ЭКОНОМИКА ПРЕДПРИЯТИЯ


До настоящего времени нет общепринятого толкования понятия "экономика предприятия". В ряде случаев исходя из семантики слова его связывают с хозяйствованием, в других - с системой экономических отношений по поводу результатов производства и т.д. Отсутствие такого определения затрудняет организацию работы по выбору форм хозяйствования, понимание логики его ведения, определение места и роли предприятия в реализации основной экономической проблемы: удовлетворение увеличивающихся потребностей в условиях дефицита ресурсов. В толковании сущности "экономика предприятия" следует исходить прежде всего из установления места и роли предприятия в решении основной экономической проблемы.
В условиях рыночной системы хозяйствования предприятие объективно становится основным звеном в ее реализации. Дело в том, что оно не только производит продукцию, пользующуюся спросом на рынке, но и создает рабочие места, обеспечивая занятость населения, начисляет заработную плату и т.д.
Выплачивая федеральные и местные налоги, оно участвует в содержании государственных органов и поддержании социальных программ (образование и здравоохранение, культура и просвещение и т.д.).
Каждое предприятие самостоятельно принимает решение* в части того, что, сколько и как производить товаров (оказывать услуг), где и как их реализовывать и, наконец, как распределять полученный доход (фонды возмещения, оплаты труда, накопления). По всем этим вопросам оно принимает решения в соответствии со своими интересами, отвечая своим имуществом за ошибки или неправильно выбранные действия.
Интересами предприятия являются обеспечение достаточно приемлемого уровня жизни (в форме заработной платы и удовлетворения ряда социальных благ) для своих работников, а также динамичное стабильное развитие производственной базы предприятия и выплаты соответствующих налогов.
Степень их удовлетворения зависит от результатов хозяйственной деятельности предприятия, включающих не просто получение дохода и прибыли от реализации продукции и услуг, но и объем применяемых производственных фондов (основные и оборотные производственные фонды) и совокупность других потребительных стоимостей (социальный сектор), накопленных предприятием на каждый данный момент времени со дня его развития.
Натурально-вещественный состав этих элементов в своей совокупности представляет не что иное, как экономику предприятия.
Экономика предприятия - это совокупность факторов производства (собственных и заемных), непроизводственных факторов (детские сады, профилактории и т.д.), фондов обращения, готовой продукции, денежных средств, находящихся на счетах предприятия в банке, ценных бумаг, нематериальных фондов собственности (патенты, лицензии и другое), доходов или прибыли, полученных в результате реализации продукции и оказания различных услуг.
Их стоимостная оценка характеризует уровень и масштабы развития экономики предприятия. Последнее зависит от многих факторов: от умения найти оптимальные пропорции между ресурсным обеспечением, количеством и качеством выпускаемой продукции, с одной стороны, и объемом продаж, доходов от ее реализации и прибылью, с другой стороны.
Характер и степень эффективности реализации этих факторов зависят от воздействия и учета внешних и внутренних условий развития предприятия. К внешним условиям относится рыночная система хозяйствования.
В конечном итоге, функционирование предприятий в условиях рынка предполагает поиск и разработку каждым из них собственного пути развития. Иными словами, чтобы не только удержаться, но и развиваться в рынке, предприятие должно улучшать состояние своей экономики: иметь всегда оптимальное соотношение между затратами и результатами производства; изыскивать новые формы приложения капитала, находить новые, более эффективные способы, доведения продукции до покупателя, проводить соответствующую товарную политику и т.д.
Это должно сочетаться с полным использованием внутренних факторов развития производства, которые по своему содержанию и назначению довольно многочисленны.
Условно их можно разделить на три группы:
1. Факторы ресурсного обеспечения производства. К ним относятся производственные факторы (здания, сооружения, оборудование, инструменты, земля, сырье и материалы, топливо, рабочая сила, информация и т.п.), т.е. все то, без чего немыслимо производство продукции и оказание услуг в количестве и качестве, требуемом рынком.
2. Факторы, обеспечивающие желаемый уровень экономического и технического развития предприятия (НТП, организация труда и производства, повышение квалификации, инновации и инвестиции и т.д.).
3. Факторы, обеспечивающие коммерческую эффективность производственно-хозяйственной деятельности предприятия (умение вести высокоэффективную коммерческую и снабженческую деятельность).
Какой-либо строго очерченной грани между этими группами нет. К примеру, большая часть средств производства является не только необходимым условием производства товаров и оказания услуг, но и определяет его технический уровень.
Вместе с тем по степени воздействия на производство они различны. Так, первая группа факторов определяет ресурсы предприятия, его возможности, а степень реализации этих возможностей зависит от использования второй группы.
Несколько в стороне стоит третья группа факторов. Ее возникновение непосредственно связано с рыночными отношениями. Их реализация направлена на:
обеспечение ритмичности производства путем определенной организации его обеспечения всеми необходимыми ресурсами для производства товаров в качестве и количестве, позволяющем удовлетворять требования рынка;
снижение издержек производства или их удержание на определенном уровне посредством проведения эффективной коммерческой работы;
получение прибыли в объеме, обеспечивающем техническое и экономическое развитие предприятия.
Это достигается путем проведения маркетинга товара. Их различная роль в производстве товаров и его развитии определяет специфику использования каждой группы факторов.
Особенность ресурсного обеспечения состоит в том, что оно по своей стоимости составляет более 90% имущества и денежных средств предприятия, а также переносит свою стоимость на готовый продукт либо по частям (основные фонды), либо полностью (предметы труда, рабочая сила). Отсюда и различные требования к их обеспечению. Например, основные фонды в силу их большой стоимости и продолжительности использования должны обладать высокой производительностью, экономичностью в использовании, универсальностью, надежностью в работе, а предметы труда по своему количественному и качественному составу - достаточными для производства необходимой продукции и в то же время минимальными, не ведущими к увеличению издержек производства за счет образования сверхнормативных запасов.
Это только одна сторона вопроса, другая состоит в необходимости рационального использования наличных производственных ресурсов, что потребует прежде всего рассмотрения содержания таких экономических категорий, как себестоимость, прибыль, рентабельность, ценообразование в условиях рыночных отношений. Без них невозможно решение проблемы: что, сколько, как, в каком виде производить. Необходим постоянный контроль за складывающимся соотношением между доходами и затратами, связанными с изготовлением продукции и оказанием услуг.
В частности, в принятии решения "что и сколько производить?" большое значение имеет знание средних издержек производства на единицу продукции.
Однако этого недостаточно. Чтобы решить, до каких пределов следует увеличивать масштабы производства, необходимо знание предельных издержек (себестоимости). Дело в том, что с ростом масштабов производства, вызванного дополнительным приобретением средств производства, себестоимость единицы продукции снижается. Но это снижение не может быть беспредельным, наступает момент, когда она начинает расти. Это и есть предельная себестоимость.
Иными словами, надо формировать такие издержки, которые дают наилучший результат. На практике это означает получение как можно большей прибыли.
В условиях рыночных отношений, как свидетельствует мировая практика, имеются три основных источника получения прибыли:
первый - за счет монопольного положения предприятия по выпуску продукции;
второй - связан непосредственно с производственной и коммерческой деятельностью (подавляющее число предприятий). Величина прибыли в данном случае зависит от правильной производственной направленности (выбор продуктов, пользующихся высоким и стабильным спросом); от степени конкурентоспособности продукции (цена, сроки поставки, обслуживание и т.д.); объемов выпускаемой продукции и, наконец, от структуры снижения издержек производства;
третий - от инновационной деятельности.
Стремление предприятий к получению прибыли напрямую связано с системой налогов, которыми облагается прибыль предприятия, и их размером. Французский философ М.Монтескье по этому вопросу сказал: "Ничто не требует столько мудрости и ума, как определение той части, которую у подданных забирают, и той, которая у них остается". Иными словами, размер налога должен стимулировать предприятия к расширению производственной деятельности.
На величину прибыли влияет и характер формирования цен и их регулирование со стороны государства.
Эффективность функционирования предприятия и его экономический рост во многом зависят от совершенства управления и организации всех сторон его деятельности. Само по себе использование того или иного фактора вне связи с другими еще не означает, что будет обеспечено должное экономическое и техническое развитие предприятия. Нужна интеграция всех факторов. Эта функция принадлежит управлению производством в условиях рыночных отношений.
Требования к управлению условно можно выразить так: знает - может - хочет - успевает. Достаточно отсутствия одного из элементов, и система рушится. Однако чтобы выполнить эти требования, управление должно иметь свою собственную внутреннюю содержательную организацию.
Характерными чертами рыночных отношений является вовлечение в сферу их интересов не только крупного бизнеса, но и огромного количества предпринимателей, частных собственников, с одной стороны, и динамичность протекания хозяйственных процессов - с другой. Это и предопределило необходимость изучения коммерческой и предпринимательской деятельности, особенностей ее проявления в различных видах бизнеса, организации малых предприятий. Конечно, нет и нельзя найти единого рецепта на все случаи жизни и ответа на вопрос: как правильно хозяйствовать?
Но вместе с тем мировая практика работы процветающих фирм и компаний выработала некоторые общие подходы по реализации эффективной хозяйственной деятельности.
В то же время нельзя механически переносить на российскую почву опыт работы фирм развитых стран. Необходима его адаптация с учетом традиций и менталитета российских хозяйственников.
Предлагаемое вниманию читателей учебное пособие состоит из пяти разделов. Первый раздел посвящен раскрытию основ функционирования предприятия в системе национальной экономики.
Успешное ведение экономики предприятия во многом зависит от его ресурсного обеспечения и характера использования основного и оборотного капитала, рабочей силы. Этим вопросам посвящен второй раздел пособия.
В третьем разделе рассматриваются экономический механизм деятельности предприятия и прежде всего вопросы стратегии развития предприятия, планирования, обеспечения конкурентоспособности предприятия, его ценовой политики.
Успешное ведение экономики предприятия в условиях рыночных отношений предполагает использование предпринимательских подходов, в основе которых лежат поиск и реализация инноваций, нетривиальных решений поставленных задач. В этой связи в четвертом разделе учебного пособия рассмотрены сущность и виды предпринимательства, инновационная и инвестиционная деятельность предприятия, содержание и порядок составления бизнес-плана.
Рациональность использования ресурсов, применение современных методов работы сказываются на результатах деятельности предприятия. Поэтому в пятом разделе книги рассматриваются такие экономические категории, как издержки, доход, прибыль, рентабельность, анализируются показатели оценки хозяйственной деятельности предприятия и состояния баланса.

Анализ финансового положения предприятия



Продолжение


Показатели
Характеристика
Способ расчета
3. Рентабельность продаж (оборота)
Показывает, какую прибыль имеет предприятие с каждого рубля реализованной продукции
Отношение прибыли к средней за период величине чистых активов
4. Рентабельность имущества предприятия
Показывает, какую прибыль получает предприятие с каждого рубля, вложенного в активы
Отношение чистой прибыли к средней за период величине чистых активов
5. Рентабельность обственного капитала
Показывает эффективность использования средств, принадлежащих собственникам предприятия. Служит основным критериям при оценке уровня котировки акций на бирже
Отношение чистой прибыли к средней за период величине собственного капитала

В условиях рынка важное значение имеют показатели качества продукции или оказываемых услуг, так как качество продукции сильно влияет как на повышение конкурентоспособности товаров, так и на повышение продажной цены. Последнее увеличивает объем продаж, а, следовательно, и рост прибыли.
Показатели качества различны для видов продукции разного потребительского назначения. Например, для продуктов питания главным показателем является содержание полезных веществ (белков, жиров, углеводов, витаминов и т.п.); для тканей, трикотажа и нетканых материалов прочность окраски, степень усадки, прочность на разрыв; для швейных и трикотажных изделий - соответствие моде. Для оценки товаров длительного пользования применяются показатели экономичности, надежности, долговечности, степени учета требований технической эстетики.
В данном случае под экономичностью понимаются такие свойства продукции, которые дают экономию средств как в производстве изделия, так и в процессе его эксплуатации. Так, последнее поколение телевизоров отличается меньшими габаритами, весом, меньшим потреблением электроэнергии и т.д.
Систематический и всесторонний анализ эффективности деятельности предприятия позволит:
быстро, качественно и профессионально оценивать результативность хозяйственной деятельности как предприятия в целом, так и его структурных подразделений;
точно и своевременно находить и учитывать факторы, влияющие на получаемую прибыль по конкретным видам производимых товаров и предоставляемых услуг;
определять затраты на производство (издержки производства) и тенденции их изменения, что необходимо для разработки ценовой политики предприятия;
находить оптимальные пути решения проблем предприятия и получения прибыли в ближайшей и отдаленной перспективах.
При рассмотрении показателей важно отметить, что рыночные отношения предполагают, что в каждой сфере бизнеса должны быть свои показатели (часто нигде более не применяемые). Так, во многих отраслях пищевой промышленности (консервная, сахарная и др.) большое значение в целях снижения издержек производства имеют степень глубины переработки сырья, использование вторичного сырья и пр.
Важно усвоить, что нет и не может быть такого показателя хозяйственной деятельности, который годился бы на все случаи жизни. Для того чтобы развиваться в условиях острой конкуренции, руководитель (предприниматель) должен видеть, чувствовать результаты всех видов деятельности, а это означает, что необходимо формирование системы взаимосвязанных показателей, отражающих степень достижения целей, период и тип организации.

20.2. Анализ финансового положения предприятия
В условиях рыночной системы хозяйствования с ее жесткой конкуренцией важное значение имеют показатели, характеризующие финансовое состояние предприятия. Для оценки результативности финансовой деятельности также используется система показателей, причем, с одной стороны, дается оценка показателей состояния финансов на предприятии, а с другой успешного их применения.
Большое значение имеет знание финансового положения предприятия в каждый данный момент. С этой целью используются разнообразные коэффициенты.
1. Коэффициенты текущей платежеспособности:
коэффициент покрытия (отношение ликвидных активов к краткосрочным обязательствам).
Используется для определения способности предприятия оплачивать текущую задолженность;
коэффициент ликвидности (отношение сумм денежной наличности, ценных бумаг и счета к получению к краткосрочным обязательствам).
Характеризует способность расплачиваться по счетам в кратчайший срок.
2. Коэффициенты долгосрочной платежеспособности: коэффициент отношения заемного капитала к собственному (отношение заемного капитала к собственному капиталу).
Показывает степень финансовой самостоятельности;
коэффициент обеспеченности процентов по кредитам (отношение суммы чистой прибыли до выплаты налогов и процентов по кредиту к процентам по кредиту).
Характеризует степень защищенности кредиторов от недобросовестных плательщиков.
3. Коэффициенты рентабельности.
коэффициент чистой прибыли на 1 руб. реализации (отношение чистой прибыли к общему объему продаж).
Характеризует величину прибыли, приносимую каждым рублем, полученным от продажи продукции;
коэффициент оборачиваемости активов (отношение общего объема продаж к средней величине актива). Показывает, насколько эффективно используются активы для получения каждого рубля реализации;
коэффициент отдачи на вложенный капитал (отношение чистой прибыли к средней величине актива).
Определяет рентабельность;
коэффициент отдачи собственного капитала (отношение чистой прибыли к средней величине акционерного капитала).
Характеризует выгодность инвестиций;
коэффициент прибыли в расчете на одну акцию (отношение чистой прибыли к числу акций).
Исчисляет доход, приносимый одной акцией.
4. Коэффициенты финансовой устойчивости:
коэффициент обеспеченности собственными оборотными средствами (отношение собственных оборотных средств к общей величине оборотных средств предприятия).
Отражает наличие собственных оборотных средств предприятия, необходимых для его финансовой устойчивости (0,1 0,5);
коэффициент маневренности собственных оборотных средств (отношение собственных оборотных средств к общей величине собственных средств (собственного капитала) предприятия).
Показывает способность предприятия поддерживать уровень собственного оборотного капитала и возможность пополнять оборотные средства в случае необходимости за счет собственных источников (0,2 0,5).
5. Коэффициенты, характеризующие положение на рынке:
коэффициент рыночной цены акции к доходам на одну акцию (отношение рыночной цены одной акции к доходу на одну акцию).
Показывает, сколько вкладчик может заплатить за каждый рубль дохода;
коэффициент полученных дивидендов на одну акцию по рыночной цене (отношение дивиденда на одну акцию к рыночной цене одной акции).
Отражает отдачу на вложенный акционером капитал;
коэффициент рыночного капитала (отношение изменения рыночной цены акции конкретной компании к среднему изменению цен всех котирующихся на рынке акций, %).
Характеризует степень изменения конкретных цен в сравнении с ценами акций других предприятий.

20.3. Бухгалтерский баланс предприятия
Бухгалтерский баланс представляет собой способ экономической группировки имущества предприятия по его составу и размещению и источникам формирования на определенную дату. В бухгалтерском балансе имущество предприятия рассматривается с двух позиций: по составу и размещению и по источникам образования.
Баланс представляет собой таблицу, в первой части которой (актив баланса) показывается имущество по составу и размещению. Во второй части (пассив баланса) отражаются источники формирования этого имущества и их лицевое назначение. Сумма всех статей актива баланса всегда равна сумме всех статей пассива баланса это итог баланса, иногда называемый «валютой баланса» (см, табл.
20.2).

Таблица 20.2
БУХГАЛТЕРСКИЙ БАЛАНС за 200_ г.


АКТИВ
Код строки
На начало отчетного периода
На конец отчетного периода
1
2
3
4
I. ВНЕОБОРОТНЫЕ АКТИВЫ



Нематериальные активы (04, 05)
110


в том числе:



патенты, лицензии, товарные знаки



(знаки обслуживания, иные аналогич



ные с перечисленными права и активы)
111


организационные расходы
112


деловая репутация организации
113


Основные средства (O I, 02, 03)
120


в том числе:



земельные участки и объекты природо-



пользования
121


здания, машины, оборудование
122


Незавершенное строительство



(07, 08, 16, 61)
130


Доходные вложения в материальные ценно-



сти (03)
135


в том числе:



имущество для передачи в лизинг
136


имущество, предоставляемое по дого-



вору проката
137


Долгосрочные финансовые вложения



(06, 82)
140


в том числе:



инвестиции в дочерние общества
141


инвестиции в зависимые общества
142


инвестиции в другие организации
143


займы, предоставляемые организациям



на срок более 12 месяцев
144


прочие долгосрочные финансовые вло-
145


жения



Прочие внеоборотные пассивы
150


Итого по разделу I
190




Анализ портфеля продукции


Квалификация работников, так же как и финансовые ресурсы, является сильным ограничительным фактором при выборе стратегии фирмы. Углубление и расширение квалификационного потенциала работников - важнейшее условие, обеспечивающее возможность перехода к новым производствам либо качественному технологическому обновлению существующего.
Большое влияние на выбор стратегии фирмы оказывает степень зависимости от внешней среды. Бывают такие ситуации, когда фирма настолько зависит от поставщиков или покупателей ее продукции, что не вольна делать выбор стратегии исходя из возможностей более полного использования своего потенциала. В этом случае внешняя зависимость играет более значительную роль в выборе стратегии фирмы, чем все остальные факторы.
Сильная внешняя зависимость также может быть обусловлена правовым регулированием поведения фирмы, например, антимонопольным законодательством, социальными ограничениями, влиянием природной среды, политическими факторами и т.д. Еще один ключевой фактор - интересы руководства фирмы. Например, руководство любит рисковать или, наоборот, стремится всеми способами избегать риска.
Это может быть решающим фактором в выборе стратегии. В другом случае руководство фирмы может взять курс на поглощение другой фирмы, только исходя из того, что оно решило свести личные счеты или доказать что-то определенным лицам.
Обязательно должен приниматься во внимание временной фактор- Дело в том, что и возможности, и угрозы для фирмы, и планируемые изменения всегда имеют определенные временные границы. При этом важно учитывать и календарное время, и продолжительность интервалов осуществления конкретных действий по реализации стратегии. Часто успеха добивается та фирма, которая лучше умеет управлять процессами во времени.
При анализе портфеля продукции, т.е. набора вариантов инвестиций, производится сравнение доли фирмы или ее изделий на рынке с темпами роста всей хозяйственной деятельности. Здесь может быть использована матрица Бостонской консультативной группы ( 9.3), которая поможет выбрать ту или иную стратегию. Например, если изделие фирмы занимает большую долю рынка и имеет высокие темпы роста ("звезда"), фирма скорее всего будет придерживаться стратегии роста.
Наоборот, если изделие занимает малую долю рынка и имеет низкие темпы роста ("собака"), фирма может выбрать стратегию сокращения.


Анализ портфеля продукции


С помощью анализа портфеля продукции могут быть сбалансированы такие важнейшие факторы бизнеса, как риск, поступление денег, обновление и отмирание определенных видов деятельности.
Заключительным этапом выбора стратегии является ее оценка. Процедура оценки в конечном счете сводится к решению вопроса, приведет ли выбранная стратегия к достижению поставленных целей. Затем проводится оценка стратегии по следующим направлениям:
а) соответствие выбранной стратегии состоянию и требованиям окружения. Проверяется то, насколько стратегия увязана с требованиями со стороны основных субъектов окружения, в какой степени учтены факторы динамики рынка и жизненного цикла продукта, приведет ли реализация стратегии к появлению новых конкурентных преимуществ и т.д.;
б) соответствие выбранной стратегии потенциалу и возможностям фирмы. В данном случае оценивается то, насколько выбранная стратегия соответствует возможностям персонала, финансовым ресурсам фирмы, позволяет ли существующая структура фирмы успешно реализовать стратегию, выверена ли программа реализации во времени и т.п.;
в) приемлемость риска, заложенная в стратегии. Оценка оправданности риска проверяется по трем направлениям: реалистичность предпосылок, заложенных в основу выбора стратегии; негативные последствия для фирмы, к которым может привести провал стратегии; оправданность при возможном положительном результате риска потерь от провала в реализации стратегии.
Эффективность стратегии. Для ее оценки используют критерии и показатели:
экономический эффект - воздействие стратегии на массу и норму прибыли, чистой прибыли, срок окупаемости инвестиций, объем продаж на внутреннем и внешнем рынках;
социальный эффект - влияние на условия и привлекательность труда, развитие культуры и образования, качество жизни;
экологический эффект - воздействие на степень загрязнения окружающей среды, комплексность использования природных ресурсов;
технический (качественный) эффект - изменение уровня новизны, качества, конкурентоспособности продукции;
системный (синергический) эффект - дополнительный доход от продажи и эксплуатации взаимодополняющих и сопряженных изделий, систем машин и т.п.
На основе приведенного анализа и оценки возможных вариантов принимается окончательное решение о выборе наиболее целесообразной стратегии.

9.3. Функциональные стратегии
Анализ портфеля продукции

Стратегия деятельности предприятия разрабатывается и реализуется как единым целым субъектом рыночной экономики. Однако каждое предприятие является сложной многофункциональной системой, поэтому стратегию деятельности предприятия, которую иначе можно назвать генеральной стратегией, детализируют с помощью функциональных стратегий, которые отражают конкретные пути достижения специфических целей предприятия, стоящих перед его отдельными подразделениями и службами. Иначе эти стратегии можно назвать рабочими стратегиями.
Каждая функциональная стратегия имеет определенный объект, на который она направлена. В этой связи могут разрабатываться следующие функциональные стратегии:
стратегия маркетинга;
финансовая стратегия;
стратегия инноваций;
стратегия производства;
стратегия организационных изменений и др.
Набор функциональных стратегий на том или ином конкретном предприятии определяется составом специфических целей, которые ставит перед собой руководство предприятия.
Рассмотрим кратко основные функциональные стратегии предприятия.
Стратегия маркетинга - это способ действия на рынке, руководствуясь которым предприятие выбирает цели и определяет наиболее эффективные пути их достижения. Цель устанавливает границы и сферы рыночной деятельности (конкурентные преимущества, овладение новым рынком и др.). Пути достижения поставленных целей формируются с помощью выбора стратегических направлений развития и стратегических зон хозяйствования. Соответственно разрабатывается и комплекс маркетинговых средств (товар, цена, реклама и др.).
Разработка стратегии маркетинга опирается на прогнозы относительно долгосрочных перспектив развития рынка и потенциальных возможностей предприятия.
Финансовая стратегия представляет собой общее направление и способ использования средств для достижения поставленных целей управления финансами предприятия. Этому способу соответствует определенный набор правил и ограничений для принятия решений. Стратегия позволяет сконцентрировать усилия на вариантах решения, не противоречащих принятой стратегии, отбросив другие варианты.
Основой разработки финансовой стратегии служат анализ факторов эффективного использования финансовых ресурсов в долгосрочной перспективе и поставленные цели. Целями в данном случае могут быть: максимизация прибыли при минимизации расходов, оптимизация структуры активов предприятия, обеспечение финансовой стабильности предприятия в обозримом будущем.
Инновационную стратегию можно определить как взаимосвязанный комплекс технических, технологических и организационных действий, направленных на обеспечение конкурентоспособности предприятия и устойчивое его развитие.
Основу выработки инновационной стратегии составляют теория жизненного цикла продукта, рыночная позиция фирмы и проводимая ею научно-техническая политика1.
Стратегия производства представляет собой комплекс взаимосвязанных мер по выбору продукции (услуг), технологии и организации производства, позволяющих обеспечить устойчивое эффективное развитие предприятия. Для того, чтобы реализовать цели предприятия, обеспечить конкурентоспособность продукции (услуг) и тем самым добиться успеха, необходимо организовать высокоэффективное производство.
Стратегия организационного развития - это многоуровневая система преобразований, нацеленных на средне- и долгосрочную перспективу и предусматривающих изменение организационной структуры управления, методов работы, организационной культуры. В основе данной стратегии лежит видение будущего, т.е. идеальный образ предприятия, к которому необходимо стремиться.




Цель управления формированием прибыли


Каким образом определяется прибыль от реализации продукции? 5. Назовите состав балансовой и чистой прибыли.
6. Какова цель управления формированием прибыли?
7. Что такое рентабельность?
8. Назовите показатели рентабельности работы предприятия.
9. Назовите источники финансовых ресурсов предприятия.
10. Какими показателями оценивается деятельность предприятия?
11. С какой целью осуществляется анализ работы предприятия?
12. По каким показателям анализируется финансовое положение предприятия?
13. В чем состоит назначение бухгалтерского баланса?
14. Что представляют собой активы и пассивы баланса?
Практикум
Тема 1. Структура национальной экономики

Вопросы для обсуждения

1. Сферы и подразделения национальной экономики.
2. Структурная перестройка экономики России.
3. Основные направления структурной перестройки в промышленности России.

Тесты

Укажите правильные варианты ответов

1. К сфере материального производства относятся отрасли:
а) промышленность;
б) сельское хозяйство;
в) здравоохранение;
г) народное образование.
2. К тяжелой промышленности относятся отрасли:
а) черная металлургия;
б) машиностроение;
в) текстильная;
г) молочная.
3. Какие тенденции характеризуют прогрессивные изменения в структуре экономики:
а) увеличение удельного веса добывающих отраслей;
б) уменьшение удельного веса обрабатывающих отраслей;
в) рост удельного веса продукции машиностроения;
г) высокие темпы роста авиационной и аэрокосмической промышленности.

Тема 2. Предприятие основное звено экономики

Вопросы для обсуждения

1. Понятие и классификация предприятий.
2. Организационно-правовые формы предприятий.
3. Объединения предприятий.
4. Жизненный цикл предприятия и его стадии.

Тесты

1. Какие из перечисленных параметров относятся к качественным параметрам классификации предприятий:
а) тип собственности;
б) численность работников;
в) сфера деятельности;
г) ассортимент выпускаемой продукции;
д) годовой оборот капитала.
2. Какие предприятия относятся к коммерческим организациям:
а) товарищества;
б) общества;
в) производственные кооперативы;
г) фонды;
д) учреждения.
3. Где должна осуществляться государственная регистрация коммерческой организации:
а) в органах Министерства юстиции РФ;
б) в Регистрационной палате;
в) в органах местного самоуправления.
4. Как распределяются прибыли и убытки между участниками полного товарищества:
а) равными долями;
б) пропорционально их долям в складочном капитале;
в) по договоренности участников.
Назовите правильные варианты ответов.
5. Какие из перечисленных параметров относятся к особенностям общества с ограниченной ответственностью (000):
а) число участников ООО не регламентировано;
б) число участников не более 50 человек;
в) минимальный размер уставного капитала не регламентирован;
г) минимальный размер уставного капитала должен быть не менее 100 минимальных размеров оплаты труда.
6. Назовите преимущества акционерного общества (АО):
а) способны привлекать дополнительные инвестиции путем выпуска акций;
б) акционеры не несут никакой ответственности по обязательствам АО;
в) акционеры несут ответственность по обязательствам АО стоимостью своих акций;
г) увеличивают предпринимательские риски;
д) снижают предпринимательские риски.
7. Отличия открытых акционерных обществ (ОАО) от закрытых акционерных обществ (3AO):
а) порядок выпуска и продажи акций ОАО носит открытый характер;
б) акции ЗАО распределяются только среди его учредителей;
в) минимальный размер уставного капитала ОАО не регламентирован;
г) уставный капитал ОАО должен составлять не менее 1000 минимальных размеров оплаты труда;
д) число акционеров в ЗАО не ограничено;
е) число акционеров в ЗАО не должно быть более 50;
ж) число акционеров в ОАО не ограничено.
8. Какие из названных позиций относятся к преимуществам производственных кооперативов:
а) прибыль кооператива распределяется между его членами пропорционально их паям;
б) прибыль кооператива распределяется между его членами в соответствии с их трудовым вкладом;
в) число членов кооператива законодательством не ограничено;
г) число членов кооператива должно быть не менее 5 человек;
д) все члены кооператива имеют равные права в управлении кооперативом;
е) каждый член кооператива несет ограниченную субсидиарную ответственность по долгам кооператива.
9. Какие действия имеет право совершать унитарное предприятие на праве хозяйственного ведения без согласия собственника-учредителя:
а) продавать недвижимое имущество;
б) сдавать недвижимое имущество в аренду;
в) самостоятельно распоряжаться движимым имуществом; г) пользоваться имуществом в соответствии с его назначением и видами деятельности предприятия.
д) владеть имуществом, закрепляя его на балансе.
10. Какие из перечисленных лиц обладают правом на обращение в арбитражный суд с заявлением о признании должника банкротом:
а) кредиторы;
б) должник;
в) налоговые органы;
г) таможенные органы;
д) арбитражные управляющие.

Тема 3. Производственная и организационная структуры предприятия

Вопросы для обсуждения

1. Понятие и состав производственной структуры предприятия.
2. Понятие и состав организационной структуры предприятия
3. Принципы и факторы построения производственных и организационных структур предприятий.
4. Отраслевые особенности производственных и организационных структур предприятий.
5. Производственная и непроизводственная инфраструктуры предприятия.

Тесты

1. Какие из перечисленных элементов относятся к производственной структуре предприятия:
а) основные цехи;
б) вспомогательные цехи;
в) подсобное хозяйство;
г) поликлиника предприятия;
д) котельная предприятия.
2. Какие из перечисленных цехов относятся к основным цехам предприятия:
а) заготовительный цех;
б) обрабатывающий цех;
в) сборочный цех;
г) тарный цех;
д) ремонтный цех.
3. Назовите принципы построения оптимальной производственной структуры предприятия:
а) обеспечение пропорциональности между всеми частями предприятия;
б) укрупнение цехов и участков;
в) соблюдение рационального соотношения между основными и вспомогательными цехами и участками;
г) объем выпуска продукции и ее трудоемкость;
д) уровень специализации и кооперирования производства.
4. Какие из перечисленных типов организационных структур относятся к категории бюрократических:
а) линейная;
б) функциональная;
в) линейно-функциональная;
г) дивизиональная;
д) проектная;
е) матричная.
5. Назовите принципы построения организационных структур управления предприятием:
а) соответствие структуры управления целям и стратегии развития предприятия;
б) единство структуры и функции управления;
в) первичность функции и вторичность органа управления;
г) уровень механизации и автоматизации управленческих работ;
д) квалификация работников.
6. Какие из перечисленных подразделений относятся к производственной инфраструктуре предприятия:
а) инструментальный цех;
б) транспортное хозяйство;
в) складское хозяйство;
г) энергетическое хозяйство;
д) медицинские пункты;
е) столовая;
ж) оздоровительный комплекс.

Практическое задание

Разработайте производственную и организационную структуры предприятия (обувного, швейного, металлообрабатывающего) среднего размера с полным циклом производства от поступления необходимого сырья до изготовления готового товара, оцените их сходство и отраслевые различия.

Тема 4. Типы производства и организация производственного процесса

Вопросы для обсуждения

l. Типы производства и их характеристика.
2. Производственный процесс и его содержание.
3. Производственный цикл и расчет его длительности.
4. Принципы организации производственного процесса.
5. Методы организации производственного процесса.

Тесты

1. Какие характеристики относятся к единичному типу производства:
а) номенклатура продукции неограниченная;
б) применяемое оборудование универсальное;
в) квалификация рабочих невысокая;
г) себестоимость продукции низкая.
Укажите правильные варианты ответов.
2. Какие характеристики относятся к серийному типу производства:
а) номенклатура продукции ограничена сериями;
б) выпуск продукции периодически повторяется;
в) подетальная разработка технологического процесса;
г) высокая квалификация рабочих;
д) высокая себестоимость единицы продукции.
Назовите правильные варианты ответов.
3. Какие характеристики относятся к массовому типу производства:
а) выпускается одно или несколько изделий;
б) применяется универсальное оборудование;
в) высокая квалификация рабочих;
г) выпуск продукции постоянно повторяется;
д) низкая себестоимость единицы продукции.
Назовите правильные варианты ответов.
4. Какие из перечисленных операций относятся к основным:
а) по обработке деталей;
б) по сборке изделий;
в) по окраске изделий;
г) по транспортировке изделий;
д) по складированию изделий.
5. Что из перечисленного относится ко времени выполнения вспомогательных операций:
а) контроль качества обработки изделия;
б) настройка и мелкий ремонт оборудования;
в) изготовление изделия;
г) уборка рабочего места;



Производственная программа и производственные мощности предприятия


Эффективность функционирования предприятия определяется многими обстоятельствами. Среди них: правильность установления "что, сколько, какого качества и к какому времени производить продукцию или оказывать услуги" с учетом спроса и предложения; выбор оптимальной технологии и организации производства; своевременное и рациональное ресурсное обеспечение; величина основного и оборотного капиталов; формы и методы реализации продукции и пр.
В условиях рыночной системы хозяйствования диапазон использования этих факторов чрезвычайно большой. Поэтому каждое предприятие должно стремиться к их оптимальному сочетанию.
Это предполагает необходимость применения соответствующих форм и методов их внутренней увязки. Такой формой является планирование производственной и хозяйственной деятельности предприятия. Опыт многих преуспевающих компаний промышленно развитых стран показывает, что в условиях рынка с его жесткой конкуренцией планирование хозяйственно-производственной деятельности является важнейшим условием их выживаемости, экономического роста и процветания, успешной реализации принятой стратегии развития предприятия.
И в самом деле, если стратегия предприятия является принципиальной установкой его развития на будущее, то планирование представляет собой определение оптимальных путей производства и реализации продукции, поскольку в нем осуществляется как увязка ресурсов, потенциала предприятия с целями его развития во временном периоде, так и со способами их достижения. Более того, в условиях неопределенности экономического развития, наличия рисков и жесткой конкуренции, присущей рыночной системе хозяйствования, оно становится практически единственным условием, вносящим определенную устойчивость при осуществлении производственно-хозяйственной деятельности предприятия. Именно оно позволяет предприятию на основе имеющихся внутренних возможностей спроектировать нужную организацию производства и реализации продукции с учетом изменений, происходящих в хозяйственной среде.
Вместе с тем планирование будет действенным только в том случае, если оно будет отвечать следующим требованиям:
Во-первых, планирование должно отвечать на вопросы: что, когда и как может произойти?
Во-вторых, реализацию выбранной альтернативы будущего развития необходимо осуществлять на основе решений, принимаемых сегодня.
В-третьих, планирование есть непрерывный процесс принятия решений, в ходе которого устанавливаются и уточняются по времени цели и задачи развития предприятия в связи с изменениями, происходящими вокруг него, и определяются ресурсы для их выполнения.
В-четвертых, планирование следует осуществлять по принципу, согласно которому функционирование предприятия должно быть рентабельно и обеспечивать денежные поступления и прибыль в объеме, удовлетворяющем заинтересованные в результатах работы предприятия группы лиц (собственников, учредителей, коллективов акционеров, государство и т.п.).
В-пятых, в силу различий в характере проявления факторов производства и задач, вытекающих из отдельных направлений деятельности предприятия, планирование подразделяется на долгосрочное и краткосрочное. Так, вопросы, связанные с приобретением оборудования и характером его использования, кадровой политикой, определением ассортимента продукции и рынка сбыта требуют их рассмотрения на долговременный период. В то же время вопросы, касающиеся текущего обеспечения предприятия сырьем и материалами, платы за энергию, воду, необходимо рассматривать на краткосрочный период.
Реализация этих требований предполагает, что планирование в процессе своего осуществления должно следовать следующим принципам. Это:
гибкость, предусматривающая постоянную адаптацию к изменениям среды функционирования предприятия. Его соблюдение требует корректировки плана при различных изменениях внешней и внутренней среды;
непрерывность, предполагающая скользящий характер планирования, прежде всего в части систематического пересмотра планов, "сдвигая" период планирования {например, после завершения отчетного месяца, квартала, года);
коммуникативность, под которой понимается координация и интеграция усилий (или принцип холизма по Р.Акофу). Все должно быть взаимоувязано и взаимозависимо;
участие, предполагающее важность вовлечения в него всех возможных участников процесса функционирования предприятия;
адекватность, т.е. отражение реальных проблем и самооценки в процессе планирования. Адекватность предполагает, что реально происходящие процессы с рациональной точностью должны моделироваться при составлении плана предприятия;
комплексность как взаимосвязь и отражение в плане всех направлений финансово-хозяйственной деятельности предприятия;
многовариантность, позволяющая выбрать наилучшую из альтернативных возможностей достижения поставленной цели. Соблюдение этого принципа требует разработки различных сценариев будущего развития предприятия исходя из вероятностных сценариев развития окружающей среды;
итеративность, предусматривающая неоднократность увязки уже составленных разделов плана (итерации). Это обусловливает творческий характер самого процесса планирования.
На практике применяется стратегическое, долгосрочное, краткосрочное и текущее планирование. Каждое из них имеет свои формы и методы увязки ресурсов и способов достижения целей и расчета показателей. Они являются предметом рассмотрения одной из ведущих отраслей знания экономической науки - "Прогнозирование и планирование экономической деятельности".
В нашем случае планирование будет рассмотрено только с точки зрения его роли и значения в деле развития экономики предприятия в условиях рынка как средства, позволяющего найти наиболее эффективные пути увязки и развития возможностей предприятия со спросом и предложением на товары или услуги, производимые им.

10.2. Виды планирования
Производственная программа и производственные мощности предприятия

Стратегическое планирование - видение предприятия в будущем, его места и роли в экономике и общественно-экономическом устройстве страны, а также основных путей и средств достижения этого нового состояния. Речь идет о формах и методах выполнения принятых стратегических решений на основе их увязки друг с другом, соответствующего ресурсного обеспечения и выбора оптимальных способов их реализации, рассчитанных на длительный период времени. Из изложенного следует, что стратегическое планирование - организационная система методов реализации стратегических решений на предприятии. Оно характеризуется, во-первых, тем, что по сроку своего действия оно носит "обозримый" характер, во-вторых, предметом его планирования являются основные базисные процессы развития предприятия, направленные на наращивание его социально-экономического потенциала.
Обозримый характер стратегического планирования обусловливается как развитием внешней среды, так и наступлением каких-то внутренних событий, которые существенно меняют стратегическую обстановку функционирования предприятия.
Стратегическое планирование - порождение рыночной системы хозяйствования. Почему? Это обусловливается многими обстоятельствами. Назовем основные:
конкуренция, присущая рыночной системе хозяйствования, обусловливающая необходимость выработки соответствующей направленности развития экономики предприятия. Это достигается путем принятия стратегических установок развития предприятия, а само стратегическое планирование направлено на увязку ресурсов со стратегическими установками и определением путей их реализации. Последнее позволяет предприятию не только избежать рисков или, по крайней мере, ослабить их негативные последствия, но и обеспечить дальнейший рост;
динамичное развитие научно-технического прогресса, приводящее к коренным преобразованиям производства и способствующее усилению его влияния на конкурентоспособность предприятия. Оно требует предвидеть его результаты и заблаговременно осуществлять мероприятия по их использованию или переориентированию деятельности предприятия.
Если стратегия предприятия представляет собой некое видение хозяйствующим субъектом места и роли предприятия на рынке товаров, реализуемых им, то стратегическое планирование -это конкретное указание на способ достижения данного состояния. Стратегическое планирование базируется, с одной стороны, на целях и задачах, поставленных в ходе разработки стратегии, а с другой - на основе проведения прогнозов по различным областям общественного развития (экономика, наука, техника и технология и т.д.).
Таким образом, можно сказать, что стратегическое планирование - это средство реализации стратегии предприятия, оно направлено на поиск необходимых ресурсов и путей по достижению целей, вытекающих из принятой стратегии развития. По существу, это увязка целей и ресурсов по их достижению.
Поскольку стратегия развития определяется каждым предприятием, то принимаемый стратегический план в ходе планирования придает предприятию определенность и в то же время индивидуальность. При этом определенность не может быть неизменной, поскольку она вытекает из стратегической установки. Она может быть скорректирована в связи с изменением хозяйственной среды.
Стратегическое планирование целиком и полностью является прерогативой высшего руководства предприятия. Продолжительность планового периода, который охватывает стратегическое планирование, составляет, как правило, 10-15 лет. Выбор такой длительности обусловливается рядом причин, и прежде всего тем, что за этот период обычно происходят сменяемость основных фондов, кардинальные изменения в науке и технике, изменение вкусов населения в сторону новых видов продуктов и услуг и т.д.
На базе стратегического планирования осуществляется долгосрочное планирование на ближайшие 3-5 лет. В нем установки, сделанные в стратегическом планировании, как бы получают свое экономическое обоснование и уточнение с учетом тенденций развития хозяйственной ситуации на ближайшие 3-5 лет.
На основе этих планов производится краткосрочное планирование. Его конкретным выражением являются планы развития от 1 до 3 лет. Их особенность состоит в том, что показатели ближайшего года корректируются ежеквартально, а второго и третьего годов - каждые полгода или ежегодно.
Это делается для того, чтобы плановые показатели полнее отражали происходящие изменения в среде (экономика, политика, техника, конкуренция и т.д.) и в результате повышалась бы действенность составляемых планов.
В силу динамичности процессов, происходящих в деятельности предприятия и страны, необходимо осуществлять текущее планирование. Его результатом являются краткосрочные планы (как правило, на год) с учетом и текущих тенденций спроса и предложения. В них показатели устанавливаются на год с разбивкой по кварталам. Эти планы являются скользящими, т.е. на первые 3 месяца показатели устанавливаются жесткие, неизменные, а в последующие 9 месяцев их корректируют по мере изменения ситуации.
По сравнению с краткосрочными планами они являются более детальными, особенно в части движения производства и запасов товарно-материальных ценностей, ценообразования, издержек производства и т.д. По сути, в них увязываются задачи различных служб предприятия. Но более тесная координация различных служб предприятия имеет место в календарном планировании, период действия которого составляет, как правило, 10 дней.
Это, по существу, программы движения продукта и всех факторов производства с указанием конкретных дат и служб, отвечающих за тот или иной вид деятельности.




Качество продукции и конкурентоспособность предприятия


11.1. Определение оптимального объема производства продукции
Под оптимальным объемом производства продукции понимается такой объем, который обеспечивает выполнение заключенных договоров и обязательств по производству продукции (выполнению работ) в установленные сроки с минимумом затрат и максимально возможной эффективностью.
К наиболее распространенным методам определения оптимального объема производства относятся:
метод сопоставления валовых показателей;
метод сопоставления предельных показателей.
При использовании этих методов применяются следующие допущения:
предприятие производит и реализует только один товар;
целью предприятия является максимизация прибыли в рассматриваемый период;
оптимизируются только цена и объем производства (предполагается, что все остальные параметры деятельности предприятия остаются неизменными);
объем производства в рассматриваемый период равен объему реализации.
Приведенные допущения могут показаться достаточно жесткими, однако если принять во внимание, что именно цена выпускаемого товара и объем его производства и реализации, как правило, оказывают наибольшее влияние на экономику предприятия, применение указанных методов в значительной мере повышает вероятность того, что будут приняты верные решения.
Суть предложенных методов рассмотрим на примере гипотетического предприятия, действующего на рынке свободной конкуренции (исходные данные приводятся в табл. 11.1).

Таблица 11.1.
Объем реализации продукции и издержки на ее производство.


Объем реализации, тыс. шт.
Постоянные издержки, тыс. руб.
Переменные издержки, тыс. руб.
Валовые издержки, тыс. руб.
0
1200
0
1200
10
1200
200
1400
20
1200
360
1560
30
1200
490
1690
40
1200
610
1810
50
1200
760
1960
60
1200
960
2160
70
1200
1220
2420
80
1200
1550
2750
90
1200
1980
3180
100
1200
2560
3760

Метод составления валовых показателей предполагает расчет прибыли предприятия при различных объемах производства и реализации продукции. Последовательность расчета такова:
определяется величина объема производства, при котором достигается нулевая прибыль;
определяется объем производства с максимальной прибылью (табл. 11.2).




Таблица 11.2.
Объем реализации продукции с максимальной прибылью.


Объем реализации, тыс. шт.
Цена, руб.
Валовая выручка, тыс. руб.
Валовые издержки, тыс. руб.
Прибыль, тыс. руб.
0
-
0
1200
-1200
10
48
480
1400
-920
20
48
960
1560
-600
30
48
1440
1690
-250
40
48
1920
1810
110
50
48
2400
1960
440
60
48
2880
2160
720
70
48
3360
2420
940
80
48
3840
2750
1090
90
48
4320
3180
1140
100
48
4800
3760
1040

В нашем примере нулевая прибыль достигается при объеме производства и реализации в интервале 30-40 тыс. шт. продукции, что соответствует значению валовой выручки и издержкам соответственно в интервалах 1440-1920 и 1690-1810 тыс. руб. На 11.1 представлено наглядное графическое изображение данного метода.


Качество продукции и конкурентоспособность предприятия


Линия ВВ показывает изменение валовой выручки, а кривая ВИ соответствующие валовые издержки. 11.1 показывает, что реализация продукции в объеме до 37 тыс. шт. для предприятия убыточна, поскольку кривая валовых издержек располагается выше линии валовой выручки; в точке, где производство равно 37 тыс. шт., прибыль равна нулю, а валовая выручка примерно 1850 тыс. руб. С увеличением объемов производства после 37 тыс. шт. валовая выручка начинает превышать издержки и появляется прибыль (АС), максимальная величина которой 1140 тыс. руб. достигается при объеме производства и реализации продукции в 90 тыс. шт.
Это и есть в данном случае оптимальный объем производства.
Метод сопоставления предельных показателей позволяет установить до каких пределов рентабельно увеличение производства и реализации. Он основан на сопоставлении предельных издержек и предельного дохода. Если величина предельного дохода на единицу продукции превышает величину предельных издержек на единицу продукции, то увеличение производства и реализации будет рентабельно.
Проиллюстрируем это на основе данных, приведенных в табл. 11.3.
Таблица 11.3.
Расчет оптимального объема реализации продукции методом сопоставления предельных показателей.


Объем реализации, тыс. шт.
Предельный доход, тыс. руб.
Предельные издержки, тыс. руб.
Валовая прибыль, тыс. руб.
10
48
20
28
20
48
16
32
30
48
13
35
40
48
12
36
50
48
15
33
60
48
20
28
70
48
26
22
80
48
33
15
90
48
43
5
100
48
58
-10

В данном случае предельным доходом на единицу продукции по сути дела является рыночная цена единицы изделия, равная 48 руб., а предельные издержки (Ипр) исчисляются как разница между последующими общими издержками и предыдущими, поделенная на объем производства.
Предельная прибыль исчисляется как разница между предельным доходом и предельными издержками.
Наглядное представление данного метода дано на 11.2.


Качество продукции и конкурентоспособность предприятия


График 11.2 показывает, что до тех пор, пока кривая предельного дохода располагается выше кривой предельных издержек, увеличение объемов производства эффективно, т.е. расширение производства до 90 тыс. шт. рентабельно. При дальнейшем увеличении объема производства величина дополнительных издержек превысит величину дополнительного дохода на единицу продукции, что приведет к уменьшению валовой прибыли.
В обоих случаях предполагалось, что рыночная цена единицы изделия составляла 48 руб., а что будет, если цена уменьшится? В этом случае предприятие будет нести убытки, и может прийти к банкротству. Допустим, что цена снизилась с 48 до 30 руб. за 1 шт., т.е. предельный доход на единицу продукции при любых объемах производства составит 30 руб., а оптимальный объем производства 70 тыс. шт.
Рассчитаем средние переменные и средние валовые издержки (табл. 11.4).

Таблица 11.4
Объем реализации продукции и средние издержки


Объем реализации, тыс. шт.
Средние переменные издержки, руб.
Средние валовые издержки, руб.
0
10
20
30
40
50
60
70
80
90
100
-
20,00
18,00
1633
15,25
15,20
16,00
7,43
19,38
22,00
25,60
-
140,00
78,00
56,33
46,25
39,20
36,00
34,57
34,38
35,33
37,60

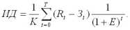
Из табл. 11.4 следует, что оптимальный объем расширения производства лежит в пределах 70 тыс. шт. и дальнейшее его расширение приведет к тому, что предприятие начнет работать в убыток.
Следует заметить, что средние валовые издержки составляют 34 57 руб., т.е. превышают цену, установленную на уровне 30 руб. Однако, поскольку цена выше средних переменных издержек (17,43 руб.), средняя величина покрытия составит 12,57 руб. (30,00 17,43), что соответствует валовой величине в 879 000 руб. (12,57 70 000). Эта величина не возмещает постоянные издержки, равные 1 200 000 руб.
Иными словами, предприятие будет иметь убыток в размере 320 100 руб. (1 200 000 879 000). Если руководство предприятия прекратит производство, тo фирма понесет убыток в размере 1 200 000 руб., т.е. в объеме стоимости постоянных издержек.
Таким образом, в этих условиях в качестве вынужденной меры должно быть принято решение о продолжении производства. Но, если цена за единицу продукции установлена на уровне 30 руб. и будет оставаться неизменной в течение долгого времени, производство должно быть прекращено.

11.2. Разработка и выполнение производственной программы
Производственная программа это один из разделов бизнесплана предприятия, в котором содержатся планируемые объемы производства в натуральном и стоимостном выражениях. Основанием для формирования производственной программы является перспективный план выпуска продукции, разрабатываемый по результатам изучения конъюнктуры рынка и сбыта изделий в соответствии с профилированием предприятия, его подразделений и их развитием. Такой подход подразумевает выяснение растущих потребностей населения или организаций-потребителей в выпускаемой продукции.
Производственная программа разрабатывается в целом по предприятию и по основным цехам с разбивкой по месяцам, кварталам, а при необходимости, определяемой содержанием договоров с заказчиками, с установлением конкретных сроков выполнения заказов.
Производственная программа разрабатывается по всей развернутой номенклатуре и ассортименту продукции и должна обеспечивать безусловное выполнение всех договоров и заказов по всем предусмотренным ими параметрам: объемам, срокам, показателям качества и др.
Гарантированность выполнения производственной программы обеспечивается ее всесторонним обоснованием, прежде всего, по трем направлениям:
наличием производственных мощностей, необходимых для обеспечения предусмотренного объема производства, выполнения всех производственных процессов, технологических операций;
наличием материальных ресурсов, полностью отвечающих потребностям производства, или договоров с надежными поставщиками-предприятиями или посредническими организациями;



Ценовая политика предприятия и методы ее реализации


12.1. Понятие и показатели качества продукции
Ценовая политика предприятия и методы ее реализации

Современная рыночная экономика предъявляет принципиально иные требования к качеству выпускаемой продукции. Качество продукции относится к числу важнейших показателей деятельности предприятия. Повышение качества продукции в значительной степени определяет выживаемость и успех предприятия в условиях рынка, темпы технического прогресса, внедрения инноваций, рост эффективности производства, экономию всех видов ресурсов, используемых на предприятии.
Следует отметить, что от выпуска высококачественной продукции выигрывает и национальная экономика, поскольку в этом случае увеличиваются экспортный потенциал и доходная часть платежного баланса страны, повышается авторитет государства в мировом сообществе.
Отсюда вытекает необходимость постоянной, целенаправленной, кропотливой работы товаропроизводителей по повышению качества продукции в сравнении с аналогами конкурентов.
Понятие качества продукции регламентировано в Российской Федерации государственным стандартом ГОСТ 15467-79 "Управление качеством продукции. Основные понятия. Термины и определения".
Качество - это совокупность свойств продукции, обусловливающих ее пригодность удовлетворять определенные потребности в соответствии с ее назначением.
Качество может быть только относительным, оно фиксируется на конкретный период времени и изменяется при появлении более прогрессивной технологии. Если необходимо дать оценку качества продукции, то надо сравнить совокупность ее свойств с каким-то эталоном. Эталоном могут быть лучшие отечественные или зарубежные образцы, требования, закрепленные в стандартах или технических условиях.
При этом применяется термин "уровень качества".
Однако любой документ или эталон узаконивает определенную совокупность свойств лишь на какой-то период времени, а потребности непрерывно меняются, поэтому предприятие, изготовляя продукцию даже в точном соответствии с нормативно-технической документацией, рискует выпускать ее некачественной, т.е. не устраивающей потребителя.
Таким образом, основное место в оценке качества продукции или услуг в рыночной экономике отводится потребителю, а стандарты (в том числе и международные) лишь закрепляют и регламентируют прогрессивный опыт, накопленный в области качества.
Количественная характеристика свойств продукции, составляющих ее качество, называется показателем качества продукции. В настоящее время признана классификация следующих десяти групп свойств и соответственно показателей: назначения, надежности, технологичности, стандартизации и унификации, эргономические, эстетические, транспортабельности, патентно-правовые, экологические, безопасности.
Показатели назначения характеризуют основную функциональную величину полезного эффекта от эксплуатации изделия. Для продукции производственно-технического назначения таким показателем может служить ее производительность.
Показатели надежности характеризуют свойства объекта сохранять во времени в установленных пределах значения всех параметров и требуемых функций. Надежность объекта включает четыре показателя: безотказность, долговечность, ремонтопригодность и сохраняемость. В зависимости от назначения продукции и условий ее применения могут использоваться как все, так и некоторые из указанных показателей.
Безотказность - это свойство изделия непрерывно сохранять работоспособность в течение некоторого интервала времени. Безотказность чрезвычайно важна для некоторых механизмов автомобилей (тормозная система, рулевое управление). Для воздушных судов безотказность является самым основным показателем качества.
Долговечность - свойство изделия сохранять работоспособность до разрушения или другого предельного состояния.
Ремонтоспособность - это свойство изделия, выражающееся в его приспособленности к проведению операций технического обслуживания и ремонта.
Сохраняемость - это способность объекта сохранять свои свойства в определенных условиях. Сохраняемость играет важную роль для пищевой продукции.
Показатели технологичности характеризуют эффективность конструкторско-технологических решений для обеспечения высокой производительности труда при изготовлении и ремонте изделий. Именно с помощью технологичности обеспечивается массовость выпуска продукции, рациональное распределение затрат материалов, средств, труда и времени при технологической подготовке производства, изготовлении и эксплуатации изделий.
Показатели стандартизации и унификации характеризуют насыщенность продукции стандартными, унифицированными и оригинальными составными частями, а также уровень унификации по сравнению с другими изделиями. Все детали изделия делятся на стандартные, унифицированные и оригинальные. Чем больше стандартных и унифицированных деталей в изделии, тем лучше как для производителя, так и для ее потребителя.
Эргономические показатели отражают удобство эксплуатации изделия человеком. Взаимодействие человека с изделием выражается через комплекс гигиенических, антропометрических, физиологических и психологических свойств человека. Это могут быть усилия, необходимые для управления трактором, автомобилем, расположение руля у велосипеда, освещенность, температура, влажность, запыленность, шум, вибрация, излучение и т.д.
Эстетические показатели характеризуют композиционное совершенство изделия. Это рациональность формы, сочетание цветов, стабильность товарного вида изделия, стиль и т.д.
Показатели транспортабельности выражают приспособленность изделия для транспортировки различным транспортом без нарушения его свойств.
Патентно-правовые показатели характеризуют патентную защиту и патентную чистоту продукции и являются существенным фактором при определении конкурентоспособности.
Экологические показатели отражают степень влияния вредных воздействий на окружающую среду, которые возникают при хранении, эксплуатации или потреблении продукции, например, содержание вредных примесей, вероятность выбросов вредных частиц, газов, излучений при хранении, транспортировании и эксплуатации продукции.
Показатели безопасности определяют степень безопасности эксплуатации и хранения изделий, т.е. обеспечивают безопасность при монтаже, обслуживании, ремонте, хранении, транспортировании, потреблении продукции.
Совокупность перечисленных показателей формирует качество продукции. Изделие должно быть надежным, эстетически радующим глаз, хорошо выполнять свои функции, т.е. удовлетворять те потребности, для которых оно предназначено. Но помимо этих показателей важна и цена изделия.
Именно с ценой связан вопрос экономически рационального качества. Покупатель, приобретая изделие, всегда сопоставляет, компенсирует ли цена изделия набор свойств, которыми оно обладает.
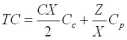
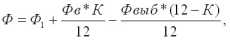
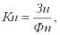
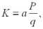
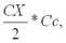
Под экономически оптимальным качеством понимается соотношение качества и затрат, что можно представить следующей формулой:

Копт = Q/C,

где Q - качество изделия;
С - затраты на приобретение и эксплуатацию изделия.
Определить знаменатель формулы несложно, поскольку он включает продажную цену изделия, затраты по эксплуатации, ремонту и утилизации изделия. Сложнее определить числитель, т.е. качество, включающее самые разнообразные показатели. Этим занимается целая наука - квалиметрия, которая разработала достаточно приемлемые методы по количественной оценке качества продукции.

12.2. Государственные и международные стандарты и системы качества
Ценовая политика предприятия и методы ее реализации


Ценовая политика предприятия и методы ее реализации

В условиях перехода к рыночной экономике решение проблемы качества продукции в России во многом будет зависеть от формирования систем стандартов качества как основы нормативно-правовой базы организации и функционирования систем управления качеством. Повышение роли и значения стандартов качества в мировой практике вызвано стремлением выработки единого подхода к понятию "качественная продукция".
Важным элементом в системах управления качеством изделий является стандартизация - нормотворческая деятельность, которая находит наиболее рациональные нормы, а затем закрепляет их в нормативных документах типа стандарта, инструкции, методики требования к разработке продукции.
Главная задача стандартизации - создание системы нормативно-технической документации, определяющей прогрессивные требования к продукции, изготовляемой как для нужд народного хозяйства, населения, обороны страны, экспорта, а также контроль за правильностью использования этой документации.
Нормотворческая деятельность проявляется прежде всего в разработке и применении стандартов.
Стандарт - нормативно-технический документ, содержащий комплекс норм, правил, требований к объекту стандартизации и утвержденный признанным органом (или предприятием). Стандарт может быть разработан на материальные предметы (продукцию, образцы веществ, эталоны), на нормы, правила и требования различного характера. В стандартах регламентируются методы измерения, контроля и испытания продукции.
Именно в стандартах устанавливаются требования к выпускаемой продукции, соблюдение которых позволяет считать эту продукцию качественной.
С переходом к рынку в России изменился сам подход к организации и использованию системы стандартов. Организация работы по стандартизации стала более демократичной, проводится на добровольной основе (с участием всех заинтересованных сторон), а применение стандартов в большей части носит рекомендательный характер.



Предпринимательство, формы и методы организации предпринимательской деятельности


13.1. Ценовая политика предприятия
Предпринимательство, формы и методы организации предпринимательской деятельности

Суть ценовой политики предприятия заключается в том, чтобы устанавливать на товары (услуги) такие цены и так варьировать ими в зависимости от положения на рынке, чтобы обеспечить намеченный объем прибыли и решать другие задачи предприятия.
Цена на продукт для предприятия является не только важным фактором, определяющим его прибыль, но и условием успешной реализации товаров. Дело в том, что цена в данном случае, как тактическое средство дает предприятию целый ряд преимуществ:
во-первых, в отличие от большинства методов, применяемых по стимулированию спроса, использование цены не требует дополнительных денежных расходов, как это имеет место при проведении рекламных мероприятий, индивидуализации продукта, продвижении и т.д.;
во-вторых, потребители находят для себя привлекательность товаров, выраженную в цене, легче, чем на основе рекламы, индивидуализации продукта и т.п.;
в-третьих, даже когда такие методы стимулирования, как организация персональных продаж и рекламы, являются основными, цена может использоваться как мощное средство их поддержания.
В чем же проявляется воздействие цены на потребителя? Оно находит свое выражение в установлении соответствующего ее уровня. Речь идет о том, что устанавливаемый уровень цены должен отражать предпочтение покупателей, их предполагаемую выгоду, получаемую от покупки того или иного продукта.
Каким образом это достигается?
Один из путей подобного решения состоит в том, что необходимо рассматривать цену как одно из неотъемлемых свойств продукта наряду с потребительскими свойствами товара, его качеством и т.д. И в самом деле, если цена на товар устанавливается слишком высокая, то такой товар может быть не куплен, а если и куплен, то в меньшем объеме. На практике используется серия ценовых стратегий:
стратегия высоких цен ("снятие сливок" - "price-skimming") предусматривает продажу первоначально значительно выше издержек производства, а затем их понижения. Это относится к товарам-новинкам, защищенным патентами. Подобная стратегия возможна в условиях высокого уровня текущего спроса, восприятия высокой цены со стороны потребителя как свидетельство высокого качества товара;
стратегия низких цен, или стратегия "проникновения" на рынок. Это делается с целью стимулирования спроса (персональные компьютеры), что эффективно на рынках с большим объемом производства и высокой эластичностью спроса, когда покупатели резко реагируют на снижение цен и увеличивают спрос. Фирма за счет массового производства выдерживает низкий уровень цен;
стратегия дифференцированных цен проявляется в установлении цен в сочетании со всевозможными скидками и надбавками к среднему уровню цен для различных рынков, их сегментов и покупателей;
стратегия льготных цен направлена на работу с покупателями, в которых заинтересована фирма, предлагая им товар по льготной цене;
стратегия гибких, эластичных цен. Цены устанавливаются в зависимости от возможностей покупателя, его покупательной силы;
стратегия стабильных, стандартных, неизменных цен;
стратегия неокругленных цен, при которой покупатель покупает товар не за $100, а за S99.99. В этом случае покупатель рассматривает эти цены как низкие или как доказательство тщательного подсчета и установления цены фирмой;
стратегия цен массовых закупок;
стратегия тесного увязывания уровня цен с качеством товара и др.
Прежде чем применять на практике ту или иную ценовую политику, надо повседневно следить за складывающимся уровнем цен. Представление о динамике цен обычно формируется из рассмотрения цен фактических сделок; биржевых, цен аукционов и торгов; цен, приводимых в статистических справочниках, цен предложений крупных фирм, справочных цен.
Наиболее полное представление о складывающемся уровне цен дают фактические сделки и договоры. Эти цены могут рассматриваться как конкурентные цены при ведении переговоров.
Биржевые котировки служат хорошим ориентиром при торговле биржевыми товарами, они отражают фактические сделки на определенный период. При их анализе следует иметь в виду, что они подвержены влиянию экономической конъюнктуры.
Цены аукционов и торгов близки к котировкам бирж.
В статистических источниках, как правило, даются средние цены. Справочные цены публикуются в справочных изданиях, каталогах, журналах, газетах и т.д. При их рассмотрении следует иметь в виду, что они не отражают реальной картины, поскольку продавцы обычно предоставляют с них разнообразные скидки.
Характерной чертой справочных цен является их стабильность во времени, они мало меняются при изменении конъюнктуры, тогда как скидки и надбавки чаще подвергаются пересмотру.
Контрактные цены - цены, по которым можно продать товар, но чаще всего в результате переговоров покупателя и продавца происходит снижение цены, для чего в контрактной цене имеется небольшой резерв. Контрактная цена может быть твердая (фиксированная), устанавливаемая окончательно в момент подписания контракта, она может быть ценой с последующей фиксацией или в момент, определенный контрактом.
Подвижная цена - в случае изменения условий, оговоренных в контракте, она может быть пересмотрена.
Скользящая цена исчисляется в момент исполнения контракта путем пересмотра договорной, базисной цены с учетом изменений в издержках производства, произошедших в период исполнения контрактов.
Экспортная цена товара - на ее уровень влияет множество факторов: объем продаж, прибыльность сбыта на внешнем рынке, время и сроки продажи товара, его поставки, условия экономического, политического, правового и культурного развития страны-импортера. Она устанавливается на основе так называемых базисных условий, которые учитывают: стоимость самого товара, обязанности продавца по оплате расходов по транспортировке и страхованию товара (франкированию цены).
Международная торговая палата предусматривает различные базисные условия определения цены в контрактах. Наиболее распространенными условиями являются ФОБ (в цену включается только стоимость товара) и СИФ (продавец несет расходы на фрахтование транспортных средств и страхование).
В экономике предприятия исходным принципом ценообразования является возмещение затрат на производство и реализацию продукции, услуг, работ и получение прибыли в размере, достаточном для осуществления расширенного воспроизводства и выплаты соответствующих налогов государству и муниципальным органам и образования фонда потребления в объеме, обеспечивающем определенный стандарт жизни работников предприятия. Решение этой задачи происходит с помощью соответствующего установления уровня цен на продукцию, выпускаемую предприятием. Оно предполагает принятие во внимание многих факторов и обстоятельств, действующих порой противоречиво и неоднозначно. В данном случае прибыль (m) есть функция цены (р) издержек производства (с) и количества проданных товаров (q):
m = f(p-c)q.
При этом если складывающийся уровень издержек производства на продукцию, производимую предприятием, в значительной степени зависит от усилий самого предприятия, то формирование уровня цены и объема продаж во многом связано с конъюнктурой рынка. Поэтому стремление получить как можно большую прибыль объективно вызывает проведение на каждом предприятии своей собственной ценовой политики.
Из опыта работы американских компаний по установлению цен следует, что в основном они применяют следующую последовательность в разработке и расчете цен ( 13.1).


Предпринимательство, формы и методы организации предпринимательской деятельности


При постановке задачи по ценообразованию следует исходить из положения: какую роль предприятие отводит цене в своей коммерческой работе. Цена, как известно, выполняет ряд функций. Например, помимо того, что она является важнейшим фактором, определяющим величину прибыли (чем выше цена, тем больше прибыль), она рассматривается как средство стимулирования спроса.
Иными словами, на этом этапе происходят осмысление назначения цены, выработка ценовой политики предприятия, которая основывается, с одной стороны, на возможностях предприятия, а с другой - на выявленном спросе на его продукцию.
При определении спроса на товары, выпускаемые предприятием, необходимо обратить внимание на выяснение факторов, воздействующих на спрос. Дело в том, что на цену товара влияют количество производителей, предлагающих аналогичную продукцию, а также сила обычаев, привычки покупателей и т. д, то есть мы имеем дело с так называемым эластичным или неэластичным спросом ( 13.2).


Предпринимательство, формы и методы организации предпринимательской деятельности


Итак, при эластичном спросе даже при небольшом изменении цены спрос увеличивается больше, чем при неэластичном спросе.
При оценке издержек производства на продукцию, выпускаемую предприятием, необходимо исходить из их сравнения со среднеотраслевыми издержками (себестоимостью) на аналогичную продукцию, которые рассчитываются как средневзвешенная величина индивидуальных затрат предприятий.
Такой подход обусловливается тем, что рыночная цена на одноименную продукцию отражает средние общественные издержки производства плюс средняя норма прибыли на эти товары. Последняя в силу различий между предприятиями в фондовооруженности, фондоемкости, технического строения капитала отлична для каждой группы товаров, для каждой отрасли.



Инновационная деятельность предприятия и подготовка нового производства


14.1. Сущность и основные черты предпринимательской деятельности
Рыночные отношения порождают у многих граждан естественное стремление иметь собственное дело, с помощью которого они приумножат собственность. В конечном итоге это приводит к появлению особого вида деятельности - предпринимательства.
Предпринимательство является одной из наиболее активных форм экономической деятельности. Поведение людей, как известно, обостряется, когда они рискуют чем-то (имуществом, падением популярности, деньгами, положением и т.д.). Предприниматели не всегда знают, продадут ли они все свои товары и услуги и насколько выгодно. Они идут на риск: ведь такие же товары и услуги поступают на рынок и от других производителей.
Это создает условия для возникновения такой деятельности, которая выражается в вечном поиске улучшения своего положения в сравнении с существующим, всегда заставляет предпринимать что-то для того, чтобы процветать и развиваться.
Рассмотренные характеристики дают возможность выделить важнейшие отличительные черты предпринимательства.
Во-первых - это самостоятельность и экономическая свобода деятельности. Любой предприниматель независим в принятии решения по поводу организации собственного дела в любой экономической сфере (естественно, кроме запрещенной законом).
Во-вторых, деятельность предпринимателя связана с риском и неопределенностью успеха начатого дела. Поэтому такая деятельность предъявляет жесткие требования к личным качествам человека, занятого предпринимательством. Здесь важны и грамотность, и знания, и умения, и характер.
В-третьих, важнейшей отличительной чертой предпринимательской деятельности является опора на инновации. Это творческая, поисковая деятельность инициативных людей, которые согласно Й. Шумпетеру реформируют и революционизируют производство и другие сферы деятельности.
Инновационный характер предпринимательства может и должен проявляться во всех сферах деятельности, ибо в противном случае эту деятельность по всем критериям трудно причислить к истинно предпринимательской.
Именно творческий, поисковый инновационный характер предпринимательства, его нацеленность на достижение принципиально новых результатов отличают этот тип экономического поведения от репродуктивных (рутинных, шаблонных) типов экономической деятельности.
Таким образом, научное понимание предпринимательства не сводится лишь к одной единственной функции - извлечение прибыли. Это многосложное понятие и многофункциональное явление.
Очевидно, что важнейшие черты предпринимательства, отмеченные выше, должны быть отражены в его определении. В этой связи рассмотрим определение предпринимательства, данное в Гражданском кодексе Российской Федерации, который устанавливает гражданские права и свободы, регулирует отношения между лицами, осуществляющими предпринимательскую деятельность.
В ст. 2 части первой Гражданского кодекса Российской Федерации определено, что "предпринимательской является самостоятельная, осуществляемая на свой риск деятельность, направленная на систематическое получение прибыли от пользования имуществом, выполнения работ или оказания услуг лицами, зарегистрированными в этом качестве в установленном законом порядке".
В определении предпринимательства, данном в Гражданском кодексе Российской Федерации, присутствуют две отличительные черты этой деятельности: самостоятельность и рисковость, однако ничего не сказано о третьей отличительной черте, что эта деятельность основана на инновациях. Иными словами, определение, данное в Гражданском кодексе Российской Федерации, не в полной мере характеризует сущность предпринимательской деятельности. В этой связи предлагается следующее определение.
Предпринимательство - это самостоятельная, творческая деятельность, направленная на поиск и реализацию инноваций для создания новых и совершенствования имеющихся продуктов (услуг) производств, организаций, осуществляемая на свой риск в целях получения прибыли.
Представляется, что данное определение более полно характеризует предпринимательскую деятельность, поскольку включает все три отличительные черты деятельности.
Предприниматель может заниматься любыми видами деятельности, если они не запрещены законом, включая хозяйственно-производственную, торгово-закупочную, инновационную, консультационную, коммерческое посредничество, а также операции с ценными бумагами и др.
Указанные виды деятельности могут осуществляться непосредственно одним человеком или коллективом (партнеры) с применением наемного труда или без него, с образованием юридического лица или без него.
Субъектами предпринимательства могут быть:
граждане РФ и других государств, не ограниченные в установленном законом порядке в своей деятельности;
граждане иностранных государств и лица без гражданства в пределах полномочий, установленных законом;
объединения граждан (партнеры).
Статус предпринимателя приобретается только посредством государственной регистрации предприятия. В тех случаях, когда предпринимательская деятельность ведется без применения наемного труда, она регистрируется как индивидуальная трудовая деятельность, а с привлечением наемного труда - как предприятие.
Из этого следует, что предпринимательская деятельность осуществляется в двух формах:
самим собственником средств производства на свой страх и риск и под свою имущественную ответственность (индивидуальная трудовая деятельность);
руководителем предприятия от имени собственника. Пределы распоряжения такой собственностью регулируются контрактом (договором), определяющим взаимные обязательства сторон. В этом договоре указываются ограничения прав в использовании имущества и проведении отдельных видов деятельности, порядок и условия финансовых взаимоотношений и материальной ответственности сторон, основания и условия расторжения договора.
Собственник имущества не имеет права вмешиваться в деятельность предпринимателя после заключения договора с управляющим (предпринимателем), за исключением случаев, предусмотренных договором, уставом предприятия и законом.
Предприниматель (руководитель) имеет право:
привлекать на договорных началах и использовать финансовые средства, объекты интеллектуальной собственности, имущество и отдельные имущественные права граждан и юридических лиц;
самостоятельно формировать производственную программу, выбирать поставщиков и потребителей своей продукции, устанавливать на нее цены в пределах, определенных законодательством РФ и договорами;
осуществлять внешнеэкономическую деятельность;
осуществлять административно-распорядительную деятельность по управлению предприятием;
нанимать и увольнять работников от имени собственника предприятия.
По всем пунктам предприниматель обязан организовать деятельность в соответствии с законодательством РФ и заключенными им договорами и нести ответственность по закону за ненадлежащее исполнение заключенных договоров, нарушение прав собственности других субъектов, загрязнение окружающей среды, нарушение антимонопольного законодательства, несоблюдение безопасных условий труда, реализацию потребителям продукции, причиняющей вред здоровью.
Формула предпринимательства проста: получение максимальной прибыли при минимальном риске. Однако ее реализация осуществляется в условиях высокого уровня неопределенности в успехе дела. Эта неопределенность, с одной стороны, обусловливается рыночными отношениями (будут ли признаны на рынке предложения бизнесмена), а с другой - динамичностью изменения спроса и предложения. Отсюда важнейшими чертами предпринимательства являются риск, мобильность, динамичность предпринимательских действий (не опоздать, вовремя уловить изменяющийся спрос). Предприниматель, как говорят, не сидит на месте, он непрерывно ищет новое.
Чтобы выдержать конкуренцию, он постоянно совершенствует технологию производства, корректирует цену товара, его качество в соответствии с изменениями, происходящими в сфере его действия.
Французский экономист Ж.Б. Сей еще в 1800 г. заметил, что предприниматель перемещает экономические ресурсы из области низкой производительности и низких доходов в область более высокой производительности и прибыльности.
Вместе с тем предпринимательство, как и любой вид деятельности, должно иметь теоретические основы, объясняющие его сущность. Если исходить из назначения предпринимательской деятельности, а именно непрерывного поиска нового, постоянного улучшения положения предприятия, то, очевидно, что оно не может опираться только на классическую экономическую теорию, которая дает пути оптимизации того, что уже есть, т.е. оно концентрируется на вопросах извлечения максимальной прибыли из наличных ресурсов и достижения равновесия.
В этой связи мы разделяем точку зрения американского ученого П. Ф. Друкера о том, что теоретической основой предпринимательской деятельности является экономическая теория динамического неравновесия.
Родоначальником этой теории был Шумпетер, который в своей книге "Теория экономического развития" (1912 г.) отказался от традиционной экономической теории и утверждал, что "нормой" здоровой экономики является не равновесие или оптимизация, а динамическое неравновесие, вызванное деятельностью новатора-предпринимателя, которая направлена на создание нового потребительского спроса, на получение что-то иного, отличного от предыдущего, обеспечивающего качественно более полное удовлетворение потребностей.



Инвестиционная деятельность предприятия


15.1. Понятие инноваций и их роль в развитии прдеприятия
Инвестиционная деятельность предприятия

Под инновацией (англ. "innovation" - нововведение, новшество, новаторство) понимается использование новшеств в виде новых технологий, видов продукции и услуг, новых форм организации производства и труда, обслуживания и управления. Понятия "новшество", "нововведение", "инновация" нередко отождествляются, хотя между ними есть и различия.
Под новшеством понимается новый порядок, новый метод, изобретение, новое явление. Словосочетание "нововведение" в буквальном смысле означает процесс использования новшества. С момента принятия к распространению новшество приобретает новое качество и становится нововведением (инновацией).
Период времени между появлением новшества и воплощением его в нововведение (инновацию) называется инновационным лагом.
Понятие "инновации" как экономической категории ввел в научный оборот австрийский экономист И. Шумпетер. Он впервые рассмотрел вопросы новых комбинаций производственных факторов и выделил пять изменений в развитии, т.е. вопросов инноваций:
использование новой техники, технологических процессов или нового рыночного обеспечения производства;
внедрение продукции с новыми свойствами;
использование нового сырья;
изменения в организации производства и его материально-технического обеспечения;
появление новых рынков сбыта.
В соответствии с международными стандартами инновация определяется как конечный результат инновационной деятельности, получивший воплощение в виде нового или усовершенствованного продукта, внедренного на рынке, нового или усовершенствованного технологического процесса, используемого в практической деятельности, либо в новом подходе к социальным услугам '.
Девиз инновации - "новое и иное" - характеризует многоликость этого понятия. Так, инновация в сфере услуг - это новшество в самой услуге, в ее производстве, предоставлении и потреблении, поведении работников. Нововведения далеко не всегда базируются на изобретениях и открытиях. Есть нововведения, которые основываются на идеях.
Примерами здесь могут служить появление застежек типа "молния", шариковых авторучек, баллончиков с аэрозолями, колец-открывалок на банках с прохладительными напитками и многое другое.
Инновация не обязательно должна быть технической и вообще чем-то вещественным. Мало технических инноваций могут соперничать в своем влиянии с такой идеей, как продажа в рассрочку. Использование этой идеи буквально преображает экономику.
Инновация - это новая ценность для потребителя, она должна отвечать нуждам и желаниям потребителей.
Таким образом, непременными свойствами инновации являются их новизна, производственная применимость (экономическая обоснованность) и она обязательно должна отвечать запросам потребителей.
Систематическая инновация состоит в целенаправленном организованном поиске изменений и в систематическом анализе тех возможностей, которые эти изменения могут дать для успешной деятельности предприятия.
Все разнообразие инноваций можно классифицировать по ряду признаков.
1. По степени новизны:
радикальные (базисные) инновации, которые реализуют открытия, крупные изобретения и становятся основой формирования новых поколений и направлений развития техники и технологии;
улучшающие инновации, реализующие средние изобретения;
модификационные инновации, направленные на частичное улучшение устаревших поколений техники и технологии, организации производства.
2. По объекту применения:
продуктовые инновации, ориентированные на производство и использование новых продуктов (услуг) или новых материалов, полуфабрикатов, комплектующих;
технологические инновации, нацеленные на создание и применение новой технологии;
процессные инновации, ориентированные на создание и функционирование новых организационных структур, как внутри фирмы, так и на межфирменном уровне;
комплексные инновации, представляющие собой сочетание различных инноваций.
3. По масштабам применения:
отраслевые;
межотраслевые;
региональные;
в рамках предприятия (фирмы).
4. По причинам возникновения:
реактивные (адаптивные) инновации, обеспечивающие выживание фирмы, как реакция на нововведения, осуществляемые конкурентами;
стратегические инновации - это инновации, реализация которых носит упреждающий характер с целью получения конкурентных преимуществ в перспективе.
5. По эффективности:
экономическая;
социальная;
экологическая;
интегральная.
Внедрение новшеств всегда имело большое значение в развитии производства. В современной экономике роль инноваций значительно возрастает. Они все более становятся основополагающими факторами экономического роста.
Опыт развитых стран свидетельствует о том, что коренные преобразования в области производительных сил в эпоху НТР, быстрая сменяемость ее волн, а, следовательно, новых комбинаций факторов производства, широкое внедрение нововведений стали нормой современной экономической жизни. И если инновационный подход играет возрастающую роль в развитых странах, то в современной России, в условиях перехода к рыночной экономике и необходимости выхода из глубокого кризиса эта роль особенно велика.
Возрастающая роль инноваций обусловлена, во-первых, самой природой рыночных отношений, во-вторых, необходимостью глубоких качественных преобразований в экономике России с целью преодоления кризиса и выхода на траекторию устойчивого роста.
Рассмотрим кратко эти положения.
В условиях рыночной экономики и конкуренции никто никого не заставляет совершенствовать производство, повышать качество продукции, кроме угрозы банкротства. Движущей силой конкуренции является стимул к нововведениям. Именно на основе нововведений удается использовать современную технологию и организацию производства, повышать качество продукции, обеспечивать успех и эффективность деятельности предприятия.
Решение этих задач требует новаторского, предпринимательского подхода, сутью которого являются поиск и реализация инноваций.
В этой связи важно отметить, что один из классиков экономической теории - А. Маршалл высказывался о предпринимательстве, как о коренном свойстве, главной черте рыночной экономики. Говоря о главном свойстве рыночной экономики, А. Маршалл обращает внимание не на конкуренцию, а на другое свойство рыночной экономики - "свободу производства и предпринимательство".
В самом деле, конкуренция лишь создает ситуацию необходимости поиска конкурентных преимуществ фирмы и конкурентоспособности товара. Конкуренция побуждает совершенствовать весь процесс от производства до потребления. А сами конкурентные преимущества обеспечиваются на основе реализации тех или иных инноваций, т.е. через предпринимательство, так как именно оно является реальным двигателем прогресса.
Что же касается преодоления кризиса и выхода на траекторию роста, то эту задачу можно решить только на основе глубоких качественных преобразований во всех отраслях народного хозяйства, осуществления глубокой структурной перестройки экономики, решительного обновления форм и методов работы.
В стране наблюдается гигантское перепотребление природных ресурсов, что создает мнимые дефициты в энергетике, сельском и лесном хозяйствах и т.д. Так, по расчетам, энергетические затраты на единицу конечной продукции в России в 3 раза больше, чем в Японии и Германии, по сравнению с США превышают в 2 раза. По затратам лесных ресурсов на 1 т бумаги Россия превосходит развитые страны в 4-6 раз. Эти данные убедительно показывают гигантскую "прожорливость" и затратный характер экономики страны.
В этих условиях, если осуществить подъем производства на основе ресурсоемких технологий, то экономика России вновь попадает в замкнутый порочный круг: рост производства в обрабатывающих отраслях требует перераспределения в их пользу инвестиций, которые нужны для увеличения производства сырья и энергоносителей.
Совершенно очевидно, что в решении этих непростых, но очень важных для нашей экономики задач решающая роль принадлежит предпринимательскому подходу, основанному на поиске и реализации инноваций, ибо все эти задачи требуют не рутинного, а новаторского, творческого подхода.
Особое значение для производства имеют инновации с мощными преобразовательными функциями. Эти инновации радикально изменят производственный аппарат, имеющий высокую степень морального и физического износа на российских предприятиях, его организацию, а, следовательно, и эффективность производства. К таким инновациям следует отнести, прежде всего, новую технику и технологии. Изменяя производство, переводя его на новый научно-технологический уровень, можно создавать главные предпосылки для перевода производства продукции в качественно новое состояние.
Новый производственный аппарат требует, как правило, новой организации, управления, маркетинга, новой мотивации, т.е. нового типа инновационного менеджмента. Он предполагает, что будет производиться и новая продукция.

15.2. Инновационная деятельность предприятия
Инвестиционная деятельность предприятия

Инновационная деятельность - это деятельность, направленная на поиск и реализацию инноваций в целях расширения ассортимента и повышения качества продукции, совершенствования технологии и организации производства.



Бизнес-план предприятия


Прежде чем перейти к рассмотрению данного вопроса, необходимо подчеркнуть, что с переходом к рынку существенно расширилось понимание таких категорий, как "инвестиция" и "объекты инвестиционной деятельности". В соответствии с Законом РСФСР "Об инвестиционной деятельности в РСФСР" от 26 июня 1991 г. в редакции Федерального закона от 19 мая 1995 г. № 89-ФЗ инвестициями являются денежные средства, целевые банковские вклады, паи, акции и другие ценные бумаги, технологии, машины, оборудование, лицензии, в том числе и на товарные знаки, кредиты либо другое имущество или имущественные права, интеллектуальные ценности, вкладываемые в объекты предпринимательской и других видов деятельности в целях получения прибыли (дохода) и достижения положительного социального эффекта.
Объектами инвестиционной деятельности являются вновь созданные и модернизируемые основные фонды и оборотные средства, ценные бумаги, целевые денежные вклады, научно-техническая продукция, другие объекты собственности, а также имущественные права и права на интеллектуальную собственность.
Из определений следует, что одни инвестиции направлены на увеличение собственного капитала (покупка акций и вложение пая с целью получения дивидендов, вклады на счета банков и покупка акций для получения по ним процентов), а другие - на расширение производственной базы путем покупки оборудования и земли, а также на капитальное строительство.
В данной теме мы рассматриваем пути решения проблем, связанных с инвестированием в создание и модернизацию основных фондов. Эта область наиболее сложна с позиции как обоснования необходимости осуществления капиталовложений, так и оценки их эффективности и привлечения необходимых финансовых ресурсов.
Создание и воспроизводство основных фондов может финансироваться за счет:
собственных финансовых ресурсов и внутрихозяйственных резервов инвестора (прибыль, амортизационные отчисления, денежные накопления и сбережения граждан и юридических лицп средства, выплачиваемые органами страхования в виде возмещения потерь от аварий, стихийных бедствий и др.);
заемных финансовых средств инвесторов (банковские и бюджетные кредиты, облигационные займы и т.д.);
привлеченных финансовых средств инвестора (средства, получаемые от продажи акций, паевые и иные взносы членов трудовых коллективов, граждан, юридических лиц);
денежных средств, централизуемых объединениями (союзами) предприятий в установленном порядке;
инвестиционных ассигнований из государственных бюджетов и внебюджетных фондов;
иностранных инвестиций.
Инвестирование в создание и воспроизводство основных фондов осуществляются в форме капиталовложений путем строительства новых, расширения, реконструкции и технического перевооружения действующих промышленных предприятий и субъектов.
К новому строительству относится строительство предприятий, здании, сооружений, осуществляемое на новых площадках и по специально разработанному проекту.
Расширение действующего предприятия представляет собой либо строительство последующих очередей дополнительных производственных комплексов и производств по новым проектам, либо строительство или расширение существующих цехов основного, вспомогательного и обслуживающего производств. Оно ведется, как правило, на территории действующего предприятия или на примыкающих площадях.
Реконструкция - это полное или частичное переоборудование или переустройство действующего предприятия с заменой морально устаревшего и физически изношенного оборудования путем механизации и автоматизации производства, устранения диспропорций в технологических звеньях и вспомогательных службах. При реконструкции допускается строительство новых цехов взамен старых.
Техническое перевооружение - комплекс мероприятий по повышению технического уровня отдельных производств в соответствии с современными требованиями путем внедрения новой техники и технологии, механизации и автоматизации производственных процессов, модернизации и замены устаревшего оборудования, улучшения организации и структуры производства. Оно направлено на повышение интенсификации производства, увеличение производственных мощностей, улучшение качества выпускаемой продукции.
Государственное регулирование инвестиционной деятельностью, т.е. инвестиционная политика, осуществляется в соответствии с государственными инвестиционными программами следующими путями:
прямое управление государственными инвестициями;
введение системы налогов с дифференцированными налоговыми ставками и льготами;
предоставление финансовой помощи в виде дотаций, субсидий, бюджетных ссуд на развитие отдельных территорий, отраслей и производств;
проведение соответствующей финансовой и кредитной политики, ценообразования (в том числе выпуск в обращение ценных бумаг), амортизационной политики;
контроль за применением норм и стандартов, а также за соблюдением правил обязательной сертификации и т.д.
Государство в соответствии с законодательством, действующим на территории Российской Федерации, гарантирует защиту инвестиций, в том числе и иностранных, независимо от форм собственности. Инвестиции не могут быть безвозмездно национализированы или реквизированы.
Предприятие самостоятельно определяет объемы, направления, размеры и эффективность инвестиций. По своему усмотрению оно привлекает на договорной преимущественно конкурентной основе (в том числе через торги подряда) физических и юридических лиц, необходимых ему для реализации инвестиций. В соответствии с Законом РСФСР "Об инвестиционной деятельности в РСФСР" от 26 июня 1991 г. в редакции Федерального закона от 19 июня 1995 г. № 89-ФЗ правовым документом, регулирующим производственно-хозяйственные и другие взаимоотношения субъектов данной деятельности, является договор (контракт) между ними.
Выбор того или иного направления вложений определяется многими обстоятельствами. Важнейшими среди них являются следующие: инвестиционный климат в стране, состояние производственно-технической базы промышленных предприятий, кредитная политика, уровень развития воспроизводственной рыночной инфраструктуры и системы привлечения и освоения капиталовложений, система налогообложения, уровень развития законодательной базы в сфере инвестиционной деятельности.
Поскольку предприятия, как правило, не располагают достаточными финансовыми ресурсами для поддержания производства на уровне требований динамично развивающегося рынка, перед ними всегда возникает двуединая задача: с одной стороны, обосновать перед будущими инвесторами привлекательность и необходимость модернизации или ввода новых основных фондов, а с другой - доказать привлекательность осуществления инвестиционного проекта на основе оценки его эффективности.
Решение этой задачи предполагает использование системы показателей, отражающих соотношение затрат и результатов применительно к интересам участников инвестиционного проекта:
показатели предполагаемой доходности от вложения средств в проект, а также показатели коммерческой (финансовой) эффективности, учитывающие финансовые последствия от реализации проекта для его непосредственных участников;
показатели экономической эффективности, учитывающие затраты и результаты, связанные с реализацией проекта;
показатели социальных и экологических последствий, а также затрат, связанных с социальными мероприятиями и охраной окружающей среды.
В условиях рыночных отношений важнейшим фактором экономического роста предприятия является увеличение объема производства на каждую затрачиваемую единицу материальных и финансовых ресурсов, т.е. повышение результативности работы предприятия. Это достигается за счет лучшего использования ресурсов предприятия (см. главы 5-8) и расширения его производственных возможностей на основе радикальных изменений в производственной базе (внедрение новой техники, техническое перевооружение и новое строительство). Последнее связано с капиталовложениями.
Непосредственным результатом капиталовложений в экономическом значении является ввод или модернизация (реконструкция) основных фондов, а конечным - прирост объемов производства. Поэтому экономическую эффективность сделанных капиталовложений (Эф) следует рассматривать как отношение прироста объемов производства (dQ) к объему капитальных вложений (К), вызвавших данный прирост:

Эф = dQ/K. (16.1)

Однако следует заметить, что между вложениями и получением эффекта от них лежит определенный промежуток времени. В теории его принято называть лагом запаздывания отдачи по отношению к капитальным вложениям. Для предприятия, функционирующего в условиях жесткой конкуренции, далеко не безразлична продолжительность такого запаздывания, и оно заинтересовано в его сокращении, причем это должно решаться еще на стадии обоснования выбора инвестиционного проекта.
И в теории, и на практике существует определенная методика разработки инвестиционного проекта и его реализации по следующим этапам: формирование инвестиционного замысла (идеи); исследование условий реализации инвестиционного проекта; технико-экономическое обоснование (ТЭО) проекта; приобретение, аренда или отвод земельного участка; подготовка контрактной документации; осуществление строительно-монтажных работ, включая пуско-наладочные; эксплуатация объекта, мониторинг экономических показателей.



Издержки производства и себестоимость продукции.


Вопросы для повторения

  1. В чем состоит сущность предпринимательства?
  2. Назовите формы и методы организации предпринимательской деятельности?
  3. Назовите виды предпринимательства.
  4. В чем состоит сущность инноваций?
  5. По каким признакам классифицируются инновации?
  6. Назовите источники инноваций.
  7. Какова роль инноваций в развитии предприятия?
  8. Какие фирмы называются венчурными?
  9. В чем состоит содержание подготовки нового производства?
  10. Что является объектами инвестиционной деятельности?
  11. Назовите этапы разработки и реализации инвестиционных проектов.
  12. Назовите показатели оценки эффективности инновационных проектов.
  13. С какой целью составляется бизнес-план предприятия?
  14. Назовите разделы бизнес-плана.
РАЗДЕЛ ПЯТЫЙ. Экономические показатели результатов деятельности предприятия.




Формирование финансовых результатов деятельности предприятия


18.1. Сущность и классификация издержек
Формирование финансовых результатов деятельности предприятия

Количество товара, которое предприятие может предложить на рынке, зависит от уровня издержек (затрат) на его производство и цены, по которой товар будет продаваться на рынке.
Из этого следует, что знание издержек на производство и реализацию товара является одним из важнейших условий эффективного хозяйствования предприятия.
Издержки - это денежное выражение затрат производственных факторов, необходимых для осуществления предприятием своей производственной и коммерческой деятельности.
Они могут быть представлены в показателях себестоимости продукции, характеризующей в денежном измерении все материальные затраты и затраты на оплату труда, которые необходимы для производства и реализации продукции.
В Положении о составе затрат по производству и реализации продукции (работ, услуг), включаемых в себестоимость продукции (работ, услуг), и о порядке формирования финансовых результатов, учитываемых при налогообложении прибыли, утвержденном постановлением Правительства Российской Федерации от 5 августа 1992 г. № 552, указывается: "Себестоимость продукции (работ, услуг) представляет собой стоимостную оценку используемых в процессе производства продукции (работ, услуг) природных ресурсов, сырья, материалов, топлива, энергии, основных фондов, трудовых ресурсов, а также других затрат на ее производство и реализацию". Приведенное определение себестоимости относится к производственным затратам и в принятой классификации составляет производственную (фабрично-заводскую), а с учетом затрат по реализации продукции - полную себестоимость промышленной продукции. Последняя складывается из затрат, связанных с использованием в процессе производства промышленной продукции основных фондов, сырья, материалов, топлива и энергии, труда, а также других затрат на ее производство и реализацию. С учетом изменений и дополнений в указанное Положение о составе затрат в последние годы в себестоимость продукции включаются:
затраты, связанные с производством продукции (работ, услуг), обусловленные технологией производства;
затраты, связанные с использованием природного сырья, земель, древесины, воды и т.д.;
затраты на подготовку и освоение производства;
затраты некапитального характера, связанные с совершенствованием технологии и организации производства;
затраты на проведение опытно-экспериментальных работ, изобретательскую и рационализаторскую работу;
затраты по обслуживанию производственного процесса. Сюда входят расходы по обеспечению производства сырьем, материалами, топливом, энергией, инструментами по поддержанию в рабочем состоянии основных производственных фондов (технический осмотр, ремонт), по обеспечению санитарно-гигиенических требований, нормативных условий труда и техники безопасности;
текущие затраты, связанные с эксплуатацией фондов природоохранного назначения: очистных сооружений, фильтров, золоуловителей, расходы по очистке сточных вод, хранению и уничтожению экологически опасных отходов, другие виды текущих природоохранных затрат. Платежи за предельно допустимые выбросы осуществляются за счет себестоимости продукции, а за их превышение - за счет прибыли, остающейся после уплаты налогов;
затраты, связанные с управлением производством. Сюда относятся содержание аппарата управления, содержание и обслуживание технических средств управления, вычислительных центров, узлов связи, средств сигнализации и т.д., расходы на командировки, оплата информационных, консультационных и аудиторских услуг, а также сторонних организаций по управлению производством, если штатным расписанием не предусмотрены какие-либо функциональные службы, представительские расходы;
затраты, связанные с подготовкой и переподготовкой кадров;
выплаты, предусмотренные законодательством о труде;
отчисления на государственное социальное страхование и пенсионное обеспечение;
платежи по кредитам банков в пределах ставки, установленной законодательством. Платежи по кредитам сверх этих ставок относятся на финансовые результаты;
оплата услуг кредитных учреждений по выдаче сотрудникам заработной платы, осуществлению торгово-коммерческих (факторинговых) операций;
затраты, связанные со сбытом продукции;
затраты на воспроизводство основных производственных фондов, включаемые в себестоимость продукции в форме амортизационных отчислений на полное восстановление;
износ по нематериальным активам;
налоги и сборы, отнесенные сюда налоговым законодательством.
Величина этих затрат зависит от цен на ресурсы, необходимые для производства товаров, а также от технологии их использования.
Цена, по которой приобретаются производственные ресурсы, не зависит от деятельности предприятия. Она определяется складывающимся спросом и предложением на ресурсы. Отсюда для предприятия чрезвычайно важен технологический аспект формирования издержек производства, определяющий, с одной стороны, количество привлекаемых производственных ресурсов, а с другой - качество их использования.
Причем предприятие должно использовать такие методы производства, которые были бы эффективными как с технологической, так и экономической точки зрения ' и обеспечивали бы наименьшие издержки производства.
В итоге экономические издержки - это плата поставщику, осуществляемая предприятием, или доходы поставщика ресурсов, обеспечиваемые предприятием, а также внутренние издержки на то, чтобы ресурсы были применены именно данным предприятием и для определенного варианта производства.
Различают внешние и внутренние издержки. К внешним издержкам относится оплата труда работников, топлива, комплектующих изделий, т.е. того, что не производит предприятие для создания данного изделия. В зависимости от специализации величина внешних издержек для производства одной и той же продукции колеблется.
Так, на сборочных заводах удельный вес внешних издержек больше, чем внутренних.
Владелец собственного предприятия или магазина не платит самому себе заработную плату, не получает арендной платы за здание, в котором находится магазин. Вкладывая денежные средства в торговлю, он не получает тех процентов, которые бы он имел, положив деньги в банк. Но владелец данного предприятия получает так называемую нормальную прибыль. В противном случае он не будет заниматься этим делом.
Эта прибыль составляет элемент издержек.
Принято выделять чистую, или экономическую, прибыль, которая равна общей выручке за вычетом внешних и внутренних издержек, включая и нормальную прибыль. В отличие от экономической, бухгалтерская прибыль равна общей выручке минус внешние издержки.

18.2. Постоянные и переменные издержки производства
Различные виды ресурсов по-разному переносят свою стоимость на готовую продукцию. В соответствии с этим в теории и на практике различают постоянные и переменные издержки производства.
К постоянным издержкам производства относят затраты, величина которых не меняется с изменением объемов производства. Они должны быть оплачены, даже если предприятие не производит продукцию (отчисления на амортизацию, аренда зданий и оборудования, страховые взносы, оплата высшего управленческого персонала и т.д.).
Под переменными понимают издержки, общая величина которых находится в непосредственной зависимости от объемов производства и реализации, а также от их структуры при производстве и реализации нескольких видов продукции. Это затраты на сырье и материалы, топливо, энергию, транспортные услуги, большую часть трудовых ресурсов и т.д.
Из определения следует, что величины переменных издержек в конечном счете зависят не только от объемов производства, но и от экономии материальных и трудовых затрат в результате проводимой рационализации производства и труда. Воздействие последних приводит к тому, что переменные издержки с ростом объемов производства увеличиваются по-разному. На практике выделяют три возможных случая увеличения переменных издержек: пропорционально увеличению объемов производства, регрессивно, опережающими темпами в сравнении с ростом объемов производства.
Выявить степень влияния экономии материальных и трудовых ресурсов на характер изменения переменных издержек возможно только на основе исчисления средних переменных издержек на единицу продукции. Проиллюстрируем это на примерах, основанных на условных данных (табл. 18.1).

Таблица 18.1
Динамика переменных издержек


Производство, единица (Q)
Переменные издержки, тыс. руб. (Иv)
Средние переменные издержки, руб. (Иvcp)
0
0
-
100
2000
20,00
200
4000
20,00

Пример 1. Переменные издержки растут пропорционально увеличению объемов производства.
Перенесем данные табл. 18.1 на графики ( 18.1).


Формирование финансовых результатов деятельности предприятия


Возрастание средних переменных издержек в расчете на единицу продукции на одну и ту же величину (20 руб.) объясняется отсутствием экономии ресурсов.
Пример 2. Переменные издержки растут меньшими темпами по сравнению с ростом производства (табл. 18.2, .18.2).



Таблица 18.2
Регрессивный характер роста переменных издержек


Производство, единиц (Q)
Переменные издержки, тыс. руб. (Иv)
Средние переменные
издержки, руб. (Иvcp)
0
0

100
2000
20,00
200
3000
15,00
300
3800
12,67
400
4500
11,25
500
5000
10,00


Предприятие основное звено экономики.


1.1. Сферы, комплексы и отрасли экономики

Экономика любой страны представляет собой единый комплекс взаимосвязанных отраслей. Каждое государство в зависимости от его национальных и исторических традиций, географических и геополитических условий и трудовых навыков населения создает свой неповторимый комплекс отраслей народного хозяйства, на формирование которого все большее влияние оказывает международное сотрудничество с другими странами.
При анализе национальной экономики выделяют такие понятия, как сферы, отрасли, комплексы, сектора экономики.
По участию в создании совокупного общественного продукта и национального дохода общественное производство подразделяется на две крупные сферы: материальное производство и нематериальную сферу.
К материальному производству относятся промышленность, сельское и лесное хозяйство, грузовой транспорт, связь (обслуживающая материальное производство), строительство, торговля, общественное питание, информационно-вычислительное обслуживание, прочие виды деятельности сферы материального производства.
К непроизводственной сфере относятся жилищно-коммунальное хозяйство, пассажирский транспорт, связь (обслуживающая организации непроизводственной сферы и население), здравоохранение, физическая культура и социальное обеспечение, народное образование, культура и искусство, наука и научное обслуживание, кредитование и страхование, деятельность аппарата органов управления.
В свою очередь каждая из сфер экономики делится на отрасли.
Отрасль - это совокупность предприятий и организаций, характеризующихся общностью выпускаемой продукции, технологии производства, основных фондов, профессиональной подготовки работающих и удовлетворяемых потребностей.
Промышленность по российской статистике подразделяется на отрасли тяжелой, легкой и пищевой промышленности. В состав тяжелой промышленности входят: электроэнергетика, топливная промышленность, черная металлургия, цветная металлургия, машиностроение, химическая и нефтехимическая, лесная, деревообрабатывающая и целлюлозно-бумажная промышленности, а также промышленность строительных материалов. К легкой промышленности относятся текстильная, швейная, кожевенная, обувная, меховая отрасли.
К пищевой - пищевкусовая, мясная, молочная, рыбная промышленность.
Отраслевое деление экономики является результатом исторического процесса развития общественного разделения труда. Развитие общества и экономики, дальнейшее углубление специализации производства приводят к формированию новых отраслей. Одновременно со специализацией и дифференциацией идут процессы кооперации, интеграции производства, приводящие к развитию устойчивых производственных связей между отраслями, к созданию смешанных производств и межотраслевых комплексов.
Межотраслевой комплекс - это интеграционная структура, характеризующая взаимодействие различных отраслей и их элементов, разных стадий производства и распределения продукта. В составе промышленности, например, существуют топливно-энергетический, металлургический, машиностроительный и другие комплексы. Более сложной структурой отличаются агропромышленный и строительный комплексы, объединяющие разные отрасли национальной экономики.
По признаку разделения труда можно выделить межотраслевые и одноотраслевые, территориально-производственные, межотраслевые научно-технические комплексы.
Составные элементы хозяйственного комплекса могут быть сгруппированы в секторы экономики. Под сектором понимается совокупность институциональных единиц, имеющих сходные экономические цели, функции и поведение. Так, сектор нефинансовых предприятий объединяет предприятия, занимающиеся производством товаров и услуг с целью получения прибыли, и некоммерческие организации, не преследующие цели извлечения прибыли.
Сектор финансовых предприятий охватывает институциональные единицы, занятые финансовым посредничеством.
Сектор государственных учреждений - совокупность органов законодательной, судебной и исполнительной властей, фондов социального обеспечения и контролируемых ими некоммерческих организаций.
Сектор домашних хозяйств в основном включает потребляющие единицы.
Внешний сектор - это совокупность институциональных единиц - нерезидентов данной страны (т.е. расположенных за пределами страны), имеющих экономические связи, а также посольства, консульства, военные базы, международные организации, находящиеся на территории данной страны.
Различают также государственный сектор как совокупность предприятий, организаций, учреждений, находящихся в государственной собственности и управляемых государственными органами или назначаемыми ими лицами, и частный сектор как часть экономики, не находящейся под контролем государства.
По международной статистике экономика обычно подразделяется на отрасли, производящие товары, и отрасли, оказывающие услуги. К отраслям, производящим товары, относятся промышленность, сельское хозяйство, строительство и другие отрасли материального производства (издательская деятельность, утилизация вторичного сырья, сбор дикорастущих грибов и ягод и т.д.). К отраслям, оказывающим услуги, относятся образование, транспорт, торговля, здравоохранение, общее государственное управление, оборона и пр.

1.2. Структурная перестройка экономики России
Предприятие основное звено экономики.

Преобразование административно-командной хозяйственной системы в рыночную экономику сопровождается сменой приоритетов в формировании структуры народного хозяйства. Прежде всего, такая смена диктуется необходимостью преодоления структурных перекосов, унаследованных от прошлого. Прежняя структура народного хозяйства СССР характеризовалась высокой степенью огосударствления всех экономических процессов и монополизации производства, искаженной структурой народно-хозяйственного комплекса с высокой долей добывающих отраслей, гипертрофированным военно-промышленным комплексом при существенном отставании отраслей, работающих на потребительский рынок.
Всесторонняя структурная перестройка экономики России -отраслевая, региональная, управленческая, технологическая, организационная, социальная - является необходимым условием преодоления кризиса и выхода на траекторию роста.
Эффективной признается такая структура экономики, которая способна обеспечить устойчивый и эффективный экономический рост, выход национальной экономики на передовые рубежи научно-технического прогресса и на этой основе обеспечить высокий уровень жизни населения.
Основными направлениями структурной перестройки экономики являются:
развитие отраслей, продукция которых пользуется спросом на внутреннем и внешнем рынках;
создание условий для развития перспективных наукоемких производств;
свертывание и перепрофилирование объективно ненужных и недееспособных предприятий.
Решение проблем структурной перестройки облегчается наличием в стране уникальных природных ресурсов, высокого научно-технического и кадрового потенциала.
Однако пока позитивных изменений в структуре экономики не происходит, наоборот, наблюдаются негативные тенденции, прежде всего в промышленности. Об этом свидетельствуют данные табл. 1.1.
От развития промышленности в первую очередь зависят состояние производственного и научно-технического потенциала, эффективность использования природных, материальных и трудовых ресурсов.


Таблица 1.1.

Структура производства продукции по основным отраслям промышленности (в ценах 1995 г., в процентах к итогу)


Отрасли промышленности
1992
1994
1995
1996
1997
1998
1999
2000
Вся промышленность
100
100
100
100
100
100
100
100
в том числе:
электроэнергетика
топливная промышленность
из нее:
нефтедобывающая
нефтеобрабатывающая
газовая
угольная
черная металлургия
цветная металлургия
химическая и нефтехимическая промышленность
машиностроение и металлообработка
лесная, деревообрабатывающая и целлюлозно-бумажная промышленность
промышленность строительных материалов
легкая промышленность пищевая промышленность

9,7
13,7

6,1
4,4
1,1
2,0
8,0
5,3

8,3

22,4


6,0

5,7
5,6
11,4

12,4
16,1

7,4
4,8
1,5
2,4
8,1
6,2

7,3

19,3


5,0

5,1
3,4
12,7

12,5
16,6

7,5
5,0
1,5
2,5
9,3
6,6

8,1

18,2


5,2

4,9
2,5
12,1

13,0
17,3

7,8
5,4
1,6
2,5
9,6
6,7

8,0

18,4


4,5

4,3
2,0
12,3

12,6
17,2

7,9
5,3
1,5
2,4
9,6
7,0

8,2

18,9


4,5

4,1
2,0
12,0

12,9
17,6

8,3
5,2
1,6
2,4
9,3
7,0

8,0

18,4


4,7

4,0
1,8
12,4

11,8
16,4

7,6
4,9
1,6
2,4
9,7
6,9

8,8

19,1


5,1

3,9
2,0
12,2

10,9
15,7

7,3
4,6
1,5
2,3
10,2
7,0

9,2

19,8


5,1

3,9
2,2
11,9

Как видно из табл. 1.1., негативные тенденции выражаются в росте доли добывающих и падении доли обрабатывающих отраслей. Это противоречит общемировой тенденции опережающего роста обрабатывающей промышленности.
Более того, развитие отраслей топливно-энергетического комплекса и металлургических отраслей во многом ориентировано на внешний рынок вне пределов национальной экономики. Отечественная экономика все сильнее втягивается в худший вариант международного разделения труда в качестве поставщика топливных и сырьевых ресурсов и потребителя готовых промышленных изделий.
В 2000 г. удельный вес в российском экспорте топливных и сырьевых товаров составил 53,2%, а с учетом древесины, черных, цветных и драгоценных металлов и сырья для их производства -80,4%'. В результате формируется сырьевая ориентация российской экономики и утрачивается значительная часть научно-технического потенциала.
Тем не менее в стране имеются большие возможности в области высоких технологий, которых, по скромным оценкам специалистов, насчитывается более 3 тыс. В случае успешной "раскрутки" этих технологий можно повысить долю России на мировом рынке наукоемкой технологии с нынешних 0,3 до 10-12%, а это только по экспорту дало бы до 140-180 млрд долл. США в год2.
Усилия должны быть сконцентрированы в тех отраслях обрабатывающей промышленности, которые имеют конкурентные преимущества, позволяющие создавать экономические структуры, способные завоевывать мировые рынки. В первую очередь это касается авиационной и аэрокосмической промышленности, ядерной энергетики, ряда отраслей приборостроения, сферы высоких технологий.




Сущность и показатели эффективности деятельности предприятия


20.1. Сущность и показатели эффективности деятельности предприятия
Понятия «экономический эффект» и «экономическая эффективность» относятся к числу важнейших категорий рыночной экономики. Эти понятия тесно связаны между собой.
Экономический эффект предполагает какой-либо полезный результат, выраженный в стоимостной оценке. Обычно в качестве полезного результата выступают прибыль или экономия затрат и ресурсов. Экономический эффект величина абсолютная, зависящая от масштабов производства и экономии затрат.
Экономическая эффективность это соотношение между результатами хозяйственной деятельности и затратами живого и овеществленного труда, ресурсами. Экономическая эффективность зависит от экономического эффекта, а также от затрат и ресурсов, которые вызвали данный эффект. Таким образом, экономическая эффективность величина относительная, получаемая в результате сопоставления эффекта с затратами и ресурсами.
Обычно анализируются оба показателя, характеризующие успешность экономической деятельности предприятия, так как по отдельности показатели эффекта и эффективности не могут дать полной и всеобъемлющей оценки деятельности предприятия. Например, на предприятии может быть такая ситуация, когда достигнут значительный экономический эффект, выраженный в полученной прибыли при относительно низкой экономической эффективности. И наоборот, производство может характеризоваться высоким уровнем эффективности при небольшой величине экономического эффекта.
Оценку деятельности предприятия и его экономической эффективности невозможно произвести одним каким-либо показателем. Многообразие свойств и признаков различных видов производственно-хозяйственной и коммерческой деятельности предприятия обусловливает и многообразие показателей. При этом проблема их использования состоит в том, что ни один из них не выполняет роль универсального показателя, по которому однозначно можно было бы судить об успехах или неудаче в бизнесе.
Поэтому на практике всегда используют систему показателей, которые связаны между собой и оценивают или показывают различные стороны деятельности предприятия.
Показатель это признак, характеризующий какую-либо одну сторону явления, действия, их количественную или качественную характеристику (сторону) или степень выполнения определенной задачи. В нашей стране наукой и практикой была сформирована система экономических, финансовых и статистических показателей, разработаны методы их расчета и учета, но они были рассчитаны на централизованно-плановую систему хозяйствования. С переходом к рыночным отношениям эта система показателей как в части их расчета и учета, так и роли в обосновании решений претерпела и претерпевает определенные изменения. Так, если в условиях плановой системы хозяйствования в оценке деятельности предприятия важную роль играли такие показатели, как выполнение плана, объем товарной продукции, объем валовой продукции, то в условиях рынка на первое место выдвигаются показатели: объем продаж, прибыль, рентабельность и целый ряд оптимизационных показателей.
Ориентировка производства на удовлетворение спроса резко усилила значение оценки различных вариантов удовлетворения спроса.
Все показатели, исходя из требований рынка, можно разделить на:
оценочные, характеризующие достигнутый или возможный уровни развития или результатов той или иной деятельности;
затратные, отражающие уровень затрат по осуществлению различных видов деятельности.
Такое деление весьма условно. Оно зависит от цели проводимого анализа. К примеру, показатель «издержки производства» в одном случае может рассматриваться как оценочный, характеризующий достигнутый уровень затрат труда, а в другом случае (при планировании) определяться как затратный, позволяющий установить количество затрат при оказании услуг.
То же можно сказать о значимости показателей. Это во многом зависит от характера (вида) деятельности. Например, показатель прибыли, несмотря на всю его важность, далеко не всех интересует в одинаковой степени: арендодателя (земли, зданий, оборудования и др.) больше интересует движение ликвидности в компании, а акционеров интересует не только размер дивидендов, но и курс акций, который зависит от темпов роста объема их продаж.
В зависимости от цели анализа показатели могут выражаться в форме абсолютных, относительных и средних величин. Выделяют также структурные и приростные показатели.
Абсолютные показатели бывают стоимостными и натуральными. В условиях рыночных отношений первостепенное значение придается стоимостным, что обусловлено сущностью товарно-денежных отношений. Абсолютные показатели отражают уровень развития предприятия, достигнутый за определенный период времени.
Ими являются: оборот (объем продаж), валовая и частичная выручка. валовая и частичная прибыль, величина дивидендов, уровень издержек производства и реализации продукции, основные и оборотные производственные фонды, уставный фонд, задолженность и др.
Относительные показатели выделяются как отношения абсолютных показателей, характеризующие долю одного показателя в другом, или как отношения разнородных показателей. Процедура их оценки заключается в сравнении отчетных значений с базисными плановыми, средними за предшествующий период, отчетными за предшествующие периоды, среднеотраслевыми, показателями конкурентов и т.д. К ним относятся: прибыль на единицу стоимости основных средств, издержек или уставного фонда; производительность; фондовооруженность труда и др.
Структурные показатели по расходам, капиталу, доходам характеризуют долю отдельных элементов в итоговой сумме.
Природные показатели отражают свое изменение за определенный период. Они могут быть даны в относительном или абсолютном выражении. Таковыми являются, например, изменения уставного фонда за год, прибыли за год и т.д.
Следовательно, мы имеем дело с разнообразными и разнородными показателями, причем в одном и том же случае одни из них могут улучшаться, а другие ухудшаться. Например, увеличение прибыли при продажах в кредит (в случае задержки с выплатами) ведет одновременно и к уменьшению наличности. В условиях рынка в число контролируемых показателей входят: выручка от реализации, объем продаж, размер капитала, сумма чистой прибыли, величина активов, число акционеров, величина выплачиваемых дивидендов, доля экспорта в обороте и др.
Для определения эффективности хозяйственной деятельности предприятия применяется система показателей (табл. 20.1).
Таблица 20.1
Система показателей эффективности хозяйственной деятельности предприятия


Показатели
Характеристика
Способ расчета
I. Производительность труда
1. Выработка
Отражает количество продукции, произведенной в единицу рабочего времени или приходящееся на одного среднесписочного работника в месяц, квартал, год
Отношение количества произведенной продукции к затратам рабочего времени на производство этой продукции
2. Трудоемкость
Величина, обратная выработке, характеризует затраты труда на производство единицы продукции
Отношение затрат труда к объему продукции
II. Показатели использования основных фондов
l Фондоотдача
Отражает количество произведенной продукции в расчете на 1 руб. основных производственных фондов
Отношение годового объема реализованной продукции к среднегодовой стоимости основных производственных фондов
2. Фондосмкость
Показатель, обратный фондоотдаче. Отражает стоимость основных производственных фондов в расчете на 1 руб. реализованной продукции
Отношение среднегодовой стоимости основных производственных фондов к годовому объему реализованной продукции
3.Фондовооруженность труда
Характеризует оснащенность работников предприятия основными производственными фондами
Отношение среднегодовой стоимости основных производственных фондов к среднесписочной численности работников.
4. Коэффициент интенсивности использования оборудования
Характеризует эффективность использования оборудования
Отношение фактического объема выпущенной продукции к установленной производственной мощности оборудования (пропускной способности)

Продолжение


Показатели
Характеристика
Способ расчета
III. Показатели использования оборотных средств
1. Коэффициент оборачиваемости оборотныхсредств
Показывает, сколько оборотов совершили оборотные средства за анализируемый период (квартал, полугодие, год)
Отношение объема реализованной продукции за отчетный период к среднему остатку оборотных средств за этот же период
2. Коэффициент закрепления оборотных средств
Показатель, обратный коэффициенту оборачиваемости оборотных средств. Характеризует сумму оборотных средств, приходящихся на 1 руб. выручки от реализации
Отношение среднего остатка оборотных средств за отчетный период к объему реализации за этот же период
3. Длительность одного оборота
Показывает, за какой срок к предприятию возвращаются его оборотные средства в виде выручки от реализации продукции
Число дней в отчетном периоде, деленное на коэффициент оборачиваемости оборотных средств
4. Материалоемкость продукции
Характеризует суммарный расход всех материальных ресурсов на производство единицы продукции
Отношение суммы материальных затрат, включенных в себестоимость реализованной продукции, к ее объему
5. Материалоотдача
Показатель, обратный материалоемкости продукции. Отражает количество произведенной продукции в расчете на 1 руб. материальных ресурсов
Отношение объема реализованной продукции к сумме материальных затрат
lV. Показатели рентабельности
1. Рентабельность продукции
Эффективность затрат, произведенных предприятием на производство и реализацию продукции
Отношение прибыли от реализации продукции к сумме затрат на производство и реализацию продукции
2. Рентабельность производства общая
Характеризует прибыльность (убыточность) производственной деятельности предприятия за определенный период времени (год, квартал)
Отношение балансовой прибыли к среднегодовой стоимости основных производственных фондов и нормируемых оборотных средств


Производственная и организационная структуры предприятия


2.1. Понятие и классификация предприятий
Предприятие - это самостоятельный хозяйствующий субъект, созданный для производства продукции, выполнения работ и оказания услуг с целью удовлетворения общественных потребностей и получения прибыли.
Переход к рынку влечет за собой коренные изменения в формах хозяйствования, отношениях между собственниками, организаторами производства и наемными работниками. Предприятие предоставляет рабочие места, выплачивает заработную плату. Путем выплаты налогов оно участвует в реализации государственных программ, развитии экономики страны.
Это означает, что в условиях рыночных отношений предприятие есть самоорганизующийся и самовоспроизводящийся социально-производственный организм, автономный центр производственных, хозяйственных и социальных решений.
Из этого следует, что предприятия - это обособленные экономические структуры. Их обособленность обусловливается товарным характером общественного производства.
В силу обособленности предприятия самостоятельны:
в производственной деятельности (что и сколько производить, как производить);
в коммерческой деятельности (что и сколько продавать, покупать, распределять);
в распределении производственного продукта (что идет на собственные нужды, а сколько на обмен и накопление и т.д.).
Из вышеизложенного следует, что предприятия - это основное звено экономики. Эффективная работа предприятий - важнейшее условие успешного развития экономики страны.
Предприятие представляет собой производственно-технологическое, организационное и экономическое единство. Организационно оно является производственной единицей. Как правило, это завод, фабрика, шахта, электростанция, предприятие транспорта, связи, капитальное строительство, совхоз, оно может включать и несколько заводов или фабрик (комбинат, производственное объединение, концерн и т.д.).
Предприятие имеет собственное название, фирменный знак (марку), самостоятельный баланс, расчетный счет в банке. Оно несет имущественную ответственность по своим обязательствам, т.е. является юридическим лицом. Часто в хозяйственной практике используется понятие "фирма".
Как правило, фирма представляет собой объединение однородных или смешанных предприятий.
Каждое предприятие в условиях рынка стремится производить те товары и услуги, которые дают наибольшую прибыль. В то же время в условиях рынка нет гарантии, что предприятие ее получит. Все это зависит от многих обстоятельств: правильного определения неудовлетворенных желаний покупателей и ориентации предприятия на их производство, уровня издержек производства, которые должны быть меньше, чем доходы, полученные от продажи своей продукции. Последнее зависит от производительности системы, НТП. уровня организации производства и труда, степени конкуренции и т.п.
Это требует от каждого предприятия поиска своего пути развития, системы организации, маркетинга, своих форм хозяйствования.
Предприятия можно классифицировать по различным количественным и качественным параметрам. Основными количественными параметрами выступают численность работников и годовой оборот капитала.
В соответствии с критерием численности занятых выделяют:
малые предприятия, или малый бизнес (до 100 человек);
средние предприятия, или средний бизнес (до 500 человек);
крупные предприятия, или крупный бизнес (свыше 500 человек).
Следует отметить, что именно малый бизнес играет значительную роль в экономике практически всех развитых стран, в нем занято до половины работающего населения. Термин "малое предприятие" характеризует лишь размеры фирмы, но не дает представления об организационно-правовой форме предприятия (малым может быть и частное, и государственное, и другое предприятие). В чем преимущества малого бизнеса: прежде всего гибкость, высокая адаптивная способность к изменениям рыночной конъюнктуры.
Многочисленный характер мелких фирм создает возможности для широкого развития конкуренции.
Значительный процент банкротств среди предприятий малого бизнеса позволяет держаться на плаву только тем, кто функционирует наиболее эффективно. Роль малого бизнеса в современной экономике весьма многообразна. Он как бы связывает экономику в единое целое и образует своего рода фундамент, на котором вырастают более сложные и высокие ее этажи.
Среди качественных параметров классификации предприятий молено назвать следующие:
тип собственности (частные или государственные);
характер и содержание деятельности;
ассортимент выпускаемой продукции;
способы и методы ведения конкурентной борьбы;
способ вхождения в различные союзы и объединения;
организационно-правовые формы предпринимательской деятельности.

2.2. Организационно-правовые формы предприятий
Производственная и организационная структуры предприятия

Существующие и действующие в экономике предприятия достаточно разнообразны с точки зрения организационно-правового устройства, масштабности, профиля деятельности. Однако при всем кажущемся многообразии возможных видов они подразделяются на упорядоченные группы, типы, для которых выработаны вполне определенные нормы хозяйственного законодательства, регламентирующие их деятельность.
Предпринимательское право допускает существование целого спектра форм предприятий. Наряду с индивидуальным предпринимательством Российское законодательство признает такие формы, как коммерческие организации в виде хозяйственных товариществ (полных и коммандитных), обществ (с ограниченной ответственностью, акционерных), производственных кооперативов, государственных и муниципальных предприятий.

Хозяйственные товарищества

Производственная и организационная структуры предприятия

Предпринимательская деятельность в своей индивидуальной форме обладает весьма ограниченными возможностями, распространяясь в основном на малый бизнес. Для более крупного предпринимательства приходится соединять усилия нескольких лиц, переходить к коллективному предпринимательству. Объединение участников предпринимательской деятельности, партнеров для совместного бизнеса называют товариществом. Участие партнеров в товариществе принято скреплять письменным соглашением, или договором.
В целях более тесного и прочного союза товарищество оформляется как предприятие. Товарищество позволяет соединить не только усилия, но и капиталы его участников.
Гражданский кодекс Российской Федерации (часть I) рассматривает хозяйственные товарищества как одну из основных форм создания юридических лиц, являющихся коммерческими организациями. К коммерческим ГК РФ относит организации, преследующие извлечение прибыли в качестве основной цели своей деятельности.
Лица, которые создают хозяйственное товарищество, именуются его учредителями. Каждый из них вносит определенный вклад в товарищество и становится его участником. Первоначальный вклад называют уставным, или складочным капиталом.
Участники хозяйственных товариществ вправе участвовать в управлении делами, получать информацию о деятельности товарищества, знакомиться с его документацией, принимать участие в распределении прибыли, получать при ликвидации товарищества часть имущества, оставшегося после расчетов с кредиторами, или денежный эквивалент стоимости.
В то же время участники хозяйственных товариществ несут ряд обязательств перед организациями, членами которых они являются. Участники обязаны выполнять требования учредительных документов, своевременно и полностью вносить предусмотренные взносы, вклады, сохранять коммерческую тайну, не разглашать конфиденциальные сведения. В состав имущества товариществ входят находящиеся во владении, пользовании и распоряжении товарищества основные средства (здания, сооружения, оборудование) и оборотные средства (запасы сырья, материалов, готовой продукции, незавершенное производство, другие товарно-материальные ценности), денежные средства, а также прочие ценности.
Товарищества, не обладающие статусом юридического лица, не являются самостоятельными субъектами в том смысле, что они не оформлены юридически как единая фирма со своим названием и уставом, обособленным имуществом. Это союз равных лиц, основанный на соглашении, договоре. Каждое из этих лиц выступает не как работник фирмы, а как участник общего дела, отвечающий за его судьбу своей личной собственностью.
В зависимости от вида имущественной ответственности своих участников товарищества делятся на два основных типа: полное товарищество и товарищество на вере (коммандитное).

Полные товарищества

Производственная и организационная структуры предприятия

Полное товарищество создается для ведения его участниками (полными товарищами) предпринимательской деятельности на совместной основе в соответствии с заключенным между ними договором. Это добровольное объединение участников общего бизнеса на договорных началах.
Одной из характерных черт полного товарищества является высокая степень и мера имущественной ответственности его участников за выполнение принятых обязательств. В случае аварийной финансовой ситуации, когда у партнеров, объединившихся для ведения совместной предпринимательской деятельности, возникают долги, они отвечают по обязательствам не только имуществом, которое они внесли и объединили для предпринимательства, но и всем своим личным имуществом (и даже имуществом членов семьи, если оно не распределено в правовом отношении).



Типы производства и организация производственного процесса


3.1. Производственная структура предприятия.
Необходимым условием успешной деятельности предприятия является рациональное построение его производственной и организационной структуры.
Под структурой понимается упорядоченная совокупность взаимосвязанных элементов, находящихся между собой в устойчивых отношениях, обеспечивающих их функционирование и развитие как единого целого.
Для успешного ведения производства необходимо рационально построить производственный процесс в пространстве. Это осуществляется путем определения исходя из особенностей предприятия наиболее эффективной производственной структуры.
Под производственной структурой предприятия понимается состав и взаимосвязь образующих его цехов, участков и служб в процессе производства продукции.
Производственная структура характеризует разделение труда между подразделениями предприятия и их кооперацию. Она оказывает существенное влияние на важнейшие экономические показатели предприятия: качество продукции, рост производительности труда, величину издержек производства, эффективность использования ресурсов.
Главными элементами производственной структуры предприятия являются цехи, участки и рабочие места.
Цех является основной структурной единицей крупного предприятия. Он наделяется определенной производственной и хозяйственной самостоятельностью, является обособленной производственной единицей и выполняет закрепленные за ним производственные функции.
Все цехи промышленного предприятия обычно делятся на основные и вспомогательные. В основных цехах выполняются операции по изготовлению продукции для реализации. Основные цехи делятся на заготовительные, обрабатывающие и сборочные.
К вспомогательным цехам относят инструментальный, ремонтный, энергетический и др.
В состав цехов входят участки, которые создаются по технологическому или предметному принципу. Так, в обрабатывающем цехе могут быть организованы участки по принципу технологической специализации: токарный, фрезерный, шлифовальный, слесарный и др. По принципу предметной специализации образуются участки по изготовлению части готового продукта.
Первичным звеном организации производства является рабочее место.
Рабочим местом называется неделимое в организационном отношении (в данных конкретных условиях) звено производственного процесса, обслуживаемое одним или несколькими рабочими, предназначенное для выполнения определенной операции, оснащенного соответствующим оборудованием и организационно-техническими средствами.
От уровня организации рабочих мест, обоснованного определения их количества и специализации, согласования их работы во времени, рациональности их расположения в цехах существенно зависят результаты работы предприятия.
Следует отметить, что производственная структура предприятия не является чем-то застывшим, она динамична. По мере совершенствования техники и технологии, организации производства, труда и управления предприятием совершенствуется и производственная структура. Это создает условия для интенсификации производства, эффективного использования ресурсов и достижения высоких результатов работы предприятия.
Построение оптимальной производственной структуры предприятия необходимо осуществлять с учетом следующих принципов:
соблюдение рационального соотношения между основными и вспомогательными цехами и участками;
обеспечение пропорциональности между частями предприятия;
укрупнение цехов и участков;
постоянная работа по рационализации производственной структуры;
создание бесцеховой структуры управления предприятием. Кроме того, на производственную структуру предприятия оказывает влияние ряд факторов:
отраслевая принадлежность предприятия;
характер продукции и методы ее изготовления;
объем выпуска продукции и ее трудоемкость;
уровень специализации и кооперирования производства;
особенности зданий, сооружений, используемого оборудования, сырья и материалов.

3.2. Организационная структура предприятия
Типы производства и организация производственного процесса

Под организационной структурой предприятия понимаются состав, соподчиненность, взаимодействие и распределение работ по подразделениям и органам управления, между которыми устанавливаются определенные отношения по поводу реализации властных полномочий, потоков команд и информации.
Различают несколько типов организационных структур: линейные, функциональные, линейно-функциональные, дивизиональные, адаптивные. Рассмотрим основные характеристики этих структур.
Линейная структура характеризуется тем, что во главе каждого подразделения стоит руководитель, сосредоточивший в своих руках все функции управления и осуществляющий единоличное руководство подчиненными ему работниками. Его решения, передаваемые по цепочке "сверху вниз", обязательны для выполнения нижестоящими звеньями. Он, в свою очередь, подчинен вышестоящему руководителю.
На этой основе создается иерархия руководителей данной системы управления (например, мастер участка, начальник цеха, директор предприятия), т.е. реализуется принцип единоначалия, который предполагает, что подчиненные выполняют распоряжения одного руководителя. Вышестоящий орган управления не имеет права отдавать распоряжения каким-либо исполнителям, минуя их непосредственного начальника.
Линейная структура управления используется, как правило, малыми и средними предприятиями, осуществляющими несложное производство, при отсутствии широких кооперационных связей между предприятиями.
Функциональная структура предполагает специализацию выполнения отдельных функций управления. Для их осуществления выделяются отдельные подразделения (либо функциональные исполнители). Функциональная организация управления базируется на горизонтальном разделении управленческого труда.
Указания функционального органа в пределах его компетенции обязательны для производственных подразделений.
Функциональная структура управления обычно применяется на крупных предприятиях. В США, например, эту структуру используют 25% крупных фирм.
Линейно-функциональная структура позволяет в значительной степени устранить недостатки как линейного, так и функционального управления. При этой структуре назначение функциональных служб - подготовка данных для линейных руководителей в целях принятия компетентных решений или возникающих производственных и управленческих задач. Роль функциональных органов (служб) зависит от масштабов хозяйственной деятельности и структуры управления предприятием в целом. Чем крупнее фирма и сложнее ее управляющая система, тем более разветвленным аппаратом она располагает.
В этой связи остро стоит вопрос координации деятельности функциональных служб.
Линейно-функциональные структуры управления используются в большинстве предприятий. Схема подобных структур управления представлена на 3.1.

Типы производства и организация производственного процесса


Дивизиональная (или отделенческая) структура управления -наиболее распространенная форма организации управления современной промышленной фирмы. Смысл ее состоит в том, что самостоятельные подразделения практически полностью отвечают за разработку, производство и сбыт однородной продукции (дивизионально-продуктовая структура управления) или самостоятельные отделения полностью отвечают за хозяйственные результаты на определенных региональных рынках (дивизионально-региональная структура управления).
Каждое отраслевое отделение представляет собой независимое производственно-хозяйственное подразделение, состоящее из отделений и заводов. Такое самостоятельное подразделение в большей степени ориентировано на максимизацию прибыли и завоевание позиций на рынке, чем при функциональной системе управления.
Опыт показывает, что там, где важен фактор техники и технологии, дивизионально-продуктовая форма управления имеет безусловные преимущества.
Линейная, линейно-функциональная и дивизиональная структуры относятся к категории бюрократических и относительно стабильны во времени.
Адаптивные структуры управления
С начала 60-х гг. XX в. многие организации стали разрабатывать и внедрять новые более гибкие типы организационных структур, которые в сравнении с бюрократическими были лучше приспособлены к быстрой смене внешних условий и появлению новой наукоемкой технологии. Такие структуры называются адаптивными, поскольку их можно быстро модифицировать в соответствии с изменениями окружающей среды и потребностями самой организации.
Другое их название - органические структуры, имеющие возможности адаптироваться к изменениям в окружающей среде подобно тому, как это делают живые организмы.
Адаптивная структура управления характеризуется слабым или умеренным использованием формализации правил и процедур, децентрализацией и участием специалистов в принятии решений, широко определяемой ответственностью в работе, гибкостью структуры власти и небольшим количеством уровней иерархии.
Большинство специалистов по управлению видит в органическом подходе будущее и критикует бюрократические структуры. Однако при выборе структуры необходимо принимать во внимание условия, в которых действует конкретное предприятие. Дело в том, что бюрократические и адаптивные структуры представляют собой лишь крайние точки в составе таких фирм.
Реальные структуры реальных предприятий (фирм) лежат между ними, обладая признаками тех и других в разных соотношениях.



Уставный капитал и имущество предприятия


4.1. Типы производства и их характеристика
Уставный капитал и имущество предприятия

Тип производства представляет собой комплексную характеристику технических, организационных и экономических особенностей производства, обусловленных широтой номенклатуры, регулярностью, стабильностью и объемом выпуска продукции. Различают три типа производства: единичное, серийное, массовое.
Единичное производство характеризуется широким ассортиментом продукции и малым объемом выпуска одинаковых изделий, зачастую не повторяющихся. Особенности этого типа производства заключаются в том, что рабочие места не имеют глубокой специализации, применяются универсальное оборудование и технологическая оснастка, большая часть рабочих имеет высокую квалификацию, значительный объем ручных сборочных и доводочных операций, здесь высокая трудоемкость изделий и длительный производственный цикл их изготовления, значительный объем незавершенного производства.
Разнообразная номенклатура делает единичное производство более мобильным и приспособленным к условиям колебания спроса на готовую продукцию.
Единичное производство характерно для станкостроения, судостроения, производства крупных гидротурбин, прокатных станов и другого уникального оборудования. Разновидностью единичного производства является индивидуальное производство.
Серийное производство характеризуется изготовлением ограниченной номенклатуры продукции партиями (сериями), повторяющимися через определенные промежутки времени. В зависимости от размера серии различают мелкосерийное, среднесерийное и крупносерийное производства. Особенности организации серийного производства заключаются в том, что удается специализировать рабочие места для выполнения нескольких подобных технологических операций, наряду с универсальным применять специальное оборудование и технологическую оснастку, широко применять труд рабочих средней квалификации, эффективно использовать оборудование и производственные площади, снизить, по сравнению с единичным производством, расходы на заработную плату.
Серийное производство характерно для выпуска продукции установившегося типа, например, металлорежущих станков, насосов, компрессоров и другого широко применяемого оборудования.
Массовое производство характеризуется изготовлением ограниченной номенклатуры однородной продукции в больших количествах в течение относительно продолжительного периода времени. Массовое производство - высшая форма специализации производства, позволяющая сосредоточивать на предприятии выпуск одного или нескольких типов одноименных изделий. Непременным условием массового производства является высокий уровень стандартизации и унификации при конструировании деталей, узлов и агрегатов.
Особенности организации массового производства заключаются в том, что можно специализировать рабочие места на выполнении одной постоянно закрепленной операции, применять специальное оборудование и технологическую оснастку, иметь высокий уровень механизации и автоматизации производства, применять труд рабочих невысокой квалификации. Массовое производство обеспечивает наиболее полное использование оборудования, высокий уровень производительности труда, самую низкую себестоимость изготовления продукции по сравнению с серийным и тем более единичным производством. Этот тип производства экономически целесообразен при достаточно большом объеме выпуска продукции, поэтому необходимым условием массового производства является наличие устойчивого и значительного спроса на продукцию.
Массовое производство характерно для выпуска автомобилей, тракторов, продукции пищевой, текстильной и химической промышленности.
Основные характеристики типов производства представлены в табл. 4.1.

Таблица 4.1.
Характеристика типов производства


Фактор
Производство
единичное
серийное
массовое
Номенклатура
Неограниченная
Ограничена сериями
Одно или несколько изделий
Повторяемость выпуска
Не повторяется
Периодически повторяется
Постоянно повторяется
Применяемое оборудование
Универсальное
Универсальное, частично специальное
В основном специальное
Расположение оборудования
Групповое
Групповое и цепное
Цепное
Разработка технологического процесса
Укрупненный метод (на изделие, узел)
Подетальная
Подетальная, пооперационная
Закрепление деталей и операций за станками
Специально не закреплены
Определенные детали и операции закреплены за станками
На каждом станке выполняется одна операция
Квалификация рабочих
Высокая
Средняя
Низкая
Взаимозаменяемость
Неполная
Полная
Полная
Себестоимость единицы продукции
Высокая
Средняя
Низкая
Степень реализации основных принципов организации производства
Низкая степень непрерывности процессов
Средняя степень поточности производства
Высокая степень непрерывности и прямоточности производства

4.2. Производственный процесс и его содержание
Уставный капитал и имущество предприятия

Производственный процесс представляет собой совокупность целенаправленных действий персонала предприятия по превращению сырья и материалов в готовую продукцию.
Основные компоненты производственного процесса, определяющие характер производства, - это:
профессионально подготовленный персонал;
средства труда (машины, оборудование, здания, сооружения и т.д.);
предметы труда (сырье, материалы, полуфабрикаты);
энергия (электрическая, тепловая, механическая, световая, мышечная);
информация (научно-техническая, коммерческая, оперативно-производственная, правовая, социально-политическая).
Профессионально управляемое взаимодействие этих компонентов формирует конкретный производственный процесс и составляет его содержание.
Производственный процесс является основой деятельности любого предприятия. Содержание производственного процесса оказывает определяющее воздействие на построение предприятия и его производственных подразделений.
Основной частью производственного процесса является технологический процесс. В ходе реализации технологического процесса происходит изменение геометрических форм, размеров и физико-химических свойств предметов труда.
По своему значению и роли в производстве производственные процессы подразделяются на:
основные;
вспомогательные;
обслуживающие.
Основными называются производственные процессы, в ходе которых осуществляется изготовление основной продукции, выпускаемой предприятием.
К вспомогательным относятся процессы, обеспечивающие бесперебойное протекание основных процессов. Их результатом является продукция, используемая на самом предприятии. Вспомогательными являются процессы по ремонту оборудования, изготовлению оснастки, выработке пара, сжатого воздуха и т.д.
Обслуживающими процессами называются такие, в ходе реализации которых выполняются услуги, необходимые для нормального функционирования как основных, так и вспомогательных процессов. Это процессы транспортировки, складирования, комплектования деталей, уборки помещений и др.
Производственный процесс состоит из множества различных операций, которые соответственно подразделяются на основные (технологические) и вспомогательные.
Технологическая операция - это часть производственного процесса, выполняемая на одном рабочем месте над одним объектом производства (деталью, узлом, изделием) одним или несколькими рабочими.
По виду и назначению продукции, степени технической оснащенности операции классифицируются на ручные, машинно-ручные, машинные и аппаратурные.
Ручные операции выполняются вручную с использованием простого инструмента (иногда механизированного), например, ручная окраска, сборка, упаковка изделия и пр.
Машинно-ручные операции осуществляются с помощью машин и механизмов при обязательном участии рабочего, например, перевозка грузов на электрокарах, обработка деталей на станках при ручной подаче.
Машинные операции полностью выполняются машиной при минимальном участии рабочих в технологическом процессе, например, установка деталей в зону машинной обработки и снятие их по окончании обработки, наблюдение за работой машин, т.е. рабочие не участвуют в технологических операциях, а лишь контролируют их.
Аппаратурные операции протекают в специальных агрегатах (сосудах, ваннах, печах и др.). Рабочий наблюдает за исправностью оборудования и показаниями приборов и вносит по мере необходимости корректировку в режимы работы агрегатов в соответствии с требованиями технологии. Аппаратурные операции широко распространены на предприятиях пищевой, химической, металлургической и других отраслей промышленности.
Организация производственного процесса состоит в объединении людей, орудий и предметов труда в единый процесс производства материальных благ, а также в обеспечении рационального сочетания в пространстве и во времени основных, вспомогательных и обслуживающих процессов.

4.3. Производственный цикл
Производственный цикл представляет собой календарный период времени от момента запуска сырья и материалов в производство до полного изготовления готовой продукции. Производственный цикл включает время выполнения основных, вспомогательных операций и перерывов в процессе изготовления изделий.
Время выполнения основных операций составляет технологический цикл и определяет период, в течение которого производится непосредственное воздействие на предмет труда либо самим рабочим, либо машинами и механизмами под его управлением, а также время естественных технологических процессов, которые происходят без участия людей и техники (сушка на воздухе окрашенного или остывание нагретого изделия, брожение некоторых продуктов и др.).



Основные фонды предприятия


5.1. Уставный капитал
Основные фонды предприятия

Уставный капитал представляет собой сумму денежных средств и стоимости материальных и нематериальных активов, представляемых учредителями при создании предприятия. Уставный капитал является первоначальным, исходным капиталом предприятия. Его величина определяется с учетом предполагаемой деятельности и фиксируется при государственной регистрации предприятия в его учредительных документах.
Минимальный размер уставного капитала регламентируется законодательством:
в открытом АО он не может быть менее 1000 минимальных размеров месячной оплаты труда (МРОТ);
в закрытом АО и в ООО - не менее 100 МРОТ. Максимальный размер уставного капитала законодательством не регламентируется.
В оплату уставного капитала могут поступать денежные и имущественные взносы.
К имущественным взносам относятся:
здания, сооружения, оборудование, материальные ресурсы и другие материальные ценности;
имущественные права (права пользования водой, землей, зданиями, сооружениями, оборудованием и т.п.);
интеллектуальная собственность;
ценные бумаги;
средства в иностранной валюте (для акционерных обществ, создаваемых с участием иностранного лица).
Роль уставного капитала заключается в том, что он придает финансовую устойчивость предприятию. Кроме того, уставный капитал служит гарантией в деловых отношениях с партнерами и государственными органами, т.е. он выступает как залоговое средство, гарантирующее возмещение долгов и оплату услуг, согласно договорным и прочим финансовым и коммерческим обязательствам.
Эффективность использования уставного капитала может
быть определена двумя показателями:
отношением суммы годового оборота к стоимостной оценке уставного капитала;
отношением прибыли, полученной за год, к сумме уставного капитала.

5.2. Имущество предприятия
Основные фонды предприятия

Имущество предприятия - это совокупность материальных, финансовых и нематериальных активов, принадлежащих предприятию и предназначенных для осуществления его деятельности.
В состав материальных активов входят: земельные участки, здания, сооружения, машины, оборудование, сырье, материалы, полуфабрикаты, готовая продукция.
К финансовым активам относятся: кассовая наличность, депозиты в банках, вклады, чеки, расчетные документы в пути, страховые полисы, вложения в государственные или частные ценные бумаги, потребительский кредит, паи и долевые вклады в другие предприятия.
Нематериальные активы включают: патенты на изобретения, товарные марки и знаки, фирменные наименования, репутацию предприятия, пакеты документов, ноу-хау и иные виды интеллектуальной собственности, авторские права на пользование ресурсами.
Имущество предприятия первоначально создается за счет имущества, переданного ему учредителями в виде вкладов (взносов, паев). Имущество предприятия увеличивается в процессе производственной и хозяйственной деятельности. Оно может являться объектом сделок, отчуждаться, закладываться и т.п. Обычно имущество предприятия обособлено от имущества его учредителей, участников и работников.
Предприятие отвечает по своим долгам принадлежащим ему имуществом, на которое могут быть обращены иски хозяйственных партнеров или кредиторов в случае невыполнения предприятием каких-либо обязательств перед ними.
При признании предприятия несостоятельным (банкротом) его имущество в соответствии с установленными законами процедурами может использоваться для удовлетворения требований кредиторов. Оставшееся после этого имущество ликвидируемого предприятия передается его учредителям (участникам), имеющим на это имущество вещные права или обязательственные права в отношении предприятия. По российскому законодательству учредители и участники предприятия имеют обязательственные права в отношении хозяйственных товариществ и обществ, производственных кооперативов.
На имущество государственных и муниципальных унитарных предприятий, а также дочерних обществ учредители имеют права собственности или иные вещные права.
При реализации предприятия как единого имущественного комплекса его стоимость определяется на основе инвентаризации в соответствии с методическими указаниями Министерства финансов РФ об инвентаризации имущества и финансовых обязательств от 13 июня 1995 г.




Оборотные средства предприятия


6.1. Сущность и состав основных фондов предприятия
Оборотные средства предприятия

Основные фонды - это совокупность средств труда, функционирующих в неизменной натуральной форме в течение длительного времени и переносящих свою стоимость на готовый продукт частями, по мере износа. Не относятся к основным средствам и учитываются в составе оборотных средств предметы, используемые в течение периода менее 12 месяцев, независимо от их стоимости, а также предметы стоимостью не более стократного размера минимальной месячной оплаты труда за единицу независимо от срока их полезного использования; при этом стоимость указанных предметов принимается в расчет на дату их приобретения.
Для учета и анализа основных фондов принята их единая группировка:
1. Земельные участки и объекты природопользования.
2. Здания.
3. Сооружения.
4. Передаточные устройства.
5. Машины и оборудование, в том числе:
5.1. Силовые машины и оборудование;
5.2. Рабочие машины и оборудование;
5.3. Измерительные и регулирующие приборы, устройства и лабораторное оборудование;
5.4. Вычислительная техника;
5.5. Прочие машины и оборудование.
6. Транспортные средства.
7. Производственный и хозяйственный инвентарь.
8. Рабочий скот.
9. Продуктивный скот.
10. Многолетние насаждения.
11. Другие виды основных средств.
По своему назначению основные фонды подразделяются на производственные, т.е. предназначенные для использования в производственном процессе, и непроизводственные, используемые для удовлетворения культурно-бытовых и иных нужд работников (основные средства жилищно-коммунального хозяйства, находящегося на балансе предприятия, медицинские пункты и т.п.). По степени участия в производственном процессе основные фонды делятся на активные и пассивные. Активная часть (машины, оборудование) непосредственно влияет на производство, количество и качество продукции (услуг).
Пассивные элементы (здания, сооружения) создают необходимые условия для производственного процесса.
Основные производственные фонды предприятий совершают хозяйственный кругооборот, который состоит из следующих стадий: износ основных фондов, амортизация, накопление средств для полного восстановления основных фондов, их замена путем осуществления капитальных вложений.
Любые объекты основных фондов подвержены физическому и моральному износу, т.е. под влиянием физических сил, технических и экономических факторов они постепенно утрачивают свои свойства, приходят в негодность и не могут далее выполнять свои функции. Физический износ частично восстанавливается путем ремонта, реконструкции и модернизации основных фондов. Моральный износ проявляется в том, что устаревшие фонды по своей конструкции, производительности, экономичности, качеству выпускаемой продукции отстают от новейших образцов.
Поэтому периодически возникает необходимость замены основных фондов, особенно их активной части. При этом в современной экономике главным фактором, определяющим необходимость замены, является моральный износ.
Важный аспект в части реализации требований, предъявляемых к основным фондам, - создание оптового рынка оборудования, а также сети магазинов и бирж комиссионной торговли новой, списанной и подержанной техникой. Как показывает опыт работы зарубежных компаний, осуществление лизинговой формы торговли оборудованием позволяет значительно снизить единовременные капиталовложения, а следовательно, создать благоприятные условия для быстрого становления и развития бизнеса. И вместе с тем высокая стоимость оборудования, инструментов и длительность отвлечения денежных средств в больших размерах вынуждают предприятия уделять больше внимания лучшему использованию основных фондов в процессе их эксплуатации.
Но это также требует выполнения ряда условий, прежде всего необходимости ведения четкого учета наличия и движения основных фондов на предприятии. Этот учет должен обеспечить знание общей величины основных фондов, их динамики, степени их влияния на уровень издержек производства и пр.

6.2. Учет и оценка основных фондов
Оборотные средства предприятия

Учет основных фондов обусловливается не только необходимостью знания того, какими основными фондами и в каком объеме предприятие обладает, но и требованиями экономики производства. Это вызвано тем, что доля основных фондов в общем объеме средств, находящихся в распоряжении предприятия, достигает 70% и более. Следовательно, от того, как они используются, зависит развитие (состояние) экономики предприятия.
Учет основных фондов производится в натуральной и денежной формах. С помощью натуральных показателей он осуществляется отдельно для каждой группы выше приведенной классификации. Например, для зданий натуральными показателями являются, их число, общая и полезная площадь, выраженная в квадратных метрах; для рабочих машин - число единиц, вид, возраст и т.п.
Для более полной характеристики состояния средств труда следует проводить аттестацию каждого рабочего места, которая представляет собой комплексную оценку его соответствия нормативным требованиям и передовому опыту по таким направлениям, как технико-экономический уровень, условия труда и техника безопасности. Эта форма учета позволяет определить не только вещественную структуру основных фондов, но и их технический уровень, составить баланс оборудования и т.д.
Учет в денежной форме проводится для определения общей величины основных фондов, их динамики, структуры, расчета амортизационных отчислений, экономической эффективности капитальных вложений, т.е. того, без чего невозможно судить о состоянии экономики предприятия. Эти оценки делают по первоначальной, восстановительной, а также по остаточной стоимости (первоначальной стоимости с учетом износа).
Методы оценки основных фондов зависят от источников их поступления на предприятие. Так, первоначальная стоимость основных фондов, поступивших за счет капитальных вложений предприятия, включает фактические затраты на их сооружение или приобретение, расходы на доставку и установку, за исключением налога на добавленную стоимость и иных возмещаемых налогов (кроме случаев, предусмотренных законодательством РФ).
Не включаются в фактические затраты на приобретение основных средств общехозяйственные расходы, кроме случаев, когда они непосредственно связаны с приобретением основных средств.
Если основные средства внесены участниками в счет вклада в уставный капитал хозяйственного общества или складочный капитал хозяйственного товарищества, то их первоначальной стоимостью признается денежная оценка, согласованная участниками (учредителями). Если основные средства получены предприятием безвозмездно, то первоначальной стоимостью считается их рыночная стоимость на дату оприходования.
В условиях инфляции возникает необходимость периодической переоценки основных фондов и определения их восстановительной стоимости, т.е. стоимости воспроизводства основных фондов в современных условиях. Она определяется путем переоценки исходя из реально сложившихся условий - уровня цен, тарифов, расценок и т.п.
В последние годы восстановительная стоимость основных фондов под влиянием инфляции, сложившегося нового уровня цен превышала первоначальную в несколько тысяч раз. Учитывая сложность, трудоемкость и высокую стоимость работы по переоценке основных фондов экспертным путем, она проводилась в соответствии с решениями Правительства РФ с применением коэффициентов пересчета, разработанных Государственным комитетом по статистике РФ.
Всего по постановлениям Правительства РФ было проведено пять переоценок основных фондов: на 1 июля 1992 г., на 1 января 1994 г., на I января 1995 г., на 1 января 1996 г. и на 1 января 1997 г. В связи с существенным снижением уровня инфляции в стране проведения общих переоценок основных фондов в настоящее время не предполагается.
Положением по бухгалтерскому учету "Учет основных средств" ПБУ 6/97, утвержденным приказом Министерства финансов РФ от 3 сентября 1997 г., предприятиям предоставлено право не чаще 1 раза в год (на начало отчетного года) переоценивать объекты основных средств по восстановительной стоимости путем индексации или прямого пересчета по документально подтвержденным рыночным ценам.
Остаточная стоимость основных фондов определяется путем вычитания из первоначальной стоимости суммы начисленной амортизации. Иначе говоря, это та часть стоимости основных фондов, которая не перенесена на стоимость изготовляемой продукции. Остаточная стоимость позволяет судить о степени изношенности основных фондов, планировать их обновление и ремонт.

6.3. Амортизация основных фондов
Особенностью основных фондов является перенесение части их стоимости на стоимость готовой продукции. Это перенесение происходит таким образом, чтобы за период эксплуатации основных фондов произошло их возмещение. Возмещение основных фондов путем включения части их стоимости в затраты на выпуск продукции (себестоимость) или на выполненную работу называется амортизацией.
Она осуществляется с целью накопления денежных средств для последующего полного или частичного воспроизводства основных фондов.
В условиях рыночных отношений величина амортизационных отчислений оказывает существенное влияние на экономику предприятия.



ТРУДОВЫЕ РЕСУРСЫ ПРЕДПРИЯТИЯ


Непременным условием для осуществления предприятием хозяйственной деятельности является наличие оборотных средств (оборотного капитала). Оборотные средства это денежные средства, авансированные в оборотные производственные фонды и фонды обращения. Сущность оборотных средств определяется их экономической ролью, необходимостью обеспечения воспроизводственного процесса, включающего как процесс производства, так и процесс обращения.
В отличие от основных фондов, неоднократно участвующих в процессе производства, оборотные средства функционируют только в одном производственном цикле и независимо от способа производственного потребления полностью переносят свою стоимость на готовый продукт.
1. Состав и классификация оборотных средств

Оборотные средства предприятия существуют в сфере производства и в сфере обращения. Оборотные производственные фонды и фонды обращения подразделяются на различные элементы, составляющие материально-вещественную структуру оборотных средств.

Элементы оборотных средств
Оборотные производственные фонды включают:
производственные запасы;
незавершенное производство и полуфабрикаты собственного изготовления;
расходы будущих периодов.
Производственные запасы это предметы труда, подготовленные для запуска в производственный процесс. В их составе можно, в свою очередь, выделить следующие элементы: сырье, основные и вспомогательные материалы, топливо, горючее, покупные полуфабрикаты и комплектующие изделия, тара и тарные материалы, запасные части для текущего ремонта, малоценные и быстроизнашивающиеся предметы.
Незавершенное производство и полуфабрикаты собственного изготовления это предметы труда, вступившие в производственный процесс: материалы, детали, узлы и изделия, находящиеся в процессе обработки или сборки, а также полуфабрикаты собственного изготовления, незаконченные полностью производством в одних цехах и подлежащие дальнейшей переработке в других цехах того же предприятия.
Расходы будущих периодов это невещественные элементы оборотных фондов, включающие затраты на подготовку и освоение новой продукции, которые производятся в данном периоде (квартал, год), но относятся на продукцию будущего периода.
Фонды обращения состоят из следующих элементов:
готовая продукция на складах;
товары в пути (отгруженная продукция);
денежные средства;
средства в расчетах с потребителями продукции.
Соотношение между отдельными элементами оборотных средств или их составными частями называется структурой оборотных средств. Так, в воспроизводственной структуре соотношение оборотных производственных фондов и фондов обращения составляет в среднем 4:1. В структуре производственных запасов в среднем по промышленности основное место (около 1/4) занимают сырье и основные материалы, значительно ниже (около 3%) доли запасных частей и тары. Сами производственные запасы имеют более высокий удельный вес в топливно- и материалоемких отраслях.
Структура оборотных средств зависит от отраслевой принадлежности предприятия, характера и особенностей организации производственной деятельности, условий снабжения и сбыта, расчетов с потребителями и поставщиками.

Нормируемые и ненормируемые оборотные средства
Указанные элементы оборотных средств группируются различным образом. Обычно выделяют две группы, различающиеся по степени планирования: нормируемые и ненормируемые оборотные средства. Нормирование это установление экономически обоснованных (плановых) норм запаса и нормативов по элементам оборотных средств, необходимых для нормальной деятельности предприятия. К числу нормируемых оборотных средств обычно относятся оборотные производственные фонды и готовая продукция.
Фонды обращения обычно ненормируемы.

Источники формирования оборотных средств
Среди источников, используемых для формирования оборотных средств, выделяют собственные, заемные и привлеченные средства.
Общий размер собственных оборотных средств устанавливается предприятием самостоятельно. Обычно он определяется минимальной потребностью средств для образования необходимых запасов товарно-материальных ценностей, для обеспечения планируемых объемов производства и реализации продукции, а также для осуществления расчетов в установленные сроки.
В процессе финансового планирования предприятие учитывает прирост и сокращение нормативов собственных оборотных средств, определяемых как разница между нормативами на конец и начало планируемого периода. Прирост норматива собственных оборотных средств финансируется в первую очередь за счет собственных ресурсов.
Наряду с прибылью для пополнения собственных оборотных средств используются так называемые устойчивые пассивы, которые приравниваются к собственным средствам. Устойчивыми называются пассивы, которые постоянно используются предприятием в обороте, хотя не принадлежат ему (например, резерв предстоящих платежей минимальной задолженности рабочим и служащим по заработной плате, по взносам на социальное страхование и т.п.) и др.
В качестве устойчивых пассивов служат нормальная, переходящая из месяца в месяц задолженность по заработной плате и отчислениям по социальному страхованию, остаток средств ремонтного (резервного) фонда, средства потребителей по залогам за возвратную тару, резерв предстоящих платежей. Поскольку эти средства постоянно находятся в обороте, предприятия и их размер на протяжении года существенно колеблется, в качестве источника формирования приравненных оборотных средств используется их минимальная сумма в данном году.
В течение года потребность предприятий в оборотных средствах может изменяться, поэтому нецелесообразно полностью формировать оборотные средства за счет собственных источников. 'Это привело бы к образованию излишков оборотных средств в отдельные моменты и ослаблению стимулов к их экономичному использованию. Предприятие поэтому использует для финансирования оборотных средств заемные средства.
Дополнительная потребность в оборотных средствах, обусловленная временными нуждами, обеспечивается краткосрочными кредитами банка.
Кроме собственных и заемных средств в обороте предприятия находятся привлеченные средства. Это кредиторская задолженность всех видов, а также средства целевого финансирования до их использования по прямому назначению.

2. Определение потребности предприятия в оборотных средствах
Определение потребности предприятия в собственных оборотных средствах осуществляется в процессе нормирования, т.е. определения норматива оборотных средств.
Целью нормирования является определение рационального размера оборотных средств, отвлекаемых на определенный срок в сферу производства и сферу обращения.

Порядок нормирования
Потребность в оборотных средствах определяется предприятием при составлении финансового плана.
Величина норматива не является постоянной. Размер собственных оборотных средств зависит от объема производства, условий снабжения и сбыта, ассортимента производимой продукции, применяемых форм расчетов.
При исчислении потребности предприятия в собственных оборотных средствах необходимо учитывать следующее. Собственными оборотными средствами должны покрываться потребности не только основного производства для выполнения производственной программы, но и потребности подсобного и вспомогательного производств, жилишно-коммунального хозяйства и других хозяйств, не относящихся к основной деятельности предприятия и не состоящих на самостоятельном балансе, а также для капитального ремонта, осуществляемого собственными силами. На практике, однако, часто учитывают потребность в собственных оборотных средствах только для основной деятельности предприятия, тем самым, занижая эту потребность.
Нормирование оборотных средств осуществляется в денежном выражении. В основу определения потребности в них положена смета затрат на производство продукции (работ, услуг) на планируемый период. При этом для предприятий с несезонным характером производства за основу расчетов целесообразно брать данные IV квартала, в котором объем производства, как правило, наибольший в годовой программе.
Для предприятий с сезонным характером производства данные квартала с наименьшим объемом производства, поскольку сезонную потребность в дополнительных оборотных средствах обеспечивают краткосрочные ссуды банка.
Для определения норматива принимается во внимание среднесуточный расход нормируемых элементов в денежном выражении. По производственным запасам среднесуточный расход рассчитывается по соответствующей статье сметы затрат на производство; по незавершенному производству исходя из себестоимости валовой или товарной продукции; по готовой продукции на основании производственной себестоимости товарной продукции.
В процессе нормирования устанавливаются частные и совокупные нормативы. Процесс нормирования состоит из нескольких последовательных этапов. Вначале разрабатываются нормы запаса по каждому элементу нормируемых оборотных средств.
Норма это относительная величина, соответствующая объему запаса каждого элемента оборотных средств. Как правило, нормы устанавливаются в днях запаса и означают длительность периода, обеспечиваемого данным видом материальных ценностей.



Стратегия развития предприятия.


8.1. Состав и структура кадров предприятия
Стратегия развития предприятия.

Трудовые ресурсы предприятия являются главным ресурсом каждого предприятия, от качества подбора и эффективности использования которого во многом зависят результаты производственной деятельности предприятия. На уровне отдельного предприятия вместо термина "трудовые, ресурсы" чаще используют термины "кадры" и "персонал".
Под кадрами предприятия принято понимать основной (штатный) состав работников предприятия. В зависимости от выполняемых ими функций кадры предприятия делятся на следующие категории: рабочие основные и вспомогательные; руководители; специалисты; служащие. Перечисленные работники образуют (на производственных предприятиях) промышленно-производственный персонал (ППП).
Каждая категория работников в своем составе предусматривает ряд профессий, которые в свою очередь представлены группами специальностей. Внутри специальности работников можно разделить по уровню квалификации.
Профессия - это совокупность специальных теоретических знаний и практических навыков, необходимых для выполнения определенного вида работ в какой-либо отрасли производства.
Специальность - это вид деятельности в пределах данной профессии, которая имеет специфические особенности и требует от работников специальных знаний и навыков.
Квалификация - это совокупность знаний и практических навыков, позволяющих выполнять работы определенной сложности.
По уровню квалификации рабочих можно разделить: на неквалифицированных, малоквалифицированных, квалифицированных и высококвалифицированных. Квалификация рабочих определяется разрядами.
Специалисты делятся по квалификационным категориям: специалист 1, 2, 3-й категории и без категории.
Руководители распределяются по структурам управления и звеньям управления. По структурам управления руководители подразделяются на линейные и функциональные, по звеньям управления - на высшего, среднего и низового звена.
Специалисты - это работники, занятые инженерно-техническими, экономическими работами: инженеры, экономисты, бухгалтеры, юрисконсульты и т.д.
Служащие - это работники, осуществляющие подготовку и оформление документации, учет и контроль, хозяйственное обслуживание: делопроизводители, кассиры, табельщики, учетчики и т.д.
Соотношение перечисленных категорий работников в общей их численности, выраженное в процентах, называется структурой кадров. Структура кадров также может определяться по возрасту, полу, уровню образования, стажу работы, квалификации и другим признакам.
В практике учета и планирования кадров различают явочный, списочный и среднесписочный составы.
Явочный состав - это минимально необходимое число работников, которые должны ежедневно являться на работу для выполнения задания в установленные сроки.
Списочный состав - все постоянные и временные работники, числящиеся на предприятии, как выполняющие в данный момент работу, так и находящиеся в очередных отпусках, командировках, выполняющие государственные обязанности, не явившиеся на работу по болезни или каким-либо другим причинам. Списочная численность работников может быть установлена на определенную дату.
Среднесписочный состав определяется путем суммирования списочного состава работников за все календарные дни периода, включая выходные и праздничные дни, и деления полученной суммы на полное календарное число дней периода.
Кадры предприятия не являются постоянной величиной: одни работники увольняются, другие принимаются на работу. В этой связи определяется индекс текучести кадров (Кт):

Кт = (Рув/Р)*100,

где Рув - численность выбывающих или уволенных работников за определенный период, чел.;
Р - среднесписочная численность работников за тот же период, чел.
Обычно индексы текучести рассчитываются за год, хотя иногда исчисляются и индексы текучести квартальные, позволяющие учитывать сезонные колебания.
Для руководства предприятия важно знать причины увольнения работников. Стабильность кадров - залог успешной работы предприятия. Добровольные увольнения помимо финансовых потерь усугубляют плохую репутацию организации.

8.2. Управление кадрами (персоналом)
Стратегия развития предприятия.

Коллектив предприятия - главный ресурс достижения успеха. Поэтому к подбору персонала необходимо подойти со всей ответственностью, не жалея сил и времени.
Работа с кадрами состоит из следующих элементов:
оценки потребностей и определения критериев подбора кадров;
подбора кадров и приема на работу;
обучения кадров;
руководства кадрами;
оценки качества работы персонала.
Для того чтобы нанять необходимых работников, следует в деталях знать, какие задачи они будут выполнять, какими качествами и квалификацией должны обладать, т.е. необходимо проанализировать содержание работы, на которую фирма берет сотрудника. В результате такого анализа можно получить достаточно полное представление о должности, а также проверить, как она вписывается в структуру предприятия.
На основе анализа необходимо составить должностную инструкцию, которая включает следующие параметры:
название должности и указание лица, которому подчиняется данный работник;
обязанности и основные функции работника;
вознаграждение, в том числе заработная плата, сверхурочные, отпуск;
дополнительные льготы, например, пенсионные, или скидки. Потребность предприятия в кадрах определяется раздельно по группам и категориям работников. Расчет численности рабочих можно вести;
по трудоемкости производственной программы;
по нормам обслуживания.
Явочное число рабочих в смену (Ряв) - это нормативная численность рабочих для выполнения производственного задания, которая определяется по формуле:
Pяв = Тp/(Tсм*Д*S*K),
где Тр - трудоемкость производственной программы;
Тcм - длительность рабочей смены, ч;
Д - количество суток работы предприятия в плановом периоде;
S - количество рабочих смен в сутках;
К - плановый коэффициент выполнения норм.
Среднесписочная численность рабочих рассчитывается либо по коэффициенту среднесписочного состава, либо по планируемому проценту невыходов на работу.
Численность рабочих, занятых на ненормируемых работах, определяется по нормам обслуживания, численность МТР и служащих - по штатному расписанию.
В процессе подбора кадров на основе подробного собеседования, а также письменного тестирования выясняется пригодность кандидата для соответствующей работы и отбирается наиболее подходящий квалифицированный и опытный специалист.
Однако трудно рассчитывать, что новички сразу поймут, например, организационную структуру предприятия или быстро освоят какое-то специальное оборудование. Да и работающим сотрудникам тоже необходимо обновлять свои знания по различным аспектам бизнеса в привязке к выполняемой ими работе. Отсюда возникает потребность в обучении кадров, которое позволяет решить следующие задачи:
персонал узнает больше о своей фирме и вырабатывает чувство принадлежности к ней;
повышается уровень удовлетворенности коллектива, поскольку сотрудники чувствуют, что их ценят;
в сочетании с эффективным стимулированием обучение поможет получить максимальную отдачу от персонала.
Обучение можно проводить по-разному:
на рабочем месте;
короткие консультации в процессе работы;
организованные курсы обучения в течение какого-то времени;
краткосрочные курсы с отрывом от производства.
Следует продумать следующие вопросы.
Кто будет осуществлять обучение?
Кого необходимо обучать?
Где организовывать обучение?
Какова продолжительность обучения?
Какова стоимость обучения?
После завершения программы обучения предстоит оценить ее эффективность. Для этого можно провести опрос сотрудников и инструкторов, анализ их комментариев и впоследствии оценить качество работы сотрудника, прошедшего обучение.
В процессе управления персоналом полезно опираться на ряд принципов.
Подчиненный должен четко представлять себе результаты и поставленные цели, на основе которых он может определять, что нужно делать (вопрос количества и качества) и в каком направлении.
Хорошее управление предполагает, что менеджер активно руководит персоналом. Речь, однако, идет не о чрезмерной опеке, а об ощущении личностью определенной самостоятельности и оказании поддержки. Руководитель должен говорить таким языком, чтобы подчиненный его понимал.
Эффективное управление предполагает, что с точки зрения человеческих отношений проблем нет. Хороший контакт улучшает микроклимат в коллективе, так как пресекает всякие недоразумения и высвечивает все появившиеся проблемы, не позволяя им разрастаться в неразрешимые противоречия.
Общение - это улица с двусторонним движением, т.е. вы должны быть готовы выслушивать и лестные высказывания, и критические замечания в свой адрес, и вам следует серьезно относиться к предложениям коллектива.
Хорошее управление исключает наличие плохих взаимоотношений в течение длительного времени. В межличностных противоречиях нет ничего опасного, если только с ними быстро справляются.
Важным принципом успешного управления является правильное соизмерение задачи и способностей человека. Реализация этого принципа позволяет ставить перед работником те задачи, которые он в состоянии решить успешно.



Группировка затрат по калькуляционным статьям



Источник. Российский статистический ежегодник. М., 200.
С. 529-531.
В составе затрат наибольший удельный вес составляют материальные затраты, особенно в черной металлургии и пищевой промышленности. Доля оплаты труда выше в машиностроении и легкой промышленности, доля амортизации основных средств выше в электроэнергетике.
В каждый вышеназванный элемент затрат включаются однородные по своему содержанию расходы. Так, в элементе «материальные затраты» отражается стоимость приобретаемых со стороны сырья и материалов, которые входят в состав вырабатываемой продукции, образуя ее основу, или являются необходимым компонентом при изготовлении продукции (проведении работ, оказании услуг). В хлебопекарной и макаронной отраслях промышленности в качестве сырья будет выступать, например, мука, а основных материалов соль, сахар, дрожжи.
Подробное содержание по каждому элементу затрат дается в «Положениях о составе затрат, включаемых в себестоимость продукции (работ, услуг)», о котором уже упоминалось.
По экономическим элементам ведется бухгалтерский учет и составляется денежный отчет по общей сумме расходов на производство продукции. Классификация затрат по экономическим элементам дает возможность знать структуру себестоимости и позволяет проводить целенаправленную политику по улучшению экономики предприятия.
Группировка затрат по калькуляционным статьям расходов отражает их состав в зависимости от направления (назначения) расходов (на производство или его обслуживание) и места возникновения (основное производство, вспомогательные службы, обслуживание хозяйства и др.).
Калькуляция (лат. «calculatio», «calculo» считаю, подсчитываю) вычисление себестоимости единицы продукции или выполненной работы. Она выражает затраты предприятия в денежной форме на производство и реализацию единицы конкретного вида продукции, а также на выполнение единицы работ (перевозки, ремонт и т.д.) в различных отраслях деятельности. Калькуляция бывает:
плановой составляется на планируемый период на основе прогрессивных норм затрат труда и средств производства;
отчетной исчисляется на основе данных учета и характеризует фактический уровень затрат;
портативной в ее основе лежат текущие, действующие нормы, характеризующие достигнутый уровень затрат.
Калькуляции составляются по видам продукции. В калькуляции основные виды затрат исчисляются в зависимости от их назначения (выделяются расходы, связанные непосредственно с технологическим процессом изготовления конкретных видов продукции): на сырье и материалы, топливо и энергию, на технологические цели; на заработную плату производственных рабочих и отчисления на социальное страхование; на подготовку и освоение производства; на содержание и эксплуатацию оборудования, в том числе его амортизацию, текущий ремонт и т.д.; общецеховые, общезаводские и другие расходы.
В отчетной калькуляции выделяются непроизводительные расходы (потери от брака). Калькуляционные расходы ведутся на специальных бланках, в которых отражены данные о плановых и фактических расходах по калькуляционным статьям затрат на весь выпуск товарной продукции за отчетный период. Документ, в который заносятся эти расходы, называется калькуляцией, а система расчетов для определения себестоимости продукции калькулированием.
В отличие от группировки по экономическим элементам калькуляция позволяет учесть расходы, непосредственно связанные с производством конкретного вида изделия. В эти расходы входят как материальные затраты, так и расходы по созданию, обслуживанию и управлению производством данного вида продукции. На основе калькуляционных расчетов определяются ее цеховая, производственная и полная себестоимость.
Типовия группировки затратт по статьям калькуляции имеет следующий вид.
1. Сырье и материалы.
2. Покупные изделия и полуфабрикаты.
3. Топливо и электроэнергия на технологические цели.
4. Основная и дополнительная заработная плата производственных рабочих.
5. Отчисления на социальное и медицинское страхование производственных рабочих.
6. Расходы на содержание и эксплуатацию машин и оборудования.
7. Расходы на подготовку и освоение нового производства.
8. Цеховые расходы.
Цеховая себестоимость.
9. Общепроизводственные расходы.
10. Потери от брака.
Производственная себестоимость.
11. Внепроизводственные расходы.
Полная себестоимость.
При необходимости предприятия могут выделять также иные статьи затрат, занимающие значительный удельный вес для систематического наблюдения за их динамикой.
Нормативный метод калькулирования основан на использовании прогрессивных норм расхода на единицу продукции (нормы расхода материалов и заработной платы, обслуживания и т.д.). Его преимущество состоит в том, что он не только прост в использовании, но и позволяет рационально расходовать материальные, трудовые и финансовые средства.
По способу отнесения затрат на себестоимость продукции при ее калькулировании они группируются на прямые, непосредственно связанные с изготовлением определенной продукции и относимые к отдельным ее видам или заказам, и косвенные, связанные с работой цеха или предприятия в целом. Последние относятся к себестоимости отдельных видов продукции в порядке распределения (т.е. косвенным образом) по какому-либо установленному признаку (пропорционально объему производства или затратам и т.п.).

18.5. Основные направления снижения издержек производства
Систематическое снижение издержек - основное средство повышения прибыльности функционирования фирмы. В условиях рыночной экономики, когда финансовая поддержка убыточных предприятий является не правилом, а исключением, как это было при административно-командной системе, исследование проблем уменьшения издержек производства, разработка рекомендаций в этой области - один из краеугольных камней всей экономической теории.
Можно выделить следующие основные направления снижения издержек производства во всех сферах национальной экономики:
использование достижений НТП;
совершенствование организации производства и труда;
государственное регулирование экономических процессов.
Прежде чем рассматривать основные направления экономии издержек, необходимо сделать одно существенное замечание. Дело в том, что сама деятельность предприятия по обеспечению экономии затрат в подавляющем большинстве случаев требует затрат труда, капитала и финансов. Затраты по экономии издержек тогда эффективны, когда рост полезного эффекта (в самых разнообразных формах) превысит затраты на обеспечение экономии.
Естественно, что возможен и пограничный вариант, когда уменьшение издержек на производство изделия не изменяет его полезных свойств, но позволяет снизить цену в конкурентной борьбе. В современных условиях типичным является не сохранение потребительских качеств, а экономия на издержках в расчете на единицу полезного эффекта или других важных для потребителя характеристик. На практике это часто принимает такие формы, как, например, снижение стоимости единицы производственной мощности металлообрабатывающего станка.
Реализация достижений НТП заключается, с одной стороны, в более полном использовании производственных мощностей, сырья и материалов, в том числе и топливно-энергетических ресурсов, а с другой - в создании новых эффективных машин, оборудования, новых технологических процессов. Наиболее характерная черта НТП второй половины XX столетия - переход к принципиально новому технологическому способу производства. Его преимущество не только в более высокой экономической эффективности, но и в возможности производить качественно новые материальные блага, услуги, которые существенно изменяют весь уклад жизни, приоритеты жизненных ценностей.
Что касается совершенствования организации производства и труда, то этот процесс наряду с экономией на издержках за счет сокращения потерь практически во всех случаях обеспечивает повышение производительности труда, т.е. экономию затрат живого труда. На нынешнем этапе экономического развития экономия живого труда в сравнении с экономией общественного труда дает более весомые результаты, о чем свидетельствуют исследования экономического роста на основе использования производственной функции.
Совершенствование организации производства в настоящее время представлено двумя основными школами: американской и японской. Это многочисленные системы материально-технического обеспечения производства, его экономического стимулирования и т.п.*
В снижении издержек производства значительная роль принадлежит государственным программам в области НТП и государственным стандартам. Наиболее ярким примером государственного вмешательства в этой области можно считать многочисленные государственные и частные научно-технические программы, создание которых обусловлено существенным возрастанием затрат на топливно-энергетическую составляющую издержек (вызванным нефтяным кризисом 70-х гг. в США и других развитых странах, национальные экономики которых потребляют большой объем нефти), благодаря им удалось в значительной степени компенсировать увеличение цен на нефть.




Инновационная деятельность


Инновационная деятельность включает:
выявление проблем предприятия;
осуществление инновационного процесса;
организацию инновационной деятельности.
Главная предпосылка инновационной деятельности предприятия состоит в том, что все существующее стареет. Поэтому необходимо систематически отбрасывать все то, что износилось, устарело, стало тормозом на пути к прогрессу, а также учитывать ошибки, неудачи и просчеты. Для этого на предприятиях периодически необходимо проводить аттестацию продуктов, технологий и рабочих мест, анализировать рынок и каналы распределения. Иными словами, должна проводиться своеобразная рентгенограмма всех сторон деятельности предприятия.
Это не просто диагностика производственно-хозяйственной деятельности предприятия, его продукции, рынков и т.д. На ее основе руководители должны первыми подумать о том, как самим сделать свою продукцию (услуги) морально устаревшей, а не ждать, пока это сделают конкуренты. А это, в свою очередь, будет побуждать предприятия к инновациям.
Практика показывает: ничто так не заставляет руководителя сосредоточиться на инновационной идее, как осознание того, что производимый продукт уже в ближайшем будущем окажется устаревшим.
Откуда берутся инновационные идеи? Можно назвать семь источников таких идей. Перечислим внутренние источники; они возникают в рамках предприятия или отрасли. К ним относятся:
неожиданное событие (для предприятия или отрасли) - успех, неудача, внешнее событие;
неконгруэнтность - несоответствие между реальностью (какова она есть на самом деле) и нашими представлениями о ней;
нововведения, основанные на потребности процесса;
внезапные изменения в структуре отрасли или рынка.
Следующие три источника нововведений относятся к внешним, так как они имеют свое происхождение за пределами предприятия или отрасли. Это:
демографические изменения;
изменения в восприятиях, настроениях и ценностных установках;
новые знания (как научные, так и ненаучные).
Анализ названных ситуаций при рассмотрении того или иного типа изменения позволяет установить характер инновационного решения. Во всяком случае, всегда можно получить ответы на следующие вопросы. Что будет, если мы воспользуемся создавшимся изменением? Куда это может привести предприятие?
Что нужно сделать, чтобы изменение превратить в источник развития?
Вместе с тем из семи источников изменений наиболее важными являются третье и седьмое, так как они носят наиболее радикальный характер.
Изменение, вызываемое потребностью процесса, представляет собой куда более важное значение, нежели два первых. Старая пословица гласит: "необходимость есть мать изобретения". В данном случае изменение основывается на потребности практики, жизни. (Замена ручного набора в книгопечатании, сохранение свежести продуктов и др.) Вместе с тем реализация этого типа изменений предполагает необходимость понимания, что:
недостаточно прочувствовать потребность, важно познать и разобраться в ее сути, иначе невозможно найти ее решение;
не всегда возможно удовлетворить потребность, а в этом случае остается только решение какой-то ее части.
Во всяком случае при решении проблемы этого типа необходимо ответить на следующие вопросы. Понимаем ли мы, в чем и в каких изменениях нуждается процесс? Имеются ли в наличии необходимые знания или их нужно получить?
Соответствуют ли наши решения привычкам, традициям и целевым ориентациям потенциальных потребителей?
Наиболее существенные изменения, можно сказать радикальные, происходят на основе "новых знаний". Нововведения, основанные на новых знаниях (открытиях), как правило, трудноуправляемы. Это обусловливается рядом обстоятельств.
Прежде всего наблюдается, как правило, большой разрыв между появлением нового знания и его технологическим использованием, во-вторых, проходит много времени до того, как новая технология материализуется в новом продукте, процессе или услуге.
В этой связи нововведения, основанные на новых знаниях, требуют:
тщательного анализа всех необходимых факторов;
ясного понимания преследуемой цели, т.е. необходима четкая стратегическая ориентация;
организации предпринимательского управления, поскольку здесь необходимы финансовая и управленческая гибкость и нацеленность на рынок.
Нововведение, основанное на новых знаниях, должно "созреть" и быть воспринятым обществом. Только в этом случае оно принесет успех.
Каковы же основополагающие принципы инновационной деятельности? По мнению П. Друкера, нужно провести четкую линию между тем, что нужно делать, и тем, чего делать не следует.
Что нужно делать
Целенаправленная систематическая инновационная деятельность требует непрерывного анализа возможностей указанных выше источников инноваций.
Инновация должна соответствовать нуждам, желаниям, привычкам людей, которые будут ею пользоваться. Следует задать себе вопрос: "Что должна отражать данная инновация, чтобы у будущих потребителей возникло желание ею пользоваться?"
Инновация должна быть простой и иметь точную цель. Величайшая похвала инновации звучит так: "смотрите-ка, как все просто! Как я до этого не додумался?"
Внедрять инновации эффективнее, имея небольшие деньги и небольшое количество людей, ограниченный риск. В противном случае почти всегда не хватает времени и средств для многочисленных доработок, в которых нуждается инновация.
Эффективная инновация должна быть нацелена на лидерство на ограниченном рынке, в своей нише. Иначе она создаст ситуацию, когда конкуренты вас опередят.
Чего не следует делать
Не умничайте. Инновациями будут пользоваться обычные люди, а при достижении крупных масштабов - и люди некомпетентные. Все чересчур сложное в конструкции или в эксплуатации почти наверняка обречено на неудачу.
Не разбрасывайтесь, не пытайтесь делать несколько вещей сразу. Инновация требует концентрации энергии. Необходимо, чтобы люди, над ней работающие, хорошо понимали друг друга.
Осуществляйте нововведения ради удовлетворения потребностей текущего времени. Если нововведение не найдет немедленного приложения, оно останется лишь идеей.
Инновация - это работа, требующая знаний, изобретательности, таланта. Подмечено, что новаторы в основном работают только в одной области. Например, Эдисон сосредоточил силы только на электричестве.
Успешная инновация требует упорнейшей сосредоточенной работы. Если вы к ней не готовы, не помогут ни знания, ни талант.
Чтобы преуспеть, необходимо использовать свои сильные стороны, люди должны увлечься инновацией всерьез.
Наконец, инновация означает изменения в экономике, промышленности, обществе, в поведении покупателей, производителей, работников. Поэтому она всегда должна ориентироваться на рынок, руководствоваться его потребностями.
Для осуществления предприятием инновационной деятельности, оно должно иметь такие структуру и настрой, которые способствовали бы созданию атмосферы предпринимательства и восприятия нового как благоприятной возможности. При этом необходимо учесть ряд важных моментов.
Основной организационный принцип для инновации заключается в создании команды из лучших работников, освобожденных от текущей работы.
Как показывает опыт, все попытки превратить существующее подразделение в носителя инновационного проекта заканчиваются неудачей. Причем этот вывод касается как предприятия крупного, так и малого бизнеса. Дело в том, что поддержание производства в рабочем состоянии - уже большая задача для людей, этим занятых. Поэтому на создание нового у них практически не остается времени.
Существующие подразделения, в какой бы сфере они ни функционировали, в основном способны лишь расширять, модернизировать производство.
Предпринимательская и инновационная деятельность не обязательно должна проводиться на постоянной основе, тем более в малых предприятиях, где такая постановка дела зачастую невозможна. Однако необходимо назначить работника, персонально ответственного за успех инноваций. Он должен отвечать за своевременное выявление и замену устаревающей продукции, техники, технологии, за всесторонний анализ производственно-хозяйственной деятельности (рентгенограмму бизнеса), за разработку инновационных мероприятий.
Работник, ответственный за инновационную деятельность, должен быть лицом, достаточно авторитетным на предприятии.
Необходимо оградить инновационное подразделение от непосильных нагрузок. Вложения в разработку инноваций не должны включаться в регулярно проводимый анализ отдачи от капиталовложений до тех пор, пока новые изделия (услуги) не утвердятся на рынке. В противном случае дело будет загублено.
Прибыль от реализации инновационного проекта существенно отличается от прибыли, получаемой за выпуск отлаженной продукции. На протяжении длительного времени новаторские начинания могут не давать ни прибыли, ни роста, а только потреблять ресурсы. Затем инновация в течение длительного времени должна быстро разрастаться и возвращать вложенные в ее разработку средства по меньшей мере в 5-10-кратном размере, иначе ее можно рассматривать как неудачную.
Нововведение начинается с малого, но результаты его должны быть масштабными.
Предприятием следует управлять таким образом, чтобы в нем создавалась атмосфера восприятия нового не как угрозы, а как благоприятной возможности.



Исполнительные органы представлены правлением



Кооперативы и малые предприятия

Исполнительные органы представлены правлением

Производственные кооперативы существующие в нашей стране, по своей сущности и организационно-правовой основе фактически близки к обществам с ограниченной ответственностью.
Действительно, имущество кооперативов формируется на долевой основе за счет взносов его членов, производимых в денежной и материальной формах. Источниками образования имущества также служат продукция кооператива и доходы, получаемые от ее реализации и иных видов деятельности. Высшим органом управления кооператива является общее собрание. Исполнительные органы представлены правлением, возглавляемым председателем.
Управленческие функции общего собрания и правления в кооперативах и обществах весьма сходны; близки также механизм создания и регистрации кооперативов и обществ, содержание уставов, регламентирующих их деятельность.
Наиболее значимые различия между кооперативами и обществами состоят, в следующем:
при управлении кооперативом, в ходе работы его высшего органа управления (общего собрания) каждый член кооператива имеет один голос независимо от размера его имущественного взноса. Решающие голоса в обществе с ограниченной ответственностью распределяются между его членами пропорционально внесенным паям;
для кооперативов не устанавливается зависимость дохода его членов от величины паевых взносов. Индивидуальные заработки членов кооператива определяются их трудовым вкладом и размером той части валового дохода, которая направляется на оплату труда. В то же время доход членов общества с ограниченной ответственностью напрямую связан с их паевыми взносами;
состав учредительных документов для кооператива и общества различен.
С начала проведения экономической реформы значительное распространение получил такой тин хозяйственных структур, как малое предприятие. Малые предприятия способны к высокому динамизму развития, самостоятельны в выборе стратегии развития и ее реализации, имеют упрощенную организационную структуру, обслуживаются относительно небольшим числом работников. В нашей стране они должны сыграть существенную роль в решении таких проблем, как демонополизация производства, развитие конкуренции, создание новых рабочих мест и обеспечение эффективной занятости населения, рациональное использование научно-технического потенциала, создание конкурентоспособной продукции, ликвидация диспропорций на потребительском рынке.
Термин "малое" не характеризует правовую форму предприятия. Такой правовой формы, как "малое предприятие", просто не существует. "Малое" свидетельствует лишь о небольших размерах предприятия по численности работников, объему хозяйственного оборота или другим параметрам деятельности, устанавливаемым в законодательных актах и постановлениях правительства.
Малые предприятия могут создаваться в различных организационно-правовых формах: товариществ, обществ с ограниченной ответственностью, акционерных обществ, а также на основе любых форм собственности, включая смешанные. Выбор наиболее приемлемой организационно-правовой формы малого предприятия обычно осуществляют его учредители - физические и юридические лица.

2.3. Объединения предприятий
Исполнительные органы представлены правлением

Крупномасштабному бизнесу свойственны формы организации, в основе которых лежит объединение предприятий, фирм в совокупные структуры. Это собирательные ассоциативные формы. Рассмотрим отдельные типы ассоциативных организационных структур, наиболее распространенных в экономике развитых стран и пустивших корни в зарождающейся российской рыночной экономике.
Корпорация - это акционерное общество, объединяющее деятельность нескольких фирм для достижения их общих целей или защиты привилегий. Как юридическое лицо, корпорация несет ответственность по долгам и налогам за все входящие в нее предприятия и выступает в качестве самостоятельного субъекта предпринимательской деятельности. В США создаются специальные корпорации для небольшого бизнеса, именуемые 5-корпорация-ми. Это относительно маломасштабные корпорации, пользующиеся такими же налоговыми льготами, как малые предприятия.
Существуют и крупномасштабные государственные корпорации.
Хозяйственные ассоциации - договорные объединения предприятий и организаций, создаваемые для совместного выполнения однородных функций и координации общей деятельности. Ассоциации относятся к одной из самых мягких форм объединений, минимально ограничивающих действия входящих в них членов ассоциации. Участники ассоциации обладают правом входить в любые другие ассоциации.
Концерны - форма договорных крупных объединений обычно монопольного типа, позволяющая использовать возможности крупномасштабного производства, комбинирования, кооперирования, благодаря наличию производственно-технологических связей. В России концерны создаются на базе крупных государственных предприятий и объединений. В них нашли частичное воплощение ликвидированные министерства производственной сферы.
Эти организационно-хозяйственные структуры благодаря масштабам концентрации капитала, производственным мощностям, широким возможностям диверсификации производства обладают определенной устойчивостью к колебаниям рыночной конъюнктуры, способны выгодно перераспределять инвестиционные ресурсы, концентрировать их на наиболее рентабельных, окупаемых направлениях. Возникновение концернов в странах с развитой рыночной экономикой исторически было обусловлено прежде всего концентрацией капитала, его перенакоплением у отдельных товаропроизводителей. Важнейшим признаком концернов стало единство собственности входящих в них фирм, предприятий, банков.
Таким образом, участники концернов взаимозависимы не по договору, а по существу экономических отношений.
Холдинговые компании (холдинг-компании) характеризуются тем, что они обладают контролем над другими компаниями либо за счет владения их акциями и денежным капиталом, либо в связи с правом назначать директоров подконтрольных компаний. Механизм принятия решений в акционерных обществах позволяет холдингу влиять на хозяйственные, коммерческие решения предприятий, входящих в холдинговое объединение. Хотя эти предприятия остаются в правовом отношении самостоятельными, холдинг способен направлять их в русло интересов большой компании как большой целостной структуры.
Помимо этого холдинг может осуществлять ряд функций, связанных с общей предпринимательской деятельностью. В том случае, когда это обусловлено необходимостью и общей пользой, холдинг способен централизовать и перераспределять финансовые средства своих участников.
Консорциум - временное добровольное объединение предприятий, организаций, образуемое для решения конкретных задач и проблем, осуществления крупных инвестиционных, научно-технических, социальных, экологических проектов. В консорциум могут входить и крупные, и мелкие предприятия, желающие принять участие в осуществлении проектного или иного предпринимательского замысла, но не обладающие самостоятельными возможностями его осуществления. Консорциум представляет потенциально эффективный организационно-структурный способ временной интеграции кадров, мощностей, материальных и финансовых ресурсов.
Предприятия могут объединяться в консорциум во имя осуществления заманчивого, сулящего высокую прибыль проекта, но требующего для своей реализации крупных капиталовложений, отвлекаемых на длительный срок при высокой степени риска.
Финансово-промышленные группы (ФПГ). В соответствии с Федеральным законом "О финансово-промышленных группах", введенным в действие 30 ноября 1995 г., под финансово-промышленной группой понимается совокупность юридических лиц, действующих как основное и дочернее общества, либо полностью или частично объединивших свои материальные и нематериальные активы (система участия) на основе договора о создании финансово-промышленной группы в целях технологической или экономической интеграции для реализации инвестиционных и иных проектов и программ, направленных на повышение конкурентоспособности, расширение рынков сбыта товаров и услуг, повышение эффективности производства, создание новых рабочих мест.
Участниками ФПГ являются юридические лица, подписавшие договор об их создании, и утвержденная ими центральная компания ФПГ, либо основное и дочернее общества, образующие финансово-промышленную группу. Обязательным условием создания должно быть наличие организаций, действующих в сфере производства товаров и услуг, а также банков и иных кредитных организаций. В их состав могут входить инвестиционные институты, негосударственные пенсионные и иные фонды, страховые организации, участие которых обусловлено их ролью в обеспечении инвестиционного процесса в финансово-промышленной группе.
Если в составе участников имеются юридические лица, находящиеся под юрисдикцией государств - участников СНГ, то финансово-промышленная группа регистрируется как транснациональная.

2.4. Жизненный цикл предприятия.
Предприятие, как субъект хозяйствования, в процессе функционирования проходит ряд стадий: создание, рост, зрелость, спад, реорганизация (реструктуризация) или санация, банкротство, ликвидация ( 2.1).


Исполнительные органы представлены правлением


Первая стадия - создание предприятия и его становление.



Исследование условий реализации инвестиционного проекта


Формирование инвестиционного замысла (идеи) включает:
рождение и предварительное обоснование замысла;
инновационный, патентный и экологический анализ технического решения (объекта техники, ресурса, услуги);
проверку необходимости выполнения сертификационных требований;
предварительное согласование при необходимости с муниципальными и отраслевыми органами управления;
подготовку информационного обеспечения.
Исследование условий реализации инвестиционного проекта включает:
установление величины спроса на продукцию, намеченную к выпуску;
оценку уровня базисных, текущих и прогнозных цен на продукцию (услуги);
подготовку предложений по организационно-правовой форме реализации проекта и составу участников;
оценку предполагаемого объема инвестиций;
подготовку предварительных оценок по разделам ТЭО проекта, в частности оценку его эффективности;
подготовку контрактной документации на выполнение проекта;
подготовку инвестиционного предложения для потенциального инвестора.
Технико-экономическое обоснование проекта предусматривает:
проведение маркетингового исследования (спроса и предложения, сегментации рынка, цены), выработку маркетинговой стратегии и т.д.;
подготовку программы выпуска продукции;
разработку исходно-разрешительной документации;
разработку технических решений (в том числе генерального плана, состава оборудования и технологических решений на основе анализа существующей и предлагаемой технологии состава оборудования, загрузки действующих производственных мощностей и площадей, предложений по закупке зарубежных технологий и оборудования, использования сырья и материалов, комплектующих изделий и энергоресурсов);
инженерное обеспечение;
составление плана мероприятий по охране окружающей среды и соблюдению безопасности;
описание системы управления предприятием;
описание организации строительства;
сметно-финансовую документацию (в том числе оценку издержек производства, расчет капитальных затрат, годовых поступлений от деятельности предприятия, потребности в оборотных средствах, оценку проектируемых и рекомендуемых источников финансирования проекта, расчет предполагаемых потребностей в иностранной валюте, выбор кредитов, оформление соглашений);
оценку рисков, связанных с осуществлением проекта;
установление сроков осуществления проектов;
анализ бюджетной эффективности в случае использования бюджетных инвестиций;
формулирование условий прекращения реализации проекта. Желательно, чтобы ТЭО прошло вневедомственную экологическую и другие виды экспертиз.
Формирование контрактной документации - это подготовка переговоров с потенциальными инвесторами и тендерных торгов по реализации проекта.
Составление рабочей документации - это подготовка проектно-сметной документации на стадии рабочих чертежей, определение изготовителей и поставщиков нестандартного технологического оборудования.
Осуществление строительных и монтажных работ включает наладку оборудования, обучение персонала, выпуск пробной партии продукции.
Эксплуатация объекта и мониторинга экономических показателей предусматривает:
сертификацию продукции;
создание сбытовой сети (посредники, дилеры и т.д.);
создание центров сервисного обслуживания;
систему текущего мониторинга экономических показателей (объем продаж и производства, издержки производства и реализации, качество продукции, доходность авансированного капитала, прибыль и т.д.).

16.2. Оценка эффективности инвестиционной деятельности
Методология и методы оценки эффективности инвестиционных проектов в Российской Федерации независимо от форм собственности определены в Методических рекомендациях по оценке эффективности инвестиционных проектов и их отбору для финансирования, утвержденных Госстроем России, Министерством экономики РФ, Министерством финансов РФ, Госкомпромом России 31 марта 1994 г. № 7-! 2/47.
Согласно Методическим рекомендациям при оценке эффективности инвестиционных проектов определяются:
коммерческая (финансовая) эффективность, т.е. финансовые последствия от реализации проекта для его непосредственных участников;
бюджетная эффективность финансовые последствия от осуществления проекта для федерального, регионального и местного бюджетов;
экономическая эффективность затраты и результаты, связанные с реализацией проекта, выходящие за пределы прямых финансовых интересов участников инвестиционного проекта и допускающие стоимостное измерение.
Основу оценки эффективности инвестиционных проектов составляют определение и соотнесение затрат и результатов их осуществления.
Все вышеназванные оценки рекомендуется производить с использованием чистого дохода (интегрального эффекта); индекса доходности; внутренней нормы доходности; срока окупаемости инвестиций и других показателей, отражающих интересы участников или специфику проекта.
Оценку эффективности инвестиционных проектов следует производить с учетом дисконтирования указанных показателей, т.с. путем приведения их к стоимости на момент сравнения. Это обусловливается тем, что денежные поступления и затраты осуществляются в различные временные периоды и, следовательно, имеют разное значение. Доход, полученный в более ранний период, имеет большую стоимость, чем доход, полученный в более поздний период. То же касается и затрат.
Затраты, произведенные в более ранний период, имеют большую стоимость, чем затраты, произведенные позже.
Расчетные цены определяются путем умножения базисной цены на дефлятор, соответствующий индексу общей инфляции, т.е. индексу повышения среднего уровня цен в экономике, или на данный вид ресурса, продукции, услуг.
Прогнозные и расчетные цены используются на стадии ТЭО инвестиционных проектов. Одновременно в ТЭО расчеты осуществляются и в базисных отечественных, а при необходимости и в мировых ценах.
Расчетные цены используются для определения интегральных показателей эффективности в случаях, когда текущие значения затрат и результатов принимаются в прогнозных ценах. Это необходимо для обеспечения сравнимости результатов, получаемых при различных уровнях инфляции.
Базисные, прогнозные и расчетные цены могут выражаться в рублях или устойчивой иностранной валюте (доллары США, евро и др.).
В расчетах по оценке эффективности инвестиционных проектов целесообразно учитывать влияние изменения цен на продукцию и потребляемые ресурсы под воздействием изменения объема продаж (влияние удовлетворения спроса и предложения на рынке товаров и услуг).
Оценки эффективности инвестиционных проектов производится путем расчета ряда показателей.
Чистый дисконтированный доход (ЧДД), т.е. Эинт, определяется как сумма текущих эффектов за весь расчетный период, приведенная к начальному шагу, или как превышение интегральных результатов над интегральными затратами и рассчитывается по формуле


Исследование условий реализации инвестиционного проекта
(16.2)

где Rt результаты, достигаемые на t-м шаге расчета;
3t затраты, осуществляемые на t-м шаге;
Т временной период расчета;
Е норма дисконта.
Временной период расчета принимается исходя из сроков реализации проекта, включая время создания предприятия (производства), его эксплуатации и ликвидации.
Если величина ЧДД инвестиционного проекта положительна, то он признается эффективным, т.е. обеспечивающим уровень инвестиционных вложений не меньший, чем принятая норма дисконта.
Приведение величин затрат и их результатов осуществляется путем умножения их на коэффициент дисконтирования (аt), определяемый для постоянной нормы дисконта Е по формуле


Исследование условий реализации инвестиционного проекта
(16.3)

где t время от момента получения результата (произведения затрат) до момента сравнения, измеряемое в годах.
Норма дисконта (Е) это коэффициент доходности капитала (отношение величины дохода к капитальным вложениям), при которой другие инвесторы согласны вложить свои средства в создание проектов аналогичного профиля.
Если норма дисконта меняется во времени, то формула (16.3) выглядит следующим образом:


Исследование условий реализации инвестиционного проекта
(16.4)

где Еk норма дисконта в k-м году;
t учитываемый временной период, год.
При определении показателей экономической эффективности инвестиционных проектов могут использоваться базисные, мировые, прогнозные расчетные цены на продукцию и потребляемые ресурсы.
Базисные цены это цены, сложившиеся на определенный момент времени. Они используются. как правило, на стадии технико-экономических исследований инвестиционных возможностей.
Прогнозные цены это цены на конец t-го года реализации инвестиционного проекта в соответствии с прогнозируемым индексом изменения цен на продукцию, ресурсы, услуги. Они определяются по формуле:

Цt = Цб * Jt, (16.5)

где Цt прогнозируемая цена на конец t-го года реализации инвестиционного проекта;
Цб базисная цена продукции или ресурса;
Jt прогнозный коэффициент (индекс) изменения цен соответствующей продукции или соответствующих ресурсов на конец t-го года реализации инвестиционного проекта по отношению к моменту принятия базисной цены.
Индекс доходности (ИД) инвестиций представляет собой отношение сумм приведенного эффекты к величине инвестиций (К):


Исследование условий реализации инвестиционного проекта
(16.6)

Если индекс доходности равен или больше единицы (ИД 1), то инвестиционный проект эффективен, а если меньше единицы (ИД 1) неэффективен.



Эффективное управление


Эффективное управление предполагает заботу о психическом и физическом состоянии подчиненных. Руководитель должен управлять так, чтобы обеспечить подчиненному положительное подкрепление, т.е. он должен получить от подчиненных реакцию удовлетворения. Если у вас хороший контакт и вы прислушиваетесь к замечаниям работников, то нетрудно узнать, чем их можно заинтересовать.
Стимулами могут служить самые различные факторы: размеры заработной платы, условия работы, поездки, пенсии, льготы, продвижение по службе и т.д.
Важно помнить и о том, что результаты достигаются постепенно. Не стоит ожидать моментальных результатов, нужно только знать, как к ним постепенно продвигаться. С другой стороны, с точки зрения управления следует заботиться о достижении промежуточных целей и не допускать халатности, контролируя процесс.
При управлении персоналом чрезвычайно важно понимать, что вы руководите человеком, который нуждается в другом человеке, поддержке, признании, уважении, дружеском и человеческом отношении. С людьми нужно обращаться по-человечески, как с отдельными работниками, так и на уровне групп.
Изложенные принципы управления персоналом можно сжато изложить в форме следующих практических рекомендаций.
Говоря о результатах и поставленных целях, выражайтесь четко и однозначно. Удостоверьтесь, что их уяснили.
Говорите с подчиненным понятным языком. В неясных случаях спрашивайте, понял ли подчиненный сказанное.
Поддерживайте нормальные взаимоотношения с подчиненными. Заботьтесь о том, чтобы на вас как руководителе не отражались чьи-то плохие взаимоотношения.
Соотнесите согласованные конечные цели со способностями подчиненных и определите каждому правильное место. Задачи, с которыми не справились, так же вредны, как и слишком легкие задачи. Поэтому следите за тем, чтобы достижение конечных целей требовало от подчиненных достаточно серьезных усилий.
Контролируйте достижение результатов.
Следите за психическим и физическим состоянием подчиненных, а также реагируйте немедленно при появлении критических моментов.
Обеспечивайте положительное подкрепление или вызывайте максимальное число реакций удовольствия.
Избегайте отрицательного подкрепления. Не вызывайте реакции недовольства. Критикуйте мотивированно.
Стремитесь к достижению конечных целей постепенно, по восходящей линии.
Будьте активным руководителем. В случае необходимости обеспечьте человеческую поддержку. При этом не занимайтесь опекой подчиненных и не вмешивайтесь в детали.
Важной частью работы с персоналом является оценка результатов работы. Такую оценку целесообразно проводить по итогам работы за год. При этом необходимо:
проанализировать показатели работы сотрудника за последний год;
подчеркнуть и похвалить его за сильные стороны;
выявить и разобраться вместе с ним в его слабых сторонах;
определить задачи на будущее, которые могут включать обучение или повышение квалификации;
дать сотруднику возможность высказаться по результатам аттестации;
выслушать замечания относительно условий работы персонала, обсудить любые жалобы или вопросы дисциплины.
Если руководство фирмы будет регулярно проводить такую аттестацию, то коллектив почувствует, что руководство следит за качеством его работы. Это убавит их самодовольство и побудит улучшить свою работу.
Оценка результатов работы персонала служит трем целям: административной, информационной и мотивационной.
Административные функции. Повышение по службе, понижение, перевод, прекращение трудового договора.
Информационные функции. Оценка результатов работы нужна и для того, чтобы можно было информировать людей об уровне их работы. При должной постановке этого дела работник узнает не только, достаточно ли хорошо он работает, но и что конкретно является его сильными или слабыми сторонами и в каком направлении он может совершенствоваться.
Мотивационные функции. Оценка результатов трудовой деятельности представляет собой важное средство мотивации поведения людей. Определив сильных работников, руководство может вынести благодарность, повысить заработную плату или повысить в должности.
Систематическое положительное подкрепление поведения, ассоциирующегося с высокими результатами работы, должно вести к аналогичному поведению в будущем.

8.3. Производительность труда
Эффективное управление

Производительность труда - важнейший экономический показатель, характеризующий эффективность затрат труда в материальном производстве как отдельного работника, так и коллектива предприятия в целом.
В производстве любого продукта участвует живой труд, т.е. труд, затрачиваемый работниками непосредственно в процессе производства продукта, и труд прошлый, затраченный другими работниками и овеществленный в орудиях труда, зданиях, сооружениях, сырье, материалах, топливе, энергии. Соответственно, различают производительность индивидуального (живого) и общественного труда.
Основными показателями производительности труда на урос не предприятия являются показатели выработки и трудоемкости.
Выработка (В) определяется отношением количества произведенной продукции (Q) к затратам рабочего времени на производство этой продукции (Т), т.е. по следующей формуле:
B = Q/T
Трудоемкость - это величина, обратная выработке. Различают трудоемкость нормированную, фактическую и плановую.
Выработка продукции является наиболее распространенным и универсальным показателем производительности труда.
В зависимости от единицы измерения объема продукции различают три метода измерения производительности труда: натуральный, трудовой и стоимостной.
Натуральный метод измерения производительности труда характеризует выработку продукции в натуральной форме в единицу рабочего времени. Натуральные показатели производительности труда выражаются в килограммах, метрах, штуках и т.д.
Если предприятие выпускает несколько видов однородной продукции, то выработка исчисляется в условно-натуральных единицах.
Натуральные показатели применяются на предприятиях нефтяной, газовой, угольной, лесной и других отраслей промышленности, а условно-натуральные- на предприятиях текстильной, цементной, металлургической промышленности.
Трудовой метод измерения производительности труда характеризует отношение нормативных затрат к фактическим затратам рабочего времени.
Трудовой метод применяется для определения эффективности использования труда рабочих по сравнению с нормами, уровня выполнения норм выработки или степени сокращения нормативного времени рабочим в процентах.
Стоимостной метод измерения производительности труда получил более широкое применение, особенно на предприятиях, выпускающих разнородную продукцию, так как дает возможность учета и сравнения разнообразных видов работ путем приведения их к единому измерителю.
Выработка может быть определена в расчете на один отработанный человеко-час (часовая выработка), один отработанный человеко-день (дневная выработка), на одного среднесписочного работника (рабочего) в год квартал или месяц (годовая, квартальная или месячная выработка).
Важнейшей задачей предприятия является постоянный поиск и реализация резервов роста производительности труда, под которыми подразумеваются имеющиеся, еще не используемые реальные возможности повышения производительности труда.
Резервы роста производительности труда на предприятии можно классифицировать следующим образом:
повышение технического уровня производства в результате механизации и автоматизации производства; внедрения новых видов оборудования и технологических процессов; улучшения конструктивных свойств изделий; повышения качества сырья и применения новых конструктивных материалов;
совершенствование управления, организации производства и труда путем повышения норм труда и расширения зон обслуживания; уменьшения числа рабочих, не выполняющих нормы; упрощения структуры управления; механизации учетных и вычислительных работ; повышения уровня специализации производства;
структурные изменения в производстве вследствие изменения удельных весов отдельных видов продукции; трудоемкости производственной программы; доли покупных полуфабрикатов и комплектующих изделий; удельного веса новой продукции.

8.4. Организация и нормирование труда
Эффективное управление

Организация труда - это совокупность мер. направленная на рациональное соединение труда работников со средствами производства с целью достижения высокой производительности труда и сохранения здоровья и работоспособности работающих. Организация труда призвана создавать наиболее благоприятные условия для нормального функционирования и воспроизводства рабочей силы, всемерного повышения содержательности и привлекательности труда.
Основными направлениями организации труда являются:
совершенствование форм разделения и кооперации труда;
улучшение подготовки и повышения квалификации кадров;
рационализация приемов и методов труда;
улучшение организации и обслуживания рабочих мест;
улучшение условий труда;
укрепление дисциплины труда;
совершенствование практики мотивации труда;
совершенствование нормирования труда.
Самостоятельным направлением организации труда является его нормирование. Под нормированием труда понимается установление меры затрат труда в виде норм труда на выполнение определенных операций (изготовление единиц продукции) или выполнение определенного объема работ в наиболее рациональных организационно-технических условиях.



Коммандитные товарищества


Что же касается объединенного имущества, предназначенного для ведения предпринимательской деятельности, то оно представляет общую долевую собственность, принадлежит всем участникам на паевой основе, т.е. каждый участник полного товарищества имеет свою долю, свой пай, соответствующие его имущественному и денежному вкладам в товарищество. Доля отражает ту часть денежной стоимости имущества товарищества, которая принадлежит данному участнику.
Полное товарищество является юридическим лицом, самостоятельной фирмой, обладает набором прав, позволяющим ему выступать в качестве субъекта хозяйственной деятельности.
Так, оно может выступать в суде истцом и ответчиком. Под фирменным наименованием полное товарищество заносится в реестр собственников, оно вступает в договорные отношения с Другими субъектами хозяйственной деятельности, взаимодействует при необходимости с органами государственной власти, берет на себя и выполняет определенные обязательства. Члены полных товариществ обязаны участвовать в управлении делами и деятельностью.

Коммандитные товарищества

Коммандитные товарищества

Коммандитное товарищество, подобно полному товариществу, представляет собой объединение нескольких граждан и (или) юридических лиц на основании договора между ними в целях ведения совместной хозяйственной деятельности. Принципиальное отличие коммандитного товарищества от полного состоит в том, что только часть его членов, именуемых полными товарищами (комплементариями), несет полную солидарную ответственность по обязательствам товарищества всем своим имуществом. Другая же часть в виде членов-вкладчиков (коммандитистов) несет ограниченную ответственность и отвечает по обязательствам только своим паевым вкладом в общество.
Деятельность коммандитных товариществ определяется в основном условиями учредительного договора. Участник товарищества обязан внести свой вклад в складочный капитал товарищества.
Как правило, в смешанном товариществе его полные товарищи несут всю полноту власти и представительства интересов общества, тогда как роль членов-вкладчиков ограничена финансовым участием в форме вклада, дающего им право на доходы.

Общество с ограниченной ответственностью

Коммандитные товарищества

Главный признак, определивший название и составляющий одно из важнейших преимуществ общества с ограниченной ответственностью, состоит в том, что его участники несут ответственность по обязательствам, принятым на себя таким обществом, только в пределах своих вкладов в капитал общества. Именно в этом смысле ответственность общества ограничена. В то же время само общество как юридическое лицо отвечает перед кредиторами по обязательствам всем своим имуществом.
В соответствии с Гражданским кодексом Российской Федерации (часть I) обществом с ограниченной ответственностью считается учрежденная одним или несколькими лицами коммерческая организация с уставным капиталом, разделенным на доли, размеры которых определены учредительными документами. В качестве учредительных документов такого общества выступают устав и учредительный договор или только учредительный договор, если общество учреждается одним лицом.
Общество с ограниченной ответственностью представляет собой добровольное объединение граждан, юридических лиц, тех и других вместе с целью осуществления совместной хозяйственной деятельности путем первоначального образования уставного фонда только за счет вкладов учредителей, которые и образуют общество. Уставный капитал общества с ограниченной ответственностью не должен быть меньше законодательно установленной суммы.
Тот факт, что участники общества с ограниченной ответственностью (как и акционерных обществ) не отвечают по обязательствам компаний, безусловно, является большим достоинством. Действительно, в самом худшем случае член подобного общества может потерять только свой пай в капитале общества. Это означает, что предпринимательский риск для делового человека заранее ограничен определенной суммой.
Ограниченная ответственность предпринимателя - очень привлекательный фактор, ибо ни одно малое или среднее предприятие не застраховано от разорения в условиях той нестабильной экономической ситуации, в которой оказалась российская экономика в процессе ее перехода к рыночным отношениям.
Общество с ограниченной ответственностью представляет собой юридическое лицо, действует в соответствии с принятыми его участниками уставом и учредительным договором, имеет собственное наименование с обязательным указанием в нем организационно-правовой формы. Если в составе учредителей-участников товарищества есть юридические лица, они сохраняют свою самостоятельность и права юридических лиц.
Одним из преимуществ обществ с ограниченной ответственностью является относительно невысокий минимально допустимый размер уставного капитала. Это дает возможность начать собственное дело даже при малом стартовом капитале. Однако с точки зрения защиты интересов кредиторов, учитывая высокий Уровень цен на товарно-материальные ценности, подобное преимущество может обернуться недостатком.
В таких условиях при Маленьком уставном капитале долги общества придется компенсировать исходя из наличного капитала фирмы путем пропорционального уменьшения выплат кредиторам.
Общества с ограниченной ответственностью создаются как объединения партнеров по делу, лиц и организаций, между которыми существует постоянный деловой контакт и имеет место взаимная заинтересованность в общем успехе. В этой связи общества с ограниченной ответственностью весьма подходят для организации семейных предприятий, фирм, объединяющих постоянно сотрудничающих предпринимателей.

Акционерные общества (АО)

Коммандитные товарищества

Акционерным называется хозяйственное общество, уставный капитал которого делится на определенное число акций.
Участники открытого акционерного общества могут продавать или передавать свои акции без согласия других акционеров этого общества. В закрытом акционерном обществе акции распределяются только среди учредителей или иного заранее определенного круга лиц.
Главная особенность открытого акционерного общества состоит в том, что его имущественный и денежный капитал формируется путем открытой, свободной продажи своих акций. Однако при учреждении АО все его акции должны быть распределены среди учредителей.
Акции продаются либо на первичном рынке по нарицательной стоимости после их выпуска, либо на вторичном рынке посредством перепродажи по рыночным ценам. Акционерные общества открытого типа представляют одну из наиболее распространенных и цивилизованных современных форм организации коллективного бизнеса. Эта форма дает реальную возможность приобщиться к собственности предприятий миллионам рядовых граждан.
Акция удостоверяет тот факт, что ее владелец, акционер внес определенный вклад в капитал акционерной компании. Она может быть предметом купли-продажи, дарения, залога. Кроме того, акция может приносить доход в виде доли прибыли, получаемой акционерным обществом, и дает право на участие в управлении.
В форме акционерных обществ могут существовать и крупные, и средние, и малые предприятия. Создание АО обычно предполагает привлечение значительного числа участников. Открытое акционерное общество можно создать посредством преобразования общества с ограниченной ответственностью.
АО как закрытого, так и открытого типа отвечают по обязательствам общества, несут возможные убытки, рискуют в ограниченных пределах, не превышающих стоимости принадлежащего им пакета акций. В то же время само общество не отвечает по имущественным обязательствам отдельных акционеров, принятых ими частным образом.
Именно акционерное общество является единственным полновластным собственником принадлежащего ему имущественного комплекса, т.е. материально-вещественных, информационных и интеллектуальных ценностей. Акционеры являются собственниками только ценных бумаг, которые дают им право получения определенной доли дохода общества в виде процентов, именуемых дивидендами. В случае прекращения деятельности общества они вправе рассчитывать также на ликвидационную квоту - часть стоимости продаваемого имущества.
Прямого вещного права на собственную часть имущества акционерного предприятия акционер не имеет.
Таким образом, объекты права собственности акционеров и акционерного общества не совпадают. Для акционеров в качестве таких объектов выступает стоимость капитала акционерного общества в виде денежной стоимости своей доли, тогда как все общество обладает правом собственности на физическую, вещную сущность всех ценностей, принадлежащих ему. Акционер вправе распоряжаться сам своей акцией как ценной бумагой.
Имуществом же распоряжается только общество в лице его представительских органов управления.
Конечно, акционер способен влиять на использование имущественного комплекса и его деятельности в целом, участвуя в управлении. Такое право реализуется, прежде всего благодаря тому, что обыкновенная акция (в отличие от привилегированной, дающей право на твердый процент дивидендов) предоставляет возможность голосовать на собраниях акционеров, избирать правление. При этом реализуется принцип "одна акция - один голос".
Оказать существенное влияние на ход событий возможно только имея солидный пакет акций, лучше всего - контрольный.



Конкурентоспособность предприятия и его продукции


Организация и проведение работ по обязательной сертификации возложены на Госстандарт России. Им разработана Система сертификации ГОСТ РФ. Применительно к ней сформулирована номенклатура продукции, работ и услуг, подлежащих обязательной сертификации.
12.5. Конкурентоспособность предприятия и его продукции
Конкурентоспособность предприятия и его продукции

Конкурентоспособность предприятия - это его преимущество по отношению к другим предприятиям данной отрасли внутри страны и за ее пределами. Конкурентоспособность не является имманентным качеством фирмы, это означает, что конкурентоспособность фирмы может быть оценена только в рамках группы фирм, относящихся к одной отрасли, либо фирм, выпускающих аналогичные товары (услуги). Конкурентоспособность можно выявить только сравнением между собой этих фирм как в масштабе страны, так и в масштабе мирового рынка.
Таким образом, конкурентоспособность фирмы - понятие относительное: одна и та же фирма в рамках, например, региональной отраслевой группы может быть признана конкурентоспособной, а в рамках отраслей мирового рынка или его сегмента - нет. Оценка степени конкурентоспособности, т.е. выявление характера конкурентного преимущества фирмы по сравнению с другими фирмами, заключается в первую очередь в выборе базовых объектов для сравнения, иными словами, в выборе фирмы-лидера в отрасли страны или за ее пределами. Такая фирма-лидер должна обладать следующими параметрами:
соизмеримостью характеристик выпускаемой продукции по идентичности потребностей, удовлетворяемых с ее помощью;
соизмеримостью сегментов рынка, для которых предназначена выпускаемая продукция;
соизмеримостью фазы жизненного цикла, в которой функционирует фирма.
Таким образом, конкурентное преимущество одной фирмы над другой может быть оценено в том случае, когда обе фирмы удовлетворяют идентичные потребности покупателей, относящиеся к родственным сегментам рынка. При этом фирмы находятся примерно в одних и тех же фазах жизненного цикла. В том случае, если данные условия не соблюдаются, сравнение будет некорректным.
Далее, исходя из того, что конкурентоспособность отражает продуктивность использования ресурсов фирмы, для ее оценки необходимо выбрать критерии продуктивности использования ресурсов. В том случае, если деятельность фирмы связана с извлечением прибыли, а совокупные ресурсы оцениваются в денежном выражении, продуктивность использования ресурсов фирмой может быть оценена показателем рентабельности производства, т.е. отношением прибыли, полученной в том или ином периоде, к истраченным в том же периоде ресурсам, оцененным как издержки производства. Кроме этого, для объективной оценки конкурентоспособности фирмы ее руководству необходима возможность слежения рынка, особенно за пределами страны.
Сложность, а иногда и полное отсутствие доступа к информации о деятельности конкурентов может создать у руководства фирмы необоснованное мнение о превосходстве фирмы над конкурентами, привести к самоуспокоению и ослаблению усилий, связанных с поддержкой необходимого уровня конкурентного преимущества своей фирмы.
В настоящее время, для того чтобы фирма была конкурентоспособной в борьбе с ведущими фирмами, требуются совершенно новые подходы к организации производства и управления, чем те, на которые руководители ориентировались в прошлом. И прежде всего новые подходы нужны в инвестиционной политике, при проведении на предприятии технической реконструкции, в процессе внедрения новой техники и технологии.
Конкурентоспособность предприятия зависит от ряда факторов, которые можно считать компонентами (составляющими) конкурентоспособности. Их можно разделить на три группы факторов:
технико-экономические;
коммерческие;
нормативно-правовые.
Технико-экономические факторы включают: качество, продажную цену и затраты на эксплуатацию (использование) или потребление продукции или услуги. Эти компоненты зависят от производительности и интенсивности труда, издержек производства, наукоемкое(tm) продукции и пр.
Коммерческие факторы определяют условия реализации товаров на конкретном рынке. Они включают:
конъюнктуру рынка (острота конкуренции, соотношение между спросом и предложением данного товара, национальные и региональные особенности рынка, влияющие на формирование платежеспособного спроса на данную продукцию или услугу);
предоставляемый сервис (наличие дилерско-дистрибьютерских пунктов изготовителя и станций обслуживания в регионе покупателя, качество технического обслуживания, ремонта и других предоставляемых услуг);
рекламу (наличие и действенность рекламы и других средств воздействия на потребителя с целью формирования спроса);
имидж фирмы (популярность торговой марки, репутация фирмы, компании, страны).
Нормативно-правовые факторы отражают требования технической, экологической и иной (возможно, морально-этической) безопасности использования товара на данном рынке, а также патентно-правовые требования (патентной чистоты и патентной защиты). В случае несоответствия товара действующим в рассматриваемый период на данном рынке нормам и требованиям стандартов и законодательства товар не может быть продан на данном рынке. Поэтому оценка этой группы факторов и компонент с помощью коэффициента соответствия нормативам лишена смысла.
Высокая конкурентоспособность фирмы является гарантом получения высокой прибыли в рыночных условиях. При этом фирма имеет цель достичь такого уровня конкурентоспособности, который помогал бы ей выживать на достаточно долговременном временном отрезке. В связи с этим перед любой организацией встает проблема стратегического и тактического управления развитием способности предприятия выживать в изменяющихся рыночных условиях.
Управление конкурентоспособностью предполагает совокупность мер по систематическому совершенствованию изделия, постоянному поиску новых каналов его сбыта, новых групп покупателей, улучшению сервиса, рекламы.
Основой конкурентоспособности предприятия является конкурентоспособность его продукции.
Конкурентоспособность предприятия и его продукции
Конкурентоспособность продукции - это характеристика товара (услуги), отражающая его отличие от товара-конкурента как по степени соответствия конкретной потребности, так и по затратам на ее удовлетворение. Два элемента - потребительские свойства и цена - являются главными составляющими конкурентоспособности товара (услуги). Однако рыночные перспективы товаров связаны не только с качеством и издержками производства.
Причиной успеха или неудачи товара могут быть и другие (нетоварные) факторы, такие, как рекламная деятельность, престиж фирмы, предлагаемый уровень обслуживания.
И все же, как ни важны внепроизводственные аспекты деятельности фирм по обеспечению конкурентоспособности, основой являются качество и цена. Вместе с тем обслуживание на высшем уровне создает большую привлекательность. Исходя из этого, формулу конкурентоспособности можно представить в следующем виде:
Конкурентоспособность = Качество + Цена + Обслуживание.
Управлять конкурентоспособностью - значит обеспечивать оптимальное соотношение названных составляющих, направлять основные усилия на решение следующих задач: повышение качества продукции, снижение издержек производства, повышение экономичности и уровня обслуживания.
Указанные составляющие конкурентоспособности являются многофакторными, и каждая из них может рассматриваться как сложный самостоятельный объект управления. В частности, на величину издержек производства влияют стоимость и качество сырья, топлива, электроэнергии, покупных полуфабрикатов и комплектующих изделий, квалификация и уровень заработной платы производственного персонала, производительность труда, издержки управления и т.д. При этом в конечном счете возможность обеспечения необходимого уровня составляющих конкурентоспособность элементов определяется такими базовыми производственными факторами, как технический уровень производства, уровень организации производства и управления.
По существу, основа современной "философии успеха" заключается в подчинении интересов фирмы целям разработки, производства и сбыта конкурентоспособной продукции. На первый план ставится ориентация на долговременный успех и на потребителя. Безусловно, ориентация на потребителя выражает стремление фирмы обеспечить себе наиболее надежный путь к достижению и поддержанию высокой прибыли.
Финансовые результаты, например, многих японских компаний свидетельствуют, что именно эта философия в современных условиях ведет к обеспечению стабильного положения фирм на рынке, высокой рентабельности их деятельности. Поэтому руководители компаний рассматривают вопросы прибыльности с позиций качества, потребительских свойств продукции, конкурентоспособности.
Для анализа положения изделия на рынке, оценки перспектив его сбыта, выбора стратегии продаж используется концепция "жизненного цикла товара". Стратегия производства в зависимости от стадии жизненного цикла товара показана на 12.2.


Конкурентоспособность предприятия и его продукции

Одновременная работа с товарами, находящимися на различных стадиях жизненного цикла, под силу лишь крупным компаниям. Небольшие фирмы вынуждены идти по пути специализации, т.е. выбирают себе одно из следующих "амплуа":
фирма-новатор, занимающаяся прежде всего вопросами нововведений;
инжиниринговая фирма, разрабатывающая оригинальные модификации товара и его дизайн;
узкоспециализированный изготовитель - чаще всего субпоставщик относительно несложных изделий массового выпуска;
производитель традиционных изделий (услуг) высокого качества.
Как показывает опыт, небольшие фирмы особенно активно действуют в производстве товаров, проходящих стадии формирования рынка и ухода с него. Дело в том, что крупная фирма обычно неохотно идет первой на производство принципиально новой продукции. Последствия возможной неудачи для нее намного тяжелее, чем для небольшой вновь образованной фирмы. И если речь идет не о фундаментальных разработках в области технологии, а о доведении оригинальной идеи нового изделия до стадии материального воплощения, то она вполне под силу относительно небольшим фирмам-новаторам.
Именно они сегодня определяют инновационный процесс в развитых странах. Таким образом, специализация малых фирм на работе с товарами, находящимися на конкретных стадиях жизненного цикла, порождается стремлением фирмы наиболее эффективно использовать свой потенциал и обеспечить конкурентоспособность товара на рынке.
Согласно закону о конкуренции в мире происходит объективный процесс повышения качества продукции (услуг) и снижения их удельной цены, отражающей отношение цены товара к его полезному эффекту. В условиях конкуренции никто никого не заставляет повышать качество продукции, кроме угрозы банкротства. В результате постоянно идет процесс "вымывания" с рынка некачественной продукции.
Движущей силой конкуренции является стимул к нововведениям. Именно на основе нововведений удастся повышать качество продукции (услуг), улучшать полезный эффект товара, тем самым добиваться конкурентного преимущества данного товара. Таким образом, обеспечение конкурентоспособности товара требует новаторского, предпринимательского подхода, сутью которого являются поиск и реализация инноваций.




Кредитование имеет две разновидности


Его источниками в зависимости от организационно-правовых форм хозяйствования выступают акционерный капитал, паевые взносы членов кооперативов, отраслевые финансовые ресурсы (при сохранении отраслевых структур), долгосрочный кредит, бюджетные средства, Величина уставного фонда показывает размер тех денежных средств (основных и оборотных), которые инвестированы в процесс производства. Основными источниками финансовых ресурсов на действующих предприятиях выступают прибыль (от основной и других видов деятельности) и амортизационные отчисления. Наряду с ними источниками финансовых ресурсов выступают: выручка от реализации выбывшего имущества, устойчивые пассивы, различные целевые поступления и др.
При недостатке собственных средств предприятие может обратиться за кредитом. В зависимости от того, на какое время берется кредит, различают краткосрочные (до года), среднесрочные (от года до трех лет) и долгосрочные кредиты (от трех до пяти лет).
Кредитование имеет две разновидности.
кредитование деятельности хозяйствующего субъекта в форме прямой выдачи денежных ссуд (банковский кредит);
кредитование как разновидность расчетов, т.е. расчетов с рассрочкой платежей (торговый кредит).
Для получения кредита заемщик подает в банк (т.е. кредитору) заявку и другие требующиеся документы. В заявке указываются цель получения кредита, сумма и срок, на который испрашивается кредит. Другие документы устанавливаются конкретным банком-кредитором.
К ним обязательно относятся учредительные документы, карточки с образцами подписей и печати, баланс.
Получив документы, банк-кредитор оценивает кредитоспособность и платежеспособность заемщика. Затем заключается кредитный договор, который содержит вид, сумму и срок кредита, расчеты процентов и комиссионных вознаграждений банка за его расходы, связанные с выдачей кредита, вид обеспечения кредита и форму передачи кредита заемщику.
Важным условием выдачи кредита является его обеспечение. Обеспечение кредита это ценности, служащие для кредитора залогом полного и своевременного возврата должником полученной ссуды и уплаты процентов. Основными видами обеспечения кредита могут быть поручительство, гарантия, залог и страхование ответственности заемщика за непогашение кредита.
Поручителем или гарантом может являться любой хозяйствующий субъект (банк, предприятие, ассоциация и др.).
Банковский кредит выдается на конкретный срок под определенный кредитный процент. Кредит может выдаваться под долговое обязательство, именуемое векселем. Одна из форм банковского кредита состоит в том, что банк разрешает фирме расходовать деньги сверх суммы на ее расчетном счете.
Такой кредит называется овердрафтом, за него также уплачивается процент банку.
Следует отметить, что из-за высоких процентных ставок, действующих в настоящее время в России, пользование банковским кредитом для многих предприятий не представляется возможным. При острой необходимости в средствах пользуются в основном краткосрочным кредитом.
Торговый кредит, именуемый также коммерческим, заключается в том, что предприниматель приобретает товар с отсрочкой платежа. Это равносильно получению в долг от продавца товара суммы, равной стоимости товара. Предприниматель, приобретающий товар, обязуется согласно контракту, заключенному с поставщиком, вернуть ему стоимость полученного товара в определенный срок с выплатой процента за кредит, предоставленный в виде товара.
Торговым кредитом преимущественно пользуются оптовые покупатели товара, хотя не исключается его использование и при продаже в розницу. В этом случае принято говорить о покупке товаров с оплатой в рассрочку.
В условиях рыночной экономики получают развитие новые формы взаимоотношений предприятий и банков. Прежде всего, имеются в виду лизинг, факторинг, франчайзинг.
Лизинг форма долгосрочной аренды, связанная с передаче в пользование оборудования, транспортных средств и другого движимого и недвижимого имущества. Различают два вида лизинга: финансовый и операционный.
Финансовый лизинг предусматривает выплату арендатором в течение действия контракта сумм, покрывающих полную стоимость амортизации оборудования или большую ее часть, а так же прибыли арендодателя. По истечении срока действия контракта арендатор может:
вернуть объект лизинга арендодателю;
заключить новый контракт на аренду;
выкупить объект лизинга по остаточной стоимости.
Операционный лизинг заключается на срок, меньший амортизационного периода имущества. После окончания контракта объект лизинга возвращается владельцу или вновь сдается в аренду.
Применение лизинга связано с отделением владения имущества от его использования.
Преимущества лизинга заключаются в том, что лизинг позволяет хозяйствующему субъекту получить основные фонды и начать их эксплуатацию, не отвлекая деньги из оборота. Как видим, лизинг это эффективный способ финансирования для предприятий, не располагающих необходимыми средствами для капиталовложений в оснащение производства. Эта ситуация особенно характерна для малого бизнеса, как правило, имеющего ограниченные средства.
Важно и то, что основные фонды в течение всей сделки находятся на балансе лизинговой фирмы, а платежи ей относятся к текущим расходам хозяйствующего субъекта, т.е. включаются в себестоимость производимой продукции и соответственно уменьшают сумму прибыли, облагаемой налогом.
Факторинг можно определить как деятельность специализированного учреждения (факторинговой фирмы или факторингового отделения банка) по взысканию денежных средств с должников своего клиента (промышленной или торговой фирмы) и управлению его долговыми требованиями.
Факторинг особенно выгоден для предприятий малого и среднего бизнеса как форма финансирования, позволяющая руководству и сотрудникам сконцентрироваться на производственных проблемах и максимизации прибыли, ускоряющая получение большей части платежей, гарантирующая полное погашение задолженности и снижающая расходы по ведению счетов. Факторинг дает гарантию платежа и избавляет поставщиков от необходимости брать дополнительные и весьма дорогостоящие кредиты в банке. Все это благоприятно сказывается на финансовом положении предприятия.
Франчайзинг это система продажи лицензий (франшиз) на технологию и товарный знак. Система франчайзинга позволяет широко использовать ресурсы крупных предприятий для финансирования малого бизнеса.
Покупка франшизы выгодна, поскольку риск сравнительно мал. Вкладывая деньги во франшизу, вы приобретаете жизнеспособное предприятие, которое уже долгое время работало успешно. Лицензиар (фирма, предоставляющая франшизу) может сдать в аренду основные фонды, предложить финансирование. Помимо предоставления финансовой и консультативной помощи лицензиар, как правило, обучает нового предпринимателя методам управления фирмой.
Многие лицензиары предлагают консультации по вопросам рекламы, налогов и другим проблемам бизнеса, а также по руководству повседневной деятельностью предприятия, работающего на основе франшизы.
Для финансирования крупными фирмами малых фирм-новаторов, занимающихся, прежде всего, вопросами нововведений, обычно используется венчурный (рисковый) капитал. Дело в том, что крупная фирма обычно неохотно идет первой на производство принципиально новой продукции. Последствия возможной неудачи для нее намного тяжелее, чем для небольшой фирмы.
Поэтому главным направлением участия крупной фирмы в исследованиях вероятного характера, связанных с разработкой и освоением принципиально новых товаров, становится осуществление так называемого рискового финансирования небольших фирм, специализирующихся на подобных разработках.
Как уже отмечалось ранее, для малых фирм характерны простота управления, широкий простор личной инициативы, возможность проведения гибкой научно-технической политики, активное привлечение к своей деятельности изобретателей.




Малые предприятия важное условие развития национальной экономики


Предприниматель должен быть уверен, что эти условия выполнимы. Для этого предприниматель должен провести тщательный маркетинг, направленный на анализ рынка ряда товаров и услуг и на выработку прогнозной оценки конъюнктуры рынка, т.е. какие товары и услуги будут пользоваться наибольшим спросом, каковы будут цены покупки и реализации. Эти шаги составят вторую стадию технологии. Зная предварительную прогнозную оценку движения товаров и услуг, предприниматель вырабатывает для себя конкретный план действий (бизнес-план). В нем определяются мероприятия по проведению сделки купли-продажи, делаются расчеты цен по закупке и продаже товара, затрат и результатов. В нем также определяются необходимое количество работников, объем транспортных работ, проведение рекламной кампании, работ по оформлению коммерческих документов.
В бизнес-плане также рассматриваются:
закупка товаров для последующей продажи;
получение услуг от сторонних организаций и их оплата;
наем помещений и складов для хранения, торговых точек для реализации;
формы реализации товара;
обоснование получения кредитов или других заемных средств;
выплата налогов и платежей государственным и местным финансовым органам.
Важно, чтобы многие мероприятия были увязаны по срокам и исполнителям. На основе бизнес-плана рекомендуется проводить укрупненные балансовые оценочные расчеты, на основании которых предприниматель может получить представление о выгодности или убыточности сделки.

Финансовое предпринимательство

Малые предприятия важное условие развития национальной экономики

Финансовое предпринимательство является разновидностью коммерческого предпринимательства, поскольку объектом его купли-продажи выступает специфический товар: деньги, валюта, ценные бумаги (акции, облигации, векселя, ваучеры и т.д.), т.е. происходит продажа одних ценных бумаг на другие по ценам, обеспечивающим получение прибыли.
С переходом к рыночным отношениям рынок денег, валюты и ценных бумаг становится реальностью, его участниками выступают коммерческие банки, фондовые биржи, предприятия, организации и физические лица-предприниматели. Поскольку финансовое предпринимательство - это разновидность коммерческого, то технология финансовой предпринимательской сделки аналогична технологии коммерческой сделки с той лишь разницей, что товаром являются финансовые активы.
Предприниматель, вступающий в этот вид бизнеса, начинает свою деятельность с анализа рынка ценных бумаг и маркетинговой деятельности. Последняя связана с поиском и привлечением потенциальных покупателей денег, валюты и ценных бумаг. Одновременно с этим он устанавливает источник получения денег, валюты и ценных бумаг. В данном случае первичным обладателем "финансового товара" может быть сам предприниматель (им ранее были накоплены деньги, валюта, ценные бумаги).
Он выступает как бы в роли продавца или ростовщика, предоставляющего деньги, валюту и другое потребителю взаймы за определенную плату или под определенный процент.
Еще одной формой финансового предпринимательства является своеобразная эмиссия ценных бумаг, таких, как собственные акции, облигации, кредитные билеты, коммерческие ценные бумаги (денежные обязательства, векселя). Ценные бумаги предприниматель продает, размещает при определенных условиях и обязательствах о качестве "финансового товара". Эту форму предпринимательства ведут, как правило, предприятия, банки, а не отдельные предприниматели.
Наиболее распространенной формой является покупка ценных бумаг самим предпринимателем. Смысл ее состоит в том, что предприниматель покупает деньги, валюту, ценные бумаги за определенную сумму (Дф), а затем продает их другому покупателю за большую сумму (Дв) (разница между Дв и Дф дает доход).
Если у предпринимателя нет денег для покупки ценных бумаг, то он осуществляет покупку в кредит либо обращается в банк за кредитом (Дк).
Финансовое предпринимательство, как никакой другой вид предпринимательства, нуждается в наличии достоверной информации, в обеспечении вычислительной и организационной техникой. За все предприниматель должен платить сам. При проведении финансово-кредитной сделки он предоставляет потребителю свои деньги, валюту, ценные бумаги в долг (в кредит), а через определенное время получает большую сумму на определенный процент.
При этой сделке предприниматель должен особое внимание уделить проверке финансовой состоятельности покупателя, установить гаранта, который поручается за покупателя.
Считается, что финансовая сделка целесообразна, если при ее продолжительности сроком до одного года расчетная чистая прибыль составляет не менее 5% объема сделки (денежной выручки), а при долговременных сделках этот процент повышается до 10-15%.

14.3. Малые предприятия важное условие развития национальной экономики
Малые предприятия важное условие развития национальной экономики

Предпринимательство, как указывалось ранее, является важнейшим фактором экономического развития предприятия. Но оно также оказывает большое влияние и на развитие национальной экономики. Последнее объясняется тем, что предпринимательство, исходя из его сущности (стремление каждого гражданина улучшить свое материальное положение), рождает массовое явление в форме развития малого и среднего бизнеса.
Структура национальных экономик стран с рыночной системой хозяйствования подтверждает это положение полностью 9табл. 14.1).

Таблица 14.1

Распределение различных размеров предприятий в ряде стран, %


Доля пред-
приятий
США
Франция
Япония
крупные
малые
средние
крупные
малые
средние
крупные
малые
средние
В общем коли-
честве пред-
приятий
0,5
7,9
91,6
0,1
1,3
98,4
1,4
21,6
77
В объеме промыш-
ленной продук-
ции
35
28,4
36,6
42,1
19,1
38,8
34,4
30,1
35,5
Примечание. К крупным предприятиям относятся предприятия с числом занятых от 1 тыс. и более человек. К средним от 100 до 1000 человек.
К малым до 100 человек.

Роль малых предприятий в экономике страны довольно велика, и эта тенденция не только сохраняется, но даже усиливается. Это происходит под воздействием ряда факторов, действующих порой противоречиво. Так, развитие технологий, науки предполагает, с одной стороны, наличие крупных предприятий (поскольку требуются большие капиталовложения), а с другой стороны, это ведет к сокращению рабочих мест на крупных предприятиях, а следовательно, к увеличению безработицы.
В конечном итоге это вызывает сокращение потребительского спроса и ведет к увеличению социальной напряженности.
В то же время развитие технологий, науки и техники вызывает необходимость постоянного качественного изменения спроса, на которое не могут оперативно реагировать крупные предприятия в силу инертности производства из-за его громоздкости. Это могут сделать малые предприятия в силу гибкости и быстроты принятия решения, поскольку хозяину легче проконтролировать производственный процесс и быстро его переналадить исходя из изменений спроса на рынке.
Но самая важная значимость малых предприятий заключается в решении ряда, социальных аспектов. Малые предприятия создают условия для увеличения рабочих мест. Это подтверждается и современным характером экономического развития промыш-ленно развитых стран. В США, например, начиная с конца 60-х и особенно в 70-е гг., центр создания рабочих мест переместился из крупных компаний в сектор малого бизнеса. В США ежегодно создается 600 000 новых предприятий, что в 7 раз больше, чем в 50-е и 60-е гг.
Из 40 млн рабочих мест, созданных с 1965 г., на долю высокой технологии приходится не более 5-6 млн человек. На каждые 100 новых предприятий с новой технологией приходится одно или два рабочих места.
Кроме того, в условиях повышения общей образованности населения все больше граждан стремится к более полному проявлению своих личных индивидуальных способностей. Этого можно достигнуть главным образом за счет открытия собственного дела, своего бизнеса, которое им по душе и отвечает их наклонностям. В конечном итоге это также вызывает необходимость развития малых предприятий.
Таким образом, из изложенного следует, что малые предприятия не являются "побочным" продуктом перехода экономики в новое качество, т.е. к рынку. Они являются неотъемлемой частью социально-экономической системы страны, обеспечивая:
во-первых, стабильность рыночных отношений, поскольку значительная часть населения втягивается в эту систему отношений (по мнению зарубежных ученых, стабильность системы обеспечивается при условии, когда 20-30% граждан страны имеют свое собственное дело);
во-вторых, они обеспечивают необходимую мобильность в условиях рынка, создают глубокую специализацию и разветвленную кооперацию производства, без которых немыслима его высокая эффективность. В конечном итоге это ведет к динамичности хозяйственного развития и экономическому росту национальной экономики;
в-третьих, изменяющейся роли малых предприятий в деятельности крупных и средних предприятий.
Если в прошлом малые предприятия создавались, как результат стремления каждого открыть свое собственное дело, то в настоящее время в большинстве случаев создание малых предприятий инициируется крупными компаниями, которые поручают им вести отдельные виды производства или устанавливать тесные связи с рынком.
Малые предприятия по поручению крупных компаний или с их помощью часто ведут научные разработки. Причем такая связь просматривается не только в промышленности, но и в других сферах деятельности (торговля, медицина, образование и т.д.). Все это подтверждается многочисленными примерами, взятыми из развития многих стран. Например, в США такие гиганты в розничной торговле, как "C.Penny" и "Seaes", контактируют с тысячами малых предприятий, чтобы обеспечить их продуктами для реализации. Сотрудничество дает возможность этим гигантам не только выйти на миллионы потребителей через розничную сеть различных лавок и магазинов, но и чутко улавливать изменение спроса потребителей.
Такие промышленные корпорации, как "Форд" и "Крайслер", покупают отдельные компоненты для своих автомобилей у многих малых предприятий.
Крупным компаниям экономически выгодно поручать малым предприятиям производство изделий, требующих приложения высокопрофессионального мастерства, нежели делать их самим. Часть мелких и средних предприятий включена через контрактную и субконтрактную системы, через систему "франчайзинг" в монополистические производственные комплексы; большие компании являются клиентами малых фирм, а последние - поставщиками для больших фирм.
Опыт работы небольших предприятий в США показывает ряд особенностей их развития. Им присущи высокая маневренность производства по сравнению с крупными предприятиями, чуткое реагирование на спрос потребителей, способность к быстрому внедрению новой техники и технологии, лучшее использование производственных мощностей и др.
Согласно статистическим данным мелкий наукоемкий бизнес в США дает примерно 50% всех промышленных новшеств, в том числе 95% радикальных изобретений (калькулятор, ксерография, искусственный инсулин, гибкие контактные линзы, персональный компьютер, полароидная фотография и др.).
На доллар затрат на НИОКР они создают в 24 раза больше нововведений, чем гигантские концерны. Скорость прохождения всех этапов НИОКР на малых предприятиях на 1/3 выше (2 года с выходом на рынок, а в крупных - 3 года). Затраты на одного инженера или ученого на малых предприятиях вдвое ниже, чем в корпорациях.
Малое предприятие тесно связано с корпорациями не только по линии производственных связей, развития новых технологий, но и по организации сбыта продукции, выпускаемой крупными предприятиями, а также обеспечения их сырьем и оборудованием. Это объясняется тем, что крупным предприятиям не всегда выгодно создавать у себя специализированные службы по сбыту продукции и снабжению. Эту функцию выполняют многочисленные малые предприятия в лице оптово-торговых фирм. Причем особенностью их развития, к примеру в США, является отраслевая специализация. Почему отраслевая?
Это связано с тем, что именно при ней оптовики имеют дело с четко очерченным кругом покупателей и продавцов и концентрируют свою деятельность на изучении и обслуживании определенных товарных рынков. Кроме того, в каждой отрасли, как показывает опыт США, должно быть, как и среди производителей, не менее 10-15 конкурирующих фирм, имеющих приблизительно одинаковую товарную специализацию. В противном случае никакой конкуренции не будет, а, следовательно, все преимущества рыночного оборота будут подорваны.
В реформировании российской экономики еще со времен перестройки малые предприятия взяли на себя роль создателя почвы для новой системы хозяйствования. Доминирующий сегодня частный сектор зарождался именно в сфере малого предпринимательства.
Вполне закономерно, что к настоящему времени, по официальным данным, на долю частных субъектов малого предпринимательства в общем количестве частных, государственных и муниципальных, а также общественных малых предприятий приходится 84%. Малые предприятия, располагая 3,4% стоимости основных средств экономики России и 14% числа занятых, производят 10% ВВП и дают 1/3 прибыли по народному хозяйству. Это говорит о широких, но еще далеко не полностью раскрытых внутренних возможностях развития малого предпринимательства.




Налог на добавленную стоимость



Продолжение


АКТИВ
Код строки
На начало отчетного периода
На конец отчетного периода
II. ОБОРОТНЫЕ АКТИВЫ



Запасы
210


в том числе:



сырье, материалы и другие аналогич-



ные ценности (10, 12, 13, 16)
211


животные на выращивании и откорме



(11)
212


затраты в незавершенном производстве



(издержках обращения) (20, 21, 29, 30,



36, 44)
213


готовая продукция и товары для пере-



продажи (16, 40, 41)
214


товары отгруженные (45)
215


расходы будущих периодов (31)
216


прочие запасы и затраты
217


Налог на добавленную стоимость по приоб-



ретенным ценностям (19)
220


Дебиторская задолженность (платежи по



которым ожидаются более чем через 12



месяцев после отчетной даты)
230


в том числе:



покупатели и заказчики (62, 76, 82)
231


векселя к получению (62)
232


задолженность дочерних и зависимых



обществ (72)
233


авансы выданные (61)
234


прочие дебиторы
235


Дебиторская задолженность (платежи по



которой ожидаются в течение 12 месяцев



после отчетной даты)
240


в том числе:



покупатели и заказчики (62, 76)
241


векселя к получению (62)
242


задолженность дочерних и зависимых-



обществ (78)
243


задолженность участников (учредите-



лей) по взносам в уставный капитал



(75)
244


авансы выданные (61)
245


прочие дебиторы
246



Продолжение


АКТИВ
Код строки
На начало отчетного периода
На конец отчетного периода
Краткосрочные финансовые вложения (56,



58. 82)
250


в том числе:



займы, предоставленные организациям на



срок менее 12 месяцев
251


собственные акции, выкупленные у ак-



ционеров
252


прочие краткосрочные финансовые вло-



жения
253


Денежные средства
260


в том числе:



касса (50)
261


расчетные счета
262


валютные счета
- 263


прочие денежные средства (55, 56, 57)
264


Прочие оборотные активы
270


Итого по разделу II
290


БАЛАНС (сумма строк 190+ 290)
300


ПАССИВ



Ш. КАПИТАЛ И РЕЗЕРВЫ



Уставный капитал (85)
410


Добавочный капитал (87)
420


Резервный капитал (86)
430


в том числе:



резервные фонды, образованные в со-



отсутствии с законодательством
431


резервы, образованные в соответствии



с учредительными документами
432


Фонд социальной сферы (88)
440


Целевые финансирование и поступления (96)
450


Нераспределенная прибыль прошлых лет



(88)
460


Непокрытый убыток прошлых лет (88)
465


Нераспределенная прибыль отчетного года
470


Непокрытый убыток отчетного года (88)
475


Итого по разделу III
490



Продолжение


ПАССИВ
Код строки
На начало отчетного периода
На конец отчетного периода
IV. ДОЛГОСРОЧНЫЕ



ОБЯЗАТЕЛЬСТВА



Заемные средства (92, 95)
510


в том числе:



кредиты банков, подлежащие погаше-



нию более чем через 12 месяцев после



отчетной даты
511


прочие займы, подлежащие погашению



более чем через 12 месяцев после от-



четной даты
512


Прочие долгосрочные обязательства
520


Итого по разделу IV
590


V. КРАТКОСРОЧНЫЕ



ОБЯЗАТЕЛЬСТВА



Заемные средства (90,94)
610


в том числе:



кредиты банков, подлежащие погаше-



нию в течение 12 месяцев после отчет-



ной даты
611


займы, подлежащие погашению в тече-



ние 12 месяцев после отчетной даты
612


Кредиторская задолженность
620


в том числе:



поставщики и подрядчики (60,76)
621


векселя к уплате (60)
622


задолженность перед дочерними и за-



висимыми обществами (78)
623


задолженность перед персоналом opra-



низации (70)
624


задолженность перед государственны-



ми внебюджетными фондами (69)
625


задолженность перед бюджетом (68)
626


авансы полученные (64)
627


прочие кредиторы
628


Задолженность участникам (учредителям)



по выплате доходов (75)
630


Доходы будущих периодов (83)
640


Резервы предстоящих расходов и платежей



(89)
650


Прочие краткосрочные обязательства
660


Итого по разделу V
690


БАЛАНС (сумма строк 490 + 590 +690)
700



Баланс зеркало финансового состояния предприятия, он позволяет оценить его платежеспособность, финансовую устойчивость, степень зависимости от кредиторов. Он характеризует состав имущества, которым располагает предприятие, соотношение основного и оборотного капитала, структуру оборотного капитала.
В годовом балансе все показатели приводятся по состоянию на начало и конец года, например, в балансе за 2001 год на 1 января и на 31 декабря 2001 года.
Основным элементом бухгалтерского баланса является балансовая статья, которая соответствует виду (наименованию) имущества, обязательства, источнику формирования имущества. Статьей бухгалтерского баланса называется показатель (строка) актива и пассива баланса, характеризующий отдельные виды имущества, источников его формирования, обязательств предприятия.
Балансовые статьи объединяются в группы, группы в разделы. Объединение балансовых статей в группы или разделы осуществляется исходя из их экономического содержания.
Активы баланса представляют собой экономические ресурсы, которые могут использоваться предприятием в своей деловой активности, и достижения финансово-экономических результатов деятельности.
Активы подразделяются на текущие и долгосрочные. Текущие активы предназначены для использования на срок, не превышающий один год, либо в течение одного оперативного цикла предприятия (денежные средства, запасы сырья и материалов, готовая продукция, дебиторская задолженность и др.). Долгосрочные активы рассчитаны на использование в течение срока, превышающего один год (основные средства, нематериальные активы, капитальные вложения и др.).
Активы должны отвечать двум требованиям: находиться во владении предприятия и иметь денежное выражение.
Пассив баланса представляет собой перечень источников формирования активов и включает в себя как собственные источники (капитал и резервы), так и источники, временно находящиеся в распоряжении предприятия (долгосрочные и краткосрочные обязательства организации). Деление на долгосрочные и краткосрочные пассивы по срокам аналогично делению на долгосрочные и краткосрочные активы. К долгосрочным пассивам относят кредиты банков и прочие займы, подлежащие погашению более чем через год после отчетной даты.
Краткосрочные пассивы включают заемные средства на срок до одного года, кредиторскую задолженность и пр.
Задолженность дебиторская это выраженная в денежной форме задолженность клиентов перед предприятием по отгруженным им товарам, предоставленным услугам.
Задолженность кредиторская это стоимостное выражение обязательств предприятия перед своими поставщиками за полученные товары и услуги, а также перед иными лицами (налоговыми органами, своими сотрудниками, банками и т.п.).
Баланс предприятия дает возможность рассчитывать и анализировать важнейшие показатели в динамике и характеризовать тенденцию изменений имущественного и финансового состояния предприятия.
Финансовое состояние предприятия комплексное понятие, которое характеризуется системой показателей, отражающих наличие, размещение и использование ресурсов, финансовую устойчивость предприятия, ликвидность баланса. Отчетность позволяет определить общую стоимость имущества предприятия, стоимость иммобилизованных (т.е. основных и прочих внеоборотных) средств, стоимость мобильных (оборотных) средств, материальных оборотных средств, величину собственных и заемных средств предприятия.
По данным бухгалтерской отчетности устанавливается излишек или недостаток источников средств для формирования запасов и затрат, при этом имеется возможность определить обеспеченность предприятия собственными, кредитными и другими заемными источниками.
Баланс представляет собой как бы фотоснимок предприятия и отражает состояние его финансов на определенную дату. Хотя сам по себе баланс не может характеризовать деятельность предприятия, но сравнение данных балансов на различные даты позволяет проанализировать изменения в финансово-экономическом состоянии предприятия и хотя бы косвенно оценить эффективность его производственно-хозяйственной деятельности.

Вопросы для повторения
1. Какие издержки относятся к постоянным и переменным?
2. В чем состоит сущность предельных издержек производства?
3. Назовите основные направления снижения издержек производства.
4.



Норма амортизации


С одной стороны, слишком высокая доля отчислений увеличивает величину издержек производства, а следовательно, снижает конкурентоспособность продукции, уменьшает объем получаемой прибыли и поэтому сокращает диапазон возможностей предприятия по его экономическому уровню развития. С другой стороны, заниженная доля отчислений удлиняет срок оборачиваемости средств, вложенных в приобретение основных фондов, а это ведет к их старению и, как следствие этого, снижению конкурентоспособности, потере своих позиций на рынке.
Таким образом, величина амортизационных отчислений является функцией многих переменных.
В амортизационной политике государства произошли существенные изменения, отвечающие требованиям сегодняшнего дня. Согласно Положению по бухгалтерскому учету "Учет основных средств" (ПБУ 6/97), утвержденному приказом Министерства финансов РФ от 03.09.97 г., предприятие получило право самостоятельно определять срок полезного использования приобретаемых основных фондов.
ПБУ 6/97 вводит следующие способы начисления амортизации:
линейный;
уменьшаемого остатка;
списание стоимости по сумме чисел лет срока полезного использования;
начисление амортизации пропорционально объему продукции (работ, услуг).
Предприятие может одновременно применять несколько способов начисления амортизации применительно к различным группам объектов основных средств, например, по рабочим машинам линейный способ, по вычислительной технике способ уменьшаемого остатка и т.п. При этом принятый способ начисления амортизации нельзя менять в течение всего срока полезного использования объекта основных средств (машины, компьютеры и др.). Выбранные способы амортизации входят в учетную политику предприятия.
При линейном способе годовая сумма амортизации определяется по первоначальной стоимости объекта основных средств и принятой норме амортизации, исчисленной исходя из срока полезного использования этого объекта.
Норма амортизации это установленный в процентах размер амортизационных отчислений по каждому виду основных фондов за год. Норма амортизации (Н) определяется по формуле


Норма амортизации


где Фп первоначальная стоимость основных фондов, руб.;
Т нормативный срок службы данного вида основных фондов, лет.
Так, если первоначальная стоимость станка 40 тыс. руб., срок его полезного использования 5 лет, то годовая норма амортизации составит:


Норма амортизации


Годовая сумма амортизационных отчислений (А) составит:


Норма амортизации


При способе уменьшаемого остатка годовая сумма амортизационных отчислений определяется исходя из остаточной стоимости основных средств на начало отчетного года и нормы амортизационных отчислений на основе срока полезного использования объекта. Таким образом, в первый год эксплуатации списывается относительно большая часть стоимости, далее темп списания замедляется.
При способе списания стоимости по сумме чисел лет срока полезного использования годовая сумма амортизационных отчислений определяется исходя из первоначальной стоимости объекта и годового соотношения, где в числителе -- число лет, остающихся до конца срока службы объекта, а в знаменателе - сумма чисел лет срока службы объекта.
Так, при первоначальной стоимости станка 40 тыс. руб. и сроке его полезного использования 5 лет сумма чисел лет срока службы составляет:

5+ 4+ 3+ 2+ 1 = 15 лет.

Начисление амортизации по годам использования объекта составило.
1-й год: 5/15 = 33,3%; 40 тыс. руб. 33,3% = 13,32 тыс. руб.;
2-й год: 4/15 =26,7%; 40 тыс. руб.. 26„7% = 10,68 тыс. руб. и т.д.
При начислении амортизации пропорционально объему продукции исходят из натурального показателя объема продукции в отчетном периоде и соотношения первоначальной стоимости объекта и предполагаемого объема продукции за весь срок использования объекта.
По наиболее эффективным видам основных средств„перечень которых определяется отраслевыми органами, министерствами, предприятиям разрешена ускоренная амортизация, т.е. начисление амортизации по повышенным нормам (но не более, чем вдвое). Малым предприятиям разрешена ускоренная амортизация по всем основным фондам со сроком службы более трех лет. В то же время на некоторых предприятиях начисление амортизации даже по действующим нормам приводит к низкой рентабельности и даже убыточности их продукции.
Поэтому с 1 октября 1998 г. предприятиям разрешена замедленная амортизация, т.е. начисление амортизации по заниженным нормам. Применение повышенных или пониженных норм амортизации должно быть предусмотрено в учетной политике предприятия, определяемой его руководителем на ряд лет, но не менее, чем на год.

6.4. Показатели использования основных производственных фондов
Учет и оценка основных производственных фондов (ОПФ) позволяют судить об их количественной доле в общем составе элементов экономики предприятия. Суждение же о том, как хозяйствование этими фондами (качественная сторона) влияет на изменение его экономики и структуры, можно получить только из рассмотрения системы показателей.
Первая группа обобщающие показатели, позволяющие судить о степени использования основных фондов. Наиболее важный из них фондоотдача (Фо). Он определяется по формуле


Норма амортизации
,

где В годовая выручка от реализации продукции, руб.;
Ф среднегодовая стоимость основных производственных фондов, руб.
Фондоотдача показывает, какова общая отдача от использования каждого рубля, вложенного в ОПФ, т.е. насколько эффективно это вложение средств.
Среднегодовая стоимость ОПФ определяется по формуле:


Норма амортизации


Ф1 стоимость ОПФ на начало года, руб.;
Фв стоимость вводимых в течение года ОПФ, руб.;
Фвыб стоимость выбывающих в течение года ОФП, руб.;
К количество полных месяцев функционирования ОПФ в течение года.
Обратной величиной фондоотдачи является показатель фондоемкости продукции (Фе), которым характеризуется стоимость основных фондов, приходящихся на единицу продукции, руб.:


Норма амортизации


Рост показателя фондоотдачи и снижение фондоемкости продукции свидетельствуют об улучшении использования основных фондов и наоборот.
Коэффициент износа (Ки) различных видов или групп основных фондов рассчитывается следующим образом:


Норма амортизации


где Зи стоимость износа тех же основных фондов, что и при расчете Ки;
Фп первоначальная стоимость всех или отдельных видов, групп основных фондов.
Вторая группа показатели, позволяющие судить и оценивать состав и структуру основных фондов.
Коэффициент обновления основных фондов (Кобн) рассчитывается так:


Норма амортизации


где Фввед стоимость вновь введенных основных фондов за определенные период;
Фкг стоимость основных фондов на конец того же периода.
Коэффициент выбытия основных фондов (Квыб) определяется следующим образом:


Норма амортизации


где Фвыб стоимость выбывающих основных фондов за определенные период;
Фнач стоимость основных фондов на начало того же периода.
Коэффициент прироста основных фондов (Крост) рассчитывается по формуле:


Норма амортизации


где Фвыб стоимость выбывших основных фондов за определенный период.
Для повышения эффективности использования основных фондов необходимо повышение степени их загрузки, особенно их активной части, обновление фондов (об этом можно судить по изменению вышеназванных коэффициентов), использование прогрессивного оборудования, современных технологий и квалифицированных работников, совершенствование организации и управления производством.




Нормирование оборотных средств


Отсюда легко определяется и показатель средней продолжительности одного оборота в днях. Особенность этого показателя по сравнению с коэффициентом оборачиваемости в том, что он не зависит от продолжительности того периода, за который был вычислен.
Например, 2 оборотам средств в каждом квартале года будут соответствовать 8 оборотов в год при неизменной продолжительности одного оборота в днях.
В практике финансовых расчетов при исчислении показателей оборачиваемости для некоторого их упрощения принято считать продолжительность любого месяца, равную 30 дням, любого квартала - 90 дням и года - 360 дням. Продолжительность же оборота в днях всегда может быть исчислена по формуле


Нормирование оборотных средств


где Коб - коэффициент оборачиваемости;
Т - продолжительность периода, за который определяются показатели дней (Т = 30; 90; 360).
После подстановки в формулу соответствующих величин получим для определения продолжительности оборота в днях (Д) развернутое выражение, связывающее все исходные величины:


Нормирование оборотных средств


Смысл этой формулы в том, что, поскольку величина Т заранее дана в условии задачи, с ее помощью по известным двум величинам всегда можно определить третью. Именно поэтому она широко применяется в практике всевозможных финансовых и плановых расчетов.
В рассмотренном выше примере имеем: Д = 360 : 5 = 72 дням (иначе 360 40 : 200 = 72). Из приведенной формулы вытекает, что в нее включен еще один показатель, характеризующий скорость оборота оборотного капитала, - среднесуточный оборот капитала.


Нормирование оборотных средств


Это позволяет определить продолжительность оборота в днях:


Нормирование оборотных средств


а также определить величину коэффициента закрепления оборотных средств.
Этот коэффициент - величина, обратная коэффициенту оборачиваемости


Нормирование оборотных средств


а его экономический смысл в том, что он характеризует сумму среднего остатка оборотных средств, приходящегося на 1 руб. выручки от реализации.
В рассмотренном примере Кз = 40 /200= 0,20. Эту величину можно интерпретировать следующим образом: на 1 руб. выручки от реализации продукции в среднем за рассматриваемый период приходилось 20 коп. стоимости запасов оборотных средств.
Эффект ускорения оборачиваемости оборотных средств выражается в высвобождении, уменьшении потребности в связи с улучшением их использования.
Эффективность использования предметов труда можно оценить показателем материалоемкости (ME) продукции, который определяется как отношение

Нормирование оборотных средств


где М - затраты сырья, топлива, материалов, энергии и др.;
П - объем производства.
Обратный показатель называется материалоотдачей (МО) и рассчитывается по формуле


Нормирование оборотных средств


Чем лучше используются сырье, материалы и другие материальные ресурсы, тем ниже материалоемкость и выше материалоотдача. Для снижения материалоемкости продукции необходимо улучшать использование предметов труда, сокращать отходы, не выпускать бракованных и низкокачественных изделий, не допускать потерь материальных ресурсов, использовать более дешевые заменители ресурсов, не снижающие качества продукции.
Оборотные средства после основных фондов занимают по своей величине второе место в общем объеме ресурсов, определяющих экономику предприятия. С позиции требований эффективного ведения экономики предприятия объем оборотных средств должен быть достаточным для производства продукции в ассортименте и количестве, запрашиваемом рынком, и в то же время минимальным, не ведущим к увеличению издержек производства за счет образования сверхнормативных запасов.
Достаточность оборотных средств устанавливается на основе нормирования расхода оборотных средств по каждому виду продукции, а также определения оптимального объема текущего складского и гарантийного (страхового) запаса, необходимого для обеспечения непрерывности производства.
На основе определения как общего количества товарно-материальных ценностей, так и каждого вида продукции рассчитывается необходимый объем оборотных средств. Особенность их определения состоит в том, что их величина зависит не только от объема оборотных фондов, но и от времени отвлечения денежных средств, необходимых для обеспечения непрерывности производства. Это достигается путем их нормирования.

7.3. Нормирование оборотных средств
Исходным моментом нормирования является установление общей величины оборотных средств, необходимой для непрерывного функционирования предприятия. Для этого необходимо исходить из ряда условий.
Во-первых, величина оборотных средств должна быть оптимальной. Иными словами, с одной стороны, она должна быть достаточной для закупки в нужном количестве и определенного качества сырья и материалов, топлива, необходимых для обеспечения выпуска продукции в ассортименте, количестве и в сроки поставок в соответствии с требованиями рынка, а с другой обеспечить непрерывность производственного процесса.
Во-вторых, при определении данной величины следует учитывать время, необходимое на отвлечение средств, оформление заказов, оплату счетов, хранение материальных ценностей, обеспечивающих непрерывность производства, на хранение готовой продукции, формирование партий для ее отправки потребителям, проведение рекламы и расходы по реализации продукции.
Общая величина оборотных средств рассчитывается на основе заранее установленных норм и нормативов потребности в оборотных средствах. По каждому из видов запасов они разрабатываются самим хозяйствующим субъектом в строгом соответствии со сметами затрат на производство и непроизводственные нужды, бизнес-планом.
Норма оборотных средств определяет величину запаса и задела в днях и разрабатывается на ряд лет. Иными словами, она отражает количество дней, в течение которых оборотные средства (деньги) «связаны» в материальных запасах начиная с оплаты счетов за материалы и передачи в производство и кончая передачей готовой продукции на склад для реализации.
Норма оборотных средств рассчитывается по каждому запасу: производственному, незавершенному производству и готовой продукции. Наибольшая часть (85-90%) оборотных средств приходится на создание производственных запасов.
Для удобства планирования, регулирования и контроля за образованием и расходованием оборотных средств по созданию производственных запасов последние обычно подразделяются на текущие, страховые (гарантийные), подготовительные и сезонные. Различие между ними состоит в той роли, которую они выполняют в процессе функционирования производства. Например, текущие запасы обеспечивают непрерывное функционирование производственного процесса; страховой (гарантнйный) запас создается на случай непредвиденных обстоятельств (задержка в поставках сырья и материалов, поставка некачественного сырья и т.д.).
Страховой запас устанавливается, как правило, в размере 30 50% текущего складского запаса.
Сезонным называется запас, обеспечивающий непрерывность производства при сезонном поступлении и потреблении материалов. Его особенность состоит в том, что время его действия ограничено и определяется периодом сохранения полезных веществ в сырье (свекла, виноград, томаты и т.д.). Отсюда вытекают и особые требования к сохранению такого сырья и методам его переработки.
Особенность разработки норм оборотных средств состоит в том, что они являются средними нормами запаса в днях. Средняя норма оборотных средств определяется как средневзвешенная величина норм оборотных средств на отдельные виды сырья, материалы, покупные полуфабрикаты и их однодневного расхода. Норма оборотных средств по каждому виду сырья и материалов или их однородной группе учитывает время их пребывания в текущем, страховом, транспортном, технологическом запасах, а также время, необходимое для выгрузки, доставки, приемки и складирования.
При определении нормы оборотных средств на готовую продукцию на складе учитывается время на подборку и подсортировку изделий по заказам, упаковку и маркировку продукции, накопление ее до размера партии отгрузки, доставки на станцию, пристань или в аэропорт.
Вместе с тем нормы оборотных средств отражают только время (продолжительность) отвлечения средств (денег), их «связанность» в материальных запасах. Но они ничего не говорят о величине данных средств. Это устанавливается с помощью нормативов, представляющих собой минимальную сумму денежных средств, необходимую любой производственной структуре для осуществления непрерывной хозяйственной деятельности.
Норматив рассчитывается на основе нормы запаса оборотных средств (в днях), умноженной на однодневный расход товарно-материальных ценностей (в руб.) по соответствующим видам оборотных средств.
Если норма запаса оборотных средств устанавливается на несколько лет (это связано с относительной неизменностью технологии переработки сырья, устоявшимися связями с поставщиками сырья и материалов и т.д.), то нормативы оборотных средств уточняются ежегодно. Это обусловливается необходимостью учета происходящих изменений в ценах на рынке сырья и материалов, а также изменениями в объеме производства продукции, ее ассортименте.
При уточнении нормативов нужно обратить внимание на уровень их «напряженности», так как при установлении прироста норматива следует исходить из ускорения оборачиваемости оборотных средств и экономии материальных ресурсов.



Однодневный расход сырья и материалов


Это означает, что при их уточнении следует разрабатывать мероприятия по ускорению оборачиваемости оборотных средств (сокращение сроков обработки и прохождения документов, установление оптимальных объемов поставок сырья и материалов, уменьшение сверхнормативных запасов) и экономии материальных ресурсов (путем внедрения передовых технологий, комплексной переработки сырья). Таким образом, зная норму оборотных средств в днях и однодневный расход товарно-материальных ценностей в рублях, можно рассчитать норматив оборотных средств в запасах и в отдельных его видах. Покажем это на условном примере.
1. Определение норматива оборотных средств текущего запаса.
Расход сырья и материалов на квартал, тыс. руб. 10 900
Количество дней 90
Однодневный расход сырья и материалов, тыс. руб. 146
Норма запаса, дни 26
Норматив (потребность) в оборотных средствах по сырью и материалам составил: 146 * 26 = 3800 тыс. руб.
2. Потребность в оборотных средствах по незавершенному производству устанавливается путем умножения однодневного выпуска продукции на норму незавершенного производства (в днях).
Выпуск продукции по себестоимости на квартал,тыс. руб. 14 900
Однодневный выпуск продукции по себестоимости,тыс. руб. 178,68
Норма незавершенного производства, дни 3
Потребность в оборотных средствах по незавершенному производству, тыс. руб.: 178,68 * 3 = 536,04
3. Потребность в оборотных средствах по готовой продукции определяется путем умножения однодневного выпуска продукции по себестоимости на норму оборотных средств по готовой продукции (2 дня):

178,68 * 2 = 357,36 тыс. руб.

4. Потребность в оборотных средствах по запасам товаров определяется умножением однодневного оборота этих товаров по покупным ценам на норму их запасов (в днях).
Оборот товаров по покупным ценам на квартал, тыс. руб. 2 890
Однодневный оборот, тыс. руб. 32,1
Норма запаса товаров, дни 2
Потребность в оборотных средствах по запасам товаров составила: 32,1 * 2 = 64,2 тыс. руб.
5. Потребность в денежных средствах в кассе и на переводы в пути определяется умножением товарооборота по продажным ценам (розничным) на норму запаса денежных средств (в днях).
Товарооборот в квартал, тыс. руб. 3 700
Однодневный товарооборот, тыс. руб. 41,1
Норма запаса денежных средств, дни 1
Потребность в денежных средствах составила:41,1 * 1 = 41,1 тыс. руб.
6. Потребность в оборотных средствах по прочим материальным ценностям определяется методом прямого счета или расчетно-аналитическим методом (стоимость тары 100 тыс. руб.).
7. Совокупный норматив оборотных средств равен сумме нормативов по всем их элементам и определяет общую потребность предприятия в оборотных средствах:

По = Птек + Пнп + Пт + Пг + Ппр + Пб,

где По общая потребность в оборотных средствах, тыс. руб.; Птек потребность в оборотных средствах для создания текущих запасов, тыс. руб.; Пнп потребность в средствах незавершенного производства, тыс. руб.; Пт потребность в средствах по запасам товаров, тыс. руб.;Пг потребность в средствах для запаса готовой продукции, тыс. руб.; Ппр потребность в средствах по быстроизнашивающимся предметам, в таре, тыс. руб.; Пб потребность в средствах по кассе, тыс. руб.

По = 3800 + 536,03 + 357,4 + 64,2 + 41,1 + 100 = 4898,7 тыс. руб.

Вместе с тем определение суммы общей потребности оборотных средств еще не означает, что эта сумма должна расходоваться немедленно. Здесь важно добиваться такого положения, при котором эта «связанность» средств в сырье и материалах, т.е. их отвлечение, с одной стороны, не носило бы длительный характер, а с другой не требовало бы больших единовременных вложений в покупку сырья и материалов. Кроме того, само хранение товарно-материальных ценностей также сопряжено с большими затратами.
Достаточно отметить, что ежегодная сумма этих затрат, как свидетельствует статистика, обычно превышает четвертую часть стоимости самих запасов.
В целом проблема создания запасов и хранение материальных ценностей сложна, ее решение зависит от многих обстоятельств, в том числе от ускорения оборачиваемости оборотных средств, применения ресурсосберегающих технологий, характера заказов (крупные партии заказываемого сырья и материалов, частота поступления заказов). Кроме того, решение этой задачи предполагает организацию соответствующей системы управления запасами.

7.4. Управление запасами
В структуре оборотных производственных фондов большой удельный вес занимают производственные запасы сырья, материалов и других материальных ценностей. На их долю приходится более половины суммы оборотных средств, а в пищевой промышленности эта доля порой достигает 80% и более.
Поэтому очень важно определить оптимальную величину расходов на создание производственных запасов, которая обеспечивала бы эффективное функционирование производства при минимальном объеме затрат на его материально-техническое обеспечение.
Расходы на создание и хранение запасов зависят от величины производственного запаса, налога на капитал, вложенный в запасы, страхование стоимости содержания складов, затрат, связанных с потерями (порча, устаревание и т.д.).
Но в то же время при создании и хранении запасов надо принимать во внимание и нестоимостные факторы. Здесь надо иметь в виду гарантии в отношении качества, опыт поставщика, уверенность в поставке и желательную перспективу взаимоотношений между поставщиком и производителем.
Важным является также транспортный фактор, который в ряде случаев играет более важное значение, чем цена ресурса. Ведь может сложиться такое положение, когда заявленная поставщиком высокая цена при перевозке в 10 км окажется выгоднее низкой цены, названной поставщиком, находящимся за 200 км.
Регулированию запасов посвящено много исследований, и на это имеется достаточно оснований. Это и понятно: выгода в результате рационального подхода к регулированию запасов достигает, как показывает практика, существенных размеров. Это особенно важно для предприятий, нуждающихся в больших запасах.
Важным моментом в расчете запасов является знание издержек, связанных с ними. Наиболее существенными из них являются:
1. Стоимость оформления заказа. Здесь возникают как постоянные, так и переменные затраты. Постоянные расходы - это заработная плата работников отделов снабжения, вложения в оборудование и накладные расходы, рассчитанные на определенный объем сырья.
Переменные расходы зависят от способа оформления заказа, стоимости пересылки документов, увеличения числа заказов и т.д.
2. Издержки на текущие запасы. Известно, что каждое предприятие с целью бесперебойного функционирования должно поддерживать минимальные запасы. И в этом случае запасы становятся в известной степени формой капиталовложений. В данном случае капитал связан в материалах, сырье и товарах.
И естественно, если бы он был свободен, то он бы нашел свое применение: даже поместив его в банк, можно было бы получать процент. Иными словами, с точки зрения экономической науки создание даже минимальных запасов вызывает издержки в форме неиспользованных возможностей.
Текущие расходы на запасы должны также включать складские издержки. Они возникают с увеличением запасов по сравнению с нормируемым объемом, так как в этом случае требуется расширение складов и т.д. В текущие расходы также следует включить издержки на страхование, порчу товаров, хищения и др.
Теперь посмотрим, каким образом перечисленные выше расходы проявляют себя и что можно сделать, чтобы добиться их оптимальной величины. В решении этой задачи необходимо прежде всего установить связь между размером заказа (число единиц, закупленных один раз) с общей стоимостью оформления заказа и с общей суммой текущих расходов на содержание запасов.
Допустим, мы имеем число единиц, закупаемых в результате одного заказа - "х". По мере того, как число единиц (х), закупаемых за один раз, возрастает, текущие расходы на содержание запасов также увеличиваются. Но вместе с тем, если число единиц в одном заказе увеличивается, очевидно, количество заказов при постоянных объемах производства уменьшится, что приведет, естественно, к уменьшению расходов на оформление заказа.
Эти изменения можно видеть на 7.2.

Однодневный расход сырья и материалов

В процессе производства число заказанных единиц уменьшается до нуля, а средние запасы в этом случае равны 250 единицам. Изобразим это графически ( 7.3).

Однодневный расход сырья и материалов

Текущие расходы на содержание запасов определяются в расчете на среднюю стоимость в рублях 250 единиц. Расходы на оформление заказа в этом случае возникают всего один раз в год. Однако если бы заказы делались два раза в год, то тогда первоначальный заказ падает до нуля и снова возрастает до 250 единиц.
Средний уровень запасов в данном случае составляет 125 единиц, расходы на оформление заказа возникают дважды, а расходы на содержание запасов сокращаются вдвое.
Таким образом, из изложенного следует, что различие в образе действий в отношении запасов приводит к различным затратам. На 7.4 показан график общей суммы расходов.


Однодневный расход сырья и материалов


Из 7.4. следует, что минимальные расходы будут получены при Х = Хо.
Составим уравнение, определяющее общую сумму затрат:
1.Среднее число единиц, составляющих запасы, равняется X, где Х - число единиц, соответствующих одному заказу.
2. Средний запас в денежном выражении составляет СХ, где С - стоимость единицы изделий данного наименования.
3. Общая сумма затрат на содержание запасов составляет




где Сc - годовая ставка начислений на содержание запасов, выраженная в процентах к стоимости последних.
4. Число заказов за год равно Z, где Z - потребность за год.
5. Общая сумма затрат на оформление заказов за год составляет CрZ, где Ср - переменные расходы при оформлении одного заказа.
В итоге общую сумму затрат (ТС) можно выразить с помощью следующего уравнения:




В соответствии с теорией запасов существует несколько способов минимизации общей суммы расходов (ТС).
1. Можно взять первую производную по Х от общей суммы затрат и приравнять полученную величину к нулю, т.е. dTC : dx = 0, имея в виду определить точку, соответствующую нулевому наклону кривой и минимуму ТС.
2. Можно использовать графический метод. Для этого надо нанести кривые, соответствующие каждому из слагаемых затрат, а затем получить общую их сумму, как это показано на 4.
3. Можно подставлять различные значения Х в уравнение общей суммы затрат до достижения минимума этой величины.




Основная задача ТПП


На основе технического задания разрабатывается технический проект, т.е. совокупность конструкторских документов, которые должны содержать технические решения, дающие полное представление о конструкции изделия, и исходные данные для разработки рабочих чертежей опытных образцов.
Технический проект позволяет осуществлять выбор материалов и полуфабрикатов, определять основные принципы изготовления продукции и проводить экономическое обоснование проекта.
После испытания и доводки опытных образцов производятся необходимые уточнения и разработка рабочих чертежей для организации производства изделий.-На всех этапах проектирования уточняются, конкретизируются и окончательно определяются все технические и экономические характеристики нового изделия.
Результаты конструкторской подготовки оформляются в виде технической документации - чертежей, инструкций, технических условий и т.д.
Технические условия (ТУ) являются неотъемлемой частью комплекта технической документации на продукцию (изделие, материал, вещество и т.п.), на которую они распространяются. ТУ должны содержать все требования к продукции, ее изготовлению, контролю, приемке и поставке, которые целесообразно указывать в конструкторской или другой технической документации.
Конструкторская подготовка производства осуществляется в соответствии с комплексом государственных стандартов, устанавливающих единые взаимосвязанные правила и положения ее проведения, оформления и обращения конструкторской документации, разрабатываемой и применяемой промышленными, научно-исследовательскими, проектно-конструкторскими организациями и предприятиями. Этот комплекс стандартов носит название Единой системы конструкторской документации (ЕСКД).
Применение ЕСКД позволяет создавать благоприятные условия для обеспечения научно-технической подготовки производства на высоком уровне, способном гарантировать конкурентоспособность выпускаемых изделий, сокращать время проектирования, обеспечивать необходимое единообразие этого процесса на различных предприятиях в разных отраслях экономики. Следует отметить, что в ЕСКД учтены правила, положения, требования, а также положительный опыт оформления графических документов (эскизов, чертежей, схем), установленных рекомендациями ИСО - Международной организацией по стандартизации.
Продолжением работ по проектированию изделия является технологическая подготовка производства (ТПП), которая представляет собой совокупность взаимосвязанных процессов, обеспечивающих технологическую готовность предприятия к выпуску продукции необходимого качества при установленных сроках. объеме производства и затратах. Содержание и объем ТПП зависят от типа производства, конструкции и назначения изделия. Под технологической готовностью понимается наличие полного комплекта технологической документации и средств технологического оснащения, необходимых для производства новых изделий.
Основная задача ТПП - обеспечить высокое качество изготовления изделий и создать необходимые условия для роста производительности труда, улучшения использования оборудования, снижения расхода сырья, материалов, топлива, энергии.
В процессе технологической подготовки производства решается широкий круг вопросов. Основные из них:
отработка конструкции нового изделия на его технологичность;
разработка технологических процессов изготовления изделия;
проектирование специальной оснастки и оборудования;
определение потребности в оборудовании и его планировка;
проектирование межоперационного транспорта и контроля.
Работа регламентируется стандартами Единой системы технологической подготовки производства (ЕСТПП). Она определяет порядок организации и управления ТПП на всех уровнях: государственном, отраслевом, предприятия. ЕСТПП призвана обеспечить единый для каждого предприятия системный подход к выбору, применению методов и средств технологической подготовки производства, соответствующих передовым достижениям науки, техники и производства; высокую приспособляемость производства к непрерывному его совершенствованию, быстрой переналадке к выпуску более совершенной продукции; основу для внедрения автоматизированных систем ТПП.
Технологическое проектирование начинается с разработки маршрутной технологии, в которой определяются последовательность выполнения основных операций и закрепление их в цехах за конкретными группами оборудования. По маршрутной технологии за каждым цехом и участком закрепляются обрабатываемые виды продукции, указываются оборудование, инструменты, специальность рабочих, разряды работ и нормы времени.
В индивидуальном и мелкосерийном производствах, а также на предприятиях со сравнительно простой технологией разработка технологических процессов обычно ограничивается маршрутной технологией. В массовом же и крупносерийном производствах вслед за маршрутной разрабатывается более подробная пооперационная технология, которая содержит подробное описание всех технологических операций.
При разработке технологического процесса важной задачей является выбор экономически эффективных способов изготовления изделия. Выбранная технология производства должна обеспечивать высокое качество изготовления продукции, повышение производительности труда и наиболее низкую себестоимость изделий по сравнению с другими вариантами.
В ускорении технологической подготовки производства исключительно важная роль принадлежит типовым технологическим процессам, под которыми понимаются обобщенные схемы изготовления деталей однородных классификационных групп. Внедрение типовых технологических процессов позволяет сократить объем технологической документации в 6-10 раз, ускорить проектирование технологического процесса в 3-4 раза, сократить длительность производственного цикла в 2-2,5 раза, ускорить процесс технического нормирования в 2,5 раза, повысить техническое оснащение производства на 70-90%, снизить трудоемкость изготовления продукции на 30-40% и себестоимость - на 20%.
Типизация технологических процессов создает необходимые предпосылки для агрегатирования и стандартизации технологического оснащения, что значительно сокращает трудоемкость проектирования и изготовления оснастки, которая занимает около 80% по длительности и 90% общих затрат на технологическую подготовку производства.
Организационно-экономическая подготовка производства
Основная задача ТПП
включает комплекс мер по организации и планированию производства новых изделий и обеспечению процесса их производства всем необходимым. На этом этапе осуществляется разработка проекта организации основного и вспомогательного производства, труда и заработной платы, а также создание нормативной базы, включая разработку необходимых нормативов для планирования конструкторской и технологической подготовки производства.
Организационно-экономическая подготовка производства осуществляется параллельно и в тесной связи с конструкторской и технологической подготовкой. На этой же стадии происходит разработка смет затрат на подготовку производства новых изделий.
На всех этапах подготовки производства осуществляется выбор наиболее экономически выгодного варианта создания новых изделий.




Основной недостаток матричной структуры - ее сложность.


Иными словами, в управлении, как и в любой другой сфере социальной активности человека, не существует понятия "хорошая" или "плохая". Есть выбор, соответствующий или не соответствующий имеющимся условиям. В настоящее время используются два основных типа адаптивных структур - проектные и матричные.
Проектная структура - это временные органы управления, созданные для решения конкретной задачи. Смысл ее состоит в том, чтобы собрать в одну команду самых квалифицированных сотрудников организации для осуществления сложного проекта. Когда проект завершен, команда распускается.
В матричной структуре члены проектной группы подчиняются как руководителю проекта, так и руководителям тех функциональных отделов, в которых они работают постоянно. Руководитель проекта обладает так называемыми проектными полномочиями. Они варьируются от почти всеобъемлющей линейной власти над всеми деталями проекта до "штабных" полномочий.
Выбор конкретного варианта определяется тем, какие права делегирует руководителю проекта высшее руководство.
Основной недостаток матричной структуры - ее сложность. Тем не менее она используется в ряде отраслей промышленности, в частности, в химической, электронной, в производстве вычислительной техники, а также в банках, системе страхования, правительственных учреждениях.
Преимущества и недостатки различных структур управления отражены в табл. 3.1.
Таблица 3.1.
Преимущества и недостатки различных структур управления

Структура
Преимущества
Недостатки
Линейная
Единство и четкость распорядительства
Личная подотчетность исполнителя одному лицу
Ответственность каждого за выполнение задания (дисциплина)
Стимулирование развития компетентности
Увеличенное время прохождения информации
Келейность при принятии решений
Выполнение исполнителями, помимо своих основных обязанностей «штабной» работы по учету и контролю
Функциональная
Уменьшенное время прохождения информации
Специализация деятельности руководителей
Высшее руководство менее загружено, чем при линейной структуре
Возможность получения противоречивых указаний
Сложность разделения взаимосвязанных функций
Сложность контроля
Недостаточная гибкость управления
Линейно- функциональная
Расширение возможности принятия компетентных решений
Сокращение времени на решение технологических вопросов производства
Трудности при регулировании отношений линейных и функциональных руководителей
Дивизиональная
Повышение самостоятельности и ответственности отделений в вопросах максимизации прибыли и завоевания позиций на рынке
Рост управленческого аппарата
Возможность появления конфликтов из-за централизованного распределения ресурсов
Адаптивная
Быстрая адаптация к изменениям внешней среды
Мало правил и процедур
Большая возможность для творческого подхода
Уровни управления размыты
Неопределенность целей и задач
Сложность контроля
Выбор организационной структуры управления, в наибольшей степени отвечающей целям предприятия и учитывающей конкретные условия деятельности, осуществляется на основе тщательного анализа всех факторов, оказывающих на нее влияние, оценки преимуществ и недостатков различных типов организационных структур.
Организационная структура выражает форму разделения и кооперации труда в сфере управления и оказывает активное воздействие на процесс функционирования предприятия. Чем совершеннее структура управления, тем эффективнее воздействие на объект управления и выше результативность работы предприятия. Поэтому важно, чтобы структура управления соответствовала ряду требований (табл.
3.2.).

Таблица 3.2.
Требования к структуре управления


Оптимальность
Оперативность
Экономичность
Число ступеней управления следует свести до минимума. Чем больше ступеней, тем менее эффективно управление
Управленческие решения необходимо принимать быстро. С учетом этого требования следует распределять права и ответственность
Достигается путем оптимального разделения управленческого труда

Организационная структура управления не является чем-то застывшим, она постоянно совершенствуется в соответствии с изменившимися условиями. Поэтому данные структуры отличаются большим разнообразием и определяются многими факторами и условиями. Важнейшие из них следующие:
масштабы бизнеса (малый, средний, большой);
производственные и отраслевые особенности предприятия (производство товаров, услуг, купля-продажа);
характер производства (массовый, серийный, единичный);
сфера деятельности фирм (местный, национальный, внешний рынок);
уровень механизации и автоматизации управленческих работ;
квалификация работников.
Построение организационных структур управления осуществляется с учетом следующих принципов:
соответствие структуры управления целям и стратегии предприятия;
единство структуры и функции управления;
первичность функции и вторичность органа управления;
рациональное сочетание в структуре управления централизации, специализации и интеграции функций управления;
соотносимость структуры управления с производственной структурой предприятия;
комплексная увязка в структуре управления всех видов деятельности;
соответствие системы сбора и обработки информации организационной структуре управления.
При проектировании структуры управления необходимо соблюдать следующее основное правило: вовлекать наименьшее число уровней управления и создавать кратчайшую цепь команд.

3.3. Инфраструктура предприятия
Основной недостаток матричной структуры - ее сложность.

Инфраструктура предприятия - это подразделения по обслуживанию основного производства, а также социальному обслуживанию коллектива. Соответственно различают производственную и непроизводственную инфраструктуру предприятия.
Производственная инфраструктура имеет целью обеспечение бесперебойного и эффективного функционирования производственного процесса. Работы по обслуживанию основного производства выполняются вспомогательными подразделениями и обслуживающими хозяйствами: инструментальным, ремонтным, транспортным, энергетическим, складским, службами материально-технического снабжения и сбыта продукции.
Совершенствование производственной инфраструктуры является одним из факторов улучшения деятельности предприятия.
Службы материально-технического снабжения и сбыта продукции играют важную роль не только в нормальном функционировании производственного процесса. Они оказывают существенное влияние на величину издержек производства путем создания и поддержания оптимального запаса при минимуме затрат, обеспечивая при этом надлежащее складирование, хранение и учет материальных ресурсов и готовой продукции.
Инструментальное хозяйство на предприятии создается для выполнения работ по обеспечению производства инструментом и технологической оснасткой, организации их хранения, эксплуатации и ремонта. От уровня организации инструментального хозяйства и качества инструмента зависят интенсивность использования оборудования, технологические параметры его работы, уровень производительности труда и в целом результаты работы предприятия.
Основной задачей ремонтного хозяйства является обеспечение бесперебойной работы всего парка машин и оборудования за счет проведения планового ремонта и текущего обслуживания. Для предупреждения нерациональных потерь в производстве и сокращения затрат на ремонт служит система планово-предупредительного ремонта, которая включает различного вида работы по техническому уходу и ремонту оборудования по заранее составленному плану с целью обеспечения эффективной эксплуатации оборудования.
Кроме того, ремонтное хозяйство выполняет текущий ремонт и обслуживание зданий, сооружений, производственных и служебных помещений. Капитальный ремонт зданий, как правило, осуществляется с помощью специализированной ремонтной организации.
Основной задачей транспортного хозяйства на предприятии является своевременное и бесперебойное обслуживание производства транспортными средствами по перемещению грузов в ходе производственного процесса. По своему назначению транспортные средства могут быть подразделены на внутренний, межцеховой и внешний транспорт. Совершенствование организации транспортного хозяйства предполагает ликвидацию чрезмерно дальних перевозок, встречных, возвратных, пустых и не полностью загруженных транспортных средств.
Энергетическое хозяйство обеспечивает потребности предприятия в электро- и теплоэнергии, технологическом паре, сжатом воздухе, техническом кислороде, природном газе. Однако целесообразнее по возможности заключить длительный договор на обслуживание с крупными производителями на поставку энергоносителей.
Непроизводственная инфраструктура предприятия создается для социального обслуживания работников предприятия. Она включает жилищно-коммунальные структуры, детские сады, ясли, медицинские пункты, поликлиники, больницы, санатории, дома отдыха, пансионаты, оздоровительные комплексы, столовые, буфеты, учебные заведения и другие необходимые службы.
Непроизводственная инфраструктура является важной составляющей общей структуры предприятия, обеспечивающей нормальную жизнедеятельность коллектива. Наличие важнейших элементов непроизводственной инфраструктуры на предприятии создает возможность и дает уверенность его работникам удовлетворять жизненно необходимые социальные потребности, тем самым создавая предпосылки для хорошего делового настроя и высокопродуктивной работы коллектива.
В последние годы в силу сложного финансового состояния российских предприятий, значительная часть которых просто убыточна, прекращают деятельность некоторые службы непроизводственной инфраструктуры или передают их в ведение муниципальных органов власти. Такое развитие событий, как правило, ухудшает социальное обслуживание работников предприятий.




Основные виды скидок с цены.


Отсюда следует, что те предприятия, где издержки производства равны общественным издержкам или ниже, получают прибыль, а предприятия, у которых издержки производства выше, теряют часть индивидуальной стоимости товара, произведенного на них, и в конечном итоге разоряются. Это означает, что величина издержек производства для предприятия является нижним пределом устанавливаемого уровня цены, ниже которого продажа продукции будет убыточна.
Верхним пределом устанавливаемой цены является рыночная цена, формирующаяся, с одной стороны, под воздействием спроса и предложения, а с другой - конкуренции со стороны производителей аналогичных товаров.
При анализе цены конкурента основное внимание должно быть обращено на систему скидок, которые он предоставляет. В мировой практике насчитывается около 20 видов скидок с цены.
Приведем основные виды скидок с цены.
Скидки с прейскурантной и справочной цены.
При покупке за наличные покупатель получает так называемую скидку "сконто". Например, формулировка "3/12, нетто 30" означает, что платеж должен быть произведен в течение 30 дней, но покупатель заплатит на 3% меньше, если он оплатит стоимость товара в течение 12 дней.
Бонусные скидки за оборот даются постоянным покупателям в зависимости от оборота продаж.
Прогрессивные скидки предоставляются покупателю за количество, объем покупки, серийность.
Товарообменный зачет или скидка предоставляется за возврат старого, ранее купленного у данной фирмы товара.
Экспортная скидка при продаже товара на экспорт.
Функциональные скидки или скидки в сфере торговли предоставляются производителям службами товародвижения за выполнение определенных функций.
Специальные скидки даются продавцом тем покупателям, в которых продавец более заинтересован.
Скрытые скидки предоставляются покупателю в виде бесплатных образцов.
Предоставляются также скрытые, конфиденциальные скидки, не подлежащие фиксированию в контрактах, а реализуемые на основе устной договоренности. Наценки встречаются реже. Они даются иногда за повышение качества товара. Все это, бесспорно, расширяет спектр применения различных тактик установления цен.
Например, для новых продуктов широко используется так называемая тактика "снятия сливок" ("price-skimming"). В данном случае расчет состоит в том, что существует достаточное количество покупателей, желающих платить большую цену за марку товара.
Широко применяется так называемая тактика проникающего ценообразования (peneration), смысл которой состоит в том, чтобы генерировать первоначальный спрос путем установления низкой цены на вновь вводимый на рынок продукт. В последующем, когда товар будет признан на рынке, цена на него повышается. Здесь надо иметь в виду, что применение этой тактики эффективно в случаях, когда адаптация потребителей к продукту происходит в относительно короткий период времени и отработаны каналы распределения.
В противном случае это может привести к большим потерям.
В конечном итоге уровень устанавливаемой цены по здравому смыслу должен находиться где-то в промежутке между низкой ценой (издержки производства), не приносящей прибыли, и теоретически высокой ценой, определяемой спросом (рыночная цена) без учета задач предприятия ( 13.3).


Основные виды скидок с цены.

13.2. Методы расчета цены
Основные виды скидок с цены.

При расчете возможной цены рекомендуется использовать следующие методы.
Расчет цены по методу "средние издержки плюс прибыль".
Основой расчета являются средние издержки производства плюс наценка. Последняя варьируется в широких пределах в зависимости от вида товара. Например, в США применяются наценки на табачные изделия - 20%, фотокамеры - 28, книги - 34, женские платья - 41 %, в розничной бакалейной торговле наибольшие наценки делаются на кофе, консервированные молочные продукты и сахар, достаточно высокие - на замороженные продукты, желе и некоторые консервы. Наценки колеблются в широких пределах. Например, на те же самые замороженные пищевые продукты наценки составляют 13-53%.
Эта разница зависит от объема продаж, скорости оборачиваемости товарных запасов и др. Но самое главное - наценка должна учитывать особенности текущего спроса и конкуренции.
Расчет цены на основе анализа безубыточности и обеспечения целевой прибыли.
В данном случае предприятие стремится к установлению такой цены, которая обеспечит ему желаемый объем прибыли. Основой такого расчета является построение так называемого графика безубыточности ( 13.4).


Основные виды скидок с цены.


Установление цены на основе уникальности выпускаемого товара.
Здесь исходят не только из издержек производства, но и ценности товара для покупателя. Например, чашечка кофе с пирожным в магазине может стоить 10 руб., а в семейном ресторанчике- 15 руб. После проведения расчетов устанавливается окончательная цена на производимый товар.
Рекомендуется также учитывать не только экономические, но и психологические факторы цены, такие, как престижность товара (дорогие автомобили "Роллс-Ройс", драгоценности и часы "Картье" и т.д.).
Многие полагают, что цена должна выражаться нечетным числом. Эта практика широко распространена в США. Например, считается, что цену за видеомагнитофон следует назначать не 300, а 299 долл. США. Тогда этот товар психологически будет для многих стоить не 300, а 200 долл.
США. Кроме того, при установлении цены следует учитывать реакцию на нее со стороны конкурентов и т.д.
Наконец, при установлении цены необходимо учитывать регулирующую роль государства в области ценообразования, налогов с доходов и многое другое. Она проявляется в установлении различных дотаций с целью стимулирования выпуска нужной продукции или обеспечения социальной защиты населения, установления особой формы налогообложения и т.п.
Государственное регулирование цен по-прежнему должно оставаться важнейшим условием в установлении хозяйственных связей между государством и предприятием на основе размещения госзаказов. Дело в том, что госзаказ может эффективно функционировать только при наличии учета общественно необходимых затрат, установлении приблизительно равной напряженности в норме прибыли различных отраслей в условиях неодинаковой фондовооруженности.
При формировании цен следует проводить различие между ценами на товары производственного назначения и на товары широкого потребления и продукты питания. Поскольку во многих случаях товары производственного назначения изготавливаются для индивидуального покупателя, то цена является продуктом совместного решения изготовителя и покупателя.
Иной подход наблюдается в определении уровня цен на товары широкого потребления и продукты питания. Здесь важная роль отводится определению величины спроса, формам доведения товара до потребителя (оптовая, розничная и другие формы продаж). В зависимости от вышеперечисленных условий устанавливается соответствующий уровень цен.

13.3. Ценообразование в различных типах рынка
Основные виды скидок с цены.

Ценовая политика предприятия во многом зависит от типа рынка, каждый из которых ставит свои проблемы в области ценообразования. Выделяют четыре типа рынка: чистой конкуренции, монополистической конкуренции, олигополии и чистой монополии.
Рынок чистой конкуренции состоит из множества продавцов и покупателей какого-либо схожего товарного продукта. Ни один отдельный покупатель или продавец не оказывает большого влияния на уровень текущих рыночных цен товара.
Продавец не в состоянии запросить цену выше рыночной, поскольку покупатели могут свободно приобрести любое необходимое им количество товара по этой рыночной цене. Продавцы не будут запрашивать и цену ниже рыночной, поскольку могут продать все, что нужно по существующей рыночной цене.
Продавцы на этих рынках не тратят много времени на разработку стратегии маркетинга, ибо до тех пор, пока рынок остается рынком чистой конкуренции, роль маркетинговых исследований, анализа деятельности по разработке товара, политики цен, рекламы, стимулирования сбыта и прочих мероприятий минимальна.
Рынок монополистической конкуренции состоит из множества покупателей и продавцов, совершающих сделки не по единой рыночной цене, а в широком диапазоне цен. Наличие диапазона цен объясняется способностью продавцов предложить покупателям разные варианты товаров. Товары могут отличаться друг от друга качеством, свойствами, внешним оформлением.
Различия могут заключаться и в сопутствующих товарам услугах. Покупатели видят разницу в предложениях и готовы платить за товары по-разному.
Чтобы выделиться чем-то помимо цены, продавцы стремятся разработать разные предложения для разных потребительских сегментов и широко пользуются практикой присвоения товарам марочных названий, рекламой и методами личной продажи.
В связи с наличием большого числа конкурентов стратегии их маркетинга на каждую отдельную фирму оказывают меньше влияния, чем в условиях олигополистического рынка.
Олигополистический рынок состоит из небольшого числа продавцов, весьма чувствительных к политике ценообразования и маркетинговым стратегиям друг друга. Товары могут быть схожими (сталь, алюминий), а могут быть и несхожими (автомобили, компьютеры). Небольшое количество продавцов объясняется тем, что новым претендентам трудно проникнуть на этот рынок.
Каждый продавец чутко реагирует на стратегию и действия конкурентов. Например, если сталелитейная компания снизит свои цены на 10%, то покупатели быстро переключатся на этого поставщика. Другим производителям стали придется реагировать либо тоже снижением цен, либо предложением большего числа или объема услуг.
Олигополист никогда не испытывает уверенности, что может добиться какого-то долговременного результата за счет снижения цен. С другой стороны, если олигополист повысит цены, конкуренты могут не последовать его примеру. И тогда ему придется либо возвращаться к прежним ценам, либо рисковать потерей клиентуры в пользу конкурентов.
При чистой монополии на рынке всего один продавец. Это может быть государственная организация, частная регулируемая монополия или частная нерегулируемая монополия. В каждом отдельном случае ценообразование складывается по-разному.
Государственная монополия с помощью политики цен может преследовать достижение самых разных целей: например, установить цену ниже себестоимости, если товар имеет важное значение для покупателей, которые не в состоянии приобретать его за полную стоимость.
Цена может быть составлена с расчетом на покрытие издержек или получение хороших доходов. Однако возможно назначить цену очень высокой для всемерного сокращения потребления.
В случае регулируемой монополии государство разрешает компании устанавливать расценки, обеспечивающие получение "справедливой нормы прибыли", которая даст организации возможность поддерживать производство, а при необходимости и расширять его.
Наоборот, в случае нерегулируемой монополии фирма сама вольна устанавливать любую цену, какую только выдержит рынок. Тем не менее по ряду причин фирмы не всегда запрашивают максимально возможную цену. Здесь может играть роль боязнь введения государственного регулирования, нежелание привлекать конкурентов или стремление быстрее проникнуть - благодаря невысоким ценам - на всю глубину рынка.

Вопросы для повторения

  1. Назовите основные типы стратегий деятельности предприятий.
  2. Какие основные факторы учитываются при выборе деловой стратегии?
  3. Назовите виды планирования.
  4. Что такое производственная программа предприятия?
  5. Что понимается под производственной мощностью предприятия?
  6. Что такое качество продукции?
  7. Для чего осуществляется стандартизация?
  8. Назовите категории нормативных документов по стандартизации.
  9. Что понимается под управлением качеством продукции?
  10. С какой целью проводится сертификация продукции?
  11. Что такое конкурентоспособность предприятия?
  12. Назовите основные элементы, которые определяют конкурентоспособность продукции.
  13. В чем состоит суть ценовой политики предприятия?
  14. Назовите методы расчета цены.
РАЗДЕЛ ЧЕТВЕРТЫЙ. Предпринимательская деятельность предприятия
Основные виды скидок с цены.





Понятие и показатели качества продукции.


7. Какие из перечисленных позиций относятся к экстенсивным факторам улучшения использования производственных мощностей:
а) сокращение внутрисменных простоев оборудования;
б) повышение коэффициента сменности работы оборудования;
в) модернизация оборудования;
г) вовлечение в производство неустановленного оборудования; д) повышение квалификации рабочих.
8. Какие из названных позиций относятся к интенсивным факторам улучшения использования производственных мощностей:
а) совершенствование технологии производства;
б) улучшение организации труда и производства;
в) сокращение сроков ремонта оборудования;
г) совершенствование управления производством;
д) сокращение целодневных простоев оборудования.

Практические задания

1. Определите объем валовой, товарной и реализованной продукции по следующим данным: стоимость готовых изделий для реализации на сторону 80 тыс. руб.; стоимость оказанных услуг на сторону 12 тыс. руб.; стоимость незавершенного производства: на начало года 14 тыс. руб.; на конец года 5 тыс. руб.; стоимость (остатки) готовой продукции на складе: на начало года-15 тыс. руб., на конец года 20 тыс. руб.
2. В планируемом году завод реализует готовых изделий на сумму 350 тыс. руб., сторонним организациям будет оказано услуг на сумму 20 тыс. руб., дополнительно будет изготовлено полуфабрикатов 8 тыс. руб.
Определите объем реализованной продукции в планируемом году и ее рост, если в отчетном году реализовано продукции на сумму 320 тыс. руб.
3. Определите входную, выходную и среднегодовую производственную мощность предприятия по следующим данным: на 1 января производственная мощность предприятия составляла 10 тыс. изделий. По плану реконструкции с 1 мая мощность предприятия увеличивается на ! тыс. изделий, а в августе еще на 2 тыс.
4. Определите производственную мощность фабрики по выпуску ткани и коэффициент ее использования при следующих условиях: ткацкая фабрика работает в две смены, количество ткацких станков на начало года 400. С 1 марта установлено еще 54 станка, а с 1 июля выбыло 40 станков. Число рабочих дней в году 260, плановый процент простоев на ремонт станка 5%, производительность одного станка 5 м ткани в час, план выпуска продукции за год 8 млн м ткани.

Тема 12. Качестве продукции и конкурентоспособность предприятия

Вопросы для обсуждения

1. Понятие и показатели качества продукции.
2. Государственные и международные стандарты и системы
качества.
3. Управление качеством продукции.
4. Сущность и содержание сертификации.
5. Конкурентоспособность предприятия и его продукции.

Тесты

l. Какие из названных показателей относятся к показателям качества продукции:
а) показатели назначения продукции;
б) показатели надежности;
в) трудоемкость изготовления;
г) показатели стандартизации и унификации;
д) эргономические показатели;
е) вес изделия;
ж) патентно-правовые показатели.
2. Какие из перечисленных направлений деятельности относятся к повышению качества продукции;
а) совершенствование техники и технологии;
б) повышение квалификации рабочих;
в) увеличение коэффициента сменности работы оборудования;
г) улучшение конструкции изделия;
д) сокращение потерь рабочего времени;
е) повторение качества сырья, материалов, полуфабрикатов.
3. Какие из названных положений включены в Государственные стандарты Российской Федерации:
а) обязательные требования к качеству продукции, обеспечивающие безопасность для жизни, здоровья и имущества;
б) обязательные требования техники безопасности и производственной санитарии;
в) требования по форме и цвету изделия;
г) обязательные требования по совместимости и взаимозаменяемость продукции;
д) основные потребительские и эксплуатационные свойства продукции;
е) требования по продолжительности выпуска продукции.
4. Какие из названных позиций относятся к нормативным документам по стандартизации:
а) Государственные стандарты Российской Федерации;
б) отраслевые стандарты;
в) технические условия;
г) инструкции;
д) стандарты предприятий;
е) документация по технологическому процессу.
5. Какие из названных позиций характеризуют международные стандарты ИСО серии 9000:
а) они ознаменовали выход стандартизации на качественно новый уровень;
б) они установили единый, признанный в мире подход к договорным условиям по оценке систем качества;
в) они определили порядок установления договорных отношений между предприятиями разных стран;
г) они регламентировали отношения между производителями и потребителями продукции.
6. Какие из перечисленных функций включает система управления качеством:
а) функции стратегического, тактического и оперативного управления;
б) функции принятия решений, анализа и учета;
в) функции социального обеспечения работников предприятия;
г) функции энергообеспечения предприятия;
д) функции управления научно-техническими разработками.
7. Какие из названных положений характеризуют политику предприятия в области качества:
а) достижение технического уровня продукции, превышающего уровень ведущих предприятий;
б) ориентация на удовлетворение требований потребителя;
в) повышение заработной платы работникам предприятия;
г) увеличение сроков гарантии на продукцию;
д) улучшение жилищных условий работников предприятия.
8. Сертификация продукции основана на:
а) проведении испытаний продукции;
б) оценке условий производства продукции;
в) оценке затрат, связанных с производством продукции;
г) надзоре за качеством продукции;
д) оценке прибыльности производства продукции.
Укажите правильные варианты ответов.
9. Какая из перечисленной продукции подлежит обязательной сертификации:
а) продукты питания;
б) автомобили;
в) книги и журналы;
г) самолеты;
д) ювелирные изделия;
е) электрооборудование;
ж) газовые приборы.
10. Какие из названных факторов характеризуют конкурентоспособность предприятия:
а) качество продукции,'
б) предоставляемый сервис;
в) затраты на производство продукции;
r) репутация фирмы;
д) ассортимент продукции.
11. Управление конкурентоспособностью предприятия предполагает:
«) систематическое совершенствование изделия;
б) поиск новых покупателей;
в) поиск новых каналов реализации продукции;
г) увеличение объемов производства;
д) улучшение сервиса;
е) повышение заработной платы рабочим.
Назовите правильные варианты ответов.

Тема 13. Ценовая политика предприятия и методы ее реализации

Вопроса для обсуждения

l. Сущность и содержание ценовой политики предприятия.
2. Методы расчета цены.
3. Ценообразование на различных рынках.

Тесты

1. Какие из названных положений включает ценовая политика предприятия:
а) анализ конъюнктуры рынка;
б) оценка поведения конкурентов;
в) разработка технологического процесса изготовления продукции;
г) установление цен на продукцию предприятия„
д) выбор поставщиков сырья и материалов.
2. Какие из перечисленных положений характеризуют основные цели ценовой политики предприятия:
а) обеспечение намеченного объема прибыли;
б) обеспечение реализации продукции;
в) увеличение производительности труда;
г) удержание своей доли на рынке.
3. Спрос можно считать эластичным, если:
а) при небольшом снижении цены спрос увеличивается значительно;
б) при большом снижении цены спрос увеличивается незначительно;
в) при изменении цены спрос не изменяется;
г) спрос изменяется независимо от цены.
Выберите правильные варианты ответов.
4. Назовите правильные варианты ответов отличия распродажи товаров от скидок:
а) распродажа характеризуется наибольшим снижением цен;
б) распродажа имеет меньший период действия;
в) распродажа не имеет временных ограничении;
г) распродажа помогает сбыть неходовой товар.
5. Какой из перечисленных вариантов ответов правильно характеризует точку безубыточности:
а) цена, при которой предприятие начинает получать прибыль;
б) объем производства, при котором производитель работает без убытков;
в) уровень затрат, необходимый для производства продукции.
6. При каком типе рынка ограничено использование метода определения цены на основе анализа цен конкурентов:
а) на рынке чистой конкуренции;
б) на рынке монополистической конкуренции;
в) на олигополистическом рынке;
г) на рынке чистой конкуренции.
7. Какой из названных вариантов ответов побуждает производителя поднимать цены:
а) увеличение загрузки производственных мощностей;
б) невозможность выполнить все заказы;
в) считает спрос эластичным;
г) увеличение издержек производства.

Практические задания

1. Каким образом изменится объем спроса, если известно, что коэффициент эластичности по цене на товар А равен 0,8, на товар Б 1, на товар В 1,5, а цена увеличится соответственно на 10, 15 и 20%?
2. Определите оптовую цену предприятия, если полная себестоимость единицы продукции 40 руб., годовой объем реализации 6000 ед., среднегодовая стоимость основных производственных фондов и нормируемых оборотных средств составляет 400 тыс. руб., рентабельность производства равна 0,2.
3. Определите розничную цену на изделие, если производственная себестоимость составляет 80 руб., внепроизводственные расходы 3% производственной себестоимости, плановая прибыль 15%, а торговая наценка 10%.



Понятие и размер уставного капитала.


д) сборка изделия.
6. В продолжительность производственного цикла:
а) включается время основных операций;
б) не включается время вспомогательных операций;
в) включается время вспомогательных операций;
г) не включается время перерывов;
д) включается время перерывов.
Укажите правильные варианты ответов.
7. Какие из перечисленных характеристик относятся к поточному методу организации производственного процесса:
а) глубокое расчленение производственного процесса на операции;
б) запуск в производство изделий партиями;
в) параллельное выполнение операций на всех рабочих местах;
г) расположение оборудования по ходу технологического процесса;
д) использование кадров высокой квалификации.
8. Какие характеристики относятся к партионному методу организации производства:
а) обработка одновременно продукции нескольких наименований;
б) закрепление за рабочим местом выполнения нескольких операций;
в) высокий уровень непрерывности производственного процесса;
г) преимущественное расположение оборудования по группам однотипных станков;
д) высокая эффективность.
9. Назовите характерные признаки единичного метода организации производства:
а) большая повторяющаяся номенклатура продукции;
б) использование универсального оборудования;
в) использование рабочих низкой квалификации;
г) разработка укрупненной технологии;
д) низкие затраты на производство продукции.

Практические задания

1. Определите длительность производственного цикла при последовательном сочетании операций на основе следующих данных.
Партия из четырех деталей обрабатывается на четырех операциях с длительностью обработки одной детали:
t1 =9мин; t2 =4мин; t3 =6мин; t4 =3мин.
2. Определите длительность производственного цикла при параллельном движении передачи деталей на последующую операцию, используя данные, приведенные в первом задании при условии, что размер транспортной партии р = 1.
3. Определите длительность производственного цикла при параллельно-последовательном движении деталей с операции на операцию.

Тема 5. Уставный капитал и имущество предприятия

Вопросы для обсуждения

1. Понятие и размер уставного капитала.
2. Состав уставного капитала.
3. Сущность и состав имущества предприятия.

Тесты

1. Назовите правильные варианты ответов по поводу размеров уставного капитала:
а) величина уставного капитала фиксируется в учредительных документах;
б) минимальный размер уставного капитала открытого акционерного общества не регламентируется;
в) максимальный размер уставного капитала законодательно не регламентируется;
г) минимальный размер уставного капитала в закрытом акционерном обществе должен быть не менее 100 минимальных размеров оплаты труда;
д) минимальный размер уставного капитала в обществе с ограниченной ответственностью не регламентируется.
2. Какие из перечисленных позиций относятся к имущественные взносам в оплату уставного капитала:
а) здания, сооружения, оборудование;
б) права пользования землей, зданиями, сооружениями, оборудованием;
в) депозиты в банках;
г) страховые полисы;
д) интеллектуальная собственность;
е) ценные бумаги.
Укажите правильные варианты ответов.
3. Какие из перечисленных позиций являются правильными
вариантами ответов по поводу вида имущества предприятия:
а) средства труда;
б) предметы труда;
в) кадры предприятия;
г) материальные активы;
д) нематериальные активы;
е) движимое имущество;
ж) недвижимое имущество;
з) личное имущество учредителей.

Тема 6. Основные фонды предприятия

Вопросы для обсуждения

1. Сущность, состав и структура основных фондов.
2. Оценка основных фондов.
3. Износ и амортизация основных фондов.
4. Показатели и пути улучшения использования основных фондов.

Тесты

1. Какие из перечисленных позиций входят в состав основных производственных фондов:
а) здания, сооружения, передаточные устройства;
б) незавершенное производство;
в) машины и оборудование;
г) транспортные средства;
д) производственный и хозяйственный инвентарь;
е) готовая продукция.
2. Какие из перечисленных позиций относятся к активной части основных фондов:
а) рабочие машины и оборудование;
б) здания, сооружения;
в) измерительные и регулируемые приборы и устройства; г) вычислительная техника;
д) транспортные средства.
3. По какой стоимости оцениваются основные фонды при зачислении на баланс предприятия:
а) по восстановительной стоимости;
б) по первоначальной стоимости;
в) по остаточной стоимости.
4. Амортизация основных фондов это:
а) износ основных фондов;
б) перенесение стоимости основных фондов на себестоимость продукции;
в) восстановление основных фондов;
г) содержание основных фондов.
Укажите правильные варианты ответов.
5. Показатель фондоотдачи характеризует:
а) количество произведенной продукции в расчете на 1 руб. основных производственных фондов;
б) уровень технической оснащенности труда;
в) производительность труда.
Укажите правильные варианты ответов.
6. Какие из названных позиций повышают эффективность использования основных фондов:
а) повышение степени загрузки оборудования;
б) увеличение срока службы оборудования;
в) использование современных технологий;
г) совершенствование организации производства и труда.

Практические задания

1. Определите среднегодовую стоимость основных производственных фондов (ОПФ), стоимость ОПФ на конец года, коэффициенты ввода и выбытия по следующим данным, млн руб.:
стоимость ОПФ на начало года 210
ввод новых ОПФ с 1 мая 15
выбытие по причине физического износа ОПФ с 1 августа 12
2. Определите годовую сумму амортизационных отчислений и норму амортизации на основе следующих данных:
стоимость оборудования в момент приобретения, тыс. руб. 25
срок службы 10
затраты на модернизацию за амортизационный период, тыс.руб. 3
остаточная стоимость оборудования, тыс. руб. 1,5
3. По данным, приведенным в табл. 1, определите плановую и отчетную фондоотдачу, фондоемкость, фондовооруженность. Дайте оценку эффективности использования ОПФ.

Таблица 1


Показатели
План
Отчет
Выпуск продукции, тыс. руб.
300
315
Среднегодовая стоимость ОПФ, тыс. руб.
120
125
Численность работающих, человек
100
90

Тема 7. Оборотные средства предприятия

Вопросы для обсуждения

1. Сущность и состав оборотных средств.
2. Кругооборот оборотных средств.
3. Нормирование оборотных средств.
4. Показатели и пути улучшения использования оборотных средств.

Тесты

1. Какие из перечисленных позиций относятся к оборотным производственным фондам:
а) сырье и материалы;
б) незавершенное производство;
в) машины, оборудование;
г) запасные части;
д) топливо, тара.
2. Какие из перечисленных позиций относятся к фондам обращения:
а) готовая продукция;
б) денежные средства в кассе;
в) полуфабрикаты собственного производства;
г) дебиторская задолженность;
д) прибыль предприятия.
3. Что из перечисленного входит в состав оборотных средств предприятия:
а) запасы сырья, материалов, топлива;
б) оборотные фонды;
в) незавершенное производство;
г) транспортные средства;
д) вычислительная техника;
е) фонды обращения;
ж) готовая продукция на складе.
4. Какие позиции характеризуют коэффициент оборачиваемости оборотных средств:
а) объем реализованной продукции в расчете на 1 руб. оборотных фондов;
б) количество оборотов оборотных средств за соответствующий период;
в) продолжительность одного оборота оборотных средств.
5. Что характеризует показатель материалоемкости продукции:
а) нормы расхода материалов на изготовление продукции;
б) суммарный расход материальных ресурсов на производство единицы продукции;
в) общий вес материалов на изготовление изделия.
6. Какие из названных позиций используются при нормировании оборотных средств, находящихся в производственных запасах:
а) текущий запас;
б) время упаковки продукции;
в) страховой запас;
г) транспортный запас.

Практические задания

1. Определите норматив оборотных средств в незавершенном производстве, если известно, что выпуск продукции за год составит 12 тыс. ед.; себестоимость изделия 1„5 тыс. руб.; длительность производственного цикла изготовления изделий 5 дней; коэффициент нарастания затрат в незавершенном производстве 0,4.
2. В 1 квартале предприятие реализовало продукции на 21 млн руб., среднеквартальные остатки оборотных средств составили 2 млн руб. Bo II квартале объем реализации продукции увеличился на 10%, а время одного оборота оборотных средств будет сокращено на один день.
Определите:
а) коэффициент оборачиваемости оборотных средств и длительность одного оборота в днях в I квартале;
б) коэффициент оборачиваемости оборотных средств и их абсолютную величину во II квартале;
в) высвобождение оборотных средств в результате сокращения длительности одного оборота средств.
3. В отчетном году при среднегодовом нормативе оборотных средств 5 млн руб. было выпущено продукции на 15 млн руб. Как должен измениться норматив оборотных средств, если на планируемый год предусматривается увеличение программы выпуска продукции на 10%, а коэффициент оборачиваемости оборотных средств возрастет на 15%.



Продолжительность рабочего времени


Нормы труда подразделяются на нормы времени, нормы выработки, нормы обслуживания, нормы управляемости.
Нормы времени представляют собой количество рабочего времени, необходимого для изготовления единицы продукции или выполнения объема работ в конкретных организационно-технических условиях. Норма времени измеряется в человеко-минутах, человеко-часах, человеко-днях.
Норма выработки - установленный объем работ, который работники или группа работников (звено, бригада) соответствующей квалификации должны выполнить в единицу рабочего времени (час, смену и т.д.) в определенных организационно-технических условиях.
Норма выработки (Нвыр) обратно пропорциональна норме затрат труда и определяется по формуле:

Нвыр = (Т * Кр) / Нвр,

где Нвр - норма затрат труда на единицу работы;
Т - продолжительность рабочего времени (час, смена);
Кр - количество работников, участвующих в выполнении работы.
Норма обслуживания - это количество производственных объектов (единиц оборудования, рабочих мест, производственных площадей и т.д.), которые работник или группа работников соответствующей квалификации должны обслужить в единицу времени в определенных организационно-технических условиях.
Норма управляемости - это численность работников (количество структурных подразделений), которыми должен руководить один менеджер.
Для установления норм труда применяют аналитический и опытно-статистический методы нормирования труда. Аналитический метод предполагает научный подход к формированию норм и предусматривает проведение следующих операций: исследование трудового процесса, расчленение его на составные элементы; изучение всех факторов, влияющих на затраты труда; проектирование более совершенного состава операции и методов ее выполнения; разработка мероприятий по улучшению обслуживания рабочего места; расчет времени на выполнение работы; внедрение нормы в производство.
Аналитический метод нормирования дифференцируется на аналитическо-расчетный, при котором используются готовые нормативы времени, и аналитическо-исследовательский, в соответствии с которым нормы определяются путем применения хронометража, фотографий рабочего дня, выборочного метода изучения потерь рабочего времени.
При опытно-статистическом методе сложившееся положение на предприятии в предыдущие периоды рассматривается как база для сравнения с плановым периодом.

8.5. Оплата труда
Для работников предприятия оплата труда в виде заработной платы является их личным доходом, который должен соответствовать личному вкладу в результаты деятельности предприятия. Различают номинальную и реальную заработную плату.
Номинальная заработная плата - это сумма денег, которую получает работник за свой труд за определенный период времени.
Реальная заработная плата показывает, какое количество предметов потребления и услуг можно купить за номинальную заработную плату при данном уровне цен и тарифов.
В основе организации оплаты труда работников любого предприятия лежат фонд оплаты труда; тарифная система; формы и системы оплаты труда.
Фонд оплаты труда представляет собой источник средств, предназначенных для выплат заработной платы и выплат социального характера. Он рассчитывается либо методом прямого счета путем умножения среднесписочной плановой численности работающих на среднюю заработную плату одного работающего в плановом периоде, либо нормативным методом расчета -путем умножения общего объема выпускаемой продукции в стоимостном выражении на норматив заработной платы на 1 руб. выпускаемой продукции.
Тарифная система предназначена для дифференцирования оплаты труда по отраслям и категориям работников, выполняющих работы различной сложности. Она состоит из трех элементов: тарифных ставок; тарифных сеток; тарифно-квалификационных справочников.
Тарифные ставки определяют размер оплаты труда за единицу времени, например, час, день, месяц. Тарифные ставки устанавливают в зависимости от тяжести и вредности труда, его интенсивности. За базу для определения тарифных ставок принимается минимальный уровень оплаты труда, устанавливаемый государством на тот или иной период времени.
Тарифные сетки определяют соотношение в оплате труда в зависимости от его квалификации. На многих промышленных предприятиях в зависимости от квалификации все рабочие и работы делятся на шесть тарифных разрядов.
Тарифная сетка характеризуется числом тарифных разрядов и диапазоном тарифных коэффициентов. Тарифный коэффициент - отношение тарифной ставки данного разряда к тарифной ставке первого разряда. В бюджетной сфере экономики Постановлением Правительства РФ от 14 октября 1992 г. № 785 для дифференциации в уровнях оплаты труда работников введена единая 18-разрядная тарифная сетка.
Тарифно-квалификационные справочники подразделяют различные виды работ в зависимости от их сложности. В них содержится характеристика того, что должен знать и уметь работник соответствующего квалификационного разряда.
Формы и системы оплаты труда являются основой децентрализованного управления заработной платой работников предприятия. Выделяют две основные формы оплаты труда: сдельную и повременную. Каждая из указанных форм имеет разновидности, которые принято называть системами оплаты труда.
При сдельной форме оплаты труда заработная плата начисляется по установленным расценкам за каждую единицу выполненной работы или изготовленной продукции. Сдельная форма оплаты труда целесообразна, когда:
имеются обоснованные нормы выработки;
возможен достоверный учет результатов труда;
перевыполнение норм возможно без нарушения технологического процесса;
четко организовано обслуживание рабочих мест.
Сдельная оплата труда стимулирует повышение квалификации рабочего, обеспечивает его материальную заинтересованность в росте производительности труда.
Однако при сдельной оплате труда есть опасность снижения качества продукции, нарушения режимов технологических процессов, нарушения требований техники безопасности, перерасхода материальных ресурсов.
Сдельная форма оплаты труда имеет следующие системы: прямая сдельная, сдельно-прогрессивная, сдельно-премиальная, аккордная, косвенно-сдельная и др.
При прямой сдельной системе оплаты труда заработок начисляется путем умножения количества изготовленной продукции (выполненных работ) на установленную расценку. Расценка за единицу выполненной работы или изготовленной продукции (Р) определяется по формуле:

P = m/Hвыр, или Р =m* Нвр,

где m - часовая тарифная ставка разряда выполняемой работы, руб;
Нвыр - часовая норма выработки;
Нвр - норма времени за единицу продукции (работ), ч.
При сдельно-прогрессивной оплате труда объем продукции, произведенный в пределах установленной нормы выработки, оплачивается по прямым сдельным расценкам, а сверх нормы -по повышенным расценкам.
При сдельно-премиальной оплате труда заработок состоит из оплаты по прямым сдельным расценкам и премии за выполнение и перевыполнение количественных и качественных показателей.
При косвенно-сдельной оплате труда заработная плата работника зависит от результатов труда тех рабочих, которых он обслуживает.
При аккордной системе размер оплаты труда устанавливается за весь объем работ.
Следует отметить, что в странах с развитой рыночной экономикой с середины XX в. наблюдается значительное сокращение сферы сдельной и расширение применения повременной оплаты труда.
Повременной называется такая форма оплаты труда, при которой заработная плата начисляется работнику по установленной тарифной ставке или окладу за фактически отработанное на производстве время. Повременная форма оплаты труда имеет две наиболее распространенные системы: простая повременная и повременно-премиальная.
При простой повременной системе работник получает полную тарифную ставку (оклад) при 100% выполнении индивидуального задания. При неполном выполнении задания оплата соответственно уменьшается, но при этом она не может быть ниже установленной минимальной заработной платы.
При повременно-премиальной системе оплаты труда работник сверх оплаты в соответствии с отработанным временем и тарифными ставками (окладом) получает премию за достижение определенных количественных и качественных показателей.
В реальной экономике могут встречаться и иные системы оплаты труда работников, которые в значительной степени являются комбинацией перечисленных выше систем оплаты.

8.6. Мотивация труда
Продолжительность рабочего времени

Мотивация труда - это система мер, цель которых - создать у работников стимулы к труду и побудить их работать с полной отдачей. Поведение человека определяется множеством мотивов.
Мотив - это то, что вызывает определенные действия человека. Мотив находится внутри человека, имеет персональный характер, зависит от множества внешних и внутренних по отношению к человеку факторов. Мотивирование - это процесс воздействия на человека с целью побуждения его к определенным действиям.
В основе внутренних побуждений, которые заставляют людей действовать определенным образом, лежат потребности человека. Согласно теории американского социолога А.Маслоу, все потребности человека можно разделить на пять групп.



Прогрессивный характер роста переменных издержек



Из табл. 18.2 видно, средние переменные издержки в расчете на единицу продукции уменьшаются с ростом объемов производства, но при росте переменных издержек.


Прогрессивный характер роста переменных издержек


Пример 3. Переменные издержки увеличиваются по сравнению с ростом объема производства более высокими темпами. Это обусловливается не только отсутствием какой бы то ни было рационализации производства, но и перерасходом материальных затрат и трудовых ресурсов, что выражается в росте затрат на единицу продукции (табл. 18.3 18.3).

Таблица 18.3
Прогрессивный характер роста переменных издержек


Производство, единиц (Q)
Переменные издержки, тыс. руб. (Иv)
Средние переменные издержки, руб. (Иvcp)
0
0
-
100
2000
20,00
200
4500
22,50
300
7500
25,00
400
11000
27,50
500
15000
30,00

Таким образом, при управлении формированием издержек производства необходимо постоянно обращать внимание на характер их роста для того, чтобы своевременно принимать меры по их снижению.
В условиях конкуренции важно не только знать величину переменных издержек, но и объем общих. Иногда их называют валовыми издержками, состоящими из постоянных и переменных издержек.


Прогрессивный характер роста переменных издержек


Иo = Иc + Иv,
где Иo - общие (валовые) издержки;
Иc - постоянные издержки;
Иv - переменные издержки.
Знание общих (валовых) издержек позволяет судить о величине затрат, которые несет предприятие в результате осуществления производственно-хозяйственной деятельности (начиная с начальной стадии и до полного использования всего производственного потенциала), а также правильно формировать финансовую политику предприятия.
В силу того, что постоянные издержки неизменны на протяжении производственного цикла, общие издержки в своем развитии следуют за изменениями переменных издержек.
Графически это можно изобразить следующим образом ( 18.4).


Прогрессивный характер роста переменных издержек


Аналогичная закономерность проявляется и в движении общих издержек (Иоср) ( 18.5).


Прогрессивный характер роста переменных издержек


В данном случае на характер изменения средних общих издержек оказывают влияние не только средние переменные, но и средние постоянные, которые с увеличением объемов производства уменьшаются.
График 18.5 оказывает, что средние общие издержки с ростом объемов производства снижаются до определенного момента, а затем снова возрастают. Вместе с тем они не дают ответа, до каких пределов можно расширять производство, какие затраты понесет предприятие в случае производства последней единицы (при его расширении) или какова будет экономия в случае сокращения на эту последнюю единицу. Здесь требуется иной подход.

18.3. Определение предельных издержек производства
При формировании производственного плана предприятия важно установить характер увеличения объемов производства при добавлении дополнительных производственных переменных факторов к уже имеющимся фиксированным ресурсам (основные фонды) и как в этом случае будут складываться совокупные издержки производства и реализации.
Ответ на этот вопрос дает "закон убывающей отдачи", суть которого состоит в том, что, начиная с определенного момента, последовательное присоединение единиц переменного ресурса (например, труда) к неизменному фиксированному ресурсу (например, основным фондам) дает уменьшающийся добавочный, или предельный, продукт в расчете на каждую последующую единицу переменного ресурса. Проиллюстрируем это в табл. 18.4.
Таблица 18.4
Динамика показателей деятельности предприятия


Вложение переменных ресурсов труда, человек
Общий объем производства, тыс. руб.
Предельная производительность или продукт
Средняя производительность труда (гр.2:гр.1)
1
2
3
4
0
0
0
-
1
10
10
10
2
25
15
12,5
3
37
12
12,33
4
47
10
11,75
5
55
8
11,0
6
60
5
10,0
7
63
3
9,0

На основе данных табл. 18.4 построим графики ( 18.6 и 18.7), где Q - объем производства, Qпр - предельный продукт труда на одного занятого и N - количество работников (затраты труда).


Прогрессивный характер роста переменных издержек
Прогрессивный характер роста переменных издержек

Табл. 18.4 и графики 18.6 и 18.7 показывают, что чем больше привлекается дополнительных работников, тем больше выпускается продукции. Вместе с тем каждый раз привлечение еще одного дополнительного работника дает неодинаковую прибавку к увеличению объема продукции ( 18.6). Эта прибавка представляет собой предельный продукт труда одного работника. Он рассчитывается путем простого вычитания рассматриваемого уровня производства из последующего увеличения объема производства.
В нашем примере предельный продукт на одного дополнительно привлекаемого работника увеличивается до второго работника, а затем начинает падать (см. 18.7).
Такой характер изменения роста предельного продукта объясняется снижением роста средней производительности труда на одного работника, он вызывается тем, что при росте численности основные фонды остаются неизменными.
Но снижение величины прироста объемов производства на каждого привлекаемого одного работника еще не свидетельствует о том, что надо прекратить производство. Решение этого вопроса зависит от того, увеличивается ли прибыль при найме еще одного работника. Если цена продукции на рынке неизменна, то предприятие получит доход в результате того, что оно имеет для продажи больше продуктов.
Но это при условии, что если величина дополнительных издержек, связанных с наймом дополнительного работника, будет меньше цены товара.
Допустим, что каждому дополнительно привлекаемому работнику устанавливается заработная плата в размере 1 тыс. руб. Предельная производительность первого рабочего, как следует из табл. 9, составляет 10 единиц.
Следовательно, производимая продукция для предприятия в условиях найма первого рабочего обходится в 100 руб., при втором рабочем, предельная производительность которого равна 15, издержки составят уже 67 руб. Эти предельные издержки будут падать до тех пор, пока будет расти предельная производительность. И уже при найме третьего, когда производительность падает, предельные издержки возрастут до 83 руб., с четырьмя рабочими они уже будут составлять 100 руб., с пятью - 125 руб.
Из приведенных данных следует, что себестоимость единицы продукции, произведенной с помощью привлечения дополнительной рабочей силы, снижается до определенного момента, а затем снова начинает расти. Падение или рост себестоимости каждой дополнительной единицы продукции называется предельной себестоимостью ( 18.8).


Прогрессивный характер роста переменных издержек


Концепция предельных издержек имеет большое практическое значение, поскольку показывает издержки, которые предприятию придется понести в случае увеличения производства на одну единицу, и одновременно - издержки, которые предприятие "сэкономит" в случае сокращения объема производства на эту последнюю единицу. Иными словами, она позволяет решить вопрос о том, производить ли предприятию на несколько единиц продукции больше или меньше. Предельные издержки отражают изменения в издержках, которые повлекут за собой увеличение или уменьшение объема производства.
Таким образом, издержки производства в условиях рыночных отношений следует рассматривать не просто как произведенные затраты на приобретение всего необходимого для производства продукции и ее изготовления, но и как установление лучшей возможности по их использованию, т.е. необходимо формировать такие издержки, которые дают наилучший результат.

18.4. Смета и калькуляция затрат
В соответствии с назначением все затраты группируются по экономическим элементам и калькуляционным статьям. В первом случае это отражает их распределение по экономическому содержанию, независимо от формы использования в производстве того или иного вида продукции и места осуществления затрат, и применяется при составлении сметы затрат на производство всей выпускаемой продукции. Смета необходима не только для снижения затрат по их элементам, но и для составления материальных балансов, нормирования оборотных средств, разработки финансовых планов и др. Для предприятий всех отраслей промышленности установлена следующая обязательная номенклатура затрат на производство по экономическим элементом:
материальные затраты (за вычетом стоимости возвратных отходов);
затраты на оплату труда (все виды оплаты труда и другие выплаты);
отчисления на социальные нужды;
амортизация основных фондов;
прочие денежные затраты.
Отнесение этих затрат к общим затратам отражает их структуру, складывающуюся в каждый данный момент, причем она неодинакова для различных отраслей промышленности.
Об этом свидетельствуют данные о структуре затрат на производство продукции в ряде отраслей промышленности России в 1999 г. (табл. 18.5).

Таблица 18.5
Структура затрат на производство продукции по отраслям промышленности, % к итогу


Отрасли промыш-
ленности
Все затраты
Материальные затраты
Оплата труда
Отчисления на социальные нужды
Амортизация основных средств
Прочие затраты
Вся промыш-
Леность
100
64,7
11,8
4,4
4,5
14,6
Электро-
энергетика
100
62,4
10,5
4,0
7,7
15,4
Черная металлургия
100
72,2
9,8
3,7
2,8
11,5
Машино-строение и метало-обработка
100
63,2
15,6
5,8
3,1
12,3
Легкая про-
мышленность
100
66,0
16,7
5,8
2,8
8,7
Пищевая про-
мышленность
100
75,0
8,7
3,1
2,3
10,9


Производственное предпринимательство


Правда, последнее не всегда означает что-то совершенно новое. Оно, как правило, основывается на уже известной потребительной стоимости (товаре или услуге), но, внедрив новую технологию, повысив отдачу на капиталовложения, предприниматель создаст новый рынок и нового потребителя. Примером этого является сеть ресторанов Макдональдс, деятельность которых является чистым предпринимательством.
Мы здесь имеем положение, при котором спрос на эту продукцию вырос до такой степени, что образовалась особая "рыночная ниша". Добиться вышеперечисленного предприниматель может с помощью имеющегося "ресурса", в который он должен "вдохнуть" новую жизнь или найти новый ресурс, который поможет создать новые потребительские стоимости, приводящие в конечном итоге к так называемому созидательному разрушению. Дело в том, что любой ресурс становится полезным только тогда, когда человек отыщет его в природе и наделит его экономической ценностью, т.е. может получить из него или создать с его помощью новые товары или услуги.
Отсюда следует, что основным принципом теории динамического неравновесия является инновационность подхода, в результате осуществления которого создается новый ресурс, нарушающий принятый баланс.
Этот инновационный подход следует рассматривать как инновационный процесс, происходящий постоянно и целенаправленно в поиске изменений существующей практики как источника получения социальных и экономических благ.
Наиболее существенные изменения основаны на новых и блестящих идеях, но при их реализации необходимо руководствоваться рядом принципов, а именно:
все нововведения должны носить целенаправленный характер;
все нововведения должны начинаться с анализа возможностей, и, прежде всего, анализировать источники инновационных возможностей;
установление восприимчивости рынком осуществляемых нововведений.
Нововведения должны быть простыми и направлены на решение только одной задачи. Простота и доступность - залог успеха.
Следуя этим принципам, предприниматель на практике может добиться хороших результатов в работе.
В этом случае возникает вопрос: чем же отличаются от предпринимательства по своему содержанию относительно устойчивые формы экономической деятельности (это, как правило, относится к организации работы предприятий, располагающих большими производственными и материальными фондами), которые в условиях рынка также стремятся к получению прибыли как экономической основы их развития? Это отличие состоит в том, что их деятельность (формы и методы) основывается на долгосрочных целях развития предприятия, а цели включают не только получение прибыли, но и увеличение или удержание доли рынка для сбыта своих товаров или оказания услуг, создание новых видов продуктов и услуг, радикальное улучшение качества выпускаемой продукции, постоянное обновление ассортимента и т.д.
Необходимость учета долгосрочных целей развития предприятия обусловливается тем, что их выполнение - проведение НИОКР, длительность изготовления, налаживание кооперации и т.д. -требует длительного времени. Кроме того, необходимо повышать эффективность использования дорогостоящего оборудования, что возможно только на долгосрочной основе. Это, конечно, не означает, что обычная форма экономической деятельности не включает определенные элементы предпринимательской деятельности.
Напротив, мобильность и динамичность, стремление чутко улавливать конъюнктуру рынка и другие черты предпринимательства, всегда рассматриваются в плане осуществления текущих тактических действий, направленных на успешную реализацию стратегических целей с учетом изменяющихся условий среды, в которой работают предприятия.
В то же время и предприниматель в своих действиях исходит из долгосрочного прогноза и даже, может быть, из установления долгосрочных целей (в данном случае в качестве долгосрочной цели, как правило, берется прибыль) своего развития, но это не имеет определяющего значения для результатов его деятельности. Он исходит из необходимости получения результата в течение короткого периода, для него первостепенное значение приобретает (учитывая, что в его распоряжении небольшие финансовые и материальные средства) ускоренная оборачиваемость финансовых средств. Эта особенность предпринимательства предполагает установление соответствующей технологии его ведения.

14.2 Виды предпринимательства, их взаимосвязь и особенности участия в бизнесе
Производственное предпринимательство

В отличие от устоявшихся форм экономической деятельности предпринимательство характеризуется тем, что предприниматель берется за все, за что потребитель готов сегодня заплатить деньги. Товары и услуги понимаются здесь в широком смысле слова: это могут быть здания и сооружения, жилье, имущество, потребительские и промышленные товары, информация, интеллектуальный продукт (идеи, открытия, патенты и т.п.), деньги, валюта, ценные бумаги и любые другие товары, работы и услуги. Но чтобы реализовать любой из указанных товаров, надо его иметь. Этот товар предприниматель делает сам или получает, а затем реализует. Поэтому предпринимательство можно разделить на производственное, коммерческое и финансовое.
Каждый вид имеет свою специфику, особенности и, следовательно, свою технологию. Будучи относительно самостоятельными видами предпринимательской деятельности, они пронизывают и дополняют друг друга, т.е. один вид деятельности может содержаться в другом.

Производственное предпринимательство

К производственному предпринимательству относится деятельность, направленная на производство продукции, проведение работ и услуг, сбор, обработку и предоставление информации, создание духовных ценностей и т.п., подлежащих последующей реализации потребителям. Основным полем приложения его усилий являются производственные предприятия и учреждения.
Круг интересов производственного предпринимательства довольно разнообразен, и для его реализации требуются финансовые и материальные ресурсы, порой довольно значительные. Стремление получить как можно большую прибыль при меньшем риске предполагает осуществление соответствующей технологии ведения дела. Исходным элементом этой технологии является выбор основной области деятельности.
Ее содержательная сторона определяется финансовыми ресурсами и личными склонностями предпринимателя.
Выбор вида деятельности предполагает проведение предварительного маркетинга, т.е. изучения, насколько предлагаемый товар или услуга необходимы потребителю, стабильны ли спрос на них, его величина и тенденции развития в будущем, каковы возможная продажная цена единицы товара, издержки его производства и реализации, предполагаемые объемы продаж.
Результатом производственно-предпринимательской деятельности является производство продукта, который требует своей реализации. Мероприятия по его реализации составляют третью стадию технологии предпринимательства. Реализация возможна: с помощью посредников-агентов, брокеров и т.п. или своими собственными силами.
Это наиболее ответственная стадия технологии предпринимательства, от продуманности осуществления которой зависит успех всего начатого дела.
Усилия предпринимателя еще на второй стадии (установление величины финансовых средств, необходимых для ведения выбранной предпринимательской деятельности) должны быть сосредоточены на заключении сделки на поставку изготовляемого продукта до начала его производства и лучше всего на долгосрочной основе, что позволит снизить риск банкротства. На этой стадии технологии предприниматель внимательно следит за конъюнктурой, чтобы вовремя отреагировать на изменения, происходящие в спросе. Эта реакция находит свое выражение в индивидуализации производимого товара (услуг) и в установлении на него соответствующего уровня цены.
Поскольку на рынке появляются все новые и новые товары и услуги, то в предпринимательской деятельности в условиях недостатка финансовых средств чрезвычайно важно, чтобы товары не залеживались и высвобождающиеся финансовые средства вкладывались снова в дело, т.е. предприниматель должен стремиться к ускорению оборачиваемости денег. Считается, что сделка должна давать годовую прибыль не менее 20-22% затрат.
Ситуация заставляет предпринимателя держать в центре своего внимания каналы распределения товаров и услуг (оптовая и розничная сеть, дилеры, агенты и т.д.). Это и представляет собой четвертую стадию технологии. Дело в том, что в зависимости от выбранных каналов (форм) доведения товаров до потребителей в значительной степени определяется скорость оборота вложенных средств.

Коммерческое предпринимательство

Производственное предпринимательство

Этот вид деятельности характеризуется тем, что суть его содержания составляют товарно-денежные отношения и торгово-обменные операции. Иначе имеет место перепродажа товаров и услуг. В отличие от производственно-предпринимательской деятельности здесь нет необходимости обеспечения производственными ресурсами, связанными с выпуском продукции и др.
В качестве исходной стадии технологии стоит выбор: что покупать, что перепродавать и где. При решении этих вопросов, прежде всего, следует исходить из положения, что реализационная цена товара должна быть значительно выше закупочной цены; спрос на предлагаемый товар должен быть достаточным, чтобы реализовать его в намеченном масштабе сделки.



Производственные мощности предприятия


комплексным использованием средств вычислительной техники для подготовки вариантов управленческих решений;
повседневным анализом и владением управленческим персоналом производственной ситуацией в каждом звене предприятия;
своевременным принятием решений и организацией работы по предупреждению нарушений в ходе производства или для быстрого его восстановления в случае отклонений от запланированной траектории движения.

11.3. Производственные мощности предприятия
Производственная мощность предприятия это максимально возможный выпуск продукции (выполнение работ, оказание услуг) за единицу времени в натуральном (или условно-натуральном) выражении в установленных производственной программой номенклатуре и ассортименте при полном использовании производственного оборудования, применении передовой технологии, современной организации производства и труда, обеспечении высокого качества продукции.
Производственная мощность выражается теми же единицами измерения, в которых определен объем выпуска продукции в производственной программе в тоннах, метрах, штуках и т.д. Например, производственная мощность машиностроительного завода определяется в штуках изготовляемых машин, оборудования; металлургических предприятий в тоннах выплавки металла и производства проката. В тех производствах, где приняты условные единицы, они используются в расчете производственной мощности.
Например, производство шифера в условных плитках, минеральных удобрений в условных тоннах с определенным содержанием питательного вещества.
Рисчет производственной мощности предприятия ведется по его подразделениям в следующей последовательности.
по агрегатам и группам технологического оборудования;
по производственным участкам;
по основным цехам и предприятию в целом.
Производственная мощность предприятия определяется по мощности ведущих производственных цехов, участков или агрегатов, т.е. по мощности ведущих производств. Ведущими считаются цех, участок, агрегат, которые выполняют основные и наиболее массовые операции по изготовлению продукции и в которых сосредоточена преобладающая часть оборудования. В черной металлургии это доменные, мартеновские, сталелитейные цехи или печи, в цветной электролизные ванны, в текстильной прядильное и ткацкое производство, на машиностроительных заводах механические и сборочные цехи.
Основными факторами, определяющими величину производственной мощности предприятия, являются:
состав и количество установленных машин, механизмов, агрегатов и т.д.;
технико-экономические нормы использования машин, механизмов, агрегатов и др.;
степень прогрессивности техники и технологии производства;
фонд времени работы оборудования;
уровень организации производства и труда;
производственная площадь предприятия (основных цехов);
намечаемые номенклатура и ассортимент продукции, непосредственно влияющие на трудоемкость производства продукции при данном оборудовании.
Производственную мощность ведущего производства можно определить по формуле:


Производственные мощности предприятия


где М производственная мощность ведущего цеха, участка в принятых единицах измерения;
n число единиц ведущего оборудования в цехе, на участке;
Фмакс- максимально возможный фонд времени работы ведущего оборудования, ч;
Мт прогрессивная норма трудоемкости обработки продукции на ведущем оборудовании, ч.
При определении состава оборудования учитывается все оборудование: основного производства по видам, установленное на начало года, а также то, которое должно быть введено в эксплуатацию в плановом году. В расчет мощности не включается оборудование резервное, опытно-экспериментальных участков, а также используемое для профессионально-технического обучения.
Возможная производительность оборудования, учитываемая при расчете производственной мощности, определяется на основе прогрессивных норм использования каждого вида этого оборудования.
Определение фонда времени работы оборудования имеет специфику для предприятий с прерывным и непрерывным процессами производства. Для предприятий с непрерывным процессом производства он рассчитывается исходя из полного календарного времени работы оборудования за вычетом часов, отводимых в плане на ремонт. Для предприятий с прерывным процессом производства годовой фонд времени работы оборудования определяется по формуле

Тн = (Тк В П)tс Тр,

где Тн номинальный фонд времени работы оборудования за год, ч;
Тк календарный фонд времени за год, дни;
В количество выходных дней в году;
П количество праздничных дней в году;
tс количество часов работы в сутки;
Тр время, планируемое на ремонт и техническое обслуживание оборудования в год, ч.
Производственная мощность предприятия, оснащенного однотипным оборудованием, может быть определена по формуле

М =n*Н*Тн,

где n количество единиц установленного оборудования;
Н техническая норма производительности данного оборудования.
Следует отметить, что при расчете производственной мощности не принимаются во внимание простои оборудования, вызванные отсутствием сырья, материалов, электроэнергии или организационными причинами, а также потери времени, связанные с исправлением брака при изготовлении продукции. Производственная мощность делится на проектную, входную, выходную, среднегодовую.
Проектная производственная мощность устанавливается проектом строительства, реконструкции и расширения предприятия.
Входная (входящая) производственная мощность это мощность на начало года, показывающая, какими производственными возможностями располагает предприятие в начале планового периода.
Выходная (выходящая) производственная мощность это мощность на конец года. Она определяется как сумма входной и вводимой в течение планового периода мощностей за вычетом мощности, вызывающей за тот же период.
Среднегодовая производственная мощность служит основой для расчета производственной программы и определяется по формуле


Производственные мощности предприятия


где Мср среднегодовая мощность предприятия;
Мн мощность на начало года (входная);
Мв мощность, вводимая в течение года;
Мвб мощность, выбывающая в течение года;
m1 количество полных месяцев до конца года с момента ввода мощностей;
m2 количество полных месяцев до конца года с момента выбытия мощностей.
Уровень использования производственной мощности измеряется рядом показателей. Основным из них является коэффициент использования производственной мощности (Км), который определяется по формуле:


Производственные мощности предприятия


где V количество фактически произведенной продукции за год в натуральных или стоимостных единицах измерения;
Мср среднегодовая производственная мощность в тех же единицах измерения.
Другой показатель коэффициент загрузки оборудования - определяется как отношение фактически используемого фонда времени (в станко-часах) всего оборудования к располагаемому фонду времени по тому же кругу оборудования за тот же период. Этот показатель выявляет излишнее или недостающее оборудование.
Улучшение использования производственных мощностей - одна из важнейших задач предприятия. Решение этой задачи означает увеличение производства необходимой обществу продукции, повышение отдачи созданного производственного потенциала, снижение себестоимости продукции, рост рентабельности производства.
Уровень использования производственных мощностей зависит от того, насколько полно реализуются экстенсивные и интенсивные факторы. Экстенсивное улучшение использования производственных мощностей предполагает, во-первых, увеличение времени работы действующего оборудования и, во-вторых, повышение удельного веса действующего оборудования.
Увеличение времени работы действующего оборудования может быть достигнуто за счет:
сокращения или полной ликвидации внутрисменных простоев оборудования на основе повышения качества ремонтного и технического обслуживания оборудования, своевременного и полного обеспечения основного производства рабочей силой, сырьем, материалами, полуфабрикатами, электроэнергией;
сокращения целодневных простоев оборудования, повышения коэффициента сменности его работы.
Важным путем улучшения использования производственных мощностей является, с одной стороны, уменьшение количества излишнего оборудования, а, с другой, быстрое вовлечение в производство неустановленного оборудования.
Значительно шире возможности интенсивного пути улучшения использования производственных мощностей. Интенсивный путь предполагает повышение степени загрузки оборудования в единицу времени. Это может быть достигнуто на основе технического совершенствования машин и механизмов, совершенствования технологии производства, улучшения организации труда, производства и управления. повышения квалификации и профессионального мастерства рабочих.
Интенсивность использования производственных мощностей также повышается путем ликвидации «узких мест» в производственном процессе, быстрого освоения вновь вводимых мощностей, сокращения сроков достижения проектной производительности оборудования. Под «узким местом» понимается несоответствие производственной мощности отдельных цехов, участков, агрегатов возможности ведущего оборудования.
В современных условиях для многих предприятий России характерно недоиспользование производственных мощностей, главным образом в связи с трудностями сбыта продукции, а также острым недостатком собственных оборотных средств при непомерно высоких процентных ставках за кредит.Поэтому в настоящее время улучшение использования производственных мощностей связано с повышением качества и конкурентоспособности продукции, улучшением маркетинговой деятельности, расширением сбыта продукции.




Расчет максимальной прибыли


Из формулы (19.2) следует, что прибыль максимизируется в том случае, когда предельные издержки равны предельному доходу:

MR(q) = MC(q).

Поясним это на примере работы консервного комбината. Данные о выпуске количества консервов, валовых постоянных издержках, относимых на соответствующее производство, валовых переменных издержках, относимых на соответствующий выпуск продукции, валовых издержках производства и обращения, а также результаты расчета средних и предельных издержек, указанные в тысячах рублях на единицу изделия, приведены в табл. 19.1 (цифры для удобства округлены).
Таблица l9.1
Расчет максимальной прибыли в зависимости от объема продукции, цены и издержек


Количество
изделий
Цена (руб./шт.), Р
Валовый доход (выручка) (тыс. руб.), TР
Валовые издержки (тыс. руб.), ТС
Валовая прибыль (тыс. руб.), М = гр. 3- гр.4
Предельный доход (руб./шт.), MR
Предельные издержки (руб./шт.), МС
Предельная прибыль (руб./шт.), Мп
1
2
3
4
5
6
7
8
1000
2659
2659
2630
29
2659
2630
29
2000
2450
4900
3340
1560
2241
710
1531
3000
2241
6723
4020
2703
1833
880
1143
4000
2031
8124
5440
3584
1401
520
881
5000
1822
9110
5025
4085
986
485
501
6000
1613
9678
5600
4078
568
575
-7
7000
1484
9828
6420
3408
150
820
-670
8000
1195
9560
7615
1945
-268
1195
-1463
9000
986
8874
9310
-436
-686
1695
-2381
10000
777
7770
13675
-5905
-1104
4365
-5469

Графа 2 табл. 19.1 содержит данные о цене спроса, соответствующие количеству возможной реализации консервов. Функция спроса от цены получена на основе линейного уравнения

q = 4,78р + 13712,1.

Коэффициент эластичности спроса в зависимости от изменения цены для разного количества продаж исчисляется по формуле:


(19.3)
В количестве 3000 шт.

В количестве 6000 шт.

В количестве 8000 шт,

При больших объемах продаж спрос становится неэластичным. Предельные величины дохода (выручки), издержек и прибыли получаются путем вычитания из данных валового дохода (гр. 3), валовых издержек (гp. 4) и валовой прибыли (гр.
5) соответствующих значений из предыдущей строки.
Например, предельная прибыль:
для объема продаж 5000 шт.:
руб.
для объема продаж 7000 шт.:
руб.
Деление на 1000 необходимо потому, что предельные (приростные) показатели определяются в расчете на единицу продукции в рублях.
Для наглядности на основании данных табл. 19.1 построим графики ( 19.3 и 19.4).


Расчет максимальной прибыли



Расчет максимальной прибыли


Из табл. 19.1 и 19.3 и 19.4 следует, что наибольшие объемы реализации не всегда дают наибольшие суммы прибыли. Максимальную сумму прибыли предприятие может получить при объеме реализации более 5 тыс. шт. и менее 6 тыс. шт. банок консервов.
При этом цена одной банки составляет примерно 1600 руб. Если количество реализованных банок консервов превышает 6 тыс. шт., то сумма прибыли уменьшается, а при 9 тыс. шт. предприятие понесет убытки в размере 436 тыс. руб., которые при реализации 10 тыс. шт. могут возрасти почти до 6 млн. руб.
Предельные показатели позволяют более четко судить о скорости изменения их значений ( 19.4).
Точка пересечения предельного дохода MR(q) с предельными издержками MC(q) определяет максимум прибыли. В этой точке предельная прибыль равна нулю, а ее кривая пересекает ось абсцисс. За данными пределами начинаются убытки, которые будут снижать сумму валовой прибыли.
Для того чтобы решить вопрос максимизации прибыли, важно также знать, действует ли предприятие в условиях свободной конкуренции или монопольного рынка. Пищевые предприятия, в частности, реализуют свою продукцию в условиях свободной конкуренции. А это означает, что за цену реализации своей продукции оно принимает ту, которую задает рынок.
Итак, для предприятия максимизация прибыли заключается в выборе такого объема реализации продукции, при котором предельные издержки предприятия в производстве и при реализации равнялись бы рыночной цене. Математически это можно представить следующим образом:

Р = MC(q). (19.4)

Иными словами, на рынке свободной конкуренции доход равен рыночной цене. Покажем это на примере рыбоперерабатывающего предприятия, выпускающего икру в банках. Данные о производстве, издержках, прибыли, а также о предельных величинах приведены в табл.
19.2.

Таблица 19.2
Экономические показатели и расчеты предельных величин, руб.


Выпуск банок, шт.
Цена, 1 шт.
Валовой доход (выручка), TR
Валовые издержки, ТС
Прибыль, TR- TC
Предельный доход (шт.), MR =
Р
Предельные издержки (шт.), МС
Предельная прибыль, шт. гр.6 гр.7
1
2
3
4
5
6
7
8
0
135
0
7200
-7200



35
135
4725
9240
-4515
135
54
77
150
135
20 250
13 200
7050
135
34
101
210
135
38 350
15 840
12 510
135
44
91
250
135
33 750
18 000
15 750
135
54
81
270
135
36 450
19 680
16 770
135
84
51
288
135
38 880
21 312
17 586
135
91
44
305
135
41 175
22 920
18 255
135
95
40
316
135
45 525
24 360
18 165
135
144
-9
316
135
42 660
24 510
18 150
135
150
-15
317
135
42 795
24 672
18 123
135
162
-27
318
135
42 930
24 852
18 078
135
180
-45
319
135
43 065
25 056
18 009
135
204
-69
320
135
43 200
25 296
17 904
135
240
-105

Из табл. 19.2 следует, что предельный доход равен цене одной банки икры при приращении количества реализации в разных размерах (сравним графы 6 и 2). Иными словами, рыночная цена задается рынком (135 руб. за банку икры). Отличительная черта изменения валового дохода (выручки) от реализации банок икры на рынке свободной конкуренции состоит в том, что валовой доход выражается линейным уравнением с нулевым свободным членом и угловым коэффициентом, равным цене одной банки:

TR = 135 руб. q шт. = TR руб.

Максимальная прибыль получается при объемах реализации около 310 банок. По данным табл. 19.2 она составляет 18 255 руб. при реализации 305 банок.
В интервале 305 315 банок предельная прибыль равна нулю. При дальнейшем росте объема реализации она становится отрицательной, т.е. каждая дополнительная единица приращения объема выпуска дает не увеличение, а уменьшение суммы прибыли ( 19.5).




Таким образом, при заданной рынком цене одной банки в размере 135 руб. предприятию выгоднее поддерживать реализацию на уровне, близком к 310 банкам. В этом случае оно может рассчитывать на получение наибольшей суммы прибыли.

19.3. Анализ чувствительности прибыли к изменениям цены и структуры затрат
В основе этого метода лежит расчет объема реализации, который должен обеспечивать требуемую величину прибыли при изменении цены или структуры затрат (постоянные и переменные затраты).
Если изменяются постоянные затраты (расходы), то объем реализации, обеспечивающий желаемую величину прибыли, определяется по формуле:


(19.5)

где Мо желаемая прибыль, руб.;
Мвн новая валовая маржа, руб.
Если изменяются переменные затраты, то расчет производится по следующей формуле:


(19.6)

где ан новый процент валовой маржи к выручке от реализации.
Если изменяется цена, то расчет осуществляется по такой формуле:


(19.7)

где аn исходный процент валовой маржи к выручке от реализации;
Мви исходная валовая маржа, руб.
Рассмотрим характер этих изменений на примере хлебозавода, который имеет следующие показатели:
годовое производство батонов 100 000 шт.
цена одного батона 2,80 руб./шт.
средние переменные расходы 1,80 руб./шт.
При таком объеме реализации, цене и переменных затрат хлебозавод имеет следующие показатели:
выручка от реализации равна: 2,80. 100 000 = 280 тыс. руб.;
переменные расходы составили: 1,80 100 000 = 180 тыс. руб.;
валовая маржа равна: 100 тыс. руб.;
постоянные расходы равны: 50 тыс. руб.
Прибыль равна 50 тыс. руб.
Допустим, цена увеличилась на 10%. В этом случае руководству предприятия важно знать, как изменится величина прибыли и каков должен быть объем реализации, чтобы сохранить прежний уровень прибыли.
Итак, новая цена равна: 2,80 + 0,28 = 3,08 руб./шт.;
новая выручка = - 3,08 руб./шт. 100 000 = 308 тыс. руб.;
переменные расходы составят: 1,80 100 000 = 180 тыс. руб., или 59%;
валовая маржа равна 128 тыс. руб., или 43%;
постоянные расходы равны 50 тыс. руб., или 17%.
Прибыль равна 78 тыс. руб., или 26%.
Как видим, прибыль увеличилась с 50 до 78 тыс. руб., или на 56%. Объем реализации, необходимый для достижения прежней величины прибыли при повышении цены согласно формуле (19.7), составит:




Все это можно оформить так, как показано в табл. 19.З.

Таблица 19.3
Анализ чувствительности показателей хлебозавода при увеличении цены на 10%


Показатели
Первоначальный объем, 100 000 шт.
Объем, обеспечивающий неизменную прибыль 80,8 тыс./шт.
тыс. руб.
%
тыс. руб.
%
Выручка от реализации
308
100
280
100
Переменные расходы
180
59
180
63
Валовая маржа
128
41
100
37
Постоянные расходы
50
17
50
18
Прибыль
78
26
50
18


Рентабельность работы предприятия


5. Рентабельность работы предприятия.
6. Финансовое обеспечение предприятия.

Тесты

1. Какие из предложенных вариантов правильно характеризуют прибыль от реализации продукции:
а) выручка, полученная от реализации продукции;
б) разность между выручкой от реализации продукции (без НДС и акциза) и полной себестоимостью;
в) чистый доход предприятия;
г) валовой доход предприятия.
2. Назовите правильный вариант ответа, характеризующий балансовую прибыль:
а) выручка, полученная от реализации продукции;
б) разность между выручкой от реализации продукции и полной себестоимостью;
в) прибыль от реализации продукции плюс прибыль от прочей реализации, плюс (минус) доходы (убытки) от внереализационных операций;
г) валовая прибыль.
3. Какой из предложенных вариантов правильно характеризует чистую прибыль:
а) сумма прибыли от реализации продукции, основных фондов, иного имущества предприятия;
б) часть балансовой прибыли, оставшаяся в распоряжении предприятия после уплаты налогов и других обязательных платежей в бюджет;
в) валовая прибыль за вычетом отчислений в резервные фонды.
4. Какие из названных направлений способствуют росту прибыли:
а) снижение затрат на единицу продукции;
б) увеличение объема производства;
в) внедрение прогрессивной технологии;
г) повышение заработной платы персонала;
д) снижение цены на продукцию.
5. Какой из названных вариантов правильно характеризует рентабельность продукции:
а) отношение балансовой прибыли к себестоимости продукции;
б) отношение прибыли от реализации продукции к сумме затрат на производство и реализацию продукции;
в) отношение балансовой прибыли к стоимости имущества предприятия.
6. Рентабельность производства определяется как отношение:
а) прибыли от реализации продукции к выручке от реализации продукции;
б) балансовой прибыли к среднегодовой стоимости основных производственных фондов и нормируемых оборотных средств;
в) балансовой прибыли к объему реализованной продукции.
Укажите правильные варианты ответов.
7. Из числа перечисленных назовите собственные источники финансовых ресурсов предприятия:
а) прибыль предприятия;
б) амортизационные отчисления;
в) бюджетные средства;
г) прибыль от реализации имущества;
д) венчурный капитал.

Практические задания

1. Выручка от реализации продукции составила 800 тыс. руб., затраты на производство и реализацию продукции 680 тыс. руб., прибыль от реализации имущества 15 тыс. руб., прибыль от внереализационных операций 14 тыс. руб., убытки от содержания жилого фонда 45 тыс. руб.
Определите балансовую прибыль и рентабельность продукции.
2. Годовой объем реализации продукции по плану 2 5 млн руб., фактически выпущено продукции на сумму 2,7 млн руб. Плановая себестоимость годового выпуска продукции намечалась в размере 2,3 млн руб., фактически она снизилась на 8%.
Определите плановую и фактическую прибыль, плановый и фактический уровень рентабельности продукции.
3. В базисном и плановом периодах предприятие имеет следующие показатели (табл. 2).
Таблица 2


Вид изделия
Цена без НДС, руб. за изделие
Себестоимость, руб. за изделие
Годовой объем, шт.
базисный год
плановый год
базисный год
плановый год
базисный год
плановый год
А
200
210
180
182
1000
1100
Б
280
300
260
265
1600
1800
В
350
370
310
300
2000
2600

Определите и проанализируйте:
а) прибыль предприятия в базисном и плановом периодах и ее рост;
б) рентабельность по отдельным видам изделий, всей реализованной продукции, а также их рост;
в) прирост прибыли в плановом периоде за счет изменения себестоимости изделий, увеличения объема производства и ассортиментного сдвига.

Тема 20 Оценка эффективности хозяйственной деятельности предприятия и состояния его баланса

Вопросы для обсуждения

1. Сущность и классификация показателей эффективности деятельности предприятия.
2. Система показателей эффективности хозяйственной деятельности предприятия.
3. Анализ финансового положения предприятия.
4. Пути повышения эффективности хозяйственной деятельности предприятия.
5. Бухгалтерский баланс предприятия и его оценка.

Тесты

1. Какие из названных показателей характеризуют экономическую эффективность:
а) прибыль предприятия;
б) рентабельность продукции;
в) производительность труда;
г) себестоимость продукции;
д) фондоотдача.
2. Какие из перечисленных позиций относятся к абсолютным показателям:
а) стоимость основных производственных фондов;
б) объем реализованной продукции;
в) балансовая прибыль;
г) выработка на одного рабочего;
д) размер уставного капитала;
е) фондовооруженность труда.
3. Всесторонний анализ эффективности деятельности предприятия позволяет:
а) оценивать результативность хозяйственной деятельности предприятия;
б) определять производственную мощность предприятия;
в) находить и учитывать факторы, влияющие на величину прибыли;
г) находить оптимальные пути решения проблем предприятия.
Назовите правильные варианты ответов.
4. Какие из перечисленных позиций относятся к внеоборотным активам:
а) патенты, лицензии, товарные знаки;
б) деловая репутация предприятия;
в) незавершенное производство;
г) здания, машины, оборудование;
д) долгосрочные финансовые вложения;
е) готовая продукция.
5. Какие из названных позиций относятся к оборотным активам:
а) сырье и материалы;
б) товары отгруженные;
в) земельные участки;
г) дебиторская задолженность;
д) денежные средства;
е) незавершенное строительство.
6. Какие из названных позиций относятся к пассиву баланса предприятия:
а) уставный капитал;
б) резервный капитал;
в) заемные средства;
г) расходы будущих периодов;
д) кредиторская задолженность;
е) доходы будущих периодов.
7. Какие из названных позиций относятся к краткосрочным обязательствам:
а) кредиты банков, подлежащие погашению в течение 12 месяцев после отчетной даты;
б) задолженность перед персоналом предприятия;
в) займы, подлежащие погашению более чем через 12 месяцев после отчетной даты;
г) задолженность перед бюджетом;
д) задолженность участникам (учредителям) по выплате доходов.

Практические задания

1. Дайте оценку эффективности производственно-хозяйственной деятельности предприятия на основе данных табл. 3.

Таблица 3


Показатели
Базисный год
Отчетный год
Произведено и реализовано продукции, тыс. руб.
300
350
Среднегодовая стоимость основных производственных фондов, тыс. руб.
50
60
Средний остаток оборотных средств, тыс. руб.
40
50
Амортизация, тыс. руб.
10
15
Численность рабочих, человек
20
22
Прибыль от реализации продукции, тыс. руб.
30
40

Определите:
а) фондоотдачу, фондоемкость, фондовооруженность;
б) производительность труда;
в) показатели использования оборотных средств;
г) себестоимость продукции и ее удельный вес в стоимости реализованной продукции;
д) рентабельность продукции и производства;
е) норму амортизации и удельный вес амортизации в себестоимости продукции.
Охарактеризуйте произошедшие изменения в отчетном году по сравнению с базисным годом.
2. Составьте баланс акционерного общества на момент начала деятельности на основе следующих данных, тыс. руб.:
продано акций 350
приобретено здание 160
приобретено оборудование 80
закуплены, получены, но не оплачены материалы (счет не оплачен) 20
Литература
Гражданский кодекс Российской Федерации. М., 1996. Ч.I, II..
Грибов В.Д. Основы бизнеса. М.: Финансы и статистика, 2000.
Грузинов В.П. Экономика предприятия и предпринимательство: Учеб. пособие. М.: Софит, 1994.
Друкер П. Рынок: как выйти в лидеры: Практика и принципы: Пер. с англ. М.: Бук Чембэр Интернэшнл, 1992.
Курс экономической теории: Общие основы экономической теории, микроэкономика, макроэкономика, переходная экономика: Учеб. пособие / Под ред. А.В. Сидоровича.
М.: Изд-во МГУ: ДИС, 1997.
Предпринимательство: Учебник /Под ред. М.Г. Лапусты.
М.: Инфра-М, 2000.
Современный бизнес: Учебник. В 2-х т.: Пер. с англ./ Д.Дж. Речмен, М.Х. Мескон, К.Л.
Боуви, Дж.В. Тилл. М.: Республика, 1995.
Экономика предприятия: Учебник / Под ред. В.П. Грузинова.
М.: ЮНИТИ, 1998.
Экономика предприятия: Учебник/ Под ред. Н.А. Сафронова.
М.: Юрист, 2001.
Экономика предприятия. Тесты, задачи, ситуации / Под ред. В.А.
Швандара. М.: ЮНИТИ, 2001.
Якокка Л. Карьера менеджера: Пер. с англ. М.: Прогресс, 1991.



Состав и структура кадров предприятия.



Тема 8. Трудовые ресурсы предприятия

Вопрос для обсуждения

1. Состав и структура кадров предприятия.
2. Основные аспекты управления персоналом.
3. Понятие и показатели производительности труда.
4. Организация и нормирование труда.
5. Формы и системы оплаты труда.
6. Мотивация труда.

Тесты

1. Какие из названных категорий работников относятся к промышленно-производственному персоналу:
а) рабочие основных цехов;
б) рабочие вспомогательных цехов;
в) специалисты и служащие;
г) работники детского сада;
д) работники подсобного хозяйства.
2. Что характеризует производительность труда:
а) эффективность затрат труда;
б) эффективность использования оборудования;
в) эффективность использования материальных ресурсов.
Укажите правильные варианты ответов.
3. Какие из перечисленных показателей характеризуют уровень производительности труда:
а) фондоотдача;
б) выработка на одного работающего;
в) трудоемкость продукции;
г) фондовооружснность труда.
4. Какие из названных позиций относятся к нормам труда:
а) нормы времени;
б) нормы выработки„
в) нормы расхода материалов;
г) нормы технологических перерывов;
д) нормы обслуживания.
5. Какие из названных позиций входят в состав тарифной системы:
а) тарифные ставки;
б) тарифные сетки;
в) должностные оклады;
г) тарифно-квалификационный справочник;
д) премиальные положения.
6. Сдельная форма оплаты труда предполагает начисление заработной платы в соответствии с количеством:
а) изготовленной продукции;
б) отработанного времени;
в) оказанных услуг;
г) должностным окладом.
Назовите правильные варианты ответов.
7. Повременная форма оплаты труда предполагает начисление заработной платы в соответствии с количеством:
а) произведенной продукции;
б) отработанного времени;
в) оказанных услуг.
Укажите правильный ответ.
8. Какие из названных позиций включает иерархия потребностей по А.Маслоу:
а) физиологические потребности;
б) потребности в жилье;
в) потребности в безопасности;
г) потребности в социальных контактах;
д) потребности в самоутверждении;
е) потребности в повышении квалификации;
ж) потребности в самовыражении.

Практические задания

1. В отчетном году объем выпуска товарной продукции составил 2б0 млн руб.; среднесписочная численность промышленно-производственного персонала предприятия (ППП) 120 человек. В планируемом году объем товарной продукции составит 280 млн руб., а численность ППП сократится на 10 человек.
Определите производительность труда одного работника в отчетном и планируемом периодах, а также рост производительности труда в планируемом году.
2. Определите снижение трудоемкости, высвобождение рабочих и рост производительности труда за счет проведения ряд» организационно-технических мероприятий, используя следующие данные: годовой выпуск изделий составляет 52 тыс. ед., трудоемкость одного изделия уменьшилась с 1 января на 5 мин. и составила 50 мин., полезный годовой фонд времени одного рабочего составляет 1840 ч.
3. Рассчитайте фонд оплаты труда (ФОТ) по следующим данным: объем продукции в базисном году 12 млн руб., объем продукции в планируемом году 15 млн руб. ФОТ в базисном году составлял 2,8 млн руб.; норматив заработной платы в планируемом году из-за структурных изменений в товарной продукции увеличился на 40%.
4. Рассчитайте заработок рабочего за месяц но сдельно-премиальной системе оплаты труда, используя следующие исходные данные: сдельный заработок рабочего 1,8 тыс. руб. в месяц, план выполнен на 105%, по положению о премировании рабочему выплачивается премия за выполнение плана в размере 15% и за каждый процент перевыполнения плана по 2% сдельного заработка.

Тема 9. Стратегия развития предприятия

Вопросы для обсуждения

1. Сущность и типы стратегий.
2. Выбор стратегии деятельности.
3. Функциональные стратегии.

Тесты

l. Какие из названных позиций правильно характеризуют стратегию развития предприятия:
а) прогноз развития предприятия;
б) модель действий для достижения поставленных целей;
в) план развития предприятия.
2. Какие из приведенных характеристик относятся к наступательной стратегии:
а) рассчитана на занятие лидирующего положения на рынке;
б) предполагает удержание своих позиций на рынке;
в) требует значительных финансовых затрат;
г) имеет высокую степень риска.
3. Какие из перечисленных характеристик относятся к сильным сторонам предприятия:
а) высокая квалификация кадров;
б) современная технология производства;
в) ограниченные финансовые ресурсы;
г) хорошая репутация у потребителей;
д) слабое представление о рынке;
е) низкие издержки.
4. Какие из перечисленных факторов характеризуют возможности предприятия:
а) выход на новые рынки;
б) самодовольство среди конкурентов;
в) возможность появления новых конкурентов;
г) добавление сопутствующих товаров;
д) замедление роста рынка;
е) вертикальная интеграция.
5. Какие из названных факторов оказывают ключевое влияние на выбор стратегии предприятия:
а) финансовые возможности;
б) квалификация работников;
в) место размещения предприятия;
г) степень риска, заложенная в стратегии;
д) возраст руководителя предприятия.
6. Какой вариант из перечисленных правильно характеризует функциональные стратегии. Это
а) краткосрочные стратегии;
б) стратегии достижения специфических целей предприятия; в) среднесрочные стратегии.

Тема 10. Планирование деятельности предприятия

Вопросы для обсуждения

1. Сущность планирования. Требования к планированию.
2. Принципы планирования.
3. Виды планирования.

Тесты

1. Какая из названных позиций правильно характеризует сущность плана:
а) прогноз развития предприятия;
б) концепция деятельности предприятия;
в) программа деятельности предприятия.
2. Какая из перечисленных характеристик правильно отражает сущность планирования:
а) выбор варианта оптимального использования потенциала предприятия;
б) поиск лучшего способа достижения целей предприятия; в) определение варианта развития предприятия с минимальными затратами,
3. Какие из названных характеристик правильно характеризуют принцип гибкости планирования:
а) корректировка плана в связи с нехваткой ресурсов;
б) адаптация плана к изменениям внешней среды;
в) корректировка плана в связи со сменой руководства предприятия.
4. Принцип непрерывности планирования означает пересмотр планов:
а) каждый квартал;
б) каждый месяц;
в) каждую декаду.
5. По видам различают планирование:
а) стратегическое;
б) долгосрочное;
в) краткосрочное;
г) текущее;
д) труда и заработной платы;
е) прибыли.
6. Какие из названных позиций правильно характеризуют стратегическое планирование. Это
а) видение предприятия в будущем;
б) наиболее долгосрочное в сравнении с другими видами планирования;
в) детальный план развития предприятия;
г) способ достижения долгосрочных целей предприятия.
7. Какие из названных позиций характеризуют текущий план:
а) это наиболее детальный план работы предприятия;
б) в текущем плане увязываются задачи всех подразделений предприятия;
в) в текущем плане указываются задания по декадам;
г) в текущем плане задания установлены на год с разбивкой по кварталам;

Тема 11. Производственная программа и производственные мощности предприятия

Вопросы для обсуждения

1. Сущность и определение оптимального объема производства продукции.
2. Порядок определения производственной программы.
3. Измерители и показатели объема производства.
4. Понятие и порядок расчета производственной мощности предприятия.
5. Основные элементы, определяющие производственную мощность.

Тесты

1. Какие из названных показателей относятся к стоимостным
показателям производственной программы:
а) реализованная продукция;
б) товарная продукция;
в) прибыль;
г) валовая продукция;
д) себестоимость продукции.
2. В объем валовой продукции включается:
а) объем товарной продукции;
б) объем реализованной продукции;
в) стоимость незавершенного производства;
г) стоимость полуфабрикатов своей выработки.
Укажите правильные варианты ответов.
3. Показатель чистой продукции рассчитывается путем вычитания из объема продаж:
а) материальных затрат;
б) оплаты труда;
в) амортизации.
Назовите правильные варианты ответов.
4. Нормативная стоимость обработки включает:
а) заработную плату производственных рабочих;
б) цеховые расходы;
в) общепроизводственные и общехозяйственные расходы.
Назовите правильные варианты ответов.
5. Расчет производственной мощности предприятия ведется в следующей последовательности:
а) по рабочим местам;
б) по агрегатам и группам технологического оборудования; в) по отделам и службам предприятия;
г) по производственным участкам;
д) по основным цехам и предприятию в целом.
Укажите правильные варианты ответов.
6. Какие из названных позиций относятся к основным факторам, определяющим величину производственной мощности предприятия:
а) состав и количество установленных машин, механизмов, агрегатов;
б) резервное оборудование;
в) степень прогрессивности техники и технологии производства;
г) фонд времени работы оборудования„'
д) количество работающих на предприятии.



Стадия зрелости или оптимального функционирования


О возникновении субъекта хозяйствования свидетельствует факт его регистрации в соответствующих органах исполнительной власти. На этой стадии происходит уточнение сферы деятельности предприятия, определение целей и выбор стратегии деятельности, разработка производственной и организационной структуры предприятия, подбор необходимого персонала, закупка оборудования, сырья, организация производства продукции (услуг) и управления предприятием.
На стадии роста и расширения деятельности предприятия происходит позиционирование его продукции на рынке, поиск лучших партнеров, завоевание своей доли на рынке, обеспечение рентабельной работы предприятия.
Стадия зрелости или оптимального функционирования характеризуется успешной высокоэффективной работой предприятия на основе отработанной технологии и организации производства, прогрессивных форм и методов управления предприятием, активной маркетинговой деятельности.
Если предприятие способно к изменениям, гибко реагирует на динамику внешней среды, быстро адаптируется к потребностям рынка, оно может долгие годы успешно функционировать, не боясь падения рентабельности и банкротства.
Если же предприятие своевременно не реагирует на требования различных стадий жизненного цикла, то дело будет неуклонно приближаться к спаду деловой активности и банкротству.
Однако существуют некоторые условия, выполнение которых помогает сохранить нормальное функционирование предприятия и уменьшить риск банкротства:
избегать излишнего оптимизма, когда кажется, что дело идет успешно;
разрабатывать и осуществлять качественные планы по маркетингу с четкими целями;
систематически делать обоснованные прогнозы по наличности;
идти в ногу с потребностями рынка;
своевременно выявлять критические моменты, которые могут представлять собой угрозу для предприятия.
Руководители предприятия должны обращать внимание на любые изменения в функционировании самого предприятия и в окружающей среде, которые могут быть первыми сигналами о надвигающейся беде.
Наименее жесткая альтернатива банкротству - реорганизация предприятия, цель которой - оживить предприятие. В этом случае разрабатывается и осуществляется план выхода из кризисной ситуации, который может включать слияния, присоединения, разделения, выделения и преобразования предприятия, в результате чего создаются новые, ликвидируются существующие юридические лица, меняется организационно-правовая форма предприятия.
Особой формой реорганизации является реструктуризация Предприятия, которая включает систему мероприятий по улучшению управления на предприятиях, повышению эффективности производства и конкурентоспособности продукции, повышению производительности труда, снижению издержек производства, улучшению финансово-экономических результатов деятельности.
Реструктуризация должна способствовать оздоровлению экономики предприятия, восстановлению платежеспособности и ликвидности, финансовой устойчивости.
В том случае, когда результаты деятельности предприятия ведут к банкротству, может быть проведена санация (оздоровление) предприятия.
Санация - это комплекс мероприятий, направленных на предотвращение банкротства и ликвидацию предприятия. Суть санации состоит в передаче (по решению суда) функций по управлению делами фирмы государственному органу или совету кредиторов из числа уполномоченных специалистов по делам о несостоятельности.
Применение процедуры санации создает реальные возможности для решения следующих задач;
обеспечение выживания предприятия;
заключение мировой сделки между должниками и кредиторами;
достижение лучшей реализации активов предприятия, чем при его ликвидации.
Санация может осуществляться организационными и финансовыми методами. В первом случае проводятся изменения в административном аппарате предприятия, устраняются или сокращаются нерентабельные подразделения. Финансовые меры могут предусматривать выпуск новых акций или облигаций для мобилизации денежного капитала, увеличение банковских кредитов и предоставление бюджетных субсидий, уменьшение дивидендов (процентов) по акциям (облигациям, депозитам), отсрочку их погашения (выплат), перевод краткосрочной задолженности в долгосрочную.
Если санация не принесла ожидаемых результатов, проводится процедура банкротства. В соответствии с Федеральным законом "О несостоятельности (банкротстве) предприятий" от 8 января 1998 г. № 6-83 под несостоятельностью (банкротством) понимается неспособность удовлетворить требования кредиторов по оплате товаров (работ, услуг), включая неспособность обеспечить обязательные платежи в бюджет и внебюджетные фонды.
Основным признаком несостоятельности (банкротства) является приостановление текущих платежей - предприятие не обеспечивает или заведомо не способно обеспечить выполнение требований кредиторов в течение трех месяцев со дня наступления сроков их исполнения. По истечении указанного срока кредиторы предприятия-должника получают право на обращение в арбитражный суд с заявлением о признании его несостоятельным (банкротом). В суд может обратиться с заявлением и сам должник.
Ликвидация предприятия, т.е. прекращение его деятельности, происходит по причине банкротства по решению собственника имущества, либо по решению суда.




Стоимость имущества определяется по бухгалтерскому балансу.



Таким образом. повышение цены на 10% компенсирует сокращение объема реализации на 19,2% и увеличивает прибыль на 56% (с 50 до 78 тыс. руб.).
Что же произойдет с показателями при изменении структуры затрат? Допустим, хлебозаводу в результате модернизации удалось снизить постоянные затраты на 10%. Тогда при первоначальном объеме реализации прибыль должна возрасти на 5,0 тыс. руб. и составить 55,0 тыс. руб. (50 + 5,0), а валовая маржа 102 тыс. руб. Объем реализации, на который может пойти хлебозавод при сохранении прежней прибыли (50 тыс. руб.), составит:


Стоимость имущества определяется по бухгалтерскому балансу.


Эти расчеты можно оформить так, как показано в табл. 19.4.

Таблица 19.4
Анализ чувствительности предприятия при сокращении постоянных расходов на 10%


Показатели
Первоначальный объем, 100 тыс. шт.
Объем, обеспечивающий неизменную прибыль 96,5 тыс./шт.
тыс. руб.
%
тыс. руб.
%
Выручка от реализации
280
100
276
100
Переменные расходы
180
62
174
63
Валовая маржа
100
37
102
37
Постоянные расходы
45
17
45
17
Прибыль
55
20
57
21

Влияние изменения объема реализации проанализируем с помощью эффекта операционного рычага:


Стоимость имущества определяется по бухгалтерскому балансу.


Это означает, что если хлебозавод увеличит объем реализации на 10%, то выручка также возрастет на 10%, а прибыль с учетом действия операционного рычага будет равна 20% (М = 10 2). Проверим полученный результат:
новая выручка при увеличения объема на 10% составит: (280+28) = 308 тыс, руб.;
переменные расходы 180 + 18 = 198 тыс. руб.;
валовая маржа равна 110 тыс. руб.;
постоянные расходы составят 50 тыс. руб.;
Прибыль равна 60,0 тыс. руб.
Как видим, прибыль возросла на 10 тыс. руб. (60 50), т.е. на 20% (10: 50*100).
На основе принятой схемы анализа чувствительности можно определить и распределить элементы рентабельности по степени их влияния на прибыль, получаемую хлебозаводом.
Итак, повышение цены на 10% увеличивает прибыль на 56%; увеличение объема реализации продукции на 10% вызывает рост прибыли на 20%; уменьшение переменных расходов на 10% приводит к росту прибыли на 36%; 10%-ное изменение постоянных расходов увеличивает рост прибыли на 10%.
В связи с этим руководству предприятия важно знать границы, в пределах которых оно может изменять показатели. Это определяется с помощью установления запаса финансовой прочности. Вначале вычисляют порог рентабельности и годовой объем реализации.


Стоимость имущества определяется по бухгалтерскому балансу.



Стоимость имущества определяется по бухгалтерскому балансу.


Ипост постоянные расходы, тыс. руб.;
Rn пороговая рентабельность, тыс. руб.;
Qn пороговый объем реализации, шт.;
апр процент дохода (валовая маржа) от покрытия к выручке от реа-
лизации, %;
Ц цена батона, руб.

Запас финансовой прочности в этом случае составляет:

3пр = (Вp Rn) = 280 тыс. руб. 136 тыс. руб. = 144 тыс. руб.,

или 52% выручки (144: 280*100).
Как видим, хлебозавод имеет большой запас финансовой прочности, позволяющий ему безбоязненно оперировать факторами, влияющими на ее величину. В данном случае руководство хлебозавода должно сосредоточить внимание на ценовой политике и снижении переменных расходов, которые более всего оказывают влияние на получаемую массу прибыли.

19.4. Ассортиментная политика предприятия и ее влияние на формирование пробыли
На выбор ассортимента продукции, выпускаемой предприятием, влияют рыночные и производственные факторы.
К рыночных факторам следует относить: различный уровень эластичности спроса; диверсификацию производства, позволяющую предприятию выжить в условиях рыночных колебаний спроса на отдельные виды продукции, наиболее полное использование условий реализации товара.
Производственные факторы включают: необходимость организации безотходного производства сырья (консервное, сахарное и другие отрасли промышленности); схожесть технологий производства изделий, позволяющую полнее использовать установленном оборудование (вино и безалкогольные напитки); экономию затрат на масштабах производства.
К основным факторам, определяющим конечную производственную программу продукции по ее ассортименту, относят прибыль и ее прирост. Исходным в ее составлении является сравнение рентабельности по каждому виду продукции. В странах с рыночной экономикой для этих целей успешно применяют валовую маржу.
В самом общем случае, чем выше процент валовой маржи, тем рентабельнее данное изделие.
Поскольку на каждом предприятии имеются свои специфические факторы, ограничивающие развитие производственной программы, то сравнительный анализ следует проводить на основе показателя валовой маржи на человеко-час. Если, например, ограничивающим фактором является используемое оборудование, то анализ должен вестись на основе показателя валовой маржи на время использования оборудования.
Однако при разработке ассортиментной политики почти всегда возникают сложности, появляются «узкие места».

19.5. Рентабельность работы предприятия
Для оценки уровня эффективности работы предприятия получаемый результат (валовой доход, прибыль) сопоставляется с затратами или используемыми ресурсами. Соизмерение прибыли с затратами означает рентабельность или, точнее, норму рентабельности.
На практике используются два варианта измерения нормы рентабельности. Это отношение прибыли к текущим затратам издержкам предприятия (себестоимости) или к авансированным вложениям (основным производственным фондам и оборотным средствам). Оба измерителя связаны между собой показателем скорости оборота авансированных вложений:


Стоимость имущества определяется по бухгалтерскому балансу.


где Р прибыль;

Стоимость имущества определяется по бухгалтерскому балансу.
норма прибыли (первый и второй варианты);
Фа, Фз фонды авансирования и фонды себестоимости.

Поскольку число оборотов


Стоимость имущества определяется по бухгалтерскому балансу.


то
Стоимость имущества определяется по бухгалтерскому балансу.

Норму рентабельности предприятия можно рассчитать по следующей формуле:


Стоимость имущества определяется по бухгалтерскому балансу.


где Ц цена единицы продукции;
С себестоимость продукции;
П объем продукции;
Фо стоимость основных производственных фондов;
Фоб объем оборотных средств.
В практике работы предприятий применяется ряд показателей рентабельности.
1. Рентабельность продукции можно рассчитать по всей реализованной продукции и по отдельным ее видам. В первом случае она определяется как отношение прибыли от реализации продукции к затратам на ее производство и реализацию. Рентабельность всей реализованной продукции рассчитывается и как отношение прибыли от реализации товарной продукции к выручке от реализации продукции; отношение балансовой прибыли к выручке от реализации продукции; отношение чистой прибыли к выручке от реализации продукции.
Показатели рентабельности всей реализованной продукции дают представление об эффективности текущих затрат предприятия и доходности реализуемой продукции.
Во втором случае определяется рентабельность отдельных видов продукции. Она зависит от цены, по которой продукция реализуется потребителю, и себестоимости по данному ее виду.
2. Рентабельность производственных фондов (рентабельность производства) рассчитывается как отношение балансовой прибыли к среднегодовой стоимости основных производственных фондов и материальных оборотных средств. Этот показатель можно рассчитать и по чистой прибыли.
3. Рентабельность вложений в предприятие определяется по стоимости имущества, имеющегося в его распоряжении. При расчете используются показатели балансовой и чистой прибыли. Стоимость имущества определяется по бухгалтерскому балансу.
Кроме прибыли при расчете рентабельности вложений можно использовать выручку от реализации продукции. Этот показатель характеризует уровень продаж на 1 руб. вложений в имущество предприятия.
Рентабельность собственных средств предприятия рассчитывается как отношение чистой прибыли к его собственным средствам, определяемым по балансу. Целесообразно рассчитать и отдачу долгосрочных финансовых вложений. Рентабельность долгосрочных финансовых вложений рассчитывается как отношение суммы доходов от ценных бумаг и долевого участия в других предприятиях к общему объему долгосрочных финансовых вложений.
Полученный результат интересно сравнить с рентабельностью производственных фондов. В ряде случаев он может быть выше, чем рентабельность производственных фондов.

19.6. Финансовое обеспечение предприятия
Различают два основных вида финансовых ресурсов, необходимых для деятельности предприятия, долгосрочные финансовые средства в виде основных фондов (капитала) и краткосрочные (текущие) финансовые средства для каждого производственного цикла, т.е. до момента получения дохода от продажи готовой продукции.
При определении потребности в денежных ресурсах необходимо учитывать:
для какой цели требуются денежные средства и на какой период (краткосрочный или долгосрочный);
когда и сколько необходимо денежных средств;
можно ли изыскать необходимые средства в рамках предприятия или придется обращаться к другим источникам;
каковы будут затраты при уплате долгов;
когда можно ожидать возврата вложенных средств и получения дохода? Какова будет величина этого дохода?
Тщательно взвесив все варианты, выбираем наиболее приемлемый источник получения денежных средств.
Источники финансовых ресурсов делятся на собственные и заемные.
Первоначальное формирование финансовых ресурсов происходит в момент учреждения предприятия, когда образуется уставный фонд.



Сущность и назначение бизнес-плана.


7. Какие из названных показателей используются при оценке эффективности инвестиционных проектов:
а) чистый дисконтированный доход;
б) индекс доходности;
в) внутренняя норма доходности;
г) производительность труда;
д) срок окупаемости.
8. Какие из названных факторов обусловливают риски инвестиций:
а) нестабильность экономической ситуации в стране;
б) неопределенность политической ситуации;
в) колебания рыночной конъюнктуры;
г) колебания валютных курсов;
д) нехватка строительной техники.

Практические задания

1. Определите экономическую эффективность капитальных вложений на строительство предприятия, если сметная стоимость строительства составила 50 млн руб., капитальные вложения на создание оборотных средств 25 млн руб., стоимость годового объема продукции в оптовых ценах предприятия 250 млн руб., себестоимость годового объема производства продукции - 225 млн руб., расчетная рентабельность не менее 0,3.
2. Определите чистый дисконтированный доход (ЧДД) и индекс доходности (ИД), если капитальные вложения или единовременные затраты по годам составили, тыс. руб.: 31 = 150, 32 = 250, 33 = 300; чистая прибыль соответственно составила, тыс. руб.: R1 = 0, R2 = 500, R3 = 1500; норма дисконта 100% или Е = 1,0.
3. Определите наиболее эффективный вариант капитальных вложений, если: КВ1 = 500 тыс. руб., КВ2= 700 тыс. руб., себестоимость годового объема производства составила: С1 = 650 тыс. руб., С2 = 550 тыс. руб.; годовой объем производства Q1, = 30 тыс. шт., Q2 = 40 тыс. шт.; рентабельность R = 0,4.
4. Определите сумму возврата за долгосрочный кредит, если авансированные капитальные вложения КВ = 400 тыс. руб., продолжительность кредита t = 4 года, доля капитальных вложений по годам Д = 0,25, годовая процентная ставка за кредит Е = 0,2. Кредит выплачивается ежегодно с учетом процентной ставки.

Тема 17. Бизнес-план предприятия

Вопросы для обсуждения

1. Сущность и назначение бизнес-плана.
2. Описание продукта (услуги) и анализ рынка сбыта.
3. Оценка конкурентов и стратегия маркетинга.
4. План производства и организационный план.
5. Финансовый план.

Тесты

1. Бизнес-план разрабатывается для того, чтобы:
а) проверить реалистичность задуманного;
б) определить способы решения поставленной проблемы;
в) сделать расчет потребности в необходимых ресурсах;
г) сделать расчет производственной мощности предприятия.
Укажите правильные варианты ответов.
2. Какие из названных вопросов должны быть отражены в разделе "Описание продукта (услуги)":
а) какие потребности призван удовлетворять продукт (услуга)?
б) какой полезный эффект можно получить от продукта предприятия?
в) чем отличается продукт предприятия от товара конкурента?
г) какова трудоемкость изготовления изделий?
3. Какие из перечисленных вопросов должны быть в центре внимания в разделе «Анализ рынка сбыта»:
а) кто является потребителями продукции предприятия?
б) каково мнение потребителей о качестве и цене продукта?
в) каков прогноз развития рынка товара?
г) каковы будут затраты на изготовление продукта?
д) каков может быть объем продаж продукции предприятия?
4. Какие из названных вопросов необходимо отразить в разделе «Оценка конкурентов»:
а) кто является вашим конкурентом?
б) каковы отличия вашего товара от товара конкурентов?
в) в чем вы рассчитываете превзойти конкурентов?
г) каковы возможности предприятия для выхода на зарубежные рынки?
д) каковы шансы появления новых конкурентов?
5. Что из перечисленного необходимо отразить в разделе «Стратегия маркетинга»:
а) определение цены на продукты предприятия;
б) формы и способы рекламы;
в) выбор каналов сбыта продукции;
г) методы стимулирования потребителей;
д) определение объема производства.
6. Какие из перечисленных вопросов необходимо проработать в разделе «План производства»:
а) какие мощности потребуются?
б) где и на каких условиях будет закупаться сырье и материалы?
в) какое необходимо оборудование?
г) какова конструкция изделия?
д) намечается ли и с кем производственная кооперация?
е) какова материалоемкость изделия?
7. Какие из названных вопросов необходимо отразить в разделе «Организационный план»:
а) какие специалисты понадобятся?
б) на каких условиях будут привлекаться специалисты?
в) как будет стимулироваться труд сотрудников?
г) какова будет организационная структура предприятия?
д) какие потребуются помещения?
е) как будут распределены обязанности'?
8. Какие вопросы надо проработать в разделе «Финансовый план»:
а) какие средства понадобятся для организации дела?
б) каков будет объем реализации продукции?
в) каковы будут затраты на производство и реализацию продукции?
г) какой объем прибыли возможно получить?
д) какова будет заработная плата сотрудников?

Тема 18. Издержки производства и себестоимость продукции

Вопросы для обсуждения

1. Издержки производства. Классификация издержек.
2. Смета затрат на производство.
3. Калькулирование себестоимости продукции.
4. Резервы и факторы снижения себестоимости продукции.

Тесты

1. Какие из перечисленных позиций относятся к постоянным издержкам производства:
а) амортизация;
б) аренда зданий и оборудования;
в) оплата труда производственных рабочих;
г) страховые взносы;
д) административные расходы;
е) оплата труда руководителей.
2. Какие из названных позиций относятся к переменным издержкам производства:
а) затраты на сырье и материалы;
б) затраты на топливо и энергию;
в) затраты на транспортировку грузов;
г) отчисления на социальные нужды;
д) оплата труда управленческого персонала.
3. В группировку затрат по экономическим элементам входят затраты на:
а) материальные ресурсы;
б) оплату труда;
в) цеховые расходы;
г) амортизацию основных производственных фондов;
д) содержание и эксплуатацию оборудования.
Укажите правильные варианты ответов.
4. В группировку затрат по статьям калькуляции включаются затраты на:
а) сырье и материалы;
б) топливо и электроэнергию на технологические цели;
в) основную и дополнительную заработную плату производственных рабочих;
г) амортизацию основных фондов;
д) общепроизводственные расходы;
е) воспроизводственные расходы.
Назовите правильные варианты ответов.
5. Калькуляция составляется с целью:
а) определения цены продукции;
б) составления сметы затрат на производство;
в) расчета себестоимости единицы продукции;
г) исчисления прямых и косвенных затрат.
Назовите правильный вариант ответа.
6. Какие из названных статей относятся к косвенным расходам:
а) затраты на сырье и материалы;
б) цеховые расходы;
в) расходы на подготовку и освоение производства;
гr) общезаводские расходы;
д) расходы на рекламу.
7. Какие из перечисленных позиций относятся к направлениям снижения издержек производства:
а) использование достижений НТП;
б) совершенствование конструкции изделия;
в) совершенствование организации производства и труда;
г) повышение заработной платы;
д) сокращение потерь материальных ресурсов.

Практические задания

1. Определите относительное и абсолютное изменения себестоимости продукции в связи с изменением объема продукции на основе следующих данных: объем производства по плану составил 100 тыс. изделий; объем производства по отчету 110 тыс. изделий. Затраты на плановый объем производства следующие, тыс. руб.:
сырье для производства продукции 12
полуфабрикаты для производства продукции 4
заработная плата производственных рабочих и отчисления на социальное страхование 60
амортизация оборудования 12
заработная плата и отчисления на социальное страхование административного персонала l0
расходы по содержанию производственных помещений 1
электроэнергия на производственные нужды 14
электроэнергия на освещение служебных помещений 1
2. По отчетным данным установлена экономия материалов за счет снижения норм расхода на 5% и снижения цен на материалы на 2%. Себестоимость товарной продукции по плану составила 112 млн руб., в том числе затраты на материалы 70 млн руб.
Определите влияние указанных факторов на себестоимость продукции.
3. Себестоимость товарной продукции предприятия в отчетном периоде составила 120 млн руб. В плановом периоде намечено повысить производительность труда на 8% и среднюю заработную плату на 5%. Объем производства продукции возрастет на 10% при неизменной величине постоянных расходов.
Удельный вес оплаты труда в себестоимости продукции 30%, а постоянных расходов 20%.
Определите процент снижения себестоимости и полученную экономию под воздействием указанных факторов.
4. В I квартале произведено 10 тыс. изделий по цене 90 руб. за единицу. Постоянные расходы составляют 180 тыс. руб., удельные переменные расходы 60 руб. Во II квартале планируется увеличить прибыль на 10%.
Сколько для этого необходимо произвести продукции.

Тема 19. формирование финансовых результатов деятельности Предприятия

Вопросы для обсуждения

1. Прибыль предприятия, ее сущность и формирование.
2. Максимизация прибыли в зависимости от различных факторов.
3. Анализ чувствительности прибыли к изменениям цены и структуры затрат.
4. Ассортиментная политика предприятия и ее влияние на формирование прибыли.



Сущность и содержание подготовки нового производства


Сопротивления изменениям коренятся в страхе перед неизвестным. Каждый работник должен осознать, что нововведения - это лучшее средство сохранить и укрепить свое предприятие. Более того, необходимо понять, что нововведения - это гарантия занятости и благополучия каждого работника.
Организация инновационной деятельности на основе указанных принципов позволит предприятию продвинуться вперед и добиться успеха. Инновационная деятельность может осуществляться как в рамках предприятий специально созданными для этого подразделениями (так называемые внутренние венчуры), так и самостоятельными венчурными (рисковыми) фирмами.
Внутренние венчуры представляют собой небольшие подразделения, организуемые для разработки и производства новых типов наукоемкой продукции и наделяемые значительной автономией в рамках предприятий. Отбор и финансирование предложений, поступающих от сотрудников предприятия или независимых изобретателей, ведутся специализированными службами. В случае одобрения проекта автор идеи возглавляет внутренний венчур.
Это подразделение функционирует при минимальном административно-хозяйственном вмешательстве со стороны руководства предприятия.
В течение обусловленного срока внутренний венчур должен провести разработку новшества и подготовить новый продукт или изделие к запуску в массовое производство. Как правило, это производство нетрадиционного для данной фирмы изделия.
В Российской Федерации внутренние венчуры созданы на ряде крупных промышленных предприятий, прежде всего, военно-промышленного комплекса (ВПК).
Венчурная фирма - это малое предприятие, специализирующееся на исследованиях и разработках инновационных идей, связанных со значительным риском. Для разработки перспективной идеи привлекается венчурный капитал крупных фирм, заинтересованных в инновациях. Крупная фирма обычно неохотно идет на собственную разработку инновационной идеи со значительным риском. Последствия возможной неудачи для нее намного тяжелее, чем для небольшой фирмы.
Поэтому главным направлением участия крупной фирмы в исследованиях вероятного характера, связанных с разработкой инновационных идей, становится осуществление рискового финансирования небольших фирм-новаторов, специализирующихся на подобных разработках.
Для малых фирм характерны простота управления, широкий простор личной инициативы, возможность проведения гибкой научно-технической политики, активное привлечение к своей деятельности изобретателей. Это обусловливает высокую эффективность деятельности венчурных фирм. Многие из них вносят существенный вклад в инновационный прогресс, разработку новой продукции, прогрессивных технологий.
Об эффективности малых фирм в инновационном процессе свидетельствуют следующие данные: по оценкам Национального научного фонда США, на каждый вложенный в НИОКР доллар фирмы с численностью до 100 человек осуществляли в четыре раза больше нововведений, чем фирмы с занятостью в 100-1000 человек, и в 24 раза больше, чем компании, где занятость свыше 1000 человек. Темпы нововведений у них на треть выше, чем у крупных, кроме этого, небольшим фирмам требуется в среднем 2,22 года, чтобы выйти со своими нововведениями на рынок, тогда как крупным - 3,05 года.
Участие крупных фирм в рисковом финансировании по сравнению с традиционными формами ведения НИОКР обусловлено не только повышенной отдачей, но и их прямой экономической заинтересованностью. Дело в том, что независимые малые фирмы пользуются налоговыми и другими льготами, получают прямую финансовую поддержку в рамках правительственных программ стимулирования научно-технического прогресса. В результате в настоящее время венчурное финансирование во многих странах активно развивается.
Определенное развитие венчурные формы получают и в России.

15.3. Сущность и содержание подготовки нового производства
Сущность и содержание подготовки нового производства

Подготовка производства представляет собой комплекс взаимосвязанных мероприятий, обеспечивающих создание новых и совершенствование выпускаемых видов продукции, внедрение передовой технологии, эффективных методов организации труда, производства и управления.
Подготовка производства включает следующие стадии:
проведение исследований, связанных с подготовкой нового производства;
проектирование новой и совершенствование выпускаемой продукции;
технологическую подготовку производства;
организационно-экономическую подготовку производства. Содержание и порядок работ по подготовке производства регламентируются государственными стандартами:
Единая система конструкторской документации (ЕСКД);
Единая система технологической документации (ЕСТД);
Единая система технологической подготовки производства (ЕСТГТП).
Главная задача подготовки производства - создание и организация выпуска новых конкурентоспособных изделий.
Цель подготовки производства состоит в создании технических, организационных и экономических условий, полностью гарантирующих перевод производственного процесса на более высокий технический и социально-экономический уровень на основе достижений науки и техники, использования различных инноваций для обеспечения эффективной работы предприятия. Рассмотрим содержание основных стадий подготовки производства.
Научные исследования являются основой для развития предприятия, открывают новые возможности и потенциальные источники для коренного преобразования производства. Научно-исследовательские работы (НИР) предназначены для определения наиболее совершенных методов создания новых изделий и технологических процессов, коренного улучшения уже выпускаемой продукции, материалов и способов их обработки. В ходе исследований изучается состояние, определяются пути и методы совершенствования организации и управления производством,
В процессе исследовательской стадии определяются перспективы развития производства и эффективность применения новой или усовершенствованной продукции и технологии. Научные исследования проводятся либо в специальных НИИ, либо в лабораториях предприятия. Исследовательская стадия обычно заканчивается составлением технических условий для проектирования продукции.
На стадии проектирования осуществляется конструкторская подготовка производства, в процессе которой определяется характер продукции, ее конструкция, физико-химические свойства, внешний вид, технико-экономические и другие показатели.
Проектирование новой продукции осуществляется проектно-техническими и научно-исследовательскими институтами, а также конструкторскими отделами и лабораториями предприятий. Целями конструкторской подготовки производства являются:
повышение качества и конкурентоспособности продукции;
обеспечение высокой технологичности конструкции на основе унификации и стандартизации деталей и узлов изделия, что позволяет сокращать трудовые и материальные затраты на проектирование и изготовление изделия;
снижение себестоимости новой продукции за счет совершенствования конструкции изделия, уменьшения расхода сырья и материалов на единицу продукции, снижения эксплуатационных затрат, связанных с использованием продукции;
обеспечение охраны труда и техники безопасности, а также удобств при использовании и ремонте изделий.
Конструкторская подготовка производства, как правило, включает пять этапов:
техническое задание (ТЗ);
технический проект (ТП);
рабочие чертежи опытных образцов;
изготовление, испытание и доводку опытных образцов новых изделий;
разработку рабочих чертежей для серийного производства. Проектирование нового изделия начинается с составления технического (проектного) задания. Оно разрабатывается заказчиком (предприятием) или по его поручению проектной организацией. В техническом задании указываются наименование и назначение нового изделия, технические и экономические показатели в процессе его производства и эксплуатации.
На уровне технического задания должны быть определены принципиальные отличия нового изделия от ранее выпускаемых, даны расчеты эффективности нового изделия как для производителя, так и для потребителя.
Техническое задание разрабатывается на основе результатов выполненных научно-исследовательских и опытно-конструкторских работ (НИОКР), краткосрочного и долгосрочного прогнозирования, данных анализа соответствующих отечественных и зарубежных стандартов, достижений науки и техники. В ТЗ включаются прогнозируемые показатели технического уровня продукции с отражением уровня стандартизации и унификации. ТЗ содержит технико-экономические требования к продукции, определяющие ее потребительские свойства и эффективность применения, перечень документов, требующих совместного рассмотрения, порядок сдачи и приемки результатов разработки.
ТЗ может содержать требования к технологической подготовке производства, проведению экспертизы.
На основе исходных требований, изложенных в техническом задании, на проектирование продукции, маркетинга, условий применения, тенденций развития разработчик проводит необходимые НИХЖН и опытно-технологические работы, включая патентные исследования, функционально-стоимостной анализ, моделирование, художественное конструирование и другие прогрессивные методы создания продукции. При этом разработчик руководствуется нормативно-техническими и другими документами, в которых установлены значения показателей, определяющих технический уровень продукции, требования сопротивляемости внешним воздействиям, взаимозаменяемости и совместимости составных частей и продукции в целом, безопасности, охраны здоровья и природы.



Товарная продукция составляет


наличием квалифицированных специалистов всех уровней, а при необходимости договоров со сторонними организациями по выполнению отдельных работ и услуг.
При разработке производственной программы большое значение имеет правильный выбор способа выражения и единицы измерения заданного объема работ. Для этих целей используются натуральные, трудовые и стоимостные измерители.
Натуральные измерители (штуки, тонны, метры и т.д.) обеспечивают возможность получения количественного выражения и качественной характеристики тех или иных показателей и служат исходными величинами для определения потребности предприятия в рабочей силе, сырье, топливе, электроэнергии, оборудовании, производственных площадях. Однако при применении натуральных измерителей невозможно обобщить различные по характеру натуральные показатели.
Для расширения сферы применения натуральных измерителей используются условно-натуральные измерители. Они применяются в случае планирования производства однородной, однотипной или одноименной продукции. При этом за условную единицу принимают одно из однородных изделий, а все остальные приравнивают к нему по трудоемкости, материалоемкости или по какому-либо другому признаку.
Условно-натуральные измерители позволяют значительно уменьшить номенклатуру. Например, одним числом можно охарактеризовать объем производства тракторов, электродвигателей, тканей, плодово-овощных консервов и т.д.
Трудовые измерители часы и минуты рабочего времени применяются во внутрипроизводственном планировании для оценки трудоемкости единицы продукции и производственной программы. Наиболее распространенный показатель трудоемкость или нормированные затраты рабочего времени на изготовление продукции, выполнение услуги, рассчитываемые в нормо-часах. Если работа не подлежит нормированию по различным причинам, то показатель трудоемкости определяется в человека-часах.
Кроме того, для измерения работы оборудования используется показатель станко-часы.
Показатели трудоемкости производственной программы (нормо-часы, человеко-часы, станко-часы) на первый взгляд вполне приемлемы для измерения объема производства. Однако в связи со снижением трудоемкости продукции человеко-часы не сопоставимы в динамике, поэтому трудовые измерители часто используются во вспомогательных расчетах.
Стоимостные измерители производственной программы носят обобщающий характер и являются универсальными при взаимоувязке всех разделов плана предприятия. В денежном выражении рассчитываются такие показатели, как объем продаж (реализованная продукция), товарная и валовая продукция. чистая и условно-чистая продукция, нормативно-чистая продукция, валовой и внутрипроизводственный оборот, нормативная стоимость обработки.
Обобщающим показателем производственной программы предприятия является объем продаж или реализованная продукция. Первый термин применяется в мировой практике, второйв отечественной. Объем продаж более объективно отражает результат деятельности предприятия как выпускающего товары, так и производящего услуги. Показатель реализованной продукции в соответствии с логикой должен применяться только для предприятий сферы материального производства, выпускающих продукцию.
В условиях рыночной экономики большинство предприятий создают продукцию и выполняют услуги, поэтому показатель объема продаж применим для всех предприятий.
Объем продаж это стоимость товаров и услуг, произведенных и реализованных предприятием за определенный период времени.
Объем реализованной продукции (P) является одним из основных показателей, по которому оцениваются результаты произсобственно-хозяйственной деятельности предприятия. Он рассчитывается по формуле

Р=Т+(Рнп-Ркп),

где Т - объем товарной продукции за определенный период (месяц, квартал, год);
Рнп, Ркп стоимость остатков нереализованной продукции на начало и конец того же периода соответственно.
Товарная продукция это стоимость готовой продукции, полученной в результате производственной деятельности предприятия, законченных работ и услуг, предназначенных для реализации на сторону. На предприятиях с небольшой длительностью производственного цикла незавершенное производство поддерживается на постоянном уровне, показатели валовой и товарной продукции равны. На предприятиях с большой длительностью производственного цикла (например, судостроение) эти показатели значительно различаются.
Объем товарной продукции (Т) определяется по формуле

Т=Тр+Тн,

где Тр стоимость готовых изделий (услуг, работ), предназначенных для реализации на сторону;
Тн стоимость полуфабрикатов своей выработки и продукции вспомогательных и подсобных хозяйств, предназначенных для реализации на сторону.
Валовая продукция характеризует весь объем выполненной работы предприятием за определенный период времени (месяц, квартал, год). В состав валовой продукции входит как законченная, так и незаконченная продукция, так называемое незавершенное производство. Объем валовой продукции (В) определяется по формуле

В = Т + (Нкн Ннп),

где Нкн, Ннп стоимость незавершенного производства на конец и начало периода соответственно.
Пример. Товарная продукция составляет 1 млн руб. Остатки незавершенного производства на конец периода составили 300 тыс. руб., на начало периода 100 тыс. руб.
Валовая продукция = 1000 100 + 300 = 1200 тыс. руб.
При уменьшении остатков незавершенного производства товарная продукция будет больше валовой на разницу остатков. Если незавершенное производство на начало периода составляло 300, а на конец 100 тыс. руб., то валовая продукция составит 800 тыс. руб. (1000 300 + 100).
Реализованная продукция (объем продаж) равна товарной продукции в том случае, если остатки готовой продукции на складе на начало и конец периода остались без изменений. При увеличении остатков на складе объем продаж будет меньше товарной продукции. При уменьшении остатков объем реализации будет больше товарной продукции на величину снижения запасов готовой продукции.
Чистая продукция это вновь созданная стоимость на предприятии. В нее входят оплата труда, выданная в виде заработной платы, оплата труда невыплаченная, но вошедшая в стоимость товара в виде налога и различных начислений, а также прибыль. В чистую продукцию не входит перенесенная стоимость, созданная на других предприятиях (оплата сырья, материалов, энергии, топлива и амортизационные отчисления с основных фондов).

Чистая продукция = Объем продаж Материальные затраты Амортизация.

Чистая продукция на макроэкономическом уровне воплощается в аналогичный по содержанию показатель национальный доход.
Условно-чистая продукция это вновь созданная стоимость, но с учетом амортизационных отчислений.

Условно-чистая продукция = Объем продаж Материальные затраты.

Показатели чистой и условно-чистой продукции используются для анализа структуры стоимости продукции (работ, услуг), планирования фонда оплаты труда. Норматив чистой продукции представляет собой часть цены изделия, включающую основную и дополнительную заработную плату персонала с отчислениями на социальные нужды и нормативную прибыль.
Нормативная стоимость обработки включает заработную плату производственных рабочих с отчислениями на социальные нужды, общепроизводственные и общехозяйственные расходы.
Валовой оборот представляет собой сумму стоимости продукции всех подразделений предприятия.
Для оценки всех вышеперечисленных стоимостных показателей применяются оптовые цены, которые в свою очередь подразделяются на действующие и сопоставимые. Действующие цены используются для текущих расчетов между производителями и покупателями, а сопоставимые (неизменные, фиксированные) для определения динамики. В ряде случаев продукция может быть оценена в розничных или договорных ценах
Разработанные плановые задания должны быть реализованы качественно и в намеченные сроки. Для этого осуществляется оперативное управление производством. Оно включает разработку оперативно-календарных планов (графиков запуска-выпуска изделий), сменно-суточных заданий на уровне цехов, участков (бригад) и рабочих мест и контроля сроков их выполнения.
Оперативное управление производством имеет большое значение для эффективного использования ресурсов предприятия и выполнения заказов в установленные сроки.
В процессе оперативного управления производством достигается четкое взаимодействие органов управления на всех стадиях производственного процесса от получения сырья, материально-технических ресурсов до реализации продукции с целью комплексного и своевременного выполнения плана поставок продукции при наилучшем использовании располагаемых ресурсов.
Таким образом, оперативное управление производством осуществляется на основе непрерывного (повседневного) слежения за ходом производства, оказывая целенаправленное воздействие на коллективы цехов, участков (бригад), рабочих для обеспечения безусловного выполнения утвержденной производственной программы.
Это достигается:
строгим распределением работ на короткие периоды времени (декада, неделя, сутки, смена) в цехах, на производственных участках (бригадах), рабочих местах;
четкой организацией сбора и обработки информации о ходе производства;



Требования государственных стандартов РФ


Однако требования государственных стандартов РФ подлежат обязательному выполнению всеми предприятиями и организациями независимо от форм собственности, если это связано с безопасностью жизни и здоровья людей, их имущества, охраны окружающей среды и т.д. В настоящее время сформировалась Государственная система стандартизации Российской Федерации (ГСС), которая регламентирует процессы построения, изложения и распространения стандартов в Российской Федерации. ГСС включает пять основополагающих стандартов:
ГОСТ Р 1.0-92. Основные положения.
ГОСТ Р 1.2-92. Порядок разработки государственных стандартов.
ГОСТ Р 1.3-92. Порядок согласования, утверждения и регистрации технических условий.
ГОСТ Р 1.4-92. Стандарты предприятия. Общие положения.
ГОСТ Р 1.5-92. Общие требования к построению, изложению, оформлению и содержанию стандартов.
В государственные стандарты Российской Федерации включены следующие положения:
обязательные требования к качеству продукции, работ и услуг, обеспечивающие безопасность для жизни, здоровья и имущества, охрану окружающей среды, обязательные требования техники безопасности и производственной санитарии;
обязательные требования по совместимости и взаимозаменяемости продукции;
обязательные методы контроля, требований к качеству продукции, работ, услуг, обеспечивающих их безопасность для жизни, здоровья людей и имущества, охрану окружающей среды, совместимость и взаимозаменяемость продукции;
основные потребительские и эксплуатационные свойства продукции, требования к упаковке, маркировке, транспортированию и хранению, а также к утилизации продукции;
положения, обеспечивающие техническое единство при разработке, производстве, эксплуатации продукции и оказании услуг, правила обеспечения качества продукции, сохранность и рациональное использование всех видов ресурсов, термины, определения и обозначения, метрологические и другие общетехнические правила и нормы.
В Российской Федерации нормативные документы по стандартизации подразделяются на следующие категории:
государственные стандарты Российской Федерации (ГОСТ);
отраслевые стандарты (ОСТ);
технические условия (ТУ);
стандарты предприятий и объединений предприятий (союзов, ассоциаций, концернов, акционерных обществ, межотраслевых, региональных и других объединений) (СТП);
стандарты научно-технических обществ и инженерных союзов, ассоциаций и других общественных объединений (СТО).
В зависимости от объекта стандартизации, его специфики и содержания разрабатываемых к нему требований стандарты подразделяются на следующие виды:
стандарты основополагающие;
стандарты на продукцию, услуги;
стандарты на процессы;
стандарты на методы контроля, испытаний, измерений, анализа.
Развитие внешнеэкономических связей привело к необходимости выработки стандартного подхода к понятию "производство качественной продукции". Международная организация по стандартизации (ИСО) разработала требования к качеству на международном уровне. Основное назначение международных стандартов - это создание на международном уровне единой методической основы для разработки новых и совершенствования действующих систем качества и их сертификации.
В 1987 г. Международная организация по стандартизации приняла стандарты ИСО серии 9000 по системам качества, которые были разработаны на основе советских (Львовской, Саратовской, Краснодарской, Ярославской и др.), японских и других систем обеспечения или управления качеством продукции.
Международные стандарты ИСО серии 9000 ознаменовали выход стандартизации на качественно новый уровень. Эта серия включает следующие пять стандартов:
ИСО 9000 "Общее руководство качеством и стандарты по обеспечению качества. Руководящие указания по выбору и применению".
ИСО 9001 "Система качества. Модель для обеспечения качества при проектировании и (или) разработке, производстве, монтаже и обслуживании".
ИСО 9002 "Система качества. Модель для обеспечения качества при производстве и монтаже".
ИСО 9003 "Система качества. Модель для обеспечения качества при окончательном контроле и испытаниях".
ИСО 9004 "Общее руководство качеством и элементы системы качества. Руководящие указания".
Стандарты ИСО серии 9000 установили единый признанный в мире подход к договорным условиям по оценке систем качества и одновременно регламентировали отношения между производителями и потребителями продукции.
Иными словами, стандарты ИСО четко ориентированы на потребителя при строгом соблюдении культуры производства. Во многих промышленно развитых странах эти стандарты приняты как национальные (Австрия, Великобритания, Германия,
Швеция и др.).
Учитывая прогрессивный характер международных стандартов ИСО серии 9000 и их регулирующую роль при выходе на внешний рынок и образовании прямых хозяйственных связей, в нашей стране стандарты ИСО 9001, ИСО 9002 и ИСО 9003 приняты для прямого использования в виде следующих трех Государственных стандартов качества: ГОСТ Р ИСО 9001-96, ГОСТ Р ИСО 9002-96 и ГОСТ Р ИСО 9003-96.

12.3. Управление качеством продукции
Требования государственных стандартов РФ

Под управлением качеством продукции понимают постоянный, планомерный, целеустремленный процесс воздействия на всех уровнях на факторы и условия, обеспечивающий создание продукции оптимального качества и полноценное ее использование1.
До недавнего времени при решении проблем качества предприятия ориентировались на технический уровень качества продукции без учета потребностей рынка.
Вместе с тем, следует отметить, что отечественная система управления качеством внесла существенный вклад в развитие подходов к управлению качеством продукции во всем мире. В этом вопросе отечественный опыт учтен при разработке международных стандартов по системам качества.
Система качества, регламентированная международным стандартом ИСО 9004, охватывает весь жизненный цикл изделия от проектирования до утилизации и распространяется на такие элементы системы, как маркетинг, материально-техническое обеспечение, сбыт, обслуживание.
Системный подход к управлению качеством продукции предполагает четкое взаимодействие всех отделов и органов управления предприятием.
Система управления качеством продукции представляет собой совокупность управленческих органов и объектов управления, мероприятий, методов и средств, направленных на установление, обеспечение и поддержание высокого уровня качества продукции. Система управления качеством продукции включает следующие функции:
Функции стратегического, тактического и оперативного управления.
Функции принятия решений, управляющих воздействий, анализа и учета, информационно-контрольные.
Функции специализированные и общие для всех стадий жизненного цикла продукции.
Функции управления по научно-техническим, производственным, экономическим и социальным факторам и условиям.
В соответствии с международными стандартами ИСО серии 9000 выделяются политика в области качества и непосредственно система качества, включающая обеспечение, улучшение и управление качеством продукции.
Политика в области качества может быть сформулирована в виде направления деятельности или долгосрочной цели и может предусматривать:
улучшение экономического положения предприятия;
расширение или завоевание новых рынков сбыта;
достижение технического уровня продукции, превышающего уровень ведущих фирм;
ориентацию на удовлетворение требований потребителей определенных отраслей или регионов;
освоение изделий, функциональные возможности которых реализуются на новых принципах;
улучшение важнейших показателей качества продукции;
снижение уровня дефектности изготавливаемой продукции;
увеличение сроков гарантии на продукцию;
развитие сервиса.
В соответствии со стандартами ИСО жизненный цикл продукции, который обозначается как петля качества, включает 11 этапов (рис 12.1).


Требования государственных стандартов РФ


С помощью петли качества осуществляется взаимосвязь изготовителя продукции с потребителем, со всей системой, обеспечивающей решение задачи управления качеством продукции.
Таким образом, обеспечение качества продукции - это совокупность планируемых и систематически проводимых мероприятий, создающих необходимые условия для выполнения каждого этапа "петли качества", чтобы продукция удовлетворяла требованиям к качеству.
В условиях конкурентной борьбы предприятия смогут успешно развиваться, внедряя системное управление качеством продукции. В настоящее время растущая требовательность к улучшению качества изделий - одна из характерных черт развития мирового рынка.
Всеобщее (тотальное) управление качеством (TQC), осуществляемое фирмами Западной Европы, США и Японии, предполагает три обязательных условия.
Качество как основная стратегическая цель деятельности признается высшим руководством фирм. При этом устанавливаются конкретные задачи и выделяются средства для их решения. Поскольку требования к качеству определяет потребитель, не может существовать такого понятия, как постоянный уровень качества.
Качество должно постоянно возрастать, ибо качество -это постоянно меняющаяся цель.
Мероприятия по повышению качества должны затрагивать все подразделения без исключения. Опыт показывает, что 80-90% мероприятий не контролируется отделами качества и надежности.



Удовлетворенные потребности не мотивируют людей.


Иерархия потребностей по А.Маслоу и способы их удовлетворения представлены на 8.1.

Удовлетворенные потребности не мотивируют людей.


Модель А. Маслоу имеет форму пирамиды, поскольку, чем выше уровень потребностей в иерархии, тем для меньшего числа людей они становятся реальными мотиваторами поведения.
Неудовлетворенные потребности побуждают людей к активным действиям. Удовлетворенные потребности уже не мотивируют людей. При этом потребности, находящиеся ближе к основанию пирамиды, требуют удовлетворения в первую очередь.
Потребности более высокого уровня активнее побуждают человека к действиям после того, как в основном удовлетворены потребности более низкого уровня.
К физиологическим относятся потребности, удовлетворение которых обеспечивает человеку элементарное выживание. Это потребности в пище, воде, жилье, отдыхе и т.д. Для этого необходимы минимальный уровень заработной платы и сносные условия труда.
Потребности в безопасности и уверенности в будущем удовлетворяются с помощью заработной платы, превышающей минимальный уровень. Люди в рамках потребностей этого рода оценивают свою работу, прежде всего, с позиций обеспечения их стабильного существования в настоящее время и на перспективу. Для такого человека важны гарантии работы с оплатой выше прожиточного уровня, пенсионного обеспечения, медицинского обслуживания.
Дополнительную мотивацию труда создают внутрифирменные льготы для работников. К их числу относятся: льготное питание, оплата расходов на проезд работников до работы и обратно, предоставление работникам беспроцентных ссуд, продажа работникам продукции предприятия со скидкой и др.
Без удовлетворения потребностей первого и второго уровня. которые можно считать первичными, невозможна нормальная жизнедеятельность человека.
Потребности в социальных контактах выражаются в том, что человек стремится к участию в совместных действиях, жаждет дружбы, нуждается в поддержке со стороны окружающих, признании его заслуг, хочет быть членом той или иной общности людей. Для удовлетворения этих потребностей необходимы участие человека в групповой работе, коллективном творчестве, внимание к нему со стороны руководителя, уважение товарищей, создание благоприятной социальной культуры в коллективе.
Потребности в самоутверждении отражают стремление людей быть компетентными, сильными, способными, уверенными в себе, признанными со стороны окружающих. Они удовлетворяются путем приобретения компетенции, завоевания авторитета, лидерства, известности, получения публичного признания. Здесь эффективно присвоение титулов и званий, признание заслуг человека в публичных выступлениях руководителей, вручение различного рода наград, продвижение работников по службе, повышение квалификации и др.
Потребности в самовыражении характеризуют стремление человека к максимальному применению своих знаний, способностей, навыков. Для удовлетворения таких потребностей целесообразно давать человеку трудные и сложные задания, позволяющие продемонстрировать и претворить в жизнь его способности, предоставлять свободу творчества, выбора средств и методов решения поставленных задач.
Задача руководителя - знать людей, наблюдать за ними, чтобы определить, какие активные потребности движут ими и на этой основе более эффективно использовать потенциал работников предприятия.

8.7. Рынок труда
Удовлетворенные потребности не мотивируют людей.

Рабочая сила, будучи товаром, реализует себя на рынке труда, представляющем собой социально-экономические отношения по поводу найма рабочей силы и ее использования между работодателем и рабочей силой. На рынке фиксируются ставки заработной платы и условия занятости. Все это происходит с учетом профессии, работы, занятости.
Занятость - это деятельность граждан, связанная с удовлетворением личных и общественных потребностей на основе получения ими заработка (трудовой доход). Она имеет несколько видов, представленных на 8.2.


Удовлетворенные потребности не мотивируют людей.


Величина рынка труда определяется как трудовыми ресурсами, так и масштабами развития производительных сил. Трудовые ресурсы - часть населения, занятая в народном хозяйстве или способная работать, но не работающая по тем или иным причинам (домохозяйки, учащиеся с отрывом от производства и др.). В состав трудовых ресурсов включаются: население в трудоспособном возрасте (мужчины 16-59 лет, женщины 16-54 лет), кроме неработающих инвалидов 1-й и 2-й групп и неработающих лиц, получающих пенсию на льготных условиях, фактически работающие подростки и пенсионеры.
Для любого товарного рынка присущи свои особенности. Характерной чертой рынка труда, отличающей его от любого товарного рынка, является то, что наем и использование рабочей силы происходят на основе добровольности как' работника, так и работодателя и обеспечения социальных гарантий со стороны государства.
Рынок труда, как и любой другой товарный рынок, основан на спросе и предложении. Спрос и предложение осуществляются в форме потребности на занятие свободных рабочих мест и выполнения работ, а предложение - в наличии незанятой рабочей силы или желании изменить место работы. Спрос и предложение осуществляются в конкурентной борьбе между работниками за занятие того или иного рабочего места или выполнение работы и между работодателями за привлечение нужной рабочей силы как по своему количественному, так и качественному составу.

Вопросы для повторения

  1. Что представляет собой уставный капитал предприятия?
  2. Назовите состав имущества предприятия.
  3. Что такое экономические ресурсы предприятия?
  4. Какой капитал называется основным?
  5. Что такое амортизационные отчисления?
  6. Назовите показатели эффективности использования основного капитала.
  7. В чем состоят сущность и назначение оборотного капитала?
  8. Назовите основные стадии кругооборота оборотных средств.
  9. Какие факторы определяют потребность в оборотных средствах?
  10. С какой целью осуществляется управление запасами?
  11. Назовите показатели использования оборотных средств.
  12. Какие элементы включает работа с кадрами?
  13. назовите основные действия по подбору кадров.
  14. С какой целью осуществляется оценка работы кадров?
  15. Назовите показатели производительности труда.
  16. Назовите формы и системы оплаты труда.
  17. Что представляет собой рынок труда?
РАЗДЕЛ ТРЕТИЙ. Экономический механизм деятельности предприятия




Виды предпринимательства и их особенности.


4. Предприятие производит 30 ед. продукции в месяц, при этом постоянные издержки составляют 4,5 тыс. руб., переменные-400 руб. на одно изделие, прибыли планируется получить 3 тыс. руб.
Определите методом «средние издержки плюс прибыль» цену на товар, которую должно установить предприятие.

Тема 14. Предпринимательство, сущность и виды предпринимательства

Вопрос для обсуждения

1. Сущность и основные черты предпринимательской деятельности.
2. Виды предпринимательства и их особенности.
3. Малые предприятия и их роль в развитии экономики России.

Тесты

1. Какие из названных положений являются отличительными чертами предпринимательства:
а) самостоятельность и экономическая свобода деятельности;
б) деятельность предпринимателя связана с риском и неопределенностью успеха начатого дела;
в) это любая деятельность, приносящая приоыль;
г) это творческая деятельность. направленная на поиск и реализацию инноваций.
2. Субъектом предпринимательства могут быть:
а) дееспособные физические лица;
б) юридические лица коммерческие организации;
в) граждане РФ любого возраста;
г) граждане иностранных государств;
д) лица без гражданства;
е) работники милиции, военнослужащие.
Назовите правильные варианты ответов.
3. Какие из названных позиций правильно характеризуют права предпринимателей:
а) самостоятельно планировать свою деятельность;
б) самостоятельно устанавливать формы и системы оплаты труда;
в) устанавливать заработную плату ниже прожиточного минимума;
г) открывать счета в любых банках;
д) заниматься внешнеэкономической деятельностью;
е) получать помощь из бюджета в случае банкротства.
4. Какие из названных положений правильно характеризуют производственное предпринимательство:
а) это производство продукции, работ, услуг;
б) это наиболее распространенный вид предпринимательства в России;
в) основное поле деятельности производственные предприятия;
г) это наиболее рисковое предпринимательство;
д) это самый простой вид предпринимательства.
5. Какие из названных вариантов правильно характеризуют коммерческое предпринимательство:
а) его содержание составляют торгово-обменные операции„ б) это наименее распространенный вид предпринимательства в России;
в) требует хорошего знания рыночной конъюнктуры;
г) как правило, не требует особого специального образования; д) это наиболее сложный вид предпринимательства.
6. Какие из названных позиций правильно характеризуют финансовое предпринимательство:
а) его содержанием является купля-продажа денег, валюты, ценных бумаг;
б) основное поле деятельности банки, фондовые, валютные биржи;
в) не требует специального образования;
г) требует наличия достоверной информации.
7. Какие из названных положений правильно характеризуют достоинства малых предприятий:
а) быстро адаптируются к требованиям рынка:
б) не требуют крупных вложений при организации дела;
в) имеют малую степень риска;
г) имеют низкие управленческие расходы;
д) сфера их деятельности не ограничена;
е) имеют льготы по налогообложению.
8. Какие из перечисленных положений правильно характеризуют роль малого предпринимательства в рыночной экономике:
а) его развитие создает новые рабочие места;
б) способствует насыщению рынка разнообразными товарами и услугами„
в) является основой развития тяжелой промышленности;
г) оно обеспечивает ряд нужд крупных предприятий.

Тема 15. Инновационная деятельность предприятия и подготовка нового производства

Вопроса для обсуждения

1. Понятие и классификация инноваций.
2. Роль инноваций в развитии предприятия.
3. Содержание инновационной деятельности.
4. Организация инновационной деятельности.
5. Сущность и содержание подготовки нового производства.

Тесты

1. Какие из предложенных вариантов можно назвать новшеством:
а) новый вид продукции;
6) новый вид услуг;
в) новая технология;
г) новый обычай;
д) изобретение;
е) новый порядок.
2. Назовите правильные варианты из перечисленных, что Й.Шумпетер понимал под нововведениями:
а) использование новой техники;
б) изобретения;
в) использование нового сырья;
г) изменения в организации производства;
д) появление новых рынков сбыта„.
е) открытия.
3. Какие из названных вариантов включает инновационная деятельность:
а) выявление проблем предприятия;
б) поиск инновационных идеи;
в) оценка финансовых возможностей предприятия;
г) осуществление инновационной деятельности;
д) повышение квалификации персонала;
е) организация инновационной деятельности.
4. Какие из перечисленных позиций относятся к внутренним источникам инноваций:
а) успех, неудача в деятельности предприятия;
б) неконгруэнтность;
в) демографические изменения.„
г) нововведения, основанные на потребностях процесса;
д) новые знания.
5. Назовите правильные варианты ответов из числа названных по поводу того, что и как нужно делать в процессе инновационной деятельности:
а) инновация должна соответствовать нуждам, желаниям людей;
б) инновация должна быть простой и иметь точную цель; в) инновация не должна быть нацелена на лидерство на рынке;
г) внедрение инновации необходимо начинать масштабно, с размахом;
д) не разбрасывайтесь, не пытайтесь делать несколько вещей сразу.
6. Какие из перечисленных положений необходимо учесть при организации эффективной инновационной деятельности:
а) создание в структуре предприятия обособленного инновационного подразделения;
б) формирование команды из лучших работников предприятия, освобожденных от текущей работы;
в) назначение работника, персонально ответственного за успех инноваций;
г) проведение оценки эффективности вложений в разработку инноваций одновременно с анализом эффективности вложений в текущее производство;
д) формирование в коллективе атмосферы восприятия нового как благоприятной возможности.
7. Какие из перечисленных положений включает подготовка нового производства:
а) проведение исследований, связанных с подготовкой нового производства;
б) проектирование новой и совершенствование выпускаемой продукции;
в) изготовление опытных образцов;
г) технологическая подготовка производства;
д) расчет производственной мощности предприятия;
е) организационно-экономическая подготовка производства.
8. Из перечисленных ниже назовите этапы работы, относящиеся к конструкторской подготовке производства:
а) составление технического задания;
б) разработка технического проекта;
в) разработка проекта организации производства;
г) подготовка рабочих чертежей опытных образцов;
д) испытание и доводка опытных образцов новых изделий; е) разработка рабочих чертежей для серийного производства.
9. Назовите, какие из перечисленных вопросов решаются в процессе технологической подготовки производства:
а) отработка конструкции нового изделия на его технологичность;
б) разработка технологических процессов изготовления изделия;
в) проектирование специальной оснастки и оборудования;
г) определение потребности в оборудовании и его планировка.
д) определение потребности в сырье и материалах;
е) определение потребности в рабочей силе;
ж) проектирование межоперационного транспорта и контроля.

Тема 16. Инвестиционная деятельность предприятия

Вопросы для обсуждения

l. Сущность и содержание инвестиционной деятельности предприятия.
2. Этапы разработки и реализации инвестиционного проекта.
3. Методы оценки и показатели эффективности инвестиционных проектов.
4. Риски инвестиционных проектов.

Тесты

1. Какие из перечисленных позиций можно отнести к вещественным инвестициям:
а) акции и другие ценные бумаги;
б) машины, оборудование;
в) здания, сооружения;
г) земельные участки;
д) денежные средства;
е) лицензии.
2. Какие из названных вариантов относятся к объектам инвестиционной деятельности:
а) вновь создаваемые основные фонды;
б) модернизируемые основные фонды;
в) ценные бумаги;
г) научно-технические исследования;
д) покупка путевок в санатории;
е) приобретение лицензий.
3. Какие из названных позиций относятся к собственным источникам финансирования инвестиционной деятельности;
а) прибыль предприятия;
б) амортизационные отчисления;
в) банковские кредиты;
г) страховые выплаты;
д) средства, полученные от продажи акций;
е) накопления предприятий.
4. Какие из названных затрат входят в состав капитальных вложений:
а) на строительно-монтажные работы;
б) на приобретение машин и оборудования;
в) на приобретение сырья и материалов„
г) на НИОКР;
д) на проектно-изыскательские работы.
5. Какие из названных позиций относятся к важнейшим направлениям использования капитальных вложений:
а) новое строительство;
б) расширение действующего предприятия;
в) реконструкция действующего предприятия;
г) приобретение акций;
д) техническое перевооружение предприятия.
6. Перечисленные этапы дополните недостающими этапами разработки и реализации инвестиционного проекта:
а) формирование инвестиционного замысла (идеи);
б) исследование условий реализации инвестиционного проекта;
в) технико-экономическое обоснование (ТЭО) проекта;
г) приобретение, аренда или отвод земельного участка;
д) подготовка контрактной документации.



Влияние гуманистической составляющей качества.


Особое внимание уделяется повышению качества на таких этапах, как НИОКР, что обусловлено резким сокращением срока создания новых изделий. Не прекращающийся процесс обучения (ориентирован на определенное рабочее место) и повышение мотивации персонала.
Современное развитие системы управления качеством получило в результате перехода от тотального управления качеством (TQC) к тотальному менеджменту качества (TQM).
Если TQC - это управление качеством с целью выполнения установленных требований, то TQM - еще и управление целями и самими требованиями. В TQM также включается и обеспечение качества, которое трактуется как система мер, вызывающая у потребителя уверенность в качестве продукции.
Система TQM является комплексной системой, ориентированной на постоянное улучшение качества, минимизацию производственных затрат и поставку точно в срок. Основная идеология TQM базируется на принципе - улучшению нет предела. Применительно к качеству действует целевая установка - стремление к "0 дефектов", к "0 непроизводительных затрат", к поставкам точно в срок.
При этом осознается, что достичь этих пределов невозможно, однако необходимо постоянно к этому стремиться и не останавливаться на достигнутых результатах. Эта идеология имеет специальный термин - "постоянное улучшение качества" (quality improvement).
В системе TQM используются методы управления качеством, адекватные целям. Одними из ключевых особенностей системы являются использование коллективных форм и методов поиска, анализа и решения проблем, постоянное участие в улучшении качества всего коллектива.
Особое место в мировой практике управления качеством продукции занимают кружки качества как форма привлечения работников предприятия к осознанному участию в процессе повышения качества продукции, имиджа фирмы и собственного благополучия. Кружки качества впервые появились в Японии в 1962 г. и стали важным фактором повышения качества и конкурентоспособности продукции, что в значительной мере способствовало выдвижению Японии в число лидеров на мировом рынке товаров. С конца 70-х гг. движение по созданию кружков качества приняло массовый характер во многих странах мира (Венгрия, США, Франция, ФРГ, Швеция, Югославия и др.).
Их широкому распространению способствовала активная пропаганда, многочисленные публикации, устройство конференций и семинаров.
Кружок качества - это небольшая группа (от 3 до 12 человек) рабочих или служащих одного производственного подразделения, которые регулярно (один раз в неделю) собираются и в течение часа (в рабочее или нерабочее время) обсуждают проблемы, возникшие в их работе. Коллективными силами под руководством лидера находят пути решения производственных задач и сами претворяют их в жизнь или с помощью специалистов.
Основными целями кружков качества являются:
содействие вкладу в рост и развитие компании;
создание атмосферы, в которой проявляется уважение к каждому члену трудового коллектива;
активизация использования человеческого фактора.
В последние годы в развитых странах усилилось влияние общества на предприятия, а предприятия стали все больше учитывать интересы общества. Это привело к появлению стандартов ИСО 14000, устанавливающих требования к системам качества с точки зрения защиты окружающей среды и безопасности продукции.
Сертификация систем качества на соответствие стандартам ИСО 14000 становится не менее популярной, чем на соответствие стандартам ИСО 9000. Существенно возросло влияние гуманистической составляющей качества. Усиливается внимание руководителей предприятий к удовлетворению потребностей своего персонала.

12.4. Сертификация продукции
Влияние гуманистической составляющей качества.

Одним из гарантов выпуска высококачественной продукции является ее сертификация. Сертификация - это совокупность действий и процедур, подтверждающих соответствие фактических характеристик продукции требованиям стандартов или технических условий.
Сертификация появилась в связи с необходимостью защитить внутренний рынок от продукции, не пригодной к использованию. Вопросы безопасности, защиты здоровья и окружающей среды заставляют законодательную власть, с одной стороны, устанавливать ответственность поставщика (производителя, продавца и др.) за ввод в обращение недоброкачественной продукции, с другой стороны, устанавливать обязательные к выполнению требования, касающиеся характеристик продукции, вводимой в обращение.
Переход на рыночные отношения, активизация внешнеэкономической деятельности настоятельно требуют проведения работ по сертификации продукции исходя из международных требований.
Сертификация основана на проведении испытаний и оценке условий производства сертифицируемой продукции, контроле за выполнением этих процедур и надзоре за качеством продукции со стороны независимого органа. Сочетание всех этих операций позволяет установить в нормативно-технической документации (НТД) и контролировать любые важные для потребителя характеристики продукции. Поэтому сертификация - не только надежная гарантия строгого их соответствия установленным требованиям и источник достоверной информации о таком соответствии, но и эффективное средство и стимул повышения качества продукции.
В практике различных стран встречаются различные системы сертификации, которые классифицируются по следующим направлениям. В зависимости от круга участников сертификация может быть национальной, международной, региональной, многосторонней, двухсторонней. По правовому признаку сертификация может быть обязательной и добровольной, по процедуре проведения - самосертификация, которая согласно терминологии ИСО называется "заявлением о соответствии" и сертификация третьей стороной.
В качестве национального органа по сертификации в Российской Федерации определен Госстандарт России.
Обязательной сертификации подлежат те изделия или показатели качества, которые могут оказать нежелательное воздействие на человека или окружающую среду, а также другие показатели и качественные характеристики, которые ограничиваются правительственными актами-регламентациями. Например, обязательной сертификации подлежат продукты питания, автомобили, самолеты, электрооборудование, газовые приборы, строительные материалы и др. Продукцию, подлежащую обязательной сертификации и не прошедшую ее, производитель не имеет права не только реализовать, но и производить.
Добровольная система сертификации предусматривает сертификацию продукции только по инициативе ее изготовителя. В этом случае он вправе сертифицировать свою продукцию на соответствие любым требованиям НТД, в том числе зарубежной. Данный вид сертификации может дать очень многое в повышении конкурентоспособности продукции.
Самосертификация допускается для надежного партнера. Она широко распространена в Германии, Голландии, Канаде, США, Японии и др. При этом сертификаты на изделия выдает само предприятие строго под свою ответственность.
Сертификация третьей стороной, т.е. посредническая сертификация, предусматривает участие сторонней организации, независимой от участвующих в вопросе стороне. Сторонняя организация оценивает и подтверждает правильность проводимых мероприятий в соответствии с принятыми правилами, осуществляет испытание образцов, надзор за состоянием технического процесса.
Сертификация третьей стороной может осуществляться как в рамках своей страны, так и в зарубежных центрах, имеющих высокий международный авторитет. Сертификационный знак, выданный престижным испытательным центром, является лучшей рекламой продукции.
Продукция, прошедшая сертификацию, отмечается следующим образом:
выдается документ - сертификат соответствия;
продукция маркируется знаком соответствия;
продукция заносится в список изделий, разрешенных к продаже, который имеется в сертификационных центрах.
Сертификат выдается на единичную мощность изделия (автоматическую линию, прокатный стан, пресс и др.); на массовую продукцию выдается знак соответствия, который должен наноситься под контролем Главного контролера сертификационного центра и только на изделие из выпущенной партии или на их упаковку, или на то и другое.
Постепенное формирование организационно-технического механизма проведения сертификации осуществляется и в нашей стране. Основополагающим документом федерального уровня в области сертификации являются "Правила по проведению сертификации в Российской Федерации". Данные правила применяются при организации работ по обязательной и добровольной сертификации, служат основой для создания систем (правил) сертификации однородной продукции.
Положения данного документа разрабатывались с учетом действующих в международной и европейской практике сертификации и аккредитации нормативных документов. Это позволяет обеспечить признание сертификатов и знаков соответствия за рубежом. Такое признание в России (соответственно российских за рубежом) осуществляется на основе многосторонних и двухсторонних соглашений, участником которых является Российская Федерация.
Обязательная сертификация в стране, как это предусмотрено Законом РФ "О сертификации продукции и услуг" вводится законодательными актами РФ для определенной продукции и проводится уполномоченными на то федеральными органами исполнительной власти.



Внедрение групповых методов обработки.


Величина, обратная такту, называется ритмом поточной линии; наличием специального межоперационного транспорта для передачи предметов труда с операции на операцию.
Основной структурной единицей поточного производства является поточная линия. Поточная линия представляет собой совокупность рабочих мест, расположенных по ходу технологического процесса, предназначенных для выполнения закрепленных за ним операций и связанных между собой специальными видами межоперационных транспортных средств. В условиях потока наиболее часто применяются разнообразные приводные транспортные средства - конвейеры.
На конвейере непрерывного действия технологические операции выполняются во время движения изделия. При пульсирующем характере работы конвейер останавливается на время выполнения операций.
Поточный метод организации производственного процесса можно применять при соблюдении следующих условий:
объем выпуска продукции достаточно большой, а изделия конструктивно не изменяются в течение длительного периода времени, что не всегда соответствует потребностям рынка;
затраты времени по операциям могут быть установлены с достаточной точностью, синхронизированы и сведены к одной или кратной величине;
обеспечивается непрерывная подача к рабочим местам материалов, деталей, сборочных узлов и полная загрузка оборудования.
Поточные линии весьма разнообразны и характерны для массового производства. Наибольшее распространение они получили в легкой и пищевой промышленности, машиностроении, металлообработке и других отраслях.
Поточный метод организации производственного процесса характеризуется высокой эффективностью, которая обеспечивается высоким уровнем использования всех принципов организации производства.
Эффективность проявляется;
в повышении производительности труда за счет сокращения перерывов в изготовлении продукции, механизации производственного процесса, специализации рабочих мест и т.д.;
в ускорении оборачиваемости оборотных средств за счет сокращения цикла обработки;
в снижении себестоимости продукции.
В то же время поточная организация производственного процесса имеет и недостатки:
монотонная, однообразная работа на конвейерах является причиной низкой удовлетворенности трудом рабочих и способствует увеличению текучести кадров;
изделие должно быть полностью подготовлено к производству, так как любая его "доводка" потребует остановки всего конвейера;
вся поточная линия может остановиться из-за поломки одного станка или выбытия одного рабочего.
В целях уменьшения негативного влияния недостатков поточного метода организации производственного процесса могут применяться следующие меры:
организация работы при переменных в течение дня такте и скорости поточной линии;
перевод рабочих в течение смены с одной операции на другую;
применение многооперационных машин, требующих регулярного переключения внимания рабочих на разные процессы;
меры материального стимулирования;
внедрение агрегатно-групповых методов организации производственного процесса, поточных линий со свободным ритмом;
подготовка дублеров для работы на поточной линии.
Основными направлениями повышения социально-экономической эффективности поточного производства являются внедрение полуавтоматических и автоматических поточных линий, применение роботов и автоматических манипуляторов для выполнения монотонных операций.
Партионный метод организации производства имеет следующие характерные черты:
запуск в производство изделий партиями;
обработка одновременно продукции нескольких наименований;
закрепление за рабочим местом выполнения нескольких операций;
широкое применение наряду со специализированным универсального оборудования;
использование кадров высокой квалификации, широкой специализации;
преимущественное расположение оборудования по группам однотипных станков.
Наибольшее распространение партионные методы организации получили в серийном и мелкосерийном производствах, в заготовительных цехах массового и крупносерийного производства, использующих высокопроизводительное оборудование, превосходящее своей мощностью пропускную способность сопряженных станков и машин в последующих подразделениях.
По показателям экономической эффективности (росту производительности труда, использованию оборудования, снижению себестоимости, оборачиваемости оборотных средств) партионные методы значительно уступают поточным. Частая смена номенклатуры изготавливаемой продукции и связанная с этим переналадка оборудования, увеличение запасов незавершенного производства и другие факторы ухудшают финансово-экономические результаты деятельности предприятия. Однако появляются возможности для более полного удовлетворения спроса потребителей на различные разновидности продукции, увеличения доли на рынке, повышения содержательности труда рабочих.
Важнейшими направлениями повышения эффективности партионного метода являются следующие. Во-первых, внедрение групповых методов обработки. Их сущность заключается в том, что все детали, входящие в состав различных изделий, объединяются в группы по определенным признакам: конструкторского и технологического сходства, однородности используемого оборудования, однотипности применяемой оснастки и т.д.
Из каждой группы выделяется деталь-представитель, обладающая присущими всем остальным деталям конструкторскими и технологическими особенностями. В случае невозможности выделения такой детали, она проектируется. Именно на комплексную деталь-представитель разрабатываются групповой технологический процесс, технологическая оснастка и подбирается оборудование.
Использование групповых методов обработки создает предпосылки для организации предметно-замкнутых участков, когда технологический цикл замыкается в пределах этих участков, широкого использования универсально-сборных и групповых приспособлений, что, в конечном счете, обеспечивает снижение затрат времени на переналадку оборудования, уменьшение длительности производственного цикла, сокращение размеров станочного парка и т.д.
Вторым важным направлением повышения эффективности партионного метода является внедрение гибких автоматизированных производств на основе гибких производственных систем (ГПС).
Гибкая производственная система представляет собой совокупность или отдельную единицу технологического оборудования и системы обеспечения его функционирования в автоматическом режиме, обладающую свойствами автоматизированной переналадки на производство изделий произвольной номенклатуры в установленных пределах значений их характеристик. Ее использование позволяет распространить преимущества автоматизации на мелко- и среднесерийное производство, обеспечить выпуск продукции малыми партиями и чрезвычайно высокую адаптацию к требованиям рынка, способность быстро реагировать на спрос потребителей. Конечно, следует иметь в виду, что внедрение гибких автоматизированных производств на базе ГПС сопровождается немалыми единовременными затратами.
Экономическая целесообразность принятия решения об их использовании требует тщательного обоснования и расчета эффективности внедрения.
Единичный метод организации производства предполагает изготовление продукции в единичных экземплярах или небольшими неповторяющимися партиями. Он применяется при изготовлении сложного уникального оборудования (прокатные станы, турбины и т.д.), специальной оснастки, в опытном производстве, при выполнении отдельных видов ремонтов и т.п.
Отличительными особенностями единичного метода организации производства являются;
большая неповторяющаяся номенклатура продукции;
использование универсального оборудования и специальной оснастки;
расположение оборудования по группам однотипных станков;
разработка укрупненной технологии;
использование рабочих с широкой специализацией высокой квалификации;
значительный удельный вес работ с использованием ручного труда;
сложная система организации материально-технического обеспечения, создающая большие запасы незавершенного производства, а также на складе;
и, как результат предыдущих характеристик, высокие затраты на производство и реализацию продукции, низкие оборачиваемость оборотных средств и уровень использования оборудования.
Направлениями повышения эффективности единичного метода организации производства являются развитие стандартизации, унификация деталей и узлов, внедрение групповых методов обработки.


Вопросы для повторения

  1. Что понимается под экономикой предприятия?
  2. Назовите основные факторы развития производства.
  3. Какие элементы составляют структуру национальной экономики?
  4. Назовите количественные и качественные признаки классификации предприятий.
  5. Назовите организационно-правовые формы предприятий в России.
  6. Что понимается под производственной структурой предприятия?
  7. Какие организационные структуры объединяются общим понятием «бюрократические»?
  8. Какие организационные структуры называются адаптивными?
  9. Что включает инфраструктура предприятия?
  10. Что такое единичное производство?
  11. Назовите отличительные особенности серийного производства.
  12. В чем состоят особенности массового производства?
  13. Что такое производственный процесс?
  14. Из каких элементов складывается длительность производственного цикла?
  15. Назовите принципы организации производственного цикла.
РАЗДЕЛ ВТОРОЙ.Ресурсы предприятия и показатели их использования




Внутренняя норма доходности


Внутренняя норма доходности (ВНД) инвестиций представляет собой ту норму дисконта (E), при которой величина проведенного эффекта равна приведенным инвестиционным вложениям, т.е. Е (ВНД) определяется из равенства


(16.7)

Величина нормы доходности, рассчитанная по этой формуле, сравнивается с требуемой инвестором величиной дохода на капитал. Если ВНД равна или больше требуемой нормы доходности, то проект считается эффективным.
Окупаемость. Этот показатель важен с позиции знания времени возврата первоначальных вложений, т.е. окупятся ли инвестиции в течение срока их жизненного цикла?
Окупаемость рассчитывается по следующей формуле:


(16.8)

где Кок окупаемость, месяцы (годы);
С чистые инвестиции, руб.;
Дср среднегодовой приток денежных средств от проекта, руб.
Вместе с тем с экономической точки зрения просто возврат вложенных средств неприемлем, поскольку инвестор должен зарабатывать прибыль на инвестированные средства. Из этого следует, что он должен получать прибыль в течение всего жизненного цикла инвестиций (оборудование, освоение нового проекта и т.д.) после наступления срока окупаемости.
Рассмотрим это на примере ввода одного из элементов (оборудование) автоматизированной линии по производству конфет. Стоимость данной установки 100 тыс. долл. США. Она одновременно является начальной суммой вложения.
Жизненный цикл вводимого оборудования шесть лет, прибыль на инвестиции 20%. В этом случае возврат инвестиций в размере 100 тыс. долл. США при ставке 20% и среднегодовом притоке денежных средств в 25 тыс. долл. США выглядит следующим образом (табл.
16.1).

Таблица 16.1
Возврат инвестиций в объеме l00 тыс. долл. США при ставке 20%


Год
Инвестиции, начальная сумма, долл. США
Прибыль 20%
Приток денежных средств от проекта, долл. США
Конечная сумма, долл. США
1-й
1000 000
20 000
25 000
85 000
2-й
85 000
17 000
25 000
68 000
3-й
68 000
11 600
25 000
54 600
4-й
54 600
10 920
25 000
40 520
5-й
40 520
8104
25 000
26 624
6-й
23 624
4725
25 000
3 349

Из табл.16.1 следует, что срок окупаемости составляет 4 года. Если проект на этом закончится, то вмененные издержки достигнут 40 520 долл. США.
Вместе с тем показатель окупаемости не является критерием доходности проекта, так как он не отражает жизненный цикл инвестиций. Поэтому на практике инвестиции рассматриваются в терминах доходности к первоначальному вложению и рассчитываются по формуле:




где RИ доход на инвестиции, %;
МН прибыль после уплаты налогов. руб.;
К инвестиции (начальные).
В оценке доходности инвестиций важно обращать внимание на изменение стоимости денег во времени, о чем уже говорилось выше. Для перевода денежных потоков в эквивалентные денежные суммы безотносительно времени их появления используют начисления по ставке сложного процента дисконтирования.
На практике инвестор из двух предложений по инвестированию предпочитает то, которое даст доход раньше, поскольку это позволяет ему снова инвестировать доход и зарабатывать прибыль. В противном случае (имеется в виду ожидание более позднего срока получения дохода) он несет потери.
То же самое происходит и когда инвестор имеет возможность выбора между немедленным или более поздним вложением средств. По тем же причинам он выберет второй вариант, чтобы получить прибыль в течение времени отсрочки платежа. Из этого следует, что стоимость денег влияет на график их получения или вложения. Покажем это на простом примере: чтобы заработать 8%, вычисляем текущую дисконтированную стоимость, составляющую 1000 руб., которые будут получены через год:


руб.,

где СД текущая дисконтированная стоимость, руб.;
r - ставка процента.
Как видим, при доходе 8% получаемые через год 1000 руб. эквиваленты сегодняшним 925,9 руб., т.е. инвестированные сегодня 925,9 руб. через год дадут 1000 руб. Это означает, что инвестору выгодно заплатить сегодня 925,9 руб. за контракт, который принесет ему через год 1000 руб.
Чем длиннее период ожидания, тем меньше текущая дисконтированная стоимость денег, которые будут получены в будущем, потому что каждый дополнительный период ожидания увеличивает возможность заработать прибыль в течение данного срока.
Основная проблема, возникающая в связи с необходимостью осуществления инвестиций, состоит в выборе (при дефиците финансовых ресурсов) тех инвестиций, которые предположительно дадут желаемый уровень доходности при приемлемой степени риска.
Стоимость капитала, как правило, обусловливается его источником (собственный капитал, коммерческий кредит, долгосрочные обязательства), а также их спросом и предложением на рынке. Зная стоимость капитала из различных источников, можно определить средневзвешенную стоимость капитала предприятия WEIGHTED COST OF CAPITAL) и решить, как его использовать, путем сравнения стоимости капитала предприятия с различными ставками доходности.
Минимальная ставка доходности это уровень, достаточный для компенсации риска от внедрения проекта и влияния издержек из-за упущенных возможностей.
Рассмотренные выше показатели, судя по практическому опыту, не могут стать единственной основой для принятия решения об инвестировании. Здесь важно учитывать и другие факторы, которые не всегда поддаются количественной оценке, а требуют содержательного анализа: общей складывающейся экономической конъюнктуры, конкурентной среды, способности менеджеров осуществлять инвестиции, организационных моментов и др.
При осуществлении капитальных вложений прежде всего необходимо уяснить, что дает предприятию их реализация, а также определить возможные альтернативы данных вложений. Американский ученый 3.Хелферт в работе «Техника финансового анализа» указывает: «Никакие существенные инвестиции не должны предприниматься до тех пор, пока анализ не даст ответ на первые два вопроса, представленные на дереве решений» ( 1б.1).


Внутренняя норма доходности


При определении эффективности инвестиционного проекта необходимо учитывать риски, связанные с его осуществлением.
В условиях рыночных отношений направление инвестиций в создание новых и модернизацию основных фондов связано с риском их осуществления.
Возникновение рисков обусловливается рядом обстоятельств:
нестабильностью экономического законодательства и текущей экономической ситуации, нестабильностью условий инвестирования и использования прибыли;
неопределенностью политической ситуации, риском, связанным с неблагоприятными социально-экономическими изменениями в стране, регионе;
неполнотой или неточностей информации о динамике технико-экономических показателей, параметрах новой техники и технологии;
колебаниями рыночной конъюнктуры, цен, валютных курсов и т.д.;
неопределенностью природно-климатических условий, возможностью стихийных бедствий;
неполнотой или неточностью информации о финансовом положении и деловой репутации предприятий-участников (возможность неплатежей, банкротств, срывов договорных обязательств).
Поэтому, осуществляя инвестиции, предприятия должны разработать организационно-экономический механизм реализации проекта, позволяющий снизить риск или уменьшить связанные с ним неблагоприятные последствия. Для этого необходимо:
разработать сценарии, предусматривающие соответствующие действия участников при тех или иных изменениях в реализации проекта;
предусмотреть механизмы стабилизации, обеспечивающие защиту интересов участников при неблагоприятном изменении условий реализации проекта, в том числе, когда цели проекта будут достигнуты не полностью. В этих случаях нужно рассчитать варианты возможных действий участников и способы противодействия им. Это могут быть, например, снижение риска за счет дополнительных затрат на создание резервов и запасов, совершенствование технологий, использование различных форм страхования, залог имущества.
Создание такого механизма требует дополнительных затрат, которые следует учитывать при определении экономической эффективности проекта.
В странах с рыночной экономикой для учета факторов риска используется так называемый метод устойчивости, состоящий из ряда сценариев наиболее вероятных вариантов реализации проекта или наиболее «опасных» ситуаций. По каждому сценарию устанавливаются вероятностные доходы, потери и показатели эффективности.
Проект считается устойчивым и эффективным, если во всех установленных ситуациях соблюдаются интересы участников, а возможные неблагоприятные последствия устраняются за счет созданных запасов или возмещаются страховыми выплатами.
Степень устойчивости проекта по отношению к возможным изменениям условий реализации может быть охарактеризована показателями предельного уровня объемов производства, цен производимой продукции и т.д. Предельное значение параметров проекта для некоторого t-го года его реализации определяется как такое же значение данного параметра в t-м году, при котором чистая прибыль участника в этом году становится нулевой.
Одним из важных показателей этого типа является точка безубыточности, характеризующая объем продаж, при котором выручка от реализации продукции совпадает с издержками производства (см.главу 18). Точка безубыточности (Тб) определяется по формуле


(16.10)

где Ц цена единицы продукции;
Иуп условно-постоянные издержки;
Иупер условно-переменные издержки.
В общем случае расчет интегрального эффекта рекомендуется производить по следующей формуле:




где Эож ожидаемый интегральный эффект проекта;
Эmax, Эmin наибольшее и наименьшее значения из математических ожиданий интегрального эффекта по допустимым вероятным распределениям;
л специальный норматив для учета неопределенного эффекта (рекомендуется принимать на уровне 0,3).




Время выполнения вспомогательных о операций


Время выполнения вспомогательных операций включает:
контроль качества обработки изделия;
контроль режимов работы оборудования, их настройку, мелкий ремонт;
уборку рабочего места;
транспортировку материалов, заготовок;
приемку и уборку обработанной продукции.
Время выполнения основных и вспомогательных операции составляет рабочий период.
Время перерывов обусловлено режимом труда, межоперационным пролеживанием деталей, а также недостатками в организации труда и производства. Соответственно перерывы могут быть разделены на три группы.
1. Перерывы, связанные с установленным на предприятии режимом работы: нерабочие дни и смены, междусменные и обеденные перерывы внутрисменные регламентированные перерывы для отдыха рабочих и т.п.
2. Перерывы межоперационные, обусловленные организационно-технологическими причинами: перерывы ожидания, вызванные несинхронностью длительности смежных операций технологического процесса, когда предыдущая операция заканчивается раньше, чем освобождается рабочее место для выполнения следующей операции; перерывы комплектования, возникающие в тех случаях, когда детали и узлы пролеживают в связи с незаконченностью изготовления других деталей, входящих в комплект.
3. Перерывы, связанные с простоями оборудования и рабочих по различным организационным и техническим причинам, не предусмотренным режимом работы: отсутствие сырья, энергии, поломка оборудования, невыход рабочих на работу и др.
Расчет длительности производственного цикла (Тц) производится по формуле

Тц = То+ Тв+ Тп,

где То время выполнения основных операций;
Тв время выполнения вспомогательных о операции;
Тп время перерывов.
Производственный цикл один из важнейших технико-экономических показателей, который является исходным для расчета многих показателей производственно-хозяйственной деятельности предприятия. На его основе рассчитываются производственные мощности предприятия и его подразделений, устанавливаются сроки запуска изделия с учетом сроков его выпуска, определяется объем незавершенного производства, осуществляются другие планово-производственные расчеты.
Сокращение длительности производственного цикла один из важнейших источников интенсификации и повышения эффективности производства на предприятиях. Чем быстрее совершается производственный процесс (меньше длительность производственного цикла), тем лучше используется производственный потенциал предприятия„выше производительность труда, меньше объем незавершенного производства, ниже себестоимость продукции.
Длительность производственного цикла зависит от сложности и трудоемкости изготовления продукции, уровня техники и технологии, механизации и автоматизации основных и вспомогательных операций, режима работы предприятия, организации бесперебойного обеспечения рабочих мест материалами и полуфабрикатами, а также всем необходимым для нормальной работяг (энергия, инструменты, приспособления и т.п.).
Длительность производственного цикла в значительной степени определяется видом сочетания операций и порядком передачи предмета труда от одного рабочего места к другому.
Сугиествует три види сочетания операций:
последовательный,
параллельный;
параллельно-последовательный.
При последовательном движении обработка партии деталей на каждой последующей операции начинается после окончания обработки всей партии на предыдущей операции. Длительность производственного цикла при последовательном сочетании операций рассчитывается по формуле

Т(посл)=


где n число деталей в партии;
т число операций обработки деталей;
ti. время выполнения каждой операции мин.
При параллельном движении передача деталей на последующую операцию осуществляется поштучно или транспортной партией сразу после обработки на предыдущей операции. В этом случае длительность производственного цикла рассчитывается по формуле




где Р размер транспортной партии;
tmax время выполнения наиболее продолжительной операции, мин.
При параллельном порядке выполнения операций обеспечивается наиболее короткий производственный цикл. Однако на отдельных операциях при этом возникают простои рабочих и оборудования, вызываемые неодинаковой продолжительностью отдельных операций. Это говорит о том, что их параллельное сочетание не всегда является рациональным.
В этом случае более эффективным может быть параллельно-последовательное сочетание операций.
При параллельно-последовательном виде движения деталей с операции на операцию они передаются транспортными партиями или поштучно. При этом происходит частичное совмещение времени выполнения смежных операций таким образом, что вся партия обрабатывается на каждой операции без перерывов. При таком сочетании операций продолжительность производственного цикла больше, чем при параллельном, но гораздо меньше, чем при последовательном, и может быть определена по формуле




где
суммарная экономия времени по сравнению с последовательным видом движения за счет частичного перекрытия времени выполнения каждой пары смежных операций.

4.4. Принципы организации производственного процесса
Время выполнения вспомогательных о операций

В целях рациональной организации производственного процесса необходимо соблюдение ряда принципов, т.е. тех исходных положений, на основе которых осуществляются построение, функционирование и развитие производства.
Принцип специализации означает разделение труда между отдельными подразделениями предприятия и рабочими местами и их кооперирование в процессе производства. Реализация этого принципа предполагает закрепление за каждым рабочим местом и каждым подразделением строго ограниченной номенклатуры работ, деталей или изделий.
Принцип пропорциональности предполагает относительно равную производительность в единицу времени взаимосвязанных подразделений предприятия. Несоблюдение принципа пропорциональности ведет к диспропорциям, вследствие чего ухудшается использование оборудования и рабочей силы, возрастает длительность производственного цикла, увеличиваются заделы.
Принцип параллельности предусматривает одновременное выполнение отдельных операций или частей производственного процесса. Этот принцип базируется на положении о том, что части производственного процесса должны быть совмещены во времени и выполняться одновременно. Соблюдение принципа параллельности ведет к сокращению длительности производственного цикла, экономии рабочего времени.
Принцип прямоточности предполагает такую организацию производственного процесса, при которой обеспечивается кратчайший путь движения предметов труда от запуска сырья и материалов до получения готовой продукции. Соблюдение принципа прямоточности ведет к упорядочению грузопотоков, сокращению грузооборота, уменьшению затрат на транспортировку материалов, деталей и готовых изделий.
Принцип ритмичности означает, что весь производственный процесс и составляющие его части по изготовлению заданного количества продукции повторяются через равные промежутки времени. Различают ритмичность выпуска продукции, ритмичность работы и ритмичность производства.
Ритмичностью выпуска называется выпуск одинакового или равномерно увеличивающегося (уменьшающегося) количества продукции за равные отрезки времени. Ритмичность работы - это выполнение равных объемов работ (по количеству и составу) за равные интервалы времени. Ритмичность производства означает соблюдение ритмичного выпуска продукции и ритмичность работы.
Принцип непрерывности предполагает сокращение или ликвидацию перерывов в процессе производства готовой продукции. Принцип непрерывности реализуется в таких формах организации производственного процесса, при которых все его операции осуществляются непрерывно, без перебоев, и все предметы труда непрерывно движутся с операции на операцию. Это сокращает время на изготовление продукции и уменьшает простои оборудования и рабочих.
Принцип технической оснащенности ориентирует на механизацию и автоматизацию производственного процесса, устранение ручного, монотонного, тяжелого, вредного для здоровья человека труда. Соблюдение принципов организации производственных процессов имеет большое практическое значение, оно способствует рациональному использованию потенциала предприятия и повышению эффективности его работы.

4.5. Методы организации производственного процесса
Время выполнения вспомогательных о операций

Термин "организация" происходит от французского слова "organisahion" и означает устройство, сочетание кого-либо или чего-либо в единое целое. Организация предполагает внутреннюю упорядоченность частей целого как средство достижения желаемого результата.
Применяемые методы организации производственного процесса можно разделить на три вида:
поточные;
партионные;
единичные.
Поточный метод характеризуется:
глубоким расчленением производственного процесса на операции;
четкой специализацией рабочих мест на выполнении определенных операций;
параллельным выполнением операций на всех рабочих местах;
расположением оборудования по ходу технологического процесса;
высоким уровнем непрерывности производственного процесса, достигаемым обеспечением равенства или кратности продолжительности операций такту потока. Такт - промежуток времени между запуском (или выпуском) двух смежных изделий на поточной линии.





    Экономика: Знания - Циклы - Макроэкономика