кругооборота. Что-то в каждый момент покупается, производится, продается и снова покупается.
Именно это и обеспечивает непрерывность и бесперебойность производства и реализации продукции.
При этом следует иметь в виду, что на каждой стадии время нахождения оборотных средств неодинаково. Оно зависит от потребительских и технологических свойств продукции, особенностей ее производства и реализации. Это можно проиллюстрировать на примере предприятий пищевой промышленности. Так, например, сезонность, характерная для таких отраслей, как сахарная, масло-жировая, крахмало-паточная и др., вызывает задержку средств на первой (денежной) стадии кругооборота.
Длительность производственного цикла и относительно большой объем незавершенного производства в таких отраслях, как винодельческая, пивоваренная, коньячное производство, задерживают средства на второй стадии кругооборота -производственной. Неравномерность реализации продукции в такой отрасли, как плодоовощная, сказывается на отвлечении средств в третьей стадии кругооборота - товарной. Таким образом, из изложенного следует, что общая длительность кругооборота оборотных средств (Т) есть функция времени нахождения этих средств на каждой стадии кругооборота.
На практике это означает, что увеличение длительности кругооборота оборотных средств приводит не только к отвлечению собственных денежных средств, но и к необходимости привлечения дополнительных средств с тем, чтобы не нарушать непрерывность производства.
В условиях рыночных отношений ото приводит к снижению конкурентоспособности предприятия в целом, ухудшению его экономики. Поэтому в условиях рыночной системы хозяйствования рациональное обеспечение предприятия оборотными средствами в развитии его экономики имеет чрезвычайно важное значение и обусловливает необходимость соответствующей организации и хозяйствования с этими средствами.
Для характеристики оборачиваемости оборотных средств применяется ряд показателей. Простейшим из них является коэффициент оборачиваемости оборотных средств. Он определяется по формуле
Тема 9.ОБЕСПЕЧЕНИЕ ПРЕДПРИЯТИЯ РАБОЧЕЙ СИЛОЙ


где Р - стоимость реализованной продукции (выручка от реализации) за определенный период;
O - средний остаток оборотных средств за тот же период.
Если выручка от реализации, например, берется за год, то и средний остаток оборотных средств также берется за год. При этом среднегодовой остаток оборотных средств за год рассчитывается как средняя хронологическая величина из остатков по месяцам.
Так, если выручка от реализации составила за год 200 млн руб., а среднегодовой остаток оборотных средств - 40 млн руб., то коэффициент оборачиваемости оборотных средств составит:
Тема 9.ОБЕСПЕЧЕНИЕ ПРЕДПРИЯТИЯ РАБОЧЕЙ СИЛОЙ


Это означает, что за год каждый рубль, вложенный в оборотные средства, совершил 5 оборотов.
Отсюда легко определяется и показатель средней продолжительности одного оборота в днях. Особенность этого показателя по сравнению с коэффициентом оборачиваемости в том, что он не зависит от продолжительности того периода, за который был вычислен.
Например, 2 оборотам средств в каждом квартале года будут соответствовать 8 оборотов в год при неизменной продолжительности одного оборота в днях.
В практике финансовых расчетов при исчислении показателей оборачиваемости для некоторого их упрощения принято считать продолжительность любого месяца, равную 30 дням, любого квартала - 90 дням и года - 360 дням. Продолжительность же оборота в днях всегда может быть исчислена по формуле
Тема 9.ОБЕСПЕЧЕНИЕ ПРЕДПРИЯТИЯ РАБОЧЕЙ СИЛОЙ


где Коб - коэффициент оборачиваемости;
Т - продолжительность периода, за который определяются показатели дней (Т = 30; 90; 360).

После подстановки в формулу соответствующих величин получим для определения продолжительности оборота в днях (Д) развернутое выражение, связывающее все исходные величины:
Тема 9.ОБЕСПЕЧЕНИЕ ПРЕДПРИЯТИЯ РАБОЧЕЙ СИЛОЙ

Смысл этой формулы в том, что, поскольку величина Т заранее дана в условии задачи, с ее помощью по известным двум величинам всегда можно определить третью. Именно поэтому она широко применяется в практике всевозможных финансовых и плановых расчетов.



У кого предполагается закупать товар?


Без этого и вы сами не будете иметь полного представления о своих будущих проблемах и затратах, и ваши потенциальные кредиторы и партнеры не захотят вам дать деньги под идею, которая не привела к появлению хотя бы одного экземпляра вашего товара или услуги. Поэтому всегда целесообразно иметь образ вашей продукции, доведенный до товарного вида, фотографию либо рисунок товара, дающие о нем достаточно четкие представления, или детальное описание предоставляемых услуг. В этом же разделе следует охарактеризовать основные качества вашего товара (услуги), его внешний вид, если необходимо - и упаковку, и сервисное обслуживание. На этом этапе целесообразно прикинуть цену товара и те затраты, которые необходимо будет осуществить при его изготовлении, что позволит определить предполагаемую прибыль, а значит, и ваши шансы на успех или неудачу.

Анализ рынка сбыта

Второй раздел бизнес-плана - изучение рынка товара или услуги. Недостаточный анализ рынка и потенциальных потребителей, их вкусов, запросов, денежных возможностей и т.д. - одна из наиболее частых причин неудач в бизнесе. Поэтому прежде чем поставить дело на "широкую ногу" и заняться им всерьез, следует тщательно изучить рынок.
Это даст возможность определить круг потребителей, емкость рынка товара (услуги) и, следовательно, объемы их производства и реализации, необходимые для этого ресурсы.
Если трудно провести достоверные исследования рынка либо они стоят достаточно дорого и не по карману начинающему предпринимателю, можно изготовить пробную партию товара, реализация которого даст ценную информацию о рынке, особенно если вы сами примете непосредственное участие в продаже товара или оказании услуг.
При этом целесообразно обратить внимание на следующее:
• насколько часто и охотно покупатели приобретают ваш товар или обращаются к вам за услугами;
• кто именно покупает ваш товар или обращается к вам за услугами (полезно поинтересоваться у потребителя, что именно привлекло его в вашем товаре или услуге);
• сколько времени потребовалось для реализации всей партии товара или оказания одной услуги;
• как реагируют покупатели на цену вашего товара. Можно поиграть с ценой товара и посмотреть, повлияет ли ее снижение на скорость продажи и расширение круга потребителей.
Таким образом, из пробной продажи необходимо получить максимум интересующей вас информации. Полезно поинтересоваться у потребителей, какие изменения внесли бы они во внешний вид, качественные параметры, упаковку, оказание сервисных услуг. При этом не стремитесь удовлетворить интересы и запросы всех потребителей сразу, нацеливайте свой товар или услугу всегда на определенную групу покупателей, на их потребности и вкусы, направляйте совершенствование своих изделий и услуг, завоевывайте определенную нишу на рынке данного товара (услуги) и старайтесь ее удержать.

Оценка конкурентов

Третий раздел бизнес-плана посвящается анализу конкурентов. Не следует думать, что в условиях нашего ненасыщенного рынка такой анализ является напрасной тратой времени, сил и средств. Ведь ситуация может измениться в любой момент, а вы ориентируете свой бизнес с расчетом на будущее.
Так что стоит позаботиться и об этом разделе бизнес-плана. В нем необходимо ответить на следующие вопросы:
1. Кто является вашим конкурентом сегодня и в каком состоянии его дела: стабильны, на подъеме или идут на спад?
2. Каковы отличия вашего товара (услуги) от аналогичных товаров (услуг) ваших конкурентов?
3. Каковы, хотя бы в общих чертах, шансы и возможности появления новых конкурентов?
4. В чем вы рассчитываете их превзойти?
Цель данного раздела - облегчить выбор подходящей тактики конкурентной борьбы и предостеречь свою фирму от чужих промахов. К числу типичных ошибок можно отнести попытки внедриться на перенасыщенный рынок. Детальный анализ действий конкурентов может заставить сменить стратегию и внести коррективы в текущую деятельность, дабы успешнее противостоять своим соперникам.
Причем такой анализ необходимо вести постоянно хотя бы потому, что рынки пребывают в постоянном изменении и чей-то успешный дебют привлекает новых конкурентов.
"Воевать на два фронта" трудно. Поэтому сделайте акцент на те стороны деятельности, где у вас наблюдается определенное преимущество перед конкурентами (высокое качество продукции и обслуживания, опытный персонал - вот главные из них). Попытайтесь сопоставить свои достоинства с уязвимыми моментами в деятельности соперника (конечно, при условии, что они вам известны).
Если вы четко ответите на вопросы указанных трех разделов бизнес-плана, то у вас должно сложиться определенное представление о той рыночной нише, которую вы хотите заполнить, организуя свой бизнес.
Следующий раздел бизнес-плана направлен на то, чтобы ответить на вопрос: какие практические шаги необходимо осуществить, чтобы реально занять определенное место на рынке?

Стратегия маркетинга

Четвертый раздел - это план маркетинга. В наиболее общем виде маркетинг представляет собой взаимосвязь двух сторон: всеобъемлющее изучение рынка и потенциальных потребителей и всестороннее продвижение товаров (услуг) к этому потенциальному потребителю. "Производить то, что покупается, а не продавать то, что производится" - главная формула маркетинга. Поскольку в предыдущих разделах так или иначе была сделана оценка потребителей и конкурентов, в этом разделе бизнес-плана вас больше всего должна интересовать вторая часть маркетинга: как осуществить производство и довести свой продукт до потребителя. Произвести товар, по своим параметрам соответствующий запросам покупателя, это лишь полдела. Его нужно доставить потенциальному потребителю и создать условия для превращения потребности в реальный спрос.
Коммерческий успех фирмы в большей степени зависит от того, насколько рационально организовано движение продукции в сфере обращения. По мнению маркетологов, товародвижение по значению уступает только качеству продукции как основной причины выбора поставщиков.
Основные элементы здесь следующие:
1. Схема распространения вашего товара: самостоятельно, через оптовые организации, магазины и т.д.
2. Ценообразование: как вы будете определять цену вашего товара (услуги), какую прибыль надеетесь иметь, в каких пределах можете уменьшить цену, чтобы она давала возможность окупить расходы и получить достаточную прибыль.
3. Реклама: сколько средств вы можете выделить на это, в какой форме и какими средствами будете рекламировать свой бизнес.
4. Методы стимулирования потребителей: как и за счет чего вы будете привлекать новых покупателей - расширять районы сбыта, увеличивать производство, совершенствовать товар (услугу), предоставлять гарантии или дополнительные услуги клиентам и т.д.
5. Формирование и поддержание хорошего мнения о вашем бизнесе: как и какими средствами вы будете добиваться устойчивой репутации своих товаров (услуг) и самой фирмы.

План производства

Пятый раздел бизнес-плана - план производства - содержит описание всего производственного процесса. Он готовится только теми предпринимателями, которые собираются заниматься производством какой-либо продукции или услуги.
Главная задача раздела - подтвердить расчетами, что создаваемая фирма в состоянии реально производить необходимое количество товаров (услуг) в нужные сроки и с требуемым качеством.
Здесь прежде всего нужно ответить на вопросы:
1. Где будут производиться товары - на действующем или на вновь создаваемом предприятии?
2. Какие для этого потребуются мощности сегодня и в дальнейшем?
3. Где, у кого, на каких условиях будут закупаться сырье, материалы и комплектующие детали?
4. Предполагается ли производственная кооперация и с кем?
5. Какое оборудование потребуется и где намечается его приобрести?
Одновремнно решается вопрос о контроле за качеством выпускаемой продукции.
Если предполагается создать не производственное предприятие, а торговую точку, то данный раздел можно назвать "торговый план" и описать в нем процедуру закупки товаров, систему контроля за уровнем товарных запасов и план складских помещений. В этом случае надо ответить на вопросы:
1. У кого предполагается закупать товар?
2. Есть ли подходящее помещение для магазина и для склада?
Завершить данный раздел бизнес-плана необходимо оценкой возможных издержек производства и их изменений в перспективе.

Организационный план

Шестой раздел бизнес-плана - это организационный план, в котором речь идет о том, с кем вы собираетесь организовать свое дело и как планируете наладить его бесперебойное и успешное функционирование. В этом разделе необходимо решить следующие вопросы:
1. Какие специалисты вам понадобятся для успешного ведения дела?
2. На каких условиях вы будете привлекать специалистов - на постоянную работу, по контракту, в качестве совместителей?
3. Как будет оплачиваться труд каждого работника фирмы, на каких принципах и условиях будет осуществляться стимулирование?
Следует отметить, что к найму дополнительных работников нужно прибегать только в том случае, если это повысит доходность фирмы. Поэтому прежде чем принимать на работу новых людей, подумайте, насколько это оправдано.



Управление запасами товарно-материальных ценностей


Это предъявляет особые требования к источникам их формирования. Ими являются собственные и заемные средства. Объем собственных средств отражается в уставном фонде предприятия. При установлении их размера исходят из минимальной потребности в них для выполнения плана производства, реализации продукции и осуществления всех расчетов в установленные сроки. Собственные средства, например, в пищевой промышленности составляют пятую часть стоимости всех оборотных средств. В процессе хозяйственной деятельности предприятий образуются еще некоторые другие постоянные источники.
Это переходящая задолженность по заработной плате и отчисления на социальное страхование (вследствие разрыва в сроках начисления и выплаты), предстоящие платежи поставщикам материальных ресурсов, отчисления из прибыли и т.п.
Привлеченные средства - это средства, которые находятся во временном пользовании у данного предприятия. Основную часть этих средств составляют кредиты банков, которые называются заемными средствами. К привлеченным средствам относится также кредиторская задолженность.
В состав прочих источников оборотных средств входят различные специальные фонды, образуемые на предприятии, которые до их расходования могут находиться в обороте предприятия и являются внутренними финансовыми ресурсами.
Поскольку оборотные средства представляют собой значительную величину, то рациональное их ведение является, как и в случае с основными фондами, важным требованием успешного ведения экономики предприятия. Рациональное ведение оборотных средств прежде всего находит свое проявление в ускорении их оборачиваемости: чем скорее совершается кругооборот, тем меньшая сумма товарно-материальных ценностей и денежных средств обслуживает процесс производства.

8.4. Управление запасами товарно-материальных ценностей

В структуре оборотных производственных фондов большой удельный вес занимают производственные запасы сырья, материалов и других материальных ценностей. На их долю приходится более половины суммы оборотных средств, а в пищевой промышленности эта доля порой достигает 80% и более.
Поэтому очень важно определить оптимальную величину расходов на создание производственных запасов, которая обеспечивала бы эффективное функционирование производства при минимальном объеме затрат на его материально-техническое обеспечение.
Расходы на создание и хранение запасов зависят от величины производственного запаса, налога на капитал, вложенный в запасы, страхование стоимости содержания складов, затрат, связанных с потерями (порча, устаревание и т.д.).
Но в то же время при создании и хранении запасов надо принимать во внимание и нестоимостные факторы. Здесь надо иметь в виду гарантии в отношении качества, опыт поставщика, уверенность в поставке и желательную перспективу взаимоотношений между поставщиком и производителем.
Важным является также транспортный фактор, который в ряде случаев играет более важное значение, чем цена ресурса. Ведь может сложиться такое положение, когда заявленная поставщиком высокая цена при перевозке в 10 км окажется выгоднее низкой цены, названной поставщиком, находящимся за 200 км.
Регулированию запасов посвящено много исследований, и на это имеется достаточно оснований. Это и понятно: выгода в результате рационального подхода к регулированию запасов достигает, как показывает практика, существенных размеров. Это особенно важно для предприятий, нуждающихся в больших запасах.
Важным моментом в расчете запасов является знание издержек, связанных с ними. Наиболее существенными из них являются:
1. Стоимость оформления заказа. Здесь возникают как постоянные, так и переменные затраты. Постоянные расходы - это заработная плата работников отделов снабжения, вложения в оборудование и накладные расходы, рассчитанные на определенный объем сырья.
Переменные расходы зависят от способа оформления заказа, стоимости пересылки документов, увеличения числа заказов и т.д.
2. Издержки на текущие запасы. Известно, что каждое предприятие с целью бесперебойного функционирования должно поддерживать минимальные запасы. И в этом случае запасы становятся в известной степени формой капиталовложений.
В данном случае капитал связан в материалах, сырье и товарах. И естественно, если бы он был свободен, то он бы нашел свое применение: даже поместив его в банк, можно было бы получать процент. Иными словами, с точки зрения экономической науки создание даже минимальных запасов вызывает издержки в форме неиспользованных возможностей.
Текущие расходы на запасы должны также включать складские издержки. Они возникают с увеличением запасов по сравнению с нормируемым объемом, так как в этом случае требуется расширение складов и т.д. В текущие расходы также следует включить издержки на страхование, порчу товаров, хищения и др.
Теперь посмотрим, каким образом перечисленные выше расходы проявляют себя и что можно сделать, чтобы добиться их оптимальной величины. В решении этой задачи необходимо прежде всего установить связь между размером заказа (число единиц, закупленных один раз) с общей стоимостью оформления заказа и с общей суммой текущих расходов на содержание запасов.
Допустим, мы имеем число единиц, закупаемых в результате одного заказа - "х". По мере того, как число единиц (х), закупаемых за один раз, возрастает, текущие расходы на содержание запасов также увеличиваются. Но вместе с тем, если число единиц в одном заказе увеличивается, очевидно, количество заказов при постоянных объемах производства уменьшится, что приведет, естественно, к уменьшению расходов на оформление заказа.
Эти изменения можно видеть на рис. 2.
Допустим, что потребность в определенных видах сырья или полуфабрикатов составляет 500 условных единиц в год и мы заказываем это число за один раз, т.е. в течение года мы делаем один заказ.
Управление запасами товарно-материальных ценностей


В процессе производства число заказанных единиц уменьшается до нуля, а средние запасы в этом случае равны 250 единицам. Изобразим это графически (рис. 3).
Управление запасами товарно-материальных ценностей

Текущие расходы на содержание запасов определяются в расчете на среднюю стоимость в рублях 250 единиц. Расходы на оформление заказа в этом случае возникают всего один раз в год.
Ну а если бы заказы делались два раза в год, то тогда первоначальный заказ падает до нуля и снова возрастает до 250 единиц.
Средний уровень запасов в данном случае составляет 125 единиц, расходы на оформление заказа возникают дважды, а расходы на содержание запасов сокращаются вдвое.
Таким образом, из изложенного следует, что различие в образе действий в отношении запасов приводит к различным затратам. На рис. 4 показан график общей суммы расходов.
Управление запасами товарно-материальных ценностей


Из рисунка следует, что минимальные расходы будут получены при Х = Хо.
Составим уравнение, определяющее общую сумму затрат:
1. Среднее число единиц, составляющих запасы, равняется X, где Х - число единиц, соответствующих одному заказу.
2. Средний запас в денежном выражении составляет СХ, где С - стоимость единицы изделий данного наименования.
3. Общая сумма затрат на содержание запасов составляет СX/2 Cc, где Сc - годовая ставка начислений на содержание запасов, выраженная в процентах к стоимости последних.
4. Число заказов за год равно Z, где Z - потребность за год.
5. Общая сумма затрат на оформление заказов за год составляет CрZ, где Ср - переменные расходы при оформлении одного заказа.
В итоге общую сумму затрат (ТС) можно выразить с помощью следующего уравнения:
Управление запасами товарно-материальных ценностей


В соответствии с теорией запасов существует несколько способов минимизации общей суммы расходов (ТС).
1. Можно взять первую производную по Х от общей суммы затрат и приравнять полученную величину к нулю, т.е. dTC : dx = 0, имея в виду определить точку, соответствующую нулевому наклону кривой и минимуму ТС.
2. Можно использовать графический метод. Для этого надо нанести кривые, соответствующие каждому из слагаемых затрат, а затем получить общую их сумму, как это показано на рис. 4.
3. Можно подставлять различные значения Х в уравнение общей суммы затрат до достижения минимума этой величины.

8.5. Источники формирования оборотных средств

Первоначально при создании предприятия оборотные средства формируются как часть его уставного фонда (капитала). Они направляются на приобретение производственных запасов, поступающих в производство для изготовления товарной продукции. Готовая продукция поступает на склад и отгружается потребителю.
До момента ее оплаты производитель испытывает потребность в денежных средствах. Величина этой потребности зависит не только от объема вложенных средств, но и от размера предстоящих расчетов, она может колебаться в течение года по разным причинам. Поэтому предприятие использует и другие источники формирования оборотных средств - устойчивые пассивы, кредиторскую задолженность, кредиты банков и других кредиторов.
По мере роста производственной программы потребность в оборотных средствах возрастает, что также требует соответствующего финансирования прироста оборотных средств. В этом случае источником их пополнения является чистая прибыль предприятия.
Поскольку на расчетном счете находится основная часть денежных средств предприятия, необходимо выделить ту их часть, которая без ущерба для хозяйственной деятельности предприятия может использоваться как оборотные средства.



Важная значимость малых предприятий


Но оно также оказывает чрезвычайно большое влияние на развитие национальной экономики. Последнее объясняется тем, что предпринимательство, исходя из его сущности (стремление каждого гражданина улучшить свое материальное положение), рождает массовое явление в форме развития малого и среднего бизнеса. Структура национальных экономик стран с рыночной системой хозяйствования подтверждает это положение полностью (табл.
10). Как видим, роль малых предприятий в экономике страны довольно велика, и эта тенденция не только сохраняется, но даже усиливается. Это происходит под воздействием ряда факторов, действующих порой противоречиво. Так, например, развитие технологий, науки предполагает, с одной стороны, наличие крупных предприятий (поскольку требуются большие капвложения), а с другой стороны, это ведет к сокращению рабочих мест на крупных предприятиях, а следовательно, к увеличению безработицы.
В конечном итоге это вызывает сокращение потребительского спроса и ведет к увеличению социальной напряженности.
Таблица 10
Распределение различных размеров предприятий в ряде стран (%)

Доля предприятий

США

Франция

Япония

крупные

средние

малые

крупные

средние

малые

крупные

средние

малые

В общем
количестве
предприятий

0,5

7,9

91,6

0,1

1,3

98,4

1,4

21,6

77





































В объеме
промышленной продукции

35

28,4

36,6

42,1

19,1

38,8

34,4

30,1

35,5






































Примечание. К крупным предприятиям относятся предприятия с числом занятых от 1 тыс. и более человек. К средним - от 100 до 1000 чел.
К малым-до 100 чел.

В то же время развитие технологий, науки и техники вызывает необходимость постоянного качественного изменения спроса, на которое не могут оперативно реагировать крупные предприятия в силу инертности производства из-за его громоздкости. Это могут сделать малые предприятия в силу гибкости и быстроты принятия решения, поскольку хозяину легче проконтролировать производственный процесс и быстро его переналадить исходя из изменений спроса на рынке.
Но самая важная значимость малых предприятий заключается в решении ряда социальных аспектов. Своим образованием малые предприятия создают условия для увеличения рабочих мест. Это подтверждается и современным характером экономического развития промышленно развитых стран.
В США, например, начиная с конца 60-х и особенно в 70-е годы центр создания рабочих мест переместился из крупных компаний в сектор малого бизнеса. В США ежегодно создается 600 000 новых предприятий, что в 7 раз больше, чем в 50-е и 60-е годы. Из 40 млн рабочих мест, созданных с 1965 г., на долю высокой технологии приходится не более 5-6 млн чел.
На каждые 100 новых предприятий приходится с новой технологией -одно или два, и то с оговорками*.

*См.: Друкер П.Ф. Рынок: как выйти в лидеры: Практика и принципы- С. 10.

Кроме того, в условиях повышения общей образованности населения все больше и больше нарастает стремление среди граждан полнее проявить свои личные индивидуальные способности. Этого можно достигнуть главным образом за счет открытия своего собственного "дела", своего бизнеса, которое им по душе и отвечает их наклонностям. В конечном итоге это также вызывает необходимость развития малых предприятий.
Таким образом, из изложенного следует, что малые предприятия не являются "побочным" продуктом перехода экономики в новое качество- к рынку. Они являются неотъемлемой частью социально-экономической системы страны, обеспечивая, во-первых, стабильность рыночных отношений, поскольку значительная часть населения втягивается в эту систему отношений (по мнению зарубежных ученых, стабильность системы обеспечивается при условии, когда 20-30% граждан страны имеют свое собственное дело); во-вторых, они обеспечивают необходимую мобильность в условиях рынка, создают глубокую специализацию и разветвленную кооперацию производства, без которых немыслима его высокая эффективность. В конечном итоге это ведет к динамичности хозяйственного развития и экономическому росту национальной экономики; в-третьих, изменяющейся роли малых предприятий в деятельности крупных и средних предприятий.
Если в прошлом малые предприятия создавались как результат стремления каждого открыть свое собственное "дело", то в настоящее время в большинстве случаев создание малых предприятий инициируется крупными компаниями, которые поручают им вести отдельные виды производства или устанавливать тесные связи с рынком. Малые предприятия очень часто по поручению крупных компаний или с их помощью ведут научные разработки. Причем такая связь просматривается не только в промышленности, но и в других сферах деятельности (торговля, медицина, образование и т.д.). Все это подтверждается многочисленными примерами, взятыми из развития многих стран.
Например, в США такие гиганты в розничной торговле, как "C.Penny" и "Seaes", контактируют с тысячами малых предприятий, чтобы обеспечить их продуктами для реализации. Это дает этим гигантам не только выйти на миллионы потребителей через розничную сеть различных лавок и магазинов, но и чутко улавливать изменение спроса потребителей. Такие промышленные корпорации, как "Форд" и "Крайслер", покупают отдельные компоненты для своих автомобилей у многих малых предприятий.
Крупным компаниям экономически выгодно поручать малым предприятиям производство изделий, требующих приложения высокопрофессионального мастерства, нежели делать самим. Часть мелких и средних предприятий включена через контрактную и субконтрактную системы, через систему "франчайзинг" в монополистические производственные комплексы, и большие компании являются клиентами малых фирм, а последние - поставщиками для больших фирм.
Опыт работы небольших предприятий в США показывает ряд особенностей их развития. Им присущи высокая маневренность производства по сравнению с крупными предприятиями, чуткое реагирование на спрос потребителей, способность к быстрому внедрению новой техники и технологии, лучшее использование производственных мощностей и др.
Согласно статистическим данным мелкий наукоемкий бизнес в США дает примерно 50% всех промышленных новшеств, в том числе 95% радикальных изобретений (калькулятор, ксерография, искусственный инсулин, гибкие контактные линзы, персональный компьютер, поляроидная фотография и др.).
На доллар затрат на НИОКР они создают в 24 раза больше нововведений, чем гигантские концерны. Скорость прохождения всех этапов НИОКР на 1/3 выше (2 года с выходом на рынок, а в крупных - 3 года). Затраты на одного инженера или ученого вдвое ниже, чем в корпорациях.
Малое предприятие тесно связано с корпорациями не только по линии производственных связей, развития новых технологий, но и по организации сбыта продукции, выпускаемой крупными предприятиями, а также обеспечения их сырьем и оборудованием. Это объясняется тем, что крупным предприятиям не всегда выгодно создавать у себя специализированные службы по сбыту продукции и снабжению. Эту функцию выполняют многочисленные малые предприятия в лице оптово-торговых фирм. Причем особенностью их развития, к примеру в США, является отраслевая специализация.
Почему отраслевая? Это связано с тем, что именно при ней оптовики имеют дело с четко очерченным кругом покупателей и продавцов и концентрируют свою деятельность на изучении и обслуживании определенных товарных рынков. Причем в каждой отрасли, как показывает опыт США, должно быть, как и среди производителей, не менее 10-15 конкурирующих фирм, имеющих приблизительно одинаковую товарн[ю специализацию.
В противном случае никакой конкуренции не будет, а следовательно, все преимущества рыночного оборота будут подорваны.
В реформировании российской экономики еще со времен перестройки малые предприятия взяли на себя роль создателя почвы для новой системы хозяйствования. Доминирующий сегодня частный сектор зарождался именно в сфере малого предпринимательства.
И вполне закономерно, что к настоящему времени, по официальным данным, на долю частных субъектов малого предпринимательства в общем количестве частных, государственных и муниципальных, общественных малых предприятий приходится 84%. Малые предприятия, располагая 3,4% стоимости основных средств экономики России и 14% числа занятых, производят 12% ВВП и дают одну треть прибыли по народному хозяйству. Это говорит о широких, но еще далеко не полностью раскрытых внутренних возможностях развития малого предпринимательства*.

*Вопросы экономики. - 1996. - № 7.- С. 30.







Величина задолженности поставщикам


Остальная часть денежных средств может иметь другое целевое назначение и использоваться на финансирование капитальных вложений или формирование финансовых активов. В качестве оборотных средств предприятием используются устойчивые пассивы. Они приравниваются к собственным источникам, так как постоянно находятся в обороте предприятия, используются для финансирования его хозяйственной деятельности, но ему не принадлежат. К устойчивым пассивам относятся:
• минимальная переходящая задолженность по заработной плате и отчислениям на социальное страхование, в пенсионный фонд, меди^инское страхование, фонд занятости;
• минимальная задолженность по резервам на покрытие предстоящих расходов и платежей;
• задолженность поставщикам по неотфактурованным поставкам и акцептованным расчетным документам, срок оплаты которых не наступил;
• задолженность заказчикам по авансам и частичной оплате продукции;
• задолженность бюджету по некоторым видам налогов.
При расчете минимальной задолженности по заработной плате определяется период в днях между датой начисления и датой выплаты заработной платы. Затем рассчитывается однодневная сумма задолженности по заработной плате и умножается на минимальное количество дней, в течение которых она числится в обороте предприятия.
Величина задолженности поставщикам по неотфактурованным поставкам и расчетным документам, срок оплаты которых не наступил, может быть определена следующим образом: по данным аналитического учета за предыдущий отчетный период рассчитывается средняя сумма по этой статье, которая умножается на величину темпов роста объема производства по основной деятельности в предстоящем периоде. При наличии реальных предпосылок сокращения суммы задолженности во внимание принимается ускорение оборачиваемости оборотных средств.
Минимальная задолженность перед бюджетом определяется по тем видам налоговых платежей, срок начисления которых наступает раньше срока выплаты. Это относится к налогам, плательщиком которых является предприятие как хозяйствующий субъект (налог на имущество предприятия, земельный налог, налог на пользователей автомобильных дорог), а также к подоходному налогу с заработной платы рабочих и служащих данного предприятия, который оно перечисляет в бюджет.
Кроме собственных и приравненных к ним средств источником формирования оборотных средств может быть кредиторская задолженность предприятия (средства, не принадлежащие предприятию, но временно находящиеся в его обороте). Если устойчивые пассивы можно планировать, то кредиторская задолженность - это непланируемый источник формирования оборотных средств. Кредиторская задолженность подразделяется на нормальную, возникающую в связи с особенностями расчетов, и ненормальную, образующуюся в результате нарушения покупателями сроков оплаты расчетных документов. В последнем случае покупатель, получив от поставщика товарно-материальные ценности и не уплатив за них в срок, использует уже не принадлежащие ему средства в своем обороте.
Между тем при нынешней инфляции немаловажную роль играет скорость осуществления платежей между предприятиями. Задержка платежей приводит к замедлению оборачиваемости оборотных средств и способствует ухудшению финансового состояния поставщика.
В настоящее время неплатежеспособность предприятий достигла угрожающих масштабов и имеет тенденцию к росту. Применяющиеся методы решения этой проблемы (взаимный зачет неплатежей, предоплата, векселя) пока не дают необходимого эффекта. Особенно пагубно это сказывается на предприятиях с длительным производственным циклом.
В числе прочих источников формирования оборотных средств можно назвать временно не используемые остатки фондов специального назначения, образованные за счет прибыли.
Потребность предприятия в оборотных средствах не остается постоянной в течение года. Она может колебаться в зависимости от различных факторов:
сезонности производства,
неравномерности поставок товарно-материальных ценностей,
несвоевременности поступления денег за отгруженную продукцию,
накопления нереализованной готовой продукции на складе и др.
Некоторые из перечисленных факторов обусловлены спецификой производства (сезонность производства), способом отгрузки продукции (например, только в навигационный период), т.е. причинами, связанными с нормальными условиями производства и реализации продукции на конкретном предприятии. Поэтому экономически нецелесообразно формировать оборотные средства только за счет собственных источников, так как это снижает возможности предприятия в финансировании других затрат. В качестве заемных источников используются краткосрочные кредиты банка, других кредиторов, коммерческий кредит.
Банк выдает краткосрочные ссуды, заключив с предприятием кредитный договор. Выдача кредитов увязывается с финансовым состоянием предприятия, его платежеспособностью. Прежде чем выдать кредит, банк проводит определенную аналитическую работу, принимая во внимание размер и срок испрашиваемой ссуды, результаты хозяйственной деятельности предприятия, имеющееся обеспечение ссуды. В настоящее время коммерческие банки кредитуют предприятия под залог имущества или при условии страхования риска непогашения кредита.
Краткосрочный кредит выдается на срок до одного года, но из-за сильных инфляционных процессов фактические сроки предоставления кредита гораздо меньше.
Другие кредиторы предоставляют средства предприятию взаймы под оговоренный процент на срок менее года с оформлением векселя или иного долгового обязательства.
Коммерческий кредит также оформляется векселем. Это кредит поставщика покупателю, когда оплата товарно-материальных ценностей производится покупателем позже в оговоренные с поставщиком сроки. Процент за пользование банковским и коммерческим кредитом включается заемщиком в себестоимость продукции в пределах учетной ставки Центрального банка, увеличенной на три пункта. В остальной части он уплачивается из прибыли, остающейся в распоряжении предприятия. Также из прибыли уплачивается процент по просроченным ссудам банка и поставщиков.
Процент по ссудам других кредиторов уплачивается только из чистой прибыли предприятия.
В компетенции банка находится решение вопроса о выдаче кредита на временное восполнение недостатка собственных оборотных средств. Процент по таким ссудам предприятие выплачивает из чистой прибыли.
В условиях развития инфляционных процессов и высоких процентных ставок за пользование краткосрочными ссудами значение собственных источников формирования оборотных средств усиливается. В настоящее время предприятие использует краткосрочные банковские ссуды в том случае, когда кредитуемая операция приносит доход, превышающий расходы по уплате процентов за пользование ссудой. Предоставление средств взаймы другими кредиторами и коммерческий кредит пока не получили значительного распространения.






Залог успеха вашей фирмы.


Только тщательный отбор кандидатуры на место может дать желаемый результат. Зарплата служащих относится к разряду постоянных издержек, поэтому необходима твердая уверенность в их целесообразности. Другой важной проблемой предпринимательства является вопрос о том, с кем иметь дело, кого взять в компаньоны. Опыт показывает, что вступать в бизнес, организовывать свое дело следует только с хорошо известными людьми, единомышленниками, инициативными, стремящимися к успеху, на которых вы можете положиться и доверить любой вопрос совместного предпринимательства. Лучше, если компаньоны в различных сторонах своей деятельности будут дополнять друг друга.
Это хороший залог успеха вашей фирмы.
В целях четкости и согласованности работы необходимо определить организационную схему фирмы, указать, кто и чем будет заниматься, кто и как будет осуществлять координацию, контроль и взаимодействие всех работников фирмы.
Нередко этому разделу бизнес-плана не уделяется должного внимания, и организационная неразбериха служит одной из причин неудач в бизнесе.

Финансовый план

Седьмой раздел бизнес-плана - финансовый план. Он обобщает в стоимостном выражении возможные результаты принятых решений по предыдущим разделам бизнес-плана.
Финансовый план включает: расчет величины и определение источника получения средств, необходимых для организации дела, прогноз объемов реализации, баланс денежных расходов и поступлений, таблицу доходов и затрат, сводный баланс активов и пассивов предприятия, график достижения безубыточности.
В том случае, если собственных средств для организации дела не хватает, приходится прибегать к кредитам. Однако прежде чем его взять, необходимо просчитать свою потребность в заемных средствах и соизмерить ее с возможностями своевременного погашения ссуды, тем более что кредит сейчас выдается в основном на короткий срок и под высокие проценты.
Прибегая к ссуде или вкладывая собственные средства, необходимо знать, как "сработают" эти деньги, какой доход принесут. Важно убедиться, что прибыль от использования кредита окажется выше затрат по его привлечению.
Другой способ привлечения необходимых средств - найти партнера, желающего вложить свои деньги, тот или иной капитал (здание, оборудование и т.д.) в дело. Правда, в этом случае возникает так называемая партнерская собственность, и доход от бизнеса делится либо поровну, либо в зависимости от величины вложенного капитала, в том числе и акционерного.
Прогноз объема реализации даст представление о доле рынка, которая будет охвачена выпускаемой продукцией.
Баланс денежных доходов и расходов - документ, определяющий сумму денег, вкладываемых в проект с разбивкой по времени от момента начала организации фирмы. Главная задача баланса - проверить синхронность поступления денежных средств от реализации продукции и их расходования, т.е. определить достаточность этих средств на каждый момент времени.
Таблица доходов и затрат показывает: доходы от продажи товаров, издержки от их производства, суммарную прибыль от продаж, общепроизводственные расходы (по видам), чистую прибыль.
Сводный баланс активов и пассивов фирмы составляется на начало и конец первого года существования проекта. Он служит основой для оценки специалистами коммерческих банков добротности источников финансирования и целесообразности вложения капитала.
Раздел рекомендуется заканчивать графиком безубыточности. График дает возможность определить объем производства (критическую программу), при котором фирма начнет получать прибыль.
Квалифицированное решение финансовых вопросов - одна из самых ответственных проблем для предпринимательства. От этого в значительной степени зависят прибыльность деятельности предпринимателя, успех дела.
Однако нередко стремление предпринимателя все сделать самому, нежелание перепоручить что-либо кому-либо приводят не к самым лучшим результатам. А поскольку речь идет о таком специфическом вопросе, как финансы, где требуются специальные знания, то неудачные решения в этой области могут привести к плачевным результатам или к потере части прибыли.
Чтобы избежать такого нежелательного варианта, целесообразно в случае необходимости прибегать к услугам толкового финансиста. Конечно, это дополнительные расходы, но они с лихвой окупятся нахождением с помощью специалиста более выгодного варианта действий.
Таким образом, в результате проделанной работы вы составили план действий по достижению поставленных целей. Разработка бизнес-плана дает возможность трезво оценить свое предприятие, выявить его слабые и сильные стороны, определить, что потребуется для осуществления деятельности фирмы, оценить открывающиеся перспективы, предвидеть возможные трудности, не дать им перерасти в серьезную проблему, докопаться до причин затруднений, а значит, найти пути их устранения. Если затеваемое вами дело находится на грани банкротства, план объяснит, почему дешевле отказаться от сомнительной затеи, чем на собственном опыте учиться тому, чему план научил бы вас в течение нескольких часов сосредоточенной работы по его составлению.
Истинный предприниматель тем и отличается, что не пасует перед трудностями, сохраняет веру в себя и свое дело при неудачах, не боится в очередной раз начать все сначала. Неутомимость, наличие и использование своеобразного внутреннего подзавода позволяют ему справиться с собственной неопределенностью и спадом в настроении и работе и в конечном счете добиться желаемого результата, испытывая на своем пути не только огорчения, но нередко и огромное удовольствие, ведь деньги не являются единственным мотивирующим фактором для предпринимателя.








    Экономика: Знания - Циклы - Макроэкономика