Стратегия развития предприятий реального сектора экономики


Российскими аналитиками недавно был проведен анализ оценок руководителями отечественных предприятий основных проблем и приоритетных задач в управлении их организациями. Авторами этих исследований была обработана информация об оценках руководителей 146 предприятий, из которых затем были выделены 10 предприятий-лидеров и 10 предприятий-аутсайдеров /27/. Проведенная обработка исходной информации показала, что у руководителей промышленных предприятий сложилась устойчивая структура интересов, которые можно объединить в 6 групп:
  1. текущая обстановка;
  2. критика существующего положения;
  3. перспективы развития;
  4. взаимоотношение с органами власти;
  5. управление и персонал;
  6. другие интересы.
Результаты анализа представлены в таблице 1:
Таблица 1. Результаты выявления структуры интересов у руководителей российских промышленных предприятий в 1999 году, %.
Таблица 1

Группа интересов
Вся выборка
10 предприятий-лидеров
10 предприятий-аутсайдеров
1
2
3
4
1. Текущая обстановка
50
39
25
2. Критика существующего положения
16
9
51
3. Перспективы развития
12
20
5
4. Взаимоотношения с органами власти
10
6
9
5. Управление и персонал
5
24
3
6. Другие
7
2
7
Итого:
100
100
100

Результаты анализа свидетельствуют о том, что у предприятий-лидеров принципиально другая структура распределения приоритетов мнений руководителей, где существенное внимание уделяется вопросам управления предприятием и взаимоотношениям в коллективе, а также перспективам развития. "Руководители предприятий-лидеров не бездействуют, они ищут и находят свое положение во внешней среде, ставят глобальные цели и вырабатывают стратегии, не забывая и о решении социальных вопросов" /27/.
Итак, несмотря на все трудности настоящего времени, есть ряд предприятий, где успешно преодолеваются проблемы, вызываемые нестабильностью внешней среды. Эти предприятия заботятся о своем будущем: формулируют цели развития, строят планы и вырабатывают стратегии действий, активно занимаются работой с персоналом, максимально используя его потенциал. Деятельность руководителей таких предприятий вполне соответствует требованиям современного менеджмента.
Их можно отнести к руководителям лидерского типа. Авторы книги "Реижиниринг корпорации. Манифест революции в бизнесе", описывающие концепцию внутрифирменного менеджмента (пока еще недостаточно используемую в российских условиях), считают: "Выживание в сегодняшнем мире требует сильного лидерства в руководстве фирмой, концентрации внимания на клиентах и их нуждах, а также незаурядного уровня проектирования и осуществления бизнес-процессов".
По признанию большинства руководителей и аналитиков основной причиной успехов\неудач, сопутствующих нашим предприятиям является присутствие\отсутствие хорошо организованной, сплоченной команды профессионалов (особенно в управлении).






  1. Стратегия как промежуточный результат стратегической деятельности предприятия
Начиная теоретическую часть представленной работы, необходимо в первую очередь отметить, что стратегия развития предприятия вырабатывается в ходе реализации процесса стратегического планирования (далее - СП), проводимого на предприятии. По существу это результирующий объект работ по СП. Вообще же понятию стратегии развития в данном контексте сопутствуют два этапа стратегической деятельности специализированной команды предприятия:

  1. работы по СП - выработка набора стратегий, начиная от базовой стратегии предприятия и заканчивая функциональными стратегиями и отдельными проектами;
  2. работы по стратегическому управлению - реализация определённой стратегии во времени, корректировка стратегии в свете новых обстоятельств.
Томпсон и Стрикленд /17/ выделяют "5 задач стратегического менеджмента:

  1. определение вида коммерческой деятельности и формирование стратегических направлений ее развития - т.е. необходимо обозначить цели и долгосрочные перспективы развития;
  2. превращение общих целей в конкретные направления работы;
  3. эффективная реализация выбранной стратегии;
  4. оценка проделанной работы, анализ ситуации на рынке, внесение корректив в долгосрочные основные направления деятельности, в цели, в стратегию или ее осуществление в свете приобретенного опыта, изменившихся условий, новых идей или новых возможностей".
Стратегическое управление можно рассматривать как совокупность пяти взаимосвязанных управленческих процессов:

  1. анализ среды
  2. определение миссии и целей
  3. выбор стратегии
  4. выполнение стратегии
  5. оценка и контроль выполнения
Самым первым в реализации процесса СП должна стать выработка стратегического видения или миссии фирмы, ее предназначения. Важно отметить, что миссия организации должна формулироваться в качественных, а не в количественных терминах. Так иногда компании ошибочно формулируют свою миссию в терминах прибыли, что является результатом выбранной стратегии и тактики фирмы.
Миссия же - это ориентир, к которому намеревается двигаться компания в своем развитии, причина ее существования. Миссия детализирует статус предприятия и обеспечивает направление и ориентиры для определения целей и стратегий на различных организационных уровнях. Формулировка миссии предприятия должна содержать следующее:

  1. сфера деятельности предприятия;
  2. задача предприятия с точки зрения его основных услуг или изделий, его основных рынков и основных технологий;
  3. внешняя среда по отношению к фирме, которая определяет рабочие принципы предприятия;
  4. культура организации (тип рабочего климата, существующего внутри предприятия).
После формулировки миссии следует определение целей, направленных на претворение в жизнь выбранной миссии. Цели подразумевают под собой перечень уже конкретных достижений, планируемых фирмой на видимый срок. Цели могут быть краткосрочными и долгосрочными. Причем вторые имеют приоритет в реализации перед первыми (исключая вариант с кризисным состоянием компании). Кроме того, существуют стратегические и финансовые цели.
Первые относятся к конкурентоспособности фирмы, а вторые - к таким показателям деятельности, как объем прибыли, размеры дивидендов и т.д. В случае многоуровневой организации со сложной организационной структурой необходимо общие цели разбить на несколько конкретных задач для каждого подразделения. Таким образом, достигается очень важная составляющая плодотворной работы - появляется общая заинтересованность в достижении результатов.
Хорошо проработанные цели должны обладать рядом характеристик:
1. Цели должны быть достижимыми.
2. Цели должны быть гибкими - оставлять возможность для изменения и корректировки.
3. Цели должны быть измеримы - они должны быть сформулированы так, что бы можно было количественно измерить.
4. Цели должны быть конкретными - должны быть зафиксированы, определены сроки и методы их достижения.
5. Цели должны быть совместимыми - совместимость предполагает, что долгосрочные цели соответствуют миссии, а краткосрочные - долгосрочным.
6. Цели не должны противоречить друг другу и быть взаимно комплексно увязаны.
Важно поставить сложные, но достижимые цели, т.к. это подталкивает организацию к постоянному развитию, совершенствованию.
Определившись с целями, т.е. с желаемыми результатами, менеджеры должны выработать стратегию по их достижению.
Здесь остановимся подробнее на понятии стратегии.
Слово “стратегия” произошло от греческого strategos, “искусство генерала”, которое с большим успехом использовал еще Александр Македонский.
А.Чандлер, автор одной из пионерских работ в области стратегического планирования, считает, что стратегия - “это определение основных долгосрочных целей и задач предприятия и утверждение курса действий и распределения ресурсов, необходимых для достижения этих целей” /19/. Определение стратегии Чандлера д ополняется требованием экономичности для принимаемых курсов действий: “Стратегическая альтернатива определяется путём сопоставления возможностей и ресурсов корпорации с учётом приемлемого уровня риска” /19/.
Таким образом, стратегию можно рассматривать как долгосрочное качественно определенное направление развития организации, касающееся сферы, средств и формы ее деятельности, системы взаимоотношений внутри организации, а также позиции организации к окружающей среде, приводящее организацию к ее целям. Стратегия представляет собой набор правил, которыми руководствуется организация при принятии управленческих решений, чтобы обеспечить осуществление миссии и достижение хозяйственных целей организации. Одна из важных задач стратегии состоит в том, чтобы путем разработки комплексного плана с учетом влияния факторов внешней и внутренней среды максимально повысить возможность достижения поставленных целей. Учитывая комплексный характер разработки стратегии, вырабатываются:

  1. стратегия маркетинга,
  2. финансовая стратегия,
  3. стратегия НИОКР,
  4. стратегия производства,
  5. социальная стратегия,
  6. стратегия организационных изменений,
  7. экологическая стратегия.
По Томпсону и Стрикленду /17/ стратегия должна сочетать проактивность и реактивность. Т.е. стратегия должна быть "гибкой" по отношению к неожиданным изменениям и легко адаптируемой к новым условиям.

Инвестиционное обеспечение реализации стратегии развития


В работе проведено его инвестиционное обоснование. Второй заключается в создании в результате проведения процесса вертикальной интеграции на предприятии подразделения, занимающегося строительством и реконструкцией теплотрасс, водопроводных и канализационных систем. Используя при этом металлопродукцию, произведенную самим предприятием. Это позволит значительно снизить затраты на строительство этих систем (экономия на материальных затратах).
Кроме того, найден новый рынок сбыта продукции завода, произведена диверсификация его производства, внедрение всех направлений стратегии его развития. Этот проект представлен в качестве инженерной части - обоснование строительства водопроводной сети на заводе "Станомет".



  1. Инвестиционное обеспечение реализации стратегии развития на примере АООТ "Челябинский трубопрокатный завод".

Оценка эффективности инвестиционного проекта будет проводиться на основании наиболее часто используемого в настоящее время подхода: сопоставление дисконтированных денежных потоков. В данном случае определяются 4 показателя эффективности:

  • интегральный экономический эффект;
  • срок окупаемости;
  • индекс прибыльности;
  • внутренняя норма прибыли.
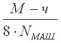
Экономический смысл первого из них - в превышении полных дисконтированных результатов над полными дисконтированными затратами: Эt =
Инвестиционное обеспечение реализации стратегии развития
, (3.1)
где Тр - продолжительность расчетного периода;
Rt - притоки денежных средств в момент t;
Zt - оттоки денежных средств в момент t;
t - коэффициент дисконтирования.
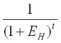
t =
Инвестиционное обеспечение реализации стратегии развития
, (3.2)
где ЕН - норма дисконтирования.
Критерием принятия\отклонения проекта по данному показателю является его положительное, а также большее по сравнению с альтернативными вариантами значение. Это ключевой оценочный показатель.
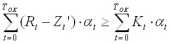
Срок окупаемости - период времени, в течение которого авансированный капитал возмещается доходами от реализации проекта:

Инвестиционное обеспечение реализации стратегии развития
, (3.3)
где Z't - текущие затраты в момент времени t;
Кt - единовременные затраты в момент времени t.
Для принятия положительного решения о реализации проекта срок окупаемости проекта должен быть меньше расчетного периода. Кроме того, этот показатель может эффективно использоваться в поиске резервов повышения эффективности.
Индекс прибыльности инвестиций - отношение полных текущих дисконтированных результатов к полным текущим дисконтированным капитальным вложениям:
PI =
Инвестиционное обеспечение реализации стратегии развития
, (3.4).

Этот индекс должен быть больше 1. Это вспомогательный иллюстративный показатель.
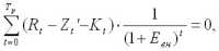
Внутренняя норма прибыли - такая норма дисконтирования, которая обращает в 0 величину интегрального экономического эффекта. Она характеризует величину отдачи в расчете на единицу авансированного в реализацию проекта капитала. Уравнение для определения внутренней нормы прибыли выглядит следующим образом:

Инвестиционное обеспечение реализации стратегии развития
(3.5)
где Евн - внутренняя норма прибыли. Это уравнение решается методом последовательных приближений (один из алгоритмов - метод половинного деления). Показатель может использоваться для разграничения реальных и финансовых инвестиций, однако имеет ряд недостатков, связанных с его неопределенностью.
Тем не менее считается важным вспомогательным показателем.
В данной работе инвестиционное обеспечение реализации вышеописанной стратегии развития предприятия будет осуществлено по одному из возможных направлений. Это обусловлено тем, что всестороннее обеспечение требует значительно большего объема исходной информации, полноту которого может обеспечить лишь привлечение данным предприятием специалистов по консалтингу с предоставлением им полномочий для использования "внутренних" баз данных.
На АООТ "Челябинский трубопрокатный завод" (ЧТПЗ) есть возможность расширить ассортимент выпускаемой продукции за счет введения в эксплуатацию новых мощностей трубопрокатного стана ПГА-2х50х360. Это будет возможно по завершению его реконструкции. Производство выше указанной продукции является экологически эффективным и будет пользоваться спросом как на внутреннем, так и на внешнем рынке.
Для этого на заводе проводится подготовка к сертификации система качества в английской фирме “Регистра Ллойда”. После получения сертификата продукция может экспортироваться в любую страну мира.
В результате гамма продукции, представляемая потенциальным потребителям заводом, пополнится водогазопроводными трубами замкнутых и гнутых профилей, производимых на основе современной наукоемкой, экологически чистой, высокомеханизированной технологии. Т.е. в результате реализации предлагаемого проекта будут затронуты такие важные направления стратегии развития, как: востребованность высокого научного потенциала; внедрение современных ресурсосберегающих технологий производства; необходимость улучшений экологической политики. Что добавляет дополнительную ценность рассматриваемому проекту.
В настоящее время ЧТПЗ уже выполнило необходимые строительномонтажные работы в полном объеме, включая монтаж профилегибочного агрегата ПГА и агрегата продольной резки металла, строительство инженерных коммуникаций, ввод в действие цеха подготовки производства. Общий объем вложенных средств в ценах на 01.01.2000 г. составляет 62,1019 млн.рублей.
Для завершения реконструкции объекта необходимо:

  • изготовление валкового инструмента и приобретение оборудования (стоимость работ 1415457,863 рублей);
  • проведение пусконаладочных работ и комплексного опробования оборудования (стоимость работ 9468784,554 рублей);
  • реконструкция подъездных ж/д путей (стоимость работ 1752655,254 рублей).
Таким образом капиталовложения на реконструкцию составляют 12,6369 млн.рублей в ценах на 01.01.2000 г.
Предприятие планирует взять кредит у Носта-банка, входящего в состав ФПГ "НОСТА-ТРУБЫ-ГАЗ" на льготных условиях: банк дает 50% от необходимой суммы под 20% от прибыли будущего проекта. 50% необходимых средств завод изыскивает из собственных резервов.
В таблице 3.1 приводится структура финансирования рассматриваемого проекта:
Таблица 3.1. Структура финансирования инвестиционного проекта.
Таблица 3.2

Показатели
Всего
В том числе
На строительство объекта
На формирование ЧОК
1
2
3
4
1. Всего капиталовложений, млн. рублей
19,9824
12,6370
7,3454
2. Из них по источникам финансирования, млн. рублей
- собственные средства предприятия (50%)
9,9912
2,6458
7,3454
- кредит банка (50%)
9,9912
9,9912
-
При этом учитывалась необходимость в формировании чистого оборотного капитала (ЧОК), объединяющего текущие активы (сумму товарно-материальных запасов, быстрореализуемых ценных бумаг, оплаченной заранее продукции, счетов к получению и наличности) за вычетом краткосрочных обязательств.
ЧОК образует существенную часть первоначальных капиталовложений, необходимых для инвестиционного проекта, поскольку это требуется для обеспечения бесперебойной финансовой работы предприятия.
При определении ЧОК учитываются следующие факторы:

  • необходимость создания запасов материально-технических ресурсов для обеспечения непрерывности процесса производства в размере 15% от материальных затрат (МЗ);
  • необходимость создания запасов готовой продукции на складе в целях нормальной реализации процесса логистики в размере 5 % от выручки (Выр.);
  • резерв на покрытие дебиторской задолженности - в данном случае не учитывается, поскольку схема оплаты за продукцию предприятия не предусматривает возникновение дебиторской задолженности (100% предоплата);
  • кредиторская задолженность - задолженность поставщикам (принимается равной 10% от материальных затрат - вычитается).
Таким образом, величина ЧОК в этой работе рассчитывается как: 5% от (МЗ + Выр.).
Ниже, в таблице 3.2, приведены результаты определения себестоимости производства труб различной номенклатуры и цены реализации продукции (по состоянию на 01.01.2000 г.).
Таблица 3.2. Стоимостная оценка ежегодных затрат
и результатов в базисных ценах (на 01.01.2000 г.)
Таблица 3.3

Показатели
Номенклатура труб
80х4
40х4
50х3,5
1
2
3
4
1. Себестоимость производства, всего, млн.руб,
при объеме производства 3500 т/год
24,2636
22,9327
22,9085
при объеме производства 4000 т/год
27,5108
25,9889
25,9618
в том числе:
- амортизация;
0,2692
0,2692
0,2692
- заработная плата;
при объеме производства 3500 т/год
0,5897
0,6140
0,6127
при объеме производства 4000 т/год
0,6150
0,6403
0,6390
- начисления на заработную плату;
при объеме производства 3500 т/год
0,2358
0,2456
0,2450
при объеме производства 4000 т/год
0,5079
0,5148
0,5144
- материальные затраты;
при объеме производства 3500 т/год
20,6487
19,3252
19,3037
Продолжение таблицы 3.2
1
2
3
4
при объеме производства 4000 т/год
23,5985
22,0859
22,0614
- прочие расходы;
2,5202
2,4787
2,4779
2. Себестоимость производства на единицу продукции, тыс.руб/т
при объеме производства 3500 т/год
6,9325
6,5522
6,5453
при объеме производства 4000 т/год
6,8777
6,4972
6,4904
3. Уровень рентабельности, %
25
25
25
4. Цена реализации, тыс.руб/т
при объеме производства 3500 т/год
8,6656
8,1903
8,1816
при объеме производства 4000 т/год
8,5971
8,1215
8,1131
5. Выручка от реализации, млн.руб
- при объеме реализации 3500 т/год
30,3295
28,6659
28,6356
- при объеме реализации 4000 т/год
34,3885
32,4862
32,4522


Комплектование бригады по выполнению строительных работ.





      1. Комплектование бригады по выполнению строительных работ.
      Машины и механизмы:

      1. бульдозер ДЗ-8 - 2 шт.;
      2. экскаватор ЭО-3322А - 1 шт.;
      3. кран-трубоукладчик - 5 шт.;
      4. отбойный молоток - 3 шт.;
      5. компрессор - 1 шт.;
      6. ручные пневмотрамбовки - 2 шт.;
      7. пресс гидравлический - 1 шт.;
      Состав бригады:

      1. бульдозерист - 2 чел.;
      2. экскаваторщик 1 чел.;
      3. крановщик - 5 чел.;
      4. такелажник - 4 чел.;
      5. сварщик - 3 чел.;
      6. разнорабочие - 14 чел.
      Итого по бригаде 29 человек.

      Рассчитанная численность является достаточно большой для бригады. Поэтому в целях повышения эффективности производства работ и снижения трудоемкости работ рекомендуется применение новых современных технологий, методов организации, планирования, управления работами; применение комплексных механизмов.

      Заключение
      В заключении рассматриваемой работы необходимо отметить, что со все большим ускорением в странах с рыночной экономикой темпов научно-технического и социально экономического развития, усилением элементов неопределенности и непредсказуемости во внешних отношениях большинство компаний стремятся перейти от потокового внутрифирменного к стратегическому планированию. Выработка и реализация фирменной стратегии, которая могла бы лучше соответствовать быстро изменяющимся внешним условиям, стала исключительно важной частью деятельности руководства большинства компаний. Поскольку реализация процесса стратегического планирования позволяет руководству компании четко увидеть и продумать перспективу жизнедеятельности предприятия, определить его стратегические преимущества перед другими компаниями заранее. Проводя аналитическую работу, направленную на создание информационной базы для выработки стратегии развития фирмы, менеджеры имеют уникальную для старых методов планирования возможность значительного снижения влияния факторов неопределенности на работу организации. В данной работе был практически использован один из ставших уже классическими методов проведения аналитической работы перед выработкой стратегии развития фирмы.
      Это SWOT-анализ, основанный на сопоставлении сильных и слабых внутренних сторон компании, а также потенциальных возможностей и угроз внешней среды. Проведенный по вышеописанной методике анализ позволил выявить у рассматриваемого в качестве практического примера завода ряд неиспользованных внутренних возможностей, успешно реализовав которые предприятие сможет перейти на качественно новый уровень развития. Некоторые предложения по использованию внутреннего потенциала, устранению слабых сторон рассматриваемой организации, а также направленные на предупреждение внешних угроз и своевременное использование благоприятной внешней обстановки были рассмотрены при формировании возможной стратегии развития АООТ "Челябинский трубопрокатный завод". Кроме того, были предложены два проекта, реализация которых направлена на поддержание этой стратегии.
      Один из них был инвестиционно обоснован и по предварительным расчетам является экономически эффективным для обоих его участников. Второй, направленный на вертикальную интеграцию предприятия, был обоснован инженерными расчетами, характеризующими реальный механизм работы создаваемого подразделения. Оба предложенных проекта полностью вписываются в разработанную стратегию развития завода и затрагивают все основные направления его будущей политики.
      Однако, важно заметить, что самая талантливая стратегия и проработанные проекты могут быть загублены в результате неумелой их реализации. Поэтому крайне важным представляется проведение реорганизации предприятия с целью обеспечения адаптации его возможностей к выбранной стратегии. Этого можно достичь, непременно используя накопленный отечественными специалистами опыт по реинжинирингу и реструктуризации.
      Рекомендуется обратить внимание на консалтинговые агентства, которые могут помочь заводу перейти на новый уровень развития.
      Это обосновывается фактическими данными об их небезуспешной деятельности, в частности, в Нижегородской программе реструктуризации, когда "в 1997 г. при стартовых затратах около 1 млрд. рублей на оплату работы консультантов за полгода на 9 реструктурированных предприятиях был получен прирост объемов продаж на 98 млрд. рублей, а прирост выплаты налогов в бюджеты всех уровней - 17 млрд. рублей" /15/. Нужно на всех уровнях власти поддерживать такие благоприятные начинания, поскольку от благополучия предприятий черной металлургии, как рассматривалось выше, в Челябинской области зависит очень многое. К тому же сейчас для таких начинаний наиболее подходящий момент, вследствие благоприятной конъюнктуры на мировом рынке нефтепродуктов, а следовательно положительной и для производителей труб нефтяного сортамента.
      Здесь все зависит от стиля поведения руководства предприятия: будет ли он приростным (инертным) или предпринимательским (активным).
      В целом же данная работа имела целью показать возможность и необходимость поиска новых идей развития организации, даже на основе небольшого доступного объема исходной информационной базы, что особенно важно в современных быстроизменяющихся рыночных условиях для предприятия такого уровня и "стратегического" для страны значения.
      Список использованной литературы

      1. Агкасов Г.П., Иванов Е.С. Технология и организация ремонта мелиоративных гидротехнических сооружений - М.: Колос, 1984.
      2. Ансофф И. Стратегическое управление.-М.: Экономика,1989.
      3. Антикризисный менеджмент / под редакцией профессора, д.э.н. Грязновой А.Г. М.: Ассоциация авторов и издателей "Тандем". Изд-во ЭКСМОС, 1999.
      4. Бланк И.А. Инвестиционный менеджмент. - Киев: МП "Итем" ЛТД, 1995.
      5. Богачев В.Ф., Кабаков В.С., Ходаток А.М. Стратегия малого предпринимательства - СПб:Изд-во "Корвус", 1995.
      6. Боумен К. Основы стратегического менеджмента. Пер. с англ. под ред. Л.Г. Зайцева, М.И. Соколовой. М: Юнити, 1997.
      7. Виханский О., Наумов А. Менеджмент: Учебник для вузов. М.,: Высшая школа, 1994.
      8. Виханский О., Наумов А. Менеджмент: Человек, стратегия, организация, процесс. М.,: Высшая школа, 1995.
      9. Гусев Ю.В. Стратегия развития предприятий.- СПб.: Изд-во СПбУЭФ,1992.
      10. Деловое планирование (Методы, Организация, Современная практика):уч. пособие, под редакцией В.М. Попова - М:Финансы и статистика, 1997.
      11. Забелин П.В., Моисеева Н.К., Основы стратегического управления: уч. пособие - М:Информационно внедренческий центр "Маркетинг", 1997.
      12. Кинг У., Клиланд Д. Стратегическое планирование и хозяйственная политика. Пер с англ. под общ. ред. КЭН Г.Б. Кочеткова. М:1982.
      13. Мескон М., Альберт М., Хедоури Ф. Основы менеджмента. / Пер. с англ. М., «Дело», 1998.
      14. Стратегия и тактика антикризисного управления фирмой / под редакцией Градова А.П., Кузина Б.И. - СПб.: Специальная литература,1996.
      15. Петров А.Н. Стратегическое планирование развития предприятия: учебное пособие.-СПб.:Изд-во СПбУЭФ,1993
      16. Тренев В.Н., Ириков В.А., Ильдеменов С.В. и др. Реформирование и реструктуризация предприятий (Методика и Опыт). М.:"Издательство ПРИОР", 1998.
      17. Тренев Н.Н. Управление финансами. М.: Финансы и статистика, 1999.
      18. Томпсон А.А., Стрикленд А.Дж. Стратегический менеджмент. Пер с англ. под ред. Л.Г.Зайцева, М.И.Соколовой. М:Юнити, 1998.
      19. Уткин Э.А. Антикризисное управление. М.: Ассоциация авторов и издателей "Тандем". Изд-во ЭКСМОС, 1997.
      20. Ясинецкий В.Г. Организация, планирование и основы управления водохозяйственным строительством - М.: Колос, 1982.
      21. Металлоснабжение и сбыт. Журнал январь-февраль 2000г.
      22. Менеджмент в России и за рубежом. Журнал. 1/98. Издательство "Финпресс".
      23. Кац Я.Л. Трубный сектор черной металлургии России. Металлург. Журнал 4/99
      24. Проблемы теории и практики управления. Журнал 1/94. с. 89-100
      25. Проблемы теории и практики управления. Журнал 1/98 с. 97-101, 107-113.
      26. Проблемы теории и практики управления. Журнал. 1/97 с.110-115.
      27. Проблемы теории и практики управления. Журнал. 6/95 с. 102 - 107.
      27."Управление промышленными предприятиями в оценках их руководителей". Журнал "Сибирская финансовая школа" 4/99.
      28.Chandler A.D. Strategy and Structure: A Chapter in the History of Industrial



      Насколько стратегическое планирование соответствует возможностям предприятия?


      В теории экономики предприятия и на практике большое внимание уделяется менеджменту точек пересечения различных звеньев создания благ, благодаря чему повышается и эффективность преобразования потенциала успеха в стратегические факторы успеха. При этом обращает на себя внимание циркулярный характер модели, т.е. предприятие постоянно стоит перед необходимостью развития нового потенциала и трансформации его в стратегические факторы успеха. При разработке фирменной стратегии менеджеры должны определиться, каким образом имеющиеся компетенции могут быть защищены, развиты и использованы в рамках фирменной стратегии; может ли фирма на базе имеющихся ресурсов создавать новые, оригинальные комбинации ресурсов, которые в будущем могут быть трансформированы в ключевые компетенции; на какие хозяйственные, отраслевые и конкурентные изменения и в этой связи, на какую стратегию должны быть сориентированы ключевые компетенции фирмы.
      Итак, чтобы определить стратегию руководство проводит диагностический этап процесса стратегического планирования.
      Для оценки конкретной стратегической позиции компании наиболее эффективным инструментом является SWOT-анализ (strength силы; weakness-слабости; opportunities-возможности; threatens-угрозы). Сущность метода - в выявлении конкурентных преимуществ отрасли, предопределяющих пути их дальнейшего укрепления; идентификации слабостей с целью минимизации их негативного воздействия на эффективность функционирования металлургических предприятий региона; определении потенциальных внешних возможностей, отражающих перспективы развития отрасли; оценке основных внешних угроз на предмет принятия превентивных мер по их локализации. Используя этот аналитический метод, менеджеры получают информационную базу для последующего формирования стратегии развития предприятия.
      Однако, выработка стратегии организации - не самоцель стратегического управления. Эта сложная и трудоемкая работа приобретает смысл, только в том случае, если стратегия в дальнейшем успешно реализуется. Для того чтобы контролировать процесс реализации стратегии и быть уверенными в достижении поставленных целей, руководители организации вынуждены разрабатывать планы, программы, проекты и бюджеты, мотивировать процесс, т. е. управлять им.
      Конкретная реализация стратегического плана требует долгосрочных и краткосрочных программ, политики, правил.
      Реализация стратегического плана, по мнению М.Мескона /12/, должна предусматривать решение следующих проблем:

      1. разработку тактики реализации;
      2. выработку определенной политики;
      3. разработку процедуры;
      4. определение правил для решения конкретных ситуаций;
      5. формирование бюджета;
      6. процедуру управления по целям.
      Реализация стратегического планирования во многом зависит от разработанных целей и представляет неограниченную свободу действий в решении поставленных задач, в зависимости от принятых на "вооружение" тактики, политики, процедуры и правил. Отсюда следует, что разработка стратегии реализации предполагает разработку тактики, которая согласуется с общей стратегией и является ее составной частью (краткосрочная стратегия).
      Политика представляет собой систему руководства по принятию решений для достижения поставленных перед организацией задач и целей, которые формируются (разрабатываются) после разработки долгосрочных и других видов планов. Она формируется, как правило, на длительную перспективу.
      Политика, как бы детально она ни была разработана, не может охватить всю гамму вопросов по реализации намеченных целей. Поэтому менеджеры верхнего уровня разрабатывают методические и практические подходы (процедуры) по решению конкретно возникающих ситуаций с целью предотвращения нежелательных тенденций в процессе управления. По своей сути процедура представляет собой запрограммированное решение с учетом опыта решения задач в прошлом.
      Реализация стратегического плана побуждает менеджеров не только разрабатывать тактику, политику, процедуры, но и определенные правила игры, так как они позволяют решать вопросы в строго определенной ситуации и отличаются от процедур своей направленностью и ограничениями по отношению к менеджерам среднего и низшего уровней управления.
      При реализации процедур, правил и плановых заданий возникают определенные противоречия, а в отдельных случаях всякое ограничение действий работников приводит к нежелательным последствиям.
      Управление реализацией стратегического плана и его составляющей четкая система контроля за ходом его выполнения. Наукой и практикой выработано достаточное количество методов согласования процесса планирования и контроля. Среди множества методов, тем не менее, можно выделить два главных: управление по целям и бюджеты.
      Известно, что выполнение стратегического планирования побуждает менеджеров разрабатывать эффективные методы распределения имеющихся ресурсов в зависимости от поставленных целей. Для конкретизации имеющихся ресурсов необходимо разрабатывать бюджеты. Бюджет представляет собой инструмент распределения ресурсов в количественном и качественном аспектах для достижения поставленных целей, который формируется в виде отдельного документа.
      По мнению М.Мескона /12/, бюджет и прочие его разработки должны осуществляться в четыре этапа:

      1. регулирование целей предприятия с учетом прогнозируемого объема продаж;
      2. разработка оперативных смет в зависимости от конечных сроков реализации;
      3. проверка и анализ проекта и предложений по бюджету, распределение бюджета по структурным подразделениям;
      4. разработка бюджета в целом с постатейным учетом наличия ресурсов.
      Управление по целям является методом управления, обладающим потенциальными возможностями объединения, контроля и всех других сфер производственно-хозяйственной деятельности. Этот метод дает возможность оценивать менеджеров на основе их деятельности, а не личных качеств.
      Управление по целям не лишено определенных недостатков, как и любой другой метод управления. К числу таких недостатков системы управления по целям можно отнести:

      1. отсутствие внимания со стороны высшего звена управления;
      2. искажение разработанной концепции, вследствие чего руководители среднего и низшего звеньев оказывают сопротивление самой системе;
      3. трудности в разработке четко поставленных целей, которые нелегко оценить;
      4. увеличение канцелярской работы, особенно на низших уровнях управления;
      5. отсутствие соответствующей квалификации работников;
      6. слабые стимулы для повышения мотивации;
      7. недостаточная интеграция с другими системами;
      8. частое внесение изменений в действующую систему.
      Реализация стратегического плана проходит проверку на свою жизненность, т.е. производится его оценка. Для этого разрабатывается классификация критериев оценки, количественных и качественных. К количественным можно отнести:

      1. рост объема продаж;
      2. уровень затрат и эффективности производства;
      3. текучесть кадров;
      4. прибыль на капитал;
      5. выплаты по ценным бумагам и т.д.
      К качественным показателям относятся:

      1. подбор и расстановка кадров в соответствие с требуемой квалификацией;
      2. расширение объема услуг;
      3. углубление знания рынка;
      4. исключение рисковых операций.
      Оценка стратегии осуществляется путем сравнительного анализа производственно-экономической деятельности предприятия с поставленными целями. Процесс оценки осуществляется в качестве механизма обратной связи для корректировки стратегии. При оценке процесса стратегического планирования менеджеры должны ответить на следующий вопросы:

      1. Насколько стратегическое планирование соответствует возможностям предприятия?
      2. Имеет ли стратегия определенную долю риска для действующей системы управления?
      3. Имеется ли на предприятии достаточно ресурсов для реализации стратегии?
      4. Учитывает ли стратегия в достаточной степени факторы внешней среды?
      5. Способствует ли стратегия рациональному использованию имеющихся ресурсов?
      Процесс реализации стратегического планирования завершается проверкой структуры управления всей организации с целью выяснения, способствует ли она достижению поставленных целей.
      Практика и теория убеждают в том, что лучшей организационной структурой будет та, которая соответствует размерам, динамизму, сложности и кадровому составу предприятия. Структура должна способствовать реализации стратегии в соответствии с запрограммированным процессом в следующей последовательности:

      1. Оценка и корректировка организационной структуры.
      2. Распределение ресурсов по структурным подразделениям.
      3. Выделение ключевых управленческих задач.
      4. Внесение изменений в действующую структуру управления.
      5. Делегирование полномочий и установление методов координации.
      6. Определение политики в качестве ориентира.
      7. Уточнение целей.
      8. Определение критериев.
      9. Создание информационной системы.
      10. Организация стимулирования.
      11. Переподготовка руководителей в соответствие с требованиями организации.
      12. Оценка результатов и выявления резервов.
      13. Определение стратегии.
      Выполнение стратегии является критическим процессом, так как именно он в случае успешного осуществления приводит фирму к достижению поставленных целей. Очень часто наблюдаются случаи, когда фирмы оказываются не в состоянии осуществить выбранную стратегию.



      Не стоит строить далеко идущие планы.


      В силу несовершенства законодательства и непредсказуемости рынка к выбору стратегии необходимо подойти очень осторожно. Не стоит строить далеко идущие планы. Зарубежный опыт показывает, что период формирования стратегии в промышленных отраслях в стабильно развивающейся экономике около 10-15 лет. В сфере потребительских товаров около 3-5 лет.
      Если к этому добавить и нестабильность российского рынка, то видно, что, как уже было сказано, выбираемая стратегия должна быть гибкой по отношению к внешним условиям. Выше уже отмечалось, что менеджеры должны определить несколько стратегических альтернатив, из которых потом выберут наиболее приемлемую, эффективную. В целях получения исходной информации проводится стратегический анализ, задачей которого (помимо прогнозирования развития окружающей среды) является выявление, развитие и защита от конкурентов факторов стратегического успеха.
      Поиски факторов стратегического успеха давно являлись основной заботой менеджеров. В 60-х годах стратегическая мысль концентрировалась на координации и интеграции функциональной деятельности с расчетом на системную ориентацию. Затем внимание менеджеров сместилось к маркетинговым проблемам с упором на оптимизацию товарно-рыночных комбинаций, а в 70-х годах разрабатывается теория стратегии на базе моделирования фирменного опыта ("кривой обучения") с целью укрепления конкурентных позиций предприятий.
      Научный подход выдвинул такие направления, как получение эффекта от расширения масштабов производства и оптимизации товарной номенклатуры.
      В 80-х годах наметилось два подхода к выявлению конкурентных преимуществ, обеспечивающих конечный успех, рыночная ориентация и ресурсная ориентация.
      В соответствии с первой парадигмой, разработанной специалистами Гарвардской школы, стратегический успех фирмы зависит, с одной стороны, от структуры отрасли, в которой она выступает, а с другой от выбранной принципиальной стратегии для данной хозяйственной области.
      Эмпирические исследования показали, что отраслевая структура действительно во многом определяет успех предприятия. В свою очередь возможности выбора принципиальной фирменной стратегии кроются в таких областях, как явное преимущество в издержках, оперативная дифференциация производства, быстрый захват рыночных ниш. Удачный выбор стратегии менеджеров может сыграть роль в обеспечении успеха предприятия.
      Гарвардская парадигма четко нацелена на рынки сбыта. Она совершенно игнорирует факторы успеха, которые могут содержать в себе, например, внутрифирменные структура и процессы, ресурсообеспечение или поведение персонала, который непосредственно участвует в реализации стратегии. Не учитывается ресурсная ориентация и социальные аспекты управления.
      Таким образом, экономически рациональный подход оставляет без внимания организационные, научно-психологические и социальные модели стратегического поведения предприятия.
      Критика чисто сбытовой ориентации неизбежно приводит к тому, что важное место среди факторов успеха предприятия уделяется его ресурсам и управлению ими. Принципиальное отличие ресурсного подхода определяется тем, что потребность в ресурсах отнюдь не является производной от рыночного положения фирмы, скорее ее ресурсный потенциал обусловливает успешное выступление на рынке.
      В основе ресурсного подхода лежит тот очевидный факт, что каждое предприятие располагает разнообразными ресурсами, которое оно может выбирать на рынке факторов производства и комбинировать в соответствии со своими возможностями.
      В этом заключена одна из сильных сторон ресурсного подхода. Если предприятие осуществляет выбор и комбинацию ресурсов лучше, быстрее, оригинальнее конкурентов, то ему гарантирован конечный рыночный успех.
      Очевидно, что при разработке принципов стратегии для хозяйственных областей наряду с анализом отрасли, конкуренции и рынка необходимы и обоснованные оценки ресурсов, и ключевых компетенций. Лишь конкретная ситуация может показать, какой ориентации следует отдать предпочтение рыночной или ресурсной.
      Предпочтения покупателей меняются, и преуспевающие компании используют обратную связь для выявления этих изменений и предсказания дальнейших тенденций развития спроса. Поэтому важное место в процессе стратегического анализа надо уделить особому виду конкурентных преимуществ фирмы ключевым компетенциям, которые напрямую не являются гарантией успеха, а становятся таковыми только в случае, когда клиент может извлечь из них выгоду для себя и готов оплачивать дополнительные (по сравнению с конкурентами) услуги данной фирмы. Под ключевыми компетенциями понимают оригинальное, особо эффективное сочетание дефицитных и специфических ресурсов которые предприятие использует более умело, нежели его конкуренты.
      Важная особенность данного подхода в том, что в реальной конкурентной борьбе надо всегда учитывать возможность воспроизведения конкурентами любой, самой удачной комбинации ресурсов и обесценивания тем самым ее оригинальности. Поэтому ключевая компетенция стратегически сомнительна, если не может быть сохранена фирмой в долгосрочной перспективе. Она должна стабильно обеспечивать конкурентные преимущества и рыночную асимметрию по отношению к рыночным соперникам.
      Толчком к развитию концепции ключевых компетенций послужили в основном технические возможности предприятий. Но в принципе все виды материальных и нематериальных активов могут быть трансформированы в ключевые преимущества. Сюда относятся высокоспециализированные машины и оборудование, организационные процессы, банки данных, патенты, лицензии и концессии, а также специальные знания персонала, особые связи с клиентурой, банками, поставщиками и властями, имидж предприятия, репутация его продукции на рынке и в обществе.
      Спектр выбора определяющих компетенций практически неограничен.
      Особенно сильно недооцениваются "неосязаемые" компетенции, такие, как особо лояльные рыночные отношения, своеобразная фирменная культура, хорошая репутация предприятия, его продукции и персонала. Эти компетенции сложны, трудно воспринимаемы и не имеют рыночной формы в обычном представлении. Поэтому они не столь быстро обесцениваются.
      Опрос английских менеджеров показал, что "неосязаемые" компетенции в порядке значимости для фирмы располагаются в такой последовательности: репутация компании, репутация продукции, технические знания персонала, культура компании, ее организационная структура.
      Необходимо указать также на наличие так называемой метакомпетенции, т.е. способности предприятия к формированию ключевых компетенций. К ней относят взаимодействия социального плана, в частности реакция на критику, способность к обучению, коммуникации и поддержании связей с кругом лиц, заинтересованных в успехе предприятия. Все это создает предпосылку для эффективного развития, сохранения и использования конкретных материальных и нематериальных ключевых компетенций. Особо важна, видимо, способность организации к обучению.
      Она позволяет охватить широкий спектр различных ключевых компетенций, которые в совокупности и обеспечивают устойчивые конкурентные преимущества.
      Ключевые компетенции обладают весьма противоречивыми свойствами. Некоторые из них базируются на "твердых фактах", другие на эмоциях и фантазиях людей. Определенные компетенции создаются медленно и с трудом поддаются воспроизведению, иные же, наоборот, быстро формируются и могут быть легко усвоены конкурентами. Ряд компетенций в своей основе устойчив, другие быстро возникают (например, плохая репутация) и быстро исчезают.
      Есть очевидные компетенции, которые легко воспринимаются физически или в юридическом плане, а некоторые распознаются с трудом или даже носят скрытый характер (невыявленные знания персонала). Эти свойства ключевых компетенций, имеющие большое значение для менеджерской практики, до последнего времени почти полностью игнорировались.
      Практически любое предприятие имеет возможность разработать свои ключевые комбинации ресурсов. Рыночная система с ее явной ориентацией на конкуренцию ведет к тому, что фирменные преимущества любого вида становятся вызовом для соперников и со временем "разъедаются". Это справедливо и по отношению к ключевым компетенциям, которые в принципе всегда подвержены такой эрозии.
      Что касается собственных компетенций, то фирма должна способствовать развитию тех, которые могут быть надежно защищены. Речь при этом идет не только о техническом совершенстве, а об устойчивости в конкурентной борьбе.
      Ключевые компетенции, пребывающие в форме ресурсов и способностей, являются лишь потенциалом успеха. Повлиять на положение предприятия в конкурентной борьбе они могут только в том случае, если будут трансформированы и выражены в конечном продукте и затронут параметры, имеющие решающее значение для покупателя. Если это произойдет, то ключевые компетенции примут форму стратегических факторов успеха. Для достижения этого преобразования необходимо, чтобы рыночная ориентация охватывала все предприятие, а маркетинг играл роль всеобъемлющей функции.
      Исследования показывают, что сотрудничество между маркетингом, с одной стороны, и научными исследованиями и разработками, с другой, является важным источником успеха предприятия.



      Негативные стороны


      на 25 % был обеспечен экспортом труб. Стоит ли говорить о повышенном внимании и заботе украинской власти к данной отрасли.

      Крупные партии бесшовных (преимущественно обсадных) труб в Россию поставляют компании, входящие в группу DST: DALMINE (Италия), TAMSA (Мексика), SIDERCA (Аргентина). Также идут поставки труб из Японии, Германии, США и Великобритании, которые вследствие их высокого качества являются наиболее дорогими на российском рынке.

      Основные фонды предприятий все больше стареют и ветшают, не всегда имеющееся оборудование позволяет выпускать металлопродукцию в соответствии с требованиями заказчика, отсутствует государственная поддержка отрасли, федеральная программа технического перевооружения и развития металлургии России (19932000 гг.) из года в год отсутствует в Перечне федеральных программ, включаемых в ежегодный Федеральный Закон о бюджете и финансируемых из средств федерального бюджета.
      Отечественные трубные заводы отличаются недостаточностью объемов сталеплавильного передела к тому же устаревшего, поэтому они зависят от сталеплавильных предприятий, поставляющих им заготовки и штрипс нужного размера и качества.
      Анализ ситуации на внутреннем рынке показывает значительное его сужение, вызванное общим состоянием российской экономики, сокращением производства в машиностроении и строительстве, снижением спроса на отдельные виды труб, снижением платежеспособного спроса потребителей и т.д. В первую очередь сокращение производства связано с уменьшением потребности в трубной продукции на внутреннем рынке, с низкой конкурентоспособностью отечественных труб на внешнем рынке в силу различных причин и неоправданно высоким импортом труб из-за недостаточной государственной защиты отечественных производителей.
      Резкое сокращение производства труб (на 20%), вызванное финансовым кризисом и, как следствие, снижением платежеспособного спроса у потребителей, снижением спроса на трубы нефтяного сортамента из-за падения цен на нефть на мировом рынке и связанного с этим уменьшения буровых и ремонтных работ на нефтепромыслах и т.д.
      Трубы нефтяного сортамента (нарезные, нефтепроводные, большого диаметра) составляют около половины всех труб, выпускаемых в России. Результаты работы вышеуказанных(7) предприятий в первую очередь зависят от закупки труб российскими нефтегазодобывающими компаниями (большая зависимость от возможностей и потребностей отечественного НТК).
      Основная причина низкого уровня экспорта сложно выйти на мировой рынок труб, поделенный крупнейшими монополиями традиционными производителями трубной продукции, из-за низкой конкурентоспособности наших труб, довольно высокой цены, несоответствия требованиям, предъявляемым заказчиками и т.д. "Европейское Сообщество ограничивает доступ российских продуцентов стальных труб на рынки стран - членов Союза" /22/. Гораздо более дешевую (на17-43%) продукцию стран Восточной Европы подвергают антидемпинговым мерам. Экспорт стальной продукции из стран СНГ не облагается НДС (отсюда преимущество украинских заводов по цене).
      Кроме того, поставка труб из Украины является одним из немногих способов получения оплаты за импортируемое Украиной углеводородное топливо (еще один стимул для НТК России).
      Отсутствуют рамочные условия для иностранных инвестиций, т.к. избыточные мощности не сокращены, а политическая и юридическая неопределенность сохраняется.
      Стоит отметить, что для ЧТПЗ, в случае отсутствия работы по сближению со своими настоящими конкурентами (отечественными), нижеприводимые удачно реализуемые примеры других предприятий превратятся в негативные проявления для рассматриваемого завода.

      1. Позитивные стороны
      Снижение объемов импорта связано с увеличением производства труб аналогичного качества на отечественных заводах.
      Резкий рост курса доллара по отношению к рублю сделал доходным экспорт не только металлопродукции высоких переделов (например, листового проката, по которому против российских экспортеров крупнейших металлургических комбинатов возбуждались антидемпинговые процессы), но и заготовки для переката, слитков, чугуна.
      Администрация области заинтересована в оказании поддержки предприятиям черной металлургии, если не прямым финансированием, то другими методами. У органов власти существует немало косвенных инструментов государственной поддержки, включающих обоснованное регулирование тарифов естественных монополий, содействие развитию вертикальной и горизонтальной интеграции предприятий отрасли на региональном и межрегиональном уровнях, предоставление гарантий частным инвесторам и др. Повышенное внимание к черной металлургии в области вполне объяснимо, поскольку в отрасли, лидирующей в Уральском регионе в выпуске металлопродукции, занято 150 тыс.человек, производится 21% чугуна, 22% cтали, 18% cтальных труб от общероссийского объема выпуска.
      Среди всех производителей труб заметно выделяется Волжский трубный завод, последовательно наращивающий объемы производства за счет расширения сортамента, освоения новых марок стали для производства хладостойких труб и улучшения совместной работы с традиционными потребителями продукции.
      Следует отметить, что отдельные трубные предприятия успешно выигрывают тендеры на поставку труб за рубеж. Наиболее показателен здесь пример Волжского трубного завода, выигравшего тендер на поставку труб для Каспийского трубопроводного консорциума и ряд других международных тендеров.
      Металлургические предприятия, трубные заводы проводят работу по техническому перевооружению производства с целью выпуска металлопродукции для нефтегазового комплекса.
      Так, на ОАО “Северсталь”, ОАО “НОСТА”, поставляющих трубную заготовку, введены в эксплуатацию установки “ковш печь”, позволяющие получать низкосернистую сталь, реконструируется прокатное производство, введено в эксплуатацию оборудование ультразвукового контроля листа. На ОАО “НОСТА” разработаны природно-легированные коррозионностойкие стали. Наличие в них легирующих элементов, перешедших из природно-легированного чугуна, повышает коррозионную стойкость труб в два раза.
      На этом же предприятии освоено производство микролегированных сталей классов прочности К52(Х60), К56(Х65), К60(Х70) для хладостойких труб диаметром 5201220 мм.
      На Оскольском электрометаллургическом комбинате освоено производство трубной заготовки из сталей 12ГФ, 16ГФБ, 28ГМ для изготовления насосно-компрессорных и нефтепроводных труб в “северном” исполнении.
      Приступили к реконструкции мартеновских цехов Северский трубный и Таганрогский металлургический заводы. Здесь также предполагается строительство установок “ковш печь”, что позволит значительно улучшить качество металла для труб.
      На Волжском трубном заводе освоено производство новых марок сталей с более высокой вязкостью, пониженным содержанием серы, что позволяет с использованием имеющегося термоотделения получать трубы высоких групп прочности без дорогостоящего легирования. Здесь же освоено производство бесшовных труб с повышенной хладо- и сероводородостойкостью из низкоуглеродистых и низкосернистых сталей. Совместно с ВНИИГаз и ВНИИСТ разработана техническая документация на поставку спиральношовных труб диаметром 7201420 мм в районы Крайнего Севера.
      Предприятие может удовлетворить большую часть потребности газовиков и нефтяников в трубах “северного” исполнения диаметром 89426 мм.
      На Выксунском металлургическом заводе освоено производство труб диаметром 5301020 мм на давление 100 атм. (10 МПа). Здесь смонтирована установка ультразвукового контроля листовых штрипсов, реконструировано термоотделение, производится поэтапная модернизация отделки трубоэлектросварочного стана 203530.
      На Первоуральском новотрубном заводе расширен сортамент выпускаемых труб, освоено производство высокопрочных насосно-компрессорных труб, газлифтных труб и т.д.
      Северский трубный завод использует приборы неразрушающего контроля и толщинометрию обсадных и нефтепроводных труб, освоил производство обсадных труб группы прочности N-80 с резьбой “Батресс”.
      На Синарском трубном заводе освоено производство насосно-компрессорных, обсадных, бурильных, насосно-компрессорных с высадкой, высокопрочных труб различных размеров, сероводородостойких труб в “северном” исполнении.
      На Таганрогском металлургическом заводе освоено производство сварных и бесшовных насосно-компрессорных труб диаметром 60, 73, 89 мм, расширен сортамент обсадных труб. Ведутся работы по улучшению качества металла для труб путем продувки стали аргоном в ковше.
      На Челябинском трубопрокатном заводе освоено производство труб диаметром 5301220 мм класса прочности К60(Х70) в соответствии с требованиями API.
      Важным условием повышения конкурентоспособности является производство труб с внешним и внутренним покрытиями. Ранее трубные предприятия России такие трубы не производили. В настоящее время достигнуты определенные результаты в этой области. Волжский трубный завод имеет в своем составе отделение для эпоксидного покрытия труб.
      Выиграв тендер на поставку труб для Каспийского трубопроводного консорциума, требующего трубы с трехслойным полимерным покрытием, предприятие завершило строительство отделения для нанесения такого покрытия; пуск отделения в эксплуатацию состоялся в конце мая этого года.



      Оценка выполняется в три этапа


      Это бывает либо потому, что неверно был проведен анализ и сделаны неверные выводы, либо потому, что произошли непредвиденные изменения во внешней среде. Однако часто стратегия не выполняется потому, что управление не может должным образом вовлечь имеющийся у фирмы потенциал для реализации стратегии. В особенности это относится к использованию трудового потенциала. Для успешной реализации стратегии необходимо, чтобы, во-первых, цели, стратегии и планы были хорошо доведены до работников  с тем, чтобы добиться с их стороны как понимания того, что делает фирма, так и неформального их вовлечения в процесс реализации стратегий, в частности добиться выработки у сотрудников обязательств перед фирмой по реализации стратегии. Во-вторых, руководство должно не только своевременно обеспечивать поступление всех необходимых для реализации стратегии ресурсов, но и иметь план реализации стратегии в виде целевых установок и фиксировать достижение каждой цели.
      В процессе реализации стратегий каждый уровень руководства решает свои определенные задачи и осуществляет закрепленные за ним функции.
      Оценка и контроль выполнения стратегий является логически последним процессом, осуществляемым в стратегическом управлении. Данный процесс обеспечивает устойчивую обратную связь между тем, как идет процесс достижения целей, и собственно целями организации. Основными задачами любого контроля являются:

      1. определение того, что и по каким показателям проверять;
      2. оценка состояния контролируемого объекта в соответствии с принятыми стандартами, нормативами или другими эталонами;
      3. выяснение причин отклонений, если таковые вскрываются в результате проведенной оценки;
      4. корректировка, если она необходима и возможна.
      При контроле выполнения стратегий эти задачи приобретают вполне определенную специфику, обусловленную тем, что стратегический контроль направлен на выяснение того, в какой мере реализация стратегии приводит к достижению целей фирмы. Это принципиально отличает стратегический контроль от управленческого или оперативного контроля, так как его не интересует правильность выполнения стратегического плана, правильность осуществления стратегии или правильность выполнения отдельных работ, функций и операций, т.к. он сфокусирован на том, возможно ли в дальнейшем реализовывать принятые стратегии, и приведет ли их реализация к достижению поставленных целей. Корректировка по результатам стратегического контроля может касаться как стратегий, так и целей фирмы.
      Успех реализации выбранной стратегии развития, как уже упоминалось, зависит от того, насколько точно, полно и объективно рассчитаны инвестиционные проекты, разработанные в направлении стратегии. Поэтому остановимся на теории оценки эффективности инвестиционных проектов.
      Безусловно, следует начать с формулировки определения самих инвестиций. Итак, инвестиции - это долговременные вложения с целью получения прибыли и (или) социального (иного) эффекта. Нужно отметить, что капитальные затраты не являются единственной составляющей инвестиций. Инвестиции разделяются на:

      1. реальные - единовременные затраты в создание, реконструкцию, перевооружение основных фондов;
      2. финансовые - инвестиции на рынке ценных бумаг;
      3. интеллектуальные - приобретение патентов, know-how, лицензий и т.д.
      Для условий реального сектора экономики инвестиционный проект - это комплексный план мероприятий, направленных на создание нового или улучшения действующего производства товаров и услуг в целях достижения стратегических целей фирмы, получения социального и экономического эффекта. Из этого определения вытекает, что должен существовать, по крайней мере, объект инвестиций, т.е. в данном случае реальная разработка, усовершенствование, новое производство, замысел, который нужно реализовать эффективнейшим способом. Для чего естественно необходимы предварительные затраты на его реализацию.
      Здесь уже появляется возможность получения требуемых средств из различных источников: собственные средства, привлеченные средства или консолидированный бюджет. Для каждого из участников проекта величины показателей эффективности проекта рассчитываются индивидуально. Поэтому необходимо четко определить источники и условия финансирования.
      В зависимости от потенциального участника проекта различают бюджетную (государственные кредиты) и коммерческую (частные привлеченные средства) эффективность проекта.
      Конкретизируя понятие получаемого от проекта эффекта до экономического, отметим, что оценка эффективности проекта производится на основании сопоставления потоков денежных средств, обусловленных реализацией проекта. При этом потоки средств могут быть спровоцированы производственной, инвестиционной и финансовой деятельностью
      При расчетах показателей экономической эффективности на уровне организации в состав результатов проекта включаются:

      1. производственные результаты
      2. выручка от реализации произведенной продукции, за вычетом израсходованной на собственные нужды социальные результаты в части, относящейся к работникам организации и членам их семей.
      В состав затрат при этом включаются только единовременные и текущие затраты организации без повторного счета (в частности, не допускается одновременный учет единовременных затрат на создание основных средств и текущих затрат на их амортизацию).
      Принятие решений по инвестированию осложняется различными факторами: вид инвестиций, стоимость инвестиционного проекта, множественность доступных проектов, ограниченность финансовых ресурсов, риск и т.п. В данной работе рассматривается разработка инвестиционного обеспечения реализации в одном из выбранных направлений стратегии развития АООТ "Челябинский трубопрокатный завод": завершение реконструкции профилегибочного агрегата.
      Основными источниками инвестиций являются собственные средства (уставный капитал, амортизационный фонд, другие резервные фонды, фонд накопления, нераспределяемая прибыль предприятия).
      Наиболее дешевым источником финансирования инвестиций является - реинвестируемая прибыль предприятия. Ее производительное применение позволяет избежать дополнительных расходов, связанных с выплатой процентов по заемным средствам, или расходов, связанных с выпуском ценных бумаг. Реинвестирование прибыли сохраняет сложившуюся систему контроля над деятельностью предприятия, поскольку число акционеров предприятия не меняется (в отличие от их неизбежного увеличения в случае дополнительной эмиссии ценных бумаг).
      Инвестиционная деятельность осуществляется по преимуществу в условиях неопределенности. Если речь идет о замещении имеющихся производственных мощностей, то инвестиционное решение может быть принято достаточно просто, поскольку руководство предприятия ясно представляет себе, в каком объеме и с какими характеристиками необходимы новые основные средства (машины, станки, оборудование и т.п.). Если же речь идет о расширении основной деятельности или ее диверсификации, то фактор риска начинает играть существенную роль.
      В момент приобретения машин и оборудования, иных основных средств невозможно с уверенностью предсказать экономический эффект подобной операции. Инвестиционные решения обычно принимаются в условиях, когда существует несколько альтернативных проектов, различающихся по видам и объемам требуемых вложений, срокам окупаемости и источникам привлекаемых средств. Принятие решений в таких условиях предполагает оценку и выбор одного из нескольких проектов на основе каких-то критериев.
      Понятно, что критериев может быть несколько, их выбор является произвольным, а вероятность того, что какой-то один проект будет предпочтительнее других по всем параметрам, весьма невелика. Поэтому велик и риск, связанный с принятием того или иного инвестиционного решения.
      Прежде всего, проводится предварительное обследование проекта, в ходе которого определяется цель проекта и ее соответствие текущей и прогнозируемой деятельности предприятия. В ходе предварительного обследования также определяются риски, связанные с проектом, наличие у предприятия необходимого опыта для реализации возможностей, создаваемых проектом. На этой же стадии определяются критерии, которые будут использованы для оценки инвестиционного проекта.
      Затем осуществляется оценка целесообразности реализации инвестиционного проекта. Обычно оценка выполняется в три этапа:

      1. расчет исходных показателей по годам (объем реализации, текущие расходы, износ, величина чистой прибыли и чистых денежных поступлений от предполагаемых инвестиций)
      2. расчет аналитических показателей (расчет интегрального экономического эффекта, рентабельности инвестиций, срока окупаемости и коэффициента эффективности инвестиционного проекта)
      3. анализ показателей (в зависимости от выбранных за основу на данном предприятии критериев проект либо принимается, либо отклоняется, предприниматель может ориентироваться на один или несколько наиболее важных, по его мнению, критериев либо принимать во внимание дополнительные факторы). В случае принятия инвестиционного проекта разрабатываются конкретные мероприятия по его реализации.
      Основным показателем, используемым для сравнения различных вариантов проекта и выбора лучшего из них, является показатель ожидаемого интегрального эффекта.



      Основные конкуренты


      Эти данные свидетельствуют о стремлении к повышению эффективности производства. Средняя заработная плата челябинских трубопрокатчиков возросла с 1 тысячи 140 до 1 тысячи 474 рублей в месяц. Руководство завода проводит активную инновационную политику, так в 1997 г. введено в эксплуатацию новое шлакоплавильное отделение для производства сварочных флюсов дуплекс-процессом “циклон-электропечь”, что позволяет обеспечивать флюсом предприятия России. В 1998 г. собрание акционеров завода приняло решение направить всю прибыль на развитие основного производства. В 1999 г. пущена в эксплуатацию новая установка ультразвукового контроля качества трубной заготовки. Оборудование установки стоимостью более 1 миллиона рублей было закуплено предприятием за счет собственной прибыли.
      Появилась возможность наладить входной контроль качества всей поступающей на предприятие трубной заготовки и значительно расширить число поставщиков. В ближайшее время на заводе предполагается пустить в эксплуатацию установку ультразвукового контроля качества сварного шва, что позволит значительно повысить конкурентоспособность челябинских труб, как на отечественном, так и на международном рынке. "Для повышения прочности сварного шва, улучшения и стабилизации его формы в 1999 г. запущена в опытно-промышленную эксплуатацию АСУТП трехдуговой сварки, не имеющая аналогов в России и вызвавшая значительный интерес у потребителей труб" /20/.
      На заводе планируется освоение производства нефтегазопроводных труб с защитным полимерным покрытием, что позволит значительно повысить конкурентоспособность продукции ЧТПЗ как на отечественном, так и на внешнем рынке. Монтаж уникального оборудования голландской компании "Сэлмерс" начался в феврале 2000 г., а первые трубы с покрытием должны быть выпущены уже в июле. Большую часть оборудования комплекса - почти на 3 миллиона - долларов поставляют голландские партнеры, они же проводят его шеф-монтаж.
      Часть оборудования изготовлена московской компанией "Анткор". Срок службы труб с трехслойным полимерным покрытием по сравнению с обычными увеличивается в 2 раза - почти до 40 лет. Проектная мощность комплекса позволяет ежегодно обрабатывать 300 тысяч тонн труб диаметром от 530 до 1220 миллиметров. Мощность первой очереди по выпуску труб диаметром от 219 до 1 тысячи 420 миллиметров составит 150 тысяч тонн в год. Затем ее планируется увеличить вдвое и приступить к выпуску труб с внутренним антикоррозионным покрытием из эпоксидной смолы.
      Именно такие трубы должны использоваться при строительстве современных газопроводов. В России пока только один завод занимается их производством - Волжский трубопрокатный, который к тому же не владеет правом собственности на оборудование: оно принадлежит поставщику - английской фирме "Бредеро прайс". По цене и качеству челябинские трубы вполне смогут конкурировать с аналогичной импортной продукцией и продукцией Волжского трубного завода.
      Поэтому новая продукция ЧТПЗ обязательно будет пользоваться спросом, и не только в России.
      Будучи одним из крупнейших потребителей продукции металлургического комбината "Носта" входит, в ФПГ "НОСТА-ТРУБЫ-ГАЗ". ФПГ "НОСТА-ТРУБЫ-ГАЗ" бала учреждена в 1996 г. российскими компаниями и банками для реализации проекта производства труб большого диаметра в северном исполнении по спецификации РАО "Газпром" на отечественных предприятиях. Учредители ФПГ: металлургический комбинат "НОСТА", РАО "Газпром", НОСТА-банк, Инкомбанк, ЧТПЗ и Выксунский металлургический завод. ФПГ получила в управление полностью или частично государственные пакеты акций ее участников. В рамках этого глобального проекта уже подписаны и начинают реализовываться контракты с поставщиками оборудования. "Носта" на сегодняшний день проводит наиболее активную корпоративную политику в России среди производителей нефте - газопроводных труб большого диаметра.
      Около нее уже сгруппированы три крупнейших завода - производители труб: ЧТПЗ, ПНТЗ, ВМЗ.

          1. Основные конкуренты
          Трубы нефтяного сортамента (нарезные, нефтепроводные, большого диаметра) составляют около половины всех труб, выпускаемых в России. Их производство (86,8%) сосредоточено на семи крупных трубных предприятиях отрасли. Это ОАО “Первоуральский новотрубный завод” (ПНТЗ), ОАО “Челябинский трубопрокатный завод” (ЧТПЗ), ОАО ПО “Волжский трубный завод” (ВТЗ), ОАО “Выксунский металлургический завод" (ВМЗ), ОАО “Северский трубный завод" (СТЗ), ОАО “Синарский трубный завод" (СинТЗ) и ОАО “Таганрогский металлургический завод" (ТМЗ).
          ВТЗ - крупнейший в России производитель стальных электросварных труб большого диаметра - от 525 до 2520 мм. Один из двух заводов в России (теперь вместе с ЧТПЗ) по выпуску газопроводных труб диаметром 820-1420 мм с наружным антикоррозионным покрытием на основе эпоксидных красок. Внедрен метод прессования, позволяющий производить трубы практически из любых сталей и сплавов и обеспечивать более высокие показатели прочности и пластичности.
          Имеет сертификат API, качество котельных труб, применяемых в атомной энергетике, удостоверено сертификатом германского института ТьV.
          ПНТЗ выпускает трубы стальные, сталь электротехническую, литье стальное, поковки, металлоконструкции. Является монополистом в производстве труб холоднокатаных, холоднотянутых, бурильных из никельсодержащей стали, тянутых из подшипниковых сталей, для котлов высокого давления, тонкостенных бесшовных, тонкостенных нержавеющих, для газлифтных систем (стойких к углеводороду).
          СинТЗ производит трубы и ленты стальные, литье чугунное, стальное, цветное, металлоконструкции. Является монополистом в производстве труб тонкостенных свертных, капиллярных из углеродистых сталей, нарезных нефтяного сортамента (обсадных и бурильных), с новыми видами соединений, насосно-компрессорных.
          ТМЗ производит трубы бесшовные горячедеформированные, нефтепроводные из углеродистой стали, обсадные из углеродистой и легированной, бурильные из легированной стали, трубы печной сварки с цинковым покрытием, водо- газопроводные из углеродистой стали.
          СТЗ основан как металлургическая компания еще в 1739 г. Специализируется на производстве стальных бесшовных горячекатанных, обсадных и электросварных прямошовных труб общего назначения и для нефтегазовой промышленности. Проектные мощности завода рассчитаны на производство 1,2 млн.т труб в год. В настоящее время завод производит 17 % продукции отрасли в стране.
          Созданная на предприятии система качества для изготовления и поставки бесшовных обсадных с муфтами и сварных труб получила сертификат ТьV (Германия).
          ВМЗ основан в 1757 г. Основной продукцией являются трубы, прокат, стальные слитки, железнодорожные колеса. Среди прочих видов стальных труб ВМЗ производит сварные прямошовные трубы большого диаметра (до 1016 мм, с толщиной стенки до 30,2 мм) для магистральных нефте- и газопроводов.
          Наряду с крупными трубными предприятиями появился ряд мелких предприятий, производящих трубы, а также созданы трубные производства на некоторых металлургических комбинатах (ОАО “Новолипецкий металлургический комбинат”, ОАО “Северсталь”, ОАО “Магнитогорский металлургический комбинат”). На "Северстали" в цехе гнутых профилей в 95 г. было произведено 2,7 тыс.т водогазопроводных сварных труб, в 96 г. - уже почти 16 тыс.т. В конце 98 г. на ММК был пущен в эксплуатацию стан швейцарской компании SITCO ТЭСА 40-140 производительностью 100 тыс.т труб в год диаметром 40-159 мм со стенкой 7 мм.
          Таким образом, на ММК эксплуатируются уже три трубных стана и, по оценкам представителей комбината, в 98 г. на них было произведено около 50 тыс.т труб. На 2000 г. на ММК планировалось увеличить объем производства труб до 400 тыс.т в год и пустить установку для оцинкования труб. Совместно с американской машиностроительной компанией Pacific Rolled Die Company с начала 97 г. ММК реализует проект стоимостью 50 млн.долл. США по организации на рабочей площадке ММК производства 100 тыс.т в год нефтегазовых спиралешовных труб большого диаметра (до 2660 мм) с двусторонним полимерным покрытием.
          Однако из-за отсутствия кредитования реализация этого проекта практически приостановлена. Общий объем производства стальных труб на этих предприятиях уже превышает 270 тыс.т труб в год, что равно объему производства довольно крупного трубного завода и ведет к еще большему обострению конкуренции на внутреннем рынке.
          Следует отметить, что все российские трубные заводы в последние годы провели большую работу по сертификации продукции и получили право на выпуск труб нефтяного сортамента в полном соответствии с требованиями Американского нефтяного института API (требования по различным стандартам качества приведены в ПРИЛОЖЕНИИ 2).
          Более половины (около 12 % от российского объема производства) импортируемых труб было произведено украинскими компаниями. Доля Австрии на российском рынке бесшовных труб составляет около 10 %, Аргентины - немногим более 5 %, Японии - около 1,5 %.
          Таким образом, основными конкурентами российских производителей являются украинские предприятия. Около 70 % от объема их производства идет на экспорт. Положительный внешнеторговый баланс Украины в 97 г.



          Перспективные направления


          Строительство отделений для нанесения трехслойного полимерного покрытия труб ведется также на Выксунском металлургическом и Челябинском трубопрокатном заводах. Намечается создание участков покрытий труб на Северском и Синарском трубных заводах. Волжский трубный завод производит спиральношовные трубы диаметром 1420 мм с наружным эпоксидным покрытием.
          Завершение строительства отделения по нанесению трехслойного полимерного покрытия труб позволит расширить применение данных труб при строительстве магистральных трубопроводов и значительно снизить импорт труб большого диаметра. Здесь “Газпром” совместно с ВНИИГаз должны в корне пересмотреть свое мнение об использовании спиральношовных труб. Опыт эксплуатации трубопроводов с применением этих труб показывает, за отдельными исключениями, возможность их широкого использования.
          Кроме того, о возможности применения этих труб, об их достаточно высоком качестве говорят иностранные, в частности американские и японские, фирмы, закупающие сегодня эти трубы. Зависимости успеха или неудачи на рынке.
          Если в среднем по металлургии производственные мощности загружены на 50%, то в черной металлургии всего на 46%. Это свидетельствует о больших потенциальных возможностях отрасли в условиях ожидаемого оживления спроса на производимую продукцию.

            1. Перспективные направления
            Наряду с обеспечением выпуска конкурентоспособного по качеству и цене металла первых переделов (заготовка, прокат черных и цветных металлов) необходимо создание производства высококачественной металлургической продукции более высокой степени готовности.
            Основные виды импортируемых труб это, в первую очередь, трубы сварные диаметром 1420 мм с трехслойным полимерным покрытием (до недавнего времени в России не производились и их импорт обоснован), обсадные и насосно-компрессорные трубы (большая часть их может быть произведена в России, закупка производится только по финансовым соображениям) и т.д. В целом, около 7075% импортируемых труб может быть произведено в России и импорт их не всегда обоснован. Ссылки на то, что закупаются более качественные трубы, также не всегда корректны, так как часто трубы ввозятся из стран, где их качество не выше, чем в России (Румыния, Чехия, Турция, Венесуэла и др.).
            Таким образом, проблема снижения необоснованного импорта трубной продукции, которая может быть произведена на российских трубных заводах, актуальна и ее решение во многом позволит изменить ситуацию на внутреннем рынке и защитить отечественных производителей труб.
            Ужесточение конкуренции на внутреннем и внешнем рынках вынуждает российских производителей труб, металлургов принимать дополнительные меры по повышению конкурентоспособности продукции. Во-первых, это внедрение современных технологических процессов прокатки и термообработки труб, использование методов неразрушающего контроля выпускаемой продукции, производство труб с наружным и внутренним покрытиями. Во-вторых, снижение производственных затрат и соответственно цены, реструктуризация производства.
            Одним из путей повышения качества выпускаемой продукции для наших производителей труб является приведение технологии в соответствие с международными стандартами и сертификация продукции.
            Так, в ГНЦ ЦНИИчермет разработаны и внедрены в производство новые коррозионностойкие деформируемые свариваемые стали, изделия, из которых могут использоваться для обустройства газовых и нефтяных месторождений. Лабораторные и натурные испытания показали, что эти отечественные материалы положительно зарекомендовали себя для изготовления деталей, узлов скважинного и шельфового промыслового оборудования, работающего в агрессивных сероводородных средах. Изделия из таких сталей могут выпускаться в виде труб, проволоки, листового проката.
            Разработана технология производства биметаллической металлопродукции, использование которой позволяет повысить стойкость нефтегазового оборудования в десятки раз. Такая металлопродукция перспективна для производства сварных двух- или трехслойных труб, резервуаров, реакторов.
            В ОАО “УралНИТИ” проводится большой объем научных работ, направленных на реализацию технической политики в области трубного производства. Одним из примеров тесного сотрудничества института с нефтегазовыми компаниями страны можно назвать создание технологии производства длинномерных безмуфтовых труб, техническое решение создания нефтетрубопроводов “труба в трубе”, что позволит свести к минимуму экологические последствия аварий на трубопроводах и т.д.
            По оценкам ОАО “Газпром”, потребность в трубах диаметром 1420 мм в ближайшие годы может достигнуть 11,3 млн. т в год для строительства новых газопроводов и до 200 тыс. т для ремонта существующих (на период 1999-2020 гг. соответственно 16,9344 млн.т и 2,52 млн.т). Требования к данным трубам самые жесткие: длина труб 18 метров, рабочее давление 100 атм., трехслойная полимерная наружная изоляция и внутреннее гладкостное покрытие, класс прочности стали от К52 до К60, температура эксплуатации до -60 °С, производство с учетом технологического опыта ведущих фирм Германии, Италии, Японии и т.д.
            На ЧТПЗ "все свое внимание сосредоточили на улучшении качества труб, повышении их эксплуатационной надежности и конкурентоспособности. Завод совместно с металлургическими комбинатами продела значительную работу по улучшению потребительских свойств металла и созданию труб нового поколения. В первую очередь уделяется внимание производству коррозионностойких труб в северном исполнении. Такие трубы уже используют ОАО "Сургутнефтегаз" и ОАО "Нижневартовскнефтегаз" /20/
            В случае удовлетворения потребности в таких трубах путем импорта страна в ближайшее десятилетие понесет колоссальные валютные потери в миллиарды долларов. Следует решить, что эффективнее для России зависимость от импорта труб из Дальнего Зарубежья, Украины и расчеты за эти трубы валютой, стратегическими энергоносителями, которых нам уже сейчас не хватает, или строительство современного производства труб большого диаметра в России, тем более, что есть как минимум 5 вариантов организации такого производства в различных регионах. Но это потребует значительных инвестиционных ресурсов. Конечно, это должно быть тщательно проработанное техническое и экономическое решение, обеспеченное государственной поддержкой, поддержкой потребителей этих труб в лице “Газпрома” одного из основных покупателей труб большого диаметра, соответствующей экспертизой, привлечением инвесторов и т.д.
            В результате страна может получить крайне необходимую качественную импортозамещающую продукцию и решить многие проблемы. В настоящее время в Минэкономики России прорабатывается вопрос о создании такого производства. К работе привлечены отраслевые институты, такие как ГНЦ ЦНИИчермет им.
            И.П. Бардина, московский “Гипромез”, а также ГНЦ ВНИИметмаш им. А.И.
            Целикова и др., сделаны запросы в ведущие нефтегазодобывающие компании страны о перспективах развития потребности в трубах большого диаметра на ближайшее десятилетие и регионах потребления труб. Все это позволит определиться с возможностью создания мощного производства труб большого диаметра и местом его размещения. "С целью концентрации финансовых и производственных ресурсов, оптимизации налоговых платежей трубные заводы и банки учреждают финансово-промышленные группы (ФПГ)" /22/
            Существует разрыв между производителями и потребителями труб. Не всегда трубные предприятия знают и принимают участие в тендерах на поставку труб для строительства трубопроводов, довольно часто нефтегазодобывающей компании проще или выгоднее закупить трубы за рубежом притом, что такие трубы могут выпускаться в России, производители и потребители не всегда знают о взаимных требованиях и возможностях и т.д. Необходимо существование специального органа (возможно на государственном уровне), который помогал бы урегулировать эти проблемы.
            Одним из выходов было бы создание межведомственной комиссии по координации деятельности трубных и нефтегазодобывающих предприятий, касающейся повышения качества и закупок трубной продукции. Это предложение уже имеет положительный отзыв в Минэкономики России и в Минтопэнерго России, и в настоящее время проект Положения о данной комиссии согласовывается в этих ведомствах. Создание комиссии позволит более организованно проводить работу по повышению качества отечественной трубной продукции, снижению цен на нее, обосновывать приобретение продукции по импорту и обеспечивать приоритетную загрузку отечественных производителей. Также, что особенно важно, позволит вести сравнительный анализ характеристик зарубежных и отечественных труб, проводить конкурсы по закупке труб и т.д.
            Возможно, что комиссия с участием заинтересованных ведомств, организаций и предприятий будет ходатайствовать перед Правительством Российской Федерации о разработке нормативных актов по тарифам и пошлинам, о государственной поддержке различных инвестиционных и технических проектов.

              1. Таблица SWOT
              Завершая рассмотрение ЧТПЗ, приведем в синтезированном виде матрицу результатов SWOT-анализа.
              Таблица 2.1 Внутренние стороны предприятия



              Поддержка субфедеральными и муниципальными органами власти.


              Таблица 2.1

              Сильные
              Слабые
              1
              2
              • Возможность поддержания более низких цен по сравнению с основными участниками рынка.
              • Выгодное территориальное расположение завода относительно основных потенциальных потребителей (большие диаметры труб) и поставщиков листовой стали.
              • Наличие квалифицированных инженерных кадров, способных при достаточном финансировании обеспечить существенное повышение конкурентоспособности выпускаемой продукции.
              • Поддержка субфедеральными и муниципальными органами власти.





              • Высокий уровень износа основных фондов (прежде всего их активной части).
              • Высокая энерго- и трудоемкость производства продукции, обусловленная моральным и физическим износом применяемого оборудования.
              • Недостаточная конкурентоспособность видов металлопродукции высоких переделов по показателям качества в области платежеспособного спроса.
              • Дефицит финансовых ресурсов, необходимых для обновления производственных мощностей.
              • Слабое развитие системы долгосрочного планирования.
              • Необходимость приведения оргструктуры управления предприятий в соответствие с потребностями и перспективами их развития и необходимость повышения качества менеджмента

              Таблица 2.2 Внешние стороны
              Таблица 2.2

              Потенциал
              Угрозы
              1
              2
              • Возможность улучшения структуры экспорта, состоящая в увеличении доли продукции высокого передела.
              • Вероятность снижения торговых барьеров после признания России страной “с рыночной экономикой” и ее вступления в ВТО.
              • Наличие большого количества рудосодержащих шлаков и отвалов, которые могут рассматриваться как сырье для производства принципиально новых металлосодержащих материалов.
              • Возможность мобилизации значительных запасов амортизационного лома, являющегося сырьем для производства электростали.
              • Возможность эффективной горизонтальной интеграции предприятий металлургического комплекса ЧО между собой и вертикальной интеграции с основными потребителями металлопродукции
              • Пятикратное отставание России по уровню металлопотребления на душу населения от развитых стран, характеризующее потенциал роста внутреннего рынка
              • Низкий платежеспособный спрос традиционных потребителей металлопродукции на внутреннем рынке.
              • Неизбежное обострение конкуренции на внутреннем рынке металлопродукции.
              • Высокий уровень конкуренции на мировом рынке металлопродукции, не позволяющий рассчитывать на расширение экспортной экспансии предприятия.
              • Крайне низкий уровень развития инфраструктуры рынка металлопродукции.
              • Недопустимо высокое влияние теневой экономики на функционирование ЧМ ЧО.
              • Сложность согласования интересов государства, собственников предприятий и населения ЧО.
              • Недопустимость дальнейшего применения экологически опасных технологий, загрязняющих окружающую среду.
              • Недостаточное представительство интересов металлургического комплекса на федеральном уровне власти.
              • Исчерпание традиционной ресурсной базы черной металлургии Челябинской области



                1. Выработка стратегии развития АООТ "Челябинский трубопрокатный завод".
                Как уже упоминалось ранее, определению стратегии развития предшествует осознание миссии и целей организации. Поэтому начнем с установки миссии. Применительно к ЧТПЗ миссия может быть сформулирована следующим образом: "Наша миссия - обеспечивать потребителей более совершенными, надежными и доступными продуктами из металла и услугами, связанными с их использованием".
                Тогда стратегическими целями могут являться следующие:

                • Стать лидером на российском рынке производства металлоизделий и услуг, связанных с их использованием;
                • Повысить уровень качества предлагаемых изделий и услуг до высших мировых стандартов;
                • Обеспечить полную востребованность существующего научного потенциала, а также условия для его развития;
                • Постоянно работать над внедрением новых, более эффективных технологий;
                • Достичь показателей, характеризующих эффективность производства, на мировом уровне.
                А финансовыми целями могут быть:

                • Обеспечение среднего роста объемов продаж ЧО на 3…5% в год.
                • Cнижение себестоимости производства и реализации металлопродукции и достижение к 2010 году средней рентабельности хозяйственной деятельности предприятия, определенной по соотношению балансовой прибыли к себестоимости производства и реализации продукции, не менее 20% годовых;
                • Выплатить дивиденды по акциям не менее среднемирового уровня по предприятиям черной металлургии.
                Стратегия развития в таком случае, безусловно, должна включать следующие пункты:

                1. Основные принципы формирования стратегии развития ЧТПЗ во внешней среде:
                • активный поиск потребностей в самых различных областях металлургии, соприкасающихся с ней и наиболее эффективное и качественное их удовлетворение, использование обратной связи с потребителями;
                • увеличение своего влияния, присутствия на мировом рынке металлопродукции, а также во взаимоотношениях с местными и мировыми органами влияния (торговые организации, различные уровни власти);
                • максимальное использование потенциальных возможностей внешней среды и предупреждение негативного ее влияния;
                • вклад в укрепление российской экономической системы, в общем, и черной металлургии в частности.
                1. Основные принципы формирования стратегии развития внутренней среды ЧТПЗ:
                • Наиболее эффективное использование сильных сторон предприятия (в т.ч. и развитие потенциальных), а также комплексное устранение слабых его мест, мешающих достижению поставленных целей;
                • Создание гибкой организационной системы управления и планирования, быстро адаптирующейся к внезапным изменениям;
                • Повышение эффективности производства.
                Исходя из представленных выше основных принципов формирования стратегии развития завода, можно определить ее основные направления:

                • Стратегия конкурентной борьбы - учитывая огромный потенциал российского металлургического рынка, а также наличие несколько лидирующих компаний в трубной подотрасли, наиболее перспективным представляется превращение российских конкурентов в стратегических партнеров с целью создания "весомой объединенной силы" на мировом металлургическом рынке. Это обусловлено проведением антидемпинговой политики странами ЕС, импортом отечественными представителями НГК труб. И, кроме того, необходимостью получения возможности давления на органы власти на различных уровнях с целью изменения внешнеторгового сальдо по трубам в положительную сторону.
                • Укрепление партнерских отношений, возникших в результате образования ФПГ "НОСТА-ТРУБЫ-ГАЗ" и максимальное использование их преимуществ для внедрение инновационных проектов.
                • Ассортиментная политика - диверсификация производства с целью устранения сильной зависимости от результатов деятельности и возможностей НГК, а также дистанцирования от металлургических комбинатов, запустивших свои собственные трубные производства;
                • В целях использования обратной связи с потребителями организация активной деятельности в сфере Интернет, как наиболее охватывающего, простого и дешевого средства интерактивной работы с клиентами. В пользу этого направления свидетельствуют данные, приведенные на сайте "Металлургическая отрасль России": "По прогнозам американских экспертов ожидается, что к 2005 г. от 40 до 60% всей металлопродукции в мире будет продаваться через Интернет. 2000-й год является переломным - многие компании могут оказаться за бортом. Ни одна компания не выживет в-одиночку, поэтому мы приглашаем всех на конференцию".
                • Максимально использовать благоприятную ситуацию, сложившуюся в НГК с целью увеличения портфеля заказов и направления полученных ресурсов на проведение агрессивного инновационного развития и коренного реформирования предприятия с привлечением ведущих специалистов по консалтингу.
                • Техническая политика - развитие научного потенциала предприятия, путем финансирования разработки и реализации наиболее перспективных проектов; постоянное совершенствование качества продукции и эффективности ее производства.
                • Организационная стратегия - создание гибкой организационной структуры управления, реструктуризация и реинжиниринг.
                • Финансовая политика - обеспечение роста прибыли за счет развития новых направлений и максимального повышения эффективности уже налаженных производственных процессов.
                • Кадровая политика - в значительной степени определяется организационной стратегией, финансовой и технической политиками. Т.е. рост количества сотрудников, повышение корпоративной культуры, ответственности за результаты деятельности всего предприятия, профессиональной подготовки, введение различных методов и систем стимулирования работников.
                • Экологическая стратегия - поскольку завод является концентрированным местом загрязнения, предполагается снижать уровень загрязнений путем внедрения новых экологически чистых технологий.
                Следуя вышеуказанным направлениям, в данной работе предлагаются к рассмотрению два проекта.
                Первый состоит в завершении реконструкции профилегибочного агрегата. В результате будут затронуты все пункты стратегии развития, т.к. этот проект предполагает проведение в жизнь представленных экологической политики завода, его финансовой, кадровой, технической, ассортиментной политик и стратегии конкурентной борьбы.



                Прогноз ежегодной реализации


                Отметим, что расчет составляющих себестоимости в данном случае ведется с учетом различных прогнозируемых объемов производства и реализации продукции. Более низкий первоначальный объем производства и реализации объясняется необходимостью наличия временного лага на освоение мощностей и на развитие сбыта. Предполагаемые объемы реализации продукции по годам приведены в таблице 3.3:
                Таблица 3.3. Прогноз ежегодной реализации труб
                различной номенклатуры при условии осуществления
                рассматриваемого инвестиционного проекта.
                Таблица 3.4

                Виды труб
                Объем ежегодной реализации, тонн
                2002
                2003
                2004
                2005
                2006
                1
                2
                3
                4
                5
                6
                80х4
                3500
                4000
                4000
                4000
                4000
                40х4
                3500
                4000
                4000
                4000
                4000
                50х3,5
                3500
                4000
                4000
                4000
                4000

                Итак, были определены константы и вариабельные величины в составе себестоимости: амортизация и прочие - постоянные составляющие; материальные затраты - прямо пропорционально зависят от объема производства; зарплата и отчисления в фонды принимаются на 70 % постоянными. При расчете цены реализации был установлен уровень рентабельности в 25%, что является характерным для рассматриваемой специфики предприятий. Вообще же сейчас принято применять другой подход к определению цены, идя не от издержек (затратный), а в обратном направлении от потребителя, ситуации на рынке (ценностной).
                В данном случае в соответствие с представленными в ПРИЛОЖЕНИИ 3 средними оптовыми ценами ЧТПЗ и других продавцов видно, что рассчитанная цена будет одним из конкурентных преимуществ предлагаемой продукции.
                Расчетный период инвестиционного проекта определяется исходя из требований инвестора и срока эксплуатации объекта. В данном случае, обусловленный требованиями банка-кредитора период принимается равным 6 годам. Причем в 1 год производится строительство объекта, во 2 - освоение, а в 3 - выход на проектную мощность.
                Ниже приводятся необходимые для расчета показателей эффективности проекта данные (исходная информация - прогнозы нескольких независимых экспертов):
                Таблица 3.4. Исходные предпосылки для определения основных
                показателей эффективности реализации инвестиционного проекта.
                Таблица 3.5

                Показатели
                Годы
                2000
                2001
                2002
                2003
                2004
                2005
                2006
                1
                2
                3
                4
                5
                6
                7
                8
                Процент инфляции
                -
                15
                12
                10
                8
                6
                6
                Коэффициент инфляционной корректировки
                1
                1,15
                1,12
                1,1
                1,08
                1,06
                1,06
                Коэффициент инфляционной корректировки нарастающим итогом
                1
                1,15
                1,288
                1,4168
                1,5301
                1,622
                1,7193
                Норматив дисконтирования
                -
                16,5
                16,5
                16,5
                16,5
                16,5
                16,5
                Коэффициент дисконтирования
                1,00
                0,86
                0,74
                0,632
                0,543
                0,47
                0,4
                Расчет коэффициента дисконтирования велся по формуле t=
                Прогноз ежегодной реализации
                , где Е - норматив дисконтирования, а t - номер года по порядку (2000 - 0-й год, 2006 - 6-й год). С учетом того, что экономическая обстановка в России, по прогнозам аналитиков будет улучшаться (ожидается снижение ставки рефинансирования), принимаем норматив дисконтирования равным 1/2 от нынешней ставки рефинансирования (35%).
                Как уже упоминалось выше, банк выдает кредит равный 50% от объема необходимых на реализации данного проекта средств, номинированный в рублях (последнее обусловлено партнерскими отношениями двух участников проекта в составе ФПГ). Базой под процент выплат по кредиту является в данном проекте балансовая прибыль. Ставка процента принимается равной 20%. Ниже приведен график погашения основной суммы кредита и процентов по нему:

                Таблица 3.5. График капиталовложений и погашения банковского кредита в 20002006 годах.
                Таблица 3.6

                Показатели
                2000
                2001
                2002
                2003
                2004
                2005
                2006
                1
                2
                3
                4
                5
                6
                7
                8
                1) Капиталовложения, млн.руб:
                - за счет
                банковского
                кредита;
                9,9912
                -
                -
                -
                -
                -
                -
                - за счет
                собственных средств.
                9,9912
                -
                -
                -
                -
                -
                -
                2) Погашения процентов по
                кредиту, млн.руб.
                -
                -
                2,0434
                2,0953
                2,3028
                2,4711
                2,6493
                3) Возврат
                основной суммы кредита, млн.руб.
                -
                -
                -
                2,4978
                2,4978
                2,4978
                2,4978
                Оценка эффективности проекта проводится на основании сопоставления денежных потоков, спровоцированных его реализацией. Поэтому рассмотрим различные направления и рассчитаем значения денежных потоков. Результаты приведены в таблице 3.6:
                Таблица 3.6. Результаты определения денежных потоков участников проекта в течение его эксплуатационной фазы, млн.рублей
                Таблица 3.7

                Показатели
                Годы
                2002
                2003
                2004
                2005
                2006
                1
                2
                3
                4
                5
                6
                1. У АООТ "Челябинский трубопрокатный завод"
                1) Выручка





                а) в базисных ценах
                87,6310
                99,3269
                99,3269
                99,3269
                99,3269
                б) в прогнозных ценах
                112,8687
                140,7264
                151,9801
                161,1082
                170,7728
                2) Текущие издержки





                а) амортизация
                1,0402
                1,1442
                1,2357
                1,3099
                1,3885
                б) материальные .затраты
                76,3495
                95,9823
                103,6579
                109,8837
                116,4754
                в) зарплата
                2,3395
                2,6838
                2,8984
                3,0725
                3,2568
                г) начисления на зарплату
                0,9356
                2,1777
                2,3518
                2,4931
                2,6427
                д) прочие
                9,6301
                10,5931
                11,4403
                12,1274
                12,8549
                Продолжение таблицы 3.6
                1
                2
                3
                4
                5
                6
                е) Итого затрат
                90,2950
                112,5811
                121,5841
                128,8866
                136,6182
                3) Оборотный капитал





                а) всего
                9,4609
                11,8354
                12,7819
                13,5496
                14,3624
                б) прирост
                2,1155
                2,3745
                0,9465
                0,7677
                0,8128
                4) Погашение процентов по кредиту
                2,0434
                2,0953
                2,3028
                2,4711
                2,6493
                5) Погашение основной суммы кредита
                -
                2,4978
                2,4978
                2,4978
                2,4978
                6) Налоги
                12,3567
                15,1709
                16,3841
                17,3682
                18,4101
                а) на пользователей автодорог
                2,8217
                3,5182
                3,7995
                4,0277
                4,2693
                б) на нужды образования
                0,0234
                0,0268
                0,0290
                0,0307
                0,0326
                в) на содержание ЖКХ
                1,6930
                2,1109
                2,2797
                2,4166
                2,5616
                г) на имущество
                0,5147
                0,5662
                0,6115
                0,6482
                0,6871
                г) НДС
                7,3038
                8,9488
                9,6644
                10,2449
                10,8595
                д) Итого затрат
                104,6951
                132,3451
                142,7688
                151,2237
                160,1754
                7) Налогооблагаемая прибыль
                8,1736
                8,3812
                9,2113
                9,8845
                10,5973
                8) Налог на прибыль
                2,4521
                2,5144
                2,7634
                2,9654
                3,1792
                9) Чистая прибыль
                5,7215
                5,8669
                6,4479
                6,9192
                7,4181
                10) Финансовый итог
                4,6462
                4,6366
                6,7371
                7,4614
                7,9938
                2. У Носта-банка
                2,0434
                4,5931
                4,8006
                4,9689
                5,1471
                Поступление процентов по кредиту
                2,0434
                2,0953
                2,3028
                2,4711
                2,6493
                Поступление основной суммы долга
                -
                2,4978
                2,4978
                2,4978
                2,4978
                Отметим, что величины всех составляющих финансовых потоков определялись с учетом инфляционной корректировки (в прогнозных ценах).
                Налоги рассчитывались следующим образом:

                • на нужды образования 1 % от фонда заработной платы;
                • на содержание жилищно-коммунального хозяйства 1,5 % от выручки;
                • на пользователей автодорог 2,5 % от выручки;
                • на имущество 2% от стоимости имущества;
                • на добавленную стоимость 20% от стоимости, добавленной обработкой.
                Прирост ЧОК возмещается из чистой прибыли, что также учитывалось при расчете финансовых итогов.
                Далее рассчитаем показатели значения основных показателей эффективности. Причем сроки окупаемости инвестиционного проекта для обоих его участников определяем графически, а внутреннюю норму прибыли на специальной компьютерной программе. Результаты расчетов представлены ниже.

                Таблица 3.7. Результаты определения показателей эффективности для обоих участников проекта.
                Таблица 3.8

                № п/п
                Год
                Единовременные затраты
                Финансовый итог
                Дисконтированный эффект
                в момент времени t
                дисконтированный
                в прогнозных ценах
                дисконтированный
                в момент времени t
                интегральный, нарастающим итогом
                1
                2
                3
                4
                5
                6
                7
                8
                I. У АООТ "Челябинский трубопрокатный завод"
                0
                2000
                9,9912
                9,9912
                -
                -
                -9,9912
                -9,9912
                1
                2001
                -
                -
                -
                -
                0,0000
                -9,9912
                2
                2002
                -
                -
                4,6462
                3,4233
                3,4233
                -6,5679
                3
                2003
                -
                -
                4,6366
                2,9324
                2,9324
                -3,6355
                4
                2004
                -
                -
                6,7371
                3,6574
                3,6574
                0,0219
                5
                2005
                -
                -
                7,4614
                3,4769
                3,4769
                3,4988
                6
                2006
                -
                -
                7,9938
                3,1974
                3,1974
                6,6962
                II. У Носта-банка
                0
                2000
                9,9912
                9,9912
                -
                -
                -9,9912
                -9,9912
                1
                2001
                -
                -
                -
                -
                0,0000
                -9,9912
                2
                2002
                -
                -
                2,0434
                1,5056
                1,5056
                -8,4856
                3
                2003
                -
                -
                4,5931
                2,9049
                2,9049
                -5,5808
                4
                2004
                -
                -
                4,8006
                2,6061
                2,6061
                -2,9746
                5
                2005
                -
                -
                4,9689
                2,3154
                2,3154
                -0,6592
                6
                2006
                -
                -
                5,1471
                2,0588
                2,0588
                1,3996





                Рассчитаем индекс прибыльности инвестиций:
                PIпр = 17,6093/9,9912 = 1,7625;
                PIб = 11,7200/9,9912 = 1,1730.
                Далее сведем найденные показатели эффективности инвестиционного проекта в нижеследующую таблицу:

                Таблица 3.8 Сводка основных показателей
                эффективности инвестиций.
                Таблица 3.9

                Показатели
                Участники инвестиционного проекта
                АООТ "ЧТПЗ"
                Носта-банк
                1
                2
                3
                1. Срок окупаемости, лет
                4
                6
                2. Индекс прибыльности
                1,7625
                1,1730
                3. Внутренняя норма прибыли
                0,35
                0,159
                4. Интегральный экономический эффект
                6,6962
                1,3996


                Проведение SWOT-анализа


                Всегда необходимо учитывать следующие основные принципы инвестиционной политики:
                1. "золотое банковское правило": использование и получение средств должно происходить в установленные сроки, а посему долгосрочные инвестиции должны финансироваться за счет долгосрочных средств;
                2. принцип платежеспособности: планирование инвестиций должно обеспечивать платежеспособность предприятия в любое время;
                3. принцип сбалансированности рисков: самые рискованные инвестиции должны финансироваться за счет собственных средств;
                4. принцип приспособления к потребностям рынка: необходимо учитывать конъюнктуру рынка и свою зависимость от предоставления заемных средств;
                5. принцип предельной рентабельности: следует выбирать те инвестиции, которые максимально рентабельны.


                1. Проведение SWOT-анализа для АООТ "Челябинский трубопрокатный завод"
                1. Общая информация
                Металлургия в России, так же как и в других, промышленно развитых странах, является одной из базовых отраслей народного хозяйства. По объему производства товарной продукции она занимает четвертое место (13,9 %) после топливной промышленности (18,6 %), машиностроения и металлообработки (18,1 %) и электроэнергетики (16,7 %). В нашей стране металлургические мощности сейчас используются приблизительно на 50%, кроме того, они значительно устарели и требуют модернизации.
                Да и структура отрасли нуждается в существенном изменении.
                До недавнего времени российский рынок трубной продукции был одним из крупнейших в мире. "Как и большинство предприятий черной металлургии бывшего СССР, трубные заводы имели узкую специализацию, особенно в высокотехнологичных секторах" /22/. С начала 90-х годов потребность в трубах значительно уменьшилась, что привело к снижению объемов их производства. Производственные мощности трубных заводов России (около 10 млн.т) загружены только на одну треть.
                Динамика объема производства труб, начиная с 1990 г., показывает его снижение к 1998 г. в 4,25 раза при сокращении сортамента. "Высокая концентрация и достаточно узкая специализация производства … явились одной из причин столь масштабного падения объемов производства стальных труб в России" /22/.
                Спаду в трубной подотрасли в последние годы способствовал кризис в нефтяной промышленности, связанный с падением мировых цен на нефть. Наметившаяся с 1994 г. некоторая стабилизация спроса на трубы была нарушена в 1998 г. В 1999 г. наблюдалось снижение производства труб из-за отсутствия на предприятиях передельной заготовки, чугуна, металлолома и т.п.
                Снизилось производство всех видов продукции черной металлургии, кроме железорудного сырья. Этому способствовали необеспеченность металлургических предприятий собственными оборотными средствами для приобретения сырьевых и материальных ресурсов, а также ограничение рынков сбыта: внешних из-за финансового кризиса в Юго-Восточной Азии и противодействия стран импортеров стального проката массированному экспорту металла из России по демпинговым ценам, внутреннего из-за финансового кризиса, снизившего и без того невысокую платежеспособность отечественных потребителей металлопродукции. Наиболее сильное падение производства произошло на крупнейших трубных заводах, таких как Челябинский трубный, Первоуральский новотрубный, Северский трубный и Выксунский металлургический заводы, ориентированных на поставки сортамента труб нефтегазовому комплексу.
                Это нефтепроводные бесшовные (около 10 %), нефтепроводные электросварные (их доля производства снизилась с 10 до 6,3 %) и высокопрочные нарезные трубы обсадные, насосно-компрессорные и бурильные (около 16 % общего объема производства).
                Резко снизилось и продолжает снижаться и производство других видов труб. Все это также тесно связано с состоянием внутреннего и внешнего рынков трубной продукции.
                Следует отметить, что практически все работы по модернизации трубного, металлургического производства в России осуществляются за счет собственных средств компаний, с очень незначительным привлечением иностранных и отечественных кредитов, без использования государственной поддержки. Но особенно беспокоит металлургов тот факт, что от инвестирования развития трубного производства практически отошли нефтегазовые компании основные заказчики трубной продукции. Практически свернута реализация ранее принятых программ “трубыгаз” и “трубынефть”, которые предполагали активное участие организаций нефтегазового комплекса в развитии трубного производства и его инвестировании.
                6 октября 1999 г. журнал "Эксперт" в пятый раз опубликовал рейтинг двухсот крупнейших компаний России. Среди главных критериев составления рейтинга на этот раз были приняты два показателя - объем реализации продукции в 1998 году и рыночная стоимость (капитализация) компании на 1 сентября 1999 года. Среди промышленных предприятий Челябинской области самый высокий рейтинг у открытого акционерного общества "Магнитогорский металлургический комбинат". ММК занимает в России 18 позицию по объемам реализации продукции и 24 - по рыночной стоимости. Магнитка также входит в двадцатку компаний с наибольшей производительностью.
                В рейтинг "Эксперт-200" по объему реализации продукции вошло еще восемь компаний региона. "Мечел" - 31 позиция, Челябинский электрометаллургический комбинат - 57, "Челябинскуголь" - 92, Челябинский трубопрокатный завод - 101, комбинат "Магнезит" - 113, Челябинский электролитный цинковый завод - 122, Челябинский тракторный завод - 129. А в число лидеров по рыночной стоимости помимо ОАО "ММК" вошли Челябинский металлургический комбинат - 82, "Челябэнерго" - 110, Челябинский трубопрокатный завод - 132. Имеются также две компании Челябинской области среди тридцати наиболее недооцененных инвесторами. Это "Челябэнерго" и Челябинский металлургический комбинат.
                В региональной структуре рейтинга "Эксперт-200" по объему реализации Челябинская область на пятом месте.

                  1. Краткая характеристика АООТ "Челябинский трубопрокатный завод" и его основных конкурентов
                  1. АООТ "Челябинский трубопрокатный завод".
                  АООТ "Челябинский трубопрокатный завод" (ЧТПЗ), основанный в 1942 г. - крупнейшее предприятие по производству труб в РФ (доля в общем объеме производства труб около 20%). В ПРИЛОЖЕНИИ 1 находится адресная карточка предприятия. Завод производит сталь, стальной прокат, свыше 3600 типоразмеров труб из углеродистых, низколегированных, легированных, неражавеющих сталей и различных сплавов.
                  Выпускает трубы диаметром до 1220 мм, которыми на 80 % укомплектована сеть магистральных трубопроводов Газпрома. Единственный в России поставщик горядедеформированных бесшовных труб диаметром более 325 мм и холоднодеформированных бесшовных труб диаметром более 120 мм, применяющихся в нефтегазовой промышленности, тепловой и атомной энергетике.
                  На заводе для изготовления труб используются шесть видов производства:

                  1. горячая прокатка на трубопрокатных пилигримовых установках;
                  2. горячая прокатка на установке с автоматическим станом;
                  3. холодная прокатка труб;
                  4. дуговая сварка под слоем флюса;
                  5. непрерывная печная сварка;
                  6. сварка труб токами радиочастоты.
                  На трубопрокатных пилигримовых установках завода выпускаются бесшовные горячедеформированные трубы из сталей марок 10, 40Х, 15ГС, 12Х1МФ, 15Х1М1Ф, 15ХМ, 09Г2С и др. диаметром 245, 273, 299, 325, 351, 377, 402, 426, 450, 465, 485, 530, 550 мм с толщиной стенки от 9 до 100 мм с соотношением D/S от 3,5 до 55. Трубы поставляются длиной от 4 до 11,9 м.
                  Бесшовные горячедеформированные трубы широко используются в нефтяной и газовой промышленности для строительства различных трубопроводов, газлифтных систем, обустройства газовых месторождений, обсаживания буровых скважин, для морских подводных трубопроводов, для установок аммиака, в тепловой и атомной энергетике, судостроении, авиастроении, машиностроении и т. д.
                  Свыше 85% всех выпускаемых труб проходят неразрушающий контроль качества. ЧТПЗ имеет свидетельство фирмы API о возможности поставки газонефтепроводных труб по стандарту API 5L. Прошел сертификацию своей продукции по международному стандарту "Ди Ай Эн".
                  До этого предприятие получило международные сертификаты соответствия и качества "Ай Эс Оу -9000" и "Эй Ри Ай". Всего за полгода при содействии специалистов германской компании "ТЮФ-Рейланд" международную экспертизу и сертификацию прошли более 1000 образцов выпускаемой заводом продукции. Это позволяет ЧТПЗ значительно наращивать объемы экспорта в зарубежные страны.
                  Кроме того, завод выпускает товары народного потребления (металлокаркасную мебель для дома и офиса), чему способствует экспериментальная база предприятия.
                  В 1998 г. Челябинский трубопрокатный завод сократил производство стальных труб с 382 тысяч 475 тонн до 321 тысячи 255 тонн. При этом выручка от реализации продукции возросла на 34,7 процента - с 1 миллиарда 25 миллионов рублей до 1 миллиарда 382 миллионов рублей. Балансовая прибыль увеличилась на 661 процент - с 30 миллионов 676 тысяч рублей до 233 миллионов 472 тысяч рублей. Доля экспорта увеличилась с 1,4 процента до 1,6 процента, рентабельность товарной продукции возросла с 18 до 32 процентов.
                  Затраты на рубль товарной продукции сократились с 84 до 75 копеек.



                  Результаты определения денежных потоков участников проекта


                  Как видно из представленных выше результатов расчета показателей эффективности, налицо явный дисбаланс в величине показателей эффективности рассматриваемого инвестиционного проекта для его участников (в пользу предприятия-инициатора). Это подтверждается также графиками по определению сроков окупаемости проекта, представленными выше. У банка внутренняя норма прибыли даже меньше принятой ставки дисконтирования, которая принималась заведомо низкой, что однозначно указывает на неэффективность инвестиционных вложений в данный проект для банка при предложенных условиях оплаты кредита. Очевидно, что банк-участник проекта, предоставивший кредит предприятию на льготных условиях будет настаивать на более справедливых для себя условиях. Поэтому примем величину процента от прибыли предприятия, отдаваемого банку в качестве выплат за предоставление кредита не 20, как было оговорено ранее, а на уровне 30.
                  Таким образом, можно добиться выравнивания показателей эффективности для обоих участников проекта. Результаты дополнительных расчетов приведены ниже:
                  Таблица 3.9 Результаты определения денежных потоков участников проекта в течение его эксплуатационной фазы (второй вариант), млн.рублей

                  Таблица 3.10

                  Показатели
                  Годы
                  2002
                  2003
                  2004
                  2005
                  2006
                  1
                  2
                  3
                  4
                  5
                  6
                  1. У АООТ "Челябинский трубопрокатный завод"
                  1) Выручка
                  а) в базисных ценах
                  87,6310
                  99,3269
                  99,3269
                  99,3269
                  99,3269
                  б) в прогнозных ценах
                  112,8687
                  140,7264
                  151,9801
                  161,1082
                  170,7728
                  2) Текущие издержки





                  а) амортизация
                  1,0402
                  1,1442
                  1,2357
                  1,3099
                  1,3885
                  б) материальные затраты
                  76,3495
                  95,9823
                  103,6579
                  109,8837
                  116,4754
                  в) зарплата
                  2,3395
                  2,6838
                  2,8984
                  3,0725
                  3,2568
                  г) начисления на зарплату
                  0,9356
                  2,1777
                  2,3518
                  2,4931
                  2,6427
                  д) прочие
                  9,6301
                  10,5931
                  11,4403
                  12,1274
                  12,8549
                  е) Итого затрат
                  90,2950
                  112,5811
                  121,5841
                  128,8866
                  136,6182
                  3) Оборотный капитал
                  а) всего
                  9,4609
                  11,8354
                  12,7819
                  13,5496
                  14,3624
                  б) прирост
                  2,1155
                  2,3745
                  0,9465
                  0,7677
                  0,8128
                  4) Погашение процентов по кредиту
                  3,0651
                  3,1430
                  3,4542
                  3,7067
                  3,9740
                  5) Погашение основной суммы кредита
                  -
                  2,4978
                  2,4978
                  2,4978
                  2,4978
                  6) Налоги
                  12,3567
                  15,1709
                  16,3841
                  17,3682
                  18,4101
                  а) на пользователей автодорог
                  2,8217
                  3,5182
                  3,7995
                  4,0277
                  4,2693
                  б) на нужды образования
                  0,0234
                  0,0268
                  0,0290
                  0,0307
                  0,0326
                  в) на содержание ЖКХ
                  1,6930
                  2,1109
                  2,2797
                  2,4166
                  2,5616
                  г) на имущество
                  0,5147
                  0,5662
                  0,6115
                  0,6482
                  0,6871
                  г) НДС
                  7,3038
                  8,9488
                  9,6644
                  10,2449
                  10,8595
                  д) Итого затрат
                  105,7168
                  133,3928
                  143,9202
                  152,4593
                  161,5001
                  7) Налогооблагаемая прибыль
                  7,1519
                  7,3336
                  8,0599
                  8,6490
                  9,2727
                  8) Налог на прибыль
                  2,1456
                  2,2001
                  2,4180
                  2,5947
                  2,7818
                  9) Чистая прибыль
                  5,0063
                  5,1335
                  5,6419
                  6,0543
                  6,4909
                  10) Финансовый итог
                  3,9310
                  3,9032
                  5,9311
                  6,5965
                  7,0666
                  2. У Носта-банка
                  3,0651
                  5,6408
                  5,9520
                  6,2045
                  6,4718
                  Поступление процентов за кредит
                  3,0651
                  3,1430
                  3,4542
                  3,7067
                  3,9740
                  Поступление основной суммы кредита
                  -
                  2,4978
                  2,4978
                  2,4978
                  2,4978

                  Таблица 3.10 Результаты определения показателей эффективности для обоих участников проекта.
                  Таблица 3.11

                  № п/п
                  Год
                  Единовременные затраты
                  Финансовый итог
                  Дисконтированный эффект
                  в момент времени t
                  дисконтированный
                  в прогнозных ценах
                  дисконтированный
                  в момент времени t
                  интегральный, нарастающим итогом
                  1
                  2
                  3
                  4
                  5
                  6
                  7
                  8
                  I. У АООТ "Челябинский трубопрокатный завод"
                  0
                  2000
                  9,9912
                  9,9912
                  -
                  -
                  -9,9912
                  -9,9912
                  1
                  2001
                  -
                  -
                  -
                  -
                  0,0000
                  -9,9912
                  2
                  2002
                  -
                  -
                  3,9310
                  2,8964
                  2,8964
                  -7,0948
                  3
                  2003
                  -
                  -
                  3,9032
                  2,4686
                  2,4686
                  -4,6263
                  4
                  2004
                  -
                  -
                  6,7371
                  3,6574
                  3,6574
                  -0,9689
                  5
                  2005
                  -
                  -
                  6,5965
                  3,0739
                  3,0739
                  2,1050
                  6
                  2006
                  -
                  -
                  7,0666
                  2,8265
                  2,8265
                  4,9315
                  II. У Носта-банка
                  0
                  2000
                  9,9912
                  9,9912
                  -
                  -
                  -9,9912
                  -9,9912
                  1
                  2001
                  -
                  -
                  -
                  -
                  0,0000
                  -9,9912
                  2
                  2002
                  -
                  -
                  3,0651
                  2,2584
                  2,2584
                  -7,7329
                  3
                  2003
                  -
                  -
                  5,6408
                  3,5675
                  3,5675
                  -4,1654
                  4
                  2004
                  -
                  -
                  5,9520
                  3,2312
                  3,2312
                  -0,9342
                  5
                  2005
                  -
                  -
                  6,2045
                  2,8912
                  2,8912
                  1,9570
                  6
                  2006
                  -
                  -
                  6,4718
                  2,5886
                  2,5886
                  4,5456



                  Рассчитаем индекс прибыльности инвестиций для этого случая:
                  PIпр = 14,92271168/9,9912 = 1,4936;
                  PIб = 14,53683809/9,9912 = 1,4550.
                  Далее сведем найденные показатели эффективности инвестиционного проекта в нижеследующую таблицу:
                  Таблица 3.11 Сводка основных показателей
                  эффективности инвестиций.
                  Таблица 3.12

                  Показатели
                  Участники инвестиционного проекта
                  АООТ "ЧТПЗ"
                  Носта-банк
                  1
                  2
                  3
                  1. Срок окупаемости, лет
                  5
                  5
                  2. Индекс прибыльности
                  1,4936
                  1,4550
                  3. Внутренняя норма прибыли
                  0,309
                  0,294
                  4. Интегральный экономический эффект
                  4,9315
                  4,5456
                  При расчетах внутренней нормы прибыли, которые, как уже упоминалось ранее, проводились в специальной компьютерной программе, число итераций расчета составило для предприятия 10, для банка - 12. Схожесть интегрального эффекта соответственно 0,003 и 0,0044.
                  Как видно из последних расчетов, удалось практически сравнять показатели эффективности для участников проекта. Кроме того, представленные показатели свидетельствуют о безусловной экономической эффективности инвестиционных вложений в рассматриваемый инвестиционный проект.
                  Необходимо отметить, что применение более эффективных организационных и строительных технологий при проведении реконструкции, позволит снизить сроки строительства. А продуктивная работа маркетологов, совместно с ускорением темпов освоения новых мощностей добавит к этому еще и снижение сроков освоения. Что вкупе даст гораздо меньшее время замораживания капитала, а значит и большую отдачу.
                  Дополнительную ценность данному инвестиционному проекту (в случае его реализации) придают нижеуказанные пункты:

                  • востребованность высокого научного потенциала;
                  • внедрение современных ресурсосберегающих технологий производства;
                  • улучшение экологических показателей;
                  • повышение конкурентоспособности завода вследствие проводимой диверсификации, в том числе из-за значительно меньшей, нежели устоявшиеся запланированной цены реализации продукции;
                  • суммарные за расчетный период поступления в бюджет составят 91,8301 млн.рублей, что безусловно должно заставить администрацию как местного, так и федерального уровней обратить внимание на проблемы завода; остается надеяться, что будущая налоговая политика государства будет содействовать развитию производства в стране путем более равномерного распределения своих поступлений и доходов предприятий от инноваций.
                  1. Строительство водопроводной сети
                  1. Исходные данные
                  Наряду с выпуском металлических труб на АООТ "Челябинский трубопрокатный завод" может быть организовано строительное подразделение, которое будет выполнять работы по строительству и реконструкции теплотрасс, водопроводных и канализационных систем.
                  Для обеспечения нормальной подачи воды в цеха, на склады завода "Станкомет" строительному подразделению поручено строительство водопроводной сети на заводе.
                  Схема системы водопроводной сети показана на чертеже (лист ). Общая длина водопроводной сети составляет 6,4 км. Основные характеристики трассы водопроводной сети:

                  1. грунты по трассе водопровода - супесь тяжелая;
                  2. плотность грунтов в естественном залегании, е = 1,63 т/м3;
                  3. состояние грунтов: грунты устойчивые (крепление откосов траншеи не требуется);
                  4. допустимая крутизна откосов траншеи для данных грунтов, m=0,67;
                  5. глубина промерзания грунтов, Hпр=1,5 м;
                  6. трасса водопровода во многих местах проходит под асфальтовым покрытием;
                  7. водопровод запроектирован из стальных труб диаметром 0,3 м, выпускаемых АООТ "Челябинский трубопрокатный завод".
                    1. Выбор типового сечения траншеи
                    Водопроводные сети прокладывают на такой глубине, чтобы вода в трубах не замерзала зимой и чрезмерно не нагревалась летом. Кроме того, учитывают воздействие на трубы нагрузки от различных машин.
                    Глубину заложения труб или глубину траншеи, считая до низа, принимают на 0,5 м больше расчетной глубины промерзания грунтов, т.е.:
                    Hтр = Нпр +0,5 = 1,5 + 0,5 = 2,0 м, (4.1)
                    где Hтр - глубина заложения труб, м;
                    Нпр - расчетная глубина промерзания (Нпр = 1,5 м);
                    При прокладке трубопровода необходимо выдерживать определенные расстояния между трубопроводом и другими сооружениями, установленные СНиПом.
                    Параметры типового сечения траншеи определяются по четырем условиям:

                    1. по коэффициенту заложения откосов, m = 0,67;
                    2. по глубине траншеи, Нтр = 2,0 м;
                    3. по ширине траншеи по дну;
                    4. по ширине ковша экскаватора.
                    Ширина траншеи по дну согласно СНиП 3.02.01-87 должна быть не менее 0,6 м из условия удобства монтажа труб. Для стальных труб ширина траншеи будет равна:
                    bтр = D + Зм = 0,3 + 0,6 = 0,9 м, (4.2)



                    Строительство водопроводов


                    где bтр - ширина траншеи, м;
                    D - диаметр трубопровода, D = 0,3 м;
                    Зм - запас на монтажные работы, Зм = 0,6 м.
                    Учитывая размер траншеи по дну можно подобрать такой экскаватор, ширина ковша которого будет меньше ширины траншеи.
                    Типовое сечение траншеи показано на чертеже (лист ).

                      1. Способы строительства трубопровода
                      При строительстве трубопровода применяют траншейный и бестраншейный способы строительства трубопровода.

                          1. Траншейный способ
                          Строительство водопроводов складывается из следующих процессов:

                          1. геодезическая разбивка трассы трубопровода;
                          2. завоз материалов и оборудования для строительства;
                          3. разработка грунта в траншеях по трубы;
                          4. крепление при необходимости откосов траншей;
                          5. сварка отдельных труб в звенья нитки трубопровода, гидроизоляция звеньев труб;
                          6. укладка отдельных ниток трубопровода;
                          7. первоначальная присыпка трубопровода;
                          8. предварительное испытание смонтированных участков;
                          9. засыпка траншей и уплотнение грунта в них;
                          10. окончательное испытание трубопровода;
                          11. монтаж вантузов и гидрантов.
                          Подготовительные работы по трассе водопровода сводятся к расчистке полосы от деревьев, кустарника. Кроме того, на некоторых участках трассы необходимо будет вскрыть асфальтовое покрытие и вывезти его на строительную свалку.
                          Разработку грунта в траншеях под трубопроводы ведут в соответствие с проектной глубиной залегания труб, Нтр = 2,0 м.
                          Для разработки грунта в траншеях используют различные машины, начиная с одноковшовых экскаваторов и заканчивая многоковшовыми экскаваторами.
                          Крепление вертикальных стенок траншей выполняют в неустойчивых грунтах, а также во всех случаях, когда глубина траншеи превышает допустимую по правилам безопасности ведения работ. Для крепления обычно применяют деревянные щиты. В нашем случае крепление траншеи не требуется, т.к. грунты устойчивые.
                          Сварку труб в звенья проводят на бровке траншеи. Длина свариваемых звеньев (ниток) трубопровода составляет 80…100м.
                          Монтаж трубопровода выполняют после подготовки и проверки основания. При подготовке и проверке основания предъявляются следующие требования:

                          1. грунт основания должен быть ненарушенной структуры;
                          2. дно траншеи должно иметь проектные отметки;
                          3. каждое звено трубопровода должно плотно соприкасаться с основанием по всей длине;
                          4. недоборы грунта по дну траншеи до 5…10 см должны быть ликвидированы (обычно вручную с откидкой грунта на участки с уложенным трубопроводом);
                          5. случайные переборы должны быть ликвидированы засыпкой (песком, щебнем, гравием) с тщательным уплотнением.
                          Укладку отдельных ниток трубопровода в траншею обычно проводят при помощи нескольких специальных трубоукладчиков. Укладываемые на дно траншеи звенья тщательно центрируют с помощью приспособлений (центраторов) и затем сваривают звенья трубопровода и тщательно изолируют.
                          Засыпка траншей после монтажа труб выполняется в два этапа. Вначале засыпают приямки, сделанные под стыками для удобства сварки и подбивается грунт под бока труб с тщательным уплотнением. Одновременно засыпают трубы сверху на 0,3…0,5 м, оставляя открытыми все сварочные швы (стыки).
                          Дальнейшую засыпку (второй этап) проводят после проведения предварительного испытания трубопровода и устранения всех недостатков. Засыпку траншеи ведут послойно с уплотнением грунта механизированными ручными трамбовками.
                          Испытание трубопровода проводят вначале предварительное, а затем окончательное. Предварительное и окончательное испытания в летнее время проводят гидравлическим способом.
                          На чертеже (лист ) показаны основные работы по строительству трубопровода.

                              1. Бестраншейный способ.
                              При пересечении трубопровода с действующими инженерными коммуникациями (дороги, трубопроводы, кабели и т.д.) применяют бестраншейный способ прокладки трубопровода.
                              Суть всех известных способов состоит в том, что с одной стороны отрывают рабочий котлован, с которой трубу проталкивают под препятствием до выхода в приемный котлован до противоположной стороны.
                              Бестраншейную прокладку можно осуществить:
                              а) продавливанием домкратами без выемки грунта (прямой прокол для труб D = 100…150 мм и L 30 м);
                              б) вибропроколом и гидропроколом (D 500 мм, L 100 м);
                              в) продавливанием с выемкой грунта механическим или гидравлическим способом (D 1200 мм);
                              г) бурением горизонтальных скважин специальными бурильными установками (D = 1200…1400 мм);
                              д) устройством подземных выработок способами, применяемыми при строительстве тоннелей (D 1400 мм).
                              Продавливают только стальные и железобетонные трубы. При необходимости укладки труб из других материалов вначале продавливают стальную трубу (кожух), а затем через нее протаскивают рабочую трубу. Такой метод (с кожухом) применяют также иногда при использовании стальных труб при проколе под ответственными сооружениями (дорогами, линиями связи и так далее), так как в этом случае срок службы трубопровода увеличивается.
                              Кроме этого, водопроводные линии, проложенные в кожухе, лучше выдерживают динамические нагрузки. Особенно это важно при проколе под дорогами.
                              На чертеже (лист ) показана схема прокола трубопровода под автомобильной дорогой.


                                1. Выбор основных машин для производства работ.
                                Для снятия растительного грунта по трассе водопровода и обратной засыпки траншеи принимают бульдозер ДЗ-8 на базе трактора Т-75.
                                Для очистки части трассы от асфальта используют отбойные молотки.
                                Для разработки грунта в траншее с учетом размеров траншеи выбираем экскаватор с рабочим оборудованием обратная лопата марки ЭО-3322А. Его основные параметры:

                                1. вместимость ковша, q = 0,4 м3;
                                2. ширина ковша, bк = 0,5 м;
                                3. высота выгрузки, Нв = 5,2 м;
                                4. глубина копания, Нк = 5 м.
                                Для укладки звеньев труб принимаем трубоукладчики ТЛГ-4М.
                                Для проведения гидравлических испытаний участков трубопровода принимаем гидравлический пресс, который должен обеспечивать испытательное давление:
                                Рисп = Рраб + Затм = 5 + 3 = 8 атм, (4.3)
                                где Рисп - испытательное давление, атм;
                                Рраб - рабочее давление, Рраб = 5 атм;
                                Затм = 3 атм.


                                  1. Определение количества труб.
                                  Потребное количество труб можно определить по следующей формуле:
                                  Nтр = L/L' = 6400/5 = 1280 штук, (4.4)
                                  где Nтр - потребное количество труб, шт.;
                                  L - общая длина водопровода (L = 6400 м);
                                  L' - длина одной трубы (L' = 5 м)
                                  Общая масса труб определяется следующим образом:
                                  Мтр = m Nтр = 510 кг 1280 шт. = 652 800 кг 653т, (4.5)
                                  Где Мтр - общая масса труб, кг (т);
                                  m - масса одной трубы (m = 510 кг);
                                  Nтр - потребное количество труб, шт.
                                  Для транспортировки труб от склада до приобъектного склада используем бортовые автомобили грузоподъемностью 10т. Для перевозки всех труб на приобъектный склад потребуется следующее количество рейсов:
                                  Nрейс = Nтр /К' = 1280/20 = 64 рейса, (4.6)
                                  где Nрейс - потребное количество рейсов, рейсы;
                                  Nтр - потребное количество труб, шт.;
                                  К' - количество перевозимых за один рейс труб (К' = 20 шт./рейс).
                                  Определение потребного количества автомобилей, необходимых для перевозки труб. Количество автомобилей определяется по формуле (округляем в большую сторону, чтобы обеспечить необходимый минимум):
                                  Nавт = I/П = 3,78/1,34 = 2,82 3 автомобиля, (4.7)
                                  где Nавт - потребное количество автомобилей, шт.;
                                  I - интенсивность движения, то есть необходимое количество рейсов за один рабочий день (одну смену), рейс/смена.
                                  I =
                                  Строительство водопроводов
                                  , (4.8)
                                  где Nрейс - количество рейсов (Nрейс = 64);
                                  Кн - коэффициент неравномерности движения, учитывающий непредвиденные обстоятельства (Кн = 1,3);
                                  t - продолжительность доставки труб на склад (t = 1 месяц или t = 22 рабочих дня), тогда:
                                  I =
                                  Строительство водопроводов
                                  = 3,78
                                  Строительство водопроводов
                                  ;
                                  П - производительность автомобиля или количество рейсов, которое может выполнить один автомобиль за один рабочий день.
                                  П =
                                  Строительство водопроводов
                                  , (4.9)
                                  где Тсм - продолжительность одной смены, мин (Тсм = 860 = 480 мин.).
                                  Тц - продолжительность одного цикла, мин:
                                  Тц = t1 + t2 + t3 + t4 + t5,
                                  где t1 - время подачи автомобиля под загрузку, t1 = 10 мин;
                                  t2 - время загрузки автомобиля, t2 = 30 мин;
                                  t3 - время груженого хода, мин:
                                  t3 =
                                  Строительство водопроводов
                                  =
                                  Строительство водопроводов
                                  = 1,67 часа (или 100 мин), (4.10)
                                  L - расстояние до объекта (L = 50 км);
                                  Vг.х. - скорость груженого хода (Vг.х. = 30 км/час).
                                  t4 - время разгрузки автомобиля (t4 = 30 мин).
                                  t5 - время обратного хода автомобиля, мин:
                                  t5 =
                                  Строительство водопроводов
                                  =
                                  Строительство водопроводов
                                  = 1,43 часа (или 86 мин), (4.11)
                                  где Vх.х. - скорость холостого хода (Vх.х. = 35 км/час).
                                  Кз - коэффициент случайных задержек (Кз = 1,4).
                                  Тогда Тц = 10 + 30 + 100 + 30 + 86 = 256 мин.
                                  П =
                                  Строительство водопроводов
                                  = 1,34
                                  Строительство водопроводов
                                  .


                                    1. Технологический расчет на строительство водопровода.
                                    Технологический расчет выполнен на 1000 погонных метров водопровода. Общая же длина водопровода составляет 6400 м. В расчете определены:

                                    1. объем работ и состав исполнителей, выполняющих данную технологическую операцию;
                                    2. трудоемкость операции в человеко-часах;
                                    3. машиноемкость технологической операции в машино-часах.
                                    При определении количества машино- и человеко-часов были использованы следующие нормативные документы: ведомственные нормы и расценки (ВНиР, выпуск 1), единые нормы и расценки (ЕНиР, сборник 9; ЕНиР, сборник 11; ЕНиР, сборник 22).
                                    Машиноемкость (машино-часы) определялась по следующей формуле:
                                    М-ч =
                                    Строительство водопроводов
                                    , (4.12)
                                    где Vраб - объем работ;



                                    Технологический расчет на строительство водопровода


                                    VЕНиР - объем работ, на который дается норма времени (определяем по ЕНиРу);
                                    Нвр - норма времени, необходимая машине для выполнения единицы объема работ (определяем по ЕНиРу).
                                    Количество человеко-часов (трудоемкость) определяем по следующей формуле:
                                    Ч-ч = К М-ч, (4.13)
                                    Где К - количество механизаторов, работающих на данной машине;
                                    М-ч - количество машино-часов.
                                    Для работ, выполняемых вручную, количество человеко-часов определяется по формуле:
                                    Ч-ч =
                                    Технологический расчет на строительство водопровода
                                    , (4.14)
                                    Где Vраб - объем работ;
                                    VЕНиР - объем работ, на который дается норма времени;
                                    Нвр - норма времени для рабочего на выполнение единицы работ.
                                    Таблица 4.1 Технологический расчет на строительство водопровода.
                                    Таблица 4.13

                                    Наименование технологических операций
                                    Машины, рабочие
                                    Условия работы
                                    Объем работ
                                    Нормы времени (их обоснование)
                                    Машиноемкость (маш-часы)
                                    Трудоемкость (чел-часы)
                                    1
                                    2
                                    3
                                    4
                                    5
                                    6
                                    7
                                    1. Удаление вскрышной породы (асфальта) с части (20%) трассы водопровода
                                    Отбойные молотки, вручную
                                    Порода
                                    72 м3
                                    3,4 ч-ч/1м3
                                    (Е-2-1-46)
                                    -
                                    244,8
                                    2. Снятие растительного грунта
                                    Бульдозер ДЗ-8
                                    Грунт I группы
                                    720 м3
                                    2,1 м-ч/100м3
                                    (В-12-1-8)
                                    15,12
                                    15,12
                                    3. Разработка грунта в траншее
                                    Экскаватор
                                    ЭО-3322А
                                    Грунт I группы
                                    4480 м3
                                    2,1 м-ч/100м3
                                    (В-12-1-1)
                                    94,08
                                    94,08
                                    4. Подготовка основания
                                    Вручную
                                    Грунт I группы
                                    630 м3
                                    0,45 ч-ч/1м3
                                    (Е-2-1-47)
                                    -
                                    283,5
                                    5. Сварка труб в плети
                                    Вручную
                                    Толщина шва 10 мм
                                    200 стык.
                                    1,8 ч-ч/1ст.
                                    (Е-9-2-2)
                                    -
                                    360
                                    6. Очистка стыков от ржавчины и их гидроизоляция
                                    Вручную
                                    Двойная гидроизоляция
                                    200 стык.
                                    0,42 ч-ч/1 ст.
                                    (Е-9-2-12)
                                    -
                                    84
                                    7. Укладка плетей в траншею
                                    Кран-трубоукладчик (5шт.)
                                    Траншея без распорок
                                    1000 м
                                    0,16 м-ч/1м
                                    (Е-9-2-1)
                                    160
                                    1440
                                    8. Подбивка труб грунтом
                                    Вручную
                                    Hсл = 0,1 м
                                    448 м3
                                    0,37 ч-ч/1м3
                                    (Е-9-2-8)
                                    -
                                    165,8
                                    Продолжение таблицы 4.1
                                    9. Гидравлические испытания трубопровода
                                    Гидравлический пресс
                                    Рисп =8 атм
                                    1000 м
                                    0,20 ч-ч/1м
                                    (Е-9-2-9)
                                    -
                                    200
                                    10. Обратная засыпка траншеи
                                    Бульдозер ДЗ-8
                                    Грунт I группы
                                    4480 м3
                                    0,35 м-ч/100м3
                                    (Е-2-1-34)
                                    15,68
                                    15,68
                                    11. Рекультивация трассы
                                    Бульдозер ДЗ-8
                                    Грунт I группы
                                    720 м3
                                    1,8 м-ч/100м3
                                    (В-12-18)
                                    12,96
                                    12,96

                                    Подсчет объемов работ (на 1000 пог.м. водопровода).

                                    1. Удаление вскрышной породы
                                    V1 = Втр*Lвод*hасф* = 3,6*1000*0,10*0,2 = 72,0 м3, (4.14)
                                    Где Втр - ширина траншеи по верху (Втр = 3,6 м);
                                    Lвод - расчетная длина водопровода (Lвод = 1000 м);
                                    hасф - толщина вскрыши асфальта (hасф = 10 см);
                                    асф - доля заасфальтированной части трассы (асф = 0,2).

                                    1. Снятие растительного грунта по трассе
                                    V2 = Втр*Lвод*hр.гр*раст = 3,6*1000*0,8*0,25 = 720 м3, (4.15)
                                    где hр.гр - толщина растительного грунта (hр.гр = 0,25 м);
                                    Lвод - расчетная длина водопровода (Lвод = 1000 м);
                                    раст - доля растительного грунта на трассе (раст = 0,8).

                                    1. Разработка грунта в траншее
                                    V3 = Lвод = 4,48*1000 = 4480 м3, (4.16)
                                    Где Lвод - расчетная длина водопровода (Lвод = 1000 м);
                                    - площадь траншеи, м2.
                                    = bНтр + m
                                    Технологический расчет на строительство водопровода
                                    = 0,9*2 + 0,67*22 = 4,48 м2, (4.17)
                                    где b - ширина траншеи по дну (b = 0,9 м);
                                    Нтр - глубина траншеи (Нтр = 2,0 м);
                                    m - заложение откосов траншеи (m = 0,67).

                                    1. Подготовка основания
                                    V4 = b Lвод hсрезки = 0,9*1000*0,07 = 630 м3, (4.18)
                                    Где b - ширина траншеи по дну (b = 0,9 м);
                                    Lвод - расчетная длина водопровода (Lвод = 1000 м);
                                    hсрезки - средняя толщина срезаемого грунта, (hсрезки = 0,07 м).


                                      1. Организация строительства водопровода
                                      1. Общие положения
                                      Для увязки всех работ во времени были запроектированы два календарных плана:

                                      1. циклограмма на проведение всех технологических операций;
                                      2. генеральный календарный план на проведение работ по всему водопроводу с учетом подготовительных и приемо-сдаточных работ.
                                      Общий срок строительства водопроводной сети был определен по СНиПу 1.04.03-85 и равен 10 месяцам, в том числе срок подготовительного периода равен 1,0 месяц.
                                      Основные требования к календарным планам:

                                      • соответствие заданным срокам строительства объекта - нормативному сроку;
                                      • обеспечение широкого фронта работ - максимальное использование машино-механизмов;
                                      • обеспечение равномерной загрузки потребления денежных средств, строительных материалов, рабочей силы, машино-механизмов;
                                      • Для проектирования календарных планов необходимо определить потребные ресурсы и время выполнения работ по участкам водопровода.


                                          1. Определение потребных ресурсов.
                                          Все расчеты по определению потребных ресурсов приведены в таблице 4.2.
                                          Продолжительность выполнения отдельной работы определялась по формуле:
                                          t =
                                          Технологический расчет на строительство водопровода
                                          , (4.19)
                                          или t =
                                          Технологический расчет на строительство водопровода
                                          , (4.20)
                                          где М-ч - машиноемкость выполняемой работы, машино-часы;
                                          Ч-ч - трудоемкость выполняемой работы, человеко-часы;
                                          NМАШ - количество машин, шт.;
                                          NРАБ - количество рабочих, чел.
                                          Количество машин и рабочих выбирается таким образом, чтобы все строительные работы выполнялись равномерно и непрерывно, при этом исполнители (машины и рабочие) переходили с одного участка водопроводной сети на другой, не мешая друг другу и не создавая лишних временных промежутков.
                                          Циклограмма на выполнение основных строительных работ по водопроводной сети показана на чертеже .
                                          Для увязки всего комплекса работ по строительству водопровода запроектирован генеральный календарный план, в котором кроме основных строительных работ, предусмотрены подготовительные работы, благоустройство трассы водопровода, пуско-наладочные работы, хлорирование водопровода и сдача водопровода в эксплуатацию. Данный план представлен в приложении на листе .

                                          Таблица 4.2 Определение потребных ресурсов
                                          Таблица 4.14

                                          Номер участка и его длина
                                          Строительные операции
                                          Количество исполнителей
                                          Ресурсы
                                          на1000 п.м.
                                          Ресурсы
                                          на участок
                                          Время выполнения работы (раб.дни)
                                          Машино-часы
                                          Человеко-часы
                                          Машино-часы
                                          Человеко-часы
                                          1
                                          2
                                          3
                                          4
                                          5
                                          6
                                          7
                                          8
                                          1-2

                                          1500 м
                                          1. Вскрыша асфальта
                                          3 человека
                                          -
                                          244,8
                                          -
                                          367,2
                                          9
                                          2. Снятие растительного грунта
                                          1 бульдозер
                                          15,12
                                          15,12
                                          22,68
                                          22,68
                                          3
                                          3. Разработка грунта в траншее
                                          1 экскаватор
                                          94,08
                                          94,08
                                          141,12
                                          141,12
                                          18
                                          4. Подготовка основания
                                          3 человека
                                          -
                                          283,5
                                          -
                                          425,25
                                          18
                                          5. Сварка труб
                                          4 человека
                                          -
                                          360
                                          -
                                          540
                                          18
                                          6. Очистка и гидроизоляция
                                          2 человека
                                          -
                                          84
                                          -
                                          126
                                          8
                                          7. Укладка плетей
                                          5 кранов
                                          160
                                          1440
                                          240
                                          2160
                                          30
                                          8. Подбивка труб
                                          2 человека
                                          -
                                          165,8
                                          -
                                          248,7
                                          15
                                          9. Испытания труб
                                          4 человека
                                          -
                                          200
                                          -
                                          300
                                          19
                                          10. Обратная засыпка
                                          1 бульдозер
                                          15,68
                                          15,68
                                          23,52
                                          23,52
                                          3
                                          11. Рекультивация трассы
                                          1 бульдозер
                                          12,96
                                          12,96
                                          19,03
                                          19,03
                                          1

                                          Продолжение таблицы 4.2

                                          1
                                          2
                                          3
                                          4
                                          5
                                          6
                                          7
                                          8
                                          2-3

                                          2300 м
                                          1. Вскрыша асфальта
                                          3 человека
                                          -
                                          244,8
                                          -
                                          563,04
                                          23
                                          2. Снятие растительного грунта
                                          1 бульдозер
                                          15,12
                                          15,12
                                          34,77
                                          34,77
                                          4
                                          3. Разработка грунта в траншее
                                          1 экскаватор
                                          94,08
                                          94,08
                                          216,38
                                          216,38
                                          27
                                          4. Подготовка основания
                                          3 человека
                                          -
                                          283,5
                                          -
                                          652,05
                                          27
                                          5. Сварка труб
                                          3 человека
                                          -
                                          360
                                          -
                                          828
                                          34
                                          6. Очистка и гидроизоляция
                                          2 человека
                                          -
                                          84
                                          -
                                          193,2
                                          12
                                          7. Укладка плетей
                                          5 кранов
                                          160
                                          1440
                                          368
                                          3312
                                          46
                                          8. Подбивка труб
                                          2 человека
                                          -
                                          165,8
                                          -
                                          381,34
                                          23
                                          9. Испытания труб
                                          4 человека
                                          -
                                          200
                                          -
                                          460
                                          29
                                          10. Обратная засыпка
                                          1 бульдозер
                                          15,68
                                          15,68
                                          36,06
                                          36,06
                                          5
                                          11. Рекультивация трассы
                                          1 бульдозер
                                          12,96
                                          12,96
                                          29,80
                                          29,80
                                          5
                                          3-4

                                          1000 м
                                          1. Вскрыша асфальта
                                          3 человека
                                          -
                                          244,8
                                          -
                                          244,8
                                          10
                                          2. Снятие растительного грунта
                                          1 бульдозер
                                          15,12
                                          15,12
                                          15,12
                                          15,12
                                          2
                                          3. Разработка грунта в траншее
                                          1 экскаватор
                                          94,08
                                          94,08
                                          94,08
                                          94,08
                                          12
                                          4. Подготовка основания
                                          3 человека
                                          -
                                          283,5
                                          -
                                          283,5
                                          12
                                          5. Сварка труб
                                          3 человека
                                          -
                                          360
                                          -
                                          360
                                          15
                                          6. Очистка и гидроизоляция
                                          2 человека
                                          -
                                          84
                                          -
                                          84
                                          5
                                          7. Укладка плетей
                                          5 кранов
                                          160
                                          1440
                                          160
                                          1440
                                          20
                                          8. Подбивка труб
                                          2 человека
                                          -
                                          165,8
                                          -
                                          165,8
                                          10
                                          9. Испытания труб
                                          4 человека
                                          -
                                          200
                                          -
                                          200
                                          12
                                          10. Обратная засыпка
                                          1 бульдозер
                                          15,68
                                          15,68
                                          15,68
                                          15,68
                                          10
                                          11. Рекультивация трассы
                                          1 бульдозер
                                          12,96
                                          12,96
                                          12,96
                                          12,96
                                          2
                                          Продолжение таблицы 4.2

                                          1
                                          2
                                          3
                                          4
                                          5
                                          6
                                          7
                                          8
                                          4-5

                                          400 м
                                          1. Вскрыша асфальта
                                          3 человека
                                          -
                                          244,8
                                          -
                                          97,92
                                          4
                                          2. Снятие растительного грунта
                                          1 бульдозер
                                          15,12
                                          15,12
                                          6,05
                                          6,05
                                          1
                                          3. Разработка грунта в траншее
                                          1 экскаватор
                                          94,08
                                          94,08
                                          37,63
                                          37,63
                                          5
                                          4. Подготовка основания
                                          3 человека
                                          -
                                          283,5
                                          -
                                          113,4
                                          5
                                          5. Сварка труб
                                          3 человека
                                          -
                                          360
                                          -
                                          144
                                          6
                                          6. Очистка и гидроизоляция
                                          2 человека
                                          -
                                          84
                                          -
                                          33,6
                                          4
                                          7. Укладка плетей
                                          5 кранов
                                          160
                                          1440
                                          64
                                          576
                                          8
                                          8. Подбивка труб
                                          2 человека
                                          -
                                          165,8
                                          -
                                          66,3
                                          4
                                          9. Испытания труб
                                          4 человека
                                          -
                                          200
                                          -
                                          80
                                          5
                                          10. Обратная засыпка
                                          1 бульдозер
                                          15,68
                                          15,68
                                          6,27
                                          6,27
                                          1
                                          11. Рекультивация трассы
                                          1 бульдозер
                                          12,96
                                          12,96
                                          5,18
                                          5,18
                                          1
                                          5-6

                                          1200 м
                                          1. Вскрыша асфальта
                                          3 человека
                                          -
                                          244,8
                                          -
                                          293,8
                                          12
                                          2. Снятие растительного грунта
                                          1 бульдозер
                                          15,12
                                          15,12
                                          18,14
                                          18,14
                                          3
                                          3. Разработка грунта в траншее
                                          1 экскаватор
                                          94,08
                                          94,08
                                          112,9
                                          112,9
                                          14
                                          4. Подготовка основания
                                          3 человека
                                          -
                                          283,5
                                          -
                                          340,2
                                          14
                                          5. Сварка труб
                                          3 человека
                                          -
                                          360
                                          -
                                          432
                                          18
                                          6. Очистка и гидроизоляция
                                          2 человека
                                          -
                                          84
                                          -
                                          100,8
                                          12
                                          7. Укладка плетей
                                          5 кранов
                                          160
                                          1440
                                          192
                                          1728
                                          24
                                          8. Подбивка труб
                                          2 человека
                                          -
                                          165,8
                                          -
                                          198,9
                                          12
                                          9. Испытания труб
                                          4 человека
                                          -
                                          200
                                          -
                                          240
                                          15
                                          10. Обратная засыпка
                                          1 бульдозер
                                          15,68
                                          15,68
                                          18,81
                                          18,81
                                          2
                                          11. Рекультивация трассы
                                          1 бульдозер
                                          12,96
                                          12,96
                                          15,55
                                          15,55
                                          2


                                          

                                              Экономика: Знания - Циклы - Макроэкономика