Финансы предприятий национальной экономики


В условиях проводимых в стране экономических преобразований особую важность приобретают вопросы организации финансов и оптимального движения финансовых ресурсов как на макро уровне, так и на уровне субъектов хозяйствования. Важность данного положения обусловлена тем, что финансы являясь стоимостной категорией, оказывают существенное влияние на стадии воспроизводственного процесса в стране и это влияние тем более заметно и существенно на низовом уровне хозяйствования - предприятиях. Именно на уровне предприятий создается национальных доход, который в последующем перераспределяется в другие звенья экономики.
Тем самым становится очевидна значимость изучения финансовых аспектов деятельности предприятий национальной экономики. Целью данного пособия является ознакомление студентов экономических специальностей с основами организации и функционирования финансов предприятий всех секторов экономики. Логика построения пособия предполагает последовательное изучение основополагающих тем курса. Отметим, что наибольшее внимание уделено раскрытию сущности финансов и финансовых ресурсов предприятий, как фундаментальным категориальным характеристикам. Часть положений представляет собой авторское видение проблематики.
Наряду с общепризнанными разделами курса (такими как "Финансовое обеспечение воспроизводственного процесса на предприятии", "Затраты, выручка и прибыль предприятий") в пособии рассматриваются характерные особенности организационно правовых форм хозяйствования и отраслевых характеристик организации финансов предприятий. Логическим завершением выступает тема финансового анализа производственно-хозяйственной деятельности предприятий. Подобный подход позволяет комплексно и полно рассмотреть и взаимоувязать концептуальные положения курса, что обеспечивает эффективное познание студентами финансов предприятий.
Однако, динамизм рыночных преобразований, открытость российской экономики, глобализация финансовых процессов в современном мироустройстве обуславливают перманентность процессов познания и уточнения концептуальных основ и многих базовых характеристик финансовых дисциплин. Это особо актуально для финансов предприятий, как первичного звена хозяйствования.


1. СУЩНОСТЬ ФИНАСОВ ПРЕДПРИТИЙ НАЦИОНАЛЬНОЙ ЭКОНОМИКИ

Из главы Вы узнаете:

  • что такое предприятие;
  • что изучают финансы предприятий и какие они выполняют функции;
  • что понимается под финансовыми ресурсами предприятий;
  • как строится система организации финансов хозяйствующих субъектов;
  • какие финансово-кредитные отношения возникают у предприятий с внешней средой.

1. Понятие финансов предприятий, их место в финансовой системе и функции
Предприятие - это хозяйствующий субъект, созданный для организации предпринимательской деятельности, экономической целью которого является обеспечение общественных потребностей и извлечение прибыли.
Предпринимательская деятельность, по своему содержанию, включает производство и реализацию продукции, выполнение работ, оказание услуг, операции на фондовом рынке. В процессе предпринимательской деятельности у предприятий и организаций возникают хозяйственные связи с контрагентами: поставщиками, покупателями, партнерами, в результате которых и возникают финансовые отношения по поводу формирования и использования фондов денежных средств. Материальной основой финансовых отношений выступают деньги, а необходимым условием их возникновения является движение денежных средств.
Финансы предприятий - совокупность объективно обусловленных экономических отношений предприятий, имеющих распределительный характер, денежную форму выражения и материализуемых в доходах, поступлениях, накоплениях, формируемых в распоряжении субъектов хозяйствования для целей обеспечения производственной деятельности.
Финансовые отношения предприятий в зависимости от содержания можно сгруппировать по направлениям:
- возникающие между учредителями в момент создания предприятия по поводу формирования его уставного капитала;
- между самими предприятиями, связанные с производством и реализацией продукции, возникновением вновь созданной стоимости (между поставщиками, покупателями, подрядчиками и другими субъектами экономики);
- между подразделениями внутри предприятия (например, между цехами, филиалами);
- между предприятием и его работниками (при распределении полученного дохода, размещении ценных бумаг, выплате дивидендов, взыскании штрафов и компенсаций);
- между предприятием и вышестоящей организацией (внутри холдинга, финансово-промышленной группы, с союзами ассоциациями). Эти отношения возникают при формировании, распределении, использовании ресурсов получаемых для финансирования целевых программ, проведения исследований, осуществления инвестиционных проектов.
- между предприятием и финансами государства при уплате налогов, взносов во внебюджетные фонды, предоставлении налоговых льгот, ассигнований, уплате штрафов;
- между предприятием и банковской системой при хранении денег, получении и погашении кредитов, покупке и продаже валюты, оказании других банковских услуг;

  • между Wредприятием и страховыми компаниями и организациями, при страховании имущества, работников, рисков и др;
  • между предприятием и инвестиционными институтами при размещении инвестиций.
Каждая из названных групп имеет свои особенности, но все они носят двусторонний характер т.е. финансовые потоки имеют прямую и обратную направленности.
Где же возникают и функционируют финансовые отношения? Для ответа на этот вопрос рассмотрим последовательность стадий воспроизводственного процесса: производство, распределение, обмен, потребление.
На стадии производства финансовые отношения формируются лишь потенциально, поскольку здесь отсутствует их важный признак – движение денежных средств. Потенциально – это значит, что здесь посредством умелого объединения факторов производства (земля, труд, капитал, предпринимательские способности) создается новая прибавочная стоимость, приобретающая в последующем форму национального дохода. Национальный доход - часть стоимости совокупного общественного продукта, остающаяся после возмещения потребленных в производстве средств. Совокупный общественный продукт (СОП) – стоимость материальных благ, созданных в обществе за определенный период времени (чаще год).
Здесь необходимо отметить, что СОП создается только отраслями материального производства, в то время как непроизводственная сфера перераспределяет или непроизводительно потребляет его. Таким образом, источником формирования финансовых ресурсов выступают предприятия сферы материального производства, и именно поэтому они являются базисом последующих распределительных отношений.
Вторая стадия воспроизводственного процесса - распределение. Именно эта стадия является сферой функционирования финансовых отношений, а значит, и образования финансовых ресурсов. Здесь происходит распределение и отчуждение стоимости общественного продукта в денежной форме и формирование доходов субъектов производства в соответствии с их вкладом или формирование целевых отдельных частей стоимости у одного владельца.
Эта стадия характеризуется обособленным (от движения товаров), односторонним движением стоимости.
На стадии обмена движение денежных средств продолжается, хотя приобретает качественно иные характеристики. Так, стоимость уже не отчуждается, а лишь меняет свою форму с денежной на товарную – происходят акты купли и продажи товаров. Движение денежный формы стоимости сопровождается встречным (т.е. двусторонним) движением стоимости в товарной форме.
Отсутствие же распределительных отношений на этой стадии не позволяет считать ее сферой функционирования финансовых отношений. Вместе с тем, именно на этой стадии финансовые ресурсы могут продолжать свое движение, но уже в качестве товара. Например, ссуды.
На четвертой стадии воспроизводственного процесса - потреблении, также как и на первой, отсутствует движение денежных средств, т.е. финансовые отношения отсутствуют.
Итак, финансовые ресурсы возникают и функционируют на второй стадии воспроизводственного процесса – стадии распределения. Вместе с тем, первоначальной сферой их образования являются процессы первичного распределения стоимости СОП, когда стоимость распадается на составляющие ее элементы и соответственно образуются различные формы дохода, как у самого предприятия, так и у других субъектов хозяйствования и государства. Речь идет о том, что по реализации продукции и образовании выручки формируются амортизационные отчисления, отчисления на заработную плату работающих, прибыль предприятия, отчисление на государственные социальные нужды, происходят платежи по страхованию, банковской сфере.
Все остальные отношения носят перераспределительный характер, ибо затрагивают распределение образовавшихся вышеназванных доходов. Это отчисления из прибыли государству, налоги на доходы физических лиц, распределение прибыли на предприятии и т.д. Схематично местоположение финансов предприятий в общегосударственной финансовой системе можно представить следующим рисунком.
Роль и место системы финансовых ресурсов предприятий

Амортизационные отчисления



При применении способа списания стоимости по сумме лет срока полезного использования годовая сумма отчислений определяется исходя из первоначальной стоимости объекта и соотношения числа лет оставшихся до конца срока службы, и суммы чисел лет срока службы объекта. В данном случае объект полностью переносит свою стоимость за период использования.
Например, объект стоит 100000 руб. Срок использования – 5 лет. Сумма лет полезного использования составит 1+2+3+4+5=15


Год со дня приобретения
Норма амортизации
Сумма амортизации
1
5:15*100=33,33
100000*33,33%=33330
2
4:15*100=26,67
100000*26,67%=26670
3
3:15*100=20
100000*20%=20000
4
2:15*100=13,33
100000*13,33%=13330
5
1:15*100=6,67
100000*6,67%=6670
Итого

100000
Данный способ позволяет в начале эксплуатации списать большую часть стоимости фондов, в последующем темп списания замедляется, что обеспечивает снижение себестоимости продукции.
При способе списания стоимости пропорционально объему продукции начисление амортизационных отчислений производится исходя из натурального показателя объема продукции в отчетном периоде и соотношения первоначальной стоимости объекта и предполагаемого объема продукции за весь период полезного использования. Этот способ позволяет учитывать физический износ объекта.
Например, стоимость транспортного средства - 60 тыс.руб. Срок его использования - 5 лет с предполагаемым пробегом 500 тыс.км. В отчетном периоде пробег составил 5 тыс.км. Следовательно амортизационные отчисления -0,6 тыс. руб.
Этот способ может использоваться для сезонного характера эксплуатации.
При любом способе начисление амортизации происходит ежемесячно исходя из 1/12 годовой суммы. По объектам основных фондов полученным по договору дарения, жилищному фонду, объектам внешнего благоустройства амортизация не начисляется. Не подлежат амортизации также объекты потребительские свойства которых о течением времени не изменяются (земельные участки, объекты природопользования).


3. Кругооборот оборотных фондов и источники их финансирования


Любое предприятие должно обладать определенным реальным, действующим имуществом в виде основного и оборотного капитала. Понятие оборотных средств тождественно оборотному капиталу и составляет часть имущества предприятия необходимую для его функционирования.
Оборотные средства - совокупность финансовых средств (средств имеющих стоимостную оценку) авансированных для создания и использования оборотных производственных фондов и фондов обращения для обеспечения непрерывности процесса производства и реализации продукции.
По функциональному назначению оборотный капитал подразделяется на оборотные производственные фонды и фонды обращения.
Оборотные производственные фонды обслуживают сферу производства и материализуются в предметах труда (сырье, материалы, топливо) и частично в средствах труда и воплощаются в производственных запасах, полуфабрикатах собственного изготовления. Наряду с этими элементами задействованными в производственных запасах и незавершенной продукции, оборотные производственные фонды представлены также расходами будущих периодов, необходимыми для создания заделов, установки нового оборудования. Производственные фонды (основные и оборотные) являются материальной основой производства. Оборотные производственные фонды обладают рядом особенностей:
- полностью расходуются в однократном производственном цикле;
- претерпевают изменение своей натурально-вещественной формы и утрачивают потребительную стоимость;
- кругооборот зависит от производственного цикла (может быть несколько кругооборотов в год);
-переносят свою стоимость целиком и сразу на готовый продукт.
Фонды обращения не участвуют в процессе производства и их назначение состоит в обеспечении ресурсами процесса обращения, в обслуживании кругооборота средств предприятия и достижении единства производства и обращения. Фонды обращения состоят из готовой продукции и денежных средств.
Объединение оборотных производственных фондов и фондов обращения в единую категорию обусловлено назначением и сущностью оборотных средств, цель которых обеспечение непрерывности процесса воспроизводства.
Особенностью оборотного капитала является то, что он не расходуется, не потребляется, а авансируется, что предполагает возвращение средств после каждого производственного цикла или кругооборота включающего производство продукции, ее реализацию, получение выручки. Экономическая сущность оборотных средств определяется их ролью в обеспечении непрерывности процесса воспроизводства, в ходе которого они проходят сферу производства и обращения.


Стадии и формы кругооборота оборотного капитала

стадии кругооборота оборотного капитала
1
денежная (снабжение)
Д-Т
2
производительная
(производство)
Т-П-Т’
3
товарная
(реализация)
T’-Д’
Формы изменения авансированной стоимости
Денежная - товарная
Товарная – производительная - товарная
Товарная - денежная
Кругооборот авансированных средств и фондов предприятия
Д-ПЗ
фонды обращения
ПЗ-П-ГП
оборотные производственные фонды
ГП-Д’
фонды обращения
Д – деньги, Т – товары, П – производство, ПЗ – производственные запасы, ГП – готовая продукция.

Кругооборот капитала совершается непрерывно, непрерывно происходит и постоянная смена авансированной стоимости. Вместе с тем оборотный капитал в разных формах присутствует на всех стадиях, обеспечивая непрерывность процесса производства.
Важную роль в организаций кругооборота фондов играют собственные оборотные средства, которые первоначально выделяются из состава уставного (складочного, паевого) капитала (у хозяйственных обществ, товариществ, производственных кооперативов) или фонда (на унитарUых и федеральных казенных предприятиях). Вплоть до поступления выручки от реализации продукции эти оборотные средства служат источником финансирования текущих производственных запасов и затрат.
В дальнейшем пополнение средств происходит за счет полученной прибыли. Суммы прибыли аккумулируются в фонде накопления, из которого и направляются на пополнение оборотных средств. В случае, когда предприятие не создает фонда специального назначения на эти цели расходуется часть нераспределенной прибыли отчетного периода.
Нарушением принципа целевого использования является привлечение для формирования оборотных средств амортизационных отчислений.
Специфическим источником собственных оборотных средств являются выгодные финансовые вложения временно свободных ресурсов, а в некоторых случаях - дополнительный выпуск ценных бумаг.
Минимальная постоянная величина устойчивых пассивов всегда находится в распоряжении предприятия. К ним относятся:
- минимальная переходящая задолженность (по оплате труде, отчислениям во внебюджетные фонды), которая обусловлена естественным расхождением между сроком начисления и расходования;
- минимальная задолженность по резервам на покрытие предстоящих расходов и платежей;
- задолженность поставщикам по неотфактурованным поставкам (товарно-материальные ценности полученные предприятием покупателем без счета поставщика) и акцептованным расчетным документам, срок оплаты которых не наступил;
- задолженность заказчикам по авансам и частичной оплате (предоплате) продукции;
-задолженность бюджету по налогам срок платежа которых не наступил.
Устойчивые пассивы являются источником покрытия оборотных средств в сумме прироста, т.е. разницы между их величиной на конец и начало периода.
Кредиторская задолженность по существу является бесплатным кредитом, предоставляемым другими предприятиями, лицами - это плохо прогнозируемый источник.
Среди прочих средств предприятия следует назвать временно неиспользуемые остатки резервного фонда, других фондов специального назначения (потребления, социального развития, премиального, благотворительного, ремонтного, по отпускам, рекламациям, резервам предстоящих платежей).
Заемные средства привлекаются для покрытия временной потребности в оборотных средствах. Заемные источники представлены в основном краткосрочными банковскими кредитами.
Следует отметить важность контроля за состояние дебиторской задолженности, через которую происходит отвлечение средств предприятия из материальной сферы в сферу обращения. Следует учитывать, что часть дебиторской задолженности может вообще не возвратиться в кругооборот предприятия. Часто источником покрытия дебиторской задолженности является кредиторская задолженность.
4. Структура оборотных фондов
Поскольку оборотные редства включают как материальные так и денежные ресурсы, то от их организации зависит процесс производства и финансовая устойчивость предприятия. Рациональное управление оборотными фондами предполагает:
-определение состава и структуры;
-установление потребности в оборотных средствах;
-выявление источников их формирования.
-эффективное распоряжение ими
Состав оборотных средств представлен в таблице.
Схема состава оборотных средств.

Признак группировки
Оборотные средства
Функциональное назначение
Оборотные производственные фонды
Фонды обращения/сфера обращения
Форма содержания
Средства в запасах
Средства в производстве
Готовая продукция
Деньги и дебиторская задолженность
Элементы состава
Пред-меты труда
Орудия труда
/МБП/
Незаконченная продук-ция
Расхо-ды буд. перио-дов
Гото-вая продукция
товары
Деньги
деб.задол-женность
Степень планируемости
нормируемые
ненормируемые


Анализ финансовой устойчивости







Сравнительный аналитический баланс, тыс. руб.


Показатели баланса
Абсолютная величина
Удельные веса (%)
Изменения
На нач. (П1)
На кон.(П2)
На нач. (П1)
На кон.(П2)
В абс. величинах
В уд. Весах (УдС)
В % к началу периода (ИзмП1)
В % к изменению валюты (ИзмБ)
АКТИВ








1. Внеоборотные активы
459
556
45,9
55,6
+97
+9,7
+21,1
+84,3
2. Оборотные активы в т.ч.
541
559






А) запасы
415
430






Б) дебиторская задолженность, краткосрочные финансовые вложения, денежные средства
126
129






В) краткосрочные финансовые вложения и денежные средства
96
100






Г) дебиторская задолженность
30
29






БАЛАНС
1000
1115
100
100
+115
0
+11,5
100









ПАССИВ








4. Капитал и резервы
700
801






5. Долгосрочные кредиты
56
57






6. Краткосрочные кредиты и займы
202
215






. Кредиторская задолженность и прочие пассивы
42
42






БАЛАНС
1000
1115







Признаками хорошей структуры анализируемого баланса могут считаться: достаточная величина средств на счетах, достаточная обеспеченность собственными оборотными средствами, рост собственного капитала, отсутствие резких изменений в статьях баланса, дебиторская задолженность находится в равновесии с кредиторской, в балансе отсутствуют "больные" статьи (убытки, просроченная задолженность банкам и бюджету), запасы не превышают минимальную величину их формирования (собственных оборотных средств, долгосрочных краткосрочных кредитов и займов).


  1. Анализ финансовой устойчивости
Анализ начинается с проверки обеспеченности запасов и затрат источниками формирования. Таким образом, финансовую устойчивость предприятия определяет прежде всего соотношение стоимости материальных оборотных средств и величин собственных и заемных источников их формирования. Различают типы финансовой устойчивости:
-абсолютная устойчивость - излишек источников формирования запасов и затрат. Данный тип встречается крайне редко.
-нормальная устойчивость - запасы и затраты обеспечиваются суммой собственных средств;
- неустойчивое финансовое состояние - запасы и затраты обеспечиваются за счет собственных и заемных средств их формирования;
- кризисное финансовое состояние - запасы и затраты не обеспечиваются источниками формирования, а предприятие находится на грани банкротства.
Для анализа финансовой устойчивости хозяйствующего субъекта используется таблица.

Анализ финансовой устойчивости




Показатели
На начало
Периода (тыс.руб.)
На конец
Периода (тыс.руб.)
Изменение
за период (тыс.руб.)
1
Капитал и резервы (т.е. источники собственных средств)
700
801
+101
2
Основные средства и прочие внеоборотные активы
459
556

3
Наличие собственных оборотных средств (1-2)
241
245

4
Долгосрочные кредиты и заемные средства
56
57

5
Наличие собственных и долгосрочных заемных источников формирования запасов (3+4)
297
302


6
Краткосрочные кредиты и заемные средства
202
215

7
Общая величина основных источников формирования запасов и затрат (5+6)
499
517

8
Общая величина запасов и затрат (3+6)
443
460

9
Излишек (+) или недостаток (-) собственных оборотных средств (3-8), А
-202
-215

10
Излишек или недостаток собственных и долгосрочных заемных источников формирования запасов и затрат (5-8), Норм
-146
-158

111
Излишек или недостаток общей величины основных источников формирования запасов и затрат (7-8), Н
56
57

12
Тип финансовой устойчивости
Неустойчивое состояние
Неустойчивое состояние



При определении типа финансовой устойчивости применяются следующие неравенства:
А О - абсолютная устойчивость;
Норм О- нормальная финансовая устойчивость;
Н О - неустойчивое финансовое состояние;
Н О - кризисное финансовое состояние.
Источниками ослабляющими финансовую напряженность могут быть:
временно свободные собственные средства предприятия (фонды, экономического стимулирования, финансовые резервы и др.), привлеченные средства (превышение нормальной кредиторской задолженности над дебиторской), кредиты банка на пополнение оборотных средств.
Для характеристики финансовой устойчивости могут быть также использованы коэффициенты:
1. Обеспеченности собственными = собственные оборотные средства
оборотными средствами запасы и затраты
Показывает наличие собственных оборотных средств необходимых для финансовой устойчивости, его нормальное значение К 0,6-0,8
2. Маневреннооти = собственные оборотные средства
общая величина собственных средств

Показывает какая часть собственных средств находится в мобильной форме позволяющей относительно свободно маневрировать этими средствами. В качестве ориентировочного значения можно назвать 0,5.
3. Автономии = собственные средства / итог баланса
Показывает долю собственных средств в общем объеме ресурсов предприятия. Нормальным значением можно считать К 0,5 - в этом случае все обязательства предприятия покрываются его собственными средствами.
4.Краткосрочной задолженности = краткосрочные обязательства / общая величина обязательств.
Следует помнить, что внешним проявлением финансовой устойчивости является платежеспособность предприятия т.е. его способность в срок рассчитываться по своим обязательствам. Предприятие считается платежеспособным если имеющиеся у него денежные средства, краткосрочные финансовые вложения (ценные бумаги) и активные расчеты (расчеты с дебиторами) покрывают его краткосрочные обязательства.

4. Анализ ликвидности баланса
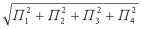
Ликвидность активов - это их способность превращаться в денежную форму. Ликвидность баланса - определяется как степень покрытия обязательств предприятия его активами, срок превращения которых в денежную форму соответствует сроку погашения обязательств. Анализ ликвидности баланса заключается в сравнении средств по активу, сгрупированных по степени их ликвидности и расположенных в порядке убывания ликвидности, с обязательствами по пассиву, сгруппированными по срокам их погашения и расположенными в порядке возрастания сроков. Активы предприятия разделяются на группы:
А1 - наиболее ликвидные активы (денежные средства и краткосрочные финансовые вложения);
А2 - быстрореализуемые активы (дебиторская задолженность со сроком погашения до 12 месяцев и прочие оборотные активы);
АЗ - медленно реализуемые активы (запасы за минусом расходов будущих периодов плюс долгосрочные финансовые вложения);
А4 - труднореализуемые активы (основные средства и иные внеоборотные активы - долгосрочные финансовые вложения + дебиторская задолженность сроком погашения более 12 месяцев);
Пассивы группируются:
ПI - наиболее срочные обязательства (кредиторская задолженность поставщикам и подрядчикам, векселя к уплате, задолженность перед дочерними и зависимыми обществами, по оплате труда, по социальному страхованию и обеспечению, перед бюджетом, авансы полученные + прочие краткосрочные пассивы);
П2 - краткосрочные пассивы (краткосрочные кредиты и заемные средства);
ПЗ - долгосрочные пассивы (долгосрочные кредиты и займы);
П4 - постоянные пассивы (капитал и резервы + расчеты по дивидендам + доходы будущих периодов + фонды потребления + резервы предстоящих расходов и платежей).
Баланс считается ликвидным если соблюдаются неравенства: А1 П1, А2 П2, АЗ П3, А4 П4.
Очевидно, что четвертое неравенство носит балансирующий характер и его выполнение свидетельствует о наличии у предприятия собственных оборотных средств. Сравнение же А1 и А2 с П1 и П2 показывает текущую ликвидность (т.е. платежеспособность в ближайшей перспективе), а АЗ с ПЗ - перспективную ликвидность (т.е. прогноз платежеспособности). Результаты анализа ликвидности баланса сводятся в таблицу, где также указываются абсолютная и относительная величина отклонения.
Характеристика ликвидности дополняется и финансовыми коэффициентами. Здесь могут быть расчитаны.
1.Общий показатель ликвидности = А1+0,5А2+0,3А3
П1+0,5П2+0,3П3
Где, 0,5 и 0,3 есть весовые коэффициенты устанавливающие срочность погашения.
Показывает отношение всех ликвидных средств предприятия к сумме всех платежных обязательств, позволяет сравнивать балансы разных отчетных периодов и различных предприятий.
2. Показатель абсолютной ликвидности = А1
П1+П2
Показывает какая часть краткосрочной задолженности может быть погашена в ближайшее время. Нормальным ограничением следует считать К 0,2-0,5.
3. Показатель текущий ликвидности /покрытия/ = А1+А2+А3
П1+П2
Показывает в какой степени текущие активы покрывают краткосрочные обязательства, т.е. характеризует платежные возможности предприятия при условии не только своевременных расчетов с дебиторами и благоприятной реализации продукции, но и продажи в случае необходимости прочих элементов материальных оборотных средств.
Следует отметить, что показатель 2) наиболее интересен для поставщиков сырья и материалов, а показатель 3) для покупателей и держателей акций и облигаций предприятия.



Часть ресурсов выполняет потребительную функцию.


И это вполне очевидно, ведь коль речь идет о воспроизводственном процессе (длящемся во времени), то у предприятия возникают определенные обязательства перед финансово-кредитной системой, работниками. Поэтому часть ресурсов отвлекается в непроизводственную сферу предприятия и выполняет непроизводственную функцию: резервный капитал, фонд накопления, потребления и т.д. Возникновение этой функции обусловлено обязательствами предприятия, необходимостью расширения своей деятельности.
Роль этой функции не менее важна, так как от того, насколько своевременно и в полном объеме будут выполняться обязательства предприятия, зависит и его производственная деятельность. Развитие рыночных отношений привело к тому, что сегодня любой хозяйствующий субъект заинтересован в прибыльном использовании имеющихся ресурсов. Поэтому часть финансовых ресурсов, обслуживающих непроизводственную сферу предприятия направляют на расширенное воспроизводство, т.е. выполняют инвестиционную функцию, которая реализуется посредством прибыльных краткосрочных и долгосрочных финансовых вложений. Стремление субъектов хозяйствования к реализации этой функции подчеркивает ранее обоснованную капиталистическую природу финансовых ресурсов.
Данная функция не обязательно связана с созданием новой стоимости, а вполне может быть реализована на финансовых рынках посредством спекулятивных операций.
Естественно, часть финансовых ресурсов предприятие для обеспечения ликвидности должно держать в налично-денежной форме или же в фондах и резервах, не приносящих дохода. Эта часть ресурсов выполняет потребительную функцию. Эта функция, в отличие от инвестиционной, не создает прибавочную стоимость.
Необходимо подчеркнуть важность оптимального соотношения ресурсов, находящихся в производственной и непроизводственной сферах, приносящих доход или потребляемых. Это позволит, с одной стороны, обеспечить непрерывность процесса производства и выполнения производственной программы, а с другой – в полном объеме выполнять внешние и внутренние обязательства, не забывая о ликвидности и прибыльном использовании имеющихся ресурсов. Следует отметить, что чем больше ресурсов участвует в прибыльном обороте, тем эффективнее вся производственно-хозяйственная деятельность предприятия, а, следовательно, реализуется механизм воспроизводства экономического роста.

3. Организация системы финансов предприятия: сущность и методические основы проектирования


При изучении организации финансовой работы на предприятии мы также будем придерживаться системного подхода в исследовании - это позволит более полно уяснить состав и соотношение элементов организации финансов, а в последующем подойти к научно обоснованному проектированию управленческой работы на предприятии и выделению функций менеджеров.
Что же понимается под организацией? Словарь русского языка дает разнообразные трактовки этого слова и одним из вариантов здесь является: организованность, хорошее, планомерное, продуманное устройство, внутренняя дисциплина.
Вместе с тем, организация есть состояние и определенный этап развития системы, характеризующий ее целенаправленное изменение к более высокой стадии развития. Схематично организацию финансовой работы в свете системного подхода можно представить рисунком (рис. 2.6).
Вместе с тем, приведенная схема достаточно упрощенно показывает структурные составляющие управляющей подсистемы. Вполне очевидно, что кроме финансовых управляющих для полноценного процесса управления необходимы и другие элементы. К ним относятся: органы управления, информация, организационная вычислительная техника, технология управления, кадры управления, средства связи и внутрифирменная почта.
К органам управления относятся управляющие организационные структуры системы управления. Информация –
Организация финансовой работы на предприятии















Рис. 2.6.
специфический элемент управленческого труда, представляющий собой сведения и сообщения, интересующие управленца о происходящих изменениях, закономерностях и тенденциях их развития. Организационная и вычислительная техника своего рода средства труда, позволяющие оперативно обрабатывать, видоизменять информацию, необходимую для эффективной организации управленческой работы и приятия решений. Технология управления – определенная совокупность методов управления и последовательность выполнения управленческих операций. Кадры управления - административно-управленческий персонал, выступающий рабочей силой в системе управления и представленный руководителями, специалистами, техническими исполнителями.
Средства связи и внутрифирменная почта – технические устройства и способы организации передачи рабочей информации между руководителями и исполнителями.
Органы управления представлены организационными структурами систем финансового управления. Структурной единицей здесь является менеджер, занимающийся управлением финансовыми ресурсами. На небольших предприятиях он может совмещать свою работу с обязанностями бухгалтера. С укрупнением производственных структур появляется необходимость в четком разделении обязанностей увеличившегося штата управленцев (кадров управления) и их объединения в финансовую службу – это может быть финансовый отдел (департамент). В дальнейшем, финансовые организационные структуры могут быть разукрупнены по принципу специализации в самостоятельные структурные подразделения, занимающиеся планированием, инвестициями, управлением денежными потоками, финансовой отчетностью и т.д.
В этом случае структурной, единицей считается департамент, работа менеджеров в котором четко разграничена и специализирована по специфике данного подразделения.
Информация. Функционирование управленческой системы невозможно без информационного обеспечения. Речь идет, прежде всего, об информации финансового характера: об устойчивости и платежеспособности партнеров и конкурентов, ценах, курсах валют, процентах за кредит. Данного рода информация характеризует состояние финансово-кредитного рынка, как внешней среды системы финансовых ресурсов предприятия, тенденциях и перспективах его развития.
Однако, свойство финансов характеризовать движение стоимости позволяет контролировать, посредством использования финансовой информации, стадии воспроизводственного процесса, что способствует оперативности принимаемых управленческих решений. Своевременное и качественное информационное обеспечение управляемой системы позволяет избежать крупных финансовых потерь и банкротства.
Организационная и вычислительная техника способствует оперативности обработки первичной информации и представления ее пользователям. Важнейшими характеристиками современной вычислительной техники являются быстродействие, объем памяти. Подобный акцент позволяет уже на стадии приема и обработки полученной информации добиться выигрыша в скорости и качестве принимаемых решений, а, значит, с минимальными издержками регулировать процесс производства, ибо гораздо легче предупредить возникновение отклонений или исправить их еще на стадии формирования, нежели в последующем реагировать на уже произошедшие и сформировавшиеся процессы.
Технология управления, как совокупность способов, приемов и методов осуществления управленческого решения во многом определяется типом руководителя, его опытом, личностными характеристиками и ценностями. Быстроменяющаяся и всеусложняющаяся рыночная среда требует и адекватной технологии управления, учитывающей, прежде всего, множество параметров и вариантов принимаемого решения, взаимозависимость факторов, временные ограничения. Современный западный менеджмент уделяет большое внимание разработке данного аспекта. [21]
Кадры управления – управленческий персонал финансовой организационной структуры, реализующий управленческое решение. Должны обладать определенным уровнем профессионально - квалификационных качеств и уметь работать в коллективе. Безусловную значимость приобретают организационные способности, знание экономических законов, особенностей функционирования факторов финансового производства, технологии управления.
Кадровое обеспечение определяет эффективность организации по достижению поставленных целей.
Средства связи, внутрифирменная почта – выступают средством коммуникации при осуществлении управленческого воздействия. Позволяют оперативно получать интересующую информацию, в т.ч. и о состоянии всех элементов организации, а также передавать ее исполнителям или за пределы организации. Наряду с организационной и вычислительной техникой данный элемент характеризуется динамичностью развития и прямо влияет на скорость обработки и передачи данных. Вместе с тем, в последнее время наблюдается тенденция к объединению данных элементов.
Например, современная компьютерная техника может быть использована для вычислений, приема и передачи данных.
Как принадлежащие одной системе эти элементы образуют межэлементные связи [42, с. 66-67], оказывая, таким образом, влияние друг на друга. Например, органы управления характеризуются определенной технологией управления, обрабатываемой информацией, кадровым обеспечением, используемой вычислительной техникой и связью.



Динамика показателей балансовой чистой прибыли



5. Анализ финансовых результатов

Анализ финансовых результатов начинается с оценки динамики балансовой и чистой прибыли и их структурных компонентов. При этом сравниваются основные показатели за отчетный период, рассчитываются их отклонения от базовой и плановой величин, выясняется какие показатели оказали наибольшее влияние на прибыль. Расчет может быть выполнен в таблице.

Динамика показателей балансовой чистой прибыли



Показатель
На начало
Периода (тыс.руб.)
На конец
Периода
(тыс.руб.)
В % к
началу
периода
Выручка от реализации /без НДС и акцизов/
420
490
116,6
Затраты на производство реализованной продукции
218
270
123,8
Прибыль от реализации продукции
202
220
108,9
Прибыль от прочей реализации
15
13
86,7
Прибыль по внереализационным операциям
30
31
103,3
Балансовая прибыль
247
264
106,9
Чистая прибыль
185
198
107

Заэтим производится количественная оценка влияния на прибыль основных факторов.

Исходные данные для факторного анализа


Показатель
На начало периода (по базису), тыс.руб.
По базису на фактически реализованную продукцию, тыс.руб.
На конец периода (факт), тыс.руб.
Фактические данные с корректировкой на изменение цен, тыс.руб.
Выручка от реализации в отпускных ценах предприятия
420
443
490
443
Затраты на производство (полная себестоимость)
218
230
270
231
Прибыль от реализации продукции
202
210
220
211

Итак, основные факторы оказали следующее влияние.
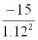
1. Влияние на прибыль изменения отпускных цен на реализованную продукцию:
И1 = Р1 - Р2
где Р1 – реализация в отчетном году в ценах отчетного периода;
Р2 - реализация в отчетном году в ценах базисного периода.
И1= 490 – 443 = + 47

2. Влияние на прибыль изменений в объеме продукции:
И2 = П0К1 – П0
где П0 – прибыль базисного периода;
К1 – коэффициент роста объема реализованной продукции (К1= С1 : С0 где С0 – себестоимость реализованной продукции базисного периода, а С1 – себестоимость реализованной продукции за отчетный период в ценах базисного).
К1= 230 : 218 = 1,06 И2 = 202 х 1,06 - 202 = 12,12

3. Влияние на прибыль изменений в объеме продукции, обусловленных изменениями в ее структуре:
ИЗ = П0 (К2 - К1)
где К2 – коэффициент роста объема реализации в оценке по отпускным ценам (К2 = Р1.0 : Р0 где Р0 – реализация в базисном периоде, а Р1.0 – реализация в отчетном периоде по ценам базисного).
К2 = 443 : 420 = 1,05 ИЗ = 202 (1,05 - 1,06) = -2,02

4.Влияние на прибыль экономии от снижения себестоимости продукции:
И4 = С1.0 - С1
где С1.0 – себестоимость реализованной продукции за отчетный
период в ценах базисного;
С1 – фактическая себестоимость реализованной продукции за отчетный период.
И4 = 230 - 231 = -1

5. Влияние на прибыль изменений себестоимости за счет структурных сдвигов в составе продукции: И5 = С0К2 - С1.0
И5 = 218 * 1,05 - 230 = -1,1

6. Влияние изменений отпускных цен на материалы, тарифы и услуги. Допустим цены на материалы, электроэнергию и тарифы на оплату труда были повышены на 15 тыс.руб., что привело в снижению на эту сумму прибыли: И6 = - 15.

7. Влияние на прибыль экономии вызванной нарушением хозяйственной дисциплины. Допустим экономии в результате хозяйственной дисциплины не было т.е. И7 = 0.


8. Влияние на прибыль всех факторов определяется как
И = И1 +…+И7
т.е. 47 + 12,12 - 2,02 - 1 - 1,1 - 15 + 0 = 40

Дополнительно при анализе финансовых результатов могут быть рассчитаны также и показатели рентабельности.
1) Чистая рентабельность капитала = чистая прибыль
итог баланса

2) Чистая рентабельность = чистая прибыль
собственного капитала собственный капитал

3) Рентабельность основной = прибыль от реализации продукции
деятельности затраты на производство продукции

4) Рентабельность основных = прибыль от реализации
средств и прочих внеоборотных среднее значение внеоборотных активов
активов

5) Чистая прибыль на рубль = чистая прибыль
объема реализации выручка от реализации

6) Прибыль от реализации = прибыль от реализации
продукции на рубль объема выручка от реализации
реализации

7) Балансовая прибыль на = балансовая прибыль
рубль объема реализации выручка от реализации


При расчете показателей следует помнить, что при умножении коэффициента на 100 мы получаем его процентное выражение.

6. Анализ финансовых коэффициентов и комплексная оценка деятельности предприятия

Заключительным этапом аналитической работы является комплексный анализ финансовых коэффициентов отражающих все стороны производсвенно-хозяйственной деятельности предприятия. Выбор направлений анализа, его структурных частей и показателей определяется поставленной целью и практическим опытом аналитика. Как правило анализ проводится по следующим блокам:

  • анализ структуры капитала;
  • анализ ликвидности и финансовой устойчивости;
  • анализ рентабельности, деловой активности и эффективности управления;
  • анализ имущественного положения предприятия.
Совокупность участвующих в анализе показателей может достигать большого числа, поэтому целесообразно отбирать такие, которые не противоречат между собой, не дублируют анализируемые аспекты.
Логическим завершением анализа финансовых коэффициентов является рейтинговая оценка деятельности предприятия. ЕЕ определяют как за различные временные периоды деятельности хозяйствующего субъекта, так и в сравнении с конкурентами или среднеотраслевыми показателями. Рейтинговая оценка позволяет на основе ограниченного набора показателей провести быстрый комплексный анализ исследуемых предприятий и ранжировать их в зависимости от результатов деятельности.
Рейтинговую оценку целесообразно проводить при временных ограничениях, наличии большого количества анализируемых предприятий. К выбору показателей для оценки предъявляются требования:
1. Используемые коэффициенты должны иметь одинаковую направленность;
2. Коэффициенты должны быть максимально информативными и наиболее отображать анализируемую сторону производственно-хозяйственной деятельности либо давать целостную картину исследуемого объекта;
3. Информация используемая в расчетах должна быть доступна, обладать сравнимостью и достоверностью (например, расчеты могут быть основаны на данных годовой отчетности).
Так, вышеназванным требованиям удовлетворяет следующая совокупность финансовых показателей, представляющая все блоки финансового анализа и поэтому достаточно полно характеризующая состояние финансов предприятия:
1. Коэффициент автономии (концентрации собственного капитала);
2. Коэффициент текущей ликвидности;
3. Показатель обеспеченности запасов собственными оборотными средствами;
4. Показатель рентабельности основных средств и прочих внеоборотных активов;
5. Коэффициент оборачиваемости собственного капитала (определяется как выручка от реализации деленная на среднее значение собственного капитала);
6. Прибыль от реализации продукции на рубль объема реализации;
7. Коэффициент годности имущества (1 - (износ основных средств / стоимость основных средств).
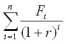
На основе этих показателей производится расчет рейтинговой оценки эталонного и сравниваемых предприятий:
Р = N П12 +П22+…..Пn2
где П - показатели деятельности анализируемого предприятия.
Наибольший рейтинг (он отражает потенциальные возможности анализируемых предприятий) имеет гипотетическое эталонное предприятие, характеризуемое наилучшими значениями отобранных показателей. Затем в соответствии с рейтинговой оценкой производится ранжирование предприятий. Первое место занимает предприятие с наивысшим рейтингом.
Отметим, что подобный подход соответствует практике рыночных отношений, где каждый товаропроизводитель стремится к тому, чтобы по всем показателям деятельности выглядеть лучше конкурента т.е. эталона.
Вместе с тем, необходимо помнить, что итоговая оценка показывает максимальное значение равноправных коэффициентов, не делая различия по степени их важности и весомости. Однако, при необходимости можно усилить значение того или иного показателя используя при расчете различные весовые коэффициенты.

Вопросы для самопроверки

1. Заполните аналитические таблицы данной главы и проведите общий анализ финансового состояния данного гипотетического предприятия. Сделайте выводы и рекомендации.
2. Какова цель общего финансового анализа?
3. Какие направления анализа Вы считаете наиболее информативными для различных групп пользователей?
4. Как взаимосвязаны понятия ликвидности и платежеспособности?
5. В чем сущность факторного анализа?
6. Какие требования предъявляются к показателям при проведении рейтинговой оценки деятельности хозяйствующего субъекта?



7. УПРАВЛЕНИЕ ФИНАНСОВЫМИ РЕСУРСАМИ ПРЕДПРИЯТИЯ: МЕТОДИЧЕСКИЕ АСПЕКТЫ
Из главы Вы узнаете:

  • какие показатели характеризуют систему финансовых ресурсов предприятий;
  • как рационально формировать и использовать финансовые ресурсы предприятия и какие факторы при этом необходимо учитывать;
  • что представляет из себя бюджетирование, каким образом оно осуществляется.

1. Аналитические показатели состояния системы



Доля отчислений уменьшается с каждым годом.


- собственных финансовых ресурсов и внутрихозяйственных резервов предприятия;
- заемных средств;
- средств получаемых от эмиссии ценных бумаг, паевых и иных взносов юридических и физических лиц;
- средств поступающих в порядке перераспределения от централизованных инвестиционных фондов, концернов, ассоциаций и других объединений;
- бюджетных ассигнований;
- средств иностранных инвесторов.
Планирование источников финансирования осуществляется на основе сметной стоимости планируемого строительства и с определения собственных средств.
Собственные финансовые ресурсы - включают первоначальные взносы учредителей и часть средств полученных предприятием от хозяйственной деятельности. Собственные источники подразделяются на две группы: 1) источники образуемые от проведения работ хозяйственным способом и 2) источники от результатов основной деятельности.
Источники образуемые от проведения работ хозяйственным способом (когда на самом предприятии создаются строительные подразделения, а для них привлекаются рабочие, формируется производственная база) включают мобилизацию (иммобилизацию) внутренних ресурсов, прибыль по капитальным работам, экономию от снижения себестоимости проводимых работ, экономию от снижения цен на оборудование и пр.
Для проведения строительно-монтажных работ хозяйственным способом предприятие должно обеспечивать собственные строительные подразделения определенным объемом оборотных средств, которые формируются за счет финансовых ресурсов выделяемых для данной стройки. Когда производственная программа увеличивается, в планах предусматривается иммобилизация, т.е. использование определенной суммы на прирост оборотных средств в строительстве. Если программа уменьшается, то планируется иммобилизация, т.е. использование высвобождающихся оборотных средств на финансирование строительства. Расчет производится по формуле:
М=(Он-Ок)-(Кн-Кк);
где М-мобилизация (иммобилизация) внутренних ресурсов в строительстве;
Он - ожидаемое фактическое наличие оборотных активов стройки на начало года;
Ок - плановая потребность в оборотных средствах на конец планируемого периода;
Кн - ожидаемая фактическая кредиторская задолженность стройки на начало года;
Кк - устойчивая кредиторская задолженность на конец планового периода.
Положительный результат означает мобилизацию внутренних ресурсов, что уменьшает потребность стройки в ресурсах в планируемом году и позволяет учесть эту сумму как источник финансирования капитальных вложений. Если иммобилизация (отрицательный результат), то происходит плановое увеличение потребности в оборотных средствах, что увеличивает расходы предприятия на капитальные вложения и отражается в расходной части плана.
Прибыль по капитальным работам осуществляемым хозяйственным способом планируются в размере порядка 10 % от сметной стоимости строительно-монтажных работ и учитывается в источниках финансирования.
Экономия от снижения себестоимости строительно-монтажных работ образуется в результате проведения мероприятий, снижающих себестоимость строительства. Устанавливается в процентах к сметной стоимости работ или на основе плана организационно-технических мероприятий.
Экономия от снижения цен на оборудование определяется прямым счетом исходя из складывающейся их динамики.
Прочие источники включают доходы от попутной добычи ископаемых, которые поступают в распоряжение заказчика, амортизационные отчисления по строительной технике при выполнении работ хозяйственным способом.
К собственным источникам также относятся амортизационные отчисления и прибыль от основной деятельности предприятия (конкретный объем ресурсов направляемых в виде инвестиций в основные фонды, устанавливается при ее распределении в финансовом плане).
Заемные средства бываю представлены в основном долгосрочными кредитами банков, заемными средствами предоставляемыми другими предприятиями и индивидуальными инвесторами (физическими лицами).
Банковские кредиты предоставляются на основе кредитного договора. Кредит выдается на условиях срочности, платности, возвратности, обеспеченности (под гарантии, под залог недвижимости, других активов). Прежде чем выдать кредит банк проводит оценку кредитоспособности предприятия, изучает технико-экономическое обоснование кредитуемого мероприятия.
В дальнейшем банк наблюдает за ходом кредитуемого мероприятия и в случае нарушения условий договора может применить финансовые санкции.
Ссуды из федерального и региональных бюджетов размещаются на конкурсной основе и предполагаю финансирование быстроокупаемых коммерческих проектов или для финансирования социально значимых мероприятий реализуемых хозяйствующим субъектом.
Специфической формой финансирования является лизинг, который позволяет снизить уровень собственного капитала в источниках финансирования инвестиций.
Малые предприятия могут использовать инвестиционный налоговый кредит - средства оставляемые предприятиям в связи с предоставлением им оторочки по налоговым платежам, если последние реинвестируются в производство.
Огромный потенциал имеют иностранные инвестиции, которые могут осуществляться посредством прямых вложений и создания совместных предприятий.
Финансирование капитальных вложений непроизводственного назначения может осуществляться за счет прибыли предприятия, средств других предприятий привлекаемых на долевой основе, ассигнований из бюджетов.


2. Амортизация и ее роль в воспроизводственном процессе

Амортизация - перенесение по частям (по мере физического износа) стоимости основных фондов на производимый с их помощью продукт. Осуществляется для накопления денежных средств с целью последующего восстановления основных фондов.
Амортизационные отчисления - денежное выражение размера амортизации, соответствующего степени износа фондов. Отчисления включаются в себестоимость продукции и реализуются при ее продаже.
Нормы амортизации - процентное отношение годовой суммы амортизации к балансовой стоимости основных фондов.
Постепенное перенесение стоимости основных фондов на производимый продукт приводит к тому, что одна ее часть продолжает выступать в форме основных фондов, а другая совершает оборот как часть стоимости вновь созданной продукции, которая по мере реализации последней переходит из товарной в денежную форму и аккумулируется в виде амортизационных отчислений, производимых из выручки от реализации. Срок полезного использования основных фондов (период в течении которого использование объекта основных средств призвано приносить доход или служить для выполнения целей предприятия) определяется самим хозяйствующим субъектом при принятии фондов к бухгалтерскому учету. Для отдельных групп срок полезного использования определяется исходя из количества продукции или иного натурального показателя объема работ.
Если срок полезного использования отсутствует в технических условиях или не установлен в централизованном порядке, его определяют исходя из планируемого срока использования объекта в соответствии о ожидаемой производительностью. В течении срока использования объекта начисление амортизационных отчислений не приостанавливается, кроме случаев их нахождения на реконструкции и переведенными на консервацию на срок более 3 месяцев.
Амортизация производится следующими способами начисления амортизационных отчислений:
При линейном способе начисление производится равномерно исходя из первоначальной или восстановительной стоимости объекта в течении всего срока использования.
Например, предприятие приобрело оборудование срок использования которого - 8 лет. В этом случае норма отчислений составит 12,5 % в год.
При способе уменьшающегося остатка - годовая сумма отчислений определяется исходя из остаточной стоимости фондов на начало года и нормы отчислений, исчисленной исходя из срока использования объекта. Доля отчислений уменьшается с каждым годом.
Например, объект стоит 100 тыс.руб. Срок использования – 5 лет. Норма отчислений составит – 1:5*100%=20%.

год
Остаточная стоимость на начало периода
Сумма амортизации
Остаточная стоимость по завершении периода
1
100000
100000*20%=20000
100000-20000=80000
2
80000
80000*20%=16000
80000-16000=64000
3
64000
64000*20%=12800
64000-12800=51200
4
51200
51200*20%=10240
51200-10240=40960
5
40960
40960*20%=8192
40960-8192=32768
Итого:
67232
32768
В рассмотренном случае осталось недоамортизировано 32,8% стоимости оборудования. Применение нелинейных методов предполагает ликвидационную цену оборудования, но одномоментное списание на себестоимость может резко ухудшить финансовое положение предприятия. Потери могут быть компенсированы последующей продажей оборудования.
Зарубежная практика предполагает установление кратности уменьшающего остатка. При методе двойного уменьшения остатка ежегодные отчисления определяются по формуле: А=Со*Н*2;
где А – сумма амортизационных отчислений,
Со – остаточная стоимость оборудования на начало года,
Н – норма амортизации на весь период эксплуатации
2 – кратность отчисления


Год
Остаточная стоимость на начало периода
Сумма амортизации
Остаточная стоимость по завершении периода
1
100000
100000*20%*2=40000
100000-40000=60000
2
60000
60000*20%*2=24000
60000-24000=36000
3
36000
36000*20%*2=14400
36000-14400=21600
4
21600
21600*20%*2=8640
21600-8640=12960
5
12960
12960*20%*2=5184
12960-5184=7776
Итого:
92224
7776


Доля заемных ресурсов


Рассмотрим пример.
Таблица 3.3
Влияние структуры используемых финансовых ресурсов и изменения
валового дохода на рентабельность собственных средств


Показатели
Доля заемных ресурсов в общей величине, %
0
20
30
Общая величина ресурсов, руб.

100
Собственные ресурсы, руб.
100
80
70
Заемные ресурсы, руб.
0
20
30
Валовой доход, руб.
36
40
44
36
40
44
36
40
44
Цена заемных ресурсов, %
-
16
18
Расходы за пользование заемными ресурсами. руб.

0

3,2

5,4
Налогооблагаемая прибыль, руб.

36

40

44

32,8

36,8

40,8

30,6

34,6

38,6
Налог на прибыль (20%), руб.

7,2

8

8,8

6,56

7,36

8,16

6,12

6,92

7,72
Чистая прибыль, руб.
28,8
32
35,2
26,24
29,44
32,64
24,48
27,68
30,88
Рентабельность собственных ресурсов, %

28,8

32

35,2

32,8

36,8

40,8

34,97

39,54

44,11
ЭФР
0
4
4,8
5,6
6,17
7,54
8,9
СФР
1
1,1
1,2
Размах рентабельности собственных ресурсов, %

3,7

8

9,14

Итак, по данным таблицы очевидно, что если предприятие финансирует себя только за счет собственных ресурсов, то эффект его финансового рычага равен 0, а 10% изменение валового дохода приводит к аналогичному изменению чистой прибыли, о чем свидетельствует сила финансового рычага.
С увеличением доли заемных ресурсов эффект финансового рычага возрастает. Так его значение равное 7,54 показывает величину приращения к рентабельности собственных средств характерной для нулевого значения эффекта рычага – в этом случае рентабельность собственных ресурсов возрастет с 32% до 39,54%. Сила же воздействия финансового рычага показывает, что при 30% удельном весе заемных ресурсов 10% изменение валового дохода (40 руб.
10%) приведет примерно к 12% изменению чистой прибыли (27,68 руб. 12%). Возросшее влияние эффекта финансового рычага и изменения валового дохода показывает значительный размах рентабельности собственных ресурсов.
Итак, несмотря на платность используемых заемных ресурсов и увеличение расходов за пользование ими, предприятие повышает рентабельность собственных средств и, тем самым, демонстрирует эффективность системы финансовых ресурсов. Однако, следует помнить, что с увеличением плеча рычага и (или) уменьшением его дифференциала возрастает риск деятельности, т.к. любое изменение валового дохода сопровождается более значительным изменением чистой прибыли и существенным размахом рентабельности собственных ресурсов. При нерациональной структуре ресурсов и объемах производства возможно обвальное сокращение чистой прибыли.
Действие эффекта финансового рычага заставляет вспомнить уже знакомый нам эффект мультипликатора (п. 1.3), когда каждая дополнительная единица ресурсов приносит большую величину прибыли.
Рассмотренный пример может быть интерпретирован и в пространственном аспекте, т.е. например, для сравнительного анализа трех предприятий с одинаковым объемом производства, но различной структурой используемых ресурсов. В любом случае, этот подход позволяет выбрать оптимальную структуру ресурсов.
Что касается стадии использования ресурсов. Здесь безусловно важна избирательность в их применении, а критериями могут служить наибольшая производительность и быстрая окупаемость (своего рода закон временного предпочтения, когда приоритет финансирования имеет проект с минимальным временным циклом). Поскольку сформированные финансовые ресурсы будут направлены на осуществление затрат, то важное значение имеет их приемлемая величина. Данная проблема решается в ходе операционного анализа (анализ Издержки – Объем – Прибыль).
Действие операционного (производственного) рычага проявляется в том, что любое изменение выручки от реализации приводит к более сильному изменению прибыли. Сила воздействия операционного рычага (СПР) определяется по формуле:
СПР =
Доля заемных ресурсов
, (3.5)
где ВР – выручка от реализации;
ПИ – переменные издержки.
В операционном анализе также используются и другие показатели:

Валовая маржа =
Выручка от
реализации
Переменные
издержки

Необходимо, чтобы валовой маржи хватало не только на покрытие постоянных расходов, но и формирование прибыли предприятия.

Порог рентабельности =

Постоянные издержки
Валовая маржа
(в относительном
выражении)

Порог рентабельности показывает величину выручки от реализации, при которой предприятие не имеет ни прибыли, ни убытков, т.е. валовой маржи хватает только на покрытие постоянных издержек.


Пороговое
количество =
товара
Порог рентабельности

Цена реализации
или


Постоянные издержки
Цена единицы
товара

-
Переменные
издержки на единицу товара

Данное количество товара характеризует точку окупаемости производства, ниже которой производство просто не выгодно. Каждая последующая единица товара приносит предприятию прибыль, величина которой определяется следующим образом:

Масса прибыли после прохождения порога рентабельности
=
Количество товара, проданного после порога рентабельности
х
Валовая маржа
Общее количество проданного товара

Для определения величины возможного снижения выручки от реализации используется показатель

Запас финансовой прочности
=
Выручка от
реализации
-
Порог
рентабельности

При необходимости можно рассчитать запас финансовой прочности в процентах к выручке от реализации.
Рассмотрим пример.
Таблица 3.4.
Влияние изменения выручки от реализации продукции
на валовой доход предприятия


Показатель
Варианты развития
1
2
3
Выручка от реализации, руб.
162
180
198
Цена единицы продукции, руб.

10

Переменные издержки, руб.
81
90
99
Валовая маржа, руб.
81
90
99
или в относительном выражении к выручке

0,5

Постоянные издержки, руб.

60

Валовой доход, руб.
21
30
39
СПР
3,9
3
2,5
Порог рентабельности, руб.

120

Пороговое количество товара, ед.

12

Масса прибыли после прохождения порога рентабельности, руб.

21

30

39
Запас финансовой прочности, руб.
42
60
78
или к выручке от реализации, %
26
33
39

С ростом объема реализации происходит рост переменных издержек и валового дохода предприятия, постоянные же издержки при этом остаются неизменными. Поэтому, изменяя соотношения между постоянными и переменными издержками менеджер может влиять и на величину дохода. Так например, сила производственного рычага равная 3, показывает, что с изменением выручки от реализации на 10% (180 руб. 10%) валовой доход предприятия изменится на 30% (30 руб.
30%). Большая сила воздействия производственного рычага характерна для предприятия с высоким уровнем постоянных затрат. Однако, такая ситуация свидетельствует и о повышенном риске, ибо сокращение объемов производства и реализации (а, значит, повышение удельного веса постоянных затрат) оборачивается в этом случае более быстрыми темпами падения дохода и сокращением запаса финансовой прочности.
Если же объемы реализации опускаются ниже порога рентабельности, то предприятие работает в убыток и каждая нереализованная единица продукции означает (в силу воздействия производственного рычага) еще более существенное недополучение дохода.
Очевидно, что изменение выручки от реализации является фактором, значительно влияющим на величину дохода, а в последствии и чистой прибыли. В этом случае возрастание объемов производства сродни эффекту акселератора (в понятии фактора, увеличивающего тот или иной эффект(см.1.3).
Отметим, что логика функционирования операционного рычага может быть применима не только в производственной сфере финансовых ресурсов, но и в инвестиционной, т.к. любое их использование может сопровождаться постоянными и переменными издержками. Принципиальным только становится вопрос об их точной классификации.
Показателем, обобщающим формирование и использование финансовых ресурсов, служит сопряженный эффект финансового и операционного рычагов, который рассчитывается следующим образом.

Уровень сопряженного эффекта
финансового и операционного рычагов
=
СФР х СПР

Уровень сопряженного эффекта финансового и операционного рычагов показывает, на сколько процентов изменится чистая прибыль предприятия при 1% изменении выручки от реализации. Если уровень сопряженного эффекта равен 3,3, то рост выручки от реализации на 1% приведет к росту чистой прибыли на 3,3 %. Но данный показатель характеризует также и величину возможного риска и предприятие, которое демонстрирует значительный уровень сопряженного эффекта финансового и операционного рычагов одновременно является и более рискованным. Рост значения одного из составляющих данного обобщающего показателя может сигнализировать о возрастающей степени риска в той или иной сфере – финансовой или производственной.
Поскольку процесс использования ресурсов протекает во времени, то следует учитывать факт различной временной ценности ресурсов, т.к. единица дохода, полученная в будущем, не равноценна инвестированной сегодня.



Финансово-кредитные отношения предприятий


Следует отметить также возможность применения подобного функционального разложения и к поэлементному рассмотрению затрат и прибыли.
В целом же, частные и общие специализированные функции образуют линейный принцип формирования структуры управления; основные и интегрированные функции управления, которые основаны на содержательной стороне информации, то есть информации нормирования, планирования, учета, анализа и регулирования, ложатся в основу формирования функционального принципа структуры управления, дают основание раскрыть сущность функциональной специализации органов управления.
Подобный подход позволяет с научной точки зрения подойти к распределению функциональных обязанностей менеджеров и в дальнейшем проектировать организационные структуры управления в их взаимосвязи с объектом управления – финансовыми ресурсами. Однако, необходимость координации специализированных функций в каждом контуре и учет социального фактора в управлении с целью достижения поставленных целей предполагают и выделение координационного контура, объединяющего управление организаций финансовой работы на предприятии в целом. К функциям здесь следует отнести такие акты управленческой деятельности, как прогнозирование, принятие решения, составление общего плана работы, подбор кадров, координирование (согласование), контроль исполнения и мотивация (стимулирование).
Общая направленность управляющей и управляемой системы обусловлена определенной целевой установкой. В этой связи значимость приобретают программно-целевые методы планирования и осуществления работ, которые, в зависимости от временных горизонтов и значимости целей, могут носить стратегический и тактический характер разработки.


4. Финансово-кредитные отношения предприятий


Системное рассмотрение финансов предприятий было бы неполным без определения их местоположения в финансово-кредитной системе. Система финансовых ресурсов, являясь открытой и интегрированной в более крупную систему, всецело испытывает на себе ее влияние, а факторы внешнего воздействия зачастую оказываются определяющими при принятии управленческих решений. Поскольку ресурсы являются стоимостной категорией распределения, то финансово-кредитные взаимосвязи являются основными, ибо также предполагают процессы стоимостного распределения. Следует отметить, что кредитные отношения возникли на основе достаточно развитых финансовых отношений и если последние предполагают лишь отношения по поводу распределяемой стоимости, то кредитные уже рассматриваются как отношения по поводу временнго и возвратного отчуждения стоимости.
Все названные отношения опосредуются денежным оборотом (наличным или безналичным), либо измеряются в денежной форме.
Очевидно, что развитие финансово-кредитных отношений сопровождалось расширением функций денег и особенностями их обращения. Так например, если первоначально при опосредовании движения стоимости деньги выполняли функцию меры стоимости, средства обмена, средства накопления, то с появлением кредитных отношений активизировались функции средства платежа и мировых денег. В последующем платежный оборот даже стал обслуживаться так называемыми кредитными деньгами, представленными в т.ч. и ценными бумагами.
Особенностью же современного денежного обращения является то, что оно, как правило, является безналичным и предполагает соответствующие формы расчетов - платежные поручения, платежные требования-поручения, чек, аккредитив.
Поэтому основными понятиями, характеризующими финансово-кредитные взаимосвязи системы финансовых ресурсов предприятия являются: процент, величина стоимости и время ее использования. Следует отметить, что стоимостное распределение и его взаимосвязь с воспроизводным процессом позволяет посредством финансовых показателей контролировать взаимоотношения предприятия с внешней средой и предупреждать, таким образом, возможные ее негативные проявления и диспропорции в производственно-хозяйственной деятельности предприятия. В этой связи актуальным видится процесс мониторинга за состоянием финансово-кредитной системы - как внешней среды системы финансовых ресурсов предприятия.
Подобное слежение и контроль будут способствовать минимизации риска в его деятельности и принятию обоснованных тактических решений финансового характера в выбранном стратегическом направлении.
Интеграция системы финансовых ресурсов хозяйствующего субъекта есть необходимость его существования и наиболее полной реализации выделенных функций. И вполне очевидно, что система может быть рассмотрена не только как структура, но и с точки зрения ее действия вовне. Используемые факторы производства и выбранная специализация предприятия предопределяют, а затем и корректируются направлениями интеграции во вне. Формами подобной интеграции, с целью наиболее полной реализации функции финансовых ресурсов, являются ФПГ, внебюджетные фонды, транснациональные компании, банковские учреждения, государственный сектор финансов и т.д.
В этом случае мы можем говорить об определенном влиянии структуры финансовых ресурсов предприятия на ее дальнейшее развитие.
Чем более значительнее мощь системы финансовых ресурсов предприятия, тем агрессивнее его финансовая политика и тем большие возможности доступны в плане их выгодного применения. Но следует помнить, что с ростом интеграционных взаимосвязей с внешней средой одновременно усложняется и их финансовый контроль, а, значит, повышается риск деятельности.
Значимость контроля состояния внешней среды обусловлена еще и тем, что факторы ее влияния, в отличие от внутренних факторов, малорегулируемы хозяйствующим субъектом, т.к. не определяются всецело им. Поэтому сосуществование с внешней средой, адаптивность к ней, являются жизненно необходимыми для системы финансов предприятия. Отметим, что современный западный менеджмент уже разрабатывает адаптивные структуры организации, которые можно было бы быстро модифицировать в соответствии с изменениями окружающей среды и потребностями самой организации.
В масштабах же всего государства взаимопроникновение финансовых ресурсов означает интеграцию различных видов рынков (товарных, сырьевых, отраслевых и т.д.).
Итак, охарактеризовав значимость взаимоотношений системы финансовых ресурсов предприятия с внешней средой, рассмотрим их более подробно.
Появление финансовой науки связано с государством, и роль финансовой науки возрастала по мере укрепления государства и развития товарно-денежных отношений, связанных с формированием государственного бюджета и перераспределением финансовых ресурсов. В современном же экономическом обществе роль государства гораздо больше, чем субъекта финансовых взаимоотношений. Так активная роль государства проявляется, прежде всего, в реализуемом им государственном регулировании, под которым понимается законодательно оформленная система внешнего воздействия на предприятие в целях соблюдения и реализации общегосударственных интересов. Основными направлениями государственного регулирования при этом являются:
- налоговая система;
- политика ценообразования;
- внешне-экономическая деятельность;
- денежное обращение;
- кредитная политика;
- формы расчетов и платежей;
- функционирование рынка ценных бумаг и их обращение;
- бюджетное финансирование;
- лицензирование;
- компетенция органов государственного управления и предоставляемые государственные гарантии.
Применяемыми методами могут быть прямые или косвенные, которые реализуются в рамках той или иной финансовой политики - рестриктивной или экспансионистской.
Сферой важнейшей интеграции финансовых ресурсов предприятия является система финансовых ресурсов государства. Надо отметить, что данные отношения осуществляются, как известно, на принудительной основе. Здесь формой финансовых отношений выступают различные налоги (либо налоговые льготы) уплачиваемые предприятием в государственный бюджет и внебюджетные фонды общегосударственного назначения. Помимо данных отношений, предприятие может добровольно консолидироваться во внебюджетные фонды экономической или социальной направленности.
В первом случае мотивом выступает экономическая привлекательность такого союза. Речь может идти о вхождении в отраслевые и межотраслевые фонды научной направленности, и тогда посредством ведения совместных (с фондом и др. хозяйствующими субъектами) научных разработок появляется возможность захвата лидирующего положения на рынке перспективной продукии или использовании технологически более совершенного оборудования (т.е. реализация производственной функции финансовых ресурсов). Во втором случае ресурсы предприятия могут перераспределяться в фонды социальной направленности, например, с целью дополнительного пенсионного обеспечения работающих.
Как показывает опыт развитых экономических стран внебюджетные фонды характеризуются не только большим количеством, но и различной специализацией. Поэтому с дальнейшим развитием финансово-кредитных отношений в России следует ожидать активизации этого вида взаимосвязей, что позволит наиболее полно реализовать не только производственную, но и инвестиционную функции финансовых ресурсов предприятия.



Финансы предприятий товарного обращения


В зависимости от степени регулирования тарифов их классифицируют на фиксированные (являются обязательными к применению для всех участников транспортного процесса на территории России, региона, города), регулируемые (их предприятия устанавливают сами, могут вводиться на период стабилизации цен), договорные (устанавливаются по соглашению с заказчиками исходя из необходимых затрат на перевозки) и свободные (решение об их введение принимают государственные органы, устанавливаются предприятием самостоятельно с учетом спроса и предложения на рынке транспортных услуг). В себестоимости перевозок высокий удельный вес могут занимать затраты на топливо, электрическую энергию, ремонт, амортизация, что обусловлено спецификой отрасли, где основные фонды активно функционируют.
Прибыль предприятия определяется как разность между доходами от транспортной работы и эксплуатационными расходами.
Особенности функционирования отраслей транспорта предполагают и особенности финансового планирования, так в финансовый план железнодорожного транспорта могут включаться сметы бюджетных учреждений, больниц обслуживающих работников железных дорог, а в плане предприятий водного транспорта могут отражаться ассигнования из бюджета на капитальные вложения, затраты по путевому хозяйству, на содержание судоходных инспекций и охраны. В воздушном транспорте составляется план инвалютных поступлений и платежей.

4. Финансы предприятий товарного обращения

Особенности функционирования финансов сферы товарного обращения предопределяются следующими особенностями отрасли.

  1. предприятия сферы выступают связующим звеном между стадиями производства и потребления воспроизводственного процесса, чем обеспечивают его непрерывность и законченность;
  2. здесь не создается дополнительной потребительной стоимости реализуемого товара;
  3. в деятельности предприятий торговли сочетаются как операции реализационного (реализация готовой продукции) так и производственного характера (например, упаковка продукции);
  4. специфика торговой деятельности предприятий предполагает выделение в их составе предприятия а) розничной торговли; б) оптовой торговли;
  5. торговый процесс может характеризоваться как низкомеханизированный, с преобладанием ручного туда;
  6. выручка от реализации товаров поступает преимущественно в наличной форме.
Особенностью торговли является также то, что в структуре основных фондов доля машин и оборудования в сравнении с промышленностью ниже , а удельный вес зданий, сооружений и передаточных устройств, напротив, может доходить до 80 %.
Характеризуя состав оборотных средств отрасли отметим, что здесь существенный удельный вес занимают товарные запасы, предопределенные особенностями функционирования отрасли: различия в организации, цикличности производства и потребления продукции, формирование страховых резервов и др. Важным моментом оптимизации товарных запасов выступает их обоснованная в соответствии с потребностями товарооборота величина.
Издержки обращения предприятий состоят из расходов по транспортировке, хранению, фасовке товаров и пр. Отметим, что предприятия торговли лишь закупают готовые товары затрачивая в последующем средства на доведение их до потребителя, а следовательно в затратах (себестоимости) отсутствует стоимость закупаемых товаров.
В целях оптимизации издержек обращения предприятия отрасли могут создавать резервы предстоящих расходов. Характерным является также то, что в качестве резервного на предприятиях имеющих склады, базы может создаваться фонд на списание естественной убыли.
Источником покрытия издержек обращения является валовой доход предприятия, который представляет собой сумму доходов полученных от реализации и оказания иных услуг. Часть дохода здесь образуется за счет разницы между розничной ценой реализации и оптовой ценой приобретения товаров. Прибыль (убыток) от реализации товаров определяется как разность между валовым доходом от реализации товаров и издержками.

Вопросы для самопроверки

1) Охарактеризуйте отраслевые особенности организации предприятий строительства, выделите из них наиболее важные с точки зрения влияния на финансовую сторону деятельности.
2) Расскажите об особенностях финансовых отношений в сельском хозяйстве.
3) Какие отличительные особенности функционирования отраслей транспорта следует иметь в виду при принятии решений финансового характера?
4) В чем специфика финансовых отношений предприятий торговли?
5) Систематизируйте общие факторы финансового характера оказывающие влияние на особенности деятельности предприятий в различных отраслях экономики.

6. ФИНАНСОВЫЙ АНАЛИЗ
Из главы Вы узнаете:

  • в чем сущность и каково назначение финансового анализа;
  • как проводится общий финансовый анализ;
  • что такое финансовая устойчивость;
  • что предполагает анализ ликвидности;
  • в чем сущность факторного анализа;
  • что такое рейтинговая оценка.

1. Сущность, назначение и методы финансового анализа
Неотъемлимой частью финансовой работы на предприятии является финансовый анализ и оценка финансового состояния предприятия. Финансовое состояние - состояние финансов предприятия характеризуемое совокупностью показателей, отражающих процесс формирования и использования его финансовых средств. Финансовый анализ включает блоки:
- общий (предварительный) анализ;
- анализ финансовой устойчивости;
- анализ ликвидности баланса;
- анализ результатов деятельности;
- комплексный анализ и оценка деятельности.
Конкретное направление анализа, составляющие его блоки, набор показателей определяются целями и опытом аналитика. Основной целью финансового анализа является установление и определение финансового положения предприятия. Задачами анализа выступают:

  1. выявление произошедших за период изменений значений финансовых показателей;
  2. определение наиболее вероятных тенденций изменения финансового состояния предприятий;
  3. определение факторов влияющих на финансовое состояние предприятия;
4) установление мер и рычагов воздействия на финансы предприятия с целью достижения желаемого финансового результата.
Результаты анализа необходимы для внутренних (службы предприятия, руководство) и внешних пользователей (менеджеров предприятия, собственники, кредиторы, инвесторы, поставщики). Информационной базой финансового анализа выступает главным образом бухгалтерская документация.
При проведении анализа используются методы:
- сравнение, когда финансовые показатели отчетного периода сравниваются с показателями базисного либо планового периода, при этом особую значимость приобретает корректность и сопоставимость показателей;
- группировка - при этом методе однородные показатели группируются и сводятся в более укрупненные, что дает возможность выявить тенденции развития и факторы влияния;
- цепные подстановки - метод заключается в замене отдельного показателя отчетным, что позволяет в итоге определить и измерить влияние факторов на конечный финансовый показатель;
- коэффициентный оперирует сравнением относительных показателей, имеющих одинаковые единицы измерения, между собой. Используемые коэффициенты характеризуют изменение каких-либо интересующих аналитика признаков. Сравниваются показатели одного предприятия за различные временные периоды, показатели различных предприятий, показатели предприятия со среднеотраслевыми значениями показателей.

2. Общий анализ финансового состояния

В целях проведения такого анализа составляется аналитический (сравнительный) баланс, в который включаются основные агрегированные (укрупненные) показатели баланса, его структуры, динамики и структурной динамики. Такой баланс позволяет свести воедино, систематизировать и проанализировать первоначальные предположения и расчеты. Кроме того такое представление балансовых данных позволяет упростить работу по проведению горизонтального и вертикального анализа. Горизонтальный анализ - изучение изменения показателей за отчетный период, вертикальный же предполагает расчет удельных весов в общем итоге (валюте) баланса.
Статьи сравнительного баланса формируются по усмотрению аналитика и с разной степенью детализации.
Расчет изменения удельных весов величин статей баланса (УдС) проводится по формуле:
СП2 _ СП1 * 100
БП2 БП2
Где С - статья аналитического баланса;
П1, П2 - значение статьи соответственно на начало и конец периода;
Б - итог (валюта) баланса.
Изменение статей баланса к величинам на начало периода (ИзмП1), в % определяется по формуле:
ИзмС * 100
СП1
Где ИзмС - абсолютное изменение статьи за период.
Расчет изменения статей баланса к изменению его итога (ИзмБ), в % осуществляется по формуле
ИзмС * 100
ИзмБ
Где ИзмБ - абсолютное изменение значения валюты баланса.
Изменение показателей позволяют выявить динамику а также за счет каких структурных сдвигов менялись показатели (см. табл). Отметим, что таблицы для анализа могут составляться (с разной степенью детализации) по балансу, активам и пассивам, имуществу и источникам средств, по результатам деятельности предприятия и другим анализируемым направлениям.
На первоначальном этапе анализа аналитика могут интересовать следующие характеристики: общая стоимость имущества (валюта или итог баланса), стоимость иммобилизованных активов (основных и прочих внеоборотных средств), оборотных (мобильных) средств, материальных оборотных средств, величина дебиторской задолженности, величина наиболее ликвидных средств, стоимость собственного и величина заемного капитала, величина долгосрочных кредитов и займов, величина собственного оборотного капитала (капитал и резервы за минусом внеоборотных активов) величина краткосрочных кредитов и займов, предназначенных как правило для формирования оборотных активов, ведичина кредиторской задолженности.



Экстенсивный и интенсивный типы.


Ранее выделялись экстенсивный и интенсивный типы. Так вот, если темп прироста прибыли превышает темп прироста затрат, то можно констатировать интенсивный рост. Если же темп прироста прибыли меньше темпа прироста затрат, то экстенсивный, т.е. своего рода суженное воспроизводство ресурсов, затраченных на получение прибыли.
Показатель типа финансового роста системы очень наглядно характеризует динамику и направленность ее развития, т.к. речь идет о том, что или система эффективно перерабатывает ресурсы (получаемые в том числе извне) и расширяется, либо она уже не расширяется и терпит вмененные издержки от недостаточно эффективного использования имеющихся ресурсов. Заключительным этапом анализа состояния и эффективности функционирования системы финансовых ресурсов предприятия может быть рейтинговая оценка, которая основана на избранной аналитиком совокупности показателей [41, с. 290-303]. Основным требованием к участвующим в оценке показателям является их одинаковая направленность, т.е. рост значения показателя есть явление положительное.
Итак, для характеристики системы финансовых ресурсов могут быть использованы показатели:
1. Концентрация собственных ресурсов – показатель первой группы, характеризующий независимость системы от внешних источников финансирования;
2. Показатель абсолютной ликвидности – принадлежит к первой группе и характеризует возможность немедленно исполнить краткосрочные обязательства перед внешней средой, а также наличие ресурсов в наиболее ликвидной форме, т.е. их способность реализовать инвестиционную функцию;
3. Показатель оборачиваемости всех ресурсов предприятия – относится ко второй группе и показывает, как быстро все имеющиеся ресурсы окупаются за счет выручки от реализации;
4. Рентабельность собственных ресурсов – показатель третьей группы. Характеризует итоговую эффективность собственных ресурсов предприятия и рациональность и обоснованность привлечения внешних источников финансирования.
Рейтинговая оценка производится по формуле:
P =
Экстенсивный и интенсивный типы.
, (3.11)
где Р – рейтинговая оценка функционирования системы финансовых ресурсов предприятия;
П1, …, П4 – совокупность отобранных для оценки показателей.
Если предприятие в анализируемом периоде повысило свою оценку, то эффективность функционирования системы ресурсов можно признать более высокой. При необходимости усилить роль того или иного из оцениваемых показателей можно ввести в формулу различные весовые коэффициенты, установленные, например, экспертным путем. Для расчета эталонной (гипотетически наилучшей) оценки могут быть использованы максимальные значения показателей, когда-либо демонстрированные системой.
В этом случае очевидна наглядность потенциала развития системы.

2. Приемы рационального формирования и использования финансовых ресурсов предприятия

Менеджмент финансовых ресурсов – это раздел финансового менеджмента, занимающийся изучением методов рационального, с точки зрения эффективности производственно-хозяйственной деятельности предприятия, управления финансовыми ресурсами. Необходимость выделения подобного направления изучения обусловлена тем, что финансовые ресурсы, как материальные носители финансовых отношений, опосредуют практически всю производственно-хозяйственную деятельность предприятия, а их применение основано на знании их экономической природы и законов функционирования. Таким образом, знание экономических законов (п.
1.2.) позволяет менеджеру наиболее эффективно достигать поставленных целей и реализовывать функциональное назначение финансовых ресурсов хозяйствующего субъекта (п. 1.1).
Ранее (п.2.2) процесс воспроизводства финансовых ресурсов рассматривался нами как состоящий из двух стадий – формирования и использования. Рассмотрим поочередно каждую с позиции рационального управления.
Стадия формирования. Здесь решаются вопросы о структуре ресурсов и соответствующей плате за них.
Цена финансовых ресурсов в процентах определяется по формуле [13]:
Ц =
Экстенсивный и интенсивный типы.
, (3.1)
где Ц – цена финансовых ресурсов;
И – издержки на обслуживание ресурсов;
Р – величина ресурсов.
Цена ресурсов определяется для следующих целей:
1) для определения уровня финансовых издержек, связанных с функционированием предприятия;
2) для принятия инвестиционных решений;
3) для определения оптимальной сруктуры ресурсов.
Для оценки всей совокупности видов используемых предприятием ресурсов используется формула:
Ц = цiвi (3.2)
где Ц – цена всей совокупности используемых ресурсов;
цi - цена i-го вида ресурсов;
вi - удельный вес i-го вида ресурсов.
Этот показатель характеризует достаточный уровень рентабельности производственно-хозяйственной деятельности предприятия, обусловленный необходимостью платы за используемые ресурсы. Понятно, что каждый вид используемых ресурсов связан с определенными издержками, которые могут быть исчислены с той или иной степенью точности. В качестве оцениваемого вида ресурсов (цi ) могут выступать элементы любой из рассмотренных ранее классификаций (п.2.1.), что позволяет оценить всю совокупность используемых ресурсов с различных позиций.*
Оптимальной может быть признанна структура ресурсов, соответствующая минимальным издержкам обслуживания.
Рассмотрим пример.
Таблица 3.1.
Структура и оценка используемых финансовых ресурсов

Вид ресурсов
Величина ресурса, руб.
Издержки на обслуживание, руб.
Цена ресурса, %
Удельный вес ресурса, %
Собственный
60
3,6
6
60
Заемный
30
5,4
18
30
Привлеченный
Экстенсивный и интенсивный типы.

Экстенсивный и интенсивный типы.

Экстенсивный и интенсивный типы.

Экстенсивный и интенсивный типы.

Цена (издержки) всей совокупности используемых ресурсов составит 9,3 %. Таким образом, предприятие должно обеспечить рентабельность своей деятельности не ниже этого значения, в противном случае возможны претензии кредиторов. Рентабельность ниже 9,3% свидетельствует о неэффективном функционировании системы финансовых ресурсов предприятия. Кроме того, данный показатель является ориентиром при принятии инвестиционных решений (т.е. предполагаемый проект может быть принят только при превышении данного уровня эффективности).
Справочно, можно отметить, что по данным о 177 американских компаниях, опубликованным в журнале Fortune, 16,8% компаний из анализируемой выборки имели цену капитала до 11%; 65% компаний – от 11 до 17%; 19,2% компаний – свыше 19% [13, с. 233].
Таблица 3.2.
Варианты возможного финансирования предприятия

Показатель
Варианты структуры финансовых ресурсов
1
2
3
4
5
6
Доля собственных ресурсов,%
100
90
80
70
60
50
Доля заемных ресурсов, %
0
10
15
20
30
30
Доля привлеченных ресурсов,%
0
0
5
10
10
20
Цена собственных ресурсов,%
12
11
10
7
6
5
Цена заемных ресурсов, %
0
13
15
16
18
18
Цена привлеченных ресурсов,%
0
0
0
3
3
5
Цена всех ресурсов, %
12
11,2
10,3
8,4
9,3
8,9

Среди всевозможных вариантов финансирования деятельности предприятия оптимальным следует признать вариант структуры, представленной 70% собственных ресурсов, 20% заемных и 10% привлеченных. Эта структура используемых ресурсов имеет минимальную цену.
Безусловно, структура финансовых ресурсов предприятия и издержки их обслуживания меняются и поэтому ориентировочное прогнозное значение цены единицы ресурса может быть установлено исходя из нормы ссудного процента, сложившегося на рынке. Кстати, данное значение может быть также использовано и при сравнении предельной производительности единицы ресурса с его ценой.
Помимо критерия минимальной цены используемых ресурсов, практика финансового управления предполагает и их оценку с позиции эффективности воспроизводства собственных средств. Под эффектом финансового рычага понимается приращение к рентабельности собственных ресурсов, получаемое благодаря использованию заемных ресурсов, несмотря на их платность.
Логика данного утверждения обусловлена тем, что одним из факторов существенного влияния на результаты производственно-хозяйственной деятельности предприятия является структура используемых ресурсов, которая во взаимосвязи с изменением валового дохода может значительно повлиять на чистую прибыль субъекта хозяйствования, а в конечном итоге и на рентабельность собственных ресурсов. Эффект финансового расчета (ЭФР) рассчитывается:
ЭФР = (1 – Н) х (Р- Цр) х
Экстенсивный и интенсивный типы.
, (3.3)
где Н – ставка налогообложения прибыли, %;
Р – рентабельность активов, % ;
Цр – цена заемных ресурсов, %;
ЗР – заемные ресурсы, руб.;
СР - собственные ресурсы, руб.
Составляющая (Р - Цр) называется дифференциалом рычага. Чтобы эффект не был отрицательным, дифференциал должен быть положительным. Величина дифференциала показывает величину риска, т.е. чем больше дифференциал, тем меньше риск и наоборот.
Соотношение между собственными и заемными ресурсами есть плечо рычага, посредством которого увеличивается эффект дифференциала. В этом случае, если новое заимствование приносит увеличение эффекта финансового рычага, то оно выгодно.
Влияние изменения валового дохода на чистую прибыль предприятия показывает сила финансового рычага (СФР)
СФР =
Экстенсивный и интенсивный типы.
, (3.4)
где ВД – валовой доход;
Цр – цена ресурсов, руб.



Концентрация и централизация капитала.


С другой стороны, государство может выразить свой интерес посредством участия в уставном фонде предприятия. В таком случае хозяйствующий субъект может надеяться на заинтересованность в результатах его деятельности государственных органов власти и соответствующих мерах прямой или косвенной поддержки (т.е. целевое финансирование, налоговые, экспортно-импортные льготы, гарантированные поставки сырья и рынки сбыта и др.).
Взаимоотношения со сферой страхования обусловлены существенной степенью риска производственно-хозяйственной деятельности предприятия в условиях рынка. Например, предприятие может застраховать не только имущество или определенную категорию работников, но и возможные предпринимательские риски (неосуществленные поставки товара, платежи, убытки). В условиях развитых страховых отношений предприятие может застраховать практически любой возможный риск, как на ближайшую перспективу, так и на более отдаленную.
Распределение стоимости в сферу домохозяйств происходит посредством выплаты заработной платы работникам, дивидендов и процентов по ценным бумагам предприятия. Обратный финансовый поток может наблюдаться при участии средств домохозяйств в уставном капитале предприятия, либо при финансировании целевых проектов. Например, различные организационно-правовые формы коллективного предпринимательства и, в частности, акционерные общества используются для расширения производственных возможностей (а значит более полной реализации функций финансовых ресурсов) создаваемых предприятий.
Акционерные общества в настоящее время являются распространенной формой предпринимательства, образуют своего рода каркас мировой экономики кроме того, их деятельность хорошо отработана исторической практикой. В данном случае крупное акционерное общество характеризует и диверсификацию финансовых ресурсов (помимо физических лиц акционерами могут выступать и юридические лица) и пространственное расположение их структуры.
Движение финансовых ресурсов внутри сферы предприятий характеризуется многообразием. Это могут быть как отношения внутри предприятия, так и с другими хозяйствующими субъектами.
Движение стоимости внутри предприятия происходит между его цехами, структурными подразделениями, филиалами. За пределами данного предприятия возможны отношения с поставщиками, потребителями продукции, со строительными, транспортными, проектными организациями, союзами, ассоциациями и т.д. В любом случае такие отношения преследуют взаимовыгодный интерес и могут послужить основой создания нового крупного предприятия. Примером может служить уже упоминавшаяся акционерная форма хозяйствования или финансово-промышленная группа, которая предполагает, помимо участия товаропроизводителей, в своем составе торговые, посреднические, научно-исследовательские, банковские, инвестиционные структуры.
В этом случае предприятие–участник получает возможность более полной реализации как производственной функции (посредством работы над взаимовыгодными проектами, научными конструкторскими разработками), так и инвестиционной (через альтернативное производственному, применение ресурсов на финансовых рынках).
Интеранационализация производства, капитала, международная специализация привели к возникновению транснациональных корпораций – мононациональных (как правило), по составу акционерного капитала, крупнейших компаний мирового значения. Такие компании действуют в десятках стран, создавая там филиалы, представительства (Филипс, Сименс и др.). Таким образом, подобные компании определяют движение финансовых ресурсов уже на уровне государств. Здесь речь идет как о выгодном применении финансовых ресурсов (например, в странах с дешевой рабочей силой или льготным налогооблажением), так и о последующем захвате рынков сбыта и оттоке ресурсов в материнскую компанию.
Подобная форма централизации и аккумуляции ресурсов создает иммунитет к негативному влиянию других более мелких систем финансовых ресурсов. К тому же законы свободного рынка не действуют внутри ТНК, где фактически реализуются принципы планового хозяйства, устанавливаются внутренние (трансфертные) цены, определяемые стратегией корпораций, а не рынком, а сама система, являясь значительной частью общей системы финансовых ресурсов, уже диктует правила поведения (речь идет о возможных барьерах входа в отрасль, лобби в государственной власти, влиянии на процентную ставку, на товаропотоки и др.).
Движение распределяемой стоимости внутри такой компании характеризуется сложностью и многоуровневостью. Так, внутрикорпорационный обмен происходит по трансфертным ценам, т.е. ценам между подразделениями одной компании. В этом случае используемые цены могут носить условный характер, что позволяет минимизировать влияние налогов, таможенных тарифов, колебания валютных курсов, а, следовательно, снизить себестоимость производимой продукции.
В этом случае, влияние международной конкуренции на предприятие значительно снижается, а объем циркулирующих в системе ресурсов (и замкнутый технологический цикл) позволяет также добиться существенной экономии издержек на осуществляемых внутренних взаимозачетах.
По мере развития транснациональных корпораций все большая часть товаропроизводителей предпочитает деятельность в составе такой компании, интересы которой, впоследствие, даже могут войти в противоречие с национальными внешнеторговыми интересами.
Таким образом, подобная укрупненная и диверсифицированная система финансовых ресурсов является эффективным механизмом соблюдения собственных интересов, будь то в масштабах отрасли, региона, государства. Кроме того, такая система (рациональная и экономически оправданная) характеризуется и низкими трансакционными издержками (т.е. затраты времени, средств, сил на совершение сделки). В данном случае консолидация с крупным финансовым институтом, государственной структурой или другой системой финансовых ресурсов открывает доступ к определенным выгодам, связанным с деятельностью данного специализированного института.
Например, кооперация предприятия с другой рыночной структурой, обладающей нужной информацией, доступом к ресурсам, правовым обеспечением и возможностью правового урегулирования, результативностью принятия и осуществления решения способствует минимизации трансакционных издержек.
Теперь перейдем к рассмотрению кредитных отношений предприятия. Как уже говорилось кредитные отношения – это отношения по поводу распределения стоимости на условиях срочности, платности, возвратности. Кредит выполняет определенные функции:
1) расширяет возможности общественного производства;
2) выполняет перераспределительную функцию;
3) способствует экономии издержек обращения;
4) ускоряет концентрацию и централизацию капитала.
Следует отметить, что не всегда кредитные отношения выступают в денежной форме (как мы помним, данная особенность присуща и финансовым отношениям). Так например, коммерческий кредит предоставляется в товарной форме, хотя, естественно, передаваемая стоимость выражается в денежных единицах.
Кредитные отношения предприятия недостаточно полно изучены и классифицированы, что затрудняет определение местоположения данного звена в кредитной системе. Вместе с тем, возможность предприятия получать займы и предоставлять кредиты характеризует его как полноценный элемент кредитной системы, который следует рассматривать с двух точек зрения: 1) предприятие - кредитор, 2) предприятие - заемщик. Подобный двуединый подход позволяет наиболее полно характеризовать данный элемент кредитной системы в контексте кредитных взаимоотношений.
Предприятие охватывает процессы мобилизации и распределения кредитных ресурсов в стоимостном выражении на уровне первичного звена хозяйствования, а именно, сферы материального производства, где в основном и создается совокупный общественный продукт и национальный доход.
Выступая кредитором, предприятие предоставляет временно свободные средства в кредит государству, банкам, домашним хозяйствам и другим хозяйствующим субъектам. Возможность предприятия выступить кредитором определяется наличием временно свободных финансовых средств.
Кредитование предприятием государства проявляется в виде покупки ценных бумаг эмитентом которых является государство. Такие ценные бумаги считаются наиболее ликвидными и при необходимости хозяйствующий субъект может быстро конвертировать их в деньги. Кроме того, высокая ликвидность государственных ценных бумаг делает возможным их обращение в качестве денежных суррогатов при расчетах между субъектами хозяйствования.
Покупка предприятиями государственных ценных бумаг, с одной стороны, дает им надежный источник дохода на временно свободные финансовые средства и инструмент управления ликвидностью, а с другой - обеспечивает пополнение средств бюджета государства. Необходимо помнить, что покупка ценных бумаг предприятием является альтернативой производственной деятельности и при ограниченных финансовых возможностях может негативно сказаться на выполнении производственной программы.
Кредитование банков предприятиями происходит посредством осуществления наличных и безналичных расчетов через банковский сектор, открытия депозитов, покупки различных ценных бумаг распространяемых банками.



Контрольная функция является производной от распределительной.


в общегосударственной финансовой системе












Рис. 1.1
где
- направления потоков финансовых ресурсов первичного распределения созданной стоимости (СОП)
- направления потоков финансовых ресурсов перераспределения.
1 – прямые и обратные потоки ресурсов в виде налогов, взносов во внебюджетные фонды, процентов по кредитам или дотаций, перечислений на целевые мероприятия, предоставления кредитов;
2 – прямые и обратные потоки ресурсов в виде страховых отчислений или полученных возмещений;
3 – прямые и обратные потоки ресурсов в виде заработной платы или паевых, долевых взносов и т.д.


Целевое назначение любой сферы финансовой системы определяется ее ролью в воспроизводственном процессе. Так государственные финансы аккумулируют и используют ресурсы для выполнения государственных функций. Назначение финансовых ресурсов сферы страхования – создание фонда средств для предупреждений или минимизации последствий произошедших страховых случаев.
Финансы предприятий, учреждений, организаций служат цели производства и удовлетворения потребностей общества в товарах, услугах и т.д. По нашему мнению, существует и еще одна сфера финансовой системы также аккумулирующая и распределяющая финансовые ресурсы – домохозяйства. Выделение данной сферы правомочно потому, что имеется вполне определенная цель в воспроизводственном процессе – предъявление спроса для личного потребления (в противоположность потребления производственного - у предприятий материальной сферы).
Необходимо уточнить, что местоположение системы финансовых ресурсов государства на рисунке обусловлено тем, что эта сфера финансовых отношений имеет приоритет перед другими, т.к. в составе потребностей расширенного воспроизводства важное место занимают те, что связаны с существованием государства. Именно ресурсы этой сферы позволяют удовлетворять общегосударственные потребности. Кроме того, государство выступая субъектом распределения может и активно влиять на развитие финансовых отношений.
Напротив, положение системы финансовых ресурсов предприятий объясняется их приоритетной ролью в создании новой стоимости (СОП), которая затем питает все другие сферы финансов, а значит, выступает базисом последующих распределительных отношений и даже существования государства, как института, организующего и упорядочивающего их.
Здесь нельзя не конкретезировать вопрос о распределяемой стоимости, поскольку в различных литературных источниках в качестве последней выступает совокупный общественный продукт, национальный доход или национальное богатство. Мы придерживаемся следующего мнения. Если речь идет о первичном распределении и источнике образования финансовых ресурсов, то это, безусловно, национальный доход.
Кроме того, этим термином удобно пользоваться, когда необходимо подчеркнуть расширенный характер воспроизводства, ибо речь идет о вновь созданной, прибавочной стоимости. Образование и использование национального дохода наглядно характеризует темпы экономического роста в стране.
Если же нам необходимо знать всю величину стоимости материальных благ, созданных в обществе, пропорции ее распределения, то вполне обоснованно использовать показатель совокупного общественного продукта, который в своем составе, помимо национального дохода, содержит и еще не возмещенные затраты. Однако величина совокупного общественного продукта дает неполное представление о результативности общественного производства, и когда мы ее используем, то необходима конкретизация того, о чем идет речь: о неизменной величине распределяемой стоимости, либо о суженном или расширенном воспроизводстве.
И, наконец, национальное богатство – совокупность материальных благ, созданных трудом всех поколений и вовлеченных в процесс воспроизводства. Данный термин характеризует абсолютную величину экономической мощи государства и может быть использован для сравнительных характеристик исследуемых стран. Когда мы говорим о национальном богатстве, то речь идет о перераспределении стоимости, причем именно оно может быть отвлечено от воспроизводственного процесса в экстренных случаях (стихийные бедствия, война, платежи по внешним долгам).
Сущность финансов проявляется в двух функциях: распределительной и контрольной. Это общепризнанный подход. Функции тесно взаимодействуют между собой. Распределительная функция связана с тем, что в основе финансов лежат распределительные отношения (по поводу распределения созданной на предприятии стоимости) обеспечивающие источниками средств (финансовыми ресурсами) воспроизводственный процесс к тем самым связывающие все его фазы: производство, распределение, обмен, потребление.
Это позволяет активно воздействовать на все стадии данного процесса. С помощью этой функции также происходит формирование уставного капитала, выделение основных и оборотных фондов, распределение выручки, рефинансирование производственной деятельности, расчет с контрагентами, формирование ресурсов государства.
Контрольная функция является производной от распределительной. Она становится возможной благодаря денежному выражению распределяемой стоимости. Эта функция осуществляется с помощъю системы финансовых показателей позволяющих прямо количественно (посредством слежения за финансовыми потоками), либо косвенно (посредством относистельных показателей) оценить пропорции распределения ресурсов и результаты деятельности хозяйствующего субъекта, что в конечном счете, позволяет своевременно заметить возникающие отклонения и исправить возможные диспропорции.
Некоторые авторы также выделяют также обеспечивающую функцию, заключающуюся в обеспечении процесса производства необходимыми финансовыми ресурсами. Однако по нашему мнению, данная функция есть суть частного выражения уже рассмотренной функции - распределительной.
Следует отметить чрезвычайную важность рассматриваемого звена - финансовых отношений предприятий, ибо именно в этом, низовом, звене производственно-хозяйственного комплекса страны создается национальный доход распределяемый затем в другие звенья финансовой системы. Таким образом становится очевидным что, от эффективности функционирования финансов предприятий зависит в немалой степени и экономическая мощь всего государства.

2. Финансовые ресурсы, денежные фонды и резервы предприятия

Являясь материальными носителями финансовых отношений, финансовые ресурсы оказывают существенное влияние на все стадии воспроизводственного процесса, приспосабливая, тем самым, пропорции производства к общественным потребностям. Значимость финансовых ресурсов обусловлена еще и тем, что преобладающая их часть создается предприятиями сферы материального производства, а затем перераспределяется в другие звенья национальной экономики. В этой связи, становится очевидной роль государства, которое в современных экономических условиях, помимо общеизвестных, классических функций (обороны, управления и т.д.), должно обеспечить и условия наиболее эффективного использования имеющихся в его распоряжении ресурсов предприятий с целью стимулирования экономического роста, являющегося необходимым условием стабильного, независимого и экономически состоятельного общества.
Ранее мы выяснили, как образуются финансовые ресурсы в сфере материального производства. Понятие финансовых ресурсов в отечественной практике было введено впервые при составлении первого пятилетнего плана страны, в состав которого входил баланс финансовых ресурсов. Однако при широком использовании в теории и практике этого термина его толкование весьма различно.
Между тем, однозначное и обоснованное толкование сущности данной категории важно для ее полного понимания и практического осуществления финансовой работы на предприятии, фирме.
Итак, разграничим понятия связанные с функционированием финансов и финансовых ресурсов предприятий. Деньги – это вид универсального товара, используемый как всеобщий эквивалент, посредством которого соизмеряется стоимость других товаров. Денежные средства – совокупность средств предприятия, представленная денежным (наличным или безналичным) оборотом. Наличный оборот может быть представлен кассой предприятия, а безналичная форма – счета в банках, платежные поручения, аккредитивы и т.д. Таким образом, деньги есть форма выражения стоимости.
В случае финансовых отношений – распределяемой стоимости. Фонды денежных средств (денежные фонды) – обособленная часть денежных средств предприятия, имеющая узкоцелевое назначение (амортизационный фонд, ремонтный фонд, фонд потребления и т.д.). Фондовая форма образования и использования средств, как правило, регламентируется предприятием, относительно стабильна, легче контролируема.
Нефондовая форма денежных средств – средства в расчетах, по платежам бюджетно-кредитной системе.
Финансовыми средствами называются средства, которые могут быть использованы предприятием немедленно как знаки стоимости, характеризующие ее движение. Понятие средства целесообразно использовать при характеристике текущей деятельности. Например, предприятие может обладать финансовыми средствами, представленными деньгами (в кассе и на счетах) и государственными ценными бумагами.



Направления использования выручки


рис) на оплату счетов поставщиков сырья, материалов, комплектующих, полуфабрикатов, запчастей, топлива, энергии. Из выручки происходит отчисление во внебюджетные фонды, налогов в бюджет, выплата заработной платы, возмещается износ основных фондов, финансируются расходы предусмотренные финансовым планом и не включаемые в себестоимость. Вместе с тем, выручка в строгом смысле не является доходом, так как из нее необходимо возместить затраты. Предприятия экспортирующие продукцию, получают валютную выручку, для зачисления которой ему в уполномоченном банке открываются два счета: транзитный - для зачисления в полном объеме поступлений и, текущий валютный счет - для учета средств, остающихся в распоряжении предприятия после обязательной продажи государству валютной выручки. С текущего счета средства могут использоваться на любые цели: закупку сырья и оборудования у нерезидентов, оплату командировок за рубеж, направляться в качестве вклада в уставный капитал других предприятий, на оплату обучения и стажировок за рубежом.
Напомним, что существуют два метода отражения выручки от реализации:
1) по отгрузке товаров (выполнению работ, оказанию услуг) и предъявлению контрагенту расчетных документов - метод начислений. Здесь образованием выручки считается дата отгрузки т.е. в этом случае поступление средств не является фактом определения выручки. В основе данного метода лежит юридический принцип перехода права собственности на товар. Однако, в случае несвоевременной оплаты продукции, несостоятельности покупателя или банка предприятие может иметь проблемы: неплатежи по налогам, срыв контрактов, возникновение цепочки неплатежей.
Для сглаживания возможных негативных последствий предприятию представлено право образования резерва по сомнительным долгам, который является допполнительным источником финансирования текущих обязательств. Этот метод широко применяется в развитых странах, где наличие развитых финансовых рынков минимизирует риск. Рекомендации использовать этот метод в России связаны о переходом на международные стандарты учета и статистики, хотя практика зачастую не позволяет этого сделать.
Если в розничной торговле операции по продаже товара завершаются поступлением денег в кассу предприятия или на банковский счет по чеку, в мелкооптовой торговле - через авансовые (плановые) платежи, а при случайных поставках может производится предварительная оплата товара, то наибольшая часть операций завершается в момент отгрузки. Инкассация выручки обеспечивается выдачей векселя, аккредитива, платежного поручения банку плательщика или через факторинговые операции
3) В российской практике распространение подучил метод отражения выручки по мере оплаты - кассовый метод. Моментом образования выручки считается дата поступления средств на счета. Подобный метод лишен недостатков предыдущего.
Вместе о тем, в случае авансовых платежей общий размер средств не совпадает с фактической реализацией, так как деньги поступили, а продукция может быть не отгружена или даже еще не произведена.
Направления использования выручки


Средства поступающие за реализованную продукцию


Выручка от реализации
Косвенные налоги


Материальные затраты, износ основных фондов
Валовый доход
НДС
Акцизы
Другие налоги


Заработная плата и отчисления
Прибыль
Налоги относимые на финансовые результаты (на имущество, рекламу, за право использования местной символики)


Чистая прибыль
Налог на прибыль


Налоги уплачиваемые за счет чистой прибыли (на прибыль, местные, за загрязнение окружающей среды)

Дивиденды

Остаток чистой прибыли распределяемой предприятием







В настоящее время предприятие может для целей налогообложения самостоятельно выбирать метод учета, однако бухгалтерский учет обязано вести методом начислений.
На размер выручки оказывают влияние факторы:
- в сфере производства;
- в сфере обращения: ритмичность отгрузки, своевременное оформление транспортных и расчетных документов, сроки документооборота, оптимальные формы расчетов, уровень цен;
- не зависящие от предприятия: нарушение договоров, недостатки в работе транспорта, отсутствие средств у покупателя.

4. Прибыль предприятия

Прибыль как экономическая категория отражает чистый доход созданный в сфере материального производства в процессе предпринимательской деятельности. С экономической точки зрения прибыль - это разность между денежными поступлениями и выплатами, а с хозяйственной - это разность между имущественным состоянием предприятия на конец и начало периода. Прибыль исчисленная в бухгалтерском учете не отражает действительного результата хозяйственной деятельности. Это привело к разграничению понятий бухгалтерской и экономической прибыли.
Первая есть результат реализации товаров и услуг, вторая - результат работы капитала. Данная идея принадлежит Давиду Соломону, который исходил из предпосылки, что концепция прибыли нужна для: 1) исчисления налогов; 2) защиты кредиторов; 3) для выбора инвестиционной политики. Бухгалтерская трактовка прибыли приемлема для первой цели и неприемлема для третей. Формула Д. Соломона выглядит следующим образом:
Экономическая прибыль = Бухгалтерская прибыль + Внереализационные изменения стоимости (оценки) активов в течении отчетного периода - Внереализационные изменения стоимости ( оценки) активов в прошлые периоды + Внереализационные изменения стоимости активов в будущие периоды
Этот подход предполагаем ежеквартальное определение гудвилла (нематериальный актив, отражающий деловую репутацию фирмы) и его колебаний.
Прибыль выполняет следующие основные функции:
- является показателем эффективности деятельности предприятия;
- обладает стимулирующей функцией, т.к. выступает основным элементом финансов х ресурсов предприятия;
- является источником формирования бюджетов различного уровня.
В российской практике употребляются следующие понятия прибыли.
Валовая прибыль - сумма прибыли (убытка) от реализации продукции (работ, услуг), основных фондов (включая земельные участки), иного имущества предприятия и доходов от внереализационных операций, уменьшенных на сумму расходов по этим операциям.
Прибыль (убыток) от реализации продукции (работ, услуг) определяется как разница между выручкой от реализации без НДС, акцизов и затратами на производство и реализацию, включаемыми в себестоимость.
Формирование выручки ввязано с особенностями выполняемых работ и применяемыми формами расчетов. Например, в строительных организациях выручка отражает стоимость законченных объектов строительства или работ выполненных по договорам подряда и субподряда. Для определения прибыли используется фактическая себестоимость сданных работ.
В торговле, снабженческих и сбытовых организациях выручка соответствует валовому доходу от продажи товаров. Валовый доход исчисляется как разница между продажной и покупной стоимостью реализованных товаров. Для определения прибыли из него исключаются издержки обращения торговых, снабженческих, сбытовых организаций. На транспорте и связи выручка отражает средства полученные за предоставляемые услуги по действующим тарифам.
В качестве себестоимости выступает показатель эксплуатационных расходов предприятий транспорта и связи с учетом расходов по экспедиционным и погрузочно-разгрузочным работам.
В валовую прибыль включено также превышение выручки от реализации основных фондов и иного имущества, что прежде всего означает прирост капитала. Прибыль (убыток) от реализации основных средств, их прочего выбытия, реализации иного имущества - это финансовый результат не связанный с основными видами деятельности предприятия. Он отражает прибыли (убытки) по прочей реализации, к которой относится продажа на сторону различных видов имущества, числящегося на балансе хозяйствующего субъекта. Предприятие вправе списывать, продавать, ликвидировать, передавать свое имущество: здания, сооружения, оборудование, транспортные сродства, материальные ценности и другие виды имущества.
Финансовый же результат имеет место только при продаже перечисленных видов. Он определяется как разница между выручкой от реализации имущества (за вычетом НДС, спецналога) и их остаточной стоимостью с учетом понесенных расходов по реализации, скорректированной на коэффициент инфляции. Под иным имуществом понимаются сырье, материалы, топливо, запчасти, нематериальные активы (патенты, лицензии, торговые марки, программные продукты), валютные ценности (валюта, ценные бумаги в валюте, драгоценные металлы и камни), ценные бумаги.
Влияние на величину валовой прибыли оказывают и доходы и расходы от внереализационных операций. Финансовые результаты от внереализационных операций - это прибыль (убыток) по операциям различного характера, не относящимся к основной деятельности предприятия и не связанных о реализацией продукции, основных фондов, иного имущества, выполнением работ и услуг. Финансовый результат определяется как доходы за минусом расходов по внереализационным операциям.
К доходам по внереализационным операциям относят:
- доходы подученные на территории РФ и за пределами от долевого участия в деятельности других предприятий (т.е.



Общая норма на сырье, материалы, покупные полуфабрикаты


Страховой запас необходим когда происходят сбои в условиях и сроках поставки, поступают некомплектные партии, нарушается качество поставляемых материалов. Ето величина - 1/2 складского запаса (5 дней).
В среднем таким же по длительности устанавливается и транспортный запас, образуемый при расхождении в сроках движения документооборота и оплаты по ним и времени нахождения материалов в пути.
Общая норма на сырье, материалы, покупные полуфабрикаты складывается из перечисленных видов запасов. Рассчитываются нормы и по прочим видам: вспомогательным материалам, МБП.
Нормы запаса по готовой продукции рассчитываются раздельно по готовой продукции на складе и по отгруженной, документы по которой сданы в банк. Нормы определяются по каждой номенклатурной группе с учетом времени на:
-подборку отдельных видов и марок изделий;
-упаковку и маркировку, хранение на складе до отгрузки;
-комплектование до размера партии;
-погрузку и доставку со оклада до станции отправления;
-подготовку расчетных документов и сдачу их в банк.
2 этап. Определение частных нормативов по каждому элементу оборотных средств. Норматив показывает минимально необходимую сумму денежных средств, обеспечивающих хозяйственную потребность предприятия, т.е. это денежное выражение планируемого запаса. В основном норматив по отдельному элементу рассчитывается как:

Н = норма запаса (Нз), в днях * однодневный расход по данному элементу средств;
где однодневный расход = затраты или выпуск 4 квартала
число дней в квартале (90 дн.)

Аналогично расчитываются нормативы по другим элементам оборотных средств.
Нр.бп = Рбп. н + Рбп.пл – Рбп.сп,
где Нр.бп - норматив по расходам будущих периодов;
Р бп.н - расходы будущих периодов на начало года;
Рбп.пл - расходы в плановом году;
Рбп.сп - расходы будущих периодов описываемые на затраты в плановом периоде.
3 этап. Завершается процесс нормирования установлением совокупного норматива оборотных средств (Нос)
Нос = Нпз + Ннп + Нр.бп + Нгп,
где Нпз- норматив производственных
запасов;
Ннп - норматив незавершенного производства;
Нр.бп - норматив расходов будущих периодов;
Нгп - норматив на готовую продукцию.
Потребность предприятия в ненормируемых оборотных средствах определяется расчетным путем, а управление ими осуществляется о помощью краткосрочного кредитования. Так на предприятии рассчитывается потребность в денежных средствах в кассе и в оборотных средствах по запасам товаров. Методика расчета аналогична нормированию.
Например, потребность в оборотных средствах по запасам товаров рассчитывается как произведение нормы запаса товаров на однодневный оборот товаров в 4 квартале по покупным ценам, а потребность средств в кассе - умножением нормы запаса денежных средств на однодневный товарооборот 4 квартала. Однако эта потребность по сравнению с нормированием устанавливается не так жестко.
При расчете величины товаров отгруженных финансовые службы отслеживают:
- товары отгруженные, срок оплаты по которым не наступил;
- отгруженные, но не оплаченные в срок (чаще из-за отсутствия средств у покупателей) или на ответственном хранении у покупателей (в основном из-за высокого % брака, отклонения от оговоренного ассортимента и т.п.).
По первой группе выручка должка поступить, но между моментом отгрузки и поступлением выручки имеется временной лаг, в течении которого денежные средства выпадают из оборота предприятия. Возникновение второй группы невыгодно предприятию и ведет к финансовой напряженности и снижению платежеспособности. Помимо названного важен также контроль за денежными средствами (в кассе, почтовых переводах, выставленных аккредетивах) и дебиторской задолженностью возникающей в следствии переплаты налогов и других обязательных платежей вносимых в виде аванса, несвоевременного возврата средств подотчетными лицами (командировочных, транспортных и прочих расходов), появления сомнительной задолженности по истечении сроков оплаты, спорных долгов при нарушении договорных обязательств.

Вопросы для самопроверки


  1. Как классифицируется основные фонды?
  2. Какие методы используются при начислении амортизации?
  3. Какова роль оборотного капитала в воспроизводственном процессе?
  4. Охарактеризуйте состав оборотных производственных фондов и фондов обращения
  5. Какие факторы оказывают влияние на оборачиваемость оборотного капитала? Какие из них зависят и не зависят от предприятия?
  6. Что такое норма и норматив оборотных средств?
  7. Какие источники используются для финансирования основных и оборотных фондов предприятия?


III. ЗАТРАТЫ, ВЫРУЧКА И ПРИБЫЛЬ ПРЕДПРИЯТИЙ
Из главы Вы узнаете:

  • О экономической сущности затрат и их классификации;
  • Каким образом формируется и используется выручка и прибыль предприятий;
  • Как осуществляется планирование затрат, выручки и прибыли.

1. Сущность и классификация затрат предприятий
В процессе предпринимательской деятельности предприятие несет определенные затраты. Исходя из экономического содержания их можно классифицировать по группам:
1). Расходы связанные о извлечением прибыли - включают затраты на обслуживание производственного процесса, затраты на реализацию продукции, производство работ, оказание услуг, инвестиции.
2). Расходы не связанные о извлечением прибыли - это расходы потребительского характера, а также на благотворительные и гуманитарные цели. Сюда же включаются поощрительные выплаты работникам, отчисления в негосударственные страховые и пенсионные фонды, на развитие социально-культурной сферы хозяйствующего субъекта.
3). Принудительные затраты включают - налоговые платежи, отчисления в государственные внебюджетные фонды, создание резервов, финансовые санкции.
Основной удельный вес среди расходов связанных с извлечением прибыли занимают затраты на производство и реализацию продукции. Все затраты на производство и реализацию составляют полную себестоимость, что является основой для определения цен, прибыли и налога. Этот вид затрат также классифицируется по определенным признакам:
1.1. - по учетному признаку. Государство устанавливает отдельные принципы и правила по которым налогоплательщики обязаны вести учет затрат на производство и реализацию, регламентирует порядок их начисления и списания, устанавливает источники их покрытия. Детальная классификация представлена сметой затрат на производство и реализацию продукции.
Смета затрат на производство и реализацию продукции
1. Материальные затраты (за вычетом возвратных отходов) в т.ч.
- сырье и материалы
- покупные полуфабрикаты
- топливо
- энергия
2. Затраты на оплату труда
3. Отчисления на социальные нужды в т.ч. в
Фонд социального страхования РФ
Пенсионный фонд РФ
Фонд обязательного медицинского страхования
4. Амортизация
5. Прочие затраты
6. Итого затрат на производство
7. Затраты списанные на непроизводственные счета
8. Прирост, уменьшение остатков расходов будущих периодов
9. Прирост, уменьшение остатков незавершенного производства
10. Производственная себестоимость товарной продукции
11. Внепроизводственные расходы в т.ч. на
- упаковку
- рекламу
- транспорт
- прочие расходы
12. Полная себестоимость товарной продукции

Затраты формирующие себестоимость продукции учитываются по первым пяти вышеназванным группам.
Материальные затраты - это самая существенная составляющая, которая включает в себя оплату сырья и материалов, полуфабрикатов и комплектующих изделий, топлива и энергии, расходы на тару и тарные материалы, запасные части, затраты связанные с приобретением МБП, средства переданные сторонним организациям за производственные услуги. Их структура зависит от отраслевой принадлежности. Так в материалоемких отраслях промышленности и строительстве основная нагрузка приходится на закупку сырья, а на транспорте - на приобретение топлива, запчастей. Для возмещения этих затрат необходимо, чтобы произведенная продукция была реализована и выручка поступила на счета предприятия.
Факт реализации зависит от учетной политики предприятия (реализация определяется на момент отгрузки и предъявления платежных документов покупателю или на момент оплаты отгруженной продукции), и материальные затраты возмещаются после завершения кругооборота средств и реального исступления денег на счета или в кассу. Основой определения стоимости этих затрат является цена их приобретения без учета косвенных налогов. Цена отражается в счете фактуре и составляет базовую себестоимость материалов.
К ней добавляются расходы по перевозке, доставке, хранению и, при необходимости, таможенные пошлины. Понесенные предприятием материальные затраты компенсируются лишь в объеме затраченным на реализованную продукцию. Оставшаяся часть оседает в нереализованной продукции, складских запасах. Не все понесенные затраты в отчетном периоде являются основанием для полного их включения в себестоимость, что имеет важное значение для внутрифирменного планирования и налогообложения прибыли.
Данное положение следует из принципа бухгалтерского учета отнесения затрат на себестоимость в том периоде в котором получен доход.
Затраты на оплату труда представляют собой денежные и натуральные (учитываются в денежной форме) выплаты работникам.



Основой расчетов служит объем продаж.


Остатки на начало периода (при кассовом методе) включают:
- товары отгруженные, документы по которым не переданы в банк;
- товары отгруженные срок оплаты которых не наступил;
- товары не оплаченные в срок;
- товары на ответственном хранении у покупателя.
По отгрузке, нереализованными считаются только готовая продукция на складе.
В рыночных условиях существенным является определение отпускных цен. Это обусловлено тем, что если в цену заложена недостаточная рентабельность, то на каждой последующей стадии кругооборота капитала предприятие будет обладать вое меньшими средствами.
В условиях стабильного развития экономики применяются аналитические методы прогнозирования оптимальной выручки. Задачей такого прогноза является оценка изменения объема выручки в зависимости от других факторов. Например от цены. Эластичность спроса определяется:
Э=%изм.В : %изм.Ц
где Э - эластичность спроса;
В - выручка;
Ц- цена.
Спрос эластичный (т.е. повышение цены приведет к большему снижению выручки) если Э1. Если неэластичен, то имеется возможность увеличения цен на продукцию для максимизации выручки.
Эластичность может быть расчитана также по доходам потребителей, по замещающим и дополняющим товарам.
Планирование прибыли выступает как составная часть финансового планирования. Оно проводится раздельно по всем видам деятельности предприятия. В условиях стабильной экономики планирование осуществляется на 3-5 лет, распространено также текущее планирование (в рамках одного года) и кратковременное (на квартал, полугодие). Объектом планирования являются элементы балансовой прибыли и в первую очередь прибыль от реализации продукции.
Основой расчетов здесь служит объем продаж. Объем ограничивается имеющимися производственными мощностями. После определения объема продаж разрабатывается производственная программа на основе заключенных договоров, которая зависит от планового объема реализации и от величины готовой продукции на складе на начало и конец планируемого периода. При этом необходимо учитывать изменения остатков незавершенного производства.
Производственная программа, в свою очередь является основой расчета потребности в материалах. Важным моментом в планировании прибыли является учет трудовых затрат. С учетом необходимых отчислений в социальные фонды планируются затраты на оплату труда, которые называются еще расходами на персонал. Эти затраты зависят от вида продукции, расценок.
Предварительно также необходимо нормирование рабочего времени на изготовление единицы продукции.
Далее составляется смета расходов включаемых в производственную себестоимость. Сумма этих затрат зависит от состава объема производства. Раздельно определяются переменные и постоянные расходы.
В результате проведенных расчетов формируется производственная себестоимость реализуемой продукции с учетом остатков готовой продукции на начало и конец планируемого периода.
На следующем этапе составляются сметы административных и коммерческих расходов. Эти затраты связанные с обслуживанием и управлением производством, а также продвижением товаров на рынок. Часть этих затрат зависит от объема продаж (комиссионные), другие же учитываются в общей сумме. На основании этих расчетов формируется план по прибыли от реализации продукции.
Для планирования балансовой прибыли используются также данные о предстоящих операционных и внереализационных доходах и расходах.
Названный метод известен как метод прямого счета, в основе которого лежит поассортиментный расчет прибыли от выпуска и еализации продукции. Более простой вариант расчета предполагает укрупненное планирование по позициям плана.
Расчитывается
Птп = Цтп - Стп,
где Птп - прибыль по товарному выпуску планируемого периода;
Цтп - стоимость товарного выпуска планируемого периода в действующих ценах реализации (без НДС, акцизов, торговых и сбытовых скидок);
Стп - полная себестоимость товарной продукции планируемого периода (рассчитана в смете затрат).
Затем расчитывается
Прп = Врп - Срп,
где Прп - планируемая прибыль по продукции подлежащей реализации в предстоящем периоде;
Врп - планируемая выручка от реализации продукции в действующих ценах (без НДС, акцизов, торговых и сбытовых скидок);
Срп - полная себестоимость реализуемой в предстоящем периоде продукции.
Объем выручки и полная себестоимость реализуемой продукции определяются о учетом переходящих остатков готовой продукции на начало и конец планируемого периода.
Таким образом,
Прп = Пн + Птп - Пк,
где Прп - прибыль от реализации продукции в планируемом периоде;
Пн - прибыль в остатках продукции не реализованной на начало планируемого периода;
Птп - прибыль по товарной продукции, планируемой к выпуску в предстоящем периоде;
Пк - прибыль в остатках готовой продукции, которая не будет реализована в конце планового периода.
Такая методика лежит в основе укрупненного прямого счета. Ее разновидностью является метод поассортиментного планирования. В этом случае прибыль определяется по каждой ассортиментной позиции.
Прибыль суммируется по всем позициям и к полученному результату прибавляется прибыль в остатках нереализованной на начало периода продукции. Укрупненный метод применим на предприятиях с незначительной номенклатурой. Главным достоинством метода прямого счета является его точность в стабильных экономических условиях.
При использовании аналитического метода расчет ведется раздельно по сравнимой и несравнимой продукции. Сравнимая продукция выпускается в базисном году, поэтому известны ее полная себестоимость и объем выпуска. По этим данным определяется базовая рентабельность:
Рб = (По:Стп) * 100%,
где По - ожидаемая прибыль (расчет прибыли ведется в конце базисного периода);
Стп - полная себестоимость товарной продукции базисного года.
Допустим, что По=100, Стп-400. Тогда Рб = 25%
С помощью базовой рентабельности ориентировочно рассчитывается прибыль планируемого периода на объем товарной продукции планируемого года, но по себестоимости базисного года. Если объем товарной продукции планового года по себестоимости базисного составляет 500 руб., то прибыль = 500*25% = 125 руб. Это учет первого фактора т.е. объема производства.
Далее расчет ведется в следующей последовательности:
1) Рассчитывается изменение (+,-) себестоимости продукции в плановом году. Например, на основе прогноза о росте цен на сырье, увеличении амортизационных отчислений и пр. предполагается что себестоимость по сравнению с базисным годом возрастет на 20 руб.
2) Определяется влияние ассортимента, качества продукции. Эти расчеты выполняются в специальных таблицах на основе плановых данных об ассортименте, качестве продукции. Допустим, рост прибыли за счет этих факторов - 25 руб.
3) После обоснования цены на готовую продукцию планового года определяется влияние роста цен. Допустим, увеличение цен даст дополнительно 30 руб.
4) Суммарное влияние факторов в нашем случае составит 125 руб. - 20 руб. + 25 руб. + 30 руб. = 160 руб.
5) Теперь учитывается влияние остатков готовой продукции на начало (например они составили 10 руб.) и конец планируемого периода (составили 5 руб.). Имеем: 10 руб. + 160 руб. -5 руб. = 165 руб.
Изученный метод учитывает влияние факторов, но в условиях быстрого изменения внешней среды он оказывается неточным.


Вопросы для самопроверки

1. Что представляют собой и как классифицируются затраты предприятия?
2. Как взаимосвязаны выручка, расходы и прибыль?
3. Какое влияние на конечные результаты деятельности предприятия оказывает структура затрат? Как происходит планирование себестоимости?
4. В какой мере планирование выручки от реализации продукции зависит от выбранной предприятием учетной политики?
5. Какие факторы влияют на выручку от реализации продукции?
6. Чем отличается бухгалтерская прибыль от экономической?
7. Какие факторы влияют на величину прибыли?
8. Как формируется и распределяется прибыль на предприятии?


IV. ОРГАНИЗАЦИОННО-ПРАВОВЫЕ ФОРМЫ ПРЕДПРИЯТИЙ
Из главы Вы узнаете:

  • какие организационно-правовые формы предприятий существуют;
  • какие особености функционирования финансов характерны для различных организационно-правовых форм хозяйствования.


1 Хозяйственные товарищества и общества

Хозяйственные товарищества и общества — это организации осуществляющие свою деятельность на коммерческих началах, имущество которых создается за счет вкладов учредителей (участников) и принадлежит хозяйственным товариществам и обществам на правах собственности. Различают полные товарищества и товарищества на вере. Хозяйственные общества могут создаваться в форме общества с ограниченной или с дополнительной ответственностью, акционерного общества закрытого и открытого типов.
Полное товарищество — это объединение граждан, которые от имени товарищества занимаются предпринимательской деятельностью в соответствии с заключенным между ними учредительным договором и несут ответственность по обязательствам товарищества принадлежащим им имуществом.
Уставный капитал полного товарищества создается за счет вкладов участников и по существу является складочным капиталом.



ОТРАСЛЕВЫЕ ОСОБЕННОСТИ ФУНКЦИОНИРОВАНИЯ ФИНАНСОВ ПРЕДПРИЯТИЙ


При распределении чистой прибыли предусматривается выплата процентов по облигациям и дивидендов по привилегированным акциям. Однако, при недостаточности прибыли может быть принято решение о реинвестировании дивидендов или о их капитализации (т.е. прибыль, предназначенная на выплату, дивидендов, выплачивается в виде новых акций).
Закрытое акционерное общество — общество, акции которого распространяются только среди учредителей, т.е. общество не вправе проводить открытую подписку на выпускаемые акции. Уставный капитал закрытого акционерного общества не может быть менее 100 минимальных размеров оплаты труда, установленных на момент его регистрации. Число участников закрытого акционерного общества устанавливается законом и в случае превышения числа участников закрытое акционерное общество подлежит преобразованию в открытое акционерное общество либо ликвидации, если число акционеров не уменьшится до установленного законом количества.
Производственный кооператив есть добровольное объединение граждан на основе членства для осуществления совместной производственной или иной хозяйственной деятельности, основанное на их личном трудовом или ином участии и объединении имущественных паевых взносов. В основном эта форма деятельности характерна для производства, переработки, сбыта проTышленной, сельскохозяйственной и иной продукции, торговли, бытового обслуживания, выполнения работ и оказания услуг. Число членов кооператива не должно быть менее пяти.
К моменту регистрации кооператива каждый его член обязан внести не менее 10% своего паевого взноса, остальную же часть — в течение года.
Имущество кооператива делится на паи его членов в соответствии с уставом. Полученная прибыль распределяется между членами кооператива в соответствии с их трудовым участием (если в уставе не оговорен иной порядок). Члены кооператива несут субсидиарную ответственность по его обязательствам в размерах и порядке, предусмотренных уставом кооператива. Отметим, что кооператив вправе создавать неделимые фонды за счет определенной части имущества. Решение об образовании данных фондов должно приниматься членами кооператива единогласно.
В уставе же должны быть определены цели их использования.

2. Унитарные предприятия

Унитарное предприятие — это коммерческая организация, не наделенная правом собственности на закрепленное за ним собственником имущество. Различают унитарные предприятия на праве хозяйственного ведения и на праве оперативного управления. К числу унитарных предприятий относятся государственные и муниципальные предприятия.
Унитарное предприятие, основанное на праве хозяйственного ведения. Данное предприятие создается по решению уполномоченного государственного или муниципального органа. Соответственно имущество такого предприятия находится в государственной или муниципальной собственности. Унитарное предприятие отвечает по своим обязательствам всем принадлежащим ему имуществом. Однако, собственник не отвечает по обязательствам предприятия, а предприятие не несет ответственности по обязательствам собственника имущества.
Унитарным предприятием управляет руководитель, которого назначает собственник либо уполномоченный собственником орган. Размер уставного фонда унитарного предприятия определен в законе о государственных и муниципальных унитарных предприятиях. Уставный фонд должен быть оплачен к моменту государственной регистрации предприятия.
Если стоимость чистых активов предприятия станет меньше величины уставного фонда, то последний должен быть также соответственно уменьшен. Однако, если размер уставного фонда станет меньше предусмотренного законом, то такое предприятие может быть ликвидировано.
Унитарное предприятие, основанное на праве оперативного управления (федеральное казенное предприятие). Подобное предприятие создается по решению Правительства РФ, а его имущество находится в государственной собственности. Предприятие отвечает по своим обязательствам всем имуществом. Российская Федерация несет субсидиарную ответственность по обязательствам такого предприятия.
Предприятие вправе распоряжаться своим имуществом по согласованию с собственником. Казенное предприятие имеет право самостоятельно реализовывать производимую продукцию, если иное не оговорено законом. Порядок распределения полученных предприятием доходов и прибыли определяются государством.

Вопросы для самопроверки

1. Расскажите в чем полного товарищества от товарищества на вере;
2. Какие виды хозяйственных обществ Вы знаете? Охарактеризуйте их;
3. Какие преимущества характерны для акционерной формы хозяйствования?
4. В чем специфика деятельности унитарных предприятий?

IV.ОТРАСЛЕВЫЕ ОСОБЕННОСТИ ФУНКЦИОНИРОВАНИЯ ФИНАНСОВ ПРЕДПРИЯТИЙ
Из главы Вы узнаете:

  • специфику деятельности предприятий капитального строительства и особенности складывающихся здесь финансовых отношений;
  • какие факторы влияют на финансовые аспекты деятельности сельскохозяйственных предприятий;
  • об особенностях функционирования предприятий транспорта;
  • как организованы финансы товарного обращения

1.Финансы предприятий капитального строительства

Для данной сферы функционирования финансов характерна некоторая специфика, обусловленная особенностями складывающихся здесь экономических отношений. Выделим следующие особенности:

  1. более продолжительный производственный цикл, обуславливающий повышенную потребность в оборотных средствах;
  2. функционирование строительных организаций осуществляется в различных территориально-климатических зонах, что влияет на индивидуальную стоимость сдаваемых объектов, а также на равномерность поступления выручки;
  3. сметная стоимость строящихся объектов устанавливается исходя из договоров с заказчиками и поставщиками;
  4. этапы осуществляемых строительно-монтажные работ характеризуются различной степенью трудоемкости, материалоемкости, финансовой обеспеченности;
Осуществление строительства происходит, как правило, в несколько этапов: 1) геологоразведовательных работ; 2) разработки сметы строительства; 3) осуществление строительных и монтажных работ. Финансирование проводимых работ осуществляется заказчиками, а работы выполняются специализированными организациями. Подобная детализация обуславливает выделение в данной сфере финансовых отношений следующих компонентов, также характеризующихся своими особенностями:
- финансы заказчика;
- финансы проектных организаций;
- финансы геологоразведовательных организаций;
- финансы строительной организации.
Различают подрядный и хозяйственный способы ведения работ.
При подрядном способе строительная организация привлекает для отдельных видов работ специализированные организации (подрядчики), которые в свою очередь также могут иметь заключенные договора со специализированными исполнителями (субподрядчики).
При хозяйственном способе строительства организация осуществляет все виды работ собственными силами.
Планирование себестоимости работ осуществляется строительной организацией самостоятельно при разработке финансовых планов на основе заключенных договоров. Себестоимость строительных работ может включать элементы:
- затраты непосредственно связанные с осуществлением строительных работ;
- затраты связанные с обслуживанием произодственного процесса;
- затраты некапитального характера, обусловленные совершенствованием технологии строительства, улучшением отдельных видов работ и т.д.
- текущие затраты: на эксплуатацию очистных сооружений, природоохранные мероприятия и др.;
- дополнительные затраты (например, на осуществление работ вахтовым способом);
другие виды затрат.
Финансовый результат (прибыль или убыток) деятельности строительной организации слагается из финансового результата от сдачи заказчику объектов, работ и услуг, предусмотренных договорами, реализации на сторону основных средств, иного имущества организации, продукции и услуг подсобных и вспомогательных производств, находящихся на балансе строительной организации, а также доходов от внереализационных операций, уменьшенных на сумму расходов по ним.
Балансовая прибыль может быть рассчитана по формуле:
Пб = Прп + Фри + Дв - Рв
где Пб - прибыль (убыток) балансовая;
Фри - финансовый результат от реализации основных средств и иного имущества;
Дв - доходы по внереализационным операциям;
Рв - расходы по внереализационным операциям.
Прибыль (убыток) от сдачи заказчику строительных объектов, других работ, предусмотренных договором определяется как разница между выручкой от их реализации по ценам установленным в договоре, без налога на добавленную стоимость и других вычетов, предусмотренных законодательством, и затратами на их производство и сдачу.
Учет вышеотмеченных особенностей функционирования финансов строительной сферы, знание особенностей и этапов организации строительных работ, методов их осуществления позволяют в наибольшей степени максимизировать положительный финансовый результат от осуществления данного вида деятельности.

2. Финансы предприятий сельского хозяйства

Специфика функционирования этой отрасли предполагает выделение следующих особенностей влияющих на организацию финансовых отношений:



Переменные - сырье, материалы, сдельная заработная плата.


В эту группу входят вое выплаты которые формируют фонд оплаты труда, кроме того сюда относят материальную помощь, премии из целевых средств, оплату дополнительных отпусков, единовременные пособия и надбавки к пенсиям, компенсационные и другие выплаты из чистой прибыли. Затраты на оплату труда, в отличии от материальных затрат, включается при их фактическом начислении, независимо от того произвело ли предприятие реальные выплаты. Отнесение отчислений на социальные нужды на себестоимость продукции производится при начислении средств на оплату труда, независимо от фактических выплат.
Амортизация включается в состав себестоимости по установленным нормам к балансовой стоимости основных фондов. Все фонды группируются по срокам эксплуатации, а нормы применяются к стоимости каждой группы. Так как амортизационные отчисления включаются в себестоимость, то это отражается на сумме подлежащих уплате налогов - при прочих равных условиях чем больше размер отчислений, тем меньше налог на прибыль и на имущество.
Прочие затраты - обширная группа с различными по содержанию и способам отнесения на себестоимость затратами: командировочные, представительские расходы, на рекламу, погашение по кредитам. В пределах установленных норм их относят на себестоимость, а сверхнормативные расходы погашаются за счет чистой прибыли. В эту группу также входят отдельные налоги, административные расходы, затраты по созданию ремонтных фондов, амортизационные отчисления по нематериальным активам.
Для каждого элемента предусмотрены свои правила описания.
Затраты относимые на непроизводственные счета включают стоимость работ по капитальному строительству, капитальному ремонту, которые выполнялись для своего предприятия, транспортные услуги оказываемые сторонним организациям и непромышленны хозяйствам предприятия, стоимость научно-исследовательских работ выполняемых для сторонних организаций.
Отдельная группа затрат связана с подготовкой следующего периода производства: остатки незавершенного производства, резерв предстоящих расходов и платежей, расходы будущих периодов.
Затраты на производство за минусом затрат списанных на непроизводственные счета, расходов будущих периодов, остатков незавершенного производства формируют производственную себестоимость товарной (выпущенной) продукции.
Очевидно, что затраты классифицированные по учетному признаку влияют на формирование прибыли от реализации и налогооблагаемой прибыли.
1.2. по способу отнесения затрат на единицу выпускаемой продукции различают постоянные (не зависящие от объема выпускаемой продукции) и переменные расходы. Постоянные это административно-управленческие расходы, повременная зарплата, амортизация, хозяйственные расходы, арендная плата. Переменные - сырье, материалы, сдельная заработная плата.
Подобная классификация также используется при планировании себестоимости продукции.
1.3. по степени однородности различают элементные и комплексные затраты. Подобное разделение необходимо при планировании себестоимости новых видов продукции.

2. Планирование затрат на реализуемую продукцию

Для достижения оптимальных финансовых результатов деятельности хозяйствующего субъекта важным является, помимо абсолютного значения, и структура затрат. Именно поэтому планированию затрат на предприятии уделяется особое внимание. Планирование осуществляется с помощью уже знакомой нам сметы затрат на производство и реализацию продукции. Совокупность материальных затрат, затрат на оплату труда, отчислений социального характера, амортизации и прочих затрат формируют общий объем затрат на производство продукции.
Для определения производственной себестоимости из затрат на производство исключаются затраты относимые на непроизводственные счета. Далее учитываются изменения остатков расходов будущих периодов и незавершенного производства: их прирост уменьшает себестоимость товарной продукции, а уменьшение - увеличивает. Полученная производственная себестоимость увеличивается на внепроизводственные расходы: т.е. расходы связанные со сбытом продукции.
Полная себестоимость продукции подлежащей выпуску отличается от себестоимости реализуемой продукции, на базе которой рассчитывается прибыль:
РП=01+ТП-02
где РП- объем реализуемой продукции в натуральном выражении;
01- остатки нереализованной продукции на начало планируемого периода;
02- на конец планируемого периода;
ТП- товарная продукция, планируемая к выпуску в предстоящем году.
Зрп=З1+Зтп+32
где Зрп - затраты на реализуемую продукцию по полной плановой себестоимости на предстоящий период;
З1 - факт. производственная себестоимость остатков готовой продукции не реализованных на начало планируемого периода;
З2 - плановая производственная себестоимость остатков готовой продукции, которые не будут реализованы на конец планируемого периода;
Зтп - плановая полная себестоимость товарной продукции планируемой к выпуску в предстоящем периоде, определяемая в смете.
Известны два метода определения расходов и доходов:
1) Метод начислений.

  • Расходы признаются в том отчетном (налоговом) периоде в котором они имели место, независимо от фактической выплаты денежных средств или иной формы оплаты.
  • Доходы признаются в том отчетном периоде, в котором они имели место, независимо от фактического поступления денежных средств, иного имущества (работ, услуг).
2) Кассовый метод.

  • Расходами признаются затраты после их фактической оплаты.
  • Датой получения дохода признается день поступления средств на счета банка или в кассу предприятия.
Если выручка планируется по поступлению денег на расчетный счет (в кассу), остатки нереализованной продукции на начало периода включают: готовую продукцию на складе; товары отгруженные, срок оплаты которых не наступил; товары отгруженные, но не оплаченные в срок; товары на ответственном хранении у покупателей. При определении полной себестоимости реализуемой продукции эти остатки принимаются в расчет по фактической себестоимости отчетного периода. В составе остатков продукции на конец планового периода рассчитываются, как правило, только первые два вышеназванных элемента, т.к. другие обусловлены нарушением договорной дисциплины и поэтому их планирование недостоверно.
При определении остатков нереализованной продукции на конец планового периода исходят из однодневного выпуска продукции по производственной себестоимости и нормы запаса в днях. Например,
32=(3тп:дн)* Н,
где З2 - производственная себестоимость остатков готовой продукции, которые не будут реализованы на конец планируемого периода;
Зтп - производственная себестоимость товарной продукции в предыдущем периоде;
дн - кол-во дней предыдущего периода;
Н - норма запаса в днях.
Норма запаса может быть определена ориентировочно. Например, по готовой продукции на складе учитывается количество дней, в течении которых продукция находится не складе, а именно: подборка готовой продукции + комплектация партии + упаковка продукции + накопление продукции до необходимой партии + выписка расчетных документов. По товарам отгруженным, срок оплаты которых не наступил, норма соответствует сроку документооборота, т.е. времени движения документа.
Если выручка планируется по отгрузке продукции, то затраты определяются только с учетом остатков готовой продукции на складе.
Не менее важное значение помимо планирования выручки имеет работа по формированию производственных запасов. Имея большие запасы предприятие получает широкие возможности для поиска поставщиков, получения скидок, свободу в составлении производственного плана, выполнения больших заказов. Чрезмерные же запасы приводят к омертвлению капитала, к повышению затрат на хранение, риску устаревания.
Поэтому важно определить объем запасов, при котором полученная экономия и выгода превышают дополнительные затраты и ущерб от их содержания. В развитых странах для этих целей используется формула Уилсона:
Зо= v2РС:В,
где З- оптимальный размер заказа;
Р- расход запасов;
С- стоимость выполнения заказа;
В- время расхода заказа.
Например, расход запаса 2000ед. за 100дн. Стоимость 100 руб. Оптимальный размер заказа составит: v2*2000*100:100 = 200ед.
В нашем примере для своевременного восполнения запаса предприятие должно делать заказ каждые 10 дней (2000:200).
Предприятие, чтобы обеспечить запланированный объем выпуска должно предусмотреть также и дополнительные расходы по созданию страховых запасов, определить их объем и структуру.

3. Понятие выручки от реализации продукции, ее формирование и использование

Выручкой от реализации продукции (работ, услуг) называются денежные средства, поступившие на расчетный счет предприятия за реализованную покупателю продукцию. Выручка является основным регулярным источником для предприятия по удельному весу среди всех возможных поступлений средств. Именно реализацией продукции и поступлением выручки заканчивается процесс кругооборота средств предприятия, что означает восстановление затраченных на производство финансовых ресурсов и создание условий для возобновления кругооборота средств.
Выручка поступающая на расчетный счет предприятия, сразу же используется (см.



Показатель чистой финансовой производительности управленческого труда



Показывает степень реализации воспроизводства ресурсов в инвестициях. При значении менее единицы ресурсы недоиспользуются по сравнению с имеющимися возможностями, а при значении более единицы – их использование эффективно.

6.
Степень возможного воспроизводства ресурсов в производственной сфере

=
Фактическая рентабельность производственной деятельности

Среднеотраслевая рентабельность

Показывает степень реализации воспроизводства ресурсов в производственной сфере предприятия. При значении менее единицы производственная сфера предприятия не обеспечивает среднеотраслевые темпы воспроизводства финансовых ресурсов. В сравнении с предыдущим показателем определяется направление наиболее эффективного применения ресурсов и возможные вмененные издержки.

7.
Показатель чистой финансовой производительности управленческого труда
=
Прибыль

Численность финансовых менеджеров

Показывает долю одного управляющего в общей величине прибыли. Положительным следует считать рост данного показателя. Может служить критерием оптимизации численности управленческого персонала.

8.
Капиталоемкость
финансовых ресурсов
=
Затраты финансовых ресурсов

Полученные финансовые средства

Показывает долю затрат в единице полученных средств. Низкое значение показателя характеризует относительную дешевизну дополнительно привлеченных в оборот предприятия средств. Может выступать критерием установления наиболее выгодных источников финансирования.
Значение показателя более единицы свидетельствует об оттоке ресурсов из системы.

9.
Капиталоемкость
продукции

=
Затраченные финансовые ресурсы

Выручка от реализации продукции

Характеризует удельный вес затраченных на производство продукции финансовых ресурсов. Приемлемым следует считать минимально возможное значение этого показателя. Значение более единицы свидетельствует об убыточности данного направления финансирования.

10.
Предельная производительность финансовых ресурсов
=
Добавочная прибыль

Добавочная величина затрачиваемых ресурсов

Характеризует целесообразность увеличения объемов инвестирования ресурсов. Критерием служит максимально возможное значение показателя, свидетельствующее о наибольшем приросте прибыли на дополнительно затраченную единицу средств.

11.
Показатель оборачиваемости собственных ресурсов
=
Выручка от реализации

Собственные ресурсы

Показывает, сколько раз затраченные собственные ресурсы предприятия могут быть возмещены за счет выручки. Рост показателя свидетельствует о повышении интенсивности производственной деятельности. Значение менее единицы показывает, что собственные ресурсы не могут быть возмещены за 1 оборот.

12.
Показатель оборачиваемости всех ресурсов
предприятия
=
Выручка от реализации

Общая величина ресурсов

Показывает, сколько денежных единиц реализованной продукции принесла предприятию каждая используемая в его обороте единица ресурсов и сколько раз затраченные ресурсы могут быть возмещены за счет выручки от реализации продукции. Положительным следует считать рост значения данного показателя.

13.
Оборачиваемость основных средств
=
Выручка от реализации
Ресурсы, вложенные в основные производственные фонды и внеоборотные активы

Характеризует эффективность использования основных фондов и внеоборотных активов предприятия. Чем выше значение показателя (т.е. фондоотдача), тем эффективнее используются средства, вложенные в основные производственные фонды. Показатель, равный единице (и выше) свидетельствует о полной окупаемости фондом за отчетный период.
Таким образом, показатели данной группы характеризуют функционирование системы финансовых ресурсов и ее взаимоотношения с внешней средой. Высокие показатели оборачиваемости, отсутствие просроченной задолженности контрагентам, предоставленные взаймы средства и финансовые вложения обнаруживают интенсивность функционирования системы, ее жизнеспособность, возможный потенциал развития, расширения и интеграции в другие системы финансовых ресурсов. Здесь необходимо напомнить, что влияние внешней среды на деятельность предприятия весьма значительно, так, например, если себестоимость продукции предопределяется внутренними составляющими системы, то цена обусловленная внешней средой неподконтрольна предприятию.
Или при несоблюдении системой требований ликвидности возможно признание ее неплатежеспособной. В этой связи, избирательность в использовании ресурсов приобретает особую значимость, ибо во многом предопределяет эффективность функционирования всей системы ресурсов предприятия.
Именно показатели третьей группы отражают эффективность функционирования системы финансовых ресурсов. Данные показатели являются результирующими при оценке состояния и динамики развития системы. Сюда относятся как абсолютные показатели полученной прибыли по различным направлениям деятельности, так и относительные показатели рентабельности.
Под эффективностью (или рентабельностью в сфере производства), в общем случае понимается сопоставление полученного результата с затратами на его достижение. Именно с позиции эффективности оценивается принимаемое финансовым менеджером решение об инвестиции ресурсов, и именно эффективность характеризует успешность производственной деятельности предприятия и, если угодно, степень адаптации финансовых ресурсов к требованиям внешней среды.
К показателям этой группы относятся

1.
Рентабельность всех ресурсов
=
Прибыль
Общая величина ресурсов

Показывает эффективность использования всех имеющихся в распоряжении предприятия ресурсов. Например, его значение равное 0,15 означает, что на каждый имеющийся в распоряжении рубль получено 15 коп. прибыли.

2.
Рентабельность
собственных ресурсов
=
Прибыль
Величина собственных ресурсов

Показывает величину прибыли на 1 руб. собственных ресурсов. Необходимо стремиться к тому, чтобы любое привлечение ресурсов извне сопровождалось ростом рентабельности собственных ресурсов.

3.
Рентабельность
производственной деятельности
=
Прибыль от реализации продукции
Ресурсы, затраченные на производство продукции

Данный показатель отражает эффективность производственной деятельности предприятия и показывает величину прибыли, приходящуюся на рубль затрат. Его сравнение со среднеотраслевым значением характеризует положение предприятия в отрасли. Желательно, чтобы данный показатель, по крайней мере, обеспечивал не только среднюю норму процента, но и позволял развиваться предприятию.

4.
Период окупаемости собственных ресурсов
=
Собственные ресурсы
Прибыль

Позволяет судить о количестве периодов, за которые предприятие не меняя производственно-хозяйственной политики, сможет окупить за счет прибыли собственные ресурсы. Чем ниже значение показателя, тем эффективнее работа предприятия.

5.
Рентабельность ресурсов, вложенных в оборотные фонды
=
Прибыль
Оборотные средства

Показывает величину прибыли, заработанную рублем оборотных фондов. Изменения показателя в динамике характеризуют изменения в эффективности использования оборотных фондов предприятия.

6.
Рентабельность инвестиционной деятельности


=
Прибыль по инвестиционным вложениям
Величина инвестиционных вложений

Показывает, на сколько эффективно предприятие ведет инвестиционную деятельность и реализует инвестиционную функцию финансовых ресурсов.

7.
Показатель чистой прибыли на рубль объема реализации

=
Прибыль после уплаты налога
Выручка от реализации

Показывает, сколько копеек чистой прибыли приносит 1 рубль выручки от реализации. Характеризует итоговую эффективность всей производственной деятельности предприятия с учетом правильности выбранной хозяйственной политики.
Безусловно, с возрастанием сложности системы возрастают требования не только к методам управления (ибо уже необходимы качественно иные решения, т.к. малейший просчет грозит обернуться существенными убытками), но и к методам контроля за ее состоянием и речь идет уже о наиболее информативных и представительных показателях, дающих исчерпывающую информацию о состоянии важнейших структурных составляющих системы. Но в любом случае итоговым показателем функционирования системы финансовых ресурсов служит показатель чистой рентабельности собственных средств.
Ранее указывалось, что внутренняя среда системы во многом предопределяет себестоимость, а внешняя – цену (показатель, учитывающий влияние многочисленных факторов и тенденций внешней среды и который практически не может быть изменен одним предприятием). Если соотнести цену товара (предопределенную внешней средой) и его себестоимость (предопределенную средой внутренней), то можно рассчитать окупаемость себестоимости или, более точнее, оборачиваемость затрат. То, на сколько быстро внешняя среда оборачивает затраты системы, показывает степень их нужности для нее, а, значит, и успешность адаптации системы финансовых ресурсов предприятия к внешней среде.
Эффективность функционирования системы определяет и тип ее финансового роста (см. 1.3.).



Показатели, характеризующие состояние системы финансовых ресурсов


финансовых ресурсов

Денежное выражение получаемой и распределяемой предприятием в процессе финансовых отношений стоимости позволяет реализовать контрольную функцию финансов. Рассчитываемые аналитические показатели выступают инструментом финансового анализа, проводимого с целью определения финансового положения хозяйствующего субъекта. … Под финансовым положением на фиксированный момент понимается наличие экономических ресурсов, принадлежащих предприятию, с одной стороны, и противопоставленный этим экономическим ресурсам – весь капитал. При этом экономические ресурсы рассматриваются как активы, а весь капитал - как пассивы. [2, с.7] Таким образом, взаимосвязь системы финансовых ресурсов с производственно-хозяйственной деятельностью позволяет оценить эффективность осуществления последней.
В качестве аналитических используются как показатели в аIсолютном выражении, так и рассчитываемые на их основе – относительные (отношение абсолютных величин). При умножении относительного показателя на 100, мы получим его процентное выражение, что более наглядно характеризует расчетную величину. Кроме того, использование относительных показателей позволяет минимизировать влияние инфляции на результаты расчета.
Отметим также, что показатели позволяют оценить произошедшие в системе финансовых ресурсов изменения, установить ее состояние, положение по отношению к внешней среде, а используемые при этом критерии – предупредить нежелательные изменения или даже разрушение системы.
Показатели, характеризующие состояние системы финансовых ресурсов, целесообразно подразделить на три группы: 1) структурные показатели системы; 2) показатели функционирования и внешних взаимосвязей системы; 3) показатели эффективности функционирования системы.
Итак, первая группа – структурные показатели системы характеризуют ее внутреннюю среду и структуру. Мощь системы, объем аккумулируемой стоимости характеризует величина баланса. Структурная характеристика используемых ресурсов может быть представлена элементами любой из рассмотренных ранее (п.
2.1.) классификаций. Это прежде всего абсолютные показатели того или иного вида ресурсов или их удельные веса в валюте баланса. Возможность системы при необходимости немедленно удовлетворить требования внешней среды характеризуют показатели ликвидности средств, а обоснованность и рациональность размещения ресурсов в производственной сфере во многом предопределяют и устойчивость ее функционирования.
Могут быть рассчитаны следующие относительные показатели:

1.
Концентрация
собственных
ресурсов
=
Собственные ресурсы

Всего ресурсов

Характеризует долю собственных ресурсов в их общей величине. Нормальное значение показателя 0,5. Высокое значение свидетельствует об автономности и независимости системы.

2.
Соотношение заемных и собственных
ресурсов
=
Заемные ресурсы

Собственные ресурсы

Показывает устойчивость системы и потенциальные возможности по привлечению в свой оборот заемных ресурсов из вне. Нормальное значение < 1. При равенстве показателя 0 – система ресурсов представлена только собственными средствами. Чем выше значение, тем рискованнее ситуация, т.к. система теряет независимость.

3.
Показатель
структуры заемных ресурсов
=
Заемные ресурсы долгосрочного назначения

Общая величина
заемных ресурсов

Показывает долю долгосрочных заемных средств в их общей величине и может свидетельствовать о желании администрации обновить основные фонды предприятия. Его высокое значение показывает долгосрочную зависимость, а, значит, потенциально возможную неустойчивость и отток ресурсов из системы.

4.
Показатель
денежной составляющей в ресурсах
=
Денежные средства

Общая величина
ресурсов

Характеризует долю ресурсов в денежной форме и показывает возможность немедленной реализации инвестиционной функции и интеграции в другую систему.

5.
Показатель
абсолютной
ликвидности
=
Краткосрочные финансовые вложения и денежные средства

Кредиторская задолженность

Является наиболее жестким показателем ликвидности и характеризует величину немедленно возможного покрытия требований кредиторов. Ориентировочное значение нормы – 0,3. Учитывается поставщиками сырья.

6.
Показатель
срочной
ликвидности

=
Дебиторская задолженность (с погашением в течение года), краткосрочные финансовые вложения, денежные средства

Кредиторская задолженность

Выражает прогнозируемые платежные возможности при условии своевременных расчетов с дебиторами. Допустимое значение 0,7 – 1. Учитывается банками при оценке кредитоспособности предприятия.

7.
Общий
показатель
ликвидности
=
К1А1 + К2А2 + К3А3

К1П1 + К2П2 + К3П3

где К1, К2 , К3 - принятые весовые коэффициенты (например, 1; 0,5; 0,3);
Аi Пi - соответствующие группы активов и пассивов.
Показывает отношение суммы всех ликвидных средств предприятия к сумме всех обязательств с учетом значимости при расчетах тех или иных групп активов и пассивов. Выражает способность предприятия осуществлять расчеты как по ближайшим, так и по отдаленным обязательствам.


8.
Показатель
обеспеченности
запасов собственными
оборотными средствами
=
Собственные
оборотные средства

Запасы

Является важнейшим показателем финансовой устойчивости и показывает долю запасов, финансируемых за счет собственных ресурсов. Значение, равное 1, характеризует полную независимость текущей производственной деятельно ти предприятия от внешних источников ресурсов.
Итак, различные виды привлекаемых предприятием ресурсов, их применение и использование в производственно-хозяйственной деятельности определяют устойчивость функционирования системы финансовых ресурсов предприятия и ее соответствие требованиям внешней среды, которое может быть предварительно установлено с помощью показателей ликвидности. Таким образом, показатели ликвидности носят индикативный характер. Учитывая, что требования ликвидности – одно из важнейших требований внешней среды, целесообразно было бы специализировать на этом управленческую деятельность. В этом случае менеджер (служба) по управлению ликвидностью, контролируя активно-пассивные операции предприятия следил бы за устойчивостью функционирования всей системы.
Практика управления ликвидностью широко используется в специализированном финансово-кредитном институте – банке.
Необходимо также напомнить, что структура используемых предприятием финансовых ресурсов предопределяет стоимость их единицы, будущую себестоимость продукции, а в конечном итоге и себестоимость единицы циркулирующих в системе ресурсов.
Вторая группа – показатели функционирования и внешних взаимосвязей системы. Показатели этой группы характеризуют интенсивность функционирования системы, степень реализации функций финансовых ресурсов и взаимосвязи с внешней средой. Здесь могут быть рассчитаны абсолютные показатели дебиторской и кредиторской задолженности контрагентам, задолженности по полученным или выданным кредитам, а также в бюджет и внебюджетные фонды. Данные величины могут характеризоваться и по отношению ко всем ресурсам предприятия.
Здесь также представлены показатели, характеризующие производственную или инвестиционную сферу функционирования ресурсов, их оборачиваемость. Вот некоторые из показателей.

1.
Доля дебиторской задолженности в ресурсах предприятия
=
Дебиторская задолженность

Всего ресурсов

Показывает величину ресурсов, связанных в дебиторской задолженности. Рост данного показателя характеризует непроизводительное отвлечение ресурсов во внешнюю среду.

2.
Оборачиваемость дебиторской задолженности
=
Выручка от реализации

Дебиторская задолженность

Показывает, сколько раз дебиторская задолженность превращалась в выручку от реализации. Рост значения показателя характеризует увеличение интенсивности производственной деятельности. Этот показатель полезно сравнить с показателем оборачиваемости кредиторской задолженности, что позволяет сопоставить условия коммерческого кредитования, которым пользуется предприятие у других хозяйствующих субъектов, с теми, которое предоставляет само.

3.
Оборачиваемость
заемных ресурсов
=
Выручка от реализации

Заемные ресурсы

Показывает, сколько раз заемные ресурсы могут быть возмещены выручкой от реализации продукции. Рост значения показателя положительно характеризует работу предприятия, ибо свидетельствует об интенсивности воспроизводства ресурсов.

4.
Показатель реализации инвестиционной функции ресурсов


=
Краткосрочные и долгосрочные финансовые вложения с целью извлечения прибыли

Общая величина ресурсов

Характеризует долю ресурсов, обслуживающих инвестиционную сферу предприятия. Рост данного показателя при неизменности финансовой мощи может косвенно указывать на снижение рентабельности производства или желание администрации диверсифицировать использование ресурсов. При росте же финансовой мощи системы характеризует ее интеграцию с другими элементами финансовой системы и перспективные возможности ее расширенного воспроизводства.

5.
Степень возможного воспроизводства ресурсов в инвестиционной сфере
=
Рентабельность финансовых вложений

Возможная рыночная доходность по вложениям


Последовательность фаз управленческого цикла.


Или допустим возросший поток информации может потребовать применения более современной вычислительной техники, структурной перестройки, адекватной информационным потокам, и изменения состава кадров и технологии управления. В любом случае надежность и эффективность управляющей системы обусловлена качеством входящих в нее структурных составляющих и может быть существенно ограничена при использовании в своем составе неотвечающего предъявляемым критериям элемента. Критерием экономической эффективности системы служит ее рентабельность и здесь тревожным сигналом может быть опережающий рост издержек по сравнению с ростом прибыли предприятия. В современной финансовой литературе для характеристики специфики деятельности финансовых служб предприятия используются самые различные функции присущие данной подсистеме. Однако в большинстве случаев все эти подходы лишены методологических принципов выделения функций управления.
Цикл управления состоит из последовательности фаз (процедур): нормирование, планирование, учет, анализ, регулирование.
Первой фазой управленческого цикла (замкнутая последовательность фаз) является нормирование. Очевидно, прежде чем управлять объектом – финансовыми ресурсами, необходимо знать его количественные характеристики, свойства и особенности функционирования. Это дает возможность научно обоснованного установления норм расхода финансовых ресурсов, приемлемой нормы дохода и времени функционирования. Именно нормирование, как основа экономически оправданного распределения имеющейся в распоряжении субъекта хозяйствования стоимости предшествует процессу производства.
Процесс нормирования должен учитывать особенности функционирования и предполагаемые изменения в производственной системе. Таким образом, нормирование, с одной стороны, опирается на реально достигнутые показатели, а с другой – учитывает изменения в развитии системы. Нельзя составить реалистичные планы не обладая нормативной базой.
Планирование – вторая фаза управленческого цикла, предполагающая разработку финансовых планов: перспективных (от года до 3-х лет), текущих (на один год), оперативных (на месяц, квартал). В этой фазе происходит процесс преобразования имеющейся информации и составляется программа состояния и развития ресурсов на предстоящий период. Финансовый план учитывает особенности предполагаемой производственно-хозяйственной деятельности предприятия и обеспечивает синхронизацию движения финансовых ресурсов в рамках намеченной производственной программы.
Планирование, посредством выбора объектов финансирования, оказывает воздействие на все стороны производственно-хозяйственной деятельности предприятия и способствует рациональному использованию всех видов его ресурсов.
Учет – фаза управленческого цикла по фиксации (регистрации) состояний и этапов движения финансовых ресурсов в процессе осуществления производственно-хозяйственной деятельности. Данные учета фиксируются в оперативной, бухгалтерской и статистической отчетности и характеризуют достигнутое системой финансовых ресурсов состояние, стоимостную оценку осуществленных хозяйственных операций и их результаты. Данные учета, наряду со справочными и нормативными данными, служат основанием для определения состояния системы финансовых ресурсов относительно запланированной программы движения к намеченной цели.
Анализ – следующая за учетом фаза управленческого цикла, использующая в качестве исходной, информацию учета. Целью этого этапа является выявление отклонений, которые могли возникнуть в процессе осуществления запланированных мероприятий. Финансовый анализ осуществляется посредством использования методов сравнения, группировок, цепных подстановок, коэффициентного.
Конкретное направление и особенности анализа зависят от специфики управленческой деятельности менеджера. Необходимые для анализа данные могут быть представлены фактическими, плановыми и нормативными показателями. В процессе анализа выявляются и измеряются произошедшие в системе отклонения и места их возникновения.
Регулирование – заключительная фаза управленческого цикла, на которой принимаются и осуществляются меры по устранению выявленных в ходе анализа отклонений. При этом важен тщательный учет всевозможных факторов и возможных последствий принятых решений. Место возникновения определяет область корректировки и реализации решения.
Незначительные отклонения могут быть устранены исполнителями, а о более значительных информация подается на высшие уровни управления. … определяя место и ранжируя величины отклонений, можно построить систему подачи информации определенным управленческим работникам [42, с. 87].
Это была последовательность фаз управленческого цикла. Вместе с тем, каждый из элементов финансовых ресурсов может быть рассмотрен с точки зрения воспроизводственного процесса. Воспроизводственный процесс есть не что иное как перманентное приращение, добавление стоимости к имеющимся ресурсам.
Особенности функционирования финансовых ресурсов и особенности управленческой работы предполагают условное разделение воспроизводственного процесса на две стадии: 1) формирование и 2) использование финансовых ресурсов. Задача финансового управляющего добиться приращения стоимости на каждой.
Формирование и использование финансовых ресурсов – два взаимосвязанных процесса, характеризующие и раскрывающие сущность движения финансовых ресурсов. Под формированием понимается процесс образования и мобилизации финансовых ресурсов на предприятии. Здесь определяются источники средств, формы поступления ресурсов и пропорции их объединения.
Формирование обуславливает и предопределяет особенности дальнейшего движения ресурсов в форме использования.
Использование ресурсов - это процесс их употребления с целью осуществления деятельности предприятия. Здесь предполагается расход, трата, временная децентрализация сформированных ранее ресурсов. Использование связано с реализацией задуманных планов и характеризует движение к иному качественному уровню системы.
Процессы формирования и использования взаимоопределяют и взаимодополняют друг друга и каждый из них оказывает влияние на состояние системы.
Таким образом, пересечение фаз управленческого цикла со стадиями контура (замкнутая последовательность выделенных стадий воспроизводственного процесса элементов) воспроизводственного процесса элементов образует абстрактные функции управления финансовыми ресурсами. Подобный подход позволяет рассматривать данные функции как постоянные в отношении исполнителей – т.е. воспроизводственный процесс финансовых ресурсов практически не зависит от исполнителя, т.к. управленческие функции при этом остаются неизменными. Например, в отношении всей совокупности финансовых ресурсов функции управления можно представить следующей схемой ( рис.2.6.).
Отметим, что ранее рассмотренные варианты классификации элементов позволяют рассматривать данные неизменные функции управления в отношении любого интересующего элемента классификации. Например, речь может идти об управлении собственными, заемными и привлеченными ресурсами, или элементах, выделенных по степени ресурсности и т.д.
Формирование функции управления финансовыми ресурсами








Рис. 2.6.
Понятно, что такой подход позволяет в полной мере рассмотреть управленческую деятельность (управляющую подсистему) применительно к особенностям воспроизводственного процесса элементов объекта управления (управляемой подсистеме) и тем самым реализовать системный принцип рассмотрения. Для установления и разграничения всевозможных функций управления целесообразно воспользоваться матричной формой представления (рис. 2.7.).
Матричная форма расположения функции управления
на примере абстрактного элемента системы финансовых ресурсов


Стадии воспроизводствен
ного процесса элемента

1.формирование

Ф1.1
Ф1.2
Ф1.3
Ф1.4
Ф1.5

2.использование

Ф2.1
Ф2.2
Ф2.3
Ф2.4
Ф2.5
Нормирование планирование учет анализ регулирование
Фазы управленческого цикла

Рис. 2.7.
Подобная форма представления позволяет выделить всевозможные комбинации функции:
1) частные специализированные функции – выделяются по стадиям воспроизводственного процесса элемента в пределах цикла управления (Ф1.1, Ф1.2, Ф1.3, Ф1.4, Ф1.5);
2) основные специализированные функции – выделяются по содержательной стороне одноименной фазы управленческого цикла в пределах стадий воспроизводственного процесса элемента (контура) (Ф1.1, Ф2.1);
3) общие специализированные функции выделяются для всех стадий воспроизводственного процесса элемента (контура) и полного цикла управления (Ф1.1, Ф1.2, Ф1.3, Ф1.4, Ф1.5, Ф2.1, Ф2.2, Ф2.3, Ф2.4, Ф2.5;
Так, например, для элемента Заемные ресурсы, выделенного по критерию права собственности, функции управления будут представлены следующим образом:
1) частная специализированная функция будет представлена управлением формированием заемных ресурсов;
2) основная специализированная функция может быть названа как нормирование заемных средств;
3) общая специализированная функция – Управление заемными средствами.
Интегрированные основные функции по системе ресурсов в целом будут представлять собой сопряжение одноименных основных функций управления по всем контурам – нормирование собственных ресурсов, нормирование заемных ресурсов, нормирование привлеченных ресурсов.



Предприятие может выступать кредитором домашних хозяйств.


По существующему в России законодательству каждое предприятие обязано хранить свои денежные средства на банковских счетах. Этим обеспечивается сохранность денежных средств и возможность осуществления безналичных и налично-денежных операций. Предприятию могут быть открыты следующие счета: расчетный, текущий, бюджетный, депозитный, валютный.
Банки могут взимать с предприятий плату за оформление счетов, проведение расчетных и кассовых операций с целью возмещения расходов по их проведению. Обычно предприятия оплачивают получение наличных денег, выплаты с аккредитива, выдачи дубликатов и копий справок и документов. В отдельных случаях клиента банка могут обязать стать акционером, пайщиком или предложить разместить свои свободные денежные средства на депозитных счетах.
С другой стороны банк за хранение у него денежных средств предприятия выплачивает в пользу последнего определенную плату, тем более, если речь идет о депозитном счете. Размер оплаты устанавливается по взаимному соглашению и фиксируется в договоре.
Наряду с наличными расчетами посредством банка (расчеты наличными деньгами, с помощью кредитных и дбетных карточек, денежных чеков) широко используются и безналичные расчеты. Наиболее известными формами безналичных расчетов являются: платежное поручение, платежное требование-поручение, аккредитив (покрытый или непокрытый, отзывной или безотзывной, револьверный, документарный или денежный, подтвержденный или неподтвержденный, переводной или непереводной), расчетный чек, вексель (простой или переводной). Большинство расчетов предприятий производится в безналичной форме с использованием счетов открытых в банках.
За осуществление таких расчетов банком взимается определенная плата.
Банки могут и продавать ценные бумаги - собственные или других участников фондового рынка. При покупке ценных бумаг эмитируемых банком предприятие выступает его кредитором. При покупке ценных бумаг других эмитентов (государства, предприятий, страховых компаний и др.) распространяемых банком предприятие оплачивает услуги по реализации увеличивая тем самым прибыль банка.
В любом случае банку выгодно иметь у себя в пользовании средства предприятий или оказывать услуги т.к. это позволяет увеличить время и величину прибыльно функционирующего капитала.
Предприятие может выступать кредитором домашних хозяйств. Предоставляя кредит покупателям своих товаров и услуг хозяйствующий субъект ускоряет тем самым реализацию продукции и вовлечение в свой оборот финансовых ресурсов. Кредит позволяет семье заемщика удовлетворить потребности до того, как будут накоплены денежные сбережения в необходимом количестве.
Гораздо разнообразнее кредиты выдаваемые предприятием своим работникам. Здесь могут быть кредиты на приобретение или строительство квартиры или дома, ссуды на образование и по индивидуальным условиям. Возможность кредитов может положительно рассматриваться потенциальными работниками при выборе места работы, для администрации же это один из способов уменьшения текучести кадров или удержания ценного специалиста (например путем долгосрочного кредитования строительства жилья или образования).
В любом случае для предприятия-кредитора предоставление ресурсов, в той или иной форме, означает дополнительный источник дохода на временно свободные финансовые ресурсы. Кредитные взаимоотношения достаточно многообразны и при рациональной их организации, безусловно, расширяют возможности как кредитора так и заемщика.
Предприятие как заемщик. Привлечение и использование заемных средств с позиции самого предприятия обусловлено необходимостью непрерывного финансирования производственного процесса, т.к. при функционировании может наблюдаться несоответствие между потребностью в финансовых ресурсах и их реальной величиной. Заемные средства могут привлекаться при недостатке оборотных средств, для финансиования инвестиционных проектов, при расширении масштабов производственной деятельности.
Важнейшими характеристиками займа являются: сумма, ставка процента, форма (денежная или товарная), срок на который занимаются средства.
Наиболее распространенными являются кредитные взаимоотношения предприятия с банковскими учреждениями. Это объясняется тем, что банки, являясь институтами, специализирующимися на кредитных операциях, занимают значительный сектор современного рыночного хозяйства. Предприятие может получить практически любой вид кредита в банке.
Возникающие при этом кредитные отношения регулируются заключаемым договором, в котором устанавливаются права и обязанности сторон, условия займа, ответственность за нарушение принятых обязательств.
В зависимости от срока на который берется кредит различают: краткосрочный (до года), среднесрочный (от года до трех лет), и долгосрочный кредит (от трех до пяти и более лет).
Краткосрочный кредит является одним из источников формирования оборотных фондов предприятия. Он позволяет восполнить дефицит недостающих финансовых средств в процессе текущей деятельности предприятия. Именно этот вид кредита наиболее часто используют предприятия, что во многом объясняется нестабильностью современной экономической ситуации.
Среди наиболее известных методов краткосрочного кредитования выделяют кредитование по остатку и по обороту, индивидуальное кредитование.
Но механизм краткосрочного банковского кредитования характеризуется не только методами и разновидностями применяемых ссудных счетов (простые и специальные), но и видами кредитов. Различают следующие виды кредитов: бланковый, онкольный, овердрафт, вексельный, под гарантию, под залог. Вне зависимости от формы краткосрочного кредита его назначение - покрыть недостающую потребность в оборотных средствах у предприятия, для бесперебойности его функционирования.
На срок более года предприятие может получить средне- или долгосрочный кредит, назначение которого, как правило, финансирование капитальных вложений. В этом случае кредит выступает источником заемных финансовых ресурсов направляемых на развитие. Для получения долгосрочного кредита предприятие представляет в банк бизнес-план кредитуемого мероприятия. Кредиты выдаются единовременно или поэтапно по мере выполнения строительно-монтажных работ, приобретения материальных ценностей.
Долгосрочное кредитование осуществляется под залог (например, недвижимости) или под гарантию.
Примером взаимокредитования банков и предприятий выступает договор предусматривающий кредитование предприятия на основе накопления им денежных средств на депозитном счете. В другом случае предприятие перечисляя заработную плату работников на счета в банке получает возможность удовлетворить свою потребность в заемных средствах по льготной процентной ставке.
Помимо разнообразных форм кредитов существуют также банковские услуги с элементами кредитования. К ним относятся: факторинг, траст, лизинг.
Предприятие может получить заемные средства и от государства в виде налогового инвестиционного кредита, бюджетного финансирования. Налоговый инвестиционный кредит - это денежные средства, оставленные предприятиям в связи с предоставлением им отсрочки платежей по налогу на прибыль и налогу на имущество, если прибыль в размере сниженного налога реинвестируется в производство, а средства от уменьшения налога на имущество направляются на погашение процентов по целевым кредитам коммерческих банков взятых для выкупа имущества в процессе приватизации. Возврат инвестиционного кредита осуществляется в соответствии со сроками и условиями, оговоренными в кредитном соглашении между налогоплательщиком и налоговой инспекцией.
Органы государственной власти и местного самоуправления могут предоставлять предприятиям налоговый кредит и в иных случаях. При этом налоговый кредит выдается в пределах сумм налоговых платежей зачисляемых в бюджеты этих органов власти. Местные органы власти могут предоставлять и иные налоговые льготы в пределах сумм зачисляемых в местные бюджеты.
Обязательным условием предоставления подобных налоговых льгот является, как правило, выполнение этими предприятиями важных заказов по социально-экономическому развитию территорий или оказание услуг населению данной территории.
Предприятие-заемщик может рассчитывать и на получение бюджетной ссуды, товарного кредита, льготного кредита. Все эти виды кредита предоставляются для реализации программ или проектов имеющих важное народно-хозяйственное либо социальное значение. Государственный заказ позволяет предприятию получить гарантированную оплату произведенной продукции и тем самым профинансировать малорентабельное производство, которое вряд ли могло быть прокредитовано каким-либо другим рыночным субъектом.
Платой за кредит здесь выступает государственная, социальная значимость продукции или услуги уже заложенная в цену государственного заказа.
Предприятия могут привлекать также средства домохозяйств. Наличие существенных денежных средств находящихся у населения в виде сбережений характеризует перспективность и большую потенциальную возможность данных кредитных отношений. Предприятия могут привлекать средства домохозяйств через реализацию собственных ценных бумаг (корпоративные ценные бумаги), что позволяет аккумулировать значительные финансовые ресурсы для реконструкции или расширения производства.



Процесс наращения инвестированной стоимости


Это положение связано с тем, что стоимость, не пущенная в оборот, обесценивается. Процесс, в котором известны инвестируемая сумма и процентная ставка, известен как наращение [13, с.158], а процесс, в котором известны возвращаемая сумма и темп ее снижения (дисконтная ставка) – дисконтирование.
Процесс наращения инвестированной стоимости описывается формулой
Fn = P (1 + r)n , (3.6)
где Fn – величина инвестированного капитала через n лет;
Р – инвестируемая стоимость;
r - ставка процента в десятичных дробях;*
n - количество лет (или оборотов капитала).
Множитель (1 + r)n показывает, чему будет равна денежная единица через n периодов при заданной процентной ставке r.
Формула, показывающая сегодняшнюю стоимость (Р) предполагаемого через n лет дохода (Fn ) будет иметь вид:
Р =
Процесс наращения инвестированной стоимости
, (3.7)
где Р – текущая (приведенная) стоимость, т.е. оценка Fn с позиции текущего момента;
Fn – доход планируемый к получению в n году;
к - коэффициент дисконтирования.
Например, инвестированная на 6 лет (при годовой ставке 12%) сумма в 20 руб. к концу периода составит: F6 = 20+(1+0,12)6 = 39,48 руб.
Если же планируемый через 6 лет доход по инвестиционному проекту составит 39,48 руб., то его текущая стоимость может быть оценена в 20 руб.

Процесс наращения инвестированной стоимости
= 20 руб.
Ситуация, когда поступления по годам варьируются, является более распространенной. В этом случае, суммарная величина потоков в конце периода может быть исчислена по формуле:
FV =
Процесс наращения инвестированной стоимости
, (3.8)
где FV – суммарная величина всех денежных потоков;
F1, …, Fn – денежные потоки по годам.
С позиции текущего момента, все элементы потока могут быть приведены к одному моменту и суммированы.

РV =
Процесс наращения инвестированной стоимости
, (3.9)
PV – суммарная величина всех приведенных денежных потоков.
Например, планируется три направления инвестиций при ставке 12%: первое – на 1 год в сумме 20 руб., второе на 2 года в сумме 30 руб., третье на 3 года в сумме на 50 руб. Совокупный денежный поток от всех инвестиций составит:
FV = 20(1+12%)1 + 30(1+12%)2 + 50(1+12%)3 = 130,28 руб.
Обратная ситуация. Доходы от инвестиционного проекта распределились следующим образом: в первый год – 22,40 руб.; во второй – 37,63 руб.; в третий – 70,25 руб. Тогда приведенный совокупный поток можно рассчитать
PV =
Процесс наращения инвестированной стоимости
+
Процесс наращения инвестированной стоимости
+
Процесс наращения инвестированной стоимости
= 20 + 30 + 50 = 100 руб.
В этом случае суммарная величина дохода от инвестиционного проекта (130,28 руб.) на сегодняшний момент может быть оценена в 100 рублей.
Если необходимо рассчитать абсолютный результат осуществленных инвестиций, то рассчитывают чистый приведенный доход [31, с.165], под которым понимается разность дисконтированных на один момент времени показателей дохода и капиталовложений, или, если доходы и вложения представлены в виде потока платежей, то в виде современной величины этого потока.
Например, оценим эффективность двух инвестиционных проектов (при ставке дисконтирования 12%), которые характеризуются следующими по годам потоками платежей.
Таблица 3.5.
Распределение потоков платежей по инвестиционным проектам


Годы
Проект
1
2
3
4
5
6
7
А (руб.)
-10
-15
5
15
20
20
-
Б (руб.)
-20
-5
5
10
10
20
20

Без учета времени эффект по проекту Б выше, чем по проекту А:
А – 35 руб. (5+15+20+20-10-15)
Б – 40 руб. (5+10+10+20+20-20-5).
Чистый приведенный доход составит:
А=
Процесс наращения инвестированной стоимости
+
Процесс наращения инвестированной стоимости
+
Процесс наращения инвестированной стоимости
+
Процесс наращения инвестированной стоимости
+
Процесс наращения инвестированной стоимости
+
Процесс наращения инвестированной стоимости
=13,68 руб.

Б =
Процесс наращения инвестированной стоимости
+
Процесс наращения инвестированной стоимости
+
Процесс наращения инвестированной стоимости
+
Процесс наращения инвестированной стоимости
+
Процесс наращения инвестированной стоимости
+
Процесс наращения инвестированной стоимости
+
Процесс наращения инвестированной стоимости
= 12,92 руб.,
т.е. с учетом дисконтирования более доходным окажется проект А.
Другой важный фактор, который необходимо учитывать при использовании финансовых ресурсов – обесценение денег или инфляцию. В таком случае, номинальный (т.е. применяемый в условиях инфляции) коэффициент дисконтирования* может быть рассчитан следующим образом:
p = r + i, (3.10)
где p – номинальный коэффициент дисконтирования;
r - обычный коэффициент дисконтирования;
i – индекс инфляции.
Таким образом, учет временного аспекта функционирования и инфляционного обесценения финансовых ресурсов позволяет не просто оценить эффективность их использования, но и рассчитать их чистую эффективность и ответить на вопрос о том, сколько стоит сегодня доход, полученный в будущем. Подобный подход позволяет связать воедино этап вложения сформированных ресурсов и этап получения дохода от их использования, будь то производственная сфера или финансовая сфера их функционирования.
Вместе с тем, вполне очевидна решающая роль менеджмента в этом процессе, который во многом определяется типом управляющего. И именно от того, какими ментальными особенностями наделен управляющий, во многом зависит организация финансовой работы на предприятии, финансовая политика, а, значит, и будущие проблемы. Очевидно, что предупредить многие проблемы поможет тестирование на предмет определения типа менеджера и его соответствия целям предприятия.
Следует помнить также, что процесс управления – это, прежде всего, процесс творческий и иногда важна не правильность ответа, а его адекватность сегодняшней ситуации [27, с. 66].


3. Бюджетирование как механизм рациональной
организации финансовых ресурсов

Система финансовых ресурсов хозяйствующего субъекта относится к управляемым и, как объект управленческого труда может быть охарактеризовано прежде всего как высокоорганизованная. Механизмом подобной рациональной организации системы финансовых ресурсов предприятия является бюджетирование – т.е. процесс составления и исполнения бюджетов финансовых ресурсов для достижения целей предприятия.
Следует отметить, что бюджетирование, как специальный метод финансового регулирования, является элементом организации финансовой работы в высокоразвитых экономических странах. Например, в США широкое распространение в практике крупнейших компаний получила система планирование – программирование – бюджетирование.
По существу, бюджетирование является механизмом реализации системного подхода (с присущими ему ранее рассмотренными принципами системности, см. п. 2.1.) в практике организации финансовых ресурсов компании. И здесь нет ничего удивительного, т.к. усложненность экономических связей (п. 2.3.) обуславливает и необходимость системного рассмотрения, что позволяет комплексно учитывать происходящие во внешней среде изменения, характер их влияния на систему ресурсов.
Кроме того, бюджетирование позволяет в полном объеме реализовать все фазы управленческого цикла и стадии воспроизводственного процесса финансовых ресурсов (см. п. 2.2.).
Необходимо отметить, что и система целей (план), и комплекс практических мер по их реализации (программа), и финансовые балансы, сметы, результаты (бюджет) были известны российской практике хозяйствования. Однако, в комплексе они использовались недостаточно, а отсутствие системности снижало их эффективность.
Выход на мировые стандарты в области финансовоKо управления предполагает и адекватную форму организации финансовых ресурсов предприятия, органично интегрированную с производственно-хозяйственной деятельностью и перспективами развития. В этой связи, бюджет – как инструмент менеджмента, который позволяет не только наглядно отобразить состояние системы финансовых ресурсов предприятия, но и спланировать их поступление и расходование, оценить эффективность использования, безусловно, имеет хорошие перспективы применения, т.к. позволяет руководству оптимально организовать движение финансовых ресурсов для достижения поставленных целей.
Вполне очевидно, что составление и исполнение бюджетов предприятия неразрывно связано с его производственной деятельностью, которая в рыночных условиях осуществляется в соответствии с бизнес-планом, заключительными разделами которого являются финансовый план и стратегия финансирования [41, с. 170; 31, с. 308]. Содержание финансового плана включает: прогноз объемов реализации, баланс денежных поступлений и расходов, таблицу доходов и затрат, баланс активов и пассивов, расчет достижения безубыточности. Содержание стратегии финансирования предполагает определение величины и источников получения ресурсов и обоснование возврата средств и получения доходов.
Максимальный временной горизонт в бизнес-планировании, как правило, устанавливается на уровне 5 лет. Изменение в экономической конъюнктуре, усложненность финансово-кредитных взаимоотношений не позволяют при более длительном интервале планирования обеспечить желаемую достоверность результатов. Кроме того, ранее отмечалось, что именно за такой период в экономически развитых странах происходят существенные технологические изменения и замена активной части основных фондов.
Безусловно, теоретически возможно спланировать деятельность предприятия и на более длительный срок, однако реальность таких планов будет небезупречна. Изменение периода планирования предполагает и различную степень детализации планов.
Итак, исходным моментом в финансовом планировании является выработка и постановка цели на перспективу. Коль скоро система финансовых ресурсов служит реализации производственных целей предприятия, то она предполагает стоимостное выражение происходящих изменений. Т.е. финансовые службы должны ответить на вопрос: как будет выглядеть система финансовых ресурсов предприятия через определенный промежуток времени, для достижения цели предприятия.



Расчет потребностей во внешнем финансировании.


Как указывалось ранее, процесс постановки цели есть целеполагание, которое затем и ориентирует систему финансовых ресурсов в нужном направлении. Постановка цели осуществляется с учетом прогнозов развития, как наиболее вероятных предстоящих направлений движения с учетом складывающихся тенденций. Прогнозирование же есть функция координационного контура управления (см. п.2.2.), который на основе информации об изменении объемов продаж делает прогноз о перспективах развития. Основные этапы прогнозирования потребностей финансирования [34, с. 353] включают:
1. Составление прогноза продаж;
2. Составление прогноза переменных затрат;
3. Составление прогноза инвестиций в основные и оборотные фонды для обеспечения необходимых темпов развития;
4. Расчет потребностей во внешнем финансировании.
Прогноз продаж может быть сделан на основе внутренней и (или) внешней информации [6, с. 189]. В первом случае торговые агенты, отдел заказов и маркетинга оценивают перспективы продаж и предоставляют эту информацию финансовому управляющему, который упорядочивает оценки по различным видам продукции, а затем объединяет их в общую оценку. Только такой подход может упустить из виду тенденции в конъюнктуре отрасли или даже всей экономике.
Внешний же анализ информации учитывает возможные макроэкономические изменения и внутриотраслевые колебания спроса на продукцию.
После составления основных прогнозов объемов продаж определяется рыночная ниша для каждого товара, отношение покупателей к нему и наиболее вероятная цена реализации. Окончательный прогноз, базирующийся на результатах внешнего анализа скорректированных по данным внутреннего анализа обычно более достоверен, чем каждый из них в отдельности. Прогноз продаж составляется в натуральных единицах для того, чтобы учитывать влияние возможного изменения цены на продукцию, или вариантов развития.
Предполагается, что переменные затраты, текущие активы и обязательства при изменении объема продаж изменяются в среднем на столько же, а изменение величины основных средств устанавливается исходя из имеющихся производственных мощностей (и степени их загрузки), их износа и предполагаемых объемов реализации. Таким образом, прогнозируется, сколько ресурсов не хватает, чтобы профинансировать необходимые активы.
Целевая установка в деятельности предприятия и необходимых для этого финансовых ресурсов предполагает и разработку соответствующей стратегии, обеспечивающей достижение поставленных целей. Следует отметить, что крупные изменения в финансово-кредитной системе государства влекут за собой и изменения в стратегии финансирования предприятия, а, следовательно, и в стратегии его развития. В стратегических программах реализуются, как правило, долгосрочные ориентиры развития и цели предприятия, а также действия по их обеспечению необходимыми финансовыми ресурсами.
На основе финансовой стратегии определяется финансовая политика предприятия [38, с. 238] по конкретным направлениям деятельности: налоговая, кредитная, дивидендная и т.д.
На основе спрогнозированых объемов продаж реализуется перспективное, текущее и оперативное финансовое планирование, конечным результатом которых и является составление и исполнение различных бюджетов предприятия. Отметим, что вышеназванные виды планирования характеризуются временными интервалами, видами планов и их детализацией.
В рамках перспективного планирования* (от года до трех-пяти лет) составляются укрупненные формы финансовых планов: отчет о прибылях и убытках, баланс движения денежных средств, баланс активов и пассивов. Показатели в этих планах рассчитываются на каждый планируемый год.
На основе составленных прогнозов объемов продаж планируется выручка от реализации, затраты на производство и реализацию продукции, прибыль периода. Баланс движения денежных средств отражает движение денежных потоков по текущей инвестиционной и финансовой деятельности предприятия и позволяет синхронизировать их поступление и расходование. Все изменения по активам и пассивам предприятия учитываются в балансе.
Текущее финансовое планирование рассматривается как детализированная часть перспективного планирования. Осуществляется на предстоящий год с поквартальной разбивкой, что позволяет достаточно точно спланировать финансовые потоки, а статьи и расчетные показатели представить в детальной, общепринятой форме.
Оперативное финансовое планирование может осуществляться на квартал, месяц, декаду и предполагает полный учет всех предстоящих финансовых потоков предприятия. В рамках оперативного финансового планирования осуществляется составление платежного календаря (для определения точной последовательности и сроков осуществления всех расчетов с контрагентами и работниками предприятиями), кассового плана (для планирования оборота наличных денег в кассе), налогового календаря (для установки точных сроков и сумм уплачиваемых налогов).
Результаты текущего и перспективного планирования во взаимосвязи с другими показателями производственно-хозяйственной деятельности предприятия находит отражение в его бизнес-плане – документально оформленной стратегии развития предприятия.
В этом отношении любопытен опыт концерна Фиат [45, с. 417], который соединил все виды планирования и добился постоянного роста объемов производства и устойчивого развития. Пятилетние планы ежегодно корректируются (а не пересматриваются заново) в соответствии с изменившимися условиями, при этом второй год текущей пятилетки становится первым плановым, а пятый – четвертым, следом за которым добавляется еще один. Такой подход позволяет оперативно, в соответствии с требованиями внешней и внутренней среды, корректировать текущее развитие предприятия не забывая, однако, о целях стратегического характера, в направлении которых выстраивается вектор движения.
Отметим, что баланс активов и пассивов, баланс движения денежных средств являются бюджетами, т.е. запланированной и утвержденной росписью доходов и расходов предприятия. Формой контроля подобных сбалансированных бюджетов служит уже упоминавшаяся матрица (п.2.1.), где, в данном случае, по вертикали приводятся направления использования финансовых ресурсов, а по горизонтали – источники финансирования. Подобная матрица позволяет сбалансировать доходную и расходную части и определить целевую направленность используемых средств.
Вместе с тем бюджетирование есть, прежде всего, непрерывный процесс – процесс составления, рассмотрения, утверждения и исполнения бюджетов предприятия. Этот процесс охватывает все уровни управления, а информация при составлении бюджетов может двигаться в двух направлениях: сверху вниз и снизу вверх. При восходящем движении рабочая информация или проекты бюджетов подаются от исполнителей к руководству, а в обратном случае имеет место доведенный до всех подразделений скорректированный и утвержденный бюджет компании или ее структурного подразделения.
Кроме того, в современных условиях бюджетирование – это еще и процесс автоматизированной обработки и управления финансами предприятия. В разрабатываемом, в виде определенной формы, бюджете данные отражаются как по плану, так и по факту, а программное и компьютерное обеспечение позволяет оперативно получать и отображать текущую информацию по данному бюджету, т.е. в этом случае произошедшее в структуре финансовых ресурсов изменения автоматически фиксируются в форме.
Таким образом, достоинствами бюджетирования являются:
1. своевременное получение и оценка интересующей информации;
2. оптимизация использования ресурсов предприятия;
3. возможность прогноза и оценки будущего состояния компании, отдельных видов ее бизнеса и продуктов;
4. прозрачность и привлекательность компании для инвесторов;
5. постоянный и всеобщий контроль качества системы финансовых ресурсов предприятия.
Но какой должна быть система бюджетов предприятия, чтобы наиболее полно характеризовать состояние и динамику развития системы финансовых ресурсов? Ранее упоминалось, что, как и любая другая система, финансовые ресурсы хозяйствующего субъекта могут быть охарактеризованы с временных и пространственных позиций. В этом случае, с позиции временного аспекта, целесообразно выделить следующие уровни бюджетирования:
- фактический, т.е. ранее исполненный бюджет, служащий основой для последующего планирования и анализа. Отображает прошлое состояние системы ресурсов.
- действующий, т.е. исполняемый бюджет (в рамках одного года) с различной степенью детализации реализуемых показателей (квартал, месяц, декада). Характеризует современное состояние системы;
- перспективный, т.е. реализующий финансовую стратегию предприятия. разрабатывается на срок от года (краткосрочный бюджет) до трех-пяти лет (среднесрочный) и более (долгосрочный) и показывает будущее состояние системы. Долгосрочный бюджет характеризует наличие у руководства долгосрочных планов в данном бизнесе и его стремление реализовать миссию данного предприятия.
Пространственная характеристика системы предполагает непременное выделение бюджета на уровне всего предприятия (или консолидированного бюджета материнской компании) как характеризующего всю совокупность и величину ресурсов и бюджетов структурных подразделений.



Расходы по внереализационным операциям


часть прибыли поступающая учредителю в оговоренном размере или дивиденды по акциям пакетом которых владеет предприятие); - дивиденды по акциям, доходы по облигациям и другим ценным бумагам;
- доходы от сдачи имущества в аренду;
- доходы от дооценки производственных запасов и готовой продукции;
- присужденные или признанные должником штрафы, пени, неустойки и другие санкции, а также доходы от возмещения убытков;
- прибыль прошлых лет выявленная в отчетном году (суммы, поступившие от поставщиков по перерасчетам за услуги и материальные ценности, полученные и израсходованные в прошлом году; суммы полученные от покупателей по перерасчетам за реализованную продукцию);
-положительные курсовые разницы по валютным счетам и операциям с валютой;
- проценты по денежным средствам числящимся на счетах предприятия.
К расходам по внереализационным операциям относят:
-затраты по аннулированным производственным заказам, а также на производство не давшее продукции, исключая потери возмещаемые заказчиками;
-затраты на содержание законсервированных мощностей, за исключением затрат возмещаемых из других источников;
-не компенсируемые виновниками потери от простоев по внешним причинам;
- потери от уценки производственных запасов и готовой продукции;
- убытки по операциям с тарой;
- судебные издержки и арбитражные сборы;
- признанные предприятием штрафы , пени, неустойки и возмещение причиненных убытков;
- суммы сомнительных долгов по расчетам с другими предприятиями, отдельными лицами, подлежащие резервированию в соответствии с законодательством;
- убытки по операциям прошлых лет выявленные в отчетном году, убытки от Списания безнадежной дебиторской задолженности;
- некомпенсируемые потери от стихийных бедствий, включая затраты связанные с предотвращением или ликвидацией их последствий;
-некомпенсируемые убытки в результате пожаров, аварий и других экстремальных условий;
- убытки от хищений, виновники которых не установлены;
-отрицательные курсовые разницы по валютным счетам, а также по операциям с валютой.
Так как валовая прибыль хотя и установлена законодательно, но не отражается в балансе целесообразно использовать тождественное (до принятия соответствующего нормативного документа) понятие балансовой прибыли. Балансовая прибыль - конечный финансовый результат отражаемый в балансе предприятия и выявленный на основании бухгалтерского учета всех его хозяйственных операций и оценки статей баланса.
Балансовая прибыль используется для оценки эффективности производства, выявления динамики ее роста и определения общей рентабельности деятельности. Валовая же прибыль используется для целей налогообложения прибыли, для чего состав внереализационных доходов и убытков корректируется на величину штрафов, пени перечисленных в бюджет. Например:
- штрафы уплаченные составили 350 тыс. руб. в т.ч. в бюджет в виде санкций - 190 тыс. руб;
- штрафы полученные - 371 тыс. руб.;
Тогда в состав балансовой прибыли в качестве дохода будет включена 21тыс. руб. (371 тыс. руб. - 350 тыс. руб), а в состав валовой будет включено 211 тыс. руб. (371 - (350 - 190)).
Чистой прибылью - называют прибыль остающуюся на предприятии после уплаты всех налогов и используемую на развитие производства и социальные нужды.
Объектом распределения на предприятии является балансовая прибыль. Под ее распределением понимается направление прибыли в бюджет и по статьям использования на предприятии. Законодательно регулируется только часть прибыли поступающая в бюджет. Определение направлений расходования прибыли остающейся в распоряжении предприятия находится в его компетенции.
Таким образом, прибыль распределяется между государством, предприятием и собственниками. Налоговые платежи не должны влиять на заинтересованность предприятия в результатах деятельности. Распределение между предприятием и собственниками должно учитывать не только современное положение предприятия но и перспективы его развития.
Формирование фондов и резервов вышестоящих организаций ( холдингов, консорциумов) за счет прибыли входящих в них предприятий осуществляется по нормативам, устанавливаемым вышестоящим органом управления. Эти нормативы носят индивидуальный характер и зависят от финансового положения хозяйствующего субъека.
На предприятии распределению подлежит чистая прибыль из которой также возможны некоторые налоговые отчисления в местные бюджеты и финансовые санкции.
Государство напрямую не вмешивается в процесс распределения чистой прибыли, но посредством предоставления налоговых льгот может стимулировать направление ресурсов на капитальные вложения, на благотворительные цели, финансирование природоохранных мероприятий, на проведение научно-исследовательских работ. Законодательно установлен размер резервного капитала для акционерных обществ, регулируется порядок создания резерва по сомнительным долгам.
Распределение прибыли регламентируется в уставных документах предприятия. В соответствии о уставом создаются фонды: потребления, накопления, социальной сферы. Если фонды не создаются, то в целях планового расходования средств составляются соответствующие сметы на развитие производства, социальные нужды, материальное поощрение работников, благотворительные цели.
К расходам связанным с развитием производства относятся расходы на научно-исследовательские, проектные, опытно-конструкторские и технологические работы, финансирование разработок и освоение новой продукции и технологических процессов, затраты связанные о техническим перевооружением производства, расширением предприятия, проведением природоохранных мероприятий, расходы по погашению долгосрочных кредитов. Накопленная прибыль может быть направлена в уставные капиталы других предприятий, долгосрочные и краткосрочные финансовые вложения, а также может перечисляться вышестоящим организациям, концернам, ассоциациям, союзам.
Распределение на социальные нужды включает расходы по эксплуатации социально-бытовых объектов, финансирование строительства объектов непроизводственного назначения, проведение оздоровительных и культурно-массовых мероприятий.
К материальным поощрениям относятся выплаты премий работникам за достижения в труде, оказание материальной помощи, единовременные пособия, компенсация стоимости питания.
Очевидно, что вся прибыль остающаяся в распоряжении предприятия разделяется на прибыль увеличивающую стоимость имущества (т.е. участвующую в накоплении) и прибыль направляемую на потребление (не увеличивающую стоимость имущества). Если прибыль не расходуется она остается как нераспределенная прибыль прошлых лет и увеличивает размер собственного капитала. Наличие такой прибыли свидетельствует о наличии источника для дальнейшего развития предприятия.


5. Планирование выручки и прибыли предприятия

В процессе своей деятельности хозяйствующие субъекты могут осуществлять планирование выручки на год, квартал, оперативно. Оперативно - для контроля за своевременностью поступления средств. Общая сумма выручки включает: выручку от реализации товарной продукции и полуфабрикатов собственного производства, выручку от выполнения работ и услуг промышленного и непромышленного характера. Для определения выручки необходимо знать объем реализации в действующих ценах без НДС, акцизов, торговых и сбытовых скидок, экспортных тарифов т.к. они не принадлежат предприятию.
Выручка от выполненных работ и услуг определяется исходя из объема выполненных услуг и оответствующих цен и тарифов. Существует два метода определения плановой выручки:
1) Метод прямого счета - основан на гарантированном опросе и предполагает, что весь объем произведенной продукции приходится на пакет заказов. Это достоверный способ, при нем план выпуска и объем реализации увязаны со опросом, известен ассортимент и цены:
В=Р*Ц
где В - выручка от реализации;
Р - объем сопоставимой реализуемой продукции;
Ц - цена единицы реализуемой продукции.
2) Основой расчетного метода является объем реализуемой продукции корректируемый на входные и выходные остатки. В этом случае планирование аналогично планированию затрат.
В=Он + Т - Ок
где Он - нереализованные остатки готовой продукции на начало планового периода;
Т - товарная продукция предполагаемая к выпуску в план. периоде;
Ок - остатки нереализованной продукции на конец план периода.
Все составные части выручки выражены в ценах реализации: остатки на начало года - в действующих ценах периода предшествующему планированию, товарная продукция и остатки нереализованной продукции - в ценах планируемого. В основе определения стоимости товарного выпуска в действующих ценах лежит объем производственной программы, которая составляется на основе заявок и заключенных договоров.
Остатки нереализованной продукции на начало периода на предприятии могут не учитываться, поэтому используется ожидаемая величина, так же как и при планировании затрат, а стоимость остатков оценивается о помощью коэффициента пересчета: частное от деления объема продукции в ценах периода предшествующего плановому, на производственную себестоимость продукции того же периода.



Различают активные и пассивные основные фонды.


Ресурсы могут быть также привлечены в виде паевых взносов или при долевом финансировании проекта. Участниками при этом могут выступить не только учредители, собственные работники, но и все желающие. Другим способом финансирования деятельности предприятия выступает использование средств предназначенных на выплату заработной платы работникам.
Относясь к устойчивым пассивам (средства не принадлежащие хозяйствующему субъекту, но постоянно находящиеся, в сумме минимального остатка, в его обороте) начисленная заработная плата может и должна использоваться в кругообороте капитала. Проблема начинается тогда, когда заработная плата не выдается установленного числа, т. е. в одностороннем порядке задерживается работодателем. Работник в это время несет издержки от невозможности использовать доход.
В условиях цивилизованного рынка работодатель несет ответственность за задержку заработной платы т.е. расплачивается за заем.
Помимо вышеназванных заемных отношений предприятий с элементами кредитной системы кредитные взаимоотношения складываются и между самими предприятиями. К таким формам взаимокредитования можно отнести коммерческий кредит, кредиторскую задолженность, займы, продажу ценных бумаг, долевое участие.
Коммерческий кредит - это кредит, предоставляемый в товарной форме поставщиком покупателю в виде отсрочки платежа за проданный товар. Предоставляется в вексельной форме. Для предприятия покупателя коммерческий кредит означает отсрочку платежа и ускорение вовлечения в оборот материальных ресурсов. Для поставщика кредитная сделка ускоряет реализацию продукции и приносит дополнительный доход в форме процента, который включается в цену проданных товаров.
Поставщик имеет возможность хранить вексель до истечения срока, либо досрочно продать его банку (за минусом оговоренного процента), либо использовать в расчетах с другими хозяйствующими субъектами.
Кредиторская задолженность означает использование средств временно привлеченных предприятием в свой оборот и подлежащих возврату другим юридическим лицам. Использование просроченной кредиторской задолженности сопровождается, как правило, уплатой штрафов. Предприятия также могут получить займы от других предприятий на оговоренный срок и под определенный процент.
Возможны также варианты получения средств других предприятий через продажу им различных видов собственных акций, облигаций, долевое участие в уставном фонде или проекте. С развитием рыночных отношений следует ожидать активизации обращения ценных бумаг, долевого участия в деятельности других субъектов хозяйствования. Подобные кредитные отношения составят альтернативу банковскому кредитованию, что ускорит процесс диверсификации и интеграции систем финансовых ресурсов, а следовательно производственных отношений.
Очевидно, для предприятPя-заемщика кредит является средством обеспечения бесперебойности производственного процесса и увеличения времени производственного функционирования капитала.
Итак, мы рассмотрели различные финансово-кредитные взаимосвязи системы финансовых ресурсов предприятия. Вполне очевидно, что финансово-кредитные отношения могут сопровождаться возникновением, так называемых, экстерналий и интерналий. Экстерналии представляют собой выгоду или убыток третьих лиц - не являющихся участниками сделки, в данном случае, по распределению стоимости.
Интерналии – выгоды или издержки, понесенные участниками сделки, но не оговоренные при ее заключении. Причиной этому может являться усложненность финансово-кредитных и хозяйственных взаимосвязей, не четко определенные права собственности, когда достаточно сложно точно просчитать все последствия сделки.
Вполне естественно также, что между различными системами финансовых ресурсов происходят процессы соперничества либо содействия, результатом которых, в итоге, является переток ресурсов и развитие более приспособленных систем. Соперничество или содействие осуществляется ради наиболее выгодного применения ресурсов систем и их существования. Например, поглощение мелких предприятий более крупными и конкурентная борьба между монополистами является наглядным тому подтверждением.
Вопросы для самопроверки

1. Дайте определение финансов предприятий
2. Что такое денежные и финансовые отношения?
3. За счет каких источников формируются финансовые ресурсы? Какие фонды и резервы формируются на предприятии?
4. Какие функции выполняют финансы предприятий и финансовые ресурсы?
5. Расскажите о системном исследовании финансов предприятия.
6. Какие виды финансово-кредитных отношений предприятий Вы можете назвать?


2. ФИНАНСОВОЕ ОБЕСПЕЧЕНИЕ ВОСПРОИЗВОДСТВЕННОГО ПРОЦЕССА НА ПРЕДПРИЯТИИ

Из главы Вы узнаете:

  • что такое основные фонды предприятия и каково их предназначение;
  • каким образом и за счет каких источников происходит восстановление основных фондов;
  • чем представлены оборотные средства предприятий и как происходит их кругооборот.


1. Состав основных фондов и источники финансирования капитальных вложений


Основные фонды предприятия представляют собой совокупность произведенных общественный трудом материально-вещественных ценностей, используемых в неизменной натуральной форме в течении длительного периода времени и утрачивающих стоимость по частям. Финансовые ресурсы предназначенные для инвестирования в основные фонды носят название основных средств или основного капитала предприятия и именно его величина отражается в финансовой отчетности.
К основным фондам относятся здания (архитектурно-строительные объекты предназначенные для создания условий труда - жилые здания, корпуса, гаражи, оклады), сооружения (инженерно-строительные объекты, предназначенные для осуществления процесса производства и не связанные о изменением предметов труда - шахты, мосты, дороги, колодцы), передаточные устройства (предназначенные для передачи различных видов энергии, жидких и газообразных веществ), машины и оборудование (для воздействия на предмет труда, или для его перемещения), транспортные средства, инструменты, многолетние насаждения, рабочий скот и пр.
Производственные основные фонды прямо или косвенно участвуют в производстве материальных ценностей. Непроизводственные основные фонды не связаны с осуществлением уставной деятельности предприятия и включают жилые дома, клубы, санатории, детские сады. Различают активные и пассивные основные фонды.
Активная часть фондов непосредственно участвует в производственном процессе, пассивные же (например - здания, сооружения) непосредственно не участвуют в переработке и перемещении материалов, но создают необходимые для производства условия.
Структура основных фондов различна и зависит от отраслевой принадлежности хозяйствующего субъекта. Так в машиностроении, металургии, химической промышленности ведущее место занимают машины и оборудование, в энергетике и топливной промышленности - сооружения и передаточные устройства, в легкой - здания, в сельском хозяйстве - многолетние насаждения и скот.
Основные фонды имеют следующие виды денежной оценки:
- первоначальную, по которой они принимаются к учету;
- восстановительную - которую они имеют в период воспроизводства, о учетом морального износа и переоценки;
- остаточную, которая представляетсобой первоначальную или восстановительную стоимость за минусом износа.
Первоначальной стоимостью основных фондов, приобретенных за плату, считается сумма фактических затрат предприятия на их приобретение, сооружение и изготовление, за исключением НДС и иных возмещаемых налогов. Стоимостью фондов полученных по договору дарения и в иных случаях безвозмездного получения, признается их рыночная цена.
Изменение первоначальной стоимости не допускается, за исключением только случаев достройки, дооборудования, реконструкции и частичной ликвидации фондов. Предприятие имеет право не чаще раза в год переоценивать объекты основных фондов по восстановительной стоимости путем индексации или прямого пересчета по документально подтвержденным рыночным ценам. Необходимость переоценки объясняется тем, что при изменении отпускных цен на средства производства, сметных цен и тарифов в строительстве а также в связи с изменением стоимости воспроизводства основных фондов возникает несопоставимость действующих и вновь вводимых основных фондов, что затрудняет определение эффективности их использования, а также объема и структуры капитальных вложений.
Эффективность использования основных фондов характеризуется показателями фондоотдачи (отношение объема реализации к среднегодовой стоимости основных фондов), фондоемкости (обратный показатель фондоотдаче, фондовооруженность (стоимость основных фондов приходящаяся на одного работника).
Процесс воспроизводства основных фондов предприятия осуществляется посредством капитальных вложений. Понятие капитальные вложения тождественно понятию прямых или реальных инвестиций. Возможно как простое (в неизменных, по сравнению с предыдущим периодом, объемах финансовых вложений) так и расширенное (в объемах превышающих объемы предшествующего периода) воспроизводство фондов.
Финансирование инвестиций осуществляется за счет:



Система бюджетов предприятия


Функционирование и динамика развития системы финансовых ресурсов обуславливает отображение процесса их воспроизводства (т.е. источников формирования ресурсов и направлений использования) и оценку его эффективности.
Итоговая классификация бюджетов предприятия представлена на схеме 3.1.





Система бюджетов предприятия









фактический


бюджет предприятия, компании


источники поступления ресурсов




действующий


бюджеты структурных подразделений


направление использования ресурсов




перспективный




эффективность функционирования



Рис. 3.1.

Данный подход к бюджетному планированию позволяет реализовать:
- увязку фактически достигнутого уровня финансового развития со стратегическими целями предприятия;
- планомерное согласованное поступательное движение всех структурных подразделений предприятия;
- контроль состояния и функционирования локальных систем финансовых ресурсов предприятия;
- бюджетное обеспечение стратегии развития предприятия и наиболее полное использование имеющихся ресурсов.
Следует отметить, что на первоначальном этапе введение на предприятии полного пакета бюджетов нецелесообразно. Но тогда может возникнуть вопрос: по каким видам деятельности или структурным единицам должны создаваться бюджеты. Здесь может пригодиться зарубежный опыт планирования и анализа.
Мы имеем в виду метод планирования по центрам ответственности, который предполагает разработку матрицы затрат [38, с. 249] или, соответственно, матрицы прибылей.
Матрица затрат позволяет определить размер затрат структурных подразделений и виды ресурсов, используемых ими. Столбцы данной матрицы показывают элементы затрат структурных подразделений предприятия, перечисленных построчно. Таким образом, при суммировании затрат в ячейках по строкам матрицы можно определить плановую (или фактическую) величину затрат данного подразделения, что важно при принятии управленческих решений.
При суммировании затрат в ячейках по столбцам матрицы можно определить величину каждого вида затрат, что необходимо для контроля затрат, установления цены и оценки рентабельности.
Матрица прибылей строится аналогичным образом, но речь идет уже о вкладе каждого анализируемого структурного подразделения в общую величину прибыли предприятия.
Подобное планирование и контроль за затратами и прибылью выделенных центров ответственности способствует повышению их рентабельности и позволяют выделить центры доходов (прибыли) и расходов предприятия. Под центром дохода хозяйствующего субъекта понимается подразделение, приносящее ему наибольшую прибыль, а центр расходов – это наименее рентабельное подразделение. Напомним, что в западной экономике многие фирмы придерживаются правила двадцать на восемьдесят, т.е.
20% затрат капитала должны давать 80% прибыли, ….остальные 80% вложений капитала приносят только 20% прибыли[4, с. 202].
Таким образом, вполне логично составлять бюджеты и контролировать, прежде всего, центры затрат (где наиболее возможно необоснованное завышение расходов) и центры доходов (с целью максимизации получаемой прибыли).
Подразделения, вызывающие у руководства сомнение по поводу обоснованности своего существования и практики хозяйствования могут доказать свою рентабельность, подготовив план затрат для минимального уровня производства, а затем и прибыли от дополнительного его прироста, за которую они отвечают. В этом случае руководство получает информацию о целесообразности финансирования деятельности структурного подразделения или проекта и рассматривает возможность перевода ресурсов в более рентабельный вид деятельности. Данный метод планирования и обоснования затрат известен как финансовый план на нулевой основе [38, с.251].
Отметим, что создаваемый бюджет не всегда может быть бездефицитным, и центр затрат тому подтверждение. Важна контролируемость формирования и использования выделяемых ресурсов, а профицит может быть достигнут на последующих этапах реализуемого проекта. Таким образом, другим критерием выделяемых бюджетов является важность контроля по приоритетным направлениям финансирования затрат и хода реализации запланированных мероприятий. Например, может быть создан инвестиционный бюджет, предназначенный для реализации одноименной функции финансовых ресурсов.
Он может также носить балансирующий характер, т.е. с возникновением временных финансовых затруднений ресурсы могут быть направлены на устранение диспропорций между имеющимися возможностями и потребностями. Напротив, в случае же получения сверхзапланированных доходов часть ресурсов может быть направлена в инвестиционный бюджет. Данный бюджет может также помогать финансовым менеджерам в деле управления ликвидность предприятия (см. п. 3.2), ведь структура финансовых вложений будет во многом предопределять и этот аспект функционирования системы ресурсов.
Оценка эффективности функционирования бюджетных ресурсов может быть произведена с помощью рейтинговой оценки (п. 3.2) по значимым и информативным показателям, отобранным для этих целей. Для объективности анализа оцениваемых бюджетов следует стремиться к исчисляемости и сопоставимости отбираемых показателей.
В идеале используемые показатели должны быть применимы на всех уровнях бюджетного планирования и контроля, и непременно характеризовать систему ресурсов с позиции эффективности ее функционирования.
Постановка бюджетов на предприятии есть не одномоментный акт, а процесс постепенный, ибо взаимоувязать все бюджеты (особенно в организации со сложной структурой) между собой и с соответствующим программным обеспечением достаточно трудно. Практика показывает, что в отдельных компаниях вначале после введения схемы бюджетного планирования отклонения важнейших параметров деятельности достигают 40-50%… [10, с.16]. Поэтому, задачей введения бюджетирования и согласования всех компонентов внутрифирменной бюджетной системы, методологическим и программным обеспечением должен заниматься специалист или даже (в случаях с крупными компаниями) отдел.
Кстати, функционирование такой специализированной управленческой единицы или органа есть характеристика достижения определенного уровня корпоративной культуры организации.
Хотя бюджетное планирование и корректировка ведутся постоянно в течение всего года, можно выделить три условных этапа бюджетной работы [10, с.17]:
1. Предварительный, на котором формируется бюджетный регламенZ (порядок и организация работ) и составляются проекты бюджетов;
2. Корректировка проектов бюджетов с целью устранения выявленных отклонений;
3. Подготовка окончательных вариантов проектов (с приемлемой степенью детализации статей) и их утверждение в качестве бюджетов.
Особое внимание в процессе бюджетной работы уделяется формативу (т.е. перечню статей) бюджетов, прогнозной оценке развития ситуации и программной обеспеченности (предполагается, что данные из бухгалтерских программ или о совершенных товарных и финансово-кредитных операциях автоматически попадают в программу поддерживающую бюджет).




Вопросы для самопроверки

  1. В чем сущность управления?
  2. Как классифицируются бюджеты предприятия?
  3. Какие финансовые приемы используются при рациональном управлении финансами предприятия?


РЕКОМЕНДУЕМАЯ ЛИТЕРАТУРА

Борисов А.Б. Большой экономический словарь. - М.: Книжный мир, 2002. - 895 с.
С.В.Валдайцев Оценка бизнеса и управление стоимостью предприятия: Учеб. Пособие для вузов. - М.: ЮНИТИ-ДАНА, 2001. - 720с.
Внешнеэкономическая деятельность предприятия: Учебник для вузов / Под. Ред. Л.Е.Стровского. - М.: ЮНИТИ, 2001. - 823с.
Ковалев В.В. Финансовый анализ: Управление капиталом. Выбор инвестиций.
Анализ отчетности. - М.: Финансы и статистика, 1996. - 432с.
Левчаев П.А. Финансовые ресурсы предприятия: теория и методология системного подхода. - Саранск: Изд-во Мордов. Ун-та, 2002. - 104с.
Поляков А.Ф. Теория финансов в вопросах и ответах: Учеб. Пособие / Моск. Ун-т потреб.
Кооп.; Саран. Кооп. Ин-т МУПК. - М.; Саранск, 2000. - 132с.
Савицкая Г.В. Анализ хозяйственной деятельности предприятия: Учеб. Пособие - Мн.: Новое знание, 2001. - 704 с.
Савчук В.П. Финансовый менеджмент предприятий: прикладные вопросы с анализом деловых ситуаций. - К.: Издательский дом "Максимум", 2001. - 600с.
Шеремет А.Д., Сайфулин Р.С. Финансы предприятий. - М., ИНФРА-М, 1997. - 343с.
Финансовый менеджмент: теория и практика: учебник / под ред. Е.С. Стояновой. - М.: изд-во Перспектива, 1996. - 405с.
Финансовый менеджмент: Учебное пособие / Под ред. Проф. Е.И.
Шохина. - М.: ИД ФБК-ПРЕСС, 2002. - 408с.
Финансы предприятий: Учебник / Под ред. Н.В. Колчиной. - М.: Финансы, ЮНИТИ, 1998. - 413с.
Щиборщ К.В. Бюджетирование деятельности промышленных предприятий Россиии. - М.: Издательство "Дело и Сервис", 2001. - 544с.




* Интересующиеся оценкой издержек того или иного источника средств могут обратиться к литературе: [13, с. 228-252], [6, с. 472], [41, с. 38-41], [34, с. 155].
* Здесь и далее в качестве ставки процента или коэффициента дисконтирования может быть применена расчетная ставка по анализируемым инвестиционным проектам или альтернативным направлениям использования средств (банковским вкладам, вложениям в государственные ценные бумаги и т.д.)
* Более точно [13, с. 219; 34 , с.102-104] этот показатель рассчитывается как p = r + i + ri
* Интересующиеся вопросами финансового планирования и бизнес планирования могут обратиться к специальной литературе: [38, с. 232-260; 41, с. 170-194; 37, с.181-192; 31, с.308-311]



Соотношение соответствующих групп активов и пассивов


Финансовые ресурсы – более емкое понятие, включающее наряду с финансовыми средствами (для обеспечения текущей деятельности) и потенциально возможные, которые могут быть получены при необходимости (либо в перспективе, либо с некоторым дисконтом от реализации активов предприятия). Данное положение исходит из того, что, деятельность предприятия не ограничивается текущим моментом и может быть спрогнозирована на перспективу. Кстати, в понятие ресурс уже заложена определенная предназначенность.
В данном случае ресурс обеспечения производственной деятельности и коль скоро мы говорим о повторяющихся циклах производства, то – источник финансирования воспроизводственной деятельности предприятия (здесь имеется ввиду и перспективная деятельность субъекта хозяйствования), что предполагает учет всевозможных ресурсов. Таким образом, в понятие финансовые ресурсы входят текущие и потенциально возможные средства, которые при необходимости могут быть использованы как знаки распределяемой стоимости. Капиталом является часть финансовых ресурсов приносящая доход.
Наиболее полно финансовые ресурсы могут быть изучены с позиции системного подхода. Системой финансовых ресурсов предприятия будем считать совокупность активов предприятия, которые могут быть использованы им в качестве знаков распределяемой стоимости при осуществлении своей деятельности и для дальнейшего развития и функционирования.
Система финансовых ресурсов предприятия может быть охарактеризована как экономическая (т.к. она подчиняется экономическим законам), действующая в сфере финансово-кредитных отношений, динамическая (т.е. изменяется с течением времени), открытая (т.е. взаимосвязанная с окружающей средой), управляемая.
Переходя к рассмотрению элементов системы ресурсов, отметим, что, на наш взгляд, существуют несколько классификаций элементов, выделенных по различным критериальным признакам.
При выделении элементов будем исходить из ранее данного определения финансовых ресурсов, основанного на сущности финансов. В этом случае вполне логично выделять элементы по степени абсолютной ресурсности. Именно таким образом они представлены в активе предприятия.
А1 (денежные средства и краткосрочные финансовые вложения) - активы, имеющие практически абсолютную ресурсность. Могут быть сразу использованы как знаки стоимости.
А2 - (дебиторская задолженность сроком погашения до 12 месяцев и прочие оборотные активы) – активы, имеющие некоторую ограниченность при использовании в качестве знаков стоимости. Развитие рыночных институтов (например, факторинговых компаний) и отношений расширяет возможности по использованию в качестве ресурсов этих активов.
А3 - (сырье, материалы, незавершенное производство, готовая продукция, долгосрочные финансовые вложения и др.). Могут быть приняты в качестве знаков стоимости в единичных случаях, либо при достаточно высокой степени их ликвидности и востребованности на рынке. Их реализация и превращение в денежную форму длительно по времени и часто сопровождается значительной скидкой.
А4 (основные средства, нематериальные активы, незавершенное строительство) – используются в исключительных случаях (как правило, при несостоятельности плательщика), либо при создании и образовании нового предприятия. При переводе в денежную форму считаются трудно реализуемыми. Это не относится к уникальному оборудованию, известным торговым маркам, перспективным ноу-хау.
На рис. 2.1 представлено действие и восприятие выделенных элементов

П1
П2
П3
П4


А1
А2
А3
А4


Денежные средства, краткосрочные финансовые вложения
Дебиторская задолженность (до 12 мес.), прочие оборотные активы
Сырье, материалы, неза-вершенное производство, готовая про-дукция и др.
Нематериальные активы, ос-новные средства, незавершенное строительство и др.
Рис. 2.1.
где А1, А2, А3, А4 – соответствующие группы активов предприятия;
П1,, П2, П3, П4 - соответствующие группы пассивов;
восприятие элемента
действие элемента.
Соотношение соответствующих групп активов и пассивов предприятия характеризует его ликвидность. Следует отметить, что практически только ресурсы группы А1 могут быть трансформированы в кратчайшие сроки и без потерь в любую другую необходимую форму. Особая роль этой группы объясняется еще и тем, что деньги, обладая (как правило) абсолютной ликвидностью, показывают потенциальные возможности по маневрированию ресурсами при принятии выгодных управленческих решений. В этом случае внешние требования рынка к моментальной оплате всеобщим эквивалентом (деньгами) подтверждаются и соответствующей структурой финансовых ресурсов предприятия и его возможностями.
Различные варианты формирования ресурсов и возможности их использования предопределяют ликвидность и финансовую устойчивость субъекта хозяйствования.
Другим критерием выделения элементов финансовых ресурсов является право собственности. В этом случае элементами являются: собственные ресурсы, заемные ресурсы, временно привлеченные (используемые) ресурсы.
Собственные финансовые ресурсы принадлежат амому хозяйствующему субъекту и их использование не влечет за собой возможности утери контроля над деятельностью предприятия. В практике хозяйствования эти ресурсы используются главным образом для финансирования основных фондов, долгосрочных инвестиций и частично для формирования оборотных средств. Как мы помним, право собственности является важнейшим фактором мотивации к эффективному использованию финансовых ресурсов. К ним относятся: прибыль от различных видов деятельности, амортизационные начисления .Прибыль остающаяся в распоряжении предприятия после уплаты налогов распределяется на накопление и потребление. Прибыль, направляемая на накопление используется на развитие производства и способствует росту имущества предприятия.
Прибыль направляемая на потребление используется для решения со- циальных задач. Амортизационные отчисления - это денежное выражение стоимости износа основных фондов и нематериальных активов. Они имеют двойственный характер, т.к. включаются в себестоимость продукции и в составе выручки от реализации возвращаются на расчетный счет, становясь внутренним источником финансирования.
Заемные ресурсы не являются собственность данного предприятия и их использование чревато для него потерей независимости. Заемные средства предоставляются на условиях срочности, платности, возвратности, что в конечном итоге обуславливает их более быструю, по сравнению с собственными ресурсами, оборачиваемость. К заемным средствам относятся разнообразные виды кредитов привлекаемые от других звеньев кредитной системы (банков, инвестиционных институтов, государства, предприятий, домохозяйств).
Привлеченные ресурсы – средства, не принадлежащие предприятию, но временно находящиеся в его обороте. Данные средства до возникновения санкций (штрафов или других обязательств перед владельцами) могут быть использованы по усмотрению хозяйствующего субъекта. Это, прежде всего, устойчивые пассивы - задолженность по оплате труда работникам, задолженность в бюджет и внебюджетные фонды, средства кредиторов поступающие в виде предоплаты и др.
Соотношение между данными элементами финансовых ресурсов определяет финансовую устойчивость субъекта хозяйствования.
На рисунке 2.2 представлена схема действия и восприятия данных элементов финансовых ресурсов.

Не влияют на независимость хозяйствующего субъекта
Возможна потеря независимости
Возможно применение незначительных санкций



Собственные
ресурсы
Заемные
ресурсы
Привлеченные
ресурсы



Источники, находящиеся в собственности предприятия
Источники, не принадлежащие предприятию, привлекаемые, как правило, на условиях кредитования.
Источники, не принадлежащие предприятию, но временно находящиеся в его обороте.

Рис. 2.2.
где - восприятие элемента;
- действие элемента

Следующим признаком выделения элементов финансовых ресурсов является срочность использования. Как правило, ресурсы классифицируются на краткосрочные, среднесрочные, долгосрочные. Временной горизонт каждой группы может быть установлен индивидуально.
Ресурсы краткосрочного назначения – срок их действия – до года. Предназначены для финансирования текущей деятельности предприятия: формирование оборотных средств, краткосрочных финансовых вложений, расчетов с дебиторами.
Ресурсы среднесрочного назначения – от года до 3 лет – используются для замены отдельных элементов основных фондов, их реконструкции и перевооружения. В этом случае, как правило, не преследуется цель смены технологии или полной замены оборудования.
Ресурсы долгосрочного назначения – привлекаются, как правило, на срок от 3 до 5 лет и используются для финансирования основных фондов, долгосрочных финансовых вложений, венчурного (рискового) финансирования. На наш взгляд, минимальная временная граница (3-5 лет) этих средств обусловлена сроком действия основных фондов. Именно столько времени, в среднем, эксплуатируются машины и оборудование в экономически развитых странах.
Сверх этого срока их использование чревато завышением себестоимости выпускаемой продукции (вследствие морального и физического износа).



Совершенствование используемой технологии


Коль скоро, нижняя временная граница использования этих ресурсов обусловлена функционированием машин и оборудования, то логично здесь выделить еще одну группу ресурсов – для финансирования объектов сверх долгосрочного назначения, т.е. зданий, сооружений. Временная граница может составить 10-15 и более лет. Именно на такие сроки возможно получение ипотечного кредита. Действие и восприятие этих элементов предоставлено рисунком 2.3.







Финансирование текущей деятельности предприятия
Совершенствование используемой технологии, реконструкция фондов, перевооружение
Замена активной части основных фондов
Строительство зданий, сооружений



Ресурсы
краткосрочного назначения
Ресурсы
среднесрочного
назначения
Ресурсы
долгосрочного назначения
Ресурсы
сверхдолгосрочного назначения



Собственные источники, привлеченные средства
Собственные источники, краткосрочные (от 1 до 3 лет) заемные средства
Собственные источники, долгосрочные (от 3 до 5 лет) заемные средства
Собственные источники, долгосрочные (10-15 и более лет) заемные средства

где - восприятие элемента;
- действие элемента.

Рис. 2.3.
Итак, это основные подходы к элементному разложению системы финансовых ресурсов. Вполне очевидно, что межэлементные связи, соотношение используемых видов финансовых ресурсов, определяя структуру системы, определяют и ее устойчивость. Именно в сопоставлении с общепринятыми критериями и финансовыми показателями, предъявляемыми внешней средой, определяется тип финансовой устойчивости, ликвидность предприятия и другие характеристики, отражающие эффективность интеграции с другими системами финансовых ресурсов.
Поэлементное распределение ресурсов отражается в балансе предприятия: в активе – действие ресурсов, в пассиве – восприятие.

По нашему мнению, особую важность для системы финансовых ресурсов предприятия в рыночных условиях приобретает принцип синергии, заключающийся в том, что эффект от совокупного действия элементов выше, чем просто их суммарный эффект. Данный принцип реализует финансовый менеджер, как обладатель предпринимательских способностей. В этой связи, может быть предложена следующая классификация систем финансовых ресурсов:
1) синергитическая (эффект от совокупного действия элементов выше, чем их суммарный эффект);
2) с нулевым синергитическим эффектом (эффективность системы равноценна суммарной эффективности элементов);
3) деструктивная (общая эффективность системы меньше суммарной эффективности элементов, т.е. последние отрицательно влияют друг на друга). Этот тип характеризуется тем, что система отдает ресурсы во вне, т.е. в ней происходят процессы деструкции (разложения), либо она вступила в фазу упадка.
Вместе с тем, поскольку ресурсы предприятия должны приносить прибыль, то очевидна необходимость измерения общей эффективности функционирования системы финансовых ресурсов. Это может быть установлено посредством сопоставления затрат связанных с использованием всей совокупности системы финансовых ресурсов и полученной прибыли. Матричная форма (рис.2.4.) дает представление о затратах и прибыли получаемой в результате различных комбинаций ресурсов.







Затраты и прибыль системы финансовых ресурсов предприятия

Прибыль системы



П1
П2

Пm
П

Затраты системы
З1
Э11
Э12

Э1m
Э1i

З2
Э21
Э22

Э2m
Э2i








Зn
Эn1
Эn2

Эnm
Эni

з
Эj1
Эj2

Эjm



Рис. 2.4.
где З1, З2, …, Зn - затраты на соответствующие комбинации финансовых ресурсов;
П1, П2, …, Пm - прибыль от использования соответствующих комбинаций финансовых ресурсов;
Э11, … , Эnm - структурные единицы (элементы) системы финансовых ресурсов
Эjm, Эni - сумма по соответствующим строкам, столбцам матрицы;
( з, П ) – суммарная величина имеющихся в системе ресурсов (затрат на них или прибыли от использования).

Сопоставление суммарной прибыли с затратами позволяет установить эффективность функционирования всей системы финансовых ресурсов предприятия.
Формирование фондов предприятия начинается с момента организации хозяйствующего субъекта. Предприятие в соответствии с законодательством формирует уставный капитал - основной первоначальный источник собственных средств предприятия, который в виде основного и оборотного капитала направляется на приобретение фондов предприятия. К числу фондов относится добавочный капитал - создается за счет: прироста стоимости имущества в результате переоценки основных фондов, эмиссионного дохода (за счет превышения продажной цены акций над номинальной), безвозмездно полученных ценностей на производственные цели.
Он может быть использован на погашение сумм снижения стоимости имущества, выявившихся по результатам его переоценки, на погашение убытков, возникших в результате безвозмездной передачи имущества другим предприятиям и лицам, на увеличение уставного капитала, на погашение убытка по результатам работы предприятия за отчетный год.
В процессе производственной деятельности доходы от реализации произведенной продукции в форме выручки от реализации поступают на расчетный или валютный (если предприятие экспортирует продукцию) счет. Выручка же является источником возмещения затрат на производство, продвижение на продукции на рынок, на реализацию товаров (работ, услуг). Амортизация, таким образом, поступает в составе выручки от реализации в амортизационный фонд предназначенный для обеспечения воспроизводства основных фондов.
Результатом деятельности предприятия является прибыль. После налоговых вьплат образуется чистая прибыль, которая расходуется в соответствии с уставными документами и по усмотрению хозяйствующего субъекта. Из нее формируются: резервный капитал и другие аналогичные резервы, фонд накопления, фонд потребления.
Резервные капитал - фонд который образется в соответствии с законодательством РФ и учредительными документами. Предназначен для покрытия убытков отчетного периода, выплаты дивидендов при недостаточности или отсутствии прибыли. Наличие фонда является важнейшим условием обеспечения устойчивого финансового состояния предприятия.
К числу резервных фондов относятся также резервы под обесценение вложений в ценные бумаги, выкупной фонд, отложенный фонд и др., создаваемые в АО соответственно для погашения облигаций и выкупа акций.
Фонд накопления - средства предназначенные для развития производства. Их использование связано с увеличением имущества предприятия и финансовыми вложениями для извлечения прибыли.
Фонд потребления - средства направляемые на социальные нужды, финансирование объектов непроизводственной сферы, единовременное поощрение работников, выплаты компенсационного характера и т.д.
Остаток прибыли - нераспределенная прибыль также характеризует финансовую устойчивость и может использоваться для последующего развития предприятия.
Целевое финансирование и поступления - средства предназначенные для строительства и содержания социальных объектов, а также поступления на эти цели от юридических и физических лиц. Средства предприятиям могут также выделяться из бюджета, отраслевых и межотраслевых фондов.
Если предприятие занимается внешнеэкономической деятельностью, оно образует валютный фонд за счет поступающей валютной выручки, часть из которой оно обязано продавать государству.
Для оперативного управления финансовыми ресурсами могут создаваться и другие оперативные фонды: для выплаты заработной платы, для платежей в бюджет и др.
Рассмотрев основные понятия и классификации финансовых ресурсов, их фондов, вполне логично перейти к рассмотрению выполняемых ими функций. Хотелось бы отметить, что не стоит отождествлять функции финансов, как стоимостной категории распределительных отношений, и функции финансовых ресурсов предприятия - материальных носителей этих отношений и источника деятельности и развития предприятия.
Итак, каково же назначение финансовых ресурсов на предприятии?
Прежде всего финансовые ресурсы выступают средством обеспечения производственной деятельности предприятия, фактором его производства или источником воспроизводственного процесса. Данное положение основано на том, что основная цель предприятия – производство материальных благ для удовлетворения общественных подробностей. Поэтому основной функцией финансовых ресурсов, реализующей их назначение на предприятии является производственная. Целесообразным является оптимальное обеспечение финансовыми ресурсами всех стадий воспроизводственного процесса, и здесь речь идет о всевозможных финансовых ресурсах. Именно за счет финансовых ресурсов на предприятии образуется имущество, обновляются основные фонды, пополняются оборотные средства.
Приоритетность данной функции обусловлена тем, что от эффективности и непрерывности производственной деятельности предприятия во многом зависит поступление собственных финансовых ресурсов, являющихся основой его деятельности, а, значит, темпы экономического развития хозяйствующего субъекта и социальное благополучие работающих.
Вместе с этим, вполне очевидно, что не все финансовые ресурсы обслуживают производственную сферу предприятия.



Специфические особенности


  1. почвенно-климатические особенности сельского хозяйства определяют его зональную специализацию, длительность периодов в производстве, различия в продуктивности, дифференциацию в себестоимости и рентабельности видов продукции;
2) специфика, время темпы проведения, работ, объем и качество продукции, предопределяют зачастую необходимость создания на предприятиях натуральных и денежных страховых и резервных фондов;
4) естественно-биологический цикл развития животных и растений оказывают влияние на периодичность, концентрацию, особенности кругооборота финансовых ресурсов;
5) разделение сельского хозяйства на подотрасли растениеводства и животноводства предполагает и раздельное планирование, учет и организацию этих сфер.
Поскольку сельскохозяйственный год охватывает периоды, относящиеся к двум календарным годам, то при определении себестоимости затраты данного календарного гада распределяются между продукцией этого и предыдущего годов, а сезонность сельскохозяйственных работ обуславливает и необходимость установления себестоимости не только по видам продукции, но по видам работ. Такое калькулирование себестоимости единицы продукции (работ, услуг) необходимо для определения эффективности осуществляемых агрозоотехнических, технологических, организационных и экономических мероприятий по развитию производства, обоснования цен, определения прибыли.
Плановую себестоимость получают на основе специальных технологических карт по отдельным культурам и видам скота. При этом во внимание принимаются особенности почвенно-климатических условий хозяйства, нормы расхода материальных ресурсов и нормативы затрат труда, финансовых средств и рационального использования земли, основных фондов.
Себестоимость сельскохозяйственной продукции, получаемой от соответствующих культур и видов животных, определяется исходя из затрат, отнесенных на данную культуру, вид животных. Плановую себестоимость единицы продукции исчисляют отношением плановых затрат на производство всей продукции соответствующего вида к ее плановом объему в натуральном выражении.
Выручка от реализации продукции составляет валовую денежную выручку, из которой в последующем возмещаются все произведенные затраты. Под общей (балансовой) прибылью предприятий понимают общий финансовый результат деятельности. Прибыль от реализации (по видам продукции, работ, услуг) представляет собой разность между суммой валовой выручки и полной себестоимостью реализованной продукции.
Отметим, что на общую прибыль, кроме реализации продукции влияют и внереализационные дохода и поступления, расходы и потери.
Особенности данной отрасли также оказывают влияние и на структуру основных производственных фондов. Так например, среди них выделяют такие специфические группы как рабочий скот, многолетние насаждения (плодовые, ягодные), капитальные затраты по улучшению земель. Кроме того, особенностью структуры основных производственных фондов является и то, что наряду с общепринятыми средствами труда здесь функционируют и такие специфические средства труда как животные, многолетние насаждения, стоимость которых до определенного момента Lаже возрастает (в отличие от оборудования утрачивающего по мере износа свою стоимость). Таким образом, для воспроизводства основных фондов в этой сфере характерно то, что если оборудование непрерывно находится в эксплуатации, то, например, многолетние насаждения функционируют лишь в пределах вегетационного периода.
Поэтому, с целью наиболее оптимального использования основных производственных фондов необходимо учитывать вышеназванные особенности.
В структуре оборотных средств также отражается специфика отрасли, например здесь выделяют такую группу как "молодняк животных и животные на откорме•. Другой особенностью здесь является то, что такие важные элементы оборотных средств как семена, посадочный материал, корма, органические удобрения и т.п., постоянно возобновляются за счет собственного производства.
Компоненты оборотных средств и особенности их функционирования в процессе воспроизводственного цикла определяют и различные, индивидуальные к ним подходы нормирования. Например, общий норматив семян, посадочного материала принимается на основе нормативов по каждому виду культуры, определяемых в натуральном и стоимостном выражении. Он может быть рассчитан умножением нормы высева на посевную площадь.
По каждой культуре, как правило, предполагается создание страхового фонда. Денежная оценка проводиться исходя из плановой себестоимости материала, включая расходы по его доставке на склад, доработке и хранению.
На предприятиях, перерабатывающим сельскохозяйственную продукцию норматив запасов товарно-материальных ценностей на плановый период рассчитывается на основе среднедневного их расхода и среднедневной стоимости выпуска продукции по данным квартала текущего года, в котором объем производства является наименьшим. В периоды когда объем выпуска возрастает то потребность в дополнительных запасах товарно-материальных ценностей покрывается за счет привлечения в оборот краткосрочных заемных средств.

3. Финансы предприятий транспорта

Экономические и организационные особенности функционирования данной отрасли оказывают влияние и на содержание финансов. Так можно выделить следующие специфические особенности:

  1. продукция транспорта не имеет вещественной формы, здесь ничего не добавляется к перевозимому товару. На транспорте продается сам производственный процесс, т. е. перевозка, перемещение товаров, продукции, созданных в других отраслях экономики;
  2. особенность производственного процесса на транспорте предполагает, что средства производства здесь не имеют в своем составе сырья;
  3. единицей измерения транспортной продукции служат тонно-километры, пассажиро-километры, тонны грузооборота и количество отправленных пассажиров;
  4. поскольку продукцию здесь нельзя накопить, отложить в запас, то транспорт не может работать без определенного резерва (например, локомотивов и вагонов);
6) особенности функционирования экономики, ее отраслей (сезонность, цикличность) предопределяют неравномерность использования транспортных средств в течение года.
Поскольку, транспорт используется для осуществления не только внешних перевозок, но и для перевозок внутри предприятия, то внутрипроизводственный транспорт является неотъемлемой частью технологического процесса данного производства. Однако,. внутрипроизводственный транспорт не представляет собой самостоятельную отрасль транспортного производства, а является составной частью той отрасли, в которой он функционирует. К тому же транспорт является составной частью стадий производства продукции предприятий.
Это крупная многоотраслевая сфера, имеющая в своем составе все виды грузового и пассажирского транспорта: железнодорожного, автомобильного, речного, морского, нефтепроводного, воздушного.
При определении той или иной сферы использования видов транспорта необходимо руководствоваться следующими характерными технико-экономическими особенностями.
Железнодорожный транспорт:

  • предполагает регулярность перевозок независимо от сезонных особенностей;
  • обеспечивает довольно высокую пропускную в выбранном направлении;
  • относительно короткий (по сравнению с речным и морским транспортом) путь движения при невысокой себестоимости перевозок;
  • характеризуется высокой маневренностью в использовании подвижного состава;
  • обеспечивает эффективность (особенно при перевозке маршрутами) доставки массовых грузов на протяженные расстояния.
Автомобильный транспорт:

  • обеспечивает повышенную (по сравнению с железнодорожным, водным транспортом) скорость, регулярность и маневренность доставки грузов;
  • делает возможной без перегрузочную доставку грузов (в т.ч. мелкими партиями) от склада отправителя до склада получателя;
  • предполагает повышенную себестоимость перевозок по сравнению с другими видами транспорта.
Речной транспорт:

  • обеспечивает высокую пропускную способность;
  • предполагает низкую себестоимость осуществляемых перевозок (особенно леса в плотах, нефти в судах);
  • предполагает, зачастую, более длительный путь движения;
  • обеспечивает невысокую скорость движения;
  • маршрут движения может не совпадать с конечным пунктом доставки груза (поэтому речной транспорт часто используется с другими видами);
  • пропускная способность может быть ограниченна природно-климатическими факторами.
Морской транспорт:

  • обеспечивает доставку грузов на большие расстояния;
  • предполагает относительно низкую себестоимость осуществляемых перевозок.
Воздушный транспорт:

  • обеспечивает наиболее быструю доставку (зачастую в труднодоступные места) грузов и пассажиров на большие расстояния.
Вышеотмеченные особенности функционирования транспорта предполагают выбор, на основе технико-экономических расчетов, наиболее эффективного вида доставки пассажиров, груза.
Выручка предприятий включает доходы, полученные от перевозок (пассажиров и грузов), от погрузочно-разгрузочных операций, экспедирования, прочих работ и услуг. Отметим, что доходы от перевозок зависят от объема оказываемых услуг, тарифа и договорных цен. В основу тарифа положены вид транспорта, класс перевозимого груза, расстояние.



Товарищество на вере (коммандитное товарищество)


К моменту регистрации полного товарищества участники обязаны внести не менее половины своего вклада в складочный капитал. Остальная часть должна быть внесена в сроки, оговоренные в учредительном договоре. Участники полного товарищества несут субсидиарную ответственность (не только имуществом товарищества, но и своим личным имуществом) по обязательствам товарищества. Участник полного товарищества имеет право с согласия остальных его участников передать свою долю в складочном капитале или ее часть другому лицу.
Последний наравне с другими участниками отвечает по обязательствам товарищества, возникшим до его вступления в товарищество. Прибыль, равно как и убытки, полного товарищества распределяется между его участниками пропорционально доле их участия в складочном капитале. Если в результате убыточной деятельности товарищества стоимость чистых активов товарищества стала меньше величины складочного капитала, то полученная прибыль направляется в первую очередь на увеличение чистых активов товарищества до величины, превышающей размер складочного капитала.
При выходе участника из полного товарищества ему выплачивается стоимость имущества товарищества, соответствующая его доли в складочном капитале.
Товарищество на вере (коммандитное товарищество) — это товарищество, в котором наряду с полными товарищами имеются один или несколько участников-вкладчиков (так называемых коммандитистов). Товарищество на вере создается и осуществляет свою деятельность также на основании учредительного договора. Прибыль товарищества на вере распределяется между всеми участниками пропорционально их доле в складочном капитале. Необходимо отметить, что управление деятельностью товарищества осуществляется только полными товарищами.
Вкладчики же в управлении не участвуют.
Полные товарищи — участники, осуществляющие предпринимательскую деятельность и отвечающие по обязательствам товарищества своим имуществом. Участники-вкладчики не принимают участия в предпринимательской деятельности товарищества и являются по существу инвесторами. Они разделяют прибыли товарищества и несут ответственность за убытки в пределах величины внесенного ими вклада.
Участники-вкладчики обязаны внести вклад в складочный капитал. Они, помимо участия в прибылях, имеют право на: знакомство с годовыми отчетами товарищества; передачу своей доли (или ее части) в складочном капитале другому вкладчику или третьему лицу; покупку доли складочного капитала пропорционально размеру своей доли на условиях преимущественного права перед третьими лицами.
Общество с ограниченной ответственностью — общество, учрежденное одним или несколькими лицами, уставный капитал которого разделен на доли в размерах, определенных учредительными документами. В отличие же от полного товарищества участники общества отвечают по его обязательствам и несут риск убытков, связанных с деятельностью общества в пределах стоимости внесенных ими вкладов.
Уставный капитал общества с ограниченной ответственностью формируется за счет вкладов его участников. Величина капитала определяет минимальный размер имущества, гарантирующий интересы его кредиторов. Минимальный размер уставного капитала установлен в размере 100 минимальных размеров оплаты труда.
Если в результате деятельности общества с ограниченной ответственностью стоимость чистых активов общества окажется меньше уставного капитала, то оно обязано объявить об уменьшении уставного капитала и зарегистрировать его. Если стоимость чистых активов общества меньше установленного законом минимального размера уставного капитала, то общество подлежит ликвидации. Общество с ограниченной ответственностью может быть также преобразовано в акционерное общество.
Участник общества вправе продать свою долю в уставном капитале участникам общества, либо третьему лицу.
Распределение прибыли в обществе с ограниченной ответственностью осуществляется в соответствии с законодательством. После того как уплачены налог на прибыль и другие платежи в бюджет прибыль распределяется в соответствии с порядком, указанном в уставе общества, на производственное и социальное развитие. Если иное не оговорено в учредительных документах, то оставшаяся часть распределяется между участниками пропорционально их доли в уставном капитале.
Нераспределенная прибыль прошлых лет служит источником формирования резервного капитала.
Общество с дополнительной ответственностью — это общество учрежденное одним или несколькими лицами, уставный капитал которого разделен на доли в размерах, определенных учредительными документами. Участники несут солидарную субсидиарную ответственность по обязательствам общества своим имуществом в одинаковом для всех кратном размере к стоимости вкладов. Стоимость вкладов определена в учредительных документах.
В случае банкротства одного из участников его ответственность по обязательствам общества распределяется между другими участниками. Вопросы распределения прибыли, решаются аналогично тому, как они определены для общества с ограниченной ответственностью.
Акционерное общество — общество, уставный капитал которого разделен на определенное количество акций. Акционеры (участники) не отвечают по обязательствам акционерного общества и Uесут ответственность лишь |в пределах стоимости принадлежащих им акций. Доля в акционерном капитале подтверждает право на долю собственности акционера в имуществе общества.
В этом смысле у акционерного общества нет собственного имущества.
Преимущества этой организационной формы хозяйствования связаны с возможностью передачи собственности, способностью привлекать большие объемы дополнительного капитала. Различают открытые и закрытые акционерные общества.
Открытое акционерное общество — общество, участники которого могут продавать принадлежащие им акции без согласия других акционеров. Открытое акционерное общество проводит открытую подписку на выпускаемые им акции и осуществляет их свободную продажу на фондовом рынке. Такое акционерное общество обязано ежегодно публиковать годовой отчет, бухгалтерский баланс, отчет о прибылях и убытках и другие сведения, касающиеся финансового состояния общества в открытой печати, в целях предоставления информации внешним пользователям.
Кроме того, публичная отчетность акционерного общества должна быть удостоверена аудиторской проверкой.
Минимальный размер уставного капитала открытого акционерного общества установлен в размере 1000 минимальных размеров оплаты труда на день регистрации общества. Предполагается, что при учреждении акционерного общества все его акции должны быть распределены среди участников. В случае, если стоимость чистых активов общества станет меньше уставного капитала, то общество обязано зарегистрировать в установленном порядке уменьшение своего уставного капитала. Если стоимость чистых активов общества окажется меньше установленной законом минимальной величины уставного капитала, то такое общество подлежит ликвидации. Основным органом управления акционерным обществом является общее собрание акционеров, которое и принимает решение об увеличении уставного капитала.
Уставный капитал акционерное общество может увеличить двумя способами - посредством увеличения номинала уже имеющихся акций и путем дополнительного их выпуска. Однако решение может быть принято лишь после полной оплаты уставного капитала. Увеличение уставного капитала не допускается в целях покрытия понесенных обществом убытков. Соответственно, собрание акционеров может принять решение и об уменьшении уставного капитала путем снижения номинальной стоимости акций либо путем их покупки.
Подобное решение может быть принято после уведомления всех кредиторов.
Уставный капитал общества формируется посредством размещения простых и привилегированных акций, причем доля привилегированных в общем объеме уставного капитала не должна превышать 25%.
Акционерное общество имеет право размещать среди потенциальных инвесторов и облигации, которые в отличие от акций выпускаются на определенный срок, а их стоимость в итоге должна быть погашена и проценты выплачены. Отметим, что облигации являются по своей сути заемными средствами.
При распределении прибыли общества в обязательном порядке предусматривается формирование резервного фонда, величина которого не может быть менее 10% и более 25% от величины оплаченного уставного капитала. Размер отчислений устанавливается общим собранием акционеров. Отчисления в резерв производятся ежегодно пока его величина не достигнет величины определенной в уставе.
Финансовый резерв предназначен для покрытия убытков акционерного общества, а также может быть использован на выплату дивидендов в случае, если прибыли отчетного года окажется для этого недостаточно.
Из прибыли, остающейся в распоряжении акционерного общества, могут быть сформированы и другие фонды, аналогичные вышеназванному (например, выкупной фонд предназначенный для погашение выпушенных и размещенных облигаций). Оставшаяся часть прибыли направляется на затраты, связанные с развитием производства, на социальное развитие и выплату по акциям и облигациям. Наряду с затратами, связанными с развитием производства и финансируемыми из прибыли, к их числу относятся также и затраты на эмиссию и размещение ценных бумаг.



Товары отгруженные можно рассматривать по направлениям




Соотношение между оборотными производственными фондами и фондами обращения в промышленности может составлять примерно 7:3.
Оборотные средства в производственных запасах составляют большую часть оборотных производственных фондов (около 70%). Они включают вещественные элементы производства, используемые в качестве предметов труда и частично орудий труда в виде МБП, еще не вступивших в производственный процесс и находящихся в виде складских запасов.
Предметы труда включают:
- сырье и основные материалы, из которых изготавливается продукт. Они образуют материальную основу продукта. Сырьем называется продукция сельского хозяйства, добывающей промышленности, а материалами - продукция обрабатывающих отраслей промышленности;
- вспомогательные материалы - топливо, тара , запасные части. Они используются для обслуживания, ухода за орудиями труда, облегчения процесса производства или же для воздействия на основные материалы, сырье с целью придания продукту определенных потребительских свойств;
- покупные полуфабрикаты и комплектующие изделия.
МБП по экономическому назначению являются средствами труда и должны числиться в составе основных фондов, т.к. они многократно участвуют в процессе производства. МБП на предприятии исчисляются сотнями наименований и для упрощения учета износа включаются в состав оборотных фондов. К МБП относятся сродства труда со сроком службы менее года.
Это могут быть инструменты, инвентарь, запасные части для текущего ремонта, спецоборудование и спецоснастка, спецодежда и спецобувь, временные сооружения.
Незаконченная продукция - это предметы труда вступившие в производственный процесс, но не прошедшие всех стадий обработки. Они представлены незавершенным производством и полуфабрикатами собственного изготовления. Это вещественные элементы оборотных фондов.
Единственным невещественным элементом оборотных производственных фондов являются расходы будущих периодов, которые включают затраты на подготовку и освоение новой продукции, технологии, которые производятся в данном году, но относятся на продукцию будущего года. Их доля в составе оборотных фондов в производстве составляет, как правило, не более 5%.
Фонды обращения обслуживают процесс обращения и формируются под влиянием характера деятельности хозяйствующего субъекта, условий реализации, уровня организации системы сбыта готовой продукции, применяемых форм расчетов и их состояния. Их основную часть (б0%) составляет готовая продукция, которая подразделяется на готовую продукцию на складе и товары отгруженные. Моментом перехода готовой продукции на склад завершается процесс производства.
Товары отгруженные потребителю находятся в сфере обращения и отражают процесс реализации. Товары отгруженные можно рассматривать по направлениям:
-срок оплаты которых не наступил;
-срок оплаты которых просрочен;
-находящиеся на ответственном хранении у покупателей.
Две последние группы возникают как следствие нарушения расчетной и договорной дисциплины и связаны о отсутствием средств у покупателей или нарушением ассортимента, выявлением брака.
Денежные средства могут быть в финансовых инструментах - на счетах, в ценных бумагах, в выставленных аккредитивах, в кассе и в расчетах (почтовых переводах и прочих расчетах таких как недостачи, потери, перерасходы).
Дебиторская задолженность включает задолженность подотчетных лиц, поставщиков по истечении срока оплаты, налоговых органов при переплате налогов и других обязательных платежей вносимых в виде аванса, а также дебиторов по претензиям и спорным долгам. Ее доля в составе фондов обращения может составлять около 15%. Уровень задолженности связан о принятой на предприятии системой расчетов, видом продукции и степенью насыщенности рынка.
В составе оборотных средств можно выделить по степени ликвидности:
-ликвидные: деньги в кассе и на счетах;
-быстрореализуемые : краткосрочные финансовые вложения (депозиты, ценные бумаги), товары и имущество приобретенные о целью перепродажи, реальную дебиторскую задолженность, товары отгруженные, но не оплаченные в срок;
-медленнореализуеиые: полуфабрикаты, незавершенное производство, залежалые товары на складе, сомнительная задолженность.
На предприятиях размер оборотных средств зависит от отраслевых особенностей и характера деятельности, сложности и длительности производственного цикла, условий поставки, порядка расчетов и расчетно-платежной дисциплины.
5. Определение потребности в оборотном капитале
До получения выручки от реализации продукции оборотные средства являются источником финансирования текущих производственных затрат предприятия. Оптимальная обеспеченность оборотными средствами ведет к минимизации затрат, ритмичности и слаженности работы предприятия. Завышение оптимальной величины оборотных средств ведет к излишнему их отвлечению в запасы, к замораживанию ресурсов, поскольку возникают дополнительные затраты на хранение и складирование, на уплату налога на имущество.
Занижение же приводит к перебоям в производстве и реализации, к невыполнению предприятием своих обязательств. В любом случае неоптимальная величина средств означает нерациональное использование финансовых ресурсов.
Нормируемыми являются только собственные оборотные средства, но не все, а лишь оборотные производственные фонды и частично фонды обращения в виде готовой продукции на складе. К ненормируемым относятся остальные элементы фондов обращения: товары отгруженные, денежные средства и средства в расчетах. Нормирование - установление оптимальной величины оборотных средств, необходимых для осуществления хозяйственной деятельности предприятия.
На базе производственного плана разрабатывается смета затрат на производство, в которой определяется возможная себестоимость продукции, в основу определения потребности в оборотных средствах закладывается смета затрат. Существуют несколько методов расчета нормативов оборотных средств:
Метод прямого счета, является наиболее точным, обоснованным, трудоемким, т.к. основан на определении научно-обоснованных норм запаса по отдельным элементам оборотных средств и норматива оборотных средств т.е. стоимостного выражения запаса, который рассчитывается по каждому их элементу (частные нормативы) и в целом по нормируемым средствам (совокупный норматив).
Аналитический метод (опытно-статистический) предполагает укрупненный расчет оборотных средств в размере их среднефактических остатков. Он предполагает учет различных факторов, влияющих на организацию и формирование оборотных средств и используется в случаях когда не предполагаются существенные изменения в условиях работы и средства вложенные в материальные запасы имеют большой удельный вес.
Коэффициентный метод - основан на определении нового норматива на базе имеющегося с учетом поправок на изменение объема продукции. При этом все запасы и затраты подразделяются на:
-зависящие от объема производства (сырье, материалы, затраты на незавершенное производство и готовую продукцию на окладе);
-не зависящие от объема производства (запасные части, МБП, расходы будущих периодов).
По зависящим от объема производства элементам потребность планируется исходя из их размеров в базисном году, темпов роста производства и возможного ускорения оборачиваемости. По остальным элементам запасов и затрат плановая потребность определяется на уровне их среднефактических остатков.
Основным методом является метод прямого счета, при нем процесс нормирования включает несколько этапов:
1 этап. разработка норм запаса по отдельным видам товарно-материальных ценностей всех элементов нормируемых средств.
Нормы оборотных средств - это объем запаса по важнейшим товарно-материальным ценностям, необходимых предприятию для обеспечения нормальной работы. Нормы - это относительные величины, которые устанавливаются в днях запаса или в %% к определенной базе (товарной продукции, объему основных фондов) и показывают длительность периода обеспеченного данным видом запасов материальных ресурсов. Нормы пересматриваются при кардинальных изменениях номенклатуры изделий, условий производства и др.
Нормы устанавливаются по следующим элементам:
- производственным запасам;
- незавершенному производству и полуфабрикатам собственного изготовления;
- расходам будущих периодов;
- запасам готовой продукции на складе.
Рассмотрим пример на основе производственных запасов и готовой продукции.
Норма в днях по производственным запасам устанавливается по каждому виду материалов и включает время для:
-выгрузки, приемки, складирования и лабораторного анализа (подготовительной запас);
- нахождения сырья и материалов на складе в виде текущего и страхового (гарантийного) запаса;
- подготовки к производству (сушка, разогрев, отстой и т.д.) - технологический запас;
- нахождения материалов в пути и времени документооборота (транспортный запас).
Основным является текущий складской запас - время нахождения запасов на складе между двумя очередными поставками. Его величина связана с равномерностью поставок (циклом снабжения) и периодичностью запуска сырья в производство. Величина этого запаса устанавливается в размере 50% среднего цикла снабжения, в среднем около 10 дней.





    Экономика: Знания - Циклы - Макроэкономика