Глава 8. Сетевой анализ проектов. Метод PERT
В данной главе показаны возможности использования метода PERT (Program Evaluation and Review Technique — метод оценки и обзора программы) для контроля сроков выполнения проекта. Метод PERT ориентирован на анализ таких проектов, для которых продолжительность выполнения всех или некоторых работ не удается определить точно. Прежде всего речь идет о проектировании и внедрении новых систем. В таких проектах многие работы не имеют аналогов. В результате возникает неопределенность в сроках выполнения проекта в целом.
Применение метода PERI позволяет получить ответы на следующие вопросы:
1. Чему равно ожидаемое время выполнения работы?
2. Чему равно ожидаемое время выполнения проекта?
3. С какой вероятностью проект может быть выполнен за указанное время?
После того как вы выполните задания, предлагаемые в этой главе, вы будете уметь определять и использовать для экономического анализа:
• оптимистическое и пессимистическое время выполнения работы;
• наиболее вероятное и ожидаемое время выполнения работы;
• вариацию времени выполнения работы, проекта.
Модели
Для того чтобы использовать метод PERT, для каждой работы i, время выполнения которой является случайной величиной, необходимо определить следующие три оценки:
at — оптимистическое время (время выполнения работы i в наиболее благоприятных условиях);
mi — наиболее вероятное (нормальное) время (время выполнения работы i в нормальных условиях);
bi — пессимистическое время (время выполнения работы i в неблагоприятных условиях).
Учитывая, что время выполнения работы хорошо описывается бета-распределением, среднее, или ожидаемое, время t выполнения работы i может быть оценено по формуле
t
i = (a
i + 4m
i + bi)/6.
Если время выполнения работы i известно точно и равно d, то ti = ai = mi = bi = di .
Располагая указанными тремя оценками времени выполнения работы, можно рассчитать
общепринятую статистическую меру неопределенности — дисперсию
s - или вариацию var времени выполнения работы i:
s 2 =
vari =
[(b- - a
)/6]
Если время выполнения работы i известно точно, то
s i = var = 0.
Пусть Т — время, необходимое для выполнения проекта. Если в проекте есть работы с неопределенным временем выполнения, то время T является случайной величиной.
Математическое ожидание (ожидаемое значение) времени выполнения проекта Е(Т) равно сумме ожидаемых значений времени выполнения работ, лежащих на критическом пути.
Для определения критического пути проекта может быть использован метод СРМ. На этом этапе анализа проекта время выполнения работы полагается равным ожидаемому времени t-.
Вариация (дисперсия) s
2(T) общего времени, требуемого для завершения проекта, в предположении о независимости времени выполнения работ равна сумме вариаций (дисперсий) времени выполнения работ критического пути. Если же две или более работы взаимозависимы, то указанная сумма дает приближенное представление о вариации времени завершения проекта.
Распределение времени T завершения проекта является асимптотически нормальным со средним Е(Т) и дисперсией s
2(T). С учетом этого можно рассчитать вероятность завершения проекта в установленный срок T
0. Для определения вероятности того, что Т < Т
0, следует использовать таблицу распределения величины z = [To - Е(Т)]/о(Т), которая имеет стандартное нормальное распределение.
Примеры
Пример 1. Новый продукт Московского часового завода. Конструкторское бюро Московского часового завода (МЧЗ) разработало новый настольный радиобудильник. По мнению проектировщиков, запуск в серию нового продукта позволит расширить рынок сбыта и получить дополнительную прибыль.
|
Работа |
Содержание работы |
Непосред
ственно
предшест
вующие
работы |
Оптимис
тическое
время
аі |
Наиболее вероятное время
ті |
Пессимистическое время
Ь, |
|
А |
Подготовить конструкторский проект |
— |
4 |
5 |
12 |
|
В |
Разработать маркетинговый план |
— |
I |
1,5 |
5 |
|
С |
Подготовить маршрутные карты |
А |
2 |
3 |
4 |
|
D |
Создать опытный образец |
А |
3 |
4 |
11 |
|
Е |
Выпустить рекламную брошюру |
А |
2 |
3 |
4 |
|
F |
Подготовить оценки затрат |
С |
1,5 |
2 |
2,5 |
|
G |
Провести предварительное тестирование |
D |
1,5 |
3 |
4,5 |
|
Н |
Выполнить исследование рынка |
В, Е |
2,5 |
3,5 |
7,5 |
|
/ |
Подготовить доклад о ценах |
Н |
1,5 |
2 |
2,5 |
|
J |
Подготовить заключительный доклад |
F, G,I |
1 |
2 |
3 |
Руководство МЧЗ решило изучить возможности реализации нового продукта. Результатом исследования должны стать рекомендации относительно действий, которые следует предпринять для организации производства и сбыта нового продукта. Перечень работ и характеристики времени их выполнения (в неделях) указаны в следующей таблице:_
Вопросы:
1. Чему равен критический путь для данного проекта?
2. Чему равно ожидаемое время выполнения проекта?
3. С какой вероятностью проект может быть выполнен за 20 недель?
1-й способ решения. Используя информацию, указанную в условии, определяем ожидаемое время и вариацию времени выполнения каждой работы проекта. Например, для работы А:
t
A = (а
А + 4т
л + Ь
А)/6 = (4 + 4*5 + 12)/6 = 6; а
2л = ?ат
А = [(Ь
л - а
А)/6]
2 = [(12 - 4>/6р = 1,78.
Проводя аналогичные расчеты для других работ, получаем следующую таблицу:
|
Работа |
Ожидаемое время выполнения t,, недели |
Дисперсия
°,2 |
|
А |
6 |
1,78 |
|
В |
2 |
0,44 |
|
С |
3 |
0,11 |
|
D |
5 |
1,78 |
|
Е |
3 |
0,11 |
|
F |
2 |
0,03 |
|
G |
3 |
0,25 |
|
Н |
4 |
0,69 |
|
J |
2 |
0,03 |
|
J |
2 |
0,11 |
|
Работа |
Время выполнения, недели |
Предшествующие работы |
|
А |
6 |
|
|
В |
2 |
|
|
С |
3 |
А |
|
D |
5 |
А |
|
Е |
3 |
А |
|
F |
2 |
С |
|
G |
3 |
D |
|
И |
4 |
В, Е |
|
I |
2 |
И |
|
J |
2 |
F, G, / |
Полагая время выполнения работы равным ожидаемому времени ее выполнения t
i, находим критический путь. Используем для этого метод СРМ в виде следующей таблицы с указанием предшествующих работ: _
Результаты расчетов представлены в следующей таблице:
|
Project |
17 |
|
|
|
|
|
|
Работа |
Время выполнения, недели |
ES |
EF |
LS |
LF |
R |
|
А |
6 |
0 |
6 |
0 |
6 |
0 |
|
В |
2 |
0 |
2 |
7 |
9 |
7 |
|
С |
3 |
6 |
9 |
10 |
13 |
4 |
|
D |
5 |
6 |
11 |
7 |
12 |
1 |
|
Е |
3 |
6 |
9 |
6 |
9 |
0 |
|
¦ F |
2 |
9 |
11 |
13 |
15 |
4 |
|
G |
3 |
11 |
14 |
12 |
15 |
1 |
|
Н |
4 |
9 |
13 |
9 |
13 |
0 |
|
I |
2 |
13 |
15 |
13 |
15 |
0 |
|
J |
2 |
15 |
17 |
15 |
17 |
0 |
Критический путь для данного проекта включает работы А, Е, Н, I, J. Длина критического пути равна 6+3+4+2+2=17. Это означает, что ожидаемое время выполнения проекта составляет 17 недель.
Предполагая, что распределение времени выполнения проекта является нормальным, можно определить вероятность того, что проект будет выполнен за 20 недель.
Определим дисперсию времени выполнения проекта. Ее значение равно сумме значений дисперсий времени выполнения работ на критическом пути:
о
2(7) = 1,78 + 0,11 + 0,69 + 0,03 + 0,11 = 2,72.
Учитывая, что ®(Т)
= ЛІ®
2(Т)
= = 1,65, находим значение z для нормального распределения при Т
0
= 20:
Z=[T
0- Е (Т)]/о(Т) = (20 - 17)/1,65 = 1,82.
Используя таблицу нормального распределения (Приложение 1), находим вероятность того, что время Т выполнения проекта находится в интервале Е(Т) < T < Т
0. На пересечении строки «1,8» и столбца «0,02» таблицы нормального распределения находим значение 0,4656. Следовательно, искомая вероятность того, что время Т выполнения проекта удовлетворяет условию Т < 20, т.е. вероятность того, что проект будет выполнен за 20 недель при ожидаемом времени его выполнения 17 недель, равна 0,5 + 0,4656 = 0,9656.
|
2-й способ решения. Исходные данные представлены в следующей таблице (оценки времени выполнения работ указаны в неделях):____________ |
|
|
|
Работа |
Оптимистическое время |
Наиболее вероятное время |
Пессимистическое время |
Предшествующие работы |
|
А |
4 |
5 |
12 |
|
|
В |
1 |
1.5 |
5 |
|
|
С |
2 |
3 |
4 |
А |
|
D |
3 |
4 |
11 |
А |
|
Е |
2 |
3 |
4 |
А |
|
F |
1.5 |
2 |
2,5 |
С |
|
G |
1.5 |
3 |
4,5 |
D |
|
Н |
2,5 |
3,5 |
7,5 |
В, Е |
|
1 |
1,5 |
2 |
2,5 |
Н |
|
J |
1 |
2 |
3 |
F, G, 1 |
Проводя расчеты, получаем следующие результаты:
|
Project |
17 |
|
|
|
|
|
|
|
Работа |
Время выполнения, недели |
ES |
ЕЕ |
LS |
LF |
R |
о |
|
|
|
|
|
|
|
|
1,65 |
|
А |
6 |
0 |
6 |
0 |
6 |
0 |
1,33 |
|
В |
2 |
0 |
2 |
7 |
9 |
7 |
0,67 |
|
С |
3 |
6 |
9 |
10 |
13 |
4 |
0,33 |
|
D |
5 |
6 |
11 |
7 |
12 |
1 |
1,33 |
|
Е |
3 |
6 |
9 |
6 |
9 |
0 |
0,33 |
|
F |
2 |
9 |
11 |
13 |
15 |
4 |
0,17 |
|
G |
3 |
11 |
И |
12 |
15 |
1 |
0,50 |
|
Н |
4 |
9 |
13 |
9 |
13 |
0 |
0,83 |
|
I |
2 |
13 |
15 |
13 |
15 |
0 |
0,17 |
|
J |
2 |
15 |
17 |
15 |
17 |
0 |
0,33 |
Последний столбец таблицы содержит значения стандартных ошибок времени выполнения проекта в целом (первое значение s(T) = 1,65) и всех его работ в частности.
Так же, как в первом способе, находим значение z для нормального распределения при Т
0 = 20:
Z= [То- Е(Т)]/а(Т) = (20 - 17)/1,65 = 1,82.
Используя таблицу нормального распределения (см. Приложение 1), находим вероятность того, что время T выполнения проекта находится в интервале Е(Т) < Т < Т
0. На пересечении строки «1,8» и столбца «0,02» таблицы нормального распределения находим значение 0,4656. Следовательно, искомая вероятность того, что проект будет выполнен за 20 недель при ожидаемом времени его выполнения 17 недель, равна 0,5 + 0,4656 = 0,9656.
Ответы:
1. Критический путь составляют работы А, Е, Н, I, J.
2.17 недель. 3. 0,9656.
Вопросы
Вопрос 1. Метод PERT разработан для:
1) описания проектов путем указания всех работ, предшествующих данной работе;
2) описания проектов путем представления каждой работы в виде пары узлов сети;
3) минимизации издержек на сокращение продолжительности проекта;
4) нахождения критического пути при анализе проектов с заданным временем выполнения каждой работы;
5) нахождения критического пути при анализе проектов с неопределенным временем выполнения работ. Вопрос 2. В сетевом графике с неопределенным временем выполнения работ пессимистическое время
выполнения работы А равно 12, оптимистическое — 6, ожидаемое — 10.
Чему равно наиболее вероятное время выполнения работы А 7 Варианты ответов:
1) 6; 2) 10; 3) 10,5; 4) 12; 5) 12,5.
Вопрос 3. В сетевом графике с неопределенным временем выполнения работ пессимистическое время выполнения работы А равно 8, оптимистическое — 2. Величина запаса времени (полный резерв времени) работы А оказалась равной 3. Наиболее раннее время ее начала 2, а наиболее позднее время окончания 8.
Чему равно наиболее вероятное время выполнения работы А ?
Варианты ответов:
1) 2; 2) 4; 3) 5; 4) 6; 5) 8.
Вопрос 4. В сетевом графике с неопределенным временем выполнения работ пессимистическое время выполнения работы А равно 16, оптимистическое — 4.
Чему равна дисперсия (вариация) времени выполнения работы А?
Варианты ответов:
1) 1; 2) 2; 3) 4; 4) 12; 5) 16.
Вопрос 5. Ожидаемое время выполнения проекта равно 14 неделям. Дисперсия времени выполнения проекта равна 4. Проектировщиков интересует вероятность, с которой проект может быть завершен за 16 недель.
Определите соответствующее пороговое значение случайной величины, имеющей стандартное нормальное распределение.
Варианты ответов:
1) 0,5; 2) 1; 3) 2; 4) 4; 5) 16.
|
Работа |
Оптимистическое время в; |
Наиболее вероятное время ті |
Пессимистическое время Ь; |
|
А |
4 |
5 |
6 |
|
В |
8 |
9 |
10 |
|
С |
7 |
7,5 |
11 |
|
D |
7 |
9 |
10 |
|
Е |
6 |
7 |
9 |
|
F |
5 |
6 |
7 |
Задачи
Задача 1. Ниже даны оценки продолжительности выполнения работ (в днях) применительно к небольшому проекту: _
Рассчитайте ожидаемое время выполнения и дисперсию для каждой работы.
Известно, что критический путь составляют работы В, D, F.
Вопросы:
1. Чему равно ожидаемое время выполнения работы В 7
2. Чему равна дисперсия времени выполнения работы D?
3. Каково ожидаемое время выполнения проекта?
4. Чему равна дисперсия времени выполнения проекта?
Задача 2. Проект строительства плавательного бассейна состоит из девяти основных работ. Работы, их непосредственные предшественники и оценки времени выполнения работ (в днях) приведены ниже:
|
Работа |
Непосредственно
предшествующие
работы |
Оптимистическое время а. |
Наиболее вероятное время т. |
Пессимистическое время bf |
|
А |
— |
3 |
5 |
6 |
|
В |
— |
2 |
4 |
б |
|
С |
А, В |
5 |
6 |
7 |
|
D |
А, В |
7 |
9 |
10 |
|
Е |
В |
2 |
4 |
6 |
|
F |
С |
1 |
2 |
3 |
|
G |
D |
5 |
8 |
10 |
|
Н |
А F |
6 |
8 |
10 |
|
I |
Е, G, Н |
1 |
4 ¦ |
5 |
Постройте сеть PERT/СРМ для этого проекта.
Вопросы:
1. Каков ожидаемый срок завершения проекта?
2. Чему равна стандартная ошибка (корень квадратный из дисперсии) времени завершения проекта?
3. Какова вероятность того, что проект будет выполнен за 24 дня?
Задача 3. Рассмотрите следующий проект (оценки времени выполнения работ указаны в неделях):
|
Работа |
Непосредственно
предшествующие
работы |
Оптимистическое время а(- |
Наиболее вероятное время от,- |
Пессимистическое ; время Ь/ |
|
А |
— |
4 |
5 |
6 |
|
В |
— |
2,5 |
3 |
3,5 |
|
С |
А |
6 |
7 |
8 |
|
D |
А |
5 |
5,5 |
9 |
|
Е |
В |
5 |
7 |
9 |
|
F |
D, Е |
2 |
3 |
4 |
|
G |
D, Е |
8 |
10 |
12 |
|
Н |
С, F |
6 |
7 |
14 |
Вопросы:
1. Какова ожидаемая продолжительность проекта?
2. Чему равна вероятность того, что проект будет завершен за 21 неделю?
3. Чему равна вероятность того, что проект будет завершен за 25 недель?
Задача 4. Деканат экономического факультета МГУ предполагает провести летние курсы переподготовки преподавателей экономической теории в каком-либо из загородных домов отдыха. Для подготовки курсов необходимо выполнить следующие работы (оценки времени указаны в неделях):
|
Работа |
Содержание работы |
Непосред
ственно
предшест
вующие
работы |
Оптимис
тическое
время
аі |
Наиболее вероятное время от,- |
Пессимистическое время
Ь, |
|
А |
Определить темы занятий |
— |
1,5 |
2 |
2,5 |
|
В |
Договориться с лекторами |
А |
2 |
2,5 |
6 |
|
С |
Определить возможные места проведения курсов |
— |
1 |
2 |
3 |
|
D |
Выбрать место проведения курсов |
С |
1,5 |
2 |
2,5 |
|
Е |
Разработать график работы лекторов |
В, D |
0,5 |
1 |
1,5 |
|
F |
Получить окончательное согласие лекторов |
Е |
1 |
2 |
3 |
|
G |
Подготовить и разослать приглашения |
В, D |
3 |
3,5 |
7 |
|
Н |
Зарезервировать места для участников |
G |
3 |
4 |
5 |
|
I |
Выполнить последние приготовления |
F,H |
1,5 |
2 |
2,5 |
Вопросы:
1. Каково ожидаемое время завершения проекта?
2. Сколько работ на критическом пути?
3. Если деканат хочет добиться того, чтобы к заезду преподавателей все подготовительные мероприятия были выполнены с вероятностью 0,975, то в какие сроки следует ожидать их завершения?
Задача 5. Менеджер плавательного бассейна МГУ разрабатывает план подготовки к первой тренировке команды пловцов. Тренировку предполагается провести 1 сентября. Данные о подготовительных мероприятиях приведены в следующей таблице (оценки времени указаны в днях):
|
Работа |
Содержание работы |
Непосред
ственно
предшест
вующие
работы |
Оптимис
тическое
время
аі |
Наиболее вероятное время
«/ |
Пессимистическое время */ |
|
А |
Согласовать вопрос с заведующим кафедрой физического воспитания |
— |
1 |
1 |
2 |
|
В |
Нанять тренеров |
А |
4 |
6 |
8 |
|
С |
Зарезервировать плавательный бассейн |
А |
2 |
4 |
6 |
|
D |
Объявить программу тренировки |
В, С |
1 |
2 |
3 |
|
Е |
Встретиться с тренерами |
В |
2 |
3 |
4 |
|
F |
Заказать костюмы для пловцов |
А |
1 |
2 |
3 |
|
G |
Зарегистрировать
пловцов |
D |
1 |
2 |
3 |
|
Н |
Собрать взносы |
G |
1 |
2 |
4 |
|
/ |
Подготовить план проведения первой тренировки |
Е, F, Н |
1 |
1 |
1 |
Вопросы:
1. Какова ожидаемая продолжительность проекта?
2. Сколько работ на критическом пути?
3. Если менеджер планирует начать проект 11 августа, то какова вероятность того, что программа тренировки пловцов будет завершена к 1 сентября за 16 рабочих дней?
Ответы и решения
Ответы на вопросы: 1—5, 2—3, 3 — 1, 4—3, 5—2.
Задача 1. Решение.
Пользуясь формулами для ожидаемого времени
= (°/
+ 4w,- + *,)/6 и дисперсии 0/
2==var, = [('*,.-я,. )/6р, определяем соответствующие значения для каждой работы. Получаем следующую таблицу:
|
Работа |
Оптимистическое время а., дни |
Наиболее вероятное время ті, дни |
Пессимистическое время Ьп дни |
Ожидаемое время tn
ДНИ |
Диспепсия, |
|
А |
4 |
5 |
6 |
5 |
0,11 |
|
В |
8 |
9 |
10 |
9 |
0,11 |
|
С |
7 |
7,5 |
11 |
8 |
0,44 |
|
D |
7 |
9 |
10 |
8,83 |
0,25 |
|
Е |
6 |
7 |
9 |
7,16 |
0,25 |
|
F |
5 |
6 |
7 |
6 |
0,11 |
Учитывая, что критический путь составляют работы В, D, F, получаем, что ожидаемое время выполнения проекта равно 9 + 8,83 + 6 = 23,83 дня. Дисперсия времени выполнения проекта равна 0,11 + 0,25 +0,11 = 0,47.
Ответы: 1. Девять дней. 2.0,25. 3. 23,83 дня. 4. 0,47.
Задача 2. Решение.
Для решения задачи используем программу POMWIN. Введем в программу информацию о предшествующих работах и оценки времени выполнения работ:
|
|
|
Работа |
Оптимистическое время, дни |
Наиболее вероятное время, дни |
Пессимистическое время, дни |
Предшествующие работы |
|
А |
3 |
5 |
6 |
|
|
В |
2 |
4 |
6 |
|
|
С |
5 |
6 |
7 |
А, В |
|
D |
7 |
9 |
10 |
А, В |
|
Е |
2 |
4 |
6 |
В |
|
F |
1 |
2 |
3 |
С |
|
G |
5 |
8 |
10 |
D |
|
Н |
. 6 |
-8 |
10 |
А Е |
|
I |
1 |
4 |
5 |
Е, G, Н |
|
Проводя расчеты, получаем следующие результаты: |
|
Project |
25,33 |
|
|
|
|
|
|
|
Работа |
Время выполнения, дни |
ES |
EF |
LS |
LF |
R |
О |
|
|
|
|
|
|
|
|
1,18 |
|
А |
4,83 |
0 |
4,83 |
0 |
4,83 |
0 |
0,5 |
|
В |
4 |
0 |
4 |
0,83 |
4,83 |
0,83 |
0,67 |
|
С |
6 |
4,83 |
10,83 |
5,67 |
11,67 |
0,83 |
0,33 |
|
D |
8,83 |
4,83 |
13,67 |
4,83 |
13,67 |
0 |
0,5 |
|
Е |
4 |
4 |
8 |
17,67 |
21,67 |
13,67 |
0,67 |
|
F |
2 |
10,83 |
12,83 |
11,67 |
13,67 |
0,83 |
0,33 |
|
G |
7,83 |
13,67 |
21,5 |
13,83 |
21,67 |
0,16 |
0,83 |
|
Н |
8 |
13,67 |
21,67 |
13,67 |
21,67 |
0 |
0,67 |
|
/ |
3,67 |
21,67 |
25,33 |
21,67 |
25,33 |
0 |
0,67 |
Следовательно, ожидаемое время выполнения проекта равно 25,33 дня. Стандартная ошибка (корень квадратный из дисперсии) времени завершения проекта равна 1,18.
Для того чтобы определить вероятность выполнения проекта за 24 дня, находим значение z для нормального распределения при Т
0 = 24:
г = 1Е(Г) - Щ/а{Т) = (25,33 - 24)/1,І8 = 1,127.
Используя таблицу нормального распределения (см. Приложение 1), находим вероятность того, что время Т выполнения проекта находится в интервале Т
0 < Т < Е(Т). На пересечении строки «1,1» и столбца «0.02» таблицы нормального распределения находим значение 0,3686.
Следовательно, искомая вероятность того, что 0 < T < Т
0 и проект будет выполнен за 24 дня при ожидаемом времени его выполнения 25,33 дня, равна 0,5 - 0,3686 = 0,1314.
Ответы: 1. 25,33 дня. 2. 1,18. 3. 0,1314.
Задача 3. Решение.
Для решения задачи используем программу POMWIN. Введем в программу информацию о предшествующих работах и оценки времени выполнения работ (в неделях):
|
Работа |
Оптимистическое время |
Наиболее вероятное время |
Пессимистическое время |
Предшествующие работы |
|
А |
4 |
5 |
6 |
|
|
В |
2,5 |
3 |
3,5 |
|
|
С |
6 |
7 |
8 |
А |
|
D |
5 |
5,5 |
9 |
А |
|
Е |
5 |
7 |
9 |
В |
|
F |
2 |
3 |
4 |
А Е |
|
G |
8 |
10 |
12 |
D, Е |
|
Н |
6 |
7 |
14 |
С, F |
Проводя расчеты, получаем следующие результаты:
|
Project |
22 |
|
|
|
|
|
|
|
Работа |
Время выполнения, недели |
ES |
EF |
LS |
LF |
R |
о |
|
|
|
|
|
|
|
|
1,56 |
|
А |
5 |
0 |
5 |
0 |
5 |
0 |
0,33 |
|
В |
3 |
0 |
3 |
1 |
4 |
1 |
0,17 |
|
С |
7 |
5 |
12 |
7 |
14 |
2 |
0,33 |
|
D |
6 |
5 |
11 |
5 |
11 |
0 |
0,67 |
|
Е |
7 |
3 |
10 |
4 |
11 |
1 |
0,67 |
|
F |
3 |
11 |
14 |
11 |
14 |
0 |
0,33 |
|
G |
10 |
11 |
21 |
12 |
22 |
1 |
0,67 |
|
Н |
8 |
14 |
22 |
14 |
22 |
0 |
1,33 |
Следовательно, ожидаемое время выполнения проекта равно 22 неделям. Стандартная ошибка (к°р
ень квадратный из дисперсии) времени завершения проекта равна 1,56.
Для того чтобы определить вероятность выполнения проекта за 21 неделю, находим значение z для
нормального распределения при Т
0 = 21 : г = [Е(П - Т
0)/а(Т) = (22 - 21)/1,56 = 0,64.
Используя таблицу нормального распределения (см. Приложение 1), находим вероятность
тоro
, что время T выполнения проекта находится в интервале T < Т < Е(Т). На пересечении строки «0
,6>>
и столбца «0,04» таблицы нормального распределения находим значение 0,2389.
Следовательно, искомая вероятность того, что 0 < Т < Т и проект будет выполнен за 21 нед
елю пр
и ожидаемом времени его выполнения 22 недели, равна 0,5-0,2389=0,2611.
Для того чтобы определить вероятность выполнения проекта за 25 недель, находи
м значение z для нормального распределения при Т
0 = 25: г = [Г
0 - Е(7’)]/о(7’) = (25 - 22)/1,5б = 1,92.
Используя таблицу нормального распределения (см. Приложение 1), находим вероятность
тоro
, что время T выполнения проекта находится в интервале Е(Т) < Т < Т
0. На пересечении строки «1,9» и столбца «0,02» таблицы нормального распределения находим значение 0,4726.
Следовательно, искомая вероятность того, что 0 < Т < Т и проект будет выполнен за 25 не
дель при ожидаемом времени его выполнения 22 недели, равна 0,5 + 0,4726 = 0,9726.
Ответы: 1.22 недели. 2.0,2611. 3. 0,9726.
Задача 4. Решение.
Для решения задачи используем программу POMWIN. Введем в программу информ
ацию ° предшествующих работах и оценки времени выполнения работ (в неделях):
|
|
|
Работа |
Оптимистическое время |
Наиболее вероятное время |
Пессимистическое время |
Предшествующие работы |
|
А |
1,5 |
2 |
2,5 |
|
|
В |
2 |
2,5 |
6 1 |
А |
|
С |
1 |
2 |
3 |
|
|
D |
1,5 |
2 |
2,5 |
С |
|
Е |
0,5 |
1 |
1,5 |
В, D |
|
F |
1 |
2 |
3 |
Е |
|
G |
3 |
3,5 |
7 |
В, D |
|
Н |
3 |
4 |
5 |
G |
|
I |
1,5 |
2 |
2,5 |
F.H |
|
Проводя расчеты, получаем следующие результаты: |
|
Project |
15 |
|
|
|
|
|
|
|
Работа |
Время выполнения, недели |
ES |
ЕЕ |
LS |
LF |
R |
О |
|
|
|
|
|
|
|
|
1,03 |
|
А |
2 |
0 |
2 |
0 |
2 |
0 |
0,17 |
|
В |
3 |
2 |
5 |
2 |
5 |
0 |
0,67 |
|
С |
2 |
0 |
2 |
1 |
3 |
1 |
0,33 |
|
D |
2 |
2 |
4 |
3 |
5 |
1 |
0,17 |
|
Е |
1 |
5 |
6 |
10 |
11 |
5 |
0,17 |
|
F |
2 |
6 |
8 |
11 |
13 |
5 |
0,33 |
|
G |
4 |
5 |
9 |
5 |
9 |
0 |
0,67 |
|
Н |
4 |
9 |
13 |
9 |
13 |
0 |
0,33 |
|
' |
2 |
13 |
15 |
13 |
15 |
0 |
0,17 |
Следовательно, ожидаемое время выполнения проекта равно 15 неделям. На критическом пути пять работ: А, В, G, Н, I.
Стандартная ошибка (корень квадратный из дисперсии) времени завершения проекта равна 1,03.
Время выполнения проекта Т
0 должно быть таким, при котором вероятность его своевременного завершения равна 0,975. Вероятность нахождения времени Т выполнения проекта в интервале Е(Т) < Т < Т
0 равна 0,475 (т.е. 0,975 - 0,5). Отсюда, используя таблицу нормального распределения (см. Приложение 1), получаем z = 1,96. Для нормального распределения z = (Т - 15)/1,03. Следовательно, Т0 = 17,02.
Ответы: 1. 15 недель. 2. Пять работ. 3. За 17,02 недели.
Задача 5. Решение.
Для решения задачи используем программу POMWIN. Введем в программу информацию о предшествующих работах и оценки времени выполнения работ:
|
|
|
Работа |
Оптимистическое время, дни |
Наиболее вероятное время, дни |
Пессимистическое время, дни |
Предшествующие работы |
|
А |
1 |
1 |
2 |
|
|
В |
4 |
6 |
8 |
А |
|
С |
2 |
4 |
6 |
А |
|
D |
1 |
2 |
3 |
В, С |
|
Е |
2 |
3 |
4 |
В |
|
F |
1 |
2 |
3 |
А |
|
G |
1 |
2 |
3 |
D |
|
Н |
1 |
2 |
4 |
G |
|
I |
1 |
1 |
1 |
Е, F, Н |
|
Проводя расчеты, получаем следующие результаты: |
|
Project |
14,33 |
|
|
|
|
|
|
|
Работа |
Время выполнения, дни |
ES |
EF |
LS |
LF |
R |
о |
|
|
|
|
|
|
|
|
0,97 |
|
А |
1,17 |
0 |
1,16 |
0 |
1,16 |
0 |
0,17 |
|
В |
6 |
1,16 |
7,16 |
1,16 |
7,16 |
0 |
0,67 |
|
С |
4 |
1,16 |
5,16 |
3,16 |
7,16 |
1,99 |
0,67 |
|
D |
2 |
7,16 |
9,16 |
7,16 |
9,16 |
0 |
0,33 |
|
Е |
3 |
7,16 |
10,16 |
10,33 |
13,33 |
3,17 |
0,33 |
|
F |
2 |
1,16 |
3,16 |
11,33 |
13,33 |
10,17 |
0,33 |
|
G |
2 |
9,16 |
11,16 |
9,16 |
11,16 |
0 |
0,33 |
|
Н |
2,17 |
11,16 |
13,33 |
11,16 |
13,33 |
0 |
0,5 |
|
1 |
I |
13,33 |
14,33 |
13,33 |
14,33 |
0 |
0 |
Следовательно, ожидаемое время выполнения проекта равно 14,33 дня. Стандартная ошибка (корень квадратный из дисперсии) времени завершения проекта равна 0,97.
Для того чтобы определить вероятность выполнения проекта за 16 дней, находим значение г для нормального распределения при Т
0= 16: г = [Г
0 - Е{Т)]/а(Т) = (16 - 14,33)/0,97 = 1,72.
Используя таблицу нормального распределения (см. Приложение 1), находим вероятность того, что время T выполнения проекта находится в интервале 14,33 < Т < 16. На пересечении строки «1,7» и столбца «0,02» таблицы нормального распределения находим значение 0,4573.
Следовательно, искомая вероятность того, что 0 < Т <16 и проект будет выполнен за 16 дней при ожидаемом времени его выполнения 14,33 дня равна 0,5 + 0,4573 = 0,9573.
Ответы: 1.14,33 дня. 2. Шесть работ. 3. 0,9573.
Глава 9. Анализ затрат на реализацию проекта
Предположим, что ожидаемое время выполнения проекта нас не устраивает и мы хотели бы его уменьшить. Сокращение времени выполнения проекта, как правило, связано с использованием
дополнительных ресурсов, таких, как увеличение количества рабочих, организация работы в сверхурочное время. Следовательно, при сокращении срока выполнения проекта увеличиваются затраты на его реализацию. В результате требуется искать компромисс между сокращением времени выполнения той или иной работы и экономией дополнительных затрат на проект. Для расчета
минимальных затрат, необходимых для сокращения времени реализации проекта, может быть использована модель линейного программирования.
Для планирования затрат, составления графика расходования средств и осуществления контроля за этим расходованием может быть использован метод анализа затрат PERT/COST. Конечная цель
применения метода PERT/COST состоит в том, чтобы затраты на реализуемый проект
соответствовали принятой смете, Составление сметы расходов на реализацию проекта обычно предполагает выявление всех затрат на проект и дальнейшее их распределение во времени. На этапах выполнения проекта фактические затраты можно сравнить с планируемыми (или сметными). Если фактические затраты превышают планируемые, можно предпринять необходимые действия, направленные на то, чтобы привести фактическую сумму затрат на проект в соответствие с планом.
Применение метода минимизации затрат и метода PERT/COST позволяет получить ответы на следующие вопросы:
1. При каких минимальных затратах можно уменьшить время выполнения проекта до заданной величины?
2. На сколько следует сократить продолжительность времени выполнения каждой работы проекта?
3. Соответствуют ли фактические затраты на выполнение проекта сметным затратам?
4. Соответствуют ли фактические затраты запланированному сроку реализации проекта?
После того как вы выполните задания, предлагаемые в этой главе, вы будете уметь определять и использовать для экономического анализа:
• затраты на выполнение работы в нормальных условиях и в условиях максимального сокращения ее
продолжительности;
• нормальную продолжительность работы;
• продолжительность работы при максимально возможном ее сокращении;
• величину сокращения времени выполнения работы и проекта в целом;
• затраты на сокращение времени выполнения проекта.
Модели
1. Минимизация затрат, необходимых для сокращения времени реализации проекта.
Обозначения:
(/', j) — работа проекта в соответствии с определениями, данными в главе 7;
t — нормальная продолжительность работы (i,j) (продолжительность работы при детерминированном подходе — метод СРМ или ожидаемое время выполнения работы при стохастическом подходе — метод PERT);
— продолжительность работы (i,j) при максимально возможном ее сокращении;
Mj = tj -
iJ — величина максимально возможного сокращения продолжительности работы (i,j) за счет дополнительных ресурсов;
ij расчетные затраты на выполнение работы (i,j) при нормальной ее продолжительности;
ij — расчетные затраты на выполнение работы (i,j) в условиях максимального сокращения ее продолжительности за счет дополнительных ресурсов;
С Cj
C
Kij = (
i] - Сі)/Му — удельные затраты на сокращение продолжительности работы (ij) (на единицу времени).
Предположим, что любая дополнительная доля сокращаемого времени на выполнение работы потребует постоянной (неизменной во времени) доли дополнительных затрат. При таком предположении для минимизации затрат на сокращение времени реализации проекта можно использовать модель линейного программирования.
Для формулировки модели дополнительно введем следующие обозначения:
Р — множество работ проекта;
х
і — время наступления события i (событие-узел отражает факт завершения всех работ, входящих в данный узел);
Уу — величина сокращения времени работы (i, j);
i = 1 —номер начального события для сети, описывающей проект;
i = п —номер конечного события для сети, описывающей проект;
T
0 — желательное время выполнения проекта.
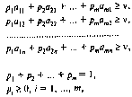
При данных обозначениях модель линейного программирования имеет вид
}Ку
Уу^> min,
(1)
Xj^Xf + Xj-yg,
(2)
Уц^
мц> (3)
хп-
то у (4)
х' ~ 0’ Уу^ (5)
(і,Л 6 р-
Если т — число работ, п — число событий, то описанная модель имеет п + т переменных, т ограничений (2), т ограничений (3), п + т ограничений (5) и одно ограничение (4). Итого п + т переменных и 3т + n + 1 ограничение.
Если {xj*, у* — оптимальный план, полученный для модели (1)—(5), то уц* — время, на которое
L j *
следует сократить продолжительность выполнения работы (i,j);
і] — минимальная сумма
издержек, необходимая для сокращения времени выполнения проекта до T
0.
2. Метод анализа затрат PERT/COST. Метод основан на построении области допустимых затрат, при которых проект может быть реализован за определенное время. В результате применения метода СРМ или метода PERT может быть получено наиболее раннее и наиболее позднее время начала каждой работы. Далее строятся два графика: график совокупных затрат при наиболее раннем времени начала работ и график совокупных затрат при наиболее позднем времени начала работ.
Если фактические затраты на выполнение проекта будут находиться внутри области, очерченной этими графиками, то проект может быть выполнен за время, соответствующее длине критического пути. Если фактические затраты окажутся за пределами очерченной области, то продолжительность выполнения проекта увеличится.
|
Работа |
Непосред
ственно |
Время выполнения,
- недели |
Затраты, руб., при времени выполнения |
|
|
ющие работы |
нормальное
х? |
минимальное |
нормальном
с» |
минимальном
с; |
|
А |
— |
3 |
1 |
900 |
1700 |
|
В |
— |
6 |
2 |
2000 |
4000 |
|
С |
А |
2 |
1 |
500 |
1000 |
|
D |
В, С |
5 |
3 |
1800 |
2400 |
|
Е |
D |
4 |
3 |
1500 |
1850 |
|
F |
Е |
3 |
1 |
3000 |
3900 |
|
G |
В, С |
9 |
4 |
8000 |
9800 |
|
Н |
F, G |
3 |
2 |
1000 |
2000 |
Примеры
Пример 1. Минимизация затрат на сокращение времени реализации проекта.
Проект пусконаладки компьютерной системы состоит из восьми работ. В следующей таблице указаны взаимосвязь работ, нормальное время их выполнения и данные, характеризующие возможность сокращения продолжительности работ:_
Определите минимальную продолжительность проекта при нормальном времени выполнения работ.
Можно ли уменьшить продолжительность проекта при дополнительных затратах?
Вопросы:
1. Какова продолжительность проекта при нормальном времени выполнения работ?
2. Сколько работ в этом случае являются критическими?
3. Каковы затраты на выполнение проекта при нормальном времени выполнения работ?
4. С какими минимальными дополнительными затратами можно выполнить этот проект за 16 недель? Решение. Найдем критический путь при нормальном времени выполнения работ. Используем для этого
метод СРМ. Вводим в программу POMWIN исходную информацию, описывающую проект в виде последовательности работ:
|
|
|
Работа |
Время выполнения, недели |
Предшествующие работы |
Работа |
Время выполнения, недели |
Предшествующие работы |
|
А |
3 |
|
Е |
4 |
D |
|
В |
6 |
|
F |
3 |
Е |
|
С |
2 |
А |
G |
9 |
В, С |
|
D |
5 |
В, С |
Н |
3 |
F,G |
|
Выполнив расчеты, получаем следующие результаты: |
|
Project |
21 |
|
|
|
|
|
|
Работа |
Время выполнения, недели |
ES |
EF |
LS |
LF |
R |
|
А |
3 |
0 |
3 |
1 |
4 |
1 |
|
В |
6 |
0 |
6 |
0 |
6 |
0 |
|
С |
2 |
3 |
5 |
4 |
6 |
1 |
|
D |
5 |
6 |
11 |
6 |
11 |
0 |
|
Е |
4 |
11 |
15 |
11 |
15 |
0 |
|
F |
3 |
15 |
18 |
15 |
18 |
0 |
|
G |
9 |
6 |
15 |
9 |
18 |
3 |
|
Н |
3 |
18 |
21 |
18 |
21 |
0 |
Отсюда видно, что при нормальной продолжительности работ длина критического пути составляет 21 неделю. На критическом пути находятся работы В, D, Е, F, Н. Для того чтобы определить затраты на выполнение проекта при нормальной продолжительности работ, достаточно просуммировать затраты, указанные в пятом столбце таблицы исходных данных. В результате получаем затраты 18 700 руб.
Для определения минимальных дополнительных издержек, необходимых для того, чтобы снизить продолжительность проекта до 16 недель, построим модель линейного программирования. Для этого на основании данных о непосредственно предшествующих работах построим графическое
|
Используя исходные данные, определяем удельные (в единицу времени) затраты К на сокращение продолжительности работ. Получаем следующие результаты:_ |
|
|
|
Работа |
Время выполнения, недели |
Затраты, руб., при времени выполнения |
Удельные затраты, руб. в неделю |
нормальное
х9 |
минимальное |
нормальном
сі |
минимальном |
|
А |
3 |
1 |
900 |
1700 |
400 |
|
В |
б |
2 |
2000 |
4000 |
500 |
|
С |
2 |
1 |
500 |
1000 |
500 |
|
D |
5 |
3 |
1800 |
2400 |
300 |
Окончание таблицы
|
Работа |
Время выполнения, недели |
Затраты, руб., при времени выполнения |
Удельные затраты, руб. в неделю |
нормальное
х9 |
минимальное
ч |
нормальном
с»' |
минимальном
с; |
|
Е |
4 |
3 |
1500 |
1850 |
350 |
|
F |
3 |
1 |
3000 |
3900 |
450 |
|
G |
9 |
4 |
8000 |
9800 |
360 |
|
Н |
3 |
2 |
1000 |
2000 |
1000 |
Используя обозначения х
і — время наступления события i, уу — величина сокращения времени работы (i,j), получаем следующую модель линейного программирования для определения минимальных издержек, необходимых для сокращения продолжительности проекта с 21 до 16 недель:
400у,2 + 500у|
3 + 500у
23 + З00у
34 + 350у
45 +
+ 450^56 + З60у
36 + 1000у
67 -» min
|
при условиях |
 |
Уп *
2, Уч ^ 4.
^23 - ^ > Уі4- 2»
^45 ^ 1. У56 * 2,
Узб<5, у
67<1,
Ху < 16,
хі - 0. у„* О,
0J) е Р.
Для решения этой задачи линейного программирования используем программу POMWIN.
В следующей таблице приведенная выше модель представлена в формате программы POMWIN:
|
|
ЗГ1 |
XI |
Xi |
X4 |
X5 |
X6 |
XI |
И2 |
из |
>23 |
>34 |
У45 |
>56 |
>36 |
У67 |
|
|
|
Міп |
0 |
0 |
0 |
0 |
0 |
0 |
0 |
400 |
500 |
500 |
300 |
350 |
450 |
360 |
1000 |
|
|
|
Ctrl |
-1 |
1 |
0 |
0 |
0 |
0 |
0 |
1 |
0 |
0 |
0 |
0 |
0 |
0 |
0 |
>= |
3 |
|
Ctr2 |
-1 |
0 |
1 |
0 |
0 |
0 |
0 |
0 |
1 |
0 |
0 |
0 |
0 |
0 |
0 |
>= |
6 |
|
Ctr 3 |
0 |
-1 |
1 |
0 |
0 |
0 |
0 |
0 |
0 |
1 |
0 |
0 |
0 |
0 |
0 |
>= |
2 |
|
Ctr4 |
0 |
0 |
-1 |
1 |
0 |
0 |
0 |
0 |
0 |
0 |
1 |
0 |
0 |
0 |
0 |
>= |
5 |
|
Ctr 5 |
0 |
0 |
0 |
-1 |
1 |
0 |
0 |
0 |
0 |
0 |
0 |
1 |
0 |
0 |
0 |
>= |
4 |
|
Ctr 6 |
0 |
0 |
0 |
0 |
-1 |
1 |
0 |
0 |
0 |
0 |
0 |
0 |
1 |
0 |
0 |
>= |
3 |
|
Ctr 7 |
0 |
0 |
-1 |
0 |
0 |
1 |
0 |
0 |
0 |
0 |
0 |
0 |
0 |
1 |
0 |
>= |
9 |
|
Ctr 8 |
0 |
0 |
0 |
0 |
0 |
-1 |
1 |
0 |
0 |
0 |
0 |
0 |
0 |
0 |
1 |
>= |
3 |
|
Ctr 9 |
0 |
0 |
0 |
0 |
0 |
0 |
0 |
1 |
0 |
0 |
0 |
0 |
0 |
0 |
0 |
<= |
2 |
|
Ctr 10 |
0 |
0 |
0 |
0 |
0 |
0 |
0 |
0 |
1 |
0 |
0 |
0 |
0 |
0 |
0 |
<= |
4 |
|
Ctr 11 |
0 |
0 |
0 |
0 |
0 |
0 |
0 |
0 |
0 |
1 |
0 |
0 |
0 |
0 |
0 |
<= |
1 |
|
Ctr 12 |
0 |
0 |
0 |
0 |
0 |
0 |
0 |
0 |
0 |
0 |
1 |
0 |
0 |
0 |
0 |
<= |
2 |
|
Ctr 13 |
0 |
0 |
0 |
0 |
0 |
0 |
0 |
0 |
0 |
0 |
0 |
1 |
0 |
0 |
0 |
<= |
1 |
|
Ctr 14 |
0 |
0 |
0 |
0 |
0 |
0 |
0 |
0 |
0 |
0 |
0 |
0 |
1 |
0 |
0 |
<= |
2 |
|
Ctr 15 |
0 |
0 |
0 |
0 |
0 |
0 |
0 |
0 |
0 |
0 |
0 |
0 |
0 |
1 |
0 |
<= |
5 |
|
Ctr 16 |
0 |
0 |
0 |
0 |
0 |
0 |
0 |
0 |
0 |
0 |
0 |
0 |
0 |
0 |
1 |
<= |
1 |
|
Ctr 17 |
0 |
0 |
0 |
0 |
0 |
0 |
1 |
0 |
0 |
0 |
0 |
0 |
0 |
0 |
0 |
<= |
16 |
Выполнив расчеты, получаем следующие результаты:
|
Project |
2260 |
|
|
|
|
|
Variable |
Value |
Reduced Cost |
Original Val |
Lower Bound |
Upper Bound |
|
XI |
0 |
810 |
0 |
-810 |
Infinity |
|
XI |
3 |
0 |
0 |
-310 |
90 |
|
Xi |
5 |
0 |
0 |
-310 |
90 |
|
ХА |
8 |
0 |
0 |
-150 |
90 |
|
Х5 |
11 |
0 |
0 |
-100 |
90 |
|
Х6 |
13 |
0 |
0 |
-190 |
810 |
|
X! |
16 |
0 |
0 |
—Infinity |
810 |
|
т |
0 |
90 |
400 |
310 |
Infinity |
|
т |
1 |
0 |
500 |
410 |
810 |
|
т |
0 |
190 |
500 |
310 |
Infinity |
|
т |
2 |
0 |
300 |
—Infinity |
450 |
|
У45 |
1 |
0 |
350 |
—Infinity |
450 |
|
т |
1 |
0 |
450 |
350 |
540 |
|
136 |
1 |
0 |
360 |
50 |
450 |
|
У67 |
0 |
190 |
1000 |
810 |
Infinity |
Итак, минимальные затраты, необходимые для того, чтобы сократить продолжительность проекта с 21 до 16 недель, составляют 2260 руб.
Продолжительность каждой из работ (1, 3), (4, 5), (5, 6) и (3, 6) сокращается на одну неделю.
Продолжительность работы (3, 4) сокращается на две недели.
Ответы: 1. 21 неделя. 2. Пять работ. 3. 18 700 руб. 4. 2260 руб.
Пример 2. Контроль затрат на выполнение проекта.
|
Работа |
Ожидаемое время выполнения, месяцы |
Непосредственно предшествующие работы |
Сметные затраты, тыс. руб. |
Удельные затраты, тыс. руб. в месяц |
|
A |
2 |
— |
10 |
5 |
|
В |
3 |
— |
30 |
10 |
|
C |
1 |
А |
3 |
3 |
|
D |
3 |
В |
6 |
2 |
|
E |
2 |
В |
20 |
10 |
|
F |
2 |
С, D |
10 |
5 |
|
G |
1 |
Е |
8 |
8 |
Перечень работ проекта, время их выполнения и оценки затрат на выполнение работ отражены в следующей таблице: _
Удельные затраты определены в предположении о том, что затраты производятся равномерно в течение срока выполнения работы.
Определите, в каком диапазоне могут меняться фактические затраты на выполнение проекта при условии, что проект будет выполнен за минимальное время.
Вопросы:
1. За какое минимальное время может быть выполнен проект?
2. При каком максимальном значении совокупных затрат, сделанных за первые 3 месяца реализации проекта, проект может быть выполнен за минимальное время?
3. При каком минимальном значении совокупных затрат, сделанных за первые 3 месяца реализации проекта, проект может быть выполнен за минимальное время?
4. При каком максимальном значении совокупных затрат, сделанных за 6 месяцев реализации проекта, проект может быть выполнен за минимальное время?
5. При каком минимальном значении совокупных затрат, сделанных за 6 месяцев реализации проекта, проект может быть выполнен за минимальное время?
Решение. Определим минимальное время выполнения проекта. Найдем критический путь, воспользовавшись методом СРМ. Введем в программу POMWIN информацию о предшествующих работах и времени их выполнения:_
|
Работа |
Время выполнения, месяцы |
Предшествующие работы |
|
А |
2 |
|
|
В |
3 |
|
|
С |
1 |
А |
|
D |
3 |
В |
|
Е |
2 |
В |
|
F |
2 |
С, D |
|
G |
1 |
Е |
Ожидаемое время выполнения проекта равно 8 месяцам.
Определим динамику совокупных затрат для графика выполнения проекта с наиболее ранним началом всех работ: _______
|
|
Месяц
Работа |
1 |
2 |
3 |
4 |
5 |
6 |
7 |
8 |
|
А |
5 |
5 |
|
|
|
|
|
|
|
В |
10 |
10 |
10 |
|
|
|
|
|
|
С |
|
|
3 |
|
|
|
|
|
|
D |
|
|
|
2 |
2 |
2 |
|
|
|
Е |
|
|
|
10 |
10 |
|
|
|
|
F |
|
|
|
|
|
|
5 |
5 |
|
G |
|
|
|
|
|
8 |
|
|
|
Затраты в месяц, тыс. руб. |
15 |
15 |
13 |
12 |
12 |
10 |
5 |
5 |
|
Общие затраты, тыс. руб. |
15 |
30 |
43 |
55 |
67 |
77 |
82 |
87 |
|
Определим динамику совокупных затрат для графика выполнения проекта с наиболее поздним началом всех работ: |
|
Результаты расчетов представлены в следующей таблице: |
|
|
|
Project |
8 |
|
|
|
|
|
|
Работа |
Время выполнения, месяцы |
ES |
ЕЕ |
LS |
LF |
R |
|
А |
2 |
0 |
2 |
3 |
5 |
3 |
|
В |
3 |
0 |
3 |
0 |
3 |
0 |
|
¦ С |
1 |
2 |
3 |
5 |
6 |
3 |
|
D |
3 |
3 |
6 |
3 |
б |
0 |
|
Е |
2 |
3 |
5 |
5 |
7 |
2 |
|
F |
2 |
6 |
8 |
6 |
8 |
0 |
|
G |
1 |
5 |
6 |
7 |
8 |
2 |
Месяц
Работа |
1 |
2 |
3 |
4 |
5 |
6 |
7 |
8 |
|
А |
|
|
|
5 |
5 |
|
|
|
|
В |
10 |
10 |
10 |
|
|
|
|
|
|
С |
|
|
|
|
|
3 |
|
|
|
D |
|
|
|
2 |
2 |
2 |
|
|
|
Е |
|
|
|
|
|
ю |
10 |
|
|
F |
|
|
|
|
|
|
5 |
5 |
|
G |
|
|
|
|
|
|
|
8 |
|
Затраты в месяц, тыс. руб. |
10 |
10 |
10 |
7 |
7 |
15 |
15 |
13 |
|
Общие затраты, тыс. руб. |
10 |
20 |
30 |
37 |
44 |
59 |
74 |
87 |
 |
|
1 2 3 4 5 6 7 8 |
Рис. 2
На рис. 2 показаны два графика. Выше проходит график совокупных затрат при наиболее раннем времени начала работ, ниже — при наиболее позднем времени начала работ. Если фактические затраты на выполнение проекта будут находиться внутри очерченной области, то проект может быть выполнен за 8 месяцев. Если фактические затраты окажутся за пределами очерченной области, то продолжительность проекта увеличится.
Таким образом, менеджер может контролировать фактические затраты по проекту. Если сметные затраты не выполнены или допущен перерасход, необходимо осуществлять корректирующие воздействия, сдвигая время начала отдельных работ и (или) сокращая их продолжительность путем привлечения дополнительных ресурсов.
Ответы: 1. Восемь месяцев. 2. 43 тыс. руб. 3. 30 тыс. руб. 4. 77 тыс. руб. 5. 59 тыс. руб.
Вопросы
Вопрос 1. Для определения минимальных затрат, необходимых для выполнения проекта за фиксированное время, следует использовать:
1) метод СРМ;
2) метод PERT;
3) модель линейного программирования;
4) модель транспортного типа;
5) все вышеперечисленное.
Вопрос 2. Пусть в графе, описывающем проект, т работ и п событий (вершин сети). Число переменных в модели линейного программирования для определения минимальных затрат, необходимых для выполнения проекта за фиксированное время, равно:
1) т;
2) п;
3) т+ п;
4) т- п;
5) т • п.
Вопрос 3. Какую формулу следует использовать для определения величины удельных затрат К на сокращение продолжительности работы (i, j)?
Варианты ответов:
2) ^ = (С„'-С
9)/(т,;-
%);
3) ^ = (С
9-ф/(т
9-х,;);
4) *»=
s);
5) K, = (.c'-C,)/z„.
Вопрос 4. Какое из указанных далее соотношений является верным?
Варианты ответов:
1) совокупные затраты при наиболее позднем времени начала работ превышают совокупные затраты при наиболее раннем времени начала работ;
2) совокупные затраты при наиболее раннем времени начала работ превышают совокупные затраты при наиболее позднем времени начала работ;
3) совокупные затраты при наиболее раннем времени начала работ равны совокупным затратам при наиболее позднем времени начала работ;
4) совокупные затраты при наиболее раннем времени начала работ превышают совокупные затраты при наиболее позднем времени начала работ на величину сметной стоимости проекта;
5) совокупные затраты при наиболее раннем времени начала работ и совокупные затраты при наиболее позднем времени начала работ постоянны.
Вопрос 5. Для осуществления контроля за расходованием средств на выполнение проекта используется:
1) метод СРМ;
2) метод PERT;
3) модель линейного программирования;
4) все вышеперечисленное;
5) метод PERT/COST.
|
Работа |
Непосредственно предшествующие работы |
Время выполнения |
Затраты при времени выполнения |
|
нормальное |
минимальное |
нормальном |
минимальном |
|
А |
— |
3 |
2 |
800 |
1400 |
|
В |
— |
2 , |
1 * |
1200 |
1900 |
|
С |
А |
5 |
3 |
2000 |
2800 |
|
D |
В |
5 |
3 |
1500 |
2300 |
|
Е |
С, D |
6 |
4 |
1800 |
2800 |
|
F |
С, D |
2 |
1 |
600 |
1000 |
|
G |
F |
2 |
1 |
500 |
1000 |
Задачи
Задача 1. Рассмотрите следующую сеть проекта с показателями продолжительности работ (в неделях) и информацией о затратах на сокращение продолжительности работ (в тыс. руб.) за счет привлечения дополнительных финансовых средств: _
Найдите критический путь и затраты на реализацию проекта при нормальном времени выполнения всех работ.
Предположим, что руководство хотело бы завершить проект в 10-недельный срок. Постройте модель линейного программирования, которую можно было бы использовать для того, чтобы определить минимальные затраты на сокращение времени выполнения проекта.
Вопросы:
1. Какова продолжительность проекта при нормальном времени выполнения работ?
2. Каковы затраты на выполнение проекта при нормальной продолжительности работ?
3. Чему равны минимальные затраты на выполнение проекта в 10-недельный срок?
4. Для какого количества работ необходимо сократить время выполнения, чтобы завершить проект за 10 недель?
Задача 2. В следующей таблице представлена информация о продолжительности работ проекта (в месяцах) и затратах на их выполнение (в тыс. руб.):
|
Работа |
Непосредственно предшествующие работы |
Время выполнения |
Затраты при времени выполнения |
|
нормальное |
минимальное |
нормальном |
минимальном |
|
А |
— |
4 |
2 |
50 |
70 |
|
В |
— |
6 |
3 |
40 |
55 |
|
С |
А |
2 |
1 |
20 |
24 |
|
D |
А |
6 |
4 |
100 |
130 |
|
Е |
С, В |
3 |
2 |
50 |
60 |
|
F |
С, В |
3 |
3 |
25 |
25 |
|
G |
А Е |
5 |
3 |
60 |
76 |
Найдите критический путь и продолжительность проекта при нормальном времени выполнения работ.
Вопросы:
1. Какова продолжительность проекта при нормальном времени выполнения работ?
2. Каковы затраты на выполнение проекта при нормальной продолжительности работ?
3. Чему равны минимальные затраты на выполнение проекта за один год?
4. За какое минимальное время может быть выполнен проект?
|
Работа |
Содержание
работы |
Непосред
ственно
предшест
вующие
работы |
Время выполнения |
Затраты при времени выполнения |
нормаль
ное |
мини
мальное |
нормаль
ном |
мини
мальном |
|
А |
Определить
потребность |
— |
10 |
8 |
30 |
60 |
|
В |
Заказать оборудование |
А |
8 |
6 |
120 |
150 |
|
С |
Установить
оборудование |
В |
10 |
7 |
100 |
160 |
|
D |
Создать компьютерный класс |
А |
7 |
6 |
40 |
50 |
|
Е |
Провести курс обучения |
D |
10 |
8 |
50 |
74 |
|
F |
Опробовать
систему |
С, В |
3 |
3 |
60 |
60 |
Задача 3. Отдел ЭВМ экономического факультета МГУ разработал предложения по внедрению новой компьютерной системы для нужд администрации факультета. В предложения включен перечень работ, которые необходимо выполнить, чтобы ввести систему в действие. Соответствующая информация представлена в следующей таблице (время — в неделях, затраты — в тыс. руб.):
Вопросы:
1. Какова продолжительность проекта при нормальном времени выполнения работ?
2. Каковы затраты на выполнение проекта при нормальной продолжительности работ?
3. Чему равны минимальные затраты на выполнение проекта за 26 недель?
4. За какое минимальное время может быть выполнен проект?
Задача 4. Конструкторское бюро Московского часового завода (МЧЗ) разработало новый настольный радиобудильник. По мнению проектировщиков, запуск в серию нового продукта позволит расширить рынок сбыта и получить дополнительную прибыль.
Руководство МЧЗ решило изучить возможности реализации нового продукта. Результатом исследования должны стать рекомендации относительно действий, которые следует предпринять для организации производства и сбыта нового продукта.
Перечень работ, время, необходимое для их выполнения (в неделях), и затраты (в тыс. руб.) указаны в следующей таблице:
|
Работа |
Содержание работы |
Непосред
ственно
предшест
вующие
работы |
Время
выпол
нения |
Затраты на выполнение |
|
А |
Подготовить конструкторский проект |
— |
5 |
90 |
|
В |
Разработать маркетинговый план |
— |
2 |
16 |
|
С |
Подготовить маршрутные карты |
А |
3 |
3 |
|
D |
Создать опытный образец |
А |
4 |
100 |
|
Е |
Выпустить рекламную брошюру |
А |
3 |
6 |
|
F |
Подготовить оценки затрат |
С |
2 |
2 |
|
G |
Провести предварительное тестирование |
D |
3 |
60 |
|
Н |
Выполнить исследование рынка |
В, Е |
3 |
30 |
|
I |
Подготовить доклад о ценах |
’ Н |
2 |
4 |
|
J |
Подготовить заключительный доклад |
F, G, I |
2 |
2 |
Определите критический путь для данного проекта, наиболее раннее и наиболее позднее время начала каждой работы. Определите динамику роста общих затрат на проект, основанную на данных о наиболее раннем и наиболее позднем времени начала работ.
Используйте полученные оценки сметных расходов для контроля за фактическим расходованием средств. Предполагается, что все работы финансируются пропорционально времени их выполнения.
Вопросы:
1. За какое минимальное время может быть выполнен проект?
2. Чему равно максимальное значение совокупных затрат на конец пятой недели, при котором проект может быть выполнен за время, соответствующее длине критического пути?
3. Чему равно минимальное значение совокупных затрат на конец пятой недели, при котором проект может быть выполнен за время, соответствующее длине критического пути?
4. Какова величина недостатка или перерасхода средств в конце пятой недели, если фактические затраты в этот момент составили 100 тыс. руб.?
5. Какова величина недостатка средств в конце десятой недели, если фактические затраты в этот момент составили 230 тыс. руб.?
Задача 5. Ниже представлена сеть проекта, а также данные о времени выполнения работ (в неделях) и затратах (в тыс. руб.):
|
Работа |
Непосредственно
предшествующие
работы |
Время
выполнения |
Затраты на выполнение |
|
А |
— |
1 |
6 |
|
В |
А |
2 |
4 |
|
С |
. — |
3 |
15 |
|
D |
С |
3 |
18 |
|
Е |
В, D |
2 |
30 |
|
F |
С |
2 |
20 |
|
G |
Е, F |
1 |
2 |
|
Н |
Е, F |
3 |
6 |
|
I |
G |
2 |
12 |
|
J |
G |
1" |
2 |
|
К |
Н,І |
- 3 |
9 |
Определите критический путь для данного проекта, наиболее раннее и наиболее позднее время начала каждой работы. Определите динамику роста общих затрат на проект, основанную на данных о наиболее раннем и наиболее позднем времени начала работ.
Используйте полученные оценки сметных расходов для контроля за фактическим расходованием средств. Предполагается, что все работы финансируются пропорционально времени их выполнения.
Вопросы:
1. За какое минимальное время может быть выполнен проект?
2. Чему равно максимальное значение совокупных затрат на конец четвертой недели, при котором проект может быть выполнен за время, соответствующее длине критического пути?
3. Чему равно минимальное значение совокупных затрат на конец четвертой недели, при котором проект может быть выполнен за время, соответствующее длине критического пути?
4. Какова величина недостатка или перерасхода средств в конце четвертой недели, если фактические затраты в этот момент составили 35 тыс. руб.?
5. Какова величина недостатка средств в конце восьмой недели, если фактические затраты в этот момент составили 90 тыс. руб.?
Ситуации
Ситуация 1. Компания «Космо».
В рамках подготовки старта космического корабля по программе совместных исследований с Национальным бюро аэронавтики (НБА) США российская компания «Космо» готовит к подписанию проект модернизации ракетного стартового комплекса на космодроме Байконур. Этот контракт предусматривает строительство центрального здания телеуправления (ЦЗТ). Финансирует проект американская сторона.
Первоначальный граф проекта строительства ЦЗТ приведен на рис. 3 (на схеме работы, лежащие на

|
Руководитель проекта менеджер компании «Космо» Владимир Алексеев определил время выполнения и сметные затраты для каждой работы проекта: _ |
|
|
|
Работа |
Нормальное время выполнения, недели |
Затраты при нормальном времени выполнения, тыс. долл. |
|
А |
3 |
5 |
|
В |
6 |
14 |
|
С |
2 |
2,5 |
|
D |
5 |
10 |
|
Е |
2 |
8 |
|
F |
7 |
11,5 |
|
G |
4 |
10 |
|
Итого |
61 |
Оказалось, что критический путь для данного проекта составляют работы A, D и G. При нормальном времени выполнения всех работ проект может быть реализован за 12 недель. Сметная стоимость проекта в этом случае составляет 61 тыс. долл.
Заказчика работ предлагаемый компанией «Космо» срок не устраивает. Все работы необходимо завершить за 9 недель. При этом бюджет проекта не должен превысить 80 тыс. долл. Проведя дополнительные расчеты, Владимир Алексеев оценил минимальное время на выполнение каждой работы (в неделях) и затраты при минимальном времени выполнения (в тыс, долл.):
|
Работа |
Время выполнения |
Затраты при времени выполнения |
|
нормальное |
минимальное |
нормальном |
минимальном |
|
А |
3 |
2 |
5 |
10 |
|
В |
6 |
4 |
14 |
26 |
|
С |
2 |
1 |
2,5 |
5 |
|
D |
5 |
3 |
10 |
18 |
|
Е |
2 |
2 |
8 |
8 |
|
F |
. 7 |
5 |
11,5 |
17,5 |
|
G |
4 |
2 |
10 |
24 |
|
Итого |
61 |
108,5 |
Используйте метод PERT/COST для анализа продолжительности проекта и затрат на его реализацию.
Задания
1. Определите, можно ли выполнить проект за 9 недель. Если да, то с какими минимальными затратами? Сколько критических путей будет в этом случае и какие работы будут критическими?
2. Определите, можно ли выполнить проект за 7 недель. Если да, то с какими минимальными затратами?
Ситуация 2. Строительная компания Хоупа.
Строительная компания Хоупа активно занимается подготовкой нового проекта строительства фабрики для корпорации SBPA. Пару лет назад президенту корпорации SBPA Эрику Кляйну понравился предварительный план проектирования и строительства фабрики, подготовленный Хоупом, и он решил отдать предпочтение его строительной компании.
Хоуп поручил начальнику проектного отдела Деврону Вильямсу провести сетевой анализ работ в рамках проекта с учетом предполагаемых издержек. Вильяме дал указание своим сотрудникам разделить проект строительства фабрики на отдельные работы и установить их взаимосвязь. Для каждой работы следовало определить нормальное время ее выполнения и соответствующие затраты. Требовалось также оценить минимальное время выполнения работы и соответствующие этому времени затраты.
Результаты, представленные сотрудниками отдела, приведены в таблице (время выполнения работ указано в неделях, затраты — в тыс, долл.):
|
Работа |
Содержание работы |
Нормальное время |
Нормальные затраты |
Мини
мальное
время |
Макси
мальные
затраты |
|
А |
Проектирование
фабрики |
12 |
125 |
і° |
141 |
|
В |
Подготовка спецификации машин и оборудования для строительных работ |
8 |
56 |
8 |
56 |
|
С |
Организация бригады строителей |
5 |
12 |
2 |
15 |
Окончание таблицы
|
Работа |
Содержание работы |
Нормальное время |
Нормальные затраты |
Мини
мальное
время |
Макси
мальные
затраты |
|
D |
Закупка стандартных блоков заводских конструкций |
13 |
180 |
10 |
210 |
|
Е |
Подготовка места для строительства здания фабрики |
4 |
37 |
4 |
37 |
|
F |
Закупка фабричного оборудования |
10 |
62 |
8 |
70 |
|
G |
Строительство фундамента фабрики |
6 |
18 |
4 |
19 |
|
Н |
Подготовка зоны парковки |
10 |
80 |
6 |
180 |
|
I |
Возведение здания фабрики |
18 |
450 |
13 |
585 |
|
J |
Проведение испытания всех систем |
3 |
20 |
2 |
35 |
|
К |
Уборка и передача фабрики корпорации SBPA |
4 |
8 |
4 |
8 |
Результаты анализа взаимосвязи работ представлены Вильямсу в следующем докладе:
1. Начальная работа А — спроектировать фабрику.
2. После выполнения проектных изысканий следуют работы В — подготовить спецификацию машин и оборудования для строительных работ, С — организовать бригаду строителей и D — закупить стандартные блоки заводских конструкций.
3. После завершения работ В и С строительной бригаде необходимо выполнить работу Е — подготовить место для строительства здания фабрики. В то же время, пока ведется подготовка места для строительства, можно приступить к работам F— закупке фабричного оборудования и G — строительству фундамента фабрики.
4. После подготовки места для строительства необходимо выполнить работу H — подготовить зону парковки.
5. Работу I — возведение здания фабрики — можно выполнить после того, как будут закуплены стандартные блоки заводских конструкций, подготовлено место для строительства, закуплено фабричное оборудование и построен фундамент фабрики.
6. После завершения строительства здания фабрики и подготовки зоны парковки компания Хоупа может приступить к работе J — проведению испытания всех систем. Затем проводится уборка (работа К) и фабрика передается корпорации SBPA.
Корпорация SBPA крайне заинтересована в том, чтобы строительство фабрики было завершено как можно быстрее. По предложению Эрика Кляйна в контракт включен пункт, предусматривающий премию в 25 тыс. долл. за каждую неделю сокращения срока выполнения проекта по сравнению с годом. В то же время контрактом предусмотрен штраф в 25 тыс. долл. за каждую неделю превышения срока выполнения проекта по сравнению с годом.
После подписания контракта Хоуп озабочен тем, чтобы завершить проект как можно раньше. По его указанию расчетный отдел провел калькуляцию накладных расходов. Первый тип накладных расходов — обычные накладные расходы в размере 22,5% от прямых затрат на выполнение работ. Накладные расходы второго типа зависят от продолжительности проекта в целом. Эти накладные расходы увеличиваются на 1500 долл. каждую неделю. Например, сокращение продолжительности проекта на 10 недель означает сокращение накладных расходов второго типа на 15 тыс. долл.
Прибыль строительной компании оценивается в размере 10% от стоимости контракта. В стоимость контракта включаются прямые затраты на выполнение работ, премиальные и штрафные санкции и накладные расходы двух типов.
Задания
1. Нарисуйте сетевой график проекта, найдите критический путь и общую стоимость контракта при нормальной продолжительности работ.
2. Определите продолжительность выполнения проекта, при которой прибыль строительной компании оказывается максимальной. Сроки выполнения каких работ следует сократить по сравнению с нормальными?
3. Ответьте на вопросы предыдущего пункта, если при определении стоимости контракта не учитываются накладные расходы второго типа.
4. Определите, за какое минимальное время можно выполнить проект.
Ответы и решения
Ответы на вопросы: 1—3, 2 — 3, 3 — 1, 4 — 2, 5 — 5.
Задача 1. Решение.
Найдем критический путь при нормальном времени выполнения работ. Используем для этого метод СРМ.
Введем в программу POMWIN исходную информацию, описывающую проект в виде последовательности работ:
|
Работа |
Время выполнения, недели |
Предшествующие работы |
|
А |
3 |
|
|
В |
2 |
|
|
С |
5 |
А |
|
D |
5 |
В |
|
Е |
6 |
С, D |
|
F |
2 |
С, D |
|
G |
2 |
F |
Выполнив расчеты, получаем следующие результаты:
|
Project |
14 |
|
|
|
|
|
|
Работа |
Время вы- -і полнения, недели |
ES |
EF |
LS |
LF |
R |
|
А |
3 |
0 |
3 |
0 |
3 |
0 |
|
В |
2 |
0 |
2 |
1 |
3 |
1 |
|
С |
5 |
3 |
8 |
3 |
8 |
0 |
|
D |
5 |
2 |
7 |
3 |
8 |
1 |
|
Е |
6 |
8 |
14 |
8 |
14 |
0 |
|
F |
2 |
8 |
10 |
10 |
12 |
2 |
|
G |
2 |
10 |
12 |
12 |
14 |
2 |
Отсюда видно, что при нормальной продолжительности работ длина критического пути составляет 14 недель. На критическом пути находятся работы А, С,Е.
Для того чтобы определить затраты на выполнение проекта при нормальной продолжительности работ, достаточно просуммировать затраты, указанные в пятом столбце таблицы исходных данных, — в результате получаем 8400 тыс. руб.
Чтобы определить минимальные дополнительные издержки на сокращение продолжительности проекта до 10 недель, построим модель линейного программирования. Для этого на основании данных о

Рис. 4
Используя исходные данные, определяем удельные затраты К на сокращение продолжительности работ. Получаем следующие результаты:
|
Работа |
Время выполнения, недели |
Затраты, тыс. руб., при времени выполнения |
Удельные затраты, тыс. руб. в неделю |
|
нормальное |
минимальное |
нормальном |
минимальном |
|
А |
3 |
2 |
800 |
1400 |
600 |
|
В |
2 |
1 |
1200 |
1900 |
700 |
|
С |
5 |
3 |
2000 |
2800 |
400 |
|
D |
5 |
3 |
1500 |
2300 |
400 |
|
Е |
6 |
4 |
1800 |
2800 |
500 |
|
F |
2 |
1 |
600 |
1000 |
400 |
|
G |
2 |
1 |
500 |
1000 |
500 |
Используя обозначения Хі — время наступления события i; у? — величина сокращения времени работы (i, j), получаем следующую модель линейного программирования для определения минимальных издержек на сокращение продолжительности проекта с 14 до 10 недель:
600у12 + 700у13 + 400у24 + 400^34 + 500^ + 400у45 + 500y# -* min
|
при условиях |
|
|
*2**1 + 3-у12, |
*3**1 + 2-У,з, |
|
х4 > х2 + 5 - у24, |
*4 * *3 + 5 — У}4> |
|
*6 ;> х4 + 6 - у^, |
*5 * *4 + 2 - Т45. |
|
х6>х5 + 2-ух, |
|
|
у13<1, |
У24 * 2, |
|
У* * 2- Ул5 * 1» |
Ух* 1. |
|
xt>0, Уц* 0, |
(/,3)6 Р. |
У}4*2’
x6S 10,
Для решения этой задачи используем программу POMWIN:
|
|
X\ |
XI |
Xi |
X4 |
X5 |
X6 |
У12 |
m |
У24 |
У34 |
У46 |
У45 |
Y56 |
|
|
|
Міп |
0 |
0 |
0 |
0 |
0 |
0 |
600 |
700 |
400 |
400 |
500 |
400 |
500 |
|
|
|
Ctr 1 |
-1 |
1 |
0 |
0 |
0 |
0 |
1 |
0 |
0 |
0 |
0 |
0 |
0 |
>= |
3 |
|
Ctr 2 |
-1 |
0 |
1 |
0 |
0 |
0 |
0 |
1 |
0 |
0 |
0 |
0 |
0 |
>= |
2 |
|
Ctr3 |
0 |
-1 |
0 |
1 |
0 |
0 |
0 |
0 |
I |
0 |
0 |
0 |
0 |
>= |
5 |
|
Ctr 4 |
0 |
0 |
-1 |
1 |
0 |
0 |
0 |
0 |
0 |
1 |
0 |
0 |
0 |
>= |
5 |
|
Ctr 5 |
0 |
0 |
0 |
-1 |
0 |
1 |
0 |
0 |
0 |
0 |
1 |
0 |
0 |
>= |
6 |
|
Ctr 6 |
0 |
0 |
0 |
-1 |
1 |
0 |
0 |
0 |
0 |
0 |
0 |
1 |
0 |
>= |
2 |
|
Ctr 7 |
0 |
0 |
0 |
0 |
-1 |
1 |
0 |
0 |
0 |
0 |
0 |
0 |
1 |
>= |
2 |
|
Ctr 8 |
0 |
0 |
0 |
0 |
0 |
0 |
1 |
0 |
0 |
0 |
0 |
0 |
0 |
<= |
1 |
|
Ctr 9 |
0 |
0 |
0 |
0 |
0 |
0 |
0 |
1 |
0 |
0 |
0 |
0 |
0 |
<= |
1 |
|
Ctr 10 |
0 |
0 |
0 |
0 |
0 |
0 |
0 |
0 |
1 |
0 |
0 |
0 |
0 |
<= |
2 |
|
Ctr 11 |
0 |
0 |
0 |
0 |
0 |
0 |
0 |
0 |
0 |
1 |
0 |
0 |
0 |
<= |
2 |
|
Ctr 12 |
0 |
0 |
0 |
0 |
0 |
0 |
0 |
0 |
0 |
0 |
1 |
0 |
0 |
<= |
2 |
|
Ctr 13 |
0 |
0 |
0 |
0 |
0 |
0 |
0 |
0 |
0 |
0 |
0 |
1 |
0 |
<= |
1 |
|
Ctr 14 |
0 |
0 |
0 |
0 |
0 |
0 |
0 |
0 |
0 |
0 |
0 |
0 |
1 |
<= |
1 |
|
Ctr 15 |
0 |
0 |
0 |
0 |
0 |
1 |
0 |
0 |
0 |
0 |
0 |
0 |
0 |
<= |
10 |
Выполнив расчеты, получаем следующие результаты:
|
Variable |
Value |
Reduced Cost |
Original Val |
Lower Bound |
Upper Bound |
|
XI |
0 |
800 |
0 |
-800 |
Infinity |
|
XI |
3 |
0 |
0 |
-400 |
200 |
|
АЗ |
2 |
0 |
0 |
-400 |
300 |
|
Х4 |
6 |
0 |
0 |
—Infinity |
300 |
|
Х5 |
8 |
0 |
0 |
0 |
800 |
|
ХБ |
10 |
0 |
0 |
—Infinity |
800 |
|
m |
0 |
200 |
600 |
400 |
Infinity |
|
У13 |
0 |
300 |
700 |
400 |
Infinity |
|
124 |
2 |
0 |
400 |
100 |
600 |
|
У34 |
1 |
0 |
400 |
100 |
700 |
|
У46 |
2 |
0 |
500 |
—Infinity |
800 |
|
У45 |
0 |
400 |
400 |
0 |
Infinity |
|
156 |
0 |
500 |
500 |
0 |
Infinity |
Итак, минимальные затраты на сокращение продолжительности проекта с 14 до 10 недель составляют 2200 тыс. руб. Продолжительность работ (2, 4) и (4, 6) сокращается на 2 недели. Продолжительность работы (3, 4) сокращается па неделю.
Ответы: 1. 14 недель. 2. 8400 тыс. руб. 3. 6200 тыс. руб. 4. Для трех работ.
Задача 2. Решение.
Найдем критический путь при нормальном времени выполнения работ. Используем для этого метод СРМ.
Введем в программу POMWIN исходную информацию, описывающую проект в виде последовательности работ:
|
Работа |
Время выполнения, месяцы |
Предшествующие
работы |
|
A |
4 |
|
|
В |
6 |
|
|
C |
2 |
А |
|
D |
6 |
А |
Окончание таблицы
|
Работа |
Время выполнения, месяцы |
Предшествующие работы . |
|
Е |
3 |
С, В |
|
F |
3 |
С, В |
|
G . |
5 |
D.E |
|
Project |
15 |
|
|
|
|
|
|
Работа |
Время выполнения, месяцы |
ES |
EF |
LS |
LF |
R |
|
А |
4 |
0 |
4 |
0 |
4 |
0 |
|
В |
6 |
0 |
6 |
1 |
7 |
1 |
|
С ' |
2 |
4 |
6 |
5 |
7 |
1 |
|
D |
6 |
4 |
10 |
4 |
10 |
0 |
|
Е |
3 |
6 |
9 |
7 |
10 |
1 |
|
F |
3 |
6 |
9 |
12 |
15 |
6 |
|
G |
5 |
10 |
15 |
10 |
15 |
0 |
Выполнив расчеты, получаем следующие результаты:
Отсюда видно, что при нормальной продолжительности работ длина критического пути составляет 15 месяцев. На критическом пути находятся работы А, D, С. Для того чтобы определить затраты на выполнение проекта при нормальной продолжительности работ, достаточно просуммировать затраты, указанные в пятом столбце таблицы исходных данных, — в результате получаем 345 тыс. руб.
Чтобы определить минимальные дополнительные издержки на сокращение продолжительности проекта до 12 месяцев, построим модель линейного программирования. Для этого на основании данных о

|
Используя исходные данные, определяем удельные затраты К на сокращение продолжительности работ. Получаем следующие результаты:_ |
|
|
|
Работа |
Время выполнения, месяцы |
Затраты, тыс. руб., при времени выполнения |
Удельные затраты, тыс. руб. в месяц |
|
нормальное |
минимальное |
нормальном |
минимальном |
|
А |
4 |
2 |
50 |
70 |
10 |
|
В |
6 |
3 |
40 |
55 |
5 |
|
С |
2 |
1 |
20 |
24 |
4 |
|
D |
6 |
4 |
100 |
130 |
15 |
|
Е |
3 |
2 |
50 |
60 |
10 |
|
F |
3 |
3 |
25 |
25 |
— |
|
G |
5 |
3 |
60 |
76 |
8 |
Используя обозначения хі — время наступления события i; у у — величина сокращения времени работы (i,j), получаем следующую модель линейного программирования для определения минимальных издержек на сокращение продолжительности проекта с 15 до 12 месяцев:
|
Для решения этой задачи используем программу POMWIN: |
|
|
|
|
XI |
X2 |
A3 |
Л4 |
A5 |
У12 |
ИЗ |
123 |
124 |
134 |
145 |
|
|
|
Міп |
0 |
0 |
0 |
0 |
0 |
10 |
5 |
4 |
15 |
10 |
8 |
|
|
|
Ctrl |
-1 |
1 |
0 |
0 |
0 |
1 |
0 |
0 |
0 |
0 |
0 |
>= |
4 |
|
Ctr 2 |
-1 |
0 |
1 |
0 |
0 |
0 |
1 |
0 |
0 |
0 |
0 |
>= |
6 |
|
Ctr3 |
0 |
-1 |
1 |
0 |
0 |
0 |
0 |
1 |
0 |
0 |
0 |
>= |
2 |
|
Ctr 4 |
0 |
-1 |
0 |
1 |
0 |
0 |
0 |
0 |
1 |
0 |
0 |
>= |
6
-i |
|
Ctr 5 |
0 |
0 |
-1 |
1 |
0 |
0 |
0 |
0 |
0 |
1 |
0 |
>= |
3 |
|
Ctr 6 |
0 |
0 |
0 |
-1 |
1 |
0 |
0 |
0 |
0 |
0 |
1 |
>= |
5 |
|
Ctr 7 |
0 |
0 |
-1 |
0 |
1 |
0 |
0 |
0 |
0 |
0 |
0 |
>= |
3 |
 |
при условиях
*2 +4-^,2. + 6-у13, Хз^Хз + г-Д-зз,
х4^х2 + 6-Т24. Х4>х3 + 3 ->>34, х52х4 + 5 — у45,
х5^х3 + 3, Уі2 ^ 2, Уіз^З, У2з<1,
Т24 ^ 2, у^йі, у45 S 2, х3 ? 12,
*,• ? о, у., so, (i,j) 6 Р. |
Окончание таблицы
|
|
|
|
XI |
XI |
A3 |
A4 |
A5 |
m |
У13 |
У23 |
X24 |
У34 |
У45 |
|
|
|
Ctr8 |
0 |
0 |
0 |
0 |
0 |
1 |
0 |
0 |
0 |
0 |
0 |
<= |
2 |
|
Ctr 9 |
0 |
0 |
0 |
0 |
0 |
0 |
1 |
0 |
0 |
0 |
0 |
<= |
3 |
|
Ctr 10 |
0 |
0 |
0 |
0 |
0 |
0 |
0 |
1 |
0 |
0 |
0 |
<= |
1 |
|
Ctr 11 |
0 |
0 |
0 |
0 |
0 |
0 |
0 |
0 |
1 |
0 |
0 |
<= |
2 |
|
Ctr 12 |
0 |
0 |
0 |
0 |
0 |
0 |
0 |
0 |
0 |
1 |
0 |
<= |
1 |
|
Ctr 13 |
0 |
0 |
0 |
0 |
0 |
0 |
0 |
0 |
0 |
0 |
1 |
<= |
2 |
|
Ctr 14 |
0 |
0 |
0 |
0 |
1 |
0 |
0 |
0 |
0 |
0 |
0 |
<= |
12 |
|
Выполнив расчеты, получаем следующие результаты: |
|
Variable |
Value |
Reduced Cost |
Original Val |
Lower Bound |
Upper Bound |
|
ЛЗ |
0 |
' 10 |
0 |
-10 |
Infinity |
|
XI |
3 |
0 |
0 |
-5 |
2 |
|
A3 |
6 |
0 |
0 |
-10 |
0 |
|
A4 |
9 |
0 |
0 |
—Infinity |
2 |
|
A5 |
12 |
0 |
0 |
—Infinity |
10 |
|
У12 |
1 |
0 |
10 |
8 |
15 |
|
m |
0 |
5 |
5 |
0 |
Infinity |
|
У23 |
0 |
4 |
4 |
0 |
Infinity |
|
У24 |
0 |
5 |
15 |
10 |
Infinity |
|
J34 |
o -• |
10 |
10 |
0 |
Infinity |
|
У45 |
2 |
0 |
8 |
—Infinity |
10 |
Итак, минимальные затраты, необходимые для того, чтобы сократить продолжительность проекта с до 12 месяцев, составляют 26 тыс. руб.
15
Продолжительность работы (1,2) сокращается на месяц.
Продолжительность работы (4, 5) сокращается на 2 месяца.
Определим, за какое минимальное время может быть выполнен проект Для этого используем следующую модель линейного программирования:
|
при условиях |
 |
Для решения этой задачи используем программу POMWIN:
|
|
XI |
XI |
XI |
X4 |
X5 |
У12 |
У13 |
123 |
У24 |
У34 |
У45 |
|
|
|
Міп |
0 |
0 |
0 |
0 |
1 |
0 |
0 |
0 |
0 |
0 |
0 |
|
|
|
Ctrl |
-1 |
1 |
0 |
0 |
0 |
1 |
0 |
0 |
0 |
0 |
0 |
>= |
4 |
|
Ctr 2 |
-1 |
0 |
1 |
0 |
0 |
0 |
1 |
0 |
0 |
0 |
0 |
>= |
6 |
|
Ctr 3 |
0 |
-1 |
1 |
0 |
0 |
0 |
0 |
1 |
0 |
0 |
0 |
>= |
2 |
|
Ctr4 |
0 |
-1 |
0 |
1 |
0 |
0 |
0 |
0 |
1 |
0 |
0 |
>= |
6 |
|
Ctr 5 |
0 |
0 |
-1 |
1 |
0 |
0 |
0 |
0 |
0 |
1 |
0 |
>= |
3 |
|
Ctr 6 |
0 |
0 |
0 |
-1 |
1 |
0 |
0 |
0 |
0 |
0 |
1 |
>= |
5 |
|
Ctr 7 |
0 |
0 |
-1 |
0 |
1 |
0 |
0 |
0 |
0 |
0 |
0 |
>= |
3 |
|
Ctr 8 |
0 |
0 |
0 |
0 |
0 |
1 |
0 |
0 |
0 |
0 |
0 |
<= |
2 |
|
Ctr 9 |
0 |
0 |
0 |
0 |
0 |
0 |
1 |
0 |
0 |
0 |
0 |
<= |
3 |
|
Ctr 10 |
0 |
0 |
0 |
0 |
0 |
0 |
. 0 |
1 |
0 |
0 |
0 |
<= |
1 |
|
Ctr 11 |
0 |
0 |
0 |
0 |
0 |
0 |
0 |
0 |
1 |
0 |
0 |
<= |
2 |
|
Ctr 12 |
0 |
0 |
0 |
0 |
0 |
0 |
0 |
0 |
0 |
1 |
0 |
<= |
1 |
|
Ctr 13 |
0 |
0 |
0 |
0 |
0 |
0 |
0 |
0 |
0 |
0 |
1 |
<= |
2 |
Выполнив расчеты, получаем следующие результаты:
|
Variable |
Value |
Reduced'Cost |
Original Val |
Lower Bound |
Upper Bound |
|
XI |
0 |
1 |
0 |
-1 |
Infinity |
|
XI |
2 |
0 |
0 |
-1 |
Infinity |
|
X3 |
3 |
0 |
0 |
0 |
Infinity |
|
X4 |
6 |
0 |
0 |
-1 |
Infinity |
|
X5 |
9 |
0 |
1 |
0 |
Infinity |
|
У12 |
2 |
0 |
0 |
—Infinity |
1 |
|
Y13 |
3 |
0 |
0 |
—Infinity |
0 |
|
Y23 |
1 |
0 . |
0 |
0 |
0 |
|
124 |
2 |
0 |
0 |
—Infinity |
1 |
|
Y34 |
0 |
0 |
0 |
0 |
1 |
|
Y45 |
2
i |
0 |
0 |
—Infinity |
1 |
Следовательно, минимальная продолжительность проекта равна 9 месяцам. Для того чтобы сократить продолжительность проекта до 9 месяцев, продолжительность работ (1, 2), (2, 4) и (4, 5) следует сократить на 2 месяца, работы (1, 3) — на 3, а работы (2, 3) — на месяц.
Ответы: 1. 15 месяцев. 2. 345 тыс. руб. 3. 319 тыс. руб. 4. За девять месяцев.
Задача 3. Решение.
Найдем критический путь при нормальном времени выполнения работ. Используем для этого метод СРМ.
|
Работа |
Время выполнения, недели |
Предшествующие работы |
|
A |
10 |
|
|
В |
8 |
А |
|
C |
10 |
В |
|
D |
7 |
А |
|
E |
10 |
D |
|
F |
3 |
С, Е |
Введем в программу POMWIN исходную информацию, описывающую проект в виде последовательности работ: _
Выполнив расчеты, получаем следующие результаты:
|
Project |
31 |
|
|
|
|
|
|
Работа |
Время выполнения, недели |
ES |
EF |
LS |
LF |
R |
|
А |
10 |
0 |
10 |
0 |
10 |
0 |
|
¦ В |
8 |
10 |
18 |
10 |
18 |
0 |
|
С |
10 |
18 |
28 |
18 |
28 |
0 |
|
D |
7 |
10 |
17 |
11 |
18 |
1 |
|
Е |
10 |
17 |
27 |
18 |
28 |
1 |
|
F |
3 |
28 |
31 |
28 |
31 |
0 |
Отсюда видно, что при нормальной продолжительности работ длина критического пути составляет 31 неделю. На критическом пути находятся работы А, В, С, F.
Для того чтобы определить затраты на выполнение проекта при нормальной продолжительности работ, достаточно просуммировать затраты, указанные в шестом столбце таблицы исходных данных, — в результате получаем 400 тыс. руб.
Чтобы определить минимальные дополнительные издержки на сокращение продолжительности проекта до 26 недель, построим модель линейного программирования. Для этого на основании данных о непосредственно предшествующих работах построим графическое представление проекта (рис. 6).
|
Используя исходные данные, определяем удельные затраты К на сокращение продолжительности работ. Получаем следующие результаты:_ |
|
|
|
Работа |
Время выполнения, недели |
Затраты, тыс. руб., при времени выполнения |
Удельные затраты, тыс. руб. в неделю |
|
нормальное |
минимальное |
нормальном |
минимальном |
|
А |
10 |
8 |
30 |
60 |
15 |
|
В |
8 |
6 |
120 |
150 |
15 |
|
С |
10 |
7 |
100 |
160 |
20 |
|
D |
7 |
6 |
40 |
50 |
10 |
|
Е |
10 |
8 |
50 |
74 |
12 |
|
F |
3 |
3 |
60 |
60 |
— |

 |
при условиях х2 2: х, + 10 - у12,
xs Z хА + 10 - у45, *5 > *3 + 10 - .>>35, Уп S 2>
Уаі 5 3>
Уп ^ 2> х, > 0,
(/.;>«*
хА ? х2 + 8 — у2А,
*з * *2 + 7 “ уц, x6Zx5 + 3, |
Используя обозначения хі — время наступления события i; yij — величина сокращения времени работы (i,j), получаем следующую модель линейного программирования для определения минимальных издержек на сокращение продолжительности проекта с 31 до 26 недель:
Уг4 2 2>
Узз* !> х6 <. 26,
У9Ь0,
Для решения этой задачи используем программу POMWIN:
|
|
XI |
XI |
АЗ |
А4 |
А5 |
А6 |
112 |
124 |
145 |
123 |
135 |
|
|
|
Min |
0 |
0 |
0 |
0 |
0 |
0 |
15 |
15 |
20 |
10 |
12 |
|
|
|
Ctrl |
-1 |
1 |
0 |
0 |
0 |
0 |
1 |
0 |
0 |
0 |
0 |
>= |
10 |
|
Ctr 2 |
0 |
-1 |
0 |
1 |
0 |
0 |
0 |
1 |
0 |
0 |
0 |
>= |
8 |
|
сиз |
0 |
0 |
0 |
-1 |
1 |
0 |
0 |
0 |
Г |
0 |
0 |
>= |
10 |
|
Си 4 |
0 |
-1 |
1 |
0 |
0 |
0 |
0 |
0 |
0 |
1 |
0 |
>= |
7 |
|
CU 5 |
0 |
0 |
-1 |
0 |
1 |
0 |
0 |
0 |
0 |
0 |
1 |
>= |
10 |
|
Си 6 |
0 |
0 |
0 |
0 |
-1 |
1 |
0 |
0 |
0 |
0 |
0 |
>= |
3 |
|
CU 7 |
0 |
0 |
0 |
0 |
0 |
0 |
1 |
0 |
0 |
0 |
0 |
<= |
2 |
|
CU 8 |
0 |
0 |
0 |
0 |
0 |
0 |
0 |
1 |
0 |
0 |
0 |
<= |
2 |
|
Си 9 |
0 |
0 |
0 |
0 |
0 |
0 |
0 |
0 |
1 |
0 |
0 |
<= |
3 |
|
CU 10 |
0 |
0 |
0 |
0 |
0 |
0 |
0 |
0 |
0 |
1 |
0 |
<= |
1 |
|
Ctr 11 |
0 |
0 |
0 |
0 |
0 |
0 |
0 |
0 |
0 |
0 |
1 |
<= |
2 |
|
Ctr 12 |
0 |
0 |
0 |
0 |
0 |
1 |
0 |
0 |
0 |
0 |
0 |
<= |
26 |
Выполнив расчеты, получаем следующие результаты:
|
Variable |
Value |
Reduced Cost |
Original Val |
Lower Bound |
Upper Bound |
|
А1 |
0 |
32 |
0 |
-32 |
Infinity |
|
А2 |
8 |
0 |
0 |
-17 |
Infinity |
|
АЗ |
14 |
0 |
0 |
-2 |
Infinity |
|
А4 |
14 |
0 |
0 |
-2 |
Infinity |
|
А5 |
23 |
0 |
0 |
—Infinity |
32 |
|
А6 |
26 |
0 |
0 |
—Infinity |
32 |
|
T12 |
2 |
0 |
15 |
—Infinity |
32 |
|
124 |
2 |
0 |
15 |
—Infinity |
20 |
|
T45 |
1 |
0 |
20 |
15 |
Infinity |
|
123 |
1 |
0 |
10 |
—Infinity |
12 |
|
135 |
1 |
0 |
12 |
10 |
Infinity |
Итак, минимальные затраты на сокращение продолжительности проекта с 31 до 26 недель составляют 102 тыс. руб. Продолжительность работ (1, 2) и (2, 4) сокращается на 2 недели, работ (4, 5), (2, 3) и (3, 5) — на неделю.
Определим, за какое минимальное время может быть выполнен проект. Для этого используем следующую модель линейного программирования: х6 -»min
при условиях
хг > х, + 10 - уп, х4 2 х2 + 8 — у24, х5 ? х4 + 10 - у45,
х3 > х2 + 7 - у2і, х5 > *з + 10 - у35, х6>х5 + 3,
Уі2 - 2. У24 - 2> У45 — 3, У23 ^ 1> Уз5^^>
х,>0, уй > 0, (i,j)eP.
Для решения этой задачи используем программу POMWIN:
|
|
XI |
XI |
A3 |
A4 |
A5 |
A6 |
?12 |
m |
145 |
m |
135 |
|
|
|
Міп |
0 |
0 |
0 |
0 |
0 |
1 |
0 |
0 |
0 |
0 |
0 |
|
|
|
Ctrl |
-1 |
1 |
0 |
0 |
0 |
0 |
1 |
0 |
0 |
0 |
0 |
>= |
10 |
|
Ctr 2 |
0 |
-1 |
0 |
1 |
0 |
0 |
0 |
1 |
0 |
0 |
0 |
>= |
8 |
|
Ctr 3 |
0 |
0 |
0 |
-1 |
1 |
0 |
0 |
0 |
1 |
0 |
0 |
>= |
10 |
|
Ctr 4 |
0 |
-1 |
1 |
0 |
0 |
0 |
0 |
0 |
0 |
1 |
0 |
>= |
7 |
|
' Ctr 5 |
0 |
0 |
-1 |
0 |
1 |
0 |
0 |
0 |
0 |
0 |
1 |
>= |
10 |
|
Ctr 6 |
0 |
0 |
0 |
0 |
-1 |
1 |
0 |
0 |
0 |
0 |
0 |
>= |
3 |
|
Ctr 7 |
0 |
0 |
0 |
0 |
0 |
0 |
1 |
0 |
0 |
0 |
0 |
<= |
2 |
|
Ctr 8 |
0 |
0 |
0 |
0 |
0 |
0 |
0 |
1 |
0 |
0 |
0 |
<= |
2 |
|
Ctr 9 |
0 |
0 |
0 |
0 |
0 |
0 |
0 |
0 |
1 |
0 |
0 |
<= |
3 |
|
Ctr 10 |
0 |
0 |
0 |
0 |
0 |
0 |
0 |
0 |
0 |
1 |
0 |
<= |
1 |
|
Ctr 11 |
0 |
0 |
0 |
0 |
0 |
0 |
0 |
0 |
0 |
0 |
1 |
<= |
2 |
Выполнив расчеты, получаем следующие результаты:
|
Variable |
Value |
Reduced Cost |
Original Val |
Lower Bound |
Upper Bound |
|
A1 |
0 |
1 |
0 |
-1 |
Infinity |
|
XI |
8 |
0 |
0 |
-1 |
Infinity |
|
A3 |
14 |
0 |
0 |
-1 |
Infinity |
|
A4 |
14 |
0 |
0 |
0 |
Infinity |
|
A5 |
22 |
0 |
0 |
-1 |
Infinity |
|
A6 |
25 |
0 |
1 |
0 |
Infinity |
Окончание таблицы
|
Variable |
Value |
Reduced Cost |
Original Val |
Lower Bound |
Upper Bound |
|
112 |
2 |
0 |
0 |
—Infinity |
1 |
|
124 |
2 |
0 |
0 |
—Infinity |
0 |
|
145 |
2 |
0 |
0 |
0 |
1 |
|
123 |
1 |
0 |
0 |
—Infinity |
1 |
|
135 |
2 |
0 |
0 |
-Infinity |
1 |
Следовательно, минимальная продолжительность проекта равна 25 неделям. Для того чтобы сократить продолжительность проекта с 31 до 25 недель, продолжительность работ (1, 2), (2, 4), (4, 5) и (3, 5) следует сократить на 2 недели, работы (2, 3) — на неделю.
Ответы: 1.31 неделя. 2. 400 тыс. руб. 3. 502 тыс. руб. 4. За 25 недель.
Задача 4. Решение.
Определим минимальное время выполнения проекта. Найдем критический путь, воспользовавшись методом СРМ.
Введем в программу POMWIN информацию о предшествующих работах и времени их выполнения:
|
Работа |
Время выполнения, недели |
Предшествующие работы |
|
А |
5 |
|
|
В |
2 |
|
|
С |
3 |
А |
|
D |
4 |
А |
|
Е |
3 |
А |
|
F |
2 |
С |
|
G |
3 |
D |
|
Н |
3 |
В, Е |
|
I |
2 |
Н |
|
J |
2 |
F, G, I |
Результаты расчетов представлены в следующей таблице:
|
Project |
15 |
|
|
|
|
|
|
Работа |
Время выполнения, недели |
ES |
EF |
LS |
LF |
R |
|
А |
5 |
0 |
5 |
0 |
5 |
0 |
|
В |
2 |
0 |
2 |
6 |
8 |
6 |
|
С |
3 |
5 |
8 |
8 |
11 |
3 |
|
D |
4 |
5 |
9 |
6 |
10 |
1 |
|
Е |
3 |
5 |
8 |
5 |
8 |
0 |
|
F |
2 |
8 |
10 |
11 |
13 |
3 |
|
G |
3 |
9 |
12 |
10 |
13 |
1 |
|
Н |
3 |
8 |
11 |
8 |
11 |
0 |
|
I |
2 |
11 |
13 |
11 |
13 |
0 |
J
\ |
2 |
13 |
15 |
13 |
15 |
0 |
Ожидаемое время выполнения проекта — 15 недель.
Суммируя затраты на выполнение всех работ проекта, указанные в пятом столбце таблицы исходных данных, получаем 313 тыс. руб.:
90 + 16 + 3 + 100 + 6 + 2 + 60 + 30 + 4 + 2 = 313 тыс. руб.
|
Работа |
Время выполнения, недели |
Затраты на выполнение, тыс. руб.1 |
Удельные затраты на выполнение, тыс. руб. в неделю |
|
А |
5 |
90 |
18 |
|
В |
2 |
16 |
8 |
|
С |
3 |
3 |
1 |
|
D |
4 |
100 |
25 |
|
Е |
3 |
6 |
2 |
Определим удельные затраты на выполнение работ:
Окончание таблицы
|
Работа |
Время выполнения, недели |
Затраты на выполнение, тыс. руб. |
Удельные затраты на выполнение, тыс. руб. в неделю |
|
F |
2 |
2 |
1 |
|
G |
3 |
60 |
20 |
|
Н |
3 |
30 |
10 |
|
/ |
2 |
4 |
2 |
|
J |
2 |
2 |
1 |
Проведем анализ фактических затрат.
Если в конце пятой недели фактические затраты будут находиться в интервале от 90 тыс. до 106 тыс. руб., то проект может быть выполнен за 15 недель. Фактические затраты на конец пятой недели
составляют 100 тыс. руб. и удовлетворяют этому условию. Недостатка или перерасхода средств на этот момент времени нет.
Если в конце десятой недели фактические затраты будут находиться в интервале от 234 тыс. до 257 тыс. руб., то проект может быть выполнен за 15 недель. Фактические затраты на конец десятой недели составляют 230 тыс. руб. Это означает, что недостаток средств на конец десятой недели составляет 4 тыс. руб. и время выполнения проекта может возрасти.
Ответы: 1. 15 недель. 2. 106 тыс. руб. 3. 90 тыс. руб. 4. Недостатка или перерасхода средств в конце пятой недели нет. 5. 4 тыс. руб.
Задача 5. Решение.
Определим минимальное время выполнения проекта. Найдем критический путь, воспользовавшись методом СРМ.
Введем в программу POMWIN информацию о проекте, содержащуюся в первом, втором и третьем столбцах таблицы исходных данных.
|
Результаты расчетов представлены в следующей таблице: |
|
|
|
Project |
14 |
|
|
|
|
|
|
Работа |
Время выполнения, недели |
ES |
EF |
LS |
LF |
R |
|
А |
1 |
0 |
1 |
3 |
4 |
3 |
|
В |
2 |
1 |
3 |
4 |
6 |
3 |
|
С |
3 |
0 |
3 |
0 |
3 |
0 |
|
D |
3 |
3 |
6 |
3 |
6 |
0 |
|
Е |
2 |
6 |
8 |
6 |
8 |
0 |
|
F |
2 |
3 |
5 |
6 |
8 |
3 |
|
G |
1 |
8 |
9 |
8 |
9 |
0 |
|
Н |
3 |
8 |
11 |
8 |
11 |
0 |
|
I |
2 |
9 |
11 |
9 |
И |
0 |
|
J |
1 |
9 |
10 |
13 |
14 |
4 |
|
К |
3 |
11 |
14 |
11 |
14 |
0 |
|
Ожидаемое время выполнения проекта — 14 недель. Суммируя затраты на выполнение всех работ проекта, получаем 124 тыс. руб. |
|
Работа |
Время выполнения, недели |
Затраты на выполнение, тыс. руб. |
Удельные затраты на выполнение, тыс. руб. в неделю |
|
А |
1 |
6 |
6 |
|
В |
2 |
4 |
2 |
|
С |
3 |
15 . |
5 |
|
D |
3 |
18 |
6 |
|
Е |
2 |
30 |
15 |
|
F |
2 |
20 |
10 |
Определим удельные затраты на выполнение работ:
Окончание таблицы
|
Работа |
Время выполнения, недели |
Затраты на выполнение, тыс. руб. |
Удельные затраты на выполнение, тыс. руб. в неделю |
|
G |
і |
2 |
2 - |
|
Н |
3 |
6 |
2 |
|
I |
2 |
12 |
6 |
|
J |
1 |
2 |
2 |
|
К |
3 |
9 |
3 |
|
Определим динамику роста совокупных затрат для наиболее раннего времени начала всех работ: |
|
|
Иеделя
Работа |
1 |
2 |
3 |
4 |
5 |
6 |
7 |
8 |
9 |
10 |
11 |
12 |
13 |
14 |
|
А |
6 |
|
|
|
|
|
|
|
|
|
|
|
|
|
|
В |
|
2 |
2 |
|
|
|
|
|
|
|
|
|
|
|
|
С |
5 |
5 |
5 |
|
|
|
|
|
|
|
|
|
|
|
|
' D |
|
|
|
6 |
6 |
6 |
|
|
|
|
|
|
|
|
|
Е |
|
|
|
|
|
|
15 |
15 |
|
|
|
|
|
|
|
F |
|
|
|
10 |
10 |
|
|
|
|
|
|
|
|
|
|
G |
|
|
|
|
|
|
|
|
2 |
|
|
|
|
|
|
Н |
|
|
|
|
|
|
|
|
2 |
2 |
2 |
|
|
|
|
I |
|
|
|
|
|
|
|
|
|
6 |
6 |
|
|
|
|
J |
|
|
|
|
|
|
|
|
|
2 |
|
|
|
|
|
К |
|
|
|
|
|
|
|
|
|
|
|
3 |
3 |
3 |
|
Недельные затраты, тыс. руб. |
11 |
7 |
7 |
16 |
16 |
6 |
15 |
15 |
4 |
10 |
8 |
3 |
3 |
3 |
|
Общие затраты, тыс. руб. |
11 |
18 |
25 |
41 |
57 |
63 |
78 |
93 |
97 |
107 |
115 |
118 |
121 |
124 |
|
Определим динамику роста совокупных затрат для наиболее позднего времени начала всех работ: |
|
|
Неделя
Работа |
1 |
2 |
3 |
4 |
5 |
6 |
7 |
8 |
9 |
10 |
11 |
12 |
13 |
14 |
|
А |
|
|
|
6 |
|
|
|
|
|
|
|
|
|
|
|
В |
|
|
|
|
2 |
2 |
|
|
|
|
|
|
|
|
|
С |
5 |
5 |
5 |
|
|
|
|
|
|
|
|
|
|
|
|
D |
|
|
|
6 |
6 |
6 |
|
|
|
|
|
|
|
|
|
Е |
|
|
|
|
|
|
15 |
15 |
|
|
|
|
|
|
|
F |
|
|
|
|
|
|
10 |
10 |
|
|
|
|
|
|
|
G |
|
|
|
|
|
|
|
|
2 |
|
|
|
|
|
|
Н |
|
|
|
|
|
|
|
|
2 |
2 |
2 |
|
|
|
|
I |
|
|
|
|
|
|
|
|
|
6 |
6 |
|
|
|
|
J |
|
|
|
|
|
|
|
|
|
|
|
|
|
2 |
|
К |
|
|
|
|
|
|
|
|
|
|
|
3 |
3 |
3 |
|
Недельные затраты, тыс. руб. |
5 |
5 |
5 |
12 |
8 |
8 |
25 |
25 |
4 |
8 |
8 |
3 |
3 |
5 |
|
Общие затраты, тыс. руб. |
5 |
10 |
15 |
27 |
35 |
43 |
68 |
93 |
97 |
105 |
113 |
116 |
119 |
124 |
Проведем анализ фактических затрат.
Если в конце четвертой недели фактические затраты будут находиться в интервале от 27 тыс. до 41 тыс. руб., то проект может быть выполнен за 14 недель. Фактические затраты на конец четвертой недели составляют 35 тыс. руб. и удовлетворяют этому условию. Недостатка или перерасхода средств на этот момент времени нет.
Для того чтобы проект был выполнен за 14 недель, фактические затраты в конце восьмой недели должны равняться 93 тыс. руб. Так как они равны 90 тыс. руб., то на конец восьмой недели имеет место недостаток средств 3 тыс. руб. и время выполнения проекта может возрасти.
Ответы: 1.14 недель. 2. 41 тыс. руб. 3. 27 тыс. руб. 4. Недостатка или перерасхода средств в конце
четвертой недели нет. 5. 3 тыс. руб.
Глава 10. Стратегические игры
В данной главе показаны возможности использования одного из классов игровых моделей — так называемых стратегических игр — для принятия решений преимущественно экономического характера в условиях неопределенности. Дается общее описание стратегической игры и ее место в классификации игр. Подробно рассматривается класс стратегических игр двух лиц с нулевой, а также с постоянной ненулевой суммой. Определяется понятие равновесия в ифе в чистых и смешанных стратегиях. Представлен общий подход к играм указанного типа — сведение к соответствующей задаче линейного программирования.
После того как вы выполните предлагаемые в этой главе задания, вы будете уметь строить для различных ситуаций принятия экономических решений (там, где это возможно и целесообразно) соответствующую игровую модель, определяя:
• игроков и их стратегии;
• матрицу выигрышей;
• наличие или отсутствие седловых точек в чистых стратегиях;
• доминируемые стратегии;
• эквивалентную модель линейного программирования;
• оптимальные стратегии;
• цену игры.
Модели
Методы, основанные на теории игр, используются для принятия решений в условиях неопределенности. Игра — это математическая модель конфликтной ситуации, которая предполагает наличие следующих компонентов:
а) заинтересованных сторон;
б) возможных действий каждой из сторон;
в) интересов сторон.
В игре заинтересованные стороны называются игроками, каждый из которых может предпринимать не менее двух действий (если ифок имеет в своем распоряжении только одно действие, то он фактически не участвует в игре, поскольку заранее известно, что он предпримет).
Слово «игра» обозначает некоторый набор правил и соглашений, составляющих данный вид игры, например: футбол, шахматы и др.
В экономике модель поведения лиц в виде игры возникает, например, при попытке нескольких фирм завоевать наиболее выгодное место на конкурентном рынке или при желании нескольких лиц (компаний) разделить некоторое количество продукта (ресурса, финансовых средств) между собой так, чтобы каждому досталось как можно больше. Игроками в конфликтных экономических ситуациях, моделируемых в виде игры, являются производственные и непроизводственные фирмы, банки, отдельные предприниматели и другие экономические агенты. В военной области модель игры используется, например, для наилучшего выбора средств (из имеющихся или потенциально возможных) поражения военных целей противника или защиты от его нападения.
Для игр характерна неопределенность результата (исхода). Причины неопределенности относятся к трем группам:
1) комбинаторные источники (шахматы);
2) влияние случайных факторов (игра в орлянку, кости, карточные игры, где случаен расклад);
3) стратегическое происхождение: игрок не знает, какого образа действий придерживается его противник. Здесь неопределенность исходит от другого лица.
Игры, в которых неопределенность имеет стратегическое происхождение, называются стратегическими.
Таким образом, в стратегической игре действия предпринимают две стороны или более, в отличие от нестратегической игры, в которой действия предпринимает одна сторона, а остальные являются заинтересованными сторонами.
Стратегические игры классифицируют по следующим признакам:
1) число игроков (игра двух лиц, игра п (п > 2) лиц);
2) количество стратегий (конечные, бесконечные);
3) количество информации, имеющейся у игроков относительно прошлых ходов (игры с полной, игры с неполной информацией). Шахматы — пример игры с полной информацией;
4) принцип деления выигрыша (коалиционные, бескоалиционные).
Далее рассматривается модель конечной стратегической игры с полной информацией, в которой участвуют две стороны, имеющие противоположные интересы. Такую игру принято называть конечной игрой двух лиц с нулевой суммой.
1. Матричная игра двух лиц с нулевой суммой
В игре двух лиц с нулевой суммой (такую игру называют также антагонистической) принимают участие два игрока: игрок 1 и игрок 2. В распоряжении каждого из них имеется множество стратегий. Под стратегией понимают совокупность правил (принципов), определяющих выбор варианта действий при каждом ходе игрока в зависимости от сложившейся ситуации. Пусть А = {а1, а2,...} — множество стратегий игрока 1, В = {bb b2,...} — множество стратегий игрока 2. Элементы множества А — возможные стратегии (действия) игрока 1, элементы множества В — стратегии игрока 2. Условия игры представлены так называемой функцией выигрыша игрока 1: H(a*, b), где а*еА — i-я стратегия игрока 1, bj-еВ — j-я стратегия игрока 2. В игре с нулевой суммой выигрыш игрока 2 равносилен проигрышу игрока 1 и равен поэтому — H(a*, b). Предполагается, что функция выигрыша обоим игрокам известна. Поскольку игроков всего двое и игра антагонистическая, коалиции невозможны.
Игра, в которой множества А и В стратегий игроков конечны, т.е. |А| < ?, |В| < ?, называется матричной. В этом случае функция выигрышей игрока 1 имеет вид матрицы, называемой матрицей игры (матрицей выигрышей, платежной матрицей) Н = {агу}т,„, i = 1,..., т; j = 1,..., п. Строки этой матрицы соответствуют стратегиям аь а2, ..., ат игрока 1, столбцы — стратегиям bb b2, ..., bn игрока 2. Элемент матрицы aij = H (ai, b) — выигрыш игрока 1 в случае, когда он применит стратегию а*, а его противник — стратегию bj, i = 1, ..., т; j = 1, ..., п.
Элементы матрицы могут быть положительными, отрицательными или равными нулю. Случай, когда данный элемент матрицы положителен, означает, что игрок 2 в определенной ситуации должен уплатить игроку 1 сумму, равную значению этого элемента. Если данный элемент отрицателен, игрок 1 уплачивает игроку 2 сумму, равную абсолютному значению этого элемента. И наконец, если этот элемент равен нулю, никакой выплаты не производится. Таким образом, в игре двух лиц с нулевой суммой один игрок выигрывает столько же, сколько проигрывает другой (все выплаты производятся из «карманов» противников). Это и объясняет название — игра с нулевой суммой.
Игрок 1 стремится к максимальному выигрышу, игрок 2 — к минимальному проигрышу. Решить игру — значит найти оптимальные стратегии игроков и их выигрыши.
В игре двух лиц с нулевой суммой, как и в любой другой стратегической игре, исход зависит от поведения обоих игроков, которое основывается на так называемых правилах игры. Допустим, что по правилам игры игрок 1 может выбрать произвольную строку матрицы и, следовательно, может выбрать одно из чисел 1, 2, ..., т. Аналогично игрок 2 имеет возможность выбора произвольного столбца матрицы выигрышей и, следовательно, одного из чисел 1, 2,..., п. Исход (результат) игры и, следовательно, сумму, которую игрок 2 должен уплатить игроку 1, определяет элемент матрицы выигрышей, находящийся на пересечении строки, выбранной игроком 1, и столбца, выбранного игроком 2. Ни один из партнеров не знает, какую стратегию применит его противник. Таким образом, имеет место ситуация полной неопределенности, при которой теория вероятностей не может помочь игрокам в выборе решения.
Рассмотрим процесс принятия решений обеими сторонами более детально, предполагая, что игроки действуют рационально.
Если игрок 1 не знает, как поступит его противник, то, действуя наиболее целесообразно, не желая рисковать и считая, что противник также будет действовать целесообразно, он выберет такую стратегию, которая гарантирует ему наибольший из наименьших выигрышей при любой стратегии противника. Принято говорить, что при таком образе действий игрок 1 руководствуется принципом
max min
максиминного выигрыша. Этот выигрыш определяется формулой a = * j aij. Величина a
называется нижней ценой игры, максиминным выигрышем, или сокращенно — максимином.
В свою очередь игрок 2, действуя рационально, выберет такую стратегию, которая гарантирует ему наименьший из возможных проигрышей при любых действиях противника. Принято говорить, что игрок 2 руководствуется принципом минимаксного проигрыша. Этот проигрыш определяется min max aij
выражением b = 1 * . Величина b называется верхней ценой игры или минимаксом.
Принцип осторожности, который определяет выбор партнерами стратегий, соответствующих максиминному выигрышу или минимаксному проигрышу, часто называют принципом минимакса, а стратегии, вытекающие из этого принципа, — минимаксными стратегиями. Доказано, что всегда а 5 р, чем и объясняются названия «нижняя цена» и «верхняя цена». В случае когда нижняя цена игры равняется ее верхней цене, их общее значение называется ценой игры. При этом результат стратегической игры двух лиц с нулевой суммой можно определить, не приступая к фактической игре: вполне реален сценарий, когда партнеры, взглянув на матрицу, рассчитываются, пожимают друг другу руки и расходятся. Очевидно, что исход такой игры не изменится, если она будет повторена многократно, поскольку ни одному из игроков невыгодно отклоняться от своих минимаксных стратегий. Ситуация, в которой нижняя и верхняя цены игры совпадают, называется седловой точкой. Формальное определение: ситуация (а*, Ъ*) еАхВ называется седловой точкой, если
Н(аbj) = max {H(ait bf); i = 1, m} =
= min{#(a/, b,);j-A, n}.
В седловой точке элемент матрицы а,* = H(a*, bj*) является одновременно наименьшим в строке и наибольшим в столбце и, следовательно, соответствует цене игры. Однако существуют матрицы игры двух лиц с нулевой суммой (и таких игр большинство), для которых а Ф b, т.е. седловая точка отсутствует. Исход такой игры определить труднее, поскольку какой-либо одной так называемой чистой оптимальной стратегии ни для одного игрока не существует. В таких случаях говорят, что решение игры в чистых стратегиях отсутствует, и рассматривают так называемое смешанное расширение игры, решение которой ищут в смешанных стратегиях. Смешанная стратегия игрока — это случайная величина, значениями которой являются его чистые стратегии. Для того чтобы задать смешанную стратегию игрока, необходимо указать вероятности (частоты), с которыми выбираются его первоначальные (чистые) стратегии. При этом предполагается, что игра повторяется многократно. Для матричной игры т х п обозначим через Р = (р? р2,рт)
смешанную стратегию игрока 1, где рх >0, р2> •••> Рт - 0»
%Рі = 1, через Q=(ql3 q2, q„) смешанную стратегию игрока 2,
где qx > 0, q2 > 0, qn > 0, 1 qj = 1.
Здесь рь р2,..., рт — вероятности использования игроком 1 в смешанной стратегии своих чистых стратегий a1, a2, ..., am; q1, q2, ..., qn — вероятности использования игроком 2 в смешанной стратегии своих чистых стратегий b1, b2, ..., bn.
Математическое ожидание выигрыша игрока 1:
п т
M(P,Q)=lZaijPiqj.
Смешанная стратегия, которая гарантирует данному игроку наибольший возможный средний выигрыш (или наименьший возможный средний проигрыш), называется его оптимальной смешанной стратегией, а стратегии, из которых складывается оптимальная смешанная стратегия, определяются как выгодные стратегии.
Пусть Р* — смешанная стратегия игрока 1,Q* — смешанная стратегия игрока 2. Ситуацию (P*,Q*), при которой М(Р, Q*) < М(Р*, Q*) < М(Р*, Q), называют седловой точкой смешанного расширения игры, а математическое ожидание выигрыша v = М(Р*, Q *) — ценой игры, причем всегда а < v < b.
Доминирование стратегий. Если платежная матрица такова, что каждый элемент некоторой строки i не меньше соответствующего элемента строки к и по меньшей мере один ее элемент строго больше соответствующего элемента строки к, то говорят, что стратегия а, игрока 1 доминирует его стратегию а,. Доминируемая стратегия не может быть оптимальной чистой стратегией игрока 1 и даже не может войти в его оптимальную смешанную стратегию с ненулевой вероятностью, поэтому ее можно исключить из рассмотрения, вычеркнув из матрицы строку к. Аналогично: если каждый элемент некоторого столбца j не больше соответствующего элемента столбца r и по меньшей мере один его элемент строго меньше соответствующего элемента столбца г, то говорят, что стратегия bj игрока 2 доминирует его стратегию br Поэтому столбец r матрицы можно вычеркнуть.
Сведение игры двух лиц с нулевой суммой к задаче линейного программирования. Если седловая точка отсутствует, то общим методом решения игры любой (конечной) размерности является сведение игры двух лиц с нулевой суммой к задаче линейного профаммирования. Из основного положения теории стратегических игр следует, что при использовании смешанных стратегий существует по меньшей мере одно оптимальное решение с ценой игры v, причем a < v < b, т.е. цена игры находится между нижним и верхним значениями игры. Величина v неизвестна, но можно предположить, что v > 0. Это условие выполняется, поскольку путем преобразования матрицы всегда можно сделать все ее элементы положительными. Таким образом, если в исходной платежной матрице имеется хотя бы один неположительный элемент, то первым шагом в процедуре сведения игры к задаче линейного программирования должно быть ее преобразование в матрицу, все элементы которой строго положительны. Для этого достаточно увеличить все элементы исходной матрицы на
max min
одно и то же число d > г 1 |aj|, где а. < 0. При таком преобразовании матрицы оптимальные стратегии игроков не изменяются.
Допустим, что смешанная стратегия игрока 1 складывается из стратегий a1, a2,..., am с вероятностями
X Рг = 1
Рг > 0)
Оптимальная смешанная стратегия игрока 2 скла-
Рт ( г= 1
соответственно p1, p2,...,
X q = 1 q > 0
дывается из стратегий bb b2,..., bn с вероятностями qb q2,..., qn (1"1 , 1 ). Условия игры
„ {a..} a. > 0 . .
определяются платежной матрицей г1 ,n, . , . = 1,..., m;j = 1,..., n.
Если игрок 1 применяет оптимальную смешанную стратегию, а игрок 2 — чистую стратегию bj, то средний выигрыш игрока 1 (математическое ожидание выигрыша) составит р1а1. + P2a2j + ... + Pmflmj, j = 1,..., n.
Игрок 1 стремится к тому, чтобы при любой стратегии игрока 2 его выигрыш был не менее чем цена игры v и сама цена игры была максимальной. Такое поведение игрока 1 описывается следующей моделью линейного программирования: ? —> max (игрок 1 стремится максимизировать свой выигрыш),
|
или, обозначив хг =pjv, имеем |
 |

Причем
V = 1/(х, + *2 + - +*т)-
Поведению игрока 2 соответствует двойственная задача:
>(2)
аиУ\ + "12^2 + ••• + а\Л ^ 1.
ад + ад + - + ад ^ ь
+ апйУ2 + - + атпУп *
У; ^ 0, j = 1,
где^= ?у/?.
Задача (1) всегда имеет решение. Получив ее оптимальное решение хі>х2’ —>*m>, можно найти цену игры v _ l/(*i +х2 + ... +хт), оптимальные значения Р\\Рг> •••> Рт и, следовательно, оптимальную стратегию игрока 1. Если исходная матрица увеличивалась на d, то для получения цены первоначальной игры v* нужно уменьшить на d.
Справедливо и обратное положение: любую задачу линейного программирования можно свести к решению соответствующей игры двух лиц с нулевой суммой.
2. Матричная игра двух лиц с ненулевой постоянной суммой
Конечная игра, в которой сумма выигрышей обоих игроков не равна нулю и постоянна для всех сочетаний их чистых стратегий, называется матричной игрой двух лиц с ненулевой постоянной суммой. Пусть W }т,л— матрица выигрышей игрока 1 и Ьи,и — матрица выигрышей игрока 2. Причем
аіі + Ьц— с дЛЯ всех /'= 1,..., т; j — 1, п.
Такого рода игра сводится к игре двух лиц с нулевой суммой следующим образом:
1) каждому игроку выплачивается сумма с/2;
2) решается игра с нулевой суммой с матрицей выигрышей игрока 1, где а? ~ а? ~ с^'
Действительно, в игре с преобразованной таким способом матрицей выигрышей игрок 2 получает
сумму с/2 - ау для всех i = 1, ..., т; j = 1, ..., п, т.е. новая игра является игрой с нулевой суммой. При этом каждый игрок ничего не теряет от того, что каждый из них в игре получает на с/2 меньше, поскольку по с/2 они получили перед игрой.
Примеры
(эквивалентно ? -» min: Л игрок 2 стремится минимизировать свой средний проигрыш),
Уі + у2 + ... + у„ -> max
|
рои игры имеет вид |
|
|
|
А |
А. |
*2 |
Аз |
а4 |
Минимальный выигрыш игрока 1 |
|
°і |
10 |
40 |
12 |
9 |
9 |
|
°2 |
17 |
16 |
13 |
14 |
13 |
|
аъ |
23 |
8 |
10 |
25 |
8 |
|
Максимальный проигрыш игрока 2 |
23 |
40 |
13 |
25 |
|
Пример 1. Выбор стратегии. Матрица некото
Найдите оптимальные стратегии игроков.
Решение. В этой игре игрок 1 имеет три возможные стратегии: аь а2, а3 из, а игрок 2 — четыре возможные стратегии: Ъ\, Ъ2, b3, b4.
Рассмотрим процесс принятия игроками решения (предполагается, что они действуют рационально). Взглянув на таблицу, можно заметить, что если игрок 1 не знает, как поступит его противник, то, действуя наиболее целесообразно и считая, что противник будет действовать подобным же образом, он выберет стратегию а2, которая гарантирует ему наибольший из трех возможных наименьших выигрышей: 9, 13, 8. Другими словами, игрок 1 руководствуется принципом максиминного
max min
выигрыша. Этот выигрыш a = i 1 aij есть нижняя цена игры. Для нашего примера a = 13.
Игрок 2 рассуждает аналогично: если он выберет стратегию Ъ1, ,то потеряет самое большее 23, если стратегию Ъ2, то — 40, и т.д. В результате он выберет стратегию Ъ3, которая гарантирует ему наименьший из четырех возможных проигрышей: 23, 40, 13, 25. Принято говорить, что игрок 2
min max
руководствуется принципом минимаксного проигрыша. Этот проигрыш b = j ' ау есть верхняя цена игры. Для нашей матрицы b = 13.
Ситуация («2, Ьз) есть седловая точка, и a = b = 13 есть цена игры.
При наличии седловой точки ни одному из участников игры невыгодно отклоняться от своей минимаксной стратегии: он будет наказан противником тем, что получит меньший выигрыш.
Пример 2. Где строить?
Две конкурирующие крупные торговые фирмы Фі и Ф2 планируют построить в одном из четырех небольших городов Г1, Г2, Г3 и Г4, лежащих вдоль автомагистрали, по одному универсаму. Взаимное расположение городов, расстояние между ними и численность населения показаны на рис. 1.
|
Униперсам фирмы Ф, по сравнению с универсамом фирмы Ф2 расположен отгорода |
Распределение прибыли между фирмами |
|
|
Ф2 |
|
Ближе |
75% |
25% |
|
На одинаковом расстоянии |
60% |
40% |
|
Дальше |
45% |
55% |
 |
Рис. 1
Прибыль каждой фирмы зависит от численности населения городов и степени удаленности универсамов от места жительства потенциальных покупателей. Специально проведенное исследование показало, что прибыль в универсамах будет распределяться между фирмами следующим образом: |
Например, если универсам фирмы Ф1 расположен к городу Г1 ближе универсама фирмы Ф 2, то прибыль от покупок, сделанных жителями данного города, распределится следующим образом: 75% получит Ф1, остальное — Ф 2.
Представьте описанную ситуацию как игру двух лиц.
В каких городах фирмам целесообразно построить свои универсамы?
Решение. Составим платежную матрицу игры, в которой игроком 1 будет фирма Ф 1, а игроком 2 — фирма Ф2. Стратегии обоих игроков: строить свой универсам в городе Г1, в городе Г2 и т.д. Элементы матрицы — прибыль фирмы Ф1 (в тыс. руб.), которая, как предполагается, пропорциональна (причем с одним и тем же коэффициентом) числу покупателей. Величина указанного коэффициента пропорциональности для выбора оптимального места размещения универсамов значения не имеет, поэтому примем его равным единице.
|
\Ф2 |
rt |
Гг |
. Г |
Г.4 |
|
|
90 |
76,5 |
91,5 |
91,5 |
|
Г |
103,5 |
90 |
91,5 |
103,5 |
|
г |
88,5 |
88,5 |
90 |
103,5 |
|
г< |
88,5 |
76,5 |
76,5 |
90 |
Платежная матрица имеет вид _
Рассмотрим примеры расчета значений элементов (Гь Г2) и (Г3, Г4) матрицы.
Ситуация (Г1, Г2) означает, что фирма Ф1, строит универсам в городе Гь а фирма Ф2 — в городе Г2. Число покупателей фирмы Ф1 складывается из покупателей четырех городов. Для ситуации (Г1, Г2) число покупателей из Г1: 0,75-30, из Г2: 0,45-50, из Г3 0,45-40, из Г4: 0,45-30, т.е. в сумме 76,5 тыс. руб. Для ситуации (Г3, Г4) число покупателей из Гц 0,75-30, из Г2. 0,75-50, из Г3: 0,75-40, из Г4: 0,45-30, т.е.
в сумме 103,5 тыс. руб. Элементы матрицы выигрышей фирмы Ф2 — дополнения до числа 150 (общее число жителей в четырех городах). Таким образом, имеет место игра двух лиц с ненулевой постоянной суммой, оптимальные стратегии которой те же, что и для соответствующей игры с нулевой суммой.
Полученная платежная матрица имеет седловую точку (Г2, Г2). Соответствующий элемент матрицы равен 90.
Таким образом, обеим фирмам следует строить свои универсамы в одном и том же городе Г2, при этом прибыль фирмы Ф\ составит 90 тыс., а фирмы Ф2 — 60 тыс. руб.
Пример 3. Двухпальцевая «игра морра».
Каждый игрок показывает один или два пальца и называет число пальцев, которое, по его мнению, показал его противник (ни один из игроков не видит, какое число пальцев на самом деле показывает его противник). Если один из игроков угадывает правильно, он выигрывает сумму, равную сумме числа пальцев, показанных им и его противником. В противном случае (если никто не угадывает) — ничья. Если оба угадали, то игроки платят друг другу одинаковую сумму, в результате также ничья.
Вопросы:
1. Существует ли в данной игре седловая точка в чистых стратегиях?
2. Кто из игроков в среднем выигрывает и сколько?
3. Как часто игрок 1 должен говорить, что его противник показал два пальца?
4. Как часто игрок 2 должен показывать один палец?
Решение. Прежде всего определим стратегии игроков и построим платежную матрицу.
Стратегиями игрока 1 (строки таблицы) являются четыре пары чисел. Первое число каждой пары — это число пальцев, показанное им, второе — число пальцев, которое, как он предполагает, показал его противник. Такие же стратегии имеет игрок 2.
Платежная матрица размером 4 х 4 и другая информация представлены в следующей таблице:
Игрок 2
Игрок 1 |
(1, О |
(1,2) |
(2, 1) |
(2, 2) |
Минимальный выигрыш игрока 1 |
|
0, 1) |
0 |
2 |
-3 |
0 |
-3 |
|
(1,2) |
-2 |
0 |
0 |
3 |
-2 |
|
(2, 1) |
3 |
0 |
0 |
-4 |
-4 |
|
(2, 2) |
0 |
-3 |
4 |
0 |
-3 |
|
Максимальный проигрыш игрока 2 |
3 |
2 |
4 |
3 |
|
Нижняя цена игры a = -2, верхняя цена игры b = 2.
Игрок 2
Игрок 1 |
(1, 1) |
0,2) |
(2, 1) |
(2, 2) |
' Минимальный выигрыш игрока 1 |
|
(1, О |
5 |
7 |
2 |
5 |
2 |
|
(1,2) |
3 |
5 |
5 |
8 |
3 |
|
(2, 1) |
8 |
5 |
5 |
1 |
1 |
|
(2, 2) |
5 |
2 |
9 |
5 |
2 |
|
Максимальный проигрыш игрока 2 |
8 |
7 |
9 |
8 |
|
Как видим, a Ф b, поэтому седловой точки не существует и решение в чистых стратегиях отсутствует. Для решения данной игры построим соответствующую задачу линейного программирования. Для этого сначала преобразуем платежную матрицу таким образом, чтобы все ее элементы были положительными. Максимальное по абсолютной величине значение неположительного элемента платежной матрицы равно 4, поэтому к матрице достаточно прибавить число 5:
Оптимальная стратегия игрока 1 находится решением следующей задачи линейного программирования [см. (1)]:
х, + х2 + х3 + х4 -» min,
5х, + Зх2 + 8х3 + 5х4 > 1,
7х, + 5xj + 5х3 + 2х4 > 1,
2х, + 5х2 + 5х3 + 9х4 > 1,
5х, + 8х2 + 1х3 + 5х4 > 1, х( > 0, /= 1, 4.
|
Используя пакет POMWIN, исходную информацию для решения этой задачи можно представить в виде следующей таблицы: ____ |
|
|
|
|
Стратегии игрока 1 |
|
|
|
1 |
2 |
3 |
4 |
|
Minimize |
1 |
1 |
1 |
1 |
|
|
|
Стратегии игрока 2 |
1 |
5 |
3 |
8 |
5 |
>= |
1 |
|
2 |
7 |
5 |
5 |
2 |
>= |
1 |
|
3 |
2 |
5 |
5 |
9 |
>= |
1 |
|
4 |
5 |
8 |
1 |
5 |
>= |
1 |
Получаем следующий результат:
|
|
1 |
2 |
3 |
4 |
|
|
|
|
Minimize |
1 |
1 |
1 |
1 |
|
|
|
|
1 |
5 |
3 |
8 |
5 |
>= |
1 |
0 |
|
2 |
7 |
5 |
5 |
2 |
>= |
1 |
-0,1142 |
|
3 |
2 |
5 |
5 |
9 |
>= |
1 |
-0,0857 |
|
4 |
5 |
8 |
1 |
5 |
>= |
1 |
2,6116Е-09 |
|
Solution |
0 |
0,1143 |
0 |
0,0857 |
|
0,2 |
|
Решение (в нижней строке):
*, = 0, *, = 0,1143, х3 = 0, jc4 = 0,0857.
Оптимальное значение целевой функции равно 0,2.
В последнем столбце — двойственные оценки. Переходя к переменным исходной задачи и учитывая, что v = 1/(*і + х2 + х3 + х4) = 5 и pi = Хі v, получаем: pi = 0, р2 = 0,5715, рз = 0, p4 = 0,4285.
Это означает, что при многократном повторении игры первая стратегия (1, 1) и третья стратегия (2,1) игроком 1 не должны использоваться; вторая стратегия (1,2) должна использоваться с частотой
|
0,5715, четвертая стратегия (2, 2) — с частотой 0,4285. Аналогично определяем оптимальную стратегию игрока 2: |
 |
т.е. игрок 2 должен использовать лишь свою вторую стратегию (1,2) с частотой 0,5715 и третью стратегию (2, 1) с частотой 0,4285.
Так как исходная матрица была увеличена на 5, получаем, что цена первоначальной игры равна 0 (5 — 5). Таким образом, исход игры — ничья.
Ответы: 1. Нет, не существует. 2. Ничья. 3. Всегда. 4. 0,572.
Пример 4. Доминирование стратегий.
Платежная матрица для двух игроков имеет вид
|
^~~^~-~^Стратсгии игрока 2 Стратегии игрока 1 " ___ |
1 |
. 2 |
3 |
4 |
5 |
|
1 |
3 |
4 |
-8 |
0 |
5 |
|
2 |
4 |
3 |
1 |
2 |
0 |
|
3 |
5 |
4 |
-8 |
0 |
5 |
|
4 |
4 |
3 |
0 |
0 |
-1 |
|
5 |
-2 |
3 |
0 |
2 |
0 |
|
6 |
0 |
0 |
1 |
1 |
0 |
Преобразуйте игру, исключив доминируемые стратегии.
Решение. Для игрока 1: вторая стратегия (строка 2 матрицы) доминирует четвертую и шестую стратегии, поэтому четвертую и шестую строки можно вычеркнуть. Для игрока 2: третья стратегия (столбец 3) доминирует четвертую, поэтому четвертый столбец можно вычеркнуть, и т.д.

Два конкурирующих друг с другом предприятия, выпускающие стиральные машины, имеют следующие доли общего сбыта своей продукции на местном рынке: 53% — предприятие 1 и 47% — предприятие
2.
Оба предприятия пытаются увеличить объем своих продаж. Для этого у них есть следующие альтернативы: a (b1) — расширить сеть сбыта; а2 фі) — рекламировать свою продукцию; аз(Ьз) — увеличить ассортимент (число моделей стиральных машин); а4 (b4) — ничего не предпринимать.
Анализ показал, что при осуществлении обоими предприятиями указанных мероприятий доля (в %) предприятия 1 на рынке стиральных машин изменится следующим образом:
Стратегии .__предприятия 2
Стратегии
предприятия 1 ^—?. |
К |
h |
*3 |
h |
|
а] |
-4 |
-5 |
-1 |
6 |
|
аі |
-1 |
0 |
-3 |
5 |
|
аз |
-3 |
1 |
-5 |
5 |
|
а4 |
-8 |
-7 |
-6 |
0 |
Сформулируйте данную ситуацию в виде игры.
Вопросы:
1. Какое из мероприятий предприятия 1 наиболее эффективно?
2. Какую долю на рынке будет иметь предприятие 1?
3. Какое из мероприятий предприятия 2 наиболее эффективно?
4. С какой частотой следует предприятию 2 использовать стратегию «реклама»?
Решение. Приведенную выше таблицу можно рассматривать как платежную матрицу игры двух лиц с нулевой суммой. Альтернативы, имеющиеся в распоряжении предприятий, — стратегии игроков. Прежде всего следует исключить доминируемые стратегии игроков: 04 игрока 1 и 64 игрока 2. В результате получим
Стратегии предприятия 2 Стратегии —А.
предприятия 1 ^ 1—^__ |
*1 |
*2 |
ьз |
|
"і |
-4 |
-5 |
-1 |
|
|
-1 |
0 |
-3 |
|
аз |
-3 |
1 |
-5 |
Увеличив все элементы матрицы на 6, решим следующую задачу линейного программирования:
х\ + -*2 + *з min,
2х{ + 5xj + ЗХ3 ? 1, х1 + 6x2 + 7х3 ? 1,
5х, + 3*2 + *з ? 1»
Х;>0, і = 1, 2, 3.
Используя пакет POMWIN, получаем следующий результат:
|
|
XI |
XI |
Xi |
|
|
|
|
Minimize |
1 |
1 |
1 |
|
|
|
|
Constraint 1 |
2 |
5 |
3 |
>= |
1 |
-0,105 |
|
Constraint 2 |
1 |
6 |
7 |
>= |
1 |
0 |
|
Constraint 3 |
5 |
3 |
1 |
>= |
1 |
-0,158 |
|
Solution |
0,105 |
0,158 |
0 |
|
0,26 |
|
Переходя к переменным исходной задачи и учитывая, что v = 1/(хі + x2 + х3) = 3,85 иpt = xv получаем: р\ = 0,4, р2 = 0,6, р3 = 0, р4 = 0. Цена игры, соответствующая первоначальной матрице, равна -2,15 (3,85 - 6). Таким образом, предприятие 1 при многократном повторении игры должно использовать с частотой 0,4 стратегию а1 (расширить сеть сбыта), с частотой 0,6 — стратегию а2 (рекламировать свою продукцию), а стратегии a3 (увеличить ассортимент) и a4 (ничего не предпринимать) не использовать вовсе. При этом доля сбыта предприятия на рынке уменьшится на 2,15%. Оптимальная смешанная стратегия предприятия 2: с частотой 0,4 использовать стратегию b1 (расширить сеть сбыта) и с частотой 0,6 — стратегию b3 (увеличить ассортимент). Стратегии а2 (рекламировать свою продукцию) и а4 (ничего не делать) не применять вовсе. Доля предприятия 2 на рынке увеличится на 2,15%. Казалось бы, поскольку в результате осуществления своих мероприятий предприятие 1 «теряет рынок», ему не следует ничего предпринимать, однако в этом случае оно потеряет еще больше (в соответствии со стратегией a4) из-за действий предприятия 2, которому они выгодны.
Ответы: 1. Реклама. 2. 50,85%. 3. Увеличение ассортимента. 4. С нулевой частотой, т.е. стратегия «реклама» предприятием 2 вообще не должна применяться.
Вопросы
Вопрос 1. Нижняя цена матричной игры {щ}т„ определяется следующей формулой:
1) min ап\
і J
2) min ay;
3) min min a,,:
I ? v
4) max min ay;
5) max min ag.
j i J
Вопрос 2. Верхняя цена матричной игры {a,, }пи, определяется следующей формулой:
1) max а у;
2) max а-у\
3) max min аи;
/ j У
4) max max аи;
і j У
5) min max a,,.
J i J
Стратегии игрока 2
Стратегии игрока 1 |
1 |
2 |
3 |
|
1 |
1 |
-4 |
3 |
|
2 |
-4 |
4 |
6 |
|
3 |
3 |
-6 |
5 |
Вопрос 3. Какова верхняя цена следующей игры?_
Варианты ответов:
1) 1; 2) 3; 3) 4; 4) 5; 5) 6.
Вопрос 4. Какова нижняя и верхняя цена игры для нижеприведенной матрицы?
|
^—-^.Стратегии игрока 2 Стратегии игрока 1 ¦—^ |
1 |
2 |
3 |
4 |
5 |
|
1 |
4 |
2 |
-3 |
-1 |
0 |
|
2 |
8 |
3 |
5 |
2 |
-2 |
|
3 |
7 |
4 . |
2 |
-4 |
8 |
|
4 |
3 |
5 |
4 |
10 |
5 |
Варианты ответов:
3) (2, 4); 4) (3, 5); 5) (2, 8).
значение элемента матрицы игры в седловой точке? |
|
|
|
'—-—^Стратегии игрока 2 |
1 |
2 |
3 |
4 |
|
Стратегии игрока 1 ^ —------ |
¦ |
|
|
|
|
1 |
40 |
40 |
8 |
15 |
|
2 |
1 |
-5 |
6 |
25 |
|
3 |
50 |
55 |
3 |
1 |
1) (-4, 10); 2) (0, 5);
Вопрос 5. Чему равно
Варианты ответов:
1) 6; 2) 8; 3) 15; 4) 25; 5) седловая точка отсутствует.
Вопрос 6. Используя свойство доминирования стратегий игроков, максимально редуцируйте следующую матрицу игры:
^Страте ги и игрока 2
Стратегии игрока 1 ------ |
1 |
2 |
3 |
4 |
5 |
|
1 |
4 |
7 |
2 |
3 |
4 |
|
2 |
3 |
5 |
6 |
8 |
9 |
|
3 |
4 |
4 |
2 |
2 |
8 |
|
4 |
3 |
6 |
1 |
2 |
4 |
|
5 |
3 |
5 |
6 |
8 |
9 |
Какова размерность результирующей матрицы?
Варианты ответов:
1)1х2; 2)2х1; 3)2х2; 4)3х2; 5)3х3.
Вопрос 7. Найдите цену следующей игры (без использования пакета POMWIN):
|
——^Стратегии игрока2 |
1 |
2 |
3 |
|
Стратегии игрока 1 " —— |
|
|
|
|
1 |
1 |
2 |
3 |
|
2 |
2 |
3 |
1 |
|
3 |
3 |
1 |
2 |
Варианты ответов:
1) 1; 2) 1,5; 3) 2; 4) 2,5; 5) 3.
Вопрос 8. Два игрока одновременно и независимо показывают О, 1, 2 или 3 пальца. Игрок, показавший большее число пальцев, платит другому игроку сумму, равную разности чисел пальцев, показанных им и его соперником. Какова цена такой игры?
Варианты ответов:
1) 3; 2) 2; 3) 1; 4) 0; 5) -1.
Вопрос 9. Два игрока одновременно и независимо показывают 1, 2 или 3 пальца. Пусть s — сумма чисел пальцев, показанных обоими противниками. Если s — нечетное, то игрок 1 платит другому игроку сумму s, если же s — четное, эту сумму выплачивает игрок 2. Чему равна цена такой игры?
Варианты ответов:
1) -1; 2) 0; 3) 1; 4) 1,3; 5) 1,7.
Вопрос 10. Постройте платежную матрицу следующей игры.
Игрок 2 прячет в одном из п мест предмет стоимостью Cj (j = 1,.... n). Игрок 1 ищет этот предмет в одном из п мест, и если находит, то получает с, в противном случае получает 0. Пусть п = 4 и вектор стоимости предметов с = (5, 7, 3, 12). Чему равна цена игры?
Варианты ответов:
1) 1,75; 2) 1,57; 3) 1,32; 4) 1,23; 5) 1,12.
Задачи
Задача 1. По требованию рабочих некоторой компании профсоюз ведет с ее руководством переговоры об организации горячих обедов за счет компании. Профсоюз, представляющий интересы рабочих, добивается того, чтобы обед был как можно более качественным и, следовательно, более дорогим. Руководство компании имеет противоположные интересы. В конце концов стороны договорились о следующем. Профсоюз выбирает одну из шести фирм (Ф1 Ф6), поставляющих горячее питание, а
Вариант
Фирма |
в, |
*2 |
Вг |
*4 |
в5 |
Be |
В~і |
|
Ф. |
2,3 |
4,3 |
3,3 |
2,8 |
5,2 |
2,9 |
3,3 |
|
|
4,2 |
2,2 |
2,7 |
4,2 |
2,2 |
3,7 |
2,7 |
|
*3 |
1,2 |
3,7 |
2,7 |
5,2 |
1,2 |
1,7 |
3,7 |
|
Ф* |
4,2 |
1,7 |
2,2 |
1,4 |
2,9 |
3,2 |
1,2 |
|
Фь |
3,2 |
3,2 |
2,9 |
2,2 |
6,2 |
2,4 |
1,7 |
|
Фе |
1,7 |
4,2 |
2,5 |
3,2 |
4,7 |
2,7 |
2,0 |
руководство компании — набор блюд из семи возможных вариантов (В\ B7). После подписания соглашения профсоюз формирует следующую платежную матрицу, элементы которой представляют стоимость набора блюд: ______
Определите оптимальные стратегии игроков и цену игры.
Вопросы:
1. Чему равна цена игры?
2. Какая фирма наиболее предпочтительна для профсоюза?
3. Какой набор руководство компании считает наиболее «выгодным»?
4. Чему равна нижняя цена игры?
Задача 2. Известный актер обдумывает, где бы ему провести в текущем году отпуск. Он рассматривает шесть возможных вариантов: Монте-Карло (МК), Гавайские острова (Г), Багамские острова (Б), Канарские острова (К), Сочи (С), озеро Байкал (ОБ). Единственный критерий для выбора места отдыха — это стремление избежать встречи с журналистами, которые могут испортить ему отпуск. Если они «выследят» актера, отдых будет испорчен (полезность равна 0). В противном случае все будет, как запланировано (полезность равна 1). Журналисты могут обнаружить актера с такой вероятностью: в Монте-Карло — 0,34; на Гавайских островах — 0,12; на Багамских островах — 0,16; на Канарских островах — 0,4; в Сочи — 0,5; на озере Байкал — 0,2.
Опишите данную ситуацию как игру двух лиц с нулевой суммой (актер — игрок 1). Вычислите цену игры и определите минимаксные стратегии обоих игроков.
Вопросы:
1. Чему равна максимальная ожидаемая полезность отпуска актера?
2. С какой вероятностью актер поедет в отпуск на Байкал?
3. Чему равна верхняя цена игры?
4. В каком из мест наиболее вероятно будет отдыхать актер?
Задача 3. На «Диком Западе» имела место следующая ситуация. Группа из пяти индейцев взяла в осаду лагерь, охраняемый четырьмя белыми. У лагеря два входа: Е\ и Е2. Разведчик белых установил, что перед входом Еі находится как минимум один индеец, а перед входом Е2 — как минимум два индейца. Остальное распределение неизвестно. Командир осажденных может себя и остальных трех человек распределить по E1 и Е2, причем у каждого входа должен быть как минимум один человек. Предполагается, что численно превосходящая (у каждого входа) группа берет в плен всю группу противника без собственных потерь, в то время как при равенстве сил перед каким-либо входом потерь нет с обеих сторон. В качестве платежа (выигрыша) выступает разность числа пленных.
Определите все чистые стратегии обоих противников. Постройте платежную матрицу, считая игроком 1 обороняющуюся сторону. Редуцируйте матрицу, насколько это возможно, и найдите оптимальные стратегии сторон.
Вопросы:
1. С какой частотой белым следует использовать стратегию: расположить по два человека у каждого входа?
2. Кто больше в среднем захватит пленных — белые или индейцы?
3. Какова абсолютная величина разности числа захваченных обеими сторонами пленных?
4. С какой частотой белым следует использовать стратегию:
расположить у первого входа одного, а у второго — трех человек?
5. С какой частотой индейцам следует использовать стратегию:
расположить у первого входа трех, а у второго — двух воинов?
Задача 4. Имеются два предприятия, которые в дополнение к основной продукции могут выпускать побочную продукцию одного и того же назначения — пластмассовые игрушки. Известно, что они могут продавать ее в одном и том же городе. Игрушки немного отличаются по конструкции, оформлению, удобству и т.д. Первое предприятие может выпускать игрушки типа Аь А2,..., Ат; второе — типа B\, В2,..., Вп. Себестоимость и цена игрушек у всех предприятий одинаковы. Всего в течение года продается N игрушек. Если первое предприятие выпускает игрушки типа Аг-, а второе — типа Bj, то первое предприятие продаст rijN игрушек, а второе — (N - rijN). Каждое предприятие стремится получить максимальный доход от продажи игрушек.
Пусть т = 4, п = 5, N= 300 000, цена (равновесная) одной игрушки составляет 20 руб., элементы матрицы {Гу}4=5 представлены в таблице:
Игрушки
^-----предприятия 2
Игрушки предприятия 1 |
|
*2 |
By |
в. |
в5 |
|
А |
0,2 |
0,7 |
0,4 |
0,8 |
0,3 |
|
|
0,8 |
0,5 |
0,1 |
0,3 |
0,7 |
|
Лз |
0,4 |
0,6 |
0,9 |
0,5 |
0,6 |
|
л. |
0,7 |
0,3 |
0,5 |
0,3 |
0,5 |
Сформулируйте игру двух лиц, считая игроком 1 первое предприятие. Определите выигрыш (доход от продажи) каждого предприятия.
Вопросы:
1. Каков общий средний доход первого предприятия?
2. Каков общий средний доход второго предприятия?
3. Какое изделие следует выпускать первому предприятию с наибольшей вероятностью?
4. Какое изделие следует выпускать второму предприятию с наибольшей вероятностью?
5. Какова частота применения стратегии «Выпускать изделие В2»?
Задача 5. Сторона В посылает подводную лодку в один из п регионов. Сторона А, располагая т противолодочными кораблями, стремится обнаружить лодку противника. Сторона B стремится этого избежать. Вероятность обнаружения подводной лодки в j-м регионе одним противолодочным кораблем равнаpj (j = 1,..., n).
Предполагается, что обнаружение лодки каждым кораблем является независимым событием. Сторона А может посылать в различные регионы разное количество кораблей (распределение т кораблей по регионам и есть ее стратегия).
Пусть т = 3, п = 2, р1 = 0,4, р2 = 0,6.
Считая сторону А игроком 1, построите игру и найдите оптимальное распределение противолодочных кораблей по регионам.
Вопросы:
1. Каков средний выигрыш стороны А?
2. С какой частотой стороне А следует посылать в регион 2 три противолодочных корабля?
3. С какой частотой стороне А следует посылать в регион 1 один противолодочный корабль?
4. С какой частотой стороне В следует посылать подводную лодку в регион 2?
Ответы и решения
Ответы на вопросы: 1—4, 2 — 5, 3—2, 4 — 4, 5—2, 6—3, 7 — 3, 8—4, 9—2, 10—2. Задача 1. Решение.
Модель линейного программирования и решение представлены в следующей таблице:
|
Minimize |
1 |
1 |
I |
1 |
1 |
1 |
|
|
|
|
Constraint 1 |
2,3 |
4,2 |
1,2 |
4,2 |
3,2 |
1,7 |
>= |
1 |
7.84E-02 |
|
Constraint 2 |
4,3 |
2,2 |
3,7 |
1,7 |
3,2 |
4,2 |
>= |
1 |
0 |
|
Constraint 3 |
3,3 |
2,7 |
2,7 |
2,2 |
2,9 |
2,5 |
>= |
1 |
-0,248 |
|
Constraint 4 |
2,8 |
4,2 |
5,2 |
1,4 |
2,2 |
3,2 |
>= |
1 |
0 |
|
Constraint 5 |
5,2 |
2,2 |
1,2 |
2,9 |
6,2 |
4,7 |
>= |
1 |
0 |
|
Constraint 6 |
2,9 |
' 3,7 |
1,7 |
3,2 |
2,4 |
2,7 |
>= |
1 |
0 |
|
Constraint 7 |
3,3 |
2,7 |
3,7 |
1,2 |
1,7 |
2 |
>= |
1 |
0 |
|
Solution |
0,196 |
0,131 |
0 |
0 |
0 |
0 |
|
0,327 |
|
Цена игры v = 1/(0,196 + 0,131) = 3,06.
Вероятности выбора фирм Р = (0,6; 0,4; 0; 0; 0; 0).
Вероятности выбора наборов Q = (0,24; 0; 0,76; 0; 0; 0; 0).
Ответы: 1. 3,06. 2. Фь 3. В3 4. 2,3.
Задача 2. Решение.
Матрица игры и решение задачи линейного программирования представлены в следующей таблице:
|
|
MK |
г |
Б |
К |
С |
ОБ |
|
|
|
|
Minimize |
1 |
1 |
1 |
1 |
1 |
1 |
|
|
|
|
MK |
0,66 |
1 |
1 |
1 |
1 |
1 |
>= |
1 |
-0,11 |
|
Г |
1 |
0,88 |
1 |
1 |
1 |
1 |
>= |
1 |
-0,32 |
|
Б |
1 |
1 |
0,84 |
1 |
1 |
1 |
>= |
1 |
-0,24 |
|
К |
1 |
1 |
1 |
0,6 |
1 |
1 |
>= |
1 |
—9.6Е-02 |
|
С |
1 |
1 |
1 |
1 |
0,5 |
1 |
>= |
1 |
—7.7Е-02 |
|
ОБ |
1 |
1 |
1 |
1 |
1 |
0,8 |
>= |
1 |
-0,19 |
|
Solution |
0,11 |
0,32 |
0,24 |
0,096 |
0,077 |
0,19 |
|
1,04 |
|
Цена игры равна 0,96. Частоты использования игроком 1 своих стратегий Р = (0,11; 0,32; 0,24; 0,096; 0,077; 0,19).
Ответы: 1. 0,96. 2. 0,19. 3. 1. 4. На Гавайских островах.
Задача 3. Решение.
Матрица игры имеет вид
Стратегии
индейцев
Стратегии^^.
осажденных |
0,2) |
(1,3) |
0,4) |
(2, 2) |
(2, 3) |
(3, 2) |
|
о, о |
-1 |
-1 |
-1 |
-2 |
-2 |
-2 |
|
0,2) |
0 |
-2 |
-2 |
-1 |
-3 |
-1 |
|
0,3) |
2 |
0 |
-3 |
1 |
-1 |
1 |
|
(2, 1) |
0 |
0 |
0 |
-1 |
-1 |
-3 |
|
(2, 2) |
1 |
-1 |
-1 |
0 |
-2 |
-2 |
|
(3, 1) |
0 |
0 |
0 |
1 |
1 |
-1 |
После исключения доминируемых стратегий матрица примет вид
Стратегии
индейцев
Стратегии
осажденных |
(1,4) |
(3,2) |
|
(1,3) |
-3 |
1 |
|
(3,1) |
0 |
-1 |
После приведения данной матрицы к положительно определенной, решив задачу, получаем: цена исходной игры равна 0, т.е. белые, даже применяя оптимальную стратегию, теряют на одного человека больше (здесь имеет смысл округлить цену игры до ближайшего целого). Другими словами, индейцы берут в плен на одного человека больше.
Оптимальная смешанная стратегия белых: с частотой 0,2 применять стратегию (1, 3) и с частотой 0,8 — стратегию (3, 1). Оптимальная смешанная стратегия индейцев: с частотой 0,4 применять стратегию (1, 4) и с частотой 0,6 — стратегию (3, 2).
Ответы: 1.0. 2. Индейцы. 3.1. 4.0,2. 5.0,6.
Задача 4. Решение.
Данная игра — это игра двух лиц с ненулевой постоянной суммой. Сумма выигрышей обоих игроков при любых сочетаниях стратегий предприятий равна 6 (все числа в матрице выигрышей даны в миллионах). Сведем ее к игре двух лиц с нулевой суммой. Для этого до игры каждому предприятию выплачивается половина постоянной суммы, т.е. 3, а из выигрыша каждого предприятия (из элементов матрицы) вычитается 3. Полученная матрица соответствует игре с нулевой суммой, поэтому достаточно указать в ней только выигрыши одного (первого) предприятия. После необходимых расчетов матрица игры имеет вид
Игрушки
1—^ предприятия 2 Игрушки ч.
предприятия 1 |
Л |
*2 |
|
*4 |
*5 |
|
|
-1,8 |
1,2 |
-0,6 |
1,8 |
-1,2 |
|
|
1,8 |
0 |
-2,4 |
-1,2 |
1,2 |
|
Л3 |
-0,6 |
0,6 |
2,4 |
0 |
0,6 |
|
а4 |
1,2 |
-1,2 |
0 |
—1,2 |
0 |
|
Прибавим к матрице число 3, чтобы все ее элементы были положительными. Матрица задачи и решение показаны в следующей таблице: _ |
|
|
|
Minimize |
1 |
1 |
1 |
I |
|
|
|
|
Ctr 1 |
1,2 |
4,8 |
2,4 |
4,2 |
>= |
1 |
-0,146 |
|
Ctr 2 |
4,2 |
3 |
3,6 |
1,8 |
>= |
1 |
0 |
|
Ctr 3 |
2,4 |
0,6 |
5,4 |
3 |
>= |
1 |
-0,034 |
|
Ctr 4 |
4,8 |
1,8 |
3 |
1,8 |
>= |
1 |
-0,155 |
|
Ctr 5 |
1,8 |
, 4-2 |
3,6 |
3 |
>= |
1 |
0 |
|
Solution |
0,08 |
0,12 |
0,14 |
0 |
|
0,34 |
|
Цена преобразованной игры равна 1/0,34 = 2,94.
Оптимальная смешанная стратегия игрока 1 (частоты использования игроком 1 своих стратегий) Р = (0,23; 0,36; 0,41; 0).
Для игрока 2 оптимальная смешанная стратегия Q = (0,43; 0; 0,1; 0,47; 0). Цена исходной игры с нулевой суммой равна —0,06. Поскольку оба игрока получили по 3 млн руб., общий доход первого предприятия составляет 2,94 млн руб., доход второго предприятия равен 3,06 млн руб.
Ответы: 1. 2,94 млн руб. 2. 3,06 млн руб. 3. Изделие Аъ 4. Изделие B4 5. Частота применения стратегии «Выпускать изделие B2» равна нулю.
Задача 5. Решение.
Стратегии игрока 2: I — послать подводную лодку в регион 1; II — послать подводную лодку в регион
2. Множество стратегий игрока 1: {(0, 3), (1, 2), (2,1), (3, 0)}. Числа в скобках — это количество противолодочных кораблей, посылаемых в каждый из двух регионов.
Вероятность обнаружить подводную лодку в регионе j с помощью k противолодочных кораблей равна (1 - (1 - Pif)- Предположим, что выигрыш игрока 1 равен единице в случае обнаружения подводной лодки и нулю — в противном случае. Тогда матрица игры имеет вид
|
¦—-^.Стратегии игрока 2 |
I |
II |
|
Стратегии игрока 1 |
|
|
|
(0, 3) |
0 |
0,784 |
|
(1,2) |
0,6 |
0,64 |
|
(2, 1) |
0,84 |
0,4 |
|
(3,0) |
0,936 |
0 |
|
Элементы матрицы — средние выигрыши игрока 1 в соответствующих ситуациях. Модель линейного программирования и решение (элементы матрицы увеличены на 1): |
|
|
|
Minimize |
1 |
1 |
1 |
1 |
|
|
|
|
Ctr 1 |
1 |
1,6 |
1,84 |
1,936 |
>= |
1 |
-0,31 |
|
Ctr 2 |
1,784 |
1,64 |
1,4 |
1 |
>= |
1 |
-0,31 |
|
Solution |
0 |
0,566 |
0,051 |
0 |
|
0,62 |
|
Цена игры равна 1/0,62 = 1,61. Цена первоначальной игры равна 1,61 - 1 = =0,61.
Частоты применения стороной А своих стратегий Р = (0; 0,92; 0,08; 0). Сторона В посылает подводную лодку в оба региона с равной вероятностью (0,31-1,61 = 0,5).
Ответы: 1. 0,61, т.е. средний выигрыш равен цене игры.
2. Стороне А не следует посылать в регион 2 три противолодочных корабля.
3. С частотой 0,92.
4. С частотой 0,5.
Глава 11. Нелинейное программирование
В данной главе описываются оптимизационные задачи нелинейного программирования (НЛП), математические модели которых содержат нелинейные зависимости от переменных. Источники нелинейности относятся в основном к одной из двух категорий:
1) реально существующие и эмпирически наблюдаемые нелинейные соотношения, например: непропорциональные зависимости между объемом производства и затратами; между количеством используемого в производстве компонента и некоторыми показателями качества готовой продукции; между затратами сырья и физическими параметрами (давление, температура и т.п.) соответствующего производственного процесса; между выручкой и объемом реализации и др.;
2) установленные (постулируемые) руководством правила поведения или задаваемые зависимости, например: формулы или правила расчета с потребителями энергии или других видов услуг; эвристические правила определения страховых уровней запаса продукции; гипотезы о характере вероятностного распределения рассматриваемых в модели случайных величин; различного рода договорные условия взаимодействия между партнерами по бизнесу и др.
Решать линейные задачи значительно проще, чем нелинейные, и если линейная модель обеспечивает адекватность реальным ситуациям, то ее и следует использовать. В практике экономического управления модели линейного программирования успешно применялись даже в условиях нелинейности. В одних случаях нелинейность была несущественной и ею можно было пренебречь, в других — производилась линеаризация нелинейных соотношений или применялись специальные приемы, например строились так называемые линейные аппроксимационные модели, благодаря чему достигалась требуемая адекватность. Тем не менее имеется большое число ситуаций, где нелинейность является существенной и ее нужно учитывать в явном виде.
Далее приводятся общая модель задачи нелинейного программирования и классы задач НЛП, а также описываются условия оптимальности решения.
После того как вы выполните задания, предлагаемые в этой главе, вы будете уметь определять и использовать для экономического анализа:
• целевую функцию;
• ограничения;
• допустимый план;
• множество допустимых планов;
• модель нелинейного программирования;
где х = (xi, Х2, х„) — вектор переменных задачи.
• оптимальный план.
Вы сможете также:
• определять, является ли функция выпуклой;
• строить функцию Лагранжа задачи НЛП;
• проверять оптимальность полученных решений.
Модели
В общем виде задача НЛП описывается с помощью следующей модели нелинейного программирования:
F(x) -» max, (1)
gj (х) < /=1, т, (2)
х > 0, (3)
Задача (1)—(3) называется задачей нелинейного программирования в стандартной форме на максимум.
Может быть сформулирована также задача НЛП на минимум.
Вектор х = (x:, х2, хп), компоненты х}- которого удовлетворяют ограничениям (2) и (3), называется
допустимым решением или допустимым планом задачи НЛП.
Совокупность всех допустимых планов называется множеством допустимых планов.
Допустимое решение задачи НЛП, на котором целевая функция (1) достигает максимального значения, называется оптимальным решением задачи НЛП.
Возможное местонахождение максимального значения функции F(x) при наличии ограничений (2) и (3) определяется следующим общим принципом. Максимальное значение F(x), если оно существует, может достигаться в одной или более точках, которые могут принадлежать следующим множествам:
~ Кхі> —Iх/,)- (хі> •••> х„) — внутренняя точка множества допустимых планов, в которой все первые частные производные ^00 - 0, j — 1, и},
$2 ~ •••> *«)• ’ *«) — точка границы множества допустимых планов};
~ {(*і> •••> хп); (хн •••> хп \ — точка множества допустимых планов, в которой функция F(x) недифференцируема}.
В отличие от задач линейного программирования, любая из которых может быть решена симплекс-методом, не существует одного или нескольких алгоритмов, эффективных для решения любых нелинейных задач. Какой-то алгоритм может оказаться чрезвычайно эффективным для решения задач одного типа и неудачным для задач другого типа.
Эффективность алгоритма может даже существенно зависеть от постановки задачи, например от изменения масштабов измерения тех или иных переменных. Поэтому алгоритмы разрабатываются для каждого класса (типа) задач. Программы, ориентированные на решение определенного класса задач, как правило, не гарантируют правильность решения любых задач данного класса, и оптимальность решения рекомендуется проверять в каждом конкретном случае.
В экономических приложениях рассматриваются следующие классы задач НЛП.
1. Оптимизация нелинейной функции с ограничениями на неотрицательность значений переменных:
F^) ® тах,
x > 0,
где х = (хі, х2,..., хп) — вектор переменных задачи.
Пусть F(x) — дифференцируемая функция.
Необходимые условия того, что в точке х° достигается максимум функции F(x):
*1 = о
Эх,- ’
дF Эх,
і= 1,
?0, хі
Это означает, что:
3 F
< 0 для х = х° в случае х,° = 0
|
и |
 |
Если F(x) вогнутая функция (для задачи минимизации — выпуклая), то эти условия являются также достаточными.
Функция F(x) с числовыми значениями, определенная на выпуклом множестве точек К, называется вогнутой, если для любой пары точек х1, х2 и для всех чисел X, 0 < X < 1, выполняется неравенство F(kx} + (1 - Х)х2) > МДх1) + (1 - X)F{x2).
Если *(**' + 0 - *)х2) < XF(x‘) + (1 - X)F(x2), то функция F(x) называется выпуклой. Если имеют место строгие неравенства, то говорят, что функция строго вогнута или строго выпукла.
Данное определение вогнутости (выпуклости) годится для любого типа функции. Практически, однако, применять его трудно.
Для дважды дифференцируемой функции F(x) имеет место следующий критерий. Дифференцируемая
|
функция /'(х) строго вогнута в некоторой окрестности точки х следующие условия: |
 |
если выполняются
* = (х$ х?4)>
т.е. если знаки этих определителей чередуются указанным образом.
Здесь rfi (х°) — частная производная второго порядка, вычисленная в точке х°.
Матрица размера п х п, составленная из элементов называется матрицей Хессе (Hesse). По
значениям ее главных миноров можно судить о выпуклости или вогнутости функции. Функция F(x) строго выпукла в малой окрестности точки х0, если все главные миноры ее матрицы Хессе строго положительны. Если имеют место нестрогие неравенства (>), то функция в окрестности точки х0 выпукла. Если при этом главные миноры матрицы Хессе от х не зависят, то функция всюду (строго) выпукла.
Весьма распространены относящиеся к данному типу модели квадратичного программирования, в которых целевая функция F(x) является квадратичной функцией переменных х1, х2, ..., хп. Существует большое число алгоритмов решения такого типа задач, в которых функция F(x) вогнутая (для задач минимизации — выпуклая).
2. Модели выпуклого программирования. К такого рода моделям относятся задачи НЛП (1)—(3), в которых F(x) — вогнутая (выпуклая) функция, a gi(x) — выпуклые функции. При данных условиях локальный максимум (минимум) является и глобальным.
Пусть F(x) и gi(x), i= 1,..., т, — дифференцируемые функции.
Необходимые и достаточные условия оптимальности решения — выполнение условий Куна — Таккера.
т* *
Рассмотрим задачу НЛП (1)—(3) и функцию Лагранжа L (х, А,) = + ;?і — & ^х^‘
Условия Куна — Таккера оптимальности решения х° для задачи максимизации Х(х) имеют вид
Z;.(x0, х9Ь'х.(х°,Х°) = 0, j= 1, ..., п, (5)
?, (x°)-6,.< 0, XlHgi(x°)-bi) = 0, /= 1, ..., т, (6)
х/ > 0, j = 1,
^•°>0, /*1,
(7)
(8)
т,
где ^ ^ ) — частная производная функции Лагранжа по переменной х, при х = х° и X = Х°. Пусть
Х0
максимальное значение F(x) равно F(x0) = F0. Числа i связаны с F следующими соотношениями:
Х°
Из этих соотношений видно, что числа i характеризуют реакцию значения F0 на изменение значения
^0 ^0
соответствующего bi. Например, если i < 0, то при уменьшении bi (в пределах устойчивости i )
Х0

значение F0 увеличится, а i = 0 указывает на несущественность соответствующего ограничения g(x) < bi, которое может быть без ущерба для оптимального решения из системы ограничений исключено. 3. Сепарабельное программирование. Специальный случай выпуклого программирования при условии, что F(x) и все #г(х) — сепарабельные функции, т.е.
Задачи данного вида сводятся к задачам линейного программирования.
4. Дробно-нелинейное программирование. Максимизировать (минимизировать) функцию F(x) = F1(x)/F2(x).
В частном случае, когда в числителе и знаменателе — линейные функции (так называемая задача дробно-линейного программирования), задача сводится к линейной.
5. Невыпуклое программирование. Функция F(x) и (или) какие-либо gi(x) не выпуклы. Надежных методов решения задач такого типа пока не существует.
Примеры
Пример 1. Сколько производить?
3LP = 3?-° ' ВЪ: ’
і = 1, т.
|
Ресурс |
Расход ресурса |
Запас ресурса |
|
на продукт 1 |
на продукт 2 |
|
Сырье 1, т |
3 |
5 |
120 |
|
Сырье 2, т |
4 |
6 |
150 |
|
Трудозатраты, ч |
14 |
12 |
400 |
|
Прибыль единицы продукта, тыс. руб./т |
72 |
103 |
|
Предприятие располагает ресурсами двух видов сырья и рабочей силы, необходимыми для производства двух видов продукции. Затраты ресурсов на изготовление одной тонны каждого продукта, прибыль, получаемая предприятием от реализации тонны продукта, а также запасы ресурсов указаны в следующей таблице:_
Стоимость одной тонны каждого вида сырья определяется следующими зависимостями: (9 + 0,0088гі) тыс. руб. для сырья 1 и (5 - 0,0086r2) тыс. руб. для сырья 2, где r1 и r2 — затраты сырья на производство продукции. Стоимость одного часа трудозатрат определяется зависимостью (1 - 0,0002r, где r — затраты времени на производство продукции.
Вопросы:
1. Сколько продукта 1 следует производить для того, чтобы обеспечить максимальную прибыль?
2. Сколько продукта 2 следует производить для того, чтобы обеспечить максимальную прибыль?
3. Какова максимальная прибыль?
Решение. Пусть x1 — объем выпуска продукта 1 (в тоннах), х2 — объем выпуска продукта 2 (в тоннах). Тогда задача может быть описана в виде следующей модели нелинейного программирования:
і lx, + \6х2 + 0,lx,2 + 0,12х22 + 0,22х,х2 -у шах,
Зх, + 5х2 < 120,
4х, + 6х2 < 150,
14х, + 1 2х2 < 400,
х,,х2>0. _
При использовании программы GINO исходную информацию для решения этой задачи представляем в следующем виде:
MODEL:
1) MAX = 11 *X1 + 16*X2 + 0.1 *X1 *X1 + 0.12 * X2 * X2 +
+ 0.22 * XI * X2 ; .
2) 3*X1 + 5*X2< 120;
3) 4 * XI + 6 * X2 < 150 ;
4) 14 * XI + 12 * X2 < 400 ;
5) XI > 0 ;
6) X2 > 0 ;
END
Получаем следующий результат:
OBJECTIVE FUNCTION VALUE
1) 507.407407
|
VARIABLE |
VALUE |
REDUCED
COST |
|
X! |
16.666667 |
0 |
|
X2 |
13.888889 |
0 |
Ответы: 1. 16,67т. 2.13,89т. 3. 507,407 тыс. руб.
Пример 2. Формирование портфеля ценных бумаг.
Клиент поручил брокерской конторе купить для него на 1 млн руб. акции трех известных ему компаний. Сделка заключается на год. Клиент заинтересован, с одной стороны, в максимизации средней прибыли на вложенный капитал, а с другой — в минимизации риска, поскольку прибыль, получаемая в конце года от акции каждой компании, является величиной случайной. Известно, что чем прибыльнее акция, тем выше связанный с ней риск, поэтому названные критерии являются противоречивыми. Клиенту это обстоятельство разъяснили и попросили его указать относительную значимость («вес») критериев. Клиент, будучи человеком осторожным, высказал пожелание, чтобы риск учитывался с весом втрое большим, чем прибыль. Получив такие указания, сотрудники брокерской конторы сформулировали следующую модель нелинейного программирования:
? Іі: X: — 3 ? С:; X, X. -» ПЫХ,
J j,j= 1 У 1 1 ’
? X: — 1000,
J
Х[>0, j= 1,2,3,
где Х] — объем средств, затраченных на покупку акций типа j (тыс. руб.); m — математическое ожидание процента прибыли от вложения 1 тыс. руб. в акции типа j;
Sjj — дисперсия указанного выше процента прибыли;
S] — ковариация между процентами прибыли от вложения 1 тыс. руб. в акции типа i и j (i Ф j).
Первая сумма в критерии — ожидаемое значение прибыли, обеспечиваемой пакетом акций, вторая — дисперсия прибыли пакета акций, взятая с «весом» 3. Дисперсия прибыли пакета акций служит мерой риска.
Пусть средние значения процентов годовой прибыли от акций компаний составляют соответственно 8, 10 и 13%. Дисперсии оп = 0,1, О22 = 0,15, О33 = 0.19. Ковариации О12 = 0,01, О13 = 0,02, О23 = 0,03. Вопросы:
1. Является ли целевая функция строго вогнутой?
2. Какую сумму следует вложить в покупку акций типа 1?
3. Какую сумму следует вложить в покупку акций типа 3?
Решение. Модель нелинейного (в данном случае — квадратичного) программирования имеет вид F(xu *2, х3) = 0,08х, + O.lxj + 0,13*3 - 0,3лгх2 - 0,45 х22 -- 0,57х| - 0,06х,х2 - 0,12х,х3 - 0,18x2X3 -> шах, х, + *2 + х3 = 1000, х,, Xj, х3 > 0.
Найдем все частные производные второго порядка целевой функции F: F"=-0,6; /?=-0,9; /?=-1,14; /? = -0,06;
Fu = -0,12; F" = -0,18.
Рассчитав значения соответствующих определителей (главных миноров матрицы Хессе), можно убедиться, что выполняются условия (4), откуда следует, что целевая функция строго выпукла для любых значений хь х2, х3 (значения определителей не зависят от значений переменных).
Используя программу GINO, исходную информацию для решения этой задачи представляем в следующем виде:
MODEL:
1) МАХ= 0.08 * Х1 + 0.1 * Х2 + 0.13 * ХЗ - Rl - R2 •
2) R1 = 0.3 * XI * XI + 0.45 * Х2 * Х2 + 0.57 * ХЗ * ХЗ ¦
3) R2 = 0.06 * XI * Х2 + 0.12 * XI * ХЗ + 0.18 * Х2 * ХЗ •
4) XI + Х2 + ХЗ = 1000 ;
5) XI > 0 ;
6) Х2 > 0 ;
7) ХЗ > 0 ;
END
Получаем следующий результат:
OBJECTIVE FUNCTION VALUE
1)-169988.211211
|
VARIABLE |
VALUE |
REDUCED
COST |
|
XI |
496.808739 |
0 |
|
Х2 |
305.263160 |
0 |
|
ХЗ |
197.928101 |
0 |
|
R1 |
138309.250999 |
0 |
|
R2 |
31774.961878 |
0 |
Непосредственной подстановкой полученного решения в условия (5)—(8) можно убедиться, что условия Куна — Таккера выполняются, причем решение обеспечивает глобальный максимум целевой функции, поскольку F строго вогнута.
Ответы: 1. Да, является (при любых значениях переменных).
2. 496,8 тыс. руб. 3. 197,93 тыс. руб.
Пример 3. Производство молочных продуктов.
|
|
|
Продукт |
Коэффициенты выхода продуктов из 1 кг молока |
Максимальный объем суточного производства продуктов, кг |
Цена продукта, руб./кг |
|
фермы 1 |
фермы 2 |
|
Сметана |
0,1 |
0,2 |
75 |
40 |
|
Творог |
0,25 |
0,1 |
100 |
30 |
|
Сыр |
0,1 |
0,08 |
50 . |
100 |
|
Затраты, связанные с приобретением сырья (молока), являются кусочно-линейной функцией |
Молокозавод производит для местного рынка три вида продуктов: сметану, творог и сыр. Молоко поступает ежедневно из двух ферм. Технологические и экономические данные о производимых продуктах приведены в следующей таблице:___
|
закупаемого количества: а) для фермы 1_ |
|
|
|
Количество, кг |
У] ~ о |
Уг = 200 |
у3 = 300 |
О
О
II
„•'Г ^ ! |
у5 = 600 |
|
Затраты, руб. |
0 |
1000 |
1600 |
3000 |
4000 |
|
б) для фермы 2 |
|
|
|
Количество, кг |
-1 = 0 |
12 = 200 |
= 300 |
г4 = 600 |
|
Затраты, руб. |
0 |
800 |
1400 |
3800 |
Вопросы:
1. Какова максимальная ежедневная прибыль молокозавода?
2. Сколько молока следует закупать на ферме 1?
3. Сколько молока следует закупать на ферме 2?
4. Как изменится максимальная прибыль, если максимальное суточное производство сметаны увеличить на 1 кг?
5. Как изменится максимальная прибыль, если максимальное суточное производство творога уменьшить на 2 кг?
Решение. Задача может быть описана с помощью модели линейного программирования.
Пусть х, — количество молока, закупаемого на ферме 1, Х2 — количество молока, закупаемого па ферме
2. Представим х1 и х2 в следующем виде:

нашем случае
Тогда стоимость молока, закупаемого на ферме 1, описывается функцией С,(х,) = 5м, + 6м2 + 7м3 + Юм4 ,
а стоимость молока, закупаемого на ферме 2, — функцией С2(х2) = 4?, + 6?2 + 8?3.
Окончательно модель линейного программирования имеет вид

|
Структура матрицы задачи линейного программирования показана в следующей таблице: |
|
|
|
|
XI |
X2 |
U\ |
U2 |
Ш |
Щ |
VI |
K2 |
n |
|
|
|
Maximize |
21,5 |
19 |
-5 |
-6 |
-7 |
-10 |
-4 |
-6 |
-8 |
|
|
|
Ctr I |
1 |
0 |
-I |
-I |
-1 |
-I |
0 |
0 |
0 |
= |
0 |
|
Ctr 2 |
0 |
1 |
0 |
0 |
0 |
0 |
-1 |
-1 |
-1 |
= |
0 |
|
Ctr 3 |
0,1 |
0,2 |
0 |
0 |
0 |
0 |
0 |
0 |
0 |
<= |
75 |
|
Ctr 4 |
0,25 |
0,1 |
0 |
0 |
0 |
0 |
0 |
0 |
0 |
<= |
100 |
|
Ctr 5 |
0,1 |
0,08 |
0 |
0 |
0 |
0 |
0 |
0 |
0 |
<= |
50 |
|
Ctr 6 |
0 |
0 |
1 |
0 |
0 |
0 |
0 |
0 |
0 |
<= |
200 |
|
Ctr 7 |
0 |
0 |
0 |
1 |
0 |
0 |
0 |
0 |
0 |
<= |
100 |
|
Ctr 8 |
0 |
0 |
0 |
0 |
1 |
0 |
0 |
0 |
0 |
<= |
200 |
|
Ctr 9 |
0 |
0 |
0 |
0 |
0 |
1 |
0 |
0 |
0 |
<= |
100 |
|
Ctr 10 |
0 |
0 |
0 |
0 |
0 |
0 |
1 |
0 |
0 |
<= |
200 |
|
Ctr 11 |
0 |
0 |
0 |
0 |
0 |
0 |
0 |
1 |
0 |
<= |
100 |
|
Ctr 12 |
0 |
0 |
0 |
0 |
0 |
0 |
0 |
0 |
1 |
<= |
300 |
|
Используя для решения этой задачи программу POMWIN, получаем следующий результат: |
|
|
X\ |
XI |
Ul |
Ul |
m |
m |
VI |
V2 |
V3 |
|
|
|
|
Maximize |
21,5 |
19 |
-5 |
-6 |
-7 |
-10 |
-4 |
-6 |
-8 |
|
|
|
|
Ctrl |
1 |
0 |
-1 |
-1 |
-1 |
-1 |
0 |
0 |
0 |
= |
0 |
7 |
|
Ctr 2 |
0 |
.1 |
0 |
0 |
0 |
0 |
-1 |
-1 |
-1 |
= |
0 |
6 |
|
Ctr 3 |
0,1 |
0,2 |
0 |
0 |
0 |
0 |
0 |
0 |
0 |
<= |
75 |
45 |
|
Ctr 4 |
0,25 |
0,1 |
0 |
0 |
0 |
0 |
0 |
0 |
0 |
<= |
100 |
40 |
|
Ctr 5 |
0,1 |
0,08 |
0 |
0 |
0 |
0 |
0 |
0 |
0 |
<= |
50 |
0 |
|
Ctr 6 |
0 |
0 |
1 |
0 |
0 |
0 |
0 |
0 |
0 |
<= |
200 |
2 |
|
Ctr 7 |
0 |
0 |
0 |
1 |
0 |
0 |
0 |
0 |
0 |
<= |
100 |
1 |
|
Ctr 8 |
0 |
0 |
0 |
0 |
1 |
0 |
0 |
0 |
0 |
<= |
200 |
0 |
|
Ctr 9 |
0 |
0 |
0 |
0 |
0 |
1 |
0 |
0 |
0 |
<= |
100 |
0 |
|
Ctr 10 |
0 |
0 |
0 |
0 |
0 |
0 |
1 |
0 |
0 |
<= |
200 |
2 |
|
Ctr 11 |
0 |
0 |
0 |
0 |
0 |
0 |
0 |
1 |
0 |
<= |
100 |
0 |
|
Ctr 12 |
0 |
0 |
0 |
0 |
0 |
0 |
0 |
0 |
1 |
<= |
300 |
0 |
|
Solution |
312,5 |
218,75 |
200 |
100 |
12,5 |
0 |
200 |
18,75 |
0 |
|
8275 |
|
Далее представлена таблица, содержащая границы устойчивости по коэффициентам целевой функции
|
Variable |
Value |
Reduced Cost |
Original Val |
Lower Bound |
Upper Bound |
|
XI |
312,5 |
0 |
21,5 |
13,5 |
39,5 |
|
XI |
218,75 |
0 |
19 |
11,8 |
35 |
|
Ul |
200 |
0 |
-5 |
-7 |
Infinity |
|
Ш |
100 |
0 |
-6 |
-7 |
Infinity |
|
m |
12,5 |
0 |
-7 |
-10 |
-6 |
|
m |
0 |
3 |
-10 |
. —Infinity |
-7 |
|
VI |
200 |
0 |
-4 |
-6 |
Infinity |
|
V2 |
18,75 |
0 |
-6 |
-8 |
-4 |
|
V3 |
0 |
2 |
-8 |
—Infinity |
-6 |
|
Constraint |
Dual Val |
Slack/Surplus |
Original Val |
Lower Bound |
Upper Bound |
|
Ctr 1 |
7 |
0 |
0 |
-187,5 |
12,5 |
|
Ctr 2 |
6 |
0 |
0 |
-81,25 |
18,75 |
|
Ctr3 |
45 |
0 |
75 |
72 |
80 |
|
Ctr 4 |
40 |
0 |
100 |
97,5 |
104,17 |
|
Ctr 5 |
0 |
1,25 |
50 |
48,75 |
Infinity |
|
Ctr 6 |
2 |
0 |
200 |
12,5 |
212,5 |
|
Ctr 7 |
1 |
0 |
100 |
0 |
112,5 |
|
Ctr 8 |
0 |
187,5 |
200 |
12,5 |
Infinity |
|
Ctr 9 |
0 |
100 |
100 |
0 |
Infinity |
|
Ctr 10 |
2 |
0 |
200 |
118,75 |
. 218,75 |
|
Ctr 11 |
0 |
81,25 |
100 |
18,75 |
Infinity |
|
Ctr 12 |
0 |
300 |
300 |
0 |
Infinity |
Границы устойчивости по правым частям ограничении:
Ответы: 1. 8275 руб. 2. 312,5 кг. 3. 218,75 кг. 4. Увеличится на 45 руб. 5. Уменьшится на 80 руб.
Вопросы
Вопрос 1. Дана действительная функция fx), определенная на отрезке действительных чисел S = [0, 100]. Пусть хі и х2 — точки этого отрезка и 0 < 1 ? 1.
Какое из нижеприведенных неравенств является условием выпуклости функции?
Варианты ответов:
1) /(Ах, + (i - ад > хдх{) + (1 - а.)/(*2);
2) А/(х,) + (1 - А)/(х2) >/(XjCj + (1 - А)х2);
3) /(Ах, + (1 — А,)^) ^ А/(х2) + (1 — А)/(х,),
4) А/(х,) + (1 — A)f(fy) > /(Ах, + (1 — А)^);
5) А/(*,) + (1 - А) /(х^) (Ах, + (1 - А)х2).
Вопрос 2. Дана действительная функция _Дх), определенная на отрезке действительных чисел ?=[0, 100].
Пусть x1 и х2 — точки этого отрезка и 0 < 1 < 1.
Какое из нижеприведенных неравенств является условием строгой вогнутости функции?
Варианты ответов:
1) А/ (х,) + (1 - А)/(х2) < /(Ах, + (1 - ад;
2) А/(х,) + (1 - А)/(х2) >/(Ах, + (I - ад;
3) /(Ах2 + (1 - ад < А/(х,) + (I - А)/(х2);
4) АДх,) + (1 - А)/(х2) < /(Lx, + (1 - А)х2);
5) /(Ах2 + (1 - А)х,) > А/(х,) + (1 - А)/(х2).
Вопрос 3. Функция “ 4х, + 8х, + 5х,х2 — Зх,2 — Зх2:
1) выпуклая;
2) строго выпуклая;
3) вогнутая;
4) строго вогнутая;
5) выпуклая и вогнутая.
Вопрос 4. Функция /(Л"і> л2) 3 — 6х, + 13х2:
1) выпуклая;
2) ни выпуклая, ни вогнутая;
3) вогнутая;
4) строго вогнутая;
5) выпуклая и вогнутая.
Вопрос 5. Функция ^хі ’ хз) _ ^х, + Зх2 - 5х2 ВСЮДу:
1) выпуклая;
2) ни выпуклая, ни вогнутая;
3) строго выпуклая;
4) вогнутая:
5) выпуклая и вогнутая.
Вопрос 6. Новая модель скоростного мотоцикла «Улитка» продается предприятием по цене (30 - 2x) тыс. долл. за штуку, где х —количество проданных мотоциклов. Переменные производственные затраты составляют 6 тыс. долл. за штуку, фиксированные затраты — 30 тыс. долл. Максимизируйте прибыль предприятия за неделю.
Предположим, что в результате изменения ставки налога с продаж последний (налог) составил дополнительно 4 тыс. долл. на каждый проданный мотоцикл.
Как изменится оптимальный выпуск мотоциклов по сравнению с начальной ситуацией?
(Решить, используя функцию Лагранжа.)
Варианты ответов:
1) увеличится на 2; 2) уменьшится на 2;
3) не изменится; 4) увеличится на 1;
5) уменьшится на 1.
Вопрос 7. Предположим, что у вас есть 2 недели (14 дней) отпуска, которые вы можете провести на Канарских островах и в Ницце. Пусть ваша функция полезности имеет вид 2KN- 3К2 - 4N2, где К и N — количество дней, которое вы проводите на Канарских островах и в Ницце соответственно.
Сколько дней вы должны провести в Ницце, чтобы максимизировать свою функцию полезности?
(Для решения использовать функцию Лагранжа. Результат округлить до ближайшего целого. Проверить, выполняются ли условия оптимальности Куна — Таккера.)
Варианты ответов:
1) 3; 2) 4; 3) 5; 4) 6; 5) 7.
Вопрос 8. Для задачи вопроса 7 найдите значение двойственной оценки ограничения.
(Результат округлить до ближайшего целого.)
Варианты ответов:
1) 41; 2) 34; 3) 29; 4) 39; 5) 44.
Вопрос 9. Монополист планирует программу производства и реализации продукции на следующий период. Цены: рі = 14 - 0,25x1 (на продукт 1); р2 = 14 - 0,5x2 (на продукт 2), где Хі и Х2 — объемы реализации продуктов. Предположим, что вся произведенная продукция реализуется. Максимальный суммарный объем сбыта — 57.
Каков оптимальный выпуск продукта 2?
Варианты ответов:
1) 36,4; 2) 30,7; 3) 26,3; 4) 20,6; 5) 41,8.
Вопрос 10. Владелец небольшого предприятия располагает на ближайший месяц 100 тыс. руб., которые он может потратить на увеличение основных фондов К (закупку оборудования) по цене 1 тыс. руб за единицу либо на покупку дополнительной рабочей силы L по цене 50 руб./ч. Увеличение готовой продукции, которая может быть продана по 10 тыс. руб. за единицу, определяется производственной функцией F(K, L) = L2/7 К25.
Сколько средств следует потратить на увеличение основных фондов?
Варианты ответов:
1) 74,36 тыс. руб.; 2) 58,33 тыс. руб.; 3) 63,44 тыс. руб.;
4) 45,66 тыс. руб.; 5) 39,77 тыс. руб.
Задачи
Задача 1. Компания «Комуойл» производит на одном из своих заводов три марки неэтилированного бензина А-88, А-92 и А-95 из нефти, добываемой на трех месторождениях: на двух сибирских — тюменском и самотлорском — и на башкирском. Причем из Сибири нефть поступает по трубопроводу в смеси в количестве 250 т в сутки.
|
Нефть |
Октановое число |
Максимальный объем поставок, т в сутки |
Цена, долл./т |
|
Самотлорская |
97 |
^ 250 |
320 |
|
Тюменская |
94 |
270 |
|
Башкирская |
84 |
150 |
250 |
Данные о нефти представлены в следующей таблице:_
|
Марка бензина |
Октановое число |
Минимальный выпуск, т |
Цена, долл./т |
|
А-88 |
88 |
90 |
450 |
|
А-92 |
92 |
70 |
500 |
|
А-95 |
95 |
100 |
550 |
Требуемые характеристики бензина:
Предположим, что других затрат, кроме затрат на покупку сырой нефти, нет. Определите оптимальную (с точки зрения максимума прибыли) суточную производственную программу завода.
Вопросы:
1. Какова максимальная прибыль завода?
2. Каков оптимальный выпуск бензина А-88?
3. Какова доля тюменской нефти в смеси, поступающей из Сибири?
4. Каковы общие затраты?
Задача 2. На кондитерской фабрике «Десерт» вследствие уменьшения спроса на ряд ее изделий освободилась часть производственных мощностей. Чтобы избежать сокращения численности работающих, специалисты фабрики разработали технологию производства двух новых видов шоколадных конфет: шоколадных бочонков с коньяком, получивших название «Братец Иванушка» (БИ), и шоколадных шариков с вишней, названных «Сестрица Аленушка» (СА). Для изготовления любого нового вида конфет должны быть задействованы три производственные линии: производство шоколада, непосредственное изготовление конфет, упаковка и контроль. Первая и третья линии — общие для конфет обоих наименований. Доля шоколада в общем весе одной конфеты БИ составляет 70%, а в конфете СА — 80%. Максимальная мощность линии по изготовлению шоколада (для новой продукции) составляет 250 кг в сутки. Производительность линии по изготовлению конфет БИ — 170 кг в сутки, конфет СА — также 170 кг. Удельные переменные затраты составляют: для конфет БИ — 180 руб./кг, для конфет СА — 150 руб./кг. Предполагается, что все изготовленные в течение суток конфеты будут проданы. В силу своей исключительности новые изделия не испытывают внешней конкуренции, однако они конкурируют друг с другом. В результате проведенного исследования были получены следующие зависимости объемов сбыта от цен:
= 500 - р{ + 0,2р2, *2 = 500 + 0,3рх - р2,
где x1 — произведенное (проданное) в течение суток количество конфет БИ, кг;
х2 — произведенное (проданное) в течение суток количество конфет СА, кг;
р1 — цена конфет БИ, руб./кг;
р2 — цена конфет СА, руб./кг.
Определите производственную программу, при которой суточная прибыль фабрики от производства новой продукции максимальна.
Вопросы:
1. Какова максимальная прибыль фабрики?
2. Каков оптимальный выпуск конфет БИ?
3. Каков оптимальный выпуск конфет СА?
4. Какова оптимальная цена конфет БИ?
5. Какова оптимальная цена конфет СА?
Задача 3. На молочном комбинате помимо других продуктов производится также сырковая масса трех наименований: «Изюминка», «Ваниль» и «Орешек» — жирности соответственно 6, 5 и 3%. В качестве основных исходных продуктов используются творог жирности 8, 7 и 2%, объемы суточных поставок которого составляют по 200 кг каждого вида, и сахар, имеющийся в количестве 70 кг в сутки.
По технологии для получения 1 кг сырковой массы «Изюминка» требуется 30 г сахара, для «Ванили» — 40 г и для «Орешка» — 60 г. Цена сырковой массы «Изюминка» равна 36 руб./кг, «Ванили» — 35 руб./кг, «Орешка» — 33 руб./кг.
Закупочная цена творога 8%-й жирности определяется зависимостью (29 - 0,003x) руб./кг, где х — объем закупки (в кг). Аналогичные зависимости для творога 7%-й жирности (27 - 0,008x) руб./кг и 2%-й жирности (26 - 0,005x) руб./кг.
Минимальный выпуск для «Изюминки» 100 кг, «Ванили» 50 кг, «Орешка» 50 кг.
Постройте производственную программу, максимизирующую общую суточную прибыль.
Вопросы:
1. Какова максимальная прибыль?
2. Каков оптимальный объем производства сырковой массы «Орешек»?
3. Каков оптимальный объем производства сырковой массы «Ваниль»?
|
Металл |
Выход металлов, т, из 1 т руды месторождения |
Средние затраты (на 1 кг металла), тыс. руб./т, месторождения |
Цена, тыс. руб./т |
Мини
мальный
выпуск,
т |
|
1 |
2 |
1 |
2 |
|
Никель |
0,02 |
0,025 |
5 |
6 |
8 |
25 |
|
Медь |
0,03 |
0,02 |
4 |
3,5 |
6 |
25 |
|
Серебро |
0,001 |
0,0008 |
22 |
20 |
30 |
0,8 |
Задача 4. Горно-обогатительная фабрика получает из руды, поступающей из двух месторождений, никель, медь и серебро. Данные о количестве ценных металлов, получаемых из одной тонны руды каждого месторождения, приведены в следующей таблице:_
В течение месяца фабрика перерабатывает не более 1000 т руды. За счет увеличения (уменьшения) затрат можно изменить доли выхода металлов в пределах ±10% по сравнению с приведенными в таблице. Предположим, что удельные затраты после изменения средних (приведенных в таблице) коэффициентов выхода металлов определяются зависимостью с = (2k - 1) с0, где k показывает, во сколько раз изменяется средний выход металла из 1 т руды, а с0 — средние удельные затраты. При этом предполагается, что общие затраты, связанные с изменением нескольких коэффициентов, аддитивны.
Постройте модель нелинейного программирования с учетом возможности изменения коэффициентов выхода металлов. Определите оптимальные значения коэффициентов, обеспечивающих максимум прибыли фабрики.
Вопросы:
1. Какова максимальная прибыль?
2. Каково оптимальное значение коэффициента выхода никеля из руды месторождения 2?
3. Каково оптимальное значение коэффициента выхода меди из руды месторождения 1?
4. Какое количество руды месторождения 2 следует использовать в производстве?
Задача 5. Завод производит два вида высококачественного паркета из дуба, отличающиеся формой и толщиной деталей. Дефицитными ресурсами служат дубовая доска и специальная жидкость для пропитки деталей. Для производства 1 м2 паркета первого вида требуется 0,01 м3 дубовой доски и 0,05 кг жидкости для пропитки. Для производства 1 м2 паркета второго вида потребности в ресурсах составляют соответственно 0,02 м3 и 0,15 кг. Максимальное количество ресурсов за месяц: 20 м3 дубовой доски и 150 кг жидкости для пропитки.
Затраты на единицу первого ресурса (на 1 м3 дубовой доски) составляют (1000 - 3л) руб./м3, где r — объем дубовых досок, использованных в производстве паркета. Затраты на единицу второго ресурса (на 1 кг жидкости для пропитки) составляют (500 - 0,5r2) руб./кг, где r2 — количество использованной в производстве паркета жидкости для пропитки. Предполагается, что других затрат нет. Оба вида паркета могут частично заменять друг друга, поэтому величины спроса на них взаимозависимы. Цена 1 м2 паркета первого вида (руб./м2) определяется зависимостью р\ = 100 - 0,04x1 — 0,01x2, а цена 1 м2 паркета второго вида — зависимостью р2 = 210 - 0,008xi - 0,03x2, где x1, х2 — объемы производства (м2) паркета соответственно первого и второго вида.
В предположении, что весь паркет может быть продан, определите производственную программу завода, обеспечивающую максимум прибыли.
Вопросы:
1. Какова максимальная прибыль предприятия?
2. По какой цене следует продавать паркет первого вида?
3. По какой цене следует продавать паркет второго вида?
4. Какое количество жидкости для пропитки используется в производстве?
5. Каков оптимальный выпуск паркета второго вида?
Задача 6. Данная задача является одним из вариантов задачи формирования портфеля ценных бумаг (см. пример 2).
Клиент поручил брокерской конторе купить для него на 3 млн руб. акции четырех известных ему компаний. Сделка заключается на год. Клиент заинтересован в минимальном риске при условии, чтобы средний процент прибыли, обеспечиваемый портфелем акций к концу года, был не менее 9%. Известно, что средние значения процентов годовой прибыли от акций компаний составляют соответственно 8,5; 13; 9 и 10%.
Дисперсии процентов прибыли: оп = 0,1, О22 = 0,19, О33 = 0,13, О44 = 0,14.
Ковариации: О12 = 0,05, О13 = 0,02, = 0,03, О23 = 0,04, О24 = 0,03, О34 = 0,01.
Вопросы:
1. Чему равна средняя годовая прибыль?
2. На какую сумму следует купить акции компании 1?
3. На какую сумму следует купить акции компании 2?
4. Какова минимальная дисперсия портфеля акций?
Ответы и решения
Ответы на вопросы: 1—4, 2 — 1, 3—4, 4 — 5, 5—2, 6—5, 7—4, 8—2, 9—4, 10—2.
Задача 1. Решение.
Введем обозначения:
SN, TN, BN — количество используемой в производстве нефти самот-лорского, тюменского и башкирского месторождений соответственно;
SbN — количество используемой смеси нефти из сибирских месторождений;
SNm, SN92, SN95 — количество нефти самотлорского месторождения, используемое для производства бензина с октановыми числами 88, 92 и 95 соответственно;
77?88, 77?,2, TN9S — количество нефти тюменского месторождения, используемое для производства бензина с октановыми числами 88, 92 и 95 соответственно;
567V88, SbN92, SbN9S — количество нефти сибирских месторождений, используемое для производства бензина с октановыми числами 88, 92 и 95 соответственно;
fiyVgg, BN92, BN9S — количество нефти башкирского месторождения, используемое для производства бензина с октановыми числами 88, 92 и 95 соответственно;
Л88, Л92, А95 — количество производимого бензина соответствующей
марки;
OSb — октановое число смеси сибирской нефти.
(Количество нефти измеряется в килограммах.)
В данных обозначениях оптимизационная модель нелинейного программирования имеет вид
450Я88 + 500/4,2 + 550/4,5 - 320SN - 27077/- 250BN -> шах,
567V= 57V + TN,
OSb = (97SN + 9477V) / SbN (октановое число смеси сибирской нефти),
(OSb ¦ SbNm + 8457V88) / (567V88 + 57?88) S 88, ) (ограничения на октано-
(OSb- SbN92 + 8457V,2) / (567V,2 + 57V,2) > 92, > вое число производимого
(OSb - SbN95 + 8457V,5) / (567V,5 + 57V,5) > 95 j бензина)>
567V = 567Vgg + 567V,j + 567V,5 ,
57V = 57Vgg + 57V,2 + 57V,,,
^88 = ^88 + *56^88 >
/4,2 = 57V,2 + 567V, 2 ,
/4,5 = 57V,5 + 567V,5 ,
567V <250,
57V < 150,
¦^88 - 90, I ,
/4,2 > 70, > (ограничения на выпуск бензина),
/4И S 100 J
все переменные неотрицательны.
Модель и результаты решения в представлении программы GINO имеют вид
MODEL:
1) МАХ = 450 » А88 + 500 * А92 + 550 * А95 — С ;
2) С = 320 * SN + 270 * TN + 250 » BN ;
3) SBN = SN + TN ;
4) OSB = ( 97 * SN + 94 * TN ) / SBN ;
5) OSB * SBN88 + 84 * BN88 > 88 * ( SBN88 + BN88 );
6) OSB * SBN92 + 84 * BN92 > 92 * ( SBN92 + BN92 );
7) OSB * SBN95 + 84 * BN95 > 95 * ( SBN95 + BN95 );
8) SBN = SBN88 + SBN92 + SBN95 ;
9) BN = BN88 4- BN92 + BN95 ;
10) А88 = BN88 + SBN88 ;
11) А92 = BN92 + SBN92 ;
12) А95 = BN95 + SBN95 ;
END
SLB А88 90.000000
SLB А92 70.000000
SLB А95 100.000000
SLB SN .000000
SLB TN .000000
SUB BN 150.000000
SUB SBN 250.000000
SLB SBN88 .000000
SLB BN88 .000000
SLB SBN92 .000000
SLB BN92 .000000 -
SLB SBN95 .000000
SLB BN95 .000000
OBJECTIVE FUNCTION VALUE
1) 86761.904766
|
VARIABLE |
VALUE |
REDUCED COST |
|
A88 |
|
205.714286 0 |
|
A92 |
70.000000 |
7.142857 |
|
A95 |
124.285714 |
0 |
|
С |
109166.666639 |
0 |
|
SN |
83.333333 |
0 |
Окончание таблицы
|
VARIABLE |
VALUE |
REDUCED COST |
|
TN |
166.666667 |
0 |
|
BN |
150.000000 |
-142.857143 |
|
SBN |
250.000000 |
-263.333337 |
|
OSB |
95.000000 |
0 |
|
SBN88 |
74.805195 |
0 |
|
BN88 |
130.909091 |
0 |
|
SBN92 |
50.909091 |
0 |
|
BN92 |
19.090909 |
0 |
|
SBN95 |
124.285714 |
0 |
|
В N95 |
0 |
52.682151 |
Ответы: 1.86 761,9 долл. 2.205,7т. 3.0,66. 4.109 167 долл.
Задача 2. Решение.
Модель имеет вид
/)|Х| + PjX2 - 180х, - 150х2 -> шах,
„ _ . „ 0 „ (ограничение на мощность линии по производству шо-
0,7.?, + 0,8х2 < 250 ?К0Рлада)>
х, = 500 - рх + 0,2р2, х2 = 500 + О.Зр, - р2, х, <170, х2< 170,
Х|, Х2, р{, р2 > 0.
Модель и результаты решения в представлении программы GINO имеют вид
MODEL:
1) МАХ= PI * XI + Р2 * Х2 - 180 * XI - 150 * Х2 ;
2) 0.7* XI + 0.8 * Х2 < 250 ;
3) XI = 500 - Р1 + 0.2 * Р2 ;
4) Х2 = 500 + 0.3 * PI - Р2 ;
5) XI > 0 ;
6) Х2 > 0 ;
7) РІ >0;
8) Р2 > 0 ;
END
SUB XI 170.000000 SUB Х2 170.000000
Получаем следующее решение:
OBJECTIVE FUNCTION VALUE 1) 93003.779091
|
VARIABLE |
VALUE |
REDUCED COST |
|
Р1 |
428.875383 |
0 |
|
XI |
162.857143 |
0 |
|
Р2 |
458.662620 |
0 |
|
Х2 |
170.000000 |
-68.740667 |
Ответы: 1. 93 тыс. руб. 2. 163 кг. 3. 170 кг. 4. 429 руб. 5. 459 руб.
Задача 3. Решение.
Введем обозначения:
Мв, М5, М} — произведенное количество сырковой массы «Изюминка», «Ваниль» и «Орешек» соответственно;
Tg, Т7, Т2 — количество использованного в производстве творога жирности 8, 7 и 2% соответственно;
Tg$, TgS, Tg} — количество творога жирности 8%, использованного для получения сырковой массы «Изюминка», «Ваниль» и «Орешек» соответственно;
Т16, Т15, Т73 — количество творога жирности 7%, использованного для получения сырковой массы «Изюминка», «Ваниль» и «Орешек» соответственно;
Т26, Т2І, Т23 — количество творога жирности 2%, использованного дтя получения сырковой массы «Изюминка», «Ваниль» и «Орешек» соответственно.
(Количество сырковой массы и творога измеряется в килограммах.) В указанных обозначениях модель имеет вид
36М6 + 35М5 + 33М3 - (29 - 0,003 Tg )Г8 - (27 - 0,008 Т7 )Т7 -— (26 - 0,005Т2 )Г2 -> шах,
ТЙ = 7І6 + Ті5 + TS3,
Т7 = Тп + Тп + Т13, т2 — т26 + T2S + т23,
Щ = ТІ6 + тп + тп + °,03 М6, щ = ті5 + Т75 + Т25 + 0,04м»
М3 = Тіз + Т13 + Т23 + 0,06М3,
(ограничения на процент жирности конечных продуктов),
0,03М, + 0ЛАМ, + 0,06М, < 70 (ограничение на количество используемого 0 3 5 ' сахара),
М5 > 50, > (ограничения на минимальный выпуск),
М3 > 50 J
Tg < 200, "j
Т7 < 200, > (ограничения на ресурсы творога),
Г, < 200 J все переменные неотрицательны.
Модель и результаты решения в представлении программы GINO имеют вид
Определим динамику роста совокупных затрат для наиболее раннего времени начала всех работ
Неделя
Работа |
1 |
2 |
3 |
4 |
5 |
6 |
7 |
8 |
9 |
10 |
11 |
12 |
13 |
14 |
15 |
|
А |
18 |
18 |
18 |
18 |
18 |
|
|
|
|
|
|
|
|
|
|
|
В |
8 |
8 |
|
|
|
|
|
|
|
|
|
|
|
|
|
|
С |
|
|
|
|
|
1 |
1 |
1 |
|
|
|
|
|
|
|
|
D |
|
|
|
|
|
25 |
25 |
25 |
25 |
|
|
|
|
|
|
|
Е |
|
|
|
|
|
2 |
2 |
2 |
|
|
|
|
|
|
|
|
F |
|
|
|
|
|
|
|
|
1 |
1 |
|
|
|
|
|
|
G |
|
|
|
|
|
|
|
|
|
20 |
20 |
20 |
|
|
|
|
Н |
|
|
|
|
|
|
|
|
10 |
10 |
10. |
|
|
|
|
|
I |
|
|
|
|
|
|
|
|
|
|
|
2 |
2 |
|
|
|
J |
|
|
|
|
|
|
|
|
|
|
|
|
|
1 |
1 |
|
Недельные затраты, тыс. руб. |
26 |
26 |
18 |
18 |
18 |
28 |
28 |
28 |
36 |
31 |
30 |
22 |
2 |
1 |
1 |
|
Общие затраты, тыс. руб. |
26 |
52 |
70 |
88 |
106 |
134 |
162 |
190 |
226 |
257 |
287 |
309 |
311 |
312 |
313 |
Определим динамику роста совокупных затрат для наиболее позднего времени начала всех работ:
^\Неделя
Работа |
1 |
2 |
3 |
4 |
5 |
6 |
7 |
8 |
9 |
10 |
11 |
12 |
13 |
14 |
15 |
|
А |
18 |
18 |
18 |
18 |
18 |
|
|
|
|
|
|
|
|
|
|
|
В |
|
|
|
|
|
|
8 |
8 |
|
|
|
|
|
|
|
|
С |
|
|
|
|
|
|
|
|
1 |
1 |
1 |
|
|
|
|
|
D |
|
|
|
|
' |
|
25 |
25 |
25 |
25 |
|
|
|
|
|
|
Е |
|
|
|
|
|
2 |
2 |
2 |
|
|
|
|
|
|
|
|
F |
|
|
|
|
|
|
|
|
|
|
|
1 |
1 |
|
|
|
G |
|
|
|
|
|
|
|
|
|
|
20 |
20 |
20 |
|
|
|
Н |
|
|
|
|
|
|
|
|
10 |
10 |
10 |
|
|
|
|
|
I |
|
|
|
|
|
|
|
|
|
|
|
2 |
2 |
|
|
|
J |
|
|
|
|
|
|
|
|
|
|
|
|
|
1 |
1 |
|
Недельные затраты, тыс. руо. |
18 |
18 |
18 |
18 |
18 |
2 |
35 |
35 |
36 |
36 |
31 |
23 |
23 |
1 |
1 |
|
Общие затраты, тыс. руб. |
18 |
36 |
54 |
72 |
90 |
92 |
127 |
162 |
198 |
234 |
265 |
288 |
311 |
312 |
313 |
MODEL:
1) MAX = A1 - A2 - АЗ - A4 ;
2) A1 = 36 * M6 + 35 * M5 + 33 * М3 ;
6) T8 = T86 + T85 + T83 ;
7) T7 = T76 + T75 + T73 ;
8) T2 = T26 + T25 + T23 ;
9) Z6 = T86 + T76 + T26 ;
10) Z5 = T85 + T75 + T25 ;
11) Z3 = T83 + T73 + T23 ;
12) M6 = Z6 + 0.03 * M6 ;
13) M5 = Z5 + 0.04 * M5 ;
14) М3 = Z3 + 0.06 * М3 ;
15) 8 * T86 + 7 * T76 + 2 * T26 = 6 * Z6 ;
16) 8 * T85 + 7 * T75 + 2 * T25 = 5 * Z5 ;
17) 8 * T83 + 7 * T73 + 2 * T23 = 3 * Z3 ;
18) 0.03 * M6 + 0.04 * M5 + 0.06 * М3 < 70
19) T26 > 0 ;
20) T25 > 0 ;
21) T23 > 0 ;
22) T86 > 0 ;
23) T85 > 0 ;
24) T83 > 0 ;
25) T76 > 0 ;
26) T75 > 0 ;
27) T73 > 0 ;
END
SLB M6 100.000000 SLB M5 50.000000 SLB М3 50.000000 SUB. T8 200.000000 SUB T7 200.000000 SUB T2 200.000000
Получаем следующее решение: OBJECTIVE FUNCTION VALUE
1) 6175.062247
|
VARIABLE |
VALUE |
REDUCED COST |
|
А1 |
22135.062136 |
0 |
|
А2 |
5879.999900 |
0 |
|
АЗ |
5079.999985 |
0 |
|
А4 |
5000.000004 |
0 |
|
Мб |
509.278340 |
0 |
|
М5 |
61.458340 |
0 |
|
М3 |
50.000000 |
. .039308 |
|
Т8 |
199.999997 |
-9.623535 |
|
Т7 |
200.000000 |
-13.968469 |
|
Т2 |
200.000000 |
-10.493134 |
|
Т86 |
192.166663 |
0 |
|
Т85 |
0 |
0 |
|
Т83 |
7.833333 |
0 |
|
Т76 |
164.599996 |
. 0 |
|
Т75 |
35.400004 |
0 |
|
Т73 |
0 |
0 |
|
Т26 |
137.233331 |
0 |
|
Т25 |
23.600003 |
0 |
|
Т23 |
39.166667 |
0 |
|
Z6 |
493.999990 |
0 |
|
Z5 |
59.000007 |
. 0 |
|
Z3 |
47.000000 |
0 |
ния соответственно;
Ответы: 1. 6175 руб. 2. 50 кг. 3. 61,5 кг.
Задача 4. Решение.
Введем обозначения:
Х|, Х2 — количество переработанной руды первого и второго месторожде
4 . 4 — коэффициенты изменения выхода никеля для руды первого и вто' рого месторождения соответственно;
4 > 4 — коэффициенты изменения выхода меди для руды первого и второго месторождения соответственно;
4,4 — коэффициенты изменения выхода серебра для руды первого и второго месторождения соответственно.
Выручка от переработки руды первого месторождения:
(0,024 • 8 + 0,034 • 6 + 0,001^- 30) X,.
Выручка от переработки руды второго месторождения:
(0,025^ • 8 + 0,024. • 6 + 0,00084 • 30) х2.
Затраты, связанные с использованием руды первого месторождения:
[0,024 • 5(2JtN'i - 1) + 0,034 • 4(24 - О + 0.00*4 • 22(24 - I)J х,.
Затраты, связанные с использованием руды второго месторождения:
[0,025^ • 6(24 - !) + 0,024 • 3,5(24 - 1) + 0,00084 • 20(24 - 1)] х2.
Прибыль, получаемая в результате переработки руды первого месторождения:
Р{ = [0,024 (13 - 104) + 0,034(10 - 84) + 0,0014(52 “ 444)1 *і-
Прибыль, получаемая в результате переработки руды второго месторождения:
Рг = [0,0254 (14 - 124) + 0,024(9,5 - 74) + 0,00084(50 - 404)[ х2.
Модель нелинейного программирования имеет вид
Р, + P2 -» max, х, + х2 ? 1000,
0,02*4 х, + 0,025*4 *2 * 25> 0,03*4 JC, + 0,02*4 *2 * 25> 0,001*4*, + 0,0008*4*2 s °>8> 0,9 <4.4 SU,
0,9 < *4 , *4 * и,
0,9<4г,*а^М,
X,, х2 > 0.
Модель и результаты решения в представлении программы GINO имеют вид
MODEL:
1) МАХ = PI +Р2 ;
2) Р1 = Р11 + Р12 + Р13 ;
3) Р11 = (0.02* KNI1 * ( 13- 10* KNI1)) *хі ;
4) Р12 = ( 0.03 * KCU1 * ( 10 — 8 * КСШ )) * XI ;
5) Р13 = ( 0.001 * KAR1 * ( 52 - 44 * KAR1 )) * XI ;
6) Р2 = Р21 + Р22 + Р23 ;
7) Р21 = ( 0.025 * KNI2 * ( 14 - 12 * KNI2 )) * Х2 ;
8) Р22 = ( 0.02 * KCU2 * ( 9.5 - 7 * KCU2 )) * Х2 ;
9) Р23 = ( 0.0008 * KAR2 * ( 50 - 40 * KAR2 )) * Х2 ;
10) XI + Х2 < 1000 ;
11) 0.02 * KNI1 * XI + 0.025 * KNI2 * Х2 > 25 ;
12) 0.03 * КСШ * XI + 0.02 * KCU2 * Х2 > 25 ;
13) 0.001 * KAR1 * XI + 0.0008 * KAR2 * Х2 > 0.8 ;
14) XI > 0 ;
15) Х2 > 0 ;
END
SUB
SLB
SUB
SLB
SUB
SLB
SUB
SLB
SUB
SLB
SUB
SLB KNI1 .900000 KNI1 1.100000 КСШ .900000 КСШ 1.100000 KAR1 .900000 KAR1 1.100000 KNI2 .900000
KNI2 1.100000 KCU2 .900000 KCU2 1.100000 KAR2 .900000 KAR2 1.100000
Получаем следующее решение: OBJECTIVE FUNCTION VALUE
|
VARIABLE |
VALUE |
REDUCED COST |
|
PI |
54.500745 |
0 |
|
P2 |
40.608347 |
0 |
|
Pll |
19.999426 |
0 |
|
P12 |
29.428736 |
0 |
|
P13 |
5.072583 |
0 |
|
KNI1 |
1.100000 |
-63.763038 |
|
XI |
454.532464 |
0 |
|
KCU1 |
.972640 |
0 |
|
KAR1 |
.900000 |
12.363482 |
|
‘ P21 |
12.001175 |
0 |
|
P22 |
23.108860 |
0 |
|
P23 |
5.498313 |
0 |
1) 95.109092
Окончание таблицы
|
VARIABLE |
VALUE |
REDUCED COST |
|
KNI2 |
1.099995 |
-49.286828 |
|
X2 |
545.467536 |
0 |
|
KCU2 |
1.075875 |
-.000027 |
|
KAR2 |
.900000 |
9.600402 |
Ответы: 1. 95,1 тыс. руб. 2. 1,1. 3. 0,973. 4. 545,5 т.
Задача 5. Решение.
Модель и результаты решения в представлении программы GINO имеют вид
MODEL:
!) МАХ = PI * XI + Р2 * Х2 - Cl - С2 ;
2) Р1 = 100 - 0.04 * XI - 0.01 * Х2 ;
3) Р2 = 210 - 0.008 * XI - 0.03 * Х2 ;
4) R1 =0.01 *Х1 + 0.02 *Х2 ;
5) R2 = 0.05 * XI + 0.15 * Х2 ;
6) С1 = ( 1000 - 3 * R1) * R1 ;
7) С2 = ( 500 - 0.5 * R2 ) * R2 ;
8) R1 < 20 ;
9) R2 < 150 ;
10) XI > 0 ;
11) Х2 > 0 ;
END
Получаем следующее решение:
OBJECTIVE FUNCTION VALUE
1)99073.977899
|
VARIABLE |
VALUE |
REDUCED COST |
|
PI |
82.782324 |
0 |
|
XI |
206.219319 |
0 |
|
P2 |
181.443535 |
0 |
|
X2 |
896.890363 |
0 |
|
Cl |
18800.000000 |
0 |
|
C2 |
61932.294601 |
0 |
|
R1 |
20.000000 |
0 |
|
R2 |
144.844526 |
0 |
Ответы: 1. 99 074 руб. 2. 82,78 руб./м2. 3. 181.44 руб./м2. 4. 144,84 кг. 5. 897 м2. Задача 6. Решение.
Sji, для i Ф j. В
Пусть Xj — объем средств, затраченных на покупку акций типа j (тыс. руб.), щ указанных обозначениях модель имеет вид 0,1т,2 + 0,1 9дг22 + 0,13л-,2 + 0,1 4дг42 + 2(0,05*,*2 + 0,02л'Л + 0,03*,х4 +
+ 0,04*2X3 + 0,03*3X4+ 0,01*з*4) min,
*,+ *2 + *3 + *4 = 3000 (ограничение на количество вкладываемых средств),
(ограничение на минимальный процент прибыли портфеля акций),
(0,085*, + 0,13*2 + 0,09*з + 0,1*4) / 3000 > 0,09 *,, *2, *3, *4 > 0.
Модель и результаты решения в представлении программы GINO имеют вид
MODEL:
1) MIN = Rll + R12 + 2 * R2 + 2 * R3 ;
2) Rll = 0.1 * XI * XI + 0.19 * X2 * X2 ;
3) RI2 = 0.13 * X3 * X3 + 0.14 * X4 * X4 ;
4) R2 = 0.05 * XI * X2 + 0.02 * XI * X3 + 0.03 * XI * X4 ;
5) R3 = 0.04 * X2 * X3 + 0.03 * X2 * X4 + 0.01 * X3 * X4 ;
6) Z = 0.085 * XI + 0.13 * X2 + 0.09 * X3 + 0.1 * X4 ;
7) Z / 3000 > 0.09 ;
8) XI + X2 + X3 + X4 = 3000 ;
9) XI > 0 ;
10) X2 > 0 ;
11) X3 > 0 ;
12) X4 > 0 ;
END
Получаем следующее решение:
OBJECTIVE FUNCTION VALUE
1)475780.187947 _ |
|
|
|
VARIABLE |
VALUE |
REDUCED COST |
|
R11 |
119831.212814 |
0 |
|
R12 |
198866.483407 |
0 |
|
R2 |
56614.790915 |
0 |
|
R3 |
21926.454947 |
0 |
|
XI |
1043.264210 |
0 |
|
Х2 |
240.516879 |
0 |
|
хз |
924.543732 |
0 |
|
Х4 |
791.675179 |
0 |
|
г |
282.321110 |
0 |
Ответы: 1. 282 тыс. руб. 2. 1043 тыс. руб. 3. 240 тыс. руб. 4. 475 780.
Глава 12. Модели управления запасами
Возникновение теории управления запасами можно связать с работами Ф. Эджуорта и Ф. Харриса, появившимися в конце XIX — начале XX века, в которых исследовалась простая оптимизационная модель для определения экономичного размера партии поставки для складской системы с постоянным равномерным расходом и периодическим поступлением хранимого продукта.
Запасом называется любой ресурс, который хранится для удовлетворения будущих нужд. Примерами запасов могут стать полуфабрикаты, готовые изделия, материалы, различные товары, а также денежная наличность, находящаяся в хранилище.
Существуют причины, побуждающие фирмы создавать запасы:
1) дискретность поставок при непрерывном потреблении;
2) упущенная прибыль в случае отсутствия запаса;
3) случайные колебания:
а) спроса за период между поставками;
б) объема поставок;
в) длительности интервала между поставками;
4) предполагаемые изменения конъюнктуры:
а) сезонность спроса;
б) сезонность производства.
Существуют также причины, побуждающие предприятия стремиться к минимизации запасов на складах:
1) плата за хранение запаса;
2) физические потери при хранении;
3) моральный износ продукта.
После того как вы выполните задания, предлагаемые в этой главе, вы будете уметь формулировать и использовать для экономического анализа следующие понятия:
• запас;
• заказ;
• издержки выполнения заказа (издержки заказа);
• издержки хранения;
• упущенная прибыль (издержки дефицита);
• срок выполнения заказа;
• точка восстановления.
Модели
Существует проблема классификации имеющихся в наличии запасов. Для решения этой задачи используется методика административного наблюдения. Цель ее заключается в определении той части запасов фирмы, которая требует наибольшего внимания со стороны отдела снабжения. Для этого каждый компонент запасов рассматривается по двум параметрам:
1) его доля в общем количестве запасов фирмы;
2) его доля в общей стоимости запасов.
Методика 20/80. В соответствии с этой методикой компоненты запаса, составляющие 20% его общего количества и 80% его общей стоимости, должны отслеживаться отделом снабжения более внимательно.
Методика АВС. В рамках этой методики запасы, имеющиеся в распоряжении предприятия, разделяются на три группы: А, В и С.
Группа А: 10% общего количества запасов и 65% их стоимости;
В: 25% общего количества запасов и 25% их стоимости;
С: 65% общего количества запасов и около 10% их стоимости.
Именно наименьшая по объему и наиболее ценная часть запасов может стать предметом особого контроля и математического моделирования.
Необходимо отметить, что классификация запасов может быть основана не только на показателях доли в общей стоимости и в общем количестве. Некоторые виды запасов могут быть причислены к более высокому классу на основании таких характеристик, как специфика поставок, качество и т.д. Преимущество методики деления запасов на классы заключается в том, что для каждого из них можно выбрать свой порядок контроля и управления.
Отметим некоторые моменты политики управления запасами, классификация которых проведена на основе АВС-анализа.
1. Запасы группы А требуют более внимательного и частого проведения инвентаризации; правильность учета запасов этой группы должна подтверждаться чаще.
2. Планирование и прогнозирование запасов группы А должно характеризоваться большей степенью точности, нежели планирование запасов групп В и С.
3. Для группы А нужно стараться создать страховой запас, чтобы избежать больших расходов, связанных с отсутствием запасов этой группы.
4. Методы и приемы управления запасами, рассмотренные далее, должны применяться прежде всего к группам А и В. Что касается запасов группы С, обычно момент возобновления заказа по ним определяют исходя из конкретных условий, а не на основе количественного метода, чтобы свести к минимуму расходы на их контроль.
Рассмотрим основные понятия теории управления запасами.
Издержки выполнения заказа (издержки заказа) — накладные расходы, связанные с оформлением заказа. В промышленном производстве такими издержками являются затраты на переналадку оборудования и подготовительные операции.
Издержки хранения — расходы, связанные с физическим содержанием товаров на складе, плюс возможные проценты на капитал, вложенный в запасы. Обычно они выражены в абсолютных единицах или в процентах от закупочной цены и связаны с определенным промежутком времени.
Упущенная прибыль (издержки дефицита) — издержки, связанные с неудовлетворенным спросом, возникающим из-за отсутствия продукта на складе.
Совокупные издержки за период представляют собой сумму издержек заказа, издержек хранения и упущенной прибыли. Иногда к ним прибавляются издержки на закупку товара.
Срок выполнения заказа — время с момента заказа до момента его выполнения.
Точка восстановления — уровень запаса, при котором делается новый заказ.
I. Детерминированные модели
1. Простейшая модель оптимального размера заказа.
Предположим, что:
1) темп спроса на товар известен и постоянен;
2) получение заказа мгновенно;
3) закупочная цена не зависит от размера заказа;
4) дефицит не допускается.
Исходные данные: темп спроса, издержки заказа, издержки хранения.
Результат: оптимальный размер заказа, время между заказами, количество заказов за фиксированный период времени, совокупные издержки.
Размер заказа является постоянным. Заказ выполняется мгновенно. Уровень запасов убывает с постоянной интенсивностью, пока не достигает нулевого значения. В этот момент времени делается и мгновенно выполняется заказ и уровень запаса восстанавливается до максимального значения. При этом оптимальным решением задачи будет такой размер заказа, при котором минимизируются общие издержки за период, равные сумме издержек хранения и издержек заказа.
Динамика изменения количества продукта 5 на складе показана на рис. 1.

Пусть Q — размер заказа;
Т — продолжительность периода планирования;
D, d — величина спроса за период планирования и в единицу времени соответственно; К — издержки одного заказа;
Н, h — удельные издержки хранения за период и в единицу времени соответственно. Тогда:
С, - ~qK — издержки заказа за период планирования;
С2 = -уЯ — издержки хранения за период планирования;
|
С = С, + С2 = -у Я + у-Я — совокупные издержки |
 |
|
Определив минимум |
 |
функции совокупных издержек, получаем: — оптимальный размер заказа;

— оптимальное число заказов за период;
t=zJl=JL
d N — время цикла (оптимальное время между заказами).
Следует обратить внимание на то, что оптимальный размер заказа не зависит от цены продукта.
2. Модель оптимального размера заказа с фиксированным временем его выполнения.
Предположим, что:
1) темп спроса на товар известен и постоянен;
2) время выполнения заказа известно и постоянно;
3) закупочная цена не зависит от размера заказа;
4) дефицит не допускается.
Исходные данные: темп спроса, издержки заказа, издержки хранения, время выполнения заказа.
Результат: оптимальный размер заказа, время между заказами, точка восстановления запаса, количество заказов за фиксированный период времени, совокупные издержки.
Размер заказа является постоянным. Время выполнения заказа постоянно. Уровень запасов убывает с постоянной интенсивностью, пока не достигает точки восстановления R. В этот момент делается заказ, который выполняется за время L. К моменту поступления заказа размер запаса на складе равен нулю. Оптимальным решением задачи будет такой размер заказа Q*, при котором минимизируются общие издержки за период, равные сумме издержек хранения и издержек заказа.
Динамика изменения количества продукта s на складе показана на рис. 3.
Пусть Q — размер заказа;
Т — продолжительность периода планирования;
D, d — величина спроса за период планирования и в единицу времени соответственно; К — издержки одного заказа;
Н, h — удельные издержки хранения за период и в единицу времени соответственно;
L — время выполнения заказа. Тогда:
У — издержки заказа за период планирования;
0_ н
2 — издержки хранения за период планирования;
с=~к+-?-н
совокупные издержки;


|
R = dL |
 |
Н — оптимальный размер заказа; точка восстановления запаса;
— оптимальное число заказов за период;
t=tSLJL.
d N — время цикла (оптимальное время между заказами).
Кривые издержек заказа С\, издержек хранения С2 и совокупных издержек С показаны на рис. 2.
3. Модель оптимального размера заказа с производством.
Предположим, что:
\) темп спроса на товар известен и постоянен;
2) темп производства товара известен и постоянен;
3) время выполнения заказа известно и постоянно;
4) закупочная цена не зависит от размера заказа;
5) дефицит не допускается.
Исходные данные: темп спроса, темп производства, издержки заказа, издержки хранения, время выполнения заказа.
Результат: оптимальный размер заказа, время между заказами, точка восстановления запаса.
Фирма производит продукт самостоятельно, хранит его на складе и расходует с постоянным темпом. Если темп производства выше темпа спроса, то излишки продукта накапливаются на складе. Когда количество продукта на складе достигает максимального значения, производство прекращается и продукт расходуется со склада с постоянным темпом. Когда запас на складе достигает точки восстановления, производство возобновляется. При этом оптимальным решением задачи будет такой размер заказа Q*, при котором минимизируются общие издержки за период, равные сумме издержек хранения и издержек на возобновление (запуск) производства.
Динамика изменения количества продукта s на складе показана на рис. 4, где tg a = р - d, tg b = d.
Пусть Q — размер заказа; р —темп производства;
Т — продолжительность периода планирования;
D, d — величина спроса за период планирования и в единицу времени соответственно; К — фиксированные издержки на запуск производства;
Н, h — удельные издержки хранения за период и в единицу времени соответственно;
L — время, необходимое для запуска производства. Тогда:
У — издержки на запуск производства;
Ц-н( 1 —
L ' Р ' — издержки хранения;
оптимальный размер заказа; оптимальный максимальный уровень запасов;
Ч'-тУті'-т)
R = dL— точка восстановления;


— оптимальное число заказов за период;
t=®=L
d N— время цикла (оптимальное время между заказами).
В этой модели оптимальный размер заказа также не зависит от цены продукта.
4. Модель оптимального размера заказа с дефицитом.
Предположим, что:
1) темп спроса на товар известен и постоянен;
2) время выполнения заказа известно и постоянно;
3) закупочная цена не зависит от размера заказа.
Исходные данные: темп спроса, издержки заказа, издержки хранения, издержки дефицита.
Результат: оптимальный размер заказа, время между заказами, точка восстановления запаса, совокупные издержки.
Размер заказа является постоянным. Уровень запасов убывает с постоянной интенсивностью. Допускается дефицит продукта. После получения заказа фирма компенсирует дефицит и восстанавливает запас продукта на складе. Заказ делается тогда, когда дефицит продукта на складе достигает оптимального размера. Оптимальным решением задачи будет такой размер заказа Q*, при котором минимизируются общие издержки за период, равные сумме издержек хранения, издержек заказа и издержек дефицита.
Динамика изменения количества продукта s на складе показана на рис.5.
Т — продолжительность периода планирования;
D, d — величина спроса за период планирования и в единицу времени соответственно;
К — издержки одного заказа;
Н, h — удельные издержки хранения за период и в единицу времени соответственно;
В, b — упущенная прибыль, возникающая вследствие дефицита одной единицы продукта, за период и в единицу времени соответственно;
S — максимальный запас продукции;
L — время выполнения заказа.
Тогда:
-§-*
U — издержки заказа за период планирования;
_Slff 20 И
^ — издержки хранения за период планирования;
(Q~S)2n ,
—2Q В — издержки дефицита за период планирования;

совокупные издержки;
2Q
с=±к+?н+ Щ^2в -
2 DK В +H
2 dK b + h
<2* =
— оптимальный размер
заказа; S* =
I 2 DK
І~Н~
2 DK В
2 dK
— оптимальный макси-
h b+h
мальный размер запаса;
б* — S* — оптимальный максимальный дефицит; R= dL — точка восстановления запаса.
5. Модель оптимального размера заказа с количественными скидками.
Предположим, что:
1) темп спроса на товар известен и постоянен;
2) время выполнения заказа известно и постоянно.
Исходные данные: темп спроса, издержки заказа, издержки хранения, цена товара, количественные скидки в случае закупки крупных партий товара.
Результат: оптимальный размер заказа, время между заказами, точка восстановления запаса, количество заказов за фиксированный период времени, совокупные издержки.
Пусть Q — размер заказа;
T — продолжительность периода планирования;
D, d —величина спроса за период планирования и в единицу времени соответственно;
К — издержки одного заказа;
Н, h — удельные издержки хранения за период и в единицу времени соответственно.
Предположим, что известны числа сг-, аг-, i = 1, ..., п, где сі— цена продукта при размере заказа Q в интервале ai-1 < Q < аі. Будем считать, что а0 = 0 и an = +?.
К— издержки заказа за период планирования;
Тогда:
Z)
0
0
Я — издержки хранения за период планирования;
с, D — издержки на закупку товара.
C,-^K + -2-H+c,D
Оптимальный размер заказа определяется в результате решения п задач. Каждая из этих задач сводится к определению такого размера заказа Qi, i = 1,..., п, при котором функция совокупных (общих)
С, = — К+ —Н + c,D
издержек ^ “ достигает минимума при ограничениях fl/-i - Qi < ar
Решение исходной задачи определяется из условия
0* = arg min min {С,- ((?,)}.
' Qi
На рис. 6 изображены функции совокупных издержек для трех значений цен продукта. Значение цены c1 определено на интервале 0 < Q < а1, цены с2 — на интервале a1 < Q < а2, цены с3 — на интервале а2 <
Q < + оо
Q 2

Соответственно, функция общих издержек C1(Q) определена при значении цены с1 на интервале 0 < Q < а1, функция C2(Q) — при значении цены с2 на интервале a1 < Q < а2, функция C3(Q) — при значении цены с3 на интервале a2 < Q < +?.
Минимальное значение функции C1(Q) в области ее допустимых значений достигается в точке Q1, функции C2(Q) — в точке а1, функции C3(Q) — в точке а2.
Оптимальный размер заказа следует выбирать из величин Q\,a\ и а2 по формуле
0* = arg min {С,(0,), С2(я,), С3(а2)}.
II. Стохастическая модель
6. Дискретная стохастическая модель оптимизации начального запаса.
Мы отказываемся от предположения о постоянстве и детерминированности величины спроса на товар и предполагаем известным распределение величины спроса.
Пусть S — размер запаса на начало периода планирования;
D — величина спроса за период планирования (целое число);
Н — удельные издержки хранения за период;
В — удельные издержки дефицита за период;
p(D)— вероятность того, что величина спроса за период планирования составит D.
х- 1
I P(D)
Функция распределения величины спроса F(x) = р (D < х) = D=0 .
В случае когда величина спроса за период планирования превышает размер запаса (D > S), возникает дефицит и соответствующие издержки дефицита. Если запас больше, чем величина спроса (S > D), то возникают издержки хранения. Математическое ожидание C1(S) величины издержек хранения за период планирования для размера начального запаса S можно оценить следующим образом:
S
Cl(S) = HXJS-D)p(D).
Математическое ожидание C2(S) величины издержек дефицита за период планирования для размера начального запаса S можно оценить следующим образом:
C2(S) = BZJD-S)p(D).
Математическое ожидание C(S) совокупных издержек в этом случае имеет вид
C(S) = С,(5) + С2(5).
В стохастической модели оптимальным является такой размер начального запаса S*, при котором математическое ожидание совокупных издержек C(S*) имеет минимальное значение, т.е. такой размер запаса S*, который удовлетворяет условию
F(S*) < < F(S* + 1).
F(S*) = , то C(S') = C(5* + 1)
и оптимальными являются как размер запаса S*, так и размер
Если
запаса S* + 1.
Примеры
Пример 1. Продажа автомобилей.
Андрей Удачливый, торговый агент компании Volvo, занимается продажей последней модели этой марки автомобиля. Годовой спрос на эту модель оценивается в 4000 единиц. Цена каждого автомобиля равна 90 тыс. руб., а годовые издержки хранения составляют 10% от цены самого автомобиля. Анализ показал, что средние издержки заказа составляют 25 тыс. руб. на заказ. Время выполнения заказа — 8 дней. Ежедневный спрос на автомобили равен 20.
Вопросы:
1. Чему равен оптимальный размер заказа?
2. Чему равна точка восстановления?
3. Каковы совокупные издержки?
4. Каково оптимальное количество заказов в год?
5. Каково оптимальное время между двумя заказами, если предположить, что количество рабочих дней в году равно 200?
Решение. Исходные данные: величина спроса D = 4000 единиц; издержки заказа K = 25 тыс. руб.; издержки хранения H = 9/200 тыс. руб.; цена за единицу с = 90 тыс. руб.; время выполнения заказа L = 8 дней; ежедневный спрос d = 20 единиц; число рабочих дней Т= 200.
Используя простейшую модель оптимального размера заказа, получаем:
размер заказа Q = 149 единиц;
точка восстановления R = 160 единиц;
число заказов за год N= 26,83;
совокупные издержки С = 1341 тыс. руб;
стоимость продаж cD = 360 млн руб.;
число дней между заказами t = 7,45.
Пример 2. Поставка товара с фиксированным интервалом времени.
Магазин «Лада» закупает духи «Ландыш» на одной из парфюмерных фабрик. Годовой спрос на этот продукт составляет 600 шт. Издержки заказа равны 850 руб., издержки хранения — 510 руб за одну упаковку (20 шт.) в год. Магазин заключил договор на поставку с фиксированным интервалом времени.
Количество рабочих дней в году — 300. Время поставки товара — б дней. Стоимость одного флакона — 135 руб.
Вопросы:
1. Чему равно оптимальное число заказов в течение года?
2. Чему равна точка восстановления запаса?
3. Каковы минимальные совокупные издержки?
Решение. Оптимальный размер заказа
Число заказов в течение года
І?=4=І§ = 3.
(Г 200
Поскольку среднесуточный спрос равен 600/300 = 2 шт., точка восстановления запаса составит 2 • 6 = 12 шт. Минимальные издержки заказа и хранения
„ D Q
C=~qK+~ Н= 3 • 850 + 100 • 25,5 = 5100 руб.
Ответы: 1.3. 2.12шт. 3.5100руб.
Пример 3. Производство деталей.
На первом станке производятся детали в количестве 12 000 единиц в год. Эти детали используются для производства продукции на втором станке производительностью 3600 единиц в год. Оставшиеся детали образуют запас. Издержки хранения составляют 0,5 руб. за одну деталь в год. Стоимость производственного цикла на первом станке равна 800 руб. Определите оптимальный размер партии на первом станке.

Решение. Оптимальный размер партии
Пример 4. Планирование дефицита.
Вернемся к примеру 2 и рассмотрим вариант планирования дефицита. Допустим, по оценке менеджера, упущенная прибыль, связанная с отсутствием товара и утратой доверия клиентов, составляет 20 руб. в год за один флакон духов «Ландыш» при условии, что издержки заказа и хранения остаются без изменения. Определите оптимальный размер заказа при плановом дефиците. Нужно ли менеджеру вводить систему с плановым дефицитом?
 |
|
5* = = 200'0,66 = 132 шт- |
Решение. Оптимальный размер заказа
Максимальный размер запаса за один цикл
Совокупные издержки
С = ^К + щН+ -Q2^-S)1B = 1700 + 740,5 + 940,8 =
= 3381,3 руб.
Совокупные издержки при плановом дефиците меньше издержек без дефицита на 1718,7 руб.
Следовательно, целесообразно ввести систему с плановым дефицитом.
Пример 5. Продажи со скидками.

|
Вариант скидки |
1 |
2 |
3 |
|
Размер заказа, шт. |
0+1000 |
1000+2000 |
Более 2000 |
|
Размер скидки, % |
0 |
4 |
5 |
|
Цена со скидкой, руб. |
5,00 |
4,80 |
4,75 |
Магазин «Медвежонок» продает игрушечные гоночные машинки. В зависимости от размера заказа фирма предлагает скидки:_
Издержки заказа составляют 49 руб. Годовой спрос на машинки равен 5000. Годовые издержки хранения в процентном отношении к цене составляют 20%. Найдите размер заказа, минимизирующий общие издержки.
Решение. Рассчитаем Q* для каждого вида скидок: Qi* = 700, Q2* = 714, Q3* =718.
Так как Q1* находится в интервале между 0 и 1000, то его необходимо взять равным 700. Оптимальный объем со скидкой Q2* меньше количества, необходимого для получения скидки, следовательно, его необходимо принять равным 1000 единиц. Аналогично Q3* берем равным 2000 единиц.
Получим: Qi * = 700, Q2* = 1000, Q3* = 2000.
|
Вариант скидки |
1 |
2 |
3 |
|
Цена со скидкой, руб. |
5,00 |
4,80 |
4,75 |
|
Размер заказа, шт. |
700 |
1000 |
2000 |
|
Стоимость товара за год, руб. |
25 000 |
24 000 |
23 750 |
|
Годовые издержки заказа, руб. |
350,0 |
245,0 |
122,5 |
|
Годовые издержки хранения, руб. |
350 |
480 |
950 |
|
Общие годовые издержки, руб. |
25 700,0 |
24 725,0 |
24 822,5 |
Далее необходимо рассчитать общие издержки для каждого размера заказа и вида скидок, а затем выбрать наименьшее значение. Расчеты приведены в следующей таблице:
Выберем тот размер заказа, который минимизирует общие годовые издержки. Из таблицы видно, что заказ в размере 1000 игрушечных машинок будет минимизировать совокупные издержки.
Пример 6. Создание запаса продукции при дискретном спросе. Небольшой салон специализируется на продаже видеомагнитофонов стоимостью 2000 руб. Затраты на хранение единицы продукции составляют 500 руб. Изучение спроса, проведенное в течение месяца, дало следующее распределение числа покупаемых видеомагнитофонов:
|
|
|
Спрос, шт. |
3 |
4 |
5 |
6 |
7 |
|
Вероятность |
0,1 |
0,2 |
0,3 |
0,3 |
0,1 |
|
Найдите оптимальный размер запаса. |
I
Решение. Доказано, что при дискретном случайном спросе суммарные затраты C(S) = Н D =0 (S-D)p(D)
+ В0=5+1 (D-S)p(D) минимальны при размере запаса S*, удовлетворяющем неравенству
B — В - и
— функция
= 0,8.
где Н + В Р — плотность убытков, F(S)=p{D
В 2000
2500
распределения величины спроса. Вычислим плотность убытков:
|
р Н+ В |
|
|
|
Запас, шт. |
3 |
4 |
5 |
6 |
7 , |
Более 7 |
|
Спрос, шт. |
3 |
4 |
5 |
6 |
7 |
Более 7 |
|
F(S) |
0,0 |
0,1 |
0,3 |
0,6 |
0,9 |
1,0 |
|
Оптимальный размер запаса продукции удовлетворяет неравенству F(6) < 0,8 < F(7). Следовательно, размер запаса в 6 единиц будет оптимальным. |
Задачи
Задача 1. Мистер Бобров приобретает в течение года 1500 телевизоров для розничной продажи в своем магазине. Издержки хранения каждого телевизора равны 45 руб. в год. Издержки заказа — 150 руб. Количество рабочих дней в году равно 300, время выполнения заказа — 6 дней.
Вопросы:
1. Каков оптимальный размер заказа?
2. Чему равны годовые издержки заказа?
3. Чему равна точка восстановления запаса?
Задача 2. Анна Васильева из компании «Сюрприз» продает 400 водяных кроватей в год, причем издержки хранения равны 1 тыс. руб. за кровать в день, а издержки заказа — 40 тыс. руб. Количество рабочих дней равно 250, время выполнения заказа — 6 дней.
Вопросы:
1. Каков оптимальный размер заказа?
2. Чему равна точка восстановления запаса?
3. Каков оптимальный размер заказа, если издержки хранения равны 1,5 тыс. руб.?
Задача 3. Мекки Мессер владеет маленькой компанией, которая выпускает электрические ножи. В среднем она может производить 150 ножей в день. Дневной спрос на ножи примерно равен 40 шт.
Фиксированные издержки производства составляют 100 руб., издержки хранения — 8 руб. за нож в год. В году 250 рабочих дней.
Вопросы:
1. Каков оптимальный размер производственного заказа?
2. Чему равны издержки хранения?
3. Чему равны совокупные издержки за год?
Задача 4. Годовой заказ на тостер «Слава» для магазина Марии Монеты — 3000 единиц, или 10 единиц в день. Издержки заказа равны 25 руб., издержки хранения — 0,4 руб. в день. Так как тостер «Слава» очень популярен, то в случае отсутствия товара покупатели обычно согласны подождать, пока не поступит следующая партия товара. Однако издержки вследствие дефицита равны 0,75 руб. за тостер в день.
Вопросы:
1. Сколько тостеров будет заказывать Мария?
2. Каков максимальный дефицит?
3. Чему равны совокупные издержки?
Задача 5. Магазин «Все для дома» закупает линолеум размером 2 х 3 м2 в компании «Химические
|
товары». В зависимости от размера заказа компания предлагает следующие скидки: |
 |
Издержки заказа равны 45 тыс. руб. Годовые издержки хранения составляют 50% от закупочной цены, годовой спрос на линолеум равен 100 кускам. Определите оптимальный размер заказа.
Задача 6. Мебельный салон «Антик» продает в год около 1000 спальных гарнитуров по цене 50 тыс. руб. Размещение одного заказа на поставку гарнитуров обходится в 40 тыс. руб. Годовая стоимость хранения гарнитура составляет 25% его цены. Салон может получить у поставщика скидку в 3%, если размер заказа составит не менее 200 гарнитуров. Следует ли салону воспользоваться этой скидкой?
Вопросы
Вопрос 1. В детерминированной модели управления запасами оптимальный размер заказа:
1) прямо пропорционален величине спроса на продукт за период, обратно пропорционален удельным издержкам хранения за период и стоимости заказа;
2) прямо пропорционален величине спроса на продукт за период и стоимости заказа, обратно пропорционален удельным издержкам хранения за период;
3) прямо пропорционален величине спроса на продукт за период и удельным издержкам хранения за период, обратно пропорционален стоимости заказа;
4) прямо пропорционален стоимости заказа и удельным издержкам хранения за период, обратно пропорционален величине спроса на продукт за период;
5) прямо пропорционален удельным издержкам хранения за период, обратно пропорционален величине спроса на продукт за период и стоимости заказа.
Вопрос 2. Для определения оптимального размера заказа в модели с производством необходимо знать:
1) величину спроса, издержки заказа и темп производства;
2) издержки дефицита, величину спроса и издержки хранения;
3) издержки заказа, темп производства и упущенную прибыль;
4) время выполнения заказа, издержки дефицита и издержки заказа;
5) издержки хранения и размеры скидок.
Вопрос 3. Для определения оптимального размера заказа в модели с дефицитом необходимо знать:
1) время выполнения заказа;
2) темп производства;
3) цену продукта;
4) размеры скидок;
5) издержки заказа.
Вопрос 4. Уменьшение размера заказа в модели управления запасами приведет к следующему результату:
1) увеличению числа упущенных продаж и увеличению затрат на хранение;
2) уменьшению числа упущенных продаж и увеличению затрат на хранение;
3) уменьшению затрат на хранение и росту издержек на оформление заказов;
4) уменьшению затрат на хранение и снижению издержек на оформление заказов;
5) увеличению затрат на хранение и снижению издержек на оформление заказов.
Вопрос 5. Для определения оптимального размера заказа в модели с ценовыми скидками необходимо знать:
1) величину спроса, издержки заказа и темп производства;
2) издержки дефицита, величину спроса и издержки хранения;
3) издержки заказа, величину спроса и упущенную прибыль;
4) издержки хранения, издержки заказа и цену продукта;
5) издержки хранения и размеры скидок.
Вопрос 6. Модель называется стохастической, если:
1) функции пополнения запасов и расхода — не случайные величины;
2) функция пополнения запасов изменяется во времени;
3) хотя бы одна из функций пополнения запасов и расхода — случайная величина;
4) функция расхода изменяется во времени;
5) функция пополнения запасов линейно возрастает.
Ситуации
Ситуация 1. Профессиональные видеосистемы,
С тех пор как появились первые видеомагнитофоны, Владимир Алексеев начал мечтать о собственном производстве видеосистем для профессионалов. Просматривая дома свои любимые старые фильмы, Владимир планировал производство видеосистемы, потенциальными потребителями которой являлись бы телевизионные станции, рекламные агентства и другие организации, использующие технику самого высокого качества.
Базовая модель новой видеосистемы состоит из блока комплексного контроля, видеодиска, двух отдельных видеомагнитофонов и профессиональной телевизионной установки. Все устройства соединены в единую систему. Кроме того, к базовой модели прилагается усовершенствованное устройство дистанционного управления. Оно управляет всей системой, посылая инфракрасные сигналы блоку комплексного контроля, который, в свою очередь, управляет остальными устройствами. Для предлагаемой видеосистемы Владимир самостоятельно разработал блок комплексного управления, который представляет собой микропроцессор, способный координировать работу подсоединенных элементов системы.
Базовая модель профессиональной видеосистемы обладает рядом преимуществ перед схожими системами. Изображение с видеодиска, телевизионной установки и одной из видеосистем можно легко переместить во вторую видеосистему. Кроме того, к блоку контроля можно подключить одну из самых распространенных моделей компьютера (Macintosh, IBM PC, Radio Shack Model 3000 и Zenith computer system), что позволяет использовать графические редакторы для создания видеопродуктов. Для улучшения качества звука имеется возможность подключения стереосистемы. Благодаря двум видеосистемам значительно увеличиваются возможности при монтаже. Розничная цена предлагаемой базовой модели профессиональной видеосистемы составляет 1950 долл.
Владимир Алексеев нашел в США производителей телевизионных установок, панели управления, видеодиска и заключил с ними договоры о поставках. Что касается обычных видеосистем, то они более популярны и есть возможность выбрать поставщика. После тщательного исследования Владимир остановил свой выбор на двух японских компаниях: Toshiki и Копу.
|
Объем заказа, шт. |
ОтО до 2000 |
От 2000 до 8000 |
От 8000 до 20 000 |
Более
20000 |
|
Цена, долл./шт. |
250 |
230 |
220 |
210 |
Toshiki — это новая компания, она находится недалеко от Токио. Как и другие поставщики, Toshiki предлагает скидки оптовым покупателям: _______
Другим японским поставщиком может стать компания Копу. Хотя эта компания также создавалась в Японии, сегодня она имеет сеть филиалов по всему миру, один из которых расположен в России.
Копу также предлагает скидки оптовикам:
|
Объем заказа, шт. |
ОтО до 1000 |
От 1000 до 5000 |
Более 5000 |
|
Цена, долл./шт. |
240 |
230 |
220 |
|
Поскольку Копу имеет производственные мощности в России, то издержки на размещение заказа и время его выполнения меньше, чем в компании Toshiki:_ |
|
|
|
Компания |
Издержки заказа, долл. |
Срок выполнения заказа, месяцы |
|
Toshiki |
90 |
3 |
|
Копу |
40 |
2 |
Владимир оценивает издержки хранения в 30% от закупочной цены. Эта величина учитывает хранение и уход за оборудованием, а также включает потенциальные издержки от морального износа видеосистем.
В первый год Владимир начал продавать только базовую модель (блок контроля, видеодиск, телевизионную установку и две видеосистемы). В течение первых шести месяцев спрос на нее был примерно постоянным. Например, в июне было продано 7970 шт., в июле — 8070, в августе — 7950, а в сентябре — 8010 шт. Предполагается, что данная тенденция сохранится в течение нескольких следующих месяцев.
Задания
1. Найдите точки восстановления запаса для обеих компаний.
2. Если бы вы были на месте Владимира, то какую компанию, производящую видеосистемы, вы бы выбрали?
3. Владимир рассматривает несколько альтернативных стратегий. Первая предполагает продажу всех составляющих по отдельности. Вторая стратегия предусматривает модификацию блока контроля, которая позволит использовать как видеосистемы, предлагаемые Алексеевым, так и другие видеосистемы. Если эти стратегии будут реализованы, как это повлияет на точки восстановления запаса?
4. Предположим, что компания Toshiki открыла филиал на Украине, в результате чего издержки одного заказа сократились до 50 долл. Как это может повлиять на выбор поставщика видеосистем?
Ответы и решения
Ответы на вопросы: 1—2, 2 — 1, 3 — 5, 4—3, 5—4, 6—3.
Задача 1. Решение.
Исходные данные:
D = 1500 шт.; Я= 45 руб.; К= 150 руб.; Т= 300 дн.; L = 6 дн.
I. Оптимальный размер заказа


2. Годовые издержки заказа
|
с'-§*--ж-150-2г50геб' |
 |
3. Для нахождения точки восстановления запаса, т.е. того уровня запаса, при котором нужно сделать новый заказ, определим суточный спрос:
Тогда точка восстановления запаса R будет равна dL = 5-6 = Ответы: 1. 100 шт. 2. 2250 руб. 3. 30 шт.
Задача 2. Решение.
Исходные данные:
D = 400 шт.; h = 1 тыс. руб.; К =40 тыс. руб.; Т= 250 дн.; L = 1. Оптимальный размер заказа
30 шт.
6 дн.
 |
= 11,3 шт. |
2. Ежедневный спрос

Тогда точка восстановления запаса R будет равна dL = 1,6-6 = 9,6 шт.
3. Если издержки хранения запаса равны 1,5 тыс. руб. в день, оптимальный размер заказа составит
hT V 1.5-250

Ответы: 1. 11,3 шт 2. 9,6 шт 3. 9,2 шт.
Задача 3. Решение.
Исходные данные:
р = 150 шт.; d = 40 шт.; Н= 8 руб.; К= 100 руб.; T = 250 дн.
H 8
Найдем суточные издержки на хранение: h = T 250 = 0,032 руб. 1. Оптимальный размер заказа в модели с производством

2. Издержки хранения (годовые)
Я-т-ЬтЧ'-И)-™»*
3. Совокупные издержки за год
10 000 583,9
•100 + 1712,8 = 3425,4 руб.
с-#АГ+т"(,-т)-
Ответы: 1.583,9шт. 2.1712,8руб. 3.3425,4руб.
Задача 4. Решение.
Исходные данные:
D = 3000 шт.; d = 10шт.; h =0,4 руб.; K = 25 руб.; b = 0,75 руб.; T = 3000 : 10 = 300 дн. 1. Оптимальный размер заказа в модели с дефицитом
|
2. Максимальный размер запаса |  |
„ D S1 (Q-S)2 3000 (28,5)2
C=-QK+lQH+4o-B~wT-25 + h37-Ш +
, (43,8 - 28,5)2........
+ “^8--225 = 3426 руб. |
Максимальный дефицит равен Q* - S* = 43,8 - 28,5 = 15,3 шт.
3. Совокупные издержки за год
Ответы: 1. 43,8 шт. 2. 15,3 шт. 3. 3426 руб.
Задача 5. Решение.
Поскольку издержки на хранение зависят от цены товара, а цена товара в каждом интервале различна, необходимо определить оптимальный размер заказа для каждого ценового интервала:

Графики совокупных издержек представлены на рис. 7.

Рис.7
Как видно из графиков, при цене в 18 тыс. руб. оптимальный размер заказа попадает во второй ценовой интервал. Однако при цене в 18 тыс. руб. можно заказать не более 9 кусков, поэтому мы должны при расчете совокупных издержек С1 взять оптимальный размер заказа Qi, равный девяти кускам (только при этом размере заказа на первом интервале совокупные издержки будут минимальны):
100
9
45+f
0,5-18 + 18-100 = 2340,5 тыс. руб.
При цене 17,5 тыс. руб. оптимальный размер заказа Дд равен 32,07 и совокупные издержки составят |
 |
|
При цене 17,25 тыс. руб. оптимальный размер заказа Q3 мы должны взять равным 50, совокупные издержки при этом составят |
D О,
C'=~Q,K+ 2 H'+C'D =
С}=-^К + -^Н3 + c3Z) = -^-45 +4^- -0,5-17,25 + 17,25-100 =
Уз 2. jU 1
= 2030,6 тыс. руб.
Проведя анализ совокупных издержек с различными ценовыми скидками, можно сделать вывод о том, что оптимальный размер заказа может быть равен либо 32,07 куска, либо 50 кускам, поскольку и в том и в другом случае совокупные издержки минимальны.
Ответ: 32,07 или 50 шт.
Задача 6. Решение.
Цена со скидкой на товар равна 50-0,97 = 48,5 тыс. руб.
Оптимальный размер заказа при цене 50 тыс. руб.
 |
2-1000-40
0,25-48,5
= 81,23 шт. |
Оптимальный заказ с ценовой скидкой в 3% составит

Найдем совокупные издержки при цене 50 тыс. руб. При этом оптимальный размер заказа мы должны взять равным 80:
„ D „ о, 1000 80
О к + -^- Ні + ctD = -40 +— -0,25-50 + 50-1000 = 51 млн руб.
|
При расчете совокупных издержек со скидкой мы должны взять оптимальный размер заказа равным 200: |
 |
Можно сделать вывод, что следует воспользоваться скидкой на товар и сделать заказ на 200 гарнитуров.
Ответ: Да, следует. |
Глава 13. Модели систем массового обслуживания
Основы знаний об очередях, иногда называемые теорией очередей или теорией массового обслуживания, составляют важную часть теории управления производством. Очереди — обычное явление. Они могут носить форму ожидания ремонта автомобиля в центре автосервиса или ожидания студентами консультации у профессора. В таблице перечислены некоторые примеры возникновения очередей в системах массового обслуживания:
|
Ситуация |
Ожидающие в очереди |
Процесс обслуживания |
|
Супермаркет |
Покупатели |
Прием кассиром оплаты за покупки |
|
Приемная врача |
Пациенты |
Прием доктором и медсестрой |
|
Компьютер |
Компьютерные программы |
Выполнение программ процессором |
|
Телефонная компания |
Абоненты |
Выполнение заказов на междугородние переговоры |
Модели очередей (как и линейное программирование, модели управления запасами, методы сетевого анализа проектов) используются и в сфере управления материальным производством, и в сфере обслуживания. Анализ очередей в терминах длины очереди, среднего времени ожидания, среднего времени обслуживания и других факторов помогает нам лучше понять принципы организации системы обслуживания. Ожидание пациента в приемной врача и ожидание починки сломанной дрели в ремонтной мастерской имеют много общего с точки зрения управления процессом обслуживания. Оба процесса используют человеческие ресурсы и ресурсы оборудования для удовлетворения потребностей клиентов.
Профессиональный менеджер, принимая решение о совершенствовании системы массового обслуживания, оценивает изменения, возникающие в затратах на функционирование системы и в издержках, связанных с ожиданием клиентов. Можно нанять большое количество сотрудников, которые будут быстро обслуживать клиентов. Так, администратор супермаркета может уменьшить очереди в кассы, увеличивая в часы пик количество продавцов и кассиров. Для работы в кассах банков или аэропортов в часы пик могут быть привлечены дополнительные сотрудники. Однако снижение времени ожидания обычно сопряжено с издержками на создание и оснащение рабочих мест, с оплатой труда дополнительного персонала. Эти издержки могут быть весьма значительны.
Можно сэкономить на трудозатратах. Но тогда клиент может не дождаться обслуживания или потерять охоту вернуться еще раз. В последнем случае система массового обслуживания будет нести потери, которые можно назвать издержками ожидания. В некоторых системах обслуживания, например в скорой помощи, затраты, связанные с длительным ожиданием, могут оказаться чрезвычайно высокими. Основной экономический принцип совершенствования систем массового обслуживания состоит в оценке общих ожидаемых затрат, включающих затраты на обслуживание и потери, которые несет система в результате ожидания клиента.
После того как вы выполните задания, предлагаемые в этой главе, вы будете уметь определять и использовать для экономического анализа следующие понятия:
• система массового обслуживания;
• заявка;
• очередь;
• темп поступления заявок;
• темп обслуживания;
• среднее время, которое заявка проводит в очереди;
• средняя длина очереди;
• среднее время, которое заявка проводит в системе обслуживания;
• среднее число клиентов в системе обслуживания;
• издержки функционирования системы обслуживания;
• издержки ожидания.
Модели
Классификационные признаки систем массового обслуживания.
В системах массового обслуживания различают три основных этапа, которые проходит каждая заявка:
1) появление заявки на входе в систему;
2) прохождение очереди;
3) процесс обслуживания, после которого заявка покидает систему.
На каждом этапе используются определенные характеристики, которые следует обсудить прежде, чем строить математические модели.
Характеристики входа:
1) число заявок на входе (размер популяции);
2) режим поступления заявок в систему обслуживания;
3) поведение клиентов.
Число заявок на входе. Число потенциально возможных заявок (размер популяции) может считаться либо бесконечным (неограниченная популяция), либо конечным (ограниченная популяция). Если число заявок, поступивших на вход системы с момента начала процесса обслуживания до любого заданного момента времени, является лишь малой частью потенциально возможного числа клиентов, популяция на входе рассматривается как неограниченная. Примеры неограниченных популяций: автомобили, проходящие через пропускные пункты на скоростных дорогах, покупатели в супермаркете и т.п. В большинстве моделей очередей на входе рассматриваются именно неограниченные популяции.
Если количество заявок, которые могут поступить в систему, сравнимо с числом заявок, уже находящихся в системе массового обслуживания, популяция считается ограниченной. Пример ограниченной популяции: компьютеры, принадлежащие конкретной организации и поступающие на обслуживание в ремонтную мастерскую.
Режим поступления заявок, в систему обслуживания. Заявки могут поступать в систему обслуживания
в соответствии с определенным графиком (например, один пациент на прием к стоматологу каждые
15 мин, один автомобиль на конвейере каждые 20 мин) или случайным образом. Появления клиентов
считаются случайными, если они независимы друг от друга и точно непредсказуемы. Часто в задачах
массового обслуживания число появлений в единицу времени может быть оценено с помощью
пуассоновского распределения вероятностей. При заданном темпе поступления (например, два
клиента в час или четыре грузовика в минуту) дискретное распределение Пуассона описывается
следующей формулой:
, , е-х -Xх п ,
р(х) = —^— для х = 0, 1,
где р (х) — вероятность поступления х заявок в единицу времени;
х — число заявок в единицу времени;
1 — среднее число заявок в единицу времени (темп поступления заявок);
е = 2,7182 — основание натурального логарифма.
Соответствующие значения вероятностей р(х) нетрудно определить с помощью таблицы пуассоновского распределения. Если, например, средний темп поступления заявок — два клиента в час, то вероятность того, что в течение часа в систему не поступит ни одной заявки, равна 0,135, вероятность появления одной заявки — около 0,27, двух — также около 0,27, три заявки могут появиться с вероятностью 0,18, четыре — с вероятностью около 0,09 и т.д. Вероятность того, что за час в систему поступят 9 заявок или более, близка нулю.
На практике вероятности появления заявок, разумеется, не всегда подчиняются пуассоновскому распределению (они могут иметь какое-то другое распределение). Поэтому требуется проводить предварительные исследования для того, чтобы проверить, что пуассоновское распределение может служить хорошей аппроксимацией.
Поведение клиентов. Большинство моделей очередей основывается на предположении, что поведение клиентов является стандартным, т.е. каждая поступающая в систему заявка встает в очередь, дожидается обслуживания и не покидает систему до тех пор, пока ее не обслужат. Другими словами, клиент (человек или машина), вставший в очередь, ждет до тех пор, пока он не будет обслужен, не покидает очередь и не переходит из одной очереди в другую.
Жизнь значительно сложнее. На практике клиенты могут покинуть очередь потому, что она оказалась слишком длинной. Может возникнуть и другая ситуация: клиенты дожидаются своей очереди, но по каким-то причинам уходят необслуженными. Эти случаи также являются предметом теории массового обслуживания, однако здесь не рассматриваются.
Характеристики очереди:
1) длина;
2) правило обслуживания.
Длина очереди. Длина может быть ограничена либо не ограничена. Длина очереди (очередь) ограничена, если она по каким-либо причинам (например, из-за физических ограничений) не может увеличиваться до бесконечности. Если очередь достигает своего максимального размера, то следующая заявка в систему не допускается и происходит отказ. Длина очереди не ограничена, если в очереди может находиться любое число заявок. Например, очередь автомобилей на бензозаправке.
Правило обслуживания. Большинство реальных систем использует правило «первым пришел — первым ушел» (FIFO — first in, first out). В некоторых случаях, например в приемном покое больницы, в дополнение к этому правилу могут устанавливаться различные приоритеты. Пациент с инфарктом в критическом состоянии, по-видимому, будет иметь приоритет в обслуживании по сравнению с пациентом, сломавшим палец. Порядок запуска компьютерных программ — другой пример установления приоритетов в обслуживании.
Характеристики процесса обслуживания:
1) конфигурация системы обслуживания (число каналов и число фаз обслуживания);
2) режим обслуживания.
Конфигурация системы обслуживания. Системы обслуживания различаются по числу каналов обслуживания. Обычно количество каналов можно определить как число клиентов, обслуживание которых может быть начато одновременно, например: число мастеров в парикмахерской. Примеры одноканальной системы обслуживания: банк, в котором открыто единственное окошко для обслуживания клиентов, или ресторан, обслуживающий клиентов в автомобилях. Если же в банке открыто несколько окошек для обслуживания, клиент ожидает в общей очереди и подходит к первому освободившемуся окну, то мы имеем дело с многоканальной однофазовой системой обслуживания. Большинство банков, также, как почтовые отделения и авиакассы, являются многоканальными системами обслуживания.
Другая характеристика — число фаз (или последовательных этапов) обслуживания одного клиента. Однофазовыми являются такие системы, в которых клиент обслуживается в одном пункте (на одном рабочем месте), затем покидает систему. Ресторан для обслуживания автомобилей, в котором официант получает деньги и приносит заказ в автомобиль, является примером однофазовой системы. Если же в ресторане нужно сделать заказ в одном месте, оплатить его в другом и получить пищу в третьем, то мы имеем дело с многофазовой (три фазы) системой обслуживания.

Режим обслуживания. Как и режим поступления заявок, режим обслуживания может характеризоваться либо постоянным, либо случайным временем обслуживания. При постоянном времени на обслуживание любого клиента затрачивается одинаковое время. Такая ситуация может наблюдаться на автоматической мойке автомобилей. Однако более часто встречаются ситуации, когда время обслуживания имеет случайное распределение. Во многих случаях можно предположить, что время обслуживания подчиняется экспоненциальному распределению с функцией распределения F(t) = p(t< t) =1 - е-тт, где р (t < t) — вероятность того, что фактическое время t обслуживания заявки не превысит заданной величины t; m — среднее число заявок, обслуживаемых в единицу времени; е = 2,7182 — основание натурального логарифма.
Параметры моделей очередей. При анализе систем массового обслуживания используются технические и экономические характеристики.
Наиболее часто используются следующие технические характеристики:
1) среднее время, которое клиент проводит в очереди;
2) средняя длина очереди;
3) среднее время, которое клиент проводит в системе обслуживания (время ожидания плюс время обслуживания);
4) среднее число клиентов в системе обслуживания;
5) вероятность того, что система обслуживания окажется незанятой;
6) вероятность определенного числа клиентов в системе.
Среди экономических характеристик наибольший интерес представляют следующие:
1) издержки ожидания в очереди;
2) издержки ожидания в системе;
3) издержки обслуживания.
Модели систем массового обслуживания. В зависимости от сочетания приведенных выше характеристик могут рассматриваться различные модели систем массового обслуживания.
Здесь мы ознакомимся с несколькими наиболее известными моделями. Все они имеют следующие общие характеристики:
а) пуассоновское распределение вероятностей поступления заявок;
б) стандартное поведение клиентов;
в) правило обслуживания FIFO (первым пришел — первым обслужен);
г) единственная фаза обслуживания.
I. Модель А — модель одноканальной системы массового обслуживания М/М/1 с пуассоновским входным потоком заявок и экспоненциальным временем обслуживания.
Наиболее часто встречаются задачи массового обслуживания с единственным каналом. В этом случае клиенты формируют одну очередь к единственному пункту обслуживания. Предположим, что для систем этого типа выполняются следующие условия:
1. Заявки обслуживаются по принципу «первым пришел — первым обслужен» (FIFO), причем каждый клиент ожидает своей очереди до конца независимо от длины очереди.
2. Появления заявок являются независимыми событиями, однако среднее число заявок, поступающих в единицу времени, неизменно.
3. Процесс поступления заявок описывается пуассоновским распределением, причем заявки поступают из неограниченного множества.
4. Время обслуживания описывается экспоненциальным распределением вероятностей.
5. Темп обслуживания выше темпа поступления заявок.
Пусть 1 — число заявок в единицу времени;
m — число клиентов, обслуживаемых в единицу времени;
п — число заявок в системе.
Тогда система массового обслуживания описывается уравнениями, приведенными ниже.
Формулы для описания системы М/М/1:
среднее число клиентов в системе;
М-_ ^— среднее время обслуживания одного клиента в системе (время ожидания плюс время обслуживания);
X2
9 Ц(Ц-А0 —
среднее число клиентов в очереди;
^ (М’ — среднее время ожидания клиента в очереди;
^ — характеристика загруженности системы (доля времени, в течение которого система занята обслуживанием);
Р0=1 - —
М- — вероятность отсутствия заявок в системе;
— вероятность того, что в системе находится более чем к заявок.

II. Модель В — многоканальная система обслуживания M/M/S. В многоканальной системе для обслуживания открыты два канала или более. Предполагается, что клиенты ожидают в общей очереди и обращаются в первый освободившийся канал обслуживания.
Пример такой многоканальной однофазовой системы можно увидеть во многих банках: из общей очереди клиенты обращаются в первое освободившееся окошко для обслуживания.
В многоканальной системе поток заявок подчиняется пуассоновскому закону, а время обслуживания — экспоненциальному. Приходящий первым обслуживается первым, и все каналы обслуживания работают в одинаковом темпе. Формулы, описывающие модель В, достаточно сложны для использования. Для расчета параметров многоканальной системы обслуживания удобно использовать соответствующее программное обеспечение.
r
Для многоканальной системы с неограниченной очередью должно выполняться условие n < 1, где r — параметр загрузки системы (среднее число занятых каналов), п — минимальное количество каналов, при котором очередь не будет расти до бесконечности. В противном случае предельные вероятности существовать не могут.
Формулы для описания системы M/M/S:
Г (^ I Г I г2 1 I I /'"+1 V1
+ТГ+!Г +- + Ч+ и!(и - г) )
вероятность того, что система свободна;
г И
Рп=ігро_
вероятность того, что в системе находится п заявок;
гп+1
Р =_:_ р
Ч п\{п — г) 0_
вероятность того, что заявка окажется в очереди;

Р — среднее число занятых каналов;
 |
WoXL4 —
Ws=~TLs |
- среднее число заявок в очереди; ¦ среднее число заявок в системе;
время нахождения заявки в очереди;
Л — время нахождения заявки в системе.
III. Модель С— модель с постоянным временем обслуживания M/D/1.
Некоторые системы имеют постоянное, а не экспоненциально распределенное время обслуживания. В таких системах клиенты обслуживаются в течение фиксированного периода времени, как, например, на автоматической мойке автомобилей. Для модели С с постоянным темпом обслуживания значения величин Lq и Wq вдвое меньше, чем соответствующие значения в модели А, имеющей переменный темп обслуживания.
Формулы, описывающие модель С:
L =_
* 2|і(ц - X) средняя длина очереди;
W =---
среднее время ожидания в очереди;
9 2ц(ц->.) —
L — L+ —
среднее число клиентов в системе;
5 4 р _
ws= К+—
s 9 ц
^ — среднее время ожидания в системе.
IV. Модель D — модель с ограниченной популяцией.
Если число потенциальных клиентов системы обслуживания ограничено, мы имеем дело со специальной моделью. Такая задача может возникнуть, например, если речь идет об обслуживании оборудования фабрики, имеющей пять станков.
Особенность этой модели по сравнению с тремя рассмотренными ранее в том, что существует
взаимозависимость между длиной очереди и темпом поступления заявок.
V. Модель Е — модель с ограниченной очередью. Модель отличается от предыдущих тем, что число мест в очереди ограничено. В этом случае заявка, прибывшая в систему, когда все каналы и места в очереди заняты, покидает систему необслуженной, т.е. получает отказ.
Как частный случай модели с ограниченной очередью можно рассматривать модель с отказами, если
количество мест в очереди сократить до нуля.
Сравнительная характеристика различных моделей систем массового обслуживания приведена в следующей таблице:
|
|
Мо
дель |
Название (техническое наименование) |
Пример |
Число
кана
лов |
Число
фаз |
Распределение времени поступления заявок |
Распределение времени обслуживания |
Число
клиен
тов |
Поря
док
про
хожде
ния
оче
реди |
|
А |
Простая
система
(М/М/і) |
Справочное бюро в магазине |
Один |
Одна |
Пуас
сонов
ское |
Экспо
ненци
альное |
Не
ограни
ченное |
FIFO |
|
В |
Многока
нальная
система
(M/M/S) |
Кассы аэрофлота |
Не
сколь
ко |
Одна |
Пуас
сонов
ское |
Экспо
ненци
альное |
Не
ограни
ченное |
FIFO |
|
С |
Равномерное обслуживание (М/D/1) |
Автоматическая мойка |
Один |
Одна |
Пуас
сонов
ское |
По
стоян
ное |
Не
ограни
ченное |
FIFO |
|
D |
Ограниченная популяция |
Самолеты
небольшой
авиаком
пании |
Один |
Одна |
Пуас
сонов
ское |
Экспо
ненци
альное |
Огра
ничен
ное |
FIFO |
|
Е |
Ограни
ченная
длина
очереди |
Количество посадочных мест в парикмахерской |
Не
сколь
ко |
Одна |
Пуас
сонов
ское |
Экспо
ненци
альное |
Огра
ничен
ное |
FIFO |
|
Примеры |
Пример 1. Обслуживание автомобилей.
Иванов, механик автосервиса, может заменить масло в среднем в трех автомобилях в течение часа (т.е. в среднем на одном автомобиле за 20 мин). Время обслуживания подчиняется экспоненциальному закону. Клиенты, нуждающиеся в этой услуге, приезжают в среднем по два в час, в соответствии с пуассоновским распределением. Клиенты обслуживаются в порядке прибытия, и их число не ограничено. Рассчитайте основные характеристики системы обслуживания.
Решение. На основе исходных данных получаем:
1 = 2 машины в час — количество машин, поступающих в течение часа;
|і = 3 машины в час — количество машин, обслуживаемых в течение часа;
т ——h—=_і__ 2
* ц-а, з-2 z
машины — среднее количество машин, находящихся в системе;
= 1ч
й ~ а. 3 — 2 — среднее время ожидания в системе;
X2 22
= 1,333
« |і(ц - X) 3(3-2)
а, 2
машины — среднее количество машин, ожидающих в очереди;
ч ( \\ іп — іл = 40 мин
Щ.М- м Jvy ¦) — среднее время ожидания в очереди;
доля времени, в течение которого механик занят;
= 0,333
'•=І-Т"°-б66_
р0=1 -—= 1 -4
I1 3 — вероятность того, что в системе нет ни одного клиента.
Вероятности того, что в системе находится более чем k машин:
|
к |
МтГ |
|
0 |
0,667 |
|
1 |
0,444 |
|
2 |
0,296 |
|
3 |
0,198 |
|
4 |
0,132 |
|
5 |
0,088 |
|
6 |
0,058 |
|
7 |
0,039 . |
|
|
. - |
Примечание. При k = 0 значение вероятности равно 1 - P0;
при к = 1 существует 44,4% шансов на то, что в системе находится более одной машины, и т.д.
Пример 2. Сопоставление затрат.
После того как мы получили основные характеристики системы обслуживания, часто бывает полезным провести ее экономический анализ. Как уже отмечалось, задачей менеджера является сопоставление возрастающих затрат на улучшение обслуживания и снижающихся затрат, связанных с ожиданием. Рассмотрим этот случай, дополнив условие примера 1.
Владелец автосервиса установил, что затраты, связанные с ожиданием, выражаются в снижении спроса вследствие неудовлетворенности клиентов и равны 100 руб. за час ожидания в очереди. Определите общие затраты функционирования автосервиса.

Решение. Так как в среднем каждая машина ожидает в очереди 2/3 часа (Wq) и в день обслуживается приблизительно 16 машин (1-8 = 2 машины в час в течение 8-часового рабочего дня), общее число часов, которое проводят в очереди все клиенты, равно
Следовательно, затраты, связанные с ожиданием, составляют
2
100-10 -у= Ю66 руб. в день.
Другая важная составляющая затрат владельца автосервиса — зарплата механика Иванова. Предположим, что он получает 70 руб. в час, или 560 руб. в день. Следовательно, общие затраты составляют
1066 + 560 = 1626 руб. вдень.
Пример 3. Утилизация отходов.
Компания «Утиль» собирает и утилизирует в Мытищах алюминиевые отходы и стеклянные бутылки. Водители автомобилей, доставляющих сырье для вторичной переработки, ожидают в очереди на разгрузку в среднем 15 мин. Время простоя водителя и автомобиля оценивается в 6 тыс. руб. в час.
Новый автоматический компактор может обслуживать контейнеровозы с постоянным темпом 12 машин в час (5 мин на одну машину). Время прибытия контейнеровозов подчиняется пуассоновскому закону с параметром 1 = 8 автомобилей в час. Если новый компактор будет использоваться, то амортизационные затраты составят 0,3 тыс. руб. на один контейнеровоз. Следует ли использовать компактор?
Решение. Затраты на простой одного автомобиля в очереди за одну ездку в системе без компактора составляют

12 автомобилей в
В системе с компактором время ожидания в очереди при 1 = 8 автомобилей в час и m час будет равно
Сокращение времени простоя привело к сокращению затрат на простой одного автомобиля за одну ездку на сумму в 1,5 - 0,5 = 1 тыс. руб.
При условии, что затраты по эксплуатации компактора на один контейнеровоз составляют 0,3 тыс. руб., общие затраты составят 0,5 + 0,3 = 0,8 тыс. руб.
Система с компактором дает экономию в 1,5 - 0,8 = 0,7 тыс. руб. Таким образом, компактор использовать следует.
Вопросы
Вопрос 1. Одна работница обслуживает тридцать ткацких станков, обеспечивая их запуск после разрыва нити. Модель такой системы массового обслуживания можно охарактеризовать как:
1) многоканальную однофазовую с ограниченной популяцией;
2) одноканальную однофазовую с неограниченной популяцией;
3) одноканальную многофазовую с ограниченной популяцией;
4) одноканальную однофазовую с ограниченной популяцией;
5) многоканальную однофазовую с неограниченной популяцией.
Вопрос 2. В теории массового обслуживания для описания простейшего потока заявок, поступающих на вход системы, используется распределение вероятностей:
1) нормальное;
2) экспоненциальное;
3) пуассоновское;
4) биномиальное;
5) ничто из вышеуказанного не является верным.
Вопрос 3. В теории массового обслуживания предполагается, что количество заявок в популяции является:
1) фиксированным или переменным;
2) ограниченным или неограниченным;
3) известным или неизвестным;
4) случайным или детерминированным;
5) ничто из вышеуказанного не является верным.
Вопрос 4. Двумя основными параметрами, которые определяют конфигурацию системы массового обслуживания, являются:
1) темп поступления и темп обслуживания;
2) длина очереди и правило обслуживания;
3) распределение времени между заявками и распределение времени обслуживания;
4) число каналов и число фаз обслуживания;
5) ничто из вышеуказанного не является верным.
Вопрос 5. В теории массового обслуживания для описания времени, затрачиваемого на обслуживание заявок, обычно используется распределение вероятностей:
1) нормальное;
2) экспоненциальное;
3) пуассоновское;
4) биномиальное;
5) ничто из вышеуказанного не является верным.
Вопрос 6. Ремонт вышедших из строя компьютеров на экономическом факультете осуществляют три специалиста, работающие одновременно и независимо друг от друга. Модель такой системы массового обслуживания можно охарактеризовать как:
1) многоканальную с ограниченной популяцией;
2) одноканальную с неограниченной популяцией;
3) одноканальную с ограниченной популяцией;
4) одноканальную с ограниченной очередью;
5) многоканальную с неограниченной популяцией.
Задачи
Задача 1. Система банка «Автодор» позволяет клиенту совершать некоторые банковские операции, не выходя из машины. Утром в рабочие дни прибывает в среднем 24 клиента в час. Прибытие клиентов описывается законом Пуассона. Время обслуживания распределено экспоненциально со средней скоростью обслуживания 36 клиентов в час.
Определите следующие характеристики системы: среднее число клиентов в очереди; среднее число клиентов в системе; среднее время ожидания;
среднее время, которое клиент проводит в системе.
Вопросы:
1. Сколько клиентов в среднем прибывает за 5 мин?
2. Каковы вероятности того, что ровно 0, 1, 2, 3 клиента прибудут за 5 мин?
3. Если в течение 5 мин прибывает более 3 клиентов, то возникает проблема перегруженности системы. Какова вероятность возникновения такой проблемы?
4. Каковы вероятности того, что время обслуживания составит: а) не более 1 мин; б) не более 2 мин; в) более 2 мин?
5. Какова вероятность того, что прибывающему клиенту придется ждать обслуживания?
6. Каковы вероятности того, что в системе находится: а) 0 клиентов; б) 3 клиента; в) более 3 клиентов? Задача 2. Автосервис решил нанять механика для того, чтобы он менял старые покрышки на новые. На
это место есть два кандидата. Один из них имеет ограниченный опыт и может быть нанят за 7 долл. в час. Ожидается, что этот механик сможет обслуживать 3 клиента в час. Другой механик более опытен, он в состоянии обслужить 4 клиента в час, но его можно нанять на работу за 10 долл. в час. Клиенты прибывают со скоростью 2 клиента в час. Компания оценивает издержки по ожиданию клиентами своей очереди в 15 долл. в час. Предполагая пуассоновское распределение прибытия и экспоненциальное — времени обслуживания, определите: среднее время, которое клиент проводит в очереди; среднюю длину очереди;
среднее время, которое клиент проводит в системе обслуживания; среднее число клиентов в системе обслуживания;
вероятность того, что система обслуживания окажется свободной при условии найма одного или другого механика.
Вопросы:
1. Какого механика следует нанять, чтобы обеспечить меньшие совокупные издержки?
2. Каковы минимальные совокупные издержки?
Задача 3. «У Петра» — маленький магазин с одним прилавком. Предположим, что покупатели прибывают в магазин по закону Пуассона со средней скоростью 15 покупателей в час. Время обслуживания распределено экспоненциально, средняя скорость обслуживания — 20 покупателей в час. Рассчитайте:
среднее время, которое покупатель проводит в очереди; среднюю длину очереди;
среднее время, которое покупатель проводит в магазине;
среднее число покупателей в магазине;
вероятность того, что в магазине не окажется покупателей.
Владелец магазина установил, что затраты, связанные с ожиданием, выражаются в снижении спроса и равны 2 долл. за один час ожидания. Он решил ограничить среднее время ожидания обслуживания пятью минутами. Можно попытаться достигнуть этого, реализовав одну из следующих альтернатив:
A. Нанять продавца, который бы выполнял заказ, в то время как кассир рассчитывается с покупателем (часовая оплата каждого — 3 долл.). Это позволит увеличить среднюю скорость обслуживания до 30 покупателей в час.
B. Нанять второго кассира (часовая оплата — 3 долл.), тем самым создав в магазине двухканальную очередь (средняя скорость обслуживания — 20 клиентов в час для каждого работника).
Вопрос: Какую альтернативу следует выбрать?
Задача 4. В верхнем течении Волги построена новая станция по обслуживанию речных судов. Суда прибывают по закону Пуассона со средней скоростью 5 судов в час. Время обслуживания распределено экспоненциально со средней скоростью обслуживания 10 судов в час. В среднем издержки по простою речного судна составляют 100 долл./ч, а издержки по обслуживанию дока — 75 долл./ч.
Вопросы:
1. Какова вероятность того, что док будет пуст?
2. Каково среднее число судов в очереди?
3. Каково среднее время ожидания обслуживания?
4. Каково среднее время пребывания в доке?
5. Администрация станции рассматривает возможность введения в строй еще одного дока с той же скоростью обслуживания. Есть ли в этом необходимость?
Задача 5. «Гибкий путь» — небольшой супермаркет в одном из районов города. Покупатели прибывают в магазин по закону Пуассона со средней скоростью 15 человек в час. На выходе из супермаркета стоит один кассовый аппарат, и обслуживает его один кассир. Время, затраченное на расчеты с клиентом, распределено экспоненциально и в среднем равно 3 мин.
Владелец магазина решил приобрести второй кассовый аппарат в целях сокращения времени, проводимого клиентами в очереди, для чего необходимо нанять второго кассира. Часовая оплата кассира — 2 долл. Затраты, связанные с ожиданием в очереди, приводят к снижению потребительского спроса и оцениваются в среднем в 3 долл. за час.
Вопросы:
1. Есть ли необходимость в приобретении второго кассового аппарата с точки зрения экономического эффекта? (Амортизационные отчисления от приобретенного кассового аппарата и затраты на его обслуживание пренебрежимо малы, поэтому в расчетах их можно не учитывать.)
2. Приобретение третьего кассового аппарата приведет к дальнейшему сокращению очереди, но есть ли в этом необходимость с точки зрения экономического эффекта?
Задача 6. Предприятие быстрого питания обслуживает клиентов, прибывающих на автомашинах по закону Пуассона со средней скоростью 24 машины в час. Время обслуживания распределено экспоненциально. Клиенты делают свой заказ, а затем отъезжают, чтобы оплатить и получить заказанное. Каждый час, который клиент проводит в очереди, оценивается в 25 долл. Оплата служащим равна 6,5 долл. в час. Помимо зарплаты для обеспечения работы каждого из каналов надо тратить 20 долл. в час.
Рассматриваются следующие возможные конфигурации системы:
A. Одноканальная система с одним служащим, выполняющим заказы и принимающим оплату. Среднее время обслуживания клиента — 2 мин.
B. Одноканальная система с одним служащим, выполняющим заказ, и другим служащим, принимающим оплату. Среднее время обслуживания — 1,25 мин.
C. Двухканальная система с двумя служащими, каждый из которых выполняет заказы и принимает оплату. Среднее время обслуживания — 2 мин для каждого из служащих.
Для каждой конфигурации системы определите: вероятность того, что в системе нет машин; среднее число машин в очереди; среднее время ожидания обслуживания; среднее время пребывания в системе; среднее число машин в системе;
вероятность того, что вновь прибывшей машине придется ждать.
Вопрос: Какой из вариантов требует меньших затрат?
Задача 7. Механики компании «Автосервис» прибывают на главный склад за запчастями со средней скоростью 4 механика в минуту. Сейчас на складе один работник. Каждый механик в среднем находится на складе 4 мин. Найдите: среднее число клиентов в системе;
среднее время обслуживания одного клиента в системе; среднее число клиентов в очереди.
Опыт использования двух работников на складе показал, что время ожидания механиком своей очереди снизилось. Определите для двухканальной системы: среднее число клиентов в системе;
среднее время обслуживания одного клиента в системе; среднее число клиентов в очереди.
Механик получает 1200 руб. в час, а работник отдела запчастей — 720 руб. в час.
Вопрос: Какая из двух систем (одноканальная или двухканальная) более экономична?
Задача 8. Автоматическая мойка машин может обслужить 10 машин в час. Машины прибывают по закону Пуассона со средней скоростью 24 автомашины за 8-часовой рабочий день. Система одноканальная.
Вопросы:
1. Чему равно среднее число автомобилей в очереди?
2. Чему равно среднее время ожидания?
3. Какую часть рабочего времени система занята?
Задача 9. Компания «Жалюзи на дом» решила довести число своих машин до 8. Президент компании интересуется, стоит ли в этом случае нанимать на работу второго механика в помощь к одному имеющемуся. Средняя скорость прибытия на ремонт равна 0,05 раза в час для каждой машины, средняя скорость обслуживания — 0,5 машины в час. Каждый механик получает 20 долл. в час, а стоимость простоя машины составляет 80 долл. в час.
Рассчитайте следующие операционные характеристики, если компания оставляет единственного механика:
вероятность того, что все машины работают и механик простаивает;
среднее число ожидающих ремонта машин;
среднее число машин в системе (машины в очереди и на обслуживании);
среднее время ожидания начала ремонта;
среднее время нахождения в системе (ожидание и ремонт).
Используя компьютерную программу, рассчитайте те же характеристики для случая с двумя механиками.
Вопрос: Сколько механиков следует нанять с экономической точки зрения?
Задача 10. В распоряжении магазина находится 10 грузовиков. Грузовики прибывают в магазин в случайном порядке в течение дня для погрузки-разгрузки. Каждый грузовик прибывает на обслуживание дважды за 8-часовой рабочий день. Средняя скорость обслуживания — 4 грузовика в час. Поток грузовиков описывается пуассоновским распределением, время обслуживания — экспоненциальным. Определите:
вероятность того, что ни один грузовик не ожидает погрузки-разгрузки;
среднее число грузовиков в очереди;
среднее число грузовиков у магазина (грузовики в очереди и на погрузке-разгрузке);
среднее время ожидания в очереди.
Вопрос: Каковы часовые издержки по функционированию системы, если в час издержки на кажцый грузовик равны 50 долл., а на работы с грузовиками — 30 долл.?
Ситуации
Ситуация 1. Супермаркет «Север».
«Север» — недавно открытый супермаркет в Северном административном округе Москвы, где существует большая конкуренция между подобными магазинами. Новый управляющий Петр Перфилов понимает, что при высокой конкуренции покупатели скорее пойдут туда, где им предложат лучшее обслуживание и более широкий ассортимент товаров. Он гордится своим магазином, большим выбором различных сортов мяса и сыра, а также мясным прилавком, где покупатель может попробовать нарезки мяса и птицы.
Петр уверен, что быстрое и эффективное обслуживание может привлечь покупателей и повысить конкурентоспособность. Он ввел систему безналичных расчетов за покупки и внедрил службу «Доставка на дом», чтобы сделать приобретение покупок более удобным, особенно для пожилых горожан. Следующий этап — установка новых кассовых аппаратов, недавно появившихся в сфере обслуживания. Основной вопрос: сколько аппаратов следует установить? Слишком много — нежелательно. Но не потому, что появятся дополнительные издержки. Более важный аспект — эффективное использование площадей.
Планируя новый дизайн системы контроля, Петр собрал данные о нескольких последовательных субботних, наиболее посещаемых, утренних часах в своем магазине. Он заметил, что покупатели прибывают на контроль приблизительно по 10 человек в час. 20% покупателей оплачивают 10 или менее наименований продуктов, и в среднем их обслуживают в течение 2 мин, в то время как на покупателей с более чем 10 товарами кассир затрачивает по 4 мин.
Задание
Помогите Петру определить, сколько новых кассовых аппаратов следует установить.
Ответы и решения
Ответы на вопросы: 1—4, 2 — 3, 3—2, 4—4, 5—2, 6—1. Задача 1. Решение.
Рассматриваем модель А.
Среднее число клиентов в очереди
= х2 242
" ц (ц - X) 36 (36 - 24) |
 |
24
36 (36 - 24) |
среднее число клиентов в системе
среднее время ожидания
= 0,0556 ч = 3,33 мин;
і? =-
* ц(ц-Х)
среднее время, которое клиент проводит в системе,
¦ = 0,083 ч = 5 мин.
1 1
Ц-Х 36-24
В среднем за 5 мин прибывают (24 : 60) • 5 = 2 клиента.
Вероятности того, что 0, 1, 2, 3 клиента прибудут за 5 мин, найдем по формуле, описывающей вероятность поступления заявок в систему (т.е. по закону Пуассона):

Вероятность того, что в течение 5 мин прибудут более 3 клиентов, равна 1 - [р(0) +Р(1) +Р(2) +Р(3)] = 1 - (0,135 + 0,27 + 0,27 + 0,18) = 0,145.
Вероятность того, что фактическое время обслуживания заявки t не превысит заданной величины t, подчинена экспоненциальному закону и может быть определена по формуле p(t < t) = 1 - e-tm, где средний темп обслуживания m = 0,6 клиента в минуту:
а) вероятность того, что время обслуживания не превысит 1 мин, p(t < 1) = 1 - e-0,6'1 = 0,45;
б) вероятность того, что время обслуживания не превысит 2 мин, p(t < 2) = 1 - e-0,6'2 = 0,70;
в) вероятность того, что время обслуживания составит более 2 мин, равна 1 -p(t < 2) = 0,30.
Вероятность того, что прибывающему клиенту придется ждать обслуживания,
X 24
г =- = “г“ = 0,667.
ц 36
Вероятность того, что в системе находится п клиентов, можно найти, используя предельные вероятности одноканальной системы с неограниченной очередью:
а) 0 клиентов:
„ X 24
'•-'"іг-'-іг-0*

б) 3 клиента: Р3 = г3*Р0 = (0,667)3*0,33 = 0,098;
в) более 3 клиентов:
Ответы: 1. Два клиента. 2. 0,135; 0,27; 0,27; 0,18.
3. 0,145. 4. а) 0,45; 6) 0,7; в) 0,3.
5. 0,067. 6. а) 0,33; б) 0,098; в) 0,198.
Задача 2. Решение.
Используем пакет POMWIN. Заполним модель М/М/1 исходными данными.
Для первого механика 1 = 2 клиента в час, m = 3 клиента в час, Смех = 7 долл /ч; Сож=15долл./ч:
|
Parameter |
Value |
Parameter |
Value |
|
M/M/l (exponential service times) |
|
Average server utilization |
0,667 |
|
Arrival rate (lambda) |
2 |
Average number in the queue (Lq) |
1,333 |
|
Service rate (mu) |
3 |
Average number in the system (Ls) |
2 |
|
Number of servers |
1 |
Average time in the queue (W^) |
0,667 |
|
Server cost $/time |
7 |
Average time in the system (Ws) |
1 |
|
Waiting cost $/time |
15 |
Cost (Labor + # waiting*wait cost) |
27 |
|
|
|
Cost (Labor + # in system*wait cost) |
37 |
Среднее время, которое клиент проводит в очереди, Wq = 0,667 ч; средняя длина очереди Lq = 1,333;
среднее время, которое клиент проводит в системе обслуживания, Ws = 1 ч; среднее число клиентов в системе обслуживания Ls = 2;
|
Parameter |
Value |
Parameter |
Value |
|
M/M/l (exponential service times) |
|
Average server utilization |
0,5 |
|
Arrival rate (lambda) |
2 |
Average number in the queue (? ) |
0,5 |
|
Service rate (mu) |
4 |
Average number in the system (Ls) |
1 |
|
Number of servers |
1 |
Average time in the queue (IP) |
0,25 |
|
Server cost $/time |
10 |
Average time in the system (ИД |
0,5 |
|
Waiting cost $/time |
15 |
Cost (Labor + # waiting*waitcost) |
17,5 |
|
|
|
Cost (Labor + # in system*wait cost) |
25 |
вероятность того, что система обслуживания окажется свободной, равна 1 - r = 1 - 0,667 = 0,333. Совокупные издержки по ожиданию в очереди и оплате первому механику равны 27 долл. в час. Для второго механика X = 2 клиента в час, |і = 4 клиента в час, Смех =10 долл./ч, Сож = 15долл./ч:
Среднее время, которое клиент проводит в очереди, Wq = 0,25 ч; средняя длина очереди Lq = 0,5;
среднее время, которое клиент проводит в системе обслуживания, Ws = 0,5 ч; среднее число клиентов в системе обслуживания Ls = 1;
вероятность того, что система обслуживания окажется незанятой равна 1-r = 1-0,5 = 0,5.
Совокупные издержки по ожиданию в очереди и оплате второму механику равны 17,5 долл. в час.
По результатам расчетов можно сделать вывод, что следует нанять второго механика.
Ответы: 1. Второго механика. 2. 17,5 долл./ч.
Задача 3. Решение.
Заполним модель М/М/1 с одним продавцом (он же является кассиром) (1 = 15 покупателей в час, m = 20 покупателей в час):
|
Parameter |
Value |
Parameter |
Value |
Value*60 |
|
M/M/I (exponential service times) |
|
Average server utilization |
0,75 |
|
|
Arrival rate (lambda) |
15 |
Average number in the queue (Lq) |
2,25 |
|
|
Service rate (mu) |
20 |
Average number in the system (Ls) |
3 |
|
|
Number of servers |
1 |
Average time in the queue (Wq) |
0,15 |
9 |
|
Server cost $/time |
3 |
Average time in the system (fVs) |
0,2 |
12 |
|
Waiting cost $/time , |
2 |
Cost (Labor + # waiting*wait cost) |
7,5 |
|
|
|
|
Cost (Labor + # in system*wait cost) |
9 |
|
Среднее время, которое покупатель проводит в очереди, Wq = 0,15 ч = 9 мин; средняя длина очереди Lq = 2,25;
среднее время, которое покупатель проводит в магазине Ws = 0,2 ч = 12 мин; среднее число покупателей в магазине Ls = 3;
вероятность того, что в магазине не окажется покупателей, Р0 = 1 - r = 1 - 0,75 = 0,25.
Если нанять продавца, который бы выполнял заказ, в то время как кассир рассчитывается с покупателем (альтернатива А), увеличится темп обслуживания клиентов (m = 30 покупателей в час), система останется одноканальной. Используем для решения этой задачи модель М/М/\:
|
Parameter |
Value |
Parameter |
Value |
Value*60 |
|
M/M/l (exponential service times) |
|
Average server utilization |
0,5 |
|
|
Arrival rate (lambda) |
15 |
Average number in the queue (Lg) |
0,5 |
|
|
Service rate (mu) |
30 |
Average number in the system (Ls) |
1 |
|
|
Number of servers |
1 |
Average time in the queue (Jf^) |
3.3E-02 |
2 |
|
Server cost $/time |
6 |
Average time in the system (И^) |
6.67Е-0І |
4 |
|
Waiting cost $/time |
2 |
Cost (Labor + # waiting’wait cost) |
7 |
|
|
|
|
Cost (Labor + # in system*wait cost) |
8 |
|
Среднее время, которое покупатель проводит в очереди, в этом случае сократилось до Wq = 2 мин, издержки по ожиданию в очереди и обслуживанию канала сократились до 7 долл. в час.
Если нанять второго кассира, тем самым создав в магазине двухканальную очередь (альтернатива В), темп обслуживания на каждом канале будет равен m = 20 покупателей в час. Используем для решения этой задачи модель M/M/S:
|
Parameter |
Value |
Parameter |
Value |
Value*60 |
|
M/M/S |
|
Average server utilization |
0,38 |
|
|
Arrival rate (lambda) |
15 |
Average number in the queue (Lq) |
0,12 |
|
|
Service rate (mu) |
20 |
Averagenumber in the system (Ls) |
0,87 |
|
|
Number of servers |
2 |
Average time in the queue (И^) |
8,18E—03 |
0,49 |
Servercost
$/time |
3 |
Average time in the system (И^) |
5.82E-02 |
3,49 |
|
Waiting cost $/time |
2 |
Cost (Labor + # waiting*wait cost) |
6,25 |
|
|
|
|
Cost (Labor + # in system*wait cost) |
7,75 |
|
Среднее время, которое покупатель проводит в очереди, в этом случае сократилось до Wq = 0,49 мин, издержки сократились до 6,25 долл. в час. Последний вариант более экономичен.
Ответ: Альтернативу В.
Задача 4. Решение. Заполним модель М/М/1:
|
Parameter |
Value |
Parameter |
Value |
|
M/M/l (exponential service times) |
|
Average server utilization |
0,5 |
|
Arrival rate (lambda) |
5 |
Averagenumber in the queue (Lq) |
0,5 |
|
Service rate (mu) |
10 |
Average number in the system (Ls) |
1 |
|
Number of servers |
1 |
Average time in the queue (И^) |
0,1 |
Servercost
$/time |
75 |
Average time in the system (И^) |
0,2 |
|
Waiting cost $/time |
100 |
Cost (Labor + # waiting*wait cost) |
125 |
|
|
|
Cost (Labor + # in system*wait cost) |
175 |
|
Parameter |
Value |
Parameter |
Value |
|
M/M/S |
|
Average server utilization |
0,25 |
|
Arrival rate (lambda) |
5 |
Average number in the queue (Lq) |
3.33E-02 |
|
Service rate (mu) |
10 |
Average number in the system (Ls) |
0,53 |
|
N umber of servers |
2 |
Average time in the queue (W^) |
6.67E-03 |
Servercost
$/time |
75 |
Average time in the system (W^) |
0,11 |
|
Waiting cost $/time |
100 |
Cost (Labor + fr waiting*wait cost) |
153,33 |
|
|
|
Cost (Labor + # in system*wait cost) |
203,33 |
Вероятность того, что док будет пуст, Ро = 1 - 0,5 = 0,5; среднее число судов в очереди Lq = 0,5; среднее время ожидания обслуживания Wq = 0,1 ч = 6 мин; среднее время пребывания в доке Ws = 0,2 ч = 12 мин. Построим двухканальную систему обслуживания:
Степень загрузки системы сократилась до 0,25, совокупные издержки увеличились на 28 долл. в час (203 - 175 = 28). Необходимости в строительстве второго дока нет.
Ответы: 1. 0,5. 2. 0,5 судна. 3. 6 мин. 4. 12 мин. 5. Нет необходимости.
Задача 5. Решение. Используем модель М/М/1:
|
Parameter |
Value |
Parameter |
Value |
|
М/М/1 (exponential service times) |
|
Average server utilization |
0,75 |
|
Arrival rate (lambda) |
15 |
Average number in the queue (Lq) |
2,25 |
|
Service rate (mu) |
20 |
Average number in the system (Ls) |
3 |
|
Number of servers |
1 |
Average time in the queue (lf^) |
0,15 |
|
Server cost $/time |
2 |
Average time in the system (W^) |
0,2 |
|
Waiting cost $/time |
3 |
Cost (Labor + # waiting*waitcost) |
8,75 |
|
|
|
Cost (Labor + # in system’wait cost) |
11 |
Если приобрести второй кассовый аппарат, создав в магазине двухканальную очередь, издержки сокращаются на 4,38 долл, в час (8,75 — 4,37 = 4,38):
|
Parameter |
Value |
Parameter |
Value |
|
M/M/S |
|
Average server utilization |
0,38 |
|
Arrival rate (lambda) |
15 |
Average number in the queue (Lq) |
0,12 |
|
Service rate (mu) |
20 |
Average number in the system (Ls) |
0,87 |
|
Number of servers |
2 |
Average time in the queue (Wq) |
8.18E-03 |
|
Server cost $/time |
2 |
Average time in the system (Ws) |
0,06 |
|
Waiting cost $/time ' |
3 |
Cost (Labor + # waiting'wait cost) |
4,37 |
|
|
|
Cost (Labor + # in system*wait cost) |
6,62 |
Включение третьего кассового аппарата ведет к увеличению издержек, поэтому нет необходимости в его приобретении:
|
Parameter |
Value |
Parameter |
Value |
|
M/M/S |
|
Average server utilization |
0,25 |
|
Arrival rate (lambda) |
15 |
Average number in the queue (Lq) |
1,47E—02 |
|
Service rate (mu) |
20 |
Average number in the system (Ls) |
0,76 |
|
Number of servers |
3 |
Average time in the queue (fVq) |
9,80E—04 |
|
Server cost $/time |
2 |
Average time in the system (Ж) |
5,10E—02 |
|
Waiting cost $/time |
3 |
Cost (Labor + # waiting*wait cost) |
6,04 |
|
|
|
Cost (Labor + # in system’wait cost) |
8,29 |
Ответы: 1. Да, есть. 2. Нет необходимости.
Задача 6. Решение.
А. Заполним модель М/М/1 (1 = 24 машины в час, m = 60/2 = 30 машин в час); одновременно заполним издержки по обслуживанию канала, включая оплату служащего, и издержки по простою клиентов в очереди:
|
Parameter |
Value |
Parameter |
Value |
Value*60 |
|
M/M/I (exponential service times) |
|
Average server utilization |
0,8 |
|
|
Arrival rate (lambda) |
24 |
Average number in the queue (Lq) |
3,2 |
|
|
Service rate (mu) |
30 |
Average number in the system (Ls) |
4 |
|
|
Number of servers |
1 |
Average time in the queue (W) |
0,13 |
8 |
Server cost
S/time |
26,5 |
Average time in the system (W^) |
0,17 |
10 |
|
Waiting cost $/time |
25 |
Cost (Labor + # waiting*wait cost) |
106,5 |
|
|
|
|
Cost (Labor + # in system*wait cost) |
126,5 |
|
Вероятность того, что в системе нет машин, Р0 = 1 - 0,8 = 0,2; среднее число машин в очереди Lq = 3,2; среднее время ожидания обслуживания Wq = 8 мин; среднее время пребывания в системе Ws = 10 мин; среднее число машин в системе Ls = 4;
вероятность того, что вновь прибывшей машине придется ждать, Рп>0 = 0,8.
В. Используем модель M/M/I (X = 24 машины в час, |і = 60/1,25 = 48 машин в час):
|
Parameter |
Value |
Parameter |
Value |
Value*60 |
|
M/M/l (exponential service times) |
|
Average server utilization |
0,5 |
|
|
Arrival rate (lambda) |
24 |
Average number in the queue (Lq) |
0,5 |
|
|
Service rate (mu) |
48 |
Average number in the system (Ls) |
1 |
|
|
Number of servers |
1 |
Average time in the queue (И^) |
2,08E—02 |
1,25 |
|
Server cost $/time |
33 |
Average time in the system (И^) |
4.17E-02 |
2,5 |
Waiting cost
S/time |
25 |
Cost (Labor + # waiting*wait cost) |
45,5 |
|
|
|
|
Cost (Labor + # in system’wait cost) |
58 |
|
Вероятность того, что в системе нет машин, Р0 = 1 - 0,5 = 0,5; среднее число машин в очереди Lq = 0,5; среднее время ожидания обслуживания Wq =1,25 мин; среднее время пребывания в системе Ws = 2,5 мин; среднее число машин в системе Ls= 1;
|
M/M/S (к = 24 машины в час, [і = 60/2 = 30 машин в час): |
|
|
|
Parameter |
Value |
Parameter |
Value |
Value*60 |
|
M/M/S |
|
Average server utilization |
0,4 |
|
|
Arrival rate (lambda) |
24 |
Average number in the queue (Lq) |
0,15 |
|
|
Service rate (mu) |
30 |
Average number in the system (Ls) |
0,95 |
|
вероятность того, что вновь прибывшей машине придется ждать, Рп>0 = 0,5.
С. Используем модель
Окончание таблицы
|
|
Parameter |
Value |
Parameter |
Value |
Va!ue*60 |
|
|
Number of servers |
2 |
Average time in the queue (W^) |
6.35E-03 |
0,381 |
|
Server cost $/time |
26,5 |
Average time in the system (fVs) |
3.97E-02 |
2,381 |
|
Waiting cost $/time |
25 |
Cost (Labor + # waiting*wait cost) |
56,81 |
|
|
|
|
Cost (Labor + # in system*wait cost) |
76,81 |
|
|
к |
Prob (num in sys = k) |
Prob (num in sys < k) |
Prob (num in sys > к) |
|
0 |
0,429 |
0,429 |
0,571 |
|
1 |
0,343 |
0,771 |
0,229 |
|
2 |
0,137 |
0,909 |
9Д43Е-02 |
|
3 |
5.486E—02 |
0,963 |
3.657E-02 |
|
4 |
2,194E—02 |
0,985 |
1.463E—02 |
|
|
|
|
|
Вероятность того, что в системе нет машин, Р0 = 0,43; среднее число машин в очереди Lq = 0,15; среднее время ожидания обслуживания Wq = 0,381 мин; среднее время пребывания в системе Ws = 2,381 мин; среднее число машин в системе Ls = 0,95;
вероятность того, что вновь прибывшей машине придется ждать, Рп>0 = 0,57.
Часовые издержки по обслуживанию каналов и простою клиентов в очереди в первом случае составляют 106,5 долл., во втором — 45,5 долл., в третьем — 56,81 долл. Можно сделать вывод, что вариант B для фирмы требует меньших затрат.
Ответ: Вариант В.
Задача 7. Решение.
При использовании одноканальной модели каждый механик находится в системе 4 мин. Определим
W..
.
темп обслуживания клиентов m, если ^ Л = 4 мин и 1 = 4 клиента в минуту. Темп
|
Parameter |
Value |
Parameter |
Value |
|
М/М/1 (exponential service times) |
|
Average server utilization |
0,94 |
|
Arrival rate (lambda) |
4 |
Average number in the queue (Lq) |
15,06 |
|
Service rate (mu) |
4,25 |
Average number in the system (Ls) |
16 |
|
Number of servers |
1 |
Average time in the queue (И') |
3,76 |
|
Server cost $/time |
12 |
Average time in the system (IP,) |
4 |
|
Waiting cost $/time |
20 |
Cost (Labor + # waiting*wait cost) |
313,18 |
|
|
|
Cost (Labor + # in system*wait cost) |
332 |
Среднее число клиентов в системе Ls = 16;
среднее время обслуживания одного клиента в системе равно W. - Wq = 0,23 мин; среднее число клиентов в очереди Lq = 15,06.
Построим двухканальную систему:
|
Parameter |
Value |
Parameter |
Value |
|
M/M/S |
|
Average server utilization |
0,47 |
|
Arrival rate (lambda) |
4 |
Average number in the queue (Lq) |
0,27 |
|
Service rate (mu) |
4,25 |
Average number in the system (Ls) |
1,21 |
|
Number of servers |
2 |
Average time in the queue (И^) |
0,067 |
|
Server cost $/time |
12 |
Average time in the system (И') |
0,30 |
|
Waiting cost $/time |
20 |
Cost (Labor + # waiting*waitcost) |
29,35 |
|
|
|
Cost (Labor + # in system’wait cost) |
48,18 |
Среднее число клиентов в системе Ls = 1,2;
среднее время обслуживания одного клиента в системе равно Ws - Wq = 0,23 мин; среднее число клиентов в очереди Lq = 0,27.
В одноканальной модели издержки по ожиданию и обслуживанию выше издержек двухканальной модели на 283,83 руб. в минуту (313,18 — 29,35 = 283,83).
Ответ: Двухканальная система.
Задача 8. Решение.
|
Parameter |
Value |
Parameter |
Value |
Value*60 |
|
М/D/1 (constant service times) |
|
Average server utilization |
0,3 |
|
|
Arrival rate (lambda) |
3 |
Average number in the queue (Lq) |
6,4E—02 |
|
|
Service rate (mu) |
10 |
Average number in the system (Ls) |
0,36 |
|
|
Number of servers |
1 |
Average time in the queue (И') |
2, IE—02 |
1,28 |
|
|
|
Average time in the system (IVS) |
0,12 |
7,286 |
Используем модель М/D/1: _
Среднее число автомобилей в очереди Lq = 0,064; среднее время ожидания Wq = 1,28 мин; в течение 30% рабочего времени система занята.
Ответы: 1. 0,064 автомобиля. 2. 1,28 мин. 3. 30% рабочего времени. Задача 9. Решение.
|
Parameter |
Value |
Parameter |
Value |
|
M/M/S with a finite population |
|
Average server utilization |
0,662 |
Arrival rate
PER CUSTOMER |
0,05 |
Average number in the queue (Lq) |
0,721 |
|
Service rate (mu) |
0,5 |
Average number in the system (Ls) |
1,383 |
Заполним модель M/MJS для случая работы одного механика:_
Окончание таблицы

|
к |
Prob (num in sys = к) |
Prob (num in sys S k) |
Prob (num in sys > k) |
|
0 |
0,338 |
0,338 |
0,662 |
|
1 |
0,270 |
0,609 |
0,391 |
|
2 |
0,189 |
0,798 |
0,202 |
|
3 |
0,113 |
0,912 |
8,789E—02 |
|
4 |
5.684Е-02 |
0,969 |
3.106E—02 |
|
5 |
0,023 |
0,992 |
8.321E-03 |
|
6 |
6,820Е—03 |
0,998 |
1.500E-03 |
|
7 |
0,001 |
0,999 |
1.363E—04 |
|
8 |
1.364Е-04 |
1 |
0 |
Вероятность того, что все машины работают и механик простаивает, Р0 = 0,338;
среднее число ожидающих ремонта машин Lq = 0,721;
среднее число машин в системе Ls = 1,383;
среднее время ожидания начала ремонта Wq = 2,18 ч;
среднее время нахождения в системе (ожидание и ремонт) Ws = 4,181 ч.
Если нанять второго механика, получим
|
|
|
Parameter |
Value |
Parameter |
Value |
|
|
|
|
M/M/S with a finite population |
|
Average server utilization |
0,360 |
|
|
|
|
Arrival rate
PER CUSTOMER |
0,05 |
Average number in the queue (Lg) |
0,065 |
|
|
|
|
Service rate (mu) |
0,5 |
Average number in the system (Ls) |
0,786 |
|
|
|
|
Number of servers |
2 |
Average time in the queue (Wg) |
0,179 |
|
|
|
|
Population size |
8 |
Average time in the system (iVs) |
2,179 |
|
|
|
|
Server cost $/time |
20 |
Effective Arrival Rate |
0,361 |
|
|
|
|
Waiting cost $/time |
80 |
Probability that customer waits |
0,139 |
|
|
|
|
|
|
Cost (Labor + # waiting*wait cost) |
45,17 |
|
|
|
|
|
|
Cost (Labor + # in system*wait cost) |
102,9 |
|
|
к |
Prob (num in sys = к) |
Prob (num in sys < k) |
Prob (num in sys > k) |
|
0 |
0,457 |
0,457 |
0,543 |
|
1 |
0,365 |
0,822 |
0,178 |
|
2 |
0,128 |
0,950 |
5,018E—02 |
|
3 |
3.836Е—02 |
0,988 |
0,012 |
|
4 |
9.589Е—03 |
0,998 |
2.236E-03 |
|
5 |
0,002 |
0,999 |
3.178E-04 |
|
6 |
2.877Е-04 |
0,999 |
3.010E-05 |
|
7 |
2,877Е—05 |
0,999 |
1,311 E—06 |
|
|
|
|
|
Вероятность того, что все машины работают и механик простаивает, Ро = 0,457;
среднее число ожидающих ремонта машин Lq = 0,065;
среднее число машин в системе Lq = 0,786;
среднее время ожидания начала ремонта Wq = 0,179 ч;
среднее время нахождения в системе (ожидание и ремонт) Ws = 2,179 ч.
С экономической точки зрения выгоднее нанять двух механиков.
Ответ: Двух механиков.
Задача 10. Решение.
Используем модель с ограниченной популяцией:
|
Parameter |
Value |
Parameter |
Value |
|
M/M/S with a finite population |
|
Average server utilization |
0,559 |
Arrival rate
PER CUSTOMER |
0,25 |
Average number in the queue (Lf) |
0,490 |
|
Service rate (mu) |
4 |
Average number in the system (Ls) |
1,049 |
|
Numberof servers |
1 |
Average time in the queue (,Wq) |
0,219 |
|
Population size |
10 |
Average time in the system (Ws) |
0,469 |
|
Server cost $/time |
30 |
Effective Arrival Rate |
2,238 |
|
Waiting cost $/time |
50 |
Probability that customer waits |
0,508 |
|
|
|
Cost (Labor + # waiting*wait cost) |
54,48 |
|
|
|
Cost (Labor + # in system*wait cost) |
82,45 |
|
к |
Prob (num in sys = k) |
Prob (num in sys < к) |
Prob (num in sys > к) |
|
0 |
0,440 |
0,440 |
0,559 |
|
1 |
0,275 |
0,716 |
0,284 |
|
2 |
0,155 |
0,870 |
0,129 |
|
3 |
7.744E—02 |
0,948 |
5.176E-02 |
|
4 |
3.388E—02 |
0,982 |
1.788E—02 |
|
5 |
0,013 |
0,995 |
5.174E-03 |
|
6 |
3,970E—03 |
0,999 |
1.203E—03 |
|
7 |
9.926E—04 |
0,999 |
2.108E—04 |
|
8 |
1,86 IE—04 |
0,999 |
2.474E-05 |
|
9 |
2.326E-05 |
0,999 |
1.490E—06 |
|
|
|
|
|
Вероятность того, что ни один грузовик не ожидает погрузки-разгрузки, Р0 = 0,44; среднее число грузовиков в очереди Lq = 0,490; среднее число грузовиков у магазина Ls = 1,049; среднее время ожидания Wq = 0,219 ч = 13 мин;
Издержки по функционированию системы равны 54,48 долл. в час.
Ответ: 54,48 долл.
Глава 14. Имитационное моделирование
Имитация — это попытка дублировать особенности, внешний вид и характеристики реальной системы. Идея имитации реализуется следующим образом:
1) математическое описание реальной ситуации;
2) изучение ее свойств и особенностей;
3) формирование выводов и принятие решений, связанных с воздействием на эту ситуацию и основанных на результатах имитации.
Важно, что реальная система не подвергается воздействию до тех пор, пока преимущества или недостатки тех или иных управленческих решений не будут оценены с помощью модели этой системы.
После того как вы выполните задания, предлагаемые в этой главе, вы. будете уметь использовать для экономического анализа:
• имитацию;
• интервал случайных чисел;
• метод Монте-Карло;
• таблицу случайных чисел.
Модели
Метод Монте-Карло (метод статистических испытаний) состоит из четырех этапов:
1. Построение математической модели системы, описывающей зависимость моделируемых характеристик от значений стохастических переменных.
2. Установление распределения вероятностей для стохастических переменных.
3. Установление интервала случайных чисел для каждой стохастической переменной и генерация случайных чисел.
4. Имитация поведения системы путем проведения многих испытаний и получение оценки моделируемой характеристики системы при фиксированных значениях параметров управления. Оценка точности результата.
Описание этапов:
Первый этап. Стохастическая имитационная модель (ИМ) некоторой реальной системы может быть представлена как динамическая система, которая под воздействием внешних случайных входных сигналов (входных переменных) изменяет свое состояние (случайные переменные состояния), что в свою очередь приводит к изменению выходных сигналов (выходных переменных):
S№1=F(S/fIw),
U, = R(S,.),
где F, R — вектор-функции;
I;, U;, Si — векторы соответственно входных, выходных переменных и переменных состояния системы в тактовый момент моделирования i.
Имитационная модель — это экспериментальная модель системы, в которой искусственно воспроизводятся случайности, имеющие место в реальной системе. Она представляет собой совокупность математических соотношений между входными, выходными переменными и переменными состояния в сочетании с алгоритмической реализацией некоторых зависимостей.
Существует два подхода в имитационном моделировании динамических процессов.
Первый заключается в том, что весь период моделирования разбивается на равные промежутки времени (такты моделирования) и анализ состояния системы, а также значений выходных переменных производится через одинаковые промежутки времени. При таком подходе возникает проблема выбора «правильной» продолжительности такта. Кроме того, не исключается появление тактов, в которых состояние системы по сравнению с предыдущим не изменилось.
При втором подходе величина такта моделирования не фиксируется, моделирование в этом случае происходит в момент наступления одного из «существенных» событий. Например, при моделировании производственного процесса на предприятии такими событиями могут быть освобождение или начало загрузки станка, поступление на обработку детали, невыход на работу станочника, исчерпание запаса необходимых комплектующих деталей на складе и др. Именно второй подход чаще всего используется на практике и поддерживается современными языками моделирования.
Второй этап. Случайные величины, используемые в ИМ, могут быть дискретными или непрерывными. В первом случае необходимо знать их распределения, во втором — плотности распределений. Эти зависимости могут быть известны из теории, определены в результате специальных исследований либо заданы в качестве гипотезы. Точность модели (при прочих равных условиях) зависит от того, насколько точно заданы указанные распределения (плотности распределений).
Третий этап. Моделирование случайных величин при компьютерных имитационных экспериментах производится с помощью датчика псевдослучайных чисел, предусмотренного в любом современном языке программирования. Обычно это датчик случайных чисел с равномерным распределением на интервале [0, 1]. Если известны вероятности наступления событий, то, используя такой датчик, можно отвечать на вопросы: «Какое из N возможных событий произошло?» или «Какое значение приняла случайная величина?»
Предположим, что в ИМ используется случайная величина X, принимающая дискретные значения х1,
N
І Pk =1
х2,..., XN с вероятностями соответственно pb P2,..., Pn ( k=1 ). Получение некоторой реализации
этой переменной в модели производится следующим образом.
Строится функция распределения случайной величины X. Указанная функция определяется посредством равенства F(X) = Ipk, в котором суммирование распространяется на все индексы, для которых хк < X. С помощью датчика случайных чисел получают случайное число и из отрезка [0, 1].
Из равномерности распределения получаемых случайных чисел следует, что вероятность получения случайного числа из произвольного интервала, включенного в [0, 1], равна длине этого интервала. Поэтому вероятность реализации Х = хк равна вероятности попадания полученного от датчика случайного числа и в произвольный интервал длиной pk на отрезке [0, 1]. Можно, таким образом, утверждать, что если очередное число и датчика удовлетворяет неравенствам 0 < и < рь то имеет место реализация Х = хі, в случае pi < и < pi + р2 — реализация Х = Х2 и т.д. В общем случае для к = 2,
I Pj I Pj
..., N: если 1 < и < j 1 , то Х = Хк.
Заметим, что границы указанных неравенств совпадают со значениями построенной выше функции распределения F(X).
Удобнее, однако, иметь дело не с дробными значениями границ интервалов, в которые попадает случайное число и, а с их целочисленными значениями, тем более, что с помощью датчиков случайных чисел можно генерировать числа из любого диапазона. Чтобы получить целые значения границ интервалов, достаточно умножить все pk на 10d, где d — целое, минимальное значение которого равно максимальной точности (максимальному числу знаков после десятичной точки) чисел Pk, k = 1,..., N. Например, если {рк} = {0,3; 0,153; 0,5; 0,047}, то минимальное значение d равно 3 (все рk нужно умножить на 1000). Таким образом, 10d определяет длину интервала значений рассматриваемой случайной величины в ИМ.
Четвертый этап. Точность статистических оценок параметров реальной системы зависит от числа наблюдений (объема выборки). Погрешности в оценках обусловлены как статистическим характером самой модели, так и влиянием начальных данных (начального состояния имитационной системы), а также возможной автокорреляцией последовательных значений некоторого параметра в процессе моделирования. Очевидно, что с увеличением числа испытаний точность моделирования должна возрастать. Ввиду того что увеличение объема выборки связано с ростом затрат на моделирование, важно уметь определять минимальное число испытаний, необходимое для достижения заданной точности оценки с заданной вероятностью.
Широкое распространение получили два метода статистических испытаний. Один из них предполагает проведение достаточно большого числа Т последовательных наблюдений в течение одного прогона модели (одного сеанса имитирования).
Другой метод заключается в реализации т независимых прогонов модели, т.е. в да-кратном повторении одного и того же цикла имитирования. При этом, если мы хотим получить в сумме Т наблюдений, в течение каждого прогона можно делать по Т/т (допустим, что это число целое) наблюдений. Оба метода дают примерно одинаковый результат.
Пусть значения yt (t = 1,..., Т) представляют собой результаты Т последовательных измерений значений случайной величины у во время одного и того же сеанса имитации. Среднее по времени значение у определяется выражением
г
У = ?ІУІ/Т-
Обозначим через m математическое ожидание случайной величины у. Тогда для достаточно большого T получаем
|
Х~Р" |
 |
Оценка дисперсии У (если временной ряд не является автокоррелированным) имеет вид
где D(y) — дисперсия случайной величины у.
Для оценки качества результатов, полученных методом Монте-Карло при неизвестной дисперсии наблюдаемой случайной величины, предположим, что Z — характеристика, которая должна быть определена (вероятность события, математическое ожидание, дисперсия и т.п.), a X — ее значение, уточняемое по мере накопления данных, остающееся случайным вследствие ограниченности числа T проведенных наблюдений. В этих условиях можно говорить о вероятности p(\Z - XI < e) по
отношению к интересующей нас характеристике. Величина |Z - e| представляет собой погрешность в оценке Z, a e — некоторый допустимый ее предел.

Из неравенства Чебышева следует
Из этого неравенства следует
откуда при заданных р и e и при известной зависимости De (Т) можно найти предельно необходимое Т.

Известно, что истинная дисперсия выборочного распределения для расчетного среднего обратно пропорциональна суммарному числу наблюдений Т, т.е.
где d не зависит от Т.
В начале имитационного процесса требуемое число наблюдений определить обычно не удается, поскольку d неизвестно. Поэтому, как правило, эксперимент проводят в два этапа.
На первом этапе число испытаний выбирается относительно небольшим, в результате определяется величина d. После этого можно уже определить, сколько дополнительных наблюдений необходимо, чтобы была достигнута требуемая точность.
Предельное число наблюдений То определяется формулой To = d/[(1 - p)e2].
При любом числе наблюдений больше Т0 обеспечивается требуемая точность.
Примеры
Пример 1. Моделирование объема спроса на автомашины.
|
Стохастическая переменная — величина спроса |
Частота реализации значений стохастической переменной |
Вероятность
реализации |
Значение функции распределения |
Интервал случайных чисел |
|
0 |
10 |
10/200 = 0,05 |
0,05 |
От 01 до 05 |
|
1 |
20 |
20/200 = 0,1 |
0,15 |
От 06 до 15 |
|
2 |
40 |
40/200 = 0,2 |
0,35 |
От 16 до 35 |
|
3 |
60 |
60/200 = 0,3 |
0,65 |
От 36 до 65 |
|
4 |
40 |
40/200 = 0,2 |
0,85 |
От 66 до 85 |
|
5 |
30 |
30/200 = 0,15 |
1,00 |
От 86 до 00 |
|
Итого |
200 |
1,00 |
|
|
Наблюдения за объемом продаж автомобилей в салоне «ЛОГОВАЗ» в течение 200 дней показали, что величина спроса изменяется от 0 до 5 автомобилей в день. Частота реализации значений стохастической переменной приведена во втором столбце таблицы:_
Постройте модель, позволяющую имитировать значение величины спроса.
Решение. Построим функцию распределения величины спроса и интервалы случайных чисел для значений стохастической переменной. Соответствующие значения указаны в четвертом и пятом столбцах вышеприведенной таблицы.
Сымитируем спрос на автомашины в салоне «ЛОГОВАЗ» в течение 10 последующих дней (случайные числа из таблицы случайных чисел (Приложение 2) выбираем, начиная из верхнего левого угла и двигаясь вниз в первом столбце):
|
Номер дня |
Случайное число |
Имитированный дневной спрос |
|
1 |
52 |
3 |
|
2 |
37 |
3 |
|
3 |
82 |
4 |
|
4 |
69 |
4 |
|
5 |
98 |
5 |
|
6 |
96 |
5 |
|
7 |
33' |
2 |
|
8 |
50 |
3 |
|
9 |
88 |
5 |
|
10 |
90 |
5 |
В результате получаем: 39 — спрос за 10 дней; 39/10 = 3,9 — средний ежедневный спрос.
Оценка 3,9 средней величины спроса, полученная в результате имитационного эксперимента, существенно отличается от значения 2,95 — математического ожидания этой случайной величины. Однако эта разница уменьшается с ростом числа испытаний.
Пример 2. Моделирование очереди на разгрузку.
Груженые баржи, отправляемые вниз по Волге из индустриальных центров, достигают Астрахани. Число барж, ежедневно входящих в док, колеблется от 0 до 5. Вероятность прихода 0, 1,..., 5 барж показана в таблице:
|
Число барж |
Вероятность |
Интегральная вероятность |
Интервал случайных чисел |
|
0 |
0,13 |
0,13 |
От 01 до 13 |
|
1 |
0,17 |
0,30 |
От 14 до 30 |
|
2 |
0,15 |
0,45 |
От 31 до 45 |
|
3 |
0,25 |
0,70 |
От 46 до 70 |
|
4 |
0,20 |
0,90 |
От 71 до 90 |
|
5 |
0,10 |
1,00 |
От 91 до 00 |
В этой же таблице указаны интегральные вероятности и соответствующие интервалы случайных чисел для каждого возможного значения.
Аналогичная информация дана о числе разгружаемых барж:_
|
|
|
Ежедневный темп разгрузки |
Вероятность |
Интегральная
вероятность |
Интервал случайных чисел |
|
1 |
0,05 |
0,05 |
От 01 до 05 |
|
2 |
0,15 |
0,20 |
От 06 до 20 |
|
3 |
0,50 |
0,70 |
От 21 до 70 |
|
4 |
0,20 |
0,90 |
От 71 до 90 |
|
5 |
0,10 |
1,00 |
От 91 до 00 |
Постройте модель, позволяющую имитировать очередь на разгрузку.
Решение. Проведем эксперимент, имитирующий очередь на разгрузку барж в порту Астрахани: |
Окончание таблицы
|
День |
Число барж, простаивающих с предыдущего дня |
Случай
ное
число |
Число прибывших за день барж |
Число барж, ожидающих разгрузку |
Случай
ное
число |
Число
разгру
женных
барж |
|
12 |
2 |
91 |
5 |
7 |
85 |
4 |
|
13 |
3 |
35 |
2 ’ |
5 |
90 |
4 |
|
14 |
1 |
32 |
2 |
3 |
73 |
3 |
|
15 |
0 |
00 |
5 |
5 |
59 |
3 |
|
Итого |
20
(общий
простой) |
|
41
(всего
прибыло) |
|
|
39
(всего
разгру
жено) |
В результате эксперимента получены:
оценка среднего числа барж, простаивающих в течение суток, равная 2%5; оценка среднего числа барж, прибывающих в течение суток, равная 41/і5; оценка среднего числа барж, разгруженных в течение суток, равная 39/і5.
Пример 3. Имитация стратегии резервирования.
Магазин электрооборудования продает электрические дрели. В течение 300 дней директор магазина
|
Спрос на дрели |
Частота |
Вероятность |
Интегральная
вероятность |
Интервалы случайных чисел |
|
0 |
15 |
0,05 |
0,05 |
От 01 до 05 |
|
1 |
30 |
0,10 |
0,15 |
От 06 до 15 |
|
2 |
60 |
0,20 |
0,35 |
От 16 до 35 |
|
3 |
120 |
0,40 |
0,75 |
От 36 до 75 |
|
4 |
45 |
0,15 |
0,90 |
От 76 до 90 |
|
5 |
30 |
0,10 |
1,00 |
От 91 до 00 |
|
Итого |
300 дней |
1,00 |
|
|
|
День |
Число барж, простаивающих с предыдущего дня |
Случай
ное
число |
Число прибывших за день барж |
Число барж, ожидающих разгрузку |
Случай
ное
число |
Число
разгру
женных
барж |
|
1 |
- |
52 |
3 |
3 |
37 |
3 |
|
2 |
0 |
06 |
0 |
0 |
63 |
0 |
|
3 |
0 |
50 |
3 |
3 |
28 |
3 |
|
4 |
0 |
88 |
4 |
4 |
02 |
1 |
|
5 |
3 |
53 |
3 |
6 |
74 |
4 |
|
6 |
2 |
30 |
1 |
3 |
35 |
3 |
|
7 |
0 |
10 |
0 |
0 |
24 |
0 |
|
8 |
0 |
47 |
3 |
3 |
03 |
1 |
|
9 |
2 |
99 |
5 . |
7 |
29 |
3 |
|
10 |
4 |
37 |
2 |
6 |
60 |
3 |
|
11 |
3 |
66 |
3 |
6 |
74 |
4 |
Проводков регистрировал дневной спрос на дрели. Распределение вероятностей величины спроса показано в таблице;_ _
Когда Проводков делает заказ, чтобы возобновить свои запасы электрических дрелей, его выполнение
происходит с лагом в 1, 2 или 3 дня. Это означает, что время восстановления запаса подчиняется вероятностному распределению. В следующей таблице указаны сроки, вероятности сроков выполнения заказов и интервалы случайных чисел, которые удалось определить на основе информации о 50 заказах:
|
Срок выполнения заказа |
Частота |
Вероятность |
Интегральная
вероятность |
Интервалы случайных чисел |
|
1 |
10 |
0,20 |
0,20 |
От 01 до 20 |
|
2 |
25 |
0,50 |
0,70 |
От 21 до 70 |
|
3 |
15 |
0,30 |
1,00 |
От 71 до 00 |
|
Итого |
50
заказов |
1,00 |
|
|
Стратегия резервирования, которую хочет имитировать Проводков, — делать заказ в объеме 10 дрелей при запасе на складе 5 шт. Проводков оценил, что каждый заказ на дрели обходится ему в 10 руб., хранение каждой дрели — в 5 руб. в день, одна упущенная продажа — в 80 руб. Цель эксперимента — оценить величину средних ежедневных затрат для этой стратегии управления запасами.
Решение. Реализуется четырехшаговый процесс имитации:
1. Каждый имитируемый день начинается с проверки, поступил ли сделанный заказ. Если заказ выполнен, то текущий запас увеличивается на величину заказа (в данном случае — на 10 единиц).
2. Путем выбора случайного числа генерируется дневной спрос для соответствующего распределения вероятностей.
3. Рассчитывается итоговый запас, равный исходному запасу за вычетом величины спроса. Если запас недостаточен для удовлетворения дневного спроса, спрос удовлетворяется, насколько это возможно. Фиксируется число нереализованных продаж.
4. Определяется, снизился ли запас до точки восстановления (в примере — 5 единиц). Если да, причем не ожидается поступления заказа, сделанного ранее, то делается заказ.
|
День |
По
ступ
ление |
На
чаль
ный
запас |
СЧ |
Спрос |
Ко
неч
ный
запас |
Потери
про
даж |
Делать
заказ? |
СЧ |
Срок
выпол
нения |
|
1 |
0 |
10 |
06 |
1 |
9 |
0 |
Нет |
|
|
|
2 |
0 |
9 |
63 |
3 |
6 |
0 |
Нет |
|
|
|
3 |
0 |
6 |
57 |
3 |
3 |
0 |
Да |
02 |
1 |
|
4 |
0 |
3 |
94 |
5 |
0 |
2 |
Нет |
|
|
|
5 |
10 |
10 |
52 |
3 |
7 |
0 |
Нет |
|
|
|
6 |
0 |
7 |
69 |
3 |
4 |
0 |
Да |
33 |
2 |
|
7 |
0 |
4 |
32 |
2 |
2 |
0 |
Нет |
|
|
|
8 |
0 |
2 |
30 |
2 |
0 |
0 |
Нет |
|
|
|
9 |
10 |
10 |
48 |
3 |
7 |
0 |
Нет |
|
|
|
10 |
0 |
7 |
88 |
4 |
3 |
0 |
Да |
14 |
1 |
|
Итого |
|
|
|
|
41 |
2 |
|
|
|
Первый эксперимент Проводкова (объем заказа — 10 шт., точка восстановления запаса — 5 шт.; СЧ — случайное число): _
Результат имитационного эксперимента: конечный суммарный запас — 41 единица; средний конечный запас 41/10 =4,1 единицы; число упущенных продаж — 2;
среднее число упущенных продаж 2/10 = 0,2 шт. в день; среднее число заказов 3/10 = 0,3 заказа в день.
Определим три составляющие затрат:
Ежедневные затраты на заказы = Затраты на один заказ х Среднее число заказов в день = 10 • 0,3 = 3 руб. Ежедневные затраты на хранение = Затраты на хранение одной единицы в течение дня х Средняя величина конечного запаса = 5 • 4,1 = 20,5 руб.
Ежедневные упущенные продажи = Прибыль от упущенной продажи х Среднее число упущенных продаж в день = 80 • 0,2 = 16 руб.
Таким образом,
Общие ежедневные затраты = Затраты на заказы + Затраты на хранение + Упущенные продажи = 3 + 20,5 + 16 = 39,5 руб.
Вопросы
Вопрос 1. Для моделирования случайной величины Х в имитационной модели используется метод Монте-Карло. Случайная величина X может принимать значения 2, 3 и 4. При 200 наблюдениях эти значения реализуются с частотами 42, 88 и 70 соответственно. Определите интервал случайных чисел для значения Х = 3.
Варианты ответов:
1) от 1 до 42;
2) от 43 до 88;
3) от 22 до 65;
4) от 43 до 65;
5) от 66 до 100.
Вопрос 2. Метод имитации называется методом Монте-Карло, если:
1) для проведения вычислений используется компьютер;
2) метод позволяет сэкономить деньги;
3) метод использует значения вероятностей;
4) все вышеуказанное является верным;
5) ничто из вышеуказанного не является верным.
Вопрос 3. Длина интервала случайных чисел:
1) зависит от значения моделируемой переменной;
2) зависит от частоты наступления событий;
3) зависит от интегральной вероятности;
4) устанавливается произвольно;
5) равна единице.
Вопрос 4. Для моделирования случайной величины Х в имитационной модели используется метод Монте-Карло. Случайная величина X может принимать значения 6, 7 и 8. При 200 наблюдениях эти значения реализуются с частотами 28, 72 и 100 соответственно. Определите интервал случайных чисел для значения X = 7.
Варианты ответов:
1) от 1 до 28;
2) от 29 до 72;
3) от 15 до 50;
4) от 51 до 100;
5) от 1 до 72.
Вопрос 5. Параметрами управления в имитационной системе управления запасами являются:
1) темп обслуживания и время выполнения заказа;
2) размер запаса и темп производства;
3) величина спроса и время выполнения заказа;
4) размер запаса и время выполнения заказа;
5) издержки хранения и время выполнения заказа.
Задачи
Задача 1. Компания Шустрова обслуживает и сдает внаем квартиры в большом жилом комплексе. Иван Шустров хотел бы оценить предполагаемые затраты на замену компрессоров для кондиционирования воздуха. Он хотел бы определить число компрессоров, выходящих из строя ежегодно в течение 20 лет. Используя данные по аналогичному жилому комплексу, которым его компания владеет в другом городе, Шустров получил относительные частоты выхода компрессоров из строя:
|
Число компрессоров, вышедших из строя |
Вероятность(относительная частота) |
|
0 |
0,06 |
|
1 |
0,13 |
|
2 |
0,25 |
|
3 |
0,28 |
|
4 |
0,20 |
|
5 |
0,07 |
|
6 |
0,01 |
Он решил провести имитационный эксперимент, используя двузначные случайные числа, начиная с числа 37 второй строки таблицы случайных чисел (см. Приложение 2).
Вопросы:
1. Найдутся ли последовательно три года, в каждом из которых из строя выйдет ровно один компрессор?
2. Найдутся ли последовательно три года, в каждом из которых из строя выйдут ровно два компрессора? Задача 2. Количество машин, прибывающих на автомойку Марка Беззаботного каждый час, за
последние 200 часов ее работы приведено в следующей таблице:
|
Число машин, прибывающих каждый час |
Частота |
|
3 и менее |
0 |
|
4 |
20 |
|
5 |
30 |
|
6 |
50 |
|
7 |
60 |
|
8 |
40 |
|
9 и более |
0 |
|
Итого |
200 |
Постройте распределение вероятностей и интегральное распределение вероятностей для количества прибывающих машин. Определите для этой переменной интервалы случайных чисел. Сымитируйте прибытие машин в течение 15 часов работы мойки.
Выберите необходимые для имитации случайные числа из четвертой строки таблицы случайных чисел, начиная со значения 69 (см. Приложение 2).
Вопросы:
1. Сколько машин прибудет в первый час?
2. Сколько машин в среднем прибывает в час?
|
Число барж |
Вероятность |
|
0 |
0,13 |
|
1 |
0,17 |
|
2 |
0,15 |
Задача 3. Груженые баржи, отправляемые вниз по Волге из индустриальных центров, к вечеру достигают Астрахани. Число барж, ежедневно входящих в док, колеблется от 0 до 5. Вероятность прихода 0, 1, ..., 5 барж, а также количество разгружаемых барж и соответствующие вероятности указаны в следующих таблицах: __
Окончание таблицы
|
Число барж |
Вероятность |
|
3 |
0,25 |
|
4 |
0,20 |
|
5 |
0,10 |
|
Ежедневный темп разгрузки |
Вероятность |
|
1 |
0,03 |
|
2 |
0,12 |
|
3 |
0,40 |
|
4 |
0,28 |
|
5 |
0,12 |
|
6 |
0,05 |
Сымитируйте 15 дней работы порта. Используйте для генерирования числа прибывающих барж случайные числа с начала первой строки таблицы случайных чисел, а для генерирования числа разгруженных барж — с начала второй строки этой таблицы (см. Приложение 2).
Вопросы:
1. Сколько в среднем барж простаивает в день?
2. Сколько в среднем барж приходит ежедневно?
3. Сколько в среднем барж разгружается ежедневно?
Задача 4. Центральный травматологический пункт в Москве имеет шесть отделений:
1) приемное (где может быть оказана неотложная помощь и ставится диагноз) — А;
2) рентгеновское — В;
3) операционное — С;
4) протезное — D;
5) диагностическое (где проводится обследование для уточнения диагноза) — Е;
6) выписки (где оформляются больничные документы и осуществляется оплата) — F.
|
Из отделения |
В отделение |
Вероятность |
Из отделения |
В отделение |
Вероятность |
|
А |
В |
0,45 |
с |
D |
0,25 |
|
С |
0,15 |
Е |
0,70 |
|
Е |
0,10 |
F |
0,05 |
|
F |
0,30 |
D |
Е |
0,55 |
|
В |
С |
0,10 |
В |
0,05 |
|
D |
0,25 |
F |
0,40 |
|
Е |
С |
0,15 |
|
Е |
0,35 |
|
В |
0,15 |
|
F |
0,30 |
F |
0,70 |
Вероятности перехода пациента из одного отделения в другое указаны в следующей таблице:
Сымитируйте передвижение в травматологическом пункте для 10 пациентов. Рассматривайте одного пациента в течение всего времени с момента, когда он поступает в приемное отделение, и до момента, когда он выписывается. Вам следует учитывать, что пациент может попадать в одно и то же отделение более одного раза. Используйте для генерирования переходов случайные числа из пятой строки таблицы случайных чисел (см. Приложение 2).
Вопросы:
1. Сколько раз (максимум) один пациент посетит отделение В?
2. Сколько раз в среднем один пациент посетит отделение D?
Задача 5. Штаб военно-воздушной дивизии использует большое количество компьютерных графопостроителей. Графопостроитель наносит на лист бумаги линии в различных направлениях до тех пор, пока не будет сделан весь рисунок. В графопостроителе используется четыре пера различных цветов. Каждое перо может выйти из строя. В этом случае выходит из строя весь графопостроитель и требуется замена соответствующего пера. В штабе замена проводится каждый раз, когда перо выходит из строя. Инженер, обслуживающий графопостроители, предложил при выходе из строя одного пера проводить замену сразу всех четырех перьев. Это должно уменьшить число выходов из строя графопостроителей. На замену одного пера требуется один час, на замену всех
четырех перьев — два часа. Стоимость простоя графопостроителя в течение часа 50 тыс. руб. Каждое перо стоит 8 тыс. руб.
Время, проходящее между выходами графопостроителя из строя, распределяется следующим образом:
|
Время между поломками, ч |
Вероятность |
|
100 |
0,15 |
|
по |
0,25 |
|
120 |
0,35 |
|
130 |
0,20 |
|
140 |
0,05 |
|
Время между поломками, ч |
Вероятность |
|
10 |
0,05 |
|
20 |
0,15 |
|
30 |
0,15 |
|
40 |
0,20 |
|
50 |
0,20 |
|
60 |
0,15 |
|
70 |
0,10 |
Сымитируйте две различные стратегии и определите лучшую. Используйте для генерирования поломок случайные числа из четвертой строки таблицы случайных чисел (см. Приложение 2). Проведите десять испытаний.
Вопросы:
1. Следует ли заменять сразу все четыре пера?
2. Какую экономию обеспечивает лучшая стратегия в течение месяца работы графопостроителя?
Задача 6. Доктор Елена Прекрасная имеет зубоврачебную практику в Москве. Елена составляет
|
Пациент |
Время приема, назначенное пациенту |
Предполагаемое время обслуживания |
|
Иванов |
9:30 |
15 |
|
Новиков |
9:45 |
20 |
|
Грачев |
10:15 |
15 |
|
Васильева |
10:30 |
10 |
|
Сычев |
10:45 |
30 |
|
Галеев |
11:15 |
15 |
|
Гринев |
11:30 |
20 |
|
Лапин |
11:45 |
15 |
расписание своего приема для того, чтобы пациентам не пришлось долго ожидать. В таблице приведено расписание на 20 мая:______
К сожалению, не все пациенты приходят точно к назначенному времени. К тому же и время обслуживания нельзя указать точно. Опыт Елены указывает на то, что:
а) 20% пациентов придут на 20 мин раньше;
б) 10% — на 10 мин раньше;
в) 40% — вовремя;
г) 25% — на 10 мин позже;
д) 5% — на 20 мин позже.
Кроме того:
а) в 15% случаев на обслуживание понадобится на 20% меньше времени, чем указано;
б) в 50% — столько, сколько указано;
в) в 25% — на 20% больше времени;
г) в 10% — на 40% больше времени.
Доктор Елена Прекрасная хотела бы закончить прием 20 мая в 12:15 для того, чтобы вылететь в Минск на конференцию стоматологов. В этот день Елена готова начать прием в 9:30. Пациенты обслуживаются в порядке, указанном в расписании (даже если один пациент приходит раньше, чем назначенный на прием перед ним).
Используйте для генерирования времени прихода и обслуживания пациентов случайные числа из первой строки таблицы случайных чисел (см. Приложение 2).
Вопросы:
1. На сколько минут позже желательного срока закончится прием?
2. Скольким пациентам, пришедшим вовремя, придется ожидать приема?
Задача 7. Магазин Петушкова поддерживает на складе запас 30-ведерных водонагревателей для владельцев индивидуальных домов. Хозяин магазина хотел бы иметь под рукой максимальный запас водонагревателей, чтобы удовлетворить любой спрос. Однако он понимает, что это невыгодно из-за высокой стоимости их хранения. Он проследил за объемом продаж водонагревателей за последние 50 недель и отметил следующее:
|
Объем продаж водонагревателей за неделю |
Число недель, в которые наблюдался этот объем продаж |
|
4 |
6 |
|
5 |
5 |
Окончание таблицы
|
Объем продаж водонагревателей за неделю |
Число недель, в которые наблюдался этот объем продаж |
|
6 |
9 |
|
7 |
12 |
|
8 |
8 |
|
9 |
7 |
|
10 |
3 |
Используйте для имитации седьмую строку таблицы случайных чисел (см. Приложение 2).
Вопросы:
1. Если Петушков будет иметь еженедельный запас в 8 водонагревателей, то сколько раз за 20 недель ему не хватит этого запаса для удовлетворения спроса?
2. Каков объем продаж за 20 недель?
Задача 8. Владелец магазина Петушков уточнил данные о продаже водонафевателей (см. задачу 7), проведя учет за 100 недель, и построил следующее распределение объема продаж:
|
Объем продаж водонагревателей за неделю |
Число недель, в которые наблюдался этот объем продаж |
|
3 |
2 |
|
4 |
5 |
|
5 |
10 |
|
6 |
15 |
|
7 |
25 |
|
8 |
21 |
|
9 |
12 |
|
10 |
10 |
Определите объем упущенных продаж в новых условиях. Используйте для имитации шестую строку таблицы случайных чисел (см. Приложение 2).
Вопросы:
1. Чему равен объем упущенных реализации за 20 недель, если еженедельный запас водонагревателей равен 8?
2. Чему равно среднее число продаж в неделю?
|
Доход, руб. |
Вероятность |
|
350 |
0,4 |
|
400 |
0,2 |
|
450 |
0,3 |
|
500 |
0,1 |
Задача 9. Маша Кондратьева, аспирантка МГУ, испытывает некоторые проблемы с личным бюджетом. Ее доход складывается из стипендии и гонораров за реферативные статьи. Распределение уровня ее доходов в месяц показано в следующей таблице:_
Предполагается, что доход поступает на ее счет и учитывается в начале следующего месяца. Расходы Маши также меняются от месяца к месяцу и подчиняются следующему распределению вероятностей: ____
|
Расход, руб. |
Вероятность |
|
300 |
0,10 |
|
400 |
0,45 |
|
500 |
0,30 |
|
600 |
0,15 |
В начале текущего года обучения на ее счете было 600 руб. Сымитируйте текущий год (12 месяцев) и оцените финансовое положение Маши. Предполагается, что реальные расходы Маши не могут превышать суммы на счете. Используйте для имитации шестую строку таблицы случайных чисел (см. Приложение 2).
Вопросы:
1. Сколько месяцев из 12 Маша будет испытывать дефицит бюджета?
2. Какая сумма останется на счете у Маши в конце текущего года?
|
Объем продаж в месяц, шт. |
Число месяцев, в которые наблюдался этот объем продаж |
|
6 |
8 |
|
7 |
11 |
|
8 |
17 |
|
9 |
33 |
|
10 |
25 |
|
11 |
3 |
|
12 |
3. |
Задача 10. Даша Василькова — менеджер московского салона фирмы «Мерседес-Бенц». В последние 100 месяцев объем продаж фирмы колеблется от 6 до 12 новых автомобилей. Частота различных объемов продаж показана в следующей таблице:_
|
Даша считает, что продажа будет идти в тех же объемах еще 24 месяца. Время выполнения заказа на поставки распределяется следующим образом:__ |
|
|
|
Время поставок, месяцы |
Вероятность |
|
1 |
0,44 |
|
2 |
0,33 |
|
3 |
0,16 |
|
4 |
0,07 |
Даша Василькова каждый раз заказывает 21 автомобиль (3 трейлера по 7 автомобилей в каждом); при этом новый заказ можно делать тогда, когда запас в магазине снижается до 12 автомобилей и только после выполнения предыдущего заказа. Сымитируйте эту стратегию в течение 24 месяцев. Используйте для имитации вторую строку таблицы случайных чисел (см. Приложение 2). Считайте, что:
а) начальный запас составляет 28 автомобилей;
б) затраты на хранение одной автомашины составляют в месяц 0,6 тыс. руб.;
в) одна упущенная продажа приносит убыток в среднем 4,35 тыс. руб;
г) один заказ обходится в 0,57 тыс. руб.
Вопросы:
1. Сколько заказов придется сделать за два года?
2. Чему равны издержки данной стратегии?
Задача 11. Фирма «Веста» — производитель промышленных моечных машин. Одной из комплектующих деталей в производственном процессе является стальной лист размером 8 х 10 дм. Сталь поставляется на контрактной основе компанией «Уралсталь», причем еженедельный объем
поставок может составлять 8 или 11 тыс. дм2 (45% шансов на то, что объем поставок составит 8 тыс. дм2, и 55% шансов на то, что 11).
|
Недельный спрос, тыс. дм2 |
Вероятность |
|
6 |
0,05 |
|
7 |
0,15 |
|
8 |
0,20 |
|
9 |
0,30 |
|
10 |
0,20 |
|
11 |
0,10 |
Распределение величины потребности в стали показано в следующей таблице:
Фирма «Веста» может хранить на складе не более 25 тыс. дм2 стали одновременно.
Сымитируйте заказы на сталь и ее использование в течение 20 недель. Начните первую неделю с нулевого запаса на складе. Если запас на конец недели окажется отрицательным, то восполните необходимую разницу из следующего заказа. Используйте для имитации третью строку таблицы случайных чисел (см. Приложение 2).
Вопросы:
1. Требуются ли фирме «Веста» дополнительные складские помещения?
2. Какое количество стали будет на складе фирмы в конце 20-й недели?
Ситуации
Ситуация 1. Вывоз радиоактивных отходов.
Компания «Байлс» со штаб-квартирой в Дюссельдорфе распоряжается семью специально оборудованными трейлерами для коммерческой транспортировки на большие расстояния радиоактивных отходов. Каждый грузовик совершает в среднем одну поездку в неделю, собирая радиоактивные отходы у химических компаний и других производителей в Центральной Европе. Эти грузы аккуратно доставляются в правительственное хранилище, расположенное недалеко от Дрездена. В настоящее время сбор отходов происходит в восьми странах: Италии, Германии, Австрии, Франции, Бельгии, Нидерландах, Дании и Польше.
Компания «Байлс» имеет офис в столице каждой страны, которую она обслуживает. Персонал офиса включает не только менеджера и секретаря, но и адвоката, по совместительству оказывающего содействие в разрешении политических, общекультурных, пограничных и юридических конфликтов, возникающих в индустрии удаления ядерных отходов.
Сибби Байлс, хозяйка компании, намерена исключить Италию из сферы своего бизнеса. В прошлом году туда было сделано только 25 рейсов за отходами. Хотя текстильное производство в Северной Италии является хорошим полем деятельности для фирмы Байлс, решение о целесообразности сохранить офис и вести деловые операции в этой стране следует принимать с учетом объема работы и получаемого дохода.
|
Собранное количество отходов, баррель |
Число поездок за год, в которые было собрано такое количество отходов |
|
26-30 |
3 |
|
31-35 |
4 |
|
36-40 |
6 |
|
41-45 |
9 |
|
46-50 |
3 |
|
Итого |
25 |
Чтобы проанализировать рынок Италии, Байлс собрала данные об объеме перевозок и доходов за прошедший год. Каждый из 25 трейлеров, загруженных в Италии в прошлом году, собрал от 26 до 50 баррелей отходов: _ _
Доход, получаемый за баррель отходов (изменяется от 50 до 80 евро), зависит от типа радиоактивных материалов и количества вывозимых отходов:
|
Доход за баррель, евро |
Число поездок с таким доходом |
|
50 |
5 |
|
60 |
11 |
|
70 |
7 |
|
80 |
2 |
|
Итого |
25 |
Байлс решила, что имитация 25 грузовых поездок из Италии позволит оценить рентабельность работы в этой стране в следующем году.
Она определила, что каждая поездка к дрезденскому хранилищу обходится в 900 евро, включая зарплату водителя, оплату топлива и амортизацию грузовика. Прочие накладные расходы составляют 120 евро на поездку. Содержание офиса в Италии обходится в 41 тыс. евро в год. Эта сумма включает зарплату и косвенные накладные расходы, которые несет штаб-квартира в Дюссельдорфе.
Задания
1. Определите, позволят ли доходы от поездок в Италию покрыть расходы на содержание офиса в этой стране.
2. Предложите стратегию проведения имитационного эксперимента.
3. Проведите имитационный эксперимент для оценки годовых доходов компании «Байлс» в Италии.
4. Проведите аналитические расчеты для оценки ожидаемого годового дохода и сравните результаты с результатами имитационного эксперимента.
(Переработано из: Heizer J., Render В. Production and Operations Management. — Boston: Allyn and Bacon, 1993)
Ситуация 2. Вывоз грузов из порта.
После завершения высшего образования в США Самир Кальдон вернулся в Саудовскую Аравию, где его семья вела собственное дело. Ближайшей целью Самира было реконструировать и стабилизировать принадлежащую его семье транспортную компанию «Перевозки Кальдона».
Самир столкнулся с проблемой определения числа грузовиков, необходимых для перевозки предполагаемого количества грузов. До сих пор грузовики приобретались по мере необходимости без всестороннего планирования объема перевозок. Следствием такого подхода были проблемы с наймом водителей и обслуживанием грузовиков, а также выплата неустоек за несвоевременный вывоз грузов из порта и возврат контейнеров.
Штрафы за простой грузов в порту очень велики. Они рассчитываются по следующему правилу.
1. Для вывоза груза из порта отводится 10 дней (не облагаемый штрафом период);
2. После этого за каждые 24 часа простоя в порту 1 т груза взимается штраф размером в один реал (приблизительно равен одному американскому доллару). За следующие 24 часа взимается штраф два реала, за следующие 24 часа — три реала и т.д.
По прогнозу Самира, объем перевозимого компанией груза составляет в среднем 160 тыс. т в месяц со стандартным отклонением 30 тыс. т. Темп поступления груза в течение месяца является постоянным. В соответствии с предыдущим опытом количество грузов, перевозимых компанией в течение месяца, имеет нормальное распределение.
После длительных исследований Самир пришел к заключению, что автопарк должен быть укомплектован 40-футовыми грузовиками Мерседес 2624 с грузовыми платформами, каждый из которых может перевозить или два 20-футовых контейнера, или один 30-футовый, или один 40-футовый контейнер. Максимальная грузоподъемность одного грузовика 60 т. Стоимость одного грузовика 240 тыс. реалов. К тому же грузовик должен быть адаптирован для использования в Саудовской Аравии: иметь двойную систему охлаждения, радиатор повышенного объема и специальные высокотемпературные шины. Практика показывает, что вероятность безотказной работы такого грузовика равна 0,96.
Приблизительно 25% поступающих грузов упакованы в контейнеры длиной 20, 30 или 40 футов. Остальные 75% груза не упакованы в контейнеры. Двадцатифутовый контейнер вмещает приблизительно 20 т груза, 30-футовый — 45 т, 40-футовый — 60 т. Приблизительно 60% контейнеризированных грузов находятся в 40-футовых контейнерах, 20% — в 30-футовых и 20% — в 20-футовых контейнерах.
Использование контейнеров связано со следующими штрафными санкциями.
1. Пять дней (не облагаемый штрафом период) отводится для того, чтобы вернуть контейнер в порт.
2. За каждые 24 часа задержки контейнера сверх этого срока взимается штраф 1000 реалов, за следующие 24 часа — 2000 реалов, следующие — 3000 реалов и т.д.
Компания «Перевозки Кальдона» забирает груз в порту и доставляет его либо непосредственно потребителю, либо на склад для последующей транспортировки.
Основываясь на этих данных, Самир пришел к выводу, что каждый грузовик должен брать груз в порту 3 раза в день.
Финансовый анализ показывает, что прибыль от доставки 1 т груза составляет в среднем 2,25 реала. Альтернативные издержки капитала, инвестированного компанией Кальдона, составляют 20%.
Задания
1. Разработайте имитационную модель, учитывающую все факторы, влияющие на принятие решения.
2. Проведите расчеты и определите, сколько грузовиков следует иметь компании.
(Переработано из: Render В., Stair R.M., Greenberg I. Cases and Readings in Management Science. - Boston, Allyn and Bacon, 1988)
Ответы и решения
Ответы на вопросы: 1—3, 2 — 3, 3 — 2, 4 — 3, 5 — 4.
Задача 1. Решение.
|
Число компрессоров, вышедших из строя |
Вероятность
(относительная
частота) |
Интегральная
вероятность |
Интервал случайных чисел |
|
0 |
0,06 |
0,06 |
01-06 |
|
1 |
0,13 |
0,19 |
07-19 |
|
2 |
0,25 |
0,44 |
20-44 |
|
3 |
0,28 |
0,72 |
45-72 |
|
4 |
0,20 |
0,92 |
73-92 |
|
5 |
0,07 |
0,99 |
93-99 |
|
6 |
0,01 |
1,00 |
00 |
|
Сымитируем выходы компрессоров из строя в течение 20 лет: |
|
|
|
Год |
Случайное
число |
Имитируемое
количество |
Год |
Случайное
число |
Имитируемое
количество |
|
1 |
37 |
2 |
11 |
74 |
4 |
|
2 |
63 |
3 |
12 |
85 |
4 |
|
3 |
28 |
2 |
13 |
90 |
4 |
|
4 |
02 |
0 |
14 |
73 |
4 |
|
5 |
74 |
4 |
15 |
59 |
3 |
|
6 |
35 |
2 |
16 |
55 |
3 |
|
7 |
24 |
2 |
17 |
17 |
1 |
|
8 |
03 |
0 |
18 |
60 |
3 |
|
9 |
29 |
2 |
19 |
82 |
4 |
|
10 |
60 |
3 |
20 |
57 |
3 |
Количество выходов из строя за 20 лет равно 53. За год в среднем выйдет из строя 53/20 = 2,65 компрессора.
Ответы: 1. Нет, не найдутся. 2. Нет, не найдутся.
Задача 2. Решение.
Построим распределение вероятностей и интегральное распределение вероятностей для количества прибывающих машин, определим интервалы случайных чисел:
|
Число машин, прибывающих каждый час |
Частота |
Вероятность |
Интегральная
вероятность |
Интервал
случайных
чисел |
|
3 и менее |
0 |
0,00 |
0,00 |
00 |
|
4 |
20 |
0,10 |
0,10 |
01-10 |
|
5 |
30 |
0,15 |
0,25 |
11-25 |
|
6 |
50 |
0,25 |
0,50 |
26-50 |
|
7 |
60 |
0,30 |
0,80 |
51-80 |
|
8 |
40 |
0,20 |
1,00 |
81-00 |
|
9 и более |
0 |
0,00 |
0,00 |
00 |
|
Итого |
200 |
1,00 |
|
|
Сымитируем прибытие машин:
|
Час |
Случайное
число |
Имитируемое
количество |
Час |
Случайное
число |
Имитируемое
количество |
|
1 |
69 |
7 |
9 |
75 |
7 |
|
2 |
02 |
4 |
10 |
21 |
5 |
|
3 |
36 |
6 |
11 |
95 |
8 |
|
4 |
49 |
6 |
12 |
90 |
8 |
|
5 |
71 |
7 |
13 |
94 |
8 |
|
6 |
99 |
8 |
14 |
38 |
6 |
|
7 |
32 |
6 |
15 |
97 |
8 |
|
8 |
10 |
4 |
|
|
|
Общее количество прибывших машин в течение 15 часов равно 98.
Ответы: 1. Семь машин. 2. 6,5 машины.
Задача 3. Решение.
Определим интегральную вероятность и интервалы случайных чисел для количества прибывающих барж:
|
Число барж |
Вероятность |
Интегральная
вероятность |
Интервал случайных чисел |
|
0 |
0,13 |
0,13 |
01—13 |
|
1 |
0,17 |
0,30 |
14-30 |
|
2 |
0,15 |
0,45 |
31-45 |
|
3 |
0,25 |
0,70 |
46-70 |
|
4 |
0,20 |
0,90 |
71-90 |
|
5 |
0,10 |
1,00 |
91-00 |
|
Ежедневный темп разгрузки |
Вероятность |
Интегральная
вероятность |
Интервал случайных чисел |
|
1 |
0,03 |
0,03 |
01-03 |
|
2 |
0,12 |
0,15 |
04-15 |
|
3 |
0,40 |
0,55 |
16-55 |
Определим интегральную вероятность и интервалы случайных чисел для количества разгруженных барж: _
Окончание таблицы
|
Ежедневный темп разгрузки |
Вероятность |
Интегральная
вероятность |
Интервал случайных чисел |
|
4 |
0,28 |
0,83 |
56-83 |
|
5 |
0,12 |
0,95 |
84-95 |
|
6 |
0,05 |
1,00 |
96-00 |
Сымитируем 15 дней
|
заботы порта (СЧ— случайное число): |
|
|
|
День |
Число барж, простаивающих с предыдущего дня |
СЧ |
Число прибывших барж |
Число барж, ожидающих разгрузку |
СЧ |
Число
разгру
женных
барж |
|
1 |
0 |
52 |
3 |
3 |
37 |
3 |
|
2 |
0 |
06 |
0 |
0 |
63 |
0 |
|
3 |
0 |
50 |
3 |
3 |
28 |
3 |
|
4 |
0 |
88 |
4 |
4 |
02 |
1 |
|
5 |
3 |
53 |
3 |
6 |
74 |
4 |
|
6 |
2 |
30 |
1 |
3 |
35 |
3 |
|
7 |
0 |
10 |
0 |
0 |
24 |
0 |
|
8 |
0 |
47 |
3 |
3 |
03 |
1 |
|
9 |
2 |
99 |
5 |
7 |
29 |
3 |
|
10 |
4 |
37 |
2 |
6 |
60 |
4 |
|
11 |
2 |
66 |
3 |
5 |
74 |
4 |
|
12 |
1 |
91 |
5 |
6 |
85 |
5 |
|
13 |
1 |
35 |
2 |
3 |
90 |
3 |
|
14 |
0 |
32 |
2 |
2 |
73 |
2 |
|
15 |
0 |
00 |
5 |
5 |
59 |
4 |
|
Итого |
15 |
|
41 |
|
|
40 |
В среднем простаивает 15/15 = 1 баржа вдень.
Ежедневно приходит в среднем 41/15 = 2,73 баржи, а разгружается 40/15 = 2,67 баржи. Ответы: 1. Одна баржа. 2. 2,73 баржи. 3. 2,67 баржи.
Задача 4. Решение.
Построим интервалы случайных чисел для каждого отделения:
1) приемное
|
Из отделения |
В отделение |
Вероятность |
Интегральная
вероятность |
Интервал случайных чисел |
|
А |
В |
0,45 |
0,45 |
01-45 |
|
С |
0,15 |
0,60 |
46-60 |
|
Е |
0,10 |
0,70 |
61-70 |
|
F |
0,30 |
1,00 |
71-00 |
2) рентгеновское
|
Из отделения |
В отделение |
Вероятность |
Интегральная
вероятность |
Интервал случайных чисел |
|
В |
С |
0,10 |
0,10 |
01-10 |
|
D |
0,25 |
0,35 |
11—35 |
|
Е |
0,35 |
0,70 |
36-70 |
|
F |
0,30 |
1,00 |
71-00 |
|
Из отделения |
В отделение |
Вероятность |
Интегральная
вероятность |
Интервал случайных чисел |
|
С |
D |
0,25 |
0,25 |
01-25 |
|
Е |
0,70 |
0,95 |
26-95 |
|
F |
0,05 |
1,00 |
96-00 |
3) операционное
4) протезное
|
Из отделения |
В отделение |
Вероятность |
Интегральная
вероятность |
Интервал случайных чисел |
|
D |
Е |
0,55 |
0,55 |
01-55 |
|
В |
0,05 |
0,60 |
56-60 |
|
F |
0,40 |
1,00 |
61-00 |
|
Из отделения |
В отделение |
Вероятность |
Интегральная
вероятность |
Интервал случайных чисел |
|
Е |
С |
0,15 |
0,15 |
01-15 |
|
В |
0,15 |
0,30 |
16-30 |
|
F |
0,70 |
1,00 |
31-00 |
5) диагностическое
Имитация (О — отделение; СЧ — случайное число):
Па
ци
ент |
О |
СЧ |
О |
СЧ |
О |
СЧ |
О |
СЧ |
О |
СЧ |
О |
СЧ |
О |
|
1 |
А |
98 |
F |
|
|
|
|
|
|
|
|
|
|
|
2 |
А |
94 |
F |
|
|
|
|
|
|
|
|
|
|
|
3 |
А |
90 |
F |
|
|
|
|
|
|
|
|
|
|
|
4 |
А |
36 |
В |
06 |
С |
78 |
Е |
23 |
В |
67 |
Е |
89 |
F |
|
5 |
А |
85 |
F |
|
|
|
|
|
|
|
|
|
|
|
6 |
А |
29 |
В |
21 |
D |
25 |
Е |
73 |
F |
|
|
|
|
|
7 |
А |
69 |
Е |
34 |
F |
|
|
|
|
|
|
|
|
|
8 |
А |
85 |
F |
|
|
|
|
|
|
|
|
|
|
|
9 |
А |
76 |
F |
|
|
|
|
|
|
|
|
|
|
|
10 |
А |
96 |
F |
|
|
|
|
|
|
|
|
|
|
Ответы: 1. Два раза. 2. 0,1 раза.
Задача 5. Решение.
|
Время между поломками, ч |
Вероятность |
Интегральная
вероятность |
Интервал случайных чисел |
|
10 |
0,05 |
0,05 |
01-05 |
|
20 |
0,15 |
0,20 |
06-20 |
|
'30 |
0,15 |
0,35 |
21-35 |
|
40 |
0,20 |
0,55 |
36-55 |
|
50 |
0,20 |
0,75 |
56-75 |
|
60 |
0,15 |
0,90 |
76-90 |
|
70 |
0,10 |
1,00 |
91-00 |
Построим интервалы случайных чисел для времени между поломками: а) при замене одного пера___
|
Время между поломками, ч |
Вероятность |
Интегральная
вероятность |
Интервал случайных чисел |
|
100 |
0,15 |
0,15 |
01-15 |
|
по |
0,25 |
0,40 |
16-40 |
|
120 |
0,35 |
0,75 |
41-75 |
|
; 130 |
0,20 |
0,95 |
76-95 |
|
140 |
0,05 |
1,00 |
96-00 |
б) при замене четырех перьев
Имитация с одним пером:
|
Испытание |
1 |
2 |
3 |
4 |
5 |
6 |
7 |
8 |
9 |
10 |
Случайное
число |
69 |
02 |
36 |
49 |
71 |
99 |
32 |
10 |
75 |
21 |
|
Время между поломками, ч |
50 |
10 |
40 |
40 |
50 |
70 |
30 |
20 |
50 |
30 |
В среднем одно перо отработает 39 часов. В течение месяца одно перо выйдет из строя 720/39
18,5
раза.
Затраты, связанные с заменой одного пера, составят 18,5 • (50 + 8) = 1073 тыс. руб.
Имитация с четырьмя перьями:
|
Испытание |
1 |
2 |
3 |
4 |
5 |
6 |
7 |
8 |
9 |
10 |
Случайное
число |
69 |
02 |
36 |
49 |
71 |
99 |
32 |
10 |
75 |
21 |
|
Время между поломками, ч |
120 |
100 |
ПО |
120 |
120 |
140 |
ПО |
100 |
120 |
ПО |
В среднем четыре пера отработают 115 часов. В течение месяца четыре пера выйдут из строя 720/115 = 6,3 раза.
Затраты по замене четырех перьев составят
6,3 • (2 • 50 + 4 • 8) = 831,6 тыс. руб. Экономия при использовании лучшей стратегии составит 1073 - 831,6 = 241,4 тыс. руб.
Ответы: 1. Да, следует. 2. 241,4 тыс. руб.
Задача 6. Решение.
|
Приход |
Вероятность |
Интегральная
вероятность |
Интервал случайных чисел |
|
На 20 мин раньше |
0,20 |
0,20 |
01-20 |
|
На 10 мин раньше |
0,10 |
0,30 |
21-30 |
|
В назначенное время |
0,40 |
0,70 |
31-70 |
|
На 10 мин позже |
0,25 |
0,95 |
71-95 |
|
На 20 мин позже |
0,05 |
1,00 |
96-00 |
Построим интервалы случайных чисел для прихода и времени обслуживания пациентов:
|
Время обслуживания |
Вероятность |
Интегральная
вероятность |
Интервал случайных чисел |
|
На 20% меньше |
0,15 |
0,15 |
01-15 |
|
Сколько указано |
0,50 |
0,65 |
16-65 |
|
На 20% больше |
0,25 |
0,90 |
66-90 |
|
На 40% больше |
0,10 |
1,00 |
91-00 |
|
Пациент |
СЧ |
Приход |
Начало
обслужи
вания |
СЧ
* |
ВреМя обслуживания, мин |
Окончание
обслужива
ния |
|
Иванов |
52 |
9:30 |
9:30 |
06 |
12 |
9:42 |
|
Новиков |
50 |
9:45 |
9:45 |
88 |
24 |
10:09 |
|
Грачев |
53 |
10:15 |
10:15 |
30 |
15 |
10:30 |
|
Васильева |
10 |
10:10 |
10:30 |
47 |
10 |
10:40 |
|
Сычев |
99 |
11:05 |
11:05 |
37 |
30 |
11:35 |
|
Галеев |
66 |
11:15 |
11:35 |
91 |
21 |
11:56 |
|
Гринев |
35 |
11:30 |
11:56 |
32 |
20 |
12:16 |
|
Лапин |
00 |
12:05 |
12:16 |
84 |
18 |
12:34 |
Сымитируем приход и обслуживание пациентов (СЧ — случайное число):
Ответы: 1. На 19 мин. 2. Двум пациентам. Задача 7. Решение.
|
Объем продаж водонагревателей за неделю |
Число недель, в которые наблюдался этот объем продаж |
Вероят
ность |
Интегральная
вероятность |
Интервал
случайных
чисел |
|
4 |
6 |
0,12 |
0,12 |
01-12 |
|
5 |
5 |
0,10 |
0,22 |
13-22 |
|
6 |
9 |
0,18 |
0,40 |
23-40 |
|
7 |
12 |
0,24 |
0,64 |
41-64 |
|
8 |
8 |
0,16 |
0,80 |
65-80 |
|
9 |
7 |
0,14 |
0,94 |
81-94 |
|
10 |
3 |
0,06 |
1,00 |
95-00 |
|
Итого |
50 |
|
|
|
Имитация продаж:
|
Неделя |
Начальный
запас |
Случайное
число |
Объем
спроса |
Фактический объем продаж |
Остаток
(упущенные
продажи) |
|
1 |
8 |
33 |
6 |
6 |
2 |
|
2 |
8 |
69 |
8 |
8 |
0 |
|
3 |
8 |
27 |
6 |
6 |
2 |
|
4 |
8 |
21 |
5 |
5 |
3 |
|
5 |
8 |
11 , |
4 |
4 |
4 |
|
6 |
8 |
60 |
7 |
7 |
1 |
|
7 |
8 |
95 |
10 |
8 |
(2) |
|
8 |
8 |
89 |
9 |
8 |
0) |
|
9 |
8 |
68 |
8 |
8 |
0 |
|
10 |
8 |
48 |
7 |
7 |
1 |
|
И |
8 |
17 |
5 |
5 |
3 |
|
12 |
8 |
89 |
9 |
8 |
(1) |
|
13 |
8 |
34 |
6 |
6 |
2 |
|
14 |
8 |
09 |
4 |
4 |
4 |
|
15 |
8 |
93 |
9 |
8 |
(1) |
|
Неделя |
Начальный
запас |
Случайное
число |
Объем
спроса |
Фактический объем продаж |
- Остаток (упущенные продажи) |
|
16 |
8 |
50 |
7 |
7 |
1 |
|
17 |
8 |
44 |
7 |
7 |
1 |
|
18 |
8 |
51 |
7 |
7 |
1 |
|
19 |
8 |
50 |
7 |
7 |
1 |
|
20 |
8 |
33 |
6 |
6 |
2 |
Окончание таблицы
Ответы: 1. Четыре раза. 2. 132 водонагревателя. Задача 8. Решение.
|
Объем продаж водонагревателей за неделю |
Число недель, в которые наблюдался этот объем продаж |
Вероят
ность |
Интегральная
вероятность |
Интервал
случайных
чисел |
|
3 |
2 |
0,02 |
0,02 |
01-02 |
|
4 |
5 |
0,05 |
0,07 |
03-07 |
|
5 |
10 |
0,10 |
0,17 |
08-17 |
|
6 |
15 |
0,15 |
0,32 |
18-32 |
|
7 |
25 |
0,25 |
0,57 |
33-57 |
|
8 |
21 |
0,21 |
0,78 |
58-78 |
|
9 |
12 |
0,12 |
0,90 |
79-90 |
|
10 |
10 |
0,1 |
1,00 |
91-00 |
Имитация продаж:
Окончание таблицы
|
Неделя |
Еженедельный запас |
Случайное
число |
Объем
спроса |
Фактический объем продаж |
Остаток
(упущенные
продажи) |
|
1 |
8 |
96 |
10 |
8 |
(2) |
|
2 |
8 |
52 |
7 |
7 |
1 |
|
3 |
8 |
62 |
8 |
8 |
0 |
|
4 |
8 |
87 |
9 |
8 |
(1) |
|
5 |
8 |
49 |
7 |
7 |
1 |
|
6 |
8 |
56 |
7 |
7 |
1 |
|
Неделя |
Еженедельный запас |
Случайное
число |
Объем
спроса |
Фактический объем продаж |
Остаток
(упущенные
продажи) |
|
7 |
8 |
59 |
8 |
8 |
0 |
|
8 |
8 |
23 |
6 |
6 |
2 |
|
9 |
8 |
78 |
8 |
8 |
0 |
|
10 |
8 |
71 |
8 |
8 |
0 |
|
11 |
8 |
72 |
8 |
8 |
0 |
|
12 |
8 |
90 |
9 |
8 |
(1) |
|
13 |
8 |
57 |
7 |
7 |
1 |
|
14 |
8 |
01 |
3 |
3 |
5 |
|
15 |
8 |
98 |
10 |
8 |
(2) |
|
16 |
8 |
57 |
7 |
7 |
1 |
|
17 |
8 |
31 |
6 |
6 |
2 |
|
18 |
8 |
95 |
10 |
8 |
(2) |
|
19 |
8 |
33 |
7 |
7 |
1 |
|
20 |
8 |
69 |
8 |
8 |
0 |
Ответы: 1. Восемь водонагревателей. 2. 7,25. Задача 9. Решение.
|
Доход, руб. |
Вероятность |
Интегральная
вероятность |
Интервал случайных чисел |
|
350 |
0,4 |
0,4 |
01-40 |
|
400 |
0,2 |
0,6 |
41-60 |
|
450 |
0,3 |
0,9 |
61-90 |
|
500 |
0,1 |
1,0 |
91-00 |
|
Расход, руб. |
Вероятность |
Интегральная
вероятность |
Интервал случайных чисел |
|
300 |
0,10 |
0,10 |
01-10 |
|
400 |
0,45 |
0,55 |
11-55 |
|
500 |
0,30 |
0,85 |
56-85 |
|
600 |
0,15 |
1,00 |
86-00 |
Имитация (СЧ — случайное число):
|
Месяц |
Начальный запас, руб. |
СЧ |
Доход,
руб. |
СЧ |
Расход,
руб. |
Фактический расход, руб. |
Остаток
(дефицит),
руб. |
|
1 |
600 |
— |
— |
96 |
600 |
600 |
0 |
|
2 |
0 |
52 |
400 |
62 |
500 |
400 |
-100 |
|
3 |
0 |
87 |
450 |
49 |
400 |
400 |
50 |
|
4 |
50 |
56 |
400 |
59 |
500 |
450 |
-50 |
|
5 |
0 |
23 |
350 |
78 |
500 |
350 |
-150 |
|
6 |
0 |
71 |
450 |
72 |
500 |
450 |
-50 |
|
7 |
0 |
90 |
450 |
57 |
500 |
450 |
-50 |
|
8 |
0 |
01 |
350 |
98 |
600 |
350 |
-250 |
|
9 |
0 |
57 |
400 |
31 |
400 |
400 |
0 |
|
10 |
0 |
95 |
500 |
33 |
400 |
400 |
100 |
|
11 |
100 |
69 |
450 |
27 |
400 |
400 |
150 |
|
12 |
150 |
21 |
350 |
11 |
400 |
400 |
100 |
Ответы: 1. Шесть месяцев, 2.100руб.
Задача 10. Решение.

Имитация (СЧ — случайное число):
|
Месяц |
Поступ
ление
заказа,
шт. |
Запас на начало, шт. |
сч |
Объем
про
даж,
шт. |
Конеч
ный
запас,
шт. |
Потери
продаж,
шт. |
Делать
заказ? |
СЧ |
Срок
испол
нения,
месяцы |
|
1 |
— |
28 |
37 |
9 |
19 |
— |
Нет |
- |
— |
|
2 |
— |
19 |
63 |
9 |
10 |
— |
Да |
28 |
1 |
|
3 |
— |
10 |
02 |
6 |
4 |
— |
Нет |
- |
— |
|
4 |
21 |
25 |
74 |
10 |
15 |
- |
Нет |
— |
- |
|
5 |
— |
15 |
35 |
8 |
7 |
— |
Да |
24 |
1 |
|
6 |
— |
7 |
03 |
6 |
1 |
— |
Нет |
— |
- |
|
7 |
21 |
22 |
29 |
8 |
14 |
— |
Нет |
— |
- |
|
8 |
— |
14 |
60 |
9 |
5 |
— |
Да |
74 |
2 |
|
9 |
— |
5 |
85 |
10 |
0 |
5 |
Нет |
— |
- |
|
10 |
— |
0 |
90 |
10 |
0 |
10 |
Нет |
— |
— |
|
11 |
21 |
21 |
73 |
10 |
11 |
— |
Да |
59 |
2 |
|
12 |
— |
11 |
55 |
9 |
2 |
— |
Нет |
- |
— |
|
13 |
— |
2 |
17 |
7 |
0 |
5 |
Нет |
- |
- |
|
14 |
21 |
21 |
60 |
9 |
12 |
— |
Да |
82 |
3 |
|
15 |
— |
12 |
57 |
9 |
3 |
— |
Нет |
— |
— |
|
16 |
' — |
3 |
68 |
9 |
0 |
6 |
Нет |
— |
— |
|
17 |
— |
0 |
28 |
8 |
0 |
8 |
Нет |
— |
- |
|
18 |
21 |
21 |
05 |
6 |
15 |
— |
Нет |
— |
- |
|
19 |
— |
15 |
94 |
10 |
5 |
— |
Да |
03 |
1 |
|
2Q |
— |
5 |
11 |
7 |
0 |
2 |
Нет |
— |
- |
Окончание таблицы
|
Месяц |
Поступ
ление
заказа,
шт. |
Запас на начало, шт. |
СЧ |
Объем
про
даж,
шт. |
Конеч
ный
запас,
шт. |
Потери
продаж,
шт. |
Делать
заказ? |
СЧ |
Срок
испол
нения,
месяцы |
|
21 |
21 |
21 |
27 |
8 |
13 |
— |
Нет |
— |
— |
|
22 |
— |
13 |
79 |
10 |
3 |
— |
Да |
90 |
3 |
|
23 |
— |
3 |
87 |
10 |
0 |
7 |
Нет |
— |
— |
|
24 |
21 |
0 |
92 |
10 |
0 |
10 |
Нет |
— |
— |
Сумма затрат за два года составит 7 • 0,57 + 139 • 0,6 + 53 • 4,35 = 317,94 тыс. руб. Ответы: 1. Семь заказов. 2. 317,94 тыс. руб.
|
Объем поставок, тыс. дм2 |
Вероятность |
Интегральная
вероятность |
Интервал случайных чисел |
|
8 |
0,45 |
0,45 |
01-45 |
|
11 |
0,55 |
1,00 |
46-00 |
Задача 11. Решение. __
|
Недельный спрос, тыс. дм2 |
Вероятность |
Интегральная
вероятность |
Интервал случайных чисел |
|
6 |
0,05 |
0,05 |
01-05 |
|
7 |
0,15 |
0,20 |
06-20 |
|
8 |
0,20 |
0,40 |
21-40 |
|
9 |
0,30 |
0,70 |
41-70 |
|
10 |
0,20 |
0,90 |
71-90 |
|
11 |
0,10 |
1,00 |
91-00 |
|
Имитация заказов (СЧ — случайное число):_ |
|
|
|
Неделя |
Запас .на складе, тыс. дм2 |
СЧ |
Объем поставок, тыс. дм2 |
СЧ |
Спрос, тыс. дм |
Остаток, тыс. дм2 |
|
1 |
0 |
82 |
11 |
57 |
9 |
2 |
|
2 |
2 |
68 |
11 |
28 |
8 |
5 |
|
3 |
5 |
05 |
8 |
94 |
11 |
2 |
|
4 |
2 |
03 |
8 |
11 |
7 |
3 |
Ответы: 1. В течение 20 недель не требуются. 2. 20 тыс.дм2.
Глава 15. Целочисленные задачи линейного программирования
Нередко приходится рассматривать задачи, в которых неизвестные величины могут принимать только целочисленные значения. Например, задачи, связанные с определением необходимого числа рабочих мест или количества дорогостоящих станков. При решении таких задач с целочисленными переменными методы линейного (выпуклого) программирования неприменимы.
Другая сфера применения целочисленных моделей — выбор вариантов. В соответствующих задачах все или некоторые переменные могут принимать только два значения: 0 или 1. Такие переменные носят название булевых.
Наиболее известные методы решения целочисленных задач — метод отсечения и метод ветвей и границ. Они разработаны в начале 60-х годов XX века и затем неоднократно усовершенствовались и модифицировались. Решения примеров и задач, приводимых в этой главе, получены с помощью метода ветвей и границ и являются точными.
После того как вы выполните задания, предлагаемые в этой главе, вы будете уметь использовать для экономического анализа следующие понятия:
• неделимость;
• целочисленная задача;
• целочисленная и булева переменные;
• взаимоисключение и взаимообусловленность.
Модели
Дискретные (целочисленные) задачи математического программирования могут возникать различными путями. Существуют задачи линейного программирования, которые формально к целочисленным не
относятся (требование целочисленности переменных в них в явном виде не накладывается), но которые при целочисленных исходных данных всегда обладают целочисленным планом. Этим свойством обладают транспортная задача и различные ее варианты (задача о назначениях).
Первоначальным стимулом к изучению целочисленных и дискретных задач явилось рассмотрение задач линейного программирования, в которых переменные представляли физически неделимые величины (скажем, количество единиц продукции разных видов). Для характеристики этого класса моделей используется термин «задачи с неделимостями».
Другим важным толчком к построению теории дискретного программирования явился новый подход к некоторым экстремальным комбинаторным задачам, для решения которых приходится вводить булевы переменные, носящие логический характер (х = 1 или х = 0).
К целочисленным (точнее, частично целочисленным) задачам линейного программирования удается свести также ряд задач, в которых явное требование целочисленности отсутствует, зато имеются некоторые особенности, выводящие их за рамки линейного программирования. Эти особенности могут относиться либо к целевой функции, либо к области допустимых решений.
Итак, можно выделить следующие основные классы задач дискретного программирования:
1) транспортная задача (см. главу 5) и ее варианты;
2) задачи с неделимостями;
3) экстремальные комбинаторные задачи;
4) задачи с неоднородной разрывной целевой функцией (см. транспортную задачу с фиксированными доплатами в главе 5);
5) задачи на неклассических областях (см. модель оптимального размера заказа с количественными скидками в главе 12).
Целочисленная задача линейного программирования (задача с неделимостями). К данному классу принадлежат задачи распределения капиталовложении и задачи планирования производства.
Целочисленная задача линейного программирования заключается в максимизации функции: с,*1+ с2Х2+ ... + сЛ-мпах
при условиях
я„х, + а12х2 + ... + а1пх„ < Ьх,
ад + ад + - + ад s h >
+ «ш2*2 + ••• + апЛ * К,
X, > О, Х2 > 0, ..., х„ > 0,
Xj — целые числа, j е J, ^
где J — некоторое подмножество множества индексов N = ={1,2,...,и}.
Если J = N (T.e. требование целочисленности наложено на все переменные), то задачу называют полностью целочисленной; если же J Ф N, она называется частично целочисленной.
Модель (1)—(4) естественно интерпретировать, например, в следующих терминах. Пусть через i = 1,..., т обозначены производственные факторы, через j = 1, ..., п — виды конечной продукции.
Обозначим далее:
aj — количество факторов i, необходимое для производства единицы продукта j;
bi — наличные ресурсы фактора i;
с — прибыль, получаемая от единицы продукта j.
Пусть продукты j для j^J являются неделимыми, т.е. физический смысл имеет лишь их целое неотрицательное количество («штуки»). Предположим, что требуется составить производственную программу, обеспечивающую максимум суммарной прибыли и не выводящую за пределы данных ресурсов. Обозначая через х}- искомые объемы выпуска продукции, мы сводим эту задачу к модели
(1)-(4).
Задача с булевыми переменными. Логическая взаимосвязь:
1) взаимоисключение. Пусть х}- = 1, если реализуется проект Aj, и Xj = 0 в противном случае. Запись AjvAk означает, что в план может быть включен либо проект Aj, либо проект Ak. Вместе они включены быть не могут. С помощью этой записи выражается отношение взаимоисключения между проектами.
В этих обозначениях взаимоисключение Aj v Ак выражается неравенством х, + хк < 1;
2) взаимообусловленность. Запись Ак ® Aj («проект Ак влечет за собой проект А,») означает, что проект Ак может быть включен в план только в том случае, если в план включен и проект Aj. С помощью этой записи выражается отношение между обусловливающими друг друга проектами, например когда проект Ак — результат тиражирования проекта Aj на другом объекте или когда Ак базируется на результатах реализации проекта Aj.
В принятых обозначениях взаимообусловленность Ак ® А, выражается неравенством хк < Xj.
Экстремальные комбинаторные задачи. Задачи данного класса, называемые также задачами выбора, состоят в отыскании среди конечного множества альтернатив одной, которой отвечает экстремальное значение принятой целевой функции.
Задача о коммивояжере — классический пример задачи выбора оптимального маршрута. Формулируется она следующим образом. Коммивояжер должен выехать из определенного города и вернуться в него, побывав в каждом из городов лишь по одному разу и проехав минимальное расстояние.
Пусть Ху = 1, если коммивояжер переезжает из города i непосредственно в город j, и Ху = 0 в противном случае. Обозначим через с, расстояние между городами i и j (чтобы избежать бессмысленных значений х, = 1, предполагается, что си равны достаточно большому числу).
Тогда формальная модель имеет вид
F(x) = ? X сИ х„ -> min ,
' i=\j=\ ‘J 'J ’
t^=l ДЛЯ i = 1, .... n,
,5*0=1 Дляу"= 1, n.
К приведенным ограничениям необходимо добавить условия на недопустимость подциклов, т.е. повторного посещения городов (за исключением исходного). Это ограничения вида
Z,- -Zj+ пху<п- 1, / = 2, п\ j = 2, ..., п (/ *j),
где на переменные Zi и Zj не требуется накладывать никаких ограничений.
Общая задача календарного планирования формулируется следующим образом. Имеется п станков (машин), на которых требуется обработать m деталей. Заданы маршруты (в общем случае различные) обработки каждой детали на каждом из станков или группе станков. Задана также продолжительность операций обработки деталей. Предполагается, что одновременно на станке можно обрабатывать не более одной детали. Требуется определить оптимальную последовательность обработки. Критерием оптимальности могут выступать продолжительность обработки всех деталей, суммарные затраты на обработку, общее время простоя станков и др. Существует огромное число постановок данной задачи, учитывающих конкретные условия производства.
Один из представителей задач данного типа — так называемая задача о ранце. Имеется п предметов. Предмет j (j = 1, ..., п) обладает весом Wj и полезностью с,-. Пусть b — общий максимально допустимый вес предметов, которые можно положить в ранец. Требуется выбрать предметы таким образом, чтобы их общий вес не превышал максимально допустимый и при этом суммарная полезность (ценность) содержимого ранца была максимальной. Пусть х, = 1, если предмет положен в ранец, и Xj = 0 в противном случае. Математическая формулировка задачи имеет вид
F (х) = Е с, X: -» шах,
у= 1 J J
п
?WjXj<b,
Xj
К классу экстремальных комбинаторных задач принадлежит также линейный и нелинейный варианты задача о назначениях (линейный вариант такой задачи рассмотрен в главе 6).
Большинство целочисленных и комбинаторных типов задач, таких, как задача с неделимостями, задача коммивояжера, задача календарного планирования, принадлежит к разряду так называемых трудно решаемых. Это означает, что вычислительная сложность алгоритма их точного решения — зависимость числа элементарных операций (операций сложения или сравнения), необходимых для получения точного решения, от размерности задачи я — является экспоненциальной (порядка 2”), т.е. сравнимой по трудоемкости с полным перебором вариантов. В качестве п, например, для задачи с неделимостями служит число целочисленных переменных и число ограничений, для задачи коммивояжера — число городов (или узлов графа маршрутов), для задачи календарного планирования — число деталей и число станков. Такие задачи называют еще NP-трудными или NP-полными. Получение их точного решения не может быть гарантировано, хотя для некоторых задач данного типа существуют эффективные методы, позволяющие находить точное решение даже при больших размерностях. Примером таких задач служит задача о ранце с булевыми переменными.
Задачи с вычислительной сложностью, определяемой полиномиальной зависимостью от п, называются эффективно решаемыми. К такого типа задачам принадлежат задачи транспортного типа и линейные задачи о назначениях.
Для решения целочисленных задач используются следующие методы:
1) симплекс-метод (для транспортных задач, задач о назначениях);
2) метод отсечения (метод Гомори);
3) метод ветвей и границ (в общем случае не обеспечивает получения точного решения);
4) эвристические методы (не обеспечивают получения точного решения).
Последняя группа методов может использоваться в случаях, когда применение предыдущих методов невозможно или не приводит к успеху. Кроме того, эвристические методы можно использовать для решения задач любой сложности.
Примеры
Пример 1. Оптимизация капиталовложений.
Имеется 10 работ (А А2), каждая из которых характеризуется тремя технико-экономическими
показателями: а] — трудозатраты;
bj — размер, необходимых капиталовложений;
С] — ожидаемый экономический эффект.
|
|
Ах |
Ay |
^3 |
Аа |
As |
А6 |
А, |
Л |
Л9 |
Ао |
|
аі |
3 |
3 |
3 |
4 |
4 |
2 |
4 |
3 |
б |
5 |
|
bJ |
4 |
3 |
2 |
4 |
6 |
4 |
3 |
5 |
3 |
4 |
|
CJ |
3 |
7 |
5 |
6 |
8 |
4 |
7 |
4 |
7 |
6 |
Исходные данные приведены в следующей таблице:_
Общие трудозатраты не должны превышать 20. Общий объем капиталовложений не должен превышать 20. Определите, какие из 10 работ следует выполнить, чтобы максимизировать ожидаемый экономический эффект, учитывая следующие условия взаимообусловленности и взаимоисключения:
а) Ах -> А7 ? Л4 б) А}
I |
Л10 ? А2 AsvAsvA9^ А6
Решение. Помимо целевой функции и двух ограничений по общему объему трудозатрат и капиталовложений, данную задачу характеризует следующая система неравенств:
Х| ^ Ху, Х2 ^ Xg, Ху ^ X|q, Xg — Xg,
Х10 + Х2<1, X5 + Xg7 + х4<1, Х8+Х9<1.
В результате расчетов получаем х* = (0101110010).
Пример 2. Оптимизация производственной программы.
Автомобилестроительный завод выпускает три модели автомобилей, которые изготавливаются последовательно в трех цехах. Мощность цехов составляет 300, 250 и 200 человекодней в декаду. В первом цехе для сборки одного автомобиля первой модели требуется б человекодней, второй модели — 4 и третьей модели — 2 человекодня в декаду соответственно. Во втором цехе трудоемкость равна 3,4 и 5 человекодней соответственно, в третьем — по 3 человекодня на каждую модель. Прибыль, получаемая заводом от продажи одного автомобиля каждой модели, составляет соответственно 15, 13 и 10 тыс. долл.
Постройте модель для определения оптимального плана.
Решение. Пусть хі — количество выпускаемых автомобилей i-й модели в течение декады (і = 1,..., n). В принятых обозначениях модель имеет вид
15х, + 13^2+ 10х3 -» шах,
6Х| + 4х2 + 2х3 < 300,
Зх, + 4xj + 5х3 < 250,
3(хі + хг + х3) < 200, х,, х^, х3 — целые.
Пример 3. Двумерная задача раскроя.
Из минимального количества листов стекла размером 8 х 6 м2 требуется вырезать 10 оконных стекол размером 4 х 4 м2, 20 оконных стекол размером 4 х 5 м2 и 30 оконных стекол размером 3х3 м2. Множество вариантов раскроя (см. главу 3) показано в следующей таблице:
Размер, м2
Вариант \ |
4x4 |
4x5 |
3x3 |
|
I |
2 |
— |
— |
|
2 |
1 |
1 |
— |
|
3 |
1 |
— |
2 |
|
. 4 |
— |
2 |
— |
|
5 |
— |
— |
4 |
|
6 |
— |
1 |
2 |
Построите модель для определения плана раскроя, требующего минимального количества материала.
Решение. Пусть хі — количество листов стекла размером 8 х 6 м2, которые следует раскроить по варианту і.
Тогда модель имеет вид
F(x) = S х, -» min,
2х, + Х2 + х3 > 10,
х2 + 2х4 + х6 > 20,
2х3 + 4х5 + 2х6 > 30,
х,, Х2, ..., х6 — целые.
Пример 4. Задача о ранце.
Некая торговая компания имеет свои универсамы в Москве, Санкт-Петербурге, Нижнем Новгороде, Екатеринбурге, Самаре, Воронеже и Казани. В результате ошибок менеджмента экономическое положение компании стало ухудшаться, ей пришлось взять кредит в размере 13 млн руб. и в конечном счете, чтобы вовремя его погасить, срочно продавать некоторые из своих универсамов. Средства, которые компания могла бы получить от продажи универсамов в Москве, Санкт-Петербурге, Нижнем Новгороде, Екатеринбурге, Самаре, Воронеже или Казани, составляют соответственно 5,2; 4,9; 4,5; 3,6; 3,4; 3,2 и 3,1 млн руб. Однако продажа универсамов сопряжена с необходимостью увольнения персонала. Его численность составляет соответственно 200,190,180,170, 150,130 и 110 человек. По требованию объединенного профсоюза работников торговли компания должна минимизировать численность увольняемого персонала.
Постройте модель для нахождения оптимального решения.
Решение. Пронумеруем города в соответствии с порядком их перечисления. Пусть хі = 1, если универсам, расположенный в городе, продается, и хі = 0 в противном случае. Тогда оптимизационная модель имеет вид
200х, + 190х2 + 180х3 + 170х4 + 150х3 + 130х6 + 110х7 -> min,
5,2х, + 4,9x2 + 4,5х3 + 3,6х4 + 3,4х5 + 3,2х6 + З.іх, > 13,
Xj е {0, 1} для / = 1, ..., 7.
Вопросы
Вопрос 1. В задаче оптимального выбора проектов развития предприятия сформулировано дополнительное условие: реализация первого проекта возможна только в случае реализации хотя бы одного из двух проектов — второго или третьего.
Пусть Хі = 1, если вариант i реализуется, и Хі = 0 в противном случае. Тогда дополнительное условие может быть формализовано в виде:
1) х, <х2, Х(<Х3, *2+*3^1»
2) х2 + х3 — Х[ < О, х2 + х3 й 1;
3) х, — Xj — х3 S 0;
4) х2 + х3 —х, S0;
5) х, + х2 + х3 < 1.
Вопрос 2. В задаче оптимального выбора проектов развития предприятия сформулировано дополнительное условие: реализация первого проекта возможна в случае реализации хотя бы одного из двух проектов — второго или третьего, причем хотя бы один из них должен быть реализован.
Пусть хі = 1, если вариант i реализуется, и xi = 0 в противном случае. Тогда дополнительное условие может быть формализовано в виде:
1) х, > Х2 + х3, х2 + х3 < 1;
2) х, > х2 + х3, х2 + х3 > 1;
3) х2 + х3 — Xj > 0, х2 + х3 < 1;
4) х2 + х3 — Х( > 0, Xj + х3 > 1;
5) X, = 1, х2 + х3 > 1.
Вопрос 3. Задача какого типа из указанных ниже не обязательно содержит хотя бы одну целочисленную переменную:
1) унимодулярная задача с целочисленной исходной информацией;
2) задача с неоднородной разрывной целевой функцией;
3) комбинаторная задача;
4) задача с неделимостями;
5) производственно-транспортная задача.
Вопрос 4. Задача целочисленного линейного программирования
х, + тах>
4х, + 2x2 < 20,
х, <8, х2 < 3, х, >0, х2 > 0,
х, и х2 — целые
заменой переменных сведена к задаче линейного программирования с булевыми переменными. Чему равно минимальное число переменных в новой задаче?
Варианты ответов:
1) 2; 2) 3; 3) 5; 4) 6; 5) 7.
Задачи
Задача 1. Руководство завода предполагает провести комплекс организационно-технических мероприятий в целях модернизации производства. Мероприятия потребуют следующих затрат производственных площадей, трудовых и финансовых ресурсов:
|
Мероприятие |
Трудовые
ресурсы,
человекодни |
Финансовые ресурсы, тыс. руб. |
Производственные площади, м2 |
Экономический эффект, тыс. руб. |
|
Закупка станков сЧПУ |
350 |
400 |
130 |
13 000 |
|
Текущий ремонт |
250 |
90 |
— |
3000 |
|
Монтаж транспортного конвейера |
100 , |
60 |
300 |
8000 |
|
Установка рельсового крана |
200 |
300 |
150 |
12 000 |
|
Ввод системы контроля качества |
130 |
— |
150 |
2500 |
|
Разработка АСУП |
800 |
500 |
100 |
15 000 |
На реализацию всех мероприятий завод может выделить трудовых ресурсов 1300 человекодней, финансовых — 10 млн руб., производственных площадей — 700 м2.
Определите мероприятия, которые следует провести, располагая этими ресурсами, с тем чтобы общий экономический эффект был максимальным.
Вопросы:
1. Каков максимальный экономический эффект от проведения мероприятий?
2. Какое количество мероприятий следует провести?
Задача 2. В текущем году заводу необходимо:
1) закупить два универсальных станка с ЧПУ общей стоимостью 200 тыс. руб. Для этого требуются трудовые ресурсы в объеме 250 человекодней и производственные площади 100 м2;
2) смонтировать транспортный конвейер стоимостью 100 тыс. руб. Необходимы трудовые ресурсы 190 человекодней и производственные площади 200 м2.
Для проведения этих мероприятий завод располагает финансовыми ресурсами 250 тыс. руб., трудовыми — 200 человекодней и производственными площадями 200 м2.
Недостаток средств и ресурсов можно компенсировать, проведя некоторые из следующих мероприятии:
1) внедрить новые резцы для обработки металла. Экономия трудозатрат — 130 человекодней, финансовые затраты — 50 тыс. руб.;
2) провести профилактический ремонт станочного парка. Трудозатраты — 10 человекодней, прибыль — 20 тыс. руб.;
3) внедрить систему контроля качества продукции. Экономия трудозатрат — 190 человекодней, затраты производственных площадей — 50 м2, прибыль — 5 тыс. руб.;
4) реализовать устаревшее оборудование. Трудозатраты — 60 человекодней, высвобождение производственных площадей — 200 м2, прибыль — 300 тыс. руб.;
5) провести инвентаризацию запасов материальных ресурсов. Трудозатраты — 20 человекодней, высвобождение производственных площадей — 150 м2.
Вопрос: Какое минимальное количество мероприятий следует провести, чтобы закупить станки с ЧПУ и смонтировать транспортный конвейер?
|
Изделие |
1 |
2 |
3 |
4 |
5 |
|
Объем, шт. |
350 |
250 |
400 |
150 |
150 |
Задача 3. В Сибири работают четыре химических завода. Они участвуют в конкурсе на размещение госзаказа по производству изделий пяти наименований в следующем объеме:
|
Каждый завод представил несколько вариантов годовой производственной программы по выполнению госзаказа и соответствующие финансовые условия контракта: |
|
|
|
|
Варианты завода 1 |
Варианты завода 2 |
Варианты завода 3 |
Варианты завода 4 |
|
1 |
2 |
3 |
4 |
5 |
6 |
7 |
8 |
9 |
10 |
|
Изделие 1 |
100 |
200 |
200 |
50 |
80 |
— |
- |
100 |
100 |
50 |
|
Изделие 2 |
200 |
100 |
150 |
— |
- |
200 |
250 |
100 |
40 |
60 |
|
Изделие 3 |
300 |
250 |
250 |
120 |
100 |
100 |
50 |
50 |
60 |
100 |
|
Изделие 4 |
100 |
50 |
100 |
100 |
50 |
— |
- |
- |
50 |
— |
|
Изделие 5 |
50 |
100 |
80 |
— |
— |
100 |
100 |
80 |
150 |
100 |
|
Объем финансирования, млн руб. |
12 |
16 |
14 |
7 |
9 |
16 |
15 |
17 |
5 |
8 |
Вопросы:
1. Каковы минимальные затраты на выполнение заказа?
2. Следует ли реализовать вариант 2 завода 1?
Задача 4. Нефтеперерабатывающее предприятие использует в производстве нефть трех сортов. Резервные запасы нефти каждого сорта должны быть не меньше соответственно 20,40 и 60 тыс. т Для хранения нефти могут быть использованы четыре резервуара вместимостью 25, 30, 35,40 тыс. т Затраты на хранение 1 т нефти сорта 2 на 10% выше, чем затраты для нефти сорта 1, а для сорта 3 на 20% выше, чем для сорта 1. Смешение нефти разных сортов при хранении не допускается.
Вопросы:
1. Сколько резервуаров следует использовать?
2. Нефть какого сорта следует хранить в резервуаре вместимостью 30 тыс. т?
Задача 5. Объединение кабельной промышленности состоит из трех заводов. Номенклатура выпускаемых изделий включает три позиции: кабель силовой, провод для осветительных установок и провод обмоточный. На трехлетний период планирования разработаны три варианта развития завода 1, два варианта развития завода 2 и один — завода 3. Производство кабельных изделий (в тыс. м) по годам приведено в следующей таблице:
|
|
Кабель силовой |
Провод для осветительных установок |
Провод обмоточный |
Затраты на 3 года, млн руб. |
Год
1 |
Год
2 |
Год
3 |
Год
1 |
Год
2 |
Год
3 |
Год
1 |
Год
2 |
Год
3 |
|
Варианты завода 1 |
t |
6,9 |
8,0 |
10,0 |
37 |
44 |
53 |
2,8 |
3,0 |
4,0 |
1557 |
|
2 |
7,0 |
7,0 |
8,6 |
25 |
— |
— |
3,0 |
18,0 |
20,2 |
1399 |
|
3 |
7,0 |
7,8 |
8,7 |
30 |
— |
— |
6,0 |
18,0 |
20,0 |
1034 |
|
Варианты завода 2 |
4 |
19,2 |
23,0 |
28,0 |
— |
— |
— |
12,8 |
15,0 |
18,0 |
2822 |
|
5 |
15,8 |
18,0 |
22,2 |
— |
— |
— |
16,0 |
18,5 |
20,8 |
3044 |
|
Варианты завода 3 |
6 |
— |
— |
— |
— |
864 |
950 |
— |
— |
- ' |
364 |
|
Потребность по годам, тыс. м |
15 |
17 |
25 |
20 |
300 |
450 |
10 |
15 |
10 |
|
Определите план выпуска продукции на трех заводах, обеспечивающий удовлетворение заданной потребности в кабельных изделиях с минимальными затратами.
Вопросы:
1. Каковы минимальные затраты?
2. Следует ли использовать вариант 3 для завода 1?
Задача 6. В последующие два года добыча угля К2 должна возрасти на 180 и 234 тыс. т соответственно, а угля СС — на 150 и 195 тыс. т. Для обеспечения роста добычи могут быть введены в действие три шахты. Для каждой из них разработаны два варианта добычи угля. Для первого года с момента ввода шахты данные по объемам добычи (тыс. т) приведены в следующей таблице:
|
|
Шахта 1 |
Шахта 2 |
Шахта 3 |
|
Вариант 1 |
Вариант 2 |
Вариант 1 |
Вариант 2 |
Вариант 1 |
Вариант 2 |
|
К2 |
80 |
120 |
30 |
50 |
60 |
40 |
|
СС |
130 |
70 |
90 |
40 |
90 |
60 |
Затраты,
тыс. руб. |
100 |
120 |
50 |
40 |
70 |
50 |
На второй год с момента ввода:
на шахте 1 добыча угля К2 и СС выше по обоим вариантам на 10% при росте затрат на 10%;
на шахте 2 по первому варианту добыча К2 больше на 10%, а добыча СС меньше на 10% при неизменных затратах, по второму варианту добыча К2 меньше на 10%, а добыча СС больше на 10% при неизменных затратах;
на шахте 3 по обоим вариантам объем добычи и затраты те же, что и для первого года.
Любая шахта может быть введена как в первый, так и во второй год планового периода. Введенные мощности продолжают использоваться в последующие периоды времени.
Составьте план ввода мощностей по добыче угля, обеспечивающий выполнение плановых заданий с минимальными затратами.
Вопросы:
1. Каковы минимальные затраты?
2. Следует ли использовать вариант 1 развития шахты 2?
Задача 7. Для реконструкции машиностроительного предприятия было представлено 10 проектов, каждый из которых характеризуется четырьмя агрегированными показателями: затратами труда, энергии, материалов, денежных средств, а также ежегодной прибылью в случае реализации проекта. Соответствующие данные и объем имеющихся ресурсов приведены в таблице:
|
Проект |
1 |
2 |
3 |
4 |
5 |
6 |
7 |
8 |
9 |
10 |
Ре
сур
сы |
|
Труд, нормочасы |
50 |
60 |
30 |
40 |
80 |
70 |
50 |
20 |
40 |
50 |
300 |
|
Энергия, тыс. кВт-ч |
4 |
4 |
2 |
5 |
5 |
2 |
3 |
6 |
6 |
3 |
24 |
|
Материалы, млн руб. |
3 |
2 |
4 |
5 |
3 |
2 |
4 |
2 |
2 |
3 |
20 |
|
Денежные средства, млн руб. |
7 |
5 |
9 |
6 |
4 |
3 |
7 |
2 |
4 |
5 |
30 |
|
Прибыль, млн руб. |
9 |
8 |
8,5 |
8,8 |
9 |
8 |
9 |
8,7 |
8,9 |
8 |
|
При выборе проектов необходимо учесть ряд ограничений технологического характера:
1) одновременно может быть реализовано не более семи проектов;
2) проекты 5 и 8 исключают друг друга;
3) проект 1 может быть реализован лишь при условии реализации проекта 2;
4) проект 4 может быть реализован лишь при условии реализации хотя бы одного из двух проектов: либо проекта 3, либо проекта 10.
Вопросы:
1. Какова максимальная прибыль?
2. Следует ли реализовывать проект 3?
Задача 8. Имеются одинаковые заготовки, которые могут быть раскроены тремя способами и из которых могут быть получены не менее 10 деталей первого типоразмера, не менее 8 деталей второго типоразмера и не менее 10 деталей третьего типоразмера.
Способы раскроя представлены в следующей матрице:

где ау — количество деталей типоразмера i, получаемое из одной заготовки путем ее раскроя способом j. Количество заготовок, раскраиваемых каждым способом, должно быть целым и не превышать 4. Отходы от одной заготовки для каждого из способов раскроя составляют соответственно 4,5 и 5 см. Выполните раскрой с минимальными суммарными отходами.
Вопросы:
1. Сколько заготовок должно быть раскроено вторым способом?
2. Чему равны минимальные суммарные отходы?
Ответы и решения
Ответы на вопросы: 1 — 4, 2 — 4, 3 — 5, 4 — 4.
Objective
type |
MAX |
|
|
VAR 1 |
VAR 2 |
VAR 3 |
VAR 4 |
VAR 5 |
VAR 6 |
|
|
|
OBJ COEFF |
13 000 |
3000 |
8000 |
12 000 |
2500 |
15 000 |
|
|
|
CONSTR 1 |
350 |
250 |
100 |
200 |
130 |
800 |
<= |
1300 |
|
CONSTR 2 |
400 |
90 |
60 |
300 |
0 |
500 |
<= |
10 000 |
|
CONSTR 3 |
130 |
0 |
300 |
150 |
150 |
100 |
<= |
700 |
VARBL
TYPE |
0-1 |
0-1 |
0-1 |
0-1 |
0-1 |
0-1 |
|
|
OPTIMAL
SOLUTION |
0 |
0 |
1 |
1 |
1 |
1 |
|
37 500 |
Задача 1. Решение. _
Ответы: 1. 37 500 тыс. руб. 2. Четыре мероприятия.
Задача 2. Решение.
Если преследуется цель минимизации количества дополнительных работ, то модель будет иметь вид (затраты со знаком минус):
|
Objective type |
MIN |
|
|
VAR 1 |
VAR 2 |
VAR 3 |
VAR 4 |
VAR 5 |
VAR 6 |
VAR 7 |
|
|
|
OBJ COEFF |
0 |
0 |
1 |
1 |
1 |
1 |
1 |
|
|
|
CONSTR 1 |
-200 |
-100 |
-50 |
20 |
5 |
300 |
0 |
>= |
-250 |
|
CONSTR 2 |
-250 |
-190 |
130 |
-10 |
190 |
-60 |
-20 |
>= |
-200 |
|
CONSTR 3 |
-100 |
-200 |
0 |
0 |
-50 |
200 |
150 |
>= |
-200 |
|
CONSTR 4 |
1 |
0 |
0 |
0 |
0 |
0 |
0 |
= |
1 |
|
CONSTR 5 |
0 |
1 |
0 |
0 |
0 |
0 |
0 |
= |
1 |
|
VARBL TYPE |
0-1 |
0-1 |
0-1 |
0-1 |
0-1 |
0-1 |
0-1 |
|
|
OPTIMAL
SOLUTION |
1 |
1 |
1 |
0 |
1 |
1 |
0 |
|
3 |
Ответ: Три мероприятия. Задача 3. Решение.
Objective
type |
MIN |
|
|
VAR
1 |
VAR
2 |
VAR
3 |
VAR
4 |
VAR
5 |
VAR
6 |
VAR
7 |
VAR
8 |
VAR
9 |
VAR
10 |
|
|
OBJ
COEFF |
12 |
16 |
14 |
7 |
9 |
16 |
15 |
17 |
5 |
8 |
|
|
|
CTR 1 |
100 |
200 |
200 |
50 |
80 |
0 |
0 |
100 |
100 |
50 |
>= |
350 |
|
CTR2 |
200 |
100 |
150 |
0 |
0 |
200 |
250 |
100 |
40 |
60 |
>= |
250 |
|
CTR3 |
300 |
250 |
250 |
120 |
100 |
100 |
50 |
50 |
60 |
100 |
>= |
400 |
|
CTR 4 |
100 |
50 |
100 |
100 |
50 |
0 |
0 |
0 |
50 |
0 |
>= |
150 |
|
CTR 5 |
50 |
100 |
80 |
0 |
0 |
100 |
100 |
80 |
150 |
100 |
>= |
150 |
VARBL
TYPE |
0-1 |
0-1 |
0-1 |
0-1 |
0-1 |
0-1 |
0-1 |
0-1 |
0-1 |
0-1 |
|
|
OPTI
MAL
SOLU
TION |
0 |
0 |
1 |
0 |
0 |
0 |
0 |
0 |
1 |
1 |
|
27 |
Ответы: 1. 27 млн руб. 2. Нет, не следует.
Задача 4. Решение.
Резервуар
Сорт |
1 |
2 |
3 |
4 |
|
1 |
VAR 1 |
VAR 2 |
VAR 3 |
VAR 4 |
|
2 |
VAR 5 |
VAR 6 |
VAR 7 |
VAR 8 |
|
3 |
VAR 9 |
VAR 10 |
VAR 11 |
VAR 12 |
Пусть VAR 1 равен единице, если первый сорт нефти находится в первом резервуаре, и нулю в противном случае и т.д. Введем следующие обозначения:_
При минимизации затрат на хранение полученное решение будет иметь вид
|
Objective type |
MIN |
|
|
VAR
1 |
VAR
2 |
VAR
3 |
VAR
4 |
VAR
5 |
VAR
6 |
VAR
7 |
VAR
8 |
VAR
9 |
VAR
10 |
VAR
11 |
VAR
12 |
|
|
OBJ
COEFF |
1 |
1 |
1 |
1 |
1,1 |
1,1 |
U |
1,1 |
1,2 |
1,2 |
1,2 |
1,2 |
|
|
|
CTR 1 |
25 |
30 |
35 |
40 |
0 |
0 |
0 |
0 |
0 |
0 |
0 |
0 |
>= |
20 |
|
CTR2 |
0 |
0 |
0 |
0 |
25 |
30 |
35 |
40 |
0 |
0 |
0 |
0 |
>= |
40 |
|
CTR 3 |
0 |
0 |
0 |
0 |
0 |
0 |
0 |
0 |
25 |
30 |
35 |
40 |
>= |
60 |
|
CTR 4 |
1 |
0 |
0 |
0 |
1 |
0 |
0 |
0 |
1 |
0 |
0 |
0 |
= |
1 |
|
CTR 5 |
0 |
1 |
0 |
0 |
0 |
1 |
0 |
0 |
0 |
1 |
0 |
0 |
= |
1 |
|
CTR 6 |
0 |
0 |
1 |
0 |
0 |
0 |
1 |
0 |
0 |
0 |
1 |
0 |
= |
1 |
|
CTR 7 |
0 |
0 |
0 |
1 |
0 |
0 |
0 |
1 |
0 |
0 |
0 |
1 |
= |
1 |
VARBL
TYPE |
0-1 |
0-1 |
0-1 |
0-1 |
0-1 |
0-1 |
0-1 |
0-1 |
0-1 |
0-1 |
0-1 |
0-1 |
|
|
OPTI
MAL
SOLU
TION |
0 |
1 |
0 |
0 |
0 |
0 |
0 |
1 |
1 |
0 |
1 |
0 |
|
4,5 |
Ответы: 1. Четыре резервуара. 2. Первого сорта.
Задача 5. Решение.
Производственное объединение выпускает три продукта:
1) кабель силовой;
2) провод для осветительных установок;
3) провод обмоточный.
На каждый год трехлетнего периода установлено задание по объему производства каждого из этих продуктов. Таким образом, в модель следует ввести девять ограничений по объему выпуска.
Производственное задание может быть выполнено, если будут реализованы наилучшие варианты развития всех предприятий, входящих в объединение. Первый завод, по условию, имеет три варианта развития, второй — два, третий — один. Всего вариантов шесть, но каждый завод должен выбрать только один из своих вариантов. Таким образом, в модели следует учесть еще три ограничения.
В результате получаем модель с двенадцатью ограничениями и шестью переменными.
Целевая функция — минимизация затрат на выполнение задания по объему производства.
В следующей таблице представлены структурные модели и решение задачи:
|
Objective type |
MIN |
|
|
VAR 1 |
VAR 2 |
VAR3 |
VAR 4 |
VAR 5 |
VAR 6 |
|
|
|
OBJ COEFF |
1557 |
1399 |
1034 |
2822 |
3044 |
364 |
|
|
|
CON STR 1 |
6,9 |
7,0 |
7,0 |
19,2 |
15,8 |
0 |
>= |
15 |
|
CONSTR 2 |
8,0 |
7,0 |
7,8 |
23,0 |
18,0 |
0 |
>= |
17 |
|
CONSTR3 |
10,0 |
8,6 |
8,7 |
28,0 |
22,2 |
0 |
>= |
25 |
|
CONSTR 4 |
37 |
25 |
30 |
0 |
0 |
0 |
>= |
20 |
|
CONSTR 5 |
44 |
0 |
0 |
0 |
0 |
864 |
>= |
300 |
|
CONSTR 6 |
53 |
0 |
0 |
0 |
0 |
950 |
>= |
450 |
|
CONSTR 7 |
2,8 |
3,0 |
6,0 |
12,8 |
16,0 |
0 |
>= |
10 |
|
CONSTR 8 |
3,0 |
18,0 |
18,0 |
15,0 |
18,5 |
0 |
>= |
15 |
|
CONSTR 9 |
4,0 |
20,2 |
20,0 |
18,0 |
20,8 |
0 |
>= |
10 |
|
CONSTR 10 |
1 |
1 |
1 |
0 |
0 |
0 |
= |
1 |
|
CONSTR 11 |
0 |
0 |
0 |
1 |
1 |
0 |
= |
1 |
|
CONSTR 12 |
0 |
0 |
0 |
0 |
0 |
1 |
= |
1 |
|
VARBL TYPE |
0-1 |
0-1 |
0-1 |
0-1 |
0-1 |
0-1 |
|
|
OPTIMAL
SOLUTION |
0 |
0 |
1 |
1 |
0 |
1 |
|
4220 |
Ответы: 1. 4220 млн руб. 2. Да, следует. Задача 6. Решение.
Обозначения:
|
Первая шахта |
По первому варианту |
Ввод в первый год |
VAR 1 |
|
Продолжение работы шахты, введенной в первый год |
VAR 2 |
|
Ввод во второй год |
VAR 3 |
|
По второму варианту |
Ввод в первый год |
VAR 4 |
|
Продолжение работы шахты, введенной в первый год |
VAR 5 |
|
Ввод во второй год |
VAR 6 |
|
Вторая шахта |
По первому варианту |
Ввод в первый год |
VAR 7 |
|
Продолжение работы шахты, введенной в первый год |
VAR 8 |
|
Ввод во второй год |
VAR 9 |
|
По второму вар нашу |
Ввод в первый год |
VAR 10 |
|
Продолжение работы шахты, введенной в первый год |
VAR 11 |
|
Ввод во второй год |
VAR 12 |
|
Третья шахта |
По первому варианту |
Ввод в первый год |
VAR 13 |
|
Продолжение работы шахты, введенной в первый год |
VAR 14 |
|
Ввод во второй год |
VAR 15 |
|
По второму варианту |
Ввод в первый год |
VAR 16 |
|
Продолжение работы шахты, введенной в первый год |
VAR 17 |
|
Ввод во второй год |
VAR 18 |
В таблице на с. 407 представлены структура модели и решение задачи. Ответы: 1. 432 тыс. руб. 2. Нет, не следует.
Objective
type |
MIN |
|
|
VAR
1 |
VAR
2 |
VAR
3 |
VAR
4 |
VAR
5 |
VAR
6 |
VAR
7 |
VAR
8 |
VAR
9 |
VAR
10 |
VAR
11 |
VAR
12 |
VAR
13 |
VAR
14 |
VAR
15 |
VAR
16 |
VAR
17 |
VAR
18 |
|
|
OBJ
COEFF |
100 |
110 |
100 |
120 |
132 |
120 |
50 |
50 |
50 |
40 |
40 |
40 |
70 |
70 |
70 |
50 |
50 |
50 |
|
|
|
CTR 1 |
80 |
0 |
0 |
120 |
0 |
0 |
30 |
0 |
0 |
50 |
0 |
0 |
60 |
0 |
0 |
40 |
0 |
0 |
>= |
180 |
|
CTR 2 |
130 |
0 |
0 |
70 |
0 |
0 |
90 |
0 |
0 |
40 |
0 |
0 |
90 |
0 |
0 |
60 |
0 |
0 |
>= |
150 |
|
CTR 3 |
0 |
88 |
80 |
0 |
132 |
120 |
0 |
33 |
30 |
0 |
45 |
50 |
0 |
60 |
60 |
0 |
40 |
40 |
>= |
234 |
|
CTR 4 |
0 |
143 |
130 |
0 |
77 |
70 |
0 |
81 |
90 |
0 |
44 |
40 |
0 |
90 |
90 |
0 |
60 |
60 |
>= |
195 |
|
CTR 5 |
1 |
0 |
1 |
0 |
0 |
0 |
0 |
0 |
0 |
0 |
0 |
0 |
0 |
0 |
0 |
0 |
0 |
0 |
¦= |
1 |
|
CTR 6 |
0 |
0 |
0 |
1 |
0 |
1 |
0 |
0 |
0 |
0 |
0 |
0 |
0 |
0 |
0 |
0 |
0 |
0 |
= |
1 |
|
CTR 7 |
0 |
0 |
0 |
0 |
0 |
0 |
1 |
0 |
1 |
0 |
0 |
0 |
0 |
0 |
0 |
0 |
0 |
0 |
= |
1 |
|
CTR 8 |
0 |
0 |
0 |
0 |
0 |
0 |
0 |
0 |
0 |
1 |
0 |
1 |
0 |
0 |
0 |
0 |
0 |
0 |
= |
1 |
|
CTR 9 |
0 |
0 |
0 |
0 |
0 |
0 |
0 |
0 |
0 |
0 |
0 |
0 |
1 |
0 |
1 |
0 |
0 |
0 |
= |
1 |
|
CTR 10 |
0 |
0 |
0 |
0 |
0 |
0 |
0 |
0 |
0 |
0 |
0 |
0 |
0 |
0 |
0 |
1 |
0 |
1 |
= |
1 |
VARBL
TYPE |
0-1. |
0-1 |
0-1 |
0-1 |
0-1 |
0-1 |
0-1 |
0-1 |
0-1 |
0-1 |
0-1 |
0-1 |
0-1 |
0-1 |
0-1 |
0-1 |
0-1 |
0-1 |
|
|
OPTIMAL
SOLU
TION |
0 |
0 |
0 |
1 |
1 |
0 |
0 |
0 |
0 |
0 |
0 |
1 |
1 |
1 |
0 |
0 |
0 |
0 |
|
432 |
Ответы: 1. 51,1 млн руб. 2. Да, следует. Задача 8. Решение.
|
Objective type |
MIN |
|
|
VAR 1 |
VAR 2 |
VAR 3 |
|
|
|
OBJ COEFF |
4 |
5 |
5 |
|
|
|
CONSTR 1 |
2 |
1 |
3 |
>= |
10 |
|
CONSTR2 |
2 |
2 |
1 |
>= |
8 |
|
CONSTR 3 |
1 |
3 |
0 |
>= |
10 |
|
CONSTR 4 |
1 |
0 |
0 |
<= |
4 |
|
CONSTR 5 |
0 |
1 |
0 |
<= |
4 |
|
CONSTR 6 |
0 |
0 |
1 |
<= |
4 |
|
OPTIMAL SOLUTION |
4 |
2 |
0 |
|
26 |
Ответы: 1. Две заготовки, 2. 26см.
Глава 16. Основы теории принятия решений
Человеку постоянно приходится принимать решения. Так, прежде чем выйти из дому, вы задумываетесь над тем, взять ли зонт. Конечно, не хотелось бы носить его с собой в хорошую погоду. Но в дождливый день зонт будет весьма кстати. Так брать или не брать зонт?
Ответить на этот вопрос несложно, если точно знать, какая будет погода. Если с утра идет дождь, большинство людей возьмет зонты. Хотя, возможно, не все. Некоторые закаленные люди скорее предпочтут промокнуть, лишь бы не носить весь день с собой зонт. Последствия отсутствия зонта в плохую погоду оцениваются каждым человеком по-разному. Эти оценки влияют на решение.
Сложнее принять решение, если отсутствует достоверная информация о том, какая ожидается погода. Нельзя полностью доверять прогнозу. Он никогда не бывает абсолютно точным. Еще сложнее принять решение, если вы прогноза не знаете.
Методы принятия решений в условиях отсутствия достоверной информации о возможных последствиях изучаются теорией риска. Эта теория имеет широкую сферу приложений в экономике. Одно из наиболее важных — выбор инвестиционных проектов.
После того как вы выполните задания, предлагаемые в этой главе, вы будете уметь определять и использовать для экономического анализа следующие понятия:
• альтернатива;
• состояние среды;
• таблица решений;
• дерево решений;
• критерий безразличия;
• критерий оптимизма;
• критерий пессимизма;
• ожидаемая стоимостная оценка альтернативы;
• ожидаемая ценность достоверной информации.
Кроме того, вы научитесь принимать решения в условиях неопределенности, определенности и в условиях риска.
Модели
Теория принятия решений — это аналитический подход к выбору наилучшей альтернативы или последовательности действий. В теории принятия решений существуют три основных уровня классификации. Они зависят от степени определенности возможных исходов или последствий, с которыми сталкивается лицо, принимающее решения (ЛИР).
Соответственно существуют три типа моделей:
1. Принятие решений в условиях определенности — ЛИР точно знает последствия и исходы любой альтернативы или выбора решения. Например, ЛИР с полной определенностью знает, что вклад 100 тыс. руб. на текущий счет приведет к увеличению баланса этого счета на 100 тыс. руб.
2. Принятие решений в условиях риска — ЛИР знает вероятности наступления исходов или последствий для каждого решения. Мы можем не знать того, что завтра будет дождь, но мы можем знать, что вероятность дождя 0,3.
3. Принятие решений в условиях неопределенности — ЛПР не знает вероятностей наступления исходов для каждого решения. Например, вероятность того, что весь тираж этой книги будет реализован за год, авторам неизвестна.
Если имеет место полная неопределенность в отношении возможности реализации состояний среды (т.е. мы не можем даже приблизительно указать вероятности наступления каждого возможного исхода), то обстоятельства, с которыми мы имеем дело при выборе решения, можно представить как вид стратегической игры, в которой один игрок — ЛПР, а другой — некая объективная действительность, называемая природой. Условия такой игры обычно представляются следующей таблицей решений, в которой строки А1, А2, Ат, соответствуют стратегиям ЛПР, а столбцы N1, N2,..., Nn — стратегиям
|
|
|
Ni |
|
Nn |
|
А |
аи |
ап |
|
а1„ |
|
А |
°г\ |
°22 |
|
°2п |
|
|
|
|
|
|
|
А, |
°т\ |
°т2 |
|
°тп |
В рассматриваемой ситуации при выборе из множества {А1, А2, Ат} наилучшего решения обычно
используют следующие критерии:
1. Максимаксный критерий, или критерий крайнего оптимизма — определяет альтернативу, которая максимизирует максимальный результат для каждой альтернативы, т.е. ЛПР выбирает стратегию sq, которой соответствует
max max ап.
i j V
2. Максиминный критерий Вальда, или критерий крайнего пессимизма — определяет альтернативу, которая максимизирует минимальный результат для каждой альтернативы, т.е. ЛПР выбирает стратегию /0, которой соответствует
max min аи.
i j J
3. Критерий минимаксного риска Сэвиджа. Согласно этому критерию выбирается стратегия, при которой величина риска г у в наихудших условиях минимальна, т.е. равна
min max ru.
І j J
Здесь риск Гу = (max а у ) - ay.
4. Критерий оптимизма-пессимизма Гурвица — рекомендует при выборе решения не руководствоваться ни крайним пессимизмом, ни крайним оптимизмом. Согласно этому критерию стратегия выбирается из условия
max {k min ап + (1 — к) max }.
I I V І J
Значение коэффициента пессимизма к выбирается между нулем и единицей. При к = 1 критерий Гурвица превращается в критерий Вальда, при k > 0 — в критерий крайнего оптимизма.

5. Критерий безразличия. В условиях полной неопределенности предполагается, что все возможные состояния среды (природы) равновероятны. Этот критерий выявляет альтернативу с максимальным средним результатом, т.е.
Если известна таблица решений с оценками условий и вероятностями реализации для всех состояний среды, можно определить ожидаемую стоимостную оценку ЕМУ для каждой альтернативы. Один из наиболее распространенных критериев выбора альтернативы — максимальная ЕМУ.
Для каждой альтернативы ожидаемая стоимостная оценка ЕМУ есть сумма всевозможных оценок условий (выигрышей) для этой альтернативы, умноженных на вероятности реализации этих выигрышей:
Я
ЕМ?ІЛі) = Z«yPj,
где ay — выигрыш ЛПР при выборе альтернативы i и реализации состояния среды j, j =1,..., n;
ру — вероятность наступления состояния среды j.
Ожидаемой ценностью достоверной информации EVPI назовем разность между выигрышем в условиях определенности и выигрышем в условиях риска.
Для того чтобы определить EVPI, вначале необходимо рассчитать математическое ожидание в условиях определенности, которое равно ожидаемому (или среднему) доходу в случае, когда мы имеем достоверную информацию перед тем, как принять решение.
Ожидаемый выигрыш в условиях достоверной информации определяется как
І (max ay)Pj.
Тогда
EVPI = Z, (max я ) p. - max Z a p,.
Таблицу решений удобно использовать при анализе задач, имеющих одно множество альтернативных решений и одно множество состояний среды. Многие задачи, однако, содержат последовательности решений и состояний среды. Если имеют место два (или более) последовательных решения и последующее решение основывается на исходе предыдущего, более предпочтителен подход, основанный на построении дерева решений.
Дерево решений — это графическое изображение процесса решений, в котором отражены альтернативные решения, состояния среды, а также соответствующие вероятности и выигрыши для любых комбинаций альтернатив и состояний среды.
Анализ задач с помощью дерева решений включает пять этапов:
1) формулировка задачи;
2) построение дерева решений;
3) оценка вероятностей состояний среды;
4) установление выигрышей для каждой возможной комбинации альтернатив и состояний среды;
5) решение задачи путем расчета ожидаемой стоимостной оценки ЕМУ для каждой вершины состояния среды.
Примеры
Пример 1. Выбор альтернативы.
Компания «Буренка» изучает возможность производства и сбыта навесов для хранения кормов. Проект может основываться на большой или малой производственной базе. Рынок для реализации навесов может быть благоприятным или неблагоприятным.
Василий Бычков — менеджер компании — учитывает возможность вообще не производить эти навесы. При благоприятной рыночной ситуации большое производство позволило бы Бычкову получить чистую прибыль 200 тыс. руб. Если рынок окажется неблагоприятным, то при большом производстве компания понесет убытки в размере 180 тыс. руб. Малое производство дает 100 тыс. руб. прибыли при благоприятной рыночной ситуации и 20 тыс. руб. убытков при неблагоприятной.
Вопрос: Какую альтернативу следует выбрать?
Решение. Применим перечисленные выше критерии. Составим таблицу решений (к = 0,75):
Состояние ^ч. среды
Альтернатива ^Ч. |
Благо
прият
ный
рынок |
Небла
гопри
ятный
рынок |
Maxi
max |
Maxi
min |
Кри
терий
Сэвид
жа |
Кри
терий
Гур-
вица |
Кри
терий
без
раз
личия |
|
Ф |
Создать большое производство |
200 |
-180 |
200 |
-180 |
180 |
-85 |
10 |
|
Ф |
Создать малое производство |
100 |
-20 |
100 |
-20 |
100 |
10 |
40 |
|
Ф |
Ничего не делать |
0 |
0 |
0 |
0 |
200 |
50 |
0 |
Ответ: По критерию maximax следует выбрать альтернативу А,. по критерию maximin и критерию Гурвица (при к = 0,75) — А3; по критерию минимума максимального риска (критерию Сэвиджа) и критерию безразличия — А2.
Пример 2. Выбор альтернативы при равновероятных состояниях среды.
Рассмотрим условия примера 1 и предположим, что оба состояния среды равновероятны.
Вопрос: Какую альтернативу следует выбрать по критерию максимизации EMV7
Решение. Получаем следующие оценки:
ЕМ?(Ау) = 200 -0,5 + (-180) - 0,5 = 10 тыс. руб.;
ЕМ?(А2) = 100 - 0,5 + (-20) - 0,5 = 40 тыс. руб.;
ЕМ?(А3) = 0 - 0,5 + 0 • 0,5 = 0.
Решение в этом случае совпадает с решением, полученным в примере 1 по критерию безразличия.
Ответ: Следует выбрать альтернативу А2
Пример 3. Принятие решения об использовании дополнительной информации.
Предположим, что менеджер компании «Буренка» (см. пример 1) связался с фирмой, занимающейся исследованием рынка, которая предложила ему помощь в принятии решения о том, стоит ли создавать производство навесов для хранения кормов. Исследователи рынка утверждают, что их анализ позволит установить с полной определенностью, будет ли рынок благоприятным для данного продукта. Другими словами, условия для компании «Буренка» меняются от принятия решений в условиях риска к принятию решений в условиях определенности. Эта информация может предостеречь Бычкова от очень дорогостоящей ошибки. Фирма, занимающаяся исследованием рынка, хотела бы получить за эту информацию 65 тыс. руб.
Вопрос: Следует ли воспользоваться услугами указанной фирмы? Даже если результаты исследования являются совершенно точными, оправдана ли плата 65 тыс. руб.?
Решение. 1. Лучший исход для состояния среды «благоприятный рынок» — «создать большое производство» с выигрышем 200 тыс. руб., а для состояния среды «неблагоприятный рынок» — «ничего не делать» с выигрышем 0. Ожидаемая стоимостная оценка в условиях определенности равна 200 • 0,5 + 0 • 0,5 = 100 тыс. руб.
Итак, если бы мы располагали достоверной информацией, мы ожидали бы получить в среднем 100 тыс. руб.
2. Максимум ЕМУ равен 40 тыс. руб. Это размер ожидаемого дохода без достоверной информации.
3. EVPI= Ожидаемая стоимостная оценка в условиях определенности — Максимум ЕМV = 100 — 40 = 60 тыс. руб.
Итак, Бычкову следовало бы платить за достоверную информацию не более 60 тыс. руб. Конечно, такой вывод основывается на предположении, что вероятность реализации каждого состояния среды равна 0,5.
Ответ: Приобретать достоверную информацию не следует.
Пример 4. Взаимосвязанные решения.
Предположим, что Бычкову (см. пример 1) надо принять два решения, причем второе решение зависит от исхода первого. Прежде чем создать новое производство. Бычков намерен заказать исследование рынка и заплатить за него 10 тыс. руб. Результаты этого исследования могли бы помочь решить вопрос о том, следует ли создавать большое производство, малое производство или не делать ничего. Бычков понимает, что такое обследование рынка не может дать достоверную информацию, но может тем не менее оказаться полезным.
Вопрос: Следует ли проводить обследование рынка?
Решение. На рис. 1 показаны возможные состояния среды и решения, а также вероятности различных результатов обследования и вероятности наступления различных состояний среды. (Прямоугольники используются для обозначения вершин принятия решений, кружочки обозначают неконтролируемые события — наступление состояний среды.)
Дерево решений Бычкова с рассчитанными EMV представлено на рис. 2. Короткими параллельными линиями отсекается та ветвь, которая оказывается менее благоприятной по сравнению с другими и может быть отброшена.
Окончание таблицы
|
Неделя |
Запас на складе, тыс. дм2 |
СЧ |
Объем поставок, тыс. дм2 |
СЧ |
Спрос, тыс. дм2 |
Остаток, тыс. дм2 |
|
5 |
3 |
27 |
8 |
79 |
10 |
1 |
|
6 |
1 |
90 |
И |
87 |
10 |
2 |
|
7 |
2 |
92 |
11 |
41 |
9 |
4 |
|
8 |
4 |
09 |
8 |
25 |
8 |
4 |
|
9 |
4 |
36 |
8 |
77 |
10 |
2 |
|
10 |
2 |
69 |
11 |
02 |
6 |
7 |
|
11 |
7 |
36 |
8 |
49 |
9 |
6 |
|
12 |
6 |
71 |
11 |
99 |
11 |
6 |
|
13 |
6 |
32 |
8 |
10 |
7 |
.7 |
|
14 |
7 |
75 |
11 |
21 |
8 |
10 |
|
15 |
10 |
95 |
11 |
90 |
10 |
' 11 |
|
16 |
11 |
94 |
11 |
38 |
8 |
14 |
|
17 |
14 |
97 |
11 |
71 |
10 |
15 |
|
18 |
15 |
72 |
11 |
49 |
9 |
17 |
|
19 |
17 |
98 |
11 |
94 |
11 |
17 |
|
20 |
17 |
90 |
11 |
36 |
8 |
20 |
Задача 7. Решение.
Objective
type |
MAX |
|
|
VAR
1 |
VAR
2 |
VAR
3 |
VAR
4 |
VAR
5 |
VAR
6 |
VAR
7 |
VAR
8 |
VAR
9 |
VAR
10 |
|
|
OBJ
COEFF |
9 |
8 |
8,5 |
8,8 |
9 |
8 |
9 |
8,7 |
8,9 |
8 |
|
|
|
CTR 1 |
50 |
60 |
30 |
40 |
80 |
70 |
50 |
20 |
40 |
50 |
<= |
300 |
|
CTR 2 |
4 |
4 |
2 |
5 |
5 |
2 |
3 |
6 |
6 |
3 |
<= |
24 |
|
CTR 3 |
3 |
2 |
4 |
5 |
3 |
2 |
4 |
2 |
2 |
3 |
<= |
20 |
|
CTR 4 |
7 |
5 |
9 |
6 |
4 |
3 |
7 |
2 |
4 |
5 |
<= |
30 |
|
CTR 5 |
1 |
1 |
1 |
1 |
1 |
1 |
1 |
1 |
1 |
1 |
<= |
7 |
|
CTR 6 |
0 |
0 |
0 |
0 |
1 |
0 |
0 |
1 |
0 |
0 |
<= |
1 |
|
CTR 7 |
1 |
-1 |
0 |
0 |
0 |
0 |
0 |
0 |
0 |
0 |
<= |
0 |
|
CTR 8 |
0 |
0 |
-1 |
1 |
0 |
0 |
0 |
0 |
0 |
-1 |
<= |
0 |
VARBL
TYPE |
0-1 |
0-1 |
0-1 |
0-1 |
0-1 |
0-1 |
0-1 |
0-1 |
0-1 |
0-1 |
|
|
OPTI
MAL
SOLU
TION |
0 |
1 |
1 |
0 |
0 |
1 |
1 |
1 |
1 |
0 |
|
51,1 |
|
Ожидаемая стоимостная оценка наилучшего решения в случае, если будет заказано обследование |
 |
|
Рис. 1 |

Ответ: Да, следует заказывать обследование рынка. Если результат обследования будет благоприятным, следует создавать большое производство, если неблагоприятным — малое.
Вопросы
Вопрос 1. В теории принятия решении ситуация, которую не может контролировать лицо, принимающее решение, называется:
1) деревом решений;
2) состоянием среды;
3) решением в условиях неопределенности;
4) альтернативой;
5) таблицей решений.
Вопрос 2. Укажите правильное соответствие названий критериев принятия решений в условиях неопределенности:
1) minmax « «критерий оптимизма»;
2) maxmin « «критерий пессимизма»;
3) minmin « «критерий пессимизма»;
4) maxmin « «критерий безразличия»;
5) maxmax « «критерий безразличия».
Вопрос 3. В задаче принятия решений рассматривается одно множество состояний среды и одно множество решений. Если вероятность наступления одного из состояний среды равна единице, то решение принимается в условиях:
1) частичной неопределенности;
2) неопределенности;
3) определенности;
4) безразличия;
5) риска.
Вопрос 4. Можно сделать одно из следующих приобретений: квартира, земельный участок, речной катер, авторемонтная мастерская или небольшое кафе. В случае если обстоятельства сложатся благоприятно, прибыль составит соответственно 22, 12, 17, 25 или 30 тыс. руб. В случае неблагоприятного стечения обстоятельств покупка квартиры или земельного участка принесет прибыль соответственно 7 или 9 тыс. руб., а покупка катера, авторемонтной мастерской или кафе — убытки соответственно 5, 11 или 13 тыс. руб.
Благоприятное и неблагоприятное стечение обстоятельств равновероятно. В этом случае достоверная информация о состоянии среды оценивается величиной:
1) 15,5 тыс. руб.;
2) 10 тыс. руб.;
3) 8 тыс. руб.;
4) 5 тыс. руб.;
5) 2 тыс. руб.
Вопрос 5. Модель принятия решений в условиях риска относится к классу моделей:
1) имитационных;
2) статистических;
3) алгебраических;
4) управления запасами;
5) математического программирования.
Вопрос 6. Пусть в качестве критерия принятия решения в условиях риска используется ожидаемая стоимостная оценка альтернативы ЕМ?. Вероятность того, что фактический выигрыш будет равен значению ЕМ?:
1) высока;
2) зависит от числа альтернатив;
3) мала;
4) зависит от числа состояний среды;
5) ничто из вышеуказанного не является верным.
Задачи
Задача 1. Лукерья Скальпель — администратор больницы в Почаеве. Она решает, следует ли сделать к больнице большую пристройку, маленькую пристройку или не делать пристройки вообще. Если население Почаева будет продолжать расти, то большая пристройка могла бы приносить ежегодно прибыль в 150 тыс. руб. Если будет сделана маленькая пристройка, то она может приносить больнице 60 тыс. руб. прибыли ежегодно при условии, что население будет увеличиваться. Если население Почаева не будет увеличиваться, то сооружение большой пристройки принесет больнице убыток в 85 тыс. руб., а маленькой — в 45 тыс. руб. К сожалению, у Лукерьи нет информации о том, как будет изменяться численность населения Почаева.
Постройте таблицу решений. Определите наилучшую альтернативу, используя критерий безразличия.
Вопросы:
1. Чему равно значение ЕМ? для наилучшей альтернативы?
2. Получена дополнительная информация: вероятность роста населения равна 0,6, вероятность того, что его численность останется неизменной, — 0,4. Определите наилучшее решение, используя критерий максимизации ожидаемой стоимостной оценки. Чему равно значение ЕМ? для наилучшей альтернативы при наличии дополнительной информации?
3. Какова ожидаемая ценность дополнительной информации?
Задача 2. Тамара Пончик предполагает построить ресторан недалеко от университетского общежития. Один из возможных вариантов — предусмотреть в нем пивной бар. Другой вариант не связан с продажей пива. В обоих случаях Тамара оценивает свои шансы на успех как 0,6 и на неудачу как 0,4. Предварительные обсуждения показывают, что план, связанный с продажей пива, может принести 325 тыс. руб. прибыли. Без продажи пива можно заработать 250 тыс. руб. Потери в случае открытия ресторана с баром составят 70 тыс. руб., в случае ресторана без бара — 20 тыс. руб.
Выберите альтернативу для Тамары Пончик на основе средней стоимостной оценки в качестве критерия.
Вопросы:
1. Следует ли реализовать план, предусматривающий продажу пива?
2. Чему равно значение ЕМ? для наилучшей альтернативы?
Задача 3. «Фотоколор» — небольшой магазин, торгующий химическими реактивами, которые используются некоторыми фотостудиями при обработке пленки. Один из продуктов, который предлагает «Фотоколор», — фиксаж ВС-6. Адам Полутонов, директор магазина, продает в течение месяца 11, 12 или 13 ящиков ВС-6. От продажи каждого ящика фирма получает 35 тыс. руб. прибыли. Фиксаж ВС-6, как и многие фотореактивы, имеет малый срок годности. Поэтому, если ящик не продан к концу месяца, Адам должен его уничтожить. Так как каждый ящик обходится магазину в 56 тыс. руб., он теряет их в случае, если ящик не продан к концу месяца. Вероятность продать 11, 12 или 13 ящиков в течение месяца равна соответственно 0,45; 0,35 и 0,2.
Вопросы:
1. Сколько ящиков закупать фирме для продажи ежемесячно?
2. Какова ожидаемая стоимостная оценка этого решения?
3. Сколько ящиков следовало бы закупать, если бы Адам мог достать фиксаж ВС-6 с добавкой, которая значительно продлевает срок его годности?
Задача 4. Компания «Молодой сыр» — небольшой производитель различных продуктов из сыра. Один из продуктов — сырная паста — продается в розницу. Вадим Ароматов, менеджер компании, должен решить, сколько ящиков сырной пасты следует производить в течение месяца. Вероятность того, что спрос на сырную пасту в течение месяца будет 6, 7, 8 или 9 ящиков, равна соответственно 0,1;-0,3; 0,5; 0,1. Затраты на производство одного ящика пасты составляют 45 тыс. руб. Ароматов продает каждый ящик по цене 95 тыс. руб. Если сырная паста не продается в течение месяца, то она портится и компания не получает дохода.
Вопросы:
1. Сколько ящиков следует производить в течение месяца?
2. Какова ожидаемая стоимостная оценка этого решения?
Задача 5. Дмитрий Мухин не знает, что ему предпринять. Он может открыть в своей аптеке или большую, или маленькую секцию проката видеокассет. Мухин может получить дополнительную информацию о том, будет рынок видеопроката благоприятным или нет. Эта информация обойдется ему в 3 млн руб. Дмитрий считает, что эта информация окажется благоприятной с вероятностью 0,5. Если рынок будет благоприятным, то большая секция проката принесет прибыль 15 млн руб., а маленькая — 5 млн руб. При неблагоприятном рынке Мухин потеряет 20 млн руб. в случае, если он откроет большую секцию, и 10 млн руб. в случае, если маленькую. Не имея дополнительной информации, Дмитрий оценивает вероятность благоприятного рынка как 0,7. Положительный результат обследования гарантирует благоприятный рынок с вероятностью 0,9. При отрицательном результате рынок может оказаться благоприятным с вероятностью 0,4.
Вопросы:
1. Следует ли получить дополнительную информацию?
2. Следует ли открыть большую секцию?
3. Какова ожидаемая стоимостная оценка наилучшего решения?
Задача 6. Павел Спицын провел анализ, связанный с открытием магазина велосипедов. Если он откроет большой магазин, то при благоприятном рынке получит 60 млн руб., при неблагоприятном — понесет убытки 40 млн руб. Маленький магазин принесет ему 30 млн руб. прибыли при благоприятном рынке и 10 млн руб. убытков — при неблагоприятном. Возможность благоприятного и неблагоприятного рынка он оценивает одинаково. Исследование рынка, которое может провести профессор, обойдется Спицыну в 5 млн руб. Профессор считает, что с вероятностью 0,6 результат исследования рынка окажется благоприятным. В то же время при положительном заключении рынок окажется благоприятным с вероятностью 0,9. При отрицательном заключении рынок может оказаться благоприятным с вероятностью 0,12.
Используйте дерево решений для того, чтобы помочь Павлу сделать правильный выбор.
Вопросы:
1. Следует ли заказать проведение обследования рынка?
2. Следует ли открыть большой магазин?
3. Какова ожидаемая стоимостная оценка наилучшего решения?
|
Процент брака |
Вероятность для поставщика |
|
А |
В |
|
1 |
0,7 |
0,3 |
|
2 |
0,2 |
0,4 |
|
3 |
ОД |
0,3 |
Задача 7. Компания «Луч» получает переключатели у двух поставщиков. Качество переключателей охарактеризовано в следующей таблице:_
Так, 1% всех переключателей, поставляемых поставщиком А, с вероятностью 0,7 окажется бракованным. Так как каждый заказ компании составляет 10 000 переключателей, это означает, что с вероятностью 0,7 они получат от этого поставщика 100 бракованных переключателей. Бракованный переключатель можно отремонтировать за 0,5 тыс. руб. Качество у поставщика В ниже, поэтому он уступает партию в 10 000 переключателей на 37 тыс. руб. дешевле, чем поставщик А.
Вопросы:
1. Какого поставщика следует выбрать компании?
2. Какова ожидаемая стоимостная оценка наилучшего решения?
Задача 8. Ивану Хлоркину, главному инженеру компании «Белый каучук», надо решить, монтировать или нет новую производственную линию с использованием последних технологий. Если новая линия будет работать безотказно, компания получит прибыль 200 млн руб. Если линия откажет, компания может потерять 150 млн руб. По оценкам Хлоркина, в 60% случаев новая линия откажет. Можно создать экспериментальную установку, а затем уже решать, монтировать или нет новую линию. Эксперимент обойдется в 10 млн руб. Иван считает, что в 50% случаев экспериментальная установка будет работать. Если она будет работать, то в 90% случаев производственная линия (если ее смонтировать) также будет работать. Если установка не будет работать, то есть только 20% шансов, что линия будет работать.
Вопросы:
1. Следует ли строить экспериментальную установку?
2. Следует ли монтировать производственную линию?
3. Какова ожидаемая стоимостная оценка наилучшего решения?
Ситуации
Ситуация 1. Создание нового напитка в условиях конкуренции.
Фирма «Напитки для дома» разрабатывает, производит и продает смеси для безалкогольных коктейлей и приготовляет напитки для домашнего потребления.
Миссис Ли, руководитель отдела развития фирмы, сообщила президенту, мистеру Робину Свану, что эксперименты в отделе развития указывают на возможность создания напитка «PINA-cola» на основе нового метода переработки кокосов. Миссис Ли порекомендовала начать программу по производству «PINA-cola». Она оценила в 100 тыс. долл. стоимость исследовательских работ по созданию этого напитка и отметила, что на эту работу потребуется один год. В беседе с мистером Сваном миссис Ли оценила в 90% возможность успешного завершения работы ее специалистами. Она также оценила как 0,8 вероятность разработки в течение 12 месяцев аналогичного напитка конкурирующей фирмой.
Мистер Сван заинтересовался возможными объемами продаж такого напитка. Он переговорил с мистером Беснеттом, занимающимся внедрением новых продуктов на рынок. Тот сообщил, что продавать «PINA-cola» можно, но объем продаж зависит от того, как его примут бакалейные и винные магазины. Судя по отчетам о продажах, другие производители также работают над созданием напитков из тропических фруктов. Если какая-либо фирма создаст аналогичный напиток, рынок, разумеется, будет поделен между двумя фирмами. Мистер Сван попросил мистера Беснетта дать оценки будущих продаж и ожидаемой приведенной прибыли при различных вариантах рыночной конъюнктуры.
Мистер Беснетт представил следующие данные:
|
Потенциал |
Вероятность
продаж |
Приведенная прибыль, тыс. долл. |
|
Высокий |
од |
800 |
|
Средний |
0,6 |
600 |
|
Низкий |
0,3 |
500 |
В данных мистера Беснетта не учтены издержки на разработку, новое оборудование и внедрение «PINA-cola» на рынок.
Ожидается, что издержки на новое оборудование составят 100 тыс. долл., так как кокосы требуют специальной обработки. Издержки, связанные с выходом на рынок, составят 150 тыс. долл., так как потребуется телевизионная реклама.
Миссис Ли отметила, что кроме альтернатив «ничего не предпринимать» и «проводить полномасштабную программу исследований» она может предложить еще два варианта действий:
1. Неспешно проводить исследования в течение 8 месяцев, чтобы посмотреть, выйдет ли какая-нибудь другая фирма на рынок с аналогичным продуктом, а если нет — развить бешеную скорость работ. Замедленная программа исследований на следующие 8 месяцев обойдется в 10 тыс. долл. в месяц, т.е. в 80 тыс. долл. Вероятность успешного завершения этой программы та же, что и при полномасштабных исследованиях. Вероятность того, что конкуренты в течение 8 месяцев создадут аналогичный продукт, равна 0,6. Интенсивные исследования могут быть проведены в течение 4 месяцев (с 9-го по 12-й) и обойдутся еще в 60 тыс. долл. Они будут проводиться только в том случае, если результаты исследований первых 8 месяцев окажутся успешными. Вероятность успеха в целом равна 0,9. Эта программа получила название восьмимесячной.
2. Шесть месяцев проводить исследования, требующие затрат 10 тыс. долл. в месяц, и предпринять разведку действий конкурентов, чтобы определить, ведутся ли разработки аналогичного продукта. Если кто-то разработает продукт через 6 месяцев, потребуется лишь 30 тыс. долл. для того, чтобы провести его анализ и скопировать продукт. Если конкурирующий продукт не будет создан, то при общих затратах в 120 тыс. долл. он будет разработан фирмой «Напитки для дома» с вероятностью 0,9. Вероятность того, что за 6 месяцев будет разработан конкурирующий продукт, равна 0,5. Эта программа получила название шестимесячной.
Мистеру Беснетту, разумеется, не хотелось бы выходить на рынок вслед за конкурентом. Ему известно, что первый продукт обычно завоевывает большую часть рынка. Если на рынок выйдет конкурирующая фирма, можно получить только 50% прибыли, указанной в таблице.
Задание
Какой из следующих вариантов действий вы порекомендуете, рассматривая критерий максимизации ожидаемой стоимостной оценки альтернатив:
1) полномасштабные исследования;
2) восьмимесячная программа замедленных исследований с последующим их ускорением;
3) шестимесячная программа замедленных исследований и изучение поведения конкурентов;
4) ничего не предпринимать.
Обоснуйте вывод, нарисовав дерево решений и проведя соответствующие расчеты.
(Переработано из: Render В., Stair R.M., Greenberg I. Cases and Readings in Management Science, 2nd ed. — Boston: Allyn and Bacon, 1990)
Ситуация 2. Выбор оборудования для производства нового продукта.
Компания Cail создала новое кожаное изделие и сейчас разрабатывает пятилетний план производства и продажи этого продукта. Госпожа Хедрич, президент компании, поручила разработку этого проекта своему ассистенту, Каролине Гарсия. Она должна координировать работу директора компании по продажам Барбары Гвирола и управляющего производством Карен Хоуп.
Компания Cail — небольшая фирма, которая уже более 30 лет занимается производством изделий из кожи. Она приобретает выделанные шкуры и производит кошельки, ремни и сумочки. Новый продукт представляет собой комбинацию кошелька, портмоне для ключей и бумажника для кредитных карточек. Производственники разработали набор материалов для изготовления универсального портмоне. Они подсчитали, что в течение пяти лет стоимость материалов и накладные расходы составят 1,5 долл. на одно изделие при пятидневной рабочей неделе без сверхурочных.
Удельные затраты на труд и оборудование будут зависеть от того, какая машина будет использована для производства.
Аналитики свели проблему выбора к двум типам специализированного оборудования. Первый тип — полуавтоматическая машина, которая не обеспечивает раскрой материала, но может сшивать его, вшивать молнии и заклепки и обеспечивать два типа дизайна продукта. Стоимость машины 450 тыс. долл. Средние переменные издержки на труд и прочие издержки, связанные с использованием этого оборудования, составляют 2,5 долл. Производительность такого оборудования — 640 шт в день. При этом затраты времени на наладку и ремонт оборудования составляют 12,5% (?8 общего времени).
Вторая машина, которая может использоваться при изготовлении продукта, является автоматом. Она позволяет кроить и сшивать материал, вшивать молнии и заклепки, делать портмоне с дизайном трех типов. Эта машина стоит 850 тыс. долл. Средние переменные издержки при ее использовании составляют 1,75 долл. Этот тип оборудования имеет более высокую производительность — 800 шт. в день. Затраты времени на наладку и ремонт машины ввиду ее сложности также более высокие — 25% (1/4 времени).
|
Объем продаж, тыс. шт. |
Вероятность |
|
120 |
0,15 |
|
130 |
0,25 . |
|
140 |
0,40 |
|
150 |
0,15 |
|
160 |
0,05 |
Анализ продаж не позволил получить точные результаты. Объем продаж на ближайшие пять лет в значительной степени зависит от оценок производственных издержек и производительности. Однако госпожа Гвирола при поддержке госпожи Хедрич определила наиболее вероятную цену нового портмоне в 6 долл. Такая цена позволяет новому изделию конкурировать с другими подобными продуктами на рынке. Постепенно новое изделие может вытеснить конкурентов с рынка, так как оно имеет лучшие потребительские свойства. Оценка среднего объема продаж нового портмоне — около 140 тыс. шт. в год. Анализ объема продаж этого изделия — сложная задача, так как новый продукт значительно отличается от других, предлагаемых на рынке в настоящее время. Оценки годового объема продаж продукта по цене 6 долл. с указанием соответствующих вероятностей приведены в следующей таблице: _
Эти оценки и значения вероятностей верны для каждого года пятилетнего периода планирования.
Используя оценки продаж и данные о мощностях оборудования, компания должна решить, как поступить, если спрос превысит производительность оборудования. В этом случае можно модифицировать оборудование и увеличить его производительность. Другой путь — использовать сверхурочное время. Оплата сверхурочного времени приведет к увеличению средних издержек на 1,2 долл. для полуавтоматической машины и на 0,9 долл. для автоматической машины.
Модификацию оборудования можно провести в конце нового года. В этом случае использование сверхурочного времени может потребоваться только в первом году.
Затраты на модификацию полуавтоматической машины до производительности, обеспечивающей максимальный объем продаж, составляют 60 тыс. долл. Затраты на модификацию автомата составляют 70 тыс. долл. Госпожа Хедрич дала указание использовать в расчетах процент на капитал, равный 15%, и 50-недельную продолжительность производственного года.
Задания
1. Используйте дерево принятия решений и, основываясь на критерии максимизации ЕМУ, определите, какую машину следует выбрать компании. Следует ли проводить модификацию оборудования или лучше прибегнуть к использованию сверхурочного времени?
2. Изменится ли ваше решение в пункте 1, если известно, что остаточная стоимость полуавтоматической машины в конце пятилетнего периода составляет 90 тыс. долл., а автоматической машины — 170 тыс. долл.?
3. Постройте платежную матрицу для указанных объемов продаж (предположите, что модификация машин невозможна и может быть использовано только сверхурочное время). Предположите, что вероятности соответствующих объемов продаж неизвестны. Какую машину следует выбрать компании (с учетом стоимости оборудования, но без учета остаточной стоимости) по следующим критериям:
а) maximax;
б) maximin;
в) критерий безразличия.
(Переработано из: Latona J.C., Nathan J. Cases and Readings in Production and Operations Management. — Boston: Allyn and Bacon, 1993)
Ситуация 3. Поиски и подъем затонувшего судна с кладом.
Часть 1. Компания St. Thomas Salvage занимается спасением затонувших судов в Карибском море. Останки старинного корабля были обнаружены в неглубоком месте вблизи г. Шарлотт Ама-ли. Существует предположение, что это «Йорк-Таун» — британский торговый корабль, затонувший в начале XIX века. Если бы это был действительно «Йорк-Таун», то операция по его подъему сулила бы большую выгоду. На его борту было огромное количество оружия и некоторое количество золота. То, что он лежал на дне моря, официально не было известно никому. Руководство компании должно было решить — поднимать или нет его останки.
Основываясь на данных звуковой локации и местоположении останков, руководство полагало, что имеется один шанс из четырех, что это действительно «Йорк-Таун». Если это «Йорк-Таун», руководство полагало, что с вероятностью 50% кто-то другой уже мог обнаружить останки и забрать золото без официального уведомления об этом.
Операция по подъему должна была стоить 60 тыс. долл. Руководство было уверено, что операция по подъему будет успешной (что бы ни было найдено, оно будет поднято на поверхность). Однако рентабельность операции зависела одновременно от правильной идентификации останков корабля и — если бы это оказался «Йорк-Таун», — от того, успел ли кто-либо еще забрать золото.
Если бы корабль был поднят, оказался «Йорк-Тауном» и золото было на его борту, руководство предполагало продать все поднятое (включая золото) за 460 тыс. долл., что дало бы прибыль в 400 тыс. долл. Если бы это оказался «Йорк-Таун», но без золота, руководство предполагало продать вооружение и все прочее за 60 тыс. долл. (только затем, чтобы компенсировать затраты на операцию). На тот случай, если это вообще оказался бы не «Йорк-Таун», руководство договорилось с местным коллекционером о продаже ему останков за 20 тыс. долл.
Так как операция по подъему могла привести к убыткам, руководство хотело бы повысить вероятность получения прибыли.
Выяснилось, что глубоководное оборудование, которое использовалось для идентификации затопленных останков «Титаника», может быть арендовано за 3 тыс. долл. Используя столь мощное оборудование до начала подъема, руководство может сэкономить много денег.
Технология использования зонда предусматривает его одноразовое погружение. Зонд делает телевизионные съемки судна под различными углами и передает снимки для компьютерного анализа. В 3 тыс. долл. арендной платы включена также оплата специалистов по компьютерному программированию, которые автоматизируют процесс обработки снимков, передаваемых зондом.
Руководство компании до настоящего времени не общалось с теми, кто уже брал зонд в аренду и мог бы сказать, насколько надежной является его работа. Таким образом, компьютер не может оценить вероятность того, что идентификация при помощи зонда обязательно увеличила бы надежность операции. Однако руководство знало, что анализ при помощи зонда ни в коей мере не может дать информацию о том, находится ли на судне золото. Аналогично, если бы это оказался не «Йорк-Таун», руководство не представляло себе, как оценить вероятность того, что зондирование дает достаточно надежную идентификацию.
С другой стороны, руководство знало о том, что надежности обеих идентификаций численно равны, т.е. вероятность того, что идентификация при помощи зонда оказывается верной, если судно является «Йорк-Тауном», численно равна вероятности того, что идентификация верна, если судно не является «Йорк-Тауном».
Задания
1. Опишите каждое решение в виде набора логически возможных альтернативных исходов (действий руководства, связанных с этим решением).
2. Выразите цель руководства с помощью некоторой величины, которая должна максимизироваться или минимизироваться, и назовите точно, в каких единицах она должна измеряться.
3. Какое главное неконтролируемое событие может встретиться при выполнении операции? Опишите его в виде набора логически возможных способов, за счет которых это событие может осуществляться.
4. Составьте дерево решений для руководства. Подсчитайте суммарную прибыль (убыток) для каждой ветви.
5. Вычислите на дереве решений распределение условных вероятностей для всех узлов событий на ветвях, где не используется зонд. Оставьте ту часть дерева, где не используется зонд, и пометьте все исключенные ветви.
6. Какова максимальная цена, которую руководство заплатит за точную идентификацию судна (точность — 100%). Поясните свой ответ и приведите все деревья, таблицы и вычисления, использованные вами.
7. Руководство переговорило по телефону с людьми, которые арендовали ранее зонд и прилагаемое компьютерное обеспечение. По мнению этих людей, вероятность того, что анализ с помощью зонда покажет, что судно является «Йорк-Тауном», составляет 43%. Эта цифра есть предельная (безусловная) вероятность, вычисление которой было основано на равенстве численных значений надежности идентификации и предварительном предположении руководства, что останки принадлежат «Йорк-Тауну» с вероятностью 0,25. Воспроизведите их вычисления и подставьте необходимые значения условий вероятности во все узлы событий на тех ветвях дерева, где используется зонд. (Подсказка: может оказаться удобным составить вероятностное дерево или таблицу, в которых вы соберете все возможные события. Положите R численно равным надежностям идентификации и затем вычислите те величины, которые необходимы для построения вашего дерева.)
8. Пометьте на дереве все исключенные ветви. Убедитесь, что вы ввели все ожидаемые затраты и прибыли в каждом из узлов событий и исходов.
9. Сформулируйте все логически возможные стратегии, предусматриваемые деревом, укажите оптимальную.
10. Составьте таблицу для стратегий, полученных выше. Эта таблица должна включать возможные конечные исходы, связанные с каждой из стратегий, величину прибыли и вероятность того, что данный исход и соответствующая ему прибыль произойдут.
11. Существует ли преимущественная по доходам стратегия? Если да, то продемонстрируйте соотношение преимуществ (достаточно одного примера). Если нет, то объясните почему.
Часть 2. Руководство St. Thomas Salvage выразило некоторую неуверенность в надежности идентификации с помощью зонда. У людей, арендовавших его ранее, спросили, не существует ли какого-либо способа улучшить ситуацию. Ответ был положительным. За определенную плату обе надежности могли быть повышены до 90%. Этого можно было достичь многократным погружением и взятием проб с останков судна с последующим химическим анализом и анализом на содержание радиоактивного углерода-12. Плата за повышение надежности составляла: 100 долл. за первый процент, 200 — за следующий, 300 — за следующий и так далее до 90%. Повышение надежности измерялось только целыми числами. Обе надежности увеличивались в одинаковой степени. Таким образом, чтобы увеличить надежность, например, на 5%, нужно затратить 100 + 200 + 300 + 400 + 500 = 1500 долл.
Задания
1. Не проводя детального анализа, скажите, следует ли рассматривать вопрос о плате за увеличение надежности. Поясните ваш ответ.
2. Предположим, что зонд был закуплен до того, как было принято решение поднимать или нет останки судна, и анализ результатов зондирования показал, что судно является «Йорк-Тауном». При каком значении R (где R — надежность) проведение подъема будет оптимальным действием руководства? Поясните ответ и приложите вычисления.
3. Предположим, что зонд был запущен до того, как было принято решение о том, поднимать или нет судно, и анализ показал, что судно не является «Йорк-Тауном». При каком значении R оптимальным решением будет не производить подъем? Поясните ответ и приведите вычисления.
4. Составьте алгебраическое выражение (формулу) для ожидаемой стоимости запуска зонда вне зависимости от того, что он покажет. Выразите эту величину как функцию от R (не забудьте исключить арендную плату 3 тыс. долл.).
Ответы и решения
Ответы на вопросы: 1—2, 2—2, 3—3, 4—4, 5—2, 6—3.
Задача 1. Решение.
Применим критерии maximax, maximin и критерий безразличия:
Состояние
среды
Альтернатива^^^ |
Благопри
ятный
рынок |
Неблаго
приятный
рынок |
Махішах |
Maximin |
Критерий
безразличия |
|
Строить большую пристройку |
150 |
-85 |
150 |
-85 |
32,5 |
|
Строить маленькую пристройку |
60 |
-45 |
60 |
-45 |
7,5 |
|
Ничего не делать |
0 |
0 |
0 |
0 |
0 |
Максимум ЕМ? без достоверной информации равен 32,5 тыс. руб.
Ожидаемый доход в условиях определенности равен 56 тыс. руб.
Ожидаемая ценность достоверной информации EVPI = 56 - 32,5 = 23,5 тыс. руб. Ответы: 1. 32,5 тыс. руб. 2. 56 тыс. руб. 3. 23,5 тыс. руб.
Задача 2. Решение.
\. Состояние среды
Альтернатива4^. |
Благоприятный рынок (вероятность 0,6) |
Неблагоприятны й рынок (вероятность 0,4) |
ЕМ? |
|
Ресторан с баром |
325 |
-70 |
167 |
|
Ресторан без бара |
250 |
-20 |
142 |
Ответы: 1. Да, следует. 2. 167 тыс. руб.
ЧчСпрос
АльтерЧ.
натива Ч. |
11 ящиков (вероятность 0,45) |
12 ящиков (вероятность 0,35) |
13 ящиков (вероятность 0,2) |
Прибыль |
|
11 ящиков |
11-35-0,45 =
= 173,25 |
11-35-0,35 =
= 134,75 |
11-35-0,2 = 77 |
385 |
|
12 ящиков |
(11-35 - 56) х х 0,45 = 148,05 |
12-35-0,35 =
= 147 |
12-35-0,2 = 84 |
379,05 |
|
13 ящиков |
(11-35-2-56) х х 0,45 = 122,85 |
(12-35- 56) х х 0,35 = 127,4 |
13-35-0,2 = 91 |
341,25 |
Задача 3. Решение. _
Если реактивы будут поступать с добавкой:
\ Спрос
Альтер^Ч. натива ^Ч. |
11 ящиков (вероятность 0,45) |
12 ящиков (вероятность 0,35) |
13 ящиков (вероятность 0,2) |
Прибыль |
|
11 ящиков |
173,25 |
134,75 |
77 |
385 |
|
12 ящиков |
173,25 |
147 |
84 |
404,25 |
|
13 ящиков |
-173,25 |
147 |
91 |
411,25 |
Ответы: 1.11 ящиков. 2. 385 тыс. руб. 3.13 ящиков. Задача 4. Решение.
\Спрос
Аль\ терна\ тива \ |
6 ящиков (вероятность 0,1) |
7 ящиков (вероятность 0,3) |
8 ящиков (вероятность 0,5) |
9 ящиков (вероятность 0,1) |
Прибыль |
|
6 ящиков |
50-6-0,1 =
= 30 |
50-6-0,3 =
= 90 |
50-6-0,5= . = 150 |
50-6-0,1 =
= 30 |
300 |
|
7 ящиков |
(50-6-45) х х 0,1 = 25,5 |
50-7-0,3 =
= 105 |
50-7-0,5 =
= 175 |
50-7-0,1 =
= 35 |
340,5 |
|
8 ящиков |
(50-6 -— 2-45)-0,1 = = 21 |
(50-7 — -45)-0,3 =
= 91,5 |
50-8-0,5 =
= 200 |
50-8-0,1 =
= 40 |
352,5 |
|
9 ящиков |
(50-6— 3 • 45) -0,1 = = 16,5 |
(50-6 -— 2-45)-0,3 = = 63 |
(50-6--45)-0,5 = = 127,5 |
50-9-0,1 =
= 45 |
252 |
Ответы: 1. Восемь ящиков. 2. 352,5 тыс. руб. Задача 5. Решение.
Дерево решений приведено на рис. 3.
 |
|
Рис. 3 |
Ответы: 1. Нет, не следует. 2. Да, следует. 3. 4,5млнруб. Задача 6. Решение.
Дерево решений приведено на рис. 4.
 |
|
Рис.4 |
Первая точка принятия решений
Ответы: 1. Да, следует. 2. Да, следует. 3. 22,92 млн руб.
Задача 7. Решение.
Ожидаемое количество бракованных переключателей от поставщика А при поставке 10 000 шт. составит 0,7 • 100 + 0,2 • 200 + 0,1 • 300 = 140 шт.
Ожидаемое количество бракованных переключателей от поставщика В при поставке 10 000 шт. равно 0,3 • 100 + 0,4 • 200 + 0,3 • 300 = 200 шт.
Затраты на переделку переключателей от поставщика А будут равны 140 • 0,5 = 70 тыс. руб.
Затраты на переделку переключателей от поставщика В с учетом скидки будут равны 200 • 0,5 - 37 = 63 тыс. руб.
Ответы: 1. Поставщика В. 2. 63 тыс. руб.
Задача 8. Решение.
Дерево решений приведено на рис. 5.
Выигрыш
Первая
точка
принятия
решений
Вторая
точка
принятия
решений |
 |
Линия работает (0,9) 190
Линия не работает (0,1) —160
_-10
Линия работает (0,2) 190
Линия не работает (0,8) —160
_ -10
Линия работает (0,4) 200
Линия не работает (0,6) —150 0 |
|
Рис.5 |
Ответы: 1. Да, следует. 2. Да, следует, в случае если экспериментальная установка будет работать.
3. 72,5 млн. руб.
Афанасьев М.Ю., Суворов Б.П. - Исследование операций в экономике: модели, задачи, решения
Учебное пособие подготовлено в соответствии с требованиями государственного образовательного стандарта и содержит учебные материалы и методику решения широкого спектра экономических задач. В методике реализован новый подход к проведению практических занятий с использованием компьютерных технологий обучения в сочетании с программными средствами решения задач.
Для студентов экономических вузов и преподавателей.
Предисловие
Студент экономического вуза, прослушавший курс «Исследование операций», должен знать основные экономические проблемы, при решении которых возникает необходимость в математическом инструментарии. Он должен ориентироваться в экономической постановке задачи и определять по ней, в каком разделе исследования операций следует искать средства ее решения; должен уметь формализовать экономическую задачу, т.е. описать ее с помощью известной математической модели, провести расчеты и получить количественные результаты. Однако самое главное — студент должен уметь анализировать эти результаты и делать выводы, адекватные поставленной экономической задаче.
В каждой главе материал изложен в такой последовательности: цели, модели, примеры, вопросы, задачи, ситуации.
Цели. Устанавливаются цели изучения темы. Перечисляются основные понятия, которые должны быть изучены, и навыки, которые должны быть приобретены после изучения материала, предлагаемого в рамках данной темы.
Модели. Приводится описание экономико-математических моделей, необходимых для выполнения заданий по данной теме. Формулируются условия для применения этих моделей. Материал этого раздела можно рассматривать как краткий конспект лекции по теме.
Примеры. Демонстрируется, как описанные модели могут использоваться для решения экономических задач. При этом приводятся формулировка задачи, описание модели, необходимой для решения задачи, результаты расчетов по модели и анализ этих результатов.
Вопросы. Наиболее простая форма контроля знаний. Предлагается набор из нескольких вопросов и варианты ответов, один из которых верен.
Задачи. Основная форма контроля результатов обучения по программе подготовки бакалавров. Предлагается набор задач для самостоятельного решения. Решение любой задачи предполагает построение соответствующей модели, проведение необходимых расчетов и получение ответов на поставленные в задаче вопросы.
Ситуации. Основная форма контроля результатов обучения по программе подготовки магистров. Приводится описание конкретных экономических ситуаций, которые необходимо проанализировать. Цель такого анализа — научить использовать для исследования сложных экономических проблем полученные навыки решения задач. Нет и не может быть однозначных ответов на все вопросы, содержащиеся в заданиях к изложенным ситуациям. В этом принципиальное отличие ситуации от обычной задачи. Как правило, описание конкретной ситуации не содержит всей необходимой информации. Читателю приходится делать предположения и вносить необходимые добавления. Поэтому, анализируя одну и ту же ситуацию, два студента могут получить разные результаты. И оба результата будут верны. Цель анализа ситуации не сводится к получению ответа. Важен не результат, а процесс анализа.
Некоторые задачи и ситуации заимствованы из других источников и представлены в переработанном виде.
В конце каждой главы приведены ответы на вопросы и решения задач.
Данное учебное пособие можно использовать при традиционной форме проведения практических занятий, когда студенты все вместе решают задачу, предложенную преподавателем. Более современным представляется подход, основанный на использовании компьютерной технологии обучения в сочетании с программными средствами решения задач. Именно такую технологию проведения практических занятий уже более 15 лет используют авторы. В ее основе — компьютерный учебник «Исследование операций в экономике». Он содержит теоретический материал, многие из приведенных в данном учебном пособии задач, а также средства контроля правильности их решения с выборочной диагностикой ошибок.
Некоторые разделы исследования операций, например динамическое программирование, не представлены в этой книге, потому что авторы не могут предложить читателю удобное программное обеспечение для получения количественных оценок по соответствующим моделям.
Авторы благодарят А. Б. Ароновича за сотрудничество при подготовке глав 10 и 11, а также Н.В. Васильеву, чей опыт практических занятий по курсу «Исследование операций» позволил внести полезные коррективы в материал учебного пособия.
Глава 1. Оптимизация плана производства
Цели
В данной главе показаны возможности использования модели линейного программирования (ЛП) для определения плана производства. Эти возможности обобщаются для случая, когда закупка готовой продукции для последующей реализации может оказаться для производителя предпочтительнее, чем использование собственных мощностей. Рассматривается также задача производственного планирования, учитывающая динамику спроса, производства и хранения продукции. Наиболее часто такого рода задачи возникают на уровне агрегированного планирования и оперативного управления микроэкономическими объектами.
После того как вы выполните задания, предлагаемые в этой главе, вы будете уметь определять и использовать для экономического анализа:
• целевую функцию;
• ограничения;
• допустимый план;
• множество допустимых планов;
• модель линейного программирования;
• оптимальный план;
• двойственные оценки;
• границы устойчивости.
Общая постановка задачи планирования производства: необходимо определить план производства одного или нескольких видов продукции, который обеспечивает наиболее рациональное использование имеющихся материальных, финансовых и других видов ресурсов. Такой план должен быть оптимальным с точки зрения выбранного критерия — максимума прибыли, минимума затрат на производство и т.д.
Модели
Введем обозначения: п — количество выпускаемых продуктов;
т — количество используемых производственных ресурсов (например, производственные мощности, сырье, рабочая сила);
ац — объем затрат i-го ресурса на выпуск единицы j-й продукции; с — прибыль от выпуска и реализации единицы j-го продукта; bi — количество имеющегося i-го ресурса;
Xj — объем выпуска j-го продукта.
Формально задача оптимизации производственной программы может быть описана с помощью следующей модели линейного программирования:
Ё с, х, -» max, у* 1 J 1
%,аихі*ьі> /=1>
(1)
т,
(2)
х^О, j=\,...,n. (3)
Здесь (1) — целевая функция (максимум прибыли);
(2) — система специальных ограничений (constraint) на объем фактически имеющихся ресурсов;
(3) — система общих ограничений (на неотрицательность переменных);
Xj
переменная (variable).
Задача (1)—(3) называется задачей линейного программирования в стандартной форме на максимум. Задача линейного программирования в стандартной форме на минимум имеет вид
(4)
(5)
(6)
Ё С; X; -» min,
т,
Ё^ХУ>&,., /=1,
х;>0, j= 1,.... п.
Вектор х = (xi, x2, ..., xn), компоненты Xj которого удовлетворяют ограничениям (2) и (3) (или (5) и (6) в задаче на минимум), называется допустимым решением или допустимым планом задачи ЛП. Совокупность всех допустимых планов называется множеством допустимых планов.
Допустимое решение задачи ЛП, на котором целевая функция (1) (или (3) в задаче на минимум) достигает максимального (минимального) значения, называется оптимальным решением задачи ЛП.
С каждой задачей ЛП связывают другую задачу ЛП, которая записывается по определенным правилам и называется двойственной задачей ЛП.
Двойственной к задаче ЛП (1)—(3) является задача

(7)
(8)
(9)
Соответственно, двойственной к задаче ЛП (7)—(9) является задача (1)—(3). Каждой переменной (специальному ограничению) исходной задачи соответствует специальное ограничение (переменная) двойственной задачи. Если исходная задача ЛП имеет решение, то имеет решение и двойственная к
ней задача, при этом значения целевых функций для соответствующих оптимальных решений равны.
*
Компонента Уі оптимального решения двойственной задачи (7)—(9) называется двойственной оценкой
(Dual Value) ограничения
исходной задачи ЛП.
j= 1
csxs
Пусть j = max ( j =1 ), где Xj — компонента допустимого решения задачи (1)—(3).
Тогда при выполнении условий невырожденности оптимального решения имеют место следующие соотношения:
1=1, .... т.
Эь. У‘ ’
Изменим значение правой части bi одного основного ограничения (RHS) исходной задачи ЛП.
Пусть Ъ — минимальное значение правой части основного ограничения, при котором решение у*
двойственной задачи не изменится. Тогда величину Ъ называют нижней границей (Lower Bound) устойчивости по правой части ограничения.
b
Пусть ’ — максимальное значение правой части основного ограничения, при котором решение у*
ъ"
двойственной задачи не изменится. Тогда величину i называют верхней границей (Upper Bound)
устойчивости по правой части ограничения.
Изменим значение одного коэффициента с, целевой функции исходной задачи ЛП.
/
c
Пусть 1 — минимальное значение коэффициента целевой функции, при котором оптимальное решение х* исходной задачи не изменится. Тогда величину 1 называют нижней границей устойчивости по
коэффициенту целевой функции.
//
максимальное значение коэффициента целевой функции, при котором оптимальное
Пусть
С,.
называют верхней границей
решение х* исходной задачи не изменится. Тогда величину устойчивости по коэффициенту целевой функции.
Примеры
Пример 1. Сколько производить?
Предприятие располагает ресурсами сырья и рабочей силы, необходимыми для производства двух видов продукции. Затраты ресурсов на изготовление одной тонны каждого продукта, прибыль, получаемая предприятием от реализации тонны продукта, а также запасы ресурсов указаны в следующей таблице:
|
|
Расход ресурса |
Запас
ресурса |
|
на продукт 1 |
на продукт 2 |
|
Сырье, т |
3 |
5 |
120 |
|
Трудозатраты, ч |
14 |
12 |
400 |
|
Прибыль на единицу продукта, тыс. руб./т |
30 |
35 |
|
Вопросы:
1. Сколько продукта 1 следует производить для того, чтобы обеспечить максимальную прибыль?
2. Сколько продукта 2 следует производить для того, чтобы обеспечить максимальную прибыль?
3. Какова максимальная прибыль?
4. На сколько возрастет максимальная прибыль, если запасы сырья увеличатся на 1 т?
5. На сколько возрастет максимальная прибыль, если допустимый объем трудозатрат увеличится с 400 до 500 ч?
Решение. Пусть хі — объем выпуска продукта 1 в тоннах, х2 — объем выпуска продукта 2 в тоннах. Тогда задача может быть описана в виде следующей модели линейного программирования:
ЗОх, + 35x2 тах>
3xt + 5xj < 120,
14xj + 12x2 - 400,
Xj > 0, Xj > 0.
|
|
Продукт 1 |
Продукт 2 |
Знак
ограничения |
RHS |
|
Maximize |
30 |
35 |
|
|
|
Сырье |
3 |
5 |
<= |
120 |
|
Трудозатраты |
14 |
12 |
<= |
400 |
Используя пакет РОМ for WINDOWS (далее - POMWIN), исходную информацию для решения этой задачи можно представить в виде следующей таблицы:_
Решая эту задачу, получаем следующий результат:
|
|
Продукт 1 |
Продукт 2 |
|
RHS |
Двойственная оценка (Dual) |
|
Maximize |
30 |
35 |
|
|
|
|
Сырье |
3 |
5 |
<= |
120 |
3,82 |
|
Трудозатраты |
14 |
12 |
<= |
400 |
1,32 |
Решение
(Solution) |
16,47 |
14,12 |
|
988,24 |
|
В нижней строке указан объем выпуска каждого продукта, удовлетворяющий ограничениям на ресурсы и обеспечивающий максимальную прибыль. Величина 988,24 — максимальное значение целевой функции.
Чтобы обеспечить максимальную прибыль, следует производить 16,47 т продукта 1 и 14,12 т продукта
2.
Максимальная прибыль равна 988,24 тыс. руб.
В правом столбце таблицы указаны двойственные оценки для каждого ограничения. Так, величина 3,82 показывает, что при увеличении запаса сырья на 1 т (до 121) максимальное значение целевой функции для нового оптимального плана увеличится по сравнению с 988,24 на 3,82 тыс. руб. Аналогично можно интерпретировать значение двойственной оценки 1,32 для второго ресурса.
|
Variable |
Value |
Reduced Cost |
Original Value |
Lower
Bound |
Цррег
Bound |
|
Продукт 1 |
16,47 |
0 |
30 |
21 |
40,83 |
|
Продукт 2 |
14,12 |
0 |
35 |
25,71 |
50 |
|
Constraint |
Dual Value |
Slack/Surplus |
Original Value |
Lower
Bound |
Upper
Bound |
|
Сырье |
3,82 |
0 |
120 |
85,71 |
166,66 |
Трудоза
траты |
1,32 |
• 0 |
400 |
288 |
560 |
Два правых столбца таблицы — границы устойчивости по значениям коэффициентов целевой функции (верхняя часть таблицы) и правых частей ограничений (нижняя часть).
Так, в случае если прибыль, получаемая от реализации 1 т продукта 1, изменится, но останется в пределах от 21 до 40,83, количество продукта 1 в оптимальном плане не изменится.
В случае если запас сырья изменится, но останется в пределах от 85,71 до 166,66, двойственная оценка этого ресурса не изменится.
Соответственно, если допустимый объем трудозатрат изменится в пределах от 288 до 560 ч, двойственная оценка этого ресурса не изменится.
Если допустимый объем трудозатрат увеличится с 400 до 500 ч, то максимальная прибыль увеличится на 132 тыс. руб.
Ответы: 1. 16,47 т. 2. 14,12 т. 3. 988,24 тыс. руб.
4. На 3,82 тыс. руб. 5. На 132 тыс. руб.
Пример 2. Производить или покупать?
Фирма производит два типа химикатов. На предстоящий месяц она заключила контракт на поставку следующего количества этих химикатов:

Производство фирмы ограничено ресурсом времени работы двух химических реакторов. Каждый тип химикатов должен быть обработан сначала в реакторе 1, а затем в реакторе 2. Ниже в таблице приведен фонд рабочего времени, имеющийся у каждого реактора в следующем месяце, а также время на обработку одной тонны каждого химиката в каждом реакторе:
|
Реактор |
Время на обработку 1 т химикатов, ч |
Фонд времени, ч |
|
типа 1 |
типа 2 |
|
1 |
4 |
2 |
300 |
|
2 |
3 |
6 |
400 |
Из-за ограниченных возможностей, связанных с существующим фондом времени на обработку химикатов в реакторах, фирма не имеет достаточных мощностей, чтобы выполнить обязательства по контракту. Выход заключается в следующем: фирма должна купить какое-то количество этих химикатов у других производителей, чтобы использовать эти закупки для выполнения контракта. Ниже приводится таблица затрат на производство химикатов самой фирмой и на закупку их со стороны: ^_
|
Тип химикатов |
Затраты на производство, тыс. руб./т |
Затраты на закупку, тыс. руб./т |
|
1 |
35 |
45 |
|
2 |
56 |
66 |
Цель фирмы состоит в том, чтобы обеспечить выполнение контракта с минимальными издержками. Это позволит ей максимизировать прибыль, так как цены на химикаты уже оговорены контрактом. Другими словами, фирма должна принять решение: сколько химикатов каждого типа производить у себя, а сколько — закупать со стороны для того, чтобы выполнить контракт с минимальными издержками.
Вопросы:
1. Сколько химикатов типа 1 следует производить фирме?
2. Сколько химикатов типа 2 следует производить фирме?
3. Сколько химикатов типа 1 следует закупать со стороны?
4. Сколько химикатов типа 2 следует закупать со стороны?
5. Каковы минимальные издержки на выполнение контракта?
6. Следует ли изменить объем закупок химикатов типа 2 со стороны, если их цена возрастет до 75 тыс. руб. за тонну?
7. На сколько возрастут минимальные издержки, если фонд времени работы реактора 2 сократится с 400 до 300 ч?
Решение. Введем обозначения:
х1 — количество продукта 1, производимого компанией;
zi — количество продукта 1, закупаемого компанией;
х2 — количество продукта 2, производимого компанией;
z2 — количество продукта 2, закупаемого компанией.
|
|
|
Целевая функция |
35xj + 56х2 + 45zj + 66г2 -»min |
|
Ресурсные ограничения: реактор 1 реактор 2 |
4х,+2х,й 300
Зх, +6x^400 |
|
Ограничения на спрос: продукт 1 продукт 2 |
X, + г. = 100 х2 + г2 = 120 |
|
х ^ 0 х ^ 0 z ^ 0 z ^ 0 Условия неотрицательности переменных: 1 _ ; 2 _ ; 1 “ ; 2 “ . |
Модель линейного программирования приведена в следующей таблице:_
|
Таблица исходной информации для расчетов в POMWIN имеет следующий вид: |
|
|
|
Переменные |
XI |
XI |
Z1 |
Z2 |
|
RHS |
|
Minimize |
35 |
56 |
45 |
66 |
|
|
|
Реактор 1 |
4 |
2 |
0 |
0 |
<= |
300 |
|
Реактор 2 |
3 |
6 |
0 |
0 |
<= |
400 |
|
Химикат 1 |
1 |
0 |
1 |
0 |
= |
100 |
|
Химикат 2 |
0 |
1 |
0 |
1 |
= |
120 |
Результаты расчетов:
|
Таблица двойственных оценок и границ устойчивости: |
|
|
|
Variable |
Value |
Reduced
Cost |
Original
Value |
Lower
Bound |
Upper
Bound |
|
XI |
55,55 |
0 |
35 |
25 |
40 |
|
X2 |
38,89 |
0 |
56 |
46 |
61 |
|
Z1 |
44,44 |
0 |
45 |
40 |
55 |
|
Z1 |
81,11 |
0 |
66 |
61 |
76 |
|
Constraint |
Dual Value |
Slack/Surplus |
Original
Value |
Lower
Bound |
Upper
Bound |
|
Реактор 1 |
1,66 |
0 |
300 |
133,33 |
433,33 |
|
Реактор 2 |
1,11 |
0 |
400 |
225 |
765 |
|
Химикат 1 |
-45 |
0 |
100 |
55,55 |
Infinity |
|
Химикат 2 |
-66 |
0 |
120 |
38,89 |
Infinity |
|
Переменные |
XI |
XI |
Z\ |
Z2 |
|
RHS |
Dual |
|
Minimize |
35 |
56 |
45 |
66 |
|
|
|
|
Реактор 1 |
4 |
2 |
0 |
0 |
<= |
300 |
1,66 |
|
Реактор 2 |
3 |
6 |
0 |
0 |
<= |
400 |
1,11 |
|
Химикат 1 |
1 |
0 |
1 |
0 |
= |
100 |
-45 |
|
Химикат 2 |
0 |
1 |
0 |
1 |
= |
120 |
-66 |
|
Solution |
55,55 |
38,89 |
44,44 |
81,11 |
|
11 475,56 |
|
Из таблицы двойственных оценок и границ устойчивости видно, что в пределах изменения закупочной цены на химикат типа 2 от 61 до 76 (ее фактическое значение 66) оптимальный план не изменится.
Из таблицы также видно, что изменение ресурса времени работы реактора 2 в пределах от 225 до 765 не приведет к изменению двойственной оценки соответствующего ограничения.
Ответы: 1. 55,55 т 2. 38,89 т 3. 44,44 т 4. 81,11 т
5. 11 475,56 тыс. руб. 6. Нет, не следует.
7. Ha 111 тыс. руб.
Вопросы
Вопрос 1. Дана задача линейного программирования
7х, + 3*2 - Зх3 -> шах,
Зх, + 5х^ -4хз = 6,
8х, + 2х3 < 2,
х, >0, х2 > 0, х3 > 0.
Если эта задача имеет решение, то какие знаки имеют переменные у\ и у2 двойственной задачи?
Варианты ответов:
1) у, > 0, у2 > 0; 2) Уі — любой, у2 > 0; 3) у, > 0, у2 < 0;
4) у, < 0, у2 > 0; 5) у, — любой, у2 < 0.
Вопрос 2. На предприятии — два цеха. Проведены оптимизационные расчеты по определению программы развития предприятия с минимальными затратами. Получены оптимальный план и двойственные оценки ограничений по загрузке мощностей двух цехов. Оказалось, что двойственная оценка ограничений на производственные мощности первого цеха равна нулю, а второго — строго положительна. Это означает, что:
1) информации для ответа недостаточно;
2) мощности обоих цехов недогружены;
3) мощности обоих цехов использованы полностью;
4) мощности цеха 1 использованы полностью, а цеха 2 недогружены;
5) мощности цеха 1 недогружены, а цеха 1 использованы полностью.
Вопрос 3. Рассматривается задача планирования нефтеперерабатывающего производства, описанная в виде модели линейного программирования. Критерий — минимум издержек. В результате решения лимитирующим фактором оказалась мощность Оборудования, измеряемая в тоннах перерабатываемой нефти. В каких единицах измеряется двойственная оценка соответствующего ограничения?
Варианты ответов:
1) т/руб.; 2) руб./ч; 3) ч/руб.; 4) руб./т; 5) т
Вопрос 4. Рассматривается задача оптимизации плана производства нефтепродуктов. Объем производства измеряется в тоннах. Задача решается на минимум издержек. Учитывается ограничение на время использования оборудования. В каких единицах измеряется значение коэффициентов матрицы для этого ограничения?
Варианты ответов:
1) т/ч; 2) ч/т; 3) руб./т; 4) т/руб.; 5) руб./ч.
Вопрос 5. Рассматривается задача оптимизации производственной программы. Критерий — максимум прибыли. Оптимальное значение критерия — 100. Двойственная оценка ограничения по
трудозатратам равна 0,5, по объему производства — 1,5. Чему будет равна максимальная прибыль, если общий объем трудозатрат сократится на 10 единиц?
Варианты ответов:
1) 85; 2) 90; 3) 95; 4) 100; 5) 110.
Вопрос 6. Для всякого ли многогранника существует задача линейного программирования, допустимым множеством которой он является?
Варианты ответов:
1) да, для всякого;
2) нет, только для многогранника, имеющего более трех вершин;
3) нет, только для многогранника с положительными координатами вершин;
4) нет, только для выпуклого многогранника с неотрицательными координатами вершин;
5) нет, только для выпуклого многогранника.
Вопрос 7. Допустимое решение задачи линейного программирования:
1) должно одновременно удовлетворять всем ограничениям задачи;
2) должно удовлетворять некоторым, не обязательно всем, ограничениям задачи;
3) должно быть вершиной множества допустимых решений;
4) должно обеспечивать наилучшее значение целевой функции;
5) не удовлетворяет указанным выше условиям.
Вопрос 8. Рассмотрим следующую задачу линейного программирования:
12Х + 10У-» шах при условиях
4X+3Y <480,
2Х+ ЗУ <360,
XzO, У>0.
Оптимальное значение целевой функции в этой задаче равно:
1)1600; 2)1520; 3)1800; 4)1440;
5) не равно ни одному из указанных значений.
Вопрос 9. Рассмотрим следующую задачу линейного программирования:
12Х+ ЮУ-мпах пои условиях 4X+3Y <480,
2Х+ ЗУ <360,
Х> 0, У> 0.
Какая из следующих точек с координатами (X, Y) не является допустимой? Варианты ответов:
1) (0, 100); 2) (100, 10); 3) (70, 70); 4) (20, 90);
5) ни одна из указанных.
Вопрос 10. Рассмотрим следующую задачу линейного программирования:
4Х+ 10У -> шах
при условиях
3X+4Y <480,
4Х+ 2Y <360,
X>0,Y>0.
Множество допустимых планов имеет следующие четыре вершины: (48, 84), (0, 120), (0, 0), (90, 0). Чему равно оптимальное значение целевой функции?
Варианты ответов:
1) 1032; 2) 1200; 3) 360; 4) 1600;
5) ни одному из указанных значений.
Задачи
Задача 1. Нефтеперерабатывающая установка может работать в двух различных режимах. При работе в первом режиме из одной тонны нефти производится 300 кг темных и 600 кг светлых нефтепродуктов; при работе во втором режиме — 700 кг темных и 200 кг светлых нефтепродуктов. Ежедневно на этой установке необходимо производить 110 т темных и 70 т светлых нефтепродуктов. Это плановое задание необходимо ежедневно выполнять, расходуя минимальное количество нефти.
Вопросы:
1. Сколько тонн нефти следует ежедневно перерабатывать в первом режиме?
2. Сколько тонн нефти следует ежедневно перерабатывать во втором режиме?
3. Каков минимальный ежедневный расход нефти?
4. На сколько тонн увеличится ежедневный минимальный расход нефти, если потребуется производить в день 80 т светлых нефтепродуктов?
Задача 2. Фирма «Television» производит два вида телевизоров: «Астро» и «Космо».
В цехе 1 производят телевизионные трубки. На производство одной трубки к телевизору «Астро» требуется потратить 1,2 человекочаса, а на производство трубки к «Космо» — 1,8 человекочаса. В настоящее время в цехе 1 на производство трубок к обеим маркам телевизоров может быть затрачено не более 120 человекочасов в день.
В цехе 2 производят шасси с электронной схемой телевизора. На производство шасси для телевизора любой марки требуется затратить 1 человекочас. На производство шасси к обеим маркам телевизоров в цехе 2 может быть затрачено не более 90 человеко-часов в день.
Продажа каждого телевизора марки «Астро» обеспечивает прибыль в размере 1500 руб., а марки «Космо» — 2000 руб.
Фирма заинтересована в максимизации прибыли.
Вопросы:
1. Сколько телевизоров «Астро» следует производить ежедневно?
2. Какова максимальная ежедневная прибыль телевизионной компании?
3. На сколько рублей в день увеличится прибыль, если ресурс времени в цехе 2 возрастет на 5 человекочасов?
4. Следует ли изменить план производства, если прибыль от телевизора «Космо» увеличится до 2200 руб.?
Задача 3. Чулочно-носочная фирма производит и продает два вида товаров: мужские носки и женские чулки. Фирма получает прибыль в размере 10 руб. от производства и продажи одной пары чулок и в размере 4 руб. от производства и продажи одной пары носков.
Участок
производства |
Чулки |
Носки |
|
1 |
0,02 |
0,01 |
|
2 |
0,03 |
0,01 |
|
3 |
0,03 |
0,02 |
Производство каждого изделия осуществляется на трех участках. Затраты труда (в часах) на производство одной пары указаны в следующей таблице для каждого участка:
Руководство рассчитало, что в следующем месяце фирма ежедневно будет располагать следующими ресурсами рабочего времени на каждом из участков: 60 ч на участке 1; 70 ч на участке 2 и 100 ч на участке 3.
Вопросы:
1. Сколько пар носков следует производить ежедневно, если фирма хочет максимизировать прибыль?
2. Какую максимальную прибыль фирма может получать ежедневно?
3. На сколько увеличится прибыль, если ресурс времени на участке 1 увеличится на 10ч?
4. На сколько увеличится прибыль, если ресурс времени на участке 2 увеличится на 10 ч?
Задача 4. Василий Иванов — владелец небольшого мебельного цеха. Он производит столы трех моделей: А, В и С. Каждая модель требует определенных затрат времени на выполнение трех операций: производство заготовок, сборка и покраска.
Василий имеет возможность продать все столы, которые он изготовит. Более того, модель С может быть продана и без покраски (модель Сб.п.). При этом прибыль уменьшается на 200 руб. за штуку. Василий нанимает нескольких рабочих, которые работают у него по совместительству, так что количество часов, отводимое на каждый вид работ, изменяется от месяца к месяцу.
|
Модель |
Производство
заготовок |
Сборка |
Покраска |
Прибыль |
|
А |
5 |
2 |
5 |
450 |
|
В |
1 |
2 |
5 |
400 |
|
С |
7 |
5 |
6 |
500 |
Постройте модель линейного программирования, которая помогла бы Иванову найти такую программу выпуска продукции, чтобы прибыль в следующем месяце была максимальной. Предполагается, что по каждому виду работ возможны трудозатраты до 100 ч. В следующей таблице указаны время (в часах), необходимое для выполнения операций по производству столов каждой модели, и прибыль (в руб.), которая может быть получена от реализации каждого изделия:_
Вопросы:
1. Какую максимальную прибыль может получить Василий в течение месяца?
2. Сколько столов модели А следует производить?
3. Следует ли продавать неокрашенные столы модели С?
4. На сколько увеличится максимальная прибыль, если допустимый объем трудозатрат на этапе сборки возрастет на 10%?
5. На какую минимальную величину должна возрасти прибыль от производства и продажи окрашенного стола модели С, чтобы стало выгодно их производить?
Задача 5. После предпринятой рекламной кампании фирма «Давидко» испытывает необыкновенный рост спроса на два типа мангалов для приготовления шашлыков на открытом воздухе — газовые и угольные. Фирма заключила контракт на ежемесячную поставку в магазины 300 угольных и 300 газовых мангалов.
Производство мангалов ограничивается мощностью следующих трех участков: производства деталей, сборки и упаковки. В таблице показано, сколько человекочасов затрачивается на каждом участке на каждую единицу продукции, а также приведен допустимый ежемесячный объем трудозатрат:
|
Участок |
Трудозатраты на производство одного мангала, ч |
Фонд времени, человекочасы |
|
угольного |
газового |
|
Производство |
5 |
8 |
2600 |
|
Сборка |
0,8 |
1,2 |
400 |
|
Упаковка |
0,5 |
0,5 |
200 |
Фирма «Давидко» не может обеспечить выполнение контракта своими силами. Поэтому она провела переговоры с другим производителем, который в настоящее время располагает избыточными мощностями. Этот производитель согласился поставлять фирме «Давидко» в любом количестве угольные мангалы по 3 тыс. руб. за штуку и газовые мангалы по 5 тыс. руб. за штуку. Эти цены превышают себестоимость мангалов на заводе фирмы «Давидко» на 1,5 тыс. руб. за каждый угольный мангал и на 2 тыс. руб. за каждый газовый мангал. Задача фирмы «Давидко» состоит в том, чтобы найти такое соотношение закупаемых и производимых мангалов, которое обеспечило бы выполнение контракта с минимальными общими затратами.
Вопросы:
1. Каковы минимальные издержки на выполнение контракта?
2. Сколько угольных мангалов следует ежемесячно производить фирме «Давидко»?
3. Сколько газовых мангалов следует ежемесячно производить?
4. Сколько газовых мангалов следует приобретать?
5. Следует ли сохранить объемы закупок газовых мангалов, если компания, выполняющая заказы для фирмы «Давидко», поднимет цену на них до 5,5 тыс. руб.?
Задача 6. Компания «Видео», производитель видеомагнитофонов, планирует производство и запасы продукции на первое полугодие следующего года. Прогноз спроса на соответствующие шесть месяцев отражен в таблице. «Видео» хотела бы иметь такой план, который обеспечит возможность полностью удовлетворить спрос.
Из-за колебаний затрат на сырье и энергию себестоимость продукции (затраты на единицу продукции) изменяется от месяца к месяцу. Максимальный объем производства компании «Видео» также колеблется из месяца в месяц из-за неравномерного ремонта оборудования и различного числа рабочих дней в месяце.
№
п/п |
Месяц |
Прогноз
спроса |
Себестоимость единицы продукции, руб. |
Максимальный объем производства |
Уровень запасов |
макси
мальный |
мини
мальный |
|
1 |
Январь |
1000 |
460 |
7000 |
7000 |
2500 |
|
2 |
Февраль |
4000 |
470 |
5000 |
7000 |
2500 |
|
3 |
Март |
6000 |
480 |
4000 |
7000 |
2500 |
|
4 |
Апрель |
5000 |
500 |
8000 |
7000 |
2500 |
|
5 |
Май |
3000 |
500 |
6000 |
7000 |
2500 |
|
6 |
Июнь |
2000 |
500 |
3000 |
7000 |
2500 |
Компания не проводит политику частого изменения числа рабочих. Поэтому, чтобы предотвратить простои, она устанавливает минимальный объем производства, составляющий 50% от максимального. В таблице представлены также максимальный и минимальный уровни запасов на каждый месяц: _ _
На 1 января запас видеомагнитофонов отсутствует. Страховой уровень запасов, который компания старается регулярно поддерживать, составляет 2500 шт.; это означает, что и в конце каждого месяца такое количество видеомагнитофонов должно храниться на складе как минимально допустимое. Однако площади складов позволяют хранить 7000 магнитофонов. Это отражено в предпоследнем столбце таблицы.
Бухгалтерия «Видео» подсчитала, что хранение одного видеомагнитофона на складе обходится в 8 руб. в месяц. Затраты на хранение следует определять по величине запаса на конец месяца.
Определите объемы производства и запасов на каждый месяц, при которых суммарные затраты (затраты на производство плюс затраты на хранение) минимальны при условии удовлетворения спроса на продукцию без отсрочки поставок.
Вопросы:
1. Сколько магнитофонов следует произвести в феврале?
2. Каков запас на складе на конец апреля?
3. Каковы минимальные издержки на выполнение полугодового плана (в тыс. руб.)?
Ситуации
Ситуация 1. Производство обмоточной проволоки. Ярославу Алексееву понравилась его первая рабочая неделя в качестве менеджера-стажера в фирме «Электрокабель». Он еще не приобрел достаточных знаний о процессе производства, но уже получил общую информацию, побывав на заводе и встретившись со многими людьми.
Один из основных видов продукции, выпускаемой фирмой «Электрокабель», — обмоточная проволока, которая используется в производстве электрических трансформаторов. Эдуард Третьяков, менеджер, отвечающий за контроль производства, описал Алексееву стандартную процедуру обмотки. Последовательность производства проволоки такова: подготовка чертежей, протяжка, наматывание, контроль и упаковка. После технического контроля хороший товар упаковывается и отсылается на склад готовой продукции, а дефектная продукция хранится отдельно до тех пор, пока не будет отдана на переработку.
В начале марта Борис Лагутин, первый вице-президент фирмы «Электрокабель», зашел в офис Алексеева и пригласил его на собрание персонала.
«Ну что ж, давайте начнем», — сказал Лагутин, открывая собрание. «Вы уже знакомы с Ярославом Алексеевым, нашим новым менеджером-стажером. Ярослав закончил магистратуру экономического факультета МГУ, поэтому я думаю, что он сможет помочь нам решить проблему, которую мы давно обсуждаем. Я уверен, что каждый из вас будет сотрудничать с Ярославом».
Лагутин обратился к Эдуарду Третьякову с просьбой вкратце описать проблему, с которой столкнулась фирма. «Сейчас, — начал Третьяков, — мы получаем больше заказов, чем можем выполнить. Еще несколько месяцев проблему можно будет решать за счет нового оборудования, но уже в апреле нам это не поможет. В прошлом году мы сократили нескольких работников из чертежного отдела. Я собираюсь снова временно привлечь их к работе, чтобы увеличить в этом отделе объем производства. Так как мы планируем рефинансировать нашу долгосрочную задолженность по кредитам, необходимо оценить величину апрельской прибыли.
Я нахожусь в затруднительном положении, подсчитывая и оценивая, какие заказы осуществлять, а какие отложить, поэтому надо сформировать оптимальный план производства. Надеюсь, Ярослав Алексеев сможет мне помочь».
|
Продукт |
Объем заказов на апрель, ед. |
|
W0075C |
1400 |
|
W0033C |
250 |
|
W0005X |
1510 |
|
W0007X |
1116 |
Ярослав был несколько озадачен, получив такое важное поручение в самом начале своей карьеры. Сдержав волнение, он сказал: «Дайте мне данные и день или два времени». Ему предоставили информацию в виде следующих таблиц:_
|
Примечание: По договору с основным поставщиком фирма должна произвести в апреле 600 единиц (катушек) продукта W0007X и 150 единиц продукта W0075C._ |
|
|
Средние
издержки,
руб./ед. |
Продукт |
Материал |
Труд
(произ
водство) |
Труд
(контроль) |
Цена
продажи,
руб. |
|
W0075C |
330 |
99,0 |
231,0 |
1000 |
|
W0033C |
250 |
75,0 |
175,0 |
800 |
|
W0005X |
350 |
105,0 |
245,0 |
1300 |
|
W0007X |
750 |
112,5 |
637,5 |
1750 |
|
Трудоемкость, ч/ед. |
Продукт |
Подготовка
чертежей |
Протяжка |
Наматы
вание |
Упаковка |
|
W0075C |
1 |
1 |
1 |
1 |
|
W0033C |
2 |
1 |
3 |
0 |
|
W0005X |
0 |
4 |
0 ' |
3 |
|
W0007X |
1 |
1 |
0 |
2 |
|
Фонд времени, ч |
Подготовка
чертежей |
Протяжка |
Наматы
вание |
Упаковка |
|
4000 |
4200 |
2000 |
2300 |
Примечание: Объем работы по контролю качества — не проблема, так как можно работать сверхурочно, чтобы приспособиться к любому графику.
Средняя производственная выработка в месяц — 2400 ед.
Среднее использование машинного времени — 63%.
Средний процент посланной на переработку продукции — 5% (большей частью из намоточного отдела). Задания
1. Проведите детальный анализ проблемы (с построением таблиц, графиков и использованием компьютера).
2. Ответьте на следующие вопросы:
Какие рекомендации должен дать Ярослав Алексеев и с какими обоснованиями?
Есть ли необходимость в использовании временных работников в чертежном отделе?
Следует ли расширять парк машин?
Ситуация 2. Западно-сибирская корпорация «Химикаты и удобрения».
В декабре 2002 г. Василий Маслов, генеральный директор западно-сибирского отделения корпорации «Химикаты и удобрения», получил письмо от Юрия Черноусова из компании «Сибирь-газ». В письме корпорацию уведомляли о новом порядке подачи природного газа. «Сибирьгаз» — поставщик природного газа для корпорации — сообщал о сокращении поставок газа на 40% в течение зимних месяцев. Одобрение Федеральной комиссии по энергетике было уже получено.
При сокращении действуют следующие приоритеты (начиная с самого нежелательного варианта и заканчивая более приемлемым):
1. Отопление жилья и рабочих мест.
2. Коммерческие организации, использующие природный газ в качестве сырья.
3. Коммерческие организации, использующие природный газ в качестве промышленного топлива.
Практически все производство корпорации подпадало под приоритеты 2 и 3, следовательно, сокращение
поставок было неминуемым.
Причины сокращения поставок были следующими.
Во-первых, «Сибирьгаз» является частью системы газопроводов, по которым газ поставляется для отопления жилья и рабочих мест на Дальний Восток и в Казахстан. Следовательно, зимой ожидается рост потребления газа. Во-вторых, спрос на природный газ постоянно увеличивается, потому что газ — самое экологически чистое и наиболее эффективное топливо. При его использовании исчезают проблемы с загрязнением окружающей среды, камеры сгорания зафязняются меньше, а компьютеризированный контроль за сжиганием газа проще, чем при других видах топлива. И наконец, добыча газа уменьшается — традиционно низкая цена на газ не стимулирует разработку новых месторождений.
Руководство корпорации «Химикаты и удобрения» знало о возможных сокращениях подачи газа и разрабатывало способы замены газа нефтью и углем. Однако эти исследования все еще находились в стадии разработки, поэтому незамедлительно требовался план для минимизации негативных последствий сокращения поставок газа для группы ее заводов. Федеральная комиссия по энергетике и компания «Сибирьгаз» предоставили самой корпорации право решать, как ей перераспределить поставки между заводами, а Юрий Черноусов из компании «Сибирьгаз» добавил: «Это ваш пирог, и нам все равно, как вы его разделите, если он станет меньше».
Этим «пирогом» стал газ для шести западно-сибирских заводов корпорации «Химикаты и удобрения». Заводы выпускали следующую продукцию, которая требовала значительных затрат газа: фосфорную кислоту, мочевину, фосфат аммония, нитрат аммония, хлор, каустическую соду, мономер винилхлорида, гидрофосфорную кислоту.
Корпорация провела совет технического персонала для того, чтобы обсудить возможные варианты перераспределения газа между производствами в случае сокращения. Целью была минимизация воздействия на прибыль. На этот совет были представлены данные в виде следующей таблицы:
|
Продукт |
Цена за тонну, руб. |
Проектная
мощность
производ
ства,
т в неделю |
Эффективная (максимально возможная) норма производства,
% от проектной мощности |
Потреб
ление
газа,
1000 м3/т |
|
Фосфорная кислота |
600 |
400 |
80 |
5,5 |
|
Мочевина |
800 |
250 |
80 |
7,0 |
|
Фосфат аммония |
900 |
300 |
90 |
8,0 |
|
Нитрат аммония |
1000 |
300 |
100 |
10,0 |
|
Хлор |
500 |
800 |
60 |
15,0 |
|
Каустическая сода |
500 |
1000 |
60 |
16,0 |
|
Мономер винилхлорида |
650 |
500 |
60 |
12,0 |
Гидрофосфорная
кислота |
700 |
400 |
80 |
11,0 |
Контракт корпорации с компанией «Сибирьгаз» предусматривал максимальное потребление 36 млн м3 природного газа в неделю для всех шести заводов. Технологически допустимый минимум производства каждого продукта составляет 30% от проектной мощности.
На основе этих данных была предложена модель, которая установила изменения объемов производства при сокращении поставок природного газа. (Изменения основаны на потреблении, предусмотренном контрактом, а не на текущем потреблении.)
Задания
1. Постройте модель и найдите объемы производства при сокращении поставок газа на 20 и 40%.
2. Объясните, какой продукт требует наибольшего внимания с точки зрения энергосбережения.
3. Ответьте на следующие вопросы:
Какие проблемы можно предвидеть, если производство не будет сокращено запланированным образом? Какое влияние окажет сокращение поставок газа на прибыль компании?
Ответы и решения
Ответы на вопросы:
1-2, 2-5, 3-4, 4-1,
5-3, 6-4, 7-1, 8-2,
9 - 3, 10 - 3.
Задача 1. Решение. _ |
|
|
|
|
Режим 1 |
Режим 2 |
|
|
|
|
Minimize |
1 |
1 |
|
|
|
|
Темные |
0,3 |
0,7 |
>= |
ПО |
-U1 |
|
Светлые |
0,6 |
0,2 |
>= |
70 |
-1,11 |
|
Solution |
75 |
125 |
1 |
200 |
|
Таблица двойственных оценок и границ устойчивости:
|
Variable |
Value |
Reduced Cost |
Original Val |
Lower Bound |
Upper Bound |
|
XI |
75 |
0 |
1 |
0,49 |
3 |
|
XI |
125 |
0 |
1 |
0,33 |
2,33 |
|
Constraint |
Dual Val |
Slack/Surplus |
Original Val |
LowerBound |
Upper Bound |
|
Constraint 1 |
-1,11 |
0 |
110 |
35 |
245 |
|
Constraint 2 |
-1,11 |
0 |
70 |
31,43 |
220 |
Ответы: 1. 75 т. 2. 125 т. 3.200 т. 4. На 11,1 т. Задача 2. Решение.
|
|
«Астро» |
«Космо» |
|
|
|
|
Maximize |
1500 |
2000 |
|
|
|
|
Цех 1 |
1,2 |
1,8 |
<= |
120 |
833,3 |
|
Цех 2 |
1 |
1 |
<= |
90 |
500. |
|
Solution |
70 |
20 |
|
145 000 |
|
|
Variable |
Value |
Reduced Cost |
Original Val |
Lower Bound |
Upper Bound |
|
«Астро» |
70 |
0 |
1500 |
1333,333 |
2000 |
|
«Космо» |
20 |
0 |
2000 |
1500 |
2250 |
|
Constraint |
Dual Val |
Slack/Surplus |
Original Val |
Lower Bound |
Upper Bound |
|
Цех 1 |
833,3 |
0 |
120 |
108 |
162 |
|
Цех 2 |
500 |
0 |
90 |
66,6 |
100 |
Ответы: 1. 70 телевизоров. 3. На 2500 руб. 2. 145 000 руб. 4. Нет, не следует.
Задача 3. Решение.
|
|
Чулки |
Носки |
|
|
|
|
Maximize |
10 |
4 |
|
|
|
|
Участок і |
0,02 |
0,01 |
<= |
60 |
0 |
|
Участок 2 |
0,03 |
0,01 |
<= |
70 |
266,6 |
|
Участок 3 |
0,03 |
0,02 |
<= |
100 |
66,6 |
|
Solution |
1333,3 |
3000 |
|
25 333 |
|
|
Variable |
Value |
Reduced Cost |
Original Val |
Lower Bound |
Upper Bound |
|
Чулки |
1333,3 |
0 |
10 |
6 |
12 |
|
Носки |
3000 |
0 |
4 |
3,3 |
6,6 |
|
Constraint |
Dual Val |
Slack/Surplus |
Original Val |
Lower Bound |
Upper Bound |
|
Участок 1 |
0 |
3,3 |
60 |
56,6 |
Infinity |
|
Участок 2 |
266,6 |
0 |
70 |
50 |
80 |
|
Участок 3 |
66,6 |
0 |
100 |
70 |
110 |
Ответы: 1. 3000 пар носков. 2. 25 333 руб. 3. Прибыль не увеличится. 4. На 2666 руб. Задача 4. Решение.
|
|
А |
В |
C |
c6.„ |
|
|
|
|
Maximize |
450 |
400 |
500 |
300 |
|
|
|
Производство
заготовок |
5 |
1 |
7 |
4 |
<= |
100 |
12,5 |
|
Сборка |
2 |
2 |
5 |
5 |
<= |
100 |
50 |
|
Покраска |
5 |
5 |
6 |
0 |
<= |
100 |
57,5 |
|
Solution |
8 |
12 |
0 |
12 |
. |
12 000 |
|
|
Variable |
Value |
Reduced Cost |
Original Val |
LowerBound |
Upper Bound |
|
Модель A |
8 |
0 |
450 |
400 |
700 |
|
Модель В |
12 |
0 |
400 |
150 |
450 |
|
Модель С |
0 |
182,5 |
500 |
—Infinity |
682,5 |
|
Модель С6п |
12 |
0 |
300 |
50 |
1018,75 |
|
Constraint |
Dual Val |
Slack/Surplus |
Original Val |
Lower Bound |
Upper Bound |
Производство
заготовок |
12,5 |
0 |
100 |
68 |
148 |
|
Сборка |
50 |
0 |
100 |
40 |
140 |
|
Покраска |
57,5 |
0 |
100 |
29,4 |
250 |
Ответы: 1. 12 000 руб. 2. Восемь столов. 3. Следует. 4. На 500 руб. 5. Не менее чем на 182,5 руб.
Задача 5. Решение.
|
|
Производство
мангалов |
Закупка
мангалов |
|
|
|
уголь
ных |
газо
вых |
уголь
ных |
газо
вых |
|
Minimize |
1,5 |
3 |
3 |
ч 5 |
|
|
|
|
Производство |
5 |
8 |
0 |
0 |
<= |
2600 |
0 |
|
Сборка |
0,8 |
1,2 |
0 |
0 |
<= |
400 |
1,25 |
|
Упаковка |
0,5 |
0,5 |
0 |
0 |
<= |
200 |
1 |
|
Угольные мангалы |
1 |
0 |
1 |
0 |
- |
300 |
-3 |
|
Газовые мангалы |
0 |
1 |
0 |
1 |
|
300 |
-5 |
|
Solution |
200 |
200 |
100 |
100 |
|
1700 |
|
|
Variable ' |
Value |
Reduced
Cost |
Original
Val |
Lower
Bound |
Upper
Bound |
|
Производство мангалов |
угольных |
200 |
0 |
1,5 |
1 |
1,66 |
|
газовых |
200 |
0 |
3 |
2,75 |
3,5 |
Закупка
мангалов |
угольных |
100 |
0 |
3 |
2,83 |
3,45 |
|
газовых |
100 |
0 |
5 |
4,5 |
5,25 |
|
Constraint |
Dual Val |
Slack/Surplus |
Original
Val |
Lower
Bound |
Upper
Bound |
|
Производство |
0 |
0 |
2600 |
2600 |
Infinity |
|
Сборка |
1,25 |
0 |
400 |
360 |
400 |
|
Упаковка |
1 |
0 |
200 |
200 |
216,66 |
|
Угольные мангалы |
-3 |
0 |
300 |
200 |
Infinity |
|
Газовые мангалы |
-5 |
0 |
300 |
200 |
Infinity |
Ответы: 1. 1700 тыс. руб. 2. 200 мангалов. 3. 200 мангалов.
4. 100 мангалов. 5. Нет, объемы закупок следует изменить. Задача 6. Решение.
|
|
Л, |
Ъ |
|
Д4 |
|
|
3i |
3i |
3) |
34 |
3s |
36 |
|
|
|
Minimize |
460 |
470 |
480 |
500 |
500 |
500 |
8 |
8 |
8 |
8 |
8 |
4 |
|
|
|
n, |
max |
1 |
0 |
0 |
0 |
0 |
0 |
0 |
0 |
0 |
0 |
0 |
0 |
<= |
7000 |
|
min |
1 |
0 |
0 |
0 |
0 |
0 |
0 |
0 |
0 |
0 |
0 |
0 |
>= |
3500 |
|
Пі |
max |
0 |
1 |
0 |
0 |
0 |
0 |
0 |
0 |
0 |
0 |
0 |
0 |
<= |
5000 |
|
min |
0 |
1 |
0 |
0 |
0 |
0 |
0 |
0 |
0 |
0 |
0 |
0 |
>= |
2500 |
|
Пг |
max |
0 |
0 |
1 |
0 |
0 |
0 |
0 |
0 |
0 |
0 |
0 |
0 |
<= |
4000 |
|
min |
0 |
0 |
1 |
0 |
0 |
0 |
0 |
0 |
0 |
0 |
0 |
0 |
>= |
2000 |
|
|
max |
0 |
0 |
0 |
1 |
0 |
0 |
0 |
0 |
0 |
0 |
0 |
0 |
<= |
8000 |
|
min |
0 |
0 |
0 |
1 |
0 |
0 |
0 |
0 |
0 |
0 |
0 |
0 |
>= |
4000 |
|
ns |
max |
0 |
0 |
0 |
0 |
1 |
0 |
0 |
0 |
0 |
0 |
0 |
0 |
<= |
6000 |
|
min |
0 |
0 |
0 |
0 |
1 |
0 |
0 |
0 |
0 |
0 |
0 |
0 |
>= |
3000 |
|
n6 |
max |
0 |
0 |
0 |
0 |
0 |
1 |
0 |
0 |
0 |
0 |
0 |
0 |
<= |
3000 |
|
min |
0 |
0 |
0 |
0 |
0 |
1 |
0 |
0 |
0 |
0 |
0 |
0 |
>= |
1500 |
(П — производство; 3 — запас)_
Окончание таблицы
|
|
Я, |
Пг |
|
П4 |
tf5. |
n6 |
з, |
32 |
33 |
34 |
35 |
36 |
|
|
|
3, |
шах |
0 |
0 |
0 |
0 |
0 |
0 |
I |
0 |
0 |
0 |
0 |
0 |
<= |
7000 |
|
min |
0 |
0 |
0 |
0 |
0 |
0 |
1 |
0 |
0 |
0 |
0 |
0 |
>= |
2500 |
|
32 |
max |
0 |
0 |
0 |
0 |
0 |
0 |
0 |
1 |
0 |
0 |
0 |
0 |
<= |
7000 |
|
min |
0 |
0 |
0 |
0 |
0 |
0 |
0 |
1 |
0 |
0 |
0 |
0 |
>= |
2500 |
|
3, |
max |
0 |
0 |
0 |
0 |
0 |
0 |
0 |
0 |
1 |
0 |
0 |
0 |
<= |
7000 |
|
min |
0 |
0 |
0 |
0 |
0 |
0 |
0 |
0 |
1 |
0 |
0 |
0 |
>= |
2500 |
|
34 |
max |
0 |
0 |
0 |
0 |
0 |
0 |
0 |
0 |
0 |
1 |
0 |
0 |
<= |
7000 |
|
min |
0 |
0 |
0 |
0 |
0 |
0 |
0 |
0 |
0 |
1 |
0 |
0 |
>= |
2500 |
|
35 |
max |
0 |
0 |
0 |
0 |
0 |
0 |
0 |
0 |
0 |
0 |
1 |
0 |
<= |
7000 |
|
min |
0 |
0 |
0 |
0 |
0 |
0 |
0 |
0 |
0 |
0 |
1 |
0 |
>= |
2500 |
|
36 |
max |
0 |
0 |
0 |
0 |
0 |
0 |
0 |
0 |
0 |
0 |
0 |
1 |
<= |
7000 |
|
min |
0 |
0 |
0 |
0 |
0 |
0 |
0 |
0 |
0 |
0 |
0 |
1 |
>= |
2500 |
|
Баланс 1 |
1 |
0 |
0 |
0 |
0 |
0 |
-1 |
0 |
0 |
0 |
0 |
0 |
= |
1000 |
|
Баланс 2 |
0 |
1 |
0 |
0 |
0 |
0 |
1 |
-1 |
0 |
0 |
0 |
0 |
= |
4000 |
|
Баланс 3 |
0 |
0 |
1 |
0 |
0 |
0 |
0 |
1 |
-1 |
0 |
0 |
0 |
= |
6000 |
|
Баланс 4 |
0 |
0 |
0 |
1 |
0 |
0 |
0 |
0 |
1 |
-1 |
0 |
0 |
= |
5000 |
|
Баланс 5 |
0 |
0 |
0 |
0 |
1 |
0 |
0 |
0 |
0 |
1 |
-1 |
0 |
= |
3000 |
|
Баланс 6 |
0 |
0 |
0 |
0 |
0 |
1 |
0 |
0 |
0 |
0 |
1 |
-1 |
= |
2000 |
|
Solution |
7000 |
5000 |
2500 |
4000 |
3000 |
2000 |
6000 |
7000 |
3500 |
2500 |
2500 |
2500 |
|
11452000 |
Ответы: 1. 5000 магнитофонов. 2. 2500 магнитофонов.3. 11,452 млн.руб.
Глава 2. Оптимальное смешение Цели
В данной главе показаны возможности использования модели линейного программирования для решения задач оптимального смешения. Наряду с рассмотренной в главе 1 задачей планирования производства это одна из наиболее известных областей приложения модели линейного программирования. Модели оптимального смешения имеют много общего с моделями оптимального планирования производства. В то же время существуют и некоторые особенности.
После того как вы выполните задания, предлагаемые в этой главе, вы будете уметь формулировать и использовать для экономического анализа следующие понятия:
• смесь;
• ингредиент смеси;
• компонент смеси;
• рецепт смешения.
Модели
Важный класс прикладных оптимизационных задач образуют задачи о смесях. Такие задачи возникают при выборе наилучшего способа смешения исходных ингредиентов для получения смеси с заданными свойствами. Смесь должна иметь требуемые свойства, которые определяются количеством компонентов, входящих в состав исходных ингредиентов. Как правило, известны стоимостные характеристики ингредиентов и искомую смесь требуется получить с наименьшими затратами. Для многопродуктовых задач, в которых требуется получить несколько смесей, характерным является критерий максимизации прибыли.
Задачи оптимального смешения встречаются во многих отраслях промышленности (металлургия, парфюмерия, пищевая промышленность, фармакология, сельское хозяйство). Примерами задач о смесях могут служить определение кормового рациона скота на животноводческих фермах, составление рецептуры шихты на металлургическом производстве и т.п.
Рассмотрим сначала однопродуктовые модели оптимального смешения.
Введем обозначения:
п — количество исходных ингредиентов;
т — количество компонентов в смеси;
Xj — количество j-го ингредиента, входящего в смесь; а, —количество i-го компонента в j-м ингредиенте; с,- —стоимость единицы j-го ингредиента; bi — количество i-го компонента в смеси.
Модель А:
|
Е с, X: -> min, j=i j j |
(1) |
|
&a9xj*bi> /= 1,. |
..,m, (2) |
|
Xj>0, j — 1,n. |
(3) |
л
Здесь (1) — целевая функция (минимум затрат на получение смеси);
(2) — группа ограничений, определяющих содержание компонентов в смеси;
(3) — ограничения на неотрицательность переменных.
В задаче могут присутствовать также ограничения на общий объем смеси и ограничения на количество используемых ингредиентов. Эти группы ограничений, а также ограничения (2) характерны для задачи планирования производства, рассмотренной в главе 1.
Введем обозначения: п — количество исходных ингредиентов; т — количество компонентов в смеси;
w — количество условий, отражающих содержание j-го ингредиента в смеси;
X, — количество j-го ингредиента, входящего в смесь; а, — доля j-го компонента в j-м ингредиенте; bi — минимально допустимая доля i-го компонента в смеси; с, — стоимость единицы j-го ингредиента;
dj — коэффициент, отражающий r-е условие на содержание j-го ингредиента в смеси.
Модель В:
|
E С: X: j=\ J J |
-»min, |
(4) |
|
!іЦг |
- b)Xj>0, /= 1. •• |
¦,m, (5) |
E dri X,
y-1 0 J |
>0, r=l,...,w, |
(6) |
|
и |
1, |
(7) |
j*
IV
о |
j= 1, -, «• |
(8) |
Здесь (4) — целевая функция (минимум затрат на получение смеси);
(5) — группа ограничений, определяющих содержание компонентов в смеси;
(6) — группа ограничении на содержание ингредиентов в смеси;
(7) — ограничение на количество смеси;
(8) — ограничения на неотрицательность переменных.
Ограничения (5) и (6) отличают задачу смешения от задачи оптимального планирования производства. Заметим, что значения правых частей этих ограничений равны нулю. Вектор х* с компонентами, являющийся решением этой оптимизационной задачи, называют рецептом приготовления смеси или рецептом смешения.
В многопродуктовых задачах ингредиенты используются для приготовления не одной, а нескольких смесей. При этом в качестве переменной xk,, такой задачи рассматривается количество ингредиента j, используемое для приготовления смеси k. Критерий задачи — максимизация прибыли.
Введем обозначения: п — количество исходных ингредиентов; т — количество компонентов в смеси;
w — количество условий, отражающих содержание j-го ингредиента в смеси;
^ — количество смесей;
xk, — количество j-го ингредиента, входящего в k-ю смесь;
а, — доля i-го компонента в j-м ингредиенте;
bik — минимально допустимая доля i-го компонента в k-й смеси;
с, — стоимость единицы j-го ингредиента;
pk — стоимость единицы k-й смеси;
drkj — коэффициент, отражающий r-е условие на содержание j-го ингредиента в k-й смеси;
Uj — количество имеющегося j-го ингредиента. Модель С:
|
(Рк - сР Ч] -» тах- |
(9) |
|
3 (я,у - bilc) xkJ >0, / = 1, ..., т\ к = 1,.. |
.,5,00) |
|
t d^j xkJ >0, г = 1, .... w; к= 1, ..., s, |
(11) |
|
?Х? -uj’ j= l> |
(12) |
|
xkj - 0, J= 1, n\ k=\, ...,s. |
(13) |
Здесь (9) — целевая функция (максимум прибыли);
(10) — группа ограничений, определяющих содержание компонентов в смеси;
(11) — группа ограничений на содержание ингредиентов в смеси;
(12) — ограничения на количество ингредиентов;
(13) — ограничения на неотрицательность переменных.
Примеры
Пример 1. Планирование производства на сочинском винзаводе.
Сочинский винзавод производит две марки сухого вина: «Черный лекарь» и «Букет роз». Оптовые цены, по которым реализуется готовая продукция, соответственно 68 и 57 руб. за литр. Ингредиентами для приготовления этих вин являются белое, розовое и красное сухие вина, закупаемые в Краснодаре. Эти вина стоят соответственно 70, 50 и 40 руб. за литр. В среднем на сочи иски и винзавод поставляется ежедневно 2000 л белого, 2500 л розового и 1200л красного вина.
Вино
роз»,
В вине «Черный лекарь» должно содержаться не менее 60% белого вина и не более 20% красного.
«Букет роз» должно содержать не более 60% красного и не менее 15% белого.
Определите рецепты смешения ингредиентов для производства вин «Черный лекарь» и «Букет обеспечивающие заводу максимальную прибыль.
Вопросы:
1. Какую максимальную прибыль можно получить за один день?
2. Сколько литров вина «Черный лекарь» следует производить ежедневно?
3. Сколько процентов белого вина должен содержать «Черный лекарь»?
4. Сколько литров вина «Букет роз» следует производить ежедневно?
5. Сколько процентов розового вина должен содержать «Букет роз»?
6. На сколько возрастет прибыль винзавода, если поставки красного вина удастся увеличить до 1300 л в день?
7. На сколько уменьшится прибыль винзавода, если поставки белого вина сократятся до 1800 л?
Решение. Пусть xkj — количество j-го ингредиента (j = 1, 2, 3), входящего в k-ю смесь (k = 1, 2).
Например, x23 — количество красного вина, ежедневно используемого для приготовления вина «Букет роз». Тогда модель оптимального смешения имеет следующий вид.
Критерий максимизации прибыли:
(68 - 70)хц + (68 - 50)xJ2 + (68 - 40)xJ3 + (57 - 70)x2J + + (57 - 50)x22 + (57 - 40)x22 ® max.
Ограничения на поставки ингредиентов:
хп + *2, < 2000,
*12 + -*22 - 2500, х,3 + Хи < 1200.
Ограничения, отражающие условия на содержание ингредиентов в смеси:
х„ — 0,6(Хц + Х|2 + *із)>
Х,з — 0,2(Хц + Xj2 + *із)>
*23 ^ 0,6(Х2, + *22 + *2з)>
%2і — 0,1 5(л^2, +*22 + *2з)-
Последняя группа ограничений может быть преобразована следующим образом:
—0,4хи + 0,6Х|2 + 0,6х13 < 0,
—0,2хп — 0,2х12 + 0,8Х|3 5 0,
—0,6х2і — 0,6*22 + 0>4*23 - 0,
—0,85x2! + 0.15х22 + 0,15x23 - 0.
Кроме того, следует учесть ограничения на неотрицательность переменных.
|
|
*11 |
XI2 |
*13 |
*21 |
*22 |
*23 |
|
|
|
Maximize |
-2 |
18 |
28 |
-13 |
7 |
17 |
|
|
|
Constraint 1 |
1 |
0 |
0 |
1 |
0 |
0 |
<= |
2000 |
|
Constraint 2 |
0 |
1 |
0 |
0 |
1 |
0 |
<= |
2500 |
|
Constraint 3 |
0 |
0 |
1 |
0 |
0 |
1 |
<= |
1200 |
|
Constraint 4 |
-0,4 |
0,6 |
0,6 |
0 |
0 |
0 |
<= |
0 |
|
Constraint 5 |
-0,2 |
-0,2 |
0,8 |
0 |
0 |
0 |
<= |
0 |
|
Constraint 6 |
0 |
0 |
0 |
-0,6 |
-0,6 |
0,4 |
<= |
0 |
|
Constraint 7 |
0 |
0 |
0 |
-0,85 |
0,15 |
0,15 |
<= |
0 |
Используя пакет POMWIN, исходную информацию для решения этой задачи можно представить в виде следующей таблицы]_
|
|
*11 |
*12 |
*13 |
*21 |
*22 |
*23 |
|
|
|
|
Maximize |
-2 |
18 |
28 |
-13 |
7 |
17 |
|
|
|
|
Constraint 1 |
1 |
0 |
0 |
1 |
0 |
0 |
<= |
2000 |
7,8 |
|
Constraint 2 |
0 |
1 |
0 |
0 |
1 |
0 |
<= |
2500 |
3,3 |
|
Constraint 3 |
0 |
0 |
1 |
0 |
0 |
1 |
<= |
1200 |
13,3 |
|
Constraint 4 |
-0,4 |
0,6 |
0,6 |
0 |
0 |
0 |
<= |
0 |
24,4 |
|
Constraint 5 |
-0,2 |
-0,2 |
0,8 |
0 |
0 |
0 |
<= |
0 |
0 |
|
Constraint 6 |
0 |
0 |
0 |
-0,6 |
-0,6 |
0,4 |
<= |
0 |
0 |
|
Constraint 7 |
0 |
0 |
0 |
-0,85 |
0,15 |
0,15 |
<= |
0 |
24,4 |
|
Solution |
1526,7 |
1017,8 |
0 |
4733 |
14823 |
1200 |
|
398883 |
|
Решая эту задачу, получаем следующий результат:
|
В следующей таблице содержится дополнительная информация о границах устойчивости решения по правым частям ограничений:_ |
|
|
|
Constraint |
Dual Val |
Slack/Surplus. |
Original
Val |
Lower
Bound |
Upper
Bound |
|
Constraint 1 |
7,8 |
0 |
2000 |
652,9 |
3300 |
|
Constraint 2 |
3,3 |
0 |
2500 |
1633,3 |
10 133,3 |
|
Constraint 3 |
13,3 |
0 |
1200 |
0 |
4666,7 |
|
Constraint 4 |
24,4 |
0 |
0 |
-538,8 |
520,0001 |
|
Constraint 5 |
0 |
508,9 |
0 |
-508,9 |
Infinity |
|
Constraint 6 |
0 |
693,3 |
0 |
-693,3 |
Infinity |
|
Constraint 7 |
24,4 |
0 |
0 |
-1145 |
4 |
Таким образом, максимальная ежедневная прибыль винзавода достигает 39 888,9 руб. При этом производится 1526,7 + 1017,8 = 2544,5 л вина «Черный лекарь» и 473,3 + 1482,2 + 1200 = 3155,5 л вина «Букет роз». Поставляемые ингредиенты используются полностью.
Содержание белого вина в вине «Черный лекарь» составляет 1526,7/2544,5 = 0,6 (60%). Содержание розового вина в вине «Букет роз» составляет 1482,2/3155,5 = 0,47 (47%).
Если поставки красного вина удастся увеличить до 1300 л в день, то с учетом значения двойственной оценки 13,3 ограничения на объем поставок красного вина определяем, что прибыль увеличится на 13,3 • 100 = 1330 руб.
Заметим, что объем поставок остается в границах устойчивости решения. Если поставки белого вина сократятся до 1800 л в день, то с учетом значения двойственной оценки 7,8 ограничения на объем поставок белого вина определяем, что прибыль уменьшится на 7,8 • 200 = 1560 руб. Заметим, что объем поставок белого вина остается в границах устойчивости решения.
Ответы: 1. 39 889,9 руб. 2. 2544,5 л. 3. 60%.
4. 3155,5 л. 5. 47%. 6. На 1330 руб.
7. На 1560 руб.
Вопросы
Вопрос 1. Требуется определить объемы производства четырех видов лакокрасочных изделий. Рецепт производства каждого из них предполагает использование трех ингредиентов: олифы, красителя и белил. Объёмы поставок ингредиентов ограничены. Спрос на готовую продукцию не ограничен. Задача решается с целью максимизировать прибыль от реализации продукции.
Какое минимальное число переменных и ограничений содержит задача оптимального смешения?
Варианты ответов:
1) четыре переменные и три ограничения;
2) три переменные и четыре ограничения;
3) три переменные и двенадцать ограничений;
4) двенадцать переменных и три ограничения;
5) двенадцать переменных и четыре ограничения.
Вопрос 2. Для приготовления вина «Букет Молдавии» используется смесь из белого и красного сухих вин. Белого вина в готовой смеси должно быть не более 30%. Пусть х — количество белого вина, которое следует использовать для приготовления смеси; у — количество красного вина. Тогда условие на содержание ингредиентов в готовой смеси может быть формализовано следующим образом:
1) х < 30; 2) 0,3х < 0,7у; 3) 0,7х + 0,3у < 0;
4) —0,7х + 0,3у > 0; 5) 0,7х > 0,3у.
Вопрос 3. Для описания результатов, полученных при решении задачи оптимального смешения, может быть использована следующая фраза:
1) использованные для получения смеси компоненты не содержат необходимых ингредиентов;
2) рецепт смешения предполагает использование четырех ингредиентов;
3) для получения смеси надо использовать три компонента;
4) рецепт смешения предполагает использование трех компонентов;
5) рецепт смешения не предполагает использования этого компонента для приготовления смеси.
Вопрос 4. В задаче смешения исходными ингредиентами является бензин марок А, В и С, октановые
числа которых 76, 93 и 98 соответственно. Октановое число смеси должно быть не менее 93.
Какое из неравенств правильно формализует это условие, если за хь х2 и х3 принято предназначенное для смешения количество бензина марки А, В и С соответственно?
Варианты ответов:
1) 76 хі + 93 х2 + 98 х3 > 93;
2) 76 хі + 93 х2 + 98 х3 < 93;
3) 5 х3 - 17 хі > 0;
4) 17 х1 - 5 х3 < 0;
5) 76 Х1 + 98 Х3 < 93.
Вопрос 5. Ингредиенты j (j = 1,..., п) используются для приготовления смесей к (к = 1, ..., т). Пусть х]к — количество j-го ингредиента, входящего в к-ю смесь; ск — цена, по которой производитель продает готовую к-ю смесь; pj — цена, по которой закупается j-й ингредиент. Тогда критерии максимизации прибыли в задаче оптимального смешения будет иметь следующий вид:
1) ? ckXjk -» max;
2) ? pj xjk -» max;
3) I ckxjk + ILpj Xjk -»max;
4) z Pj xjk ~ 2 ck xjk -> max;
5) ZCkXjk-Zpj Хд. -» max.
Задачи
Задача 1. Животноводческая ферма имеет возможность закупать корма четырех видов по различным ценам. В кормах содержатся питательные вещества трех видов, необходимые для кормления коров. Составьте еженедельный рацион кормления коровы, обеспечивающий с минимальными затратами нормы содержания питательных веществ.
Данные, необходимые для составления рациона, приведены в следующей таблице (содержание веществ в кормах указано в килограммах на тонну):
Вопросы:
1. Какое количество корма 1 следует закупить для составления еженедельного рациона кормления коровы?
2. Какое количество корма 4 следует закупить для составления еженедельного рациона кормления коровы?
3. Каков общий вес еженедельного рациона коровы?
4. Каковы минимальные затраты на покупку кормов для еженедельного рациона одной коровы?
5. На сколько возрастут затраты, если еженедельный рацион должен содержать не менее 6 кг вещества
^?'^Корм
Вещество \ |
1 |
2 |
3 |
4 |
Норма содержания веществ в еженедельном рационе коровы, кг |
|
А |
20 |
40 |
60 |
10 |
Не менее 5 |
|
В |
30 |
10 |
0 |
20 |
Не менее 3, не более 4 |
|
С |
50 |
90 |
40 |
60 |
Не менее 8, не более 10 |
|
Цена 1т корма, руб. |
180 |
200 |
250 |
100 |
|
А?
6. До какой величины должна возрасти цена на корм 4, чтобы использование этого корма оказалось невыгодным?
Поливи
тамин
Витамин |
1 |
2 |
3 |
4 |
5 |
Необхо
димо |
|
А |
1,1 |
1,2 |
1,8 |
1,1 |
1,3 |
250 |
|
В |
0,9 |
и |
0,7 |
1 |
1,1 |
128 |
|
С |
50 |
60 |
40 |
30 |
60 |
7000 |
|
Железо |
24 |
45 |
18 |
12 |
37 |
3700 |
|
Кальций |
210 |
340 |
150 |
260 |
300 |
32000 |
|
Цена |
|
3,4 |
4,3 |
2,4 |
2,2 |
3,7 |
Задача 2. В аптеке продаются поливитамины пяти наименований. Каждый поливитамин содержит витамины и вещества, наиболее важные для Павла Кутикова, перенесшего простудное заболевание. Необходимо определить, какие поливитамины и в каком количестве следует принимать Павлу для восстановления нормальной работоспособности. В следующей таблице указано количество витаминов и веществ (в мг), которое должен получить Павел за весь курс лечения, а также данные о содержании витаминов и веществ в поливитаминах (в мг на 1 г) и цены за 1 г поливитаминов (в руб.):
Определите, какие поливитамины следует принимать, чтобы с минимальными затратами пройти курс лечения.
Вопросы:
1. Какое количество поливитамина 4 следует принять?
2. Какое общее количество поливитаминов следует принять?
3. Какова минимальная стоимость курса лечения?
4. До какого значения должна снизиться цена на поливитамин 2, чтобы его следовало включить в курс лечения?
Задача 3. Мощности завода позволяют произвести в текущем месяце ингредиенты для производства удобрений в следующем количестве: 10 т нитратов, 15 т фосфатов и 12 т поташа. В результате смешения этих активных ингредиентов с инертными, запасы которых не ограничены, на заводе могут быть получены четыре типа удобрений.
Удобрение 1 содержит 5% нитратов, 10% фосфатов и 5% поташа.
Удобрение 2 содержит 5% нитратов, 10% фосфатов и 10% поташа.
Удобрение 3 содержит 10% нитратов, 10% фосфатов и 10% поташа.
Удобрение 4 содержит 10% нитратов, 5% фосфатов и 5% поташа.
Цены на удобрения соответственно 400, 500, 400 и 450 руб. за тонну.
Объем спроса на удобрения практически не ограничен.
Стоимость производства одной тонны нитратов 360 руб., фосфатов 240 руб. и поташа 200 руб.
Инертные ингредиенты закупаются заводом по цене 100 руб. за тонну.
На текущий месяц завод уже заключил контракт на поставку 10 т удобрения 3.
Определите, какие удобрения и в каком количестве следует производить, чтобы в текущем месяце завод получил максимальную прибыль.
Вопросы:
1. Сколько удобрения 1 следует производить?
2. Сколько всего следует производить удобрений?
3. Какова максимальная прибыль?
4. На сколько изменилась бы прибыль, если бы заказчик отказался от контракта на поставку удобрения 3?
Задача 4. На кондитерской фабрике изготовляют два вида продуктов — восточные сладости, для которых используют орехи: миндаль, фундук и арахис. Миндаль фабрика закупает по цене 75 руб. за килограмм, фундук — 60 руб., а арахис — 45 руб. Продукт 1 должен содержать не менее 12% миндаля и не более 18% фундука, продукт 2 — не менее 25% миндаля.
Цены готовых продуктов 1 и 2 соответственно 70 и 65 руб. за килограмм. Ежедневно фабрика получает следующее количество орехов: миндаля — 33 кг, фундука — 80 кг, арахиса — 60 кг.
Вопросы:
1. Какое количество фундука следует использовать при производстве продукта 1?
2. Какое количество продукта 2 следует производить ежедневно, чтобы фабрика получала максимальную прибыль?
3. Каков общий объем ежедневно производимой продукции?
4. Какова максимальная прибыль?
5. На сколько увеличится прибыль, если увеличить закупки миндаля на 5 кг?
Задача 5. Сочинский винзавод производит три марки сухого вина: «Черный лекарь», «Букет роз» и «Белые ночи». Оптовые цены, по которым реализуется готовая продукция, соответственно 68, 57 и 60 руб. за литр. Ингредиентами для приготовления этих вин являются белое, розовое и красное сухие вина, закупаемые в Краснодаре. Эти вина стоят соответственно 70, 50 и 40 руб. за литр. В среднем на сочинский винзавод поставляется ежедневно 2000 л белого, 2500 л розового и 1200 л красного вина.
В вине «Черный лекарь» должно содержаться не менее 60% белого вина и не более 20% красного. Вино «Букет роз» должно содержать не более 60% красного и не менее 15% белого. Суммарное содержание красного и розового вина в вине «Белые ночи» не должно превышать 90%.
Определите рецепты смешения ингредиентов для производства вин «Черный лекарь» и «Букет роз», обеспечивающие заводу максимальную прибыль.
Вопросы:
1. Какую максимальную прибыль можно получить за один день?
2. Сколько литров вина «Черный лекарь» следует производить ежедневно?
3. Сколько процентов белого вина должен содержать «Черный лекарь»?
4. Сколько литров вина «Букет роз» следует производить ежедневно?
5. Сколько литров вина «Белые ночи» следует производить ежедневно?
6. Сколько процентов розового вина должны содержать «Белые ночи»?
7. На сколько возрастет прибыль винзавода, если поставки красного вина удастся увеличить до 1300 л в день?
8. На сколько рублей уменьшится прибыль винзавода, если поставки белого вина сократятся до 1800 л в день?
Ситуации
Ситуация 1. Компания «Синьор Помидор».
«Синьор Помидор» — средних размеров компания, занимающаяся производством и реализацией различной продукции высшего качества из овощей и фруктов.
2 сентября 2002 г. Михаил Горский, вице-президент компании «Синьор Помидор», пригласил начальников отдела сбыта, отдела технического контроля и производственного отдела, чтобы обсудить объемы заготовок консервов из помидоров. Закупленный на корню урожай томатов начал поступать на консервный завод, и операции по заготовке консервов должны были начаться в следующий понедельник.
Как только все собрались на совещание, начальник производственного отдела компании Василий Пузиков заявил, что он захватил с собой последние результаты оценки качества поступающих
томатов. Согласно этим данным около 20% урожая имеет высшее качество А, а оставшаяся часть от всего урожая в 3 млн кг — качество В.
Горский поинтересовался у Павла Лукина, отвечающего за сбыт, о спросе на продукцию из томатов на следующий год. Лукин заявил, что компания может продать столько томатов в собственном соку, сколько она сможет произвести. В то же время ожидается, что спрос на томатный сок и томатную пасту будет ограничен.
|
Продукт |
Цена за одну упаковку, руб. |
Величина спроса, количество упаковок |
|
Томаты в собственном соку |
40 |
800000 |
|
Джем из персиков |
54 |
10 000 |
|
Персиковый сок |
46 |
5000 |
|
Томатный сок |
45 |
50 000 |
|
Яблйчный полуфабрикат |
49 |
15 000 |
|
Томатная паста |
38 |
80000 |
Начальник отдела сбыта предоставил следующий прогноз спроса на продукцию фирмы:
Лукин напомнил собравшимся, что цены на продукты, производимые компанией, были установлены исходя из долгосрочной рыночной стратегии и что прогноз будущих продаж основан на этих ценах.
Владимир Панкратов, начальник отдела технического контроля, ознакомился с оценками спроса, сделанными Павлом Лукиным, и отметил, что с продуктами из томатов у компании «Синьор Помидор» в следующем году проблем, видимо, не будет. Расчеты показывают, что удельная прибыль от производства томатов в собственном соку выше, чем от производства других продуктов из томатов.
|
|
Томаты в собственном соку |
Джем
из
перси
ков |
Перси
ковый
сок |
Томат
ный
сок |
Яблочный полуфабрикат |
Томат
ная
паста |
|
Цена продажи |
40 |
54 |
46 |
45 |
49 |
38 |
|
Переменные издержки: |
|
|
|
|
|
|
|
прямые трудозатраты |
11,8 |
14,0 |
12,7 |
13,2 |
7,0 |
5,4 |
|
накладные расходы |
2,4 |
3,2 |
2,3 |
3,6 |
2,2 |
2,6 |
|
расходы по реализации |
4,0 |
3,0 |
4,0 |
8,5 |
2,8 |
3,8 |
|
расходы на упаковочный материал |
7,0 |
5,6 |
6,0 |
6,5 |
7,0 |
7,7 |
|
затраты на сырье |
10,8
\ |
18,0 |
17,0 |
12,0 |
9,0 |
15,0 |
|
Итого переменные издержки |
36,0 |
43,8 |
42,0 |
43,8 |
28,0 |
34,5 |
|
Прибыль |
4,0 |
10,2 |
4,0 |
1,2 |
11,0 |
3,5 |
|
Последующие накладные расходы |
2,8 |
7,0 |
5,2 |
2,1 |
7,5 |
2,3 |
|
Чистая прибыль |
1,2 |
3,2 |
-1,2 |
-0,9 |
3,5 |
1,2 |
Ниже приведены полученные Лукиным результаты расчетов удельной прибыли (в руб.) для всех продуктов, производимых компанией:____
Эти расчеты были выполнены сразу после того, как компания подписала контракт на закупку урожая томатов по цене в среднем 0,6 руб. за 1 кг.
Данные о количестве сырья (свежих томатов), необходимого для производства одной упаковки продукции, приведены в следующей таблице:
|
Продукт |
Количество свежих томатов, необходимых для производства одной упаковки, кг |
|
Томаты в собственном соку |
18 |
|
Джем из персиков |
18 |
|
Персиковый сок |
17 |
|
Томатный сок |
20 |
|
Яблочный полуфабрикат |
27 |
|
Томатная паста |
25 |
Василий Пузиков обратил внимание вице-президента на то, что, несмотря на имеющиеся резервы мощностей, нельзя производить только томаты в собственном соку, так как лишь небольшая часть урожая имеет качество А. Компания использует шкалу количественных оценок качества как сырья, так и готовой продукции. Это шкала от 1 до 10, причем наибольший номер соответствует наивысшему качеству. По этой шкале каждый килограмм томатов качества А оценивается в 9 баллов, а томатов качества В — в 5 баллов.
Пузиков напомнил, что минимально допустимый уровень качества готовой продукции — 8 баллов на 1 кг томатов в собственном соку и 6 баллов на 1 кг томатного сока. Томатная паста может производиться целиком из томатов качества В. Это означает, что томатов в собственном соку может быть произведено не более 800 тыс. кг.
Вице-президент заявил, что не считает это реальным ограничением. Недавно компания потерпела неудачу в попытке приобрести 80 тыс. кг томатов качества A по цене 0,85 руб. за 1 кг. Однако, по мнению вице-президента, эти томаты еще можно купить. Лукин, проделавший в это время некоторые расчеты, сказал: «Я согласен с тем, что компанию ожидает благополучие, однако достичь его удастся не за счет продажи консервированных помидоров в собственном соку. Мне представляется, что издержки на закупку должны быть распределены с учетом не только количества, но и качества томатов».
Результаты проведенных им расчетов предельной прибыли одной упаковки продукта (в руб.) приведены ниже:
|
|
Томаты в собственном соку |
Томатный
сок |
Томатная
паста |
|
Цена продажи |
40 |
45 |
38 |
|
Переменные издержки (без учета стоимости сырья) |
' 25,2 |
31,8 |
19,5 |
|
Прибыль |
14,8 |
13,2 |
18,5 |
|
Стоимость сырья (томатов) |
14,9 |
12,4 |
13,0 |
|
Предельная прибыль |
-0,1 |
0,8 |
5,5 |
Из этих результатов следует, что компания должна использовать 2 млн кг томатов качества B для производства томатной пасты. Оставшиеся 400 тыс. кг томатов качества В и все томаты качества А следует использовать для производства томатного сока. Если прогноз спроса на продукцию компании оправдается, то переработка урожая томатов принесет компании 480 тыс. руб.
Пояснения. Пусть z — стоимость закупки 1 кг томатов качества А, у — стоимость закупки 1 кг томатов качества В.
Решая систему двух линейных уравнений
Г 600 000г + 2 400 0(% = 3 000 000 • 0,6,
1 Ф = У/ 5,
получаем: z = 0,932 руб., у = 0,518 руб.
Задания
1. Структурируйте задачу. Постройте модель.
2. Определите наилучшую производственную стратегию компании.
3. Проанализируйте вариант, который предусматривает возможность приобретения фирмой дополнительно 80 тыс. кг томатов качества А.
Ответы и решения
Ответы на вопросы: 1 — 4, 2 — 4, 3 —2, 4—3. 5 — 5.
Задача 1. Решение.
|
|
A1 |
XI |
A3 |
A4 |
|
|
|
Minimize |
180 |
200 |
250 |
100 |
|
|
|
Constraint 1 |
20 |
40 |
60 |
10 |
>= |
5 |
|
Constraint 2 |
30 |
10 |
0 |
20 |
>= |
3 |
|
Constraint 3 |
30 |
10 |
0 |
20 |
<= |
4 |
|
Constraint 4 |
50 |
90 |
40 |
60 |
>= |
8 |
|
Constraint 5 |
50 |
90 |
40 |
60 |
<= |
10 |
Пусть Xj — количество корма j (j = 1, 2, 3, 4) в еженедельном рационе коровы. Используя пакет POMWIN, исходную информацию для решения этой задачи можно представить в виде следующей таблицы: _
Решая эту задачу, получаем следующий результат:
|
|
XI |
XI |
A3 |
A4 |
|
|
|
|
Minimize |
180 |
200 |
250 |
100 |
|
|
|
|
Constraint 1 |
20 |
40 |
60 |
10 |
>= |
5 |
-4,3 |
|
Constraint 2 |
30 |
10 |
0 |
20 |
>= |
3 |
-3,5 |
|
Constraint 3 |
30 |
10 |
0 |
20 |
<= |
4 |
0 |
|
Constraint 4 |
50 |
90 |
40 |
60 |
>= |
8 |
0 |
|
Constraint 5 |
50 |
90. |
40 |
60 |
<= |
10 |
0,2 |
|
Solution |
0,031 |
0 |
0,055 |
0,104 |
|
29,87 |
|
|
Variable |
Value |
Reduced
Cost |
Original
Val |
Lower
Bound |
Upper
Bound |
|
*1 |
3.07E-Q2 |
0 |
180 |
170,8 |
Infinity |
|
A2 |
0 |
11,9 |
200 |
188,1 |
Infinity |
|
A3 |
5.57E-02 |
0 |
250 |
-30 |
268,24 |
|
A4 |
0,103 |
0 |
100 |
—Infinity |
106,11 |
В следующей таблице содержится дополнительная информация о границах устойчивости решения по правым частям ограничении:_
Ответы: 1. 31 кг. 2. 104 кг. 3. 191 кг.
4. 29,87 руб. 5. На 4,3 руб. 6. До 106,11 руб. за 1 т.
Задача 2. Решение.
|
|
A1 |
A2 |
A3 |
A4 |
A5 |
|
|
|
Minimize |
3,4 |
4,3 |
2,4 |
2,2 |
3,7 |
|
|
|
A |
U |
1,2 |
1,8 |
1-1 |
1,3 |
>= |
250 |
|
В |
0,9 |
1,1 |
0,7 |
1 |
1,1 |
>= |
128 |
|
C |
50 |
60 |
40 |
30 |
60 |
>= |
7000 |
|
Железо |
24 |
45 |
18 |
12 |
37 |
>= |
3700 |
|
Кальций |
210 |
340 |
150 |
260 |
300 |
>= |
32 000 |
Пусть xj — количество поливитамина j, которое включено в курс лечения. Исходную информацию для решения этой задачи можно представить в виде следующей таблицы: _
Окончание таблицы
|
|
Х\ |
XI |
Хі |
Х4 |
Х5 |
|
|
|
|
Minimize |
3,4 |
4,3 |
2,4 |
2,2 |
3,7 |
|
|
|
|
А |
и |
1,2 |
1,8 |
1,1 |
1,3 |
>= |
250 |
-0,5 |
|
В |
0,9 |
U |
0,7 |
1 |
U |
>= |
128 |
0 |
|
С |
50 |
60 |
40 |
30 |
60 |
>= |
7000 |
0 |
|
Железо |
24 |
45 |
18 |
12 |
37 |
>= |
3700 |
-0,05 |
|
Кальций |
210 |
340 |
150 |
260 |
300 |
>= |
32 000 |
-0,004 |
|
Solution |
0 |
0 |
97,04 |
9,87 |
49,59 |
|
438,1 |
|
|
В следующей таблице содержится дополнительная информация о границах устойчивости решения по правым частям ограничений: _ _ |
|
|
|
Variable |
Value |
Reduced
Cost |
Original
Val |
Lower
Bound |
Upper
Bound |
|
XI |
0 |
0,8 |
3,4 |
2,6 |
Infinity |
|
XI |
0 |
0,1 |
4,3 |
4,2 |
Infinity |
|
Хі |
97,04 |
0 |
2,4 |
2,0 |
3,5 |
|
Х4 |
9,87 |
0 |
2,2 |
1,6 |
3,2 |
|
Х5 |
49,59 |
0 |
3,7 |
2,6 |
3,8 |
|
|
|
Constraint |
Dual Val |
Slack/Surplus |
Original
Val |
Lower
Bound |
Upper
Bound |
|
A |
-0,5 |
0 |
250 |
233,3 |
369,3 |
|
В |
0 |
4,3 |
128 |
—Infinity |
132,4 |
|
C |
0 |
153,1 |
7000 |
—Infinity |
7153,2 |
|
Железо |
-0,05 |
0 |
3700 |
3558,7 |
3898,3 |
|
Кальций |
-0,004 |
0 |
32 000 |
30 725,8 |
58 780,9 |
|
Ответы: 1. 9,87 г. 2. 156,4 г. 3. 438,1 руб. 4. До 4,2 руб. за 1 г. |
Задача 3. Решение.
Пусть Xj — количество удобрений вида j, которое производит завод в текущем месяце. Зная затраты на производство ингредиентов и цену готового удобрения, определяем прибыль на 1 т удобрения 1:
400 - (0,05-360 + 0,1-240 + 0,05-200 + 0,8-100) = 268 руб.
Другие виды удобрении приносят прибыль соответственно 363, 250 и 312 руб. за тонну.
Исходную информацию для решения этой задачи можно представить в виде следующей таблицы:
|
|
XI |
XI |
Xi |
X4 |
|
|
|
Maximize |
268 |
363 |
250 |
312 |
|
|
|
Constraint 1 |
0,05 |
0,05 |
0,1 |
0,1 |
<= |
10 |
|
Constraint 2 |
0,1 |
0,1 |
0,1 |
0,05 |
<= |
15 |
|
Constraint 3 |
0,05 |
0,1 |
0,1 |
0,05 |
<= |
12 |
|
Constraint 4 |
0 |
0 |
1 |
0 |
>= |
10 |
|
|
XI |
XI |
Xi |
X4 |
|
|
|
|
Maximize |
268 |
363 |
250 |
312 |
|
|
|
|
Constraint 1 |
0,05 |
0,05 |
0,1 |
0,1 |
<= |
10 |
1746,7 |
|
Constraint 2 |
0,1 |
0,1 |
0,1 |
0,05 |
<= |
15 |
860 |
|
Constraint 3 |
0,05 |
0,1 |
0,1 |
0,05 |
<= |
12 |
1900 |
|
Constraint 4 |
0 |
0 |
1 |
0 |
>= |
10 |
-200 |
|
Solution |
60 |
66,7 |
10 |
26,7 |
|
51 100 |
|
В следующей таблице содержится дополнительная информация о границах устойчивости решения по правым частям ограничений: _
|
Variable |
Value |
Reduced
Cost |
Original
Val |
Lower
Bound |
Upper
Bound |
|
XI |
60 |
0 |
268 |
225 |
363 |
|
X2 |
66,7 |
0 |
363 |
268 |
492 |
|
X3 |
10 |
0 |
250 |
—Infinity |
450 |
|
X4 |
26,7 |
0 |
312 |
181,5 |
441 |
|
Constraint |
Dual Val |
Slack/Surplus |
Original
Val |
Lower
Bound |
Upper
Bound |
|
Constraint 1 |
1746,7 |
0 |
10 |
8 |
20 |
|
Constraint 2 |
860 |
0 |
15 |
12 |
19 |
|
Constraint 3 |
1900 |
0 |
12 |
8,7 |
15 |
|
Constraint 4 |
-200 |
0 |
10 |
0 |
50 |
Ответы: 1.60т. 2. 163,4т. 3. 51 100 руб. 4. Увеличилась бы на 2000 руб.
Задача 4. Решение.
Пусть Xkj — количество орехов вида j (j = 1,2, 3), которое используется для приготовления продукта к (к = 1, 2).
Прибыль может быть определена как разность между доходом и издержками:
70 (хп + Х12 + Х1з) + 65 (Х21 + Х22 + Х2э) - 75 (хп + Х21) - 60 (Х12 + Х22) - 45 (хв + Х23).
Исходную информацию для решения этой задачи можно представить в виде следующей таблицы:

Решая эту задачу, получаем следующий результат:
|
|
XI1 |
X12 |
X13 |
X21 |
X22 |
X23 |
|
|
|
|
Maximize |
-5 |
10 |
25 |
-10 |
5 |
20 |
|
|
|
|
Constraint 1 |
1 |
0 |
0 |
1 |
0 |
0 |
<= |
33 |
0 |
|
Constraint 2 |
0 |
1 |
0 |
0 |
1 |
0 |
<= |
80 |
1,7 |
|
Constraint 3 |
0 |
0 |
1 |
0 |
0 |
1 |
<= |
60 |
26,3 |
|
Constraint 4 |
-0,88 |
0,12 |
0,12 |
0 |
0 |
0 |
<= |
0 |
3,7 |
|
Constraint 5 |
-0,18 |
0,82 |
—0,18 |
0 |
0 |
0 |
<= |
0 |
9,6 |
|
Constraint 6 |
0 |
0 |
0 |
-0,75 |
0,25 |
0,25 |
<= |
0 |
13,3 |
|
Solution |
10,3 |
15,4 |
60 |
21,5 |
64,6 |
0 |
|
1710,5 |
|
Ответы: 1. 15,4 кг. 2. 86,1 кг. 3. 171,8 кг. 4. 1710,5 руб. 5. Прибыль не увеличится.
Задача 5. Решение.
Пусть Xkj —количество j-го ингредиента (j = 1, 2, 3), входящего в k-ю смесь (k = 1, 2, 3). Например, х32 — количество розового вина, ежедневно используемого для приготовления вина «Белые ночи». Тогда модель оптимального смешения имеет следующий вид.
Критерий максимизации прибыли:
(68 - 70)х„ + (68 - 50)дс,2 + (68 - 40)х13 + (57 - 70)х21 + (57 - 50)х22 +
+ (57 - 40)х23 + (60 - 70)х31 + (60 - 50)х32 + (60 - 40)х33 -> max.
Ограничения на поставки интелиентов-
х,, +-*2і + *зі ^ 2000,
^12 *22 *32 " 2500,
*13 + *23 + *33 ^ 1200.
Ограничения на содержание ингредиентов в смеси:
*п ~ 0,6(Х| j г х12 + х13),
*із - ®>2(хц + Xj2 + х(3),
*23 ? 0,6(3^! + х22 + Хц),
*2і — 0,15(х21 + х22 + зс^), х-.-. + х„ й 0.9(х,. + х,, + х,,Т
Последняя группа ограничений может быть преобразована следующим образом:
—0,4хп + 0,6х12 + 0,6х13 < 0,
—0,2х„ - 0,2х12 + 0,8х13 ? 0,
—0,6х21 — 0,6х22 + 0,4х23 < 0,
-0,85x2, + 0,15x22 + 0,15x23 < 0,
—0,9х31 + 0,1х32 + 0,1х33 S 0.
Кроме того, следует учесть ограничения на неотрицательность переменных.
Используя пакет POMWIN, исходную информацию для решения этой задачи можно представить в виде следующей таблицы:
|
|
*11 |
X\2 |
*13 |
Л21 |
xn |
Я23 |
Л31 |
Л32 |
ЛЗЗ |
|
|
Maxi
mize |
-2 |
18 |
28 |
-13 |
7 |
17 |
-10 |
10 |
20 |
|
|
|
Ctrl |
1 |
0 |
0 |
1 |
0 |
0 |
1 |
0 |
0 |
<= |
2000 |
|
Ctr 2 |
0 |
1 |
0 |
0 |
1 |
0 |
0 |
1 |
0 |
<= |
2500 |
|
Ctr 3 |
0 |
0 |
1 |
0 |
0 |
1 |
0 |
0 |
1 |
<= |
1200 |
|
Ctr 4 |
-0,4 |
0,6 |
0,6 |
0 |
0 |
0 |
0 |
0 |
0 |
<= |
0 |
|
Ctr 5 |
-0,2 |
-0,2 |
0,8 |
0 |
0 |
0 |
0 |
0 |
0 |
<= |
0 |
|
Ctr 6 |
0 |
0 |
0 |
-0,6 |
-0,6 |
0,4 |
0 |
0 |
0 |
<= |
0 |
|
Ctr 7 |
0 |
0 |
0 |
-0,85 |
0,15 |
0,15 |
0 |
0 |
0 |
<= |
0 |
|
Ctr 8 |
0 |
0 |
0 |
0 |
0 |
0 |
-0,9 |
0,1 |
0,1 |
<= |
0 |
Решая эту задачу, получаем следующий результат:
|
|
XU |
xn |
*13 |
*21 |
*22 |
Л23 |
*31 |
*32 |
*33 |
|
|
|
|
Maximize |
-2 |
18 |
28 |
-13 |
7 |
17 |
-10 |
10 |
20 |
|
|
|
|
Ctr 1 |
1 |
0 |
0 |
1 |
0 |
0 |
1 |
0 |
0 |
<= |
2000 |
4,4 |
|
Ctr 2 |
0 |
1 |
0 |
0 |
1 |
0 |
0 |
1 |
0 |
<= |
2500 |
8,4 |
|
Ctr 3 |
0 |
0 |
1 |
0 |
0 |
1 |
0 |
0 |
1 |
<= |
1200 |
18,4 |
|
Ctr 4 |
-0,4 |
0,6 |
0,6 |
0 |
0 |
0 |
0 |
0 |
0 |
<= |
0 |
16 |
|
Ctr 5 |
-0,2 |
-0,2 |
0,8 |
0 |
0 |
0 |
0 |
0 |
0 |
<= |
0 |
0 |
|
Ctr 6 |
0 |
0 |
0 |
-0,6 |
-0,6 |
0,4 |
0 |
0 |
0 |
<= |
0 |
0 |
|
Ctr 7 |
0 |
0 |
0 |
-0,85 |
0,15 |
0,15 |
0 |
0 |
0 |
<= |
0 |
0 |
|
Ctr 8 |
0 |
0 |
0 |
0 |
0 |
0 |
-0,9 |
0,1 |
0,1 |
<= |
0 |
16 |
|
Solution |
1716 |
1144 |
0 |
0 |
0 |
0 |
284 |
1356 |
1200 |
|
51880 |
|
В следующей таблице содержится дополнительная информация о границах устойчивости решения по правым частям ограничений:
|
Constraint |
Dual Val |
Slack/Surplus |
Original
Val |
Lower
Bound |
Upper
Bound |
|
Constraint 1 |
4,4 |
0 |
2000 |
411,1 |
3883,3 |
|
Constraint 2 |
M |
0 |
2500 |
1244,4 |
16 800 |
|
Constraint 3 |
18,4 |
0 |
1200 |
0 |
15 500 |
|
Constraint 4 |
16 |
0 |
0 |
-635,6 |
753,3 |
|
Constraint 5 |
0 |
572 ' |
0 |
-572 |
Infinity |
|
Constraint 6 |
0 |
0 |
0 |
0 |
Infinity |
|
Constraint 7 |
0 |
0 |
0 |
0 |
Infinity |
|
Constraint 8 |
16 |
0 |
0 |
-1430 |
236,7 |
Таким образом, максимальная ежедневная прибыль винзавода достигает 51 880 руб. При этом производится 1716 + 1144 = 2860 л вина «Черный лекарь» и 284 + 1356 + 1200 = 2840 л «Белые ночи». Вино «Букет роз» производить не следует. Поставляемые ингредиенты используются полностью.
Содержание белого вина в вине «Черный лекарь» составляет 1716/2860 = 0,6 (60%). Содержание розового вина в вине «Белые ночи» составляет 1356/2840 = 0,477 (47,7%).
Если поставки красного вина удастся увеличить до 1300 л в день, то с учетом значения двойственной оценки 18,4 ограничения на объем поставок красного вина определяем, что прибыль увеличится на 18,4 • 100 = 1840 руб. Заметим, что объем поставок остается в границах устойчивости решения.
Если поставки белого вина сократятся до 1800 л в день, то с учетом значения двойственной оценки 4,4 ограничения на объем поставок белого вина определяем, что прибыль уменьшится на 4,4 • 200 = 880 руб. Заметим, что объем поставок белого вина остается в границах устойчивости решения.
Ответы: 1. 51 880 руб. 2. 2860 л. 3. 60%. 4. Вино «Букет роз» производить не следует.
5. 2840 л. 6. 47,7%. 7. На 1840 руб. 8. На 880 руб.
Глава 3. Оптимальный раскрой Цели
В данной главе показаны возможности использования модели линейного программирования для решения задач раскроя. Эта область приложения модели линейного программирования хорошо изучена. Благодаря работам в области оптимального раскроя основоположника теории линейного программирования лауреата Нобелевской премии академика Л.В. Канторовича задачу оптимального раскроя можно назвать классической прикладной оптимизационной задачей.
После того как вы выполните задания, предлагаемые в этой главе, вы будете уметь формулировать и использовать для экономического анализа следующие понятия:
• материал;
• заготовка;
• отходы;
• способ раскроя (рациональный и оптимальный);
• интенсивность использования рациональных способов раскроя.
Модели
Большинство материалов, используемых в промышленности, поступает на производство в виде стандартных форм. Непосредственное использование таких материалов, как правило, невозможно. Предварительно их разделяют на заготовки необходимых размеров. Это можно сделать, используя различные способы раскроя материала. Задача оптимального раскроя состоит в том, чтобы выбрать один или несколько способов раскроя материала и определить, какое количество материала следует раскраивать, применяя каждый из выбранных способов. Задачи такого типа возникают в металлургии и машиностроении, лесной, лесообрабатывающей, легкой промышленности.
Выделяют два этапа решения задачи оптимального раскроя. На первом этапе определяются рациональные способы раскроя материала, на втором — решается задача линейного программирования для определения интенсивности использования рациональных способов раскроя.
1. Определение рациональных способов раскроя материала.
В задачах оптимального раскроя рассматриваются так называемые рациональные (оптимальные по Парето) способы раскроя. Предположим, что из единицы материала можно изготовить заготовки нескольких видов. Способ раскроя единицы материала называется рациональным (оптимальным по
Парето), если увеличение числа заготовок одного вида возможно только за счет сокращения числа заготовок другого вида.
Пусть k — индекс вида заготовки, k = 1,.... q; i — индекс способа раскроя единицы материала, i = 1,...,р; aik — количество (целое число) заготовок вида k, полученных при раскрое единицы материала <-м способом.
Приведенное определение рационального способа раскроя может быть формализовано следующим образом.
Способ раскроя v называется рациональным (оптимальным по Парето), если для любого другого способа раскроя i из соотношений аk > avk, k = 1, ..., q, следуют соотношения аk = а?к, k = 1, ..., q.
2. Определение интенсивности использования рациональных способов раскроя.
Обозначения:
j —индекс материала, j = 1,..., п;
k —индекс вида заготовки, k = 1, ..., q;
i — индекс способа раскроя единицы материала, i = 1,..., р;
аф — количество (целое число) заготовок вида k, полученных при раскрое единицы j-го материала i-м способом;
bk — число заготовок вида k в комплекте, поставляемом заказчику;
dj — количество материала j-го вида;
Xji — количество единицу j-го материала, раскраиваемых по i-му способу (интенсивность использования способа раскроя);
Cji — величина отхода, полученного при раскрое единицы j-го материала по i-му способу;
у — число комплектов заготовок различного вида, поставляемых заказчику.
Модель А раскроя с минимальным расходом материалов:
/-»min> 0)
Л 'ыі аМ xji - > к= ..., q, (2)
хл >0, j= 1,.... и; /=1,p. (3)
Здесь (1) — целевая функция (минимум количества используемых материалов);
(2) — система ограничений, определяющих количество заготовок, необходимое для выполнения заказа;
(3) — условия неотрицательности переменных.
Специфическими для данной области приложения модели линейного программирования являются ограничения (2).
Модель В раскроя с минимальными отходами:
Здесь (4) — целевая функция (минимум отходов при раскрое материалов);
(5) — система ограничений, определяющих количество заготовок, необходимое для выполнения
заказа;
(6) — условия неотрицательности переменных.
р
Здесь (7) — целевая функция (максимум комплектов, включающих заготовки различных видов);
(8) — ограничения по количеству материалов;
(9) — система ограничений, определяющих количество заготовок, необходимое для формирования комплектов;
(10) — условия неотрицательности переменных.
Специфическими для данной области приложения модели линейного программирования являются ограничения (9).
Примеры
Пример 1. Способы раскроя металлического стержня.
Определите все рациональные способы раскроя металлического стержня длиной 100 см на заготовки трех типов: длиной 20, 30 и 50 см. Укажите величину отходов для каждого способа.
Способ
раскроя |
Количество заготовок длиной |
Величина отходов, см |
|
50 см |
30 см |
20 см |
|
1 |
2 |
0 |
0 |
0 |
|
2 |
1 |
1 |
1 |
0 |
|
3 |
1 |
0 |
2 |
10 |
|
4 |
0 |
3 |
0 |
10 |
|
5 |
0 |
2 |
2 |
0 |
|
6 |
0 |
1 |
3 |
10 |
|
7 |
0 |
0 |
5 |
0 |
Решение. Для данного материала и указанных заготовок существует семь различных рациональных способов раскроя. Все они приведены в следующей таблице:_
Пример 2. Способы раскроя куска кожи.
Способ
раскроя |
Количество заготовок со стороной |
Величина отходов, см |
|
50 см |
40 см |
20 см |
|
1 |
2 |
0 |
0 |
1000 |
|
2 |
1 |
1 |
2 |
1100 |
|
3 |
1 |
0 |
6 |
1100 |
|
4 |
0 |
2 |
7 |
0 |
|
5 |
0 |
1 |
11 |
0 |
|
6 |
0 |
0 |
15 |
0 |
Определите все рациональные способы раскроя прямоугольного куска кожи размером 100 х 60 см на квадратные заготовки со сторонами 50,40 и 20 см и укажите величину отходов для каждого способа. Решение. Для данного материала и указанных заготовок существует шесть различных рациональных способов раскроя: _
Пример 3. Изготовление парников из металлических стержней.
При изготовлении парников используется материал в виде металлических стержней длиной 220 см. Этот материал разрезается на стержни длиной 120, 100 и 70 см. Для выполнения заказа требуется изготовить 80 стержней длиной 120 см, 120 стержней длиной 100 см и 102 стержня длиной 70 см.
Вопросы:
1. Сколько существует рациональных способов раскроя?
2. Какое минимальное количество материала следует разрезать, чтобы выполнить заказ?
3. Сколько способов раскроя следует использовать при выполнении заказа?
Решение. Определяем все рациональные способы раскроя материала на заготовки. Таких способов оказывается пять:
|
|
Способ
раскроя |
Количество заготовок длиной |
Величина отходов, см |
|
120 см |
100 см |
70 см |
|
1 |
1 |
1 |
0 |
0 |
|
2 |
1 |
0 |
1 |
30 |
|
3 |
0 |
2 |
0 |
20 |
|
4 |
0 |
1 |
1 |
50 |
|
5 |
0 |
, о |
3 |
10 |
|
Используем модель А для одного вида материала. Тогда хі — количество единиц материала, раскраиваемых по i-му способу. |
|
Для ответа на второй и третий вопросы задачи получаем следующую модель линейного программирования с критерием «минимум общего количества используемого материала»: |
|
|
|
|
XI |
XI |
Хі |
ХА |
*5 |
|
|
|
Minimize |
1 |
1 |
1 |
1 |
1 |
|
|
|
Заготовка 120 см |
1 |
1 |
0 |
0 |
0 |
>= |
80 |
|
Заготовка 100 см |
1 |
0 |
2 |
1 |
0 |
>= |
120 |
|
Заготовка 70 см |
0 |
1 |
0 |
1 |
3 |
>= |
102 |
Решая задачу, получаем следующий результат:
|
|
XI |
Х2 |
Хі |
ХА |
Х5 |
|
|
|
|
Minimize |
1 |
1 |
1 |
1 |
1 |
|
|
|
|
Заготовка 120 см |
1 |
1 |
0 |
0 |
0 |
>= |
80 |
-0,5 |
|
Заготовка 100 см |
1 |
0 |
2 |
1 |
0 |
>= |
120 |
-0,5 |
|
Заготовка 70 см |
0 |
1 |
0 |
1 |
3 |
>= |
102 |
!
о
OJ
UJ |
|
Solution |
80 |
0 |
20 |
0 |
34 |
|
134 |
|
Ответы: 1. Пять способов. 2. 134 единицы материала. 3. Три из пяти рациональных способов раскроя.
Вопросы
Вопрос 1. Способ раскроя называется рациональным, если:
1) он является безотходным;
2) он обеспечивает минимум отходов;
3) отходы меньше любой из заготовок;
4) он позволяет получить наибольшее число заготовок;
5) нет другого способа, дающего не меньше заготовок каждого типа.
Вопрос 2. Рассматривается задача оптимального раскроя деревянных брусьев на заготовки для строительства дома. Длина брусьев измеряется в сантиметрах. В соответствующей модели линейного программирования неизвестными являются интенсивности рациональных способов раскроя материала, значения которых измеряется в штуках. В качестве критерия рассматривается минимум отходов. В каких единицах измеряется коэффициент целевой функции?
Варианты ответов:
1) шт.; 2) см; 3) шт./см; 4) см/шт.;
5) безразмерная величина.
Вопрос 3. Рассматривается задача оптимального раскроя кожи для пошива перчаток. В соответствующей модели линейного программирования учитывается ограничение на количество материала. Правая часть ограничения измеряется в штуках кожи. Максимизируется количество пар пошитых перчаток. В каких единицах измеряется двойственная оценка ресурсного ограничения?
Варианты ответов:
1) шт.; 2) пара; 3) пара/шт.; 4) шт./пара; 5) безразмерная величина.
Вопрос 4. Сколько существует рациональных способов раскроя металлического стержня длиной 100 см на стержни длиной 50, 20 и 10 см?
Варианты ответов:
1) более десяти; 2) десять; 3) девять;
4) восемь; 5) менее восьми.
Вопрос 5. Какое из следующих утверждений является верным?
Варианты ответов:
1) безотходный способ раскроя является рациональным;
2) безотходный способ раскроя может быть рациональным;
3) безотходный способ раскроя не является рациональным;
4) рациональный способ раскроя является безотходным;
5) рациональный способ раскроя не является безотходным.
Задачи
Задача 1. Из прямоугольного листа железа размером 100 х 60 см необходимо изготовить квадратные заготовки со сторонами 50,40 и 20 см. Эти заготовки нужны в качестве перегородок при изготовлении
пластмассовых коробок для хранения инструментов. Чтобы сделать одну коробку, нужно иметь четыре заготовки со стороной 50 см, шесть заготовок со стороной 40 см и двенадцать — со стороной 20 см. На складе находится 100 листов материала.
Вопросы:
1. Сколько существует рациональных способов раскроя?
2. Какое максимальное количество коробок можно изготовить при условии, что оставшиеся заготовки можно использовать для следующей партии коробок?
3. Сколько рациональных способов раскроя следует использовать?
4. Сколько листов материала нужно, чтобы изготовить одну коробку?
|
Заготовка |
Материал А |
Материал В |
|
Способ 1 |
Способ 2 |
Способ 3 |
Способ 4 |
Способ 5 |
|
1 |
0 |
2 |
9 |
1 |
5 |
|
2 |
4 |
3 |
2 |
5 |
4 |
|
3 |
10 |
6 |
0 |
8 |
0 |
Задача 2. Существует три рациональных способа раскроя единицы материала А на заготовки трех типов. Эти же заготовки могут быть получены двумя рациональными способами при раскрое единицы материала В. Количество заготовок, получаемых каждым из этих способов, показано в следующей таблице: _
Заготовки используются для производства бытовой техники. В комплект поставки входят четыре заготовки первого типа, три заготовки второго типа и семь — третьего типа. На складе имеется 100 единиц материала А и 300 единиц материала В.
Вопросы:
1. Сколько рациональных способов раскроя следует использовать?
2. Какое максимальное число комплектов заготовок можно изготовить из имеющегося материала в предположении, что оставшиеся заготовки можно использовать при выполнении следующего заказа?
3. Сколько единиц материала А следует раскраивать третьим способом?
4. Какое максимальное число комплектов заготовок можно изготовить из имеющегося материала, если число заготовок второго типа в комплекте увеличится до семи?
|
Деталь |
Ткань 1 |
Ткань 2 |
|
Способ 1 |
Способ 2 |
Способ 3 |
Способ 4 |
Способ 5 |
Способ 6 |
|
1 |
8 |
0 |
4 |
12 |
0 |
6 |
|
2 |
0 |
3 |
1 |
0 |
5 |
2 |
Задача 3. При раскрое деталей для производства единственного изделия на швейной фабрике используются два артикула ткани. Ширина ткани 1 м. Изделие собирается из двух деталей, причем каждая из них может быть получена путем раскроя ткани любого типа. Ткани можно раскраивать тремя способами, количество деталей каждого вида, полученных из одного погонного метра ткани, указано в следующей таблице:_
Ткани 1 поступает на фабрику в 2 раза больше (по длине), чем ткани 2. Количество готовых изделий должно быть максимальным.
Вопросы:
1. Сколько способов раскроя ткани 1 следует использовать?
2. Какая часть (в %) ткани 1 должна быть раскроена способом 1?
3. На сколько (в %) изменится выход готовых изделий по сравнению с первоначальным, если на фабрику будет поступать равное количество обеих тканей?
Задача 4. На производство поступила партия стержней длиной 250 и 190 см. Необходимо получить 470 заготовок длиной 120 см и 450 заготовок длиной 80 см. Отходы должны быть минимальны.
Вопросы:
1. Какое количество стержней длиной 250 см надо разрезать?
2. Какое количество стержней длиной 190 см надо разрезать?
3. Какова величина отходов (в см)?
4. Оказалось, что количество стержней длиной 250 см ограничено и равно 200 шт. Какое количество стержней длиной 190 см надо разрезать в этом случае?
5. На сколько при этом увеличатся отходы (в см)?
Задача 5. Завод заключил договор на поставку комплектов стержней длиной 18, 23 и 32 см. Причем количество стержней разной длины в комплекте должно быть в соотношении 1:5:3. На сегодняшний день имеется 80 стержней длиной по 89 см. Как их следует разрезать, чтобы количество комплектов было максимальным?
Вопросы:
1. Сколько существует рациональных способов раскроя?
2. Сколько комплектов стержней будет выпущено?
3. Какова при этом величина отходов (в см)?
Ответы и решения
Ответы на вопросы: 1—5, 2 — 4, 3—3, 4—2, 5 — 1.
Задача 1. Решение.
Определим все рациональные способы раскроя прямоугольного листа железа размером 100 х 60 см на квадратные заготовки со сторонами 50, 40 и 20 см.
|
Способ раскроя |
Количество заготовок со стороной |
|
50 см |
40 см |
20 см |
|
1 |
2 |
0 |
0 |
|
2 |
1 |
I |
2 |
|
3 |
1 |
0 |
6 |
|
4 |
0 |
2 |
7 |
|
5 |
0 |
1 |
11 |
|
6 |
0 |
0 |
15 |
Получаем шесть рациональных способов раскроя:_
|
|
XI |
XI |
Хі |
Х4 |
Х5 |
Х6 |
Х7 |
|
|
|
Maximize |
0 |
0 |
0 |
0 |
0 |
0 |
1 |
|
|
|
Заготовка 50 см |
2 |
1 |
1 |
0 |
0 |
0 |
-4 |
>= |
0 |
|
Заготовка 40 см |
0 |
1 |
0 |
2 |
1 |
0 |
-6 |
>= |
0 |
|
Заготовка 20 см |
0 |
2 |
6 |
7 |
11 |
15 |
-12 |
>= |
0 |
|
Материал |
1 |
1 |
1 |
1 |
1 |
1 |
0 |
<= |
100 |
Пусть х1, ..., х6 — количество единиц материала, раскроенных соответствующим способом, х7 — количество изготовленных коробок. Тогда ответ на второй вопрос можно получить, используя следующую мод ел ь._
Проводя расчеты, получаем следующий результат:
|
|
XI |
XI |
АЗ |
А4 |
А5 |
Л6 |
XI |
|
|
|
|
Maximize |
0 |
0 |
0 |
0 |
0 |
0 |
1 |
|
|
|
|
Заготовка 50 см |
2 |
1 |
1 |
0 |
0 |
0 |
-4 |
>= |
0 |
-0,1 |
|
Заготовка 40 см |
0 |
1 |
0 |
2 |
1 |
0 |
-6 |
>= |
0 |
-0,1 |
|
Заготовка 20 см |
0 |
2 |
6 |
7 |
11 |
15 |
-12 |
>= |
0 |
0 |
|
Материал |
1 |
1 |
1 |
1 |
1 |
1 |
0 |
<= |
100 |
0,2 |
|
Solution |
0 |
80 |
0 |
20 |
0 |
0 |
20 |
|
20 |
|
Отсюда следует, что из 100 листов железа можно изготовить 20 ящиков. При этом следует использовать два способа раскроя.
Значение двойственной оценки показывает, что при увеличении количества материала на один лист можно дополнительно изготовить 0,2 коробки.
В следующей таблице приведены границы устойчивости:
|
Constraint |
Dual ?аІ |
Slack/Surplus |
Original Val |
Lower
Bound |
Upper
Bound |
|
Заготовка 50 см |
-0,1 |
0 |
0 |
-133,33 |
33,33 |
|
Заготовка 40 см |
-0,1 |
0 |
0 |
-18,75 |
200 |
|
Заготовка 20 см |
0 |
60 |
0 |
—Infinity |
60 |
|
Материал |
0,2 |
0 |
100 |
0 |
Infinity |
Учитывая границы устойчивости по ограничению «материал», можно сделать вывод, что для изготовления одной коробки требуется пять листов железа.
Ответы: I. Шесть способов. 2. 20 коробок. 3. Два способа. 4. Пять листов.
Задача 2. Решение.
Заметим, что всего существует пять рациональных способов раскроя.
|
|
XI |
Х2 |
АЗ |
Х4 |
Х5 |
Л6 |
|
|
|
Maximize |
0 |
0 |
0 |
0 |
0 |
1 |
|
|
|
Заготовка 1 |
0 |
2 |
9 |
1 |
5 |
-4 |
>= |
0 |
|
Заготовка 2 |
4 |
3 |
2 |
5 |
4 |
-3 |
>= |
0 |
|
Заготовка 3 |
10 |
6 |
0 |
8 |
0 |
-7 |
>= |
0 |
|
Материал А |
1 |
1 |
1 |
0 |
0 |
0 |
<= |
100 |
|
Материал В |
0 |
0 |
0 |
1 |
1 |
0 |
<= |
зоо |
Пусть х1, ..., х5 — количество единиц материала, раскроенных соответствующим способом, х6 — количество комплектов. Тогда используем следующую модель:_
Решая эту задачу, получаем следующий результат:
|
|
Х\ |
XI |
АЗ |
Х4 |
Х5 |
Х6 |
|
|
|
|
Maximize |
0 |
0 |
0 |
0 |
0 |
1 |
|
|
|
|
Заготовка 1 |
0 |
2 |
9 |
1 |
5 |
-4 |
>= |
0 |
-0,13 |
|
Заготовка 2 |
4 |
3 |
2 |
5 |
4 |
-3 |
>= |
0 |
0 |
|
Заготовка 3 |
10 |
6 |
0 |
8 |
0 |
-7 |
>= |
0 |
-0,066 |
|
Материал А |
1 |
1 |
1 |
0 |
0 |
0 |
<= |
100 |
1,2 |
|
Материал В |
0 |
0 |
0 |
1 |
1 |
0 |
<= |
зоо |
0,66 |
|
Solution |
0 |
0 |
100 |
280 |
20 |
320 |
|
320 |
|
|
|
XI |
Х2 |
хз |
Х4 |
Х5 |
Х6 |
|
|
|
|
Maximize |
0 |
0 |
0 |
0 |
0 |
1 |
|
|
|
|
Заготовка 1 |
0 |
2 |
9 |
1 |
5 |
-4 |
>= |
0 |
-0,028 |
|
Заготовка 2 |
4 |
3 |
2 |
5 |
4 |
-7 |
>= |
0 |
-0,13 |
|
Заготовка 3 |
10 |
6 |
0 |
8 |
0 |
-7 |
>= |
0 |
0 |
|
Материал А |
1 |
1 |
. 1 |
0 |
0 |
0 |
<= |
100 |
0,51 |
|
Материал В |
0 |
0 |
0 |
1 |
1 |
0 |
<= |
зоо |
0,66 |
|
Solution |
22,5 |
0 |
77,5 |
300 |
0 |
249,3 |
|
249,3 |
|
Используется три рациональных способа раскроя из пяти. Из имеющегося материала можно изготовить 320 комплектов заготовок. Третьим способом следует раскраивать все 100 единиц материала А. Для ответа на последний вопрос задачи увеличим количество заготовок в комплекте с 3 до 7. Получим следующий результат:_
Ответы: 1. Три способа. 2. 320 комплектов. 3. 100 единиц. 4. 249 комплектов.
Задача 3. Решение.
Предположим, что на фабрику поступает 100 м ткани 2. Тогда ткани 1 поступает 200 м. Модель оптимального раскроя будет иметь следующий вид:
|
|
XI |
XI |
АЗ |
А4 |
А5 |
Х6 |
Л7 |
|
|
|
Maximize |
0 |
0 |
0 |
0 |
0 |
0 |
1 |
|
|
|
Деталь 1 |
8 |
0 |
4 |
12 |
0 |
6 |
-1 |
>= |
0 |
|
Деталь 2 |
0 |
3 |
1 |
0 |
5 |
2 |
-1 |
>= |
0 |
|
Ткань 1 |
1 |
1 |
1 |
0 |
0 |
0 |
0 |
<= |
' 200 |
|
Ткань 2 |
0 |
0 |
0 |
1 |
1 |
1 |
0 |
<= |
100 |
Проводя расчеты, получаем следующий результат:

Предположим, что оба вила ткани поступают в равных количествах. Тогда при условии, что общее
|
|
XI |
А2 |
АЗ |
А4 |
А5 |
Х6 |
XI |
|
|
|
Maximize |
0 |
0 |
0 |
0 |
0 |
0 |
1 |
|
|
|
Деталь 1 |
8 |
0 |
4 |
12 |
0 |
6 |
-1 |
>= |
0 |
|
Деталь 2 |
0 |
3 |
1 |
0 |
5 |
2 |
-1 |
>= |
0 |
|
Ткань 1 |
1 |
1 |
1 |
0 |
0 |
0 |
0 |
<= |
150 |
|
Ткань 2 |
0 |
0 |
0 |
1 |
1 |
1 |
0 |
<= |
150 |
|
|
А1 |
А2 |
АЗ |
А4 |
А5 |
А6 |
XI |
|
|
|
|
Maximize |
0 |
0 |
0 |
0 |
0 |
0 |
1 |
|
|
|
|
Деталь 1 |
8 |
0 |
4 |
12 |
0 |
6 |
-1 |
>= |
0 |
-0,27 |
|
Деталь 2 |
0 |
3 |
1 |
0 |
5 |
2 |
-1 |
>= |
0 |
-0,72 |
|
Ткань 1 |
1 |
1 |
1 |
0 |
0 |
0 |
0 |
<= |
150 |
2,18 |
|
Ткань 2 |
0 |
0 |
0 |
1 |
1 |
1 |
0 |
<= |
150 |
3,63 |
|
Solution |
109,1 |
40,9 |
0 |
0 |
150 |
0 |
872,7 |
|
872,7 |
|
Проводя расчеты, получаем следующий результат:
Ответы: 1. Два способа. 2.50%. 3. На 9%.
Задача 4. Решение.
Определяем рациональные способы раскроя материала каждого вида на заготовки. Получаем пять
|
Заготовка . |
Стержень 250 см |
Стержень 190 см |
|
Способ 1 |
Способ 2 |
Способ 3 |
Способ 4 |
Способ 5 |
|
120 см |
2 |
1 |
0 |
1 |
0 |
|
80 см |
0 |
1 |
3 |
0 |
2 |
|
Отходы |
10 |
50 |
10 |
70 |
30 |
Задача минимизации отходов при условии выполнения задания по изготовлению заготовок описывается
|
|
А1 |
А2 |
АЗ |
А4 |
А5 |
|
|
|
Minimize |
10 |
50 |
10 |
70 |
30 |
|
|
|
Заготовка 120 см |
2 |
1 |
0 |
1 |
0 |
= |
470 |
|
Заготовка 80 см |
0 |
1 |
3 |
0 |
2 |
= |
450 |
Проводя расчеты, получаем следующий результат:
|
|
Х\ |
XI |
АЗ |
ХА |
А'5 |
|
|
|
|
Minimize |
10 |
50 |
10 |
70 |
30 |
|
|
|
|
Заготовка 120 см |
2 |
1 |
0 |
1 |
0 |
= |
470 |
-5 |
|
Заготовка 80 см |
0 |
1 |
3 |
0 |
2 |
= |
450 |
-3,33 |
|
Solution |
235 |
0 |
150 |
0 |
0 |
|
3850 |
|
При условии, что количество материала длиной 250 см ограничено, получаем модифицированную модель:
|
|
XI |
XI |
АЗ |
А4 |
А5 |
|
|
|
Minimize |
10 |
50 |
10 |
70 |
30 |
|
|
|
Заготовка 120 см |
2 |
1 |
0 |
1 |
0 |
= |
470 |
|
Заготовка 80 см |
0 |
1 |
3' |
0 |
2 |
= |
450 |
|
Стержень 250 см |
1 |
1 |
1 |
0 |
0 |
<= |
200 |
Проводя расчеты, получаем следующий результат:
|
|
XI |
XI |
АЗ |
А'4 |
А5 |
|
|
|
|
Minimize |
10 |
50 |
10 |
70 |
30 |
|
|
|
|
Заготовка 120 см |
2 |
1 |
0 |
1 |
0 |
= |
470 |
-70 |
|
Заготовка 80 см |
0 |
1 |
3 |
0 |
2 |
= |
450 |
-15 |
|
Стержень 250 см |
1 |
1 |
1 |
0 |
0 |
<= |
200 |
130 |
|
Solution |
200 |
0 |
0 |
70 |
225 |
|
13 650 |
|
Ответы: 1. 385 стержней. 2. 0. 3. 3850см. 4. 295 стержней. 5. На 9800 см.
Задача 5. Решение.
Способ
Хцыскроя
СтсржспьХ. |
1 |
2 |
3 |
4 |
5 |
6 |
7 |
8 |
9 |
|
32 см |
2 |
2 |
1 |
1 |
1 |
0 |
0 |
0 |
0 |
|
23 см |
1 |
0 |
2 |
1 |
0 |
3 |
2 |
1 |
0 |
|
18 см |
0 |
1 |
0 |
1 |
3 |
1 |
2 |
3 |
4 |
|
Отходы |
2 - |
7 |
11 |
16 |
3 |
2 |
7 |
12 |
17 |
Определяем рациональные способы раскроя материала каждого вида на заготовки. Получаем девять способов, показанных в следующей таблице: ________
|
|
XI |
А2 |
АЗ |
ХА |
Х5 |
АГ6 |
А7 |
А8 |
А9 |
АЗО |
|
|
|
Maximize |
0 |
0 |
0 |
0 |
0 |
0 |
0 |
0 |
0 |
1 |
|
|
|
Стержень 32 см |
2 |
2 |
1 |
1 |
1 |
0 |
0 |
0 |
0 |
-3 |
>= |
0 |
|
Стержень 23 см |
1 |
0 |
2 |
1 |
0 |
3 |
• 2 |
1 |
0 |
-5 |
>= |
0 |
|
Стержень 18 см |
0 |
1 |
0 |
1 |
3 |
1 |
2 |
3 |
4 |
-1 |
>= |
0 |
|
Материал |
1 |
1 |
1 |
1 |
1 |
1 |
1 |
1 |
1 |
0 |
<= |
80 |
Задача максимизации количества комплектов при ограничении на количество используемого материала описывается следующей моделью: ______
Проводя расчеты, получаем следующий результат:
|
|
Х\ |
Х2 |
XI |
Х4 |
Х5 |
Х6 |
XI |
Л8 |
Х9 |
XI0 |
|
|
|
|
Maximize |
0 |
0 |
0 |
0 |
0 |
0 |
0 |
0 |
0 |
1 |
|
|
|
|
Стержень 32 см |
2 |
2 |
1 |
1 |
1 |
0 |
0 |
0 |
0 |
-3 |
>= |
0 |
-0,125 |
|
Стержень 23 см |
1 |
0 |
2 |
1 |
0 |
3 |
2 |
1 |
0 |
-5 |
>= |
0 |
-0,125 |
Стержень
18 см |
0 |
1 |
0 |
1 |
3 |
1 |
2 |
3 |
4 |
-1 |
>= |
0 |
0 |
|
Материал |
1 |
1 |
1 |
1 |
1 |
1 |
1 |
1 |
1 |
0 |
<= |
80 |
0,375 |
|
Solution |
40 |
0 |
10 |
0 |
0 |
30 |
0 |
0 |
0 |
30 |
|
30 |
|
Ответы: 1. Девять способов. 2. 30 комплектов. 3. 250см.
Глава 4. Планирование финансов Цели
В данной главе показаны возможности использования модели линейного программирования для решения некоторых задач планирования финансов. При определенных предположениях становится возможным выбрать такие способы вложения денег под проценты, совокупность которых позволяет минимизировать первоначальный вклад, необходимый для выплаты займа, или максимизировать доход. При решении задач финансового планирования можно учитывать риск и другие факторы, влияющие на выбор способов вложения денег.
После выполнения заданий, предлагаемых в этой главе, вы будете уметь формулировать и использовать для экономического анализа следующие понятия:
• вклад;
• целевой фонд;
• балансовое ограничение;
• индекс риска по вкладу.
Модели
Модель А минимизации целевого фонда. Предположим, что в определенные моменты времени необходимо выплачивать известные суммы денег по взятому ранее займу. Чтобы накопить эти суммы, можно заранее создать целевой фонд, а средства из этого фонда использовать для срочных вкладов. Каждый срочный вклад характеризуется моментом времени вложения, сроком погашения и доходностью. Задача состоит в том, чтобы определить минимальный размер целевого фонда и выбрать те виды срочных вкладов, которые следует использовать, чтобы сделать выплату по займу. Обозначения:
у — размер целевого фонда, создаваемого в нулевой момент времени;
t — текущий момент времени, t = 0, 1,.... Т;
dt — размер выплаты по займу, которую надо произвести в момент времени t (t = 1, ..., Т);
j —индекс срочного вклада, j = 1,..., п;
Vj — момент времени вложения по срочному вкладу j;
Wj — срок выплаты по срочному вкладу j;
r — доходность срочного вклада j (процент по вкладу);
Х] — объем вложений по срочному вкладу j.
Предполагается, что для любого срочного вклада j момент Vj времени вложения фиксирован. Если по срочному вкладу/сделаны вложения в размере х}-, то через Wj единиц времени вкладчику выплачивается сумма (1 + rjxj. Без ограничения общности можно считать, что для любого момента времени существует такой вклад, выплата по которому производится в следующий момент времени. При этом доходность такого вклада может быть нулевая. Использование вклада с нулевой доходностью означает, что деньги остаются на руках у владельца.
Пусть Gt — множество индексов j, таких, что t= Vj, т.е. по вкладу j сделано вложение в момент времени t, Qt — множество индексов j, таких, что t = Vj + Wj, т.е. по вкладу j получена выплата в момент времени t.
Заметим, что для любого t множества Gt и Qt известны.
Тогда модель имеет следующий вид:
Здесь (1) — целевая функция (минимальный размер целевого фонда);
|
у -»min, |
(1) |
o'
II
о
II
Ч''
r ’ (К
1 |
(2) |
X (1 + г ) X: t = 1, ..
;€, 3 3 jeG'3 ‘ |
T— 1, (3) |
X(1 +rJ)x,= dl, t=T,
j* Q, 331 |
(4) |
|
^>0, Xj > 0, j = 1, n. |
(5) |
(2) —условие, характеризующее распределение целевого фонда по вкладам в нулевой момент времени;
(3) — соотношения, устанавливающие баланс между выплатами и вложениями;
(4) — условие, обеспечивающее выплату по займу;
(5) — условия неотрицательности переменных.
Модель В максимизации дохода. Предположим теперь, что вкладчик собирается делать вклады для того, чтобы через определенный период времени получить максимальный доход. Задача состоит в том, чтобы определить величину максимального дохода при фиксированном размере целевого фонда и выбрать те виды срочных вкладов, которые следует использовать.
Сохраним принятые ранее обозначения и введем новые:
z — размер дохода, который может получить вкладчик в момент времени Т;
Ut— размер вклада в момент времени t (t = 0, 1,..., Т— 1).
Тогда модель имеет следующий вид:
|
z -» max, |
(6) |
|
Д*j = ut> / = 0’ |
(7) |
|
fcn!b? + rJ)xJ = u" /=1’- |
00
1 |
|
jhy+,j)xJ-zz=0’ t=T’ |
(9) |
|
z>Q, Xj> 0, j=\,...,n. |
(10) |
Здесь (6) — целевая функция (максимальная величина дохода);
(7) — условие, характеризующее распределение вклада в нулевой момент времени;
(8) — соотношения, устанавливающие баланс между выплатами и вложениями;
(9) — условие, определяющее величину дохода;
(10) —условия неотрицательности переменных.
Примеры
Пример 1. Вложение денег под проценты.
Петр Перфилов — управляющий компанией, которая только что заключила контракт на покупку нового оборудования для консервирования овощей. В соответствии с договором компания должна выплатить поставщику в общей сложности 750 тыс. руб. Причем 150 тыс. руб. необходимо уплатить через два месяца, а остальные 600 тыс. руб. — через шесть месяцев после того, как оборудование будет поставлено и испытано. Петр считает, что сразу после подписания договора следует образовать целевой фонд и использовать эти средства для вложения денег под проценты. Поскольку такие инвестиции породят дополнительную наличность к тому времени, когда придется вносить деньги за оборудование, Петр понимает, что целевой фонд должен быть меньше чем 750 тыс. руб. А вот сколько именно — зависит от имеющихся возможностей инвестирования.
Вид
вклада |
Срок вклада, месяцы |
Возможные моменты вложения (начало месяца) ’ |
Процент по вкладу |
|
A |
1 |
1,2, 3,4, 5, 6 |
1,5% |
|
В |
2 |
1,3,5 |
3,5% |
|
С |
3 |
1,4 |
6,0% |
|
D |
6 |
1 |
11,0% |
Проанализировав варианты, Петр решил сосредоточиться на 12 возможных способах вложения денег под проценты. Виды вкладов, их продолжительность, возможные сроки вложения и проценты по вкладу приведены в следующей таблице: __
|
Данные о возможностях вложений и возврата денег (в руб.) представлены в следующей таблице: |
|
|
|
Вклад |
Начало месяца |
|
1 |
2 |
3 |
4 |
5 |
6 |
7 |
|
А в месяце 1 |
1,00- |
->1,015 |
|
|
|
|
|
|
А в месяце 2 |
|
1,00- |
->1,015 |
|
|
|
|
|
А в месяце 3 |
|
|
1,00- |
->1,015 |
|
|
|
|
А в месяце 4 |
|
|
|
1,00- |
->1,015 |
|
|
|
А в месяце 5 |
|
- |
|
|
1,00— |
>1,015 |
|
|
А в месяце 6 |
|
|
|
|
|
1,00— |
>1,015 |
|
В в месяце 1 |
1,00- |
|
->1,035 |
|
|
|
|
|
В в месяце 3 |
|
|
1,00- |
|
->1,035 |
|
|
|
В в месяце 5 |
|
|
|
|
1,00- |
|
>1,035 |
|
С в месяце 1 |
1,00- |
|
|
-> 1,06 |
|
|
|
|
С в месяце 4 |
|
|
|
1,00- |
|
|
->1,06 |
|
|
|
|
|
|
|
|
1 1 1 |
|
|
|
|
|
|
|
|
|
С учетом этих возможностей необходимо минимизировать размер целевого фонда, обеспечивающего оплату оборудования.
Вопросы:
1. Каков минимальный размер целевого фонда, позволяющий сделать необходимые выплаты?
2. Какова стоимость в начальный момент времени одного рубля, который надо выплатить в начале седьмого месяца (через шесть месяцев)?
3. Какова стоимость в начальный момент времени одного рубля, который надо выплатить в начале пятого месяца (через четыре месяца)?
Решение. Введем следующие обозначения: у — размер целевого фонда;
Аі — размер вклада вида А в месяце і;
Bi — размер вклада вида В в месяце i;
Сі — размер вклада вида С в месяце і;
Di — размер вклада вида D в месяце i.
Так как в любой момент времени можно сделать вклад на один месяц, хранить деньги на руках невыгодно. С учетом этого условия задача минимизации целевого фонда может быть описана следующей моделью:
Целевая функция у ® min при условиях
У Af Ві С,-Я, — О, і,015А1-А2 = 0,
і,0\5А2 + 1,0355, - А3 - 53 = 150,
1,01543 + 1,060С, - А4 - С4 = 0,
1,0154, + 1,0352?з - А5 - В5 = 0,
1,015Л5 —46 = 0,
1,01546 + 1,035В5 + 1,060С4 + 1,1100, = 600.
Эту модель можно представить в следующей, более наглядной форме:
|
|
У |
41 |
51 |
Cl |
Cl |
A2 |
АЗ |
53 |
А4 |
С4 |
А5 |
55 |
Аб |
|
|
|
Minimize |
1 |
0 |
0 |
0 |
0 |
0 |
0 |
0 |
0 |
0 |
0 |
0 |
0 |
/ |
|
|
Начало месяца 1 |
1 |
-1 |
-1 |
-1 |
-1 |
0 |
0 |
0 |
0 |
0 |
0 |
0 |
0 |
= |
0 |
|
Начало месяца 2 |
0 |
1,015 |
0 |
0 |
0 |
-1 |
0 |
0 |
0 |
0 |
0 |
0 |
0 |
= |
0 |
|
Начало месяца 3 |
0 |
0 |
1,035 |
0 |
0 |
1,015 |
-1 |
-1 |
0 |
0 |
0 |
0 |
0 |
= |
150 |
|
Начало месяца 4 |
0 |
0 |
0 |
1,06 |
0 |
0 |
1,015 |
0 |
-1 |
-1 |
0 |
0 |
0 |
= |
0 |
|
Начало месяца 5 |
0 |
0 |
0 |
0 |
0 |
0 |
0 |
1,035 |
1,015 |
0 |
-1 |
-1 |
0 |
85 |
0 |
|
Начало месяца 6 |
0 |
0 |
0 |
0 |
0 |
0 |
0 |
0 |
0 |
0 |
1,015 |
0 |
-1 |
= |
0 |
|
Начало месяца 7 |
0 |
0 |
0 |
0 |
Ml |
0 |
0 |
0 |
0 |
1,06 |
0 |
1,035 |
1,015 |
= |
600 |
Проводя вычисления, получаем следующие результаты:
|
|
У |
41 |
51 |
а |
51 |
42 |
43 |
53 |
44 |
С4 |
45 |
55 |
46 |
|
|
|
|
Minimize |
1 |
0 |
0 |
0 |
0 |
0 |
0 |
0 |
0 |
0 |
0 |
0 |
0 |
|
|
|
|
Начало месяца 1 |
1 |
-1 |
-1 |
-і |
-1 |
0 |
0 |
0 |
0 |
0 |
0 |
0 |
0 |
= |
0 |
-1 |
|
Начало месяца 2 |
0 |
1,015 |
0 |
0 |
0 |
-1 |
0 |
0 |
0 |
0 |
0 |
0 |
0 |
= |
0 |
-0,985 |
|
Начало месяца 3 |
0 |
0 |
1,035 |
0 |
0 |
1,015 |
-1 |
-1 |
0 |
0 |
0 |
0 |
0 |
= |
150 |
-0,966 |
|
Начало месяца 4 |
0 |
0 |
0 |
1,06 |
0 |
0 |
1,015 |
0 |
-1 |
-1 |
0 |
0 |
0 |
= |
0 |
-0,943' |
|
Начало месяца 5 |
0 |
0 |
0 |
0 |
0 |
0 |
0 |
1,035 |
1,015 |
0 |
-1 |
-1 |
0 |
= |
0 |
-0,929 |
|
Начало месяца 6 |
0 |
0 |
0 |
0 |
0 |
0 |
0 |
0 |
0 |
0 |
1,015 |
0 |
-1 |
= |
0 |
-0,916 |
Начало
месяца? |
0 |
0 |
0 |
0 |
1,11 |
0 |
0 |
•о |
0 |
1,06 |
0 |
1,035 |
1,015 |
= |
600 |
-0,890 |
|
Solution |
678,93 |
0 |
144,98 |
533,99 |
0 |
0 |
0 |
0 |
0 |
566,04 |
0 |
0 |
0 |
|
678,93 |
|
Следующая таблица содержит границы устойчивости по коэффициентам целевой функции:

Далее приводятся границы устойчивости по правым частям ограничений:
|
Constraint |
Dual Val |
Slack/Surplus |
Original Val |
Lower Bound |
Upper Bound |
|
Начало месяца 1 |
-1 |
0 |
0 |
-678,9 |
Infinity |
|
Начало месяца 2 |
-0,985 |
0 |
0 |
0 |
Infinity |
|
Начало месяца 3 |
-0,966 |
0 |
150 |
0 |
Infinity |
|
Начало месяца 4 |
-0,943 |
0 |
0 |
-566,0 |
Infinity |
|
Начало месяца 5 |
-0,929 |
0 |
0 |
0 |
Infinity |
|
Начало месяца 6 |
-0,916 |
0 |
0 |
0 |
Infinity |
|
Начало месяца 7 |
-0,890 |
0 |
600 |
0 |
Infinity |
В этой модели особый интерес представляет интерпретация двойственных оценок. Например, двойственная оценка последнего ограничения равна —0,89. Это означает, что для выплаты через полгода одного дополнительного рубля необходимо увеличить размер целевого фонда на 0,89 руб. Таким образом, величина двойственной оценки есть стоимость одного рубля, выплачиваемого через полгода, приведенная к начальному моменту времени.
Ответы: 1.678,93 тыс. руб. 2.0,89руб. 3.0,929руб.
Вопросы
Вопрос 1. Срочный вклад характеризуется:
1) суммой вклада и процентом по вкладу;
2) моментом вложения, сроком погашения, прибылью и процентом по вкладу;
3) размером вклада, моментом вложения, сроком погашения и процентом по вкладу;
4) размером вклада, моментом вложения, сроком погашения, прибылью и процентом по вкладу.
Вопрос 2. Целью модели минимизации целевого фонда является:
1) минимизация целевого фонда, необходимого для накопления определенной суммы;
2) максимизация целевого фонда, необходимого для накопления определенной суммы;
3) минимизация размера срочного вклада, необходимого для накопления определенной суммы;
4) максимизация размера срочного вклада, необходимого для накопления определенной суммы;
5) минимизация целевого фонда, необходимого для получения максимального дохода.
Вопрос 3. Целью модели максимизации дохода является:
1) максимизация целевого фонда, необходимого для получения максимального дохода;
2) минимизация целевого фонда, необходимого для получения максимального дохода;
3) выбор срочного вклада с максимальной доходностью;
4) минимизация дохода при фиксированной величине целевого фонда;
5) максимизация дохода при фиксированной величине целевого фонда.
Задачи
Задача 1. Константин Иванов — управляющий компанией «Золотой колос», специализирующейся на выпуске пива. Компания закупила оборудование для выпуска популярного сорта пива «Двойное золотое». Стоимость оборудования 900 тыс. руб. В соответствии с условиями контракта 200 тыс. руб. необходимо выплатить через два месяца, когда оборудование будет поставлено, а оставшиеся 700 тыс. руб. — через шесть месяцев, когда оборудование будет смонтировано.
Чтобы расплатиться полностью, Константин предполагает тотчас же образовать целевой фонд, который можно использовать для инвестиций. Поскольку такие инвестиции породят дополнительную наличность к тому времени, когда придется вносить деньги за оборудование, Константин знает, что ему следует отложить меньше чем 900 тыс. руб. А вот сколько именно — зависит от имеющихся возможностей инвестирования.
Константин решил сосредоточиться на 12 возможностях инвестирования.
Данные для задачи финансового планирования представлены в следующей таблице:
Вид
вклада |
Срок вклада, месяцы |
Возможные моменты вложения (начало месяца) |
Процент по вкладу |
Индекс риска |
|
А |
1 |
1,2, 3, 4, 5,6 |
1,7% |
3 |
|
В |
2 |
1,3,5 |
3,5% |
10 |
|
С |
3 |
1,4 |
5,5% |
7 |
|
D |
6 |
1 |
10,5% |
9 |
Для каждого вида вкладов известна экспертная оценка риска задержки выплаты по вкладу.
Составьте модель линейного программирования для определения минимального размера целевого фонда, позволяющего сделать необходимые выплаты.
Вопросы:
1. Каков минимальный размер целевого фонда, позволяющий сделать необходимые выплаты без учета риска?
2. Какова стоимость в начальный момент времени одного рубля, который надо выплатить в начале седьмого месяца (через шесть месяцев)?
3. Каков минимальный размер целевого фонда, позволяющий сделать необходимые выплаты, если средний риск в каждый момент времени не должен превышать 6?
4. Какова «плата» за снижение риска (в руб.)?
Вид
вклада |
Срок вклада, месяцы |
Возможные моменты вложения (начало месяца) |
Процент по вкладу |
Индекс риска |
|
А |
1 |
1,2, 3,4, 5,6 |
1,7% |
3 |
|
В |
2 |
1,2' |
3,5% |
9 |
|
с ¦ |
3 |
3,4 |
6,5% |
8 |
|
D |
6 |
1 |
11,5% |
5 |
Задача 2. У Василия Иванова есть 50 тыс. руб., которые можно инвестировать. Необходимо максимизировать денежную наличность к концу шестимесячного периода. Возможные виды инвестиций представлены в следующей таблице:_
Для каждого вида вкладов известна экспертная оценка риска задержки выплаты по вкладу.
Составьте модель линейного программирования для определения максимального размера дохода, который может получить Василий Иванов через полгода, использовав имеющиеся у него возможности для вложения 50 тыс. руб.
Вопросы:
1. Каков максимальный размер дохода через полгода?
2. Какой максимальный доход можно получить через полгода от вложения одного рубля в начальный момент времени?
3. Какой максимальный размер дохода можно получить через полгода, если средний риск в каждый момент времени не должен превышать б?
4. Какова «плата» за снижение риска (в руб.)?
5. В начале четвертого месяца Василий предполагает вложить еще 20 тыс. руб. На сколько возрастет его доход через полгода с учетом риска?
Задача 3. Пять проектов конкурируют за получение инвестиционных фондов компании.
Проект 1 предполагает вложение денег в 2003 г., получение 30% по вкладу в 2004 г. и возврат вложенных средств (без процентов)
в 2005 г.
Проект 2 предполагает вложение денег в 2004 г., получение 30% по вкладу в 2005 г. и возврат вложенных средств (без процентов) в 2006 г.
Проект 3 предполагает вложение денег в 2003 г. и получение 1,75 руб. на один вложенный рубль в 2006 г.
Проект 4 предполагает вложение денег в 2005 г. и получение 1,4 руб. на один вложенный рубль в 2006 г.
Проект 5 предполагает вложение денег в 2003 г. и получение 1,2 руб. на один вложенный рубль в 2005 г.
Максимальная сумма, которая может быть вложена в любой проект, не должна превышать 10 млн руб.
Деньги, полученные в результате инвестиций в один проект, можно реинвестировать в другие проекты.
Компания также может получать 6% годовых по краткосрочному (на один год) банковскому вкладу.
К началу 2003 г. инвестиционный фонд компании составит 20 млн руб. Целью компании является максимизация дохода от инвестиций к 2006 г.
Вопросы:
1. Какова максимальная сумма денег, которую можно получить в 2006 г.?
2. Какую сумму следует вложить во второй проект?
3. В каком году следует вложить деньги в банк под 6% годовых?
4. Какой максимальный доход можно получить в 2006 г., вложив 1 руб. в 2003 г.?
Ответы и решения
Ответы на вопросы: 1—4, 2 — 1, 3—5.
Задача 1. Решение.
Пусть у — размер целевого фонда. Аи Bi, G, А — размеры вкладов вида А, В, С, D в i-м месяце. Так как в любой момент времени можно сделать вклад на один месяц, хранить деньги на руках невыгодно. С учетом этого условия задача может быть описана следующей моделью:
Целевая функция у ® min при условиях У - А, - В, - С, - D, = 0,
1,017/1, — Аг = 0, '
1,0І7Л2 + 1,0355, - А, - В} = 200,
1,017А} + 1,055 С, - А4 - С4 = 0, і,017Л4 + 1,03553 - As - В5 = 0, l,017^5-^ = 0,
1,017Л6 + 1,03555 + 1,055 С4 + 1,1057), = 700.
Представим модель в более наглядной форме:
|
|
У |
А\ |
В\ |
СІ |
01 |
А1 |
/13 |
ЛЗ |
м |
С4 |
>15 |
Л5 |
м |
|
|
|
Minimize |
1 |
0 |
0 |
0 |
0 |
0 |
0 |
0 |
0 |
0 |
0 |
0 |
0 |
|
|
|
Начало месяца 1 |
1 |
-1 |
-1 |
-1 |
-1 |
0 |
0 |
0 |
0 |
0 |
0 |
0 |
0 |
= |
0 |
|
Начало месяца 2 |
0 |
1,017 |
0 |
0 |
0 |
-1 |
0 |
0 |
0 |
0 |
0 |
0 |
0 |
= |
0 |
|
Начало месяца 3 |
0 |
0 |
1,035 |
0 |
0 |
1,017 |
-1 |
-1 |
0 |
0 |
0 |
0 |
0 |
= |
200 |
|
Начало месяца 4 |
0 |
0 |
0 |
1,055 |
0 |
0 |
1,017 |
0 |
-1 |
-1 |
0 |
0 |
0 |
= |
0 |
|
Начало месяца 5 |
0 |
0 |
0 |
0 |
0 |
0 |
0 |
1,035 |
1,017 |
0 |
-1 |
-1 |
0 |
= |
0 |
|
Начало месяца 6 |
0 |
0 |
0 |
0 |
0 |
0 |
0 |
0 |
0 |
0 |
1,017 |
0 |
-1 |
= |
0 |
|
Начало месяца 7 |
0 |
0 |
0 |
0 |
1,105 |
0 |
0 |
0 |
0 |
1,055 |
0 |
1,035 |
1,017 |
= |
700 |
Решая эту задачу, получаем следующие результаты:
|
|
7 |
41 |
«1 |
а |
ЛІ |
42 |
43 |
ІЗ |
44 |
С4 |
45 |
«5 |
46 |
|
|
|
|
Minimize |
1 |
0 |
0 |
0 |
0 |
0 |
0 |
0 |
0 |
0 |
0 |
0 |
0 |
|
|
|
|
Начало месяца! |
1 |
-1 |
-1 |
-1 |
-1 |
0 |
0 |
0 |
0 |
0 |
0 |
0 |
0 |
= |
0 |
-1 |
|
Начало месяца 2 |
0 |
1,017 |
0 |
0 |
0 |
-1 |
0 |
0 |
0 |
0 |
0 |
0 |
0 |
= |
0 |
-0,983 |
|
Начало месяца 3 |
0 |
0 |
1,035 |
0 |
0 |
1,017 |
-1 |
-1 |
0 |
0 |
0 |
0 |
0 |
|
200 |
-0,966 |
|
Начало месяца 4 |
0 |
0 |
0 |
1,055 |
0 |
0 |
1,017 |
0 |
-1 |
-1 |
0 |
0 |
0 |
= |
0 |
-0,948 |
|
Начало месяца 5 |
0 |
0 |
0 |
0 |
0 |
0 |
0 |
1,035 |
1,017 |
0 |
-1 |
-1 |
0 |
= |
0 |
-0,932 |
|
Начало месяца 6 |
0 |
0 |
0 |
0 |
0 |
0 |
0 |
0 |
0 |
0 |
1,017 |
0 |
-1 |
= |
0 |
-0,916 |
|
Начало месяца 7 |
0 |
0 |
0 |
0 |
1,105 |
0 |
0 |
0 |
0 |
1,055 |
0 |
1,035 |
1,017 |
= |
700 |
-0,898 |
|
Solution |
822,154 |
0 |
193,238 |
628,917 |
0 |
0 |
0 |
0 |
0 |
663,507 |
0 |
0 |
0 |
|
822,154 |
|
Следующая таблица содержит границы устойчивости по коэффициентам целевой функции
|
Variable |
Value |
Reduced Cost |
Original Val |
Lower Bound |
Upper Bound |
|
У |
822,154 |
0 |
1 |
0 |
Infinity |
|
А1 |
0 |
0 |
0 |
—6,87E—04 |
Infinity |
|
ВІ |
193,238 |
0 |
0 |
— 1,59E—03 |
6,87E—04 |
|
а |
628,917 |
0 |
0 |
-1 |
1.60E-03 |
|
DI |
0 |
7,2 IE—03 |
0 |
-7,21 E-03 |
Infinity |
|
А2 |
0 |
6.76E-04 |
0 |
—6,76E—04 |
Infinity |
|
АЗ |
0 |
2.20E-03 |
0 |
—2.20E-03 |
Infinity |
|
ВЗ |
0 |
1.54E-03 |
0 |
— 1,54E—03 |
Infinity |
|
А4 |
0 |
0 |
0 |
—2.16E-03 |
1,51 E-03 |
|
С4 |
663,507 |
0 |
0 |
—Infinity |
2,17E—03 |
|
AS |
0 |
0 |
0 |
—2,76E—03 |
Infinity |
|
В5 |
0 |
2,12E—03 |
0 |
—2,12E—03 |
Infinity |
|
А6 |
0 |
2.72E-03 |
0 |
—2,72E-03 |
Infinity |
Далее приводятся границы устойчивости по правым частям ограничении:
|
Constraint |
Dual Val |
Slack/Surplus |
Original Val |
Lower Bound |
Upper Bound |
|
Начало месяца 1 |
-1 |
0 |
0 |
-822,154 |
Infinity |
|
Начало месяца 2 |
-0,983 |
0 |
0 |
0 |
Infinity |
|
Начало месяца 3 |
-0,966 |
0 |
200 |
0 |
Infinity |
|
Начало месяца 4 |
-0,948 |
0 |
0 |
-663,507 |
Infinity |
|
Начало месяца 5 |
-0,932 |
0 |
0 |
0 |
Infinity |
|
Начало месяца 6 |
-0,916 |
0 |
0 |
0 |
Infinity |
|
Начало месяца 7 |
-0,898 |
0 |
700 |
0 |
Infinity |
Ограничение, учитывающее риск по вкладам, сделанным в месяце 1, может быть записано следующим
|
образом: |
 |
После преобразования система ограничений, учитывающих риск, имеет следующий вид:
-3/1, + 4В, +1 С, + ЗВ, ? О, -3Аг + 4В, +1С, + ЗВ, ? О, -ЗА} + 4В3 +1С, + ЗВ, 2 О, -ЗЛ4 + 4В3 +1С4 + ЗВ, < О, -ЗА5 + 4В5 +1С4 + ЗВ, < О, -3А6 + 4В5 +1С4 + ЗВ, < О.
С учетом риска получаем модель с 13 переменными и 13 ограничениями:
|
|
У |
Л\ |
?1 |
С1 |
01 |
А2 |
АЗ |
?3 |
М |
04 |
AS |
BS |
А6 |
|
|
|
Minimize |
1 |
0 |
0 |
0 |
0 |
0 |
0 |
0 |
0 |
0 |
0 |
0 |
0 |
|
|
|
Начало месяца ! |
1 |
-1 |
-1 |
-1 |
-1 |
0 |
0 |
0 |
0 |
0 |
0 |
0 |
0 |
— |
0 |
|
Начало месяца 2 |
0 |
1,017 |
0 |
0 |
0 |
-1 |
0 |
0 |
0 |
0 |
0 |
0 |
0 |
= |
0 |
|
Начало месяца 3 |
0 |
0 |
1,035 |
0 |
0 |
1,017 |
-1 |
-1 |
0 |
0 |
0 |
0 |
0 |
= |
200 |
|
Начало месяца 4 |
0 |
0 |
0 |
1,055 |
0 |
0 |
1,017 |
0 |
-1 |
-1 |
0 |
0 |
0 |
= |
0 |
|
Начало месяца 5 |
0 |
0 |
0 |
0 |
0 |
0 |
0 |
1,035 |
1,017 |
0 |
-1 |
-1 |
0 |
= |
0 |
|
Начало месяца 6 |
0 |
0 |
0 |
0 |
0 |
0 |
0 |
0 |
0 |
0 |
1,017 |
0 |
-1 |
= |
0 |
|
Начало месяца 7 |
0 |
0 |
0 |
0 |
1,105 |
0 |
0 |
0 |
0 |
1,055 |
0 |
1,035 |
1,017 |
= |
700 |
|
Риск 1 |
0 |
-3 |
4 |
1 |
3 |
0 |
0 |
0 |
0 |
0 |
0 |
0 |
0 |
<= |
0 |
|
Риск 2 |
0 |
0 |
4 |
1 |
3 |
-3 |
0 |
0 |
0 |
0 |
0 |
0 |
0 |
<= |
0 |
|
РискЗ |
0 |
0 |
0 |
1 |
3 |
0 |
-3 |
4 |
0 |
0 |
0 |
0 |
0 |
<= |
0 |
|
Риск 4 |
0 |
0 |
0 |
0 |
3 |
0 |
0 |
4 |
-3 |
1 |
0 |
0 |
0 |
<= |
0 |
|
Риск 5 |
0 |
0 |
0 |
0 |
3 |
0 |
0 |
0 |
0 |
1 |
-3 |
4 |
0 |
<= |
0 |
|
Риск 6 |
0 |
0 |
0 |
0 |
3 |
0 |
0 |
0 |
0 |
1 |
0 |
4 |
-3 |
<= |
0 |
Решая эту задачу, получаем следующие результаты:
|
|
У |
А\ |
?1 |
С1 |
?1 |
А2 |
АЗ |
?3 |
м |
С4 |
AS |
?5 |
А6 |
|
|
|
|
Minimize |
1 |
0 |
0 |
0 |
0 |
0 |
0 |
0 |
0 |
0 |
0 |
0 |
0 |
|
|
|
|
Начало месяца 1 |
1 |
-1 |
-1 |
-1 |
-1 |
0 |
0 |
0 |
0 |
0 |
0 |
0 |
0 |
= |
0 |
-1 |
|
Начало месяца 2 |
0 |
1,017 |
0 |
0 |
0 |
-1 |
0 |
0 |
0 |
0 |
0 |
0 |
0 |
= |
0 |
-0,983 |
|
Начало месяца 3 |
0 |
0 |
1,035 |
0 |
0 |
1,017 |
-1 |
-1 |
0 |
0 |
0 |
0 |
0 |
= |
200 |
-0,967 |
|
Начало месяца 4 |
0 |
0 |
0 |
1,055 |
0 |
0 |
1,017 |
0 |
-1 |
-1 |
0 |
0 |
0 |
= |
0 |
-0,949 |
|
Начало месяца 5 |
0 |
0 |
0 |
0 |
0 |
0 |
0 |
1,035 |
1,017 |
0 |
-1 |
-1 |
0 |
= |
0 |
-0,931 |
|
Начало месяца 6 |
0 |
0 |
0 |
0 |
0 |
0 |
0 |
0 |
0 |
0 |
1,017 |
0 |
-1 |
= |
0 |
-0,915 |
|
Начало месяца 7 |
0 |
0 |
0 |
0 |
1,105 |
0 |
0 |
0 |
0 |
1,055 |
0 |
1,035 |
1,017 |
= |
700 |
-0,900 |
|
Риск 1 |
0 |
-3 |
4 |
I |
3 |
0 |
0 |
0 |
0 |
0 |
0 |
0 |
0 |
< |
0 |
9Е-05 |
|
Риск 2 |
0 |
0 |
4 |
1 |
3 |
-3 |
0 |
0 |
0 |
0 |
0 |
0 |
0 |
< |
0 |
0 |
|
РискЗ |
0 |
0 |
0 |
1 |
3 |
0 |
-3 |
4 |
0 |
0 |
0 |
0 |
0 |
< |
0 |
6Е-04 |
|
Риск 4 |
0 |
0 |
0 |
0 |
3 |
0 |
0 |
4 |
-3 |
1 |
0 |
0 |
0 |
< |
0 |
6Е-04 |
|
Риск 5 |
0 |
0 |
0 |
0 |
3 |
0 |
0 |
0 |
0 |
1 |
-3 |
4 |
0 |
< |
0 |
9Е-05 |
|
Риск 6 |
0 |
0 |
0 |
0 |
3 |
0 |
0 |
0 |
0 |
1 |
0 |
4 |
-3 |
< |
0 |
0 |
|
Solution |
823,152 |
266,2 |
80,5 |
476,3 |
0 |
270,7 |
158,7 |
0 |
166,0 |
498,0 |
167,6 |
1,2 |
170,4 |
|
823,1 |
|
Границы устойчивости по коэффициентам целевой функции:
Окончание таблицы
|
Variable |
Value |
Reduced Cost |
Original Val |
Lower Bound |
Upper Bound |
|
У |
823,152 |
0 |
1 |
0 |
Infinity |
|
АІ |
266,233 |
0 |
0 |
—6,87E—04 |
Infinity |
|
В\ |
80,593 |
0 |
0 |
—4,5 IE—03 |
6,87E—04 |
|
а |
476,326 |
0 |
0 |
-1,322 |
2,58E—03 |
|
т |
0 |
1,00Е—02 |
0 |
— 1,00E—02 |
Infinity |
|
А2 |
270,759 |
0 |
0 |
—6,75E—04 |
Infinity |
|
АЗ |
158,775 |
0 |
0 |
—2,49E—03 |
Infinity |
|
Variable |
Value |
Reduced Cost |
Original Val |
Lower Bound |
Upper Bound |
|
B3 |
0 |
8,04E—03 |
0 |
—8,04E—03 |
Infinity |
|
/14 ' |
166,000 |
0 |
0 |
—2,44E—03 |
Infinity |
|
C4 |
498,000 |
0 |
0 |
-1,275 |
2.45E-03 |
|
A5 |
167,612 |
0 |
0 ' |
—6,40E—04 |
Infinity |
|
B5 |
1,210 |
0 |
0 |
—4,22E—03 |
6.40E-04 |
|
A6 |
170,462 |
0 |
0 |
—6,29E—04 |
Infinity |
Границы устойчивости по правым частям ограничений:
|
Constraint |
Dual Val |
Slack/Surplus |
Original Val |
Lower Bound |
Upper Bound |
|
Начало месяца 1 |
-1 |
0 |
0 |
-823,152 |
Infinity |
|
Начало месяца 2 |
-0,983 |
0 |
0 |
-191,304 |
4,570 |
|
Начало месяца 3 |
-0,967 |
0 |
200 |
5,444 |
Infinity |
|
Начало месяца 4 |
-0,949 |
0 |
0 |
-663,999 |
23 728,72 |
|
Начало месяца 5 |
-0,931 |
0 |
0 |
-676,594 |
2,834 |
|
Начало месяца 6 |
-0,915 |
0 |
0 |
-688,299 |
2,861 |
|
Начало месяца 7 |
-0,900 |
0 |
700 |
0 |
25 715,27 |
|
Риск 1 |
9,82Е—05 |
0 |
0 |
-564,317 |
13,480 |
|
Риск 2 |
0 |
13,578 |
0 |
-13,578 |
Infinity |
|
Риск 3 |
6,28Е—04 |
0 |
0 |
-1958,698 |
578,841 |
|
Риск 4 |
6,11Е—04 |
0 |
0 |
-1995,853 |
8,359 |
|
Риск 5 |
9,14Е—05 |
0 |
0 |
-8,466 |
8,486 |
|
Риск 6 |
0 |
8,548 |
0 |
-8,548 |
Infinity |
Ответы: 1. 822154 руб. 2. 0,9 руб. 3. 823152 руб. 4. 998 руб.
Задача 2.
Решение.
Пусть z — размер дохода, Аі, Ві, Сі, Dt — размеры вкладов соответствующего вида в i-м месяце. Так как в любой момент времени можно сделать вклад на один месяц, хранить деньги на руках невыгодно. Без учета риска задача может быть описана следующей моделью:
Целевая функция z ® max при условиях
А, + 5, + 5, = 50,
1,017Л, - А2 - В2 = 0,
1,017Л2 + 1,0355, - А3 - С3 = 0, 1,017Л3 + 1,03552 - А4 - С4 = 0, 1.017Д, - Л5 = 0,
1,017^5 + 1,065 С3 - А6 = 0,
1,017Л6 + 1,065С4 + 1,1155, - г = 0.
Представим модель в более наглядной форме
|
|
г |
А\ |
ВІ |
01 |
XI |
ВІ |
АЗ |
0 |
М |
а |
AS |
46 |
|
|
|
|
Maximize |
- 1 |
0 |
0 |
0 |
0 |
0 |
0 |
0 |
0 |
0 |
0 |
0 |
|
|
|
|
Начало месяца 1 |
0 |
1 |
1 |
1 |
0 |
0 |
0 |
0 |
0 |
0 |
0 |
0 |
= |
50 |
1,121 |
|
Начало месяца 2 |
0 |
1,017 |
0 |
0 |
-1 |
-1 |
0 |
0 |
0 |
0 |
0 |
0 |
= |
0 |
-1,102 |
|
Начало месяца 3 |
0 |
0 |
1,035 |
0 |
1,017 |
0 |
-1 |
-1 |
0 |
0 |
0 |
0 |
= |
0 |
-1,083 |
|
Начало месяца 4 |
0 |
0 |
0 |
0 |
0 |
1,035 |
1,017 |
0 |
-1 |
-1 |
0 |
0 |
= |
0 |
-1,065 |
|
Начало месяца 5 |
0 |
0 |
0 |
0 |
0 |
0 |
0 |
0 |
1,017 |
0 |
-1 |
0 |
= |
0 |
-1,047 |
|
Начало месяца 6 |
0 |
0 |
0 |
0 |
0 |
0 |
0 |
1,065 |
0 |
0 |
І,-017 |
-1 |
= |
0 |
-1,017 |
|
Начало месяца 7 |
-1 |
0 |
0 |
1,115 |
0 |
0 |
0 |
0 |
0 |
1,065 |
0 |
1,017 |
= |
0 |
-1 |
|
Solution |
56,051 |
50 |
0 |
0 |
0 |
50,850 |
0 |
0 |
0 |
52,630 |
0 |
0 |
|
56,051 |
|
|
Variable |
Value |
Reduced Cost |
Original Val |
Lower Bound |
Upper Bound |
|
z |
56,051 |
0 |
1 |
0 |
Infinity |
|
А\ |
50 |
0 |
0 |
0 |
7.71E-04 |
|
51 |
0 |
0 |
0 |
—7,7 IE—04 |
0 |
|
51 |
0 |
0,121 |
0 |
—Infinity |
0,121 |
|
Л2 |
0 |
7,57Е—04 |
0 |
—Infinity |
7,57E—04 |
|
52 |
50,850 |
0 |
0 |
0 |
0,014 |
|
АЗ |
0 |
0 |
0 |
—Infinity |
0 |
|
СЗ |
0 |
0 |
0 |
—1,35E—02 |
0 |
|
А4 |
0 |
0 |
0 |
-Infinity |
1.31E-02 |
|
С4 |
52,630 |
0 |
0 |
0 |
Infinity |
|
А 5 |
0 |
1.29Е-02 |
0 |
—Infinity |
1.29E-02 |
|
А6- |
0 |
0 |
0 |
-Infinity |
0 |
Границы устойчивости по коэффициентам целевой функции:
Границы устойчивости по правым частям ограничений:
|
Constraint |
Dual Val |
Slack/Surplus |
Original Val |
Lower Bound |
Upper Bound |
|
Начало месяца I |
1,121 |
0 |
50 |
3,8 IE—06 |
Infinity |
|
Начало месяца 2 |
-1,102 |
0 |
0 |
-Infinity |
50,85 |
|
Начало месяца 3 |
-1,083 |
0 |
0 |
0 |
51,75 |
|
Начало месяца 4 |
-1,065 |
0 |
0 |
-Infinity |
52,63 |
|
Начало месяца 5 |
-1,047 |
0 |
0 |
0 |
53,52 |
|
Начало месяца 6 |
-1,017 |
0 |
0 |
0 |
55,11 |
|
Начало месяца 7 |
-1 |
0 |
0 |
—Infinity |
56,05 |
Система ограничений, учитывающих риск, имеет следующий вид:
-за, + зв, - id, < о,
-ЗЛ2 + 3В, + ЗВ2 - 1D, < О,
—ЗА} + 3В2 + 2С3 — \D,< О,
-ЗЛ4 + 2С3 + 2С4 - ID, < О,
-3AS + 2 С} + 2 С4 - 10, <0,
-3А6 + 2 С4 - 1D, < 0.
|
|
Z |
АІ |
81 |
01 |
Л2 |
82 |
ЛЗ |
О |
А4 |
С4 |
Л5 |
А6 |
|
|
|
|
Maximize |
1 |
0 |
0 |
0 |
0 |
0 |
0 |
0 |
0 |
0 |
0 |
0 |
|
|
|
|
Начало месяца 1 |
0 |
1 |
1 |
1 |
0 |
0 |
0 |
0 |
0 |
0 |
0 |
0 |
= |
50 |
1,117 |
|
Начало месяца 2 |
0 |
1,017 |
0 |
0 |
-1 |
-1 |
0 |
0 |
0 |
0 |
0 |
0 |
= |
0 |
-1,098 |
|
Начало месяца 3 |
0 |
0 |
1,035 |
0 |
1,017 |
0 |
-1 |
-1 |
0 |
0 |
0 |
0 |
= |
0 |
-1,080 |
|
Начало месяца 4 |
0 |
0 |
0 |
0 |
0 |
1,035 |
1,017 |
0 |
-1 |
-1 |
0 |
0 |
= |
0 |
-1,061 |
|
Начало месяца 5 |
0 |
0 |
0 |
0 |
0 |
0 |
0 |
0 |
1,017 |
0 |
-1 |
0 |
= |
0 |
-1,038 |
|
Начало месяца 6 |
0 |
0 |
0 |
0 |
0 |
0 |
0 |
1,065 |
0 |
0 |
1,017 |
-1 |
= |
0 |
-1,017 |
|
Начало месяца 7 |
-1 |
0 |
0 |
1,115 |
0 |
0 |
0 |
0 |
0 |
1,065 |
0 |
1,017 |
= |
0 |
-1 |
|
Риск 1 |
0 |
-3 |
3 |
-1 |
0 |
0 |
0 |
0 |
0 |
0 |
0 |
0 |
<= |
0 |
1.3Е-05 |
|
Риск 2 |
0 |
0 |
3 |
-1 |
-3 |
3 |
0 |
0 |
0 |
0 |
0 |
0 |
<= |
0 |
1,1Е—04 |
|
РискЗ |
0 |
0 |
0 |
-1 |
0 |
3 |
-3 |
2 |
0 |
0 |
0 |
0 |
<= |
0 |
І.2Е-05 |
|
Риск 4 |
0 |
0 |
0 |
-1 |
0 |
0 |
0 |
2 |
-3 |
2 |
0 |
0 |
<= |
0 |
1.7Е-03 |
|
Риск 5 |
0 |
0 |
0 |
-1 |
0 |
0 |
0 |
2 |
0 |
2 |
-3 |
0 |
<= |
0 |
0 |
|
Риск 6 |
0 |
0 |
0 |
-1 |
0 |
0 |
0 |
0 |
0 |
2 |
0 |
-3 |
<= |
0 |
0 |
|
Solution |
55,846 |
2,525 |
13,763 |
33,712 |
2,546 |
2,1 Е—02 |
3,9Е—03 |
16,83 |
0 |
0,026 |
0 |
17,924 |
|
55,846 |
|
С учетом риска получаем задачу с 12 переменными и 13 ограничениями. Проводя расчеты, получаем следующие результаты: _

С учетом возможности вложения дополнительных 20 тыс. руб. четвертое ограничение будет иметь вид Решая модифицированную задачу, получаем следующий результат:
|
|
1 |
41 |
ВІ |
D\ |
42 |
Bl |
43 |
0 |
44 |
C4 |
45 |
46 |
|
|
|
|
Maximize |
1 |
0 |
0 |
0 |
0 |
0 |
0 |
0 |
0 |
0 |
0 |
0 |
|
|
|
|
Начало месяца 1 |
0 |
1 |
1 |
1 |
0 |
0 |
0 |
0 |
0 |
0 |
0 |
0 |
= |
50 |
1,117 |
|
Начало месяца 2 |
0 |
1,017 |
0 |
0 |
-1 |
-1 |
0 |
0 |
0 |
0 |
0 |
0 |
= |
0 |
-1,098 |
|
Начало месяца 3 |
0 |
0 |
1,035 |
0 |
1,017 |
0 |
-1 |
-1 |
0 |
0 |
0 |
0 |
- |
0 |
-1,080 |
|
Начало месяца 4 |
0 |
0 |
0 |
0 |
0 |
-1,035 |
-1,017 |
0 |
1 |
1 |
0 |
0 |
= |
20 |
-1,061 |
|
Начало месяца 5 |
0 |
0 |
0 |
0 |
0 |
0 |
J |
0 |
1,017 |
0 |
-1 |
0 |
= |
0 |
-1,038 |
|
Начало месяца 6 |
0 |
0 |
0 |
0 |
0 |
0 |
0 |
1,065 |
0 |
0 |
1,017 |
-1 |
= |
0 |
-1,017 |
|
Начало месяца 7 |
-1 |
0 |
0 |
1,115 |
0 |
0 |
0 |
0 |
0 |
1,065 |
0 |
1,017 |
= |
0 |
-1 |
|
Риск 1 |
0 |
-3 |
3 |
-1 |
0 |
0 |
0 |
0 |
0 |
0 |
0 |
0 |
<= |
0 |
0 |
|
Риск 2 |
0 |
0 |
3 |
-1 |
-3 |
3 |
0 |
0 |
0 |
0 |
0 |
0 |
<= |
0 |
0 |
|
РискЗ |
0 |
0 |
0 |
-1 |
0 |
3 |
-3 |
2 |
0 |
0 |
0 |
0 |
<= |
0 |
0 |
|
Риск 4 |
0 |
0 |
0 |
-1 |
0 |
0 |
0 |
2 |
-3 |
2 |
0 |
0 |
<= |
0 |
1,96E—03 |
|
Риск 5 |
0 |
0 |
0 |
-1 |
0 |
0 |
0 |
2 |
0 |
2 |
-3 |
0 |
<= |
0 |
0 |
|
Риск 6 |
0 |
0 |
0 |
-1 |
0 |
0 |
0 |
0 |
0 |
2 |
0 |
-3 |
<= |
0 |
0 |
|
Solution |
77,07 |
0 |
3,257 |
46,743 |
0 |
0 |
0 |
3,371 |
0 |
20 |
0 |
3,590 |
|
77,07 |
|
Ответы: 1. 56051 руб. 2. 1,12 руб. 3. 55846 руб. 4. 205руб. 5. 21019 руб.
Задача 3.
Решение.
Пусть хь Х5 — размер вклада в соответствующий проект, х6, Х7, х8 — размер вклада в банк, а х9 —
размер дохода.
|
|
*1 |
Х2 |
Хі |
Х4 |
Х5 |
Х6 |
XI |
ЛЯ |
Х9 |
|
|
|
Maximize |
0 |
0 |
0 |
0 |
0 |
0 |
0 |
0 |
1 |
|
|
|
2003 |
1 |
0 |
1 |
0 |
1 |
1 |
0 |
0 |
0 |
= |
20 |
|
2004 |
0,3 |
-1 |
0 |
0 |
0 |
1,06 |
-I |
0 |
0 |
= |
0 |
|
2005 |
1 |
0,3 |
0 |
-1 |
1,2 |
0 |
1,06 |
-1 |
0 |
= |
0 |
|
2006 |
0 |
1 |
1,75 |
1,4 |
0 |
0 |
0 |
1,06 |
-1 |
= |
0 |
|
Проект 1 |
1 |
0 |
0 |
0 |
0 |
0 |
0 |
0 |
0 |
<= |
10 |
|
Проект 2 |
0 |
1 |
0 |
0 |
0 |
0 |
0 |
0 |
0 |
<= |
10 |
|
Проект 3 |
0 |
0 |
1 |
0 |
0 |
0 |
0 |
0 |
0 |
<= |
10 |
|
Проект 4 |
0 |
0 |
0 |
1 |
0 |
0 |
0 |
0 |
0 |
<= |
10 |
|
Проект 5 |
0 |
0 |
0 |
0 |
1 |
0 |
0 |
0 |
0 |
<= |
10 |
Задача описывается с помощью модели линейного программирования:_
Проводя расчеты, получаем следующий результат:
|
|
XI |
XI |
АЗ |
Л4 |
Х5 |
Х6 |
XI |
Х8 |
Х9 |
|
|
|
|
Maximize |
0 |
0 |
0 |
0 |
0 |
0 |
0 |
0 |
1 |
|
|
|
|
2003 |
1 |
0 |
1 |
0 |
1 |
1 |
0 |
0 |
0 |
= |
20 |
1,4554 |
|
2004 |
0,3 |
-1 |
0 |
0 |
0 |
1,06 |
-1 |
0 |
0 |
= |
0 |
-1,318 |
|
2005 |
1 |
0,3 |
0 |
-1 |
1,2 |
0 |
1,06 |
-1 |
0 |
= |
0 |
-1,06 |
|
2006 |
0 |
1 |
1,75 |
1,4 |
0 |
0 |
0 |
1,06 |
-1 |
= |
0 |
-1 |
|
Проект 1 |
1 |
0 |
0 |
0 |
0 |
0 |
0 |
0 |
0 |
<= |
10 |
0 |
|
Проект 2 |
0 |
1 |
0 |
0 |
0 |
0 |
0 |
0 |
0 |
<= |
10 |
0 |
|
Проект 3 |
0 |
0 |
1 |
0 |
0 |
0 |
0 |
0 |
0 |
<= |
10 |
0,2946 |
|
Проект 4 |
0 |
0 |
0 |
1 |
0 |
0 |
0 |
0 |
0 |
<= |
10 |
0,34 |
|
Проект 5 |
0 |
0 |
0 |
0 |
1 |
0 |
0 |
0 |
0 |
<= |
10 |
0 |
|
Solution |
10 |
3 |
10 |
10 |
0 |
0 |
0 |
0,9 |
35,45 |
|
35,45 |
|
Ответы: 1. 35,45 млн руб. 2. 3 млн руб. 3. В 2005 г. 4. 1,45 руб.
Глава 5. Транспортная задача Цели
В данной главе рассматривается задача транспортировки продукта, который в определенных количествах предлагается различными производителями. Известны потребности нескольких потребителей в этом продукте. Требуется определить, от каких производителей и в каких объемах должны получать продукт потребители. Поставки должны осуществляться таким образом, чтобы совокупные издержки на транспортировку продукта были минимальными.
После того как вы выполните задания, предлагаемые в этой главе, вы будете уметь составлять и использовать для экономического анализа:
• замкнутую и открытую транспортные задачи;
• транспортную задачу с запретами;
• транспортную задачу с фиксированными перевозками;
• транспортную задачу с ограничениями на пропускную способность;
• транспортную задачу с фиксированными доплатами;
• транспортную таблицу.
Модели
Обозначения:
аі — величина предложения продукта в пункте i (i = 1, ..., n); bj — величина спроса на продукт в пункте j (j = 1,..., т);
Cj — затраты на транспортировку единицы продукта из пункта i в пункт j; Xj — количество продукта, перевозимого из пункта i в пункт j.
Модель транспортной задачи:
|
т |
(1) |
¦1м
II
J5
II
а |
(2) |
|
?ху= bj, j = \, ..., т, |
(3) |
|
Ху> 0, я; j= 1,. |
..,т. (4) |
Здесь (1) — целевая функция (минимум затрат на транспортировку продукта);
(2) — ограничения по величине предложения в каждом пункте производства;
(3) — ограничения по величине спроса в каждом пункте потребления;
(4) — условия неотрицательности объемов перевозок.
1. Замкнутая транспортная задача. Общее предложение равно общему спросу:
Z о, = Е Ь,.
/=І ' j=\ J
Это необходимое и достаточное условие существования допустимого плана задачи (1)—(4).
2. Открытая транспортная задача.
і І а, > I bj
a) ' 1 J~l J — излишек продукта
Способ сведения к замкнутой задаче. Пусть Ъ„
величина избытка продукции, т.е.
т+і - штраф за единицу продукта, не реализованного в пункте i; у. — количество продукта, не реализованного в пункте i.
Ьт+1 — ,?іа: _bj> Cj
продукта, не реали
Замкнутая транспортная задача имеет вид

гл I I а, < I Ь: л ,
о) *=1 ' J=l 1 —дефицит продукта.
Способ сведения к замкнутой задаче. Пусть а^\ — величина дефицита продукции, т.е.
ап+і ?, bj ~ 2 Oj, cn+ij ф .
J~ - штраф за единицу продукта, недопоставленного в пункт j; у. — количество
продукта, недопоставленного в пункту.
Замкнутая транспортная задача имеет вид

3. Транспортная задача с запретами. Пусть Е — множество пар индексов (j), таких, что из пункта i в пункт j допускается транспортировка продукта. Между любыми другими двумя пунктами транспортировка не допускается.
Пусть М— большое число, например М= шах (с,-) шах { Е Ьп Е аЛ, і = 1, n\j = 1, т.
У js. 1 J і= 1 *
_ Г Су, если (i,j) е Е,
Тогда У ІЖ если (i,j) е Е.
* т п
„ ,х„ . „ Е Е $пхп -мпіп .
В оптимальном плане { 1 } транспортной задачи j=i,=i j j при ограничениях (2)—(4) хц = 0, если
(i,j) ? Е.
4. Транспортная задача с фиксированными перевозками. Если объем перевозок между пунктами i и j задан, то в задаче (1)—(4) вводится дополнительное ограничение: х. = ?., где v. — заданный объем перевозок.
5. Транспортная задача с ограничениями на пропускную способность. Если объем перевозок из пункта i в пункт j ограничен величиной Wj, то в задаче (1)—(4) вводится дополнительное ограничение: Xij < Wj.
6. Транспортная задача с фиксированными доплатами. Предположим, что в открытой транспортной задаче имеет место дефицит продукта и для его устранения в пунктах i = п + 1, ..., к возможно создание новых мощностей d
Пусть переменные z. = 1, если в пункте i (i = п + 1, ..., к) вводятся мощности di и z. = 0, если в пункте i мощности не вводятся. Издержки на ввод мощностей d, в пункте i (i = n + 1, ..., к) составляют и..
С учетом возможности создания новых мощностей транспортная задача может быть записана в следующем виде:
т к к
Е X С„ X:: + X 14: Zj ГП1П,
= 1/*1 У У . = «4-1 1 1
>W-1
т
X х7 2=1 ?
=л+1 /= 1
Хх^.г,.,
,?.*0 = V J
х(/ - о»
. . п,
і = п + 1, = 1, ..., /и, 1, .... к:
(5)
(6)
(7)
(8)
і= і, .... л; ;= 1, т. (9)
Здесь (5) — целевая функция (минимум затрат на транспортировку и ввод мощностей);
(6) — ограничения по величине предложения в каждом существующем пункте производства;
(7) — ограничения по величине предложения в каждом новом пункте производства;
(8) — ограничения по величине спроса в каждом пункте потребления;
(9) — условия неотрицательности объемов перевозок.
Помимо непрерывных переменных Ху в модель включены булевы переменные ziv Задача (5)—(9) является задачей линейного программирования со «смешанными» переменными.
Все приведенные модели описывают транспортную задачу в виде задачи линейного программирования. В такой форме она может быть решена стандартными средствами линейного программирования, например симплекс-методом.
Для решения транспортной задачи могут быть использованы также и менее трудоемкие (по объему вычислений) алгоритмы, например метод потенциалов.
Большинство специальных алгоритмов решения транспортной задачи использует исходную информацию в форме транспортной таблицы:
Пункт по-х^гребления
Пункт X.
производствах. |
1 |
2 |
|
j |
|
m |
Пред
ложе
ние |
|
1 |
сн |
С12 |
|
Clj |
|
cim |
°i |
|
2 |
С21 |
С22 |
|
cv |
|
C2m |
a2 |
|
|
|
... |
|
|
|
|
|
|
І |
С/І |
сд |
|
ci> |
|
c/m |
|
|
|
|
|
|
|
|
|
|
|
п |
С„1 |
Сп2 |
|
c«j |
|
^nm |
°n |
|
Спрос |
*1 |
h |
... |
bJ |
... |
ьт |
|
Оптимальный план перевозок имеет вид
|
|
|
*11 |
*1*2 |
|
|
|
xL |
|
*21 |
*22 |
|
*v |
|
*2™ |
|
|
|
|
|
|
|
|
|
|
|
|
|
|
|
*/i |
*,2 |
|
xa |
|
Літ |
|
|
|
|
|
|
|
|
|
|
|
¦ |
|
|
|
*«l |
*„2 |
|
** |
|
Лпт |
|
Примеры |
Пример 1. Определение плана перевозок.
Компания, занимающаяся добычей железной руды, имеет четыре карьера. Производительность карьеров соответственно 170, 130, 190 и 200 тыс. т ежемесячно. Железная руда направляется на три принадлежащие этой компании обогатительные фабрики, мощности которых соответственно 250, 150 и 270 тыс. т в месяц.
Транспортные затраты (в тыс. руб.) на перевозку 1 тыс. т руды с карьеров на фабрики указаны в следующей таблице:
|
^\Фабрика |
1 |
2 |
3 |
|
Карьер^\^ |
|
|
|
|
1 |
7 |
3 |
5 |
|
2 |
5 |
4 |
6 |
|
3 |
4 |
5 |
6 |
|
4 |
3 |
2 |
5 |
Определите план перевозок железной руды на обогатительные фабрики, который обеспечивает минимальные совокупные транспортные издержки.
Вопросы:
1. Сколько руды следует перевозить с карьера 1 на обогатительную фабрику 2?
2. Сколько руды следует перевозить с карьера 4 на обогатительную фабрику 1?
3. Какой объем мощностей по добыче руды окажется неиспользованным?
4. Каковы минимальные совокупные транспортные издержки?
 |
|
издержки: |
|
^\Фабрика |
1 |
2 |
3 |
|
Карьер^\. |
|
|
|
|
1 |
|
10/30 |
160/800 |
|
2 |
|
|
110/660 |
|
3 |
190/760 |
|
|
|
4 |
60/180 |
140/280 |
|
Минимальные совокупные издержки составляют 2710 тыс. руб.
Ответы: 1.10 тыс. т. 2. 60 тыс. т.
3. 20 тыс. т. 4. 2710 тыс. руб.
Пример 2. Задача агрегированного планирования.
Компания «Родник» производит и реализует в России концентрат для приготовления фруктового напитка «Солнышко». Производство осуществляется на заводе в Самаре. Отдел сбыта компании «Родник» заключил договоры на поставку концентрата в следующем объеме: апрель — 55 т, май — 70 т, июнь — 75 т. При работе в две смены на собственном оборудовании компания может производить в месяц до 50 т концентрата. Если использовать сверхурочное время, можно увеличить объем производства на 5 т в месяц. В апреле начальный запас концентрата на складе составит 10 т.
Нетрудно видеть, что даже при использовании сверхурочного времени и складских запасов концентрата выполнить договоры не удастся. Поэтому в целях выполнения договорных обязательств принято решение арендовать оборудование акционерного общества «Волжанка». За счет аренды появляется возможность увеличить производство концентрата на 12 т в апреле, на 12 т в мае и на 10 т в июне.
Известно, что производство 1 т концентрата в регулярном режиме двухсменной работы оборудования обходится в 60 тыс. руб. При использовании сверхурочного времени издержки увеличиваются на 20 тыс. руб. за тонну.
Производство 1 т концентрата на арендованном оборудовании обходится в 90 тыс. руб. Издержки хранения 1 т концентрата в течение месяца — 1 тыс. руб.
Договоры предусматривают штрафные санкции в случае несвоевременной поставки концентрата. При задержке поставок на один месяц компания должна будет заплатить штраф в размере 3 тыс. руб. за тонну.
Составьте план использования собственных и арендуемых мощностей для компании «Родник» на каждый месяц второго квартала.
Вопросы:
1. Чему равно значение коэффициента транспортной таблицы, соответствующего регулярному использованию собственных мощностей компании в апреле для удовлетворения спроса на май?
2. Чему равно значение коэффициента транспортной таблицы, соответствующего регулярному использованию собственных мощностей компании в мае для удовлетворения спроса на апрель?
3. При каких минимальных издержках можно выполнить заключенные на второй квартал договоры?
4. Какое количество концентрата следует производить в апреле на арендуемом оборудовании?
5. Какой размер штрафных санкций за несвоевременную поставку концентрата предусмотрен планом?
6. Какая величина запаса концентрата на начало июня предусмотрена планом?
7. Чему равны издержки выполнения договоров на июнь?
|
|
Апрель |
Май |
Июнь |
Мощность |
|
Начальный запас |
0 |
1 |
2 |
10 |
|
Апрель |
Регулярное время |
60 |
61 |
62 |
50 |
|
Сверхурочное время |
80 |
81 |
82 |
5 |
|
Арендное время |
90 |
91 |
92 |
12 |
|
Май |
Регулярное время |
63 |
60 |
61 |
50 |
|
Сверхурочное время |
83 |
80 |
81 |
5 |
|
Арендное время |
93 |
90 |
91 |
12 |
|
Июнь |
Регулярное время |
66 |
63 |
60 |
50 |
|
Сверхурочное время |
86 |
83 |
80 |
5 |
|
Арендное время |
96 |
93 |
90 |
10 |
|
Спрос |
55 |
70 |
75 |
|
Решение. Для составления плана используем модель транспортной задачи. Транспортная таблица в этом случае имеет следующий вид:___
Например, значение 1 коэффициента в первой строке транспортной таблицы (при использовании начального запаса для удовлетворения спроса в мае) показывает, что издержки хранения 1 т концентрата в течение месяца (апрель) составят 1 тыс. руб.
Значение 2 коэффициента в первой строке (при использовании начального запаса для удовлетворения спроса в июне) показывает, что издержки хранения 1 т концентрата в течение двух месяцев (апрель, май) составят 2 тыс. руб.
Значение 60 коэффициента во второй строке матрицы (при регулярном использовании собственных мощностей в апреле для удовлетворения спроса в апреле) соответствует производственным издержкам — 60 тыс. руб./т.
Значение 66 коэффициента в восьмой строке матрицы (при регулярном использовании собственных мощностей в июне для выполнения договоров, заключенных на апрель) превышает производственные издержки (60 тыс. руб./т) на величину штрафных санкций (6 тыс. руб./т) за несвоевременную (с опозданием на два месяца) поставку каждой тонны концентрата.
|
Используя приведенную выше транспортную таблицу, получаем следующее решение задачи: |
|
|
|
|
Апрель |
Май |
Июнь |
Резерв
мощности |
|
Начальный запас |
10 |
|
|
|
|
Апрель |
Регулярное время |
45 |
5 |
|
|
|
Сверхурочное время |
|
5 |
|
|
|
Арендное время |
|
3 |
|
9 |
|
Май |
Регулярное время |
|
50 |
|
|
|
Сверхурочное время |
|
5 |
|
|
|
Арендное время |
|
2 |
10 |
|
|
Июнь |
Регулярное время |
|
|
50 |
|
|
Сверхурочное время |
|
|
5 |
|
|
Арендное время |
|
|
10 |
|
В соответствии с этим решением из 50 т концентрата, произведенного на регулярных мощностях в апреле, 45 т следует использовать при выполнении договоров, заключенных на апрель, 5т— при выполнении договоров, заключенных на май.
В апреле на арендуемых мощностях следует произвести 3 т концентрата. При этом резерв мощности составит 9 т
В мае арендуемые мощности следует использовать полностью (12 т). При этом 2 т из этих 12 следует использовать для выполнения договоров, заключенных на май, а 10 т — для выполнения договоров, заключенных на июнь.
|
Статьи расходов |
За месяц |
Объем
произ
водства |
Удельные
издержки |
Издерж
ки |
|
Начальный запас |
Апрель |
10 |
0 |
0 |
|
Апрель |
Регулярное время |
Апрель |
45 |
60 |
2700 |
|
Май |
5 |
61 |
305 |
|
Сверхурочное время |
Май |
5 |
81 |
405 |
|
Арендное время |
Май |
3 |
91 |
273 |
В следующей таблице минимальные совокупные издержки (12 473 тыс. руб.), соответствующие оптимальному плану использования мощностей, специфицированы по различным статьям расходов:
Окончание таблицы
|
Статьи расходов |
За месяц |
Объем
произ
водства |
Удельные
издержки |
Издерж
ки |
|
|
Регулярное время |
Май |
50 |
60 |
3000 |
|
Май |
Сверхурочное время |
Май |
5 |
80 |
400 |
|
Арендное время |
Май |
2 |
90 |
180 |
|
|
Июнь |
10 |
91 |
910 |
|
|
Регулярное время |
Июнь |
50 |
60 |
3000 |
|
Июнь |
Сверхурочное время |
Июнь |
5 |
80 |
400 |
|
|
Арендное время |
Июнь |
10 |
90 |
900 |
|
|
Итого |
12 473 |
При использовании регулярных мощностей удельные производственные издержки составляют 60 тыс. руб./т.
В случае регулярного использования собственных мощностей в апреле для выполнения договоров, заключенных на май, значение коэффициента транспортной таблицы превышает производственные издержки (60 тыс. руб./т) на величину удельных затрат на хранение концентрата (1 тыс. руб./т). Значение коэффициента равно 61 тыс. руб./т.
В случае регулярного использования собственных мощностей в мае для выполнения договоров, заключенных на апрель, значение коэффициента транспортной таблицы превышает производственные издержки (60 тыс. руб./т) на величину штрафных санкций (3 тыс. руб./т) за несвоевременную (с опозданием на один месяц) поставку каждой тонны концентрата. Значение коэффициента равно 63 тыс. руб./т.
Ответы: 1. 61 тыс. руб./т. 2. 63 тыс. руб./т. 3. 12 473 тыс. руб. 4. 3 т 5. 0 руб. 6. 10 т 7. 5210 тыс. руб.
Вопросы
Вопрос 1. Транспортная задача является частным случаем задачи:
1) линейного программирования;
2) регрессионной;
3) статистической;
4) имитационной;
5) о назначениях.
Вопрос 2. Рассматривается открытая транспортная задача, в которой суммарные запасы M поставщиков больше, чем суммарные потребности N потребителей. На сколько увеличится число переменных задачи после приведения ее к замкнутому виду?
Варианты ответов:
2) на N; 2) на М; 3)на N+M; 4) на N • М; 5) останется без изменения.
Вопрос 3. Рассматривается транспортная задача, сформулированная как задача линейного программирования. Объемы перевозок измеряются в тоннах, значение целевой функции — в рублях. В каких единицах измеряется значение коэффициента целевой функции?
Варианты ответов:
1) руб.; 2) руб./т; 3) т/руб.; 4) т; 5) безразмерная величина.
Вопрос 4. Рассматривается открытая транспортная задача, в которой суммарные запасы M поставщиков меньше, чем суммарные потребности N потребителей. На сколько увеличится число переменных задачи после приведения ее к замкнутому виду?
Варианты ответов:
1) на N; 2)на М; 3) на N+M; 4) на N • М; 5) останется без изменения.
Вопрос 5. В открытой транспортной задаче:
1) величина совокупного предложения больше величины совокупного спроса;
2) величина совокупного предложения меньше величины совокупного спроса;
3) величина совокупного предложения равна величине совокупного спроса;
4) величина совокупного предложения не равна величине совокупного спроса;
5) ограничения сформулированы в виде неравенств.
Задачи
Задача 1. Фирма по прокату автомобилей «Золотое кольцо России» собирает заявки на аренду во всех городах центра России. Клиент имеет возможность получить автомобиль в любом удобном для него населенном пункте и оставить его в любом месте, где он заканчивает путешествие, в том числе и в своем родном городе. Работники фирмы забирают оставленные автомобили и перегоняют их для передачи новым клиентам.
Сейчас 4 автомобиля компании оставлены в Клину, 3 — в Ростове Великом, 6—в Ярославле и 1 — в Серпухове.
Имеются заказы на 5 автомобилей во Владимире, на 3 автомобиля в Санкт-Петербурге и на 6 автомобилей в Москве.
|
|
Владимир |
Санкт-Петербург |
Москва |
|
Клин |
300 |
550 |
100 |
|
Ростов Великий |
200 |
620 |
200 |
|
Ярославль |
350 |
570 |
250 |
|
Серпухов |
250 |
700 |
150 |
Расстояния между городами (в км) приведены в следующей таблице:_
Составьте план, по которому следует перегонять автомобили новым клиентам. Ориентируйтесь на минимизацию расстояния, которое пройдут все перегоняемые автомобили.
Вопросы:
1. Чему равно минимальное расстояние, которое должны пройти все автомобили?
2. Сколько автомобилей следует перегнать в Москву из Ярославля?
3. На сколько увеличится минимальное расстояние, которое должны пройти все автомобили, если дополнительно стало известно, что еще один автомобиль оставлен в Серпухове и еще один клиент появился в Москве?
Задача 2. Компания «Уют» производит пластмассовую мебель для отдыха на открытом воздухе. Основной продукт компании — стулья. Производство находится в Можайске, Наро-Фоминске и Туле. Сейчас на складе в Можайске находятся 7250 стульев, в Наро-Фоминске — 10 150, в Туле — 4350. Основными потребителями продукции компании «Уют» являются фирмы по оптовой продаже в Москве, Санкт-Петербурге, Минске и Воронеже. Сейчас эти фирмы готовы закупить соответственно 8800, 5800, 2900 и 2100 стульев.
|
|
Можайск |
Наро-Фоминск |
Тула |
|
Москва |
1,1 |
0,8 |
1,6 |
|
Санкт-Петербург |
2,6 |
2,4 |
3,4 |
|
Минск |
1,9 |
2,0 |
2,8 |
|
Воронеж |
2,2 |
2,1 |
1,7 |
Удельные затраты на перевозку стульев (в руб./шт.) указаны в следующей таблице:
Помогите компании «Уют» составить план транспортировки стульев потребителям.
Вопросы:
1. Чему равны минимальные издержки на перевозку всех стульев?
2. Сколько стульев компания должна перевозить в Москву из Можайска?
3. Какое количество стульев останется на складе в Туле?
4. Стало известно, что для сбыта в Москве не годятся стулья, сделанные в Туле, а для сбыта в Санкт-Петербурге — стулья из Наро-Фоминска. Не подходит цвет стульев. Составьте новый план перевозок с учетом этих условий. На сколько рублей увеличатся при этом совокупные транспортные издержки?
Задача 3. Компания, занимающаяся добычей железной руды, имеет четыре карьера С С4 (см. пример 1). Производительность карьеров соответственно 170, 150, 190 и 200 тыс. т ежемесячно. Железная руда направляется на три принадлежащие этой компании обогатительные фабрики Si S3, мощности которых соответственно 250, 150 и 270 тыс. т в месяц.
^\Фабрика
Карьер^\^ |
sl |
Ь |
¦*з |
|
с, |
7 |
3 |
8 |
|
|
5 |
4 |
6 |
|
С, |
4 |
5 |
9 |
|
С4 |
6 |
2 |
5 |
Транспортные затраты (в тыс. руб.) на перевозку 1 тыс. т руды с карьеров на фабрики указаны в следующей таблице: _
Определите план перевозок железной руды на обогатительные фабрики, который обеспечивает минимальные совокупные транспортные издержки.
Вопросы:
1. Сколько руды следует перевозить с карьера С на обогатительную фабрику S2?
2. Сколько руды следует перевозить с карьера С4 на обогатительную фабрику S3?
3. Какова общая минимальная стоимость перевозок?
4. Стало известно, что поставки с карьера С1 на обогатительную фабрику S2 нужно ограничить объемом 50 тыс. т К тому же из-за плохого состояния дороги перевозки с карьера С4 на обогатительную фабрику S3 невозможны. Определите новый план перевозок, учитывающий эти условия. На сколько возрастет стоимость перевозок?
5. Сколько руды следует перевозить с карьера С4 на обогатительную фабрику S2 с учетом дополнительной информации?
Задача 4. Фирма «Мойдодыр» оценила спрос на производимый ею лосьон для каждого из четырех следующих месяцев: 100 ящиков в июне, 140 — в июле, 170 — в августе и 90 — в сентябре. Без
использования сверхурочного времени фирма может производить до 125 ящиков лосьона в месяц. В сверхурочное время может быть произведено еще 25 ящиков в месяц, но производство каждого ящика обойдется при этом на 1 тыс. руб. дороже. Хранение одного ящика в течение месяца обходится в 100 руб.
Используя модель транспортной задачи, определите, сколько ящиков лосьона следует производить в каждый из этих месяцев, чтобы удовлетворить спрос с минимальными совокупными затратами.
Вопросы:
1. Сколько ящиков лосьона следует произвести в июне?
2. Сколько часов сверхурочного времени следует использовать в сентябре?
Задача 5. Фирма «Время — вперед» хочет разработать план сборки компьютеров. Прогноз спроса на компьютеры для каждого квартала следующего года показан в таблице:
|
Квартал |
Величина спроса |
|
I |
1000 |
|
II |
700 |
|
Ш |
3100 |
|
IV |
2500 |
При работе в одну смену фирма может каждый квартал собирать 1200 компьютеров. Издержки по сборке одного компьютера составляют 10 тыс. руб. Если ввести вторую смену, то ежеквартально можно собирать еще 800 компьютеров. Однако сборка каждого компьютера во вторую смену обходится дороже — 11 тыс. руб. Компьютер может быть произведен в одном квартале, а сбыт — в любом из последующих кварталов. В этом случае хранение каждого компьютера обходится в 500 руб. за квартал.
Составьте план производства, используя модель транспортной задачи.
Вопросы:
1. Сколько компьютеров следует собрать в первом квартале, чтобы удовлетворить спрос с минимальными совокупными затратами?
2. На сколько процентов следует использовать мощности второй смены в первом квартале?
3. Сколько компьютеров следует собрать во втором квартале?
4. Сколько компьютеров следует собрать во втором квартале во вторую смену для сбыта в третьем квартале?
5. Каковы минимальные издержки?
Ситуации
Ситуация 1. «Фургоны под жилье».
Фирма «Фургоны под жилье», возглавляемая Тони Риццо, занимается переделкой стандартных фургонов в бунгало для жилья. В зависимости от объема работы такая переделка обходится заказчику от 1000 до 5000 долл. За последние четыре года Тони Риццо расширил свое небольшое дело в Гери, Индиане и открыл филиалы в Чикаго, Милуоки, Миннеаполисе и Детройте.
Нововведения — основной фактор, позволивший добиться успеха в превращении маленькой фирмы в процветающее предприятие. Тони удалось придумать и создать множество приспособлений, пользующихся повышенным спросом у покупателей фургонов под жилье, например душевую кабину, сконструированную Тони через шесть месяцев после того, как была создана фирма. Эта кабина занимает вдвое меньше места, чем обычная, и может быть размещена не только в фургонах любого типа, но и в других местах рядом с фургоном. Душевая кабина сделана из фибергласа и снабжена вешалкой для полотенец, встроенным душем и держателем для шампуня. На производство каждой душевой кабины уходит два галлона фибергласа и три часа рабочего времени.
Большинство душевых кабин производилось в Гери, где была основана фирма. Фабрика в Гери может выпускать до 300 душевых кабин в месяц, но этого количества всегда было недостаточно. Все четыре магазина фирмы выражали недовольство недостаточным объемом поставок душевых кабин. К тому же Тони отдавал трем магазинам преимущество в снабжении по сравнению с четвертым в Миннеаполисе, так как последний находился дальше всех от Гери. Это приводило в бешенство менеджера фирмы в Миннеаполисе, и после длительных дискуссий Тони решил открыть другую фабрику по производству душевых кабин в Форт Вайне. Эта фабрика способна производить 150 душевых кабин в месяц. Новая фабрика в Форт Вайне все же не смогла полностью обеспечить спрос на душевые кабины. Тони знал, что в ближайшие годы спрос на них может только увеличиваться.
После консультаций со своим адвокатом и банкиром Тони принял решение как можно скорее открыть две новые фабрики. Каждая из них должна иметь такую же производительность, как фабрика в Форт Вайне. Был проведен предварительный анализ возможных мест расположения новых фабрик, и Тони решил, что две новые фабрики могут быть размещены в одном из трех мест: Детройте (штат Мичиган), Рокфорде (штат Иллинойс) или Мэдисоне (штат Висконсин). Тони знал, что выбрать место для расположения новых фабрик непросто. Важно учесть транспортные издержки для каждого возможного варианта размещения. Магазином в Чикаго управлял Билл Барч. Этот фирменный магазин был первым филиалом, открытым Тони, и его возможности превосходили возможности других магазинов. Фабрика в
Гери поставляла туда 200 душевых кабин в месяц, в то время как Билл знал, что может продать 300 кабин. Издержки на транспортировку одной душевой кабины из Гери в Чикаго составляют 10 долл., и, несмотря на то что удельные транспортные издержки от Форт Вайна вдвое выше, Билл всегда хотел добиться от Тони поставки оттуда 50 кабин. Две новые фабрики могли бы обеспечить Биллу поставку тех 100 кабин, которых ему недоставало. Транспортные издержки, разумеется, будут зависеть от того, где Тони откроет фабрики. Для Детройта удельные транспортные издержки составят 30 долл., для Рокфорда — 5 долл., а для Мэдисона — 10 долл.
Вилма Джексон, менеджер фирменного магазина в Милуоки, выражала недовольство недостаточным объемом поставок душевых кабин. В настоящее время спрос составлял 100 кабин и лишь наполовину удовлетворялся поставками с фабрики Форт Вайна. Она не могла понять, почему Тони не присылает ей все 100 кабин из Гери. Удельные транспортные издержки для Гери составляют 20 долл., в то время как для Форт Вайна — 30 долл. Вилма надеялась, что одним из мест размещения новой фабрики станет Мэдисон. Тогда она сможет получать необходимое количество душевых кабин при транспортных издержках всего 5 долл. Если не Мэдисон, то новая фабрика в Рокфорде тоже может удовлетворять потребности ее магазина. Правда, транспортные издержки в этом случае вдвое выше, чем для Мэдисона. Вилма не питает надежды на поставки из Детройта. Если новую фабрику откроют там, то транспортные издержки составят 40 долл.
Управляющим фирменным магазином в Миннеаполисе был Том Пански. Он получал 100 душевых кабин из Гери. Спрос составлял 150 шт Том имел наибольшие удельные транспортные издержки. Для Гери они составляли 40 долл. Если бы душевые кабины транспортировались из Форт Вайна, удельные транспортные издержки были бы на 10 долл. больше. Том надеялся, что в Детройте новой фабрики не будет, так как в этом случае транспортные издержки составили бы 60 долл. за одну кабину. Для Рокфорда и Мэдисона они будут 30 и 35 долл. соответственно.
Положение магазина в Детройте было таким же, как в Милуоки, только спрос удовлетворялся всего наполовину. Все 100 душевых кабин, которые получает Детройт, поступают из Форт Вайна. Для Форт Вайна транспортные издержки составляли 15 долл. за штуку, а для Гери — 25 долл. Дик Лопес, менеджер магазина в Детройте, высоко оценивал шансы строительства новой фабрики в Детройте. Она размещалась бы в пригороде, и удельные транспортные издержки составили бы всего 2 долл. Он мог бы получать 150 душевых кабин с новой фабрики в Детройте, а оставшиеся 50 кабин — из Форт Вайна. Два других места размещения фабрики представлялись ему неудачными. Рокфорд имел удельные транспортные издержки 35 долл., а Мэдисон — 40 долл.
Перед тем как созвать на совещание менеджеров своих магазинов, Тони несколько недель размышлял о том, где разместить новые фабрики. Проблема была комплексной, но цель ясна — минимизация общих издержек. Совещание, на котором присутствовали все менеджеры, кроме Вилмы, состоялось в Гери.
Тони: Благодарю за то, что приехали. Как вам известно, я решил открыть две новые фабрики в Рокфорде, Мэдисоне или Детройте. Это, разумеется, изменит положение, и вы сможете получить недостающее количество душевых кабин. Я знаю, что вы могли бы продавать больше, чем сейчас, и чувствую себя ответственным за эту ситуацию.
Дик: Тони, я много размышлял над этой проблемой и считаю, что местом размещения одной из новых фабрик должен стать Детройт. Сейчас я получаю лишь половину того количества кабин, которое могу продать. Мой брат Леон очень заинтересован в пуске фабрики, и я думаю, он хорошо справился бы с этой работой.
Том: Дик, я убежден, что Леон был бы на высоте, и я знаю, какие у вас проблемы из-за спада в автомобильной промышленности. Однако нам следует принимать во внимание издержки, а не персоналии. Я убежден, что новые фабрики надо открыть в Рокфорде и Мэдисоне. Мой магазин
слишком удален от других фабрик, и такое размещение позволит существенно снизить транспортные издержки.
Дик: Может быть, это и верно, но надо учитывать другие факторы. Детройт — один из основных потребителей фибергласа, и я интересовался ценами на него. Новая фабрика в Детройте сможет получать фиберглас на 2 долл. дешевле, чем в любом другом месте.
Том: В Мэдисоне прекрасная рабочая сила благодаря студентам Мэдисонского университета. Студенты — отличные рабочие, и они согласятся получать на 1 долл. в час меньше.
Билл: Хватит спорить. Ясно, что так мы не договоримся о том, где размещать новые фабрики. Давайте проголосуем и выберем два города.
Тони: Не думаю, что голосование — лучший способ выбора. К тому же Вилма не смогла приехать. Нам следовало бы учесть все эти факторы формальным образом.
Задания
1. Оцените избранную Тони стратегию поставок при двух действующих фабриках в предположении, что существующий объем поставок душевых кабин в магазины фирмы не может быть уменьшен. Обеспечивает ли она минимальные транспортные издержки?
2. Разработайте модель математического программирования, учитывающую все факторы, влияющие на принятие решения.
3. Проведите расчеты и определите наилучшие места для размещения новых фабрик. Обоснуйте ваши выводы результатами расчетов.
(Переработано из: Render В., Stair R. Quantitative Analysis for Management. 4th ed. — Boston: Allyn and Bacon, 1991)
Ситуация 2. «Мечта автомобилиста».
Фирма «Мечта автомобилиста» изготовляет сменные стекла для всех типов российских автомобилей. Фирма разработала и внедрила сложную систему прогнозирования спроса, использующую данные за последние годы для определения фактора сезонности и долгосрочных трендов. В таблице представлен агрегированный (для всех видов стекол) понедельный прогноз спроса на текущий год (в кг):
|
Дата |
Спрос |
Дата |
Спрос |
|
|
15 |
1829 |
Октябрь |
21 |
1754 |
|
Апрель |
22 |
1820 |
|
28 |
1800 |
|
|
29 |
1887 |
|
|
|
|
|
|
|
|
|
|
|
|
|
|
|
|
|
|
|
6 |
1958 |
Ноябрь |
11 |
1989 |
|
Май |
13 |
2011 |
|
18 |
2098 |
|
|
20 |
2063 |
|
25 |
2244 |
|
|
27 |
2104 |
|
|
|
|
|
|
|
|
7 |
2357 |
|
|
|
|
|
|
|
|
3 |
2161 |
|
9 |
2368 |
|
Июнь |
10 |
2258 |
Декабрь |
16 |
2387 |
|
|
17 |
2307 |
|
23 |
2402 |
|
|
24 |
2389 |
|
30 |
2418 |
|
|
1 |
2434 |
|
6 |
2417 |
|
|
8 |
2402 |
Январь |
13 |
2324 |
|
Июль |
15 |
2385 |
|
20 |
2204 |
|
|
22 |
2330 |
|
27 |
2188 |
|
|
29 |
2323 |
|
3 |
2168 |
|
|
|
|
|
|
|
5 |
2317 |
Февраль |
10 |
2086 |
|
Август |
12 |
2222 |
|
17 |
1954 |
|
|
19 |
2134 |
|
24 |
1877 |
|
|
26 |
2065 |
|
|
|
|
|
|
|
|
% |
1822 |
|
|
|
|
|
|
|
|
2 |
1973 |
|
10 |
1803 |
|
|
9 |
1912 |
Март |
17 |
1777 |
|
Сентябрь |
16 |
1854 |
|
24 |
1799 |
|
|
23 |
1763 |
|
31 |
1803 |
|
|
30 |
1699 |
|
|
|
|
|
|
|
|
7 |
1805 |
|
|
|
|
|
|
|
Октябрь |
7 |
1620 |
|
|
|
|
|
14 |
1689 |
|
|
|
Фирма «Мечта автомобилиста» использует прогнозы спроса для планирования объемов производства. При составлении плана производства фирма должна учесть издержки найма или увольнения рабочих, оплату сверхурочных, субподряда, издержки хранения готовой продукции.
Издержки хранения составляют 0,12 руб. за 1 кг в неделю. Согласно смете производственные издержки в настоящее время равны 20 руб. за 1 кг в неделю. Сумма затрат на каждого нанимаемого рабочего, приходящаяся на 1 кг продукции, составляет 5,63 руб. (данные издержки рассчитываются на основе затрат на обучение и средней производительности труда одного рабочего). Сумма затрат на каждого увольняемого, приходящаяся на 1 кг продукции, составляет 15,73 руб. (рассчитывается исходя из размера компенсационных выплат при увольнении и с учетом уменьшения престижа фирмы). При нормальном режиме работы (без сверхурочных) фирма может производить до 1900 кг стекла в неделю. Кроме того, может быть произведено до 100 кг при использовании субподряда, и еще 250 кг стекла в неделю «Мечта автомобилиста» может произвести на своих мощностях сверхурочно. Издержки для стекла, производимого сверхурочно, на 8 руб. за 1 кг больше, чем для производимого в обычное время. Издержки производства по субподряду на 2 руб. за 1 кг больше, чем при производстве сверхурочно (т.е. на 10 руб. за 1 кг выше, чем при производстве в обычном режиме).
В настоящее время запасы стекла на складе составляют 73 кг. Производство работает на полную мощность, выпуская 1900 кг продукции в неделю.
Задание
Составьте агрегированный план производства для фирмы «Мечта автомобилиста» в целях минимизации совокупных издержек. Примите во внимание различные предположения и варианты реализации производственной политики и покажите, как эти различия отразятся на вариантах планов.
Ответы и решения
Ответы на вопросы: 1—1, 2 — 2, 3—2, 4 — 1, 5—4.
Задача 1. Решение.
С учетом исходной информации транспортная таблица имеет вид
|
|
|
|
Владимир |
Санкт-Петербург |
Москва |
Предложение |
|
Клин |
300 |
550 |
100 |
4 |
|
Ростов Великий |
200 |
620 |
200 |
3 |
|
Ярославль |
350 |
570 |
250 |
' 6 |
|
Серпухов |
250 |
700 |
150 |
1 |
|
Спрос |
5 |
3 |
6 |
|
|
Результаты расчетов (оптимальный план доставки автомобилей): |
|
|
Владимир |
Санкт-
Петербург |
Москва |
|
Клин |
|
|
4 |
|
Ростов Великий |
3 |
|
|
|
Ярославль |
1 |
3 |
2 |
|
Серпухов |
1 |
|
|
|
Минимальное расстояние — 3810 км |
|
С учетом дополнительной информации транспортная таблица имеет вид |
|
|
|
|
Владимир |
Санкт-
Петербург |
Москва |
Предложение |
|
Клин |
300 |
550 |
100 |
4 |
|
Ростов Великий |
200 |
620 |
200 |
3 |
|
Ярославль |
350 |
570 |
250 |
6 |
|
Серпухов |
250 |
700 |
150 |
2 |
|
Спрос |
5 |
3 |
7 |
|
Оптимальный план доставки автомобилей:
|
|
Владимир |
Санкт-
Петербург |
Москва |
|
Клин |
|
|
4 |
|
Ростов Великий |
3 |
|
|
|
Ярославль |
|
3 |
3 |
|
Серпухов |
2 |
|
|
|
Минимальное расстояние — 3960 км |
Ответы: 1. 3810 км. 2. Два автомобиля. 3. На 150 км. Задача 2. Решение.
Транспортная таблица имеет вид
|
|
Москва |
Санкт-
Петербург |
Минск |
Воронеж |
Предложение |
|
Можайск |
1.1 |
2,6 |
1,9 |
2,2 |
7250 |
|
Наро-Фоминск |
0,8 |
2,4 |
2,0 |
2,1 |
10 150 |
|
Тула |
1,6 |
3,4 |
2,8 |
1,7 |
4350 |
|
Спрос |
8800 |
5800 |
2900 |
2100 |
|
Результаты расчетов (оптимальный план транспортировки стульев):
|
|
Москва |
Санкт-
Петербург |
Минск |
Воронеж |
|
Можайск |
|
4350 |
2900 |
|
|
Наро-Фоминск |
8700 |
1450 |
|
|
|
Тула |
100 |
|
|
2100 |
С учетом запретов на перевозки имеем следующую транспортную таблицу, гдеМ— большое число:
|
|
Москва |
Санкт-
Петербург |
Минск |
Воронеж |
Предложение |
|
Можайск |
1,1 |
2,6 |
1,9 |
2,2 |
7250 |
|
Наро-Фоминск |
0,8 |
М |
2,0 |
2,1 |
10 150 |
|
Тула |
М |
3,4 |
2,8 |
1,7 |
4350 |
|
Спрос |
8800 |
5800 |
2900 |
2100 |
|
С учетом дополнительных ограничений на перевозки модель имеет вид
|
|
*11 |
*12 |
*13 |
*21 |
*22 |
*23 |
*31 |
*32 |
*33 |
*41 |
*42 |
*43 |
|
|
|
Minimize |
7 |
3 |
8 |
5 |
4 |
6 |
4 |
5 |
9 |
6 |
2 |
5 |
|
|
|
Cl |
1 |
1 |
1 |
0 |
0 |
0 |
0 |
0 |
0 |
0 |
0 |
0 |
<= |
170 |
|
Cl |
0 |
0 |
0 |
1 |
1 |
1 |
0 |
0 |
0 |
0 |
0 |
0 |
<= |
150 |
|
Cl |
0 |
0 |
0 |
0 |
0 |
0 |
1 |
1 |
1 |
0 |
0 |
0 |
<= |
190 |
|
C4 |
0 |
0 |
0 |
0 |
0 |
0 |
0 |
0 |
0 |
1 |
1 |
1 |
<= |
200 |
|
51 |
1 |
0 |
0 |
1 |
0 |
0 |
1 |
0 |
0 |
1 |
0 |
0 |
>= |
250 |
|
52 |
0 |
1 |
0 |
0 |
1 |
0 |
0 |
1 |
0 |
0 |
1 |
0 |
>= |
150 |
|
53 |
0 |
0 |
1 |
0 |
0 |
1 |
0 |
0 |
1 |
0 |
0 |
1 |
>= |
270 |
|
*12<=50 |
0 |
1 |
0 |
0 |
0 |
0 |
0 |
0 |
0 |
0 |
0 |
0 |
<= |
50 |
II
О |
0 |
0 |
0 |
0 |
0 |
0 |
0 |
0 |
0 |
0 |
0 |
1 |
= |
0 |
Результаты расчетов:
|
|
*11 |
*12 |
*13 |
*21 |
*22 |
*23 |
*31 |
*32 |
*33 |
*41 |
*42 |
*43 |
|
|
|
|
Minimize |
7 |
3 |
8 |
5 |
4 |
6 |
4 |
5 |
9 |
6 |
2 |
5 |
|
|
|
|
Cl |
1 |
1 |
1 |
0 |
0 |
0 |
0 |
0 |
0 |
0 |
0 |
0 |
<= |
170 |
0 |
|
Cl |
0 |
0 |
0 |
1 |
1 |
1 |
0 |
0 |
0 |
0 |
0 |
0 |
<= |
150 |
2 |
|
Cl |
0 |
0 |
0 |
0 |
0 |
0 |
1 |
1 |
1 |
0 |
0 |
0 |
<= |
190 |
3 |
|
C4 |
0 |
0 |
0 |
0 |
0 |
0 |
0 |
0 |
0 |
1 |
1 |
1 |
<= |
200 |
1 |
|
51 |
1 |
0 |
0 |
1 |
0 |
0 |
1 |
0 |
0 |
1 |
0 |
0 |
>= |
250 |
-7 |
|
52 |
0 |
1 |
0 |
0 |
1 |
0 |
0 |
1 |
0 |
0 |
1 |
0 |
>= |
150 |
-3 |
|
53 |
0 |
0 |
1 |
C |
0 |
1 |
0 |
0 |
1 |
0 |
0 |
1 |
>= |
270 |
-8 |
|
*12<=50 |
0 |
1 |
0 |
0 |
0 |
0 |
0 |
0 |
0 |
0 |
0 |
0 |
<= |
50 |
0 |
, u>
II
о |
0 |
0 |
0 |
0 |
0 |
0 |
0 |
0 |
0 |
0 |
0 |
1 |
= |
0 |
2 |
|
Solution |
0 |
10 |
120 |
0 |
0 |
150 |
190 |
0 |
0 |
60 |
140 |
0 |
|
3290 |
|
Ответы: 1. 130 тыс. т 2. 180 тыс. т 3. 2930 тыс. руб. 4. На 360 тыс. руб. 5. 140 тыс. т Задача 4. Решение.
|
|
Июнь |
Июль |
Август |
Сен
тябрь |
Предло
жение |
|
Июнь |
Основное время |
0 , |
0,1 |
0,2 |
0,3 |
125 |
|
Сверхурочное время |
1 |
1,1 |
1,2 |
1,3 |
25 |
|
Июль |
Основное время |
М |
0 |
0,1 |
0,2 |
125 |
|
Сверхурочное время |
М |
1 |
1,1 |
1,2 |
25 |
|
Август |
Основное время |
М |
М |
0 |
0,1 |
125 |
|
Сверхурочное время |
М |
М |
1 |
1,1 |
25 |
|
Сентябрь |
Основное время |
М |
м |
м |
0 |
125 |
|
Сверхурочное время |
М |
м |
м |
1 |
25 |
|
Спрос |
100 |
140 |
170 |
90 |
|
Транспортная таблица имеет вид (издержки производства в основное время принимаются равными нулю; буква М означает запрет соответствующих «перевозок»)_
|
|
Июнь |
Июль |
Август |
Сен
тябрь |
Резерв |
|
Июнь |
Основное время |
100 |
25 |
|
|
|
|
Сверхурочное время |
|
|
|
|
25 |
|
Июль |
Основное время |
|
105 |
20 |
|
|
|
Сверхурочное время |
|
10 |
|
|
15 |
|
Август |
Основное время |
|
|
125 |
|
|
|
Сверхурочное время |
|
|
' 25 |
' |
|
|
Сентябрь |
Основное время |
|
|
|
90 |
35 |
|
Сверхурочное время |
|
|
|
|
25 |
Результаты расчетов:
Ответы: 1. 125 ящиков. 2. 0 часов. Задача 5. Решение.
|
|
Квартал
I |
Квартал
11 |
Квартал
111 |
Квартал
IV |
Предло
жение |
|
Квартал I |
Смена 1 |
10 |
10,5 |
11 |
11,5 |
1200 |
|
Смена 2 |
11 |
11,5 |
12 |
12,5 |
800 |
|
Квартал 11 |
Смена 1 |
М |
10 |
10,5 |
11 |
1200 |
|
Смена 2 |
М |
11 |
11,5 |
12 |
800 |
|
Квартал 111 |
Смена 1 |
М |
М |
10 |
10,5 |
1200 |
|
Смена 2 |
М |
м |
11 |
11,5 |
800 |
|
Квартал IV |
Смена 1 |
М |
м |
М |
10 |
1200 |
|
Смена 2 |
М |
м |
М |
11 |
800 |
|
Спрос |
1000 |
700 |
3100 |
2500 |
|
Транспортная таблица имеет вид
План производства:
|
|
Квартал
I |
Квартал
II |
Квартал
III |
Квартал
IV |
Резерв
мощ
ности |
|
Квартал I |
Смена 1 |
1000 |
200 |
|
|
|
|
Смена 2 |
|
|
100 |
|
700 |
|
Квартал II |
Смена 1 |
|
500 |
700 |
|
|
|
Смена 2 |
|
|
800 |
|
|
|
Квартал III |
Смена 1 |
|
|
1200 |
|
|
|
Смена 2 |
|
|
300 |
500 |
|
|
Квартал IV |
Смена 1 |
|
|
|
1200 |
|
|
Смена 2 |
|
|
|
800 |
|
Ответы: 1. 1300 компьютеров. 2. На 12,5%. 3. 2000 компьютеров. 4. 800 компьютеров. 5. 76700 тыс. руб.
Глава 6. Задача о назначениях Цели
В процессе управления производством зачастую возникают задачи назначения исполнителей на различные виды работ, например: подбор кадров и назначение кандидатов на вакантные должности, распределение источников капитальных вложении между различными проектами научнотехнического развития, распределение экипажей самолетов между авиалиниями.
Задачу о назначениях можно сформулировать следующим образом. Необходимо выполнить N различных работ. Для их выполнения можно привлечь N рабочих. Каждый рабочий за определенную плату готов выполнить любую работу. Выполнение любой работы следует поручить одному рабочему. Требуется так распределить работы между рабочими, чтобы общие затраты на выполнение всех работ были минимальными.
После того как вы выполните задания, предлагаемые в этой главе, вы будете уметь определять и использовать для экономического анализа:
• задачу о назначениях в стандартной форме;
• открытую задачу о назначениях;
• таблицу задачи о назначениях;
• матрицу назначений;
• эффективность назначений.
Модели
Пусть т — количество работ.
Задача о назначениях в стандартной форме. При рассмотрении задачи о назначениях в стандартной форме предполагается, что количество рабочих равно количеству работ.
Обозначения:
Cj — показатель эффективности назначения i-го рабочего на j-й работе, например издержки выполнения i-м рабочим j-й работы;
Xj — переменная модели (Ху = 1, если i-й рабочий используется на j-й работе, и Xj = 0 в противном случае).
Модель задачи о назначениях:

Здесь (1) — целевая функция (минимум издержек на выполнение всех работ);
(2) — система ограничений, отражающая следующие условия:
а) каждая работа должна быть выполнена одним рабочим;
б) каждый рабочий может быть привлечен к одной работе;
(3) — условия неотрицательности переменных.
При решении задачи о назначениях исходной информацией является таблица задачи о назначениях с=(сгу}, элементами которой служат показатели эффективности назначений. Для задачи о
|
назначениях, записанной в стандартной форме, количество строк этой таблицы совпадает с количеством столбцов: _ |
|
|
Работа
Рабочии^^ |
1 |
2 |
|
j |
|
т |
|
1 |
сп |
С\2 |
|
си |
|
сіт |
|
2 |
с2\ |
С22 |
|
с? |
|
с2т |
|
|
|
|
|
|
|
|
|
/ |
са |
Сі2 |
|
са |
|
сіт |
|
|
|
|
|
|
|
|
|
т |
Ст\ |
ст2 |
|
% |
|
стт |
|
* |
x
Результатом решения задачи о назначениях (1)—(3) является вектор х* = { і} }, компоненты которого — целые числа.
Оптимальный план задачи о назначениях (1)—(3) можно представить в виде квадратной матрицы назначений, в каждой строке и в каждом столбце которой находится ровно одна единица. Такую матрицу иногда называют матрицей перестановок. Значение целевой функции (1), соответствующее оптимальному плану, называют эффективностью назначений.
Задача о назначениях в открытой форме. Задача о назначениях в открытой форме возникает тогда, когда количество рабочих не равно количеству работ. В этих случаях задача может быть преобразована в задачу, сформулированную в стандартной форме.
Пусть, например, количество рабочих п превышает количество работ т.
Введем дополнительные фиктивные работы с индексами j = w + 1,..., п. Коэффициенты таблицы
назначений с? , i = 1,..., п; j = т + 1,..., п, положим равными нулю. В этом случае получаем задачу,
*
x
сформулированную в стандартной форме. Если в оптимальном плане этой задачи j = 1 при j = т + 1,..., п, то исполнитель i назначается на выполнение фиктивной работы, т.е. остается без работы. Заметим, что оптимальное значение целевой функции исходной задачи совпадает с оптимальным значением задачи, приведенной к стандартной форме. Поэтому эффективность назначений в результате такого преобразования не меняется.
Следует особо отметить, что задача о назначениях является частным случаем транспортной задачи, в которой количество пунктов производства совпадает с количеством пунктов потребления, а все величины спроса и величины предложения равны.
Примеры
Пример 1. Распределение работ.
|
^^^ІТрограмма |
1 |
2 |
3 |
4 |
5 |
|
Программист^^. |
|
|
|
|
|
|
Галкин |
46 |
59 |
24 |
62 |
67 |
|
Палкин |
47 |
56 |
32 |
55 |
70 |
|
Малкин |
44 |
52 |
19 |
61 |
60 |
|
Чалкин |
47 |
59 |
17 |
64 |
73 |
|
Залкинд |
43 |
65 |
20 |
60 |
75 |
Фирма получила заказы на разработку пяти программных продуктов. Для выполнения этих заказов решено привлечь пятерых наиболее опытных программистов. Каждый из них должен написать одну программу. В следующей таблице приведены оценки времени (в днях), необходимого программистам для выполнения каждой из этих работ:_
Оценки даны самими программистами, и у фирмы нет основания им не доверять.
Распределите работы между программистами, чтобы общее количество человекодней, затраченное на выполнение всех пяти заказов, было минимальным.
Вопросы:
1. Какое минимальное количество человекодней необходимо для выполнения всех пяти заказов?
2. Какую программу следует поручить Малкину?
3. Какую программу следует поручить Залкинду?
|
Решение. Таблица задачи о назначениях представлена в условии. Проведя расчеты, получаем следующую матрицу назначений:_ |
|
|
^''\ГІрограмма
Программист''-^. |
1 |
2 |
3 |
4 |
5 |
|
Галкин |
0 |
0 |
0 |
0 |
1 |
|
Палкин |
0 |
0 |
0 |
1 |
0 |
|
Малкин |
0 |
1 |
0 |
0 |
0 |
|
Чал кин |
0 |
0 |
1 |
0 |
0 |
|
Залкинд |
1 |
0 |
0 |
0 |
0 |
Учитывая исходную информацию, получаем следующий результат:
|
Программист |
Программа |
Количество
человекодней |
|
Галкин |
5 ' |
67 |
|
Палкин |
4 |
55 |
|
Малкин |
2 |
52 |
|
Чалкин |
3 |
17 |
|
Залкинд |
1 |
43 |
|
Итого |
234 |
Ответы: 1. 234 человекодня. 2. Программу 2. 3. Программу 1.
Вопросы
Вопрос 1. Задача о назначениях относится к классу задач:
1) линейного программирования;
2) эконометрических;
3) статистических;
4) имитационных;
5) не относится ни к одному из указанных классов.
Вопрос 2. Имеются две работы r1, r2, и два рабочих L\, L2, каждый из которых может выполнить любую

Решите задачу о назначениях. Чему равно минимальное время выполнения двух работ?
Варианты ответов:
1) 9; 2) 10; 3) 11; 4) 12; 5)13.
Вопрос 3. Как известно, задача о назначениях является частным случаем транспортной задачи. Какая из приведенных ниже характеристик транспортной таблицы, построенной для задачи о назначениях, наиболее правильная?
Варианты ответов:
1) объемы потребления равны единице, объемы поставок отличны от единицы;
2) объемы поставок равны единице, объемы потребления отличны от единицы;
3) матрица транспортных затрат квадратная, объемы поставок отличны от единицы;
4) матрица транспортных затрат квадратная, объемы потребления отличны от единицы;
5) матрица транспортных затрат прямоугольная, объемы поставок равны единице.
Вопрос 4. Оптимальный план задачи о назначениях можно представить в виде:
1) квадратной матрицы, в каждой строке которой находится одна единица;
2) квадратной матрицы, в каждом столбце которой находится одна единица;
3) квадратной матрицы, в каждой строке и в каждом столбце которой находится одна единица;
4) квадратной матрицы, в каждой строке которой находится хотя бы одна единица;
5) квадратной матрицы, в каждом столбце которой находится хотя бы одна единица.
Вопрос 5. Имеются две работы r1, r2 и трое рабочих Lb L2 и L3, каждый из которых может выполнить любую работу. Элемент а$ матрицы А показывает время, необходимое рабочему i для выполнения работы у.
Матрица А
|
Работа |
r\ |
Г2 |
|
Рабочий N. |
|
|
|
|
5 |
6 |
|
h |
2 |
3 |
|
|
4 |
7 |
Решите задачу о назначениях. Чему равно минимальное время выполнения двух работ?
Варианты ответов:
1) 5; 2) 6; 3) 7; 4) 8; 5) 9.
Задачи
Задача 1. Цех металлообработки получил срочный заказ на выпуск партии деталей. Для производства детали необходимо выполнить операции на четырех станках. В цехе работают четыре слесаря высокой квалификации, каждый из которых может работать на любом станке, но с различным процентом брака (процент брака известен из документации ОТК):
|
Станок |
1 |
2 |
3 |
4 |
|
Рабочий '—. |
|
|
|
|
|
1 |
2,3 |
1,9 |
2,2 |
2,7 |
|
2 |
1,8 |
2,2 |
2,0 |
1,8 |
|
3 |
2,5 |
2,0 |
2,2 |
3,0 |
|
4 |
2,0 |
2,4 |
2,4 |
2,8 |
Распределите станки между рабочими таким образом, чтобы процент брака был минимальным. (Предполагается, что ОТК проверяет готовую деталь, т.е. общий процент брака определяется как сумма процентов брака, допущенного всеми рабочими.)
Вопросы:
1. На каком станке должен работать рабочий 2?
2. Чему равен минимальный общий процент брака?
Задача 2. Воронежская фирма по производству мужских головных уборов планирует освоение новых рынков сбыта в пяти городах. Возможности сбыта невелики, так что в каждый город достаточно направить одного торгового представителя фирмы для заключения с магазинами договоров о поставках.
|
В следующей таблице указан объем спроса (в млн руб.): |
 |
|
Представитель |
77, |
|
|
п, |
Щ |
|
|
Оценка степени освоения рынка |
0,7 |
0,6 |
0,5 |
0,8 |
0,4 |
0,5 |
Фирма располагает данными о профессиональных возможностях шести своих сотрудников. В следующей таблице содержатся оценки степени освоения рынка, которую может обеспечить соответствующий торговый представитель фирмы:_
Так, представитель П1 может освоить 70% от объема спроса в любом городе. Например, если направить его в Москву, то доход фирмы на этом рынке составит 6,3 млн руб.
Распределите торговых агентов по городам таким образом, чтобы фирма получила максимальный доход. Вопросы:
1. Чему равен максимальный доход фирмы?
2. В какой город следует направить торгового представителя П1?
3. Кто из торговых представителей не будет использован?
Задача 3. Фирма получила заказы на разработку пяти программных продуктов. На фирме работают шесть квалифицированных программистов, которым можно поручить выполнение этих заказов. Каждый из них дал оценку времени (в днях), требуемого для разработки программ. Эти оценки приведены в следующей таблице:_
^?^ГІрограмма
Программист?- |
1 |
2 |
3 |
4 |
5 |
|
Галкин |
46 |
59 |
24 |
62 |
67 |
|
Пал кин |
47 |
56 |
32 |
55 |
70 |
|
Малкин |
44 |
52 |
19 |
61 |
60 |
|
Чалкин |
47 |
59 |
17 |
64 |
73 |
|
Залкинд |
43 |
65 |
20 |
60 |
75 |
|
Кузьмин |
41 |
53 |
28 |
54 |
68 |
Выполнение каждого из пяти заказов фирма решила поручить одному программисту. Ясно, что один из программистов не получит заказа.
Каждому программисту, которому будет поручено выполнять заказ, фирма предложила оплату 1 тыс. руб. в день. Распределите работу между программистами, чтобы общие издержки на разработку программ были минимальными.
Вопросы:
1. Чему равны минимальные издержки фирмы на выполнение всех пяти заказов?
2. Какую программу следует поручить Малкину?
3. Какую программу следует поручить Залкинду?
4. Кто из программистов не получит заказа?
5. Стало известным, что не все программисты согласились с условиями оплаты, обосновывая это тем, что имеют разную квалификацию. В результате была достигнута договоренность о следующих размерах оплаты в день (в тыс. руб.):

Изменится ли распределение работ между программистами при новых условиях оплаты труда? Каковы будут в этом случае общие минимальные издержки? б. Кто из программистов при новых условиях не получит заказа?
Задача 4. Пять учебных групп экономического факультета МГУ собираются посетить во время практики 10 предприятии и НИИ. Каждая учебная группа может посетить две организации. Путем опроса студентов выявлены предпочтения каждой группы для 10 организаций (1 означает «наиболее предпочтительна», а 10 — «наименее предпочтительна»). Предпочтения каждой из пяти учебных групп показаны в таблице (П-1 П-5 — промышленные предприятия; НИИ-1 НИИ-5 — научно
исследовательские институты):
|
^\Группа Орга- ^-2 низация |
1 |
2 |
3 |
4 |
5 |
|
П-1 |
3 |
2 |
1 |
4 |
2 |
|
П-2 |
2 |
5 |
3 |
3 |
5 |
|
П-3 |
1 |
1 |
2 |
1 |
1 |
|
П-4 |
4 |
3 |
5 |
2 |
3 |
|
П-5 |
6 |
7 |
4 |
6 |
6 |
|
НИИ-1 |
7 |
4 |
8 |
7 |
4 |
|
НИИ-2 |
10 |
8 |
6 |
10 |
9 |
|
НИИ-3 |
5 |
6 |
7 |
5 |
10 |
|
НИИ-4 |
9 |
9 |
10 |
9 |
8 |
|
НИИ-5 |
8 |
10 |
9 |
8 |
7 |
Определите, какие две организации должна посетить каждая группа, чтобы в максимальной степени были учтены предпочтения всех студентов.
Вопросы:
1. Чему равна сумма баллов, соответствующая наилучшему распределению групп по организациям?
2. Какая группа должна посетить НИИ-2?
3. Какую еще организацию должна посетить эта группа?
4. Деканат внес предложение, чтобы каждая группа посетила одно предприятие и один НИИ. Укажите теперь такой вариант распределения, чтобы каждой группе досталось по одному промышленному предприятию и одному НИИ. Чему равна сумма оценочных баллов в этом случае?
5. Какая группа должна посетить НИИ-5 при новых условиях?
6. Какую еще организацию должна посетить эта группа?
|
Рейсы из Москвы в Сочи |
Рейсы из Сочи в Москву |
Номер
рейса |
Время отправления |
Время
прибытия |
Номер
рейса |
Время отправления |
Время
прибытия |
|
по |
6:00 |
9:00 |
210 |
7:00 |
10:00 |
|
120 |
8:00 |
11:00 |
220 |
10:00 |
13:00 |
|
130 |
12:00 |
15:00 |
230 |
13:00 |
16:00 |
|
140 |
15:00 |
17:00 |
240 |
16:00 |
19:00 |
|
150 |
19:00 |
22:00 |
250 |
21:00 |
24:00 |
|
160 |
23:00 |
2:00 |
260 |
0:00 |
3:00 |
Задача 5. Самолеты компании «Аэрофлот» летают между Москвой и Сочи. Полеты беспосадочные. График движения показан в следующей таблице:_
Рейсы могут обслуживаться московскими или сочинскими экипажами. Любой экипаж выполняет пару рейсов — «туда и обратно». Время, необходимое для подготовки самолета к очередному рейсу, — один час. Требуется определить, какую пару рейсов следует выполнять каждому экипажу и из какого отряда, московского или сочинского, должен быть соответствующий экипаж. Распределение рейсов необходимо осуществить таким образом, чтобы суммарное время ожидания вылета в «чужом» городе было минимальным. Время ожидания не включает тот час, который уходит на подготовку самолета к очередному рейсу.
Вопросы:
1. Верно ли, что рейс 210 должен выполняться московским экипажем?
2. Верно ли, что рейсы 240 и 160 должны выполняться одним экипажем?
3. Верно ли, что рейс 160 должен обслуживаться сочинским экипажем?
4. Каково минимальное общее время пребывания экипажей в «чужих» городах?
5. Какое количество рейсов должны выполнять московские экипажи?
Ответы и решения
Ответы на вопросы: 1—1, 2 — 2, 3—5, 4 — 3, 5 —3.
Задача 1. Решение.
|
Таблица задачи о назначениях представлена в условии. Проводя оптимизационные расчеты, получаем следующую матрицу назначений: |
|
|
|
Станок |
1 |
2 |
3 |
4 |
|
Рабочий |
|
|
|
|
|
1 |
0 |
1 |
0 |
0 |
|
2 |
0 |
0 |
0 |
1 |
|
3 |
0 |
0 |
I |
0 |
|
4 |
1 |
0 |
0 |
0 |
Решение можно представить в следующем виде:
|
Рабочий |
Станок |
Процент
брака |
|
I |
2 |
1,9 |
|
2 |
4 |
1,8 |
|
3 |
3 |
2,2 |
|
4 |
1 |
2,0 |
|
Итого |
7,9 |
Ответы: 1. На станке 4. 2. 7,9%.
Задача 2. Решение.
Способ 1 (без проведения оптимизационных расчетов). Известно, что при любых неотрицательных аь b\, а2, b2 соотношение а\Ь\ + а2Ь2 > а2Ьі + а\Ь2 выполняется в случае, когда a1 > а2, и b1 > b2. Используя
это утверждение, можно показать, что максимальный доход будет в том случае, когда торговый представитель, обеспечивающий максимальную долю освоения рынка, будет направлен в город с максимальным объемом спроса, и т.д.
Способ 2. В таблице задачи о назначениях указан размер дохода (в млн руб.), который можно получить
 |
|
Проводя оптимизационные расчеты, получаем следующий результат: |
|
Город |
Предста
витель |
Доход, млн руб. |
|
Москва |
П* |
7,2 |
|
Санкт-Петербург |
Щ |
3 |
|
Новгород |
Щ |
2 |
|
Самара |
|
1,5 |
|
Ростов |
щ |
4,2 |
|
Остается дома (в Воронеже) |
щ |
0 |
|
Итого |
17,9 |
Ответы: 1. 17,9 млн руб. 2. В Ростов. 3. Представитель П5.
Задача 3. Решение.
В таблице задачи о назначениях указан размер оплаты (в тыс. руб.) в случае, если программисту будет поручена соответствующая программа:
^''\Программа
Программист |
1 |
2 |
3 |
4 |
5 |
6
(фиктивная) |
|
Галкин |
46 |
59 |
24 |
62 |
67 |
0 |
|
Палкин |
47 |
56 |
32 |
55 |
70 |
0 |
|
Малкин |
44 |
52 |
19 |
61 |
60 |
0 |
|
Чал кин |
47 |
59 |
17 |
64 |
73 |
0 |
|
Залкивд |
43 |
65 |
20 |
60 |
75 |
0 |
|
Кузьмин |
41 |
53 |
28 |
54 |
68 |
0 |
Проводя расчеты, получаем следующую матрицу назначений:
^\ГІрограмма
П рограммист^^_ |
1 |
2 |
3 |
4 |
5 |
6
(фиктивная) |
|
Галкин |
0 |
0 |
0 |
0 |
0 |
1 |
|
Палкин |
0 |
0 |
0 |
1 |
0 |
0 |
|
Малкин |
0 |
0 |
0 |
0 |
1 |
0 |
|
Чал кин |
0 |
0 |
1 |
0 |
0 |
0 |
|
Залкинд |
1 |
.0 |
0 |
0 |
0 |
0 |
|
Кузьмин |
0 |
1 |
0 |
0 |
0 |
0 |
Учитывая исходную информацию, получаем следующий результат:
|
Программист |
Программа |
Издержки, тыс. руб. |
|
Галкин |
Фиктивная |
0 |
|
Палкин |
4 |
55 |
|
Малкин |
5 |
60 |
|
Чал кин |
3 |
17 |
|
Залкинд |
1 |
43 |
|
Кузьмин |
2 |
53 |
|
Итого |
228 |
Из последней таблицы следует, что минимальные издержки составляют 228 тыс. руб., Малкину следует поручить программу 5, а Залкинду — программу 1. Заказа не получит Галкин.
При новых условиях оплаты труда таблица задачи о назначениях имеет следующий вид:
|
^''¦\Программа |
1 |
2 |
3 |
4 |
5 |
6
(фиктивная) |
|
Программист''--*. |
|
|
|
|
|
|
Галкин |
46 |
59 |
24 |
62 |
67 |
0 |
|
Палкин |
94 |
112 |
64 |
ПО |
140 |
0 |
|
Малкин |
66 |
78 |
28,5 |
91,5 |
90 |
0 |
|
Чал кин |
94 |
118 |
34 |
128 |
146 |
0 |
|
Залкинд |
64,5 |
97,5 |
30 |
90 |
112,5 |
0 |
|
Кузьмин |
82 |
106 |
56 |
108 |
136 |
0 |
Проводя расчеты, получаем следующую матрицу назначений:
^^*ГІрограмма
Программист'''-*. |
1 |
2 |
3 |
4 |
5 |
6
(фиктивная) |
|
Галкин |
0 |
0 |
0 |
0 |
1 |
0 |
|
Палкин |
0 |
0 |
0 |
0 |
0 |
1 |
|
Малкин |
0 |
1 |
0 |
0 |
0 |
0 |
|
Чал кин |
0 |
0 |
1 |
0 |
0 |
0 |
|
Залкинд |
0 |
0 |
0 |
1 |
0 |
0 |
|
Кузьмин |
1 |
0 |
0 |
0 |
0 |
0 |
В следующей таблице приведен итоговый результат:
|
Программист |
Программа |
Издержки, тыс. руб. |
|
Галкин |
5 |
67 |
|
Палкин |
Фиктивная |
0 |
|
Малкин |
2 |
78 |
|
Чал кин |
3 |
34 |
|
Залкинд |
4 |
90 |
|
Кузьмин |
1 |
82 |
|
Итого |
351 |
Ответы: 1. 228 тыс. руб. 2. Программу 5. 3. Программу 1. 4. Программист Галкин. 5. 351 тыс. руб.
6. Программист Палкин.
Задача 4. Решение.
В таблице задачи о назначениях указаны предпочтения каждой группы, при этом каждая группа представлена дважды, так как может посетить две организации:
Группа
Орпкч.
низания4-*. |
1 |
2 |
3 |
4 |
5 |
1 |
2 |
3 |
4 |
5 |
|
П-1 |
3 |
2 |
1 |
4 |
2 |
3 |
2 |
1 |
4 |
2 |
|
П-2 |
2 |
5 |
3 |
3 |
5 |
2 |
5 |
3 |
3 |
5 |
|
П-3 |
1 |
1 |
2 |
1 |
1 |
1 |
1 |
2 |
1 |
1 |
|
П-4 |
4 |
3 |
5 |
2 |
3 |
4 |
3 |
5 |
2 |
3 |
|
П-5 |
6 |
7 |
4 |
6 |
6 |
6 |
7 |
4 |
6 |
6 |
|
НИИ-1 |
7 |
4 |
8 |
7 |
4 |
7 |
4 |
8 |
7 |
4 |
|
НИИ-2 |
10 |
8 |
6 |
10 |
9 |
10 |
8 |
6 |
10 |
9 |
|
НИИ-3 |
5 |
6 |
7 |
5 |
10 |
5 |
6 |
7 |
5 |
10 |
|
НИИ-4 |
9 |
9 |
10 |
9 |
8 |
9 |
9 |
10 |
9 |
8 |
|
НИИ-5 |
8 |
10 |
9 |
8 |
7 |
8 |
10 |
9 |
8 |
7 |
Проводя оптимизационные расчеты, получаем следующий результат:
|
Организация |
Группа |
Оценочный
балл |
|
П-1 |
2 |
2 |
|
П-2 |
1 |
2 |
|
П-3 |
1 |
1 |
|
П-4 |
4 |
2 |
|
П-5 |
3 |
4 |
|
НИИ-1 |
2 |
4 |
|
НИИ-2 |
3 |
6 |
|
НИИ-3 |
4 |
5 |
|
НИИ-4 |
5 |
8 |
|
НИИ-5 |
5 |
7 |
|
Итого |
41 |
Если учесть предложение деканата, то надо решить две задачи о назначениях: сначала группы по предприятиям, затем — по НИИ. Эти две задачи можно представить оптимизационной задачи, имеющей следующую таблицу (М— большое число):
распределить в виде одной
|
ч. Группа Орга^ч. низания ч. |
1 |
2 |
3 |
4 |
5 |
1 |
2 |
3 |
4 |
5 |
|
П-1 |
3 |
2 |
1 |
4 |
2 |
м |
М |
м |
М |
М |
|
П-2 |
2 |
5 |
3 |
3 |
5 |
м |
м |
м |
М |
м |
|
П-3 |
1 |
1 |
2 |
1 |
1 |
м |
м |
м |
м |
м |
|
П-4 |
4 |
3 |
5 |
2 |
3 |
м |
м |
м |
м |
м |
|
П-5 |
6 |
7 |
4 |
6 |
6 |
м |
м |
м |
м |
м |
|
НИИ-1 |
М |
М |
М |
М |
м |
7 |
4 |
8 |
7 |
4 |
|
НИИ-2 |
м |
м |
М |
м |
м |
10 |
8 |
6 |
10 |
9 |
|
НИИ-3 |
м |
м |
м |
м |
м |
5 |
6 |
7 |
5 |
10 |
|
НИИ-4 |
м |
м |
м |
м |
м |
9 |
9 |
10 |
9 |
8 |
|
НИИ-5 |
м |
м |
м |
м |
м |
8 |
10 |
9 |
8 |
7 |
|
Группа Орга^ч! низания ч^ |
1 |
2 |
3 |
4 |
5 |
1 |
2 |
3 |
4 |
5 |
|
П-1 |
0 |
0 |
0 |
0 |
1 |
0 |
0 |
0 , |
0 |
0 |
|
П-2 |
1 |
0 |
0 |
0 |
0 |
0 |
0 |
0 |
0 |
0 |
|
П-3 |
0 |
1 |
0 |
0 |
0 |
0 |
0 |
0 |
0 |
0 |
|
П-4 |
0 |
0 |
0 |
1 |
0 |
0 |
0 |
0 |
0 |
0 |
|
П-5 |
0 |
0 |
1 |
0 |
0 |
0 |
0 |
0 |
0 |
0 |
|
НИИ-1 |
0 |
0 |
0 |
0 |
0 |
0 |
1 |
0 |
0 |
о |
|
НИИ-2 |
0 |
0 |
0 |
0 |
0 |
0 |
0 |
1 |
0 |
0 |
|
НИИ-3 |
0 |
0 |
0 |
0 |
0 |
0 |
0 |
0 |
1 |
0 |
|
НИИ-4 • |
0 |
0 |
0 |
0 |
0 |
1 |
0 |
0 |
0 |
0 |
|
НИИ-5 |
0 |
0 |
0 |
0 |
0 |
0 |
0 |
0 |
0 |
1 |
Минимизируя общую сумму баллов, получаем следующую матрицу назначений:
Ответ можно представить в виде следующей таблицы:
|
Организация |
Группа |
Оценочный
балл |
|
П-1 |
5 |
2 |
|
П-2 |
1 |
2 |
|
П-3 |
2 |
1 |
|
П-4 |
4 |
2 |
|
П-5 |
3 |
4 |
|
НИИ-1 |
2 |
4 |
|
НИИ-2 |
3 |
6 |
|
НИИ-3 |
4 |
5 |
|
НИИ-4 |
1 |
9 |
|
НИИ-5 |
5 |
7 |
|
Итого |
42 |
Ответы: 1. 41. 2. Группа 3. 3. Предприятие П-5. 4. 42. 5. Группа 5. 6. Предприятие П-1.
Задача 5. Решение.
Составляем таблицу задачи о назначениях, предполагая, что все рейсы выполняются московскими экипажами. Наименование столбца таблицы — номер рейса «Москва — Сочи» (М — С). Наименование строки — номер обратного рейса «Сочи — Москва» (С — М). В таблице для каждой возможной пары рейсов, выполняемых одним экипажем, указано время ожидания вылета в Сочи (в часах):
Московский экипаж
и
; |
ПО |
120 |
130 |
140 |
150 |
160 |
г
і
и |
|
|
|
|
|
|
|
210 |
21 |
19 |
15 |
13 |
8 |
4 |
|
220 |
0 |
22 |
18 |
16 |
11 |
7 |
|
230 |
3 |
1 |
21 |
19 |
14 |
10 |
|
240 |
6 |
4 |
0 |
22 |
17 |
13 |
|
250 |
11 |
9 |
5 |
3 |
22 |
18 |
|
260 |
14 |
12 |
8 |
6 |
1 |
21 |
Составляем таблицу задачи о назначениях, предполагая, что все рейсы выполняются сочинскими экипажами. Наименование строки — номер рейса «Сочи — Москва». Наименование столбца — номер обратного рейса «Москва — Сочи». В таблице для каждой возможной пары рейсов, выполняемых одним экипажем, указано время ожидания вылета в Москве (в часах):
|
Сочинский экипаж |
|
|
|
^ХМ-С |
ПО |
120 |
130 |
140 |
150 |
160 |
|
|
|
|
|
|
|
|
|
210 |
19 |
21 |
1 |
4 |
8 |
12 |
|
220 |
16 |
18 |
22 |
1 |
5 |
9 |
|
230 |
13 |
15 |
19 |
22 |
2 |
6 |
|
240 |
10 |
12 |
16 |
19 |
23 |
3 |
|
250 |
5 |
7 |
11 |
14 |
18 |
22 |
|
260 |
2 |
4 |
8 |
11 |
15 |
19 |
Составляем итоговую таблицу задачи о назначениях. Учитываем, что каждая пара рейсов может выполняться либо московским, либо сочинским экипажем. Поэтому в итоговую таблицу включаем минимальные значения времени ожидания (в часах) из двух приведенных выше таблиц:
|
^Чм-с |
ПО |
120 |
130 |
140 |
150 |
160 |
|
|
|
|
|
|
|
|
|
210 |
19 |
19 |
1 |
4 |
8 |
4 |
|
220 |
0 |
18 |
18 |
1 |
5 |
7 |
|
230 |
3 |
I |
19 |
19 |
2 |
6 |
|
240 |
6 |
4 |
0 |
19 |
17 |
3 |
|
250 |
5 |
7 |
5 |
3 |
18 |
18 |
|
260 |
2 |
4 |
8 |
6 |
1 |
19 |
Элементы, выделенные полужирным шрифтом, взяты из таблицы для московского экипажа. Соответствующие пары рейсов должны выполняться московским экипажем. Элементы, выделенные курсивом, взяты из таблицы для сочинского экипажа. Соответствующие пары рейсов должны выполняться сочинским экипажем. Элементы, выделенные полужирным курсивом, показывают, что соответствующая пара рейсов может выполняться экипажем, приписанным к любому из двух городов.
|
\м-с |
ПО |
120 |
130 |
140 |
150 |
160 |
|
С-М |
|
|
|
|
|
|
|
210 |
0 |
0 |
1 |
0 |
0 |
0 |
|
220 |
1 |
0 |
0 |
0 |
0 |
0 |
|
230 |
0 |
1 |
0 |
0 |
0 |
0 |
|
240 |
0 |
0 |
0 |
0 |
0 |
1 |
|
250 |
0 |
0 |
0 |
1 |
0 |
0 |
|
260 |
0 |
0 |
0 |
0 |
1 |
0 |
Решая задачу, получаем следующую матрицу назначений:_
В матрице назначений единица, выделенная полужирным шрифтом, означает, что соответствующая пара рейсов должна выполняться московским экипажем. Единица, выделенная курсивом, означает, что соответствующая пара рейсов должна выполняться сочинским экипажем.
В итоге получаем следующее решение задачи:
 |
|
Ответы: 1. Нет, рейс 210 должен выполняться сочинским экипажем. 2. Да. 3. Да. 4. 9 часов. 5. Восемь рейсов. |
Глава 7. Сетевой анализ проектов. Метод СРМ
В данной главе показаны возможности использования метода СРМ (Critical Path Method — метод критического пути) для контроля сроков выполнения проекта. Таким проектом может быть разработка нового продукта или производственного процесса, строительство предприятия, здания или сооружения, ремонт сложного оборудования и т.д.
При реализации проекта составляется график выполнения работ. Для того чтобы проект был завершен вовремя, необходимо контролировать сроки выполнения этих работ. Усложняющим фактором является то, что работы взаимосвязаны. Одни работы зависят от выполнения других и не могут начаться, пока предшествующие работы не будут завершены.
Важной предпосылкой применения метода СРМ является предположение о том, что время выполнения каждой работы точно известно.
В результате использования метода СРМ удается получить ответы на следующие вопросы:
1. За какое минимальное время можно выполнить проект?
2. В какое время должны начаться и закончиться отдельные работы?
3. Какие работы являются «критическими» и должны быть выполнены точно в установленное время, чтобы не был сорван срок выполнения проекта?
4. На какое время можно отложить срок выполнения «некритической» работы, чтобы она не повлияла на срок выполнения проекта в целом?
После того как вы выполните задания, предлагаемые в этой главе, вы будете уметь определять и использовать для экономического анализа:
• наиболее раннее и наиболее позднее время начала работы;
• наиболее раннее и наиболее позднее время окончания работы;
• критический путь;
• длину критического пути;
• запас времени на выполнение работы.
Модели
Исходным шагом для применения метода СРМ является описание проекта в виде перечня выполняемых работ с указанием их взаимосвязи. Для описания проекта используются два основных способа: табличный и графический.
|
Работа |
Непосредственно
предшествующие
работы |
Время
выпол
нения |
|
А |
— |
>А |
|
В |
— |
h |
|
С |
В |
fc |
|
D |
А, С |
|
Рассмотрим следующую таблицу, описывающую проект:_
В первом столбце указаны наименования всех работ проекта. Их четыре: А, В, С, D. Во втором столбце указаны работы, непосредственно предшествующие данной. У работ А и В нет предшествующих. Работе С непосредственно предшествует работа В. Это означает, что работа С может быть начата только после того, как завершится работа В. Работе D непосредственно предшествуют две работы: А и С. Это означает, что работа D может быть начата только после того, как завершатся работы А и С. В третьем столбце таблицы для каждой работы указано время ее выполнения. На основе этой таблицы может быть построено графическое описание проекта (рис. 1).

На рис. 1 проект представлен в виде графа с вершинами 1,2, 3, 4 и дугами А, В, С, D. Каждая вершина графа отображает событие. Событие 1 означает начало выполнения проекта. Иногда такое событие обозначают буквой s (start). Событие 4 означает завершение проекта. Для обозначения такого события иногда используют букву f(finish). Любая работа проекта — это упорядоченная пара двух событии. Например, работа А есть упорядоченная пара событий (1, 3)(см. рис. 1). Работа D — упорядоченная пара событий (3,4). Событие проекта состоит в том, что завершены все работы, «входящие» в соответствующую вершину. Например, событие 3 состоит в том, что завершены работы А и С.
Рассмотрим другой проект, представленный следующей таблицей:
|
Работа |
Непосредственно
предшествующие
работы |
Время
выпол
нения |
|
А |
— ¦ |
*Л |
|
В |
— |
*в |
|
С |
В |
|
|
D |
А, С |
|
|
Е |
С |
fE |
|
F |
С |
h |
|
G |
D, Е, F |
*G |

В этом графическом описании проекта, кроме тех работ, которые указаны в таблице, использованы две «фиктивные» работы (3, 4) и (5, 6). На рисунке они показаны штриховыми линиями. Эти работы не требуют времени на их выполнение и используются в графическом представлении проекта лишь для того, чтобы правильно отобразить взаимосвязь между работами. Получив графическое представление проекта, мы обеспечили себе возможность провести расчеты методом СРМ.
Определения:
Путь — последовательность взаимосвязанных работ, ведущая из одной вершины проекта в другую вершину. Например, {A, D, G} и {В, С, Е, С} — два различных пути, ведущие из вершины 1 в вершину 7 (см. рис. 2).
Длина пути — суммарная продолжительность выполнения всех работ пути.
Критический путь — путь, суммарная продолжительность выполнения всех работ которого является наибольшей.
Ясно, что минимальное время, необходимое для выполнения любого проекта, равно длине критического пути. Именно на работы, принадлежащие критическому пути, следует обращать особое внимание. Если такая работа будет отложена на некоторое время, то и срок окончания проекта будет отложен на то же время. Если необходимо сократить время выполнения проекта, то в первую очередь нужно сократить время выполнения хотя бы одной работы на критическом пути.
Для того чтобы найти критический путь, достаточно перебрать все пути и выбрать тот или те из них, что имеют наибольшую суммарную продолжительность выполнения работ. Однако для больших проектов реализация такого подхода связана с вычислительными трудностями. Метод СРМ позволяет получить критический путь намного проще.
Пусть i и j — вершины, или события, проекта, (ij) — работа проекта, s — событие «начало проекта» (start), f— событие «окончание проекта» (finish), Т — длина критического пути.
Введем следующие обозначения:
t(ij) — время выполнения работы (i, j);
ES(ij) —наиболее раннее время начала работы (i,j);
EF(i,j) —наиболее раннее время окончания работы (i,j);
LS(i,j) —наиболее позднее время начала работы (i,j),
LF(i,j) — наиболее позднее время окончания работы (ij),
Ei — наиболее раннее время наступления события i;
Lj — наиболее позднее время наступления события i;
R(i,j) — полный резерв времени на выполнение работы (i,j) (время, на которое может быть отложена работа (i,j) без увеличения продолжительности выполнения всего проекта);
r(ij) — свободный резерв времени на выполнение работы (i,j) (время, на которое может быть отложена работа (i,j) без увеличения наиболее раннего времени Е наступления последующего события j).
Если (i,j) — работа проекта, то имеют место соотношения:
для любого j ES(i,j) = Е;
для любого i LF(i,j) = Lj.
Для того чтобы использовать метод СРМ для нахождения критического пути, необходимо для каждой работы (ij) определить наиболее раннее время начала и окончания работы (ES(i,j) и EF(i,j)) и наиболее позднее время начала и окончания работы (LS(i,j) и LF(i,j)).
Метод СРМ описывается следующими соотношениями:
ES(s,j) = 0 (J)
для любой работы (sj), выходящей из стартовой вершины 5 проекта;
(2)
т.е. наиболее раннее время окончания любой работы (i,j) превышает наиболее раннее время начала этой работы (время наступления предшествующего события і) на время ее выполнения;
т.е. наиболее раннее время начала работы (q, j) равно наибольшему из значений наиболее раннего времени окончания непосредственно предшествующих ей работ;
Т = шах EF(i f) = Ef, (4)
т.е. длина критического пути равна наиболее раннему времени завершения проекта;
LF„ f\ — Т,
EF(‘,j)= ES(t,j)+ hu)= Е‘+
Чі,л ~ л > (5)
т.е. наиболее позднее время окончания любой работы, завершающей проект, равно длине критического пути;
ESvj) ~ EEa,j) - hij) ~ Ej~ hi,j) ’ (6)
т.е. наиболее позднее время начала любой работы меньше наиболее позднего времени окончания этой работы (времени наступления последующего события) на время ее выполнения;
LFn п, = minLS,„ = L„
(/,?)“ "у* -,,(7)
т.е. наиболее позднее время окончания работы (/, q) равно наименьшему из значений наиболее позднего времени начала непосредственно следующих за ней работ;
*«.П - Щи, - Щи, = Щи, - Щи, - V hu, - і. .(8)
т.е. полный резерв времени на выполнение любой работы равен разности между наиболее поздним и наиболее ранним временем ее начала или разности между наиболее поздним и наиболее ранним временем ее окончания;
ra,j) ~ Е) ~ ESa,j) ~ hij)= Lj ~ EFa,j)= Lj ~ еі ~ hijy (9)
т.е. свободный резерв времени на выполнение любой работы равен разности между наиболее поздним временем наступления последующего события и наиболее ранним временем окончания работы.
Из приведенных выше определений и соотношений непосредственно вытекают следующие утверждения:
1. Длина критического пути равна Т.
2. Если R(i,j) = 0, то работа (i,j) лежит на критическом пути;
если R(i,j) > 0, то работа (i,j) не лежит на критическом пути.
3. Если время начала работы (i,j), не лежащей на критическом пути, отложить на срок меньший, чем r(i,j), то наиболее раннее время наступления последующего события не изменится.
4. Если время начала работы (i,j), не лежащей на критическом пути, отложить на срок меньший, чем R(i,j), то время, необходимое на выполнение всего проекта, не увеличится.
Примеры
Пример 1. Реконструкция торгового центра.
Департамент Юго-Западного округа Москвы рассматривает возможность реконструкции торгового центра у станции метро «Юго-Западная». После сноса старых палаток проектом предусматривается строительство павильонов для сдачи их в аренду торговым фирмам. Работы, которые необходимо выполнить при реализации проекта, а также их взаимосвязь и время выполнения указаны в следующей таблице:
|
Работа |
Содержание работы |
Непосред
ственно
предшест
вующие
работы |
Время
выпол
нения,
недели |
|
А |
Подготовить архитектурный проект |
— |
5 |
|
В |
Определить будущих арендаторов |
— |
6 |
|
С |
Подготовить проспект для арендаторов |
А |
4 |
|
D |
Выбрать подрядчика |
А |
3 |
|
Е |
Подготовить документы для получения разрешения на строительство |
А |
1 |
|
F |
Получить разрешение на строительство |
Е |
4 |
|
G |
Осуществить строительство |
D, F |
14 |
|
Н |
Заключить контракты с арендаторами |
В, С |
12 |
|
I |
Вселить арендаторов в павильоны |
G, Н |
2 |
Вопросы:
1. Сколько работ на критическом пути?
2. Какова длина критического пути?
3. На сколько недель можно отложить начало выполнения работы Е, чтобы это не повлияло на срок выполнения проекта?
4. На сколько недель можно отложить начало выполнения работы В, чтобы это не повлияло на срок выполнения проекта (полный резерв времени)?
5. На сколько недель можно отложить начало выполнения работы С, чтобы это не изменило наиболее поздний срок наступления последующего события (свободный резерв времени)?
Решение. Для того чтобы определить срок выполнения проекта, достаточно найти длину критического пути. Для этого построим графическое представление проекта (рис. 3).

Критический путь для этого проекта может быть найден с помощью прямых расчетов по методу СРМ, описанному в разделе «Модели». Те же результаты можно получить, воспользовавшись программой POMWIN. Для этого достаточно ввести в программу исходную информацию, описывающую проект в виде следующей таблицы:
|
Работа |
Время выполнения, недели |
Предшествующие
работы |
|
А |
5 |
|
|
В |
6 |
|
|
С |
4 |
А |
|
D |
' 3 |
А |
|
? |
1 |
А |
|
F |
4 |
Е |
|
G |
14 |
D,F |
|
Н |
12 |
В, С |
|
I |
2 |
G, Н |
|
Результаты расчетов будут представлены в виде следующей таблицы: |
|
|
|
Project |
26 |
|
|
|
|
|
|
Работа |
Время выполнения, недели |
ES |
EF |
LS |
LF |
В |
|
А |
5 |
0 |
5 |
0 |
5 |
0 |
|
В |
6 |
0 |
6 |
6 |
12 |
6 |
|
С |
4 |
5 |
9 |
8 |
12 |
3 |
|
D |
3 |
5 |
8 |
7 |
10 |
2 |
|
Е |
1 |
5 |
6 |
5 |
6 |
0 |
|
F |
4 |
6 |
10 |
6 |
10 |
0 |
|
G |
14 |
10 |
24 |
10 |
24 |
0 |
|
Н |
12 |
9 |
21 |
12 |
24 |
3 |
|
I |
2 |
24 |
26 |
24 |
26 |
0 |
Эта таблица содержит информацию, позволяющую ответить на все вопросы задачи. Строка «Project 26» указывает на то, что длина критического пути равна 26. На критическом пути лежат все работы, значения резерва времени которых, указанные в последнем столбце, равны нулю. Это работы А, Е, F, G, I.

Таким образом, если отложить начало работы Е, то срок выполнения проекта увеличится. В то же время работу В можно начать не в нулевой момент времени, а в момент 6, т.е. начало выполнения работы В можно отложить на 6 недель. Критический путь для этого проекта показан на рис. 4 полужирными стрелками.
Возможен другой способ введения исходной информации в программу POMWIN. Этот способ использует графическое представление проекта и как следствие описывает дуги в виде пары вершин. Соответствующее описание проекта приведено в следующей таблице:
|
Работа |
Начальная
вершина |
Конечная
вершина |
Время выполнения, недели |
|
А |
1 |
2 |
5 |
|
В |
1 |
3 |
6 |
|
С |
2 |
3 |
4 |
|
D |
2 |
5 |
3 |
|
Е |
2 |
4 |
1 |
|
F |
4 |
5 |
4 |
|
G |
5 |
б |
14 |
|
Н |
3 |
6 |
12 |
|
I |
6 |
7 |
2 |
|
Результаты расчетов будут представлены в виде следующей таблицы: |
|
|
|
Project |
26 |
|
|
|
|
|
|
|
|
Работа |
Начальная вершина |
Конечная вершина |
Время выполнения, недели |
ES |
EF |
LS |
LF |
R |
|
А |
1 |
2 |
5 |
0 |
5 |
0 |
5 |
0 |
|
В |
1 |
3 |
6 |
0 |
6 |
6 |
12 |
6 |
|
С |
2 |
3 |
. 4 |
5 |
9 |
8 |
12 |
3 |
|
D |
2 |
5 |
3 |
5 |
8 |
7 |
10 |
2 |
|
Е |
2 |
4 |
1 |
5 |
6 |
5 |
6 |
0 |
|
Е |
4 |
5 |
4 |
6 |
10 |
6 |
10 |
0 |
|
G |
5 |
6 |
14 |
10 |
24 |
10 |
24 |
0 |
|
Н |
3 |
6 |
12 |
9 |
21 |
12 |
24 |
3 |
|
I |
6 |
7 |
2 |
24 |
26 |
24 |
26 |
0 |
|
Ответы: 1. Пять работ. 2. 26 недель. 3. Начало выполнения работы E отложить нельзя. Ответ |
0.
4. На шесть недель. 5. На три недели.
Вопросы
Вопрос 1. Метод СРМ разработан для:
1) описания проектов путем указания всех работ, предшествующих данной работе;
2) описания проектов путем представления каждой работы в виде пары узлов сети;
3) минимизации издержек на сокращение продолжительности проекта;
4) нахождения критического пути для проектов с заданным временем выполнения каждой работы;
5) нахождения критического пути для проектов с неопределенным временем выполнения работ. Вопрос 2. Узел-событие сетевого графика выражает результат:
1) начаты все работы, выходящие из узла;
2) закончены все работы, входящие в узел;
3) начата хотя бы одна работа, выходящая из узла;
4) закончена хотя бы одна работа, входящая в узел;
5) закончены все работы, входящие в узел, и начата хотя бы одна работа, выходящая из узла. Вопрос 3. Наиболее раннее время наступления события равно:
1) минимальной длине пути из данного узла в конечный;
2) максимальной длине пути из данного узла в конечный;
3) максимальной длине пути из начального узла в данный;
4) максимальному времени наиболее раннего окончания работ, входящих в данный узел;
5) минимальному времени наиболее позднего начала работ, выходящих из данного узла.
Вопрос 4. Наиболее позднее время наступления события равно:
1) Минимальной длине пути из данного узла в конечный;
2) максимальной длине пути из данного узла в конечный;
3) максимальной длине пути из начального узла в данный;
4) максимальному времени наиболее раннего начала работ, выходящих из данного узла;
5) минимальному времени наиболее позднего начала работ, выходящих из данного узла.
Вопрос 5. Для того чтобы сократить время выполнения проекта, необходимо:
1) сократить время выполнения каждой работы на критическом пути;
2) сократить время выполнения одной работы на критическом пути;
3) сократить время выполнения каждой работы проекта;
4) сократить время выполнения одной работы проекта;
5) увеличить длину критического пути.
Вопрос 6. Полный резерв времени выполнения работы равен разности между:
1) наиболее поздним и наиболее ранним временем ее начала;
2) наиболее ранним временем ее начала и наиболее ранним временем ее окончания;
3) наиболее поздним временем ее начала и наиболее поздним временем ее окончания;
4) наиболее ранним временем ее окончания и наиболее поздним временем ее начала;
5) наиболее поздним временем ее окончания и наиболее ранним временем ее начала.
Задачи
Задача 1. Экономический факультет МГУ разрабатывает новую программу для повышения квалификации преподавателей, обучающих количественным методам анализа экономики. Желательно, чтобы эту программу можно было реализовать в наиболее сжатые сроки. Имеются существенные взаимосвязи между дисциплинами, которые необходимо отразить, составляя расписание занятий. Например, методы управления проектами PER Т/ СРМ должны рассматриваться лишь после того, как слушатели обсудят различные аспекты (коммерческие, финансовые, экономические, технические и др.) проектного анализа, связанные с жизненным циклом проекта.
|
Дисциплина |
Непосредственно
предшествующие
дисциплины |
Время изучения, дни |
|
А |
— |
4 |
|
В |
— |
6 |
|
С |
А |
2 |
|
D |
А |
6 |
|
Е |
с, в |
3 |
|
F |
С, В |
3 |
|
G |
D, Е |
5 |
Дисциплины и их взаимосвязь указаны в следующей таблице:_
Найдите минимальное время, за которое можно выполнить программу.
Вопросы:
1. Какова длина критического пути?
2. Какое количество дисциплин находится на критическом пути?
3. Каков резерв времени изучения дисциплины f?
|
Работа |
Непосредственно
предшествующие
работы |
Время выполнения, недели |
|
А |
— |
4 |
|
В |
— |
6 |
|
С |
— |
5 |
|
D |
В |
2 |
|
Е |
А |
9 |
Задача 2. Консалтинговая компания «Системы управленческих решений» специализируется на разработке систем поддержки проектов. Компания заключила контракт на разработку компьютерной системы, предназначенной для помощи руководству фирмы при планировании капиталовложений. Руководитель проекта разработал следующий перечень взаимосвязанных работ:
Окончание таблицы
|
|
|
Работа |
Непосредственно
предшествующие
работы |
Время выполнения, недели |
|
F |
В |
4 |
|
G |
C,D |
8 |
|
Н |
в; Б |
3 |
|
I |
F,G |
5 |
|
J |
Н |
7 |
|
Постройте графическое представление проекта. Используйте метод СРМдля нахождения критического |
пути.
Вопросы:
1. Какова длина критического пути?
2. Сколько работ находится на критическом пути?
3. Каков резерв выполнения работы F?
Задача 3. Рассмотрите следующий проект:
|
Работа |
Непосредственно
предшествующие
работы |
Время выполнения, недели |
|
А |
— |
5 |
|
В |
— ' |
3 |
|
С |
А |
7 |
|
D |
А |
6 |
|
Е |
В |
7 |
|
F |
А Е |
3 |
|
G |
D, Е |
10 |
|
Н |
С, F |
8 |
Найдите критический путь.
Вопросы:
1. За какое минимальное время может быть выполнен проект?
2. Сколько работ находится на критическом пути?
3. На сколько недель можно отложить выполнение работы D без отсрочки завершения проекта в целом?
4. На сколько недель можно отложить выполнение работы С без отсрочки завершения проекта в целом? Задача 4. Проект пусконаладки компьютерной системы состоит из восьми работ. Непосредственно
предшествующие работы и продолжительность выполнения работ указаны в следующей таблице:

Найдите критический путь.
Вопросы:
1. Сколько времени потребуется для выполнения проекта?
2. Сколько работ на критическом пути?
3. Чему равно наиболее раннее время начала работы С?
4. На сколько дней можно отложить выполнение работы С без отсрочки завершения проекта в целом?
5. Чему равно наиболее позднее время окончания работы F?
6. На сколько дней можно отложить выполнение работы F без отсрочки завершения проекта?
|
Работа |
Содержание работы |
Непосредственно
предшествующие
работы |
Время выполнения, недели |
|
А |
Определить место строительства |
— |
6 |
|
В |
Разработать первоначальный проект |
|
8 |
|
С |
Получить разрешение на строительство |
А, В |
12 |
|
D |
Выбрать архитектурную мастерскую |
С |
4 |
|
Е |
Разработать смету затрат на строительство |
С |
6 |
|
F |
Разработать проект строительства |
D, Е |
15 |
|
G |
Обеспечить финансирование проекта |
Е |
12 |
|
Н |
Нанять подрядчика |
F, G |
8 |
Задача 5. Московский государственный университет рассматривает предложение о строительстве новой библиотеки. Работы, которые следует выполнить перед началом строительства, представлены ниже:
Найдите критический путь.
Вопросы:
1. Сколько работ находится на критическом пути? (Фиктивные работы не учитываются.)
2. Через какое минимальное время после принятия решения о реализации проекта можно начать работу по строительству библиотеки?
3. На сколько недель можно отложить выбор архитектурной мастерской?
4. Чему равно наиболее позднее время завершения работы по обеспечению финансирования?
Ситуации
Ситуация 1. Программа «Здоровье жителей пригородной зоны».
Программа «Здоровье жителей пригородной зоны» создана более года назад как коммерческая корпорация. Эта корпорация должна стать основой организации здравоохранения открытого типа НМО. Цель НМО — обеспечить абонентов из пригородной зоны услугами медицинской помощи по полной предоплате.
В соответствии с законом США от 1973 г. работы по планированию и организации НМО обеспечиваются федеральными грантами. Организационные работы включают три обязательных этапа: основание НМО (6 месяцев), планирование (12 месяцев) и начальное развитие (12 месяцев). Правительственные гранты выделяются на каждый этап и автоматически не продлеваются.
В соответствии с законом предусмотрено два типа НМО: закрытый и открытый. НМО закрытого типа организуется на базе медицинского центра, обеспечивающего амбулаторное обслуживание. Как правило, врачи работают в НМО закрытого типа на постоянной основе и получают зарплату.
НМО открытого типа не имеет своего медицинского центра. В этом случае НМО заключает контракт с Независимой ассоциацией врачей IPA. Медицинское обслуживание осуществляется как на производстве, так и в домашних условиях. Обычно работа по контракту с НМО открытого типа составляет лишь небольшую долю практики врачей из независимой ассоциации.
Для контроля издержек и выполнения налоговых обязательств новые НМО создают отдел маркетинга, который возглавляет директор по маркетингу. Задача этого отдела — привлечь новых абонентов, как индивидуальных, так и коллективных. Причем не только домохозяев и персонал фирм, работающих в сфере действия НМО, но и предпринимателей.
Сотрудник любой фирмы может воспользоваться либо услугами НМО, либо услугами альтернативной медицинской помощи, которую предоставляет наниматель. Поэтому для НМО важно заключить контракт с предпринимателем прежде, чем предлагать свои услуги персоналу фирмы.
Программа «Здоровье жителей пригородной зоны» ориентирована на создание НМО открытого типа и поэтому предполагает сотрудничество с IPA. Услуги, связанные с госпитализацией, предоставляются по контракту с окружным госпиталем.
В текущем году федеральный грант предоставлен программе для выполнения работ по планированию. Грант действует 12 месяцев. Этап начального развития, следующий за этапом планирования, также должен быть завершен за 12 месяцев. Таким образом, работа НМО может начаться после завершения обоих этапов, общая продолжительность которых составляет два года. В настоящее время руководство программы готовит заявку на фант для выполнения работ на этапе начального развития.
Джон Томас, исполнительный директор программы, разрабатывает перечень мероприятий, которые необходимо провести на этапе начального развития компании с тем, чтобы этот этап действительно мог быть завершен в 12-месячный срок. На предыдущем этапе планирования деятельность Джона Томаса была связана в основном с организацией и координацией работы врачей. Пришлось приложить значительные усилия для создания IPA. На этапе планирования он использовал сети СРМ для координации работ и собирается вновь применить их на заключительном, третьем этапе, который должен начаться через месяц.
Джон Томас убежден, что на этапе начального развития можно и нужно разрабатывать сети СРМ для анализа работ в области маркетинга и финансов. Однако, несмотря на то, что эти виды деятельности связаны друг с другом, он сомневается в том, что удастся провести их комплексный анализ. Поэтому он попросил директора по маркетингу Билла Харли и директора по финансам Джека Дункана независимо друг от друга разработать сети СРМ для контроля мероприятий в соответствующей сфере деятельности.
В следующей таблице описана сеть СРМ для мероприятий, выполненных ІРА на этапе планирования:
|
Работа (в виде пары вершин сети) |
Время выполнения работы, недели |
Непосредственно предшествующая работа |
Наименование работы |
|
1-2 |
6 |
— |
Установление связи с организацией врачей |
|
2-3 |
10 |
1-2 |
Утверждение нормативов оплаты медицинских услуг |
|
2-4 |
8 |
1-2 |
Учреждение руководящего комитета ІРА |
|
3-5 |
4 |
2-3 |
Утверждение набора услуг медицинской помощи |
|
3-6 |
7 |
2-3 |
Подготовка и печатание брошюр ІРА |
Окончание таблицы
|
Работа (в виде пары вершин сети) |
Время выполнения работы, недели |
Непосредственно предшествующая работа |
Наименование работы |
|
4-7 |
9 |
3-5 |
Регистрация ІРА |
|
5-8 |
9 |
3-5 |
Разработка контрактов для врачей — членов ІРА |
|
5-9 |
5 |
3-5 |
Утверждение порядка оплаты труда врачей |
|
6-9 |
13 |
3-6 |
Привлечение практикующих врачей в ІРА |
|
7-10 |
6 |
4-7 |
Подготовка контракта НМО — ІРА |
|
8-9 |
0 |
5-8 |
Фиктивная работа |
|
9-11 |
8 |
5-9 |
Сбор заявок врачей на вступление |
|
|
|
6-9
8-9 |
в ІРА |
|
10-11 |
9 |
7-10
9-11 |
Создание арбитражного комитета ІРА |
|
11-12 |
4 |
10-11 |
Создание формы и знаков отличия для врачей ІРА |
|
12-13 |
4 |
11-12 |
Подготовка технического персонала для ІРА |
Определив критический путь для данной сети, Джон Томас пришел к выводу, что этап планирования действительно может быть завершен за год (52 недели). Он установил также, какие работы могут быть отложены и на сколько без увеличения срока выполнения данного этапа проекта.
Джон Томас попросил директоров по маркетингу и финансам определить все работы, которые должны быть выполнены на этапе начального развития, оценить время, необходимое для их выполнения, и установить взаимозависимость этих работ.
Маркетинг. Билл Харли, директор по маркетингу, решил составить список всех работ и затем представить их в виде сети. Первая из намеченных работ — работа А — нанять и обучить новый персонал, занимающийся маркетингом. На выполнение этой работы требуется 5 недель.
После завершения этой работы планируется провести одновременно четыре работы:
В — сформировать набор медицинского оборудования для предоставления медицинской помощи (3 недели);
С — организовать информирование местного населения и формирование общественного мнения (10 недель);
D — связаться с предпринимателями в сфере действия НМО (6 недель);
Е — разработать рекламный проспект для предпринимателей (3 недели).
Работа F — разработка планов ежемесячной регистрации абонентов (4 недели) — может быть начата после завершения работ В и D.
После того как будет разработан рекламный проспект для предпринимателей, его необходимо распространить. На эту работу G нужно 4 недели.
После того как будет распространен рекламный проспект и разработаны планы ежемесячной регистрации абонентов, могут одновременно выполняться две работы:
Н — провести переговоры о заключении контрактов с предпринимателями на обслуживание персонала фирм (8 недель);
I — подготовить рекламные материалы для персонала фирм (6 недель).
После выполнения работы H могут быть заключены контракты с предпринимателями (работа J, 6 недель). После выполнения работы I следует напечатать рекламные материалы для персонала фирм (работа К, 3 недели).
После того как заключены контракты с предпринимателями и напечатаны рекламные материалы для персонала фирм, можно начать работу L по привлечению индивидуальных абонентов. Эта работа может проводиться до конца второго этапа, но требует не менее 16 недель на выполнение.
Далее остается предусмотреть выполнение двух работ. Это организация симпозиума НМО (работа М, 16 недель) и его проведение (работа N, 2 недели). Организация симпозиума не может начаться, пока не будет завершена работа С.
Финансы. Джек Дункан, финансовый директор программы, составил следующий перечень из 12 работ, которые должны быть выполнены на этапе начального развития:
|
Работа |
Предшествующие работы |
Ожидаемое время выполнения работы, недели |
Наименование работы |
|
А |
— |
и |
Оценка административных расходов |
|
В |
— |
7 |
Сбор статистических данных о занятости населения |
|
С |
— |
9 |
Сбор статистических данных о заболеваниях |
|
D |
В, С |
8 |
Проведение актуарных расчетов |
|
Е |
D |
4 |
Расчет месячных доходов |
|
F |
D |
3 |
Расчет месячных расходов |
|
С |
А, Е, F |
5 |
Подготовка месячного отчета одоходах |
|
Н |
А, Е, F |
6 |
Расчет месячных потоков наличности |
|
I |
G |
3 |
Подготовка годового отчета одоходах |
|
J |
Н |
2 |
Подготовка годового баланса |
|
К |
и |
3 |
Определение ставки процента |
|
L |
G |
5 |
Анализ неблагоприятных факторов |
Вы приглашены в качестве помощника Джона Томаса, исполнительного директора, чтобы помочь рассчитать время выполнения комплекса работ по маркетингу и финансам на начальной стадии развития медицинского центра.
Задания
1. Нарисуйте сеть работ на этапе планирования. Определите критический путь и резерв времени для каждой работы. Верен ли вывод Джона Томаса о том, что этап планирования можно выполнить за год?
2. Нарисуйте сеть работ по маркетингу. Рассчитайте критический путь для этой сети. Могут ли работы по маркетингу быть выполнены в течение года?
3. Нарисуйте сеть работ по финансам. Рассчитайте критический путь для этой сети. Могут ли работы по финансам быть выполнены в течение года?
4. После координационного совещания Томаса, Харли и Дункана выяснилось, что работы по маркетингу и финансам взаимосвязаны: работа D финансового отдела может проводиться только после того, как завершена работа J отделом маркетинга. Определите критический путь для всех работ на этапе начального развития НМО. Верно ли утверждение, что весь комплекс работ может быть выполнен за год?
(Переработано из: Latona J.C; Nathan J. Cases and Readings in Production and Operations Management. — Boston: Allyn and Bacon, 1993)
Ответы и решения
Ответы на вопросы: 1—4, 2 — 2, 3—4, 4—5, 5—2, 6—1.
Задача 1. Решение.
Для решения задачи используем программу POMWIN. Введем в программу исходную информацию, описывающую проект в виде последовательности работ:
|
Дисциплина |
Время изучения, дни |
Предшествующие
дисциплины |
|
А |
4 |
|
|
В |
6 |
|
|
С |
2 |
А |
|
D |
6 |
А |
|
Е |
3 |
С, В |
|
F |
3 |
С, В |
|
G |
5 |
D, Е |
Выполняя расчеты, получаем следующие результаты:
|
Project |
15 |
|
|
|
|
|
|
Дисциплина |
Время изучения, дни |
ES |
EF |
LS |
LF |
R |
|
А |
4 |
0 |
4 |
0 |
4 |
0 |
|
В |
6 |
0 |
6 |
1 |
7 |
1 |
|
С |
2 |
4 |
6 |
5 |
7 |
1 |
|
D |
6 |
4 |
10 |
4 |
10 |
0 |
|
Е |
3 |
6 |
9 |
7 |
10 |
1 |
|
F |
3 |
6 |
9 |
12 |
15 |
6 |
|
G |
5 |
10 |
15 |
10 |
15 |
0 |
Ответы: 1. 15 дней. 2. 3. 3. Шесть дней. Задача 2. Решение.

На основании таблицы непосредственно предшествующих работ можно построить следующее графическое представление проекта (рис. 5).
На этом рисунке работа, выходящая из вершины 3 и входящая в вершину 5, является фиктивной. Ее продолжительность равна нулю.
|
Для решения задачи используем программу POMWIN. Введем в программу исходную информацию, описывающую работы в виде пары вершин: _ |
|
|
|
Работа |
Начальная
вершина |
Конечная
вершина |
Время выполнения, недели |
|
А |
1 |
2 |
4 |
|
В |
1 |
3 |
6 |
|
С |
1 |
4 |
5 |
|
D |
3 |
4 |
2 |
Окончание таблицы
|
Работа |
Начальная
вершина |
Конечная
вершина |
Время выполнения, недели |
|
Е |
2 |
5 |
9 |
|
F |
3 |
6 |
4 |
|
G |
4 |
6 |
8 |
|
Н |
5 |
7 |
3 |
|
I |
6 |
8 |
5 |
|
J |
7 |
8 |
7 |
|
К |
3 |
5 |
0 |
Выполняя расчеты, получаем следующие результаты:
|
Project |
23 |
|
|
|
|
|
|
|
|
Работа |
Начальная вершина |
Конечная вершина |
Время
выпол
нения,
недели |
ES |
|
LS |
LF |
R |
|
А |
1 |
2 |
4 |
0 |
4 |
0 |
4 |
0 |
|
В |
1 |
3 |
6 |
0 |
6 |
2 |
8 |
2 |
|
С |
1 |
4 |
5 |
0 |
5 |
5 |
10 |
5 |
|
D |
3 |
4 |
2 |
6 |
8 |
8 |
10 |
2 |
|
Е |
2 |
5 |
9 |
4 |
13 |
4 |
13 |
0 |
|
F |
3 |
6 |
4 |
6 |
10 |
14 |
18 |
8 |
|
G |
4 |
6 |
8 |
8 |
16 |
10 |
18 |
2 |
|
Н |
5 |
7 |
3 |
13 |
16 |
13 |
16 |
0 |
|
I |
6 |
8 |
5 |
16 |
21 |
18 |
23 |
2 |
|
J |
7 |
8 |
7 |
16 |
23 |
16 |
23 |
0 |
|
К |
3 |
5 |
0 |
6 |
6 |
13 |
13 |
7 |
Ответы: 1. 23 недели. 2. 4. 3. Восемь недель.
Задача 3. Решение.
|
Работа |
Время выполнения, недели |
Предшествующие работы |
|
/1 |
5 |
|
|
В |
3 |
|
|
С |
7 |
А |
|
D |
6 |
А |
|
Е |
7 |
В |
|
F |
3 |
D, Е |
|
G |
10 |
D, Е |
|
Н |
8 |
С, F |
Для решения задачи используем программу POMWIN. Введем в программу исходную информацию в виде таблицы непосредственно предшествующих работ:_
Выполняя расчеты, получаем следующие результаты:
|
Project |
22 |
|
|
|
|
|
|
Работа |
Время выполнения, недели |
ES |
EF |
LS |
LF |
R |
|
А |
5 |
0 |
5 |
0 |
5 |
0 |
|
В |
3 |
0 |
3 |
1 |
4 |
1 |
|
С |
7 |
5 |
12 |
7 |
14 |
2 |
|
D |
6 |
5 |
11 |
5 |
11 |
0 |
|
Е |
7 |
3 |
10 |
4 |
11 |
1 |
|
F |
3 |
11 |
14 |
11 |
14 |
0 |
|
G |
10 |
11 |
21 |
12 |
22 |
1 |
|
Н |
8 |
14 |
22 |
14 |
22 |
0 |
Ответы: 1. За 22 недели. 2. Четыре работы. 3. Работу D нельзя отложить без отсрочки завершения
проекта в целом. 4. На две недели.
Задача 4. Решение.
|
Работа |
Время выпод-нения, дни |
Предшествующие работы |
|
А |
3 |
|
|
В |
6 |
|
|
С |
2 |
А |
|
D |
5 |
В, С |
|
Е |
4 |
D |
|
F |
3 |
Е |
|
G |
9 |
В, С |
|
Н |
3 |
F,G |
Для решения задачи используем программу POMWIN. Введем в программу исходную информацию, описывающую проект в виде последовательности работ:_
Выполняя расчеты, получаем следующие результаты:
|
Project |
21 |
|
|
|
|
|
|
Работа |
Время выполнения, дни |
ES |
EF |
LS |
LF |
R |
|
А |
3 |
0 |
3 |
1 |
4 |
1 |
|
В \ |
6 |
0 |
6 |
0 |
6 |
0 |
|
С |
2 |
3 |
5 |
4 |
6 |
1 |
|
D |
5 |
6 |
11 |
6 |
11 |
0 |
|
Е |
4 |
11 |
15 |
11 |
15 |
0 |
|
F |
3 |
15 |
18 |
15 |
18 |
0 |
|
G |
9 |
6 |
15 |
9 |
18 |
3 |
|
Н |
3 |
18 |
21 |
18 |
21 |
0 |
Ответы: 1. 21 день. 2. 5. 3. Третий день. 4. На один день. 5. Восемнадцатый день. 6. Выполнение
работы F откладывать нельзя.
Задача 5. Решение.
Для решения задачи используем программу POMWIN. Введем в программу исходную информацию, описывающую проект в виде последовательности работ:
|
Работа |
Время вьшод-нения, недели |
Предшествующие работы |
|
A |
6 |
|
|
В |
8 |
|
|
С |
12 |
л, в |
|
D |
4 |
С |
|
E |
6 |
С |
|
F |
15 |
А Е |
|
G |
12 |
Е |
|
H |
8 |
F, G |
Выполняя расчеты, получаем следующие результаты:
|
Project |
49 |
|
|
|
|
|
|
Работа |
Время выполнения, недели |
ES |
EF |
LS |
LF |
R |
|
А |
6 |
0 |
6 |
2 |
8 |
2 |
|
В |
8 |
0 |
8 |
0 |
8 |
0 |
|
С |
12 |
8 |
20 |
8 |
20 |
0 |
|
D |
4 |
20 |
24 |
22 |
26 |
2 |
|
Е |
6 |
20 |
26 |
20 |
26 |
0 |
|
F |
15 |
26 |
41 |
26 |
41 |
0 |
|
G |
12 |
26 |
38 |
29 |
41 |
3 |
|
Н |
8 |
41 |
49 |
41 |
49 |
0 |
Ответы: 1. 5. 2. Через 49 недель. 3. На две недели. 4. Не позднее чем на 41-й неделе.
Экономика: Знания - Циклы - Макроэкономика