Тема 2. Производственная программа предприятия


Цель занятия: ознакомиться с типами предприятий и правовыми основами их образования в условиях рыночной экономики.

Многообразие форм собственности является основой для создания различных организационно-правовых форм предприятий. В какой бы плоскости мы ни рассматривали общественное производство: как совок[пность определенных отраслей, как территориальный или межотраслевой комплекс, везде речь будет идти о предприятии и о какой-то комбинации предприятий.
Предприятие – первичное, основное звено общественного производства. Именно на предприятии производят, транспортируют, реализуют, т.е. осуществляют движение факторов производства и созданного продукта. Производство, реализацию надо организовать, причем так, чтобы получить прибыль.
Предпринимательская деятельность (предпринимательство) – это инициативная самостоятельная деятельность граждан и их объединений в целях получения прибыли.
Предприятие (фирма) – самостоятельный хозяйствующий субъект, созданный для производства продукции, выполнения работ и услуг в целях получения прибыли. Основной формой организации предпринимательства является предприятие.
Предприятие представляет собой имущественно обособленную хозяйственную единицу, организованную для достижения какой-либо хозяйственной цели, т.е. это экономическая единица, которая:
• самостоятельно принимает решения;
• реально использует факторы производства для изготовления и продажи продукции;
• стремится к получению дохода и реализации других целей.
Предприятие является коммерческой организацией, т.е. организацией, нацеленной на получение прибыли. Этим предприятие существенным образом отличается от некоммерческих организаций, т.е. организаций, не преследующих цели извлечения прибыли. Обычно к ним относятся благотворительные и иные фонды, ассоциации, общественные объединения, религиозные организации и др.
Началом для становления экономической самостоятельности служит его выделение в виде самостоятельной хозяйственно-оперативной единицы или юридического лица. Юридическое лицо имеет свой устав, баланс доходов и расходов, счет в банке, право ведения договорных отношений. Для этого предприятие должно обладать следующими признаками:
1. Организационное единство. Это определенным образом организованный коллектив со своей внутренней структурой и порядком управления, закрепленным в учредительных документах.
2. Обособленное имущество. Предприятие имеет собственное имущество, состоящее из основных и оборотных средств, самостоятельно приобретает имущество, учитывает его, использует, реализует, списывает, платит налог за имущество.
3. Имущественная ответственность. Предприятие самостоятельно несет ответственность по своим обязательствам так, как предписывает закон.
4. Выступление в гражданском обороте от собственного имени. Предприятие, как и человек, должно быть узнаваемым и отличаемым от других предприятий. Для этих целей предприятию дают имя (наименование), под которым оно приобретает и отчуждает имущественные и личные неимущественные права, несет обязанности, выступает в суде, арбитраже или третейском суде в ролях истца и ответчика.
Все предприятия различаются по условиям, целям и характеру функционирования. Для более глубокого изучения предпринимательской деятельности предприятия обычно классифицируются по виду и характеру хозяйственной деятельности, формам собственности, принадлежности капитала и контролю над ним, правовому положению и другим признакам.
КЛАССИФИКАЦИЯ ПРЕДПРИЯТИЙ:
по виду и характеру деятельности –
предприятия отличаются друг от друга отраслевой принадлежностью. Они подразделяются на предприятия производственной и непроизводственной сферы, далее – по менее крупным подразделениям (промышленные, сельскохозяйственные, кредитно-финансовые, транспортные и т.п.).
Промышленные предприятия в основе своей деятельности имеют производство товаров (обычно к промышленным предприятиям относят те, у которых более 50% оборота приходится на производство промышленной продукции).
Торговые предприятия занимаются осуществлением в основном операций по купле-продаже товаров. Они могут либо входить в систему сбыт крупных промышленных предприятий, либо существовать независимо юридически и в хозяйственном отношении от других фирм и осуществлять торгово-посреднические операции.
Транспортно-экспедиторские предприятия специализируются на осуществлении операций по доставке товаров покупателю, выполняя поручения промышленных, торговых и других фирм.
по размерам предприятия –
предприятия подразделяются следующим образом: мелкие – до 50 занятых; средние – от 50 до 500 (иногда – до 300); крупные – свыше 500, в том числе особо крупные – свыше 1000 занятых. Определение размеров предприятия по числу занятых может дополняться другими характеристиками – объемом продаж, активами, полученной прибылью и т.п.
Размеры предприятий тесно связаны с их отраслевой принадлежностью.
Составной частью экономической политики государства является развитие малого предпринимательства. Малые предприятия способны быстро реагировать на изменение потребительского спроса, они наиболее восприимчивы к техническим новинкам, обеспечивают быструю окупаемость затрат. В наиболее развитых странах мира на долю малого бизнеса приходится 50 – 70% прироста числа рабочих мест.
по формам собственности –
предприятия подразделяются на частные и государственные.
Частные предприятия могут существовать в виде самостоятельных независимых компаний либо в виде объединений, созданных как на основе системы участия, так и на основе договоренностей между участниками объединения. В зависимости от формы объединения предприятие может быть юридически самостоятельным и само решать хозяйственные вопросы и отвечать по своим обязательствам или быть лишено хозяйственной и юридической самостоятельности, и тогда решение деловых вопросов зависит от материнского предприятия.
Государственные предприятия выступают наряду с частными фирмами контрагентами в хозяйственном обороте. Под государственными предприятиями понимаются как чисто государственные, так и смешанные, или полугосударственные. Государственные промышленные фирмы занимают довольно прочное положение в производстве разных стран.
Их удельный вес в выпуске промышленной продукции колеблется в пределах 20-25% по отдельным странам. Большая часть государственных предприятий сосредоточена в добывающих отраслях.
по принадлежности капитала –
выделяют предприятия национальные, иностранные и совместные (смешанные) предприятия.
Национальными называют предприятия, капитал которых принадлежит предпринимателям своей страны. Национальная принадлежность определяется также местоположением и регистрацией основной компании. Например, крупнейшая в мире компания по производству конторского оборудования и компьютеров IВМ при международном характере деятельности является национальной фирмой США, так как она зарегистрирована в США и лишь 4% ее акций находятся у иностранных держателей, остальные сосредоточены в руках американских предпринимателей.
Иностранными называют предприятия, капитал которых принадлежит иностранным предпринимателям, полностью или в определенной части обеспечивающих их контроль.
Смешанными по капиталу называют предприятия, капитал которых принадлежит предпринимателям двух или более стран. Регистрация смешанного предприятия осуществляется в стране одного из учредителей на основе действующего в ней законодательства, что определяет местонахождение его штаб-квартиры.
по организационно-правовым формам -
Гражданским кодексом Российской Федерации установлен состав организационно-правовых форм предприятий – юридических лиц и определены права граждан – физических лиц.
Хозяйственные товарищества и общества признаются коммерческие организации с разделенным на доли (вклады) учредителей (участников) уставным (складочным) капиталом. Участниками хозяйственных товариществ и обществ могут быть частные предприятия и юридические лица (коммерческие предприятия). В зависимости от характера объединения и степени ответственности участников по его обязательствам объединения предпринимателей делятся на объединения лиц и объединения капиталов.
Хозяйственные товарищества являются объединениями лиц, хозяйственные общества – объединениями капиталов.
Хозяйственные товарищества могут создаваться в форме полного товарищества и товарищества на вере (коммандитного товарищества), хозяйственные общества – в форме акционерного общества, общества с ограниченной ответственностью и общества с дополнительной ответственностью.
Полное товарищество – это объединение двух или более лиц для осуществления предпринимательской деятельности с целью извлечения прибыли, участники которого лично участвуют в делах товарищества и каждый несет полную ответственность по обязательствам товарищества не только вложенным капиталом, но и всем своим имуществом. Убытки и прибыли полного товарищества распределяются между участниками пропорционально доле каждого из них в общем, имуществе товарищества. Полное товарищество не связано публичной отчетностью, т.е. не обязано публиковать сведения о результатах хозяйственной и финансовой деятельности.

Формы и системы заработной платы



Формы и системы заработной платы
(5.14)
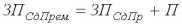
где П – размер премии за выполнение или перевыполнение показателей премирования, руб.
















Рис. 3. Формы и системы заработной платы

3. При сдельно-прогрессивной системе оплаты труда выработка в пределах установленной исходной нормы (базы) оплачивается по действующим на данном предприятии прямым сдельным расценкам, а вся дополнительная выработка, полученная сверх исходной нормы, оплачивается по повышенным расценкам (прогрессивной шкале).
4. Косвенно-сдельная система оплаты труда применяется для оплаты труда вспомогательных рабочих. Размер их заработка ставится в зависимость от результатов труда обслуживаемых ими основных рабочих.
5. Аккордная система оплаты труда применяется, как правило, при выполнении срочных или аварийных работ. В этом случае расценка устанавливается на весь объем работ, при этом оговаривается и срок выполнения работ. Если не выполняются сроки или объемы работы, то сумма оплаты снижается (чаще всего используется в строительстве).
6. Бригадная сдельная оплата труда применяется, когда работники бригады связаны совместной работой по сборке, ремонту, монтажу и т.д.
Бригадная сдельная оплата труда начисляется всей бригаде в целом, а затем распределяется с учетом разрядов каждого члена бригады и фактически отработанного им времени.
Распределение заработка бригады осуществляется двумя методами:

  • метод коэффициенто-часов;
  • метод коэффициента трудового участия.
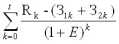
Последовательность расчета заработной платы при использовании метода коэффициенто-часов:

  1. рассчитывается общее количество коэффициенто-часов (суммарное количество часов, отработанных каждым работником бригады, увеличенное на соответствующий разряду работника тарифный коэффициент);
  2. определяется расценка одного коэффициенто-часа (общая сумма заработка делится на общее количество коэффициенто-часов);
Формы и системы заработной платы
, (5.15)
где РКЧ – расценка одного коэффициенто-часа, руб./час;
ЗПСдЬриг– сдельный заработок бригады, руб.;
Fфактi – фактически отработанное количество часов i-м рабочим, час;
kТi – тарифный коэффициент i-го рабочего.

  1. определение заработной платы каждого работника бригады в соответствии с отработанными коэффициенто-часами.
Формы и системы заработной платы
. (5.16)
Метод с использованием коэффициента трудового участия (КТУ) учитывает не только фактически отработанное работником время, но и его личный вклад в процесс производства. Бригада или подразделения предприятия сами определяют набор показателей, влияющих на КТУ работника.

Повременная оплата труда – это оплата труда за фактически отработанное время по установленной тарифной ставке или окладу.

1. Простая повременная оплата труда рассчитывается:

Формы и системы заработной платы
(5.17)
где ТС – часовая (дневная) тарифная ставка работника соответствующего разряда, руб.
Fфакт – фактически отработанное количество часов (дней).

2. Повременно-премиальная – оплата труда, когда рабочий получает не только заработок за количество отработанного времени, но и определенный процент премии.

Оплата труда служащих осуществляется в соответствии с установленным им по штатному расписанию окладом и в соответствии с действующей системой премирования. По своему характеру окладная система оплаты труда является разновидностью повременно-премиальной, с той лишь разницей, что вместо тарифной ставки (дневной или часовой) фигурирует месячный или годовой оклад. Показатели и условия премирования в этом случае учитывают специфику труда служащих умственного труда, а также специфику того подразделения, в котором данный служащий работает.
Согласно Трудовому кодексу оплата сверхурочных работ осуществляется следующим образом: первые два час сверхурочных работ оплачиваются в полутоном размере, а последующие часы в двойном размере; работы в выходные дни оплачивается в двойном размере.

Типовые задачи с решениями
Задача 1
Норма времени на изготовление одного изделия составляет 12 минут, часовая тарифная ставка при данной сложности труда 15 руб., в месяце 24 рабочих дня; продолжительность смены 8 часов. За месяц изготовлено 1008 изделий. Оплата труда сдельно-премиальная.
Определите:

  1. норму выработки в месяц (шт.);
  2. сдельную расценку на изделие (руб.);
  3. сумму сдельной заработной платы за месяц, если за каждый процент перевыполнения выплачивается 1,5% заработка по сдельным расценкам (руб.).
Решение:
Норма выработки в месяц: (24
Формы и системы заработной платы
480)/12=960 шт.
Сдельная расценка на изделие: (15
Формы и системы заработной платы
12)/60=3 руб.
Коэффициент выполнения норм выработки: 1008/960=1,05
Перевыполнение плана: на 5%, доплата составляет: 5%
Формы и системы заработной платы
1,5%=7,5%
Сумма простой сдельной заработной платы: 3
Формы и системы заработной платы
1008=3024 руб.
Заработная плата сдельно-премиальная: 3024+(3024
Формы и системы заработной платы
0,075)=3250,8 руб.

Задача 2
Норма времени на изготовление одного изделия составляет 12 минут, часовая тарифная ставка при данной сложности труда 15 руб., в месяце 24 рабочих дня; продолжительность смены 8 часов. За месяц изготовлено 1008 изделий. Оплата труда сдельно-прогрессивная.
Определите сумму сдельной заработной платы за месяц, если при выработке продукции свыше исходной базы сдельная расценка увеличивается в 1,5 раза. Исходная база для начисления сдельных доплат 102,5%.
Решение:
Норма выработки в месяц с учетом базы для начисления сдельных доплат (24
Формы и системы заработной платы
480)/12*1,025=984 шт.
Коэффициент выполнения норм выработки: 1008/960=1,05
Перевыполнение плана: на 5%.
Сдельная расценка на изделие: (15
Формы и системы заработной платы
12)/60=3 руб.
Сдельная расценка на изделие с учетом коэффициента увеличения расценки: (15
Формы и системы заработной платы
12)/60*1,5=4,5 руб.
Заработная плата сдельно-прогрессивная: 984*3+(1008-984)*4,5=3060 руб.

Задачи для самостоятельного решения

Задача 5.1.
На основании приведенных данных о работе предприятия рассчитайте недостающие показатели и определите:

  1. прирост продукции за счет изменения численности;
  2. прирост продукции за счет изменения выработки.
Показатели
Отчетный год
Плановый год
Прирост за год
в %
в единицах измерения
Объем товарной продукции, тыс. руб.
10000
?
6
?
Численность работающих, чел.
2000
?
?
?
Производительность труда, руб./чел.
?
?
4,5
?

Задача 5.2.
В течение квартала на производственном участке следует обработать 200 комплектов деталей. Трудоемкость одного комплекта по фрезерным работам – 8 часов, по шлифовальным – 5,2 часа. Планируемая выработка норм по фрезерным работам – 117%, по шлифовальным – 115%.
Определить необходимое количество рабочих по профессиям (годовой полезный фонд рабочего времени 1800 часов).

Задача 5.3.
Предприятие выпускает изделия А и Б по программе, указанной в таблице. Потери времени по уважительным причинам составляют в среднем 10% от номинального фонда времени, коэффициент выполнения норм выработки – 1,2; количество рабочих дней в году – 300, продолжительность смены 8 часов; режим работы предприятия - односменный.



Изделия
Годовая программа выпуска, шт.
Норма штучного времени, ч.
А
30000
4
Б
50000
2
Определите потребную для предприятия численность производственных рабочих на планируемый год.

Задача 5.4.
Имеются следующие данные о работе предприятия за два года:

Показатели
Первый год
Второй год
Объем продукции, тыс. руб.
2100
2279,1
Численность ППП, чел.
700
710
Определите:

  1. прирост продукции в результате увеличения численности работников (тыс. руб.);
  2. прирост продукции за счет повышения производительности труда (тыс. руб.);
  3. удельный вес прироста продукции за счет повышения производительности труда (%).

Задача 5.5.
За третий квартал года предприятие достигло следующих показателей работы:

Показатели
Третий квартал
% ко второму кварталу
Объем продукции, тыс. руб.
160
153,8
Численность работников, чел.
10
125,0
Средняя выработка, тыс. руб.
16
123,1
Определите:

  1. прирост продукции вследствие увеличения численности работающих (тыс. руб.);
  2. удельный вес прироста продукции за счет повышения производительности труда (%).

Задача 5.6.
Бригада из 4-х человек изготовила 75 изделий "А" (сдельная расценка 20 рублей за изделие) и 90 изделий "Б" (сдельная расценка 40 рублей за изделие). Рабочий IV разряда отработал 40 часов, рабочий V разряда отработал 32 часа, двое рабочих VI разряда – 50 и 56 часов соответственно. Определите заработок каждого рабочего.

Задача 5.7.
Форма оплаты труда токарей сдельно-прогрессивная. При перевыполнении плановой нормы выработки премия начисляется по следующей шкале:
Перевыполнение плана, % 1-10 11-20 21-50
Увеличение сдельной расценки, % 25 50 100
Рассчитайте зарплату токарей, если токарь Ш разряда (плановая расценка за 1 деталь 10 рублей) обрабатывает за смену 9 деталей, токарь IV разряда (плановая расценка за 1 деталь 12 рублей) – 12 деталей (месячный план 176 шт. деталей для каждого рабочего, в месяце 22 рабочих смены).
Задача 5.8.
Заработная плата токаря-расточника по сдельным расценкам 9780 рублей в месяц. Определите процент выполнения норм, если часовая тарифная ставка рабочего 57,9 рублей, а число фактически отработанных часов в месяц – 171.

Задача 5.9.
Для ремонта электрооборудования необходимо провести:

  • токарные работы по III разряду; затраты времени 10 минут;
  • сверлильные работы по II разряду; затраты времени 5 минут;
  • шлифовальные работы по IV разряду; затраты времени 6 минут.
Квартальная производственная программа 6000 единиц оборудования.



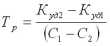
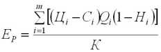
Дисконтированный чистый поток денежных средств


Решение:
Расчетный коэффициент эффективности
Дисконтированный чистый поток денежных средств

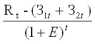
Так как абсолютная эффективность меньше нормативной (13,3%15%), то данный проект может быть признан неэффективным.


Задача 2
Выбрать наиболее эффективный вариант капвложений при следующих данных

Показатели
Базовый вариант
Новый вариант
Объем выпуска, шт.
1000
1200
Себестоимость единицы продукции, руб.
600
570
Планируемые капвложения, тыс. руб.
2000
2200
Нормативный коэффициент эффективности 15%.
Для выбранного варианта рассчитать условно-годовую экономию, годовой экономический эффект, срок окупаемости и коэффициент эффективности.
Решение:
Приведенные затраты на единицу продукции по вариантам:
Дисконтированный чистый поток денежных средств
руб.
Дисконтированный чистый поток денежных средств
руб.
Более эффективен новый вариант.
Условно-годовая экономия
Эуг=(600–570)*1200= 36 000 руб.
Годовой экономический эффект
Эг=(600–570)*1200–0,15*(2200000–2000000)=6 000 руб.
Нормативный срок окупаемости Тр=1/0,15=6,67 лет.
Расчетный срок окупаемости
Дисконтированный чистый поток денежных средств
лет.
Коэффициент эффективности
Дисконтированный чистый поток денежных средств
.
Так как годовой экономический эффект больше нуля, срок окупаемости проекта меньше нормативного, а расчетный коэффициент эффективности больше нормативного, то новый вариант в целом эффективен.
Задача 3
Рассчитать чистый дисконтированный доход, индекс доходности, внутреннюю норму доходности и срок окупаемости инвестиционного проекта по следующим данным:

Годы
1
2
3
4
Инвестиции, тыс. руб.
450
50


Выпуск продукции, шт.
0
20000
27000
32000
Цена за единицу продукции 20 руб.; себестоимость единицы продукции – 11 руб.; ставка дисконта 15%; период расчета инвестиционного проекта – 4 года. Будем считать, что все расходы имеют место в начале соответствующего года.
Решение.

Годы
1
2
3
4
1. Результаты Rt (выручка от реализации), тыс. руб.
0
400
540
640
2. Инвестиции З1t, тыс. руб.
450
50


3. Текущие затраты З2t, тыс. руб.
0
220
297
352
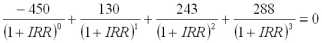
4. Чистый поток денежных средств Rt –(З1t + З2t)
-450
130
243
288
5. Дисконтированный чистый поток денежных средств
Дисконтированный чистый поток денежных средств

-450,0
113,04
183,74
189,36
6. Кумулятивный дисконтированный чистый поток денежных средств
Дисконтированный чистый поток денежных средств

-450,00
-336,96
-153,21
36,15
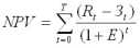
Чистый дисконтированный доход NPV=36,15. руб.
Дисконтированные капитальные вложения
Дисконтированный чистый поток денежных средств
руб.
Индекс доходности
Дисконтированный чистый поток денежных средств
.
Чтобы найти внутреннюю норму доходности необходимо решить следующее нелинейное уравнение
Дисконтированный чистый поток денежных средств
или
Дисконтированный чистый поток денежных средств
. Отсюда IRR=19,22%.
По данным строки 6 можно сделать вывод, что срок окупаемости лежит во временном интервале между началом и концом третьего года проекта, когда кумулятивный дисконтированный чистый поток денежных средств изменит знак минуса на плюс. Более точно срок окупаемости можно определить по формуле
Дисконтированный чистый поток денежных средств
года.




Задачи для самостоятельного решения.

Задача 7.1.
Определите общую экономическую эффективность капитальных вложений для строительства нового цеха, если капитальные вложения на единицу продукции 8 руб., себестоимость единицы продукции 16 руб., цена оптовая предприятия 20 руб., годовой объем производства 10000 ед., нормативный уровень рентабельности предприятия 20%.

Задача 7.2.
Определите экономическую эффективность капитальных вложений на строительство нового промышленного предприятия, если сметная стоимость строительства 60 млн. руб., капитальные вложения на создание оборотных средств 20 млн. руб., стоимость годового объема продукции в оптовых ценах предприятия 310 млн. руб., себестоимость годового объема производства 280 млн. руб., расчетная рентабельность не менее 25%, налог на прибыль 24%.

Задача 7.3.
Определите какой из трех вариантов осуществления капитальных вложений наиболее эффективный, если капитальные вложения по вариантам: К1=50 млн. руб.; К2=70 млн. руб., К3=100 млн. руб.; себестоимость годового объема производства продукции по вариантам: С1=200 млн. руб., С2=150 млн. руб., С3=120 млн. руб.; нормативная рентабельность 0,2.

Задача 7.4.
Определите наиболее эффективный вариант капитальных вложений, если капитальные вложения: К1=400 тыс. руб., К2=600 тыс. руб.; себестоимость годового объема производства: С1=600 тыс. руб., С2=510 тыс. руб.; годовой объем производства: N1=25 тыс. шт.; N2=30 тыс. шт.; норма рентабельности 0,3.

Задача 7.5.
Определите наиболее эффективный вариант осуществления капитальных вложении, если единовременные затраты: К1=200 тыс. руб., К2=150 тыс. руб., К3=120 тыс. руб.; себестоимость годового объема производства: С1=180 тыс. руб., С2=210 тыс. руб., С3=240 тыс. руб.; годовой объем производства: N 1=20 тыс. ед., N2=25 тыс. ед., N3=30 тыс. ед.; норма рентабельности 0,3.

Задача 7.6.
Определите чистый дисконтированный доход (ЧДД) и индекс доходности (ИД) на основании следующих данных

Годы
1
2
3
4
Инвестиции, тыс. руб.
370
50


Выручка от реализации продукции, тыс. руб.
0
400
500
600
Себестоимость реализованной продукции, тыс. руб.
0
250
270
300
Ставка дисконта – 25%.

Задача 7.7.
Определите суммы выплат за долгосрочный кредит на капитальные вложения, если сумма кредита 200 тыс. руб., продолжительность кредита 4 года, доля капитальных вложений по годам 25%, годовая процентная ставка за кредит 20%. Кредит выплачивается:
а) одной суммой по завершении срока кредитования, т. е. в конце 4-го года;
б) равными долями в конце каждого года с начисленными за год процентами.

Задача 7.8.
Определите наиболее эффективный вариант осуществления капитальных вложений, если нормативный коэффициент эффективности 0,15, а капитальные вложения общей суммой 100 тыс. руб. по вариантам и годам финансирования распределяются следующим образом:

Капитальные вложения,
тыс. руб.
Годы финансирования
1 год
2 год
3 год
1 вариант
20
30
50
2 вариант
30
40
30
3 вариант
20
50
30

Задача 7.9.
Определите чистый дисконтированный доход (ЧДД) и индекс доходности (ИД), если капитальные вложения распределены по годам следующим образом: З1=160 тыс. руб., З2=200 тыс. руб., З3=400 тыс. руб., З4=480 тыс. руб.; чистая прибыль по годам: R1=0; R2=640 тыс. руб.; R3=1440 тыс. руб.; R4=1520 тыс. руб.; норма дисконта 30%.

Задача 7.10.
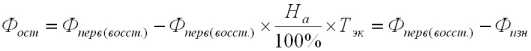
Определите предельную величину капитальных вложений для замены физически изношенного оборудования на более производительную модель и ликвидационную стоимость (предельную), если первоначальная стоимость заменяемой техники Цс=30 тыс. руб., новой модели Цн=80 тыс. руб., нормативный срок службы старой модели Тс=10 лет, период эксплуатации Тэк=7 лет, ликвидационная стоимость Цл=0,4Цост, себестоимость единицы продукции до замены Сс=20 руб., после замены Сн=19,2 руб., годовой объем производства при старой модели Qс=6000 ед., при новой увеличивается в два раза, норма рентабельности 18%.

Задача 7.11.
Затраты на внедрение новой техники составляют 100 тыс. руб. В результате этого себестоимость одной единицы продукции снизилась на 20 рублей. Определить целесообразность внедрения новой техники, если годовой объем производства составляет 4 тыс. изделий.

Задача 7.12.
Определить годовой экономический эффект в результате модернизации станка. Дополнительные затраты связанные с модернизацией составили 50000 руб. Норма времени на деталь с 90 мин. снизилась до 75 мин. Часовая тарифная ставка осталась неизменной и составила 24 руб.
Годовая программа выпуска составила 2500 штук. Нормативный коэффициент эффективности 20%.

Задача 7.13.
Определить экономическую целесообразность проведения реконструкции цеха, если затраты на нее составили 2 млн. руб. Реконструкция позволяет снизить трудоемкость выпускаемой в цехе продукции на 0,15 часа. Часовая тарифная ставка 9,1 руб.
Годовой выпуск продукции 698000 штук.

Задача 7.14.
По плану предприятие должно произвести за год 10000 штук изделий. Постоянная часть накладных расходов, включаемая в план себестоимости 4000 руб. Фактически предприятием выпущено 15000 штук изделий.
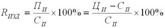
Себестоимость одного изделия по плану 2 рубля. Определить:1) сумму экономии от снижения себестоимости одного изделия за счет сокращения накладных расходов; 2) процент снижения плановой себестоимости.

Задача 7.15.
Определить годовой экономический эффект в результате внедрения рацпредложения при следующих данных:

Показатели
Действующее
оборудование
Оборудование после внедрения рацпредложения
Стоимость производственных фондов, тыс. руб.
1500
2000
Программа по изготовлению деталей на станке, тыс. шт./год
800
900
Затраты на деталь
1,8
1,4

Задача 7.16.
Определить срок окупаемости капитальных затрат на модернизацию оборудования на предметно-замкнутом участке механического цеха при следующих данных:

Показатели
До модернизации
После модернизации
Годовой объем производства, шт.
1500
2000
Себестоимость детали, руб.
800
900
Дополнительные капитальные затраты на проведение модернизации по смете 300 тыс. руб.

Задача 7.17.
Определить срок окупаемости дополнительных капитальных вложений при модернизации специальных станков обработки крыла самолета.

Исходные данные
До модернизации
После модернизации
Стоимость станков, тыс. руб.
300
500
Затраты на обработку одной детали, руб.
25
15
Программа выпуска, шт./год
10000
10000


Для новых ОПФ и нематериальных активов:


Норма амортизации (
Для новых ОПФ и нематериальных активов:
) – годовой (месячный) процент переноса стоимости ОПФ, исчисленный исходя из срока полезного использования данного объекта.

  1. Для новых ОПФ и нематериальных активов:
Для новых ОПФ и нематериальных активов:
(3.20)
где
Для новых ОПФ и нематериальных активов:
- годовая норма амортизации, %;
Для новых ОПФ и нематериальных активов:
- срок полезного использования объекта ОПФ, лет;
(для нематериальных активов срок полезного использования определяется исходя из: срока, оговоренного договором (лицензии, права пользования, патенты); срока деятельности организации – пользователя; при невозможности установления
Для новых ОПФ и нематериальных активов:
=10 лет).

  1. Для ОПФ, бывших в эксплуатации:
Для новых ОПФ и нематериальных активов:
(3.21)
где
Для новых ОПФ и нематериальных активов:
- фактический срок эксплуатации объекта ОПФ, который должен быть указан при покупке, лет.
Амортизационные отчисления – это денежное выражение перенесенной стоимости ОПФ, включаемое в состав себестоимости продукции (работы, услуги):
Для новых ОПФ и нематериальных активов:
(3.22)
Амортизационные отчисления производятся предприятиями ежемесячно одним из следующих методов:
1) линейным методом;
2) нелинейным методом.
Предприятие применяет линейный метод начисления амортизации к зданиям, сооружениям, передаточным устройствам, входящим в восьмую – десятую амортизационные группы, независимо от сроков ввода в эксплуатацию этих объектов. К остальным основным фондам предприятие вправе применять один из двух методов. Начисление амортизации в отношении объекта амортизируемого имущества осуществляется в соответствии с нормой амортизации (
Для новых ОПФ и нематериальных активов:
), определенной для данного объекта исходя из его срока полезного использования.
При применении линейного метода сумма начисленной за один месяц амортизации в отношении объекта амортизированного имущества определяется как произведение его первоначальной (восстановительной) стоимости и нормы амортизации, определенной для данного объекта.
При применении линейного метода норма амортизации по каждому объекту амортизированного имущества определяется по формуле:
Для новых ОПФ и нематериальных активов:
(3.23)
где
Для новых ОПФ и нематериальных активов:
- месячная норма амортизации, %;
Для новых ОПФ и нематериальных активов:
- срок полезного использования данного объекта ОПФ, выраженный в месяцах.
При применении нелинейного метода сумма начисленной за один месяц амортизации в отношении объекта амортизированного имущества определяется как произведение остаточной стоимости объекта амортизированного имущества и нормы амортизации, определенной для данного объекта. При применении нелинейного метода норма амортизации объекта амортизированного имущества определяется по формуле:
Для новых ОПФ и нематериальных активов:
(3.24)
где
Для новых ОПФ и нематериальных активов:
- месячная норма амортизации, %.
При этом с месяца, следующего за месяцем, в котором остаточная стоимость объекта амортизируемого имущества достигнет 20% от первоначальной (восстановительной) стоимости этого объекта, амортизация по нему исчисляется в следующем порядке:

  1. остаточная стоимость объекта ОПФ в целях начисления амортизации фиксируется как его базовая стоимость для дальнейших расчетов;
  2. сумма начисляемой за один месяц амортизации в отношении данного объекта ОПФ определяется путем деления базовой стоимости данного объекта на количество месяцев, оставшихся до истечения срока полезного использования данного объекта.
Амортизационный фонд – это сумма всех амортизационных отчислений, аккумулируемая на специальных счетах предприятия, и используемая для приобретения новых ОПФ, а также для проведения реконструкции и технического перевооружения.
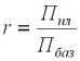
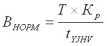
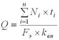
Важнейшей характеристикой потенциальных возможностей и степени использования ОПФ является производственная мощность предприятия (участка, цеха). Под производственной мощностью понимается максимально возможный годовой объем выпуска продукции при заданных номенклатуре и ассортименте при наиболее рациональном использовании оборудования и площадей и установленном режиме работы предприятия. Производственная мощность измеряется в тех же единицах, в которых планируется производство продукции (тонны, килограммы, штуки, метры и т.д.)
В общем виде производственная мощность (
Для новых ОПФ и нематериальных активов:
) предприятия (цеха) может быть определена по формуле:
Для новых ОПФ и нематериальных активов:
(3.25)
где
Для новых ОПФ и нематериальных активов:
- количество единиц однотипного оборудования, занятых выполнением производственной программы;
Для новых ОПФ и нематериальных активов:
- выработка или производительность каждой единицы оборудования;
Для новых ОПФ и нематериальных активов:
- эффективный фонд времени работы оборудования, часы;
Для новых ОПФ и нематериальных активов:
- трудоемкость изготовления единицы продукции, часы.

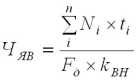
Количество единиц оборудования для создаваемых предприятий и новых производств рассчитывают следующим образом:
Для новых ОПФ и нематериальных активов:
(3.26)
где
Для новых ОПФ и нематериальных активов:
- объем производства i-го изделия, шт.;
Для новых ОПФ и нематериальных активов:
- трудоемкость изготовления i-го изделия, ч;
Для новых ОПФ и нематериальных активов:
- коэффициент выполнения норм;
Для новых ОПФ и нематериальных активов:
Для новых ОПФ и нематериальных активов:
- количество номенклатурных пози^ий выпускаемых изделий.

Производственная мощность сборочных участков (цехов) зависит от размеров собираемых изделий и продолжительности цикла сборки:
Для новых ОПФ и нематериальных активов:
(3.27)
где
Для новых ОПФ и нематериальных активов:
- полезная площадь участка (цеха), м2, определяемая по формуле:
Для новых ОПФ и нематериальных активов:
(3.28)
где
Для новых ОПФ и нематериальных активов:
- общая площадь участка (цеха), м2;
Для новых ОПФ и нематериальных активов:
- вспомогательная площадь (проезды, проходы), %.
Для новых ОПФ и нематериальных активов:
- удельная площадь, необходимая для сборки одного изделия, м2, определяемая по формуле:
Для новых ОПФ и нематериальных активов:
(3.29)
где
Для новых ОПФ и нематериальных активов:
- площадь изделия, определяемая по его габаритам, м2;
Для новых ОПФ и нематериальных активов:
- дополнительная площадь (рабочая зона, необходимая для сборки изделия), %;
Для новых ОПФ и нематериальных активов:
- производственный цикл для сборки изделия, дни или часы.

При планировании и учете выделяют:

  1. входную производственную мощность (на начало периода – квартал, год) (
    Для новых ОПФ и нематериальных активов:
    );
  2. выходную производственную мощность (на конец периода – квартал, год) (
    Для новых ОПФ и нематериальных активов:
    );
  3. среднегодовую производственную мощность (
    Для новых ОПФ и нематериальных активов:
    ):
Для новых ОПФ и нематериальных активов:
(3.30)
где
Для новых ОПФ и нематериальных активов:
- вводимая производственная мощность в течение планового периода, руб.;
Для новых ОПФ и нематериальных активов:
- выведенная производственная мощность в течение планового периода, руб.;
Для новых ОПФ и нематериальных активов:
- время эксплуатации введенных производственных мощностей с момента введения до конца планового периода, мес.;
Для новых ОПФ и нематериальных активов:
- время неэксплуатации выведенных производственных мощностей с момента выведения до конца планового периода, мес.;
Для новых ОПФ и нематериальных активов:
- количество вводов в течение планового периода;
Для новых ОПФ и нематериальных активов:
- количество выводов в течение планового периода.

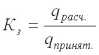
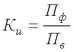
Коэффициент использования производственной мощности (
Для новых ОПФ и нематериальных активов:
) определяется по формуле:
Для новых ОПФ и нематериальных активов:
(3.31)
где П - плановый или фактический объем выпуска продукции, руб.;

Коэффициент планового использования производственной площади определяется по формуле:
Для новых ОПФ и нематериальных активов:
(3.32)
где
Для новых ОПФ и нематериальных активов:
- планируемая загрузка производственной площади (необходимое количество квадратных метро-часов или метро-дней на выполнение плана сборки), определяемая как:
Для новых ОПФ и нематериальных активов:
(3.33)
Для новых ОПФ и нематериальных активов:
- пропускная способность по площади (м2-ч или м2-дни) определяемая как:
Для новых ОПФ и нематериальных активов:
(3.34)

Коэффициент загрузки оборудования (
Для новых ОПФ и нематериальных активов:
) определяется как:
Для новых ОПФ и нематериальных активов:
(3.35)
где
Для новых ОПФ и нематериальных активов:
- расчетное число единиц оборудования, шт.;
Для новых ОПФ и нематериальных активов:
- принятое число единиц оборудования, получают путем округления
Для новых ОПФ и нематериальных активов:
до целого числа в большую сторону, шт.


Типовые задачи с решением
Задача 1
Первоначальная стоимость ОПФ за вычетом износа на начало года по сборочному цеху составляет 1900 тыс. руб. Износ ОПФ на начало года составил 20%. С 1 апреля в эксплуатацию были введены новые фонды стоимостью 180 тыс. руб., а с 1 мая списано вследствие полного износа фондов на 150 тыс. руб.
Среднегодовая норма амортизации по цеху составляет 10%. Определить на конец года первоначальную и остаточную стоимость ОПФ и коэффициент обновления основных производственных фондов.
Решение:

  1. Определим первоначальную стоимость ОПФ на начало года:
Для новых ОПФ и нематериальных активов:


  1. Первоначальная стоимость ОПФ на конец года:
Для новых ОПФ и нематериальных активов:


  1. Среднегодовая первоначальная стоимость:
Для новых ОПФ и нематериальных активов:


  1. Годовая сумма амортизационных отчислений:
Для новых ОПФ и нематериальных активов:


  1. Остаточная стоимость на конец года:
Для новых ОПФ и нематериальных активов:


  1. Коэффициент обновления основных фондов:
Для новых ОПФ и нематериальных активов:
, т.е. 7,5%

Задача 2.
Месячная производственная программа цеха составляет 5000 изделий. Трудоемкость токарных операций – 0,65 нормо-часа, шлифовальных операций – 0,2 нормо-час. Режим работы оборудования двухсменный. Планируемый коэффициент выполнения норм 105%.
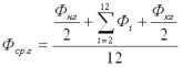
Определить расчетное и фактически принятое количество оборудования и коэффициент загрузки каждой группы оборудования; производственную мощность цеха, если действительный месячный фонд времени оборудования равен 330 часов.
Решение:

  1. Определим расчетное количество оборудования:
Для новых ОПФ и нематериальных активов:
принимаем qприн.ТОК=10 токарных станков.
Для новых ОПФ и нематериальных активов:
принимаем qприн.ШЛИФ=3 шлифовальных станка.


  1. Коэффициент загрузки этой группы оборудования:
Для новых ОПФ и нематериальных активов:
;
Для новых ОПФ и нематериальных активов:


  1. Производственная мощность цеха:
Для новых ОПФ и нематериальных активов:
шт.
Для новых ОПФ и нематериальных активов:
шт.
Производственная мощность цеха равна Мцех=5197 шт.


Задачи для самостоятельного решения

Задача 3.1
Основные производственные фонды предприятия на начало 2003г. составляли 3500 тыс. руб. Ввод и выбытие основных фондов в течение года следующее:
Ввод Выбытие
1 марта 40 тыс. руб. 5 тыс. руб.
1 мая 60 тыс. руб. 4 тыс. руб.
1 июля 90 тыс. руб. 8 тыс. руб.
1 ноября 10 тыс. руб. 2 тыс. руб.
Определите среднегодовую и выходную стоимость основных производственных фондов, а также коэффициент выбытия и обновления фондов.

Задача 3.2
За 2002 г. среднегодовая стоимость ОПФ сборочного цеха составила 2000 тыс. руб., выпуск продукции 4800 тыс. руб.
В 2003 г. при той же стоимости ОПФ за счет сокращения простоев оборудования на 20% выпуск продукции составил 5600 тыс. руб.
Определите фондоотдачу и фондоемкость продукции в 2002 и 2003 годах, а также дополнительный выпуск продукции в 2003 г. на 1% снижения потерь рабочего времени.

Задача 3.3
Первоначальная стоимость станка – 240 тыс.



Фактический объем выпуска


руб., срок полезного использования – 5 лет. Определите остаточую стоимость и стоимость износа станка после 6 месяцев эксплуатации линейным и нелинейным методами.
Задача 3.4
Первоначальная стоимость станка – 38 тыс. руб., полезный срок использования – 7 лет. Определите годовую норму амортизационных отчислений, коэффициент годности и коэффициент износа после трех лет эксплуатации.

Задача 3.5
В отчетном году предприятию за счет организационно-технических мероприятий удалось сократить потери рабочего времени на проведение ремонта оборудования. Определите коэффициенты экстенсивной и интенсивной загрузки оборудования, фондоотдачу в предыдущем и отчетном годах.
Исходные данные:

Показатели
Ед.
измерения
Базисный год
Отчетный год
1. Объем товарной продукции
тыс. руб.
2245
2675
2. Среднегодовая производственная мощность
тыс. руб.
2705
2785
3. Среднегодовая стоимость ОПФ
тыс. руб.
1249
1276
4.Фактически отработанное время (в среднем на единицу оборудования) за год
ч
3345
3654
5. Плановые потери рабочего времени на ремонт оборудования
% от режимного фонда
7
4
Число выходных и праздничных дней в предыдущем и отчетном годах 110 и 118 дней соответственно, календарных – 365 дней. Режим работы – в две смены.

Задача 3.6
Первоначальная стоимость станка – 250 тыс. руб. Через 6 лет стоимость подобных станков составила 150 тыс. руб., а годовая норма амортизации осталось прежней – 10%. Определите:

  1. остаточную стоимость на начало седьмого года (тыс. руб.);
  2. сумму потерь от морального износа (тыс. руб.).

Задача 3.7
В 2002г. фирма изготовила изделий на сумму 984 млн. руб., среднегодовая стоимость ее основных производственных фондов составила 400 млн. руб. В 2003г. выпущено продукции на сумму 895 млн. руб., среднегодовая стоимость ОПФ фирмы – 550 млн. руб. Определите изменение фондоотдачи по годам.

Задача 3.8
На станке, первоначальная стоимость которого 120 тыс. руб. (годовая норма амортизации 12%), планировалось за год изготовить 5000 шт. деталей. Фактический объем выпуска составил 6200 шт. деталей. Определите плановую и фактическую сумму амортизационных отчислений, приходящуюся на одну деталь.

Задача 3.9
Первоначальная стоимость ОПФ предприятия на начало года составила 47 млн. руб. В течение года были введены в действие машины и оборудование на сумму 5 млн. руб. и выведено из эксплуатации оборудование на сумму 3 млн. руб. Износ фондов на начало года составлял 30%, среднегодовая норма амортизации за год – 10%. Определите:

  1. первоначальную стоимость ОПФ на конец года;
  2. сумму амортизации за год;
  3. остаточную стоимость ОПФ на конец года.

Задача 3.10
Исходя из нижеприведенных данных о составе основных фондов предприятий, определите структуру основных производственных фондов.

Фонды основного вида деятельности (тыс. руб.)


Виды основных фондов
Наличие на 1.01.2003г.
Предпр.-1
Предпр.-2
Предпр.-3
1.
Здания
10 800
48 050
94 500
2.
Сооружения
1 150
177 300
15 570
3.
Машины и оборудование
8 550
127 990
126 210
4.
Транспортные средства
1 400
5 580
6 290
5.
Производственный и хозяйственный инвентарь
930
1010
1 650
6.
Прочие
270
1 470
3 970

Задача 3.11
Определите на 01.01.2003г. восстановительную стоимость склада в целом, исходя из следующих условий:
1. Полная первоначальная стоимость склада готовой продукции 950 тыс. руб., в том числе стоимость оборудования – 250 тыс. руб.
2. На момент переоценки индекс цен на оборудование по сравнению с годом ввода в эксплуатацию составляет 1,03.
3. Индекс изменения стоимости строительно-монтажных работ – 1,4.
Задача 3.12
Фирма приобрела и с 01.01.2002г. ввела в эксплуатацию 5 идентичных объектов вычислительной техники на общую сумму 180 тыс. руб. (без НДС). Срок полезного использования объектов установлен в 5 лет. На 01.01.2003г. была проведена переоценка основных фондов.
В январе 2003г. фирма решила вложить эти объекты основных фондов в качестве вклада в уставной капитал общества с ограниченной ответственностью по договорной стоимости 30000 руб. каждый.
Правильно ли фирма выбрала метод проведения переоценки на основе рыночной стоимости – 26 тыс. руб. за объект, либо более выгодным для нее было проведение переоценки с использованием метода индексации? Значения индекса-дефлятора в 2002г.: I кв. – 109,4%; II кв. – 106,6%; III кв. – 107,9%; IV кв. – 108,2%.

Задача 3.13
В июле 2001г. предприятием было приобретено и поставлено на баланс оборудование стоимостью 200 тыс. руб. Годовая норма амортизации – 14%. В январе 2003г. была осуществлена модернизация этого оборудования, позволившая увеличить его мощность.
Затраты на модернизацию составили 35 тыс. руб. Рассчитайте по результатам проведения модернизации первоначальную стоимость и остаточную стоимость оборудования на 31 декабря 2003г.

Задача 3.14
Предприятие А приобрело бывший в эксплуатации станок. Фактический срок его эксплуатации у прежнего собственника составил 3 года. Срок полезного использования станка 10 лет.
Затраты предприятия по приобретению и установке данного станка составляют 50 тыс. руб. Определить годовую норму и сумму амортизации, установленную предприятием А для приобретенного станка.

Задача 3.15
Предприятие приобрело полностью самортизированный объект основных фондов, заплатив 70 тыс. руб. (без НДС). По данным комиссии и заключения приглашенного эксперта, его можно использовать в производственном процессе в течение двух лет. Имеет ли право предприятие начислять и списывать на себестоимость амортизацию по этому объекту основных фондов?
Если да, то какова годовая сумма амортизационных отчислений?

Задача 3.16
Определите процент физического износа станка, если полезный срок использования его согласно технической документации равен 7 годам, а фактически станок эксплуатировали 4 года. Пользуясь вышеприведенными данными, определите процент физического износа станка, если дополнительно известно, что согласно экспертной оценке он может проработать еще 5 лет.

Задача 3.17
Рассчитайте остаточную стоимость оборудования через 5 лет со сроком полезного использования 10 лет, первоначальной стоимостью 200 тыс. руб. при применении: 1) линейного способа начисления амортизации; 2) способа уменьшаемого остатка; 3) способа списания стоимости по сумме чисел лет срока полезного использования.

Задача 3.18
Стоимость ОПФ на начало года составляет 1900 тыс. руб. В этом году запланирован ввод в действие основных фондов с 1 июня на 250 тыс. руб., с 1 августа – на 105 тыс. руб. и вывод с 1 октября – на 140 тыс. руб. Среднегодовая норма амортизации – 8%.
Определите среднегодовую стоимость основных производственных фондов и годовую сумму амортизационных отчислений.

Задача 3.19
Первоначальная стоимость станка – 200 тыс. руб. Станок находится в эксплуатации 4 года. Ежегодные амортизационные отчисления составляют 20 тыс. руб. Определите:

  • годовую норму амортизации;
  • срок полезного использования станка;
  • коэффициент износа и коэффициент годности на конец 4-го года эксплуатации.

Задача 3.20
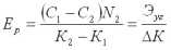
Амортизационные отчисления по механическому цеху составили 250 тыс. руб. Цех за год изготовил продукции на 3 млн. руб., что на 10% больше, чем предусматривалось планом. Определите годовую экономию за счет снижения доли амортизационных отчислений на 1 руб. выпускаемой продукции.

Задача 3.21
На основе нижеприведенных показателей предприятия определите:

Показатели
Базовый
период
Плановый
Период
Среднегодовая производственная мощность (тыс. руб.)
116 980
140 746
Стоимость ОПФ (тыс. руб.)
90 560
94 762
Стоимость активной части ОПФ (тыс. руб.)
49 953
54 238
Удельный вес активной части в общем объеме ОПФ (%)
54,08
55,21
Стоимость действующего оборудования (тыс. руб.)
30 987
33 732
Удельный вес действующего оборудования в стоимости активной части ОПФ (%)
63,22
63,29
Фонд времени работы действующего оборудования
(тыс. станко-часов)
112 320
111 515
  1. отклонения и темпы роста по всем приведенным в таблице показателям;
  2. время работы единицы оборудования и фондоотдачу активной части производственных фондов;

Задача 3.22
На машиностроительном предприятии на плановый период предусмотрено увеличение объема производства продукции и повышение фондоотдачи при неизменной фондовооруженности труда. Определите:

  1. дополнительную потребность предприятия в основных фондах;
  2. дополнительную потребность предприятия в трудовых ресурсах;
  3. уровень фондоотдачи, обеспечивающий производственную программу без дополнительного привлечения фондов.
Исходные данные для расчета:

Базовый период
Плановый период
Выпуск продукции (тыс. руб.)
Фондоотдача (руб./руб.)
Фондовооруженность (руб./чел.)
Увеличение
объема пр-ва
(%)
Фондоотдача (руб./руб.)
15
3
2500
10
3,2

Задача 3.23
В цехе имеется пять единиц ведущего оборудования. Максимально возможный (полезный) фонд времени работы каждой единицы составляет 330 часов в месяц. Нормативная трудоемкость обработки изделия на этом оборудовании составляет 2 часа.



Годовой объем выпуска продукции


В июне было введено в эксплуатацию еще три единицы такого же оборудования, а в сентябре ликвидирована одна единица. Фактический объем продукции цеха за год составил 10000 изделий. Определите: 1. годовую производственную мощность цеха на начало года (шт.);
2. среднегодовую производственную мощность (шт.);
3. коэффициент использования производственной мощности (%).

Задача 3.24
На предприятии продолжительность рабочей смены равна 8 часам при плановых простоях на проведение ремонтных работ 1 час. По паспортным данным часовая производительность станка составляет 100 изделий. Фактическое время работы станка составило 6 часов, выработано 300 изделий. Определите:

  1. коэффициент экстенсивного использования оборудования;
  2. коэффициент интенсивного использования оборудования;
  3. коэффициент интегрального (по времени и производительности) использования оборудования.

Задача 3.25
В цехе установлено 100 станков. Режим работы цеха двухсменный, продолжительность смены 8 часов. Годовой объем выпуска продукции – 280 тыс. изделий, производсвенная мощность цеха – 310 тыс. изделий.
Определите коэффициент сменности работы станков, коэффициенты экстенсивной и интенсивной загрузки. Известно, что в первую смену работают все станки, во вторую – 50% станочного парка, количество рабочих дней в году – 260, время фактической работы одного станка за год – 4000 часов.

Задача 3.26
В цехе установлено 10 станков. Режим работы – в две смены. Затраты на переналадку и ремонт станков составляют 10% от номинального фонда времени.
Норма времени на изготовление одной детали – 2 часа. Средний процент выполнения норм – 115%. Фактически один станок отработал в течение года в среднем 3039 часов. Определите:
1. номинальный и действительный фонд времени работы станков;
2. годовой выпуск деталей этой группы станков (производственную мощность);
3. коэффициент экстенсивного использования станков.

Задача 3.27
Определите производственную мощность участка и объем выпуска продукции исходя из следующих данных:
- на участке цеха работают 20 станков;
- норма времени на обработку одного изделия – 0,5 ч.;
- режим работы – двухсменный;
- продолжительность смены – 8 часов;
- число нерабочих дней в году – 107;
- регламентированные простои оборудования – 3% от режимного фонда времени;
- коэффициент использования станков – 0,85.

Задача 3.28
Определите выходную и среднегодовую мощность участка и объем выпуска продукции, если: производственная мощность на начало года – 18200 тыс. руб. продукции; планируемый прирост производственной мощности: с 1 апреля – 400 тыс. руб., с 1 июля – 340 тыс. руб., с 1 ноября – 300 тыс. руб.; планируемое выбытие производственной мощности: с 1 июня – 120 тыс. руб., с 1 сентября – 180 тыс. руб.

Задача 3.29
У фирмы есть возможность для 50% своих основных фондов применить ускоренную амортизацию. В затратах фирмы амортизация составляла 10%. Необходимо определить, как применение ускоренной амортизации отразится на затратах фирмы.
При каких условиях применение ускоренной амортизации будет выгодно фирме?

Задача 3.30
Потребуются ли фирме дополнительные средства на оборудование, если она рассчитывает увеличить объем выпуска на 12% и ликвидировать полностью простои оборудования из-за отсутствия заказов, составлявших в прошлом году 10% рабочего времени?

Задача 3.31
В цехе машиностроительного завода три группы станков: шлифовальные – 5 единиц, строгальные – 11 единиц; револьверные – 12 единиц. Норма времени на обработку единицы изделия в каждой группе станков соответственно: 0,7 ч; 1,2 ч; 1,6 ч. Определите производственную мощность цеха, если известно, что режим работы двухсменный, продолжительность смены – 8 ч, регламентированные простои оборудования составляют 7% режимного фонда времеи, число рабочих дней в году 265.

Задача 3.32
Ткацкая фабрика работает в две смены, количество ткацких станков на начало года 500. С 1 апреля установлено 70 станков, с 1 августа выбыло 40 станков. Число рабочих дней в году – 250, плановый процент простоя на ремонт одного станка 5%, производительность одного станка 4 м ткани в час, план выпуска продукции – 7500 тыс. м. Рассчитайте производственную мощность фабрики по выпуску ткани и коэффициент ее использования.

Задача 3.33
Общая площадь цеха 640 м2, из них вспомогательная площадь (под обслуживание и бытовые помещения, проходы, проезды) 35%. В течение квартала (66 рабочих дней) цех собирает 280 изделий; цикл сборки одного изделия 14 дней. Площадь, занимаемая одним изделием при сборке, 12 м2.
Цех работает в две смены. Определите коэффициент использования производственной площади цеха.

Задача 3.34
Определите сменность работы оборудования участка обработки тракторной шестерни карданного вала при следующих условиях: квартальная программа запуска 38500 шт.; планируемые потери времени в работе оборудования 5%. Парк оборудования на участке и нормы штучного времени следующие:

Номер операции
1
2
3
4
5
6
Число станков, шт.
4
2
2
2
2
5
Норма штучного времени, мин.
5,3
2,2
3,0
2,4
3,2
7,0


Контрольные вопросы к теме

  1. Дайте понятие основных фондов и нематериальных активов?
  2. Какие существуют виды стоимостных оценок ОПФ и для чего они применяются?
  3. Какова сущность физического и морального износа ОПФ, факторы, на них влияющие?
  4. Какова сущность амортизации основных фондов?
  5. Дайте понятие нормы амортизации.
  6. Каково назначение амортизационного фонда?
  7. Какие основные показатели характеризуют уровень использования ОПФ?
  8. Что такое производственная мощность предприятия?
  9. Что такое среднегодовая производственная мощность и как ее рассчитать?






Норма времени на единицу продукции


Важнейшей задачей предприятия является постоянный поиск и реализация резервов роста производительности труда, под которыми подразумеваются имеющиеся, еще не используемые реальные возможности повышения производительности труда.
Резервы роста производительности труда на предприятии можно классифицировать следующим образом:
• повышение технического уровня производства в результате механизации и автоматизации производства; внедрения новых видов оборудования и технологических процессов; улучшения конструктивных свойств изделий; повышения качества сырья и применения новых конструктивных материалов;
• совершенствование управления, организации производства и труда путем повышения норм труда и расширения зон обслуживания; уменьшении числа рабочих, не выполняющих нормы; упрощения структуры управления; механизации учетных и вычислительных работ; повышения уровня специализации производства;
• структурные изменения в производстве вследствие изменения удельных весов отдельных видов продукции; трудоемкости производственной программы; доли покупных полуфабрикатов и комплектующих изделий; удельного веса новой продукции.
Анализ изменения производительности труда в зависимости от различных факторов проводят, используя нижеприведенные формулы.
1. Рост производительности труда в зависимости от сокращения трудоемкости изготовления продукции
Норма времени на единицу продукции
(5.7)
где ПТ – рост производительности труда за счет сокращения трудоемкости изготовления изделия, %;
В0, В1 – производительность труда (выработка) в базисном и отчетном (плановом) периодах соответственно;
Тр0, Тр1 – трудоемкость продукции в базисном и отчетном (плановом) периодах соответственно, нормо-час;
Тр – сокращение трудоемкости изготовления продукции, %.
2. Снижение трудоемкости продукции вследствие роста производительности труда
Норма времени на единицу продукции
(5.8)

3. Рост производительности труда в зависимости от сокращения потерь от брака

Норма времени на единицу продукции
(5.9)
где ПТбр – рост производительности труда за счет сокращения потерь от брака, %;
Бпл, Ботч – соответственно потери от брака в плановом и отчетном периодах, %.
Самостоятельным направлением организации труда является его нормирование. Под нормированием труда понимается установление меры затрат труда в виде норм труда на выполнение определенных операций (изготовление единиц продукции) или выполнение определенного объема работ в наиболее рациональных организационно-технических условиях.
Нормы труда подразделяются на нормы времени, нормы выработки, нормы обслуживания, нормы управляемости.
Нормы времени (tНОРМ) представляют собой количество рабочего времени, необходимого для изготовления единицы продукции или выполнения объема работ в конкретных организационно-технических условиях. Норма времени измеряется в нормо-часах, нормо-днях.
Норма выработки – установленный объем работ, который работники или группа работников (звено, бригада) соответствующей квалификации должны выполнить в единицу рабочего времени (час, смену и т.д.) в определенных организационно-технических условиях.
Норма выработки (ВНОРМ) обратно пропорциональна норме времени и определяется по формуле:
Норма времени на единицу продукции
(5.10)
где tНОРМ - норма времени на единицу продукции;
Норма времени на единицу продукции
- продолжительность рабочего времени (час, смена);
Норма времени на единицу продукции
- количество работников, участвующих в выполнении работы.
Норма обслуживания – это количество производственных объектов (единиц оборудования, рабочих мест, производственных площадей и т.д.), которые работник или группа работников соответствующей квалификации должны обслужить в единицу времени в определенных организационно-технических условиях.
Норма управляемости – это численность работников (количество структурных подразделений), которыми может эффективно руководить один менеджер.
Для установления норм труда применяют аналитический и опытно-статистический методы нормирования труда. Аналитический метод предполагает научный подход к формированию норм и предусматривает проведение следующих операций: исследование трудового процесса, расчленение его на составные элементы; изучение всех факторов, влияющих на затраты труда; проектирование более совершенного состава операции и методов ее выполнения; разработка мероприятий по улучшению обслуживания рабочего места; расчет времени на выполнение работы; внедрение нормы в производство.
Аналитический метод нормирования дифференцируется на аналитическо-расчетный, при котором используются готовые нормативы времени, и аналитическо-исследовательский, в соответствии с которым нормы определяются путем применения хронометража, фотографий рабочего дня, выборочного метода изучения потерь рабочего времени.
При опытно-статистическом методе сложившееся положение на предприятии в предыдущие периоды рассматривается как база для сравнения с плановым периодом.

В основе организации оплаты труда работников любого предприятия лежат фонд оплаты труда; тарифная система; формы и системы оплаты труда.
Фонд оплаты труда представляет собой источник средств, предназначенных для выплат заработной платы и выплат социального характера. Он рассчитывается либо методом прямого счета путем умножения среднесписочной плановой численности работающих на среднюю заработную плату одного работающего в плановом периоде, либо нормативным методом расчета – путем умножения общего объема выпускаемой продукции в стоимостном выражении на норматив заработной платы на 1 руб. выпускаемой продукции.
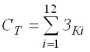
Тарифная система предназначена для дифференцирования оплаты труда по отраслям и категориям работников, выполняющих работы различной сложности. Она состоит из трех элементов: тарифных ставок; тарифных сеток; тарифно-квалификационных справочников.
Тарифные ставки определяют размер оплаты труда за единицу времени, например, час, день, месяц. Тарифные ставки устанавливают в зависимости от тяжести и вредности труда, его интенсивности. За базу для определения тарифных ставок принимается минимальный уровень оплаты труда, устанавливаемый государством на тот или иной период времени.
Тарифные сетки определяют соотношение в оплате труда в зависимости от его квалификации. На многих промышленных предприятиях в зависимости от квалификации все рабочие и работы делятся на шесть тарифных разрядов.
Тарифная сетка характеризуется числом тарифных разрядов и диапазоном тарифных коэффициентов.
Тарифный коэффициент – отношение тарифной ставки данного разряда к тарифной ставке первого разряда. В бюджетной сфере экономики Постановлением Правительства РФ от 14 октября 1992 г. № 785 для дифференциации в уровнях оплаты труда работников введена единая 18-разрядная тарифная сетка (таблица 1 соответствует состоянию на 1.01.2004).
Таблица 1

Разряд
1
2
3
4
5
6
7
8
9
Тарифный коэффициент
1,00
1,11
1,23
1,36
1,51
1,67
1,84
2,02
2,22
Тарифная ставка
600
666
738
816
906
1002
1104
1212
1332
Продолжение таблицы 1

Разряд
10
11
12
13
14
15
16
17
18
Тарифный коэффициент
2,44
2,68
2,89
3,12
3,36
3,62
3,9
4,2
4,5
Тарифная ставка
1464
1608
1734
1872
2016
2172
2340
2520
2700

Тарифно-квалификационные справочники подразделяют различные виды работ в зависимости от их сложности. В них содержится характеристика того, что должен знать и уметь работник соответствующего квалификационного разряда.
Формы и системы заработной платы представляют собой способы установления зависимости между величиной оплаты труда и трудовым вкладом работников.
Измерителями затрат труда являются рабочее время и количество изготовленной продукции. На основе этих измерителей строятся основные формы оплаты труда рабочих – повременная и сдельная.
При повременной оплате труда мерой оплаты труда выступает отработанное время, а заработок начисляется в соответствии с тарифной ставкой работника или в форме оклада за фактически отработанное время.
При сдельной оплате мерой труда являетс выработанная продукция, а оценка труда производится в соответствии со сдельной расценкой.
Расценка может быть рассчитана двумя способами:
Норма времени на единицу продукции
(5.11)
где
Норма времени на единицу продукции
- часовая тарифная ставка, руб.
Норма времени на единицу продукции
- часовая норма выработки.
Норма времени на единицу продукции
(5.12)
где
Норма времени на единицу продукции
- нормативная трудоемкость, час.

В современных условиях на предприятиях применяются различные формы и системы сдельной и повременной оплат труда (рис. 3).
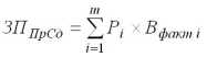
1. Простая (прямая) сдельная заработная плата – оплата труда, начисленная за количество фактически изготовленной продукции по неизменной сдельной расценке за единицу продукции:
Норма времени на единицу продукции
(5.13)
где m – количество наименований изделий, изготовленных рабочим за рассматриваемый период времени;
Рi – прямая сдельная расценка по i- тому изделию, руб.
Вфакт.i – фактическая выработка по i- тому изделию, шт.
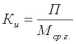
2. Сдельно-премиальная – система оплаты труда, когда рабочий получает не только сдельный заработок, но и премию. При этом четко оговариваются показатели, за которые осуществляется премирование, а также размер премии за выполнение или перевыполнение этих показателей. К таким показателям относятся: выполнение или перевыполнение норм выработки, повышение качества продукции, отсутствие брака, снижение трудоемкости и др.



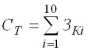
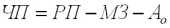
Норматив незавершенного производства


Норматив производственных запасов для сырья и материалов 8,75*263500=2305625 руб.
Норматив производственных запасов для комплектующих 16,2*78500=1271700 руб.
Итого норматив производственных запасов НОСПЗ=2305625+1271700=3577325 руб.

2. Рассчитаем норматив незавершенного производства:


Изделие А
Изделие Б
Доля начальных затрат в себестоимости
(1200+400)/5000=0,28
(24600+6600)/75000=0,416
Коэффициент нарастания затрат
(1+0,28)/2=0,66
(1+0,416)/2=0,708
Норматив незавершенного производства по изделию А 36000*5000*5*0,66/360=1650000 руб.
Норматив незавершенного производства по изделию Б 2100*75000*30*0,708/360=9292500 руб.
Итого норматив незавершенного производства НОСНЗП=1650000+9292500=10942500 руб.

3. Норматив расходов будущих периодов НОСРБП=1350000 руб.

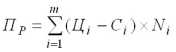
4. Рассчитаем норматив запасов готовой продукции:
Норматив запасов готовой продукции по изделию А 36000*5000*2/360=1000000 руб.
Норматив запасов готовой продукции по изделию Б 2100*75000*7/360=3062500 руб.
Итого норматив запасов готовой продукции НОСГП=1000000+3062500=4062500 руб.

5. Общий норматив оборотных средств предприятия НОС=3577325+10942500+1350000+4062500=19932325 руб.

Задача 2.
Выручка от реализации продукции составила в отчетном году 105 млн. руб., а в следующем (плановом) году выручка должна составить 132млн. руб. Средний остаток оборотных средств в отчетном году – 20 млн. руб., в плановом году – 24 млн. руб.
Определить: 1) отчетное и плановое количество оборотов оборотных средств; 2) отчетную и плановую длительности одного оборота; 3) величину абсолютного и относительного высвобождения (вовлечения) оборотных средств в результате изменения оборачиваемости.
Решение:

Показатели
Отчетный период
Плановый период
1) количество оборотов оборотных средств
Норматив незавершенного производства

Норматив незавершенного производства

2) длительность одного оборота, дни
Норматив незавершенного производства

Норматив незавершенного производства

3) абсолютное высвобождение (вовлечение) оборотных средств:
Норматив незавершенного производства
млн. руб.
Так как
Норматив незавершенного производства
, то произошло абсолютное вовлечение оборотных средств.
4) относительное высвобождение оборотных средств:
Норматив незавершенного производства
млн. руб.
Так как
Норматив незавершенного производства
, то произошло относительное высвобождения оборотных средств






Задачи для самостоятельного решения

Задача 4.1
Рассчитать средний остаток оборотных средств, коэффициент оборачиваемости и длительность одного оборота за 2003 год по следующим данным

Дата
1.01.2003
1.04.2003
1.07.2003
1.10.2003
1.01.2004
Остаток оборотных средств, млн. руб.
12,4
12,2
10,5
14,8
15,6
Объем реализации в 2003 году составил 96 млн. руб.

Задача 4.2
Определите норматив производственных запасов, если стоимость потребления сырья и материалов за декаду – 600 тыс. руб. Интервал плановой поставки – 14 дней, страховой запас – 25%, транспортный запас – 2 дня, технологический запас – 1 день.

Задача 4.3
Чистый вес детали изделия, изготовленной из стали – 96 кг. Норма расхода стали 108 кг. Выпускается 3000 изделий в год.
Поставки стали, осуществляются один раз в квартал. Максимальное отклонение от интервала поставок – 4 дня. Транспортный запас – 2 дня.
Определить величину производственного запаса и коэффициент использования стали.

Задача 4.4
Рассчитайте величину производственного запаса металла для обеспечения производственной программы предприятия – 10000 единиц продукции и чистый вес единицы продукции при плановом коэффициенте использования металла 0,72. Поставки металла осуществляются один раз в месяц, годовая потребность металла 800 т.

Задача 4.5
Квартальная программа выпуска изделий – 1000 шт., чистый вес одного изделия – 8 кг; потери при ковке – 0,9 кг; отходы в стружку – 1,7 кг; шлифовальная пыль – 0,4 кг. Периодичность поставки чугуна – 20 дней, цена чугуна – 10000 руб./т. Страховой запас составляет 30% от текущего запаса. Определить:
а) норму расхода и коэффициент использования металла на изготовление одного изделия;
б) величину текущего и страхового запаса металла (в натуральных единицах) и норматив оборотных средств по металлу.

Задача 4.6
Определить норматив оборотных средств в незавершенном произвдстве, если на предприятии выпускается два типа изделий А и Б, по 800 и 1200 шт. в год соответственно. Себестоимость изделия А 6500 руб., а изделия Б - 5000 руб. Материальные затраты в себестоимости изделия А составляют – 40%, а изделия Б - 35%.
Длительность производственного цикла изделия А – 15 дней, изделия Б – 20 дней.

Задача 4.7
Норматив оборотных средств в производственных запасах – 1100 тыс. руб., норматив расходов будущих периодов – 100 тыс. руб., план выпуска изделий – 1000 шт., длительность производственного цикла – 50 дней, производственная себестоимость одного изделия – 18 тыс. руб., коэффициент нарастания затрат – 0,7, норма запаса готовой продукции на складе – 7 дней. Определите:
1. норматив оборотных средств в незавершенном производстве;
2. норматив оборотных средств в готовой продукции;
3. общий норматив оборотных средств по предприятию.

Задача 4.8
Определить норматив оборотных средств предприятия, если известно:
Годовая программа, шт. 4500
Длительность производственного цикла, дн. 20
Себестоимость единицы изделия, руб. 3000
Норма запаса материалов, дн. 25
Стоимость материалов в себестоимости единицы изделия 25%
Норма запаса готовой продукции, дн. 10
Норматив расходов будущих периодов, тыс. руб. 150

Задача 4.9
Определить норматив оборотных средств в производственных запасах, если на предприятии за год производится 800 изделий типа А и 1200 изделий типа Б. Расход материала М1 на изделие А составляет 80 кг, а на Б - 60 кг. Материала М2 на изделие А - 40 кг, а на Б - 75 кг. Цена материала М1 – 150 руб./т, а материала М2 – 230 руб./т. Транспортный запас составляет по материалу М1 – 4 дня, а по материалу М2 – 5 дней. Текущий запас составляет по материалу М1 – 12 дней, а по материалу М2 – 14 дней.
Страховой запас составляет 30% от текущего запаса.

Задача 4.10
Определите норматив оборотных средств в производственных запасах материальных ресурсов, если годовая производственная программа изделия А - 500 шт., изделия Б - 300 шт. Данные о расходе основных материалов по изделиям представлены в таблице:

Виды
материалов
Нормы расхода по изделиям, т
Цена металла, тыс.руб./т
Норма текущего запаса, дн.
Норма страхового запаса, дн.
А
Б
Чугунное литье
0,2
0,3
120
30
15
Сталь листовая
0,5
0,7
200
60
25
Цветные металлы
0,08
0,04
900
90
45
Расход вспомогательных материалов на годовой выпуск 18 млн.руб. при общей норме запаса 40 дней, топлива – 16 млн.руб. и 30 дней, прочих производственных запасов – 10 млн.руб. и 60 дней.

Задача 4.11
Определить норматив оборотных средств по каждому элементу и в целом по предприятию на основании следующих данных:
программа выпуска в год – 50000 шт.;
стоимость сырья, материалов и комплектующих изделий – 600 руб.;
себестоимость изделия – 1500 руб.;
интервал между поставками – 14 дней;
страховой запас 20% от текущего запаса;
подготовительный запас – 1 день;
длительность производственного цикла – 3 дня;
сумма средств в расходах будущих периодов на начало года 90 тыс. руб.;
расходы, произведенные в плановом году – 55 тыс. руб.;
расходы, списанные на себестоимость – 80 тыс. руб.;
норма запаса готовой продукции – 2 дня.

Задача 4.12
Имеются следующие данные за апрель по предприятию:


Запасы
Однодневный расход,
тыс. руб.
Норма запаса, дни
Наличие на
конец месяца, тыс. руб.
1
Сырье
500
15
4500
2
Основные материалы
300
8
1200
3
Вспомогательные материалы
40
10
500
4
Комплектующие
75
20
2000
Длительность производственного цикла 6 дней.
Коэффициент нарастания затрат в незавершенном производстве – 0,65.
Себестоимость однодневного выпуска продукции – 900 тыс. руб.
Норматив расходов будущих периодов – 1 000 тыс. руб.
Норма запаса готовой продукции – 2 дня.
Определите:
1. норматив оборотных средств по каждому элементу и в целом по предприятию;
2. обеспеченность предприятия имеющимися запасами по каждому элементу.

Задача 4.13
Определите норматив оборотных средств на основании следующих данных:

Показатель
Изделие А
Изделие Б
1.Программа выпуска в год (в штук)
14000
9000
2.Длительность производственного цикла (в днях)
6
11
3.Себестоимость изделия (в руб.)
в том числе материалы и комплектующие изделия (в руб.)
3500
1200
5000
2000
Интервал между поставками 15 дней. Страховой запас 15% от текущего. Сумма средств в расходах будущих периодов на начало года 380 тыс. руб.; расходы, произведенные в плановом году 230 тыс. руб.; расходы, списанные на себестоимость 290 тыс. руб.
Норма запаса готовой продукции 3 дня.

Задача 4.14
Определите требуемый прирост оборотных средств предприятия при следующих условиях: объем реализованной продукции в прошедшем году составил 350 млн. руб. при нормативе оборотных средств 35 млн. руб., в планируемом году выпуск продукции увеличивается на 30% при сокращении длительности оборота оборотных средств на 5 дней.

Задача 4.15
Стоимость реализованной товарной продукции за отчетный квартал составила 600 млн.руб., а средняя сумма всех оборотных средств по предприятию за этот же период – 50 млн. руб. Определите сумму высвободившихся оборотных средств вследствие ускорения их оборачиваемости по сравнению с предыдущим кварталом, если известно, что продолжительность одного оборота в предыдущем квартале составила 34 дня.

Задача 4.16
Годовой план реализации продукции установлен заводу в оптовых ценах в 240 млн. руб. Среднегодовая сумма оборотных средств запланирована на 18 млн. руб. В результате перевода сборки на поточные методы длительность одного оборота сократилась на 4 дня.
Определите: 1) плановую и фактическую длительность одного оборота; 2) плановый и фактический коэффициент оборачиваемости; 3) количество высвобожденных оборотных средств в результате ускорения оборачиваемости.

Задача 4.17
По плану завод должен реализовать продукции на 120 млн. руб. Среднегодовая сумма оборотных средств запланирована 15 млн. руб. В результате изменения технологического процесса длительность одного оборота сократилась на 5 дней.
Определите, на какую сумму можно увеличить план при той же сумме оборотных средств.

Задача 4.18
По годовому плану предприятие должно реализовать продукции на 90 млн. руб. Среднегодовая сумма оборотных средств составляет 18 млн. руб. В результате проведенной механизации производственных процессов фактическая длительность одного оборота была доведена до 68 дней.
Определите сумму высвобождаемых оборотных средств и на какую сумму можно увеличить план реализации за счет высвободившихся средств при условии, что производственные мощности предприятия допускают увеличение выпуска продукции.

Задача 4.19
В отчетном году предприятием реализовано продукции на сумму 540 млн. руб. при нормативе собственных оборотных средств в 60 млн. руб. В планируемом году намечено увеличить выпуск продукции на 10% и сократить длительность оборота на 3 дня. Определите требуемую сумму кредита в банке для покрытия необходимого прироста оборотных средств.
Задача 4.20
Для обеспечения производства и реализации продукции необходима определенная сумма оборотных средств. Производственная программа – 700 изделий, объем реализации 115500 тыс.руб., себестоимость одного изделия – 150 тыс.руб. Затраты распределяются равномерно в течение всех 45 дней производственного цикла. Расход основных материалов на одно изделие – 100 тыс.руб. при норме запаса 25 дней.
Расход вспомогательных материалов на годовой выпуск 6000 тыс.руб. при норме запаса 40 дней, топлива – 3200 тыс.руб. и 30 дней, прочие производственные запасы – 9000 тыс.руб. и 60 дней. Расходы будущих периодов – 1000 тыс.руб. Норма запаса готовой продукции – 5 дней.
Определите:
а) нормативы оборотных средств по элементам (производственные запасы, незавершенное производство и готовая продукция) и их общую сумму;
б) ускорение оборачиваемости оборотных средств, если объем реализованной продукции возрастает на 17% при той же сумме нормируемых оборотных средств.

Контрольные вопросы

  1. Что понимается под оборотными средствами предприятия?
  2. Что относится к фондам обращения и оборотным фондам?
  3. Какие элементы оборотных средств нормируются?
  4. Назовите источники формирования оборотных средств.
  5. Что понимается под нормированием оборотных средств?
  6. Какие показатели использования оборотных средств Вы знаете?






Определите объем товарной и валовой продукции.


руб. Определите объем товарной и валовой продукции.
Задача 2.2
Определите объем товарной и валовой продукции завода за январь и февраль по следующим данным:

Вид продукции
Цена за единицу, руб.
Выпуск по месяцам
Январь
февраль
Изделие 1, шт.
Изделие 2, шт.
1500
980
800
650
840
760
Запасные части, тыс. руб.
-
60
75
Поковки, т
820
620
580
Из изготовленного количества поковок механическим цехом переработано в январе и феврале по 280 т, остальные поковки реализуются. Остатки незавершенного производства на 1 января -–40 тыс. руб., на 1 февраля – 52 тыс. руб., на 1 марта – 48 тыс. руб.

Задача 2.3
Объем валовой продукции за базисный (прошлый) год – 400 тыс. руб., план на текущий год – 420 тыс. руб.; фактическое выполнение – 460 тыс. руб. Численность работающих на текущий год – 210 человек, фактическая численность – 220 человек. Определите фактическое выполнение плана по валовой продукции; на сколько процентов выпущено дополнительно продукции за счет увеличения численности, за счет роста производительности труда.

Задача 2.4
Годовая производственная программа машиностроительного завода характеризуется следующими данными (тыс. руб.):

Вид продукции
Товарная продукция
Изменение остатков незавершенного производства
По плану
Фактически
По плану
Фактически
Основная продукция
Заказы межзаводского кооперирования
Услуги (капитальное строительство и капитальный ремонт)
620
100

145
670
75

138
+30
-10

-5
+40
+7

+4
Определите выполнение плана по валовой и товарной продукции.

Задача 2.5
На автомобильном предприятии в базисном году при общем объеме продукции в 86 млн. руб. было изготовлено на 63 млн. руб. автомобилей. В отчетном году объем продукции составил 158 млн. руб., а автомобилей было выпущено на 133 млн. руб. (в сопоставимых ценах). Определите рост объема производства предприятия за этот период.

Задача 2.6
На машиностроительном заводе затраты на производство продукции составили в базисном году 85 млн. руб., в том числе на покупные полуфабрикаты и комплектующие изделия – 28 млн. руб.; в отчетном году соответственно 233 млн. руб. и 142 млн. руб. Определите уровень кооперирования завода по годам и его изменение за этот период.

Задача 2.7
Определите запланированный годовой объем реализации машиностроительного завода и плановый размер его увеличения (%) по сравнению с отчетным (прошлым) годом на основании следующих данных:
- запланированный выпуск товарной продукции 6,4 млн. руб.;
- остаток товарной продукции на складе
на 1 января планового года 0,6 млн. руб.;
- стоимость отгруженной, но не оплаченной заказчиком продукции
на 1 января планового года 0,2 млн. руб.;
- планируемой остаток товарной продукции
на конец планового года 0,4 млн. руб.;
- планируемая стоимость отгруженной, но
не оплаченной заказчиком продукции
на конец планового года 0,1 млн. руб.;
- объем реализованной продукции за прошлый год
в сопоставимых ценах 5,6 млн. руб.

Задача 2.8
Годовым планом предприятия предусмотрен следующий выпуск продукции:

Изделие
Количество, шт.
Оптовая цена, руб.
план
факт
А
250
320
16000
Б
1300
1200
3000
В
600
500
1500
Определите, на сколько процентов выполнен план в денежном выражении и по номенклатуре.

Задача 2.9
Рассчитайте объемы товарной, реализованной, валовой продукции по плану и отчету, темпы роста объемов товарной, валовой и реализованной продукции в отчетном периоде по сравнению с плановым, коэффициент выполнения плана по номенклатуре, уровень кооперирования в плановом и отчетном периодах и процент его изменения (отчетный период по сравнению с базовом).
Исходные данные представлены в таблице:


п/п
Продукция
План
Отчет
Объем в шт.
Отпускная цена за 1 ед.
Объем в шт.
Отпускная цена за 1 ед.
1
Основная продукция А
300
700
310
720
2
Изделие Б
400
1000
395
1200
3
Изделие В
20
2000
24
2500



Показатели
План
Отчет
1
Запасные части, руб
10000
12000
2
Комплектующие узлы на сторону, руб.
8000
9000
3
Услуги на сторону, руб
15000
18000
4
Остатки НЗП на начало года, руб.
7000
6000
5
Остатки НЗП на конец года, руб.
9000
8000
6
Остатки готовой продукции на складе на начало года, руб.
4000
5000
7
Остатки готовой продукции на складе на конец года, руб.
3000
4000
8
Объем кооперированных поставок, руб.
13000
14000

Задача 2.10
Рассчитайте объемы товарной, реализованной, валовой, чистой и условно-чистой продукции за год.

  • Объем выпуска продукции за год, шт. 2 000
  • Отпускная цена за 1 ед., 1 100
  • Стоимость материалов и комплектующих на 1 ед., руб. 300
  • Стоимость приобретаемой электроэнергии, руб. 350 000
  • Амортизационные отчисления за год, руб. 130 000
  • Остатки НЗП на начало года, руб. 160 000
  • Остатки НЗП на конец года, руб. 210 000
  • Остатки готовой продукции на складе на начало года, руб. 150 000
  • Остатки готовой продукции на складе на конец года, руб. 90 000

Задача 2.11
Используя данные о работе предприятия, приведенные в таблице рассчитать выпуск товарной продукции цеха в стоимостном выражении по плану и отчету.

Показатели
План
Отчет
Сменность работы оборудования
1,9
1,7
Число часов работы в смену
8,2
7,8
Число рабочих дней в году на одну машину
254
246
Число машин в цехе
72
81
Номинальный фонд времени работы оборудования цеха, час.
?
?
Трудоемкость изготовления единицы продукции, нормо-час
62
66
Коэффициент использования номинального фонда времени
0,95
0,91
Возможный фонд времени работы оборудования, час.
?
?
Выпуск продукции в натуральном выражении, шт.
?
?
Цена единицы продукции, руб.
3,5
3,4
Выпуск товарной продукции, руб.
?
?

Контрольные вопросы

  1. Что понимается под производственной программой предприятия?
  2. Какова последовательность разработки производственной программы?
  3. Назовите показатели и измерители производственной программы.
  4. Чем отличается номенклатура от ассортимента?
  5. Что такое валовой и внутризаводской обороты?







Повышение уровня рентабельности



3. Общая рентабельность (рентабельность производства) рассчитывается как отношение балансовой прибыли к среднегодовой стоимости основных производственных фондов и оборотных средств:
Повышение уровня рентабельности
(6.19)

4. Расчетная рентабельность определяется по чистой (расчетной прибыли:)
Повышение уровня рентабельности
(6.20)
Повышение уровня рентабельности достигается в результате:
- снижения себестоимости продукции; в этом случае прирост прибыли от снижения себестоимости продукции ( ПРС) может быть определен по формуле:
Повышение уровня рентабельности
(6.21)
где СБАЗ, СПЛ – себестоимость продукции в базисном и плановом периоде, руб.;
NПЛ, NБАЗ – объем реализации продукции в плановом и базисном периоде.

- увеличения объема производства без привлечения дополнительных капиталовложений; прирост прибыли за счет этого фактора ( ПРN) можно рассчитать по формуле:
Повышение уровня рентабельности
(6.22)
где ТППЛ, ТПБАЗ – стоимость товарной продукции в плановом и базисном периоде, руб.;
БАЗ – доля прибыли в стоимости товарной продукции в базисном периоде.

- структурных сдвигов в ассортименте выпускаемой продукции; при изменении сZруктуры ассортимента с целью увеличения доли продукции с более высоким уровнем рентабельности и продукции повышенного спроса прирост прибыли ( ПРАСС) может быть рассчитан по формуле:
Повышение уровня рентабельности
(6.23)
где ТППЛ, ТПБАЗ – товарная продукция по плану и в базисном периоде;
ПЛ, БАЗ – плановый и базовый удельный вес изделий, рентабельность которых более высокая;
RП, RСР – рентабельность изделий повышенного качества и базовый уровень (средняя).
Типовая задача с решением
На заводе изготавливаются корпуса редуктора. На одну деталь расходуется 60 кг чугуна по цене 15000 руб./т. Отходы составляют 20% и реализуются по цене 1500 руб./т.
Корпуса проходят обработку в двух цехах: литейном и механическом. Основная заработная плата в литейном цехе равна 3200 руб., а в механическом – 2800 руб. Цеховые расходы литейного цеха – 280%, механического – 180%. Расходы на содержание и эксплуатацию оборудования равны 2400 руб.
Общепроизводственные расходы равны 40%. Внепроизводственные расходы составляют 2%. Норма прибыли 9%.
Определить оптовую цену предприятия одного корпуса.
Решение:
Материальные затраты: 15000
Повышение уровня рентабельности
0,06-(0,06
Повышение уровня рентабельности
0,2
Повышение уровня рентабельности
1500)=882 руб.
Основная заработная плата составит: 3,2+2,8=6 тыс. руб.
Цеховые расходы литейного цеха: 3,2
Повышение уровня рентабельности
2,8=8,96 тыс. руб.
Цеховые расходы механического цеха: 2,8
Повышение уровня рентабельности
1,8=5,04 тыс. руб.
Общая сумма цеховых расходов: 8,96+5,04=14 тыс. руб.
Общепроизводственные расходы: 6
Повышение уровня рентабельности
0,4=2,4 тыс. руб.
Производственная себестоимость: 882+6000+14000+2400+2400=25682 руб.
Внепроизводственные расходы составляют: 25682
Повышение уровня рентабельности
0,02=513,64 руб.
Полная себестоимость: 25682+513,64=26195,64 руб.
Оптовая цена одного корпуса: 26195,64+(26195,64
Повышение уровня рентабельности
0,09)=28553,25 руб.


Задачи для самостоятельного решения
Задача 6.1
Определите цеховые расходы, приходящиеся на каждое изделие, если по смете сумма их составляет 100 тыс. руб. Цех имеет следующее задание по выпуску продукции:


Изделие А
Изделие Б
Изделие В
Программа выпуска, шт.
1000
2000
3000
Основная заработная плата на 1 изделие, руб.
3
4
5

Задача 6.2
Используя нижеприведенные плановые данные машиностроительного завода, составьте калькуляцию одного изделия А и рассчитайте рентабельность производства продукции.
Для выполнения задания необходимо составить расчеты:
-распределения общепроизводственных и общехозяйственных расходов;
-производственной себестоимости изделия А;
-распределение коммерческих расходов;
-полной себестоимости изделия А;
-прибыли от реализации продукции.
Данные для выполнения задания.
1. Выпуск продукции на планируемый квартал:
Изделие А - 75 штук.
2. Затраты на изделие А (руб.):
-сырье и материалы (за вычетом возвратных отходов) 543;
-покупные изделия и полуфабрикаты 1630;
-основная заработная плата производственных рабочих 540;
-единый социальный налог (%) 35,6.
3. Затраты предприятия на выпуск продукции по плану на квартал (тыс. руб.):
-общепроизводственные расходы 770;
-общехозяйственные расходы 235;
-коммерческие расходы 58;
-основная заработная плата производственных рабочих 395;
-производственная себестоимость товарной продукции 3220.
4. Цена реализации предприятия за единицу изделия А (руб.) 4900.

Задача 6.3
По плану предприятие должно произвести за год 12000 шт. изделий. Постоянная часть накладных расходов, включенная в план себестоимости 4,7 млн. руб. Фактически предприятием выпущено 17000 шт. изделий. Себестоимость одного изделия по плану 2,1 тыс. руб.
Определите: 1) сумму экономии от снижения себестоимости одного изделия за счет сокращения накладных расходов; 2) процент снижения плановой себестоимости.

Задача 6.4
Себестоимость единицы изделия составляет 50 руб.; в ней 30 руб. условно-постоянных расходов и 20 рублей условно-переменных. Определить величину себестоимости 1 единицы изделия при увеличении объема производства на 15%.

Задача 6.5
На изготовление одной шестерни в механическом цехе расходуется 16 кг стали по цене 200 руб./т (без НДС). Чистый вес детали - 13 кг. Отходы реализуются по цене 9 руб./т.
Основная заработная плата на полное изготовление шестерни - 10 руб. Общая сумма цеховых расходов составляет 37 тыс. руб., а сумма основной заработной платы производственных рабочих - 15 тыс. руб. Общепроизводственные расходы составляют 70%, внепроизводственные расходы - 2%. Плановая прибыль - 10%. Налог на добавленную стоимость - 20%.
Определите отпускную цену предприятия.

Задача 6.6
Завод в порядке кооперирования изготавливает коленчатые валы. На изготовление одной детали расходуется 150 кг стали по 180 руб./т. Отходы составляют 20% и реализуются по 15 руб./т. Обработка производится в двух цехах: кузнечном и механическом. Основная заработная плата в кузнечном цехе - 15,7 руб., в механическом - 14,7.
Расходы на содержание и эксплуатацию оборудования по кузнечному цеху - 270%, по механическому - 150%. Цеховые расходы в кузнечном цехе - 200%, в механическом - 100%. Общезаводские расходы - 70%, внепроизводственные расходы - 3%.
Определите полную себестоимость изделия.

Задача 6.7
Определите затраты на 1 руб. товарной продукции по плану и фактически и изменение фактических затрат по сравнению с планом в денежном выражении и в процентах исходя из следующих данных:


Изделия
Выпуск товарной продукции, шт.
Себестоимость единицы продукции, руб.
Цена единицы продукции, руб.
по плану
факт.
по плану
факт.
А
7500
9000
30
28
35
Б
5000
5000
48
46
55
В
4000
4000
75
74
82

Задача 6.8
На предприятии за счет совершенствования технологии производительность труда планируется повысить на 10%, а заработную плату – на 3%. Удельный вес заработной платы в структуре себестоимости продукции составляет 30%. Рассчитайте, как это отразиться на себестоимости продукции.

Задача 6.9
Планируется обеспечить экономию материалов за счет снижения норм на 5% и цен – на 3%. Себестоимость товарной продукции составляет 300 тыс. руб., в том числе затраты на сырье и материалы – 225 тыс. руб. Определите влияние на себестоимость продукции снижения норм и цен на материалы.

Задача 6.10
Определите влияние роста объема производства на снижение себестоимости продукции при условии, что объем производства вырос на 10%, а постоянные расходы – на 2%. Удельный вес постоянных расходов в структуре себестоимости – 30%.

Задача 6.11
Плановые показатели по изделиям А и Б составляли:

Показатели
Изделие А
Изделие Б
Выпуск и реализация, шт.
950
600
Цена одного изделия, руб.
125
65
Себестоимость изделия, руб.
100
50
В течение года предприятие добилось снижения себестоимости продукции по изделию А на 5%, по изделию Б – на 2,5%. Оптовая цена осталась без изменения. Определите, как изменилась фактическая рентабельность продукции по сравнению с плановой по всем изделиям.

Задача 6.12
Выручка от реализации продукции предприятия составила 110 млн. руб., валовой доход – 40 млн. руб., оплата труда – 20 млн. руб.
Определите:
1) полную себестоимость продукции;
2) балансовую прибыль;
3) рентабельность продукции.

Задача 6.13
Рыночная цена товара – 495 руб., торговая надбавка в цене – 25%, наценка сбытовой организации – 10%, НДС – 20%, полная себестоимость продукции предприятия – 250 руб.
Определите:
1) прибыль предприятия;
2) рентабельность продукции.

Задача 6.14
Плановая и фактическая себестоимость изделия характеризуется следующими данными:


Статья затрат
Себестоимость
изделия, руб.
Отклонение от плановой себестоимости: экономия (перерасход)
план
факт
руб.
% к итогу
1.Сырье и основные материалы.
210
200


2.Основная заработная плата и единый социальный налог.
70
65


3.Топливо и энергия на технологические нужды.
12
15


4.Потери от брака.
5
3


5.Цеховые расходы (180%).
126
117


6.Общезаводские расходы (80%).
Производственная себестоимость
56
52


7.Коммерческие расходы.
Полная себестоимость
8
11



Определите:
1) плановую и фактическую производственную и полную себестоимость;



Прямые материальные затраты по изделию


Среднегодовая стоимость основных производственных фондов 3 млн. рублей, оборотных средств – 1 млн. рублей. В отчетном периоде структура выпускаемой продукции изменилась и годовой объем производства изделий составил: NА=5000 единиц, NБ=2000 единиц, NВ=5000 единиц.

Задача 6.30
Определите прибыль от реализации продукции и все виды рентабельности предприятия, выпускающего изделия А, В и С, по следующим данным:

Изделие
А
В
С
Производственная себестоимость изделия, руб.
250
100
400
Расходы предприятия по сбыту годового выпуска продукции, тыс. рублей
300
450
500
Прямые материальные затраты по изделию, руб.
80
40
150
Годовой объем выпуска, тыс. шт.
10
15
5
Внепроизводственные расходы
7%
Плановый уровень рентабельности предприятия
0,15
СредUегодовая стоимость производственных фондов, тыс. рублей
2000
НДС, %
20
Балансовая прибыль предприятия, млн. руб.
2,8
Расчетная прибыль предприятия, млн. руб.
1,9

Контрольные вопросы

  1. Что понимается под себестоимостью продукции?
  2. Назовите виды себестоимости продукции.
  3. Что понимается под структурой себестоимости? Какое влияние на структуру себестоимости оказывают технологические особенности производства?
  4. На какие группы делятся затраты на производство?
  5. Что включат в себя смета затрат на производство?
  6. Что понимается под калькулированием себестоимости продукции?
  7. Что понимается под ценой, в чем ее сущность?
  8. Назовите этапы формирования цены на предприятии.
  9. Назовите виды прибыли.
  10. Что понимается под рентабельностью? Назовите виды рентабельности.








Проект реконструкции цеха


Задача 7.18.
Проект реконструкции цеха включает три варианта. Выбрать лучший вариант.

Исходные данные
I вариант
II вариант
III вариант
Капитальные затраты, тыс. руб.
850
1000
1300
Себестоимость годового выпуска, тыс. руб.
1100
1080
900
Исходная себестоимость годового выпуска – 1400 тыс. руб.

Задача 7.19.
Определить удельные капитальные вложения с учетом срока строительства предприятия. Сметная стоимость предприятия равна 500 млн. руб. Срок его строительства 5 лет.
Распределение по годам капитальных вложений следующее: К1=80, К2=70, К3=100, К4=100, К5=150. Выпуск продукции составляет 50 тыс. штук в год.

Задача 7.20.
Определить экономическую эффективность затрат на внедрение изобретения, если затраты, связанные с ним составляли 100 тыс. руб. Норма штучного времени с 1,5 часов снизилась до 1,4 часа. Часовая тарифная ставка не изменилась и составила 10,0 руб.
Годовая программа выпуска не изменилась и равна 3000 штук.

Контрольные вопросы
1. Что такое эффект и эффективность, и какие их виды Вы знаете?
2. Каким образом определяется абсолютная эффективность?
3. Какова методология определения сравнительной экономической эффективности?
4. Какие показатели принимаются за базу для сравнений?
5. Каковы условия сопоставимости различных вариантов капитальных вложений?
6. Что понимается под инвестициями, и какие их виды различают?
7. Какова методология оценки инвестиционных проектов?

Используемая литература


  1. Гражданский кодекс РФ. – М.: Изд. Группа Инфра-М. Норма, 1998.
  2. Налоговый кодекс РФ.– М.: ООО ТК Велби, 2002.
  3. Берзинь И.Э. Экономика фирмы. – М.: Институт международного права и экономики, 1997.
  4. Зайцев Н.Л. Экономика промышленного предприятия. Учебник. – М.: ИНФРА-М, 2000.
  5. Практикум по курсу Экономика предприятия./Леонов А.Е., Низовкина Н.Г., Решедько Л..В., Стародубцева В.К. и др.– Новосибирск: Изд-во НГТУ, 1997.
  6. Сергеев И.В. Экономика предприятия. Учебное пособие. – М.: Финансы и статистика, 2000.
  7. Черняк В.З. Экономика. Задачи и тесты. – М.: ВЛАДОС, 2001.
  8. Экономика предприятия. Учебник для вузов./ Под ред. проф. В.Я. Горфиналя., проф. В.А. Швандара. – М.: ЮНИТИ – ДАНА, 2003.
  9. Экономика предприятия. Учебник. В.Я. Хрипач, Г.З. Суша и др. –Минск: Экономпресс, 2000.
  10. Экономика предприятия. Учебник. Под ред. проф. О.И. Волкова. – М.: Инфра-М, 2001.
  11. Экономика предприятия./ Под ред. д.э.н., проф. В.П. Грузинова, – М.: Банки и биржи, 1999.
  12. Экономика предприятия./Под ред. В.Я. Горфинкеля, проф. Е.М. Купрякова. – М.: Банки и биржи ЮНИТИ,2001.
  13. Экономика предприятия/Под ред. Н.А. Сафронова, – М.: Юристъ, 2000.
  14. Экономика предприятия: Учеб. пособие/Под ред. А.С. Пелиха.–Ростов-на-Дону:Феникс, 2002.
  15. Экономика предприятия: Учебник/ Под ред. д.э.н., проф. А.Е. Карлика, М.Л. Шулгартера. – М.: ИНФРА-М, 2001.
  16. Экономика предприятия: Электронное учеб. пособие/Баженов Г.Е., Гнездилова Л.И., Стародубцева О.А., Яцко В.А. Под ред. Г.Е. Баженова.–Новосибирск, 2001. www.edu.nstu.ru
  17. Основы экономической деятельности промышленного предприятия: Учебное пособие/Под ред. д.э.н., проф. Г.Е. Баженова. – Новосибирск: Изд-во НГТУ, 1995.
  18. Экономика предприятия:: Учебное пособие/Под ред. д.э.н., проф. Г.Е. Баженова. – Новосибирск: Изд-во НГТУ, 1999.
  19. Постановление Госкомстата РФ от 27.12.2002 №225 Об утверждении инструкций по заполнению форм федерального государственного статистического наблюдения за наличием и движением основных фондов.




1 Также используются другие названия – чистая текущая стоимость (ЧТС), чистая приведенная стоимость (ЧПС), чистая современная стоимость (ЧСС), чистая настоящая стоимость (ЧНС), чистый приведенный эффект (ЧПЭ), интегральный эффект.
2 Другие названия – индекс рентабельности, индекс прибыльности, показатель доходности, Profitability Index (PI), benefit cost ratio или Present Value Index.
3 Другие названия – внутренний коэффициент доходности (ВКД), внутренняя скорость оборота (используется в Excel), внутренняя ставка дохода, внутренняя норма окупаемости, внутренняя норма прибыли, норма рентабельности.



Производственная себестоимость изделия


2) отклонения от плановых затрат по отдельным статьям затрат и в целом по себестоимости.
Заполните полученными данными свободные строки таблицы.

Задача 6.15
Два предприятия – А и Б, входящие в акционерное общество, имеют следующие итоги работы за полугодие (млн. руб.):

Показатели
Предприятие А
Предприятие Б
Объем товарной продукции
250
390
Полная себестоимость товарного выпуска
в том числе:
постоянные издержки
переменные издержки
200


60
140
300


180
120
Определите по предприятиям А и Б:
1) удельные затраты на 1 руб. товарной продукции;
2) рентабельность продукции;

Задача 6.17
Производственная себестоимость изделия равна 290 тыс.руб., внепроизводственные расходы – 5%, плановый уровень рентабельности – 16%, НДС – 20%.
Определите:
1) полную себестоимость единицы товара;
2) оптовую цену предприятия;
3) отпускную цену предприятия.
Задача 6.18
В I квартале произведено 10 тыс. изделий по цене 70 руб. за единицу. Постоянные расходы составляют 160000 тыс. руб., удельные переменные расходы – 50 руб. Во II квартале планируется повысить прибыль на 8%.
Сколько необходимо дополнительно произвести продукции, чтобы увеличить прибыль на 8%?

Задача 6.19
Рассчитайте смету затрат на год на производство в цехе при следующих условиях:
- стоимость приобретаемых материалов 20 млн. руб. (с НДС);
- стоимость покупных комплектующих изделий 10 млн. руб. (с НДС);
- количество потребляемой электроэнергии:
на технологические цели 5000 кВт/час,
на другие цели 4000 кВт/час;
- количество потребляемого топлива:
на технологические цели 2000 Гкал,
на другие цели 3000 Гкал;
- стоимость возвратных отходов 1 млн. руб.;
- трудоемкость производственной программы 300 000 нормо-часов
(средний разряд работ III);
- численность вспомогательных рабочих 30 человек;
- численность линейного управления 10 человек;
- численность АУП 10 человек;
- среднегодовая стоимость основных фондов:
оборудования 40 млн. руб.;
зданий и сооружений 100 млн. руб.;
инструмента и оснастки 30 млн. руб.;
- годовые нормы амортизации:
оборудования 10%;
зданий и сооружений 3%;
инструмента и оснастки 20%;
- норматив отчислений в ремонтный фонд 5%;
- сумма кредитов 3 млн. руб.;
- годовая процентная ставка платы за кредит 20%;
- стоимость нематериальных активов 10 млн. руб.;
- износ нематериальных активов 20%;
- затраты на командировки (от основной заработной платы АУП) 5%;
- обязательное страхование имущества 10 млн. руб.

Дополнительные данные для решения задачи:
- стоимость 1 кВт/часа электроэнергии 98 коп.;
- стоимость 1 ГКал топлива 86 коп.;
- часовая тарифная ставка работ III разряда 5 руб. 20 коп;
- среднемесячная заработная плата:
вспомогательных рабочих 700 руб.;
работников линейного управления 800 руб.;
работников АУП 1000 руб.;
- дополнительная заработная плата 10%;
- единый социальный налог 35,6%.

Задача 6.20
Рассчитайте полную себестоимость изделия, отпускную цену, розничную цену при следующих условиях:
- затраты на основные материалы 20000 руб.;
- покупные полуфабрикаты 10000 руб.;
- возвратные отходы 4000 руб.;
- расход электроэнергии на технологические цели 5000 кВт/час;
- расход топлива на технологические цели 3000 Гкал;
- трудоемкость изготовления изделия:
механический цех 300 нормо-часов, работы IV разряда;
сборочный цех 100 нормо-часов, работы V разряда;
- дополнительная заработная плата:
механический цех 10%;
сборочный цех 15%;
- единый социальный налог 35,6%
- расходы по содержанию и эксплуатации оборудования:
механический цех 100%;
сборочный цех 120%;
- цеховые расходы:
механический цех 60%;
сборочный цех 70%;
- общезаводские расходы 70%;
- внепроизводственные расходы 5%;
- прибыль 25%;
- налог на добавленную стоимость 20%;
торговая надбавка 20%.

Дополнительные данные для решения задачи:
тарифы:
- стоимость 1 кВт/часа электроэнергии 98 коп.;
- стоимость 1 ГКал топлива 86 коп.;
-часовая тарифная ставка рабочего (работ) IV разряда 4 руб. 60 коп;
-часовая тарифная ставка рабочего (работ) V разряда 5 руб. 30 коп;

Задача 6.21
Рассчитайте свободную розничную цену изделия при следующих условиях: полная себестоимость – 50 тыс. руб.; прибыль – 25%;НДС – 20%;торгавая наценка – 10%.

Задача 6.22
Рассчитайте прибыль балансовую, налогооблагаемую, расчетную при следующих условиях:
- прибыль от реализации основной продукции 20000 тыс. руб.;
- убытки от социально-бытового сектора 1000 тыс. руб.;
- убытки от подсобного сельского хозяйства 500 тыс. руб.;
- дивиденды 500 тыс. руб.;
- отчисления в резервный фонд 800 тыс. руб.;
- прибыль от посреднической деятельности 1200 тыс. руб.;
- налог на прибыль 35%.

Задача 6.23
В таблице имеются данные по нескольким вариантам ведения бизнеса на предприятии. Постоянные издержки для всех вариантов остаются неизменными. Объем реализации равен объему производства.
Заполните таблицу и определите, какой вариант даст наибольшую прибыль.

Номер варианта
Цена единицы продукции, руб.
Объем выпуска и реализации, шт.
Объем выручки, руб.
Удельные переменные издержки, руб. за шт.
Общие переменные издержки, руб.
Удельные постоянные издержки, руб.за шт.
Общие постоянные издержки, руб.
Удельные совокупные издержки, руб. за шт.
Совокупные издержки, руб.
Прибыль (убыток) на единицу продукции, руб. за шт.
Прибыль (убыток), руб.
1
92
2000





98



2
90




25

75



3
72


42



62



4




188000


92


61430
5

3500

44

36



12

6
105



194000




25


Задача 6.24
Определите относительное и абсолютное изменение себестоимости продукции в связи с изменением объема продукции на основе следующих данных: объем производства по плану составил 1000 изделий; объем производства фактически – 1100 изделий. Затраты на плановый объем производства следующие:


Статьи затрат
Стоимость, тыс. руб.
1.
Сырье для производства продукции
12
2.
Полуфабрикаты на производство продукции
4
3.
Заработная плата производственных рабочих и отчисления на социальный налог
60
4.
Амортизация оборудования
12
5.
Заработная плата и отчисления на социальный налог административного персонала
10
6.
Расходы на содержание производственных помещений
1
7.
Электроэнергия на технологические цели
14
8.
Электроэнергия на освещение служебных помещений
1

Задача 6.25
Рассчитайте рентабельность по изделию, общую и расчетную рентабельность при следующих условиях:
- прибыль по изделию – 20 руб.;
- полная себестоимость – 200 руб.;
- прибыль балансовая по предприятию – 20 тыс. руб.;
- прибыль расчетная – 8 тыс. руб.;
- среднегодовая стоимость основных и оборотных средств – 60 тыс. руб.

Задача 6.26
На производство 4000 электродвигателей было израсходовано основных материалов на сумму 978 млн. рублей; вспомогательных материалов – на сумму 80 млн. рублей. Основная заработная плата производственных рабочих составила 140 млн. рублей, расходы на содержание и эксплуатацию технологического оборудования – 12 млн. рублей. Цеховые расходы – 60%, общезаводские – 40%, внепроизводственные – 2%.
Определите технологическую, цеховую, производственную и полную себестоимость производства одного электродвигателя.

Задача 6.27
Предприятие производит корпуса промышленных вентиляционных установок. На производство одного корпуса вентилятора расходуется 12 кг металла по цене 13000 рублей за тонну, отходы составляют 12% и реализуются по цене 2000 за тонну. Корпус проходит обработку в двух цехах: годовой фонд заработной платы производственных рабочих в первом цехе составляет 540 тыс. рублей; во втором – 670 тыс. рублей.
Затраты на содержание и обслуживание технологического оборудования по цехам: 120% и 110% соответственно. Цеховые расходы по цехам: 60% и 75% соответственно. Общезаводские расходы: 80%, внепроизводственные: 2%.
Определите себестоимость изготовления 1 корпуса вентиляционной установки, если годовая программа выпуска 20 тыс. штук.

Задача 6.28
Определите прирост рентабельности от снижения себестоимости продукции и изменения среднегодовой стоимости основных производственных фондов, если в базисном году среднегодовая стоимость основных производственных фондов составила 800 тыс. рублей, оборотных средств 400 тыс. рублей. В плановом году намечено ввести основным производственных фондов в мае на сумму 120 тыс. рублей и вывести в июне - на сумму 240 тыс. рублей. Изменения в создаваемой продукции представлены в таблице:


Базисный год
Плановый год
Изделие А
Изделие Б
Изделие А
Изделие Б
1. Годовой объем производства, шт.
1200
1600
1200
1600
2. Цена изделия, руб.
500
600
500
600
3. Себестоимость изделия, руб.
400
550
380
540

Задача 6.29
Определите прирост рентабельности в результате изменения структуры выпускаемой продукции, если в базисном году:


Изделие А
Изделие Б
Изделие В
1. Цена одного изделия, руб.
200
300
400
2. Себестоимость одного изделия, руб.
150
280
360
3. Годовой объем производства, единиц
3000
4000
5000


Себестоимость продукции является основным ценообразующим элементом.



Кроме поэлементной (смета) и постатейной (калькуляция) классификации затраты, включаемые в себестоимость классифицируют по ряду других признаков.
По роли в процессе производства затраты подразделяются на основные и накладные. Основные затраты непосредственно формируют создаваемый продукт, составляют его физическую основу: сырье, материалы, полуфабрикаты, заработная плата и т.п. Накладные затраты связаны с обслуживаием процесса производства и управления им: содержание оборудования, цехового и общезаводского персонала и т.п.
По способу включения в себестоимость продукции затраты делятся на прямые и косвенные. Прямые затраты можно непосредственно отнести на себестоимость единицы каждого конкретного вида изделий по установленным нормативам: сырье, энергия технологическая, заработная плата основных рабочих и пр. Косвенные затраты распределяются по отдельным группам продукции пропорционально избранной базе.
К ним относятся расходы по содержанию и эксплуатации оборудования, цеховые расходы, общепроизводственные расходы, затраты на подготовку и освоение новых видов производств, коммерческие расходы.
В качестве основного измерителя при включении этих затрат в себестоимость продукции выбирается основная заработная плата производственных рабочих.
Расходы по содержанию и эксплуатации оборудования (РСЭО) включаются в себестоимость продукции пропорционально основной заработной плате производственных рабочих (ОЗПР):
Себестоимость продукции является основным ценообразующим элементом.
(6.6)

Цеховые расходы (ЦР) в себестоимость единицы продукции включаются также пропорционально сумме основной заработной платы производственных рабочих (ОЗПР):
Себестоимость продукции является основным ценообразующим элементом.
(6.7)
Аналогично включаются общепроизводственные расходы (ОБПР):
Себестоимость продукции является основным ценообразующим элементом.
(6.8)
Расходы на подготовку и освоение новых производств включаются в себестоимость единицы продукции пропорционально сумме цеховой себестоимости и величине общепроизводственных расходов:
Себестоимость продукции является основным ценообразующим элементом.
(6.9)
Коммерческие непроизводственные расходы рассчитываются в процентах от производственной себестоимости.

По зависимости затрат от изменения объема выпуска они подразделяются на условно-постоянные и условно-переменные. Величина условно-постоянных затрат остается одинаковой при изменении объема производства (арендная плата, амортизация, содержание зданий, оборудования и т.д.). Условно-переменные затраты, напротив, увеличиваются или уменьшаются под влиянием динамики выпуска продукции (расход сырья, заработная плата и т.д.).
По способу учета и группировки затраты подразделяются на простые (сырье, материала, зарплата, энергия и т.п.) и комплексные, т.е. собираемые в группы либо по функциональной роли в процессе производства (мало ценные и быстро изнашиваемые предметы), либо по месту осуществления затрат (цеховые расходы, общезаводские расходы и т.п.).
Под структурой себестоимости понимается ее состав по элементам или статьям, их доля в полной себестоимости. Структура себестоимости – это удельный вес каждого элемента (статьи) в общей себестоимости. На структуру себестоимости существенное влияние оказывают технологические особенности производства:

  • трудоемкость производства (большая доля заработной платы);
  • материалоемкость производства (большая доля затрат на материалы);
  • фондоемкость производства (большая доля амортизации);
  • энергоемкость производства (большая доля топлива и энергии)

Себестоимость продукции является основным ценообразующим элементом. Цена – это денежное выражение ценности (значимости) товара, услуги, фактора производства в процессе обмена.
По этапам формирования различают следующие виды цен:
1. Оптовая цена предприятия – это цена, при которой обеспечиваются возмещение текущих затрат производства и получение прибыли.
Оптовая цена предприятия определяется по формуле:
Себестоимость продукции является основным ценообразующим элементом.
(6.10)
где СП – полная себестоимость единицы продукции, руб.;
RС – уровень рентабельности, рассчитанный по себестоимости, т.е. прибыль, полученная от реализации годового объема продукции, приходящаяся на 1 рубль годовых текущих затрат:
Себестоимость продукции является основным ценообразующим элементом.
(6.11)
где RПр – уровень рентабельности предприятия в долях единицы;
ФСр.г. – среднегодовая стоимость фондов предприятия, т.е. сумма основных производственных фондов и оборотных средств;
СПГ – полная себестоимость годового объема реализованной продукции.

2. Отпускная цена предприятия формируется на основе оптовой цены предприятия с учетом НДС (налога на добавленную стоимость) и акциза (по подакцизным товарам):
Себестоимость продукции является основным ценообразующим элементом.
(6.12)
где ЗМ – стоимость материальных затрат на единицу продукции, руб.;
НДС – налог на добавленную стоимость, %;
А – акциз, руб.
3. Отпускная цена оптового посредника учитывает отпускную цену предприятия и дополнительно включает издержки и прибыль сбытовых организаций:
Себестоимость продукции является основным ценообразующим элементом.
(6.13)
Псб., Зсб. – прибыль и затраты сбытовых организаций на единицу продукции, руб.
4. Розничная цена – цена, при которой товары реализуются через торговую сеть:
Себестоимость продукции является основным ценообразующим элементом.
(6.14)
где Зрозн., Прозн. – прибыль и затраты розничных (торговых) организаций на единицу продукции, руб.

Соотношение отдельных элементов цены, выраженное в процентах или долях единицы, представляет собой структуры цены, которые можно представить в виде схемы (рис. 4)


Себестоимость продукции
Прибыль предприятия
Акциз (по подакцизным товарам)
ННДС
Сбытовая надбавка
Торговая надбавка
Оптовая цена предприятия



Отпускная цена предприятия
(покупная цена оптового посредника)
Отпускная цена оптового посредника
(покупная цена предприятия торговли)
Розничная цена
Рис. 4. Структурное представление цены.

Зная структуру цены производимой предприятием продукции, можно выявить, какую долю в цене занимают затрат, прибыль, налоги.

Прибыль – конечный финансовый результат производственно-хозяйственной деятельности предприятия, показатель ее эффективности, источник средств для осуществления инвестиций, формирования специальных фондов, а также платежей в бюджет.
Различают прибыль от реализации продукции, балансовую (валовую) прибыль, и чистую (расчетную) прибыль.
Конечный финансовый результат определяет балансовую (валовую) прибыль, т.е. прибыль, полученную от производственно-хозяйственной деятельности предприятия, которая согласно гл. 25 Налогового Кодекса РФ определяется:

Себестоимость продукции является основным ценообразующим элементом.
(6.15)
где ПР – прибыль (убыток) от реализации продукции, работ, услуг, а также от реализации имущества предприятия, руб.;
ПВР – прибыль (убыток) от внереализационной деятельности, руб.

Выручка от реализации – это денежные средства, поступающие на расчетный счет предприятия за реализованную продукцию. Из выручки от реализации возмещаются производственные затраты на израсходованные материальные ценности, амортизация, производится оплата труда и отчисления на социальные нужды.
В структуре прибыли наибольшая доля приходится на прибыль от реализации, определяемой по формуле:
Себестоимость продукции является основным ценообразующим элементом.
(6.16)
где Цi – оптовая цена единицы продукции, руб.;
Сi – полная себестоимость единицы продукции, руб.;
Ni – объем реализации продукции, в натуральном выражении;
m – количество наименований продукции.

К внереализационным доходам гл. 25, ст. 250 Налогового Кодекса РФ) относятся: доходы от долевого участия в других организациях; доходы в виде положительной (отрицательной) курсовой разницы, образующейся вследствие отклонения курса продажи (покупки) иностранной валюты; доходы от сдачи имущества в аренду и т.д.
Из валовой прибыли предприятием выплачивается налог на прибыль. Расчет налогооблагаемой прибыли укрупненно осуществляется по следующей формуле:
Себестоимость продукции является основным ценообразующим элементом.
(6.17)
где ПБ – балансовая прибыль, руб.;
Д – дивиденды и другие доходы, облагаемые налогом в особом порядке, руб.;
ОРЕЗ – отчисления в резервные фонды, руб.;
Л – льготы по налогу на прибыль, предусмотренные действующими нормативными актами, руб.
После выплаты налога на прибыль в распоряжении предприятия остается так называемая чистая (расчетная) прибыль. По своей величине она представляет часть балансовой прибыли, остающейся в распоряжении предприятия после уплаты налогов и других обязательных плHтежей в бюджет, включая финансовые санкции за нарушения налогового законодательства. Чистая прибыль – единственный источник средств для выплаты дивидендов в акционерных обществах, распределения между участниками пропорционально их долям в обществах с ограниченной ответственностью.
Для оценки уровня эффективности работы предприятия получаемый результат (валовой доход, прибыль) сопоставляется с затратами или используемыми ресурсами. Соизмерение прибыли с затратами означает рентабельность или, точнее, норму рентабельности.
В практике работы предприятий применяется ряд показателей рентабельности.
1. Рентабельность по изделию можно рассчитать по всей реализованной продукции и по отдельным ее видам. В первом случае она определяется как отношение прибыли от реализации продукции к затратам на ее производство и реализацию:
Себестоимость продукции является основным ценообразующим элементом.
(6.18)
где ПИ – прибыль по изделию, руб.
СП – полная себестоимость изделия, руб.;
ЦИ – цена изделия (единицы продукции), руб.

2. Рентабельность всей реализованной продукции может рассчитываться несколькими способами:

  • как отношение прибыли от реализации товарной продукции к выручке от реализации продукции;
  • как отношение балансовой прибыли к выручке от реализации продукции;
  • как отношение чистой прибыли к выручке от реализации продукции.
Показатели рентабельности всей реализованной продукции дают представление об эффективности текущих затрат предприятия и доходности реализуемой продукции.



Состав вспомогательных рабочих механического цеха


Определите фонд прямой сдельной заработной платы рабочих, если продолжительность смены 8 часов, в месяце 22 рабочих дня; минимальную оплату труда за месяц принять 600 рублей.
Задача 5.10.
Состав вспомогательных рабочих механического цеха следующий:

  • 2 слесаря по ремонту оборудования II разряда;
  • 5 механиков III разряда;
  • 12 станочников V разряда.
Оплата труда сдельно-премиальная. Плановый процент премий для слесарей 25%, механиков – 15%; станочников – 30%. Доплаты составят 10% от прямого заработка.
Часовая тарифная ставка I разряда 15 рублей. Годовой фонд рабочего времени одного рабочего 1882 часа. Определите фонд оплаты труда вспомогательных рабочих механического цеха.

Задача 5.11.
Норма времени на изготовление одного изделия составляет 20 минут, часовая тарифная ставка при данной сложности труда – 18 рублей, в месяц 22 рабочих дня; продолжительность смены – 8 часов. За месяц изготовлено 580 изделий. Определите:

  1. норму выработки в месяц;
  2. сдельную расценку на изделие;
  3. сдельный заработок за месяц.

Задача 5.12.
На обувной фабрике работают 30 бригадиров, из них 5 – руководят бригадами с числом рабочих более 10 человек. Фонд заработной платы бригадира за год по окладу 40 тыс. рублей. За руководство бригадой до 10 человек полагается доплата в размере 10% и свыше 10 человек – 15% от оклада.
Определите годовой размер доплат бригадирам обувной фабрики.

Задача 5.13.
Бригаде, обслуживающей агрегат, установлено производственное задание – выпустить 8600 т продукции в год, а в смену – 13,5 т. номинальное время действия агрегата по плану 296 дней. Агрегат используется в 2 смены. Годовой фонд заработной платы бригады по тарифу 866400 рублей.
Определите фонд заработной платы бригады по сдельным расценкам с учетом выполнения норм.

Задача 5.14.
В цехе работают 650 рабочих основного производства, из них 50% сдельщиков. По данным нарядов 5% рабочих-сдельщиков выполнили норму на 90%, а 10% на 95%. Определите, на сколько процентов увеличится производительность труда, если все рабочие-сдельщики доведут свою выработку до 100%.

Задача 5.15.
Для изготовления продукции запланированного объема при сохранении выработки, достигнутой за отчетный период, требуется 2800 работников промышленно-производственного персонала. В результате внедрения намечаемых в планируемом периоде мероприятий будут высвобождены 300 рабочих, в том числе внедрение новой техники будет способствовать сокращению потребности в рабочей силе на 140 человек. Определите общий размер повышения производительности труда и в том числе за счет внедрения новой техники.

Задача 5.16.
Фирма запланировала увеличение производства продукции с 500 тыс. рублей до 600 тыс. рублей, при этом планируется увеличить производительность труда на 12%. Определить численность персонала, который необходимо принять в фирму, если в прошедшем году численность персонала составляла 100 человек.

Задача 5.17.
Норма выработки 40 изделий за смену, продолжительность смены 8 часов. Определите норму штучного времени и производительность труда.

Задача 5.18.
Рассчитайте расценку на операцию сверления, если норма выработки составляет 20 деталей в час. Разряд работ VI. Принять, что в смене 8 часов, в месяце 22 рабочих смены.

Задача 5.19.
Время обработки детали на токарном станке в результате изменения геометрии заточки резцов снизилась по сравнению с базисным периодом с 17 до 14 минут. Фактическая производительность труда (выработка) увеличилась на 28%. Определите фактическое время обработки одной детали.

Задача 5.20.
Выпуск продукции на машиностроительном заводе по плану должен увеличиться по сравнению с прошлым годом на 8%, а численность работающих – на 1,6%. Определите планируемый рост производительности труда.

Задача 5.21.
Выпуск продукции на предприятии должен увеличиться на 8%, а численность работающих – на 1,6%. Определите, на сколько увеличится объем производства за счет роста производительности труда.

Задача 5.22.
В штамповочном цехе установлено 110 единиц оборудования. Цех работает в две смены. Определите явочное число установщиков при норме обслуживания 10 прессов.

Задача 5.23.
В отчетном году потери рабочего времени составили 8%. Благодаря внедрению ряда мероприятий эти потери должны сократиться до 5%. Удельный вес производственных рабочих в общей численности промышленно-производственного персонала составлял в отчетном году 45%, а в планируемом – 50%.
Определите запланированный рост производительности труда за счет этих мероприятий.

Задача 5.24.
В прошлом году на заводе работало 1500 человек. Фактически каждым работником отработано 1830 часов. В плановом году фактическое время работы одного рабочего запланировано довести до 1840 часов. Удельный вес производственных рабочих, в общей численности работающих составляет 70%.
Кроме того, в плановом году благодаря внедрению ряда мероприятий потери от брака, которые составляли 1,5%, предполагается сократить на 50%. Определите количество рабочих, которое будет высвобождено в плановом году.

Задача 5.25.
В прошлом году заводом было выпущено продукции на 6200 тыс. руб. при численности работающих 1800 человек. На планируемый год выпуск продукции определен в сумме 6944 тыс. руб., а численность работающих по плану должна равняться 1872 человека. Определите планируемый рост производительности труда, влияние производительности труда на увеличение выпуска продукции, %.

Задача 5.26.
В отчетном году величина эффективного фонда времени одного рабочего составляла 1800 часов. В плановом году благодаря внедрению мероприятий по улучшению использования рабочего времени продолжительность эффективного фонда времени одного рабочего должна увеличиться на 40 часов. Определите, на сколько процентов должна повыситься производительность труда одного рабочего.

Задача 5.27.
В связи с внедрением нового технологического процесса выработка на одного работающего в механическом цехе при обработке шестерен в этом году по сравнению с прошлым повысилась на 28,3%, а трудоемкость изготовления валов сократилась на 24,2%. Определите, на сколько процентов сократилась трудоемкость обработки шестерен и повысилась производительность труда при обработке валов.

Задача 5.28.
Определите, на сколько процентов запланирован рост производительности труда на текущий год по сравнению с прошлым, если для выполнения производственной программы текущего года, равной по трудоемкости плану прошлого года, число работающих – 1400 человек, а в прошлом (отчетном) году оно равнялось 1550 человек.

Задача 5.29.
В результате внедрения нового технологического процесса время на изготовление одной детали сократилось с 2 до 1,5 минут. Определите число высвобождаемых рабочих, если известно, что годовая программа 100 тыс. шт., годовой фонд времени одного рабочего – 1830 часов и среднее выполнение норм – 110%.

Задача 5.30.
План цеха по выработке валовой продукции увеличен в апреле по сравнению с мартом на 12% и составляет 210 тыс. руб. Определите необходимое количество рабочих для выполнения плана апреля, если известно, что рост выработки на одного рабочего в апреле запланирован на 8,4% и что в марте в цехе фактически работало 420 рабочих.

Задача 5.31.
В мае механический цех должен выпустить товарной продукции на 620 тыс. руб. Стоимость незавершенного производства на 1 мая – 140 тыс. руб., а на 1 июня – 115 тыс. руб. определите необходимое количество рабочих для выполнения плана мая месяца, если известно, что выработка одного рабочего по плану на май благодаря проведенной механизации работ должна повыситься по сравнению с апрелем на 10% и что средняя выработка одного рабочего в апреле составляла 760 руб.

Контрольные вопросы

  1. Что такое производительность труда?
  2. Назовите показатели производительности труда.
  3. Представьте классификацию кадров промышленного предприятия.
  4. Раскройте понятие структура кадров.
  5. Что является основанием для расчета потребности в кадрах.
  6. Назовите формы и системы оплаты труда.
  7. В чем сущность тарифной системы оплаты труда?
  8. Чем отличается профессия от специальности?
  9. Что показывают тарифные коэффициенты?
  10. Как рассчитывается расценка?







Тема 3. Основные фонды и производственные мощности


Цель занятия: ознакомиться с понятием производственная программа; произвести расчеты показателей производственной программы.

Производственная программа (ПП) – это развернутый план производства и реализации продукции, отражающий объем, номенклатуру, ассортимент продукции, устанавливаемый, исходя из потребностей рынка.
Разработка производственной программы осуществляется в следующей последовательности:

  1. определение потребности в выпускаемой продукции;
  2. составление номенклатуры и ассортимента выпускаемой продукции;
  3. определение объемов (в натуральном выражении) и сроков производства отдельных видов продукции;
  4. соотнесение производственной программы с имеющимися ресурсами, и, в первую очередь, с производственной мощностью. При необходимости (например, в случае дефицита какого-либо ресурса) возможен возврат ко второму шагу;
  5. расчет объем продукции в стоимостном выражении.
Производственная программа характеризуется системой следующих показателей (рис. 1). Показатели ПП распадаются на две большие группы:
- количественные показатели, характеризующие объемы производимой продукции и динамику их изменений;
- качественные показатели, характеризующие производственно-технические (материалоемкость, точность, мощность) и эксплуатационные (надежность, ремонтопригодность) качества производимой продукции.
Качественные показатели не являются предметом изучения в данной теме, но они могут быть представлены достаточно сложной системой самостоятельных показателей.
Количественные показатели различают: 1) абсолютные и 2) относительные.
Абсолютные показатели представляют объем производимой продукции в натуральных (условно-натуральных); трудовых (временных) и стоимостных показателях.
При составлении производственной программы используются натуральные (условно-натуральные) и стоимостные показатели.
Натуральные показатели (номенклатура и ассортимент) наиболее точно отражают объем изготавливаемой продукции и выражаются в штуках, тоннах, кубометрах и других физических единицах измерения. Они являются базой основных технико-экономических плановых расчетов, служат исходными величинами для определения потребности предприятия в рабочей силе, сырье, топливе, электроэнергии, оборудовании, производственных площадях. Однако из-за большого разнообразия выпускаемой продукции зачастую невозможно обобщить различные по характеру натуральные показатели. Для расширения сферы применения натуральных показателей используются условно-натуральные показатели (условная тонна топлива и т.п.). Они применяются в случае планирования производсва однородной, однотипной или одноименной продукции.
При этом за условную единицу принимают одно из однородных изделий, а все остальные приравнивают к нему по трудоемкости, массе, материалоемкости или по какому-либо другому признаку.

Рис 1. Система показателей производственной программы

Номенклатура продукции – это состав изготавливаемой продукции по ее видам или наименованиям.
Ассортимент – это состав данного вида (наименования) продукции по типам, маркам, профилям, сортам и т.п.
Трудовые (временные) показатели – часы и минуты рабочего времени – применяются во внутрипроизводственном планировании для оценки трудоемкости единицы продукции и ПП. Наиболее распространенный показатель - трудоемкость или нормированные затраты рабочего времени на изготовление продукции, выполнение услуги, рассчитываемые в нормо-часах. Трудоемкость – это затраты времени на изготовление единицы продукции в данных условиях и при средней интенсивности труда.
Если работа не подлежит нормированию по различным причинам, то показатель трудоемкости определяется в человеко-часах. Кроме того, для измерения работы оборудования используется показатель станко-часы. Показатели трудоемкости ПП на первый взгляд вполне приемлемы для измерения объема производства.
Однако в связи со снижением трудоемкости продукции человеко-часы не сопоставимы в динамике, поэтому трудовые показатели часто используются во вспомогательных расчетах.
Для того, чтобы получить сопоставимые показатели ПП и осуществлять сводный учет и планирование используют стоимостные показатели ПП, которые носят обобщающий характер и являются универсальными при взаимоувязке всех разделов плана предприятия.
Обобщающим показателем ПП предприятия является реализованная продукция (РП) или объем продаж. Первый термин применяется в отечественной практике, второй – в мировой. Реализованная продукция более объективно отражает результат деятельности предприятия как выпускающего товары, так и производящего услуги. Объем реализованной продукции рассчитывается по формуле:

Тема 3. Основные фонды и производственные мощности
(2.1)

где
Тема 3. Основные фонды и производственные мощности
- объем товарной продукции за определенный период (месяц, квартал, год), руб.;
Тема 3. Основные фонды и производственные мощности
- изменение остатков готовой продукции на складе за определенный период, руб.
Тема 3. Основные фонды и производственные мощности
(2.2)
ОП – прирост остатков отгруженной продукции за определенный период, руб.
Тема 3. Основные фонды и производственные мощности
(2.3)
Здесь и далее в данной теме индексы н и к соответствуют началу и концу рассматриваемого периода.

Товарная продукция включает стоимость продукции, которая будет произведена и подготовлена к реализации в планируемом периоде. Она включает готовую продукцию; запасные части, полуфабрикаты собственного производства и продукцию вспомогательных подразделений, поставляемые другим предприятиям или организациям; промышленные работы, выполняемые на сторону или для непромышленных хозяйств данного предприятия; капремонт и модернизацию оборудования. Товарная продукция определяется в рыночных оптовых ценах.

Валовая продукция (ВП) – характеризует весь объем выполненной работы предприятием за определенный период времени. В состав валовой продукции входит как законченная, так и незаконченная продукция, так называемое незавершенное производство. Объем валовой продукции определяется по формуле:

Тема 3. Основные фонды и производственные мощности
(2.3)

где
Тема 3. Основные фонды и производственные мощности
- прирост остатков незавершенного производства, руб.:
Тема 3. Основные фонды и производственные мощности
(2.4)
Тема 3. Основные фонды и производственные мощности
- прирост специальной оснастки (которая конструируется и изготавливается в инструментальных цехах предприятия, т.к. это самостоятельная продукция инструментальных цехов), руб.:
Тема 3. Основные фонды и производственные мощности
(2.5)
Чистая продукция (ЧП) - это вновь созданная стоимость на предприятии. В нее входят оплата труда, выданная в виде заработной платы, оплата труда невыплаченная, но вошедшая в стоимость товара в виде налога и различных начислений, а также прибыль. В ЧП не входит перенесенная стоимость, созданная на других предприятиях (оплата сырья, материалов, энергии, топлива и амортизационные отчисления с основных фондов), т.е.:

Тема 3. Основные фонды и производственные мощности
(2.6)

где
Тема 3. Основные фонды и производственные мощности
- материальные затраты;
Тема 3. Основные фонды и производственные мощности
- амортизационные отчисления.

Условно-чистая продукция (УЧП) – это вновь созданная стоимость, но с учетом амортизационных отчислений, т.е.:

Тема 3. Основные фонды и производственные мощности
(2.7)
Валовой оборот (ВО) характеризует весь объем продукции, произведенный предприятием, т.е. представляет собой сумму стоимости продукции всех подразделений предприятия:

Тема 3. Основные фонды и производственные мощности
(2.8)

где
Тема 3. Основные фонды и производственные мощности
- стоимость валовой продукции i-го цеха, руб.;
Тема 3. Основные фонды и производственные мощности
- количество производственных цехов предприятия.

Внутрипроизводственный оборот (ВПО) – это объем продукции, произведенный для внутренних нужд предприятия:
Тема 3. Основные фонды и производственные мощности
(2.9)

где
Тема 3. Основные фонды и производственные мощности
- количество сборочных цехов предприятия.

Относительные показатели характеризуют динамику изменения абсолютных показателей: темпы роста абсолютных показателей (
Тема 3. Основные фонды и производственные мощности
) и темпы прироста абсолютных показателей (
Тема 3. Основные фонды и производственные мощности
). При этом выделяют три периода: плановый, базисный, отчетный.

Тема 3. Основные фонды и производственные мощности
или
Тема 3. Основные фонды и производственные мощности
или
Тема 3. Основные фонды и производственные мощности
. (2.10)

Тема 3. Основные фонды и производственные мощности
или
Тема 3. Основные фонды и производственные мощности
или
Тема 3. Основные фонды и производственные мощности
. (2.11)

Выполнение плана по номенклатуре (
Тема 3. Основные фонды и производственные мощности
):
Тема 3. Основные фонды и производственные мощности
(2.12)
где
Тема 3. Основные фонды и производственные мощности
- объем производства по плану;
Тема 3. Основные фонды и производственные мощности
- объем производства фактический, но скорректированный по плану.

Типовая задача с решением
Задача 1
Машиностроительный завод выпустил товарной продукции за март на 522 тыс. руб. Стоимость остатка незавершенного производства по основной продукции на 1 марта равнялась 155 тыс. руб., а на 1 апреля – 172 тыс. руб. Стоимость остатков специального инструмента своего изготовления на начало месяца 15,4 тыс. руб., на конец месяца 12,3 тыс. руб. Литейный цех изготовил для механического цеха отливок на 120 тыс. руб., а кузнечный – на 95 тыс. руб.
Определить стоимость валовой продукции, валового и внутрипроизводственного оборотов.
Решение:
Изменение остатков незавершенного производства:
НЗП=172–155=17 тыс. руб.
Изменение остатков специальной оснастки:
СО=12,3–15,4= -3,1 тыс. руб.
Стоимость валовой продукции:
ВП=522+17–3,1=535,9 тыс. руб.
Стоимость валового оборота:
ВО=535,9+120+95=750,9 тыс. руб.
Стоимость внутрипроизводственного оборота:
ВПО=750,9-535,9=215 тыс. руб.

Задача 2
Определите выполнение плана по номенклатуре.

Выпуск продукции, шт.
Изделие 1
Изделие 2
Изделие 3
План
500
800
300
Факт
520
760
320
Решение:
Выполнение плана по номенклатуре.
Тема 3. Основные фонды и производственные мощности
.
Выполнение плана по номенклатуре составило 97,5%.

Задачи для самостоятельного решения

Задача 2.1
В отчетном году на заводе из собственного материала было выработано готовой продукции на 375 тыс. руб., а из материалов заказчика – на 120 тыс. руб., включая стоимость материла заказчика на сумму 40 тыс. руб. Реализовано полуфабрикатов по специальному заказу на 15 тыс. руб., отпущено электроэнергии, выработанной на заводе, на сторону на 8 тыс.



Тема 4. Оборотные средства предприятия


Цель занятия – дать представление студентам о функционировании основных производственных фондов и формировании производственной мощности предприятия.
Задачи, реализуемые на практическом занятии:

  • изучение видов оценки основных производственных фондов;
  • определение норм амортизации и амортизационных отчислений;
  • расчет показателей использования и эффективности основных фондов;
  • расчет производственной мощности предприятия.

В зависимости от назначения основные фонды делятся на основные непроизводственные и основные производственные фонды.
Основные непроизводственные фонды – это объекты социально-культурного и бытового назначения, медицинские учреждения, столовые, детские сады и т.п., находящиеся на балансе предприятия.
Основные производственные фонды (ОПФ) - средства труда, которые многократно участвуют в производственном процессе и сохраняют свою натурально-вещественную форму в течение длительного периода, переносят свою стоимость на производимую продукцию (услугу) по частям в виде амортизации.
Основные производственные фонды состоят из материальных и нематериальных фондов. Согласно общероссийскому классификатору основных фондов (утвержденный постановлением Правительства РФ от 1 января 2002г.):
- к материальным ОПФ относятся здания; сооружения; передаточные устройства; машины и оборудование, включая силовые машины и оборудования, рабочие машины и оборудования, измерительные и регулирующие приборы и устройства, вычислительная техника и оргтехника, инструмент; транспортные средства; производственный и хозяйственный инвентарь; рабочий, продуктивный и племенной скот, многолетние насаждения и прочие виды материальных основных фондов;
- к нематериальным ОПФ (нематериальным активам) относятся компьютерное программное обеспечение, базы данных, оригинальные произведения развлекательного жанра, литературы или искусства, наукоемкие промышленные технологии, прочие нематериальные основные фонды, являющиеся объектами интеллектуальной собственности, использование которых ограничено установленными на них правами владения.
В системе бухгалтерского учета к основным производственным фондам относятся средства труда со сроком службы более 12 месяцев и со стоимостью (на дату приобретения), превышающей 100-кратный размер минимальной величины месячной оплаты труда за единицу.
В приведенной классификации не все элементы ОПФ играют одинаковую роль. Одни из них (машины и оборудование) принимают непосредственное участие в производственном процессе и поэтому их относят к активной части ОПФ. Другие (производственные здания и сооружения) обеспечивают нормальное функционирование производственного процесса и представляют собой пассивную часть ОПФ.
ОПФ имеют натурально-вещественную и стоимостную форму, поэтому их учет, планирование и эффективность использования требует различных видов оценки. Стоимостная оценка ОПФ производится по первоначальной (балансовой) стоимости, восстановительной стоимости, остаточной стоимости, ликвидационной стоимости и среднегодовой стоимости.
1. Первоначальная (балансовая) стоимость ОПФ слагается из затрат по их возведению (сооружению) или приобретению, включая расходы (затраты) по их доставке и установке, а также иные расходы (затраты), необходимые для доведения данного объекта до состояния готовности к эксплуатации по назначению.
Тема 4. Оборотные средства предприятия
(3.1)
где
Тема 4. Оборотные средства предприятия
- первоначальная стоимость ОПФ, руб.;
Тема 4. Оборотные средства предприятия
- затраты на приобретение и постройку ОПФ данного вида, руб.;
Тема 4. Оборотные средства предприятия
- затраты на доставку (перевозку), руб.;
Тема 4. Оборотные средства предприятия
- затраты на их установку и монтаж, руб.;
Тема 4. Оборотные средства предприятия
- прочие затраты, руб.
2. Восстановительная стоимость ОПФ – это стоимость их воспроизводства в современных условиях; как правило, она устанавливается во время переоценки фондов.
3. Остаточная стоимость ОПФ рассчитывается путем вычета из первоначальной (восстановительной) стоимости суммы начисленной амортизации, т.е. стоимости износа:
Тема 4. Оборотные средства предприятия
(3.2)
где
Тема 4. Оборотные средства предприятия
- остаточная стоимость ОПФ, руб.;
Тема 4. Оборотные средства предприятия
- годовая норма амортизации, %;
Тема 4. Оборотные средства предприятия
- срок эксплуатации ОПФ, лет;
Тема 4. Оборотные средства предприятия
- стоимость износа ОПФ, руб.
4. Ликвидационная стоимость ОПФ – это стоимость ликвидации (списания) ОПФ. Списание ОПФ в основном идет по цене утилизации.
5. Среднегодовая стоимость ОПФ рассчитывается следующим образом:
Тема 4. Оборотные средства предприятия
(3.3)
где
Тема 4. Оборотные средства предприятия
- среднегодовая стоимость ОПФ, руб.;
Тема 4. Оборотные средства предприятия
- первоначальная стоимость ОПФ на начало года, руб.;
Тема 4. Оборотные средства предприятия
- стоимость введенных ОПФ в течение года, руб.;
Тема 4. Оборотные средства предприятия
- стоимость выведенных ОПФ в течение года, руб.;
Тема 4. Оборотные средства предприятия
- количество месяцев эксплуатации введенных ОПФ с момента введения до конца года;
Тема 4. Оборотные средства предприятия
- количество месяцев неэксплуатации выведенных ОПФ с момента выведения до конца года;
Тема 4. Оборотные средства предприятия
- количество вводов ОПФ в течение года;
Тема 4. Оборотные средства предприятия
- количество выводов ОПФ в течение года.
Согласно инструкции Госкомстата среднегодовая стоимость ОПФ определяется по формуле
Тема 4. Оборотные средства предприятия
(3.4)
где
Тема 4. Оборотные средства предприятия
и
Тема 4. Оборотные средства предприятия
– стоимость ОПФ на начало года и на конец года соответственно;
Фi – стоимость ОПФ на первое число всех остальных месяцев.
ОПФ характеризуются двумя видами износа: физический износ (т.е. утрата фондами своей потребительной стоимости вследствие их эксплуатации и естественного снашивания) и моральный износ (т.е. обесценивание, утрата стоимости ОПФ до их физического износа в связи с появлением более дешевых и более производительных фондов).
Физический износ отличается неравномерностью и имеет две формы:
-механический износ и снижение технико-эксплуатационных показателей;
-разрушение бездействующих ОПФ как результат влияния природных условий.
Для характеристики степени физического износа ОПФ используются показатели:
- коэффициент физического износа ОПФ:
Тема 4. Оборотные средства предприятия
(3.5)
где
Тема 4. Оборотные средства предприятия
- стоимость износа ОПФ (т.е. начисленная амортизация) за весь период их эксплуатации, руб.;
- коэффициент годности ОПФ:
Тема 4. Оборотные средства предприятия
или
Тема 4. Оборотные средства предприятия
(3.6)
Все эти формулы предполагают равномерное физическое изнашивание ОПФ, что далеко не всегда совпадает с реальной действительностью, и в этом заключается их основной недостаток.
Наряду с физическим износом ОПФ претерпевают моральный износ. Моральный износ проявляется в двух формах:
- первая форма морального износа заключается в том, что происходит обесценивание машин такой же конструкцPи, что выпускались и раньше, вследствие удешевления их воспроизводства в современных условиях;
- вторая форма морального износа состоит в том, что происходит обесценивание старых машин, физически еще годных, вследствие появления новых, более технически совершенных и производительных, которые вытесняют старые.

Для оценки состояния ОПФ применяются следующие показатели:
Коэффициент обновления основных фондов:
Тема 4. Оборотные средства предприятия
(3.7)
где
Тема 4. Оборотные средства предприятия
- стоимость ОПФ на конец года, руб.
Тема 4. Оборотные средства предприятия
Тема 4. Оборотные средства предприятия
(3.8)
Коэффициент выбытия основных фондов:
Тема 4. Оборотные средства предприятия
(3.8)
Фондовооруженность труда, руб./чел:
Тема 4. Оборотные средства предприятия
(3.9)
где
Тема 4. Оборотные средства предприятия
- среднесписочная численность промышленно-производственного персонала, чел.
Техническая вооруженность труда (
Тема 4. Оборотные средства предприятия
), руб./чел.:
Тема 4. Оборотные средства предприятия
(3.10)
где
Тема 4. Оборотные средства предприятия
- среднегодовая стоимость активной части основных фондов, руб.
Динамика этих показателей свидетельствует о той воспроизводственной политике, которая проводится на предприятии.
Обобщающим показателем использования ОПФ на предприятии, является показатель фондоотдачи, который рассчитывается по формуле:
Тема 4. Оборотные средства предприятия
(3.11)
где
Тема 4. Оборотные средства предприятия
- показатель фондоотдачи, руб./руб.;
П- стоимость произведенной за год продукции (товарной или валовой), руб.
Обратным показателем фондоотдачи является фондоемкость продукции:
Тема 4. Оборотные средства предприятия
(3.12)
К системе взаимосвязанных показателей, непосредственно характеризующих уровень использования активной части ОПФ и производственных мощностей, а также раскрывающих резервы возможного улучшения их использования, относятся:
- коэффициент экстенсивного использования, который характеризует уровень использования активной части ОПФ во времени:
Тема 4. Оборотные средства предприятия
(3.13)
где
Тема 4. Оборотные средства предприятия
- фактическое время работы машин и оборудования, час.;
Тема 4. Оборотные средства предприятия
- режимный фонд времени работы машин и оборудования, час.
- коэффициент интенсивного использования, который характеризует уровень использования машин и оборудования по мощности:
Тема 4. Оборотные средства предприятия
(3.14)
где
Тема 4. Оборотные средства предприятия
- фактическая производительность машин и оборудования;
Тема 4. Оборотные средства предприятия
- возможная (паспортная) производительность машин и оборудования.
- интегральный коэффициент использования ОПФ:
Тема 4. Оборотные средства предприятия
(3.15)
К числу важнейших показателей, характеризующих уровень использования ОПФ во времени, относится коэффициент сменности:
Тема 4. Оборотные средства предприятия
(3.16)
где
Тема 4. Оборотные средства предприятия
- количество машино-смен работы оборудования в первой смене;
Тема 4. Оборотные средства предприятия
- количество машино-смен работы оборудования во второй смене;
Тема 4. Оборотные средства предприятия
- количество машино-смен работы оборудования в третьей смене;
Тема 4. Оборотные средства предприятия
- количество установленного оборудования.
Амортизация – это процесс постепенного переноса части стоимости ОПФ на выпускаемую продукцию (работ, услуг). В целях начисления амортизации все ОПФ распределяются по десяти амортизационным группам в соответствии со сроком его полезного использования. Сроком полезного использования признается период, в течение которого объект основных фондов или объект нематериальных активов служит для выполнения целей деятельности предприятия.
В целях начисления амортизации все ОПФ распределяются по десяти амортизационным группам:
При исчислении амортизации следует различать три показателя: норма амортизации, амортизационные отчисления, амортизационный фонд.



Тема 5. Трудовые ресурсы


Цель занятия: ознакомиться с сущностью оборотных средств предприятия, их структурой, источниками формирования и определением потребности в оборотных средствах.

Оборотные средства (оборотный капитал) являются важнейшим ресурсом в обеспечении текущего финансирования предприятия, представляя собой совокупность оборотных фондов и фондов обращения в стоимостной форме. Оборотные фонды промышленных предприятий обеспечивают непрерывность производственного процесса, а фонды обращения – реализацию произведенной продукции на рынке и получение денежных средств.
Состав оборотных средств предприятия иллюстрирует рис. 2.
Производственные запасы — это предметы труда, подготовленные для запуска в производственный процесс; состоят они из сырья, основных и вспомогательных материалов, топлива, горючего, покупных полуфабрикатов и комплектующих изделий, тары и тарных материалов, запасных частей для текущего ремонта основных фондов.
Незавершенное производство и полуфабрикаты собственного изготовления – это предметы труда, вступившие в производственный процесс: материалы, детали, узлы и изделия, находящиеся в процессе обработки или сборки, а также полуфабрикаты собственного изготовления, не законченные производством и подлежащие дальнейшей обработке.

Рис. 2. Состав оборотных средств предприятия

Расходы будущих периодов – это невещественные элементы оборотных фондов, включающие затраты на подготовку и освоение новой продукции, которые производятся в данном периоде (квартал, год), но относятся на продукцию будущего периода (например, затраты на конструирование и разработку технологии новых видов изделий, на перестановку оборудования и др.).
Для обеспечения непрерывной и бесперебойной работы предприятия отдельные элементы оборотных средств нормируются, т.е. на них устанавливаются лимиты.
Нормирование оборотных средств – это процесс установления обоснованных норм и нормативов, связанных с использованием ресурсов предприятия. Норма расхода материальных ресурсов – максимальное количество сырья, топлива и т.д. на единицу продукции.
qн= qч + qотх+ qп , (4.1)
где qн – расчетно-техническая норма расхода материалов на деталь, кг;
qч – чистый вес детали, кг;
qотх – отходы, связанные с технологией изготовления детали, кг;
qп – потери, связанные с раскроем, завышением размеров заготовок и т.п., кг.
qч + qотх+ qп qн – норма расхода материалов на деталь;
Для определения уровня использования материалов вводят плановый (kпл) и фактический (kфакт) коэффициенты использования материалов.
Тема 5. Трудовые ресурсы
,
Тема 5. Трудовые ресурсы
, (4.2)
где qч – фактический расход материалов, кг.
Норматив оборотных средств (НОС) устанавливает минимальную расчетную сумму оборотных средств, постоянно необходимую предприятию для работы.
Общий норматив оборотных средств предприятия рассчитывается в денежном выражении и определяется путем суммирования нормативов оборотных средств по отдельным элементам:
Тема 5. Трудовые ресурсы
(4.1)

где
Тема 5. Трудовые ресурсы
- общий норматив оборотных средств предприятия, руб.;
Тема 5. Трудовые ресурсы
- норматив оборотных средств производственных запасов, руб.;
Тема 5. Трудовые ресурсы
- норматив оборотных средств незавершенного производства, руб.;
Тема 5. Трудовые ресурсы
- норматив оборотных средств расходов будущих периодов, руб.;
Тема 5. Трудовые ресурсы
- норматив оборотных средств запаса готовой продукции на складах предприятия, руб.
Норматив оборотных средств по производственным запасам определяется по формуле
Тема 5. Трудовые ресурсы
(4.2)
где n – количество различных видов производственных запасов;
Тема 5. Трудовые ресурсы
– общая норма запаса (в днях) по i-ому виду производственных запасов;
Тема 5. Трудовые ресурсы
– однодневный расход или среднесуточное потребление i-ого вида производственных запасов, руб.
Тема 5. Трудовые ресурсы
, (4.3)
где Пi – потребность в i-ом виде производственных запасов за плановый период, руб.
m – количество различных видов продукции;
Тема 5. Трудовые ресурсы
– норма расхода материальных ресурсов i-го вида на единицу продукции j-го вида в натуральном выражении (кг/шт., куб.м/тыс.шт. и т.п.);
Тема 5. Трудовые ресурсы
- количество единиц продукции j-го вида, произведенной за рассматриваемый период, шт.;
Цi – цена материальных ресурсов i-го вида, руб.;
Тема 5. Трудовые ресурсы
– число дней в рассматриваемом плановом периоде (при определении нормативов принято считать в году – 360 дней, в квартале – 90, в месяце – 30).
Норма запаса производственных запасов материальных ресурсов (
Тема 5. Трудовые ресурсы
) складывается из следующих видов запаса (в днях):
Тема 5. Трудовые ресурсы
(4.4)
где Нтек – текущий (складской) запас, необходимый для обеспечения нормального хода процесса производства в период между двумя поставками. Норма текущего запаса равна половине интервала между двумя поставками данного вида материалов;
Нстр – страховой запас создается на случай нарушения планируемых условий поступления и потребления материалов, предотвращает перебои в производстве. Норма страхового запаса устанавливается либо в пределах 30-50% от нормы текущего запаса, либо равной времени максимального отклонения от интервала поставок;
Нтех – технологический (подготовительный) запас создается в тех случаях, когда поступающие сырье и материалы не могут быть сразу использованы, а требуют дополнительной подготовки;
Нтран – транспортный запас связан с нарушением сроков транспортировки и зависит от транспортного средства, которое выбрало предприятие.
Норматив оборотных средств в незавершенном производстве равняется сумме нормативов незавершенного производства по всем видам продукции
Тема 5. Трудовые ресурсы
, (4.5)
где НОСнзпj – норматив незавершенного производства по j-ому виду готовой продукции, руб.;
Тема 5. Трудовые ресурсы
– производственная себестоимость j-го вида продукции, руб.;
Тема 5. Трудовые ресурсы
– длительность производственного цикла j-го вида продукции, дни;
Тема 5. Трудовые ресурсы
– коэффициент нарастания затрат j-о вида продукции.
Тема 5. Трудовые ресурсы
(4.6)
где а - доля материальных (единовременных начальных) затрат (Зм) в себестоимости продукции (а=Зм/С).
Норматив оборотных средств расходов будущих периодов можно определить по формуле
Тема 5. Трудовые ресурсы
(4.7)
где
Тема 5. Трудовые ресурсы
– сумма средств, вложенных в расходы будущих периодов на начало планируемого периода, руб.;
Тема 5. Трудовые ресурсы
– расходы, производимые в планируемом периоде, руб.;
Тема 5. Трудовые ресурсы
– расходы, списываемые на себестоимость продукции в планируемом периоде, руб.
Норматив оборотных средств в запасах готовой продукции на складах предприятия равен сумме нормативов по отдельным видам готовой продукции
Тема 5. Трудовые ресурсы
(4.8)
где
Тема 5. Трудовые ресурсы
- норма запаса готовой продукции по j-му виду изделий, дни.
(т.е.
Тема 5. Трудовые ресурсы
- время, необходимое на комплектацию транспортной партии, упаковку и отгрузку продукции, оформление документации).

Для характеристики оборачиваемости оборотных средств применяются следующие показатели:

  • коэффициент оборачиваемости оборотных средств, отражающий количество оборотов оборотных средств за рассматриваемый период
Тема 5. Трудовые ресурсы
(4.9)
где
Тема 5. Трудовые ресурсы
- объем реализованной продукции за рассматриваемый период, руб.;
Тема 5. Трудовые ресурсы
– средний остаток всех (нормируемых и ненормируемых) оборотных средств за рассматриваемый период, руб., определяемый по формуле средней хронологической
Тема 5. Трудовые ресурсы
(4.10)
где
Тема 5. Трудовые ресурсы
и
Тема 5. Трудовые ресурсы
– остатки оборотных средств на начало и конец года соответственно;
СОi– остатки оборотных средств на первое число всех остальных месяцев;

  • длительность одного оборота в днях, показывающая за какой срок к предприятию возвращаются его оборотных средств в виде выручки от реализации продукции, определяется по формуле:
Тема 5. Трудовые ресурсы
(4.11)
Ускорение оборачиваемости оборотных средств ведет к высвобождению оборотных средств предприятия из оборота. Напротив, замедление оборачиваемости приводит к увеличению потребности предприятия в оборотных средствах. Показателями данных процессов являются:

  • абсолютное высвобождение (вовлечение) оборотных средств, которое определяется следующим образом
Тема 5. Трудовые ресурсы
(4.12)
где
Тема 5. Трудовые ресурсы
- средний остаток оборотных средств в базовом и сравниваемом периодах соответственно, руб..

  • относительное высвобождение (вовлечение) оборотных средств, которое определяется
Тема 5. Трудовые ресурсы
или
Тема 5. Трудовые ресурсы
, (4.13)
где
Тема 5. Трудовые ресурсы
– объем реализованной продукции за сравниваемый (фактический или плановый) период в оптовых ценах, руб.;
Тема 5. Трудовые ресурсы
- длительность одного оборота в днях в базовом и сравниваемом периодах, дни.
Типовые задачи с решением
Задача 1.
Определите норматив оборотных средств предприятия, исходя из следующих данных:

Показатель
Изделие А
Изделие Б
Программа выпуска в год, шт.
Стоимость сырья и материалов на 1 изделие, руб.
Стоимость комплектующих на 1 изделие, руб.
Себестоимость изделия, руб.
Длительность производственного цикла в днях
Норма запаса готовой продукции, дни
36000
1200
400
5000
5
2
2100
24600
6600
75000
30
7
Интервал между поставками сырья и материалов, дни
Интервал между поставками комплектующих, дни
10
24
Страховой запас – 35% от текущего запаса. Подготовительный (технологический) запас требуется только для сырья и материалов и составляет 2 дня. Норматив оборотных средств в расходах будущих периодов – 1350 тыс. руб.

Решение:
1. Рассчитаем норматив производственных запасов:


Сырье и материалы
Комплектующие
Норма текущего запаса
10/2=5
24/2=12
Норма страхового запаса
5*35%=1,75
12*35%=4,2
Норма подготовительного запаса
2

Норма запаса
5+1,75+2=8,75
12+4,2+0=16,2
Среднесуточное потребление сырья и материалов (36000*1200+2100*24600)/360=263500 руб.
Среднесуточное потребление комплектующих (36000*400+2100*6600)/360=78500 руб.



Тема 6. Себестоимость продукции, цена, прибыль и рентабельность


Цель занятия: ознакомиться с понятиями кадры предприятия, производительность труда, с показателями производительности труда, формами и системами оплаты труда на предприятии; приобрести навыки расчета заработной платы, численности персонала предприятия, показателей производительности труда.

Трудовые ресурсы предприятия являются главным ресурсом каждого предприятия, от качества подбора и эффективности использования которого во многом зависят результаты производственной деятельности предприятия. На уровне отдельного предприятия вместо термина трудовые ресурсы чаще используют термины кадры и персонал.
Под кадрами предприятия принято понимать основной (штатный) состав работников предприятия. В зависимости от выполняемых ими функций кадры предприятия делятся на следующие категории: рабочие основные и вспомогательные; руководители; специалисты; служащие. Перечисленные работники образуют (на производственных предприятиях) промышленно-производственный персонал (ППП).
Каждая категория работников в своем составе предусматривает ряд профессий, которые в свою очередь представлены группами специальностей. Внутри специальности работников можно разделить по уровню квалификации.
Профессия – это совокупность специальных теоретических знаний и практических навыков, необходимых для выполнения определенного вида работ в какой-либо отрасли производства.
Специальность – это вид деятельности в пределах данной профессии, которая имеет специфические особенности и требует от работников специальных знаний и навыков.
Квалификация – это совокупность знаний и практических навыков, позволяющих выполнять работы определенной сложности.
По уровню квалификации рабочих можно разделить неквалифицированных, малоквалифицированных, квалифицированных и высококвалифицированных. Квалификация определяется разрядами.
Специалисты делятся по квалификационным категориям: специалист 1, 2, 3-й категории и без категории.
Руководители распределяются по структурам управления и звеньям управления. По структурам управления руководители подразделяются на линейные и функциональные, по звеньям управления – на высшего, среднего и низового звена.
Специалисты – это работники, занятые инженерно-техническими, экономическими работами: инженеры, экономисты, бухгалтеры, юрисконсульты и т.д.
Служащие – это работники, осуществляющие подготовку и оформление документации, учет и контроль, хозяйственное обслуживание: делопроизводители, кассиры, табельщики, учетчики и т.д.
Соотношение перечисленных категорий работников в общей их численности, выраженное в процентах, называется структурой кадров. Структура кадров также может определяться по возрасту, полу, уровню образования, стажу работы, квалификации и другим признакам.
В практике учета и планирования кадров различают явочный, списочный и среднесписочный составы.
Явочный состав – это минимально необходимое число работников, которые должны ежедневно являться на работу для выполнения задания в установленные сроки.
Списочный состав – все постоянные и временные работники, числящиеся на предприятии, как выполняющие в данный момент работу, так и находящиеся в очередных отпусках, командировках, выполняющие государственные обязанности, не явившиеся на работу по болезни или каким-либо другим причинам. Списочная численность работников может быть установлена на определенную дату.
Среднесписочный состав определяется путем суммирования списочного состава работников за все календарные дни периода, включая выходные и праздничные дни, и деления полученной суммы на полное календарное число дней периода.
Кадры предприятия не являются постоянной величиной, в этой связи определяется индекс текучести кадров (
Тема 6. Себестоимость продукции, цена, прибыль и рентабельность
):

Тема 6. Себестоимость продукции, цена, прибыль и рентабельность
(5.1)
где
Тема 6. Себестоимость продукции, цена, прибыль и рентабельность
- численность выбывающих или уволенных работников за определенный период, чел.;
Тема 6. Себестоимость продукции, цена, прибыль и рентабельность
- среднесписочная численность работников за тот же период, чел.
Обычно индексы текучести рассчитываются за год, хотя иногда исчисляются и индексы текучести квартальные, позволяющие учитывать сезонные колебания.
Потребность предприятия в кадрах определяется раздельно по группам и категориям работников.
1. Наиболее распространенными методами определения потребности в рабочих кадрах являются следующие:

  1. по трудоемкости работ;
  2. по нормам выработки;
  3. по норме обслуживания рабочих мест.

По трудоемкости расчет явочной численности производится для оновных рабочих (трудоемкость выпускаемой продукции) и для вспомогательных рабочих (трудоемкость выполняемых работ).
Тема 6. Себестоимость продукции, цена, прибыль и рентабельность
(5.2)
где ЧЯВ – явочное число основных рабочих в смену – это нормативная численность рабочих для выполнения производственного сменного задания по выпуску продукции, чел.
Fд – действительный фонд времени работы рабочего, час.
Ni – годовой объем выпуска i-го изделия, шт.;
n – номенклатура выпускаемых изделий.

По нормам выработки численность персонала рассчитывается по следующей формуле:
Тема 6. Себестоимость продукции, цена, прибыль и рентабельность
(5.3)
где Nпл – плановый объем работ в натуральном выражении;
ВПН – плановая норма выработки на одного рабочего.

По норме обслуживания рабочих мест численность персонала рассчитывается подобным образом:
Тема 6. Себестоимость продукции, цена, прибыль и рентабельность
(5.4)
КОО – число обслуживаемых объектов;
Нобсл – норма обслуживания рабочих мест, приходящаяся на одного рабочего.

2. Численность служащих может быть определена исходя из анализа среднеотраслевых данных, а при их отсутствии – по разработанным предприятием нормативам.
Нормативы численности могут разрабатываться

  • по отдельным функциям или группам функций;
  • по предприятию в целом;
  • по отдельным видам работ (учетные, графические, вычислительные и т.д.);
  • по должностям (конструкторы, технологи, экономисты, бухгалтеры и др.).

3. Численность МОП может быть определена по укрупненным нормативам обслуживания (для уборщиц – по количеству квадратных метров площади помещения; для гардеробщиков – по количеству обслуживаемых людей).

4. Численность руководителей можно определить на основании норм управляемости.
Норма управляемости (диапазон контроля) – это среднее количество персонала, которое ограничивается объективными пределами физических и умственных возможностей одного руководителя эффективно управлять его работой. Иначе говоря, норма управляемости показывает, сколько работников может быть в подчинении у одного руководителя.

Производительность труда – важнейший экономический показатель, характеризующий эффективность затрат труда в материальном производстве как отдельного работника, так и коллектива предприятия в целом.
В производстве любого продукта участвует живой труд, т.е. труд, затрачиваемый работниками непосредственно в процессе производства продукта, и труд прошлый, затраченный другими работниками и овеществленный в орудиях труда, зданиях, сооружениях, сырье, материалах, топливе, энергии. Соответственно, различают производительность индивидуального (живого) и общественного труда.
Основными показателями производительности труда на уровне предприятия являются показатели выработки и трудоемкости.
Выработка (
Тема 6. Себестоимость продукции, цена, прибыль и рентабельность
) – количество продукции, производимой в единицу рабочего времени или приходящейся на одного среднесписочного работника или рабочего в месяц, квартал, год.
Выработка определяется отношением количества произведенной продукции (
Тема 6. Себестоимость продукции, цена, прибыль и рентабельность
) к затратам рабочего времени на производство этой продукции (
Тема 6. Себестоимость продукции, цена, прибыль и рентабельность
) или к среднесписочной численности (Чппп):
Тема 6. Себестоимость продукции, цена, прибыль и рентабельность
или
Тема 6. Себестоимость продукции, цена, прибыль и рентабельность
(5.5)
Трудоемкость – это сумма всех затрат труда на производство единицы продукции на данном предприятия.
Тема 6. Себестоимость продукции, цена, прибыль и рентабельность
(5.6)
Выработка продукции является наиболее распространенным и универсальным показателем производительности труда.
В зависимости от единицы измерения объема продукции различают три метода измерения производительности труда: натуральный, трудовой и стоимостной.
Натуральный метод измерения производительности труда характеризует выработку продукции в натуральной форме в единицу рабочего времени. Натуральные показатели производительности труда выражаются в килограммах, метрах, штуках и т.д.
Если предприятие выпускает несколько видов однородной продукции, то выработка исчисляется в условно-натуральных единицах.
Натуральные показатели применяются на предприятиях нефтяной, газовой, угольной, лесной и других отраслей промышленности, а условно-натуральные – на предприятиях текстильной, цементной, металлургической промышленности.
Трудовой метод измерения производительности труда характеризует отношение нормативных затрат к фактическим затратам рабочего времени.
Трудовой метод применяется для определения эффективности использования труда рабочих по сравнению с нормами, уровня выполнения норм выработки или степени сокращения нормативного времени рабочим в процентах.
Стоимостной метод измерения производительности труда получил более широкое применение, особенно на предприятиях, выпускающих разнородную продукцию, так как дает возможность учета и сравнения разнообразных видов работ путем приведения их к единому измерителю.
Выработка может быть определена в расчете на один отработанный человеко-час (часовая выработка), один отработанный человеко-день (дневная выработка), на одного среднесписочного работника (рабочего) в год, квартал или месяц (годовая, квартальная или месячник выработка).



Тема 7. Эффективность инвестиций и капитальных вложений


Цель занятия: изучение формирование себестоимости и цены, особенностей определения прибыли и рентабельности.
Задачи практических занятий: изучение классификации себестоимости по экономическим элементам и калькуляционным статьям; калькулирование себестоимости единицы продукции; расчет цены продукции; расчет прибыли и рентабельности.

Себестоимость продукции (работ, услуг) представляет собой стоимостную оценку используемых в процессе производства продукции (работ, услуг) природных ресурсов, сырья, материалов, топлива, энергии, основных фондов, трудовых ресурсов, а также других затрат на ее производство и реализацию. Приведенное определение себестоимости относится к производственным затратам и в принятой классификации составляет производственную (фабрично-заводскую), а с учетом затрат по реализации продукции – полную себестоимость промышленной продукции. В соответствии с назначением все затраты группируются по экономическим элементам и калькуляционным статьям.
1. Группировка затрат по экономическим элементам отражает их распределение по экономическому содержанию, независимо от формы использования в производстве того или иного вида продукции и места осуществления затрат, и применяется при составлении сметы затрат на производство всей выпускаемой продукции. Смета необходима не только для снижения затрат по их элементам, но и для составления материальных балансов, нормирования оборотных средств, разработки финансовых планов и др. Для предприятий всех отраслей промышленности установлена следующая обязательная номенклатура затрат на производство по экономическим элементам согласно главе 25 Налогового Кодекса РФ:
1) материальные расходы (за вычетом стоимости возвратных отходов);
2) затраты на оплату труда (все виды оплаты труда и другие выплаты);
3) амортизация основных фондов;
4) прочие расходы.

Смета затрат на производство представляет собой сумму всех затрат по вышеназванным экономическим элементам:
Тема 7. Эффективность инвестиций и капитальных вложений
(6.1)
где
Тема 7. Эффективность инвестиций и капитальных вложений
- затраты по элементу Материальные расходы (за вычетом возвратных отходов), включающие в себя стоимость приобретаемых со стороны сырьевых ресурсов и основных материалом, которые входят в продукт и составляют его основу или являются необходимым компонентом; стоимость покупных полуфабрикатов и вспомогательных материалов; стоимость топлива (твердое, жидкое, газообразное) и энергии всех видов (электрическая, тепловая, сжатого воздуха и др.), приобретаемых со стороны.
Оценка материальных ресурсов, по которой они включаются в себестоимость продукции, определяется исходя из цены приобретения (без учета налога на добавленную стоимость), всех надбавок и комиссионных снабженческим, посредническим и внешнеторговым организациям, а также платы за транспортировку сторонним организациям.
Из расходов на материальные ресурсы исключается стоимость возвратных отходов – остатков сырья, материалов, полуфабрикатов, образующихся в процессе производства, которые утрачивают (полностью или частично) потребительские качества и не могут использоваться по прямому назначению. Возвратные отходы оцениваются в зависимости от возможного их использования.

Тема 7. Эффективность инвестиций и капитальных вложений
- затраты по элементу Затраты на оплату труда (все виды оплаты труда и другие выплаты) включают в себя заработную плату, начисленную по сдельным расценкам, тарифным ставкам и должностным окладам в соответствии с системами оплаты труда, принятыми на предприятии; стоимость продукции, выдаваемой в порядке натуральной оплаты; надбавки и доплаты; премии за производственные результаты; оплату очередных и дополнительных отпусков; надбавки по районным коэффициентам и т.п.

Тема 7. Эффективность инвестиций и капитальных вложений
- затраты по элементу Амортизация основных фондов определяются на основе балансовой стоимости фондов и действующих норм амортизационных отчислений. Износ начисляется как на собственные основные фонды, так и арендованные (если иное не предусмотрено договором аренды).

Тема 7. Эффективность инвестиций и капитальных вложений
- затраты по элементу Прочие расходы включают в себя разнообразные и многочисленные расходы предприятия: налоги и сборы; отчисления в специальные фонды; платежи по обязательному страхованию имущества и за загрязняющие выбросы в окружающую среду; оплаты процентов по кредитам; командировочные и представительские расходы; отчисления в ремонтный фонд; расходы на рекламу; плата за аренду и пр.
В прочие расходы включаются так же отчисления на социальные нужды, (единый социальный налог), которые представляют собой форму перераспределения национального дохода на финансирование общественных потребностей. 5ачисленные средства направляются во внебюджетные фонды и на используются предусмотренные законом цели. Тарифы страховых взносов ежегодно утверждаются в федеральном законе. В настоящее время в эту группу затрат включаются три вида платежей:

  1. Отчисления в Фонд социального страхования РФ – 4%;
  2. Отчисления в Пенсионный фонд РФ – 28,0%;
  3. Фонд обязательного медицинского страхования – 3,6%.
Единый социальный налог (35,6%) взимается от начисленной оплаты труда (основной и дополнительной).

2. Группировка затрат по калькуляционным статьям отражает их состав в зависимости от направления (назначения) расходов (на производство или его обслуживание) и места возникновения (основное производство, вспомогательные службы, обслуживание хозяйства и др.). Калькуляция выражает затраты предприятия в денежной форме на производство и реализацию единицы конкретного вида продукции, а также на выполнение единицы работ (перевозки, ремонт и т.д.) в различных отраслях деятельности.
Типовая группировка затрат по статьям калькуляции имеет следующий вид:
1. Сырье и материалы;
2. Покупные изделия и полуфабрикаты;
3. Топливо и электроэнергия на технологические цели;
4. Возвратные отходы (вычитаются);
5. Основная заработная плата производственных рабочих;
6. Дополнительная заработная плата производственных рабочих;
7. Отчисления на социальные нужды;
8. Расходы на содержание и эксплуатацию технологического оборудования;
Итого технологическая себестоимость
9. Расходы на подготовку и освоение нового производства
10. Цеховые расходы
Итого цеховая себестоимость
11. Общепроизводственные расходы
12. Потери от брака
Итого производственная себестоимость
13. Внепроизводственные (коммерческие) расходы
Итого полная себестоимость

При необходимости предприятия могут выделять также иные статьи затрат, занимающие значительный удельный вес для систематического наблюдения за их динамикой.


В приведенной классификации первые восемь статей осуществляются непосредственно на рабочем месте и прямо относятся на себестоимость каждого вида продукции. Затраты по данным статьям образуют технологическую себестоимость:
Тема 7. Эффективность инвестиций и капитальных вложений
(6.2)
В статью 8 (
Тема 7. Эффективность инвестиций и капитальных вложений
) Расходы по содержанию и эксплуатации оборудования включаются следующие затраты: затраты на техническое обслуживание машин и механизмов; расходы на текущий и капитальный ремонт оборудования, цехового транспорта инструментов; амортизация оборудования и транспортных средств, закрепленных за цехами; заработная плата и отчисления вспомогательных рабочих, занятых эксплуатацией и обслуживанием технологического оборудования; износ малоценных и быстроизнашивающихся предметов.
С девятой по тринадцатую статьи являются комплексными, сбирающими затраты по обслуживанию и управлению производством.
С первой по десятую (включительно) статьи затрат образуют цеховую себестоимость:
Тема 7. Эффективность инвестиций и капитальных вложений
(6.3)
В статью (
Тема 7. Эффективность инвестиций и капитальных вложений
) Расходы на подготовку и освоение нового производства входят затраты некапитального характера: совершенствование технологии, переналадка оборудования, изготовление специального оборудования и оснастки и т.д.
В статью (
Тема 7. Эффективность инвестиций и капитальных вложений
) Цеховые расходы включаются затраты на управление цехов основного производства: заработная плата цехового персонала с отчислениями; затраты на амортизацию зданий, сооружений и их ремонт; затраты на отопление, освещение, уборку цеховых помещений; затраты на спецодежду и спецобувь и пр.
С первой по двенадцатую статьи (включительно) затраты образуют производственную себестоимость:
Тема 7. Эффективность инвестиций и капитальных вложений
(6.4)
Статья Общепроизводственные расходы (
Тема 7. Эффективность инвестиций и капитальных вложений
) включает в себя затраты по управлению и обслуживанию общехозяйственных нужд предприятия, а именно:

  1. фонд оплаты труда аппарата управления предприятия с отчислениями;
  2. материально-техническое и транспортное обслуживание аппарата управления;
  3. затраты на командировки;
  4. содержание и обслуживание технических средств управления (вычислительных центров, узлов связи, средств сигнализации и пр.), освещение, отопление и пр.;
  5. оплата консультационных, информационных, аудиторских услуг, оплата услуг банка (в том числе проценты по кредитам);
  6. расходы на подготовку и переподготовку кадров, расходы по найму рабочей силы;
  7. ремонт зданий, сооружений и инвентаря общепроизводственного назначения;
  8. платежи по обязательному страхованию имущества, налоги, сборы, пошлины и т.п.;
  9. прочие расходы общехозяйственного значения.

В статье Потери от брака (
Тема 7. Эффективность инвестиций и капитальных вложений
) включаются допустимые для данного производства расходы по забракованной продукции.
Все перечисленные статьи образуют полную себестоимость:
Тема 7. Эффективность инвестиций и капитальных вложений
(6.5)
Статья Внепроизводственные (коммерческие) расходы (
Тема 7. Эффективность инвестиций и капитальных вложений
) включает в себя затраты, связанные с реализацией продукции: расходы на тару и упаковку; расходы на транспортировку продукции; затраты на рекламу; прочие расходы по сбыту: хранение, подработка, подсортировка.



Тема 8. Инвестиции – это долгосрочное вложение капитала


Инвестиции – это долгосрочное вложение капитала с целью получения прибыли. В конечном итоге они используются для создания и расширения предприятии различных отраслей.
По своему конечному назначению инвестиции можно разделить на:

  1. Инвестиции в физические активы, т.е. в основные фонды и оборотные средства.
  2. Инвестиции в человеческий капитал (персонал).
  3. Инвестиции в нематериальные активы, к которым относится интеллектуальная собственность: патенты, лицензии, товарные знаки и так далее.
Под капитальными вложениями понимают затраты трудовых, материальных ресурсов и денежных средств на создание, расширение, реконструкцию и техническое перевооружение основных фондов, а также на связанные с ними изменения оборотных средств.
Характерными чертами инвестиций и капитальных вложений являются:

  • большая величина;
  • достаточно длительный срок освоения;
  • риск.
Экономический эффект – это результат осуществления инвестиций (капитальных вложений). Экономический эффект может выражаться в виде экономия от снижения себестоимости продукции, в приросте прибыли или национального дохода.
Экономическая эффективность – это экономический эффект, приходящийся на один рубль инвестиций (капитальных вложений), обеспечивших этот эффект.
Различают абсолютную (общую) и сравнительную (относительную) экономическую эффективность.
Абсолютная (общая) экономическая эффективность определяется, как отношение экономического эффекта ко всей сумме капитальных вложений, вызвавших этот эффект.
В частности, для промышленных новостроек абсолютная экономическая эффективность может быть следующим образом
Тема 8. Инвестиции – это долгосрочное вложение капитала
(7.1)
где ЕР – расчетный коэффициент экономической эффективности (абсолютная экономическая эффективность);
Тема 8. Инвестиции – это долгосрочное вложение капитала
– оптовая цена и себестоимость единицы продукции
Тема 8. Инвестиции – это долгосрочное вложение капитала
-ого вида, руб.;
Тема 8. Инвестиции – это долгосрочное вложение капитала
– объем выпуска продукции
Тема 8. Инвестиции – это долгосрочное вложение капитала
-ого вида, шт.;
Hi – годовая ставка отчислений в бюджет с учетом действующих льгот для продукции
Тема 8. Инвестиции – это долгосрочное вложение капитала
-ого вида (в долях единицы);
m – количество видов продукции;
К – суммарные капитальные вложения, руб.
Эффективность капитальных вложений достигается при условии, если расчетный коэффициент эффективности ЕР больше либо равен нормативного коэффициента эффективности ЕН, т.е. ЕРЕН. В качестве нормативного коэффициента эффективности ЕН часто используют либо сложившийся в отрасли уровень рентабельности, либо процентную ставку по банковским вкладам.
Сравнительная экономическая эффективность определяется при выборе наилучшего варианта капитальных вложений.
Если при равенстве капитальных вложений один из вариантов обеспечивает наибольшее снижение текущих издержек производства (себестоимости), то это вариант будет наиболее выгодным. При равной себестоимости эффективным признается вариант, для осуществления которого требуются меньшие капитальные вложения.
Зачастую сравниваемые варианты отличаются не только суммами капитальных вложений, но и себестоимостью продукции, поэтому для выбора наиболее эффективного варианта приходится рассчитывать ряд показателей сравнительной экономической эффективности.
Показатели сравнительной экономической эффективности.
1. Приведенные затраты на единицу продукции (Зпрi) для i-го варианта капвложений определяются так:
Зпрi = Сi + Ен Кудi (7.2)
где Сi – себестоимость единицы продукции при реализации i-го варианта капвложений, руб.;
Ен - нормативный коэффициент эффективности;
Кудi – удельные капитальные вложения по i-му варианту, руб.
Тема 8. Инвестиции – это долгосрочное вложение капитала
, (7.3)
где Кi – капитальные вложения по i-му варианту, руб.;
Ni – выпуска продукции по i-му варианту в натуральном выражении, шт.
В некоторых случаях рассчитывают приведенные затраты на годовой выпуск продукции
Зпрi = Сгодi + Ен Кi (7.4)
где Сгодi – себестоимость годового объема выпуска продукции по i-му варианту, руб.
Наиболее эффективным считается тот вариант, при котором обеспечивается минимальная величина приведенных затрат.
2. Условно-годовая экономия (Эуг) определяется так:
Эуг = (С1 - С2) N2, (7.5)
где С1, С2 - себестоимость единицы продукции по базовому и внедряемому вариантам, руб.;
N2 – годовой выпуск продукции по внедряемому варианту, шт.
В некоторых случаях условно-годовую экономию определяют следующим образом
Эуг = (П1 –П2) N2, (7.6)
где П1, П2 – прибыль от реализации единицы продукции по базовому и внедряемому вариантам, руб.;
3. Годовой экономический эффект (Эг.) показывает общую экономию годовых затрат по сравниваемым вариантам с учетом величин капвложений.
Эг = [(С1 + Ен Куд1) –- (С2 + Ен Куд2)] N2 = (Зпр1 –Зпр2) N2 (7.7)
или
Эг =(С1 –С2) N2–Ен (К2 – К1)= Эуг–Ен (К2 – К1)= Эуг–Ен К, (7.8)
где К=К2 – К1 – дополнительные капвложения по сравнению с базовым вариантом.
Внедряемый вариант может быть признан эффективным, если выполняется условие Эг0.
4. Расчетный коэффициент эффективности (ЕР) – показатель, характеризующий экономию, приходящуюся на один рубль дополнительных капвложений:
Тема 8. Инвестиции – это долгосрочное вложение капитала
(7.9)
или
Тема 8. Инвестиции – это долгосрочное вложение капитала
(7.10)
где К1, К2 – капвложения по базовому и внедряемому вариантам, руб.;
К уд1, К уд2 – удельные капвложения по базовому и внедряемому вариантам, руб.
Внедряемый вариант признается более выгодным при условии, если
Тема 8. Инвестиции – это долгосрочное вложение капитала
Тема 8. Инвестиции – это долгосрочное вложение капитала
.
5. Расчетный срок окупаемости (Тр) – это период, в течение которого дополнительные капвложения окупаются в результате получения условно-годовой экономии:
Тема 8. Инвестиции – это долгосрочное вложение капитала
(7.11)
или
Тема 8. Инвестиции – это долгосрочное вложение капитала
(7.12)
Внедряемый вариант признается более выгодным при условии, если Тр Тн, где Тн =1/Ен

Учет фактора времени в расчетах эффективности капитальных вложений
Сравниваемые варианты могут различаться по срокам реализации и распределению затрат по годам внутри этого срока. В подобных случаях необходимо разновременные затраты привести к сопоставимому виду. С этой целью используется коэффициент приведения (дисконтирования)
Тема 8. Инвестиции – это долгосрочное вложение капитала
, (7.13)
где – коэффициент приведения (дисконтирования);
Е – норматив приведения или ставка дисконта (зачастую в качестве ставки дисконта используют нормативный коэффициент эффективности Ен) ;
t – число лет, отделяющее затраты и результаты данного года от начала расчетного года.
Чтобы привести величину капитальных вложений к начальному году, надо разделить ее на . Тогда капитальные вложения, приведенные к моменту начала строительства, определяются так:
Тема 8. Инвестиции – это долгосрочное вложение капитала
, (7.14)
где Кt – капвложения, осуществляемые в t-ом году;
Т - временной период расчета.
Эффективность инвестиционных проектов
Для оценки эффективности инвестиционных проектов используются Методические рекомендации по оценке эффективности инвестиционных проектов, утвержденные Минэкономики РФ, Минфином РФ, Госстроем РФ 21.06.1999 № ВК 477.
Оценка эффективности осуществляется с использованием следующих показателей:
1. NPV (Net Present Value) – чистый дисконтированный доход (ЧДД)1, определяемый как сумма текущих эффектов за весь расчетный период, приведенная к начальному году или как превышение интегральных результатов над интегральными затратами.
Тема 8. Инвестиции – это долгосрочное вложение капитала
, (7.15)
где Rt – результаты (доход, выручка от реализации продукции) на t-ом году;
Зt - затраты, осуществляемые в t-ом году.
Затраты Зt включают в себя инвестиции, произведенные в t-ом году (З1t) и текущие затраты З2t. В текущие затраты З2t включают: затраты на сырье и материалы, топливо, электроэнергию, заработную плату с отчислениями на социальные нужды, амортизацию и другие расходы.
Таким образом
Зt = З1t + З2t. (7.16)
Если NPV 0, то проект не эффективен. Чем NPV больше, тем эффективнее проект.
2. IR – индекс доходности (ИД)2
Тема 8. Инвестиции – это долгосрочное вложение капитала
, (7.17)
где К – дисконтированные инвестиции (7.10).
Если IR1 – проект не эффективен. Если IR1, то проект рентабелен.
3. IRR (Internal Rate of Return) – внутренняя норма доходности (ВНД)3 представляет собой ту норму дисконта е, при которой величина NPV равна 0. Иными словами IRR является решением уравнения
Тема 8. Инвестиции – это долгосрочное вложение капитала
. (7.18)
Рассчитанная величина нормы доходности сравнивается с требуемой инвестором величиной нормы доходности на капитал.
Если IRR равна или больше требуемой нормы доходности (IRRЕ), то проект считается эффективным.
IRR является наиболее популярным показателем оценки инвестиционных проектов, т.к. он не зависит от ставки дисконта, выбираемой для расчетов, в известной степени, произвольно
4. Cрок окупаемости инвестиций (Payback Period PBP, Ток) – это срок, за который можно возвратить инвестированные в проект средства, то есть это период времени, начиная с которого первоначальные вложения и другие затраты, связанные с инвестиционным проектом, покрываются суммарными результатами от его осуществления.
Результаты (доходы) и затраты, связанные с осуществлением проекта, можно вычислять с дисконтированием или без него, а так же с учетом инфляции. Соответственно, получится три различных срока окупаемости.
Срок окупаемости рекомендуется опеделять с использованием дисконтирования.








Типовые задачи с решением
Задача 1
Рассчитать абсолютную экономическую эффективность при следующих данных: планируемый выпуск продукции 1000 шт. в год; планируемые капвложения 2000 тыс. руб.; оптовая цена единицы продукции – 960 руб., себестоимость – 600 руб.; налог на прибыль – 24%.
Следует ли реализовать этот проект, если нормативный коэффициент эффективности 15%.



Уставный капитал АО образуется 2 способами


Обычно договор полного товарищества содержит следующие положения: имена участников; фирменное название; местонахождение; предмет деятельности; вклад каждого члена; характер распределения прибыли; сроки функционирования создаваемого товарищества.
Форма полного товарищества большого распространения не имеет и применима только для мелких и средних предприятий.
Товарищество на вере (коммандитное товарищество) – это объединение двух или нескольких лиц для осуществления предпринимательской деятельности, в котором одни участники (полные товарищи) несут ответственность по делам товарищества, как своим вкладом, так и всем своим имуществом, а другие (коммандитисты, или члены-вкладчики) отвечают только своим вкладом. Полные товарищи участвуют в товариществе, как своим капиталом, так и хозяйственными усилиями, а вкладчики – только своим капиталом. Представлять товарищество и заключать от его имени сделки могут только полные товарищи, но не вкладчики.
Общество с ограниченной ответственностью (ООО) — это форма организации предприятия, участники которого вносят определенный паевой взнос в уставный капитал и несут ограниченную ответственность в пределах своих вкладов.
Общество с дополнительной ответственностью (ОДО) – это разновидность хозяйственных обществ. Особенностью ОДО является то, что при недостаточности имущества общества для удовлетворения требований кредиторов участники ОДО могут быть привлечены к имущественной ответственности по долгам общества их личным имуществом, причем в солидарном порядке. Однако размер этой ответственности ограничен: он касается не всего их имущества, как в полном товариществе, а только его части – одинакового для всех кратного размера к сумме внесенных вкладов (например, трехкратный, пятикратный и т.п.).
Акционерное общество (АО) представляет собой форму предприятия, средства которого образуются за счет выпуска и размещения акций, а участники предприятия (акционеры) несут ответственность, ограниченную только той суммой, которая была уплачена за приобретенные акции, т.е. вкладом в капитал акционерного общества. По обязательствам акционерного общества своим имуществом отвечает только само общество.
Руководство всей текущей деятельностью АО и выступление от его имени при заключении сделок поручается, как правило, одному из распорядителей (управляющих) или нескольким распорядителям, входящим в правление фирмы.
Уставный капитал АО образуется двумя способами:
• через публичную подписку на акции;
• через распределение акций среди учредителей.
В первом случае образуется открытое акционерное общество, но втором – закрытое.
Унитарное предприятие – это коммерческая организация, не наделенная правом собственности на закрепленное за ней имущество. Имущество унитарного предприятия является неделимым и не может быть распределено по вкладам (долям, паям), в том числе между работниками предприятия.
Устав унитарного предприятия должен содержать сведения о предмете и целях его деятельности, о размерах уставного фонда предприятия, порядке и источниках его формирования.
В форме унитарных предприятий могут быть созданы только государственные и муниципальные предприятия.
Объединения предприятий - на практике сложились типы объединении, которые различаются в зависимости от целей объединения, характера хозяйственных отношений между их участниками, степени самостоятельности входящих в объединение предприятий. Это картели, синдикаты, тресты, концерны, промышленные холдинги.
Картель представляет собой объединение, как правило, предприятий одной отрасли, предполагающее совместную коммерческую деятельность, т.е. регулирование сбыта с помощью установленных квот, товарных цен, условий реализации.
Синдикат – разновидность картельного соглашения, которое предполагает сбыт продукции его участников через единый сбытовой орган, создаваемый в форме акционерного общества или общества с ограниченной ответственностью. Участники синдиката, как и картеля, сохраняют свою юридическую и коммерческую самостоятельность, а иногда и собственную сбытовую сеть, которая тесно связана с синдикатской сбытовой конторой или обществом. Форма синдиката наиболее распространена в отраслях с массовой однородной продукцией: горнодобывающей, металлургической, химической.
Трест представляет собой объединение, в котором различные предприятия, ранее принадлежащие разным предпринимателям, сливаются в единый производственный комплекс, теряя свою юридическую и хозяйственную самостоятельность. В тресте объединяются все стороны хозяйственной деятельности предприятий, а не одна какая-нибудь сторона, как в картеле или синдикате. Форма треста удобна для организации комбинированного производства, т.е. объединения в одной компании предприятий разных отраслей промышленности, либо представляющих собой последовательные ступени обработки сырья, либо играющих вспомогательную роль одна по отношению к другой.
Концерн – это объединение самостоятельных предприятий, связанных посредством системы участия, персональных уний, патентно-лицензионных соглашений, финансирования, тесного производственного сотрудничества.
Концерн обычно является объединением производственного характера, в которое входят предприятия разных отраслей, в зависимости от чего концерны носят характер вертикальных или горизонтальных объединений. Вертикальное объединение охватывает предприятия разных отраслей промышленности, производственный процесс которых взаимосвязан (например, горнодобывающие, металлургические и машиностроительные). Горизонтальные объединения охватывают предприятия разных отраслей производств, не связанных между собой.
Объединенные в концерн предприятия остаются юридическими лицами в форме акционерных обществ или иных хозяйственных объединений, но имеют общее руководство, осуществляемое головной компанией (холдингом).
Холдинг представляет собой держательскую (материнскую, головную) компанию, которая, обладая контрольным пакетом акций предприятий, объединенных в единую структуру, обеспечивает управление ими и контроль над их деятельностью.
Холдинговые структуры являются многофакторными комплексными образованьями, обеспечивающими последовательное объединение производственных и капитальных ресурсов, создание крупномасштабных дифференцированных производств, ориентированных на разработку и внедрение новейших технических решений, реализацию различных инвестиционных программ.

Вопросы для обсуждения

  1. Основные отличительные черты предприятия, функционирующего в условиях рыночной экономики.
  2. Основные функции и цели предприятия в условиях рынка.
  3. Факторы, влияющие на эффективное функционирование предприятия в условиях рынка.
  4. Виды предприятий, функционирующих в условиях рынка.
  5. Факторы, обуславливающие выбор организационно-правовой формы предприятия.

Задание 1
Предложите оптимальную организационно-правовую форму для следующих предприятий (организаций):

  1. Завод по производству автомобилей;
  2. Фирма по производству и продаже пластиковых окон и сопутствующих товаров (жалюзи, витрин и т.д.);
  3. Станция техобслуживания (СТО);
  4. Завод по переработке металлических отходов;
  5. Фирма по производству дорожных знаков;
  6. Дизайнерская студия.
При выборе организационно-правовой формы необходимо учесть следующие критерии:

  • специализация предприятия (организации);
  • количество учредителей;
  • порядок распределения доходов;
  • материально-техническую базу;
  • объем финансов, необходимых для открытия предприятия;
  • численность персонала;
  • особенности налогообложения.

Задание 2
Обсудите, по каким критериям акционерное общество предпо_тительнее частного предприятия:

  • непрерывность существования;
  • гибкость;
  • риск;
  • ликвидность вложений;
  • налоги;
  • расходы на содержание;
  • возможность обращаться в суд с иском.








    Экономика: Знания - Циклы - Макроэкономика